DE69918100T2 - Propylenhomopolymere und herstellungsverfahren - Google Patents
Propylenhomopolymere und herstellungsverfahren Download PDFInfo
- Publication number
- DE69918100T2 DE69918100T2 DE69918100T DE69918100T DE69918100T2 DE 69918100 T2 DE69918100 T2 DE 69918100T2 DE 69918100 T DE69918100 T DE 69918100T DE 69918100 T DE69918100 T DE 69918100T DE 69918100 T2 DE69918100 T2 DE 69918100T2
- Authority
- DE
- Germany
- Prior art keywords
- propylene
- range
- propylene homopolymer
- molecular weight
- homopolymer
- Prior art date
- Legal status (The legal status is an assumption and is not a legal conclusion. Google has not performed a legal analysis and makes no representation as to the accuracy of the status listed.)
- Expired - Fee Related
Links
- 229920001384 propylene homopolymer Polymers 0.000 title claims description 45
- 238000004519 manufacturing process Methods 0.000 title claims description 11
- -1 polypropylene Polymers 0.000 claims description 50
- 229920001155 polypropylene Polymers 0.000 claims description 45
- 239000000203 mixture Substances 0.000 claims description 39
- 238000009826 distribution Methods 0.000 claims description 38
- 238000000034 method Methods 0.000 claims description 37
- 229920000642 polymer Polymers 0.000 claims description 34
- VLKZOEOYAKHREP-UHFFFAOYSA-N n-Hexane Chemical compound CCCCCC VLKZOEOYAKHREP-UHFFFAOYSA-N 0.000 claims description 27
- 238000006116 polymerization reaction Methods 0.000 claims description 27
- QQONPFPTGQHPMA-UHFFFAOYSA-N propylene Natural products CC=C QQONPFPTGQHPMA-UHFFFAOYSA-N 0.000 claims description 27
- 125000004805 propylene group Chemical group [H]C([H])([H])C([H])([*:1])C([H])([H])[*:2] 0.000 claims description 27
- 239000000155 melt Substances 0.000 claims description 22
- 239000012986 chain transfer agent Substances 0.000 claims description 18
- 230000000379 polymerizing effect Effects 0.000 claims description 17
- 229910052739 hydrogen Inorganic materials 0.000 claims description 15
- 239000001257 hydrogen Substances 0.000 claims description 15
- 239000004743 Polypropylene Substances 0.000 claims description 14
- UFHFLCQGNIYNRP-UHFFFAOYSA-N Hydrogen Chemical compound [H][H] UFHFLCQGNIYNRP-UHFFFAOYSA-N 0.000 claims description 11
- 229920001519 homopolymer Polymers 0.000 claims description 10
- 238000002844 melting Methods 0.000 claims description 7
- 230000008018 melting Effects 0.000 claims description 7
- 238000002360 preparation method Methods 0.000 claims description 7
- 229910007926 ZrCl Inorganic materials 0.000 description 40
- 239000000047 product Substances 0.000 description 19
- 239000003054 catalyst Substances 0.000 description 18
- VYPSYNLAJGMNEJ-UHFFFAOYSA-N Silicium dioxide Chemical compound O=[Si]=O VYPSYNLAJGMNEJ-UHFFFAOYSA-N 0.000 description 15
- 150000001450 anions Chemical class 0.000 description 15
- 239000012190 activator Substances 0.000 description 14
- 150000001875 compounds Chemical class 0.000 description 13
- 150000001768 cations Chemical class 0.000 description 9
- 239000000463 material Substances 0.000 description 9
- 125000000217 alkyl group Chemical group 0.000 description 8
- 239000011148 porous material Substances 0.000 description 8
- 239000012632 extractable Substances 0.000 description 7
- 230000007935 neutral effect Effects 0.000 description 7
- 239000000377 silicon dioxide Substances 0.000 description 7
- YXFVVABEGXRONW-UHFFFAOYSA-N Toluene Chemical compound CC1=CC=CC=C1 YXFVVABEGXRONW-UHFFFAOYSA-N 0.000 description 6
- 229910052801 chlorine Inorganic materials 0.000 description 6
- 239000002002 slurry Substances 0.000 description 6
- ZAMOUSCENKQFHK-UHFFFAOYSA-N Chlorine atom Chemical compound [Cl] ZAMOUSCENKQFHK-UHFFFAOYSA-N 0.000 description 5
- 239000003795 chemical substances by application Substances 0.000 description 5
- 239000000460 chlorine Substances 0.000 description 5
- 239000007788 liquid Substances 0.000 description 5
- 229910052751 metal Inorganic materials 0.000 description 5
- 239000002184 metal Substances 0.000 description 5
- 239000002243 precursor Substances 0.000 description 5
- 229910052726 zirconium Inorganic materials 0.000 description 5
- 125000000008 (C1-C10) alkyl group Chemical group 0.000 description 4
- AQZWEFBJYQSQEH-UHFFFAOYSA-N 2-methyloxaluminane Chemical compound C[Al]1CCCCO1 AQZWEFBJYQSQEH-UHFFFAOYSA-N 0.000 description 4
- 239000000654 additive Substances 0.000 description 4
- PNEYBMLMFCGWSK-UHFFFAOYSA-N aluminium oxide Inorganic materials [O-2].[O-2].[O-2].[Al+3].[Al+3] PNEYBMLMFCGWSK-UHFFFAOYSA-N 0.000 description 4
- 230000004888 barrier function Effects 0.000 description 4
- 238000006243 chemical reaction Methods 0.000 description 4
- 229910052736 halogen Inorganic materials 0.000 description 4
- 150000002367 halogens Chemical group 0.000 description 4
- 150000002431 hydrogen Chemical class 0.000 description 4
- 229910052809 inorganic oxide Inorganic materials 0.000 description 4
- 239000012968 metallocene catalyst Substances 0.000 description 4
- 229920005629 polypropylene homopolymer Polymers 0.000 description 4
- PXGOKWXKJXAPGV-UHFFFAOYSA-N Fluorine Chemical compound FF PXGOKWXKJXAPGV-UHFFFAOYSA-N 0.000 description 3
- 239000002841 Lewis acid Substances 0.000 description 3
- QCWXUUIWCKQGHC-UHFFFAOYSA-N Zirconium Chemical compound [Zr] QCWXUUIWCKQGHC-UHFFFAOYSA-N 0.000 description 3
- 150000001336 alkenes Chemical class 0.000 description 3
- 125000004429 atom Chemical group 0.000 description 3
- 229920001400 block copolymer Polymers 0.000 description 3
- 239000012876 carrier material Substances 0.000 description 3
- 239000007795 chemical reaction product Substances 0.000 description 3
- 229910052731 fluorine Inorganic materials 0.000 description 3
- 239000011737 fluorine Substances 0.000 description 3
- 239000011888 foil Substances 0.000 description 3
- 229910052735 hafnium Inorganic materials 0.000 description 3
- 125000005843 halogen group Chemical group 0.000 description 3
- 239000010410 layer Substances 0.000 description 3
- 150000007517 lewis acids Chemical class 0.000 description 3
- 239000002480 mineral oil Substances 0.000 description 3
- 235000010446 mineral oil Nutrition 0.000 description 3
- 239000000178 monomer Substances 0.000 description 3
- 239000002245 particle Substances 0.000 description 3
- 229920000098 polyolefin Polymers 0.000 description 3
- 238000012545 processing Methods 0.000 description 3
- 229910052710 silicon Inorganic materials 0.000 description 3
- 239000010703 silicon Substances 0.000 description 3
- 239000000126 substance Substances 0.000 description 3
- 229910052723 transition metal Inorganic materials 0.000 description 3
- 150000003624 transition metals Chemical class 0.000 description 3
- LTMQZVLXCLQPCT-UHFFFAOYSA-N 1,1,6-trimethyltetralin Chemical compound C1CCC(C)(C)C=2C1=CC(C)=CC=2 LTMQZVLXCLQPCT-UHFFFAOYSA-N 0.000 description 2
- WKBOTKDWSSQWDR-UHFFFAOYSA-N Bromine atom Chemical compound [Br] WKBOTKDWSSQWDR-UHFFFAOYSA-N 0.000 description 2
- CPLXHLVBOLITMK-UHFFFAOYSA-N Magnesium oxide Chemical compound [Mg]=O CPLXHLVBOLITMK-UHFFFAOYSA-N 0.000 description 2
- 206010040925 Skin striae Diseases 0.000 description 2
- 208000031439 Striae Distensae Diseases 0.000 description 2
- GWEVSGVZZGPLCZ-UHFFFAOYSA-N Titan oxide Chemical compound O=[Ti]=O GWEVSGVZZGPLCZ-UHFFFAOYSA-N 0.000 description 2
- RTAQQCXQSZGOHL-UHFFFAOYSA-N Titanium Chemical compound [Ti] RTAQQCXQSZGOHL-UHFFFAOYSA-N 0.000 description 2
- MCMNRKCIXSYSNV-UHFFFAOYSA-N Zirconium dioxide Chemical compound O=[Zr]=O MCMNRKCIXSYSNV-UHFFFAOYSA-N 0.000 description 2
- 125000002877 alkyl aryl group Chemical group 0.000 description 2
- 125000005018 aryl alkenyl group Chemical group 0.000 description 2
- 125000003710 aryl alkyl group Chemical group 0.000 description 2
- GDTBXPJZTBHREO-UHFFFAOYSA-N bromine Substances BrBr GDTBXPJZTBHREO-UHFFFAOYSA-N 0.000 description 2
- 229910052794 bromium Inorganic materials 0.000 description 2
- 239000000969 carrier Substances 0.000 description 2
- 238000005266 casting Methods 0.000 description 2
- 125000004122 cyclic group Chemical group 0.000 description 2
- 229920001038 ethylene copolymer Polymers 0.000 description 2
- 238000005227 gel permeation chromatography Methods 0.000 description 2
- 229910052732 germanium Inorganic materials 0.000 description 2
- GNPVGFCGXDBREM-UHFFFAOYSA-N germanium atom Chemical compound [Ge] GNPVGFCGXDBREM-UHFFFAOYSA-N 0.000 description 2
- VBJZVLUMGGDVMO-UHFFFAOYSA-N hafnium atom Chemical compound [Hf] VBJZVLUMGGDVMO-UHFFFAOYSA-N 0.000 description 2
- 125000002887 hydroxy group Chemical group [H]O* 0.000 description 2
- NNPPMTNAJDCUHE-UHFFFAOYSA-N isobutane Chemical compound CC(C)C NNPPMTNAJDCUHE-UHFFFAOYSA-N 0.000 description 2
- 239000003446 ligand Substances 0.000 description 2
- 239000007791 liquid phase Substances 0.000 description 2
- 125000002496 methyl group Chemical group [H]C([H])([H])* 0.000 description 2
- JRZJOMJEPLMPRA-UHFFFAOYSA-N olefin Natural products CCCCCCCC=C JRZJOMJEPLMPRA-UHFFFAOYSA-N 0.000 description 2
- 239000005026 oriented polypropylene Substances 0.000 description 2
- 230000003647 oxidation Effects 0.000 description 2
- 238000007254 oxidation reaction Methods 0.000 description 2
- 230000000737 periodic effect Effects 0.000 description 2
- 239000002516 radical scavenger Substances 0.000 description 2
- 238000007665 sagging Methods 0.000 description 2
- 239000007787 solid Substances 0.000 description 2
- 238000003756 stirring Methods 0.000 description 2
- 239000000725 suspension Substances 0.000 description 2
- 229910052719 titanium Inorganic materials 0.000 description 2
- 239000010936 titanium Substances 0.000 description 2
- 238000004260 weight control Methods 0.000 description 2
- ZOICEQJZAWJHSI-UHFFFAOYSA-N (2,3,4,5,6-pentafluorophenyl)boron Chemical compound [B]C1=C(F)C(F)=C(F)C(F)=C1F ZOICEQJZAWJHSI-UHFFFAOYSA-N 0.000 description 1
- ZCYVEMRRCGMTRW-UHFFFAOYSA-N 7553-56-2 Chemical group [I] ZCYVEMRRCGMTRW-UHFFFAOYSA-N 0.000 description 1
- 241001293082 Anas hottentota Species 0.000 description 1
- OKTJSMMVPCPJKN-UHFFFAOYSA-N Carbon Chemical group [C] OKTJSMMVPCPJKN-UHFFFAOYSA-N 0.000 description 1
- VYZAMTAEIAYCRO-UHFFFAOYSA-N Chromium Chemical compound [Cr] VYZAMTAEIAYCRO-UHFFFAOYSA-N 0.000 description 1
- DZETZMSAJDMAKS-UHFFFAOYSA-L Cl[Zr]Cl.[CH]1C(C)=CC2=C1C=CC=C2C1=CC=CC=C1 Chemical compound Cl[Zr]Cl.[CH]1C(C)=CC2=C1C=CC=C2C1=CC=CC=C1 DZETZMSAJDMAKS-UHFFFAOYSA-L 0.000 description 1
- VGGSQFUCUMXWEO-UHFFFAOYSA-N Ethene Chemical compound C=C VGGSQFUCUMXWEO-UHFFFAOYSA-N 0.000 description 1
- 239000005977 Ethylene Substances 0.000 description 1
- 239000002879 Lewis base Substances 0.000 description 1
- WHXSMMKQMYFTQS-UHFFFAOYSA-N Lithium Chemical compound [Li] WHXSMMKQMYFTQS-UHFFFAOYSA-N 0.000 description 1
- ZOKXTWBITQBERF-UHFFFAOYSA-N Molybdenum Chemical compound [Mo] ZOKXTWBITQBERF-UHFFFAOYSA-N 0.000 description 1
- CTQNGGLPUBDAKN-UHFFFAOYSA-N O-Xylene Chemical compound CC1=CC=CC=C1C CTQNGGLPUBDAKN-UHFFFAOYSA-N 0.000 description 1
- XUIMIQQOPSSXEZ-UHFFFAOYSA-N Silicon Chemical compound [Si] XUIMIQQOPSSXEZ-UHFFFAOYSA-N 0.000 description 1
- ATJFFYVFTNAWJD-UHFFFAOYSA-N Tin Chemical compound [Sn] ATJFFYVFTNAWJD-UHFFFAOYSA-N 0.000 description 1
- 239000011954 Ziegler–Natta catalyst Substances 0.000 description 1
- 239000006096 absorbing agent Substances 0.000 description 1
- 230000003213 activating effect Effects 0.000 description 1
- 238000012644 addition polymerization Methods 0.000 description 1
- 150000001335 aliphatic alkanes Chemical class 0.000 description 1
- 125000003545 alkoxy group Chemical group 0.000 description 1
- 125000005234 alkyl aluminium group Chemical group 0.000 description 1
- 238000005804 alkylation reaction Methods 0.000 description 1
- AZDRQVAHHNSJOQ-UHFFFAOYSA-N alumane Chemical class [AlH3] AZDRQVAHHNSJOQ-UHFFFAOYSA-N 0.000 description 1
- 229910052782 aluminium Inorganic materials 0.000 description 1
- 150000001449 anionic compounds Chemical class 0.000 description 1
- 125000000129 anionic group Chemical group 0.000 description 1
- 239000012683 anionic precursor Substances 0.000 description 1
- 239000003963 antioxidant agent Substances 0.000 description 1
- 239000002216 antistatic agent Substances 0.000 description 1
- 238000013459 approach Methods 0.000 description 1
- 125000003118 aryl group Chemical group 0.000 description 1
- 238000011074 autoclave method Methods 0.000 description 1
- 229920005601 base polymer Polymers 0.000 description 1
- 238000000071 blow moulding Methods 0.000 description 1
- 239000006227 byproduct Substances 0.000 description 1
- 125000004432 carbon atom Chemical group C* 0.000 description 1
- 125000002091 cationic group Chemical group 0.000 description 1
- 125000001309 chloro group Chemical group Cl* 0.000 description 1
- 229910052804 chromium Inorganic materials 0.000 description 1
- 239000011651 chromium Substances 0.000 description 1
- 239000008395 clarifying agent Substances 0.000 description 1
- 238000012718 coordination polymerization Methods 0.000 description 1
- 229920001577 copolymer Polymers 0.000 description 1
- 239000012792 core layer Substances 0.000 description 1
- 150000001924 cycloalkanes Chemical class 0.000 description 1
- 125000000058 cyclopentadienyl group Chemical group C1(=CC=CC1)* 0.000 description 1
- 230000005595 deprotonation Effects 0.000 description 1
- 238000010537 deprotonation reaction Methods 0.000 description 1
- HQWPLXHWEZZGKY-UHFFFAOYSA-N diethylzinc Chemical compound CC[Zn]CC HQWPLXHWEZZGKY-UHFFFAOYSA-N 0.000 description 1
- 239000003085 diluting agent Substances 0.000 description 1
- 230000002708 enhancing effect Effects 0.000 description 1
- 238000001125 extrusion Methods 0.000 description 1
- 239000000835 fiber Substances 0.000 description 1
- 239000000945 filler Substances 0.000 description 1
- 239000012467 final product Substances 0.000 description 1
- 125000003709 fluoroalkyl group Chemical group 0.000 description 1
- 238000009920 food preservation Methods 0.000 description 1
- 239000012634 fragment Substances 0.000 description 1
- 239000007789 gas Substances 0.000 description 1
- 150000004795 grignard reagents Chemical class 0.000 description 1
- 239000012760 heat stabilizer Substances 0.000 description 1
- 150000004678 hydrides Chemical group 0.000 description 1
- 229920006270 hydrocarbon resin Polymers 0.000 description 1
- 150000002430 hydrocarbons Chemical group 0.000 description 1
- 238000011065 in-situ storage Methods 0.000 description 1
- 229910001504 inorganic chloride Inorganic materials 0.000 description 1
- 150000008040 ionic compounds Chemical class 0.000 description 1
- 150000002500 ions Chemical class 0.000 description 1
- 239000001282 iso-butane Substances 0.000 description 1
- 150000007527 lewis bases Chemical class 0.000 description 1
- 239000004611 light stabiliser Substances 0.000 description 1
- 229910052744 lithium Inorganic materials 0.000 description 1
- 238000011068 loading method Methods 0.000 description 1
- 239000000314 lubricant Substances 0.000 description 1
- 239000000395 magnesium oxide Substances 0.000 description 1
- 238000006263 metalation reaction Methods 0.000 description 1
- 150000002739 metals Chemical class 0.000 description 1
- 238000002156 mixing Methods 0.000 description 1
- 229910052750 molybdenum Inorganic materials 0.000 description 1
- 239000011733 molybdenum Substances 0.000 description 1
- 230000003472 neutralizing effect Effects 0.000 description 1
- 229910052758 niobium Inorganic materials 0.000 description 1
- 239000010955 niobium Substances 0.000 description 1
- GUCVJGMIXFAOAE-UHFFFAOYSA-N niobium atom Chemical compound [Nb] GUCVJGMIXFAOAE-UHFFFAOYSA-N 0.000 description 1
- 239000002667 nucleating agent Substances 0.000 description 1
- 239000003921 oil Substances 0.000 description 1
- 230000003287 optical effect Effects 0.000 description 1
- 150000002902 organometallic compounds Chemical class 0.000 description 1
- 125000002524 organometallic group Chemical group 0.000 description 1
- 230000001590 oxidative effect Effects 0.000 description 1
- NFHFRUOZVGFOOS-UHFFFAOYSA-N palladium;triphenylphosphane Chemical compound [Pd].C1=CC=CC=C1P(C=1C=CC=CC=1)C1=CC=CC=C1.C1=CC=CC=C1P(C=1C=CC=CC=1)C1=CC=CC=C1.C1=CC=CC=C1P(C=1C=CC=CC=1)C1=CC=CC=C1.C1=CC=CC=C1P(C=1C=CC=CC=1)C1=CC=CC=C1 NFHFRUOZVGFOOS-UHFFFAOYSA-N 0.000 description 1
- 239000011236 particulate material Substances 0.000 description 1
- 239000003209 petroleum derivative Substances 0.000 description 1
- 239000012071 phase Substances 0.000 description 1
- 230000000704 physical effect Effects 0.000 description 1
- 239000000049 pigment Substances 0.000 description 1
- 239000004033 plastic Substances 0.000 description 1
- 229920003023 plastic Polymers 0.000 description 1
- 229920005606 polypropylene copolymer Polymers 0.000 description 1
- 239000000843 powder Substances 0.000 description 1
- XOJVVFBFDXDTEG-UHFFFAOYSA-N pristane Chemical compound CC(C)CCCC(C)CCCC(C)CCCC(C)C XOJVVFBFDXDTEG-UHFFFAOYSA-N 0.000 description 1
- 238000003672 processing method Methods 0.000 description 1
- 150000003254 radicals Chemical class 0.000 description 1
- 239000011347 resin Substances 0.000 description 1
- 229920005989 resin Polymers 0.000 description 1
- 239000012260 resinous material Substances 0.000 description 1
- 239000004576 sand Substances 0.000 description 1
- 238000000926 separation method Methods 0.000 description 1
- 239000011949 solid catalyst Substances 0.000 description 1
- 239000000243 solution Substances 0.000 description 1
- 238000001179 sorption measurement Methods 0.000 description 1
- 125000001424 substituent group Chemical group 0.000 description 1
- 239000000454 talc Substances 0.000 description 1
- 229910052623 talc Inorganic materials 0.000 description 1
- 229910052715 tantalum Inorganic materials 0.000 description 1
- GUVRBAGPIYLISA-UHFFFAOYSA-N tantalum atom Chemical compound [Ta] GUVRBAGPIYLISA-UHFFFAOYSA-N 0.000 description 1
- 238000005496 tempering Methods 0.000 description 1
- 238000012360 testing method Methods 0.000 description 1
- 239000004753 textile Substances 0.000 description 1
- 238000003856 thermoforming Methods 0.000 description 1
- 229910052718 tin Inorganic materials 0.000 description 1
- 238000012546 transfer Methods 0.000 description 1
- 150000003623 transition metal compounds Chemical class 0.000 description 1
- IMFACGCPASFAPR-UHFFFAOYSA-N tributylamine Chemical compound CCCCN(CCCC)CCCC IMFACGCPASFAPR-UHFFFAOYSA-N 0.000 description 1
- OBAJXDYVZBHCGT-UHFFFAOYSA-N tris(pentafluorophenyl)borane Chemical compound FC1=C(F)C(F)=C(F)C(F)=C1B(C=1C(=C(F)C(F)=C(F)C=1F)F)C1=C(F)C(F)=C(F)C(F)=C1F OBAJXDYVZBHCGT-UHFFFAOYSA-N 0.000 description 1
- WFKWXMTUELFFGS-UHFFFAOYSA-N tungsten Chemical compound [W] WFKWXMTUELFFGS-UHFFFAOYSA-N 0.000 description 1
- 229910052721 tungsten Inorganic materials 0.000 description 1
- 239000010937 tungsten Substances 0.000 description 1
- 229910052720 vanadium Inorganic materials 0.000 description 1
- GPPXJZIENCGNKB-UHFFFAOYSA-N vanadium Chemical compound [V]#[V] GPPXJZIENCGNKB-UHFFFAOYSA-N 0.000 description 1
- 239000008096 xylene Substances 0.000 description 1
- QMBQEXOLIRBNPN-UHFFFAOYSA-L zirconocene dichloride Chemical compound [Cl-].[Cl-].[Zr+4].C=1C=C[CH-]C=1.C=1C=C[CH-]C=1 QMBQEXOLIRBNPN-UHFFFAOYSA-L 0.000 description 1
Classifications
-
- C—CHEMISTRY; METALLURGY
- C08—ORGANIC MACROMOLECULAR COMPOUNDS; THEIR PREPARATION OR CHEMICAL WORKING-UP; COMPOSITIONS BASED THEREON
- C08F—MACROMOLECULAR COMPOUNDS OBTAINED BY REACTIONS ONLY INVOLVING CARBON-TO-CARBON UNSATURATED BONDS
- C08F110/00—Homopolymers of unsaturated aliphatic hydrocarbons having only one carbon-to-carbon double bond
- C08F110/04—Monomers containing three or four carbon atoms
- C08F110/06—Propene
-
- C—CHEMISTRY; METALLURGY
- C08—ORGANIC MACROMOLECULAR COMPOUNDS; THEIR PREPARATION OR CHEMICAL WORKING-UP; COMPOSITIONS BASED THEREON
- C08F—MACROMOLECULAR COMPOUNDS OBTAINED BY REACTIONS ONLY INVOLVING CARBON-TO-CARBON UNSATURATED BONDS
- C08F10/00—Homopolymers and copolymers of unsaturated aliphatic hydrocarbons having only one carbon-to-carbon double bond
-
- C—CHEMISTRY; METALLURGY
- C08—ORGANIC MACROMOLECULAR COMPOUNDS; THEIR PREPARATION OR CHEMICAL WORKING-UP; COMPOSITIONS BASED THEREON
- C08J—WORKING-UP; GENERAL PROCESSES OF COMPOUNDING; AFTER-TREATMENT NOT COVERED BY SUBCLASSES C08B, C08C, C08F, C08G or C08H
- C08J9/00—Working-up of macromolecular substances to porous or cellular articles or materials; After-treatment thereof
- C08J9/04—Working-up of macromolecular substances to porous or cellular articles or materials; After-treatment thereof using blowing gases generated by a previously added blowing agent
- C08J9/12—Working-up of macromolecular substances to porous or cellular articles or materials; After-treatment thereof using blowing gases generated by a previously added blowing agent by a physical blowing agent
- C08J9/122—Hydrogen, oxygen, CO2, nitrogen or noble gases
-
- C—CHEMISTRY; METALLURGY
- C08—ORGANIC MACROMOLECULAR COMPOUNDS; THEIR PREPARATION OR CHEMICAL WORKING-UP; COMPOSITIONS BASED THEREON
- C08L—COMPOSITIONS OF MACROMOLECULAR COMPOUNDS
- C08L23/00—Compositions of homopolymers or copolymers of unsaturated aliphatic hydrocarbons having only one carbon-to-carbon double bond; Compositions of derivatives of such polymers
- C08L23/02—Compositions of homopolymers or copolymers of unsaturated aliphatic hydrocarbons having only one carbon-to-carbon double bond; Compositions of derivatives of such polymers not modified by chemical after-treatment
- C08L23/10—Homopolymers or copolymers of propene
- C08L23/12—Polypropene
-
- C—CHEMISTRY; METALLURGY
- C08—ORGANIC MACROMOLECULAR COMPOUNDS; THEIR PREPARATION OR CHEMICAL WORKING-UP; COMPOSITIONS BASED THEREON
- C08F—MACROMOLECULAR COMPOUNDS OBTAINED BY REACTIONS ONLY INVOLVING CARBON-TO-CARBON UNSATURATED BONDS
- C08F4/00—Polymerisation catalysts
- C08F4/42—Metals; Metal hydrides; Metallo-organic compounds; Use thereof as catalyst precursors
- C08F4/44—Metals; Metal hydrides; Metallo-organic compounds; Use thereof as catalyst precursors selected from light metals, zinc, cadmium, mercury, copper, silver, gold, boron, gallium, indium, thallium, rare earths or actinides
- C08F4/60—Metals; Metal hydrides; Metallo-organic compounds; Use thereof as catalyst precursors selected from light metals, zinc, cadmium, mercury, copper, silver, gold, boron, gallium, indium, thallium, rare earths or actinides together with refractory metals, iron group metals, platinum group metals, manganese, rhenium technetium or compounds thereof
- C08F4/62—Refractory metals or compounds thereof
- C08F4/64—Titanium, zirconium, hafnium or compounds thereof
- C08F4/659—Component covered by group C08F4/64 containing a transition metal-carbon bond
- C08F4/65912—Component covered by group C08F4/64 containing a transition metal-carbon bond in combination with an organoaluminium compound
-
- C—CHEMISTRY; METALLURGY
- C08—ORGANIC MACROMOLECULAR COMPOUNDS; THEIR PREPARATION OR CHEMICAL WORKING-UP; COMPOSITIONS BASED THEREON
- C08F—MACROMOLECULAR COMPOUNDS OBTAINED BY REACTIONS ONLY INVOLVING CARBON-TO-CARBON UNSATURATED BONDS
- C08F4/00—Polymerisation catalysts
- C08F4/42—Metals; Metal hydrides; Metallo-organic compounds; Use thereof as catalyst precursors
- C08F4/44—Metals; Metal hydrides; Metallo-organic compounds; Use thereof as catalyst precursors selected from light metals, zinc, cadmium, mercury, copper, silver, gold, boron, gallium, indium, thallium, rare earths or actinides
- C08F4/60—Metals; Metal hydrides; Metallo-organic compounds; Use thereof as catalyst precursors selected from light metals, zinc, cadmium, mercury, copper, silver, gold, boron, gallium, indium, thallium, rare earths or actinides together with refractory metals, iron group metals, platinum group metals, manganese, rhenium technetium or compounds thereof
- C08F4/62—Refractory metals or compounds thereof
- C08F4/64—Titanium, zirconium, hafnium or compounds thereof
- C08F4/659—Component covered by group C08F4/64 containing a transition metal-carbon bond
- C08F4/6592—Component covered by group C08F4/64 containing a transition metal-carbon bond containing at least one cyclopentadienyl ring, condensed or not, e.g. an indenyl or a fluorenyl ring
- C08F4/65922—Component covered by group C08F4/64 containing a transition metal-carbon bond containing at least one cyclopentadienyl ring, condensed or not, e.g. an indenyl or a fluorenyl ring containing at least two cyclopentadienyl rings, fused or not
- C08F4/65927—Component covered by group C08F4/64 containing a transition metal-carbon bond containing at least one cyclopentadienyl ring, condensed or not, e.g. an indenyl or a fluorenyl ring containing at least two cyclopentadienyl rings, fused or not two cyclopentadienyl rings being mutually bridged
-
- C—CHEMISTRY; METALLURGY
- C08—ORGANIC MACROMOLECULAR COMPOUNDS; THEIR PREPARATION OR CHEMICAL WORKING-UP; COMPOSITIONS BASED THEREON
- C08J—WORKING-UP; GENERAL PROCESSES OF COMPOUNDING; AFTER-TREATMENT NOT COVERED BY SUBCLASSES C08B, C08C, C08F, C08G or C08H
- C08J2323/00—Characterised by the use of homopolymers or copolymers of unsaturated aliphatic hydrocarbons having only one carbon-to-carbon double bond; Derivatives of such polymers
- C08J2323/02—Characterised by the use of homopolymers or copolymers of unsaturated aliphatic hydrocarbons having only one carbon-to-carbon double bond; Derivatives of such polymers not modified by chemical after treatment
- C08J2323/10—Homopolymers or copolymers of propene
- C08J2323/12—Polypropene
-
- C—CHEMISTRY; METALLURGY
- C08—ORGANIC MACROMOLECULAR COMPOUNDS; THEIR PREPARATION OR CHEMICAL WORKING-UP; COMPOSITIONS BASED THEREON
- C08L—COMPOSITIONS OF MACROMOLECULAR COMPOUNDS
- C08L2205/00—Polymer mixtures characterised by other features
- C08L2205/02—Polymer mixtures characterised by other features containing two or more polymers of the same C08L -group
-
- C—CHEMISTRY; METALLURGY
- C08—ORGANIC MACROMOLECULAR COMPOUNDS; THEIR PREPARATION OR CHEMICAL WORKING-UP; COMPOSITIONS BASED THEREON
- C08L—COMPOSITIONS OF MACROMOLECULAR COMPOUNDS
- C08L2205/00—Polymer mixtures characterised by other features
- C08L2205/02—Polymer mixtures characterised by other features containing two or more polymers of the same C08L -group
- C08L2205/025—Polymer mixtures characterised by other features containing two or more polymers of the same C08L -group containing two or more polymers of the same hierarchy C08L, and differing only in parameters such as density, comonomer content, molecular weight, structure
-
- C—CHEMISTRY; METALLURGY
- C08—ORGANIC MACROMOLECULAR COMPOUNDS; THEIR PREPARATION OR CHEMICAL WORKING-UP; COMPOSITIONS BASED THEREON
- C08L—COMPOSITIONS OF MACROMOLECULAR COMPOUNDS
- C08L2314/00—Polymer mixtures characterised by way of preparation
- C08L2314/06—Metallocene or single site catalysts
-
- Y—GENERAL TAGGING OF NEW TECHNOLOGICAL DEVELOPMENTS; GENERAL TAGGING OF CROSS-SECTIONAL TECHNOLOGIES SPANNING OVER SEVERAL SECTIONS OF THE IPC; TECHNICAL SUBJECTS COVERED BY FORMER USPC CROSS-REFERENCE ART COLLECTIONS [XRACs] AND DIGESTS
- Y10—TECHNICAL SUBJECTS COVERED BY FORMER USPC
- Y10S—TECHNICAL SUBJECTS COVERED BY FORMER USPC CROSS-REFERENCE ART COLLECTIONS [XRACs] AND DIGESTS
- Y10S526/00—Synthetic resins or natural rubbers -- part of the class 520 series
- Y10S526/943—Polymerization with metallocene catalysts
Landscapes
- Chemical & Material Sciences (AREA)
- Health & Medical Sciences (AREA)
- Chemical Kinetics & Catalysis (AREA)
- Medicinal Chemistry (AREA)
- Polymers & Plastics (AREA)
- Organic Chemistry (AREA)
- Engineering & Computer Science (AREA)
- Materials Engineering (AREA)
- Transition And Organic Metals Composition Catalysts For Addition Polymerization (AREA)
- Addition Polymer Or Copolymer, Post-Treatments, Or Chemical Modifications (AREA)
- Compositions Of Macromolecular Compounds (AREA)
Description
- GEBIET DER ERFINDUNG
- Diese Erfindung betrifft im Allgemeinen isotaktische Propylenhomopolymerzusammensetzungen und Verfahren zu deren Herstellung und Verwendung.
- HINTERGRUND
- Mehrstufenpolymerisationen als auch die Verwendung von Metallocenkatalysatorsystemen sind in der Technik bekannt. Mehrstufenpolymerisationsverfahren, wie Zweistufenpolymerisationsverfahren, werden im Allgemeinen verwendet, um Blockcopolymere herzustellen, die kautschukartige Materialien enthalten. Produkte von Zweistufenpolymerisationsverfahren können Propylen-Blockcopolymere einschließen. In einigen Fällen kann der Propylen/Ethylen-Copolymeranteil dieser Blockcopolymere kautschukartig sein. In diesen Fällen können diese Produkte für Formanwendungen geeigneter sein als Folien. In anderen Fällen können zwei oder mehrere Metallocene für die Herstellung von isotaktischen Propylenpolymeren verwendet werden.
- Diesbezügliche Patentschriften und Patentanmeldungsveröffentlichungen schließen die US-A-5 280 074, US-A-5 322 902, US-A-5 346 925, US-A-5 350 817, US-A-5 483 002 und CA-A-2 133 181 ein.
- ZUSAMMENFASSUNG
- Es ist gefunden worden, dass isotaktische Propylenhomopolymerzusammensetzungen hergestellt werden können, indem Propylen in einer Stufe unter Verwendung eines Metallocenkatalysatorsystems polymerisiert wird, und dann in einer separaten Stufe unter Verwendung desselben Katalysatorsystems, um das Polymer weiter zu polymerisieren, jedoch auf ein anderes Molekulargewicht. Die unterschiedlichen Molekulargewichte werden erzeugt, indem die Konzentration eines Kettentransfermittels, wie Wasserstoff, variiert wird.
- Die erhaltenen Polymere besitzen ein überraschend hohes Molekulargewicht und breite Molekulargewichtsverteilung und bieten in vielen Anwendungen Verarbeitungsvorteile, insbesondere aber in Anwendungen von orientierter Folie. Aus diesen einzigartigen Polymeren hergestellte Folien besitzen einen signifikant breiteren Verarbeitbarkeitsbereich und können bei im Vergleich mit den derzeit verfügbaren Polypropylenfolien niedrigeren Temperaturen gleichmäßig gestreckt werden. Die erhaltenen Folien besitzen einen vorteilhaften Ausgleich von Eigenschaften, einschließlich hoher Festigkeit, guten optischen Eigenschaften, ausgezeichneten Schrumpf- und guten Barriereeigenschaften.
- Somit betrifft diese Erfindung eine Propylenpolymerzusammensetzung, die ein isotaktisches Propylenhomopolymer mit einer Molekulargewichtsverteilung im Bereich von 3,0 bis 8,0 mit weniger als 1,0 Gew.-% Hexanextrahierbares einschließt. Wenn die Propylenpolymerzusammensetzung zu einer Folie geformt wird, charakterisieren die Eigenschaften der biaxial orientierten Folie diese Propylenpolymerzusammensetzung weiter. Zum Beispiel zeigt die Propylenpolymerfolie mit Abmessungen von 50,8 mm × 50,8 mm × 508 μm (20 mil) vor dem Strecken beim Strecken auf eine Endstreckdicke von 19,1 μm (0,75 mil) ein gleichmäßiges Strecken im Temperaturbereich von 151,7°C bis 157,2°C auf einer T. M. Long-Biaxialstreckvorrichtung. Vor dem Strecken wird die Folie 27 Sekunden lang bei der Strecktemperatur vorgeheizt. Die Folie wird mit einer Rate von 76,2 mm/s gestreckt.
- In einer anderen Ausführungsform kann die Propylenpolymerzusammensetzung ein Gemisch von ersten und zweiten Propylenhomopolymeren einschließen. Das erste Propylenhomopolymer kann eine Schmelzrate im Bereich von 0,15 dg/min bis 4,0 dg/min und eine Molekulargewichtsverteilung im Bereich von 1,8 bis 2,5 aufweisen. Das zweite Propylenhomopolymer kann eine Schmelzrate im Bereich von 5 dg/min bis 1.000 dg/min und eine Molekulargewichtsverteilung im Bereich von 1,8 bis 2,5 aufweisen.
- In einer weiteren Ausführungsform schließt die Propylenpolymerzusammensetzung isotaktisches Propylenhomopolymer mit einer Molekulargewichtsverteilung im Bereich von 3,0 bis 8,0, weniger als 1,0 Gew.-% Hexanextrahierbares, einen Schmelzpunkt von höher als 150°C und eine Schmelzrate im Bereich von 0,2 dg/min bis 30,0 dg/min ein. Diese Propylenpolymerzusammensetzung schließt ferner ein Gemisch von ersten und zweiten Propylenhomopolymeren ein. Das erste Propylenhomopolymer kann ein Schmelzrate im Bereich von 0,15 dg/min bis 4,0 dg/min und eine Molekulargewichtsverteilung im Bereich von 1,8 bis 2,5 aufweisen und kann 40 bis 80% der Propylenpolymerzusammensetzung ausmachen. Das zweite Propylenhomopolymer kann eine Schmelzrate im Bereich von 5 dg/min bis 1.000 dg/min und eine Molekulargewichtsverteilung im Bereich von 1,8 bis 2,5 aufweisen und kann 20% bis 60% des Propylenpolymers ausmachen. Wenn diese Propylenpolymerzusammensetzung zu einer Folie geformt wird, charakterisieren die Eigenschaften der biaxial orientierten Folie diese Propylenpolymerzusammensetzung weiter. Zum Beispiel zeigt die Propylenpolymerfolie mit Abmessungen von 50,8 mm × 50,8 mm × 508 μm (20 mil) vor dem Strecken beim Strecken auf einer T. M. Long-Biaxialstreckvorrichtung auf eine Endstreckdicke von 19,1 μm (0,75 mil) eine gleichmäßige Streckung im Temperaturbereich von 151,7°C bis 157,2°C. Vor dem Strecken wird die Folie 27 Sekunden lang auf die Strecktemperatur erhitzt. Die Folie wird mit einer Rate von 76,2 mm/s gestreckt.
- Die Erfindung betrifft ferner Verfahren zum Polymerisieren von isotaktischem Polypropylen. In einer Ausführungsform schließt dieses Verfahren (a) Polymerisieren von Propylen in Gegenwart eines Metallocens und einer zur Herstellung eines ersten Propylenhomopolymers mit einer Schmelzrate im Bereich von 0,15 dg/min bis 4,0 dg/min ausreichenden ersten Konzentration an Kettentransfermittel und (b) Polymerisieren von Propylen in Gegenwart des ersten Propylenhomopolymers in Gegenwart einer zur Herstellung des isotaktischen Polypropylenpolymers mit einer Molekulargewichtsverteilung im Bereich von 3,0 bis 8,0 ausreichenden zweiten Konzentration an Kettentransfermittel ein. Das erste Propylenhomopolymer kann eine Molekulargewichtsverteilung im Bereich von 1,8 bis 2,5 haben. Zusätzlich kann Schritt (a) in einem ersten Reaktor durchgeführt werden und Schritt (b) kann in einem zweiten Reaktor durchgeführt werden. Ferner kann das Metallocen ein einziges Metallocen sein und das einzige Metallocen kann auch in Schritt (b) vorhanden sein. Ein zweites Propylenhomopolymer mit einer Molekulargewichtsverteilung in dem Bereich von 1,8 bis 2,5 und einer Schmelzrate in dem Bereich von 5 dg/min bis 1.000 dg/min kann in Schritt (b) hergestellt werden. Das Kettentransfermittel kann Wasserstoff sein.
- In einer weiteren Ausführungsform schließt das Verfahren zum Polymerisieren von isotaktischem Polypropylen (a) Polymerisieren von Propylen in Gegenwart eines Metallocens und einer zur Herstellung eines ersten Polypropylenhomopolymers mit einer Schmelzrate im Bereich von 5 dg/min bis 1.000 dg/min ausreichenden ersten Konzentration an Kettentransfermittel und (b) Polymerisieren von Propylen in Gegenwart des ersten Propylenhomopolymers in Gegenwart einer zur Herstellung des isotaktischen Polypropylens mit einer Molekulargewichtsverteilung im Bereich von 3,0 bis 8,0 ausreichenden zweiten Konzentration an Kettentransfermittel ein. Das erste Propylenhomopolymer kann eine Molekulargewichtsverteilung im Bereich von 1,8 bis 2,5 haben. Schritt (a) kann in einem Reaktor durchgeführt werden und Schritt (b) kann in einem zweiten Reaktor durchgeführt werden. Das Metallocen kann ein einziges Metallocen sein und in Schritt (b) anwesend sein. Ein zweites Propylenhomopolymer mit einer Molekulargewichtsverteilung im Bereich von 1,8, bis 2,5 und einer Schmelzrate im Bereich von 0,15 dg/min bis 4,0 dg/min kann in Schritt (b) hergestellt werden. Das Kettentransfermittel kann Wasserstoff sein.
- In einer weiteren Ausführungsform schließt das Verfahren (a) Homopolymerisieren von Propylen in Gegenwart eines einzigen Metallocens und einer zur Herstellung eines ersten Propylenhomopolymers mit einer Schmelzrate im Bereich von 0,15 dg/min bis 4,0 dg/min und einer Molekulargewichtsverteilung im Bereich von 1,8 bis 2,5 ausreichenden ersten Konzentration an Kettentransfermittel und (b) Homopolymerisieren von Propylen in Gegenwart des ersten Propylenhomopolymers und des einzigen Metallocens in Gegenwart einer zur Herstellung eines zweiten Propylenhomopolymers mit einer Molekulargewichtsverteilung im Bereich von 1,8 bis 2,5 und einer Schmelzrate im Bereich von 5 dg/min bis 1.000 dg/min ausreichenden zweiten Konzentration an Kettentransfermittel ein. Das erhaltene isotaktische Polypropylen ist ein Gemisch des ersten und zweiten Homopolymers mit einer Molekulargewichtsverteilung im Bereich von 3,0 bis 8,0, bei dem das erste Homopolymer 40% bis 80% des isotaktischen Polypropylens ausmacht und das zweite Homopolymer 20% bis 60% des isotaktischen Polypropylens ausmacht. Das Kettentransfermittel in mindestens einem der Schritte (a) und (b) ist Wasserstoff.
- In einer weiteren Ausführungsform schließt das Verfahren zum Polymerisieren von isotaktischem Polypropylen (a) Polymerisieren von Propylen in Gegenwart eines Metallocens und einer zur Herstellung eines ersten Propylenhomopolymers mit einer ersten Schmelzrate und einer ersten Molekulargewichtsverteilung in einem ersten Bereich ausreichenden ersten Konzentration an Kettentransfermittel und (b) Polymerisieren von Propylen in Gegenwart des ersten Propylenhomopolymers in Gegenwart einer zur Herstellung eines zweiten Propylenhomopolymer mit einer zweiten Schmelzrate und einer zweiten Molekulargewichtsverteilung in einem zweiten Bereich ausreichenden zweiten Konzentration an Kettentransfermittel ein, wobei der zweite Bereich dem ersten Bereich so im Wesentlichen ähnlich ist, dass das Gemisch der ersten und zweiten Propylenhomopolymere das isotaktische Polypropylen mit einer Molekulargewichtsverteilung im Bereich von 3,0 bis 8,0 bildet.
- DETAILLIERTE BESCHREIBUNG
- Diese Erfindung betrifft (1) Verfahren zur Herstellung von isotaktischem Homopolypropylen, (2) isotaktische Homopolypropylenzusammensetzungen und (3) aus isotaktischen Homopolypropylenzusammensetzungen hergestellte Produkte. Diese werden nachfolgend nacheinander beschrieben.
- "Isotaktisch" ist, wie es hier verwendet wird, als mindestens 40% isotaktische Pentaden gemäß Analyse durch 13C-NMR definiert: "Hochisotaktisch" ist, wie es hier verwendet wird als mindestens 60% isotaktische Pentaden gemäß Analyse durch 13C-NMR definiert.
- "Molekulargewicht" bedeutet, wie es hier verwendet wird, durchschnittliches Molekulargewicht (Gewichtsmittel, Mw), und "Molekulargewichtsverteilung", (molecular weight distribution, MWD) bedeutet Mw geteilt durch durchschnittliches Molekulargewicht (Zahlenmittel, Mn), bestimmt durch Gelpermeationschromatographie (GPC). "Polymerisation" bedeutet hier, wenn nicht anders angegeben, Homopolymerisation.
- Verfahren zur Herstellung von isotaktischen Propylenpolymerzusammensetzungen (Zusammensetzungen mit isotaktischem Propylenpolymer)
- Die erfindungsgemäßen Verfahren schließen die Verwendung von Metallocenkatalysatorsystemen ein, die eine Metallocenkomponente und mindestens eine Aktivator umfassen. Vorzugsweise sind diese Katalysatorsystemkomponenten auf Trägermaterial gestützt.
- Metallocene
- "Metallocen" und "Metallocenkomponente" beziehen sich, wie sie hier verwendet werden, im Allgemeinen auf durch die Formel CpmMRnXq wiedergegebene Verbindungen, in der Cp ein Cyclopenta dienylring, der substituiert sein kann, oder Derivat davon ist, das substituiert sein kann, M ein Übergangsmetall der Gruppe 4, 5 oder 6 ist, z. B. Titan, Zirkonium, Hafnium, Vanadium, Niob, Tantal, Chrom, Molybdän und Wolfram, R eine Kohlenwasserstoffgruppe oder Wasserstoffcarboxygruppe mit einem bis 20 Kohlenstoffatomen ist, X Halogen und m = 1 bis 3, n = 0 bis 3, q = 0 bis 3 ist, und die Summe von m + n + q ist gleich dem Oxidationszustand des Übergangsmetalls ist.
- Verfahren zur Herstellung und Verwendung von Metallocenen sind in der Technik wohl bekannt. Zum Beispiel sind Metallocene detailliert in den US-A-4 530 914, US-A-4 542 199, US-A-4 769 910, US-A-4 808 561, US-A-4 871 705, US-A-4 933 403, US-A-4 937 299, US-A-5 017 714, US-A-5 062 798, US-A-5 057 475, US-A-5 120 867, US-A-5 278 119, US-A-5 304 614, US-A-5 324 800, US-A-5 350 723 und US-A-5 391 790 beschrieben.
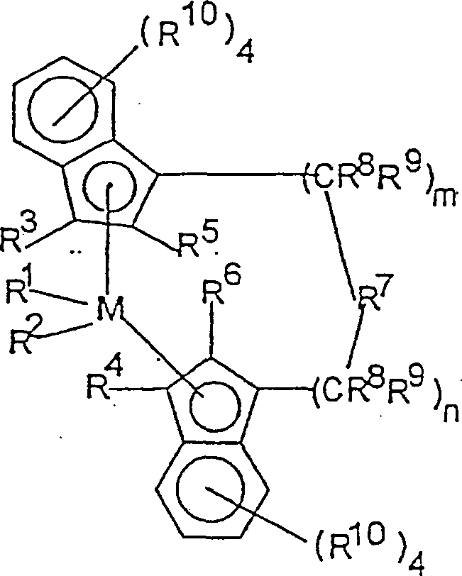
- Bevorzugte Metallocene sind solche, die durch die Formel: wiedergegeben werden, in der M ein Metall der Gruppe 4, 5 oder 6 des Periodensystems ist, vorzugsweise Zirkonium, Hafnium oder Titan, insbesondere Zirkonium,
R1 und R2 gleich oder verschieden und vorzugsweise gleich sind und eines von Wasserstoffatom, C1- bis C10-Alkylgruppe, vorzugsweise C2- bis C3-Alkylgruppe, C1- bis C10-Alkoxygruppe, vorzugsweise C1- bis C3-Alkoxygruppe, C6- bis C10-Arylgruppe, vorzugsweise C6- bis C8-Arylgruppe, C6- bis C10-Aryloxygruppe, vorzugsweise C6- bis C8-Aryloxygruppe, C2- bis C10-Alkenylgruppe, vorzugsweise C2- bis C4-Alkenylgruppe, C7- bis C40-Arylalkylgruppe, vorzugsweise C7- bis C10-Arylalkylgruppe, C7- bis C40-Alkylarylgruppe, vorzugsweise C7- bis C12-Alkylarylgruppe, C8- bis C40-Arylalkenylgruppe, vorzugsweise C8- bis C12-Arylalkenylgruppe, oder Halogenatom, vorzugsweise Chlor, sind,
R5 und R6 gleich oder verschieden und vorzugsweise gleich sind und eines von Halogenatom, vorzugsweise von Fluor-, Chlor- oder Bromatom, C1- bis C10-Alkylgruppe, vorzugsweise C1- bis C4-Alkylgruppe, die halogeniert sein kann, C6- bis C10-Arylgruppe, die halogeniert sein kann, vorzugsweise C6- bis C8-Arylgruppe, C2- bis C10-Alkenylgruppe, vorzugsweise C2- bis C4-Alkenylgruppe, C7- bis C40-Arylalkylgruppe, vorzugsweise C7- bis C10-Arylalkylgruppe, C7- bis C40-Alkylarylgruppe, vorzugsweise C7- bis C12-Alkylarylgruppe, C8- bis C40-Arylalkenylgruppe, vorzugsweise C8- bis C12-Arylalkenylgruppe, -NR2 15-, -SR15-, OR15-, OSiR3 15-, oder -PR2 15-Rest sind, wobei R15 eines von Halogenatom, vorzugsweise Chloratom, C1- bis C10-Alkylgruppe, vorzugsweise C1- bis C3-Alkylgruppe, oder C6- bis C10-Arylgruppe, vorzugsweise C6- bis C9-Arylgruppe ist,
R7 -B(R11)-, -Al(R11)-, -Ge-, -Sn-, -O-, -S-, -SO-, -SO2-, -N(R11)-, -CO-, -P(R11)– oder -P(O)(R11)– ist,
wobei
R11, R12 und R13 gleich oder verschieden sind und Wasserstoffatom, Halogenatom, C1- bis C20-Alkylgruppe, vorzugsweise C1- bis C10-Alkylgruppe, C1- bis C20-Fluoralkylgruppe, vorzugsweise C1- bis C10-Fluoralkylgruppe, C6- bis C30-Arylgruppe, vorzugsweise C6- bis C20-Arylgruppe, C6- bis C30-Fluorarylgruppe, vorzugsweise C6- bis C20-Fluorarylgruppe, C1- bis C20-Alkoxygruppe, vorzugsweise C1- bis C10-Alkoxygruppe, C2- bis C20-Alkenylgruppe, vorzugsweise C2- bis C10-Alkenylgruppe, C7- bis C40-Arylalkylgruppe, vorzugsweise C7- bis C20-Arylalkylgruppe, C8- bis C40-Arylalkenylgruppe, vorzugsweise C8- bis C22-Arylalkenylgruppe, C7- bis C40-Alkylarylgruppe, vorzugsweise C7- bis C20-Alkylarylgruppe sind, oder R11 oder R12, oder R11 und R13 zusammen mit den sie bindenden Atomen Ringsysteme bilden können,
M2 Silicium, Germanium oder Zinn ist, vorzugsweise Silicium oder Germanium, insbesondere Silicium,
R8 und R9 gleich oder verschieden sind und die für R11 angegebenen Bedeutungen haben,
m und n gleich oder verschieden sind und 0, 1 oder 2 sind, vorzugsweise 0 oder 1, m plus n 0, 1 oder 2 ist, vorzugsweise 0 oder 1, und
die Reste R3, R4 und R10 gleich oder verschieden sind und die für R11, R12 und R13 angegebenen Bedeutungen besitzen. Zwei benachbarte R10-Reste können miteinander verbunden sein, um ein Ringsystem zu bilden, vorzugsweise ein 4 bis 6 Kohlenstoffatome enthaltendes Ringsystem. - Alkyl bezieht sich auf gerad- oder verzweigtkettige Substituenten. Halogen (halogeniert) bezieht sich auf Fluor-, Chlor-, Brom- oder Iodatome, vorzugsweise F1uor oder Chlor.
-
- Diese chiralen Metallocene können als Racemat zur Herstellung von hochisotaktischen Polypropylencopolymeren verwendet werden. Es ist auch möglich, die reine R- oder S-Form zu verwenden. Mit diesen reinen stereoisomeren Formen kann ein optisch aktives Polymer hergestellt werden. Vorzugsweise wird die meso-Form des Metallocens entfernt, um sicherzustellen, dass das Zentrum (d. h. das Metallatom) eine stereoreguläre Polymerisation ergibt. Die Abtrennung der Stereoisomere kann durch bekannte Literaturtechniken erfolgen. Für spezielle Produkte ist es auch möglich, rac/meso-Mischungen zu verwenden.
- Im Allgemeinen werden diese Metallocene durch ein Mehrstufenverfahren hergestellt, das wiederholte Deprotonierungen/Metallierungen der aromatischen Liganden und das Einbringen der Brücke und des Zentralatoms über deren Halogenderivate einschließt. Das folgende Reaktionsschema verdeutlicht diesen allgemeinen Ansatz:
- Weitere Verfahren zur Herstellung von Metallocen sind vollständiger in Journal of Organometallic Chem., Band 288 (1985), Seiten 63–67 und in der EP-A-0 320 762 beschrieben.
- Beispielhafte, jedoch nicht einschränkende Beispiele für bevorzugte Metallocene schließen ein:
Dimethylsilandiylbis(2-methyl-4-phenyl-1-indenyl)ZrCl2
Dimethylsilandiylbis(2-methyl-4,5-benzoindenyl)ZrCl2
Dimethylsilandiylbis(2-methyl-4,6-diisopropylindenyl)ZrCl2
Dimethylsilandiylbis(2-ethyl-4-phenyl-1-indenyl)ZrCl2
Dimethylsilandiylbis(2-ethyl-4-naphthyl-1-indenyl)ZrCl2
Phenyl(methyl)silandiylbis(2-methyl-4-phenyl-1-indenyl)ZrCl2
Dimethylsilandiylbis(2-methyl-4-(1-naphthyl)-1-indenyl)ZrCl2
Dimethylsilandiylbis(2-methyl-4-(2-naphthyl)-1-indenyl)ZrCl2
Dimethylsilandiylbis(2-methyl-indenyl)ZrCl2
Dimethylsilandiylbis(2-methyl-4,5-isopropyl-1-indenyl)ZrCl2
Dimethylsilandiylbis(2,4,6-trimethyl-1-indenyl)ZrCl2
Phenyl(methyl)silandiylbis(2-methyl-4,6-diisopropyl-1-indenyl)ZrCl2
1,2-Ethandiylbis(2-methyl-4,6-diisopropyl-1-indenyl)ZrCl2
1,2-Butandiylbis(2-methyl-4,6-diisopropyl-1-indenyl)ZrCl2
Dimethylsilandiylbis(2-methyl-4-ethyl-1-indenyl)ZrCl2
Dimethylsilandiylbis(2-methyl-4-isopropyl-1-indenyl)ZrCl2
Dimethylsilandiylbis(2-methyl-4-t-butyl-1-indenyl)ZrCl2
Phenyl(methyl)silandiylbis(2-methyl-4-isopropyl-1-indenyl)ZrCl2
Dimethylsilandiylbis(2-ethyl-4-methyl-1-indenyl)ZrCl2
Dimethylsilandiylbis(2,4-dimethyl-1-indenyl)ZrCl2
Dimethylsilandiylbis(2-methyl-4-ethyl-1-indenyl)ZrCl2
Dimethylsilandiylbis(2-methyl-α-acenaphth-1-indenyl)ZrCl2
Phenyl(methyl)silandiylbis(2-methyl-4,5-benzo-1-indenyl)ZrCl2
Phenyl(methyl)silandiylbis(2-methyl-4,5-(methylbenzo)-1-indenyl)ZrCl2
Phenyl(methyl)silandiylbis(2-methyl-4,5-(tetramethylbenzo)-1-indenyl)ZrCl2
Phenyl(methyl)silandiylbis(2-methyl-α-acenaphth-1-indenyl)ZrCl2
1,2-Ethandiylbis(2-methyl-4,5-benzo-1-indenyl)ZrCl2
1,2-Butandiylbis(2-methyl-4,5-benzo-1-indenyl)ZrCl2
Dimethylsilandiylbis(2-methyl-4,5-benzo-1-indenyl)ZrCl2
1,2-Ethandiylbis(2,4,7-trimethyl-1-indenyl)ZrCl2
Dimethylsilandiylbis(2-methyl-1-indenyl)ZrCl2
1,2-Ethandiylbis(2-methyl-1-indenyl)ZrCl2
Phenyl(methyl)silandiylbis(2-methyl-1-indenyl)ZrCl2
Diphenylsilandiylbis(2-methyl-1-indenyl)ZrCl2
1,2-Butandiylbis(2-methyl-1-indenyl)ZrCl2
Dimethylsilandiylbis(2-ethyl-1-indenyl)ZrCl2
Dimethylsilandiylbis(2-methyl-5-isobutyl-1-indenyl)ZrCl2
Phenyl(methyl)silandiylbis(2-methyl-5-isobutyl-1-indenyl)ZrCl2
Dimethylsilandiylbis(2-methyl-5-t-butyl-1-indenyl)ZrCl2
Dimethylsilandiylbis(2,5,6-trimethyl-1-indenyl)ZrCl2 und dergleichen. - Diese bevorzugten Metallocenkatalysatorkomponenten sind im Detail in den US-A-5 145 819, US-A-5 243 001, US-A-5 239 022, US-A-5 329 033, US-A-5 296 434, US-A-5 276 208, US-A-5 672 668, US-A-5 304 614 und US-A-5 374 752 und EP-A-0 549 900 und EP-A-0 576 970 beschrieben.
- Zusätzlich sind Metallocene wie die in der US-A-5 510 502 beschriebenen zur Verwendung bei dieser Erfindung geeignet.
- Aktivatoren
- Metallocene werden im Allgemeinen in Kombination mit irgendeiner Art von Aktivator verwendet. Der Begriff "Aktivator" ist hier als jedwede Verbindung oder Komponente oder Kombination von Verbindungen oder Komponenten definiert, die zur Erhöhung der Fähigkeit von einem oder mehreren Metallocenen, Olefine zu Polyolefinen zu polymerisieren, in der Lage sind. Alkylalumoxane werden vorzugsweise als Aktivatoren verwendet, insbesondere Methylalumoxan (MAO). Im Allgemeinen enthalten die zur Verwendung bei der Olefinpolymerisation bevorzugten Alkylalumoxane 5 bis 40 der sich wiederholenden Einheiten: wobei R C1- bis C8-Alkyl ist, einschließlich gemischter Alkyle. Besonders bevorzugt sind die Verbindungen, bei denen R Methyl ist. Alumoxanlösungen, insbesondere Methylalumoxanlösungen, können von kommerziellen Lieferanten als Lösungen mit unterschiedlichen Konzentrationen erhalten werden. Es gibt eine Vielzahl von Verfahren zur Herstellung von Alumoxan, und nichteinschränkende Beispiele dafür sind in den US-A-4 665 208, US-A-4 952 540, US-A-5 091 352, US-A-5 206 199, US-A-5 204 419, US-A-4 874 734, US-A-4 924 018, US-A-4 908 463, US-A-4 968 827, US-A-5 308 815, US-A-5 329 032, US-A-5 248 801, US-A-5 235 081, US-A-5 157 137, US-A-5 103 031 und EP-A-0 561 476, EP-B1-0 279 586, EP-A-0 594 218 und WO 94/10180 beschrieben. ("Lösung" bezieht sich hier, wenn nicht anders angegeben, auf jedwede Mischung, einschließlich Suspensionen.)
- Ionisierende Aktivatoren können ebenfalls verwendet werden, um Metallocene zu aktivieren. Diese Aktivatoren sind neutral und ionisch oder sind Verbindungen wie Tri(n-butyl)ammonium-tetrakis(pentafluorphenyl)bor, die die neutrale Metallocenverbindung ionisieren. Solche ionisierenden Verbindungen können ein aktives Proton oder irgendein anderes Kation, das mit dem restlichen Ion der ionisierenden Verbindung assoziiert, jedoch nicht koordiniert ist oder nur schwach koordiniert ist, enthalten. Kombinationen von Aktivatoren können ebenfalls verwendet werden, z. B. Alumoxan und ionisierende Aktivatoren in Kombinationen, siehe beispielsweise EP-A-0 662 979.
- Beschreibungen von ionischen Katalysatoren für die Koordinationspolymerisation, die aus durch nicht-koordinierende Anionen aktivierten Metallocen-Kationen zusammengesetzt sind, finden sich in den frühen Arbeiten in den US-A-5 278 119, US-A-5 407 884, US-A-5 483 014, US-A-5 198 401, EP-A-0 277 004 und EP-A-0 551 277, EP-A-0 670 688, EP-A-0 670 334 und EP-A-0 672 689. Diese lehren ein bevorzugtes Herstellungsverfahren, bei dem Metallocene (bis-Cp und mono-Cp) durch einen Anionenvorläufer so protoniert werden, dass von einem Übergangsmetall eine Alkyl/Hydrid-Gruppe abstrahiert wird, um es sowohl kationisch zu machen als auch in der Ladung durch das nicht-koordinierende Anion auszugleichen.
- Der Begriff "nicht-koordinierendes Anion" bedeutet ein Anion, das mit dem Kation entweder nicht koordiniert oder das mit dem Kation nur schwach koordiniert und dadurch ausreichend labil ist, um durch eine neutrale Lewis-Base ersetzt zu werden. "Kompatible" nicht-koordinierende Anionen sind solche, die sich nicht zur Neutralität zersetzen, wenn sich der eingangs gebildete Komplex zersetzt. Ferner überführt das Anion nicht einen anionischen Substituenten oder ein anionisches Fragment auf das Kation, um so dazu zu führen, dass aus dem Anion eine neutrale, vierfach koordinierte Metallocenverbindung und ein neutrales Nebenprodukt gebildet werden. Erfindungsgemäß brauchbare nicht-koordinierende Anionen sind solche, die kompatibel sind, das Metallocen-Kation im Sinne des Ausgleichs seiner ionischen Ladung in einem Zustand +1 stabilisieren, jedoch eine ausreichende Labilität aufrechterhalten, um das Ersetzen durch ein ethylenisch oder acetylenisch ungesättigtes Monomer bei der Polymerisation zu erlauben.
- Die Verwendung von ionisierenden ionischen Verbindungen, die kein aktives Proton enthalten, jedoch in der Lage sind, sowohl das aktive Metallocen-Kation als auch ein nichtkoordinierendes Anion herzustellen, ist ebenfalls bekannt, siehe die EP-A-0 426 637 und EP-A-0 573 403. Ein weiteres Verfahren zur Herstellung der ionischen Katalysatoren verwendet ionische Anionen-Vorläufer, die eingangs neutrale Lewis-Säuren sind, jedoch bei der Ionisierungsreaktion mit den Metallocenverbindungen das Kation und Anion bilden, z. B. die Verwendung von Tris-(pentafluorphenyl)bor, siehe EP-A-0 520 732. Ionische Katalysatoren zur Additionspolymerisation können auch durch Oxidation der Metallzentren von Übergangsmetallverbindungen durch Anionen-Vorläufer, die metallische oxidierende Gruppen zusammen mit den Anionengruppen enthalten, hergestellt werden, siehe die EP-A-0 495 375.
- Wenn die Metallliganden Halogengruppen einschließen (z. B. Biscyclopentadienylzirkoniumdichlorid), die unter Standardbedingungen nicht zur ionisierenden Abstraktion in der Lage sind, können sie durch bekannte Alkylierungsreaktionen mit Organometallverbindungen, wie Lithium- oder Aluminiumhydriden oder -Alkylen, Alkylalumoxanen, Grignard-Reagenzien usw., umgewandelt werden. Für in situ-Verfahren, die die Reaktion von Alkylaluminiumverbindungen mit Dihalogen-substituierten Metallocenverbindungen vor oder bei der Zugabe von aktivierenden anionischen Verbindungen beschreiben, siehe die EP-A-0 500 944 und EP-A-0 570 982.
- Trägermaterialien
- Die in den erfindungsgemäßen Verfahren verwendeten Katalysatorsysteme werden vorzugsweise unter Verwendung eines porösen Partikelmaterials, wie beispielsweise Talk, anorganischen Oxiden, anorganischen Chloriden und harzartigen Materialien, wie Polyolefin oder polymeren Verbindungen, trägergestützt.
- Die am meisten bevorzugten Trägermaterialien sind poröse anorganische Oxidmaterialien, einschließlich der Oxide der Metalle der Gruppen 2, 3, 4, 5, 13 oder 14 des Periodensystems der Elemente. Siliciumdioxid, Aluminiumoxid, Siliciumdioxid-Aluminiumoxid und Mischungen davon sind besonders bevorzugt. Andere anorganische Oxide, die entweder allein oder in Kombination mit dem Siliciumdioxid, Aluminiumoxid oder Siliciumdioxid-Aluminiumoxid eingesetzt werden können, sind Magnesiumoxid, Titanoxid, Zirkondioxid und dergleichen.
- Vorzugsweise ist das Trägermaterial poröses Siliciumdioxid, das eine Oberfläche im Bereich von 10 bis 700 m2/g, ein Gesamtporenvolumen im Bereich von 0,1 bis 4, 0 cm3/g und eine durchschnittliche Partikelgröße im Bereich von 10 bis 500 μm aufweist. Bevorzugter liegt die Oberfläche im Bereich von 50 bis 500 m2/g, das Gesamtporenvolumen liegt im Bereich von 0,5 bis 3,5 cm3/g und die durchschnittliche Partikelgröße liegt im Be reich von 20 bis 200 μm. Am meisten bevorzugt liegt die Oberfläche im Bereich von 100 bis 400 m2/g, das Gesamtporenvolumen liegt im Bereich von 0,8 bis 3,0 cm3/g und die durchschnittliche Partikelgröße liegt im Bereich von 30 bis 100 μm. Die durchschnittliche Porengröße von typischen porösen Trägermaterialien liegt im Bereich von 10 bis 1.000 Å. Vorzugsweise wird ein Trägermaterial verwendet, das einen durchschnittlichen Porendurchmesser von 50 bis 500 Å und am meisten bevorzugt von 75 bis 350 Å aufweist. Es kann besonders gewünscht sein, das Siliciumdioxid bei einer Temperatur von 100°C bis 800°C 3 bis 24 Stunden zu dehydrieren.
- Die Metallocene, Aktivator und Trägermaterial können auf jedwede Weise kombiniert werden. Geeignete Trägertechniken sind in den US-A-4 808 561 und US-A-4 701 432 beschrieben. Vorzugsweise werden die Metallocene und Aktivator kombiniert und deren Reaktionsprodukt auf das poröse Trägermaterial gestützt, wie in den US-A-5 240 894 und EP-A-0 705 281, EP-A-0 766 700, EP-A-0 766 702 beschrieben ist. Alternativ kann das Metallocen separat voraktiviert und dann mit dem Trägermaterial, entweder separat oder zusammen kombiniert werden. Wenn das Metallocen und der Aktivator separat trägergestützt werden, dann werden sie vorzugsweise vor der Verwendung bei der Polymerisation getrocknet und als ein Pulver kombiniert.
- Unabhängig davon, ob das Metallocen und der Aktivator separat vorkontaktiert werden oder ob das Metallocen und der Aktivator sofort kombiniert werden, beträgt das Gesamtvolumen von auf den porösen Träger aufgebrachter Reaktionslösung vorzugsweise weniger als viermal das Gesamtporenvolumen des porösen Trägers, bevorzugter weniger als dreimal das Gesamtporenvolumen des porösen Trägers.
- Verfahren zum Aufbringen von Metallocen-Kationen und nicht-koordinierende Anionen umfassenden ionischen Katalysatoren auf Träger sind in den EP-A-0 507 876, EP-A-0 702 700 und US-A-5 643 847 beschrieben. Die Verfahren umfassen im Allgemeinen entweder physikalische Adsorption auf traditionellen polymeren oder anorganischen Trägern, die größtenteils dehydriert und dehydroxyliert worden sind, oder die Verwendung von neutralen anionischen Vorläufern, die ausreichend starke Lewis-Säuren sind, um verbliebene Hydroxygruppen in Siliciumdioxid enthaltenden anorganischen Oxidträgern so zu aktivieren, dass die Lewis-Säure kovalent gebunden wird und der Wasserstoff der Hydroxygruppen verfügbar ist, um die Metallocenverbindungen zu protonieren.
- Die trägergestützten Katalysatorsysteme können direkt bei der Polymerisation verwendet werden, oder das Katalysatorsystem kann unter Verwendung von in der Technik wohl bekannten Verfahren präpolymerisiert werden. Für Details bezüglich der Präpolymerisation siehe die US-A-4 923 833 und US-A-4 921 825, EP-A-0 279 863 und EP-A-0 354 893.
- Polymerisationsverfahren
- Die erfindungsgemäßen Polymerzusammensetzungen werden im Allgemeinen in einem Mehrstufenverfahren hergestellt, bei dem in jeder Stufe separat, parallel oder vorzugsweise in Reihe eine Homopolymerisation durchgeführt wird. In jeder Stufe wird Propylen homopolymerisiert, vorzugsweise mit demgleichen Katalysatorsystem, jedoch mit einer unterschiedlichen Konzentration an Kettenabbruchmittel in mindestens zwei der Stufen.
- Beispiele für Kettenabbruchmittel sind solche, die üblicherweise verwendet werden, um das Kettenwachstum bei der Ziegler-Natta-Polymerisation abzubrechen, und eine Beschreibung dafür findet sich in Ziegler-Natta Catalyst and Polymerization Hydrogen, J. Boor (Academic Press, 1979). Wasserstoff und Diethylzink sind Beispiele für Mittel, die zur Steuerung des Polymermolekulargewichts bei Olefinpolymerisationen sehr wirksam sind. Wasserstoff ist das bevorzugte Mittel.
- Die Konzentration an Kettenabbruchmittel in einer Stufe reicht vorzugsweise aus, um Propylenhomopolymer mit einer Schmelzrate im Bereich von 0,15 dg/min bis 4,0 dg/min, vorzugsweise von 0,2 dg/min bis 2,0 dg/min, insbesondere von 0,2 dg/min bis 1,0 dg/min, und einer Molekulargewichtsverteilung (Mw/Mn) im Bereich von 1,8 bis 2,5 und vorzugsweise von 1,8 bis 2,3 herzustellen. Die Konzentration an Kettenabbruchmittel in einer separaten, entweder früheren oder späteren Stufe, reicht vorzugsweise aus, um Homopolymer mit einer Schmelzrate im Bereich von 5 dg/min bis 1.000 dg/min, vorzugsweise von 20 dg/min bis 200 dg/min und am meisten bevorzugt von 30 dg/min bis 100 dg/min, und einer Molekulargewichtsverteilung (Mw/Mn) im Bereich von 1,8 bis 2,5 und vorzugsweise von 1,8 bis 2,3 herzustellen.
- Das Homopolymerendprodukt umfasst ein Reaktorgemisch der in den oben beschriebenen Stufen hergestellten Produkte. Vorzugsweise ist das Endprodukt aus von 40% bis 80% Produkt aus der Stufe mit geringer Schmelzrate und von 20% bis 60% Produkt aus der Stufe mit hoher Schmelzrate, bevorzugter von 55% bis 65 Produkt aus der Stufe mit niedriger Schmelzrate und von 35% bis 45% Produkt aus der Stufe mit hoher Schmelzrate zusammengesetzt. Die am meisten gewünschte Endschmelzrate liegt im Bereich von 0,2 bis 30 dg/min.
- Obwohl der Fokus dieser Erfindung neuartige Homopolymere mit einer einzigartigen Kombination von recht breiter Molekulargewichtsverteilung, aber guten physikalischen Eigenschaften und niedrigen Niveaus an Extrahierbarem sind, ist Fachleuten in der Technik klar, dass ähnliche einzigartige Kombinationen von Eigenschaften auch mit Copolymeren möglich sind, bei denen zusätzlich kontrollierte Mengen an Comonomer(en) eingesetzt werden.
- Jede Stufe kann individuell jedwedes Verfahren einschließen, einschließlich Gas-, Aufschlämmungs- oder Lösungsphasen- oder Hochdruckautoklavenverfahren. Vorzugsweise wird in jeder Stufe ein Aufschlämmungs (Massenflüssigpropylen)-Polymerisationsverfahren verwendet.
- Ein Aufschlämmungspolymerisationsverfahren verwendet im Allgemeinen Drücke im Bereich von 1 bis 100 atm (etwa 0,1 bis etwa 10 MPa) oder noch höher und Temperaturen im Bereich von –60°C bis 150°C. In einer Aufschlämmungspolymerisation wird eine Suspension von festem, partikelförmigem Polymer in einem flüssigen oder superkritischen Polymerisationsmedium gebildet, zu der Propylen und Comonomere und oft Wasserstoff zusammen mit Katalysator gegeben werden. Die in dem Polymerisationsmedium eingesetzte Flüssigkeit kann z. B. Alkan oder Cycloalkan sein. Das eingesetzte Medium sollte unter den Polymerisationsbedingungen flüssig und relativ inert sein, wie Hexan und Isobutan. In der bevorzugten Ausführungsform dient Propylen als das Polymerisationsverdünnungsmittel, und die Polymerisation wird unter Verwendung eines Drucks von 200 kPa bis 7.000 kPa bei einer Temperatur im Bereich von 50°C bis 120°C durchgeführt.
- Polymerzusammensetzungen
- Die erfindungsgemäßen Polymerzusammensetzungen sind ein Reaktorgemisch von isotaktischen Homopolymeren mit unterschiedlichen durchschnittlichen Molekulargewichten (Gewichtsmittel), sodass das Gesamtpolymer eine Molekulargewichtsverteilung besitzt, die im Bereich von 3,0 bis 8,0 liegt.
- Die erfindungsgemäßen Propylenpolymerzusammensetzungen sind besonders für Anwendungen von orientierter Folie geeignet und besitzen vorzugsweise ein durchschnittliches Molekulargewicht (Gewichtsmittel, Mw), das im Bereich von 140.000 bis 750.000, vorzugsweise von 150.000 bis 500.000 und am meisten bevorzugt von 200.000 bis 400.000 liegt. Diese Polymerzusammensetzungen besitzen vorzugsweise eine Schmelzrate (melt flow rate, MFR), die im Bereich von 0,2 dg/min bis 30 dg/min, vorzugsweise 0,5 dg/min bis 20,0 dg/min, insbesondere von 1,0 dg/min bis 10,0 dg/min liegt. Der Schmelzpunkt des Polymers ist vorzugsweise höher als 150°C und insbesondere höher als 155°C. Obere Grenzen für den Schmelzpunkt hängen von der besonderen Anwendung und dem verwendeten Metallocen ab, sind jedoch typischerweise nicht höher als 180°C. Das Niveau an Hexanextrahierbarem (bestimmt durch 21 CFR 177.1520(d)(3)(i)) des Polymerendprodukts ist vorzugsweise kleiner als 2,0 Gew.-%, bevorzugter kleiner 1,0 Gew.-%, trotz der breiten MWD.
- Die erfindungsgemäßen Polymere können mit anderen Polymeren gemischt werden, insbesondere mit anderen Polyolefinen. Beispiele dafür sind Gemische mit konventionellen Propylenpolymeren.
- Die erfindungsgemäßen Propylenhomopolymere zeigen herausragende Folienorientierbarkeit, und die Folien zeigen eine gute Ausgewogenheit der Eigenschaften. Es kann jedwedes Folienherstellungsverfahren verwendet werden, um die erfindungsgemäßen orientierten Folien herzustellen, solange die Folie in mindestens einer Richtung orientiert wird. Typischerweise werden kommerziell gewünschte orientierte Polypropylenfolien nacheinander oder gleichzeitig biaxial orientiert. Das üblichste Verfahren besteht darin, die Folie zuerst längs und dann in der Querrichtung zu orientieren. Zwei wohl bekannte Herstellungsverfahren für orientierte Folie schließen das Streckrahmenverfahren und das Doppelblasenverfahren ein.
- Wir haben gefunden, dass die neuartige Struktur der erfindungsgemäßen Zusammensetzungen von isotaktischem Propylenpolymer zu deutlichen Unterschieden führt, im Vergleich mit Standardfolien, die mit heutigen Ziegler-Natta-hergestellten Propylenpolymeren hergestellt werden, und im Vergleich mit Folien, die mit einem Einstufenpolymerisationsverfahren hergestellt werden, das zur Herstellung von enger Molekulargewichtsverteilung vorgesehen ist. Wie nachfolgend detaillierter diskutiert ist, zeigen Studien mit biaxialem Strecken, dass die erfindungsgemäßen Folien einen wesentlich breiteren Verarbeitbarkeitsbereich besitzen und bei niedrigerer Temperatur gleichmäßig gestreckt werden können. Streckstudien bei erhöhten Temperaturen mit Gießfolien in Ma schinenrichtung (MD) und Querrichtung (TD) belegen, dass sich die erfindungsgemäßen Folien im Vergleich mit Ziegler-Natta-hergestellten Propylenpolymeren ohne Reißen bei niedrigeren Strecktemperaturen leicht strecken lassen. Dies belegt die Möglichkeit, bei signifikant höheren Straßengeschwindigkeiten auf kommerziellen Streckrahmenstraße zu arbeiten, aber noch orientierte Folien mit guten Klarheits-, Steifheits- und Barriereeigenschaften herzustellen.
- Die erfindungsgemäßen Endfolien können im Allgemeinen jedwede Dicke haben, vorzugsweise liegt die Dicke jedoch im Bereich von 1 bis 150 μm, vorzugsweise 2 bis 100 μm und bevorzugter 3 bis 75 μm. Es gibt bezüglich des Streckverhältnisses beim Folienstrecken keine Beschränkung, vorzugsweise ist das Streckverhältnis jedoch von 4 bis 10 mal für monoaxial orientierte Folien und von 4 bis 15 mal in Querrichtung im Fall von biaxial orientierten Folien. Maschinenrichtungs (MD)- und Querrichtungs (TD)-Strecken werden vorzugsweise bei einer Temperatur im Bereich von 70°C bis 200°C, vorzugsweise von 80°C bis 190°C durchgeführt. Die Folien können koextrudiert oder laminiert sein und/oder ein- oder mehrschichtig sein, wobei die erfindungsgemäße Folie mindestens eine Komponente der Schichten ausmacht, typischerweise die Kernschicht.
- In die erfindungsgemäßen Folienpolymerzusammensetzungen können Additive eingeschlossen werden. Solche Additive und deren Verwendung sind im Allgemeinen in der Technik wohl bekannt. Diese schließen solche ein, die üblicherweise mit Kunststoffen eingesetzt werden, wie Wärmestabilisatoren oder Antioxidantien, Neutralisierungsmittel, Gleitmittel, Antiblockmittel, Pigmente, Antibeschlagmittel, Antistatikmittel, Klärmittel, Nukleierungsmittel, Ultraviolettabsorbierungsmittel oder Lichtstabilisatoren, Füllstoffe und andere Additive in konventionellen Mengen. Wirksame Niveaus sind in der Technik bekannt und hängen von den Eigenschaften der Basispolymere, dem Herstellungsmodus und der Endanwendung ab. Zusätzlich können hydrierte und/oder Erdölkohlenwasserstoffharze als Additive verwendet werden.
- Die Folienoberflächen können durch jedwede der bekannten Verfahren behandelt werden, wie Corona- oder Flammenbehandlung. Außerdem können Standardfolienverarbeitungs (z. B. Temper)- und Verarbeitungsverfahren angepasst werden, um die Folie an der Straße in brauchbare Produkte umzuwandeln.
- BEISPIELE
- Ein dieser Erfindung entsprechendes Polypropylen, Probe A, wurde mit Metallocen-basierten Standard-Propylenpolymeren mit enger MWD und mit konventionellen Ziegler-Natta-basierten Propylenpolymeren wie folgt verglichen. Probe A (Erfindung) wurde wie folgt hergestellt.
- Eine Katalysatorsystemvorläuferlösung wurde hergestellt, indem 343 g von 30gew.-%igem Methylalumoxan in Toluol (Albemarle Corp., Baton Rouge, LA, USA), was 1,76 mol Al darstellt, mit 6,36 g Dimethylsilylbis(2-methyl-4-phenylindenyl-zirkoniumdichlorid (0,01 mol Zr) durch Rühren kombiniert wurden. Dann wurden 367 g Toluol zugegeben und das Rühren für 15 Minuten fortgesetzt. Die Vorläuferlösung (625,9 g) wurde zu 392 g Siliciumdioxid Davison XPO 2407 (1,4–1,5 cm3/g Porenvolumen, erhältlich von W. R. Grace, Davison Chemical Division, Baltimore, Maryland, USA), gegeben, das vorher auf 600°C unter N2 erhitzt worden war. Das Verhältnis von Flüssigkeitsvolumen zu Siliciumdioxidgesamtvolumen betrug 1,10. Der Feststoff hatte die Konsistenz von feuchtem Sand und wurde bei vermindertem Druck (483 + mm Hg Vakuum) und Temperaturen bis 50°C über 16 Stunden getrocknet. Es wurden 485,5 g feinteiliger, freifließender fester Katalysator erhalten. Elementaranalyse belegte 0,09 Gew.-% Zr und 7,37 Gew.-% Al.
- Mehrere Chargen des Katalysatorsystems wurden kombiniert, um die Beladung für den Polymerisationsdurchlauf bereitzustellen. Das Katalysatorsystem war zur Erleichterung der Zugabe in den Reaktor mit Mineralweißöl DrakeolTM (Witco Chemical) in Öl aufgeschlämmt. Das Verfahren zur Polymerisierung von Probe A war wie folgt. Die Polymerisation wurde in einem kontinuierlichen Pilotanlagenverfahren mit zwei Reaktoren, Rührtank und Massenflüssigphase durchgeführt. Die Reaktoren waren mit Mänteln ausgerüstet, um die Polymerisationswärme abzuführen. Die Reaktortemperatur wurde auf 70°C in dem ersten Reaktor und 66°C in dem zweiten Reaktor eingestellt. Katalysator wurde mit einer Rate von 6,6 g/h eingespeist. TEAL (2 Gew.-% in Hexan) wurde als Abfangmittel mit einer Rate von 1,6 g/h verwendet. Das wie oben hergestellte Katalysatorsystem wurde als 20%ige Aufschlämmung in Mineralöl eingespeist und wurde mit Propylen in den Reaktor gespült. Propylenmonomer wurde in den ersten Reaktor mit einer Rate von 80 kg/h und in den zweiten Reaktor mit einer Rate von 27 kg/h eingespeist. Zur Molekulargewichtssteuerung wurde Wasserstoff mit 500 mppm in den ersten Reaktor und 5.000 in den zweiten Reaktor zugegeben. Die Reaktorverweilzeit betrug 2,3 Stunden in dem ersten Reaktor und 1,7 Stunden in dem zweiten Reaktor. Die Polymerherstellungsraten betrugen 16 kg/h in dem ersten Reaktor und 8 kg/h in dem zweiten Reaktor. Polymer wurde aus den Reaktoren als körniges Produkt mit einer MFR von 3,7 dg/min abgeführt. 60% des Polymerendprodukts stammten aus der ersten Stufe und 40% des Polymerendprodukts stammten aus der zweiten Stufe.
- Probe B (Vergleich mit Metallocen) wurde auf ähnliche Weise wie oben für Probe A beschrieben hergestellt.
- Das Verfahren zum Polymerisieren von Probe B war das gleiche wie für Probe A, außer dass Wasserstoff mit 500 mppm in den ersten Reaktor und 900 mppm in den zweiten Reaktor zugegeben wurde.
- Probe C (Vergleich mit Z–N) ist ein von Exxon Chemical Company erhältliches Produkt (PP4782). Es ist ein Reaktorgemisch von Propylenhomopolymer und Propylen/Ethylen-Copolymer mit einer Schmelzrate von 2,1 dg/min und einem Ethylengehalt von 0,6 Gew.-%.
- Probe D wurde wie folgt hergestellt. Die Polymerisation wurde in einem kontinuierlichen Pilotanlagenverfahren mit zwei Reaktoren, Rührtank und Massenflüssigphase durchgeführt. Die Reaktoren waren mit Mänteln ausgerüstet, um die Polymerisationswärme abzuführen. Die Reaktortemperatur betrug 70°C in dem ersten Reaktor und 64,5°C in dem zweiten Reaktor. Katalysator wurde mit einer Rate von 3,5 g/h eingespeist. TEAL (2,0 Gew.-% in Hexan) wurde als Abfangmittel mit einer Rate von 17 wpmm verwendet. Dass wie oben hergestellte Katalysatorsystem wurde als 20%ige Aufschlämmung in Mineralöl eingespeist und wurde mit Propylen in den Reaktor gespült. Propylenmonomer wurde in den ersten Reaktor mit einer Rate von 80 kg/h und in den zweiten Reaktor mit einer Rate von 30 kg/h eingespeist. Zur Molekulargewichtssteuerung wurde Wasserstoff mit 500 mppm in den ersten Reaktor und 8.000 in den zweiten Reaktor zugeführt. Die Reaktorverweilzeit betrug etwa 2,5 Stunden in dem ersten Reaktor und etwa 1,8 Stunden in dem zweiten Reaktor. Die Polymerherstellungsraten betrugen etwa 20 kg/h in dem ersten Reaktor und 11 kg/h in dem zweiten Reaktor. Aus den Reaktoren wurde Polymer als körniges Produkt mit einer MFR von 1 dg/min abgeführt. Etwa 65% des Polymerendprodukts stammten aus der ersten Stufe und etwa 35% des Polymerendprodukts stammten aus der zweiten Stufe.
- Das erfindungsgemäße Polymer (Probe A), Metallocen-katalysierter Vergleich (Probe B) und Ziegler-Natta-katalysierter Vergleich (Proben C) wurden in biaxial orientierte Folien umgewandelt, um die Leichtigkeit des Streckens und der Orientierung zu bestimmen. Dieser Schritt ist als kritischer Punkt bei der Herstellung solcher orientierter Folien anerkannt. Eines der eingesetzten Verfahren war eines, das in der Technik weit verbreitet verwendet wird und die Gießextrusion einer Polymerlage (typischerweise 500 μm bis 650 μm dick) einschließt, gefolgt von biaxialer Orientierung bei erhöhter Temperatur auf einer Streckvorrichtung, wie einer Folienstreckvorrichtung von TM Long Co., Somerville, NJ, USA (im Folgenden als TM Long-Vorrichtung bezeichnet), um eine Enddicke von 15 μm bis 25 μm zu ergeben. Die Leichtigkeit des Folienstreckens oder -orientierens wurde aus der Gleichmäßigkeit des Streckens (d. h. gleichmäßige Streckung im Gegensatz zum Vorliegen von Streckspuren), Durchhängen der Folie und im schlimmsten Fall Reißen der Folie beurteilt. Ein gewünschtes Streckprofil ist eines, das gleichmäßige Streckung ohne jedwede Streckspuren, Reißen oder Durchhängen über einen breiten Bereich von Strecktemperaturen bereitstellt.
- Als Ergebnis der sehr unausgewogenen MFR in einer Zweistufenpolymerisation zeigt erfindungsgemäßes Polymer (Probe A) eine relativ breite Molekulargewichtsverteilung. Ein Vergleich der Molekulargewichtsverteilung von Probe A gegenüber Proben B und C ist in
1 gezeigt. Probe A besitzt eine Molekulargewichtsverteilung (Mw/Mn), die breiter als die enge Molekulargewichtsverteilung von Metallocen (Probe B) und nahe der von Ziegler-Natta-Polymer (Probe C) ist. Trotz der Verbreitung der MWD wird wenig Extrahierbares erhalten. Als ein weiterer Beleg für die mit den erfindungsgemäßen Polymeren mögliche wesentliche MWD-Verbreitung ist der Fall von Probe D in1A zeigt. Probe D besitzt eine MFR von etwa 1 dg/min. Trotz des wesentlichen Werts der erhaltenen Molekulargewichtsverbreiterung (Mw/Mn etwa 10,0) war das Hexanextrahierbare für Probe D nur 0,8 Gew.-%. Das Xylollösliche war 1,16 Gew.-%. Wichtige Harzparameter werden in Tabelle 1 verglichen. Unter Verwendung einer T. M. Long-Biaxialstreckvorrichtung (hergestellt 1991) wurde eine Folienverarbeitbarkeitsuntersuchung durchgeführt, um die Temperaturbereiche zu vergleichen, bei denen gleichförmiges Strecken erreicht wird. Zuerst wurde eine 508 μm (20 mil) dicke Schicht auf einer Killion-Gießstraße hergestellt und dann für die Verarbeitbarkeitsuntersuchung in 50,8 mm × 50,8 mm (2'' × 2'') große quadratische Platten geschnitten. Bei der Verarbeitbarkeitsuntersuchung wurde jede Probenplatte 27 Sekunden lang vorgeheizt, gefolgt von biaxialem Strecken mit einer Streckrate von 76,2 mm/s (3''/s), um eine 304,8 mm × 304,8 mm (12'' × 12'') große orientierte Folie zu bilden. Durch Beobachten der Folienfläche bezüglich guter Streckgleichförmigkeit und Abwesenheit von Zeichen von Nicht-Strecken und Zeichen von Durchhängen wurde das gleichmäßige Strecken beurteilt. - Die Folienverarbeitbarkeiten der Polymere werden in Tabelle 2 und
2 verglichen. Die Streckleistung von Probe A erweist sich als denen von Proben B und C überlegen. Insbesondere erreicht Probe A eine größere Verarbeitungsbreite und die Fähigkeit zum Strecken bei geringeren Ofentemperaturen – zwei gewünschte Merkmale für potentielle Hochgeschwindigkeitsstraßenanwendungen mit biaxialem Orientierungsstreckrahmen. - Wie in Tabelle 3 gezeigt ist, sind die Folieneigenschaften von Probe A vorteilhaft im Vergleich mit denen von Proben B und C. Normalerweise sind die wichtigsten Eigenschaften bei der OPP-Produktleistung hohe Steifheit, geringe Trübheit, hohe Feuchtigkeitsbarriere und geringes Wärmeschrumpfen. Die hohen Barriere- und Steifheitseigenschaften bieten bessere Lebensmittelkonservierung und dünnere Folienstärken (Gauge), und geringeres Wärmeschrumpfen verbessert die Wärmebeständigkeit beim Hochgeschwindigkeitsmehrfarbendrucken bei hoher Temperatur. Überraschenderweise wird der Schrumpf von Probe A-Folie trotz deren niedrigerer Schmelztemperatur beibehalten.
- Obwohl die Beispiele vor allem Folien betreffen, ist sofort klar, dass sich die Merkmale der erfindungsgemäßen Polymere auch auf die Verwendung in anderen Endanwendungsgebieten übertragen lassen. Zum Beispiel sollte beim Thermoformen und Blasformen, bei Fasern und Textilmaterialien die durch die Verbreiterung der Verteilung zum höheren Molekulargewicht hin hervorgerufene erhöhte Schmelzfestigkeit zusammen mit der leichteren Orientierbarkeit bei niedrigeren Temperaturen zu Leistungsvorteilen gegenüber Metallocen-katalysierten Standardpropylenpolymeren mit enger Molekulargewichtsverteilung als auch konventionellen Ziegler-Natta-Propylenpolymeren führen, während das Merkmal des allgemein geringen Extrahierbaren von Metallocen-katalysierten Propylenpolymeren beibehalten wird.
Claims (9)
- Propylenpolymerzusammensetzung, die isotaktisches Propylenhomopolymer mit einer Molekulargewichtsverteilung im Bereich von 3,0 bis 8,0, einem Schmelzpunkt von höher als 150°C und weniger als 1,0 Gew.-% Hexanextrahierbares umfasst, wobei eine aus der Propylenpolymerzusämmensetzung gebildete Folie von 50,8 mm × 50,8 mm × 508 μm (20 mil) beim Strecken auf eine Endstreckdicke von 19,1 μm (0,75 mil) auf einer T. M. Long-Biaxialstreckvorrichtung nach Vorheizen der Folie für 27 Sekunden und Strecken der Folie mit einer Rate von 76,2 mm/s eine gleichmäßige Streckung im Temperaturbereich von 151,7°C bis 157,2°C aufweist.
- Propylenpolymerzusammensetzung nach Anspruch 1, die ferner ein Gemisch von ersten und zweiten Propylenhomopolymeren umfasst, wobei das erste Propylenhomopolymer eine Schmelzrate im Bereich von 0,15 dg/min bis 4,0 dg/min aufweist und das zweite Propylenhomopolymer eine Schmelzrate im Bereich von 5 dg/min bis 1.000 dg/min aufweist.
- Propylenpolymerzusammensetzung, die isotaktisches Propylenhomopolymer mit einer Molekulargewichtsverteilung im Bereich von 3,0 bis 8,0, einem Schmelzpunkt von höher als 150°C und weniger als 1,0 Gew.-% Hexanextrahierbares umfasst, wobei das Polymer. in einem Mehrstufenpolymerisationsverfahren unter Verwendung desselben Metallocens in mindestens zwei Stufen hergestellt ist.
- Verfahren zum Polymerisieren von isotaktischem Propylenhomopolymer mit den Schritten: (a) Polymerisieren von Propylen in Gegenwart eines Metallocens und einer zur Herstellung eines ersten Propylenhomopolymers mit einer Schmelzrate im Bereich von 0,15 dg/min bis 4,0 dg/min ausreichenden ersten Konzentration an Kettentransfermittel, (b) Polymerisieren von Propylen in Gegenwart des ersten Propylenhomopolymers unter Verwendung des gleichen Metallocens, das in Schritt (a) verwendet wurde, in Gegenwart einer zur Herstellung des isotaktischen Propylenhomopolymers mit einer Molekulargewichtsverteilung im Bereich von 3,0 bis 8,0 ausreichenden zweiten Konzentration an Kettentransfermittel.
- Verfahren zum Polymerisieren von isotaktischem Propylenhomopolymer mit den Schritten: (a) Polymerisieren von Propylen in Gegenwart eines Metallocens und einer zur Herstellung eines ersten Propylenhomopolymers mit einer Schmelzrate im Bereich von 5 dg/min bis 1.000 dg/min aureichenden ersten Konzentration an Kettentransfermittel, (b) Polymerisieren von Propylen in Gegenwart des ersten Propylenhomopolymers unter Verwendung des gleichen Metallocens, das in Schritt (a) verwendet wurde, in Gegenwart einer zur Herstelung des isotaktischen Propylenhomopolymers mit einer Molekulargewichtsverteilung im Bereich von 3,0 bis 8,0 ausreichenden zweiten Konzentration an Kettentransfermittel.
- Verfahren nach Ansprüchen 4 und 5, bei dem Schritt (a) in einem ersten Reaktor durchgeführt wird und Schritt (b) in einem zweiten Reaktor durchgeführt wird.
- Verfahren nach Anspruch 6, bei dem das zweite Propylenhomopolymer eine Schmelzrate im Bereich von 0,15 dg/min bis 4,0 dg/min aufweist.
- Verfahren zur Herstellung von isotaktischem Propylen mit den Schritten: (a) Homopolymerisieren von Propylen in Gegenwart eines einzigen Metallocens und einer zur Herstellung eines ersten Propylenhomopolymers mit einer Schmelzrate im Bereich von 0,15 dg/min bis 4,0 dg/min und einer Molekulargewichtsverteilung im Bereich von 1,8 bis 2,5 ausreichenden ersten Konzentration an Kettentransfermittel, (b) Homopolymerisieren von Propylen in Gegenwart des ersten Propylenhomopolymers und des gleichen einzigen Metallocens in Gegenwart einer zur Herstellung eines zweiten Propylenhomopolymers mit einer Molekulargewichtsverteilung im Bereich von 1,8 bis 2,5 und einer Schmelzrate im Bereich von 5 dg/min bis 1.000 dg/min ausreichenden zweiten Konzentration an Kettentransfermittel, wobei das isotaktische Polypropylen ein Gemisch des ersten und zweiten Homopolymers mit einer Molekulargewichtsverteilung im Bereich von 3,0 bis 8,0 ist und wobei das erste Homopolymer 40% bis 80% des isotaktischen Polypropylens ausmacht und das zweite Homopolymer 20% bis 60% des isotaktischen Polypropylens ausmacht.
- Verfahren nach Ansprüchen 4, 5 und 8, bei dem das Kettentransfermittel in mindestens einem der Sehritte (a) und (b) Wasserstoff ist.
Applications Claiming Priority (3)
| Application Number | Priority Date | Filing Date | Title |
|---|---|---|---|
| US8531798P | 1998-05-13 | 1998-05-13 | |
| US85317P | 1998-05-13 | ||
| PCT/US1999/008453 WO1999058587A1 (en) | 1998-05-13 | 1999-04-16 | Propylene homopolymers and methods of making the same |
Publications (2)
| Publication Number | Publication Date |
|---|---|
| DE69918100D1 DE69918100D1 (de) | 2004-07-22 |
| DE69918100T2 true DE69918100T2 (de) | 2005-07-07 |
Family
ID=22190801
Family Applications (1)
| Application Number | Title | Priority Date | Filing Date |
|---|---|---|---|
| DE69918100T Expired - Fee Related DE69918100T2 (de) | 1998-05-13 | 1999-04-16 | Propylenhomopolymere und herstellungsverfahren |
Country Status (8)
| Country | Link |
|---|---|
| US (2) | US6207750B1 (de) |
| EP (1) | EP1078009B1 (de) |
| CN (1) | CN1130392C (de) |
| CA (1) | CA2327497A1 (de) |
| DE (1) | DE69918100T2 (de) |
| ES (1) | ES2220058T3 (de) |
| HK (1) | HK1039495B (de) |
| WO (1) | WO1999058587A1 (de) |
Families Citing this family (23)
| Publication number | Priority date | Publication date | Assignee | Title |
|---|---|---|---|---|
| WO1998010016A1 (en) * | 1996-09-04 | 1998-03-12 | Exxon Chemical Patents Inc. | Improved propylene polymers for oriented films |
| US6576306B2 (en) | 1996-09-04 | 2003-06-10 | Exxonmobil Chemical Patents Inc. | Propylene polymers for films |
| US6583227B2 (en) * | 1996-09-04 | 2003-06-24 | Exxonmobil Chemical Patents Inc. | Propylene polymers for films |
| US6784269B2 (en) * | 1998-05-13 | 2004-08-31 | Exxonmobil Chemical Patents Inc. | Polypropylene compositions methods of making the same |
| US6797375B1 (en) * | 1998-11-12 | 2004-09-28 | 3M Innovative Properties Company | Oriented polypropylene films for adhesive tape |
| DE50012267D1 (de) | 1999-12-21 | 2006-04-27 | Basell Polyolefine Gmbh | Teilkristalline propylenpolymerisat-zusammensetzung zur herstellung von biaxial gereckten polypropylenfolien |
| CA2420072A1 (en) * | 2000-08-22 | 2002-02-28 | Exxonmobil Chemical Patents Inc. | Polypropylene fibers and fabrics |
| US7700707B2 (en) | 2002-10-15 | 2010-04-20 | Exxonmobil Chemical Patents Inc. | Polyolefin adhesive compositions and articles made therefrom |
| US7550528B2 (en) | 2002-10-15 | 2009-06-23 | Exxonmobil Chemical Patents Inc. | Functionalized olefin polymers |
| WO2005108442A1 (en) | 2002-10-15 | 2005-11-17 | Exxonmobil Chemical Patents Inc. | Polyolefin adhesive compositions and articles made therefrom |
| MXPA05007662A (es) | 2003-01-16 | 2006-03-10 | Ian Orde Michael Jacobs | Metodos, composiciones y mezclas para formar articulos que tienen resistencia a fisura de tension ambiental mejorada. |
| US6933353B2 (en) * | 2003-07-07 | 2005-08-23 | Equistar Chemicals, Lp | Olefin polymerization process |
| MXPA06003931A (es) * | 2003-10-07 | 2006-06-27 | Dow Global Technologies Inc | Composicion de polipropileno para peliculas sopladas enfriadas con aire. |
| US7217772B2 (en) * | 2005-03-25 | 2007-05-15 | Sunoco, Inc. (R&M) | Process for production of propylene homopolymers |
| US20070235896A1 (en) * | 2006-04-06 | 2007-10-11 | Fina Technology, Inc. | High shrink high modulus biaxially oriented films |
| US7977435B2 (en) | 2006-07-12 | 2011-07-12 | Lin Chon-Yie | Propylene polymer compositions and processes for making the same |
| EP1923407A1 (de) * | 2006-11-14 | 2008-05-21 | Borealis Technology Oy | Biaxial gereckter Film mit verbesserter Verarbeitbarkeit |
| DE102008005564A1 (de) * | 2008-01-22 | 2009-07-23 | Tesa Ag | Trägerfolie insbesondere für ein Klebeband und Verwendung derselben |
| EP2174962B1 (de) * | 2008-10-08 | 2011-11-30 | Borealis AG | Verfahren zur Herstellung von sehr steifem Polyproylen |
| US9279024B2 (en) | 2013-10-28 | 2016-03-08 | Exxonmobil Chemical Patents Inc. | Processes using staged hydrogen addition |
| WO2015088819A1 (en) * | 2013-12-13 | 2015-06-18 | Exxonmobil Chemical Patents Inc. | Cyclopentadienyl-substituted salan catalysts |
| EP3201269B1 (de) * | 2014-09-30 | 2020-10-14 | ExxonMobil Chemical Patents Inc. | Bimodale polypropylenzusammensetzungen |
| WO2016053468A1 (en) | 2014-09-30 | 2016-04-07 | Exxonmobil Chemical Patents Inc. | Bimodal polypropylenes and method of making same |
Family Cites Families (82)
| Publication number | Priority date | Publication date | Assignee | Title |
|---|---|---|---|---|
| DE3127133A1 (de) | 1981-07-09 | 1983-01-27 | Hoechst Ag, 6000 Frankfurt | Verfahren zur herstellung von polyolefinen und deren copolymerisaten |
| US4530914A (en) | 1983-06-06 | 1985-07-23 | Exxon Research & Engineering Co. | Process and catalyst for producing polyethylene having a broad molecular weight distribution |
| US4937299A (en) | 1983-06-06 | 1990-06-26 | Exxon Research & Engineering Company | Process and catalyst for producing reactor blend polyolefins |
| US5324800A (en) | 1983-06-06 | 1994-06-28 | Exxon Chemical Patents Inc. | Process and catalyst for polyolefin density and molecular weight control |
| DE3508887A1 (de) | 1985-03-13 | 1986-09-25 | Hoechst Ag, 6230 Frankfurt | Verfahren zur herstellung von optisch aktiven polyolefinen |
| US4808561A (en) | 1985-06-21 | 1989-02-28 | Exxon Chemical Patents Inc. | Supported polymerization catalyst |
| US4665208A (en) | 1985-07-11 | 1987-05-12 | Exxon Chemical Patents Inc. | Process for the preparation of alumoxanes |
| US4701432A (en) | 1985-11-15 | 1987-10-20 | Exxon Chemical Patents Inc. | Supported polymerization catalyst |
| DE3782243T2 (de) | 1986-08-26 | 1993-03-04 | Mitsui Petrochemical Ind | Katalysator zur polymerisierung von alpha-olefin und verfahren. |
| EP0406912B1 (de) | 1986-09-24 | 1994-11-30 | Mitsui Petrochemical Industries, Ltd. | Verfahren zur Polymerisation von Polyolefinen |
| JPH0780933B2 (ja) | 1986-11-20 | 1995-08-30 | 三井石油化学工業株式会社 | オレフインの重合方法 |
| JP2618384B2 (ja) | 1986-12-27 | 1997-06-11 | 三井石油化学工業株式会社 | オレフイン重合用固体触媒およびその製法 |
| EP0295312B1 (de) | 1986-12-30 | 1994-04-20 | Mitsui Petrochemical Industries, Ltd. | Fester katalysator für die olefinpolymerisation und verfahren zu dessen herstellung |
| US5198401A (en) | 1987-01-30 | 1993-03-30 | Exxon Chemical Patents Inc. | Ionic metallocene catalyst compositions |
| IL85097A (en) | 1987-01-30 | 1992-02-16 | Exxon Chemical Patents Inc | Catalysts based on derivatives of a bis(cyclopentadienyl)group ivb metal compound,their preparation and their use in polymerization processes |
| PL276385A1 (en) | 1987-01-30 | 1989-07-24 | Exxon Chemical Patents Inc | Method for polymerization of olefines,diolefins and acetylene unsaturated compounds |
| JPH0742301B2 (ja) | 1987-02-14 | 1995-05-10 | 三井石油化学工業株式会社 | 微粒子状アルミノオキサン、その製法およびその用途 |
| US4769910A (en) | 1987-03-30 | 1988-09-13 | Northern Telecom Limited | Cutting tool for cylindrical articles |
| JP2538588B2 (ja) | 1987-04-03 | 1996-09-25 | 三井石油化学工業株式会社 | オレフイン重合用固体触媒の製法 |
| US5206199A (en) | 1987-04-20 | 1993-04-27 | Mitsui Petrochemical Industries, Ltd. | Catalyst for polymerizing an olefin and process for polymerizing an olefin |
| DE3742934A1 (de) | 1987-12-18 | 1989-06-29 | Hoechst Ag | Verfahren zur herstellung einer chiralen, stereorigiden metallocen-verbindung |
| US5017714A (en) | 1988-03-21 | 1991-05-21 | Exxon Chemical Patents Inc. | Silicon-bridged transition metal compounds |
| US5120867A (en) | 1988-03-21 | 1992-06-09 | Welborn Jr Howard C | Silicon-bridged transition metal compounds |
| JPH0739446B2 (ja) | 1988-04-04 | 1995-05-01 | チッソ株式会社 | 高剛性ポリプロピレンの製造法 |
| US4871705A (en) | 1988-06-16 | 1989-10-03 | Exxon Chemical Patents Inc. | Process for production of a high molecular weight ethylene a-olefin elastomer with a metallocene alumoxane catalyst |
| EP0354893B2 (de) | 1988-08-05 | 2002-03-13 | Fina Technology, Inc. | Verfahren zur Herstellung grosser symmetrischer Polymerteilchen |
| US5091352A (en) | 1988-09-14 | 1992-02-25 | Mitsui Petrochemical Industries, Ltd. | Olefin polymerization catalyst component, olefin polymerization catalyst and process for the polymerization of olefins |
| US4908463A (en) | 1988-12-05 | 1990-03-13 | Ethyl Corporation | Aluminoxane process |
| US5103031A (en) | 1989-02-21 | 1992-04-07 | Ethyl Corporation | Falling film aluminoxane process |
| US4968827A (en) | 1989-06-06 | 1990-11-06 | Ethyl Corporation | Alkylaluminoxane process |
| US4924018A (en) | 1989-06-26 | 1990-05-08 | Ethyl Corporation | Alkylaluminoxane process |
| US5026798A (en) | 1989-09-13 | 1991-06-25 | Exxon Chemical Patents Inc. | Process for producing crystalline poly-α-olefins with a monocyclopentadienyl transition metal catalyst system |
| US5057475A (en) | 1989-09-13 | 1991-10-15 | Exxon Chemical Patents Inc. | Mono-Cp heteroatom containing group IVB transition metal complexes with MAO: supported catalyst for olefin polymerization |
| US5763549A (en) | 1989-10-10 | 1998-06-09 | Fina Technology, Inc. | Cationic metallocene catalysts based on organoaluminum anions |
| EP0426637B2 (de) | 1989-10-30 | 2001-09-26 | Fina Technology, Inc. | Herstellung von Metallocenkatalysatoren für Olefinpolymerisation |
| US5280074A (en) | 1989-12-21 | 1994-01-18 | Hoechst Ag | Process for the preparation of a polypropylene molding composition |
| DE3942363A1 (de) | 1989-12-21 | 1991-06-27 | Hoechst Ag | Verfahren zur herstellung einer polypropylen-formmasse |
| IL96810A0 (en) | 1990-01-02 | 1991-09-16 | Exxon Chemical Patents Inc | Supported ionic metallocene catalysts for olefin polymerization and methods for the preparation thereof |
| CA2085581C (en) | 1990-06-22 | 2002-07-30 | Joann Marie Canich | Aluminum-free monocyclopentadienyl metallocene catalysts for olefin polymerization |
| JP3115595B2 (ja) | 1990-07-24 | 2000-12-11 | 三井化学株式会社 | α―オレフィンの重合触媒及びそれを用いたポリ―α―オレフィンの製造方法 |
| US5239022A (en) | 1990-11-12 | 1993-08-24 | Hoechst Aktiengesellschaft | Process for the preparation of a syndiotactic polyolefin |
| DE59107926D1 (de) | 1990-11-12 | 1996-07-18 | Hoechst Ag | Metallocene mit Liganden aus 2-substituierten Indenylderivaten, Verfahren zu ihrer Herstellung und ihre Verwendung als Katalysatoren |
| DE59104869D1 (de) | 1990-11-12 | 1995-04-13 | Hoechst Ag | 2-Substituierte Bisindenylmetallocene, Verfahren zu ihrer Herstellung und ihre Verwendung als Katalysatoren bei der Olefinpolymerisation. |
| US5243001A (en) | 1990-11-12 | 1993-09-07 | Hoechst Aktiengesellschaft | Process for the preparation of a high molecular weight olefin polymer |
| US5189192A (en) | 1991-01-16 | 1993-02-23 | The Dow Chemical Company | Process for preparing addition polymerization catalysts via metal center oxidation |
| DE4101650A1 (de) | 1991-01-22 | 1992-07-23 | Hoechst Ag | Biaxial gestreckte polypropylenmonofolie |
| US5218052A (en) | 1991-02-04 | 1993-06-08 | Amoco Corporation | Olefin polymerization and copolymerization process |
| DE59209897D1 (de) | 1991-05-27 | 2001-04-26 | Targor Gmbh | Verfahren zur Herstellung von Polyolefinen mit breiter Molmassenverteilung |
| DE4120009A1 (de) | 1991-06-18 | 1992-12-24 | Basf Ag | Loesliche katalysatorsysteme zur herstellung von polyalk-1-enen mit hohen molmassen |
| US5721185A (en) | 1991-06-24 | 1998-02-24 | The Dow Chemical Company | Homogeneous olefin polymerization catalyst by abstraction with lewis acids |
| US5235081A (en) | 1992-03-18 | 1993-08-10 | Ethyl Corporation | Method of removing gel forming materials from methylaluminoxanes |
| US5308815A (en) | 1991-07-26 | 1994-05-03 | Ethyl Corporation | Heterogeneous methylaluminoxane catalyst system |
| US5157137A (en) | 1991-07-26 | 1992-10-20 | Ethyl Corporation | Method of making gel free alkylaluminoxane solutions |
| TW300901B (de) | 1991-08-26 | 1997-03-21 | Hoechst Ag | |
| DE59210001D1 (de) | 1991-10-15 | 2005-02-17 | Basell Polyolefine Gmbh | Verfahren zur Herstellung eines Olefinpolymers unter Verwendung von Metallocenen mit speziell substituierten Indenylliganden |
| TW318184B (de) | 1991-11-30 | 1997-10-21 | Hoechst Ag | |
| ES2093166T3 (es) | 1991-11-30 | 1996-12-16 | Hoechst Ag | Metalocenos con derivados de indenilo condensados con benzo como ligandos, procedimiento para su preparacion y su utilizacion como catalizadores. |
| US5329032A (en) | 1992-03-18 | 1994-07-12 | Akzo Chemicals Inc. | Polymethylaluminoxane of enhanced solution stability |
| US5350723A (en) | 1992-05-15 | 1994-09-27 | The Dow Chemical Company | Process for preparation of monocyclopentadienyl metal complex compounds and method of use |
| US5240894A (en) | 1992-05-18 | 1993-08-31 | Exxon Chemical Patents Inc. | Method for making and using a supported metallocene catalyst system |
| US5434115A (en) | 1992-05-22 | 1995-07-18 | Tosoh Corporation | Process for producing olefin polymer |
| ES2113900T3 (es) | 1992-06-13 | 1998-05-16 | Targor Gmbh | Proceso para la preparacion de catalizadores de metalocenos quirales, puenteados del tipo bisindenilo. |
| TW294669B (de) | 1992-06-27 | 1997-01-01 | Hoechst Ag | |
| WO1994003506A1 (en) | 1992-08-05 | 1994-02-17 | Exxon Chemical Patents Inc. | Supported ionic transition metal catalysts for olefin polymerization |
| EP0584609B1 (de) | 1992-08-15 | 1999-03-10 | TARGOR GmbH | Verfahren zur Herstellung von Polyolefinen |
| US5248801A (en) | 1992-08-27 | 1993-09-28 | Ethyl Corporation | Preparation of methylaluminoxanes |
| JPH08502093A (ja) | 1992-10-02 | 1996-03-05 | ザ・ダウ・ケミカル・カンパニー | オレフィン重合用の担持均一触媒錯体 |
| US5939346A (en) | 1992-11-02 | 1999-08-17 | Akzo Nobel N.V. | Catalyst system comprising an aryloxyaluminoxane containing an electron withdrawing group |
| DE69307472T2 (de) | 1992-11-10 | 1997-05-15 | Mitsubishi Chem Corp | Verfahren zur Herstellung von Alpha-Olefinpolymeren |
| JP3307704B2 (ja) | 1993-02-19 | 2002-07-24 | 三菱化学株式会社 | α‐オレフィン重合体の製造法 |
| RU2126017C1 (ru) | 1993-05-25 | 1999-02-10 | Эксон Кемикэл Пейтентс Инк. | Металлоценовые каталитические системы на подложке для полимеризации олефинов, способ их получения, гомо- или сополимеры пропилена и способ их получения |
| DE4330661A1 (de) | 1993-09-10 | 1995-03-16 | Basf Ag | Kälteschlagzähe Propylenpolymerisate |
| US5594962A (en) | 1993-09-23 | 1997-01-21 | Bogdanoff; Joseph | Fluid filled medical mattress |
| DE4333128A1 (de) | 1993-09-29 | 1995-03-30 | Hoechst Ag | Verfahren zur Herstellung von Polyolefinen |
| JP3794700B2 (ja) | 1994-06-24 | 2006-07-05 | エクソンモービル・ケミカル・パテンツ・インク | 重合触媒系、それらの製造及び使用 |
| ATE207085T1 (de) | 1994-06-24 | 2001-11-15 | Exxonmobil Chem Patents Inc | Polymerisationskatalysatorsystem, ihre herstellung und verwendung |
| US5643847A (en) | 1994-08-03 | 1997-07-01 | Exxon Chemical Patents Inc. | Supported ionic catalyst composition |
| EP0745638A1 (de) * | 1995-05-31 | 1996-12-04 | Hoechst Aktiengesellschaft | Biaxial orientierte Polypropylenfolie mit verbessertem Weiterreisswiderstand |
| US5741563A (en) * | 1995-09-18 | 1998-04-21 | Exxon Chemical Patents Inc. | Shrink films from propylene polymers |
| DE19622083A1 (de) * | 1996-05-31 | 1997-12-04 | Brueckner Maschbau | Verfahren zur Herstellung einer biaxial orientierten Polypropylenfolie |
| WO1998010016A1 (en) | 1996-09-04 | 1998-03-12 | Exxon Chemical Patents Inc. | Improved propylene polymers for oriented films |
| FI973816A0 (fi) | 1997-09-26 | 1997-09-26 | Borealis As | Polypropen med hoeg smaeltstyrka |
-
1999
- 1999-04-16 DE DE69918100T patent/DE69918100T2/de not_active Expired - Fee Related
- 1999-04-16 HK HK02100017.7A patent/HK1039495B/zh not_active IP Right Cessation
- 1999-04-16 CN CN99805977A patent/CN1130392C/zh not_active Expired - Fee Related
- 1999-04-16 ES ES99917603T patent/ES2220058T3/es not_active Expired - Lifetime
- 1999-04-16 EP EP99917603A patent/EP1078009B1/de not_active Expired - Lifetime
- 1999-04-16 WO PCT/US1999/008453 patent/WO1999058587A1/en not_active Ceased
- 1999-04-16 CA CA002327497A patent/CA2327497A1/en not_active Abandoned
- 1999-04-16 US US09/293,656 patent/US6207750B1/en not_active Expired - Fee Related
-
2000
- 2000-11-07 US US09/707,650 patent/US6476173B1/en not_active Expired - Fee Related
Also Published As
| Publication number | Publication date |
|---|---|
| WO1999058587A1 (en) | 1999-11-18 |
| CN1130392C (zh) | 2003-12-10 |
| EP1078009B1 (de) | 2004-06-16 |
| CN1303400A (zh) | 2001-07-11 |
| ES2220058T3 (es) | 2004-12-01 |
| HK1039495B (zh) | 2004-10-08 |
| US6207750B1 (en) | 2001-03-27 |
| HK1039495A1 (en) | 2002-04-26 |
| US6476173B1 (en) | 2002-11-05 |
| CA2327497A1 (en) | 1999-11-18 |
| EP1078009A1 (de) | 2001-02-28 |
| DE69918100D1 (de) | 2004-07-22 |
Similar Documents
| Publication | Publication Date | Title |
|---|---|---|
| DE69918100T2 (de) | Propylenhomopolymere und herstellungsverfahren | |
| DE69713343T2 (de) | Verbesserte propylenpolymere für orientierte filme | |
| DE69818705T2 (de) | Makromonomere enthaltende propylenpolymere | |
| DE69637122T2 (de) | Schrumpffolien aus propylenpolymerisaten | |
| DE69701627T2 (de) | Trägerkatalysatoren | |
| DE60006146T2 (de) | Propylencopolymerschäume und deren verwendung | |
| DE69828543T2 (de) | Metallocenkatalysator und Katalysatorsystem für die Herstellung von Polypropylenmischungen aus iso- und syndiotaktischem Polypropylen | |
| DE69809192T2 (de) | Propylenpolymere enthaltend polyethylenmakromonomere | |
| DE69839198T2 (de) | Ein Ethylen-alpha-Olefin Copolymer und daraus hergestellter Film | |
| US6576306B2 (en) | Propylene polymers for films | |
| DE69523308T2 (de) | Polymerisationskatalysatorsystem, ihre herstellung und verwendung | |
| US20010044506A1 (en) | Propylene polymers for films | |
| EP1089878B1 (de) | Siegelbare mehrschichtfolie aus einem propen-terpolymeren | |
| DE69936341T2 (de) | Polyethylen und Verfahren zu dessen Herstellung | |
| EP0943631A1 (de) | Polymere des Propens | |
| EP0826728B1 (de) | Weissbrucharme, zähmodifizierte Propylenpolymerisate | |
| DE69607412T2 (de) | Reaktormischungen aus kleinen Mengen syndiotaktischem Polypropylen in isotaktischem Polypropylen | |
| US6784269B2 (en) | Polypropylene compositions methods of making the same | |
| EP1023389B1 (de) | Polymermischung mit guter verarbeitbarkeit | |
| DE60029721T2 (de) | Ethylen/alpha-olefin Copolymere und daraus hergestellte Folien | |
| EP0904301B1 (de) | Metallocenkatalysatorsysteme mit anorganischen oxiden als träger | |
| DE69728623T2 (de) | Film, hergestellt aus einem Ethylen-Alhaolefin-Copolymer | |
| DE19727257B4 (de) | Ethylenpolymer | |
| EP1244714B1 (de) | Verfahren zur herstellung eines katalysatorfeststoffs zur olefinpolymerisation | |
| DE19623225A1 (de) | Metallocenkatalysatorsysteme mit anorganischen Oxiden als Träger |
Legal Events
| Date | Code | Title | Description |
|---|---|---|---|
| 8364 | No opposition during term of opposition | ||
| 8339 | Ceased/non-payment of the annual fee |







