EP0241133B1 - Polymaleimid und eine Zusammensetzung, die dieses Polymer enthält - Google Patents
Polymaleimid und eine Zusammensetzung, die dieses Polymer enthält Download PDFInfo
- Publication number
- EP0241133B1 EP0241133B1 EP87301901A EP87301901A EP0241133B1 EP 0241133 B1 EP0241133 B1 EP 0241133B1 EP 87301901 A EP87301901 A EP 87301901A EP 87301901 A EP87301901 A EP 87301901A EP 0241133 B1 EP0241133 B1 EP 0241133B1
- Authority
- EP
- European Patent Office
- Prior art keywords
- compound
- polymaleimide
- formula
- reaction
- epoxy
- Prior art date
- Legal status (The legal status is an assumption and is not a legal conclusion. Google has not performed a legal analysis and makes no representation as to the accuracy of the status listed.)
- Expired - Lifetime
Links
- 150000001875 compounds Chemical class 0.000 title claims description 131
- 239000000203 mixture Substances 0.000 title claims description 62
- -1 aromatic amine compounds Chemical class 0.000 claims description 57
- 125000004435 hydrogen atom Chemical group [H]* 0.000 claims description 34
- 239000004593 Epoxy Substances 0.000 claims description 14
- 239000005011 phenolic resin Substances 0.000 claims description 11
- ZZTCPWRAHWXWCH-UHFFFAOYSA-N diphenylmethanediamine Chemical compound C=1C=CC=CC=1C(N)(N)C1=CC=CC=C1 ZZTCPWRAHWXWCH-UHFFFAOYSA-N 0.000 claims description 10
- 125000003700 epoxy group Chemical group 0.000 claims description 10
- 229920001568 phenolic resin Polymers 0.000 claims description 10
- IISBACLAFKSPIT-UHFFFAOYSA-N bisphenol A Chemical compound C=1C=C(O)C=CC=1C(C)(C)C1=CC=C(O)C=C1 IISBACLAFKSPIT-UHFFFAOYSA-N 0.000 claims description 8
- 229920003986 novolac Polymers 0.000 claims description 8
- KXGFMDJXCMQABM-UHFFFAOYSA-N 2-methoxy-6-methylphenol Chemical compound [CH]OC1=CC=CC([CH])=C1O KXGFMDJXCMQABM-UHFFFAOYSA-N 0.000 claims description 7
- WKBOTKDWSSQWDR-UHFFFAOYSA-N Bromine atom Chemical group [Br] WKBOTKDWSSQWDR-UHFFFAOYSA-N 0.000 claims description 5
- MQJKPEGWNLWLTK-UHFFFAOYSA-N Dapsone Chemical compound C1=CC(N)=CC=C1S(=O)(=O)C1=CC=C(N)C=C1 MQJKPEGWNLWLTK-UHFFFAOYSA-N 0.000 claims description 5
- 125000002496 methyl group Chemical group [H]C([H])([H])* 0.000 claims description 5
- 150000002357 guanidines Chemical class 0.000 claims description 4
- ZBCBWPMODOFKDW-UHFFFAOYSA-N diethanolamine Chemical class OCCNCCO ZBCBWPMODOFKDW-UHFFFAOYSA-N 0.000 claims 2
- BRLQWZUYTZBJKN-UHFFFAOYSA-N Epichlorohydrin Chemical compound ClCC1CO1 BRLQWZUYTZBJKN-UHFFFAOYSA-N 0.000 claims 1
- 239000011342 resin composition Substances 0.000 claims 1
- 239000012262 resinous product Substances 0.000 claims 1
- 238000006243 chemical reaction Methods 0.000 description 52
- 239000002904 solvent Substances 0.000 description 40
- 239000000047 product Substances 0.000 description 35
- 229920005989 resin Polymers 0.000 description 32
- 239000011347 resin Substances 0.000 description 32
- 239000003822 epoxy resin Substances 0.000 description 18
- 229920000647 polyepoxide Polymers 0.000 description 18
- 239000002253 acid Substances 0.000 description 15
- 239000007795 chemical reaction product Substances 0.000 description 15
- WYURNTSHIVDZCO-UHFFFAOYSA-N Tetrahydrofuran Chemical compound C1CCOC1 WYURNTSHIVDZCO-UHFFFAOYSA-N 0.000 description 14
- PEEHTFAAVSWFBL-UHFFFAOYSA-N Maleimide Chemical compound O=C1NC(=O)C=C1 PEEHTFAAVSWFBL-UHFFFAOYSA-N 0.000 description 13
- FPYJFEHAWHCUMM-UHFFFAOYSA-N maleic anhydride Chemical compound O=C1OC(=O)C=C1 FPYJFEHAWHCUMM-UHFFFAOYSA-N 0.000 description 13
- XLYOFNOQVPJJNP-UHFFFAOYSA-N water Substances O XLYOFNOQVPJJNP-UHFFFAOYSA-N 0.000 description 13
- ZWEHNKRNPOVVGH-UHFFFAOYSA-N 2-Butanone Chemical compound CCC(C)=O ZWEHNKRNPOVVGH-UHFFFAOYSA-N 0.000 description 12
- 150000008065 acid anhydrides Chemical class 0.000 description 11
- WFDIJRYMOXRFFG-UHFFFAOYSA-N Acetic anhydride Chemical compound CC(=O)OC(C)=O WFDIJRYMOXRFFG-UHFFFAOYSA-N 0.000 description 9
- RTZKZFJDLAIYFH-UHFFFAOYSA-N Diethyl ether Chemical compound CCOCC RTZKZFJDLAIYFH-UHFFFAOYSA-N 0.000 description 9
- 238000009835 boiling Methods 0.000 description 9
- 238000010438 heat treatment Methods 0.000 description 9
- LFQSCWFLJHTTHZ-UHFFFAOYSA-N Ethanol Chemical compound CCO LFQSCWFLJHTTHZ-UHFFFAOYSA-N 0.000 description 8
- 238000009472 formulation Methods 0.000 description 8
- 239000000463 material Substances 0.000 description 8
- YLQBMQCUIZJEEH-UHFFFAOYSA-N tetrahydrofuran Natural products C=1C=COC=1 YLQBMQCUIZJEEH-UHFFFAOYSA-N 0.000 description 7
- XQUPVDVFXZDTLT-UHFFFAOYSA-N 1-[4-[[4-(2,5-dioxopyrrol-1-yl)phenyl]methyl]phenyl]pyrrole-2,5-dione Chemical group O=C1C=CC(=O)N1C(C=C1)=CC=C1CC1=CC=C(N2C(C=CC2=O)=O)C=C1 XQUPVDVFXZDTLT-UHFFFAOYSA-N 0.000 description 6
- ZHNUHDYFZUAESO-UHFFFAOYSA-N Formamide Chemical compound NC=O ZHNUHDYFZUAESO-UHFFFAOYSA-N 0.000 description 6
- ZMXDDKWLCZADIW-UHFFFAOYSA-N N,N-Dimethylformamide Chemical compound CN(C)C=O ZMXDDKWLCZADIW-UHFFFAOYSA-N 0.000 description 6
- ZMANZCXQSJIPKH-UHFFFAOYSA-N Triethylamine Chemical compound CCN(CC)CC ZMANZCXQSJIPKH-UHFFFAOYSA-N 0.000 description 6
- 239000003054 catalyst Substances 0.000 description 6
- 230000000694 effects Effects 0.000 description 6
- 238000000034 method Methods 0.000 description 6
- ISWSIDIOOBJBQZ-UHFFFAOYSA-N phenol group Chemical group C1(=CC=CC=C1)O ISWSIDIOOBJBQZ-UHFFFAOYSA-N 0.000 description 6
- 239000011541 reaction mixture Substances 0.000 description 6
- 230000035484 reaction time Effects 0.000 description 6
- 125000003118 aryl group Chemical group 0.000 description 5
- 230000000052 comparative effect Effects 0.000 description 5
- GYZLOYUZLJXAJU-UHFFFAOYSA-N diglycidyl ether Chemical class C1OC1COCC1CO1 GYZLOYUZLJXAJU-UHFFFAOYSA-N 0.000 description 5
- 239000003085 diluting agent Substances 0.000 description 5
- 125000001033 ether group Chemical group 0.000 description 5
- LNEPOXFFQSENCJ-UHFFFAOYSA-N haloperidol Chemical compound C1CC(O)(C=2C=CC(Cl)=CC=2)CCN1CCCC(=O)C1=CC=C(F)C=C1 LNEPOXFFQSENCJ-UHFFFAOYSA-N 0.000 description 5
- 125000005439 maleimidyl group Chemical group C1(C=CC(N1*)=O)=O 0.000 description 5
- 230000000704 physical effect Effects 0.000 description 5
- 238000006116 polymerization reaction Methods 0.000 description 5
- 239000000843 powder Substances 0.000 description 5
- 238000007086 side reaction Methods 0.000 description 5
- 0 CC(C(C)=C(CC(N)=CC(C)=*)OC(C)(C)C1*CCC1)O Chemical compound CC(C(C)=C(CC(N)=CC(C)=*)OC(C)(C)C1*CCC1)O 0.000 description 4
- 238000005481 NMR spectroscopy Methods 0.000 description 4
- DNIAPMSPPWPWGF-UHFFFAOYSA-N Propylene glycol Chemical compound CC(O)CO DNIAPMSPPWPWGF-UHFFFAOYSA-N 0.000 description 4
- 239000011248 coating agent Substances 0.000 description 4
- 238000000576 coating method Methods 0.000 description 4
- 229910052739 hydrogen Inorganic materials 0.000 description 4
- 239000001257 hydrogen Substances 0.000 description 4
- 239000000243 solution Substances 0.000 description 4
- 239000007858 starting material Substances 0.000 description 4
- CSCPPACGZOOCGX-UHFFFAOYSA-N Acetone Chemical compound CC(C)=O CSCPPACGZOOCGX-UHFFFAOYSA-N 0.000 description 3
- UHOVQNZJYSORNB-UHFFFAOYSA-N Benzene Chemical compound C1=CC=CC=C1 UHOVQNZJYSORNB-UHFFFAOYSA-N 0.000 description 3
- VTYYLEPIZMXCLO-UHFFFAOYSA-L Calcium carbonate Chemical compound [Ca+2].[O-]C([O-])=O VTYYLEPIZMXCLO-UHFFFAOYSA-L 0.000 description 3
- YMWUJEATGCHHMB-UHFFFAOYSA-N Dichloromethane Chemical compound ClCCl YMWUJEATGCHHMB-UHFFFAOYSA-N 0.000 description 3
- LYCAIKOWRPUZTN-UHFFFAOYSA-N Ethylene glycol Chemical compound OCCO LYCAIKOWRPUZTN-UHFFFAOYSA-N 0.000 description 3
- OKKJLVBELUTLKV-UHFFFAOYSA-N Methanol Chemical compound OC OKKJLVBELUTLKV-UHFFFAOYSA-N 0.000 description 3
- 238000006845 Michael addition reaction Methods 0.000 description 3
- VMHLLURERBWHNL-UHFFFAOYSA-M Sodium acetate Chemical compound [Na+].CC([O-])=O VMHLLURERBWHNL-UHFFFAOYSA-M 0.000 description 3
- YXFVVABEGXRONW-UHFFFAOYSA-N Toluene Chemical compound CC1=CC=CC=C1 YXFVVABEGXRONW-UHFFFAOYSA-N 0.000 description 3
- 238000010521 absorption reaction Methods 0.000 description 3
- 238000000862 absorption spectrum Methods 0.000 description 3
- 150000001412 amines Chemical class 0.000 description 3
- 150000004982 aromatic amines Chemical class 0.000 description 3
- 239000013078 crystal Substances 0.000 description 3
- MTHSVFCYNBDYFN-UHFFFAOYSA-N diethylene glycol Chemical compound OCCOCCO MTHSVFCYNBDYFN-UHFFFAOYSA-N 0.000 description 3
- RAXXELZNTBOGNW-UHFFFAOYSA-N imidazole Natural products C1=CNC=N1 RAXXELZNTBOGNW-UHFFFAOYSA-N 0.000 description 3
- 239000012535 impurity Substances 0.000 description 3
- 239000011810 insulating material Substances 0.000 description 3
- 229920000642 polymer Polymers 0.000 description 3
- VYPSYNLAJGMNEJ-UHFFFAOYSA-N silicon dioxide Inorganic materials O=[Si]=O VYPSYNLAJGMNEJ-UHFFFAOYSA-N 0.000 description 3
- 235000017281 sodium acetate Nutrition 0.000 description 3
- 239000001632 sodium acetate Substances 0.000 description 3
- 150000003512 tertiary amines Chemical class 0.000 description 3
- KVNYFPKFSJIPBJ-UHFFFAOYSA-N 1,2-diethylbenzene Chemical compound CCC1=CC=CC=C1CC KVNYFPKFSJIPBJ-UHFFFAOYSA-N 0.000 description 2
- OZAIFHULBGXAKX-UHFFFAOYSA-N 2-(2-cyanopropan-2-yldiazenyl)-2-methylpropanenitrile Chemical compound N#CC(C)(C)N=NC(C)(C)C#N OZAIFHULBGXAKX-UHFFFAOYSA-N 0.000 description 2
- KUBDPQJOLOUJRM-UHFFFAOYSA-N 2-(chloromethyl)oxirane;4-[2-(4-hydroxyphenyl)propan-2-yl]phenol Chemical compound ClCC1CO1.C=1C=C(O)C=CC=1C(C)(C)C1=CC=C(O)C=C1 KUBDPQJOLOUJRM-UHFFFAOYSA-N 0.000 description 2
- CWLKGDAVCFYWJK-UHFFFAOYSA-N 3-aminophenol Chemical compound NC1=CC=CC(O)=C1 CWLKGDAVCFYWJK-UHFFFAOYSA-N 0.000 description 2
- VVBLNCFGVYUYGU-UHFFFAOYSA-N 4,4'-Bis(dimethylamino)benzophenone Chemical compound C1=CC(N(C)C)=CC=C1C(=O)C1=CC=C(N(C)C)C=C1 VVBLNCFGVYUYGU-UHFFFAOYSA-N 0.000 description 2
- FJKROLUGYXJWQN-UHFFFAOYSA-N 4-hydroxybenzoic acid Chemical compound OC(=O)C1=CC=C(O)C=C1 FJKROLUGYXJWQN-UHFFFAOYSA-N 0.000 description 2
- QTBSBXVTEAMEQO-UHFFFAOYSA-M Acetate Chemical compound CC([O-])=O QTBSBXVTEAMEQO-UHFFFAOYSA-M 0.000 description 2
- VHUUQVKOLVNVRT-UHFFFAOYSA-N Ammonium hydroxide Chemical compound [NH4+].[OH-] VHUUQVKOLVNVRT-UHFFFAOYSA-N 0.000 description 2
- KAKZBPTYRLMSJV-UHFFFAOYSA-N Butadiene Chemical compound C=CC=C KAKZBPTYRLMSJV-UHFFFAOYSA-N 0.000 description 2
- 229920000049 Carbon (fiber) Polymers 0.000 description 2
- HEDRZPFGACZZDS-UHFFFAOYSA-N Chloroform Chemical compound ClC(Cl)Cl HEDRZPFGACZZDS-UHFFFAOYSA-N 0.000 description 2
- IAZDPXIOMUYVGZ-WFGJKAKNSA-N Dimethyl sulfoxide Chemical compound [2H]C([2H])([2H])S(=O)C([2H])([2H])[2H] IAZDPXIOMUYVGZ-WFGJKAKNSA-N 0.000 description 2
- PEDCQBHIVMGVHV-UHFFFAOYSA-N Glycerine Chemical compound OCC(O)CO PEDCQBHIVMGVHV-UHFFFAOYSA-N 0.000 description 2
- UQSXHKLRYXJYBZ-UHFFFAOYSA-N Iron oxide Chemical compound [Fe]=O UQSXHKLRYXJYBZ-UHFFFAOYSA-N 0.000 description 2
- RRHGJUQNOFWUDK-UHFFFAOYSA-N Isoprene Chemical compound CC(=C)C=C RRHGJUQNOFWUDK-UHFFFAOYSA-N 0.000 description 2
- LRHPLDYGYMQRHN-UHFFFAOYSA-N N-Butanol Chemical compound CCCCO LRHPLDYGYMQRHN-UHFFFAOYSA-N 0.000 description 2
- KKEYFWRCBNTPAC-UHFFFAOYSA-N Terephthalic acid Chemical compound OC(=O)C1=CC=C(C(O)=O)C=C1 KKEYFWRCBNTPAC-UHFFFAOYSA-N 0.000 description 2
- GWEVSGVZZGPLCZ-UHFFFAOYSA-N Titan oxide Chemical compound O=[Ti]=O GWEVSGVZZGPLCZ-UHFFFAOYSA-N 0.000 description 2
- 125000003277 amino group Chemical group 0.000 description 2
- QGZKDVFQNNGYKY-UHFFFAOYSA-N ammonia Natural products N QGZKDVFQNNGYKY-UHFFFAOYSA-N 0.000 description 2
- 238000004458 analytical method Methods 0.000 description 2
- ADCOVFLJGNWWNZ-UHFFFAOYSA-N antimony trioxide Chemical compound O=[Sb]O[Sb]=O ADCOVFLJGNWWNZ-UHFFFAOYSA-N 0.000 description 2
- 239000010425 asbestos Substances 0.000 description 2
- RWCCWEUUXYIKHB-UHFFFAOYSA-N benzophenone Chemical compound C=1C=CC=CC=1C(=O)C1=CC=CC=C1 RWCCWEUUXYIKHB-UHFFFAOYSA-N 0.000 description 2
- 239000012965 benzophenone Substances 0.000 description 2
- PXKLMJQFEQBVLD-UHFFFAOYSA-N bisphenol F Chemical compound C1=CC(O)=CC=C1CC1=CC=C(O)C=C1 PXKLMJQFEQBVLD-UHFFFAOYSA-N 0.000 description 2
- WTEOIRVLGSZEPR-UHFFFAOYSA-N boron trifluoride Chemical compound FB(F)F WTEOIRVLGSZEPR-UHFFFAOYSA-N 0.000 description 2
- 239000004917 carbon fiber Substances 0.000 description 2
- 150000001732 carboxylic acid derivatives Chemical class 0.000 description 2
- YCIMNLLNPGFGHC-UHFFFAOYSA-N catechol Chemical compound OC1=CC=CC=C1O YCIMNLLNPGFGHC-UHFFFAOYSA-N 0.000 description 2
- 150000008280 chlorinated hydrocarbons Chemical class 0.000 description 2
- ZSWFCLXCOIISFI-UHFFFAOYSA-N cyclopentadiene Chemical compound C1C=CC=C1 ZSWFCLXCOIISFI-UHFFFAOYSA-N 0.000 description 2
- 239000012024 dehydrating agents Substances 0.000 description 2
- DOIRQSBPFJWKBE-UHFFFAOYSA-N dibutyl phthalate Chemical compound CCCCOC(=O)C1=CC=CC=C1C(=O)OCCCC DOIRQSBPFJWKBE-UHFFFAOYSA-N 0.000 description 2
- 238000001035 drying Methods 0.000 description 2
- 239000000835 fiber Substances 0.000 description 2
- 238000005194 fractionation Methods 0.000 description 2
- 230000009477 glass transition Effects 0.000 description 2
- NAQMVNRVTILPCV-UHFFFAOYSA-N hexane-1,6-diamine Chemical compound NCCCCCCN NAQMVNRVTILPCV-UHFFFAOYSA-N 0.000 description 2
- 125000002887 hydroxy group Chemical group [H]O* 0.000 description 2
- 239000003999 initiator Substances 0.000 description 2
- ZXEKIIBDNHEJCQ-UHFFFAOYSA-N isobutanol Chemical compound CC(C)CO ZXEKIIBDNHEJCQ-UHFFFAOYSA-N 0.000 description 2
- 150000002576 ketones Chemical class 0.000 description 2
- 229910052751 metal Inorganic materials 0.000 description 2
- 239000002184 metal Substances 0.000 description 2
- VNWKTOKETHGBQD-UHFFFAOYSA-N methane Chemical compound C VNWKTOKETHGBQD-UHFFFAOYSA-N 0.000 description 2
- CHJJGSNFBQVOTG-UHFFFAOYSA-N methylguanidine Chemical compound CNC(N)=N CHJJGSNFBQVOTG-UHFFFAOYSA-N 0.000 description 2
- QWVGKYWNOKOFNN-UHFFFAOYSA-N o-cresol Chemical compound CC1=CC=CC=C1O QWVGKYWNOKOFNN-UHFFFAOYSA-N 0.000 description 2
- 239000003960 organic solvent Substances 0.000 description 2
- FDPIMTJIUBPUKL-UHFFFAOYSA-N pentan-3-one Chemical compound CCC(=O)CC FDPIMTJIUBPUKL-UHFFFAOYSA-N 0.000 description 2
- 239000003504 photosensitizing agent Substances 0.000 description 2
- XNGIFLGASWRNHJ-UHFFFAOYSA-N phthalic acid Chemical compound OC(=O)C1=CC=CC=C1C(O)=O XNGIFLGASWRNHJ-UHFFFAOYSA-N 0.000 description 2
- 229920003192 poly(bis maleimide) Polymers 0.000 description 2
- 229920001721 polyimide Polymers 0.000 description 2
- 239000009719 polyimide resin Substances 0.000 description 2
- 239000007870 radical polymerization initiator Substances 0.000 description 2
- 238000001953 recrystallisation Methods 0.000 description 2
- 229910052895 riebeckite Inorganic materials 0.000 description 2
- 238000007363 ring formation reaction Methods 0.000 description 2
- 239000000126 substance Substances 0.000 description 2
- 239000000758 substrate Substances 0.000 description 2
- 150000005846 sugar alcohols Polymers 0.000 description 2
- 238000001308 synthesis method Methods 0.000 description 2
- VZGDMQKNWNREIO-UHFFFAOYSA-N tetrachloromethane Chemical compound ClC(Cl)(Cl)Cl VZGDMQKNWNREIO-UHFFFAOYSA-N 0.000 description 2
- GETQZCLCWQTVFV-UHFFFAOYSA-N trimethylamine Chemical compound CN(C)C GETQZCLCWQTVFV-UHFFFAOYSA-N 0.000 description 2
- NQOFYFRKWDXGJP-UHFFFAOYSA-N 1,1,2-trimethylguanidine Chemical compound CN=C(N)N(C)C NQOFYFRKWDXGJP-UHFFFAOYSA-N 0.000 description 1
- SCYULBFZEHDVBN-UHFFFAOYSA-N 1,1-Dichloroethane Chemical compound CC(Cl)Cl SCYULBFZEHDVBN-UHFFFAOYSA-N 0.000 description 1
- LINDOXZENKYESA-UHFFFAOYSA-N 1,2-dimethylguanidine Chemical compound CNC(N)=NC LINDOXZENKYESA-UHFFFAOYSA-N 0.000 description 1
- WZCQRUWWHSTZEM-UHFFFAOYSA-N 1,3-phenylenediamine Chemical compound NC1=CC=CC(N)=C1 WZCQRUWWHSTZEM-UHFFFAOYSA-N 0.000 description 1
- CBCKQZAAMUWICA-UHFFFAOYSA-N 1,4-phenylenediamine Chemical compound NC1=CC=C(N)C=C1 CBCKQZAAMUWICA-UHFFFAOYSA-N 0.000 description 1
- UWFRVQVNYNPBEF-UHFFFAOYSA-N 1-(2,4-dimethylphenyl)propan-1-one Chemical compound CCC(=O)C1=CC=C(C)C=C1C UWFRVQVNYNPBEF-UHFFFAOYSA-N 0.000 description 1
- DURPTKYDGMDSBL-UHFFFAOYSA-N 1-butoxybutane Chemical compound CCCCOCCCC DURPTKYDGMDSBL-UHFFFAOYSA-N 0.000 description 1
- VILCJCGEZXAXTO-UHFFFAOYSA-N 2,2,2-tetramine Chemical compound NCCNCCNCCN VILCJCGEZXAXTO-UHFFFAOYSA-N 0.000 description 1
- NOGFHTGYPKWWRX-UHFFFAOYSA-N 2,2,6,6-tetramethyloxan-4-one Chemical compound CC1(C)CC(=O)CC(C)(C)O1 NOGFHTGYPKWWRX-UHFFFAOYSA-N 0.000 description 1
- AHDSRXYHVZECER-UHFFFAOYSA-N 2,4,6-tris[(dimethylamino)methyl]phenol Chemical compound CN(C)CC1=CC(CN(C)C)=C(O)C(CN(C)C)=C1 AHDSRXYHVZECER-UHFFFAOYSA-N 0.000 description 1
- VOZKAJLKRJDJLL-UHFFFAOYSA-N 2,4-diaminotoluene Chemical compound CC1=CC=C(N)C=C1N VOZKAJLKRJDJLL-UHFFFAOYSA-N 0.000 description 1
- GVOYKJPMUUJXBS-UHFFFAOYSA-N 2-(aminomethyl)aniline Chemical compound NCC1=CC=CC=C1N GVOYKJPMUUJXBS-UHFFFAOYSA-N 0.000 description 1
- YSUQLAYJZDEMOT-UHFFFAOYSA-N 2-(butoxymethyl)oxirane Chemical compound CCCCOCC1CO1 YSUQLAYJZDEMOT-UHFFFAOYSA-N 0.000 description 1
- CGWBIHLHAGNJCX-UHFFFAOYSA-N 2-butylguanidine Chemical compound CCCCNC(N)=N CGWBIHLHAGNJCX-UHFFFAOYSA-N 0.000 description 1
- KEWLVUBYGUZFKX-UHFFFAOYSA-N 2-ethylguanidine Chemical compound CCNC(N)=N KEWLVUBYGUZFKX-UHFFFAOYSA-N 0.000 description 1
- LXBGSDVWAMZHDD-UHFFFAOYSA-N 2-methyl-1h-imidazole Chemical compound CC1=NC=CN1 LXBGSDVWAMZHDD-UHFFFAOYSA-N 0.000 description 1
- QTWJRLJHJPIABL-UHFFFAOYSA-N 2-methylphenol;3-methylphenol;4-methylphenol Chemical compound CC1=CC=C(O)C=C1.CC1=CC=CC(O)=C1.CC1=CC=CC=C1O QTWJRLJHJPIABL-UHFFFAOYSA-N 0.000 description 1
- ZCUJYXPAKHMBAZ-UHFFFAOYSA-N 2-phenyl-1h-imidazole Chemical compound C1=CNC(C=2C=CC=CC=2)=N1 ZCUJYXPAKHMBAZ-UHFFFAOYSA-N 0.000 description 1
- QRJZGVVKGFIGLI-UHFFFAOYSA-N 2-phenylguanidine Chemical compound NC(=N)NC1=CC=CC=C1 QRJZGVVKGFIGLI-UHFFFAOYSA-N 0.000 description 1
- CXURGFRDGROIKG-UHFFFAOYSA-N 3,3-bis(chloromethyl)oxetane Chemical compound ClCC1(CCl)COC1 CXURGFRDGROIKG-UHFFFAOYSA-N 0.000 description 1
- ALKYHXVLJMQRLQ-UHFFFAOYSA-N 3-Hydroxy-2-naphthoate Chemical compound C1=CC=C2C=C(O)C(C(=O)O)=CC2=C1 ALKYHXVLJMQRLQ-UHFFFAOYSA-N 0.000 description 1
- 229940018563 3-aminophenol Drugs 0.000 description 1
- WECDUOXQLAIPQW-UHFFFAOYSA-N 4,4'-Methylene bis(2-methylaniline) Chemical compound C1=C(N)C(C)=CC(CC=2C=C(C)C(N)=CC=2)=C1 WECDUOXQLAIPQW-UHFFFAOYSA-N 0.000 description 1
- YBRVSVVVWCFQMG-UHFFFAOYSA-N 4,4'-diaminodiphenylmethane Chemical compound C1=CC(N)=CC=C1CC1=CC=C(N)C=C1 YBRVSVVVWCFQMG-UHFFFAOYSA-N 0.000 description 1
- IBOFVQJTBBUKMU-UHFFFAOYSA-N 4,4'-methylene-bis-(2-chloroaniline) Chemical compound C1=C(Cl)C(N)=CC=C1CC1=CC=C(N)C(Cl)=C1 IBOFVQJTBBUKMU-UHFFFAOYSA-N 0.000 description 1
- VPWNQTHUCYMVMZ-UHFFFAOYSA-N 4,4'-sulfonyldiphenol Chemical compound C1=CC(O)=CC=C1S(=O)(=O)C1=CC=C(O)C=C1 VPWNQTHUCYMVMZ-UHFFFAOYSA-N 0.000 description 1
- 229940090248 4-hydroxybenzoic acid Drugs 0.000 description 1
- ULKLGIFJWFIQFF-UHFFFAOYSA-N 5K8XI641G3 Chemical compound CCC1=NC=C(C)N1 ULKLGIFJWFIQFF-UHFFFAOYSA-N 0.000 description 1
- 239000005995 Aluminium silicate Substances 0.000 description 1
- 229910015900 BF3 Inorganic materials 0.000 description 1
- 239000004342 Benzoyl peroxide Substances 0.000 description 1
- OMPJBNCRMGITSC-UHFFFAOYSA-N Benzoylperoxide Chemical compound C=1C=CC=CC=1C(=O)OOC(=O)C1=CC=CC=C1 OMPJBNCRMGITSC-UHFFFAOYSA-N 0.000 description 1
- ZOXJGFHDIHLPTG-UHFFFAOYSA-N Boron Chemical compound [B] ZOXJGFHDIHLPTG-UHFFFAOYSA-N 0.000 description 1
- WJCQMPNQOWLSHA-UHFFFAOYSA-N CC(C1)C2CC1C(CN)C2 Chemical compound CC(C1)C2CC1C(CN)C2 WJCQMPNQOWLSHA-UHFFFAOYSA-N 0.000 description 1
- OKTJSMMVPCPJKN-UHFFFAOYSA-N Carbon Chemical compound [C] OKTJSMMVPCPJKN-UHFFFAOYSA-N 0.000 description 1
- CHLICZRVGGXEOD-UHFFFAOYSA-N Cc(cc1)ccc1OC Chemical compound Cc(cc1)ccc1OC CHLICZRVGGXEOD-UHFFFAOYSA-N 0.000 description 1
- MQIUGAXCHLFZKX-UHFFFAOYSA-N Di-n-octyl phthalate Natural products CCCCCCCCOC(=O)C1=CC=CC=C1C(=O)OCCCCCCCC MQIUGAXCHLFZKX-UHFFFAOYSA-N 0.000 description 1
- RPNUMPOLZDHAAY-UHFFFAOYSA-N Diethylenetriamine Chemical compound NCCNCCN RPNUMPOLZDHAAY-UHFFFAOYSA-N 0.000 description 1
- PIICEJLVQHRZGT-UHFFFAOYSA-N Ethylenediamine Chemical compound NCCN PIICEJLVQHRZGT-UHFFFAOYSA-N 0.000 description 1
- 239000004606 Fillers/Extenders Substances 0.000 description 1
- UFHFLCQGNIYNRP-UHFFFAOYSA-N Hydrogen Chemical compound [H][H] UFHFLCQGNIYNRP-UHFFFAOYSA-N 0.000 description 1
- XEEYBQQBJWHFJM-UHFFFAOYSA-N Iron Chemical compound [Fe] XEEYBQQBJWHFJM-UHFFFAOYSA-N 0.000 description 1
- OFOBLEOULBTSOW-UHFFFAOYSA-N Malonic acid Chemical compound OC(=O)CC(O)=O OFOBLEOULBTSOW-UHFFFAOYSA-N 0.000 description 1
- NTIZESTWPVYFNL-UHFFFAOYSA-N Methyl isobutyl ketone Chemical compound CC(C)CC(C)=O NTIZESTWPVYFNL-UHFFFAOYSA-N 0.000 description 1
- UIHCLUNTQKBZGK-UHFFFAOYSA-N Methyl isobutyl ketone Natural products CCC(C)C(C)=O UIHCLUNTQKBZGK-UHFFFAOYSA-N 0.000 description 1
- CTQNGGLPUBDAKN-UHFFFAOYSA-N O-Xylene Chemical compound CC1=CC=CC=C1C CTQNGGLPUBDAKN-UHFFFAOYSA-N 0.000 description 1
- FQYUMYWMJTYZTK-UHFFFAOYSA-N Phenyl glycidyl ether Chemical compound C1OC1COC1=CC=CC=C1 FQYUMYWMJTYZTK-UHFFFAOYSA-N 0.000 description 1
- LGRFSURHDFAFJT-UHFFFAOYSA-N Phthalic anhydride Natural products C1=CC=C2C(=O)OC(=O)C2=C1 LGRFSURHDFAFJT-UHFFFAOYSA-N 0.000 description 1
- 239000004698 Polyethylene Substances 0.000 description 1
- 239000002202 Polyethylene glycol Substances 0.000 description 1
- 239000004721 Polyphenylene oxide Substances 0.000 description 1
- 239000004743 Polypropylene Substances 0.000 description 1
- AWMVMTVKBNGEAK-UHFFFAOYSA-N Styrene oxide Chemical compound C1OC1C1=CC=CC=C1 AWMVMTVKBNGEAK-UHFFFAOYSA-N 0.000 description 1
- GKXVJHDEWHKBFH-UHFFFAOYSA-N [2-(aminomethyl)phenyl]methanamine Chemical compound NCC1=CC=CC=C1CN GKXVJHDEWHKBFH-UHFFFAOYSA-N 0.000 description 1
- MQRWBMAEBQOWAF-UHFFFAOYSA-N acetic acid;nickel Chemical compound [Ni].CC(O)=O.CC(O)=O MQRWBMAEBQOWAF-UHFFFAOYSA-N 0.000 description 1
- 239000000853 adhesive Substances 0.000 description 1
- 230000001070 adhesive effect Effects 0.000 description 1
- 239000000443 aerosol Substances 0.000 description 1
- 125000001931 aliphatic group Chemical group 0.000 description 1
- XAGFODPZIPBFFR-UHFFFAOYSA-N aluminium Chemical compound [Al] XAGFODPZIPBFFR-UHFFFAOYSA-N 0.000 description 1
- WNROFYMDJYEPJX-UHFFFAOYSA-K aluminium hydroxide Chemical compound [OH-].[OH-].[OH-].[Al+3] WNROFYMDJYEPJX-UHFFFAOYSA-K 0.000 description 1
- 235000012211 aluminium silicate Nutrition 0.000 description 1
- 125000003368 amide group Chemical group 0.000 description 1
- 239000003849 aromatic solvent Substances 0.000 description 1
- TZCXTZWJZNENPQ-UHFFFAOYSA-L barium sulfate Chemical compound [Ba+2].[O-]S([O-])(=O)=O TZCXTZWJZNENPQ-UHFFFAOYSA-L 0.000 description 1
- 239000010428 baryte Substances 0.000 description 1
- 229910052601 baryte Inorganic materials 0.000 description 1
- RUOKPLVTMFHRJE-UHFFFAOYSA-N benzene-1,2,3-triamine Chemical compound NC1=CC=CC(N)=C1N RUOKPLVTMFHRJE-UHFFFAOYSA-N 0.000 description 1
- HFACYLZERDEVSX-UHFFFAOYSA-N benzidine Chemical compound C1=CC(N)=CC=C1C1=CC=C(N)C=C1 HFACYLZERDEVSX-UHFFFAOYSA-N 0.000 description 1
- WPYMKLBDIGXBTP-UHFFFAOYSA-N benzoic acid Chemical compound OC(=O)C1=CC=CC=C1 WPYMKLBDIGXBTP-UHFFFAOYSA-N 0.000 description 1
- 235000019400 benzoyl peroxide Nutrition 0.000 description 1
- BJQHLKABXJIVAM-UHFFFAOYSA-N bis(2-ethylhexyl) phthalate Chemical compound CCCCC(CC)COC(=O)C1=CC=CC=C1C(=O)OCC(CC)CCCC BJQHLKABXJIVAM-UHFFFAOYSA-N 0.000 description 1
- ZFMQKOWCDKKBIF-UHFFFAOYSA-N bis(3,5-difluorophenyl)phosphane Chemical compound FC1=CC(F)=CC(PC=2C=C(F)C=C(F)C=2)=C1 ZFMQKOWCDKKBIF-UHFFFAOYSA-N 0.000 description 1
- 229910052796 boron Inorganic materials 0.000 description 1
- BMRWNKZVCUKKSR-UHFFFAOYSA-N butane-1,2-diol Chemical compound CCC(O)CO BMRWNKZVCUKKSR-UHFFFAOYSA-N 0.000 description 1
- JHIWVOJDXOSYLW-UHFFFAOYSA-N butyl 2,2-difluorocyclopropane-1-carboxylate Chemical compound CCCCOC(=O)C1CC1(F)F JHIWVOJDXOSYLW-UHFFFAOYSA-N 0.000 description 1
- 229910000019 calcium carbonate Inorganic materials 0.000 description 1
- 150000001718 carbodiimides Chemical class 0.000 description 1
- 239000006229 carbon black Substances 0.000 description 1
- 239000011203 carbon fibre reinforced carbon Substances 0.000 description 1
- 125000002915 carbonyl group Chemical group [*:2]C([*:1])=O 0.000 description 1
- 239000001913 cellulose Substances 0.000 description 1
- 229920002678 cellulose Polymers 0.000 description 1
- 239000011280 coal tar Substances 0.000 description 1
- 229940011182 cobalt acetate Drugs 0.000 description 1
- QAHREYKOYSIQPH-UHFFFAOYSA-L cobalt(II) acetate Chemical compound [Co+2].CC([O-])=O.CC([O-])=O QAHREYKOYSIQPH-UHFFFAOYSA-L 0.000 description 1
- 239000002131 composite material Substances 0.000 description 1
- 229930003836 cresol Natural products 0.000 description 1
- YQLZOAVZWJBZSY-UHFFFAOYSA-N decane-1,10-diamine Chemical compound NCCCCCCCCCCN YQLZOAVZWJBZSY-UHFFFAOYSA-N 0.000 description 1
- 230000018044 dehydration Effects 0.000 description 1
- 238000006297 dehydration reaction Methods 0.000 description 1
- UOCIZHQMWNPGEN-UHFFFAOYSA-N dialuminum;oxygen(2-);trihydrate Chemical compound O.O.O.[O-2].[O-2].[O-2].[Al+3].[Al+3] UOCIZHQMWNPGEN-UHFFFAOYSA-N 0.000 description 1
- QGBSISYHAICWAH-UHFFFAOYSA-N dicyandiamide Chemical compound NC(N)=NC#N QGBSISYHAICWAH-UHFFFAOYSA-N 0.000 description 1
- 239000000539 dimer Substances 0.000 description 1
- SWSQBOPZIKWTGO-UHFFFAOYSA-N dimethylaminoamidine Natural products CN(C)C(N)=N SWSQBOPZIKWTGO-UHFFFAOYSA-N 0.000 description 1
- XXBDWLFCJWSEKW-UHFFFAOYSA-N dimethylbenzylamine Chemical compound CN(C)CC1=CC=CC=C1 XXBDWLFCJWSEKW-UHFFFAOYSA-N 0.000 description 1
- POLCUAVZOMRGSN-UHFFFAOYSA-N dipropyl ether Chemical compound CCCOCCC POLCUAVZOMRGSN-UHFFFAOYSA-N 0.000 description 1
- 238000004821 distillation Methods 0.000 description 1
- QFTYSVGGYOXFRQ-UHFFFAOYSA-N dodecane-1,12-diamine Chemical compound NCCCCCCCCCCCCN QFTYSVGGYOXFRQ-UHFFFAOYSA-N 0.000 description 1
- 239000002305 electric material Substances 0.000 description 1
- 239000012776 electronic material Substances 0.000 description 1
- JDVIRCVIXCMTPU-UHFFFAOYSA-N ethanamine;trifluoroborane Chemical compound CCN.FB(F)F JDVIRCVIXCMTPU-UHFFFAOYSA-N 0.000 description 1
- 239000000469 ethanolic extract Substances 0.000 description 1
- 238000011156 evaluation Methods 0.000 description 1
- 230000001747 exhibiting effect Effects 0.000 description 1
- 238000000605 extraction Methods 0.000 description 1
- 239000004744 fabric Substances 0.000 description 1
- 239000000945 filler Substances 0.000 description 1
- ANSXAPJVJOKRDJ-UHFFFAOYSA-N furo[3,4-f][2]benzofuran-1,3,5,7-tetrone Chemical compound C1=C2C(=O)OC(=O)C2=CC2=C1C(=O)OC2=O ANSXAPJVJOKRDJ-UHFFFAOYSA-N 0.000 description 1
- 239000011521 glass Substances 0.000 description 1
- 239000003365 glass fiber Substances 0.000 description 1
- VANNPISTIUFMLH-UHFFFAOYSA-N glutaric anhydride Chemical compound O=C1CCCC(=O)O1 VANNPISTIUFMLH-UHFFFAOYSA-N 0.000 description 1
- 235000011187 glycerol Nutrition 0.000 description 1
- 125000003055 glycidyl group Chemical group C(C1CO1)* 0.000 description 1
- PCHJSUWPFVWCPO-UHFFFAOYSA-N gold Chemical compound [Au] PCHJSUWPFVWCPO-UHFFFAOYSA-N 0.000 description 1
- 229910052737 gold Inorganic materials 0.000 description 1
- 239000010931 gold Substances 0.000 description 1
- 239000010439 graphite Substances 0.000 description 1
- 229910002804 graphite Inorganic materials 0.000 description 1
- 239000010440 gypsum Substances 0.000 description 1
- 229910052602 gypsum Inorganic materials 0.000 description 1
- FHKSXSQHXQEMOK-UHFFFAOYSA-N hexane-1,2-diol Chemical compound CCCCC(O)CO FHKSXSQHXQEMOK-UHFFFAOYSA-N 0.000 description 1
- 239000012442 inert solvent Substances 0.000 description 1
- 229910052500 inorganic mineral Inorganic materials 0.000 description 1
- 229940035429 isobutyl alcohol Drugs 0.000 description 1
- WFKAJVHLWXSISD-UHFFFAOYSA-N isobutyramide Chemical compound CC(C)C(N)=O WFKAJVHLWXSISD-UHFFFAOYSA-N 0.000 description 1
- 238000002955 isolation Methods 0.000 description 1
- NLYAJNPCOHFWQQ-UHFFFAOYSA-N kaolin Chemical compound O.O.O=[Al]O[Si](=O)O[Si](=O)O[Al]=O NLYAJNPCOHFWQQ-UHFFFAOYSA-N 0.000 description 1
- 229940018564 m-phenylenediamine Drugs 0.000 description 1
- 239000010445 mica Substances 0.000 description 1
- 229910052618 mica group Inorganic materials 0.000 description 1
- 239000011707 mineral Substances 0.000 description 1
- 150000002762 monocarboxylic acid derivatives Chemical class 0.000 description 1
- 229940078494 nickel acetate Drugs 0.000 description 1
- 239000003208 petroleum Substances 0.000 description 1
- MEGDIQXLXPPWGL-UHFFFAOYSA-N phenylmethanetriamine Chemical compound NC(N)(N)C1=CC=CC=C1 MEGDIQXLXPPWGL-UHFFFAOYSA-N 0.000 description 1
- 238000011907 photodimerization Methods 0.000 description 1
- 239000000049 pigment Substances 0.000 description 1
- 229920000768 polyamine Polymers 0.000 description 1
- 229920000570 polyether Polymers 0.000 description 1
- 229920000573 polyethylene Polymers 0.000 description 1
- 229920001223 polyethylene glycol Polymers 0.000 description 1
- 229920001155 polypropylene Polymers 0.000 description 1
- 238000002360 preparation method Methods 0.000 description 1
- BDERNNFJNOPAEC-UHFFFAOYSA-N propan-1-ol Chemical compound CCCO BDERNNFJNOPAEC-UHFFFAOYSA-N 0.000 description 1
- WYVAMUWZEOHJOQ-UHFFFAOYSA-N propionic anhydride Chemical compound CCC(=O)OC(=O)CC WYVAMUWZEOHJOQ-UHFFFAOYSA-N 0.000 description 1
- AOHJOMMDDJHIJH-UHFFFAOYSA-N propylenediamine Chemical compound CC(N)CN AOHJOMMDDJHIJH-UHFFFAOYSA-N 0.000 description 1
- 238000000425 proton nuclear magnetic resonance spectrum Methods 0.000 description 1
- KIDHWZJUCRJVML-UHFFFAOYSA-N putrescine Chemical compound NCCCCN KIDHWZJUCRJVML-UHFFFAOYSA-N 0.000 description 1
- 239000010453 quartz Substances 0.000 description 1
- 239000000376 reactant Substances 0.000 description 1
- 230000009257 reactivity Effects 0.000 description 1
- 239000012744 reinforcing agent Substances 0.000 description 1
- GHMLBKRAJCXXBS-UHFFFAOYSA-N resorcinol Chemical compound OC1=CC=CC(O)=C1 GHMLBKRAJCXXBS-UHFFFAOYSA-N 0.000 description 1
- 229960001755 resorcinol Drugs 0.000 description 1
- 238000006798 ring closing metathesis reaction Methods 0.000 description 1
- 239000000565 sealant Substances 0.000 description 1
- 150000004760 silicates Chemical class 0.000 description 1
- 239000000377 silicon dioxide Substances 0.000 description 1
- 239000010454 slate Substances 0.000 description 1
- 229960004249 sodium acetate Drugs 0.000 description 1
- 238000003756 stirring Methods 0.000 description 1
- FAGUFWYHJQFNRV-UHFFFAOYSA-N tetraethylenepentamine Chemical compound NCCNCCNCCNCCN FAGUFWYHJQFNRV-UHFFFAOYSA-N 0.000 description 1
- 239000004408 titanium dioxide Substances 0.000 description 1
- IMFACGCPASFAPR-UHFFFAOYSA-N tributylamine Chemical compound CCCCN(CCCC)CCCC IMFACGCPASFAPR-UHFFFAOYSA-N 0.000 description 1
- YFTHZRPMJXBUME-UHFFFAOYSA-N tripropylamine Chemical compound CCCN(CCC)CCC YFTHZRPMJXBUME-UHFFFAOYSA-N 0.000 description 1
- 239000008096 xylene Substances 0.000 description 1
Images
Classifications
-
- C—CHEMISTRY; METALLURGY
- C07—ORGANIC CHEMISTRY
- C07D—HETEROCYCLIC COMPOUNDS
- C07D207/00—Heterocyclic compounds containing five-membered rings not condensed with other rings, with one nitrogen atom as the only ring hetero atom
- C07D207/02—Heterocyclic compounds containing five-membered rings not condensed with other rings, with one nitrogen atom as the only ring hetero atom with only hydrogen or carbon atoms directly attached to the ring nitrogen atom
- C07D207/44—Heterocyclic compounds containing five-membered rings not condensed with other rings, with one nitrogen atom as the only ring hetero atom with only hydrogen or carbon atoms directly attached to the ring nitrogen atom having three double bonds between ring members or between ring members and non-ring members
- C07D207/444—Heterocyclic compounds containing five-membered rings not condensed with other rings, with one nitrogen atom as the only ring hetero atom with only hydrogen or carbon atoms directly attached to the ring nitrogen atom having three double bonds between ring members or between ring members and non-ring members having two doubly-bound oxygen atoms directly attached in positions 2 and 5
- C07D207/448—Heterocyclic compounds containing five-membered rings not condensed with other rings, with one nitrogen atom as the only ring hetero atom with only hydrogen or carbon atoms directly attached to the ring nitrogen atom having three double bonds between ring members or between ring members and non-ring members having two doubly-bound oxygen atoms directly attached in positions 2 and 5 with only hydrogen atoms or radicals containing only hydrogen and carbon atoms directly attached to other ring carbon atoms, e.g. maleimide
-
- C—CHEMISTRY; METALLURGY
- C08—ORGANIC MACROMOLECULAR COMPOUNDS; THEIR PREPARATION OR CHEMICAL WORKING-UP; COMPOSITIONS BASED THEREON
- C08G—MACROMOLECULAR COMPOUNDS OBTAINED OTHERWISE THAN BY REACTIONS ONLY INVOLVING UNSATURATED CARBON-TO-CARBON BONDS
- C08G59/00—Polycondensates containing more than one epoxy group per molecule; Macromolecules obtained by polymerising compounds containing more than one epoxy group per molecule using curing agents or catalysts which react with the epoxy groups
- C08G59/18—Macromolecules obtained by polymerising compounds containing more than one epoxy group per molecule using curing agents or catalysts which react with the epoxy groups ; e.g. general methods of curing
- C08G59/40—Macromolecules obtained by polymerising compounds containing more than one epoxy group per molecule using curing agents or catalysts which react with the epoxy groups ; e.g. general methods of curing characterised by the curing agents used
- C08G59/4007—Curing agents not provided for by the groups C08G59/42 - C08G59/66
- C08G59/4014—Nitrogen containing compounds
- C08G59/4042—Imines; Imides
-
- C—CHEMISTRY; METALLURGY
- C08—ORGANIC MACROMOLECULAR COMPOUNDS; THEIR PREPARATION OR CHEMICAL WORKING-UP; COMPOSITIONS BASED THEREON
- C08G—MACROMOLECULAR COMPOUNDS OBTAINED OTHERWISE THAN BY REACTIONS ONLY INVOLVING UNSATURATED CARBON-TO-CARBON BONDS
- C08G59/00—Polycondensates containing more than one epoxy group per molecule; Macromolecules obtained by polymerising compounds containing more than one epoxy group per molecule using curing agents or catalysts which react with the epoxy groups
- C08G59/18—Macromolecules obtained by polymerising compounds containing more than one epoxy group per molecule using curing agents or catalysts which react with the epoxy groups ; e.g. general methods of curing
- C08G59/40—Macromolecules obtained by polymerising compounds containing more than one epoxy group per molecule using curing agents or catalysts which react with the epoxy groups ; e.g. general methods of curing characterised by the curing agents used
- C08G59/50—Amines
- C08G59/56—Amines together with other curing agents
-
- C—CHEMISTRY; METALLURGY
- C08—ORGANIC MACROMOLECULAR COMPOUNDS; THEIR PREPARATION OR CHEMICAL WORKING-UP; COMPOSITIONS BASED THEREON
- C08G—MACROMOLECULAR COMPOUNDS OBTAINED OTHERWISE THAN BY REACTIONS ONLY INVOLVING UNSATURATED CARBON-TO-CARBON BONDS
- C08G73/00—Macromolecular compounds obtained by reactions forming a linkage containing nitrogen with or without oxygen or carbon in the main chain of the macromolecule, not provided for in groups C08G12/00 - C08G71/00
- C08G73/06—Polycondensates having nitrogen-containing heterocyclic rings in the main chain of the macromolecule
- C08G73/10—Polyimides; Polyester-imides; Polyamide-imides; Polyamide acids or similar polyimide precursors
- C08G73/12—Unsaturated polyimide precursors
- C08G73/124—Unsaturated polyimide precursors the unsaturated precursors containing oxygen in the form of ether bonds in the main chain
-
- C—CHEMISTRY; METALLURGY
- C08—ORGANIC MACROMOLECULAR COMPOUNDS; THEIR PREPARATION OR CHEMICAL WORKING-UP; COMPOSITIONS BASED THEREON
- C08G—MACROMOLECULAR COMPOUNDS OBTAINED OTHERWISE THAN BY REACTIONS ONLY INVOLVING UNSATURATED CARBON-TO-CARBON BONDS
- C08G8/00—Condensation polymers of aldehydes or ketones with phenols only
- C08G8/28—Chemically modified polycondensates
-
- H—ELECTRICITY
- H05—ELECTRIC TECHNIQUES NOT OTHERWISE PROVIDED FOR
- H05K—PRINTED CIRCUITS; CASINGS OR CONSTRUCTIONAL DETAILS OF ELECTRIC APPARATUS; MANUFACTURE OF ASSEMBLAGES OF ELECTRICAL COMPONENTS
- H05K1/00—Printed circuits
- H05K1/02—Details
- H05K1/03—Use of materials for the substrate
- H05K1/0313—Organic insulating material
- H05K1/032—Organic insulating material consisting of one material
- H05K1/0346—Organic insulating material consisting of one material containing N
Definitions
- the present invention relates to a polymaleimide compound and a composition containing the same which are excellent in curing characteristics, and exhibit, when cured, a high heat resistance, a low linear expansion coefficient and good adhesion characteristics, and are easily processed.
- epoxy resins In the fields, epoxy resins, maleimide resins, of which the typical example is N,N'-4,4'-diphenylmethane bismaleimide, polyimide resins, and the like have heretofore been used.
- the cured resins prepared therefrom exhibit a high heat resistance and have a low linear expansion coefficient but the maleimide resins are hardly soluble in low boiling point solvents such as methyl ethyl ketone, tetrahydrofuran and the like, so that the use of special high boiling point solvents is necessary for dissolving the resins.
- the use of such special high boiling point solvents to form solutions of the resins therefore presents various problems. For example, not only a high temperature is required for drying and removing the solvent, a small amount of which still tends to remain even after drying, but also the remaining solvent has an unfavorable influence on the properties of the cured resin products.
- the adhesion properties of the cured maleimide resins are extremely poor and, therefore, the resins present difficulties in practical use.
- epoxy resins are soluble in a low boiling point solvent and excellent in mechanical and electrical properties, and exhibits good adhesion properties as compared with maleimide resins.
- the epoxy resins have the disadvantage that they are insufficient in heat resistance and high in linear expansion coefficient as compared with maleimide resins.
- a blended resin e.g. a blend of an epoxy resin and a maleimide resin.
- the blended resin is excellent in heat resistance.
- it is poor in adhesion property as compared with epoxy resins and it exhibits only a similar solvent-solubility to those of maleimide resins, giving no solution to the above-mentioned problem.
- USP No. 4,283,521 discloses a composition comprising an epoxy resin and a reaction product obtained by reacting an aromatic bismaleimide and an aliphatic bismaleimide with an aromatic polyamine while heating. This composition exhibits an improved solvent resistance, however, the composition is disadvantageous in that it exhibits poor heat resistance when cured.
- Japanese Patent Application Laid-Open Specification No. 52-121700/1977 discloses a reaction product of an ⁇ -arylmaleimide derivative with a compound having two or more epoxy groups. From the description of the laid-open specification No. 52-121700, it is presumed that the reaction product has a structure in which the epoxy resin skeleton has its terminals to which ⁇ -arylmaleimido groups are bonded. The reaction product can be easily photopolymerized through photodimerization of the ⁇ -arylmaleimido groups.
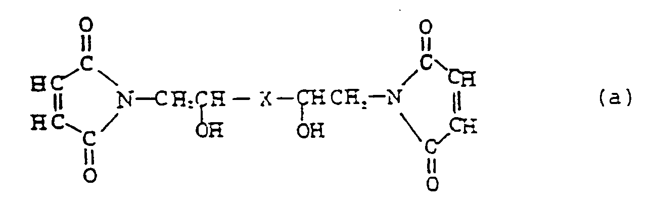
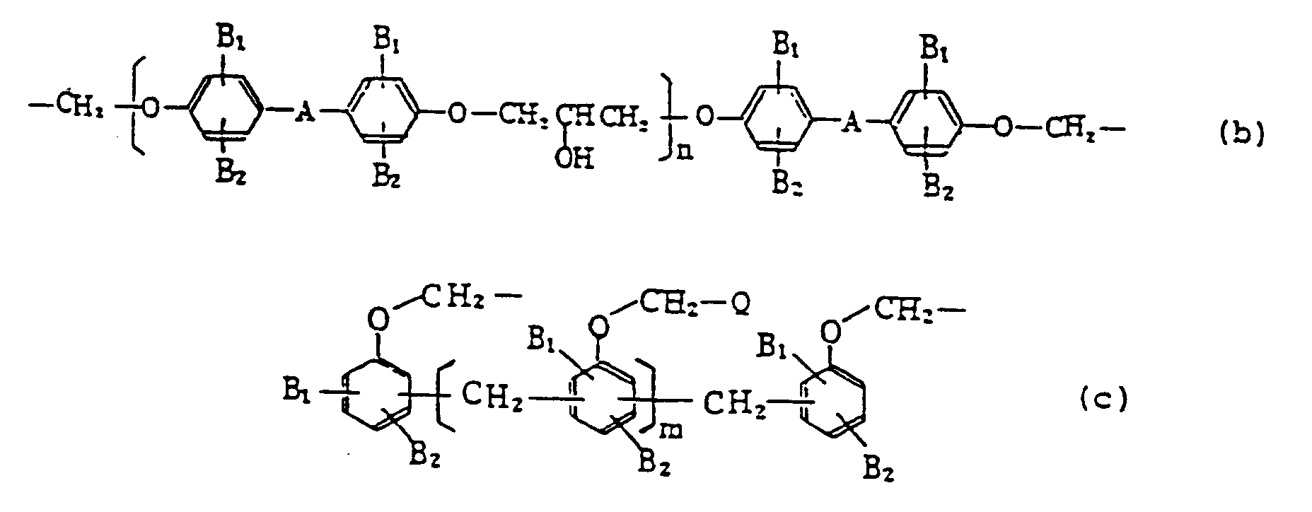
- a polymaleimide compound having a structure represented by the formula (a): wherein X is represented by formula (b) or by formula (c): in which A is -CH2-, -C(CH3)2- or -SO2-; B1 and B2 are each independently selected from hydrogen atom, bromine atom and methyl group; Q is a group represented by the formula n is 0 or an integer up to 2; and m is an integer of from 1 to 10.
- a composition comprising: a compound (h) having at least two active hydrogen atoms on an average per molecule; and a polymaleimide compound having a structure represented by the formula (a): wherein X has the same meaning as defined above, and wherein the weight ratio of said compound (h) to said polymaleimide compound (a) is such that the number of the active hydrogen atoms in said compound (h) is in the range of from 0.1 to 2.0 equivalents relative to 1 equivalent of maleimido group in said polymaleimide compound (a).
- a composition comprising: an epoxy compound (k) having at least two epoxy groups on an average per molecule, a compound (h) having at least two active hydrogen atoms on an average per molecule; and a polymaleimide compound represented by the formula (a): wherein X has the same meaning as defined above, and wherein the weight ratio of said epoxy compound (k) to said polymaleimide compound (a) is 5:95 to 95:5 and wherein the relationship between the maleimido groups in said polymaleimide compound (a), the epoxy groups in said epoxy compound (k) and the active hydrogen atoms in said compound (h) satisfies the equation:
- the polymaleimide compound according to the present invention is soluble in low boiling point solvents such as methyl ethyl ketone, tetrahydrofuran and the like.
- the reaction proceeds smoothly as opposed to the reaction using a conventional maleimide resin, exhibiting that the present polymaleimide compound has a curability as excellent as observed with an epoxy resin.
- a cured product prepared from the present polymaleimide compound is excellent in heat resistance and adhesion property and has a low linear expansion coefficient as compared with an epoxy resin.
- the above-mentioned excellent characteristics of the present polymaleimide compound are never observed with respect to conventional maleimide resins. It is believed that the presence of hydroxyl groups and aliphatic carbon chains contributes to such excellent characteristics.
- X may be a diaromatic ether residue represented by the formula (b) or a phenolic resin residue represented by the formula (c): wherein A stands for -CH2-, -C(CH3)2- or -SO2-; B1 and B2 each independently stand for a member selected from hydrogen atom, bromine atom and methyl group; Q is a group represented by the formula n is 0 or an integer up to 2; and m is an integer of from 1 to 10.
- B1 and B2 in the formula (b) be identical with each other from a viewpoint of desired curability, properties of the cured product and workability.
- n in the formula (b) is more than 2, the cured product is poor in heat resistance.
- m is more than 10, the viscosity of the resin is increased, thereby causing a resin formulation to be difficult to handle, so that difficulties are encountered in obtaining a cured product. Therefore, m is in the range of 1 to 10, preferably in the range of 1 to 5.
- n and m each mean an average number of repeating units. There is no special limitation in combination of n and m.
- X in the formula (a) be a group represented by the formula (d): which is one of the diaromatic ether residues represented by the formula (b) in which A is -C(CH3)2-.
- X is a group represented by the formula (e): which is one of the diaromatic ether residues represented by the formula (b) in which A is -C(CH3)2 and both B1 and B2 are hydrogen atoms.
- X in the formula (a) is a group represented by the formula (f): which is one of the diaromatic ether residues represented by the formula (b) in which A is -C(CH3)2, both B1 and B2 are hydrogen and n is 0.
- the aminoethylhydroxy compound (g) is represented by the following formula (g): wherein X stands for a radical represented by the formula (b) or the formula (c'): in which A stands for a member selected from the group consisting of -CH2-, -C(CH3)2- and -SO2; B1 and B2 each independently stand for a member selected from the group consisting of hydrogen atom, bromine atom and methyl group; Q' is a group represented by the formula n is 0, 1 or 2; and m is an integer from 1 to 10.
- the aminoethylhydroxy compound (g) may be prepared, for example, from an aromatic epoxy resin and aqueous ammonia in a similar manner to that disclosed in Japanese Examined Application Patent Publication No. 49-13764/1974.
- the disclosed method consists of reacting an epoxy resin with aqueous ammonia at about 20 to 80°C for 2 to 96 hours in an inert solvent to thereby form a bisaminoalcohol having two hydroxy groups and two amino groups.
- the obtained aminoethylhydroxy compound as such may be employed for a reaction with maleic anhydride without being purified.
- the obtained aminoethylhydroxy compound be purified by solvent fractionation, recrystallization or the like to a purity of 70% or more then used for a reaction with maleic anhydride.
- a ketone an alcohol, an ether, a formamide, a chlorinated hydrocarbon or an aromatic solvent.
- a ketone solvent include acetone, methyl ethyl ketone, methyl isobutyl ketone and diethyl ketone.
- an alcohol solvent include methanol, ethanol, propanol, n-butanol, isobutyl alcohol, ethylene glycol, diethylene glycol, monomethylethylene glycol, monoethylethylene glycol and monobutylethylene glycol.
- Representative examples of an ether type solvent include diethyl ether, di-n-propyl ether, dibutyl ether and tetrahydrofuran.
- Representative examples of a formamide solvent include formamide, dimethylformamide and dimethylacetoamide.
- Representative examples of a chlorinated hydrocarbon type solvent include dichloromethane, dichloroethane, chloroform and carbon tetrachloride.
- Representative examples of an aromatic type solvent include benzene, toluene, xylene and diethylbenzene. The above-mentioned solvents may be employed alone or in compatible mixture.
- the reaction may be carried out at a temperature of 0 to 50 °C. When the temperature is lower than 0 °C, the reaction does not proceed, and when the temperature is higher than 50 °C, the reaction tends to be accompanied by side reactions. A more preferred reaction temperature is 10 to 40 °C. With respect to a reaction time, it may be in the range of from 0.5 to 4 hours. If the reaction is carried out for a period shorter than 0.5 hour, the reaction hardly proceeds. If the reaction is continued for a period longer than 4 hours, the reaction tends to be accompanied by side reactions. A more preferred reaction time is 1 to 3 hours.
- a reaction pressure is not critical, and the reaction proceeds satisfactorily at an atmospheric pressure.
- maleic anhydride there is no special limitation in the manner of bringing maleic anhydride into contact with an aminoethylhydroxy compound.
- Maleic anhydride and an aminoethylhydroxy compound may be mixed simultaneously.
- an aminoethylhydroxy compound may be added to maleic anhydride.
- the reaction is carried out while gradually adding an aminoethylhydroxy compound to maleic anhydride.
- the molar ratio of maleic anhydride to an aminoethylhydroxy compound may be in the range of from 1 to 2. At a molar ratio less than 1, the reaction does not sufficiently proceed, so that the terminal amino groups of the aminoethylhydroxy compound are not converted to amido acid, thus giving no intended polyamido acid derivative. At a molar ratio more than 2, it becomes difficult to purify the polyamido acid derivative produced.
- a more preferred molar ratio of maleic anhydride to an aminoethylhydroxy compound is in the range of 1 to 1.5.
- the polyamido acid derivative obtained in Reaction I is subjected to dehydration-ring closure reaction (Reaction II).
- the reaction for dehydration-ring closure of the polyamido acid derivative may be performed using a dehydrating agent such as an acid anhydride or a carbodiimide to obtain a desired polymaleimide compound.
- a dehydrating agent such as an acid anhydride or a carbodiimide
- an acid anhydride it is preferred to employ an acid anhydride from viewpoints of ease of the reaction and purity of the desired polymaleimide compound.
- a solvent need not be used, but may be used according to need. When a solvent is used, any of the above-mentioned solvents for Reaction I may be used.
- the solvent for Reaction I and the solvent for Reaction II may be the same or different.
- the acid anhydride there may be used an aliphatic acid anhydride or aromatic acid anhydride.
- the aliphatic acid anhydride there may be mentioned, for example, acetic anhydride, propionic anhydride and glutaric anhydride
- the aromatic anhydride there may be mentioned, for example, benzoic anhydride, phthalic anhydride and pyromellitic anhydride.
- the above-mentioned acid anhydrides may be used alone or in mixture.
- Reaction II may generally be carried out at a temperature of 20 to 100 °C. When the temperature is lower than 20 °C, the reaction does not proceed, and when the temperature is higher than 100 °C, the reaction tends to be accompanied by side reactions. A more preferred reaction temperature is 40 to 80 °C. With respect to a reaction time, it may generally be in the range of from 1 to 10 hours. If the reaction time is shorter than 1 hour, no reaction proceeds, and if the reaction time is longer than 10 hours, there may occur side reactions. A more preferred reaction time is 2 to 7 hours. A reaction pressure is not critical, and usually there may be employed an atmospheric pressure. The molar ratio of acid anhydride to a polyamido acid derivative may be in the range of 1 to 10. At a molar ratio less than 1, no reaction proceeds, and at a molar ratio more than 10, it becomes difficult to purify the desired product obtained. A more preferred molar ratio is in the range of 2 to 8.
- the polyamido acid derivative obtained in Reaction I may be isolated from the reaction mixture, and then, may be reacted with an acid anhydride in Reaction II.
- an acid anhydride may be directly added to the reaction mixture obtained in Reaction I containing the polyamido acid derivative, without isolation of the polyamido acid derivative.
- a necessary amount of an acid anhydride may be added to the polyamido acid derivative at a time or gradually.
- a catalyst may be used according to need.
- a metal acetate, a tertiary amine or the like is usable.
- the metal acetate there may be mentioned, for example, sodium acetate, cobalt acetate and nickel acetate.
- the tertiary amine there may be mentioned, for example, trimethylamine, triethylamine, tripropylamine and tributylamine. They are used alone or in mixture.
- the catalyst may be added in an amount of 0.1 to 30 % by weight based on the acid anhydride.
- a more preferred amount of the catalyst is in the range of from 1 to 15 % by weight based on the acid anhydride.
- the reaction mixture After completion of the reaction in Reaction II, the resulting reaction mixture is washed in a large quantity of water to remove the acid components remaining unreacted.
- the reaction mixture may be washed in water after removal of the solvent, or may alternatively be directly washed in water without removing the solvent.
- the amount of water in which the reaction mixture is to be washed is not critical, and water may generally be used in an amount of 2 to 1000 times the amount of the reaction product. If the amount of water is less than twice the amount of the reaction product, it becomes difficult for the reaction product to be settled out, and if the amount of water is more than 1000 times the amount of the reaction product, difficulties are encountered in handling. A more preferred amount of water is 10 to 500 times the amount of the reaction product.
- This treatment of the reaction product with water may be effected at a water temperature of 0 to 80 °C. If the temperature exceeds 80 °C, the rate of settling-out of the reaction product is too low. A more preferred temperature of water is 10 to 60 °C.
- reaction product settled out in water is filtered off, and then dried.
- the thus obtained reaction product often contains other substances (impurities) than the desired polymaleimide compound.
- the content of the impurities in the reaction product varies depending on the reaction temperature and time, but usually may be not more than 30 % by weight.
- the impurities can be removed by solvent fractionation, recrystallization or distillation.
- the polymaleimide compound of the present invention is excellent in curability and easily soluble in a low boiling point solvent, and exhibits, when cured, a high heat resistance, a lower linear expansion coefficient and a good adhesion property.
- the polymaleimide compound of the present invention can be cured by heating.
- the polymaleimide compound as such may be heated directly, or it may be heated after it has been dissolved in a suitable solvent followed by removal of the solvent, thereby to give a cured product having excellent properties as mentioned above.
- compositions which comprises a polymaleimide compound (a) and a compound (h) having at least two active hydrogen atoms on an average per molecule and a compositon ( ⁇ ) which comprises a polymaleimide compound (a), a compound (h) having at least two active hydrogen atoms on an average per molecule and an epoxy compound (k) having at least two epoxy groups on an average per molecule.
- compound (h) having at least two active hydrogen atoms on average per molecule is intended to mean a compound selected from the group consisting of a non-polymeric compound having at least two active hydrogen atoms and a polymeric compound having, on average, at least two active hydrogen atoms which is capable of taking part in a Michael addition reaction with a double bond of a maleimide.
- Examples of the compound (h) include aliphatic amines, aromatic amines, guanidines, and phenolic resins.
- aliphatic amines include ethylenediamine, propylenediamine, butylenediamine, diethylenetriamine, triethylenetetraamine, tetraethylenepentamine, hexamethylenediamine, decamethylenediamine, dodecamethylenediamine, 2,2'-diaminopropane and 2,3'-diaminobutane.
- aromatic amines are diaminodiphenylmethane, diaminodiphenyl sulfone, m-phenylenediamine, p-phenylenediamine, triaminobenzene, o-aminobenzylamine, 2,4-diaminotoluene, triaminotoluene, benzidine, p,p'-bisaminomethylbiphenyl, p,p'-bisaminomethyldiphenylmethane, 3,3'-dichloro-4,4'-diaminodiphenylmethane and 3,3'-dimethyl-4,4'-diaminodiphenylmethane.
- guanidines are dicyandiamide, methylguanidine, ethylguanidine, butylguanidine, dimethylguanidine, trimethylguanidine, phenylguanidine, diphenylguandine and toluylguanidine.
- phenolic resins are phenolic novolak resin and o-cresol novolak resin. They may be used alone or in mixture. From the viewpoints of the desired curing characteristics, physical properties of the cured product and workability, an aromatic amine is more preferred, and diaminodiphenylmethane, diaminodiphenyl sulfone or a mixture thereof is still more preferred. Phenolic novolak resin is also preferred from viewpoints of desired curing characteristics, physical properties of the cured product and workability.
- the weight ratio of said compound (h) to said polymaleimide compound (a) may be such that the number of the active hydrogen atoms in said compound (h) is in the range of from 0.1 to 2.0 equivalents relative to 1 equivalent of maleimido group in said polymaleimide compound (a). If the above-defined number of the active hydrogen atoms is less than 0.1 equivalent or more than 2.0 equivalents, there is not obtained a cured product which is excellent in heat resistance. A more preferred number of the active hydrogen atoms is 0.5 to 1.5 equivalents.
- the term "equivalent” used herein means the number of maleimido groups or active hydrogen atoms.
- the compound (a) is reactive with the compound (h).
- the reaction may proceed smoothly only by heating the composition ( ⁇ ). It is preferred to effect the reaction at a temperature of 160 to 240 °C for 1 to 10 hours to obtain a cured product which is excellent in heat resistance.
- there may be additionally employed polymerization of the polymaleimide compound by light or the like and/or partial polymerization of the polymaleimide compound by means of a radical polymerization initiator.
- epoxy compound (k) having at least two epoxy groups on an average per molecule which is to be used in a composition ( ⁇ ) are a polyhydric phenol type glycidyl compound, a polyhydric alcohol type glycidyl compound, a carboxylic acid type glycidyl compound, an amine type glycidyl compound and a phenolic resin type glycidyl compound.
- Representative example of polyhydric phenol type glycidyl compound are glycidyl ethers of bisphenol A, bisphenol F, bisphenol S, catechol and resorcin.
- polyhydric alcohol type glycidyl compound are glycidyl ethers of glycerin, propylene glycol and polyethylene glycol.
- carboxylic acid type glycidyl compound are a monocarboxylic acid type glycidyl compound such as glycidyl ether esters of p-hydroxybenzoic acid and ⁇ -hydroxynaphthoic acid, and a dicarboxylic acid type glycidyl compound such as glycidyl esters of phthalic acid, terephthalic acid and dimer acid.
- amine type glycidyl compound are glycidyl amines of 4,4'-diaminodiphenylmethane, xylylenediamine and m-aminophenol.
- phenolic resin type glycidyl compound are glycidyl ethers of phenolic novolak resin and cresol novolak resin. They may be used alone or in mixture. From viewpoints of desired curing characteristics, physical properities of the cured product and workability, a polyhydric phenol type glycidyl compound is more preferred, and glycidyl ether of bisphenol A is still more preferred.
- the weight ratio of said epoxy compound (k) to said polymaleimide compound (a) be 5:95 to 95:5 and the relationship between the maleimido groups in said polymaleimide compound (a), the epoxy groups in said epoxy compound (k) and the active hydrogen atoms in said compound (h) satisfies the equation: If the ratio of the above-mentioned equation is less than 0.1 or more than 2.0, there is not obtained a cured product which is excellent in heat resistance. A more preferred ratio is 0.5 to 1.5.
- the compound (a) is reactive with the compounds (h) and (k).
- the reaction may proceed smoothly only by heating the composition ( ⁇ ). It is preferred to effect the reaction at a temperature of 180 to 240 °C for 1 to 10 hours to obtain a cured product which is excellent in heat resistance.
- there may be additionally employed polymerization of the polymaleimide compound by light or the like and/or partial polymerization of the polymaleimide compound by means of a radical polymerization initiator.
- compositions ( ⁇ ) and ( ⁇ ) of the present invention may be prepared as follows.
- the components (a) and (h) for the composition ( ⁇ ) or the components (a), (h) and (k) for the composition ( ⁇ ) are separately melted by heating and then mixed together uniformly or may be first dissolved separately in a suitable solvent and the resulting solutions are then mixed together uniformly, followed by removal of the solvent.
- the compositions thus obtained can be cured by heating to give cured products having excellent properties as mentioned above.
- the polymaleimide compositions according to the present invention may further contain an organic solvent, a reactive diluent or a nonreactive diluent, if desired.
- the organic solvent there may be used solvents of the kind as described with respect to Reaction I.
- a reactive diluent are butyl glycidyl ether, N,N'-diglycidyl-o-toluidine, phenyl glycidyl ether, styrene oxide and ethylene glycol diglycidyl ether.
- Representative examples of nonreactive diluents are dioctyl phthalate, dibutyl phthalate, dioctyl adipate and a petroleum solvent.
- the above-mentioned solvents and diluents may be appropriately chosen depending on the use of the composition. They may be used in an amount of about 5 % by weight or more based on the composition.
- the polymaleimide compositions according to the present invention may still further contain a radical initiator, a photosensitizer, a curing accelerator or a compound having a conjugated double bond, according to need.
- a radical initiator e.g., a radical initiator
- photosensitizer e.g., a photosensitizer
- curing accelerator e.g., a curing accelerator
- these classes of components are azobisisobutyronitrile and benzoyl peroxide as the radical initiator; benzophenone, benzophenone ether and Michler's ketone as the photosensitizer; a tertiary amine such as benzyldimethylamine, triethylamine and tris(dimethylaminomethyl)phenol, an imidazole such as 2-methylimidazole, 2-ethyl-4-methylimidazole and 2-phenylimidazole, and a boron trifluoride complex such as boro
- the polymaleimide compositions according to the present invention may still further contain an extender, a reinforcing agent, a filler and a pigment according to need.
- an extender there may be mentioned coal tar, glass fiber, glass cloth, asbestos fiber, boron fiber, carbon fiber, cellulose, polyethylene powder, polypropylene powder, quartz powder, mineral silicate salt, mica, asbestos powder, slate powder, kaolin, aluminum oxide trihydrate, aluminum hydroxide, chalk powder, gypsum, calcium carbonate, antimony trioxide, Penton® (chlorinated polyether resin), silica, aerosol, lithopone, baryte, titanium dioxide, carbon black, graphite, iron oxide, gold, aluminum powder and iron powder. They may be appropriately chosen depending on the use of the composition. They may be used in an amount of about 5 % by weight or more based on the composition.
- the polymaleimide compound of the present invention is soluble in a low boiling point solvent, and the cured product prepared therefrom exhibits a high heat resistance, excellent adhesion property and low linear expansion coefficient. Such excellent properties have never been attained by any of the conventional materials of the similar type.
- the polymaleimide compound according to the present invention has a wide variety of uses due to excellent properties of the cured products obtained therefrom.
- the present polymaleimide compound can advantageously be used as a resin for a high density printing multilaminated substrate, as a resin for a composite carbon fiber material, and as an electric insulating material such as coil insulating material and commutator insulating material.
- the use of the present polymaleimide compound also includes electric materials, such as voice coil bobbin of a speaker, lamp cover of a slide projector, IC test connector and heater substrate, and electronic materials, such as die-bonding adhesive, chip-mounting material, chip-coating material and IC chip sealant.
- the present polymaleimide compound can advantageously be used as a powdery coating material, electric insulating coating material and the like.
- the present polymaleimide compound- may advantageously be used in the form of a composition ( ⁇ ) which comprises a polymaleimide compound (a) and a compound (h) having two or more active hydrogen atoms on an average per molecule, and a composition ( ⁇ ) which comprises a polymaleimide compound (a), a compound (h) having two or more active hydrogen atoms on an average per molecule and an epoxy compound (k) having two or more epoxy groups per molecule.
- compositions are useful because they are capable of extremely exerting the excellent effects of the present polymaleimide compound (a) most effectively.
- the polymaleimide compound (1') was found to have a softening point of 125 to 130 °C (measured by the method of JIS K-0064, Capillary Method). The yield of the polymaleimide compound was 85 % relative to the aminoethylhydroxy compound.
- IR-430 manufactured by Shimadzu Corporation, Japan
- the presence of groups of was confirmed by NMR analysis (JEOL MH100, DMSO-d6) to affirm the structure of the polymaleimide compound (1').
- Polymaleimide compounds were prepared using starting materials shown in Table 1 in substantially the same manner as in Example 1. The results are shown in Table 1. In these Examples, the amount of tetrahydrofuran employed for the preparation of a polyamido acid and amounts of acetic anhydride and sodium acetate employed for the dehydration ring closure reaction were the same as employed in Example 1. The yields of the polymaleimide compounds are indicated as percent values relative to the starting aminoethylhydroxy compounds. In each Example, structures were confirmed by IR analysis and NMR method as in Example 1.
- the solubilities of the polymaleimide compounds (1'), (3') and (5') were examined. Examination was carried out by visually observing solutions containing 50 % by weight of the compounds. The evaluations were classified into three grades of solubilities, i.e., soluble, partially insoluble, and insoluble. The results are shown in Table 2.
- N,N'-4,4'-diphenylmethane-bis-maleimide was examined with respect to solubility in substantially the same manner as in Reference Example 1. The results are shown in Table 2.
- Epoxy resin AER331 (trade name of bisphenol A type epoxy resin having an epoxy equivalent of 190, manufactured by Asahi Kasei Kogyo K.K., Japan) was reacted with diaminodiphenylmethane to prepare a cured product. The prepared cured product was subjected to determination of Tg and linear expansion coefficient. The formulation and test results are shown in Table 3.
- the polymaleimide compound (1') was reacted with diaminodiphenyl sulfone or a novolak type phenol resin as an active hydrogen compound to prepare cured products.
- the manner of preparing the cured products was substantially the same as in Example 7.
- the prepared cured products were subjected to determination of Tg and linear expansion coefficient.
- the formulations and test results are shown in Table 4.
- Cured products were prepared in substantially the same manner as in Examples 13 to 16 except that as the ratios of number of active hydrogen atoms to number of maleimide groups, 0.05 and 2.2 were respectively employed.
- the formulations and test results are shown in Table 5.
Landscapes
- Chemical & Material Sciences (AREA)
- Organic Chemistry (AREA)
- Health & Medical Sciences (AREA)
- Chemical Kinetics & Catalysis (AREA)
- Medicinal Chemistry (AREA)
- Polymers & Plastics (AREA)
- General Chemical & Material Sciences (AREA)
- Epoxy Resins (AREA)
- Plural Heterocyclic Compounds (AREA)
- Pyrrole Compounds (AREA)
- Nitrogen And Oxygen Or Sulfur-Condensed Heterocyclic Ring Systems (AREA)
- Addition Polymer Or Copolymer, Post-Treatments, Or Chemical Modifications (AREA)
- Nitrogen Condensed Heterocyclic Rings (AREA)
- Compositions Of Macromolecular Compounds (AREA)
- Macromolecular Compounds Obtained By Forming Nitrogen-Containing Linkages In General (AREA)
- Polymers With Sulfur, Phosphorus Or Metals In The Main Chain (AREA)
Claims (16)
- Polymaleinimidverbindung mit einer durch Formel (a) dargestellten Struktur:
worin X durch Formel (b) oder durch Formel (c) dargestellt wird: worin A -CH₂-, -C(CH₃)₂- oder SO₂ ist, B₁ und B₂ unabhängig voneinander unter einem Wasserstoffatom, Bromatom und einer Methylgruppe ausgewählt sind, Q eine Gruppe der Formel: ist, n 0 oder eine ganze Zahl bis zu 2 ist und m eine ganze Zahl von 1 bis 10 ist. - Zusammensetzung, enthaltend:
eine Verbindung (h), die durchschnittlich pro Molekül mindestens 2 aktive Wasserstoffatome aufweist, und
eine Polymaleinimidverbindung (a) gemäß einem der Ansprüche 1 bis 4,
wobei das Gewichtsverhältnis der Verbindung (h) zu der Polymaleinimidverbindung (a) derart ist, daß die Anzahl der aktiven Wasserstoffatome in Verbindung (h) im Bereich von 0,1 bis 2,0 Äquivalenten pro 1 Äquivalent der Maleinimidogruppe in der Polymaleinimidverbindung (a) ist. - Zusammensetzung nach Anspruch 5, wobei die Verbindung (h) mindestens eine unter aliphatischen Aminen, aromatischen Aminen, Guanidinverbindungen und Phenolharzen ausgewählte Verbindung ist.
- Zusammensetzung nach Anspruch 6, wobei das aromatische Amin unter Diaminodiphenylmethan, Diaminodiphenylsulfon und Gemischen dieser ausgewählt ist.
- Zusammensetzung nach Anspruch 6, wobei das Phenolharz ein Novolak-Phenolharz ist.
- Zusammensetzung nach einem der Ansprüche 5 bis 8, wobei das Gewichtsverhältnis der Verbindung (h) zu der Polymaleinimidverbindung (a) derart ist, daß die Anzahl der aktiven Wasserstoffatome in der Verbindung (h) im Bereich von 0,5 bis 1,5 Äquivalenten pro 1 Äquivalent der Maleinimidogruppe in der Polymaleinimidverbindung (a) ist.
- Zusammensetzung, enthaltend:
eine Epoxyverbindung (k), die durchschnittlich mindestens 2 Epoxygruppen pro Molekül enthält,
eine Verbindung (h), die im Durchschnitt mindestens 2 Wasserstoffatome pro Molekül enthält, und
eine Polymaleinimidverbindung (a) gemäß einem der Ansprüche 1 bis 4,
wobei das Gewichtsverhältnis der Epoxyverbindung (k) zu der Polymaleinimidverbindung (a) 5:95 bis 95:5 beträgt und wobei der Zusammenhang zwischen den Maleinimidogruppen in der Polymaleinimidverbindung (a), den Epoxygruppen in der Epoxyverbindung (k) und den aktiven Wasserstoffatomen in der Verbindung (h) folgende Gleichung erfüllt: - Zusammensetzung nach Anspruch 10, wobei die Verbindung (h) mindestens eine unter aliphatischen Aminen, aromatischen Aminen, Guanidinverbindungen und Phenolharzen ausgewählte Verbindung ist.
- Zusammensetzung nach Anspruch 11, wobei das aromatische Amin unter Diaminodiphenylmethan, Diaminodiphenylsulfon und Gemischen dieser ausgewählt ist.
- Zusammensetzung nach Anspruch 11, wobei das Phenolharz ein Novolak-Phenolharz ist.
- Zusammensetzung nach einem der Ansprüche 11 bis 14, wobei die Epoxyverbindung (k) ein Kondensationsprodukt von Bisphenol A mit Epichlorhydrin ist.
- Harzartiges Produkt, enthaltend eine gehärtete Harzzusammensetzung gemäß einem der Ansprüche 5 bis 15.
Applications Claiming Priority (2)
| Application Number | Priority Date | Filing Date | Title |
|---|---|---|---|
| JP61046432A JPH0730021B2 (ja) | 1986-03-05 | 1986-03-05 | ポリマレイミド化合物 |
| JP46432/86 | 1986-03-05 |
Publications (3)
| Publication Number | Publication Date |
|---|---|
| EP0241133A2 EP0241133A2 (de) | 1987-10-14 |
| EP0241133A3 EP0241133A3 (en) | 1988-12-14 |
| EP0241133B1 true EP0241133B1 (de) | 1994-08-03 |
Family
ID=12746989
Family Applications (1)
| Application Number | Title | Priority Date | Filing Date |
|---|---|---|---|
| EP87301901A Expired - Lifetime EP0241133B1 (de) | 1986-03-05 | 1987-03-05 | Polymaleimid und eine Zusammensetzung, die dieses Polymer enthält |
Country Status (4)
| Country | Link |
|---|---|
| US (1) | US4761460A (de) |
| EP (1) | EP0241133B1 (de) |
| JP (1) | JPH0730021B2 (de) |
| DE (1) | DE3750305T2 (de) |
Families Citing this family (7)
| Publication number | Priority date | Publication date | Assignee | Title |
|---|---|---|---|---|
| US5021519A (en) * | 1988-03-24 | 1991-06-04 | Aluminum Company Of America | Epoxy-polyimide blend for low temperature cure, high-performance resin system and composites |
| US4952700A (en) * | 1988-04-25 | 1990-08-28 | W.R. Grace & Co.-Conn. | Preparation of isoxazolines and isoxazoles |
| JP4636295B2 (ja) * | 1998-12-29 | 2011-02-23 | Dic株式会社 | メソーゲン基を含むビスマレイミド |
| WO2001062827A2 (en) | 2000-02-22 | 2001-08-30 | Shearwater Corporation | N-maleimidyl polymer derivatives |
| US7790835B2 (en) | 2003-12-03 | 2010-09-07 | Nektar Therapeutics | Method of preparing maleimide functionalized polymers |
| DE602006013151D1 (de) * | 2005-07-19 | 2010-05-06 | Nektar Therapeutics | Verfahren zur herstellung von polymermaleimiden |
| CN111719311B (zh) * | 2020-06-23 | 2021-05-11 | 上海交通大学 | 改性碳纤维、改性碳纤维增强环氧树脂复合材料及其制备方法 |
Family Cites Families (7)
| Publication number | Priority date | Publication date | Assignee | Title |
|---|---|---|---|---|
| US3839287A (en) * | 1971-09-21 | 1974-10-01 | Union Carbide Corp | Polyarylimides |
| BE790556A (fr) * | 1971-10-26 | 1973-04-25 | Rhone Poulenc Sa | Copolymeres de polyimides a groupements hydroxyles |
| US4288359A (en) * | 1977-11-04 | 1981-09-08 | E. I. Du Pont De Nemours And Company | Epoxy imide compositions |
| US4296219A (en) * | 1978-03-31 | 1981-10-20 | Hitachi, Ltd. | Bismide-ether compounds, compositions thereof, and method of producing same |
| US4283521A (en) * | 1979-02-14 | 1981-08-11 | Trw Inc. | Curable aromatic epoxy-polyimide and cycloaliphatic epoxy-polyimide compositions |
| US4510272A (en) * | 1983-03-16 | 1985-04-09 | Avco Corporation | Bis-maleimide-epoxy compositions and prepregs |
| US4691025A (en) * | 1983-12-22 | 1987-09-01 | Amoco Corporation | Bismaleimides and prepreg resins therefrom |
-
1986
- 1986-03-05 JP JP61046432A patent/JPH0730021B2/ja not_active Expired - Fee Related
-
1987
- 1987-03-04 US US07/021,886 patent/US4761460A/en not_active Expired - Lifetime
- 1987-03-05 DE DE3750305T patent/DE3750305T2/de not_active Expired - Fee Related
- 1987-03-05 EP EP87301901A patent/EP0241133B1/de not_active Expired - Lifetime
Also Published As
| Publication number | Publication date |
|---|---|
| JPS62205059A (ja) | 1987-09-09 |
| JPH0730021B2 (ja) | 1995-04-05 |
| EP0241133A2 (de) | 1987-10-14 |
| US4761460A (en) | 1988-08-02 |
| DE3750305T2 (de) | 1995-03-23 |
| EP0241133A3 (en) | 1988-12-14 |
| DE3750305D1 (de) | 1994-09-08 |
Similar Documents
| Publication | Publication Date | Title |
|---|---|---|
| EP0009645B1 (de) | 5-(2,5-Diketotetrahydrofuryl)-3-methyl-3-cyclohexen-1,2-dicarbonsäureanhydrid, seine Verwendung als Härtungsmittel für Epoxyharze und als Rohmaterial zur Herstellung von Polyimiden, es enthaltende Epoxyharze, ihre Verwendung zur Herstellung von verschiedenen Artikeln und eine Zusammensetzung zur Pulverbeschichtung | |
| JPH0262152B2 (de) | ||
| EP0099268B1 (de) | Verfahren zur Herstellung von Polymaleimiden | |
| US4519941A (en) | Metal-filled polyimide/polyepoxide blends of improved electrical conductivity | |
| EP0241133B1 (de) | Polymaleimid und eine Zusammensetzung, die dieses Polymer enthält | |
| JPH02296820A (ja) | 環状脂肪族エポキシ樹脂を基材とした硬化性組成物 | |
| JP3735896B2 (ja) | エポキシ樹脂組成物及び半導体封止材料 | |
| KR100531072B1 (ko) | 다가 페놀류 화합물, 에폭시 수지, 에폭시 수지 조성물 및그의 경화물 | |
| JP4273530B2 (ja) | 環状カーボナート樹脂組成物及びその硬化物 | |
| JPH09268220A (ja) | エポキシ樹脂の製造方法、エポキシ樹脂組成物及びその硬化物 | |
| JP3894628B2 (ja) | 変性エポキシ樹脂、エポキシ樹脂組成物及びその硬化物 | |
| EP0369527A2 (de) | Härtbare Harzzusammensetzungen | |
| JP2715512B2 (ja) | エポキシ樹脂組成物およびそれを硬化せしめてなる成形品 | |
| JP3995244B2 (ja) | エポキシ樹脂、エポキシ樹脂の製法、エポキシ樹脂組成物及びその硬化物 | |
| JP4026733B2 (ja) | エポキシ樹脂、エポキシ樹脂組成物及びその硬化物 | |
| CN110804173A (zh) | 聚苯醚中间体、聚苯醚衍生物及其制备方法和应用 | |
| JP4605420B2 (ja) | エポキシ樹脂組成物及びその硬化物 | |
| JP3476030B2 (ja) | エポキシ樹脂混合物の製造方法 | |
| JP4674884B2 (ja) | エポキシ樹脂の製造方法 | |
| JPH06239966A (ja) | エポキシ樹脂、エポキシ樹脂組成物およびその硬化物 | |
| JPH035411B2 (de) | ||
| JPH0367092B2 (de) | ||
| JP2005053856A (ja) | エポキシド基及びマレイミド基を有する化合物ならびに当該化合物から調製される硬化樹脂 | |
| JP4082668B2 (ja) | フェノール樹脂、エポキシ樹脂組成物及びその硬化物 | |
| JPH047369B2 (de) |
Legal Events
| Date | Code | Title | Description |
|---|---|---|---|
| PUAI | Public reference made under article 153(3) epc to a published international application that has entered the european phase |
Free format text: ORIGINAL CODE: 0009012 |
|
| 17P | Request for examination filed |
Effective date: 19870312 |
|
| AK | Designated contracting states |
Kind code of ref document: A2 Designated state(s): CH DE FR GB IT LI NL |
|
| PUAL | Search report despatched |
Free format text: ORIGINAL CODE: 0009013 |
|
| RHK1 | Main classification (correction) |
Ipc: C08G 73/12 |
|
| AK | Designated contracting states |
Kind code of ref document: A3 Designated state(s): CH DE FR GB IT LI NL |
|
| ITF | It: translation for a ep patent filed | ||
| 17Q | First examination report despatched |
Effective date: 19910812 |
|
| GRAA | (expected) grant |
Free format text: ORIGINAL CODE: 0009210 |
|
| AK | Designated contracting states |
Kind code of ref document: B1 Designated state(s): CH DE FR GB IT LI NL |
|
| REF | Corresponds to: |
Ref document number: 3750305 Country of ref document: DE Date of ref document: 19940908 |
|
| ITF | It: translation for a ep patent filed | ||
| ET | Fr: translation filed | ||
| PLBE | No opposition filed within time limit |
Free format text: ORIGINAL CODE: 0009261 |
|
| STAA | Information on the status of an ep patent application or granted ep patent |
Free format text: STATUS: NO OPPOSITION FILED WITHIN TIME LIMIT |
|
| 26N | No opposition filed | ||
| REG | Reference to a national code |
Ref country code: GB Ref legal event code: IF02 |
|
| PGFP | Annual fee paid to national office [announced via postgrant information from national office to epo] |
Ref country code: GB Payment date: 20040303 Year of fee payment: 18 |
|
| PGFP | Annual fee paid to national office [announced via postgrant information from national office to epo] |
Ref country code: FR Payment date: 20040309 Year of fee payment: 18 |
|
| PGFP | Annual fee paid to national office [announced via postgrant information from national office to epo] |
Ref country code: NL Payment date: 20040310 Year of fee payment: 18 |
|
| PGFP | Annual fee paid to national office [announced via postgrant information from national office to epo] |
Ref country code: CH Payment date: 20040317 Year of fee payment: 18 |
|
| PGFP | Annual fee paid to national office [announced via postgrant information from national office to epo] |
Ref country code: DE Payment date: 20040318 Year of fee payment: 18 |
|
| PG25 | Lapsed in a contracting state [announced via postgrant information from national office to epo] |
Ref country code: IT Free format text: LAPSE BECAUSE OF NON-PAYMENT OF DUE FEES;WARNING: LAPSES OF ITALIAN PATENTS WITH EFFECTIVE DATE BEFORE 2007 MAY HAVE OCCURRED AT ANY TIME BEFORE 2007. THE CORRECT EFFECTIVE DATE MAY BE DIFFERENT FROM THE ONE RECORDED. Effective date: 20050305 Ref country code: GB Free format text: LAPSE BECAUSE OF NON-PAYMENT OF DUE FEES Effective date: 20050305 |
|
| PG25 | Lapsed in a contracting state [announced via postgrant information from national office to epo] |
Ref country code: LI Free format text: LAPSE BECAUSE OF NON-PAYMENT OF DUE FEES Effective date: 20050331 Ref country code: CH Free format text: LAPSE BECAUSE OF NON-PAYMENT OF DUE FEES Effective date: 20050331 |
|
| PG25 | Lapsed in a contracting state [announced via postgrant information from national office to epo] |
Ref country code: NL Free format text: LAPSE BECAUSE OF NON-PAYMENT OF DUE FEES Effective date: 20051001 Ref country code: DE Free format text: LAPSE BECAUSE OF NON-PAYMENT OF DUE FEES Effective date: 20051001 |
|
| REG | Reference to a national code |
Ref country code: CH Ref legal event code: PL |
|
| GBPC | Gb: european patent ceased through non-payment of renewal fee |
Effective date: 20050305 |
|
| PG25 | Lapsed in a contracting state [announced via postgrant information from national office to epo] |
Ref country code: FR Free format text: LAPSE BECAUSE OF NON-PAYMENT OF DUE FEES Effective date: 20051130 |
|
| NLV4 | Nl: lapsed or anulled due to non-payment of the annual fee |
Effective date: 20051001 |
|
| REG | Reference to a national code |
Ref country code: FR Ref legal event code: ST Effective date: 20051130 |







