CN1975552B - 三阶非线性光学材料单体、其聚合物及制备 - Google Patents
三阶非线性光学材料单体、其聚合物及制备 Download PDFInfo
- Publication number
- CN1975552B CN1975552B CN200610161422A CN200610161422A CN1975552B CN 1975552 B CN1975552 B CN 1975552B CN 200610161422 A CN200610161422 A CN 200610161422A CN 200610161422 A CN200610161422 A CN 200610161422A CN 1975552 B CN1975552 B CN 1975552B
- Authority
- CN
- China
- Prior art keywords
- monomer
- polymer
- order nonlinear
- azo
- add
- Prior art date
- Legal status (The legal status is an assumption and is not a legal conclusion. Google has not performed a legal analysis and makes no representation as to the accuracy of the status listed.)
- Active
Links
- 239000000178 monomer Substances 0.000 title claims abstract description 53
- 229920000642 polymer Polymers 0.000 title claims abstract description 36
- 230000003287 optical effect Effects 0.000 title claims abstract description 20
- 239000000463 material Substances 0.000 title claims abstract description 10
- 238000002360 preparation method Methods 0.000 title claims description 7
- 238000010560 atom transfer radical polymerization reaction Methods 0.000 claims abstract description 10
- OKKJLVBELUTLKV-UHFFFAOYSA-N Methanol Chemical compound OC OKKJLVBELUTLKV-UHFFFAOYSA-N 0.000 claims description 42
- 238000006116 polymerization reaction Methods 0.000 claims description 31
- 238000003756 stirring Methods 0.000 claims description 26
- -1 methoxyl group Chemical group 0.000 claims description 11
- QVGXLLKOCUKJST-UHFFFAOYSA-N atomic oxygen Chemical compound [O] QVGXLLKOCUKJST-UHFFFAOYSA-N 0.000 claims description 10
- 239000001301 oxygen Substances 0.000 claims description 10
- 229910052760 oxygen Inorganic materials 0.000 claims description 10
- 239000003999 initiator Substances 0.000 claims description 5
- 125000001309 chloro group Chemical group Cl* 0.000 claims description 4
- 239000002904 solvent Substances 0.000 claims description 4
- WKBOTKDWSSQWDR-UHFFFAOYSA-N Bromine atom Chemical group [Br] WKBOTKDWSSQWDR-UHFFFAOYSA-N 0.000 claims description 3
- GDTBXPJZTBHREO-UHFFFAOYSA-N bromine Chemical group BrBr GDTBXPJZTBHREO-UHFFFAOYSA-N 0.000 claims description 3
- 229910052794 bromium Inorganic materials 0.000 claims description 3
- 125000000542 sulfonic acid group Chemical group 0.000 claims description 3
- 125000003178 carboxy group Chemical group [H]OC(*)=O 0.000 claims description 2
- 239000001257 hydrogen Substances 0.000 claims description 2
- 229910052739 hydrogen Inorganic materials 0.000 claims description 2
- 125000004435 hydrogen atom Chemical group [H]* 0.000 claims description 2
- 230000035484 reaction time Effects 0.000 claims description 2
- 239000000460 chlorine Substances 0.000 claims 2
- 229910052801 chlorine Inorganic materials 0.000 claims 2
- 125000000751 azo group Chemical group [*]N=N[*] 0.000 abstract description 21
- 239000000543 intermediate Substances 0.000 abstract description 15
- HFBMWMNUJJDEQZ-UHFFFAOYSA-N acryloyl chloride Chemical compound ClC(=O)C=C HFBMWMNUJJDEQZ-UHFFFAOYSA-N 0.000 abstract description 6
- NIXOWILDQLNWCW-UHFFFAOYSA-M Acrylate Chemical compound [O-]C(=O)C=C NIXOWILDQLNWCW-UHFFFAOYSA-M 0.000 abstract description 3
- 238000005859 coupling reaction Methods 0.000 abstract description 2
- 239000000243 solution Substances 0.000 description 38
- XLYOFNOQVPJJNP-UHFFFAOYSA-N water Chemical compound O XLYOFNOQVPJJNP-UHFFFAOYSA-N 0.000 description 38
- ZMANZCXQSJIPKH-UHFFFAOYSA-N Triethylamine Chemical compound CCN(CC)CC ZMANZCXQSJIPKH-UHFFFAOYSA-N 0.000 description 21
- 238000000034 method Methods 0.000 description 20
- IJGRMHOSHXDMSA-UHFFFAOYSA-N Atomic nitrogen Chemical compound N#N IJGRMHOSHXDMSA-UHFFFAOYSA-N 0.000 description 16
- 238000006243 chemical reaction Methods 0.000 description 15
- JHIVVAPYMSGYDF-UHFFFAOYSA-N cyclohexyloxide Natural products O=C1CCCCC1 JHIVVAPYMSGYDF-UHFFFAOYSA-N 0.000 description 15
- 238000002156 mixing Methods 0.000 description 15
- HEMHJVSKTPXQMS-UHFFFAOYSA-M Sodium hydroxide Chemical compound [OH-].[Na+] HEMHJVSKTPXQMS-UHFFFAOYSA-M 0.000 description 13
- WYURNTSHIVDZCO-UHFFFAOYSA-N Tetrahydrofuran Chemical compound C1CCOC1 WYURNTSHIVDZCO-UHFFFAOYSA-N 0.000 description 12
- 239000008367 deionised water Substances 0.000 description 11
- 229910021641 deionized water Inorganic materials 0.000 description 11
- 229910052757 nitrogen Inorganic materials 0.000 description 11
- 239000000047 product Substances 0.000 description 10
- LPXPTNMVRIOKMN-UHFFFAOYSA-M sodium nitrite Chemical compound [Na+].[O-]N=O LPXPTNMVRIOKMN-UHFFFAOYSA-M 0.000 description 10
- 239000012954 diazonium Substances 0.000 description 8
- 150000001989 diazonium salts Chemical class 0.000 description 8
- 238000005227 gel permeation chromatography Methods 0.000 description 8
- 239000004615 ingredient Substances 0.000 description 8
- UKODFQOELJFMII-UHFFFAOYSA-N pentamethyldiethylenetriamine Chemical compound CN(C)CCN(C)CCN(C)C UKODFQOELJFMII-UHFFFAOYSA-N 0.000 description 8
- IOLQWGVDEFWYNP-UHFFFAOYSA-N ethyl 2-bromo-2-methylpropanoate Chemical group CCOC(=O)C(C)(C)Br IOLQWGVDEFWYNP-UHFFFAOYSA-N 0.000 description 7
- PAYRUJLWNCNPSJ-UHFFFAOYSA-N Aniline Chemical compound NC1=CC=CC=C1 PAYRUJLWNCNPSJ-UHFFFAOYSA-N 0.000 description 6
- 229910021589 Copper(I) bromide Inorganic materials 0.000 description 6
- NKNDPYCGAZPOFS-UHFFFAOYSA-M copper(i) bromide Chemical compound Br[Cu] NKNDPYCGAZPOFS-UHFFFAOYSA-M 0.000 description 6
- 239000012043 crude product Substances 0.000 description 6
- 239000000706 filtrate Substances 0.000 description 6
- YLQBMQCUIZJEEH-UHFFFAOYSA-N tetrahydrofuran Natural products C=1C=COC=1 YLQBMQCUIZJEEH-UHFFFAOYSA-N 0.000 description 6
- VEXZGXHMUGYJMC-UHFFFAOYSA-N Hydrochloric acid Chemical compound Cl VEXZGXHMUGYJMC-UHFFFAOYSA-N 0.000 description 5
- 239000007864 aqueous solution Substances 0.000 description 5
- 235000010288 sodium nitrite Nutrition 0.000 description 5
- ROFVEXUMMXZLPA-UHFFFAOYSA-N Bipyridyl Chemical compound N1=CC=CC=C1C1=CC=CC=N1 ROFVEXUMMXZLPA-UHFFFAOYSA-N 0.000 description 4
- 229910021591 Copper(I) chloride Inorganic materials 0.000 description 4
- 239000012295 chemical reaction liquid Substances 0.000 description 4
- OXBLHERUFWYNTN-UHFFFAOYSA-M copper(I) chloride Chemical group [Cu]Cl OXBLHERUFWYNTN-UHFFFAOYSA-M 0.000 description 4
- 229940045803 cuprous chloride Drugs 0.000 description 4
- CSCPPACGZOOCGX-UHFFFAOYSA-N Acetone Chemical compound CC(C)=O CSCPPACGZOOCGX-UHFFFAOYSA-N 0.000 description 3
- YXFVVABEGXRONW-UHFFFAOYSA-N Toluene Chemical compound CC1=CC=CC=C1 YXFVVABEGXRONW-UHFFFAOYSA-N 0.000 description 3
- 230000009471 action Effects 0.000 description 3
- KCXMKQUNVWSEMD-UHFFFAOYSA-N benzyl chloride Chemical compound ClCC1=CC=CC=C1 KCXMKQUNVWSEMD-UHFFFAOYSA-N 0.000 description 3
- 229940073608 benzyl chloride Drugs 0.000 description 3
- 239000003054 catalyst Substances 0.000 description 3
- 239000003795 chemical substances by application Substances 0.000 description 3
- 229920001519 homopolymer Polymers 0.000 description 3
- 239000003446 ligand Substances 0.000 description 3
- 239000000126 substance Substances 0.000 description 3
- HYVGFUIWHXLVNV-UHFFFAOYSA-N 2-(n-ethylanilino)ethanol Chemical compound OCCN(CC)C1=CC=CC=C1 HYVGFUIWHXLVNV-UHFFFAOYSA-N 0.000 description 2
- QSNSCYSYFYORTR-UHFFFAOYSA-N 4-chloroaniline Chemical compound NC1=CC=C(Cl)C=C1 QSNSCYSYFYORTR-UHFFFAOYSA-N 0.000 description 2
- TYMLOMAKGOJONV-UHFFFAOYSA-N 4-nitroaniline Chemical group NC1=CC=C([N+]([O-])=O)C=C1 TYMLOMAKGOJONV-UHFFFAOYSA-N 0.000 description 2
- ZMXDDKWLCZADIW-UHFFFAOYSA-N N,N-Dimethylformamide Chemical compound CN(C)C=O ZMXDDKWLCZADIW-UHFFFAOYSA-N 0.000 description 2
- 239000002253 acid Substances 0.000 description 2
- RDOXTESZEPMUJZ-UHFFFAOYSA-N anisole Chemical compound COC1=CC=CC=C1 RDOXTESZEPMUJZ-UHFFFAOYSA-N 0.000 description 2
- 238000006149 azo coupling reaction Methods 0.000 description 2
- 239000000987 azo dye Substances 0.000 description 2
- DMLAVOWQYNRWNQ-UHFFFAOYSA-N azobenzene Chemical compound C1=CC=CC=C1N=NC1=CC=CC=C1 DMLAVOWQYNRWNQ-UHFFFAOYSA-N 0.000 description 2
- 125000001246 bromo group Chemical group Br* 0.000 description 2
- 150000001875 compounds Chemical class 0.000 description 2
- 125000004093 cyano group Chemical group *C#N 0.000 description 2
- 230000005684 electric field Effects 0.000 description 2
- 230000005281 excited state Effects 0.000 description 2
- BHAAPTBBJKJZER-UHFFFAOYSA-N p-anisidine Chemical compound COC1=CC=C(N)C=C1 BHAAPTBBJKJZER-UHFFFAOYSA-N 0.000 description 2
- 230000001376 precipitating effect Effects 0.000 description 2
- 238000011160 research Methods 0.000 description 2
- 238000012546 transfer Methods 0.000 description 2
- SKDLVDOZQDGJDS-UHFFFAOYSA-N 1-(diazonioamino)-4-methoxybenzene Chemical class COC1=CC=C(N[N+]#N)C=C1 SKDLVDOZQDGJDS-UHFFFAOYSA-N 0.000 description 1
- MMVDLMPGBRLTSO-UHFFFAOYSA-N 1-(diazonioamino)-4-nitrobenzene Chemical class [O-][N+](=O)C1=CC=C(N[N+]#N)C=C1 MMVDLMPGBRLTSO-UHFFFAOYSA-N 0.000 description 1
- LXZSVYNLRODPHM-UHFFFAOYSA-N 1-chloro-4-(diazonioamino)benzene Chemical class ClC1=CC=C(N[N+]#N)C=C1 LXZSVYNLRODPHM-UHFFFAOYSA-N 0.000 description 1
- YOIQWFZSLGRZJX-UHFFFAOYSA-N 2-(diethylamino)phenol Chemical compound CCN(CC)C1=CC=CC=C1O YOIQWFZSLGRZJX-UHFFFAOYSA-N 0.000 description 1
- OITNBJHJJGMFBN-UHFFFAOYSA-N 4-(chloromethyl)benzoic acid Chemical compound OC(=O)C1=CC=C(CCl)C=C1 OITNBJHJJGMFBN-UHFFFAOYSA-N 0.000 description 1
- ALYNCZNDIQEVRV-UHFFFAOYSA-N 4-aminobenzoic acid Chemical compound NC1=CC=C(C(O)=O)C=C1 ALYNCZNDIQEVRV-UHFFFAOYSA-N 0.000 description 1
- YBAZINRZQSAIAY-UHFFFAOYSA-N 4-aminobenzonitrile Chemical compound NC1=CC=C(C#N)C=C1 YBAZINRZQSAIAY-UHFFFAOYSA-N 0.000 description 1
- WDFQBORIUYODSI-UHFFFAOYSA-N 4-bromoaniline Chemical compound NC1=CC=C(Br)C=C1 WDFQBORIUYODSI-UHFFFAOYSA-N 0.000 description 1
- JQPZRQLUCZVWEO-UHFFFAOYSA-N 5-(chloromethyl)-2-methoxybenzaldehyde Chemical compound COC1=CC=C(CCl)C=C1C=O JQPZRQLUCZVWEO-UHFFFAOYSA-N 0.000 description 1
- LSNNMFCWUKXFEE-UHFFFAOYSA-M Bisulfite Chemical group OS([O-])=O LSNNMFCWUKXFEE-UHFFFAOYSA-M 0.000 description 1
- 229920000106 Liquid crystal polymer Polymers 0.000 description 1
- 239000004977 Liquid-crystal polymers (LCPs) Substances 0.000 description 1
- VVQNEPGJFQJSBK-UHFFFAOYSA-N Methyl methacrylate Chemical compound COC(=O)C(C)=C VVQNEPGJFQJSBK-UHFFFAOYSA-N 0.000 description 1
- ISWSIDIOOBJBQZ-UHFFFAOYSA-N Phenol Chemical compound OC1=CC=CC=C1 ISWSIDIOOBJBQZ-UHFFFAOYSA-N 0.000 description 1
- VRAKDAYLTPMBAW-UHFFFAOYSA-N [O-][N+](=O)ClC#N Chemical group [O-][N+](=O)ClC#N VRAKDAYLTPMBAW-UHFFFAOYSA-N 0.000 description 1
- 125000003172 aldehyde group Chemical group 0.000 description 1
- 239000012670 alkaline solution Substances 0.000 description 1
- 230000015572 biosynthetic process Effects 0.000 description 1
- 239000003153 chemical reaction reagent Substances 0.000 description 1
- 239000012141 concentrate Substances 0.000 description 1
- 238000007334 copolymerization reaction Methods 0.000 description 1
- 230000008878 coupling Effects 0.000 description 1
- 238000010168 coupling process Methods 0.000 description 1
- 125000002243 cyclohexanonyl group Chemical group *C1(*)C(=O)C(*)(*)C(*)(*)C(*)(*)C1(*)* 0.000 description 1
- 230000007547 defect Effects 0.000 description 1
- 125000000664 diazo group Chemical group [N-]=[N+]=[*] 0.000 description 1
- 230000000694 effects Effects 0.000 description 1
- 125000006575 electron-withdrawing group Chemical group 0.000 description 1
- 230000002708 enhancing effect Effects 0.000 description 1
- 125000000524 functional group Chemical group 0.000 description 1
- VHRYZQNGTZXDNX-UHFFFAOYSA-N methacryloyl chloride Chemical compound CC(=C)C(Cl)=O VHRYZQNGTZXDNX-UHFFFAOYSA-N 0.000 description 1
- 125000000956 methoxy group Chemical group [H]C([H])([H])O* 0.000 description 1
- UZKWTJUDCOPSNM-UHFFFAOYSA-N methoxybenzene Substances CCCCOC=C UZKWTJUDCOPSNM-UHFFFAOYSA-N 0.000 description 1
- 125000002496 methyl group Chemical group [H]C([H])([H])* 0.000 description 1
- 239000000203 mixture Substances 0.000 description 1
- 125000000896 monocarboxylic acid group Chemical group 0.000 description 1
- 125000000449 nitro group Chemical group [O-][N+](*)=O 0.000 description 1
- 230000005693 optoelectronics Effects 0.000 description 1
- 238000007699 photoisomerization reaction Methods 0.000 description 1
- 230000000704 physical effect Effects 0.000 description 1
- 239000002861 polymer material Substances 0.000 description 1
- 230000037048 polymerization activity Effects 0.000 description 1
- 229920002635 polyurethane Polymers 0.000 description 1
- 239000004814 polyurethane Substances 0.000 description 1
- 230000008569 process Effects 0.000 description 1
- 238000012545 processing Methods 0.000 description 1
- 238000010526 radical polymerization reaction Methods 0.000 description 1
- 238000001953 recrystallisation Methods 0.000 description 1
- 230000004044 response Effects 0.000 description 1
- 239000012266 salt solution Substances 0.000 description 1
- 150000003384 small molecules Chemical class 0.000 description 1
- 125000001424 substituent group Chemical group 0.000 description 1
- 238000003786 synthesis reaction Methods 0.000 description 1
Landscapes
- Addition Polymer Or Copolymer, Post-Treatments, Or Chemical Modifications (AREA)
Abstract
本发明公开了一种具有分子内推拉电子结构的偶氮单体及其聚合物三阶非线性光学材料,它是由对取代基苯胺与N,N-乙基羟乙基苯胺通过重氮-偶合反应得到偶氮中间体,再与(甲基)丙烯酰氯反应得到含功能性偶氮基团的丙烯酸酯类单体,并采用原子转移自由基聚合(ATRP)方法得到了分子链内形成推拉电子结构的偶氮侧链型聚合物。该聚合物具有优良的三阶非线性光学性能和较好的成膜性能。
Description
技术领域
本发明涉及一种偶氮化合物及其聚合物,具体涉及一种具有三阶非线性光学特性的偶氮化合物及其聚合物,以及用原子转移自由基聚合方法制备该聚合物的方法。
背景技术
偶氮化合物分子中含有偶氮基团(-N=N-),其共轭体系长,电子流动性好,有利于产生非线性光学效应,特别是偶氮芳烃化合物具有较长的π电子共轭体系,分子在电场作用下的内部电荷迁移性好,电子激发态能量低,从而显示较高的二阶、三阶非线性光学活性。因而偶氮化合物是一类重要的有机低分子三阶非线性光学材料。
具有推拉电子结构的偶氮化合物由于其特殊的性质尤其引起人们的关注。在推拉型偶氮化合物中,由于偶氮苯两端推电子基团和拉电子基团的同时作用,使偶氮键成为一种有效的电子通道,使分子中共轭电子具有很大的流动性。与其他类型的偶氮类化合物比较,其在电场作用下的电子(电荷)转移倾向明显、有较低的π-π*电子激发态能量的体系,而且光致异构速率更快,具有优良的非线性特性。因此,这类材料的研究成为三阶非线性材料的重要课题之一。Chemical Physics Letters,2000,330(5-6),p.535-540和OpticsCommunications,2001,200(1-6),p.261-269对偶氮染料及其与甲基丙烯酸甲酯掺杂制备成膜后的非线性光学性能进行了报道;国内北京大学物理系利用飞秒超外差光克尔方法测量了一种偶氮染料(噻唑-偶氮-间二乙胺苯酚)及其Cu和Co络合物的三阶非线性光学系数;西安交通大学进行了含有醛基的偶氮苯的合成及其三阶非线性的研究。
众所周知,有机小分子在化学稳定性、机械强度及加工性能等方面均存在很大的缺陷,因此聚合物非线性光学材料的研究越来越受到人们的关注。但由于偶氮化合物溶解性差、聚合活性低、空间位阻大等原因,对偶氮单体的聚合物尤其是均聚物研究较少,大多数人研究仍然局限于小分子偶氮化合物。现有的报道中,发光学报,2002,Vol.23,No.2,p.179-181报道了易文辉等采用接枝共聚的方法合成了一种具有偶氮侧基的聚氨酯材料;光电子·激光,2001,Vol.12,No.7报道了偶氮液晶聚合物的三阶非线性光学特性。但到目前为止,未见报道有通过原子转移自由基聚合实现聚合得到分子量可控并具有优良三阶非线性光学性能的偶氮侧链型均聚物。
发明内容
本发明目的是提供一种分子内具有推拉电子结构的偶氮苯类化合物并引入到丙烯酸酯的侧链中,以其作为功能性单体通过原子转移自由基聚合的方法实现聚合,得到分子量可控、分子量分布较窄的具有三阶非线性光学性能的均聚物。
为达到上述目的,本发明采用的技术方案是:一种三阶非线性光学材料单体,由下述通式(I)表示,
式中,R表示硝基、氰基、氯、溴、甲氧基、羧基或磺酸基,R’表示氢或甲基。
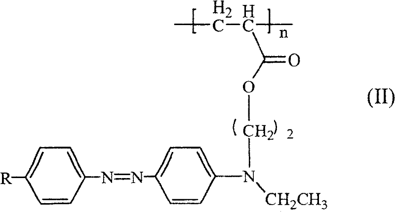
一种三阶非线性光学材料聚合物,由下述通式(II)表示,
式中,R表示硝基、氰基、氯、溴、甲氧基、羧基或磺酸基,n为10~50的整数。
其中,通式(I)表示的单体的制备方法,包括以下步骤,以摩尔比计:
a.制备对取代基苯胺的重氮盐溶液,所述对取代基苯胺选自对硝基苯胺、对氰基苯胺、对氯苯胺、对溴苯胺、对甲氧基苯胺、对羧基苯胺或对磺酸基苯胺;
b.以N,N-乙基羟乙基苯胺为偶合试剂,在弱碱性下进行重氮偶合反应,N,N-乙基羟乙基苯胺的弱碱性溶液置于冰浴中冷却,搅拌下将步骤a获得的重氮盐溶液滴入,保持反应温度低于5℃,滴加完毕继续搅拌0.5~1小时,再保温4~8小时,将反应液抽滤并用去离子水洗涤得到偶氮中间体;
c.取一份干燥后的偶氮中间体溶入四氢呋喃中,加1~2份的三乙胺,滴加2~3份的(甲基)丙烯酰氯,在冰浴下反应1~3小时,再在常温下反应6~10小时,反应液过滤,滤液浓缩后倒入去离子水中析出单体粗产物。
上述技术方案中,步骤a中,重氮盐溶液的制备是现有技术,例如,可以将一份对取代基苯胺制成盐酸盐溶液于冰浴中冷却,搅拌下滴加1.1~1.2份的15~20%的亚硝酸钠水溶液,滴完后继续搅拌半小时即得到重氮盐溶液。步骤b中的重氮偶合反应在弱碱性下进行,一般通过加入NaOH溶液使反应液呈弱碱性。步骤c中,三乙胺为附酸剂,反应获得的单体粗产物可以进行两次重结晶,以获得纯净单体。
通式(II)表示的聚合物的制备方法,采用通式(I)表示的化合物作为单体,以摩尔比计,加入单体用量0.5~5%的引发剂、单体用量0.5~5%的催化剂和单体用量0.5~10%的配体,加溶剂搅拌均匀后除尽聚合管中氧气,封管,置油浴中进行原子转移自由基聚合反应(ATRP),油浴温度为60-100℃,反应时间2-7天,用甲醇作沉析剂析出聚合物,再用甲醇洗涤除去残余单体,即得所需聚合物。
上述技术方案中,所述引发剂选自α-溴代异丁酸乙酯(EBiB)、苄氯、对氯甲基苯甲酸或5-氯甲基-2-甲氧基苯甲醛;所述催化剂选自氯化亚铜或溴化亚铜;所述配体选自五甲基-二亚乙基三胺(PMDETA)或2,2’-联吡啶(bpy)。
所述溶剂选自环己酮、N,N’-二甲基甲酰胺、苯甲醚、甲苯或丙酮。
上述制备方法可以表示如下:
R=-NO2,-CN,-Cl,-Br,-OCH3,COOH,SO3H R′=-H,-CH3
优选的制备方法可以是:将一份对取代基苯胺制成盐酸盐溶液于冰浴中冷却。搅拌下滴加1.1~1.2份的15~20%亚硝酸钠水溶液,滴完后继续搅拌半小时即得到重氮盐溶液;取一份N,N-乙基羟乙基苯胺和一份氢氧化钠加水溶解,置冰浴中冷却,搅拌下将重氮盐慢慢滴入,保持反应温度低于5℃。滴加完毕继续反应0.5~1小时,保温4-8小时,将反应液抽滤并用大量去离子水洗涤得到偶氮中间体;取一份干燥后的偶氮中间体溶入四氢呋喃中,加1~2份的三乙胺,滴加2~3份的(甲基)丙烯酰氯,在冰浴下反应1~3小时,再在常温下反应6~10小时,反应液过滤,滤液浓缩后倒入去离子水中析出单体粗产物,两次重结晶后得到纯净单体;按上述设定配比称取单体、引发剂、催化剂和配体,加溶剂搅拌均匀后除尽聚合管中氧气,封管,置油浴中进行原子转移自由基聚合2~7天;用甲醇作沉析剂析出聚合物,再用大量甲醇洗涤除去残余单体。
由于上述技术方案运用,本发明与现有技术相比具有下列优点:
1.由于单体分子所含偶氮苯基团两端取代基的推、拉电子效应而使得分子内电子流动性明显增强,其三阶非线性响应较强,由其均聚所得的聚合物链中每条侧链上都含有推拉型电子结构的偶氮侧链,在聚合物分子链中形成良好的电子流动性,从而对聚合物的宏观三阶非线性光学效应有显著的增强作用,因此聚合物所表现的宏观的三阶非线性极化率系数较高。
2.聚合物因主链为丙烯酸酯而表现良好的溶解性和成膜性,即使引入偶氮侧链也仍然能够制备出均匀透明的膜,这解决了偶氮化合物在制备聚合物材料过程中溶解性和相容性差的问题,且将聚合物制成膜后比其在溶液中表现出更高的三阶非线性极化率系数,也为其在光学器件上的应用提供基础。
3.通过原子转移自由基聚合方法实现聚合,所得聚合物分子量可控,分子量分布窄,并可以作为大分子引发剂进行进一步的嵌段等聚合反应以合成性能更优良的聚合物,可以通过原子转移自由基聚合调控分子量来调节聚合物链的共轭长度,从而可以调节聚合物三阶非线性光学性能,解决了因接枝率所造成的聚合物链中功能基团含量低而限制了聚合物性能显著提高的问题。
具体实施方式
下面结合实施例对本发明作进一步描述:
实施例一:
1.取2~3g对硝基苯胺制成盐酸盐溶液后置冰浴冷却,滴加15~20%的亚硝酸钠水溶液10g,在冰浴下反应半小时得到对硝基苯胺重氮盐溶液。取N,N-乙基羟乙基苯胺3~5g、氢氧化钠3~5g,加50~100g水搅拌溶解,置冰浴中冷却,以大约每2-4秒钟一滴的速度滴加重氮盐溶液,滴加完毕继续反应0.5~1小时,保温4~8小时。将反应液抽滤并用大量去离子水洗涤得到偶氮中间体。用四波混频方法测得该中间体的三阶非线性极化率系数为6.1~6.3×10-11esu。
2.取上述对硝基偶氮中间体3~4g,溶于40~50ml四氢呋喃中,加2~3ml三乙胺,在冰浴下搅拌均匀。取1~2g丙烯酰氯慢慢滴加到上述溶液中,在冰浴下反应1~3小时后继续在常温下搅拌6~10小时。将反应液过滤,滤液浓缩后倒入去离子水中析出对硝基偶氮单体的粗产物,重结晶两次得到纯净单体。用四波混频方法测得该单体的三阶非线性极化率系数为6.9-7.2×10-11esu。
3.在聚合管中加入对硝基偶氮单体170~200mg,按照单体/α-溴代异丁酸乙酯/溴化亚铜/五甲基-二亚乙基三胺=40~60/1/1/1的配比称取其它的配料,加入环己酮1~2ml,搅匀后除尽管中氧气并充氮气保护,封管后置78~82℃油浴中反应4天。聚合液用甲醇沉析并洗涤,抽滤烘干得到聚合产物。由凝胶渗透色谱测得该聚合物的分子量为4000~4200,分子量分布为1.28~1.30;用四波混频方法测得其三阶非线性极化率系数为8.7~8.9×10-11esu。
4.在聚合管中加入对硝基偶氮单体340~400mg,按照单体/α-溴代异丁酸乙酯/溴化亚铜/五甲基-二亚乙基三胺=80~120/1/1/1的配比称取其它的配料,加入环己酮2-4ml,搅匀后除尽管中氧气并充氮气保护,封管后置78~82℃油浴中反应4天。聚合液用甲醇沉析并洗涤,抽滤烘干得到聚合产物。由凝胶渗透色谱测得该聚合物的分子量为5200~5450,分子量分布为1.30~1.32;用四波混频方法测得其三阶非线性极化率系数为9.6~9.8×10-11esu。
实施例二:
1.取2~3g对甲氧基苯胺制成盐酸盐后置冰浴冷却,滴加15~20%亚硝酸钠水溶液10g,在冰浴下反应半小时得到对甲氧基苯胺重氮盐溶液。取N,N-乙基羟乙基苯胺3~5g、氢氧化钠3~5g,加50~100g水搅拌溶解,置冰浴中冷却,滴加上述重氮盐溶液,滴加完毕继续反应0.5~1小时,保温4~8小时。将反应液抽滤并用大量去离子水洗涤得到对甲氧基偶氮中间体。用四波混频方法测得该中间体的三阶非线性极化率系数为4.2~4.4×10-11esu。
2.取对甲氧基偶氮中间体3~4g,溶于20~30ml四氢呋喃,加2~3ml三乙胺,在冰浴下搅拌均匀。取1~2g丙烯酰氯慢慢滴加到上述溶液中,在冰浴下反应1~3小时后继续在常温下搅拌6~10小时。将反应液过滤,滤液浓缩后倒入去离子水中析出对硝基偶氮单体的粗产物,重结晶两次得到纯净单体。用四波混频方法测得该单体的三阶非线性极化率系数为5.6~5.8×10-11esu。
3.在聚合管中加入对甲氧基偶氮单体160~190mg,按照单体/α-溴代异丁酸乙酯/溴化亚铜/五甲基-二亚乙基三胺=40~60/1/1/1的配比称取其它配料,加环己酮1~2ml,搅匀后除尽管中氧气并充氮气保护,封管后置78~82℃油浴中反应4天。聚合液用甲醇沉析并洗涤,抽滤烘干得到聚合产物。由凝胶渗透色谱测得该聚合物的分子量为4500~4800,分子量分布为1.28~1.31;用四波混频方法测得其三阶非线性极化率系数为6.8~7.0×10-11esu。
4.在聚合管中加入对甲氧基偶氮单体160~190mg,按单体/对氯甲基苯甲酸/氯化亚铜/五甲基-二亚乙基三胺=40~60/1/1/1的配比称取其它配料,加环己酮1~2ml,搅匀后除尽管中氧气并充氮气保护,封管后置78~82℃油浴中反应4天。聚合液用甲醇沉析并洗涤,抽滤烘干得到聚合产物。由凝胶渗透色谱测得该聚合物的分子量为4700~4900,分子量分布为1.26~1.28;用四波混频方法测得其三阶非线性极化率系数为7.2~7.4×10-11esu。
实施例三:
1.取2~3g对氯苯胺制成盐酸盐溶液后后置冰浴冷却,滴加15~20%亚硝酸钠水溶液10g,在冰浴下反应半小时得到对氯苯胺重氮盐溶液。取N,N-乙基羟乙基苯胺3~5g、氢氧化钠3~5g,加50~100g水搅拌溶解,置冰浴中冷却,滴加上述重氮盐溶液,滴加完毕继续反应0.5~1小时,保温4~8小时。将反应液抽滤并用大量去离子水洗涤得到对氯偶氮中间体。用四波混频方法测得该中间体的-个试样的三阶非线性极化率系数为4.5~4.7×10-11esu。
2.取对氯偶氮中间体3~4g,溶于30~40ml四氢呋喃,加2~3ml三乙胺,在冰浴下搅拌均匀。取1~2g丙烯酰氯慢慢滴加到上述溶液中,在冰浴下反应1~3小时后继续在常温下搅拌6~10小时。将反应液过滤,滤液浓缩后倒入去离子水中析出对硝基偶氮单体的粗产物,重结晶两次得到纯净单体。用四波混频方法测得该单体的三阶非线性极化率系数为5.7~5.9×10-11esu。
3.在聚合管中加入对氯偶氮单体170~200mg,按照单体/α-溴代异丁酸乙酯/溴化亚铜/五甲基-二亚乙基三胺=40~60/1/1/1的配比称取其它配料,加环己酮1~2ml,搅匀后除尽管中氧气并充氮气保护,封管后置98~102℃油浴中反应4天。聚合液用甲醇沉析并洗涤,抽滤烘干得到聚合产物。用凝胶渗透色谱测得该聚合物的分子量为4700~4800,分子量分布为1.31~1.33;用四波混频方法测得其三阶非线性极化率系数为6.9~7.1×10-11esu。
4.在聚合管中加入对氯偶氮单体170~200mg,按照单体/α-溴代异丁酸乙酯/溴化亚铜/联吡啶=40~60/1/1/1的配比称取其它配料,加环己酮1~2ml,搅匀后除尽管中氧气并充氮气保护,封管后置98~102℃油浴中反应4天。聚合液用甲醇沉析并洗涤,抽滤烘干得到聚合产物。用凝胶渗透色谱测得该聚合物的一个试样的分子量4300~4500,分子量分布1.23~1.25;用四波混频方法测得其三阶非线性极化率系数为6.8~7.0×10-11esu。
实施例四:
1.取实例一合成的对硝基偶氮中间体3~4g,溶于30~40ml四氢呋喃,加2~3ml三乙胺,在冰浴下搅拌均匀。取1~2g甲基丙烯酰氯慢慢滴加到上述溶液中,在冰浴下反应1~3小时后继续在常温下搅拌6~10小时。将反应液过滤,滤液浓缩后倒入去离子水中析出对硝基偶氮单体的粗产物,重结晶两次得到纯净单体。用四波混频测得该单体的三阶非线性极化率系数为7.1~7.3×10-11esu。
2.在聚合管中加入对硝基偶氮单体170~200mg,按照单体/苄氯/氯化亚铜/五甲基-二亚乙基三胺=40~60/1/1/1的配比称取其它配料,加环己酮1~2ml,搅匀后除尽管中氧气并充氮气保护,封管后置88~92℃油浴中反应4天。聚合液用甲醇沉析并洗涤,抽滤烘干得到聚合产物。由凝胶渗透色谱测得该聚合物的分子量4300~4500,分子量分布1.29~1.31;用四波混频方法测得其三阶非线性极化率系数为8.8~9.0×10-11esu。
3.在聚合管中加入对硝基偶氮单体170~200mg,按照单体/苄氯/氯化亚铜/联吡啶=40~60/1/1/1的配比称取其它配料,加N,N’-二甲基甲酰胺1~2ml,搅匀后除尽管中氧气并充氮气保护,封管后置88~92℃油浴中反应4天。聚合液用甲醇沉析并洗涤,抽滤烘干得到聚合产物。由凝胶渗透色谱测得该聚合物的一个试样的分子量3950~4100,分子量分布1.31~1.33;由四波混频方法测得其三阶非线性极化率系数为8.6~8.8×10-11esu。
Claims (1)
Priority Applications (1)
| Application Number | Priority Date | Filing Date | Title |
|---|---|---|---|
| CN200610161422A CN1975552B (zh) | 2006-12-11 | 2006-12-11 | 三阶非线性光学材料单体、其聚合物及制备 |
Applications Claiming Priority (1)
| Application Number | Priority Date | Filing Date | Title |
|---|---|---|---|
| CN200610161422A CN1975552B (zh) | 2006-12-11 | 2006-12-11 | 三阶非线性光学材料单体、其聚合物及制备 |
Publications (2)
| Publication Number | Publication Date |
|---|---|
| CN1975552A CN1975552A (zh) | 2007-06-06 |
| CN1975552B true CN1975552B (zh) | 2010-05-19 |
Family
ID=38125708
Family Applications (1)
| Application Number | Title | Priority Date | Filing Date |
|---|---|---|---|
| CN200610161422A Active CN1975552B (zh) | 2006-12-11 | 2006-12-11 | 三阶非线性光学材料单体、其聚合物及制备 |
Country Status (1)
| Country | Link |
|---|---|
| CN (1) | CN1975552B (zh) |
Cited By (1)
| Publication number | Priority date | Publication date | Assignee | Title |
|---|---|---|---|---|
| KR101796796B1 (ko) * | 2009-02-09 | 2017-11-10 | 메르크 파텐트 게엠베하 | 전기영동 디스플레이용 착색 입자 |
Families Citing this family (6)
| Publication number | Priority date | Publication date | Assignee | Title |
|---|---|---|---|---|
| CN101805421B (zh) * | 2010-03-12 | 2011-12-21 | 江苏大学 | 一种偶氮苯旋光聚合物聚丙烯酸酯的制备方法 |
| CN102127222B (zh) * | 2010-11-18 | 2013-10-30 | 华东师范大学 | 一种偶氮苯聚肽及其制备方法和应用 |
| CN102093569B (zh) * | 2010-12-10 | 2012-07-04 | 华东理工大学 | 一种偶氮苯聚肽嵌段共聚物及其制备方法和应用 |
| CN104045754B (zh) * | 2014-06-18 | 2016-08-24 | 北京科技大学 | 一种可见光响应性偶氮苯聚合物的合成方法 |
| CN110305038B (zh) * | 2019-07-18 | 2022-06-24 | 郑州大学 | 4-氨甲基间苯二酸酯-2,3二甲基偶氮苯及其制备方法和应用 |
| CN115466220A (zh) * | 2022-08-10 | 2022-12-13 | 盐城工学院 | 一种具有三阶非线性光学性能的双偶氮五元唑环单体及其聚合物和制备方法 |
-
2006
- 2006-12-11 CN CN200610161422A patent/CN1975552B/zh active Active
Non-Patent Citations (4)
| Title |
|---|
| 方敏,徐洪耀,光善仪,唐本忠,蒋民华.偶氮苯侧链结构对据丙烯酸酯三阶非线性光学性能影响.高分子学报 3.2006,(3),443-449. |
| 方敏,徐洪耀,光善仪,唐本忠,蒋民华.偶氮苯侧链结构对据丙烯酸酯三阶非线性光学性能影响.高分子学报 3.2006,(3),443-449. * |
| 范广宇,赵晓光,周恩乐.新型侧链液晶M5MPP/MMEANB高聚物的合成与表征.高等学校化学报22 2.2001,22(2),307-311. |
| 范广宇,赵晓光,周恩乐.新型侧链液晶M5MPP/MMEANB高聚物的合成与表征.高等学校化学报22 2.2001,22(2),307-311. * |
Cited By (1)
| Publication number | Priority date | Publication date | Assignee | Title |
|---|---|---|---|---|
| KR101796796B1 (ko) * | 2009-02-09 | 2017-11-10 | 메르크 파텐트 게엠베하 | 전기영동 디스플레이용 착색 입자 |
Also Published As
| Publication number | Publication date |
|---|---|
| CN1975552A (zh) | 2007-06-06 |
Similar Documents
| Publication | Publication Date | Title |
|---|---|---|
| Englert et al. | Click chemistry as a powerful tool for the construction of functional poly (p-phenyleneethynylene) s: comparison of pre-and postfunctionalization schemes | |
| EP2397468A1 (en) | Novel crosslinked hexaaryl bisimidazole compound and derivative thereof, method for producing the compound and precursor compound to be used in the production method | |
| CN1975552B (zh) | 三阶非线性光学材料单体、其聚合物及制备 | |
| Georgi et al. | Synthesis of azobenzene-containing polymers and investigation of their substituent-dependent isomerisation behaviour | |
| WO2022253343A1 (zh) | 一种单一分子量共轭芴 - 偶氮苯精确序列齐聚物及其合成方法与应用 | |
| CN100569817C (zh) | 一种组合物及其应用 | |
| JPH0641447A (ja) | 非線形光学特性を有する化合物 | |
| Yang et al. | Novel triphenylamine-based polyamides: Efficient preparation via benzoxazine-isocyanide-chemistry at room temperature and electrochromic properties investigation | |
| CN101864042B (zh) | 一类水溶性的含芴接枝共轭聚合物及其制备和应用方法 | |
| CN107099006A (zh) | 一种具有液晶及光记忆储存型梳状高分子材料的制备方法 | |
| CN114149527B (zh) | 一种在空气氛围中实现可控自由基聚合的方法及其应用 | |
| Cojocariu et al. | Synthesis and optical storage properties of a novel polymethacrylate with benzothiazole azo chromophore in the side chain | |
| JPWO2007100136A1 (ja) | 液晶性組成物 | |
| US5359008A (en) | Second-order nonlinear optical polymer and method for producing the same | |
| CN100540529C (zh) | 具有三阶非线性光学性能的偶氮类单体及聚合物 | |
| CN104910040A (zh) | 含邻位四氟偶氮苯结构的甲基丙烯酸酯、其聚合物及制备方法和用途 | |
| CN116854652A (zh) | 一种自交联有机电光分子玻璃材料及其制备方法和应用 | |
| CN108863840A (zh) | 基于偶氮苯的氟化衍生物及其制备方法 | |
| CN106905354B (zh) | 一种基于乙炔基桥联的D-π-A-π-D型BODIPY类衍生物及其制备方法 | |
| KR100814315B1 (ko) | 신규한 다분기 고분자 | |
| JP2813627B2 (ja) | 2次非線形光学材料およびその製造方法 | |
| CN102660001A (zh) | 共轭聚合物凝胶剂聚苯撑乙炔的合成及其凝胶的制备方法 | |
| CN113698306B (zh) | 一种含对称双荧光团结构的二胺化合物及其制备和应用、聚酰胺和聚酰亚胺及其制备和应用 | |
| Caruso et al. | Side chain organometallic polymers containing cyclopalladated potentially second order nonlinear optical active fragments as pendants | |
| CN118185222A (zh) | 一类基于sbs的动态可逆交联发光液晶弹性体及其制备方法 |
Legal Events
| Date | Code | Title | Description |
|---|---|---|---|
| C06 | Publication | ||
| PB01 | Publication | ||
| C10 | Entry into substantive examination | ||
| SE01 | Entry into force of request for substantive examination | ||
| C14 | Grant of patent or utility model | ||
| GR01 | Patent grant |



