EP0235079A1 - Verfahren zum Nachbehandeln von mit Reaktivfarbstoffen bedruckten Cellulose- oder cellulosehaltigen Materialien - Google Patents
Verfahren zum Nachbehandeln von mit Reaktivfarbstoffen bedruckten Cellulose- oder cellulosehaltigen Materialien Download PDFInfo
- Publication number
- EP0235079A1 EP0235079A1 EP87810038A EP87810038A EP0235079A1 EP 0235079 A1 EP0235079 A1 EP 0235079A1 EP 87810038 A EP87810038 A EP 87810038A EP 87810038 A EP87810038 A EP 87810038A EP 0235079 A1 EP0235079 A1 EP 0235079A1
- Authority
- EP
- European Patent Office
- Prior art keywords
- cationic
- oder
- alkyl
- optical brightener
- amphoteric
- Prior art date
- Legal status (The legal status is an assumption and is not a legal conclusion. Google has not performed a legal analysis and makes no representation as to the accuracy of the status listed.)
- Ceased
Links
- 238000000034 method Methods 0.000 title claims abstract description 24
- 229920002678 cellulose Polymers 0.000 title claims abstract description 13
- 239000001913 cellulose Substances 0.000 title claims abstract description 13
- 239000000463 material Substances 0.000 title claims abstract description 12
- 239000000985 reactive dye Substances 0.000 title claims abstract description 8
- 125000002091 cationic group Chemical group 0.000 claims abstract description 29
- 230000003287 optical effect Effects 0.000 claims abstract description 28
- 125000000217 alkyl group Chemical group 0.000 claims description 25
- 229910052739 hydrogen Inorganic materials 0.000 claims description 15
- 239000001257 hydrogen Substances 0.000 claims description 15
- WSFSSNUMVMOOMR-UHFFFAOYSA-N Formaldehyde Chemical compound O=C WSFSSNUMVMOOMR-UHFFFAOYSA-N 0.000 claims description 9
- 125000003545 alkoxy group Chemical group 0.000 claims description 9
- RWRDLPDLKQPQOW-UHFFFAOYSA-N Pyrrolidine Chemical compound C1CCNC1 RWRDLPDLKQPQOW-UHFFFAOYSA-N 0.000 claims description 7
- NINIDFKCEFEMDL-UHFFFAOYSA-N Sulfur Chemical compound [S] NINIDFKCEFEMDL-UHFFFAOYSA-N 0.000 claims description 7
- 229910052760 oxygen Inorganic materials 0.000 claims description 7
- 239000001301 oxygen Substances 0.000 claims description 7
- 229920003002 synthetic resin Polymers 0.000 claims description 7
- 239000000057 synthetic resin Substances 0.000 claims description 7
- 239000007859 condensation product Substances 0.000 claims description 6
- NQRYJNQNLNOLGT-UHFFFAOYSA-N Piperidine Chemical compound C1CCNCC1 NQRYJNQNLNOLGT-UHFFFAOYSA-N 0.000 claims description 5
- QVGXLLKOCUKJST-UHFFFAOYSA-N atomic oxygen Chemical compound [O] QVGXLLKOCUKJST-UHFFFAOYSA-N 0.000 claims description 4
- 125000004193 piperazinyl group Chemical group 0.000 claims description 4
- 229910052717 sulfur Inorganic materials 0.000 claims description 4
- 239000011593 sulfur Substances 0.000 claims description 4
- 125000001731 2-cyanoethyl group Chemical group [H]C([H])(*)C([H])([H])C#N 0.000 claims description 3
- ZAMOUSCENKQFHK-UHFFFAOYSA-N Chlorine atom Chemical compound [Cl] ZAMOUSCENKQFHK-UHFFFAOYSA-N 0.000 claims description 3
- QGBSISYHAICWAH-UHFFFAOYSA-N dicyandiamide Chemical compound NC(N)=NC#N QGBSISYHAICWAH-UHFFFAOYSA-N 0.000 claims description 3
- YVPJCJLMRRTDMQ-UHFFFAOYSA-N ethyl diazoacetate Chemical compound CCOC(=O)C=[N+]=[N-] YVPJCJLMRRTDMQ-UHFFFAOYSA-N 0.000 claims description 3
- 125000004433 nitrogen atom Chemical group N* 0.000 claims description 3
- DOKHEARVIDLSFF-UHFFFAOYSA-N prop-1-en-1-ol Chemical group CC=CO DOKHEARVIDLSFF-UHFFFAOYSA-N 0.000 claims description 3
- YNAVUWVOSKDBBP-UHFFFAOYSA-N Morpholine Chemical group C1COCCN1 YNAVUWVOSKDBBP-UHFFFAOYSA-N 0.000 claims description 2
- IWLBIFVMPLUHLK-UHFFFAOYSA-N azane;formaldehyde Chemical compound N.O=C IWLBIFVMPLUHLK-UHFFFAOYSA-N 0.000 claims description 2
- ZSIQJIWKELUFRJ-UHFFFAOYSA-N azepane Chemical compound C1CCCNCC1 ZSIQJIWKELUFRJ-UHFFFAOYSA-N 0.000 claims description 2
- 239000000460 chlorine Substances 0.000 claims description 2
- 229910052801 chlorine Inorganic materials 0.000 claims description 2
- 125000000383 tetramethylene group Chemical group [H]C([H])([*:1])C([H])([H])C([H])([H])C([H])([H])[*:2] 0.000 claims description 2
- 125000003258 trimethylene group Chemical group [H]C([H])([*:2])C([H])([H])C([H])([H])[*:1] 0.000 claims description 2
- 125000004435 hydrogen atom Chemical class [H]* 0.000 claims 2
- 229910052736 halogen Inorganic materials 0.000 description 16
- 150000002367 halogens Chemical class 0.000 description 16
- UFHFLCQGNIYNRP-UHFFFAOYSA-N Hydrogen Chemical compound [H][H] UFHFLCQGNIYNRP-UHFFFAOYSA-N 0.000 description 14
- UHOVQNZJYSORNB-UHFFFAOYSA-N monobenzene Natural products C1=CC=CC=C1 UHOVQNZJYSORNB-UHFFFAOYSA-N 0.000 description 12
- 150000002431 hydrogen Chemical class 0.000 description 11
- JUJWROOIHBZHMG-UHFFFAOYSA-N Pyridine Chemical compound C1=CC=NC=C1 JUJWROOIHBZHMG-UHFFFAOYSA-N 0.000 description 9
- -1 toluenesulfonate anion Chemical group 0.000 description 7
- 125000003342 alkenyl group Chemical group 0.000 description 6
- 229920000742 Cotton Polymers 0.000 description 5
- 239000004744 fabric Substances 0.000 description 5
- BSKHPKMHTQYZBB-UHFFFAOYSA-N 2-methylpyridine Chemical group CC1=CC=CC=N1 BSKHPKMHTQYZBB-UHFFFAOYSA-N 0.000 description 4
- 150000001450 anions Chemical class 0.000 description 4
- UMJSCPRVCHMLSP-UHFFFAOYSA-N pyridine Natural products COC1=CC=CN=C1 UMJSCPRVCHMLSP-UHFFFAOYSA-N 0.000 description 4
- 125000004178 (C1-C4) alkyl group Chemical group 0.000 description 3
- MYMOFIZGZYHOMD-UHFFFAOYSA-N Dioxygen Chemical compound O=O MYMOFIZGZYHOMD-UHFFFAOYSA-N 0.000 description 3
- 125000004390 alkyl sulfonyl group Chemical group 0.000 description 3
- 239000003054 catalyst Substances 0.000 description 3
- 150000001875 compounds Chemical class 0.000 description 3
- 125000000623 heterocyclic group Chemical group 0.000 description 3
- 125000004209 (C1-C8) alkyl group Chemical group 0.000 description 2
- 0 C*1=****=*1O Chemical compound C*1=****=*1O 0.000 description 2
- ROSDSFDQCJNGOL-UHFFFAOYSA-N Dimethylamine Chemical compound CNC ROSDSFDQCJNGOL-UHFFFAOYSA-N 0.000 description 2
- LYCAIKOWRPUZTN-UHFFFAOYSA-N Ethylene glycol Chemical compound OCCO LYCAIKOWRPUZTN-UHFFFAOYSA-N 0.000 description 2
- XEEYBQQBJWHFJM-UHFFFAOYSA-N Iron Chemical compound [Fe] XEEYBQQBJWHFJM-UHFFFAOYSA-N 0.000 description 2
- TWRXJAOTZQYOKJ-UHFFFAOYSA-L Magnesium chloride Chemical compound [Mg+2].[Cl-].[Cl-] TWRXJAOTZQYOKJ-UHFFFAOYSA-L 0.000 description 2
- CIUQDSCDWFSTQR-UHFFFAOYSA-N [C]1=CC=CC=C1 Chemical compound [C]1=CC=CC=C1 CIUQDSCDWFSTQR-UHFFFAOYSA-N 0.000 description 2
- 125000002947 alkylene group Chemical group 0.000 description 2
- 125000004432 carbon atom Chemical group C* 0.000 description 2
- 125000004473 dialkylaminocarbonyl group Chemical group 0.000 description 2
- 125000002768 hydroxyalkyl group Chemical group 0.000 description 2
- VNWKTOKETHGBQD-UHFFFAOYSA-N methane Chemical group C VNWKTOKETHGBQD-UHFFFAOYSA-N 0.000 description 2
- 125000000956 methoxy group Chemical group [H]C([H])([H])O* 0.000 description 2
- 125000002496 methyl group Chemical group [H]C([H])([H])* 0.000 description 2
- 125000001997 phenyl group Chemical group [H]C1=C([H])C([H])=C(*)C([H])=C1[H] 0.000 description 2
- 239000000126 substance Substances 0.000 description 2
- XLYOFNOQVPJJNP-UHFFFAOYSA-N water Substances O XLYOFNOQVPJJNP-UHFFFAOYSA-N 0.000 description 2
- 125000006702 (C1-C18) alkyl group Chemical group 0.000 description 1
- 125000000229 (C1-C4)alkoxy group Chemical group 0.000 description 1
- 125000004169 (C1-C6) alkyl group Chemical group 0.000 description 1
- QGZKDVFQNNGYKY-UHFFFAOYSA-N Ammonia Chemical class N QGZKDVFQNNGYKY-UHFFFAOYSA-N 0.000 description 1
- LSNNMFCWUKXFEE-UHFFFAOYSA-M Bisulfite Chemical compound OS([O-])=O LSNNMFCWUKXFEE-UHFFFAOYSA-M 0.000 description 1
- CPELXLSAUQHCOX-UHFFFAOYSA-M Bromide Chemical group [Br-] CPELXLSAUQHCOX-UHFFFAOYSA-M 0.000 description 1
- 102100032765 Chordin-like protein 1 Human genes 0.000 description 1
- BRLQWZUYTZBJKN-UHFFFAOYSA-N Epichlorohydrin Chemical compound ClCC1CO1 BRLQWZUYTZBJKN-UHFFFAOYSA-N 0.000 description 1
- OTMSDBZUPAUEDD-UHFFFAOYSA-N Ethane Chemical group CC OTMSDBZUPAUEDD-UHFFFAOYSA-N 0.000 description 1
- KIWBPDUYBMNFTB-UHFFFAOYSA-N Ethyl hydrogen sulfate Chemical group CCOS(O)(=O)=O KIWBPDUYBMNFTB-UHFFFAOYSA-N 0.000 description 1
- 101000941971 Homo sapiens Chordin-like protein 1 Proteins 0.000 description 1
- 229910020808 NaBF Inorganic materials 0.000 description 1
- ABLZXFCXXLZCGV-UHFFFAOYSA-N Phosphorous acid Chemical compound OP(O)=O ABLZXFCXXLZCGV-UHFFFAOYSA-N 0.000 description 1
- 239000004952 Polyamide Substances 0.000 description 1
- 229920001807 Urea-formaldehyde Polymers 0.000 description 1
- 239000000654 additive Substances 0.000 description 1
- 125000001931 aliphatic group Chemical group 0.000 description 1
- 125000004183 alkoxy alkyl group Chemical group 0.000 description 1
- 125000004397 aminosulfonyl group Chemical group NS(=O)(=O)* 0.000 description 1
- SRSXLGNVWSONIS-UHFFFAOYSA-N benzenesulfonic acid Chemical group OS(=O)(=O)C1=CC=CC=C1 SRSXLGNVWSONIS-UHFFFAOYSA-N 0.000 description 1
- 230000015572 biosynthetic process Effects 0.000 description 1
- IISBACLAFKSPIT-UHFFFAOYSA-N bisphenol A Chemical compound C=1C=C(O)C=CC=1C(C)(C)C1=CC=C(O)C=C1 IISBACLAFKSPIT-UHFFFAOYSA-N 0.000 description 1
- 238000005282 brightening Methods 0.000 description 1
- 125000003917 carbamoyl group Chemical group [H]N([H])C(*)=O 0.000 description 1
- 125000003178 carboxy group Chemical group [H]OC(*)=O 0.000 description 1
- 150000001805 chlorine compounds Chemical group 0.000 description 1
- 150000001907 coumarones Chemical class 0.000 description 1
- 125000004472 dialkylaminosulfonyl group Chemical group 0.000 description 1
- 239000003822 epoxy resin Substances 0.000 description 1
- 239000012530 fluid Substances 0.000 description 1
- LNEPOXFFQSENCJ-UHFFFAOYSA-N haloperidol Chemical compound C1CC(O)(C=2C=CC(Cl)=CC=2)CCN1CCCC(=O)C1=CC=C(F)C=C1 LNEPOXFFQSENCJ-UHFFFAOYSA-N 0.000 description 1
- 238000010438 heat treatment Methods 0.000 description 1
- WGCNASOHLSPBMP-UHFFFAOYSA-N hydroxyacetaldehyde Natural products OCC=O WGCNASOHLSPBMP-UHFFFAOYSA-N 0.000 description 1
- MTNDZQHUAFNZQY-UHFFFAOYSA-N imidazoline Chemical compound C1CN=CN1 MTNDZQHUAFNZQY-UHFFFAOYSA-N 0.000 description 1
- 229910052742 iron Inorganic materials 0.000 description 1
- 229920002521 macromolecule Polymers 0.000 description 1
- 229910001629 magnesium chloride Inorganic materials 0.000 description 1
- WSFSSNUMVMOOMR-NJFSPNSNSA-N methanone Chemical compound O=[14CH2] WSFSSNUMVMOOMR-NJFSPNSNSA-N 0.000 description 1
- JZMJDSHXVKJFKW-UHFFFAOYSA-M methyl sulfate(1-) Chemical group COS([O-])(=O)=O JZMJDSHXVKJFKW-UHFFFAOYSA-M 0.000 description 1
- 229920001568 phenolic resin Polymers 0.000 description 1
- 229920002647 polyamide Polymers 0.000 description 1
- 238000006068 polycondensation reaction Methods 0.000 description 1
- 229920000647 polyepoxide Polymers 0.000 description 1
- 229920000728 polyester Polymers 0.000 description 1
- 238000006116 polymerization reaction Methods 0.000 description 1
- ODGAOXROABLFNM-UHFFFAOYSA-N polynoxylin Chemical compound O=C.NC(N)=O ODGAOXROABLFNM-UHFFFAOYSA-N 0.000 description 1
- 238000001556 precipitation Methods 0.000 description 1
- 229920005989 resin Polymers 0.000 description 1
- 239000011347 resin Substances 0.000 description 1
- 229920006395 saturated elastomer Polymers 0.000 description 1
- 239000013535 sea water Substances 0.000 description 1
- 210000004243 sweat Anatomy 0.000 description 1
- 239000003760 tallow Substances 0.000 description 1
Classifications
-
- D—TEXTILES; PAPER
- D06—TREATMENT OF TEXTILES OR THE LIKE; LAUNDERING; FLEXIBLE MATERIALS NOT OTHERWISE PROVIDED FOR
- D06P—DYEING OR PRINTING TEXTILES; DYEING LEATHER, FURS OR SOLID MACROMOLECULAR SUBSTANCES IN ANY FORM
- D06P5/00—Other features in dyeing or printing textiles, or dyeing leather, furs, or solid macromolecular substances in any form
- D06P5/02—After-treatment
- D06P5/04—After-treatment with organic compounds
- D06P5/06—After-treatment with organic compounds containing nitrogen
-
- C—CHEMISTRY; METALLURGY
- C11—ANIMAL OR VEGETABLE OILS, FATS, FATTY SUBSTANCES OR WAXES; FATTY ACIDS THEREFROM; DETERGENTS; CANDLES
- C11D—DETERGENT COMPOSITIONS; USE OF SINGLE SUBSTANCES AS DETERGENTS; SOAP OR SOAP-MAKING; RESIN SOAPS; RECOVERY OF GLYCEROL
- C11D3/00—Other compounding ingredients of detergent compositions covered in group C11D1/00
- C11D3/40—Dyes ; Pigments
- C11D3/42—Brightening agents ; Blueing agents
-
- D—TEXTILES; PAPER
- D06—TREATMENT OF TEXTILES OR THE LIKE; LAUNDERING; FLEXIBLE MATERIALS NOT OTHERWISE PROVIDED FOR
- D06L—DRY-CLEANING, WASHING OR BLEACHING FIBRES, FILAMENTS, THREADS, YARNS, FABRICS, FEATHERS OR MADE-UP FIBROUS GOODS; BLEACHING LEATHER OR FURS
- D06L4/00—Bleaching fibres, filaments, threads, yarns, fabrics, feathers or made-up fibrous goods; Bleaching leather or furs
- D06L4/60—Optical bleaching or brightening
- D06L4/671—Optical brightening assistants, e.g. enhancers or boosters
-
- D—TEXTILES; PAPER
- D06—TREATMENT OF TEXTILES OR THE LIKE; LAUNDERING; FLEXIBLE MATERIALS NOT OTHERWISE PROVIDED FOR
- D06P—DYEING OR PRINTING TEXTILES; DYEING LEATHER, FURS OR SOLID MACROMOLECULAR SUBSTANCES IN ANY FORM
- D06P5/00—Other features in dyeing or printing textiles, or dyeing leather, furs, or solid macromolecular substances in any form
- D06P5/02—After-treatment
- D06P5/04—After-treatment with organic compounds
- D06P5/08—After-treatment with organic compounds macromolecular
Definitions
- This aftertreatment is carried out primarily with cationic auxiliaries, either directly after the washout process or after the washed and dried goods.
- reactive prints are also optically lightened together with the equipment of the material.
- the conventional anion-active optical brighteners are not compatible with the cation-active auxiliaries, since uncontrolled precipitations result, so that these processes have hitherto not been technically feasible.
- the invention accordingly relates to a process for the aftertreatment of cellulose or cellulose-containing materials printed with reactive dyes by using an aqueous aftertreatment liquor is, which contains at least one cationic auxiliary and at least one amphoteric optical brightener and / or at least one cationic optical brightener.
- This process allows prints to be produced which on the one hand have a high level of fastness, above all a very good wet fastness and on the other hand have the required degree of whiteness.
- the cationic auxiliaries to be used according to the invention are, above all, those which improve wet fastness, such as water, sweat, wet iron and sea water fastness.
- Suitable cationic auxiliaries of this type are derivatives of ammonia and / or imidazoline with 2 long-chain aliphatic saturated or unsaturated radicals, such as, for example, 1-methyl-1-oleylamidoethyl-2-oleyl-imidazolinium.
- X e 1-methyl-l-tallowamidoethyl-2-tallow-imidazolinium.
- X ⁇ di-tallow dimethyl ammonium.
- X or a compound of the formula wherein QC is 14-16 alkyl and X is chloride, bromide, methyl sulfate, ethyl sulfate, methane, ethane or toluenesulfonate anion.
- Amine-formaldehyde condensation products are also suitable, such as a condensation product of ethylenediamine dihydrochloride, dicyandiamide and formaldehyde.
- the cationic auxiliary is used in amounts of 1 to 10 g / 1 aftertreatment liquor.
- amphoteric optical brightener of the formula is particularly preferred from this class
- optical brightener of the formula is particularly preferred
- amphoteric and cationic optical brighteners are known (for example EP-A-0 059 684, DE-A-2 159 469, EP-A-0 019 078 and EP-A-0 019 702)) and can be prepared by known methods will.
- amphoteric and cationic optical brighteners which can be used according to the invention are used in amounts of totally 0.1 to 3 g / 1, preferably 1 to 2 g / 1, of aftertreatment liquor.
- synthetic resins can also be added to the aftertreatment liquor.
- synthetic non-crystalline resinous compounds that soften on heating, are capable of film formation and are insoluble in water. They are usually macromolecules that are obtained by polymerization or polycondensation, e.g. Phenol-formaldehyde resins, polyesters, polyamides, epoxy resins (condensation products from epichlorohydrin and diphenylolpropane, crosslinked e.g. with urea-formaldehyde).
- particularly interesting synthetic resins are etherified glycol resins.
- the process is preferably carried out at room temperature, it being possible for the aftertreatment liquor to be applied expediently by padding using a wide variety of methods.
- the material After the cellulose or cellulose-containing material printed with reactive dyes has been treated with the aftertreatment liquor, the material is dried, then heated to 100 ° to 200 ° C. for 10 seconds to 10 minutes and finished.
- Another object of the invention relates to the aqueous liquor for carrying out the method, which is characterized in that it contains at least one cationic auxiliary and at least one amphoteric optical brightener and / or at least one cationic optical brightener and optionally a synthetic resin.
- the cationic additives, amphoteric and cationic optical brighteners and synthetic resins that can be used are those mentioned at the beginning.
- a refined cotton fabric is obtained which is very wash-resistant and has a good degree of whiteness.
- EXAMPLE 2 The procedure is as in Example 1, but 1 g / l of the cationic optical brightener of the formula is used instead of the amphoteric optical brightener you get a refined cotton fabric that is very wash-resistant and has a good degree of whiteness.
Landscapes
- Engineering & Computer Science (AREA)
- Textile Engineering (AREA)
- Chemical & Material Sciences (AREA)
- Life Sciences & Earth Sciences (AREA)
- Chemical Kinetics & Catalysis (AREA)
- Oil, Petroleum & Natural Gas (AREA)
- Wood Science & Technology (AREA)
- Organic Chemistry (AREA)
- Coloring (AREA)
- Paper (AREA)
Abstract
Beschrieben wird ein Verfahren zum Nachbehandeln von mit Reaktivfarbstoffen bedruckten Cellulose- oder cellulosehaltigen Materialien, indem das bedruckte Material mit einer wässrigen Flotte behandelt wird, die mindestens ein kationaktives Hilfsmittel und mindestens einen amphoteren und/oder mindestens einen kationischen optischen Aufheller enthält. Es werden dabei Drucke erhalten, die einerseits ein hohes Echtheitsniveau, vor allem eine sehr gute Nassechtheit und andererseits den geforderten Weissgrad aufweisen.
Description
- Hohe Echtheitsanforderungen einerseits und formaldehydarme Ausrüstung andererseits machen es notwendig, dass mit Reaktivfarbstoffen bedruckte Cellulose- oder cellulosehaltige Materialien oft einer Nachbehandlung, vor allem einer nassechtheitsverbesserten Nachbehandlung bedürfen.
- Diese Nachbehandlung erfolgt vor allem mit kationaktiven Hilfsmitteln, entweder im direkten Anschluss an den Auswaschvorgang oder im Anschluss an die gewaschene und getrocknete Ware. In den weitaus meisten Fällen werden jedoch Reaktivdrucke gleichzeitig zusammen mit der Ausrüstung des Materials auch optisch aufgehellt. Die herkömmlichen anionaktiven optischen Aufheller sind jedoch mit den kationaktiven Hilfsmitteln nicht verträglich, da unkontrollierte Ausfällungen resultieren, so dass diese Verfahren bislang technisch nicht gut durchführbar sind.
- Es wurde nun überraschenderweise gefunden, dass eine Nassechtheitsverbesserung und gleichzeitige optische Aufhellung von mit Reaktivfarbstoffen bedruckten Cellulose- und cellulosehaltigen Materialien möglich ist, wenn zusammen mit dem kationaktiven Hilfsmittel amphotere und/oder kationische optische Aufheller verwendet werden.
- Die Erfindung betrifft demnach ein Verfahren zum Nachbehandeln von mit Reaktivfarbstoffen bedruckten Cellulose- oder cellulosehaltigen Materialien, indem eine wässrige Nachbehandlungsflotte verwendet wird, die mindestens ein kationaktives Hilfsmittel und mindestens einen amphoteren optischen Aufheller und/oder mindestens einen kationischen optischen Aufheller enthält.
- Dieses Verfahren erlaubt Drucke herzustellen, die einerseits ein hohes Echtheitsniveau, vor allem eine sehr gute Nassechtheit und andererseits den geforderten Weissgrad aufweisen.
- Bei den erfindungsgemäss zu verwendeten kationaktiven Hilfsmitteln handelt es sich vor allem um solche, welche die Nassechtheit wie die Wasser-, Schweiss-, Nassbügel- und Seewasserechtheit verbessern.
- Als derartige kationaktive Hilfsmittel eignen sich beispielsweise Derivate des Ammoniaks und/oder des Imidazolins mit 2 langkettigen aliphatischen gesättigten oder ungesättigten Resten, wie z.B. 1-Methyl-1-oleylamidoäthyl-2-oleyl-imidazolinium. Xe, 1-Methyl-l-talgamidoäthyl-2-talg-imidazolinium. X⊖, Di-talg-dimethylammonium. X oder einer Verbindung der Formel
worin Q C14-16-Alkyl bedeutet und X für Chlorid-, Bromid-, Methylsulfat-, Aethylsulfat-, Methan-, Aethan- oder Toluolsulfonatanion steht. Desweiteren kommen Amin-Formaldehyd-Kondensationsprodukte in Frage, wie z.B. ein Kondensationsprodukt aus Ethylendiamindihydrochlorid, Dicyandiamid und Formaldehyd. - Das kationaktive Hilfsmittel wird in Mengen von 1 bis 10 g/1 Nachbehandlungsflotte eingesetzt.
-
- X Sauerstoff, Schwefel, die direkte Bindung, -SO2N(R5)-, -CON(R5)- oder -COO-,
- Y1 und Y2 unabhängig voneinander C1-C4-Alkylen oder Hydroxypropylen, R1 und R2 unabhängig voneinander C1-C4-Alkyl oder zusammen mit dem N-Atom einen Pyrrolidin-, Piperidin-, Hexamethylenimin- oder Morpholinring und R1 zusammen mit R5 auch einen Piperazinring,
- R3 und R4 Wasserstoff-, Ci-4-Alkyl, Chlor, C1-4-Alkoxy, C3-4-Alkenyl oder in o-Stellung zueinander zusammen eine Trimethylen- oder Tetramethylengruppe,
- R5 Wasserstoff, C1-4-Alkyl, Cyanoäthyl oder zusammen mit R1 einen Piperazinring,
- Q -COO oder -S03 und
- n die Zahl 1 oder 2
-
-
- R1 Wasserstoff, Halogen, eine niedere Alkyl- oder Alkoxygruppe oder zusammen mit Rz einen annellierten Benzolrest,
- R2 Wasserstoff, eine niedere Alkyl- oder Alkoxygruppe, Halogen, eine Carboxy-, Carbalkoxy-, Aminocarbonyl-, Mono- oder Dialkylaminocarbonyl-, Sulfonsäure-, Alkylsulfonyl-, Alkyloxysulfonyl-, Aminosulfonyl- oder Mono- oder Dialkylaminosulfonylgruppe oder zusammen mit Ri oder R3 einen annellierten Benzolrest,
- R3 Wasserstoff, Halogen oder eine niedere Alkyl- oder Alkoxygruppe oder zusammen mit R2 oder R4 einen annellierten Benzolrest,
- R4 Wasserstoff, eine niedere Alkyl- oder Alkoxygruppe oder Halogen oder zusammen mit R3 einen annellierten Benzolrest,
- R5 Wasserstoff, eine niedere Alkylgruppe oder eine gegebenenfalls mit Methyl und/oder Methoxy substituierte Phenylgruppe,
- R6 Wasserstoff, eine niedere Alkyl- oder Alkoxygruppe, Halogen, einen Phenylrest, einen Alkylsulfonyl- oder einen Phenylsulfonylrest,
- R7 Wasserstoff, eine niedere Alkyl- oder Alkoxygruppe oder Halogen, R8 eine niedere Alkylgruppe, eine mindestens zwei Kohlenstoffatome aufweisende Hydroxyalkylgruppe, die Cyanäthylgruppe, einen gegebenenfalls durch Halogen, niedere Alkyl- oder Alkoxygruppe substituierten Phenylrest, einen Cycloalkylrest oder einen Aralkylrest,
- R9 eine niedere Alkylgruppe, eine Hydroxyalkylgruppe, eine Alkoxyalkylgruppe, einen gegebenenfalls substituierten Aralkylrest oder den -CHzCN, -CH2CONHz, -CHz-COOR Rest, wobei R eine Alkylgruppe mit 1 bis 4 Kohlenstoffatomen darstellt und
- X Halogen, einen Alkylsulfonsäurerest oder einen gegebenenfalls durch niederes Alkyl substituierten Phenylsulfonsäurerest bedeuten.
-
- X und X' unabhängig voneinander -COO- oder -CON(R4)- in o-Stellung, die direkte Bindung, Sauerstoff, Schwefel, -O-C1-3-Alkylen-CON(R4)-, -SO2N(R4)-, -O-C1-3-Alkylen-COO- oder -OCO-,
- Y und Y' unabhängig voneinander C1-20-Alkylen,
- R1 und R1 unabhängig voneinander unsubstituiertes oder substituiertes C1-18-Alkyl, C3-4-Alkenyl oder zusammen mit R2 bzw. R2 einen aeterocyclischen Ring,
- R2 und R2 unabhängig voneinander unsubstituiertes oder substituiertes C1-4-Alkyl, C3-4-Alkenyl oder zusammen mit R1 bzw. R1 einen heterocyclischen Ring oder R1 und R2 bzw. R1 und R2 zusammen mit R3 einen Pyridin- oder Picolinring,
- R3 Wasserstoff, unsubstituiertes oder substituiertes Cl-4-Alkyl, C3-4-Alkenyl, oder zusammen mit R1 und Rz bzw. Ri und R2 einen Pyridin- :der Picolinring,
- R4 Wasserstoff oder unsubstituiertes oder substituiertes CI-6-Alkyl, A ein farbloses Anion und
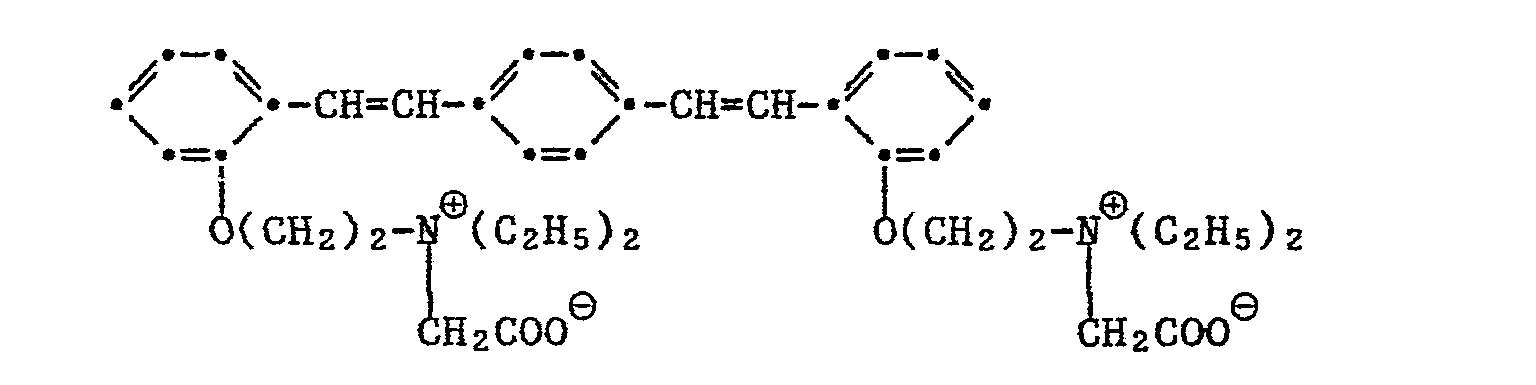
- n und n' urabhängig voneinander die Zahl 0 oder 1 bedeuten, wobei die lenzolkerne B und C auch nicht-chromophor substituiert sein können. Besonders voteilhaft haben sich optische Aufheller der Formel
erwiesen, worin X und X' unabhängig voneinander die direkte Bindung, Sauerstoff, Schwefel, -O-C1-3-Alkylen-CON(R4)-, -CON(R4), -O-C1-3-Alkylen-COO-, -OCO- oder -COO-, wobei, wenn n + n' = 0, X und X' nicht -CON(R4)- oder -O-C1-3-Alkylen-CON(R4) und wenn n + n' = 2 und X und X' -CON(R4)- oder -COO-, A⊖ nicht Phosphit- oder Phosphonatanion sein dürfen, Y und Y' abhängig voneinander C1-20-Alkylen, Ri und Ri unabhängig voneinander unsubstituiertes oder substituiertes C1-8-Alkyl, C3-4-Alkenyl oder zusammen mit R2 bzw. R2 einen heterocyclischen Ring, R2 und R2 unabhängig voneinander unsubstituiertes oder substituiertes C1-8-Alkyl, C3-4-Alkenyl oder zusammen mit R1 bzw. R1 einen heterocyclischen Ring, oder Ri und Rz bzw. R1 und R2 zusammen mit R3 einen Pyridin- oder Picolinring, R3 Wasserstoff, unsubstituiertes oder substituiertes Ci-4-Alkyl oder C3-4-Alkenyl-, zusammen mit R1 und Rz bzw. R1 und R2 einen Pyridin- oder Picolinring, R4 Wasserstoff oder unsubstituiertes oder substituiertes C1-6-Alkyl, A⊖ ein farbloses Anion und n und n' unabhängig voneinander die Zahl 0 oder 1 bedeuten, wobei die Benzolkerne B und C auch nicht-chromophor substituiert sein können. -
- All diese amphoteren und kationischen optischen Aufheller sind bekannt (z.B. EP-A-0 059 684, DE-A-2 159 469, EP-A-0 019 078 sowie EP-A-0 019 702)) und können nach bekannten Methoden hergestellt werden.
- Die erfindungsgemäss verwendbaren amphoteren und kationischen optischen Aufheller werden in Mengen von total 0,1 bis 3 g/1 vorzugsweise 1 bis 2 g/1 Nachbehandlungsflotte eingesetzt.
- Desweiteren können der Nachbehandlungsflotte noch Kunstharze zugesetzt werden. Dies sind synthetische nichtkristalline harzartige Verbindungen, die beim Erwärmen erweichen, zur Filmbildung befähigt und unlöslich in Wasser sind. Es handelt sich meist um Makromoleküle, die durch Polymerisation oder Polykondensation gewonnen werden, z.B. Phenol-Formaldehyd-Harze, Polyester, Polyamide, Epoxydharze (Kondensationsprodukte aus Epichlorhydrin und Diphenylolpropan, vernetzt z.B. mit Harnstoff-Formaldehyd). In diesem Zusammenhang besonders interessante Kunstharze sind verätherte Glykolharze.
- Die Durchführung des Verfahrens erfolgt vorzugsweise bei Raumtemperatur, wobei die Nachbehandlungsflotte mittels der verschiedensten Methoden, zweckmässig durch Foulardieren aufgebracht werden kann.
- Nachdem das, mit Reaktivfarbstoffen bedruckte Cellulose- oder cellulosehaltige Material mit der Nachbehandlungsflotte behandelt wurde, wird das Material getrocknet, anschliessend auf 100° bis 200°C während 10 Sekunden bis 10 Minuten erhitzt und fertiggestellt.
- Einen weiteren Erfindungsgegenstand betrifft die wässrige Flotte zur Durchführung des Verfahrens, die dadurch gekennzeichnet ist, dass diese mindestens ein kationaktives Hilfsmittel und mindestens einen amphoteren optischen Aufheller und/oder mindestens einen kationischen optischen Aufheller sowie gegebenenfalls ein Kunstharz enthält.
- Als kationaktive Hilfsmittel, amphotere und kationische optische Aufheller und Kunstharze kommen die eingangs genannten in Frage.
- Die folgenden Beispiele erläutern das erfindungsgemässe Verfahren; Temperaturen sind in Grad Celsius angegeben.
-
- 40 g/l des Kunstharzes der Formel
- 3,3 g/l eines Kondensationsproduktes aus Ethylendiamindihydrochlorid, Dicyandiamid und Formaldehyd,
- 1,2 g/l des amphoteren optischen Aufhellers der Formel
und - 16 g/1 eines Katalysators der Verbindung der Formel MgCl2·6H2O bei Raumtemperatur imprägniert. Die Flüssigkeitsaufnahme beträgt 60 %. Anschliessend wird das Baumwoll-Gewebe bei 60° getrocknet und während 5 Minuten mit Heissluft von 150° behandelt.
- Man erhält ein veredeltes Baumwoll-Gewebe, das sehr waschbeständig ist und einen guten Weissgrad aufweist.
- Verwendet man anstelle des Katalysators der Formel MgCl2·6H2O gleiche Mengen des Katalysators der Formel MgC12 + A1C13 oder MgCl2·6H2O + 0,2-0,5 g/1 NaBF4, so erhält man bei im übrigen gleicher Arbeitsweise ein gleich gut veredeltes Baumwoll-Gewebe.
-
bedeuten.
Claims (12)
1. Verfahren zum Nachbehandeln von mit Reaktivfarbstoffen bedruckten Cellulose- oder cellulosehaltigen Materialien, dadurch gekennzeichnet, dass eine wässrige Nachbehandlungsflotte verwendet wird, die mindestens ein kationaktives Hilfsmittel und mindestens einen amphoteren optischen Aufheller und/oder mindestens einen kationischen optischen Aufheller enthält.
2. Verfahren gemäss Anspruch 1, dadurch gekennzeichnet, dass als kationaktives Hilfsmittel ein solches verwendet wird, welches die Nassechtheit verbessert.
3. Verfahren gemäss Anspruch 1, dadurch gekennzeichnet, dass als kationaktives Hilfsmittel ein Amin-Formaldehyd Kondensationsprodukt verwendet wird.
4. Verfahren gemäss Anspruch 1, dadurch gekennzeichnet, dass als kationaktives Hilfsmittel ein Kondensationsprodukt aus Ethylendiamindihydrochlorid, Dicyandiamid und Formaldehyd verwendet wird.
5. Verfahren gemäss Anspruch 1, dadurch gekennzeichnet, dass das kationaktive Hilfsmittel in Mengen von 1 bis 10 g/1 Nachbehandlungsflotte verwendet wird.
6. Verfahren gemäss Anspruch 1, dadurch gekennzeichnet, dass als amphoterer optischer Aufheller ein solcher der Formel
verwendet wird, worin
bedeuten.
X Sauerstoff, Schwefel, die direkte Bindung, -SO2N(R5)-, -CON(R5)- oder -COO-,
Y1 und Yz unabhängig voneinander Cl-C4-Alkylen oder Hydroxypropylen, R1 und R2 unabhängig voneinander CI-C4-Alkyl oder zusammen mit dem N-Atom einen Pyrrolidin-, Piperidin-, Hexamethylenimin- oder Morpholinring und R1 zusammen mit R5 auch einen Piperazinring,
R3 und R4 Wasserstoff-, C1-4-Alkyl, Chlor, Cl-4-Alkoxy, C3-4-Alkenyl oder in o-Stellung zueinander zusammen eine Trimethylen- oder Tetramethylengruppe,
Rs Wasserstoff, C1-4-Alkyl, Cyanoäthyl oder zusammen mit R1 einen Piperazinring,
Q -COO oder -S03 und
n die Zahl 1 oder 2
bedeuten.
8. Verfahren gemäss Anspruch 1, dadurch gekennzeichnet, dass der amphotere und/oder kationische optische Aufheller in Mengen von total 0,1 bis 3 g/L Nachbehandlungsflotte verwendet wird.
9. Verfahren gemäss Anspruch 1, dadurch gekennzeichnet, dass die Nachbehandlungsflotte ein Kunstharz enthält.
10. Verfahren gemäss Anspruch 1, dadurch gekennzeichnet, dass dieses bei Raumtemperatur durchgeführt wird.
11. Wässrige Nahbehandlungsflotte zur Durchführung des Verfahrens gemäss Anspruch 1, dadurch gekennzeichnet, dass diese mindestens ein kationaktives Hilfsmittel, mindestens einen amphoteren und/oder kationischen optischen Aufheller und gegebenenfalls ein Kunstharz enthält.
12. Die gemäss dem Verfahren von Anspruch 1 oder mittels der Flotte gemäss Anspruch 11 behandelten Materialien.
Applications Claiming Priority (2)
| Application Number | Priority Date | Filing Date | Title |
|---|---|---|---|
| CH327/86 | 1986-01-29 | ||
| CH32786 | 1986-01-29 |
Publications (1)
| Publication Number | Publication Date |
|---|---|
| EP0235079A1 true EP0235079A1 (de) | 1987-09-02 |
Family
ID=4184493
Family Applications (1)
| Application Number | Title | Priority Date | Filing Date |
|---|---|---|---|
| EP87810038A Ceased EP0235079A1 (de) | 1986-01-29 | 1987-01-23 | Verfahren zum Nachbehandeln von mit Reaktivfarbstoffen bedruckten Cellulose- oder cellulosehaltigen Materialien |
Country Status (3)
| Country | Link |
|---|---|
| US (1) | US4880433A (de) |
| EP (1) | EP0235079A1 (de) |
| JP (1) | JPS62184186A (de) |
Cited By (1)
| Publication number | Priority date | Publication date | Assignee | Title |
|---|---|---|---|---|
| EP0334372A1 (de) * | 1988-03-25 | 1989-09-27 | Ciba-Geigy Ag | Lagerstabile anionische Flüssigwaschmittel enthaltend amphotere Distyrylderivate |
Families Citing this family (1)
| Publication number | Priority date | Publication date | Assignee | Title |
|---|---|---|---|---|
| CN106049025B (zh) * | 2016-07-15 | 2018-12-04 | 东华大学 | 一种多羧酸无甲醛免烫织物增白液及其应用 |
Citations (6)
| Publication number | Priority date | Publication date | Assignee | Title |
|---|---|---|---|---|
| GB877948A (en) * | 1958-03-04 | 1961-09-20 | Ciba Ltd | Process for improving textile dyeings |
| GB952680A (en) * | 1961-05-10 | 1964-03-18 | Ici Ltd | New colouration process |
| DE2841445A1 (de) * | 1977-09-28 | 1979-04-05 | Ciba Geigy Ag | Wasch- und reinigungsmittel |
| EP0029003A2 (de) * | 1979-11-01 | 1981-05-20 | Ciba-Geigy Ag | Salze kationischer Aufheller, deren Herstellung und deren Verwendung auf organischen Materialien sowie deren konzentrierte wässrige Lösungen |
| EP0059684A1 (de) * | 1981-02-26 | 1982-09-08 | Ciba-Geigy Ag | Amphotere Styrolderivate |
| EP0151370A2 (de) * | 1984-01-03 | 1985-08-14 | Sandoz Ag | Färben und Bedrucken von Fasern |
-
1987
- 1987-01-23 EP EP87810038A patent/EP0235079A1/de not_active Ceased
- 1987-01-27 US US07/007,835 patent/US4880433A/en not_active Expired - Fee Related
- 1987-01-29 JP JP62017410A patent/JPS62184186A/ja active Pending
Patent Citations (6)
| Publication number | Priority date | Publication date | Assignee | Title |
|---|---|---|---|---|
| GB877948A (en) * | 1958-03-04 | 1961-09-20 | Ciba Ltd | Process for improving textile dyeings |
| GB952680A (en) * | 1961-05-10 | 1964-03-18 | Ici Ltd | New colouration process |
| DE2841445A1 (de) * | 1977-09-28 | 1979-04-05 | Ciba Geigy Ag | Wasch- und reinigungsmittel |
| EP0029003A2 (de) * | 1979-11-01 | 1981-05-20 | Ciba-Geigy Ag | Salze kationischer Aufheller, deren Herstellung und deren Verwendung auf organischen Materialien sowie deren konzentrierte wässrige Lösungen |
| EP0059684A1 (de) * | 1981-02-26 | 1982-09-08 | Ciba-Geigy Ag | Amphotere Styrolderivate |
| EP0151370A2 (de) * | 1984-01-03 | 1985-08-14 | Sandoz Ag | Färben und Bedrucken von Fasern |
Non-Patent Citations (1)
| Title |
|---|
| BOOK OF PAPERS, 1983 NATIONAL TECHNICAL CONFERNCE - AATCC, 1983 Intersectional Technical Paper Competition Piedmont Section, Seiten 31-44, Triangle Park, US; D.H. ALLEN et al.: "Effect of softeners on the colorfastness of polyester/cotton knit fabric" * |
Cited By (1)
| Publication number | Priority date | Publication date | Assignee | Title |
|---|---|---|---|---|
| EP0334372A1 (de) * | 1988-03-25 | 1989-09-27 | Ciba-Geigy Ag | Lagerstabile anionische Flüssigwaschmittel enthaltend amphotere Distyrylderivate |
Also Published As
| Publication number | Publication date |
|---|---|
| JPS62184186A (ja) | 1987-08-12 |
| US4880433A (en) | 1989-11-14 |
Similar Documents
| Publication | Publication Date | Title |
|---|---|---|
| EP0225281B1 (de) | Hilfsmittelkombination und ihre Verwendung als Textilveredelungsmittel | |
| DE2210087A1 (de) | Textilweichmacher | |
| DE2500428A1 (de) | Verfahren zum abtrennen von metallionen | |
| EP0235079A1 (de) | Verfahren zum Nachbehandeln von mit Reaktivfarbstoffen bedruckten Cellulose- oder cellulosehaltigen Materialien | |
| EP0221855B1 (de) | Diquaternäre Ammoniumsalze und deren Herstellung und Verwendung als Textilveredelungsmittel | |
| EP0038299B1 (de) | Kationische Verbindungen | |
| DE3041580C2 (de) | Wasserlösliches, oligomeres Kondensationsprodukt aus Glyoxal und cyclischem Harnstoff und seine Verwendung zur Herstellung von knitterfesten Textilien | |
| DE2433233B2 (de) | Verfahren zum Spinnfärben von Polymeren oder Mischpolymeren des Acrylnitril | |
| EP0145656A2 (de) | Kationische Verbindungen | |
| DE1469868A1 (de) | Verfahren zum Faerben organischer Erzeugnisse mit Pigmentfarbstoffen | |
| DE1901710A1 (de) | Neue organische Fluorverbindungen und ihre Verwendung als Oleophobiermittel | |
| DE2148014A1 (de) | Stilben-Derivate | |
| DE2104731A1 (de) | Perfluoralkylalkylmonocarbonsaure ester, Verfahren zur Herstellung dieser Verbindungen und ihre Verwendung | |
| DE2335674A1 (de) | Verfahren und mittel zur antistatischen faserausruestung | |
| DE2921641A1 (de) | Kationische aufheller | |
| DE1419364C (de) | ||
| DE2062559C2 (de) | Verfahren zur Flammfestausrüstung | |
| DE1419367C (de) | Mittel zum Wasserabweisendmachen von Fasermaterialien | |
| DE2436138A1 (de) | Faerbeverfahren | |
| DE1938101A1 (de) | Verfahren zur Flammfestausruestung von cellulosehaltigen Geweben | |
| DE1469280C (de) | Verwendung wasseriger Zubereitungen von Salzen von N,N disubstituierten Saure amiden von Di oder Tricarbonsäuren zum Weichmachen von Textilien | |
| DE2148512A1 (de) | Neue Triazol-Derivate | |
| DE1444077A1 (de) | Organosiliciummassen zum Wassersabstossendmachen von natuerlichem und synthetischem Fasermaterial | |
| DE2127313A1 (de) | Verfahren zum Flammfestmachen von cellulosehaltigen! Fasermaterial | |
| DE1619071A1 (de) | Verfahren zum Ausruesten und Weisstoenen von Textilien |
Legal Events
| Date | Code | Title | Description |
|---|---|---|---|
| PUAI | Public reference made under article 153(3) epc to a published international application that has entered the european phase |
Free format text: ORIGINAL CODE: 0009012 |
|
| 17P | Request for examination filed |
Effective date: 19870126 |
|
| AK | Designated contracting states |
Kind code of ref document: A1 Designated state(s): AT CH DE ES FR GB IT LI NL |
|
| 17Q | First examination report despatched |
Effective date: 19890727 |
|
| STAA | Information on the status of an ep patent application or granted ep patent |
Free format text: STATUS: THE APPLICATION HAS BEEN REFUSED |
|
| 18R | Application refused |
Effective date: 19900812 |
|
| RIN1 | Information on inventor provided before grant (corrected) |
Inventor name: DEFAGO, RAYMOND Inventor name: SUETTERLIN, WOLFGANG |












