JP2010060352A - 光学異方性パラメータ測定方法及び測定装置 - Google Patents
光学異方性パラメータ測定方法及び測定装置 Download PDFInfo
- Publication number
- JP2010060352A JP2010060352A JP2008224392A JP2008224392A JP2010060352A JP 2010060352 A JP2010060352 A JP 2010060352A JP 2008224392 A JP2008224392 A JP 2008224392A JP 2008224392 A JP2008224392 A JP 2008224392A JP 2010060352 A JP2010060352 A JP 2010060352A
- Authority
- JP
- Japan
- Prior art keywords
- light
- polarized
- polarized light
- reflected
- measurement
- Prior art date
- Legal status (The legal status is an assumption and is not a legal conclusion. Google has not performed a legal analysis and makes no representation as to the accuracy of the status listed.)
- Granted
Links
- 238000000034 method Methods 0.000 title claims abstract description 36
- 230000003287 optical effect Effects 0.000 title claims description 93
- 230000010287 polarization Effects 0.000 claims abstract description 198
- 238000005259 measurement Methods 0.000 claims description 156
- 238000000691 measurement method Methods 0.000 claims description 7
- 230000001105 regulatory effect Effects 0.000 claims description 7
- 230000001678 irradiating effect Effects 0.000 claims description 6
- 239000004973 liquid crystal related substance Substances 0.000 description 17
- 230000007246 mechanism Effects 0.000 description 7
- 238000000572 ellipsometry Methods 0.000 description 5
- 230000007547 defect Effects 0.000 description 4
- 230000014509 gene expression Effects 0.000 description 4
- 238000007689 inspection Methods 0.000 description 4
- 239000000463 material Substances 0.000 description 3
- 230000008033 biological extinction Effects 0.000 description 2
- 238000001514 detection method Methods 0.000 description 2
- 239000011521 glass Substances 0.000 description 2
- 238000004519 manufacturing process Methods 0.000 description 2
- 239000011159 matrix material Substances 0.000 description 2
- 239000000758 substrate Substances 0.000 description 2
- 230000005540 biological transmission Effects 0.000 description 1
- 230000002950 deficient Effects 0.000 description 1
- 230000000704 physical effect Effects 0.000 description 1
- 238000002310 reflectometry Methods 0.000 description 1
- 125000006850 spacer group Chemical group 0.000 description 1
- 239000013598 vector Substances 0.000 description 1
Images
Classifications
-
- G—PHYSICS
- G01—MEASURING; TESTING
- G01M—TESTING STATIC OR DYNAMIC BALANCE OF MACHINES OR STRUCTURES; TESTING OF STRUCTURES OR APPARATUS, NOT OTHERWISE PROVIDED FOR
- G01M11/00—Testing of optical apparatus; Testing structures by optical methods not otherwise provided for
- G01M11/02—Testing optical properties
-
- G—PHYSICS
- G01—MEASURING; TESTING
- G01B—MEASURING LENGTH, THICKNESS OR SIMILAR LINEAR DIMENSIONS; MEASURING ANGLES; MEASURING AREAS; MEASURING IRREGULARITIES OF SURFACES OR CONTOURS
- G01B11/00—Measuring arrangements characterised by the use of optical techniques
-
- G—PHYSICS
- G01—MEASURING; TESTING
- G01N—INVESTIGATING OR ANALYSING MATERIALS BY DETERMINING THEIR CHEMICAL OR PHYSICAL PROPERTIES
- G01N21/00—Investigating or analysing materials by the use of optical means, i.e. using sub-millimetre waves, infrared, visible or ultraviolet light
- G01N21/17—Systems in which incident light is modified in accordance with the properties of the material investigated
- G01N21/21—Polarisation-affecting properties
-
- G—PHYSICS
- G01—MEASURING; TESTING
- G01N—INVESTIGATING OR ANALYSING MATERIALS BY DETERMINING THEIR CHEMICAL OR PHYSICAL PROPERTIES
- G01N21/00—Investigating or analysing materials by the use of optical means, i.e. using sub-millimetre waves, infrared, visible or ultraviolet light
- G01N21/17—Systems in which incident light is modified in accordance with the properties of the material investigated
- G01N21/41—Refractivity; Phase-affecting properties, e.g. optical path length
-
- G—PHYSICS
- G02—OPTICS
- G02F—OPTICAL DEVICES OR ARRANGEMENTS FOR THE CONTROL OF LIGHT BY MODIFICATION OF THE OPTICAL PROPERTIES OF THE MEDIA OF THE ELEMENTS INVOLVED THEREIN; NON-LINEAR OPTICS; FREQUENCY-CHANGING OF LIGHT; OPTICAL LOGIC ELEMENTS; OPTICAL ANALOGUE/DIGITAL CONVERTERS
- G02F1/00—Devices or arrangements for the control of the intensity, colour, phase, polarisation or direction of light arriving from an independent light source, e.g. switching, gating or modulating; Non-linear optics
- G02F1/01—Devices or arrangements for the control of the intensity, colour, phase, polarisation or direction of light arriving from an independent light source, e.g. switching, gating or modulating; Non-linear optics for the control of the intensity, phase, polarisation or colour
- G02F1/13—Devices or arrangements for the control of the intensity, colour, phase, polarisation or direction of light arriving from an independent light source, e.g. switching, gating or modulating; Non-linear optics for the control of the intensity, phase, polarisation or colour based on liquid crystals, e.g. single liquid crystal display cells
-
- G—PHYSICS
- G02—OPTICS
- G02F—OPTICAL DEVICES OR ARRANGEMENTS FOR THE CONTROL OF LIGHT BY MODIFICATION OF THE OPTICAL PROPERTIES OF THE MEDIA OF THE ELEMENTS INVOLVED THEREIN; NON-LINEAR OPTICS; FREQUENCY-CHANGING OF LIGHT; OPTICAL LOGIC ELEMENTS; OPTICAL ANALOGUE/DIGITAL CONVERTERS
- G02F1/00—Devices or arrangements for the control of the intensity, colour, phase, polarisation or direction of light arriving from an independent light source, e.g. switching, gating or modulating; Non-linear optics
- G02F1/01—Devices or arrangements for the control of the intensity, colour, phase, polarisation or direction of light arriving from an independent light source, e.g. switching, gating or modulating; Non-linear optics for the control of the intensity, phase, polarisation or colour
- G02F1/13—Devices or arrangements for the control of the intensity, colour, phase, polarisation or direction of light arriving from an independent light source, e.g. switching, gating or modulating; Non-linear optics for the control of the intensity, phase, polarisation or colour based on liquid crystals, e.g. single liquid crystal display cells
- G02F1/133—Constructional arrangements; Operation of liquid crystal cells; Circuit arrangements
- G02F1/1333—Constructional arrangements; Manufacturing methods
- G02F1/1337—Surface-induced orientation of the liquid crystal molecules, e.g. by alignment layers
Landscapes
- Physics & Mathematics (AREA)
- General Physics & Mathematics (AREA)
- Chemical & Material Sciences (AREA)
- Nonlinear Science (AREA)
- Analytical Chemistry (AREA)
- Immunology (AREA)
- General Health & Medical Sciences (AREA)
- Biochemistry (AREA)
- Life Sciences & Earth Sciences (AREA)
- Pathology (AREA)
- Crystallography & Structural Chemistry (AREA)
- Health & Medical Sciences (AREA)
- Optics & Photonics (AREA)
- Spectroscopy & Molecular Physics (AREA)
- Mathematical Physics (AREA)
- Investigating Or Analysing Materials By Optical Means (AREA)
- Polarising Elements (AREA)
Abstract
差動SMP法を発展させ、異なる三つの偏光状態における複素振幅反射率比の位相差及び大きさを短時間で測定できるようにする。
【手段】
A〜D中、三つの偏光状態の合計12種の光強度に基づき位相差及び大きさを測定する。
(A)P±αAの偏光について偏光間位相をγA1及びγA2に調整した合計4種類の偏光を入射させたときの反射光に含まれる合計4種類のS偏光;(B)P偏光を入射させたときに、反射光のP偏光とS偏光の偏光間位相差をγB1及びγB2に調整した偏光のうち、S±αBに振動する合計4種類の偏光;(C)S±αCの偏光について偏光間位相をγC1及びγC2に調整した合計4種類の偏光を入射させたときの反射光に含まれる合計4種類のP偏光;(D)S偏光を入射させたときに、反射光のP偏光とS偏光の偏光間位相差をγD1及びγD2に調整した偏光のうち、P±αDに振動する合計4種類の偏光。
【選択図】図1
Description
この配向膜が液晶分子を整列させることができるのは、一軸性光学的異方性を有しているからであり、配向膜がその全面にわたって均一な一軸性光学的異方性を有していれば液晶ディスプレイに欠陥を生じにくく、光学的異方性の不均一な部分が存在すれば液晶分子の方向が乱れるため液晶ディスプレイが不良品となる。
すなわち、配向膜の品質はそのまま液晶ディスプレイの品質に影響し、配向膜に欠陥があれば液晶分子の方向性が乱れるため、液晶ディスプレイにも欠陥を生ずることになる。
このため従来より、配向膜の検査方法として、一般化エリプソメトリ法(非特許文献1)が知られている。
R. M. A. Azzam and N.M. Bashara: Ellipsometryand Polarized Light (North-Holland, Amsterdam, 1986)
ここで、Rχ(χは偏光状態)は、それぞれ測定点に照射される入射光の複素振幅反射率によって定義され、具体的には、P偏光を入射したときのP偏光の複素振幅反射率rpp、S偏光を入射したときのS偏光の複素振幅反射率rss、S偏光を入射したときのP偏光の複素振幅反射率rps、P偏光を入射したときのS偏光の複素振幅反射率rspの比よって定義される。
そして、入射光の測定方位を測定点に立てられた法線の周りに360度回転させて測定したときに、複素振幅反射率比の測定方位方向依存性を測定できるため、詳細に配向膜の分子配向を評価できるものの、測定に時間がかかるという問題がある。また、膜厚が薄い場合、異方性の検出能が低いため、異方性そのものを検出できない場合がある。
そして、測定方位に応じた複素振幅反射率比の位相差及び大きさを測定することさえできれば、従来公知の手法により、その測定結果に基づき合計7つの全ての光学異方性パラメータ(配向方位、光学軸の傾斜角、常光屈折率、異常光屈折率、配向層膜厚、配向層屈折率、無配向層膜厚)を測定することも可能となる。
前記入射光を偏光化して予め設定された測定方位で測定点に照射させて測定する際に、測定対象面を基準としてこれに直交する面内で振動する直線偏光をP偏光とし、このP偏光に直交する方向に振動する直線偏光をS偏光としたときに、以下のA〜Dの四つの偏光状態のうち、少なくとも三つの偏光状態で各4種類ずつ合計12種類の反射光について測定された光強度データに基づき、予め設定したプログラムに従い、各偏光状態ごとに付与する偏光間位相差の等しい反射光強度データ同士の二つの差から二つの光強度差データを算出し、これら二つの光強度差データを除することによりその入射光の測定方位における複素振幅反射率比の位相差Δχを算出することを特徴としている。
A:P偏光の振動方向に対して±αA(0<αA<π/2)の方向に振動する一対の偏光
について、夫々のP偏光成分とS偏光成分の偏光間位相差をγA1及びγA2に調整
した合計4種類の偏光を入射光として測定対象面で反射させたときに、各反射光に含
まれる合計4種類のS偏光。
B:P偏光を入射光として測定対象面で反射させたときに、反射光のP偏光成分とS偏光
成分の偏光間位相差をγB1及びγB2に調整した2種類の光に含まれる偏光のうち
、S偏光の振動方向に対して±αB(0<αB<π/2)の方向に振動する合計4種
類の偏光。
C:S偏光の振動方向に対して±αC(0<αC<π/2)の方向に振動する一対の偏光
について、夫々のP偏光成分とS偏光成分の偏光間位相差をγC1及びγC2に調整
した合計4種類の偏光を入射光として測定対象面で反射させたときに、各反射光に含
まれる合計4種類のP偏光。
D:S偏光を入射光として測定対象面で反射させたときに、反射光のP偏光成分とS偏光
成分の偏光間位相差をγD1及びγD2に調整した2種類の光に含まれる偏光のうち
、P偏光の振動方向に対して±αD(0<αD<π/2)の方向に振動する合計4種
類の偏光。
前記発光光学系には、単色光を照射する光源と、偏光方向の調整が可能な偏光子と、位相の調整が可能な発光側位相補償子がこの順で介装されると共に、
前記受光光学系には、位相の調整が可能な受光側位相補償子と、偏光方向の調整が可能な検光子と、検光子を透過した偏光の光強度を測定する光センサがこの順で介装され、
測定対象面を基準としてこれに直交する面内で振動する直線偏光をP偏光とし、これに直交する方向に振動する直線偏光をS偏光としたときに、前記演算装置では、四つの偏光状態A〜Dのうち少なくとも三つの偏光状態の各4種類ずつ合計12種類の反射光について測定された光強度データに基づき、予め設定したプログラムに従い、各偏光状態ごとに付与する偏光間位相差の等しい反射光強度データ同士の二つの差から二つの光強度差データを算出し、これら二つの光強度差データを除することによりその入射光の測定方位における複素振幅反射率比の位相差Δχを算出することを特徴としている。
ここで、請求項5,7の発明のように、光強度差データと光強度和データの比を算出すれば、その測定方位方向について夫々の偏光状態におけるその複素振幅反射率比の大きさ|Rχ|(χは偏光状態)を測定することができる。
ここで、請求項6,8の発明のように、光強度差データと光強度和データの比を算出すれば、変化する測定方位方向について夫々の偏光状態におけるその複素振幅反射率比の大きさ|Rχ|(χは偏光状態)を測定できるので、複素振幅反射率比の大きさを測定方位の関数として測定することができる。
前記入射光を偏光化して予め設定された測定方位で測定点に照射させて測定する際に、測定対象面を基準としてこれに直交する面内で振動する直線偏光をP偏光とし、このP偏光に直交する方向に振動する直線偏光をS偏光としたときに、以下のA〜Dの四つの偏光状態のうち、少なくとも三つの偏光状態で各4種類ずつ合計12種類の反射光について測定された光強度データに基づき、予め設定したプログラムに従い、各偏光状態ごとに付与する偏光間位相差の等しい反射光強度データ同士の二つの差から二つの光強度差データを算出し、これら二つの光強度差データを除することによりその入射光の測定方位における複素振幅反射率比の位相差Δχを算出することとした。
A:P偏光の振動方向に対して±αA(0<αA<π/2)の方向に振動する一対の偏光
について、夫々のP偏光成分とS偏光成分の偏光間位相差をγA1及びγA2に調整
した合計4種類の偏光を入射光として測定対象面で反射させたときに、各反射光に含
まれる合計4種類のS偏光。
B:P偏光を入射光として測定対象面で反射させたときに、反射光のP偏光成分とS偏光
成分の偏光間位相差をγB1及びγB2に調整した2種類の光に含まれる偏光のうち
、S偏光の振動方向に対して±αB(0<αB<π/2)の方向に振動する合計4種
類の偏光。
C:S偏光の振動方向に対して±αC(0<αC<π/2)の方向に振動する一対の偏光
について、夫々のP偏光成分とS偏光成分の偏光間位相差をγC1及びγC2に調整
した合計4種類の偏光を入射光として測定対象面で反射させたときに、各反射光に含
まれる合計4種類のP偏光。
D:S偏光を入射光として測定対象面で反射させたときに、反射光のP偏光成分とS偏光
成分の偏光間位相差をγD1及びγD2に調整した2種類の光に含まれる偏光のうち
、P偏光の振動方向に対して±αD(0<αD<π/2)の方向に振動する合計4種
類の偏光。
偏光の反射を考えると、複素振幅反射率rχ(χは偏光状態)は、
rχ=|rχ|exp[iδχ]
rPP:P偏光を入射したときの反射光のP偏光の複素振幅反射率
rSP:P偏光を入射したときの反射光のS偏光の複素振幅反射率
rPS:S偏光を入射したときの反射光のP偏光の複素振幅反射率
rSS:S偏光を入射したときの反射光のS偏光の複素振幅反射率
δPP:入射光のP偏光の位相に対する反射光のP偏光の位相の跳び
δSP:入射光のP偏光の位相に対する反射光のS偏光の位相の跳び
δPS:入射光のS偏光の位相に対する反射光のP偏光の位相の跳び
δSS:入射光のS偏光の位相に対する反射光のS偏光の位相の跳び
で表される。
Rχ=rχ/rSS
=(|rχ|exp[iδχ])/(|rSS|exp[iδSS])
=(|rχ|/|rSS|)exp[i(δχ−δSS)]
=|Rχ|exp[iΔχ]
となり、複素振幅反射率比Rχの位相差Δχは、
Δχ=δχ−δSS
で表される。
[偏光状態A]
P偏光の振動方向に対して±αA(0<αA<π/2)の方向に振動する一対の偏光について、夫々のP偏光成分とS偏光成分の偏光間位相差をγA1及びγA2に調整した合計4種類の偏光を入射光として測定対象面で反射させたときの反射光の光強度はジョーンズ行列を用いて以下で表せる。
θp:偏光子の振れ角
θA:検光子の振れ角
入射光の偏光の振れ角をθとすると光強度IA(θ,γ)は次式で算出される。
測定1:[γ、θp、θA]=[γA1、+αA、90°]
測定2:[γ、θp、θA]=[γA1、−αA、90°]
測定3:[γ、θp、θA]=[γA2、+αA、90°]
測定4:[γ、θp、θA]=[γA1、−αA、90°]
上式にこの値を代入して、
IA11=IA(αA,γA1)
IA12=IA(αA,γA2)
IA21=IA(−αA,γA1)
IA22=IA(−αA,γA2)
をそれぞれ求め、その差分、和分をとると、これらは以下で与えられる。
DIA2:IA12とIA22の差
SIA:IA11とIA21、または、IA12とIA22の和
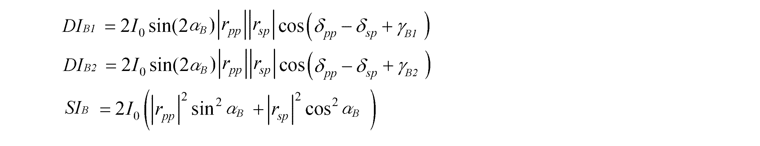
P偏光を入射光として測定対象面で反射させたときに、反射光のP偏光成分とS偏光成分の偏光間位相差をγB1及びγB2に調整した2種類の光に含まれる偏光のうち、S偏光の振動方向に対して±αB(0<αB<π/2)の方向に振動する合計4種類の偏光の光強度は次式で算出される。
測定1:[γ、θp、θA]=[γB1、0°、90°+αB]
測定2:[γ、θp、θA]=[γB1、0°、90°−αB]
測定3:[γ、θp、θA]=[γB2、0°、90°+αB]
測定4:[γ、θp、θA]=[γB1、0°、90°−αB]
上式にこの値を代入して、
IB11=IB(αB,γB1)
IB12=IB(αB,γB2)
IB21=IB(−αB,γB1)
IB22=IB(−αB,γB2)
をそれぞれ求め、その差分、和分をとると、これらは以下で与えられる。
DIB2:IB12とIB22の差
SIB:IB11とIB21、または、IB12とIB22の和
S偏光の振動方向に対して±αC(0<αC<π/2)の方向に振動する一対の偏光について、夫々のP偏光成分とS偏光成分の偏光間位相差をγC1及びγC2に調整した合計4種類の偏光を入射光として測定対象面で反射させたときの反射光の光強度は次式で表せる。
測定1:[γ、θp、θA]=[γC1、90°+αC、0°
測定2:[γ、θp、θA]=[γC1、90°−αC、0°]
測定3:[γ、θp、θA]=[γC2、90°+αC、0°]
測定4:[γ、θp、θA]=[γC1、90°−αC、0°]
上式にこの値を代入して、
IC11=IC(αC,γC1)
IC12=IC(αC,γC2)
IC21=IC(−αC,γC1)
IC22=IC(−αC,γC2)
をそれぞれ求め、その差分、和分をとると、これらは以下で与えられる。
DIC2:IC12とIC22の差
SIC:IC11とIC21、または、IC12とIC22の和
S偏光を入射光として測定対象面で反射させたときに、反射光のP偏光成分とS偏光成分の偏光間位相差をγD1及びγD2に調整した2種類の光に含まれる偏光のうち、P偏光の振動方向に対して±αD(0<αD<π/2)の方向に振動する合計4種類の偏光の光強度は下式で表される。
測定1:[γ、θp、θA]=[γD1、90°、0°+αD]
測定2:[γ、θp、θA]=[γD1、90°、0°−αD]
測定3:[γ、θp、θA]=[γD2、90°、0°+αD]
測定4:[γ、θp、θA]=[γD1、90°、0°−αD]
上式にこの値を代入して、
ID11=ID(αD,γD1)
ID12=ID(αD,γD2)
ID21=ID(−αD,γD1)
ID22=ID(−αD,γD2)
をそれぞれ求め、その差分、和分をとると、これらは以下で与えられる。
[偏光状態A]
(1)差の比
DIA1/DIA2=cos(ΔSP+γA1)/cos(ΔSP+γA2)
(2)差と和の比
DIA1/SIA =sin(2αA)|RSP|cos(ΔSP+γA1)
/{2(|RSP|2cos2αA+sin2αA)}
[偏光状態B]
(1)差の比
DIB1/DIB2=cos(ΔPP−△SP+γB1)/cos(ΔPP−△SP+γB2)
(2)差と和の比
DIB1/SIB =sin(2αB) |RPP||RSP|cos(ΔPP−△SP+γB1)
/{2(|RPP|2cos2αB+|RSP|2sin2αB)}
[偏光状態C]
(1)差の比
DIC1/DIC2=cos(ΔPP−△PS+γC1)/cos(ΔPP−△PS+γC2)
(2)差と和の比
DIC1/SIC =sin(2αC)|RPP||RPS|cos(ΔPP−ΔPS+γC1))
/{2(|RPP|2cos2αC+|RPS|2sin2αC)}
[偏光状態D]
(1)差の比
DID1/DID2=cos(ΔPS+γD1)/cos(ΔPS+γD2)
(2)差と和の比
DID1/SID =sin(2αD)|RPS|cos(ΔPS+γD1)
/{2(|RPS|2cos2αD+sin2αD)}
そして、三つの複素振幅反射率比の位相差ΔPP、ΔSP、ΔPSと、三つの複素振幅反射率の大きさ|RPP|、|RSP|、|RPS|が未知数であるから、各値を代入することにより、これらの未知数を算出することができる。
この場合、複素振幅反射率比の位相差Δχ及び大きさ|Rχ|は、配向方位、光学軸の傾斜角、常光屈折率、異常光屈折率、配向層膜厚、配向層屈折率、無配向層膜厚の七つのパラメータの関数として表すことができるので、これら六つの値に基づき、コンピュータを用いてフィッティングを行う従来公知の手法により、前記七つの光学異方性パラメータを求めることができる。
なお、ステージ2の上方にはあおり量検出のためのオートコリメータ6が配され、ステージ2はあおり調整テーブル7、高さ調整テーブル8、回転テーブル9に取り付けられている。
本例では、光源11として発信波長532nmの半導体励起SHGレーザを用い、偏光子として消光比10−6のグラントムソンプリズムを用い、位相補償子13としてバビネソレイユ補償板を用いた。
本例では、位相補償子21としてバビネソレイユ補償板を用い、検光子22として消光比10−6のグラントムソンプリズムを用い、光センサ23として光電子増倍管を用い、この光センサ23で検出された光強度がコンピュータ30に組み込まれたA−D変換器を用いてデジタルデータ化されて読み取られるようになっている。
この場合、ステージ2を固定して、発光光学系10及び受光光学系20を回転可能に配する場合であってもよく、また、例えば複数対の発光光学系10及び受光光学系20を等角的に放射状に配する場合であっても良い。
さらに、複素振幅反射率比の位相差Δχ及び大きさ|Rχ|を特定の測定方位についてのみ測定する場合は、発光光学系10及び受光光学系20をステージ2に対して相対的に回転可能に配したり、放射状に複数対設けるなどの測定方位可変機構は必要ない。
A:P偏光の振動方向に対して±αA(0<αA<π/2)の方向に振動する一対の偏光
について、夫々のP偏光成分とS偏光成分の偏光間位相差をγA1及びγA2に調整
した合計4種類の偏光を入射光として測定対象面で反射させたときに、各反射光に含
まれる合計4種類のS偏光。
B:P偏光を入射光として測定対象面で反射させたときに、反射光のP偏光成分とS偏光
成分の偏光間位相差をγB1及びγB2に調整した2種類の光に含まれる偏光のうち
、S偏光の振動方向に対して±αB(0<αB<π/2)の方向に振動する合計4種
類の偏光。
C:S偏光の振動方向に対して±αC(0<αC<π/2)の方向に振動する一対の偏光
について、夫々のP偏光成分とS偏光成分の偏光間位相差をγC1及びγC2に調整
した合計4種類の偏光を入射光として測定対象面で反射させたときに、各反射光に含
まれる合計4種類のP偏光。
D:S偏光を入射光として測定対象面で反射させたときに、反射光のP偏光成分とS偏光
成分の偏光間位相差をγD1及びγD2に調整した2種類の光に含まれる偏光のうち
、P偏光の振動方向に対して±αD(0<αD<π/2)の方向に振動する合計4種
類の偏光。
これにより、偏光子12、発光側位相補償子13、受光側位相補償子21、検光子22を調整して、偏光状態A〜Dに設定することができ、また、夫々の偏光状態A〜Dにおいて光センサ23で光強度を検出すると同時に、その検出時点における入射光の測定方位が入力されるようになっている。
まず、ステップSTP1は初期設定を行う。
偏光状態A〜Dのうちどの偏光状態で測定するか三つの偏光状態を設定すると共に、ここで設定した偏光状態に応じて、偏光子13により設定されるP偏光及びS偏光に対する振れ角αA及びαCと、検光子14により設定されるS偏光及びP偏光に対する振れ角αB及びαDを設定し、発光側位相補償子13及び受光側位相補償子21で設定される位相差を設定する。
本例では、偏光状態A〜Cが設定され、偏光子13又は検光子による振れ角が
αA=αB=αC=αD=10°
に設定され、発光側位相補償子13及び受光側位相補償子21で付与される偏光間位相差が、
γA1=γB1=γC1=γD1=0°
γA2=γB2=γC2=γD2=90°
に設定される。
まず、ステップSTP4では、偏光状態Aが選択されているか否かが判断され、選択されているときはサブルーチンAの処理を行い、選択されていないときあるいはその処理が終了した時点でステップSTP5に移行する。
ステップSTP5では、偏光状態Bが選択されているか否かが判断され、選択されているときはサブルーチンBの処理を行い、選択されていないときあるいはその処理が終了した時点でステップSTP6に移行する。
ステップSTP6では、偏光状態Cが選択されているか否かが判断され、選択されているときはサブルーチンCの処理を行い、選択されていないときあるいはその処理が終了した時点でステップSTP7に移行する。
ステップSTP7では、偏光状態Dが選択されているか否かが判断され、選択されているときはサブルーチンDの処理を行い、選択されていないときあるいはその処理が終了した時点でステップSTP8に移行する。
図3(a)に示すサブルーチンAのステップSTP11では、各駆動機構12d、13d、21d、22dを起動して、[θP、λin、λout、θA]=[0+αA、0、0、90]となるように発光光学系10及び受光光学系20を調整し、ステップ12でステージ2を360°回転させながら所定角度間隔ごとに光強度IA11を読み込む。
ステップSTP13で、[θP、λin、λout、θA]=[0−αA、0、0、90]となるように発光光学系10及び受光光学系20を調整し、ステップSTP14でステージ2を360°回転させながら所定角度間隔ごとに光強度IA21を読み込む。
ステップSTP15で、[θP、λin、λout、θA]=[0+αA、90、0、90]となるように発光光学系10及び受光光学系20を調整し、ステップSTP16でステージ2を360°回転させながら所定角度間隔ごとに光強度IA12を読み込む。
ステップSTP17で、[θP、λin、λout、θA]=[0−αA、90、0、90]となるように発光光学系10及び受光光学系20を調整し、ステップSTP18でステージ2を360°回転させながら所定角度間隔ごとに光強度IA22を読み込む。
ステップSTP23で、[θP、λin、λout、θA]=[0、0、0、90−αB]として、ステップSTP24で光強度IB21を読み込む。
ステップSTP25で、[θP、λin、λout、θA]=[0、0、90、90+αB]として、ステップSTP26で光強度IB12を読み込む。
ステップSTP27で、[θP、λin、λout、θA]=[0、90、0、90−αB]として、ステップSTP28で光強度IB22を読み込む。
ステップSTP23では、[θP、λin、λout、θA]=[90−αC、0、0、0]として、ステップSTP23で光強度IC21を読み込む。
ステップSTP25では、[θP、λin、λout、θA]=[90+αC、90、0、0]]として、ステップSTP26で光強度IC12を読み込む。
ステップSTP27では、[θP、λin、λout、θA]=[90−αC、90、0、0]]として、ステップSTP28で光強度IC22を読み込む。
ステップSTP43では、[θP、λin、λout、θA]=[0−αB、0、0、90]として、ステップSTP44で光強度ID21を読み込む。
ステップSTP45では、[θP、λin、λout、θA]=[0+αB、90、0、90]として、ステップSTP46で光強度ID12を読み込む。
ステップSTP47では、[θP、λin、λout、θA]=[0−αB、90、0、90]として、ステップSTP48で光強度ID22を読み込む。
ステップSTP8では各偏光状態A〜Dで測定された光強度に基づき、偏光状態ごとに位相の等しい反射光強度データ同士の二つの差から二つの測定方位−光強度差データを算出し、位相の等しい反射光強度データの和を測定方位−光強度和データとして算出する。
図4(a)〜(c)は,偏光状態Aにおける反射光強度差DIA1=IA11−IA21、反射光強度差DIA2=IA12−IA22、反射光強度和SIA=IA11+IA21の測定結果である。
図5(a)〜(c)は,偏光状態Bにおける反射光強度差DIB1=IB11−IB21、反射光強度差DIB2=IB12−IB22、反射光強度和SIB=IB11+IB21の測定結果である。
図6(a)〜(c)は,偏光状態Cにおける反射光強度差DIC1=IC11−IC21、反射光強度差DIC2=IC12−IC22、反射光強度和SIC=IC11+IC21の測定結果である。
図7(a)〜(c)は,偏光状態Dにおける反射光強度差DID1=ID11−ID21、反射光強度差DID2=ID12−ID22、反射光強度和SID=ID11+ID21の測定結果である。
そして、ステップSTP9では、偏光状態ごとに二つの光強度差データの比が算出されると共に、光強度差データの一方と光強度和データの比が算出される。
このとき、光強度差データの比を表す理論式と、光強度差データの一方と光強度和データの比を表す理論式は、ステップSTP1で設定したパラメータより、次式に書き換えられる。
[偏光状態A]
(1)差の比
DIA1/DIA2=cot(ΔSP)
(2)差と和の比
DIA1/SIA =cos(ΔSP)/{tan10/|RSP|+|RSP|/tan10}
DIA1、DIA2、SIAは測定値から算出できる既知の値であるので、これらの式からΔSP及び|RSP|が算出される。
[偏光状態B]
(1)差の比
DIB1/DIB2=cot(ΔPP−ΔSP)
(2)差と和の比
DIB1/SIB =cos(ΔPP−ΔSP)
/{|RSP|tan10/|RPP|+|RPP|/tan10}
DIB1、DIB2、SIBは測定値から算出できる既知の値、ΔSP及び|RSP|は偏光状態Aの測定結果により既知であるので、これらの式からΔPP及び|RPP|が算出される。
[偏光状態C]
(1)差の比
DIC1/DIC2=cot(ΔPP−ΔPS)
(2)差と和の比
DIC1/SIC =cos(ΔPP−ΔPS)
/{|RSP|tan10/|RPP|+|RPP|/tan10}
DIC1、DIC2、SICは測定値から算出できる既知の値、ΔPP及び|RPP|は偏光状態Bの測定結果により既知であるので、これらの式からΔPS及び|RPS|が算出される。
[偏光状態D]
(1)差の比
DID1/DID2=cot(ΔPS)
(2)差と和の比
DID1/SID =cos(ΔPS)/{tan10/|RPS|+|RPS|/tan10}
DID1、DID2、SIDは測定値から算出できる既知の値であるので、これらの式からΔPS及び|RPS|が算出される。
また同様に、偏光状態A〜Dから、複素振幅反射率比の三種類の大きさ|RPP|、|RSP|、|RPS|に関しこれらを未知数とする合計4種類の光強度差データの比の理論式が成り立つので、このうち三種類を用いることにより、位相差ΔPP、ΔSP、ΔPSを算出することができ、したがって、三種類の偏光状態について反射光強度を測定すれば足りる。
図9(a)〜(c)が算出された複素振幅反射率比の大きさ|RPP|、|RSP|、|RPS|を表すグラフである。
2 ステージ
3 サンプルの表面(測定対象面)
4 測定点
5 法線
10 発光光学系
11 光源
12 偏光子
13 発光側位相補償子
20 受光光学系
21 受光側位相補償子
22 検光子
23 光センサ
30 コンピュータ(演算装置)
Claims (8)
- 入射光を測定対象面上の測定点へ所定の測定方位から一定入射角度で照射し、その反射光に含まれる特定の方向の偏光成分の光強度を測定することにより得られた光強度データに基づき光学異方性パラメータとなる複素振幅反射率比の位相差Δχ(χは偏光状態)を測定する光学異方性パラメータ測定方法において、
前記入射光を偏光化して予め設定された測定方位で測定点に照射させて測定する際に、測定対象面を基準としてこれに直交する面内で振動する直線偏光をP偏光とし、このP偏光に直交する方向に振動する直線偏光をS偏光としたときに、以下のA〜Dの四つの偏光状態のうち、少なくとも三つの偏光状態で各4種類ずつ合計12種類の反射光について測定された光強度データに基づき、予め設定したプログラムに従い、各偏光状態ごとに付与する偏光間位相差の等しい反射光強度データ同士の二つの差から二つの光強度差データを算出し、これら二つの光強度差データを除することによりその入射光の測定方位における複素振幅反射率比の位相差Δχを算出することを特徴とする光学異方性パラメータ測定方法。
A:P偏光の振動方向に対して±αA(0<αA<π/2)の方向に振動する一対の偏光
について、夫々のP偏光成分とS偏光成分の偏光間位相差をγA1及びγA2に調整
した合計4種類の偏光を入射光として測定対象面で反射させたときに、各反射光に含
まれる合計4種類のS偏光。
B:P偏光を入射光として測定対象面で反射させたときに、反射光のP偏光成分とS偏光
成分の偏光間位相差をγB1及びγB2に調整した2種類の光に含まれる偏光のうち
、S偏光の振動方向に対して±αB(0<αB<π/2)の方向に振動する合計4種
類の偏光。
C:S偏光の振動方向に対して±αC(0<αC<π/2)の方向に振動する一対の偏光
について、夫々のP偏光成分とS偏光成分の偏光間位相差をγC1及びγC2に調整
した合計4種類の偏光を入射光として測定対象面で反射させたときに、各反射光に含
まれる合計4種類のP偏光。
D:S偏光を入射光として測定対象面で反射させたときに、反射光のP偏光成分とS偏光
成分の偏光間位相差をγD1及びγD2に調整した2種類の光に含まれる偏光のうち
、P偏光の振動方向に対して±αD(0<αD<π/2)の方向に振動する合計4種
類の偏光。 - 入射光を測定対象面上の測定点へ所定の測定方位から一定入射角度で照射し、その反射光に含まれる特定の方向の偏光成分の光強度を測定することにより得られた光強度データに基づき光学異方性パラメータとなる複素振幅反射率比の位相差Δχ(χは偏光状態)を測定する光学異方性パラメータ測定方法において、
測定対象面を基準としてこれに直交する面内で振動する直線偏光をP偏光とし、このP偏光に直交する方向に振動する直線偏光をS偏光としたときに、前記測定方位を測定点に立てられた法線の回りに変化させながら、以下のA〜Dの四つの偏光状態のうち、少なくとも三つの偏光状態で各4種類ずつ合計12種類の反射光について測定された測定方位−光強度データに基づき、予め設定したプログラムに従い、各偏光状態ごとに付与する偏光間位相差の等しい反射光強度データ同士の差から二つの測定方位−光強度差データを算出し、これら二つの光強度差データの比より入射光の測定方位に応じた複素振幅反射率比の位相差Δχを算出することを特徴とする光学異方性パラメータ測定方法。
A:P偏光の振動方向に対して±αA(0<αA<π/2)の方向に振動する一対の偏光
について、夫々のP偏光成分とS偏光成分の偏光間位相差をγA1及びγA2に調整
した合計4種類の偏光を入射光として測定対象面で反射させたときに、各反射光に含
まれる合計4種類のS偏光。
B:P偏光を入射光として測定対象面で反射させたときに、反射光のP偏光成分とS偏光
成分の偏光間位相差をγB1及びγB2に調整した2種類の光に含まれる偏光のうち
、S偏光の振動方向に対して±αB(0<αB<π/2)の方向に振動する合計4種
類の偏光。
C:S偏光の振動方向に対して±αC(0<αC<π/2)の方向に振動する一対の偏光
について、夫々のP偏光成分とS偏光成分の偏光間位相差をγC1及びγC2に調整
した合計4種類の偏光を入射光として測定対象面で反射させたときに、各反射光に含
まれる合計4種類のP偏光。
D:S偏光を入射光として測定対象面で反射させたときに、反射光のP偏光成分とS偏光
成分の偏光間位相差をγD1及びγD2に調整した2種類の光に含まれる偏光のうち
、P偏光の振動方向に対して±αD(0<αD<π/2)の方向に振動する合計4種
類の偏光。 - 測定対象面上の測定点に対して所定の偏光状態に偏光化された光を所定の測定方位から一定入射角度で照射する発光光学系と、その反射光を所定の偏光状態に偏光化した光の光強度を検出する受光光学系と、測定された光強度に基づき光学異方性パラメータとなる複素振幅反射率比の位相差Δχ(χは偏光状態)を算出する演算装置を備えた光学異方性パラメータ測定装置において、
前記発光光学系には、単色光を照射する光源と、偏光方向の調整が可能な偏光子と、位相調整が可能な発光側位相補償子がこの順で介装されると共に、
前記受光光学系には、位相の調整が可能な受光側位相補償子と、偏光方向の調整が可能な検光子と、検光子を透過した偏光の光強度を測定する光センサがこの順で介装され、
測定対象面を基準としてこれに直交する面内で振動する直線偏光をP偏光とし、これに直交する方向に振動する直線偏光をS偏光としたときに、前記演算装置で、以下のA〜Dの四つの偏光状態のうち少なくとも三つの偏光状態の各4種類ずつ合計12種類の反射光について測定された光強度データに基づき、予め設定したプログラムに従い、各偏光状態ごとに付与する偏光間位相差の等しい反射光強度データ同士の二つの差から二つの光強度差データを算出し、これら二つの光強度差データの比よりその入射光の測定方位における複素振幅反射率比の位相差Δχを算出することを特徴とする光学異方性パラメータ測定装置。
A:P偏光の振動方向に対して±αA(0<αA<π/2)の方向に振動する一対の偏光
について、夫々のP偏光成分とS偏光成分の偏光間位相差をγA1及びγA2に調整
した合計4種類の偏光を入射光として測定対象面で反射させたときに、各反射光に含
まれる合計4種類のS偏光。
B:P偏光を入射光として測定対象面で反射させたときに、反射光のP偏光成分とS偏光
成分の偏光間位相差をγB1及びγB2に調整した2種類の光に含まれる偏光のうち
、S偏光の振動方向に対して±αB(0<αB<π/2)の方向に振動する合計4種
類の偏光。
C:S偏光の振動方向に対して±αC(0<αC<π/2)の方向に振動する一対の偏光
について、夫々のP偏光成分とS偏光成分の偏光間位相差をγC1及びγC2に調整
した合計4種類の偏光を入射光として測定対象面で反射させたときに、各反射光に含
まれる合計4種類のP偏光。
D:S偏光を入射光として測定対象面で反射させたときに、反射光のP偏光成分とS偏光
成分の偏光間位相差をγD1及びγD2に調整した2種類の光に含まれる偏光のうち
、P偏光の振動方向に対して±αD(0<αD<π/2)の方向に振動する合計4種
類の偏光。 - 測定対象面上の測定点に対して所定の偏光状態に偏光化された光を所定の測定方位から一定入射角度で照射する発光光学系と、その反射光を所定の偏光状態に偏光化した光の光強度を検出する受光光学系が、前記測定点に立てられた法線の回りに相対的に回転可能にあるいは放射状に配されて、入射光の測定方位に応じた光強度に基づき光学異方性パラメータとなる複素振幅反射率比の位相差Δχ(χは偏光状態)を算出する演算装置を備えた光学異方性パラメータ測定装置において、
前記発光光学系には、単色光を照射する光源と、偏光方向の調整が可能な偏光子と、位相調整が可能な発光側位相補償子がこの順で介装されると共に、
前記受光光学系には、位相の調整が可能な受光側位相補償子と、偏光方向の調整が可能な検光子と、検光子を透過した偏光の光強度を測定する光センサがこの順で介装され、
測定対象面を基準としてこれに直交する面内で振動する直線偏光をP偏光とし、これに直交する方向に振動する直線偏光をS偏光としたときに、測定方位を変化させながら、以下のA〜Dの四つの偏光状態のうち少なくとも三つの偏光状態の各4種類ずつ合計12種類の反射光について測定された測定方位−光強度データに基づき、前記演算装置で、予め設定したプログラムに従って、各偏光状態ごとに付与する偏光間位相差の等しい反射光強度データ同士の二つの差から二つの測定方位−光強度差データを算出し、これら二つの光強度差データの比より入射光の測定方位に応じた複素振幅反射率比の位相差Δχを算出することを特徴とする光学異方性パラメータ測定装置。
A:P偏光の振動方向に対して±αA(0<αA<π/2)の方向に振動する一対の偏光
について、夫々のP偏光成分とS偏光成分の偏光間位相差をγA1及びγA2に調整
した合計4種類の偏光を入射光として測定対象面で反射させたときに、各反射光に含
まれる合計4種類のS偏光。
B:P偏光を入射光として測定対象面で反射させたときに、反射光のP偏光成分とS偏光
成分の偏光間位相差をγB1及びγB2に調整した2種類の光に含まれる偏光のうち
、S偏光の振動方向に対して±αB(0<αB<π/2)の方向に振動する合計4種
類の偏光。
C:S偏光の振動方向に対して±αC(0<αC<π/2)の方向に振動する一対の偏光
について、夫々のP偏光成分とS偏光成分の偏光間位相差をγC1及びγC2に調整
した合計4種類の偏光を入射光として測定対象面で反射させたときに、各反射光に含
まれる合計4種類のP偏光。
D:S偏光を入射光として測定対象面で反射させたときに、反射光のP偏光成分とS偏光
成分の偏光間位相差をγD1及びγD2に調整した2種類の光に含まれる偏光のうち
、P偏光の振動方向に対して±αD(0<αD<π/2)の方向に振動する合計4種
類の偏光。 - 前記三つの偏光状態で各4種類ずつ合計12種類の反射光について測定された光強度データに基づき、予め設定したプログラムに従い、各偏光状態ごとに付与する偏光間位相差の等しい反射光強度データの和を光強度和データとして算出し、前記光強度差データの一方と光強度和データの比よりその入射光の測定方位における複素振幅反射率比の大きさ|Rχ|(χは偏光状態)を算出する請求項1記載の光学異方性パラメータ測定方法。
- 前記三つの偏光状態で各4種類ずつ合計12種類の反射光について測定された測定方位−光強度データに基づき、予め設定したプログラムに従い、各偏光状態ごとに付与する偏光間位相差の等しい反射光強度データの和を測定方位−光強度和データとして算出し、前記光強度差データの一方と光強度和データの比より入射光の測定方位に応じた複素振幅反射率比の大きさ|Rχ|(χは偏光状態)を算出する請求項2記載の光学異方性パラメータ測定方法。
- 前記演算装置で、三つの偏光状態の各4種類ずつ合計12種類の反射光について測定された光強度データに基づき、予め設定したプログラムに従い、各偏光状態ごとに付与する偏光間位相差の等しい反射光強度データの和を光強度和データとして算出し、前記光強度差データの一方と光強度和データの比よりその入射光の測定方位における複素振幅反射率比の大きさ|Rχ|(χは偏光状態)を算出する請求項3記載の光学異方性パラメータ測定装置。
- 前記演算装置で、三つの偏光状態の各4種類ずつ合計12種類の反射光について測定された測定方位−光強度データに基づき、予め設定したプログラムに従い、各偏光状態ごとに付与する偏光間位相差の等しい反射光強度データの和を測定方位−光強度和データとして算出し、前記光強度差データの一方と光強度和データの比より入射光の測定方位に応じた複素振幅反射率比の大きさ|Rχ|(χは偏光状態)を算出する請求項4記載の光学異方性パラメータ測定装置。
Priority Applications (4)
| Application Number | Priority Date | Filing Date | Title |
|---|---|---|---|
| JP2008224392A JP5198980B2 (ja) | 2008-09-02 | 2008-09-02 | 光学異方性パラメータ測定方法及び測定装置 |
| KR1020090057026A KR101624271B1 (ko) | 2008-09-02 | 2009-06-25 | 광학 이방성 패러미터 측정방법 및 측정장치 |
| CN2009101593906A CN101666926B (zh) | 2008-09-02 | 2009-07-15 | 光学各向异性参数测定方法及测定装置 |
| TW98125163A TWI467157B (zh) | 2008-09-02 | 2009-07-27 | 光學異向性參數測量方法及測量裝置 |
Applications Claiming Priority (1)
| Application Number | Priority Date | Filing Date | Title |
|---|---|---|---|
| JP2008224392A JP5198980B2 (ja) | 2008-09-02 | 2008-09-02 | 光学異方性パラメータ測定方法及び測定装置 |
Publications (2)
| Publication Number | Publication Date |
|---|---|
| JP2010060352A true JP2010060352A (ja) | 2010-03-18 |
| JP5198980B2 JP5198980B2 (ja) | 2013-05-15 |
Family
ID=41803612
Family Applications (1)
| Application Number | Title | Priority Date | Filing Date |
|---|---|---|---|
| JP2008224392A Expired - Fee Related JP5198980B2 (ja) | 2008-09-02 | 2008-09-02 | 光学異方性パラメータ測定方法及び測定装置 |
Country Status (4)
| Country | Link |
|---|---|
| JP (1) | JP5198980B2 (ja) |
| KR (1) | KR101624271B1 (ja) |
| CN (1) | CN101666926B (ja) |
| TW (1) | TWI467157B (ja) |
Cited By (5)
| Publication number | Priority date | Publication date | Assignee | Title |
|---|---|---|---|---|
| JP2012220381A (ja) * | 2011-04-11 | 2012-11-12 | Moritex Corp | 光学異方性パラメータ測定装置、測定方法及び測定用プログラム |
| JP2015014524A (ja) * | 2013-07-05 | 2015-01-22 | ショットモリテックス株式会社 | 光学異方性パラメータ測定装置、測定方法及び測定用プログラム |
| CN110542651A (zh) * | 2018-05-28 | 2019-12-06 | 三星显示有限公司 | 椭偏仪 |
| CN111630367A (zh) * | 2018-01-18 | 2020-09-04 | 杰富意钢铁株式会社 | 光谱分析装置、光谱分析方法、钢带的制造方法及钢带的质量保证方法 |
| CN111818251A (zh) * | 2020-08-12 | 2020-10-23 | 中国海洋大学 | 旋转偏振距离选通摄像装置 |
Families Citing this family (6)
| Publication number | Priority date | Publication date | Assignee | Title |
|---|---|---|---|---|
| WO2012124634A1 (ja) * | 2011-03-11 | 2012-09-20 | シチズンホールディングス株式会社 | 光変調素子及び光変調素子を備えた顕微鏡装置 |
| US8854623B2 (en) * | 2012-10-25 | 2014-10-07 | Corning Incorporated | Systems and methods for measuring a profile characteristic of a glass sample |
| JP6682263B2 (ja) * | 2015-12-25 | 2020-04-15 | キヤノン株式会社 | 検出装置、露光装置および物品の製造方法 |
| CN105783723B (zh) * | 2016-04-26 | 2018-07-10 | 广东技术师范学院 | 基于机器视觉的精密模具表面加工精度检测装置及方法 |
| CN105842889B (zh) * | 2016-06-21 | 2019-09-06 | 京东方科技集团股份有限公司 | 光配向基板的检测装置和方法 |
| CN111895923B (zh) * | 2020-07-07 | 2021-09-21 | 上海辰慧源科技发展有限公司 | 一种拟合测量薄膜厚度的方法 |
Citations (5)
| Publication number | Priority date | Publication date | Assignee | Title |
|---|---|---|---|---|
| JPS63148108A (ja) * | 1986-12-10 | 1988-06-21 | Japan Spectroscopic Co | エリプソメ−タ |
| JPH05133810A (ja) * | 1991-11-13 | 1993-05-28 | Nkk Corp | エリプソパラメータ測定方法及びエリプソメータ |
| JPH0815130A (ja) * | 1994-06-29 | 1996-01-19 | Jeol Ltd | フーリエ変換分光位相変調偏光解析法 |
| JP2007285926A (ja) * | 2006-04-18 | 2007-11-01 | Omron Corp | 光学系、異方性薄膜評価装置および異方性薄膜評価方法 |
| JP2008122405A (ja) * | 2007-12-25 | 2008-05-29 | Olympus Corp | 反応解析方法 |
Family Cites Families (5)
| Publication number | Priority date | Publication date | Assignee | Title |
|---|---|---|---|---|
| JP2004279286A (ja) * | 2003-03-18 | 2004-10-07 | Nippon Laser & Electronics Lab | 光学的異方性薄膜評価方法及び評価装置 |
| JP3936712B2 (ja) * | 2004-09-22 | 2007-06-27 | 名菱テクニカ株式会社 | 検出対象のパラメータ検出方法及び検出装置 |
| KR101280335B1 (ko) * | 2005-01-24 | 2013-07-01 | 가부시키가이샤 모리텍스 | 광학적 이방성 파라미터 측정 방법 및 측정 장치 |
| JP4692892B2 (ja) * | 2006-06-01 | 2011-06-01 | 株式会社ニコン | 表面検査装置 |
| JP4921090B2 (ja) * | 2006-09-25 | 2012-04-18 | 株式会社モリテックス | 光学異方性パラメータ測定方法及び測定装置 |
-
2008
- 2008-09-02 JP JP2008224392A patent/JP5198980B2/ja not_active Expired - Fee Related
-
2009
- 2009-06-25 KR KR1020090057026A patent/KR101624271B1/ko not_active Expired - Fee Related
- 2009-07-15 CN CN2009101593906A patent/CN101666926B/zh not_active Expired - Fee Related
- 2009-07-27 TW TW98125163A patent/TWI467157B/zh not_active IP Right Cessation
Patent Citations (5)
| Publication number | Priority date | Publication date | Assignee | Title |
|---|---|---|---|---|
| JPS63148108A (ja) * | 1986-12-10 | 1988-06-21 | Japan Spectroscopic Co | エリプソメ−タ |
| JPH05133810A (ja) * | 1991-11-13 | 1993-05-28 | Nkk Corp | エリプソパラメータ測定方法及びエリプソメータ |
| JPH0815130A (ja) * | 1994-06-29 | 1996-01-19 | Jeol Ltd | フーリエ変換分光位相変調偏光解析法 |
| JP2007285926A (ja) * | 2006-04-18 | 2007-11-01 | Omron Corp | 光学系、異方性薄膜評価装置および異方性薄膜評価方法 |
| JP2008122405A (ja) * | 2007-12-25 | 2008-05-29 | Olympus Corp | 反応解析方法 |
Non-Patent Citations (1)
| Title |
|---|
| JPN6013000109; 田ノ岡大輔: '光学的異方性薄膜の複素振幅反射率比の非対角成分測定方法' 第69回応用物理学会学術講演会講演予稿集 第3分冊 , 20080902, Page.877, (社)応用物理学会 * |
Cited By (10)
| Publication number | Priority date | Publication date | Assignee | Title |
|---|---|---|---|---|
| JP2012220381A (ja) * | 2011-04-11 | 2012-11-12 | Moritex Corp | 光学異方性パラメータ測定装置、測定方法及び測定用プログラム |
| WO2012141061A3 (ja) * | 2011-04-11 | 2012-12-06 | 株式会社モリテックス | 光学異方性パラメータ測定装置、測定方法及び測定用プログラム |
| KR20140011346A (ko) * | 2011-04-11 | 2014-01-28 | 숏토 모리텍스 가부시키가이샤 | 광학 이방성 파라미터 측정 장치, 측정 방법 및 측정용 프로그램 |
| KR101594982B1 (ko) | 2011-04-11 | 2016-02-17 | 가부시키가이샤 모리텍스 | 광학 이방성 파라미터 측정 장치, 측정 방법 및 측정용 프로그램 |
| JP2015014524A (ja) * | 2013-07-05 | 2015-01-22 | ショットモリテックス株式会社 | 光学異方性パラメータ測定装置、測定方法及び測定用プログラム |
| CN111630367A (zh) * | 2018-01-18 | 2020-09-04 | 杰富意钢铁株式会社 | 光谱分析装置、光谱分析方法、钢带的制造方法及钢带的质量保证方法 |
| CN111630367B (zh) * | 2018-01-18 | 2023-03-14 | 杰富意钢铁株式会社 | 光谱分析装置、光谱分析方法、钢带的制造方法及钢带的质量保证方法 |
| CN110542651A (zh) * | 2018-05-28 | 2019-12-06 | 三星显示有限公司 | 椭偏仪 |
| CN111818251A (zh) * | 2020-08-12 | 2020-10-23 | 中国海洋大学 | 旋转偏振距离选通摄像装置 |
| CN111818251B (zh) * | 2020-08-12 | 2021-07-20 | 中国海洋大学 | 旋转偏振距离选通摄像装置 |
Also Published As
| Publication number | Publication date |
|---|---|
| CN101666926B (zh) | 2013-07-31 |
| CN101666926A (zh) | 2010-03-10 |
| KR101624271B1 (ko) | 2016-05-25 |
| JP5198980B2 (ja) | 2013-05-15 |
| TW201011273A (en) | 2010-03-16 |
| TWI467157B (zh) | 2015-01-01 |
| KR20100027951A (ko) | 2010-03-11 |
Similar Documents
| Publication | Publication Date | Title |
|---|---|---|
| JP5198980B2 (ja) | 光学異方性パラメータ測定方法及び測定装置 | |
| US8004677B2 (en) | Focused-beam ellipsometer | |
| US7889339B1 (en) | Complementary waveplate rotating compensator ellipsometer | |
| US7286226B2 (en) | Method and apparatus for measuring birefringence | |
| US20100103417A1 (en) | Optical Characteristic Measuring Apparatus, Optical Characteristic Measuring Method, and Optical Characteristic Measuring Unit | |
| TWI577983B (zh) | 光學異向性參數測量裝置、測量方法及測量用電腦程式產品 | |
| JP4921090B2 (ja) | 光学異方性パラメータ測定方法及び測定装置 | |
| US5532488A (en) | Apparatus and method for evaluating orientation film | |
| CN101825785A (zh) | 反射型液晶盒的倾角测定方法以及测定装置 | |
| KR20010090592A (ko) | 광학적 이방성 구조체의 평가 | |
| JP6940552B2 (ja) | 物品検査装置及び物品検査方法 | |
| JP5991230B2 (ja) | 位相差測定方法及び装置 | |
| KR20010107968A (ko) | 수직 배향 액정 패널의 셀 갭 측정 방법 및 장치 | |
| JP3520379B2 (ja) | 光学定数測定方法およびその装置 | |
| JP2006226995A (ja) | 光学的異方性パラメータ測定方法及び測定装置 | |
| KR101936792B1 (ko) | 간섭계와 타원계측기 기반의 박막 구조물 측정을 위한 광계측기 | |
| JP2004279286A (ja) | 光学的異方性薄膜評価方法及び評価装置 | |
| JP4728830B2 (ja) | 光学的異方性パラメータ測定方法及び測定装置 | |
| JP4153412B2 (ja) | 偏光解析装置を用いた偏光解析方法 | |
| JP2645252B2 (ja) | 自動複屈折計 | |
| JP4926003B2 (ja) | 偏光解析方法 | |
| JP7756408B1 (ja) | 試料測定装置 | |
| Valyukh et al. | Inline quality control of liquid crystal cells | |
| JP2924938B2 (ja) | 複合フィルムのレターデーション測定方法 | |
| JP2004028922A (ja) | 自動複屈折計 |
Legal Events
| Date | Code | Title | Description |
|---|---|---|---|
| A621 | Written request for application examination |
Free format text: JAPANESE INTERMEDIATE CODE: A621 Effective date: 20110808 |
|
| TRDD | Decision of grant or rejection written | ||
| A977 | Report on retrieval |
Free format text: JAPANESE INTERMEDIATE CODE: A971007 Effective date: 20121226 |
|
| A01 | Written decision to grant a patent or to grant a registration (utility model) |
Free format text: JAPANESE INTERMEDIATE CODE: A01 Effective date: 20130115 |
|
| A61 | First payment of annual fees (during grant procedure) |
Free format text: JAPANESE INTERMEDIATE CODE: A61 Effective date: 20130207 |
|
| FPAY | Renewal fee payment (event date is renewal date of database) |
Free format text: PAYMENT UNTIL: 20160215 Year of fee payment: 3 |
|
| R150 | Certificate of patent or registration of utility model |
Ref document number: 5198980 Country of ref document: JP Free format text: JAPANESE INTERMEDIATE CODE: R150 Free format text: JAPANESE INTERMEDIATE CODE: R150 |
|
| S531 | Written request for registration of change of domicile |
Free format text: JAPANESE INTERMEDIATE CODE: R313531 |
|
| S533 | Written request for registration of change of name |
Free format text: JAPANESE INTERMEDIATE CODE: R313533 |
|
| R350 | Written notification of registration of transfer |
Free format text: JAPANESE INTERMEDIATE CODE: R350 |
|
| S533 | Written request for registration of change of name |
Free format text: JAPANESE INTERMEDIATE CODE: R313533 |
|
| R350 | Written notification of registration of transfer |
Free format text: JAPANESE INTERMEDIATE CODE: R350 |
|
| R250 | Receipt of annual fees |
Free format text: JAPANESE INTERMEDIATE CODE: R250 |
|
| LAPS | Cancellation because of no payment of annual fees |
