DE60117841T2 - Zusammensetzung und verfahren für verbesserte kontrollierte freie radikalpolymerisation - Google Patents

Zusammensetzung und verfahren für verbesserte kontrollierte freie radikalpolymerisation Download PDF

Info

Publication number
DE60117841T2
DE60117841T2 DE60117841T DE60117841T DE60117841T2 DE 60117841 T2 DE60117841 T2 DE 60117841T2 DE 60117841 T DE60117841 T DE 60117841T DE 60117841 T DE60117841 T DE 60117841T DE 60117841 T2 DE60117841 T2 DE 60117841T2
Authority
DE
Germany
Prior art keywords
alkyl
radical
group
nitroxyl
phenyl
Prior art date
Legal status (The legal status is an assumption and is not a legal conclusion. Google has not performed a legal analysis and makes no representation as to the accuracy of the status listed.)
Expired - Lifetime
Application number
DE60117841T
Other languages
English (en)
Other versions
DE60117841D1 (de
DE60117841T3 (de
Inventor
Wiebke Wunderlich
Rudolf Pfaendner
Current Assignee (The listed assignees may be inaccurate. Google has not performed a legal analysis and makes no representation or warranty as to the accuracy of the list.)
BASF SE
Original Assignee
Ciba Spezialitaetenchemie Holding AG
Ciba SC Holding AG
Priority date (The priority date is an assumption and is not a legal conclusion. Google has not performed a legal analysis and makes no representation as to the accuracy of the date listed.)
Filing date
Publication date
Family has litigation
First worldwide family litigation filed litigation Critical https://patents.darts-ip.com/?family=8174934&utm_source=google_patent&utm_medium=platform_link&utm_campaign=public_patent_search&patent=DE60117841(T2) "Global patent litigation dataset” by Darts-ip is licensed under a Creative Commons Attribution 4.0 International License.
Application filed by Ciba Spezialitaetenchemie Holding AG, Ciba SC Holding AG filed Critical Ciba Spezialitaetenchemie Holding AG
Publication of DE60117841D1 publication Critical patent/DE60117841D1/de
Application granted granted Critical
Publication of DE60117841T2 publication Critical patent/DE60117841T2/de
Publication of DE60117841T3 publication Critical patent/DE60117841T3/de
Anticipated expiration legal-status Critical
Expired - Lifetime legal-status Critical Current

Links

Classifications

    • CCHEMISTRY; METALLURGY
    • C08ORGANIC MACROMOLECULAR COMPOUNDS; THEIR PREPARATION OR CHEMICAL WORKING-UP; COMPOSITIONS BASED THEREON
    • C08FMACROMOLECULAR COMPOUNDS OBTAINED BY REACTIONS ONLY INVOLVING CARBON-TO-CARBON UNSATURATED BONDS
    • C08F4/00Polymerisation catalysts

Landscapes

  • Chemical & Material Sciences (AREA)
  • Engineering & Computer Science (AREA)
  • Materials Engineering (AREA)
  • Health & Medical Sciences (AREA)
  • Chemical Kinetics & Catalysis (AREA)
  • Medicinal Chemistry (AREA)
  • Polymers & Plastics (AREA)
  • Organic Chemistry (AREA)
  • Polymerisation Methods In General (AREA)
  • Polymerization Catalysts (AREA)
  • Addition Polymer Or Copolymer, Post-Treatments, Or Chemical Modifications (AREA)

Description

  • Die vorliegende Erfindung bezieht sich auf eine Zusammensetzung und ein Verfahren zur Verbesserung der kontrollierten Radikalpolymerisation in Gegenwart von Nitroxylen und Nitroxylethern durch die Zugabe eines Kettenübertragungsmittels, ausgewählt aus der Gruppe, bestehend aus Mercaptanen, Thioethern und Disulfiden, zu dem polymerisierbaren Gemisch.
  • US 4 581 429 , Solomon et al., erteilt am 8. April 1986, offenbart ein Radikalpolymerisationsverfahren, das das Wachstum der Polymerketten so kontrolliert, daß kurzkettige oder oligomere Homopolymere und Copolymere erzeugt werden, einschließlich Block- und Pfropfcopolymere. Diese Art von Polymerisation wird häufig „Living-Polymerisation" genannt. Das Verfahren nutzt einen Initiator mit der Formel (ein Teil) R'R''N-O-X, worin X eine freie Radikalspezies ist, die ungesättigte Monomere polymerisieren kann. Die Reaktionen haben typischerweise geringe Umsatzraten. Speziell genannte radikalische Gruppen R'R''N-O· stammen aus 1,1,3,3-Tetraethylisoindolin, 1,1,3,3-Tetrapropylisoindolin, 2,2,6,6-Tetramethylpiperidin, 2,2,5,5-Tetramethylpyrrolidin oder Di-t-butylamin.
  • US 5322912 , Georges et al, erteilt am 21. Juni 1994, offenbart ein Polymerisationsverfahren unter Verwendung eines Radikalinitiators, einer polymerisierbaren Monomerverbindung und eines stabilen radikalischen Mittels mit der Grundstruktur R'R''N-O· für die Synthese von Homopolymeren und Blockcopolymeren.
  • EP 0 759 039 , Georges et. al., beschreibt die verbesserte Polymerisation von Acrylaten unter Verwendung des freien Radikals 4-oxo-2,2,6,6-Tetramethyl-1-piperidinyloxy als stabiles radikalisches Mittel R'R''N-O·.
  • Die vorgeschlagenen Verbindungen erfüllen jedoch nicht alle Erfordernisse. Insbesondere verläuft die Polymerisation von Acrylaten nicht schnell genug und/oder die Monomer-zu-Polymer-Umwandlung ist nicht so hoch wie gewünscht.
  • Aus diesem Grund sind in den letzten Jahren viele Versuche unternommen worden, die Umsatzrate zu verbessern, während die Vorteile einer kontrollierten Polymerisation wie beispielsweise geringe Polydispersität und die Fähigkeit zur Blockcopolymerbildung aufrechterhalten bleiben. Viele Verbesserungen sind durch die Modifizierung der chemischen Struktur des Nitroxylradikals oder des Nitroxylethers erreicht worden.
  • WO 98/13392 beschreibt zum Beispiel offenkettige Alkoxyaminverbindungen, die ein symmetrisches Substitutionsmuster aufweisen und aus NO-Gas oder aus Nitrosoverbindungen stammen.
  • WO 96/24620 beschreibt ein Polymerisationsverfahren, in dem sehr spezifische stabile Radikalische Mittel verwendet werden, wie zum Beispiel
    Figure 00020001
    WO 98/30601 offenbart spezielle Nitroxyle, die auf Imidazolidinonen basieren.
  • WO 98/44008 offenbart spezielle Nitroxyle, die auf Morpholinonen, Piperazinonen und Piperazindionen basieren.
  • Ungeachtet der oben genannten strukturellen Versuche, kontrollierte Radikalpolymerisationsreaktionen zu verbessern, besteht nach wie vor der Bedarf nach der Verbesserung des Polymerisationsverfahrens, um höhere Ausbeuten in kürzeren Reaktionszeiten zu erhalten.
  • EP-A-735 052 offenbart zum Beispiel ein Verfahren zur Herstellung thermoplastischer Polymere mit enger Polydispersität durch Radikalpolymerisation, umfassend die Zugabe eines Radikalinitiators, eines stabilen radikalischen Mittels und eines Pyridiniumtosylats zu einem Styrolmonomer, wodurch die Reaktionszeit und die Umsatzrate der Polymerisation verbessert werden.
  • Andere Beschleuniger wie Phosphon- und Sulfonsäuren werden in WO 96/18663 beschrieben, Phosphite werden in US 5 610 249 beschrieben und Protonsäuren werden in US 5 322 912 beschrieben.
  • Überraschenderweise ist nun mehr herausgefunden worden, daß die Polymerisations- und Umsatzrate stark verbessert werden kann, indem dem polymerisierbaren Gemisch ein Kettenübertragungsmittel, ausgewählt aus der Gruppe, bestehend aus einem Mercaptan, einem Thioether oder einem Disulfid. zugegeben wird. Es werden höhere Molekulargewichte in kürzeren Reaktionszeiten erreicht, während die Polydispersität gering bleibt und überraschenderweise können die Polymere unter Bildung von Blockcopolymeren vollständig reinitiiert werden. Das ist daher überraschend, da man davon ausgeht, daß zumindest teilweise terminierte Polymere (nicht nur „Living"-Polymere) gebildet werden.
  • Überdies ist bei der Reinitiierung eines Polymers, das über kontrollierte Radikalpolymerisation in Gegenwart eines Nitroxylradikals oder eines Nitroxylethers unter Bildung von Blockcopolymeren hergestellt wurde, auch eine merkliche Steigerung der Rate und Umwandlung der Blockcopolymerbildung zu beobachten, wenn die Kettenübertragungsmittels in den Blockcopolymerisationsschritt eingebracht werden.
  • Die geringe Polydispersität, die für kontrollierte Radikalpolymerisationen charakteristisch ist, bleibt durch die Zugabe der Kettenübertragungsmittel im wesentlichen unbeeinflußt.
  • Die Polymerisationsverfahren und Harzprodukte der vorliegenden Erfindung sind in vielen Anwendungen nützlich, einschließlich einer Vielzahl an Spezialanwendungen, wie beispielsweise zur Herstellung von Blockcopolymeren und/oder Pfropfcopolymeren, die als Verträglichkeitsvermittler für Polymermischungen oder Dispergiermittel für Beschichtungssysteme nützlich sind.
  • Polymere, die durch Nitroxylradikal- oder Nitroxylether-vermittelte Radikalpolymerisation hergestellt wurden, zeigen manchmal eine gelb/braune Farbe. Es ist überraschend herausgefunden worden, daß die Gegenwart des Kettenübertragungsmittels in der polymerisierbaren Zusammensetzung in vielen Fällen auch für die Farbe des endgültigen Polymers vorteilhaft ist.
  • Ein Ziel der vorliegenden Erfindung ist eine polymerisierbare Zusammensetzung, umfassend
    • a) mindestens ein ethylenisch ungesättigtes Monomer oder Oligomer, und
    • b1) mindestens einen Nitroxylether mit dem Strukturelement
      Figure 00040001
      worin X eine Gruppe mit mindestens einem Kohlenstoffatom darstellt, und so gestaltet ist, daß das freie Radikal X·, das von X abgeleitet ist, die Polymerisation ethylenisch ungesättigter Monomere initiieren kann; oder
    • b2) mindestens ein stabiles freies Nitroxylradikal
      Figure 00040002
      und einen freien Radikalinitiator und
    • c) ein Kettenübertragungsmittel, ausgewählt aus der Gruppe, bestehend aus einem Mercaptan, einem Thioether und einem Disulfid, mit der Maßgabe, daß, wenn ein stabiles freies Nitroxylradikal vorhanden ist, das Kettenübertragungsmittel kein Disulfid ist.
  • Auch ein Ziel der Erfindung ist eine polymerisierbare Zusammensetzung, umfassend
    • a) einen Makroinitiator, der ein Oligomer oder Polymer ist, das in Gegenwart eines Nitroxylradikals oder eines Nitroxylethers hergestellt wurde und an der Oligomer/Polymerhauptkette eine Nitroxylgruppe mit dem Strukturelement
      Figure 00040003
      aufweist;
    • b) ein ethylenisch ungesättigtes Monomer oder Oligomer und
    • c) ein Kettenübertragungsmittel, ausgewählt aus der Gruppe, bestehend aus einem Mercaptan, einem Thioether und einem Disulfid.
  • Der Makroinitiator kann durch die Polymerisierung eines Monomers in Gegenwart eines Nitroxyls oder eines Nitroxylethers oder durch die Pfropfung eines existierenden herkömmlich polymerisierten Polymers mit einem Nitroxylether oder einem Nitroxylradikal hergestellt werden, wie in EP-A-1 115 766 oder EP-A-1 115 765 beschrieben.
  • Ein ethylenisch ungesättigtes Oligomer ist zum Beispiel ein Polyethylenglykoldiacrylat oder allgemein ein Oligomer, das an den Endgruppen funktionalisiert worden ist. Solche Oligomere sind bekannt und weitgehend Handelsgüter.
  • Bevorzugt wird das ethylenisch ungesättigte Monomer aus der Gruppe ausgewählt, bestehend aus Ethylen, Propylen, n-Butylen, i-Butylen, Styrol, substituiertem Styrol, konjugierten Dienen, Acrolein, Vinylacetat, Vinylpyrrolidon, Vinylimidazol, Maleinsäureanhydrid, (Alkyl)acrylsäureanhydriden, (Alkyl)acrylsäuresalzen, (Alkyl)acrylsäureestern, (Alkyl)acrylnitrilen, (Alkyl)acrylamiden, Vinylhalogeniden oder Vinylidenhalogeniden.
  • Bevorzugt ist das ethylenisch ungesättigte Monomer eine Verbindung der Formel CH2=C(Ra)-(C=Z)-Rb, worin Ra Wasserstoff oder C1-C4-Alkyl ist, Rb NH2, O(Me+), Glycidyl, unsubstituiertes C1-C18-Alkoxy, C2-C100-Alkoxy, unterbrochen durch mindestens ein N- und/oder O-Atom, oder Hydroxy-substituiertes C1-C18-Alkoxy, unsubstituiertes C1-C18-Alkylamino, Di(C1-C18-alkyl)amino, Hydroxy-substituiertes C1-C18-Alkylamino oder Hydroxy-substituiertes Di(C1-C18-alkyl)amino, -O-CH2-CH2-N(CH3)2 oder -O-CH2-CH2-N+H(CH3)2An ist;
    An ein Anion einer einwertigen organischen oder anorganischen Säure ist;
    Me ein einwertiges Metallatom oder das Ammoniumion ist;
    Z Sauerstoff oder Schwefel ist.
  • Beispiele von Säuren, aus denen das Anion An stammt, sind C1-C12-Carbonsäuren, organische Sulfonsäuren wie CF3SO3H oder CH3SO3H, Mineralsäuren wie HCl, HBr oder Hi, oxo-Säuren wie HClO4 oder Komplexsäuren wie HPF6 oder HBF4.
  • Beispiele für Ra als C2-C100-Alkoxy, unterbrochen durch mindestens ein O-Atom sind die der Formel
    Figure 00050001
    worin Rc C1-C25-Alkyl, Phenyl oder Phenyl, das durch C1-C18-Alkyl substituiert ist, ist;
    Rd Wasserstoff oder Methyl ist und v eine Zahl von 1 bis 50 ist. Diese Monomere stammen zum Beispiel aus nicht-ionischen oberflächenaktiven Mitteln durch Acrylierung der entsprechenden alkoxylierten Alkohole oder Phenole. Die Wiederholungseinheiten können aus Ethylenoxid, Propylenoxid oder Gemischen aus beiden stammen.
  • Weitere Beispiele geeigneter Acrylat- oder Methacrylatmonomere werden nachstehend angegeben.
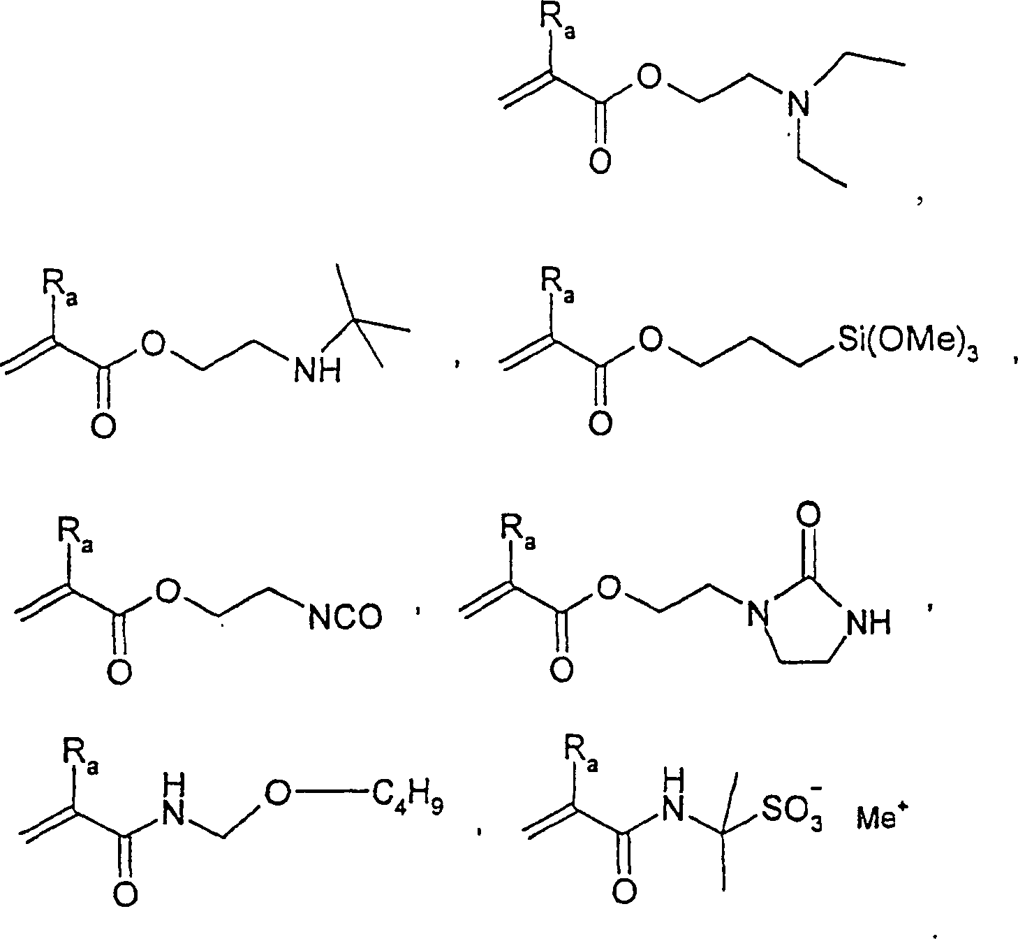
    Figure 00060001
    worin An und Ra die oben definierte Bedeutung haben und Re Methyl oder Benzyl ist. An ist bevorzugt Cl, Br oder O3S-CH3.
  • Weitere Acrylatmonomere sind
  • Figure 00060002
  • Beispiele für geeignete andere Monomere als Acrylate sind
  • Figure 00070001
  • Bevorzugt ist Ra Wasserstoff oder Methyl, Rb NH2, Gycidyl, unsubstituiertes oder Hydroxy-substituiertes C1-C4-Alkoxy, unsubstituiertes C1-C4-Alkylamino, Di(C1-C4-alkyl)amino, Hydroxy-substituiertes C1-C4-Alkylamino oder Hydroxy-substituiertes Di(C1-C4-alkyl)amino und Z Sauerstoff.
  • Stärker bevorzugt ist das ethylenisch ungesättigte Monomer ein Acrylsäureester, Acrylamid, Acrylnitril, Methacrylsäureester, Methacrylamid, Methacrylnitril.
  • Acrylsäureester und Methacrylsäureester sind typischerweise C1-C18-Alkylester.
  • Am stärksten bevorzugt ist n-Butylacrylat, tert-Butylacrylat, Methylacrylat, Ethylacrylat, Propylacrylat, Hexylacrylat und Hydroxyethylacrylat.
  • Die Nitroxylether und Nitroxylradikale sind prinzipiell aus US-A-4 581 429 oder EP-A621 878 bekannt. Besonders nützlich sind die offenkettigen Verbindungen, die in WO 98/13392, WO 99/03894 und WO 00/07981 beschrieben werden, die Piperidinderivate, die in WO 99/67298 und GB 2335190 beschrieben werden oder die heterocyclischen Verbindungen, die in GB 2342649 und WO 96/24620 beschrieben werden.
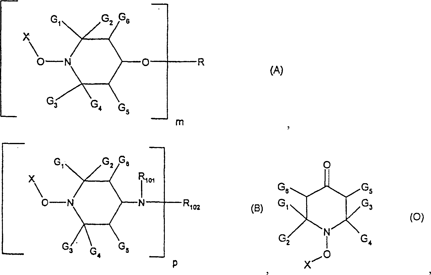
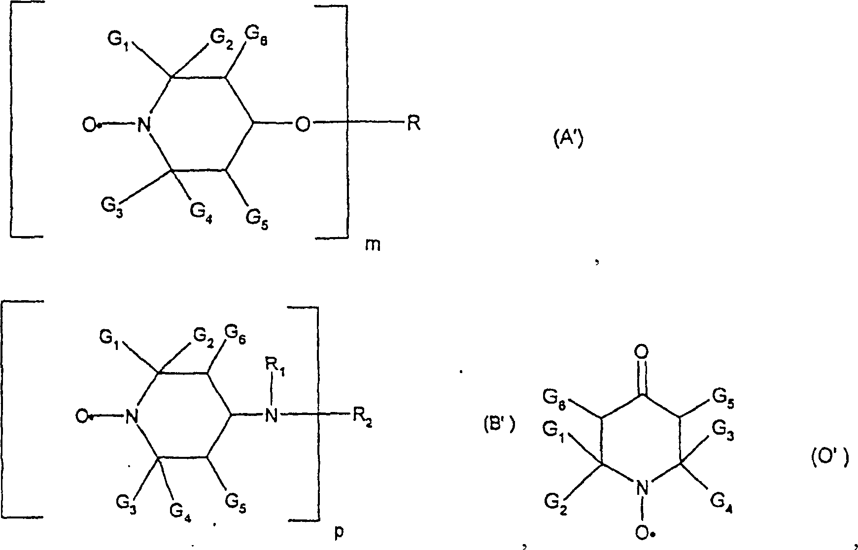
  • Bevorzugt ist der Nitroxylether der Komponente b1) aus der Formel A, B oder O,
    Figure 00080001
    worin
    m 1 ist,
    R Wasserstoff, C1-C18-Alkyl, das nicht unterbrochen oder durch ein oder mehrere Sauerstoffatome unterbrochen ist, Cyanoethyl, Benzoyl, Glycidyl, ein einwertiger Rest einer aliphatischen Carbonsäure mit 2 bis 18 Kohlenstoffatomen, einer cycloaliphatischen Carbonsäure mit 7 bis 15 Kohlenstoffatomen, oder einer α,β-ungesättigten Carbonsäure mit 3 bis 5 Kohlenstoffatomen oder einer aromatischen Carbonsäure mit 7 bis 15 Kohlenstoffatomen ist;
    p 1 ist;
    R101 C1-C12-Alkyl, C5-C7-Cycloalkyl, C7-C8-Aralkyl, C2-C18-Alkanoyl, C3-C5-Alkenoyl oder Benzoyl ist;
    R102 C1-C18-Alkyl, C5-C7-Cycloalkyl, C2-C8-Alkenyl, das unsubstituiert oder durch eine Cyano-, Carbonyl- oder Carbamidgruppe substituiert ist, oder Glycidyl, eine Gruppe der Formel -CH2CH(OH)-Z oder der Formel -CO-Z oder -CONH-Z ist, worin Z Wasserstoff, Methyl oder Phenyl ist;
    G6 Wasserstoff ist und G5 Wasserstoff oder C1-C4-Alkyl ist,
    G1 und G3 Methyl sind und G2 und G4 Ethyl oder Propyl sind oder G1 und G2 Methyl sind und G3 und G4 Ethyl oder Propyl sind; und
    X aus der Gruppe ausgewählt ist, bestehend aus -CH2-Phenyl, CH3CH-Phenyl, (CH3)2C-Phenyl, (C5-C6-Cycloalkyl)2CCN, (CH3)2CCN, -CH2CH=CH2, CH3CH-CH=CH2(C1-C4-Alkyl)CR20-C(O)-phenyl, (C1-C4)-Alkyl-CR20-C(O)-(C1-C4)-alkoxy, (C1-C4)-Alkyl-CR20-C(O)-(C1-C4)-alkyl, (C1-C4)-Alkyl-CR20-C(O)-N-di(C1-C4)-alkyl, (C1-C4)-Alkyl-CR20-C(O)-NH(C1-C4)-alkyl, (C1-C4)-Alkyl-CR20-C(O)-NH2, worin R20 Wasserstoff oder (C1-C4)-Alkyl ist.
  • Stärker bevorzugt ist in Formel A, B und O
    R Wasserstoff, C1-C18-Alkyl, Cyanoethyl, Benzoyl, Glycidyl, ein einwertiger Rest einer aliphatischen Carbonsäure;
    R101 C1-C12-Alkyl, C7-C8-Aralkyl, C2-C18-Alkanoyl, C3-C5-Alkenoyl oder Benzoyl; R102 C1-C18-Alkyl, Glycidyl, eine Gruppe der Formel -CH2CH(OH)-Z oder der Formel -CO-Z, worin Z Wasserstoff, Methyl oder Phenyl ist; und
    X CH3-CH-Phenyl.
  • Die obigen Verbindungen und ihre Herstellung werden in GB 2335190 beschrieben.
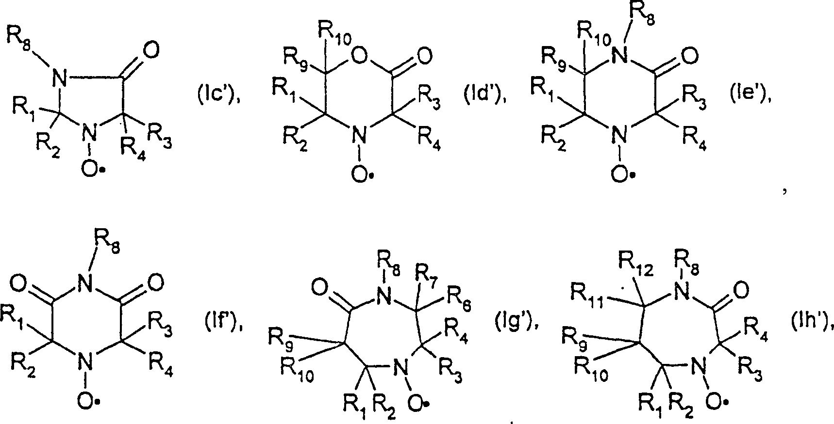
  • Eine andere bevorzugte Gruppe von Nitroxylethern der Komponente b1) sind die der Formel (Ic), (Id), (Ie), (If), (Ig) oder (Ih)
    Figure 00090001
    worin
    R1, R2, R3 und R4 unabhängig voneinander C1-C18-Alkyl, C3-C18-Alkenyl, C3-C18-Alkinyl, C1-C18-Alkyl, C3-C18-Alkenyl, C3-C18-Alkinyl, die durch OH, Halogen oder eine Gruppe -O-C(O)-R5 substituiert sind, C2-C18-Alkyl, das durch mindestens ein O-Atom und/oder eine NR5-Gruppe unterbrochen ist, C3-C12-Cycloalkyl oder C6-C10-Aryl sind oder R1 und R2 und/oder R3 und R4 zusammen mit dem Bindungskohlenstoffatom einen C3-C12-Cycloalkylrest bilden;
    R5, R6 und R7 unabhängig Wasserstoff, C1-C18-Alkyl oder C6-C10-Aryl sind;
    R8 Wasserstoff, OH, C1-C18-Alkyl, C3-C18-Alkenyl, C3-C18-Alkinyl, C1-C18-Alkyl, C3-C18-Alkenyl, C3-C18-Alkinyl, die durch ein oder mehrere OH, Halogen oder einer Gruppe -O-C(O)-R5 substituiert sind, C2-C18-Alkyl, das durch mindestens ein O-Atom und/oder eine NR5-Gruppe unterbrochen ist, C3-C12-Cycloalkyl oder C6-C10-Aryl, C7-C9-Phenylalkyl, C5-C10-Heteroaryl, -C(O)-C1-C18-Alkyl, -O-C1-C18-Alkyl oder -COOC1-C18-Alkyl sind;
    R9, R10, R11 und R12 unabhängig Wasserstoff, Phenyl oder C1-C18-Alkyl sind; und
    X aus der Gruppe ausgewählt ist, bestehend aus -CH2-Phenyl, CH3CH-Phenyl, (CH3)2C-Phenyl, (C5-C6-Cycloalkyl)2CCN, (CH3)2CCN, -CH2CH=CH2, CH3CH-CH=CH2(C1-C4-Alkyl)CR20-C(O)-phenyl, (C1-C4)-Alkyl-CR20-C(O)-(C1-C4)-alkoxy, (C1-C4)-Alkyl-CR20-C(O)-(C1-C4)-alkyl, (C1-C4)-Alkyl-CR20-C(O)-N-di(C1-C4)-alkyl, (C1-C4)-Alkyl-CR20-C(O)-NH(C1-C4)-alkyl, (C1-C4)-Alkyl-CR20-C(O)-NH2, worin R20 Wasserstoff oder (C1-C4)-Alkyl ist.
  • Stärker bevorzugt sind in Formel (Ic), (Id), (Ie), (If), (Ig) und (Ih) mindestens zwei von R1, R2, R3 und R4 Ethyl, Propyl oder Butyl und die restlichen sind Methyl; oder R1 und R2 oder R3 und R4 bilden zusammen mit dem Bindungskohlenstoffatom einen C5-C6-Cycloalkylrest und einer der verbleibenden Substituenten ist Ethyl, Propyl oder Butyl.
  • Am stärksten bevorzugt ist X CH3CH-Phenyl.
  • Die obigen Verbindungen und ihre Herstellung werden in GB 2342649 beschrieben.
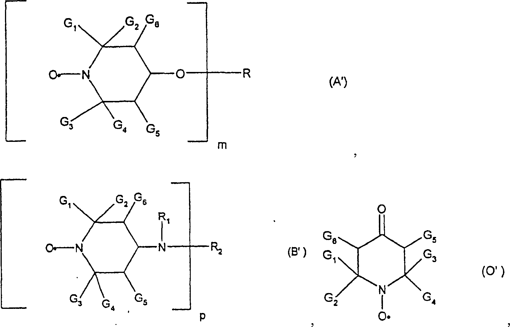
  • Wenn ein Nitroxylradikal zusammen mit einem freien Radikalinitiator verwendet wird, ist das Nitroxylradikal der Komponente b2) bevorzugt von der Formel A', B' oder O',
    Figure 00110001
    worin
    m 1 ist,
    R Wasserstoff, C1-C18-Alkyl, das nicht unterbrochen oder durch ein oder mehrere Sauerstoffatome unterbrochen ist, Cyanoethyl, Benzoyl, Glycidyl, ein einwertiger Rest einer aliphatischen Carbonsäure mit 2 bis 18 Kohlenstoffatomen, einer cycloaliphatischen Carbonsäure mit 7 bis 15 Kohlenstoffatomen oder einer α,β-ungesättigten Carbonsäure mit 3 bis 5 Kohlenstoffatomen oder einer aromatischen Carbonsäure mit 7 bis 15 Kohlenstoffatomen ist;
    p 1 ist;
    R1 C1-C12-Alkyl, C5-C7-Cycloalkyl, C7-C8-Aralkyl, C2-C18-Alkanoyl, C3-C5-Alkenoyl oder Benzoyl ist;
    R2 C1-C18-Alkyl, C5-C7-Cycloalkyl, C2-C8-Alkenyl, das unsubstituiert oder durch eine Cyano-, Carbonyl- oder Carbamidgruppe substituiert ist, oder Glycidyl, eine Gruppe der Formel -CH2CH(OH)-Z oder der Formel -CO-Z oder -CONH-Z ist, worin Z Wasserstoff, Methyl oder Phenyl ist;
    G6 Wasserstoff ist und G5 Wasserstoff oder C1-C4-Alkyl ist, und
    G1 und G3 Methyl sind und G2 und G4 Ethyl oder Propyl sind oder G1 und G2 Methyl sind und G3 und G4 Ethyl oder Propyl sind.
  • Stärker bevorzugt ist in Formel A', B' und O'
    R Wasserstoff, C1-C18-Alkyl, Cyanoethyl, Benzoyl, Glycidyl, ein einwertiger Rest einer aliphatischen Carbonsäure;
    R1 C1-C12-Alkyl, C7-C8-Aralkyl, C2-C18-Alkanoyl, C3-C5-Alkenoyl oder Benzoyl;
    R2 C1-C18-Alkyl, Glycidyl, eine Gruppe der Formel -CH2CH(OH)-Z oder der Formel -CO-Z, worin Z Wasserstoff, Methyl oder Phenyl ist.
  • Die obigen Verbindungen und ihre Herstellung werden in GB 2335190 beschrieben.
  • Eine andere bevorzugte Gruppe von Nitroxylradikalen sind die der Formel (Ic'), (Id'), (Ie'), (If'), (Ig') oder (Ih')
    Figure 00120001
    worin
    R1, R2, R3 und R4 unabhängig voneinander C1-C18-Alkyl, C1-C18-Alkenyl, C3-C18-Alkinyl, C1-C18-Alkyl, C3-C18-Alkenyl, C3-C18-Alkinyl, die durch OH, Halogen oder eine Gruppe -O-C(O)-R5 substituiert sind, C2-C18-Alkyl, das durch mindestens ein O-Atom und/oder eine NR5-Gruppe unterbrochen ist, C3-C12-Cycloalkyl oder C6-C10-Aryl ist oder R1 und R2 und/oder R3 und R4 zusammen mit dem Bindungskohlenstoffatom einen C3-C12-Cycloalkylrest bilden;
    R5, R6 und R7 unabhängig Wasserstoff, C1-C18-Alkyl oder C6-C10-Aryl sind;
    R8 Wasserstoff, OH, C1-C18-Alkyl, C3-C18-Alkenyl, C3-C18-Alkinyl, C1-C18-Alkyl, C3-C18-Alkenyl, C3-C18-Alkinyl, die durch ein oder mehrere OH, Halogen oder eine Gruppe -O-C(O)-R5 substituiert sind, C2-C18-Alkyl, das durch mindestens ein O-Atom und/oder eine NR5-Gruppe unterbrochen ist, C3-C12-Cycloalkyl oder C6-C10-Aryl, C7-C9-Phenylalkyl, C5-C10-Heteroaryl, -C(O)-C1-C18-Alkyl, -O-C1-C18-Alkyl oder -COOC1-C18-Alkyl sind; und
    R9, R10, R11 und R12 unabhängig Wasserstoff, Phenyl oder C1-C18-Alkyl sind.
  • Stärker bevorzugt sind in Formel (Ic'), (Id'), (Ie'), (Ig'), (Ig') und (Ih') mindestens zwei von R1, R2, R3 und R4 Ethyl, Propyl oder Butyl und die restlichen sind Methyl; oder R1 und R2 oder R3 und R4 bilden zusammen mit dem Bindungskohlenstoffatom einen C5-C6-Cycloalkylrest und einer der verbleibenden Substituenten ist Ethyl, Propyl oder Butyl.
  • Die obigen Verbindungen und ihre Herstellung werden in GB 2342649 beschrieben.
  • Das Strukturelement
    Figure 00130001
    das an die Polymerhauptkette des Makroinitiators angebracht ist, stammt bevorzugt von einer Verbindung der Formeln A, B, O (A', B', O') oder der Formeln Ic, Id, Ie, If, Ig, Ih (Ic', Id', Ie', If', Ig', Ih').
  • Weitere Vorzüge, die oben für den Nitroxylether und das Nitroxylradikal angegeben sind, gelten auch für die Nitroxyleinheit, die an die Polymerhauptkette des Makroinitiators angebracht ist.
  • Die Alkylreste in den verschiedenen Substituenten können linear oder verzweigt sein. Beispiele für Alkyl, das 1 bis 18 Kohlenstoffatome enthält, sind Methyl, Ethyl, Propyl, Isopropyl, Butyl, 2-Butyl, Isobutyl, t-Butyl, Pentyl, 2-Pentyl, Hexyl, Heptyl, Octyl, 2-Ethylhexyl, t-Octyl, Nonyl, Decyl, Undecyl, Dodecyl, Tridecyl, Tetradecyl, Hexadecyl und Octadecyl.
  • Alkenyl mit 3 bis 18 Kohlenstoffatomen ist ein linearer oder verzweigter Rest wie beispielsweise Propenyl, 2-Butenyl, 2-Butenyl, Isobutenyl, n-2,4-Pentadienyl, 3-Methyl-2-butenyl, n-2-Octenyl, n-2-Dodecenyl, Isododecenyl, Oleyl, n-2-Octadecenyl oder n-4-Octadecenyl. Bevorzugt ist Alkenyl mit 3 bis 12, besonders bevorzugt mit 3 bis 6 Kohlenstoffatomen.
  • Alkinyl mit 3 bis 18 ist ein linearer oder verzweigter Rest, wie beispielsweise Propinyl (-CH2-C≡CH), 2-Butinyl, n-3-Butinyl, n-2-Octinyl oder n-2-Octadecinyl. Bevorzugt ist Alkinyl mit 3 bis 12, besonders bevorzugt mit 3 bis 6 Kohlenstoffatomen.
  • Beispiele für Hydroxy-substituiertes Alkyl sind Hydroxypropyl, Hydroxybutyl oder Hydroxyhexyl.
  • Beispiele für Halogen-substituiertes Alkyl sind Dichlorpropyl, Monobrombutyl oder Trichlorhexyl.
  • C2-C18-Alkyl, das durch mindestens ein O-Atom unterbrochen ist, ist beispielsweise -CH2-CH2-O-CH2-CH3, -CH2-CH2-O-CH3- oder -CH2-CH2-O-CH2-CH2-CH2-O-CH2-CH3-. Bevorzugt stammt es von Polyethlenglykol. Eine allgemeine Beschreibung ist -((CH2)a-O)b-H/CH3, worin a eine Zahl von 1 bis 6 ist und b eine Zahl von 2 bis 10 ist.
  • C2-C18-Alkyl, das durch mindestens eine NR5-Gruppe unterbrochen ist, kann allgemein als -((CH2)a-NR5)b-H/CH3 beschrieben werden, worin a, b und R5 wie oben definiert sind.
  • C3-C12-Cycloalkyl ist typischerweise Cyclopropyl, Cyclopentyl, Methylcyclopentyl, Dimethylcyclopentyl, Cyclohexyl, Methylcyclohexyl oder Trimethylcyclohexyl.
  • C6-C10-Aryl ist zum Beispiel Phenyl oder Naphthyl, ebenso jedoch auch C1-C4-Alkyl-substituiertes Phenyl, C1-C4-Alkoxy-substituiertes Phenyl, Hydroxy, Halogen oder Nitro-substituiertes Phenyl. Beispiele für Alkyl-substituiertes Phenyl sind Ethylbenzol, Toluol, Xylol und deren Isomere, Mesitylen oder Isopropylbenzol. Halogen-substituiertes Phenyl ist zum Beispiel Dichlorbenzol oder Bromtoluol.
  • Alkoxysubstituenten sind typischerweise Methoxy, Ethoxy, Propoxy oder Butoxy und deren entsprechende Isomere.
  • C7-C9-Phenylalkyl ist Benzyl, Phenylethyl oder Phenylpropyl.
  • C5-C10-Heteroaryl ist zum Beispiel Pyrrol, Pyrazol, Imidazol, 2,4-Dimethylpyrrol, 1-Metlpyrrol, Thiophen, Furan, Furfural, Indol, Cumaron, Oxazol, Thiazol, Isoxazol, Isothiazol, Triazol, Pyridin, α-Picolin, Pyridazin, Pyrazin oder Pyrimidin.
  • Wenn R ein einwertiger Rest einer Carbonsäure ist, ist dieser zum Beispiel ein Acetyl-, Prpionyl-, Butyryl-, Valeroyl-, Caproyl-, Stearoyl-, Lauroyl-, Acryloyl-, Methacryloyl-, Benzoyl-, Cinnamoyl- oder β-(3,5-Di-tert-butyl-4-hydroxyphenyl)propionylrest.
  • C1-C18-Alkanoyl ist zum Beispiel Formyl, Propionyl, Butyryl, Octanoyl, Dodecanoyl, aber bevorzugt Acetyl, und C3-C5-Alkenoyl ist bevorzugt Acryloyl.
  • Besonders geeignete Nitroxylether und Nitroxylradikale sind die der Formeln
  • Figure 00150001
  • Figure 00160001
  • Der Radikalinitiator der Komponente b2) ist bevorzugt eine bis-azo-Verbindung, ein Peroxidperester oder ein Hydroperoxid.
  • Speziell bevorzugte Radikalquellen sind 2,2'-Azobisisobutyronitril, 2,2'-Azobis(2-methylbutyronitril), 2,2'-Azobis(2,4-dimethylvaleronitril), 2,2'-Azobis(4-methoxy-2,4-dimethylvaleronitril), 1,1'-Azobis(1-cyclohexancarbonitril), 2,2'-Azobis(isobutyramid)dihydrat, 2-Phenylazo-2,4-dimethyl-4-methoxyvaleronitril, Dimethyl-2,2'-azobisisobutyrat, 2-(Carbamoylazo)isobutyronitril, 2,2'-Azobis(2,4,4-trimethylpentan), 2,2'-Azobis(2-methylpropan), 2,2'-Azobis(N,N'-dimethylenisobutyramidin), freie Base oder Hydrochlorid, 2,2'-Azobis(2-amidinopropan), freie Base oder Hydrochlorid, 2,2'-Azobis{2-methyl-N-[1,1-bis(hydroxymethyl)ethyl]propionamid} oder 2,2'-Azobis{2-methyl-N-[1,1-bis(hydroxymethyl)-2-hydroxyethyl]propionamid; Acetylcyclohexansulfonylperoxid, Diisopropylperoxydicarbonat, t-Amylpernodecanoat, t-Butylpernodecanoat, t-Butylperpivalat, Tamylperpivalat, Bis(2,4-dichlorbenzoyl)peroxid, Diisononanoylperoxid, Didecanoylperoxid, Dioctanoylperoxid, Dilauroylperoxid, Bis(2-methylbenzoyl)peroxid, Dibernsteinsäureperoxid, Diacetylperoxid, Dibenzoylperoxid, t-Butylper-2-ethylhexanoat, Bis(4-chlorbenzoyl)-peroxid, t-Butylperisobutyrat, t-Butylpermaleinat, 1,1-Bis(t-butylperoxy)3,5,5-trimethylcyclohexan, 1,1-Bis(t-butylperoxy)cyclohexan, t-Butylperoxyisopropylcarbonat, t-Butylperisononaoat, 2,5-Dimethylhexan-2,5-dibenzoat, t-Butylperacetat, t-Amylperbenzoat, t-Butylperbenzoat, 2,2-Bis(t-butylperoxy)butan, 2,2-Bis(t-butylperoxy)propan, Dicumylperoxid, 2,5-Dimethylhexan-2,5-di-t-butylperoxid, 3-t-Butylperoxy-3-phenylphthalid, Di-t-amylperoxid, α,α'-Bis(t-butylperoxyisopropyl)benzol, 3,5-Bis(t-butylperoxy)3,5-dimethyl-l,2-dioxolan, Di-t-butylperoxid, 2,5-Dimethylhexin-2,5-di-t-butylperoxid, 3,3,6,6,9,9-Hexamethyl-1,2,4,5-tetraoxacyclononan, p-Menthanhydroperoxid, Pinanhydroperoxid, Diisopropylbenzolmono-α-hydroperoxid, Cumenhydroperoxid oder t-Butylhydroperoxid.
  • Azoinitiatoren und Peroxide sind am stärksten bevorzugt.
  • Bevorzugt ist Komponente c) eine Verbindung der Formel (IIa), (IIb) oder (IIc) R30-S-H (IIa), R30-S-R30 (IIb), R31-S-S-R31 (IIc)worin
    R30 C1-C18-Alkyl, C3-C18-Alkenyl, C3-C18-Alkinyl, (C1-C18)-Alkyl-O-(C1-C18-alkylen)-, HO-(C1-C18-alkylen)-, (C1-C18-Alkyl)2N-(C1-C18-alkylen)-, (C1-C18)-Alkyl-O-C(O)-(C1-C18-alkylen)-, Phenyl, Phenyl-(C1-C3-alkyl), Phenyl-C(O)- oder (C1-C18-Alkyl)2N-C(S)- ist; und
    R31 C1-C18-Alkyl, C3-C18-Alkenyl, C3-C18-Alkinyl, (C1-C18)-Alkyl-O-(C1-C18-alkylen)-, HO-(C1-C18-alkylen)- ist.
  • Besonders bevorzugt ist eine Verbindung der Formel (IIa), (IIb) oder (IIc), worin R30 und R31 C1-C18-Alkyl sind.
  • Spezielle Verbindungen sind Mercaptoethanol, Dodecylmercaptan, Dibenzylsulfid, Dibutylsulfid, Octadecyldisulfid, Distearylthiodipropionat (Irganox PS 802), Dipalmityldithiodipropionat, Dilaurylthiodipropionat (Irganox PS 800).
  • Stärker bevorzugt weist Komponente c) die Formel (IIa) auf und R30 ist C8-C18-Alkyl.
  • Am stärksten bevorzugt ist Dodecylmercaptan.
  • Kettenübertragungsmittel sind bekannt und werden beispielsweise in „The Chemistry of Free Radical Polymerization", Hrsg. G. Moad, E. Rizzardo, Pergamon 1995, Seiten 234–251, beschrieben. Diese sind weitgehend Handelsgüter.
  • Im Gegensatz zu so genannten „Iniferter" (Initiator-Transfermittel-Terminator), werden Kettenübertragungsmittel nicht allein ohne einen Radikalinitiator verwendet. Sie initiieren die Polymerisation an sich nicht ausreichend. Eine Definition und Beispiele für „Iniferter" werden von T. Otsu, A. Matsumoto in Adv. Polym. Sci. 1998, 136, 75–137 angegeben.
  • Ein weiteres Ziel der Erfindung ist ein Verfahren zur Herstellung eines Oligomers, eines Cooligomers, eines Polymers oder eines Copolymers (Block, statistisch oder Pfropf) durch Radikalpolymerisation von mindestens einem ethylenisch ungesättigten Monomer oder Oligomer, umfassend die (Co)Polymerisation des Monomers oder der Monomere/Oligomere in Gegenwart von
    • b1) mindestens einem Nitroxylether mit dem Strukturelement
      Figure 00180001
      unter Reaktionsbedingungen, durch die die Spaltung der O-X-Bindung herbeigeführt werden kann, um so zwei freie Radikale zu bilden, wobei das Radikal ·X die Polymerisation initiieren kann; oder
    • b2) mindestens einem stabilen freien Nitroxylradikal
      Figure 00180002
      und einem freien Radikalinitiator und
    • c) einem Kettenübertragungsmittel, ausgewählt aus der Gruppe, bestehend aus einem Mercaptan, einem Thioether und einem Disulfid, mit der Maßgabe, daß, wenn ein stabiles freies Nitroxylradikal vorhanden ist, das Kettenübertragungsmittel kein Disulfid ist.
  • Auch ein Ziel der Erfindung ist ein Verfahren zur Herstellung eines Block(co)polymers durch Radikalpolymerisation, umfassend die (Co)Polymerisation
    • a) eines Makroinitiators, der ein Oligomer oder Polymer ist, das durch Radikalpolymerisation in Gegenwart eines Nitroxylradikals oder eines Nitroxylethers hergestellt wurde und an der Oligomer/Polymerhauptkette eine Nitroxylgruppe aufweist, mit dem Strukturelement
      Figure 00180003
      und
    • b) eines ethylenisch ungesättigten Monomers oder Oligomers in Gegenwart von
    • c) einem Kettenübertragungsmittel, ausgewählt aus der Gruppe, bestehend aus einem Mercaptan, einem Thioether und einem Disulfid, unter Reaktionsbedingungen, durch die Spaltung der O-Polymerbindung herbeigeführt werden kann, um so zwei freie Radikale zu bilden, wobei das Polymerradikal (Makroinitiator) die Polymerisation initiieren kann.
  • Definitionen und Vorzüge für die Komponenten sind oben bereits angegeben worden.
  • Bevorzugt ist der Nitroxylether der Komponente b1) oder das Nitroxylradikal der Komponente b2) in einer Menge von 0,001 mol-% bis 20 mol-%, stärker bevorzugt 0,002 mol-% bis 10 mol-% und am stärksten bevorzugt 0,00 mol-% bis 5 mol-%, basierend auf dem Monomer oder dem Monomergemisch, vorhanden.
  • Bevorzugt ist der freie Radikalinitiator in einer Menge von 0,001 mol-% bis 20 mol-%, basierend auf dem Monomer oder dem Monomergemisch, vorhanden.
  • Das Molverhältnis von Radikalinitiator zu stabilem freiem Nitroxylradikal beträgt bevorzugt 20:1 bis 1:2, stärker bevorzugt 10:1 bis 1:2.
  • Die Spaltung der O-X-Bindung oder der O-Polymerbindung des Nitroxylethers oder des Makroinitiators kann durch Ultraschallbehandlung, Bestrahlung mit aktinischem Licht oder Erwärmen herbeigeführt werden.
  • Die Spaltung der O-X-Bindung oder der O-Polymerbindung wird bevorzugt durch Erwärmung herbeigeführt und findet bei einer Temperatur zwischen 50°C und 130°C, stärker bevorzugt 80 bis 145°C statt.
  • Bevorzugt ist das Kettenübertragungsmittel, Komponente c), in einer Menge von 0,001 mol-% bis 0,5 mol-%, stärker bevorzugt 0,001 mol-% bis 0,3 mol-% und am stärksten bevorzugt 0,001 mol-% bis 0,25 mol-%, basierend auf dem Monomer oder dem Monomergemisch, vorhanden.
  • Das Molverhältnis von stabilem freiem Nitroxylradikal oder Nitroxylether zu Kettenübertragungsmittel beträgt bevorzugt 100:1 bis 4:1.
  • Nachdem der Polymerisationsschritt beendet ist, kann das Reaktionsgemisch auf eine Temperatur unter 60°C, bevorzugt auf Raumtemperatur heruntergekühlt werden. Das Polymer kann bei dieser Temperatur gelagert werden, ohne daß weitere Reaktionen stattfinden.
  • Das Verfahren kann in Gegenwart eines organischen Lösungsmittels oder in Gegenwart von Wasser oder in Gemischen aus organischen Lösungsmitteln und Wasser durchgeführt werden. Zusätzliche Colösungsmittel oder oberflächenaktive Mittel wie Glykole oder Ammoniumsalze von Fettsäuren können vorhanden sein. Andere geeignete Colösungsmittel werden nachstehend beschrieben.
  • Wenn organische Lösungsmittel verwendet werden, sind geeignete Lösungsmittel oder Gemische aus Lösungsmitteln typischerweise reine Alkane (Hexan, Heptan, Octan, Isooctan), aromatische Kohlenwasserstoffe (Benzol, Toluol, Xylol), halogenierte Kohlenwasserstoffe (Chlorbenzol), Alkanole (Methanol, Ethanol, Ethylenglykol, Ethylenglykolmonomethylether), Ester (Ethylacetat, Propyl-, Butyl- oder Hexylacetat) und Ether (Diethylether, Dibutylether, Ethylenglykoldimethylether) oder Gemische davon.
  • Die wässerigen Polymerisationsreaktionen können mit einem wassermischbaren oder hydrophilen Colösungsmittel ergänzt werden, um so sicherzustellen, daß das Reaktionsgemisch eine homogene Einzelphase über die Monomerumwandlung hinweg bleibt. Es kann jedes wasserlösliche oder wassermischbare Colösungsmittel verwendet werden, so lange das wässerige Lösungsmittelmedium effektiv ein Lösungsmittelsystem bereitstellt, das die Ausfällung oder Phasentrennung der Reaktanten oder der Polymerprodukte verhindert, bis alle Polymerisationsreaktionen beendet sind. Beispielhafte Colösungsmittel, die in der vorliegenden Erfindung nützlich sind, können aus der Gruppe ausgewählt werden, bestehend aus aliphatischen Alkoholen, Glykolen, Ethern, Glykolethern, Pyrrolidinen, N-Alkylpyrrolidinonen, N-Alkylpyrrolidonen, Polyethylenglykolen, Polypropylenglykolen, Amiden, Carbonsäuren und Salzen davon, Estern, Organosulfiden, Sulfoxiden, Sulfonen, Alkoholderivativen, Hydroxyetherderivaten wie Butylcarbitol oder Cellosolve, Aminoalkoholen, Ketonen und dergleichen, sowie Derivaten davon und Gemischen davon. Spezielle Beispiele umfassen Methanol, Ethanol, Propanol, Dioxan, Ethylenglykol, Propylenglykol, Diethylenglykol, Glycerol, Dipropylenglykol, Tetrahydrofuran und andere wasserlösliche oder wassermischbare Materialien und Gemische davon. Wenn Gemische aus Wasser und wasserlöslichen oder wassermischbaren organischen Flüssigkeiten als die wässerigen Reaktionsmedien ausgewählt werden, liegt das Gewichtsverhältnis von Wasser zu Colösungsmittel typischerweise im Bereich von 100:0 bis 10:90.
  • Das Verfahren ist insbesondere zur Herstellung von Blockcopolymeren nützlich.
  • Blockcopolymere sind zum Beispiel Blockcopolymere von Polystyrol und Polyacrylat (z. B. Poly(styrol-co-acrylat) oder Poly(styrol-co-acrylat-co-styrol). Sie sind als Haftmittel oder als Verträglichkeitsvermittler für Polymermischungen oder als Polymerzähigmacher nützlich. Poly(methylmethacrylat-co-acrylat)diblockcopolymere oder Poly(methylacrylat-co-acrylat-co-methacrylat)triblockcopolymere) sind als Dispergiermittel für Beschichtungssysteme, als Beschichtungszusätze (z. B. Rheologiemittel, Verträglichkeitsvermittler, reaktive Verdünnungsmittel) oder als Harzkomponente in Beschichtungen (z. B. Farben mit hohem Feststoffgehalt) nützlich. Blockcopolymere von Styrol, (Meth)acrylaten und/oder Acrylnitril sind als Modifikatoren für Kunststoffe, Elastomere und Haftmittel nützlich.
  • Ferner sind Blockcopolymere dieser Erfindung, worin die Blöcke zwischen polaren Monomeren und nicht polaren Monomeren alternieren, in vielen Anwendungen als amphiphile oberflächenaktive Mittel oder Dispergiermittel zur Herstellung überaus gleichmäßiger Polymermischungen nützlich.
  • Die (Co)polymere der vorliegenden Erfindung können ein zahlenmittleres Molekulargewicht von 1.000 bis 400.000 g/mol, bevorzugt 2.000 bis 250.000 g/mol und stärker bevorzugt 2.000 bis 200.000 g/mol aufweisen. Das zahlenmittlere Molekulargewicht kann durch Größenausschlußchromatographie (SEC), matrixgestütze Laserdesorptions/Ionisationsmassenspektrometrie (MALDI-MS) oder, wenn der Initiator eine Gruppe trägt, die leicht von dem Monomer zu unterscheiden ist, durch NMR-Spektroskopie oder andere herkömmliche Verfahren bestimmt werden.
  • Die Polymere oder Copolymere der vorliegenden Erfindung weisen bevorzugt eine Polydispersität von 1,1 bis 2, stärker bevorzugt 1,2 bis 1,8 auf.
  • Daher umfaßt die vorliegende Erfindung in der Synthese auch neue Block-, Multiblock-, Stern-, Gradienten-, statistische, hochverzweigte und dendritische Copolymere, sowie Pfropfcopolymere.
  • Die Polymere, die durch die vorliegende Erfindung hergestellt werden, sind für folgende Anwendungen nützlich: Haftmittel, Waschmittel, Dispergiermittel, Emulgatoren, oberflächenaktive Mittel, Entschäumer, Haftunterstützer, Korrosionsinhibitoren, Viskositätsverbesserer, Schmiermittel, Rheologiemodifikatoren, Verdickungsmittel, Vernetzer, Papierbehandlung, Wasserbehandlung, elektronische Materialien, Farben, Beschichtungen, Photographie, Tintenmaterialien, Bildgebungsmaterialien, Superabsorber, Kosmetika, Haarprodukte, Konservierungsstoffe, biozide Materialien oder Modifikatoren für Asphalt, Leder, Textilien, Keramiken und Holz.
  • Die folgenden Beispiele veranschaulichen die Erfindung.
  • Verwendete Verbindungen
  • Die Nitroxyletherverbindungen (101) und (102) werden gemäß GB 2335190 hergestellt
  • Figure 00220001
  • Verbindung 102 ist die Verbindung aus Beispiel 7 in GB 2335190 . Verbindung 101 ist der 4-Acetylester von Verbindung 102 und kann aus Verbindung 101 durch Standardverfahren hergestellt werden. n-Butylacrylat und tert.-Butylacrylat sind kommerziell zum Beispiel von Merck erhältlich. 1-Dodecylmercaptan und Ethylhexylthioglycolat sind kommerziell von Aldrich und WAKO erhältlich.
  • Beispiele E1 bis E3
  • In einer evakuierten Schlenk-Röhre, die mit Argon gespült wurde und mit einem Magnetrührer ausgestattet ist, wurde die in Tabelle 1 angegebene Menge an Nitroxylether und Dodecylmercaptan zu 0,436 mol frisch destilliertem n-Butylacrylat unter Argonatmosphäre zugegeben. Die Schlenk-Röhre wurde verschlossen und der verbleibende Sauerstoff wurde in zwei Gefrier/Tau-Kreisläufen mit flüssigem Stickstoff entfernt. Die Röhre wurde mit Argon gefüllt und 6 Stunden unter Rühren auf 120°C erwärmt. Das verbleibende Monomer wurde unter Vakuum bei Raumtemperatur entfernt. Das Trocknen wurde bis zu einem konstanten Gewicht des Rückstandes fortgesetzt. Das Molekulargewicht und die -verteilung wurden unter Verwendung von Größenausschlußchromatographie mit Tetrahydrofuran bestimmt und mit Polystyrolstandards kalibriert. Die Ergebnisse werden in Tabelle 1 angegeben.
  • Tabelle 1: Einfluß von Dodecylmercaptan auf die kontrollierte Polymerisation von n-Butylacrylat
    Figure 00230001
  • Unter denselben Polymerisationsbedingungen ist eine signifikante Steigerung der Ausbeute und des Molekulargewichtes zu beobachten, wohingegen die Polydispersität (PD) gering bleibt. Die leichte Steigerung der Polydispersität ist den höheren Molekulargewichten zuzuschreiben, die in den Beispielen E1 und E2 erreicht wird.
  • Tabelle 2 zeigt das Ergebnis, wenn der Nitroxylether teilweise durch das Kettenübertragungsmittel ersetzt wurde.
  • Tabelle 2: Einfluß der teilweisen Substitution des Nitroxylethers durch Dodecylmercaptan auf die kontrollierte Polymerisation von n-Butylacrylat.
    Figure 00230002
  • Eine Substitution von 20% Nitroxylether durch Dodecylmercaptan führt zu einer signifikanten Steigerung der Ausbeute und die Polydispersität bleibt eng.
  • Reinitierungsbeispiele E5 und E6 unter Verwendung von Makroinitiatoren, die in Gegenwart eines Nitroxylethers und eines Kettenübertragungsmittels hergestellt wurden
  • 2,5 g der Polymere, die als die Proben Nr. V1 und E1 hergestellt wurden (im Folgenden als Makroinitiatoren, MI, bezeichnet) und 7,5 g Monomer wurden in eine Schlenk-Röhre gegeben, die mit Argon gespült war und mit einem Magnetrührer ausgestattet ist. Der Schlenk-Reaktor wurde verschlossen, und der verbleibende Sauerstoff wurde in zwei Gefrier/Tau-Kreisläufen mit flüssigem Stickstoff entfernt. Die Röhre wurde mit Argon gefüllt und 6 Stunden unter Rühren auf 130°C erwärmt. Das verbleibende Monomer wurde unter Vakuum bei Raumtemperatur entfernt. Das Trocknen wurde bis zu einem konstanten Gewicht des Rückstandes fortgesetzt. Das Molekulargewicht und die -verteilung wurden unter Verwendung von Größenausschlußchromatographie mit Tetrahydrofuran bestimmt und mit Polystyrolstandards kalibriert. Die Ergebnisse werden in Tabelle 3 angegeben.
  • Tabelle 3: Blockcopolymerisation mit n-Butylacrylat und Styrol
    Figure 00240001
  • Die Ergebnisse in Tabelle 3 zeigen deutlich, daß die Polymere (Makroinitiatoren), die in dem ersten Schritt in Gegenwart eines Kettenübertragungsmittels (Beispiel E1) hergestellt wurden, zu höheren Ausbeuten und höheren Molekulargewichten führen, wenn sie einer zweiten Blockcopolymerisation entweder mit n-Butylacrylat oder Styrol unterzogen werden, im Vergleich zu dem Vergleichsmakroinitiator (Beispiel V1).
  • Beispiele E7–E14
  • Die Polymerisation wird wie für die Beispiele E1–E3 beschrieben, unter Verwendung von n-Butylacrylat und tert.-Butylacrylat als Monomere und Verbindung 102 als Nitroxylether durchgeführt. Die Thiolverbindung ist 1-Dodecylmercaptan oder Ethylhexylthioglycolat. Die Ergebnisse werden in Tabelle 4 bis 7 gezeigt.
  • Tabelle 4: Einfluß von 1-Dodecylmercaptan auf die kontrollierte Polymerisation von tert.-Butylacrylat
    Figure 00250001
  • Tabelle 5: Einfluß von Ethylhexylthioglycolat auf die kontrollierte Polymerisation von n-Butylacrylat
    Figure 00250002
  • Tabelle 6: Einfluß der teilweisen Substitution des Nitroxylethers durch Ehylhexylthioglycolat auf die kontrollierte Polymerisation von tert.-Butylacrylat
    Figure 00260001
  • Tabelle 7: Einfluß der teilweisen Substitution des Nitroxylethers durch Ethylhexylthioglycolat auf die kontrollierte Polymerisation von n-Butylacrylat
    Figure 00260002
  • In beiden Experimentreihen kann durch den Austausch einer maximalen Menge von 30% (bezogen auf mol) Nitroxylether noch immer das kontrollierte Radikalpolymerisationsverfahren mit gesteigerter Ausbeute zusammen mit einem Polydispersitätswert, der so gering ist, wie für die Referenzprobe gemessen, stattfinden.
  • Reinitiationsexperimente unter Verwendung eines Makroinitiators, der in Gegenwart eines Nitroxylethers ohne Zugabe eines Kettenübertragungsmittels hergestellt wurde (Beispiele E15–E17), Tabelle 8
  • Herstellung des Makroinitiators (V6).
  • Der Makroinitiator (V6) wurde unter Verwendung von 1 mol-% Nitroxylether 101 in einem 21-Autoklaven bei 120°C hergestellt. Das Monomer, n-Butylacrylat, wurde durch die An wendung von drei aufeinanderfolgenden Vakuum-Argon-Spülkreisläufen bei Raumtemperatur entgast, dann wurde die Lösung unter Rühren schnell auf 120°C erwärmt. Der Nitroxylether, gelöst in 50 ml Monomer, wurde auf einmal zugegeben, als die endgültige Reaktionstemperatur erreicht war. Die Polymerisation konnte 6 Stunden fortlaufen. Nach der Polymerisation wurde das restliche Monomer verdampft, und das Polymer in Vakuum bei 30°C getrocknet, bis ein konstantes Gewicht erreicht war. Der Makroinitiator V6 war ein klares, leicht oranges, viskoses Polymer. Die Gesamtausbeute betrug 40%. Die Molekulargewichte wurden unter Verwendung von SEC, kalibriert mit Polystyrolstandards, analysiert.
  • Reinitiationsexperimente
  • In einer 100 ml Schlenk-Röhre, ausgestattet mit einem Magnetrührer, wurden 10 g V6 in 50 g destilliertem Monomer (wie in der Tabelle angegeben) gelöst, bis der Makroinitiator vollständig aufgelöst war. Dann wurden berechnete Mengen an 1-Dodecylmercaptan zugegeben. Zusätzlich wurde ein Experiment in jeder Reihe ohne Thiol als Referenz durchgeführt. Die Röhren wurden durch drei aufeinanderfolgende Gefrier/Tau-Kreisläufe entgast und mit Argon gespült. Dann wurden sie in ein Ölbad bei 130°C eingetaucht und die Polymerisation konnte fortlaufen. Nach 6 Stunden wurde das restliche Monomer in Vakuum verdampft und das erhaltene Polymer bei 30°C in Vakuum getrocknet, bis ein konstantes Gewicht erreicht war. Die SEC-Analyse wurde an den rohen Reaktionsprodukten durchgeführt.
  • Tabelle 8: Reinitiationsexperimente mit unterschiedlichen Konzentrationen an zugegebenem Thiol
    Figure 00280001
  • Aus den erhaltenen Daten ist ersichtlich, daß das Konzept der Zugabe eines Kettenübertragungsmittels zu der kontrollierten Polymerisation von Vinylmonomeren zur Steigerung der Ausbeute und des Molekulargewichtes nicht nur für einen Homopolymerisationsschritt sondern auch für alle anderen Reaktionsschritte in einem Mehrschrittpolymerisationsverfahren wertvoll ist.
  • Tabelle 9 zeigt die Ergebnisse eines zweiten Reinitiationsschrittes. Zur Bildung einer dritten darauffolgenden Polymerisation wurde ein Polymer, angegeben in Tabelle 8 (E15), einer aufeinanderfolgenden Polymerisationsroutine ohne jegliche zusätzliche Thiolzugabe unterworfen. Die SEC-Analyse bestätigte die Reinitiationsfähigkeit des Polymers.
  • Mehrfache Reinitiationsexperimente (Beispiele E18–E19) Tabelle 9
  • 10 Gramm des Polymers E15 (n-Butylacrylat/n-Butylacrylat), synthetisiert in Gegenwart eines Kettenübertragungsmittels im zweiten Polymerisationsschritt, wurden zu 50 Gramm reinem Monomer in einer Schlenk-Röhre, die mit einem Magnetrührstab ausgestattet ist, gegeben und gelöst. Die Röhren wurden durch drei aufeinanderfolgende Gefrier/Tau-Kreisläufe entgast und mit Argon gespült. Dann wurden sie in ein Ölbad bei 130°C getaucht und die Polymerisation konnte fortlaufen. Nach 6 Stunden wurde das restliche Monomer in Vakuum verdampft und das erhaltene Polymer bei 30°C in Vakuum getrocknet, bis ein konstantes Gewicht erreicht war. Die SEC-Analyse wurde an den rohen Reaktionsprodukten durchgeführt.
  • Die Molekulargewichtsdaten bestätigten, daß der dritte Polymerisationsschritt erfolgreich war. Es fand Kettenwachstum statt, während die Molekulargewichtskontrolle aufrechterhalten blieb.
  • Tabelle 9: Reinitiationsexperimente unter Verwendung eines Polymers (Makroinitiator), das in Gegenwart eines Kettenübertragungsmittels erhalten wurde
    Figure 00290001
  • Tabelle 10 zeigt die Farbverbesserung des Endproduktes, wenn die Polymerisation in Gegenwart eines Kettenübertragungsmittels durchgeführt wird.
  • Die Herstellung von Vergleichsbeispiel V10 ist mit dem Polymerisationsverfahren wie zuvor für n-Butylacrylat in Beispiel E1–E3 beschrieben, identisch, mit der Ausnahme, daß Dicumylperoxid als Initiator anstelle von Nitroxylether (101) und kein Dodecylmercaptan zugegeben wird. Tabelle 10
    Figure 00300001
    YI-Werte wurden mit einem Minolta Spektrophotometer CM 3600d gemessen.
  • Die Ergebnisse in Tabelle 10 zeigen, daß der Gelbgradindex der Polymere, die gemäß der vorliegenden Erfindung hergestellt wurden, im Vergleich zu dem Polymer, das mit dem Nitroxylether allein erhalten wurde, geringer ist.

Claims (16)

  1. Polymerisierbare Zusammensetzung, umfassend a) mindestens ein ethylenisch ungesättigtes Monomer oder Oligomer, und b1) mindestens einen Nitroxylether mit dem Strukturelement
    Figure 00310001
    worin X eine Gruppe mit mindestens einem Kohlenstoffatom darstellt, und so gestaltet ist, daß das freie Radikal X·, das von X abgeleitet ist, die Polymerisation ethylenisch ungesättigter Monomere initiieren kann; oder b2) mindestens ein stabiles freies Nitroxylradikal
    Figure 00310002
    und einen freien Radikalinitiator und c) ein Kettenübertragungsmittel, ausgewählt aus der Gruppe, bestehend aus einem Mercaptan, einem Thioether und einem Disulfid, mit der Maßgabe, daß, wenn ein stabiles freies Nitroxylradikal vorhanden ist, das Kettenübertragungsmittel kein Disulfid ist.
  2. Polymerisierbare Zusammensetzung, umfassend a) einen Makroinitiator, der ein Oligomer oder Polymer ist, das durch Radikalpolymerisation in Gegenwart eines Nitroxylradikals oder eines Nitroxylethers hergestellt wurde und an der Oligomer/Polymerhauptkette eine Nitroxylgruppe mit dem Strukturelement
    Figure 00310003
    aufweist; b) ein ethylenisch ungesättigtes Monomer oder Oligomer und c) ein Kettenübertragungsmittel, ausgewählt aus der Gruppe, bestehend aus einem Mercaptan, einem Thioether und einem Disulfid.
  3. Zusammensetzung nach Anspruch 1, worin die Komponente b1) die Formel A, B oder O aufweist,
    Figure 00320001
    worin m 1 ist, R Wasserstoff, C1-C18-Alkyl, das nicht unterbrochen oder durch ein oder mehrere Sauerstoffatome unterbrochen ist, Cyanoethyl, Benzoyl, Glycidyl, ein einwertiger Rest einer aliphatischen Carbonsäure mit 2 bis 18 Kohlenstoffatomen, einer cycloaliphatischen Carbonsäure mit 7 bis 15 Kohlenstoffatomen, oder einer α,β-ungesättigten Carbonsäure mit 3 bis 5 Kohlenstoffatomen oder einer aromatischen Carbonsäure mit 7 bis 15 Kohlenstoffatomen ist; p 1 ist; R101 C1-C12-Alkyl, C5-C7-Cycloalkyl, C7-C8-Aralkyl, C2-C18-Alkanoyl, C3-C5-Alkenoyl oder Benzoyl ist; R102 C1-C18-Alkyl, C5-C7-Cycloalkyl, C2-C8-Alkenyl, das unsubstituiert oder durch eine Cyano-, Carbonyl- oder Carbamidgruppe substituiert ist, oder Glycidyl, eine Gruppe der Formel -CH2CH(OH)-Z oder der Formel -CO-Z oder -CONH-Z ist, worin Z Wasserstoff, Methyl oder Phenyl ist; G6 Wasserstoff ist und G5 Wasserstoff oder C1-C4-Alkyl ist, G1 und G3 Methyl sind und G2 und G4 Ethyl oder Propyl sind oder G1 und G2 Methyl sind und G3 und G4 Ethyl oder Propyl sind; und X aus der Gruppe ausgewählt ist, bestehend aus -CH2-Phenyl, CH3CH-Phenyl, (CH3)2C-Phenyl, (C5-C6-Cycloalkyl)2CCN, (CH3)2CCN, -CH2CH=CH2, CH3CH-CH=CH2(C1-C4-Alkyl)CR20-C(O)-phenyl, (C1-C4)-Alkyl-CR20-C(O)-(C1-C4)-alkoxy, (C1-C4)-Alkyl-CR20-C(O)-(C1-C4)-alkyl, (C1-C4)-Alkyl-CR20-C(O)-N-di(C1-C4)-alkyl, (C1-C4)-Alkyl-CR20-C(O)-NH(C1-C4)-alkyl, (C1-C4)-Alkyl-CR20-C(O)-NH2, worin R20 Wasserstoff oder (C1-C4)-Alkyl ist.
  4. Zusammensetzung nach Anspruch 1, worin Komponente b1) die Formel (Ic), (Id), (Ie), (If), (Ig) oder (Ih) aufweist,
    Figure 00330001
    worin R1, R2, R3 und R4 unabhängig voneinander C1-C18-Alkyl, C3-C18-Alkenyl, C3-C18-Alkinyl, C1-C18-Alkyl, C3-C18-Alkenyl, C3-C18-Alkinyl, die durch OH, Halogen oder eine Gruppe -O-C(O)-R5 substituiert sind, C2-C18-Alkyl, das durch mindestens ein O-Atom und/oder eine NR5-Gruppe unterbrochen ist, C3-C12-Cycloalkyl oder C6-C10-Aryl sind oder R1 und R2 und/oder R3 und R4 zusammen mit dem Bindungskohlenstoffatom einen C3-C12-Cycloalkylrest bilden; R5, R6 und R7 unabhängig Wasserstoff, C1-C18-Alkyl oder C6-C10-Aryl sind; R8 Wasserstoff, OH, C1-C18-Alkyl, C3-C18-Alkenyl, C3-C18-Alkinyl, C1-C18-Alkyl, C3-C18-Alkenyl, C3-C18-Alkinyl, die durch ein oder mehrere OH, Halogen oder eine Gruppe -O-C(O)-R5 substituiert sind, C2-C18-Alkyl, das durch mindestens ein O-Atom und/oder eine NR5-Gruppe unterbrochen ist, C3-C12-Cycloalkyl oder C6-C10-Aryl, C7-C9-Phenylalkyl, C5-C10-Heteroaryl, -C(O)-C1-C18-Alkyl, -O-C1-C18-Alkyl oder -COOC1-C18-Alkyl sind; R9, R10, R11 und R12 unabhängig Wasserstoff, Phenyl oder C1-C18-Alkyl sind; und X aus der Gruppe ausgewählt ist, bestehend aus -CH2-Phenyl, CH3CH-Phenyl, (CH3)2C-Phenyl, (C5-C6-Cycloalkyl)2CCN, (CH3)2CCN, -CH2CH=CH2, CH3CH-CH=CH2(C1-C4-Alkyl)CR20-C(O)-phenyl, (C1-C4)-Alkyl-CR20-C(O)-(C1-C4)-alkoxy (C1-C4)-Alkyl-CR20-C(O)-(C1-C4)-alkyl, (C1-C4)-Alkyl-CR20-C(O)-N-di(C1-C4)-alkyl, (C1-C4)-Alkyl-CR20-C(O)-NH(C1-C4)-alkyl, (C1-C4)-Alkyl-CR20-C(O)-NH2, worin R20 Wasserstoff oder (C1-C4)-Alkyl ist.
  5. Zusammensetzung nach Anspruch 1, worin das Nitroxylradikal der Komponente b2) die Formel A', B' oder O' aufweist,
    Figure 00340001
    worin m 1 ist, R Wasserstoff, C1-C18-Alkyl, das nicht unterbrochen oder durch ein oder mehrere Sauerstoffatome unterbrochen ist, Cyanoethyl, Benzoyl, Glycidyl, ein einwertiger Rest einer aliphatischen Carbonsäure mit 2 bis 18 Kohlenstoffatomen, einer cycloaliphatischen Carbonsäure mit 7 bis 15 Kohlenstoffatomen oder einer α,β-ungesättigten Carbonsäure mit 3 bis 5 Kohlenstoffatomen oder einer aromatischen Carbonsäure mit 7 bis 15 Kohlenstoffatomen ist; p 1 ist; R1 C1-C12-Alkyl, C5-C7-Cycloalkyl, C7-C8-Aralkyl, C2-C18-Alkanoyl, C3-C5-Alkenoyl oder Benzoyl ist; R2 C1-C18-Alkyl, C5-C7-Cycloalkyl, C2-C8-Alkenyl, das unsubstituiert oder durch eine Cyano-, Carbonyl- oder Carbamidgruppe substituiert ist, oder Glycidyl, eine Gruppe der Formel -CH2CH(OH)-Z oder der Formel -CO-Z oder -CONH-Z ist, worin Z Wasserstoff, Methyl oder Phenyl ist; G6 Wasserstoff ist und G5 Wasserstoff oder C1-C4-Alkyl ist, und G1 und G3 Methyl sind und G2 und G4 Ethyl oder Propyl sind oder G1 und G2 Methyl sind und G3 und G4 Ethyl oder Propyl sind.
  6. Zusammensetzung nach Anspruch 1, worin das Nitroxylradikal der Komponente b2) die Formel (Ic'), (Id'), (Ie'), (If'), (Ig') oder (Ih') aufweist,
    Figure 00350001
    worin R1, R2, R3 und R4 unabhängig voneinander C1-C18-Alkyl, C3-C18-Alkenyl, C3-C18-Alkinyl, C1-C18-Alkyl, C3-C18-Alkenyl, C3-C18-Alkinyl, die durch OH, Halogen oder eine Gruppe -O-C(O)-R5 substituiert sind, C2-C18-Alkyl, das durch mindestens ein O-Atom und/oder eine NR5-Gruppe unterbrochen ist, C3-C12-Cycloalkyl oder C6-C10-Aryl ist oder R1 und R2 und/oder R3 und R4 zusammen mit dem Bindungskohlenstoffatom einen C3-C12-Cycloalkylrest bilden; R5, R6 und R7 unabhängig Wasserstoff, C1-C18-Alkyl oder C6-C10-Aryl sind; R8 Wasserstoff, OH, C1-C18-Alkyl, C3-C18-Alkenyl, C3-C18-Alkinyl, C1-C18-Alkyl, C3-C18-Alkenyl, C3-C18-Alkinyl, die durch ein oder mehrere OH, Halogen oder eine Gruppe -O-C(O)-R5 substituiert sind, C2-C18-Alkyl, das durch mindestens ein O-Atom und/oder eine NR5-Gruppe unterbrochen ist, C3-C12-Cycloalkyl oder C6-C10-Aryl, C7-C9-Phenylalkyl, C5-C10-Heteroaryl, -C(O)-C1-C18-Alkyl, -O-C1-C18-Alkyl oder -COOC1-C18-Alkyl sind; und R9, R10, R11 und R12 unabhängig Wasserstoff, Phenyl oder C1-C18-Alkyl sind.
  7. Zusammensetzung nach Anspruch 2, wobei das Strukturelement
    Figure 00360001
    des Makroinitiators von einer Verbindung der Formeln A, B, O (A', B', O') nach Anspruch 3 oder der Formeln Ic, Id, Ie, If, Ig, Ih (Ic', Id', Ie', If', Ig', Ih') nach Anspruch 4 stammt.
  8. Zusammensetzung nach Anspruch 1 oder 2, worin Komponente c) eine Verbindung der Formel (IIa), (IIb) oder (IIc) ist, R30-S-H (IIa), R30-S-R30 (IIb), R31-S-S-R31 (IIc)worin R30 C1-C18-Alkyl, C3-C18-Alkenyl, C3-C18-Alkinyl, (C1-C18)-Alkyl-O-(C1-C18-alkylen)-, HO-(C1-C18-alkylen)-, (C1-C18-Alkyl)2N-(C1-C18-alkylen)-, (C1-C18)-Alkyl-O-C(O)-(C1-C18-alkylen)-, Phenyl, Phenyl-(C1-C3-alkyl), Phenyl-C(O)- oder (C1-C18-Alkyl)2N-C(S)- ist; und R31 C1-C18-Alkyl, C3-C18-Alkenyl, C3-C18-Alkinyl, (C1-C18)-Alkyl-O-(C1-C18-alkylen)-, HO-(C1-C18-alkylen)- ist.
  9. Zusammensetzung nach Anspruch 8, worin Komponente c) die Formel (IIa) aufweist und R30 C8-C18-Alkyl ist.
  10. Verfahren zur Herstellung eines Oligomers, eines Cooligomers, eines Polymers oder eines Copolymers (Block, statistisch oder Pfropf) durch Radikalpolymerisation von mindestens einem ethylenisch ungesättigten Monomer oder Oligomer, umfassend die (Co)Polymerisation des Monomers oder der Monomere/Oligomere in Gegenwart von b1) mindestens einem Nitroxylether mit dem Strukturelement
    Figure 00360002
    unter Reaktionsbedingungen, durch die die Spaltung der O-X-Bindung herbeigeführt werden kann, um so zwei freie Radikale zu bilden, wobei das Radikal ·X die Polymerisation initiieren kann; oder b2) mindestens einem stabilen freien Nitroxylradikal
    Figure 00370001
    und einem freien Radikalinitiator c) einem Kettenübertragungsmittel, ausgewählt aus der Gruppe, bestehend aus einem Mercaptan, einem Thioether und einem Disulfid, mit der Maßgabe, daß, wenn ein stabiles freies Nitroxylradikal vorhanden ist, das Kettenübertragungsmittel kein Disulfid ist.
  11. Verfahren zur Herstellung eines Block(co)polymers durch Radikalpolymerisation, umfassend die (Co)Polymerisation a) eines Makroinitiators, der ein Oligomer oder Polymer ist, das durch Radikalpolymerisation in Gegenwart eines Nitroxylradikals oder eines Nitroxylethers hergestellt wurde und an der Oligomer/Polymerhauptkette eine Nitroxylgruppe aufweist, mit dem Strukturelement
    Figure 00370002
    und b) eines ethylenisch ungesättigten Monomers oder Oligomers in Gegenwart von c) einem Kettenübertragungsmittel, ausgewählt aus der Gruppe, bestehend aus einem Mercaptan, einem Thioether und einem Disulfid, unter Reaktionsbedingungen, durch die Spaltung der O-Polymerbindung herbeigeführt werden kann, um so zwei freie Radikale zu bilden, wobei das Polymerradikal (Makroinitiator) die Polymerisation initiieren kann.
  12. Verfahren nach Anspruch 10, worin der Nitroxylether der Komponente b1) oder das Nitroxylradikal der Komponente b2) in einer Menge von 0,001 mol-% bis 20 mol-%, basierend auf dem Monomer oder dem Monomergemisch, vorhanden sind.
  13. Verfahren nach Anspruch 10, worin der Radikalinitiator in einer Menge von 0,001 mol-% bis 20 mol-%, basierend auf dem Monomer oder dem Monomergemisch, vorhanden ist.
  14. Verfahren nach Anspruch 10 oder 11, worin die Spaltung der O-X-Bindung oder die Spaltung der O-Polymerbindung durch Erwärmung herbeigeführt wird und bei einer Temperatur zwischen 50°C und 180°C stattfindet.
  15. Verfahren nach Anspruch 10 oder 11, worin das Kettenübertragungsmittel, Komponente c), in einer Menge von 0,001 mol-% bis 0,5 mol-%, basierend auf dem Monomer oder dem Monomergemisch, vorhanden ist.
  16. Verwendung eines Kettenübertragungsmittels, ausgewählt aus der Gruppe, bestehend aus einem Mercaptan, einem Thioether und einem Disulfid, zur Steigerung der Rate und Ausbeute der kontrollierten Radikalpolymerisationen in Gegenwart eines Nitroxylethers
    Figure 00380001
    oder eines stabilen freien Nitroxylradikals
    Figure 00380002
    und eines freien Radikalinitiators, mit der Maßgabe, daß, wenn ein stabiles freies Nitroxylradikal vorhanden ist, das Kettenübertragungsmittel kein Disulfid ist.
DE60117841T 2000-09-25 2001-09-18 Zusammensetzung und verfahren für verbesserte kontrollierte freie radikalpolymerisation Expired - Lifetime DE60117841T3 (de)

Applications Claiming Priority (3)

Application Number Priority Date Filing Date Title
EP00810880 2000-09-25
EP00810880 2000-09-25
PCT/EP2001/010782 WO2002024762A1 (en) 2000-09-25 2001-09-18 Composition and process for enhancing controlled free radical polymerization

Publications (3)

Publication Number Publication Date
DE60117841D1 DE60117841D1 (de) 2006-05-04
DE60117841T2 true DE60117841T2 (de) 2006-07-27
DE60117841T3 DE60117841T3 (de) 2010-05-12

Family

ID=8174934

Family Applications (1)

Application Number Title Priority Date Filing Date
DE60117841T Expired - Lifetime DE60117841T3 (de) 2000-09-25 2001-09-18 Zusammensetzung und verfahren für verbesserte kontrollierte freie radikalpolymerisation

Country Status (12)

Country Link
US (2) US7074860B2 (de)
EP (1) EP1320554B2 (de)
JP (1) JP2004509989A (de)
KR (1) KR100778770B1 (de)
AT (1) ATE319749T1 (de)
AU (1) AU2002213932A1 (de)
CA (1) CA2423194A1 (de)
DE (1) DE60117841T3 (de)
ES (1) ES2258555T5 (de)
MX (1) MXPA03002465A (de)
TW (1) TWI225492B (de)
WO (1) WO2002024762A1 (de)

Families Citing this family (3)

* Cited by examiner, † Cited by third party
Publication number Priority date Publication date Assignee Title
US20100210800A1 (en) * 2004-03-24 2010-08-19 Ciba Corporation Method of preparing ethylene polymers by controlled high pressure polymerization
US7834081B2 (en) * 2005-08-02 2010-11-16 Arkema Inc. Methods of producing vinyl aromatic polymers using (meth)acrylic macroinitiators
JP5825819B2 (ja) * 2011-04-13 2015-12-02 住友ゴム工業株式会社 ジエン系重合体及びその製造方法

Family Cites Families (33)

* Cited by examiner, † Cited by third party
Publication number Priority date Publication date Assignee Title
US4581429A (en) 1983-07-11 1986-04-08 Commonwealth Scientific And Industrial Research Organization Polymerization process and polymers produced thereby
EP0500575B1 (de) 1989-11-01 1997-06-11 Commonwealth Scientific And Industrial Research Organisation Kontrolle des molekulargewichts und der endgruppenfunktionalität in polymeren unter verwendung ungesättigter peroxide als kettenübertragungsmittel
US5010114A (en) * 1990-01-16 1991-04-23 The Mead Corporation Microsuspension polymerization
DE4236316A1 (en) * 1991-10-31 1993-05-06 Takeda Chemical Industries Ltd Copolymer lattices, useful as binders in paper coating compsns. - by two=stage emulsion polymerisation of monomer mixt., with hydrophilic chain transfer agent and hydrophobic agent in second stage
US5322912A (en) * 1992-11-16 1994-06-21 Xerox Corporation Polymerization processes and toner compositions therefrom
JP3203995B2 (ja) * 1993-12-24 2001-09-04 ジェイエスアール株式会社 感放射線性樹脂組成物
US5412047A (en) 1994-05-13 1995-05-02 Xerox Corporation Homoacrylate polymerization processes with oxonitroxides
CN1078215C (zh) * 1994-12-14 2002-01-23 陶氏化学公司 由乙烯基酸催化的自由基聚合反应制备高分子量聚苯乙烯的方法
US5610249A (en) * 1995-01-24 1997-03-11 Kansai Paint Co., Ltd. Process for production of styrene or styrene derivative polymer of narrow molecular weight distrubition
FR2730240A1 (fr) 1995-02-07 1996-08-09 Atochem Elf Sa Stabilisation d'un polymere par un radical libre stable
US5608023A (en) 1995-03-30 1997-03-04 Xerox Corporation Rate enhanced polymerization processes
US5627248A (en) * 1995-09-26 1997-05-06 The Dow Chemical Company Difunctional living free radical polymerization initiators
EP1245652B1 (de) * 1996-02-22 2003-08-20 Kao Corporation Wässrige Tinte für Tintenstrahldruck
DE69701517T2 (de) 1996-03-29 2000-11-09 The Dow Chemical Co., Midland In situ blockcopolymerbildung während der polymerisation eines vinylaromatischen monomers
KR970064016U (ko) * 1996-05-31 1997-12-11 브이시알의 전면 패널
ATE210156T1 (de) 1996-09-25 2001-12-15 Akzo Nobel Nv Nitroso verbindungen zur pseudo-lebenden radikalpolymerisation
US20010000256A1 (en) * 1996-11-20 2001-04-12 Atofina Polymerization in the presence of a stable free radical and of an iniferter
FR2755969B1 (fr) 1996-11-20 1998-12-24 Atochem Elf Sa Polymerisation en presence d'un radical libre stable et d'un iniferter
CA2277164C (en) 1997-01-10 2005-11-08 Commonwealth Scientific And Industrial Research Organization Method of controlling polymer molecular weight and structure
WO1998040448A1 (fr) * 1997-03-11 1998-09-17 Nippon Zeon Co., Ltd. Procede de preparation de diene conjugue purifie
US6281311B1 (en) 1997-03-31 2001-08-28 Pmd Holdings Corp. Controlled free radical polymerization process
SG82601A1 (en) 1998-03-09 2001-08-21 Ciba Sc Holding Ag 1-alkoxy-polyalkyl-piperidine derivatives and their use as polymerization regulators
TW400337B (en) 1998-03-17 2000-08-01 Akzo Nobel Nv Process to make low-molecular weight sma
CA2288863C (en) * 1998-04-27 2008-03-18 Kaneka Corporation Resin composition containing graft polymer having multilayer structure
FR2779437B1 (fr) * 1998-06-03 2004-10-15 Atochem Elf Sa Polymere vinylaromatique choc par polymerisation d'un monomere vinylaromatique en presence d'un radical libre stable et d'un amorceur de polymerisation
JP4665270B2 (ja) * 1999-08-27 2011-04-06 日油株式会社 高分子ラジカル重合開始剤、その製造方法およびそれを用いて得られるグラフトポリマー
JP2002522415A (ja) * 1998-07-31 2002-07-23 チバ スペシャルティ ケミカルズ ホールディング インコーポレーテッド 開鎖アルコキシアミンおよび重合調節剤としてのそれらの使用
ATE307150T1 (de) 1998-09-03 2005-11-15 Ciba Sc Holding Ag Propfung von äthylenisch ungesättigten monomeren auf polymeren
TWI225483B (en) * 1998-10-16 2004-12-21 Ciba Sc Holding Ag Heterocyclic alkoxyamines as regulators in controlled radical polymerization process
GB9827080D0 (en) 1998-12-10 1999-02-03 Ici Ltd Production of vinylic polymers
US6716948B1 (en) * 1999-07-31 2004-04-06 Symyx Technologies, Inc. Controlled-architecture polymers and use thereof as separation media
WO2001009204A2 (en) 1999-07-31 2001-02-08 Symyx Technologies, Inc. Controlled-architecture polymers and use thereof as separation media
US6713552B1 (en) * 1999-08-23 2004-03-30 Rohm And Haas Company Pressure sensitive adhesive with improved peel strength and tack

Also Published As

Publication number Publication date
WO2002024762A1 (en) 2002-03-28
ES2258555T5 (es) 2010-02-08
DE60117841D1 (de) 2006-05-04
TWI225492B (en) 2004-12-21
US7074860B2 (en) 2006-07-11
ATE319749T1 (de) 2006-03-15
MXPA03002465A (es) 2003-06-19
DE60117841T3 (de) 2010-05-12
EP1320554A1 (de) 2003-06-25
US20040044158A1 (en) 2004-03-04
US7323517B2 (en) 2008-01-29
JP2004509989A (ja) 2004-04-02
EP1320554B2 (de) 2009-10-14
US20060094828A1 (en) 2006-05-04
ES2258555T3 (es) 2006-09-01
CA2423194A1 (en) 2002-03-28
AU2002213932A1 (en) 2002-04-02
KR100778770B1 (ko) 2007-11-27
KR20030029952A (ko) 2003-04-16
EP1320554B1 (de) 2006-03-08

Similar Documents

Publication Publication Date Title
DE69806084T2 (de) Kontrolliertes Radikalpolymerisatonsverfahren
DE19909767B4 (de) 1-Alkoxypolyalkylpiperidinderivate und ihre Verwendung als Polymerisationsregler
DE69808622T3 (de) Verfahren zur herstellung von blockcopolymeren durch kontrollierte radikalische polymerisation
DE10113209A1 (de) 2,2,6,6 Diethyldimethyl-1-alkoxypiperidin-Verbindungen und deren entsprechende 1-Oxide
DE69921194T2 (de) Verfahren zur herstellung von polymeren enthaltend endständige n-0 gruppen
US7807764B2 (en) Composition and process for the controlled synthesis of block copolymers
DE69930517T2 (de) Benutzung von 1-oxyl-2,2,6,6-tetraalkylpiperidin mit langen alkylketten als polymerisationsregulatoren
DE60310465T2 (de) Verfahren zur Herstellung von Beschichtungsharzen mit hohen Feststoffgehalten durch kontrollierte Radikalpolymerisation
EP1144355B1 (de) Alpha-halogencarbonsäureester mit mehrwertigen alkoholen als initiatoren für atrp
DE60122351T2 (de) Verfahren zur kontrollierten radikalpolymerisation in wässrigen dispersionen
DE60117841T2 (de) Zusammensetzung und verfahren für verbesserte kontrollierte freie radikalpolymerisation
EP1294775B1 (de) Verfahren zur herstellung eines polymeren umsetzungsprodukts
DE60315070T2 (de) Verfahren zur herstellung von hydroxy-vinyl aromatischen polymeren oder copolymeren durch anionische oder kontrollierte radikalpolymerisation
EP1218419B1 (de) Polymerisationsverfahren
WO2010040630A1 (de) Raft-polymere und raft-reagenzien
CZ346399A3 (cs) Způsob řízené radikálové polymerace
MXPA99008866A (en) Controlled free radical polymerization process

Legal Events

Date Code Title Description
8328 Change in the person/name/address of the agent

Representative=s name: PFENNING MEINIG & PARTNER GBR, 80339 MUENCHEN

8363 Opposition against the patent
8327 Change in the person/name/address of the patent owner

Owner name: CIBA HOLDING INC., BASEL, CH

8328 Change in the person/name/address of the agent

Representative=s name: MAIWALD PATENTANWALTSGESELLSCHAFT MBH, 80335 MUENC

8366 Restricted maintained after opposition proceedings
8327 Change in the person/name/address of the patent owner

Owner name: BASF SE, 67063 LUDWIGSHAFEN, DE