WO2010053572A2 - Aminoalcohol lipidoids and uses thereof - Google Patents
Aminoalcohol lipidoids and uses thereof Download PDFInfo
- Publication number
- WO2010053572A2 WO2010053572A2 PCT/US2009/006018 US2009006018W WO2010053572A2 WO 2010053572 A2 WO2010053572 A2 WO 2010053572A2 US 2009006018 W US2009006018 W US 2009006018W WO 2010053572 A2 WO2010053572 A2 WO 2010053572A2
- Authority
- WO
- WIPO (PCT)
- Prior art keywords
- compound
- unsubstituted
- substituted
- unbranched
- branched
- Prior art date
- Legal status (The legal status is an assumption and is not a legal conclusion. Google has not performed a legal analysis and makes no representation as to the accuracy of the status listed.)
- Ceased
Links
- 0 CCC(C)(C)CN(*)CC(C)(C)CC(C*)N(*)C* Chemical compound CCC(C)(C)CN(*)CC(C)(C)CC(C*)N(*)C* 0.000 description 18
- KVLHRMQNRDJRKW-GSVOUGTGSA-N FC(C[C@H]1OC1)(C(C(C(C(C(C(C(C(C(F)(F)F)(F)F)(F)F)(F)F)(F)F)(F)F)(F)F)(F)F)(F)F)F Chemical compound FC(C[C@H]1OC1)(C(C(C(C(C(C(C(C(C(F)(F)F)(F)F)(F)F)(F)F)(F)F)(F)F)(F)F)(F)F)(F)F)F KVLHRMQNRDJRKW-GSVOUGTGSA-N 0.000 description 2
- HMXSIEIEXLGIET-GSVOUGTGSA-N FC(C[C@H]1OC1)(C(C(C(C(C(C(C(F)(F)F)(F)F)(F)F)(F)F)(F)F)(F)F)(F)F)F Chemical compound FC(C[C@H]1OC1)(C(C(C(C(C(C(C(F)(F)F)(F)F)(F)F)(F)F)(F)F)(F)F)(F)F)F HMXSIEIEXLGIET-GSVOUGTGSA-N 0.000 description 2
- SNODNCWRKYWQGU-MRVPVSSYSA-N CC(C)CC[C@@H](C)CON Chemical compound CC(C)CC[C@@H](C)CON SNODNCWRKYWQGU-MRVPVSSYSA-N 0.000 description 1
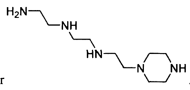
- LPOUQGUYVMSQOH-UHFFFAOYSA-N NCCNCCNCCN1CCNCC1 Chemical compound NCCNCCNCCN1CCNCC1 LPOUQGUYVMSQOH-UHFFFAOYSA-N 0.000 description 1
Classifications
-
- C—CHEMISTRY; METALLURGY
- C07—ORGANIC CHEMISTRY
- C07D—HETEROCYCLIC COMPOUNDS
- C07D295/00—Heterocyclic compounds containing polymethylene-imine rings with at least five ring members, 3-azabicyclo [3.2.2] nonane, piperazine, morpholine or thiomorpholine rings, having only hydrogen atoms directly attached to the ring carbon atoms
- C07D295/04—Heterocyclic compounds containing polymethylene-imine rings with at least five ring members, 3-azabicyclo [3.2.2] nonane, piperazine, morpholine or thiomorpholine rings, having only hydrogen atoms directly attached to the ring carbon atoms with substituted hydrocarbon radicals attached to ring nitrogen atoms
- C07D295/12—Heterocyclic compounds containing polymethylene-imine rings with at least five ring members, 3-azabicyclo [3.2.2] nonane, piperazine, morpholine or thiomorpholine rings, having only hydrogen atoms directly attached to the ring carbon atoms with substituted hydrocarbon radicals attached to ring nitrogen atoms substituted by singly or doubly bound nitrogen atoms
- C07D295/125—Heterocyclic compounds containing polymethylene-imine rings with at least five ring members, 3-azabicyclo [3.2.2] nonane, piperazine, morpholine or thiomorpholine rings, having only hydrogen atoms directly attached to the ring carbon atoms with substituted hydrocarbon radicals attached to ring nitrogen atoms substituted by singly or doubly bound nitrogen atoms with the ring nitrogen atoms and the substituent nitrogen atoms attached to the same carbon chain, which is not interrupted by carbocyclic rings
- C07D295/13—Heterocyclic compounds containing polymethylene-imine rings with at least five ring members, 3-azabicyclo [3.2.2] nonane, piperazine, morpholine or thiomorpholine rings, having only hydrogen atoms directly attached to the ring carbon atoms with substituted hydrocarbon radicals attached to ring nitrogen atoms substituted by singly or doubly bound nitrogen atoms with the ring nitrogen atoms and the substituent nitrogen atoms attached to the same carbon chain, which is not interrupted by carbocyclic rings to an acyclic saturated chain
-
- C—CHEMISTRY; METALLURGY
- C07—ORGANIC CHEMISTRY
- C07C—ACYCLIC OR CARBOCYCLIC COMPOUNDS
- C07C217/00—Compounds containing amino and etherified hydroxy groups bound to the same carbon skeleton
- C07C217/02—Compounds containing amino and etherified hydroxy groups bound to the same carbon skeleton having etherified hydroxy groups and amino groups bound to acyclic carbon atoms of the same carbon skeleton
- C07C217/04—Compounds containing amino and etherified hydroxy groups bound to the same carbon skeleton having etherified hydroxy groups and amino groups bound to acyclic carbon atoms of the same carbon skeleton the carbon skeleton being acyclic and saturated
- C07C217/42—Compounds containing amino and etherified hydroxy groups bound to the same carbon skeleton having etherified hydroxy groups and amino groups bound to acyclic carbon atoms of the same carbon skeleton the carbon skeleton being acyclic and saturated having etherified hydroxy groups and at least two amino groups bound to the carbon skeleton
-
- A—HUMAN NECESSITIES
- A61—MEDICAL OR VETERINARY SCIENCE; HYGIENE
- A61K—PREPARATIONS FOR MEDICAL, DENTAL OR TOILETRY PURPOSES
- A61K31/00—Medicinal preparations containing organic active ingredients
- A61K31/70—Carbohydrates; Sugars; Derivatives thereof
- A61K31/7088—Compounds having three or more nucleosides or nucleotides
-
- A—HUMAN NECESSITIES
- A61—MEDICAL OR VETERINARY SCIENCE; HYGIENE
- A61K—PREPARATIONS FOR MEDICAL, DENTAL OR TOILETRY PURPOSES
- A61K38/00—Medicinal preparations containing peptides
- A61K38/02—Peptides of undefined number of amino acids; Derivatives thereof
-
- A—HUMAN NECESSITIES
- A61—MEDICAL OR VETERINARY SCIENCE; HYGIENE
- A61K—PREPARATIONS FOR MEDICAL, DENTAL OR TOILETRY PURPOSES
- A61K47/00—Medicinal preparations characterised by the non-active ingredients used, e.g. carriers or inert additives; Targeting or modifying agents chemically bound to the active ingredient
- A61K47/06—Organic compounds, e.g. natural or synthetic hydrocarbons, polyolefins, mineral oil, petrolatum or ozokerite
- A61K47/16—Organic compounds, e.g. natural or synthetic hydrocarbons, polyolefins, mineral oil, petrolatum or ozokerite containing nitrogen, e.g. nitro-, nitroso-, azo-compounds, nitriles, cyanates
-
- A—HUMAN NECESSITIES
- A61—MEDICAL OR VETERINARY SCIENCE; HYGIENE
- A61K—PREPARATIONS FOR MEDICAL, DENTAL OR TOILETRY PURPOSES
- A61K47/00—Medicinal preparations characterised by the non-active ingredients used, e.g. carriers or inert additives; Targeting or modifying agents chemically bound to the active ingredient
- A61K47/06—Organic compounds, e.g. natural or synthetic hydrocarbons, polyolefins, mineral oil, petrolatum or ozokerite
- A61K47/16—Organic compounds, e.g. natural or synthetic hydrocarbons, polyolefins, mineral oil, petrolatum or ozokerite containing nitrogen, e.g. nitro-, nitroso-, azo-compounds, nitriles, cyanates
- A61K47/18—Amines; Amides; Ureas; Quaternary ammonium compounds; Amino acids; Oligopeptides having up to five amino acids
-
- A—HUMAN NECESSITIES
- A61—MEDICAL OR VETERINARY SCIENCE; HYGIENE
- A61K—PREPARATIONS FOR MEDICAL, DENTAL OR TOILETRY PURPOSES
- A61K47/00—Medicinal preparations characterised by the non-active ingredients used, e.g. carriers or inert additives; Targeting or modifying agents chemically bound to the active ingredient
- A61K47/50—Medicinal preparations characterised by the non-active ingredients used, e.g. carriers or inert additives; Targeting or modifying agents chemically bound to the active ingredient the non-active ingredient being chemically bound to the active ingredient, e.g. polymer-drug conjugates
- A61K47/51—Medicinal preparations characterised by the non-active ingredients used, e.g. carriers or inert additives; Targeting or modifying agents chemically bound to the active ingredient the non-active ingredient being chemically bound to the active ingredient, e.g. polymer-drug conjugates the non-active ingredient being a modifying agent
- A61K47/54—Medicinal preparations characterised by the non-active ingredients used, e.g. carriers or inert additives; Targeting or modifying agents chemically bound to the active ingredient the non-active ingredient being chemically bound to the active ingredient, e.g. polymer-drug conjugates the non-active ingredient being a modifying agent the modifying agent being an organic compound
-
- A—HUMAN NECESSITIES
- A61—MEDICAL OR VETERINARY SCIENCE; HYGIENE
- A61K—PREPARATIONS FOR MEDICAL, DENTAL OR TOILETRY PURPOSES
- A61K47/00—Medicinal preparations characterised by the non-active ingredients used, e.g. carriers or inert additives; Targeting or modifying agents chemically bound to the active ingredient
- A61K47/50—Medicinal preparations characterised by the non-active ingredients used, e.g. carriers or inert additives; Targeting or modifying agents chemically bound to the active ingredient the non-active ingredient being chemically bound to the active ingredient, e.g. polymer-drug conjugates
- A61K47/51—Medicinal preparations characterised by the non-active ingredients used, e.g. carriers or inert additives; Targeting or modifying agents chemically bound to the active ingredient the non-active ingredient being chemically bound to the active ingredient, e.g. polymer-drug conjugates the non-active ingredient being a modifying agent
- A61K47/54—Medicinal preparations characterised by the non-active ingredients used, e.g. carriers or inert additives; Targeting or modifying agents chemically bound to the active ingredient the non-active ingredient being chemically bound to the active ingredient, e.g. polymer-drug conjugates the non-active ingredient being a modifying agent the modifying agent being an organic compound
- A61K47/545—Heterocyclic compounds
-
- A—HUMAN NECESSITIES
- A61—MEDICAL OR VETERINARY SCIENCE; HYGIENE
- A61K—PREPARATIONS FOR MEDICAL, DENTAL OR TOILETRY PURPOSES
- A61K48/00—Medicinal preparations containing genetic material which is inserted into cells of the living body to treat genetic diseases; Gene therapy
- A61K48/0008—Medicinal preparations containing genetic material which is inserted into cells of the living body to treat genetic diseases; Gene therapy characterised by an aspect of the 'non-active' part of the composition delivered, e.g. wherein such 'non-active' part is not delivered simultaneously with the 'active' part of the composition
- A61K48/0025—Medicinal preparations containing genetic material which is inserted into cells of the living body to treat genetic diseases; Gene therapy characterised by an aspect of the 'non-active' part of the composition delivered, e.g. wherein such 'non-active' part is not delivered simultaneously with the 'active' part of the composition wherein the non-active part clearly interacts with the delivered nucleic acid
-
- A—HUMAN NECESSITIES
- A61—MEDICAL OR VETERINARY SCIENCE; HYGIENE
- A61K—PREPARATIONS FOR MEDICAL, DENTAL OR TOILETRY PURPOSES
- A61K9/00—Medicinal preparations characterised by special physical form
- A61K9/10—Dispersions; Emulsions
- A61K9/107—Emulsions ; Emulsion preconcentrates; Micelles
-
- A—HUMAN NECESSITIES
- A61—MEDICAL OR VETERINARY SCIENCE; HYGIENE
- A61K—PREPARATIONS FOR MEDICAL, DENTAL OR TOILETRY PURPOSES
- A61K9/00—Medicinal preparations characterised by special physical form
- A61K9/10—Dispersions; Emulsions
- A61K9/127—Synthetic bilayered vehicles, e.g. liposomes or liposomes with cholesterol as the only non-phosphatidyl surfactant
- A61K9/1271—Non-conventional liposomes, e.g. PEGylated liposomes or liposomes coated or grafted with polymers
-
- A—HUMAN NECESSITIES
- A61—MEDICAL OR VETERINARY SCIENCE; HYGIENE
- A61K—PREPARATIONS FOR MEDICAL, DENTAL OR TOILETRY PURPOSES
- A61K9/00—Medicinal preparations characterised by special physical form
- A61K9/48—Preparations in capsules, e.g. of gelatin, of chocolate
- A61K9/50—Microcapsules having a gas, liquid or semi-solid filling; Solid microparticles or pellets surrounded by a distinct coating layer, e.g. coated microspheres, coated drug crystals
- A61K9/51—Nanocapsules; Nanoparticles
- A61K9/5107—Excipients; Inactive ingredients
- A61K9/5123—Organic compounds, e.g. fats, sugars
-
- A—HUMAN NECESSITIES
- A61—MEDICAL OR VETERINARY SCIENCE; HYGIENE
- A61P—SPECIFIC THERAPEUTIC ACTIVITY OF CHEMICAL COMPOUNDS OR MEDICINAL PREPARATIONS
- A61P25/00—Drugs for disorders of the nervous system
- A61P25/18—Antipsychotics, i.e. neuroleptics; Drugs for mania or schizophrenia
-
- A—HUMAN NECESSITIES
- A61—MEDICAL OR VETERINARY SCIENCE; HYGIENE
- A61P—SPECIFIC THERAPEUTIC ACTIVITY OF CHEMICAL COMPOUNDS OR MEDICINAL PREPARATIONS
- A61P25/00—Drugs for disorders of the nervous system
- A61P25/24—Antidepressants
-
- A—HUMAN NECESSITIES
- A61—MEDICAL OR VETERINARY SCIENCE; HYGIENE
- A61P—SPECIFIC THERAPEUTIC ACTIVITY OF CHEMICAL COMPOUNDS OR MEDICINAL PREPARATIONS
- A61P29/00—Non-central analgesic, antipyretic or antiinflammatory agents, e.g. antirheumatic agents; Non-steroidal antiinflammatory drugs [NSAID]
-
- A—HUMAN NECESSITIES
- A61—MEDICAL OR VETERINARY SCIENCE; HYGIENE
- A61P—SPECIFIC THERAPEUTIC ACTIVITY OF CHEMICAL COMPOUNDS OR MEDICINAL PREPARATIONS
- A61P31/00—Antiinfectives, i.e. antibiotics, antiseptics, chemotherapeutics
- A61P31/04—Antibacterial agents
-
- A—HUMAN NECESSITIES
- A61—MEDICAL OR VETERINARY SCIENCE; HYGIENE
- A61P—SPECIFIC THERAPEUTIC ACTIVITY OF CHEMICAL COMPOUNDS OR MEDICINAL PREPARATIONS
- A61P31/00—Antiinfectives, i.e. antibiotics, antiseptics, chemotherapeutics
- A61P31/12—Antivirals
-
- A—HUMAN NECESSITIES
- A61—MEDICAL OR VETERINARY SCIENCE; HYGIENE
- A61P—SPECIFIC THERAPEUTIC ACTIVITY OF CHEMICAL COMPOUNDS OR MEDICINAL PREPARATIONS
- A61P35/00—Antineoplastic agents
-
- A—HUMAN NECESSITIES
- A61—MEDICAL OR VETERINARY SCIENCE; HYGIENE
- A61P—SPECIFIC THERAPEUTIC ACTIVITY OF CHEMICAL COMPOUNDS OR MEDICINAL PREPARATIONS
- A61P7/00—Drugs for disorders of the blood or the extracellular fluid
- A61P7/10—Antioedematous agents; Diuretics
-
- A—HUMAN NECESSITIES
- A61—MEDICAL OR VETERINARY SCIENCE; HYGIENE
- A61P—SPECIFIC THERAPEUTIC ACTIVITY OF CHEMICAL COMPOUNDS OR MEDICINAL PREPARATIONS
- A61P9/00—Drugs for disorders of the cardiovascular system
- A61P9/12—Antihypertensives
-
- C—CHEMISTRY; METALLURGY
- C07—ORGANIC CHEMISTRY
- C07C—ACYCLIC OR CARBOCYCLIC COMPOUNDS
- C07C215/00—Compounds containing amino and hydroxy groups bound to the same carbon skeleton
- C07C215/02—Compounds containing amino and hydroxy groups bound to the same carbon skeleton having hydroxy groups and amino groups bound to acyclic carbon atoms of the same carbon skeleton
- C07C215/04—Compounds containing amino and hydroxy groups bound to the same carbon skeleton having hydroxy groups and amino groups bound to acyclic carbon atoms of the same carbon skeleton the carbon skeleton being saturated
- C07C215/06—Compounds containing amino and hydroxy groups bound to the same carbon skeleton having hydroxy groups and amino groups bound to acyclic carbon atoms of the same carbon skeleton the carbon skeleton being saturated and acyclic
- C07C215/14—Compounds containing amino and hydroxy groups bound to the same carbon skeleton having hydroxy groups and amino groups bound to acyclic carbon atoms of the same carbon skeleton the carbon skeleton being saturated and acyclic the nitrogen atom of the amino group being further bound to hydrocarbon groups substituted by amino groups
-
- C—CHEMISTRY; METALLURGY
- C07—ORGANIC CHEMISTRY
- C07C—ACYCLIC OR CARBOCYCLIC COMPOUNDS
- C07C217/00—Compounds containing amino and etherified hydroxy groups bound to the same carbon skeleton
- C07C217/02—Compounds containing amino and etherified hydroxy groups bound to the same carbon skeleton having etherified hydroxy groups and amino groups bound to acyclic carbon atoms of the same carbon skeleton
- C07C217/04—Compounds containing amino and etherified hydroxy groups bound to the same carbon skeleton having etherified hydroxy groups and amino groups bound to acyclic carbon atoms of the same carbon skeleton the carbon skeleton being acyclic and saturated
- C07C217/06—Compounds containing amino and etherified hydroxy groups bound to the same carbon skeleton having etherified hydroxy groups and amino groups bound to acyclic carbon atoms of the same carbon skeleton the carbon skeleton being acyclic and saturated having only one etherified hydroxy group and one amino group bound to the carbon skeleton, which is not further substituted
- C07C217/08—Compounds containing amino and etherified hydroxy groups bound to the same carbon skeleton having etherified hydroxy groups and amino groups bound to acyclic carbon atoms of the same carbon skeleton the carbon skeleton being acyclic and saturated having only one etherified hydroxy group and one amino group bound to the carbon skeleton, which is not further substituted the oxygen atom of the etherified hydroxy group being further bound to an acyclic carbon atom
-
- C—CHEMISTRY; METALLURGY
- C12—BIOCHEMISTRY; BEER; SPIRITS; WINE; VINEGAR; MICROBIOLOGY; ENZYMOLOGY; MUTATION OR GENETIC ENGINEERING
- C12N—MICROORGANISMS OR ENZYMES; COMPOSITIONS THEREOF; PROPAGATING, PRESERVING, OR MAINTAINING MICROORGANISMS; MUTATION OR GENETIC ENGINEERING; CULTURE MEDIA
- C12N15/00—Mutation or genetic engineering; DNA or RNA concerning genetic engineering, vectors, e.g. plasmids, or their isolation, preparation or purification; Use of hosts therefor
- C12N15/09—Recombinant DNA-technology
- C12N15/11—DNA or RNA fragments; Modified forms thereof; Non-coding nucleic acids having a biological activity
- C12N15/111—General methods applicable to biologically active non-coding nucleic acids
-
- C—CHEMISTRY; METALLURGY
- C12—BIOCHEMISTRY; BEER; SPIRITS; WINE; VINEGAR; MICROBIOLOGY; ENZYMOLOGY; MUTATION OR GENETIC ENGINEERING
- C12N—MICROORGANISMS OR ENZYMES; COMPOSITIONS THEREOF; PROPAGATING, PRESERVING, OR MAINTAINING MICROORGANISMS; MUTATION OR GENETIC ENGINEERING; CULTURE MEDIA
- C12N15/00—Mutation or genetic engineering; DNA or RNA concerning genetic engineering, vectors, e.g. plasmids, or their isolation, preparation or purification; Use of hosts therefor
- C12N15/09—Recombinant DNA-technology
- C12N15/11—DNA or RNA fragments; Modified forms thereof; Non-coding nucleic acids having a biological activity
- C12N15/113—Non-coding nucleic acids modulating the expression of genes, e.g. antisense oligonucleotides; Antisense DNA or RNA; Triplex- forming oligonucleotides; Catalytic nucleic acids, e.g. ribozymes; Nucleic acids used in co-suppression or gene silencing
- C12N15/1137—Non-coding nucleic acids modulating the expression of genes, e.g. antisense oligonucleotides; Antisense DNA or RNA; Triplex- forming oligonucleotides; Catalytic nucleic acids, e.g. ribozymes; Nucleic acids used in co-suppression or gene silencing against enzymes
-
- C—CHEMISTRY; METALLURGY
- C12—BIOCHEMISTRY; BEER; SPIRITS; WINE; VINEGAR; MICROBIOLOGY; ENZYMOLOGY; MUTATION OR GENETIC ENGINEERING
- C12N—MICROORGANISMS OR ENZYMES; COMPOSITIONS THEREOF; PROPAGATING, PRESERVING, OR MAINTAINING MICROORGANISMS; MUTATION OR GENETIC ENGINEERING; CULTURE MEDIA
- C12N15/00—Mutation or genetic engineering; DNA or RNA concerning genetic engineering, vectors, e.g. plasmids, or their isolation, preparation or purification; Use of hosts therefor
- C12N15/09—Recombinant DNA-technology
- C12N15/87—Introduction of foreign genetic material using processes not otherwise provided for, e.g. co-transformation
- C12N15/88—Introduction of foreign genetic material using processes not otherwise provided for, e.g. co-transformation using microencapsulation, e.g. using amphiphile liposome vesicle
-
- B—PERFORMING OPERATIONS; TRANSPORTING
- B01—PHYSICAL OR CHEMICAL PROCESSES OR APPARATUS IN GENERAL
- B01J—CHEMICAL OR PHYSICAL PROCESSES, e.g. CATALYSIS OR COLLOID CHEMISTRY; THEIR RELEVANT APPARATUS
- B01J2531/00—Additional information regarding catalytic systems classified in B01J31/00
- B01J2531/02—Compositional aspects of complexes used, e.g. polynuclearity
- B01J2531/0238—Complexes comprising multidentate ligands, i.e. more than 2 ionic or coordinative bonds from the central metal to the ligand, the latter having at least two donor atoms, e.g. N, O, S, P
- B01J2531/0241—Rigid ligands, e.g. extended sp2-carbon frameworks or geminal di- or trisubstitution
- B01J2531/0252—Salen ligands or analogues, e.g. derived from ethylenediamine and salicylaldehyde
-
- B—PERFORMING OPERATIONS; TRANSPORTING
- B01—PHYSICAL OR CHEMICAL PROCESSES OR APPARATUS IN GENERAL
- B01J—CHEMICAL OR PHYSICAL PROCESSES, e.g. CATALYSIS OR COLLOID CHEMISTRY; THEIR RELEVANT APPARATUS
- B01J2531/00—Additional information regarding catalytic systems classified in B01J31/00
- B01J2531/80—Complexes comprising metals of Group VIII as the central metal
- B01J2531/84—Metals of the iron group
- B01J2531/845—Cobalt
-
- C—CHEMISTRY; METALLURGY
- C12—BIOCHEMISTRY; BEER; SPIRITS; WINE; VINEGAR; MICROBIOLOGY; ENZYMOLOGY; MUTATION OR GENETIC ENGINEERING
- C12N—MICROORGANISMS OR ENZYMES; COMPOSITIONS THEREOF; PROPAGATING, PRESERVING, OR MAINTAINING MICROORGANISMS; MUTATION OR GENETIC ENGINEERING; CULTURE MEDIA
- C12N2310/00—Structure or type of the nucleic acid
- C12N2310/10—Type of nucleic acid
- C12N2310/14—Type of nucleic acid interfering nucleic acids [NA]
-
- C—CHEMISTRY; METALLURGY
- C12—BIOCHEMISTRY; BEER; SPIRITS; WINE; VINEGAR; MICROBIOLOGY; ENZYMOLOGY; MUTATION OR GENETIC ENGINEERING
- C12N—MICROORGANISMS OR ENZYMES; COMPOSITIONS THEREOF; PROPAGATING, PRESERVING, OR MAINTAINING MICROORGANISMS; MUTATION OR GENETIC ENGINEERING; CULTURE MEDIA
- C12N2310/00—Structure or type of the nucleic acid
- C12N2310/30—Chemical structure
- C12N2310/35—Nature of the modification
- C12N2310/351—Conjugate
- C12N2310/3515—Lipophilic moiety, e.g. cholesterol
-
- C—CHEMISTRY; METALLURGY
- C12—BIOCHEMISTRY; BEER; SPIRITS; WINE; VINEGAR; MICROBIOLOGY; ENZYMOLOGY; MUTATION OR GENETIC ENGINEERING
- C12N—MICROORGANISMS OR ENZYMES; COMPOSITIONS THEREOF; PROPAGATING, PRESERVING, OR MAINTAINING MICROORGANISMS; MUTATION OR GENETIC ENGINEERING; CULTURE MEDIA
- C12N2320/00—Applications; Uses
- C12N2320/30—Special therapeutic applications
- C12N2320/32—Special delivery means, e.g. tissue-specific
Definitions
- Synthetic materials, or nonviral delivery vectors come in a variety of forms that work in unique ways.
- Polymeric materials such as polyethylenimine or poly(beta-amino ester)s have been shown to efficiently complex DNA for delivery into the cell.
- Polymers in these classes of delivery agents typically contain amine functionalities that serve to electrostatically bind to DNA to form nanoparticles that are then taken up by the cell via endocytosis. Once in the cell, these amine groups serve to buffer the endosome and cause an influx of ions due to the proton-sponge mechanism.
- RNA-based therapies While the mechanism of RNA-based therapies is different, the objective of the delivery system remains the same.
- the RNA must be complexed and internalized by the cell in order to exhibit activity.
- polymeric materials do not work as efficiently for RNA delivery. This is likely due to the difference in chemical structure of the therapeutic RNA being delivered, which are generally short, linear fragments containing additional hydroxyl moieties on each ribose ring. These differences necessitate an alternative nonviral approach that is suited for complexation with short RNA strands.
- Promising results have been achieved with materials that form liposomes or lipoplexes that entrap the RNA or form nanoparticles, which are efficiently internalized by the cell.
- the materials utilized to form a lipid-based delivery system generally consist of a positively charged headgroup and a hydrophobic tail.
- the charged portion serves to electrostatically bind the negatively charged RNA, while the hydrophobic tail leads to self- assembly into lipophilic particles.
- Such cationic lipids are promising but still fall short of the transfection efficiency achieved by viral vectors.
- aminoalcohol lipidoid compounds for drug delivery may be prepared by reacting an amine with a terminal epoxide or an aldehyde.
- inventive lipidoid compounds are particularly useful in the administration of polynucleotides.
- the aminoalcohol lipidoid compounds of the present invention are amenable to combinatorial synthesis and screening to generate libraries of compounds for use as nonviral drug delivery agents.
- the inventive compounds may be used for other purposes as well such as, for example, coatings, additives, excipients.
- the present invention provides novel aminoalcohol lipidoid compounds of the formulae:
- These aminoalcohol lipidoid compounds may be prepared by reacting an amine with an epoxide-terminated compound.
- the epoxide is stereochemically pure (e.g., enantiomerically pure).
- the amine is stereochemically pure (e.g., enantiomerically pure).
- the lipidoid is prepared from the reductive amination of an imine which is derived from the condensation of an amine and an aldehyde.
- each is independently . In certain embodiments, each is
- each is independently or In
- an amine and an epoxide-terminated compound are reacted at elevated temperatures in the absence of solvent to prepare the inventive aminoalcohol lipidoids as shown in Figure 1.
- the aminoalcohol Iipidoid compounds include a hydrophilic portion resulting from the opening of the epoxide by the amine and a hydrophobic aliphatic tail.
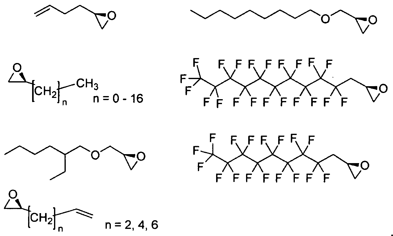
- the amines chosen contain between two and five amine moieties and the epoxide-terminated compounds include a tail of varying chain lengths and optionally feature various functional groups and varying degrees of saturation.
- the inventive aminoalcohol Iipidoid compounds may be used in the delivery of therapeutic agents (e.g., polynucleotide, small molecule, protein, peptide) to a subject.
- therapeutic agents e.g., polynucleotide, small molecule, protein, peptide
- the inventive aminoalcohol Iipidoid compounds are particularly useful in delivering negatively charged agents given the tertiary amines available for protonation thus forming a cationic moiety.
- the aminoalcohol Iipidoid compounds may be used to delivery DNA, RNA, or other polynucleotides to a subject or to a cell.
- the above reaction may result in a mixture with Iipidoid compounds having one tail, some having two tails, some having three tails, and yet others having four or more tails.
- two different epoxide compounds may be used in the reaction mixture to prepare an aminoalcohol Iipidoid compound with two different tails.
- novel aminoalcohol Iipidoid compounds for drug delivery may be prepared by reacting a polyamine with a terminal epoxide.
- Ri represents alkyl chains of varying lengths
- R 2 through R 4 generally represent various combinations of alkyl chains, polyamines, and hydrogen atoms.
- Reactions are set up by adding [N - I] equivalents of epoxide to polyamine (where N is the number of 2° amines plus 2 x number of 1 ° amines in the polyamine starting material). This generates a mixture enriched in compounds with [N - I] tails.
- these compounds are a mixture of various constitutional isomers, are usually isolable by chromatography on silica gel; the identity and purity of the products may be confirmed through ⁇ / 13 C ⁇ MR spectroscopy and/or by MALDl-MS (with 2,5- dihydroxybenzoic acid matrix).
- MALDl-MS with 2,5- dihydroxybenzoic acid matrix
- inventive lipidoid compounds are also particularly useful in the administration of polynucleotides.
- the aminoalcohol lipidoid compounds of the present invention are amenable to combinatorial synthesis and screening to generate libraries of compounds for use as nonviral drug delivery agents.
- the inventive compounds may be used for other purposes as well such as coatings, additives, materials, and excipients.
- the present invention provides a novel aminoalcohol lipidoid compound of the formula:
- the present invention provides a novel aminoalcohol lipidoid compound of the formula:
- the present invention provides novel aminoalcohol lipidoid compounds based upon reacting a polyamine with a suitable terminal epoxide as described herein.
- the polyamine is "amine 1 1 1” of the formula: .
- the polyamine is "amine 200" of
- the polyamine is N-(2-aminoethyl)-2-aminoethyl-N-(2-aminoethyl)-2-aminoethyl-N-(2-aminoethyl)-2-aminoethyl-N-(2-aminoethyl)-2-aminoethyl-N-(2-aminoethyl)-2-aminoethyl-N-(2-aminoethyl)-2-aminoethyl
- polyamine is "amine 96" of the formula: Materials based on amine 96 are generated through systematic variation around the amine 96 core structure (see Example 15, Part 2). Aminoalcohol lipidoid compounds based upon amine 1 1 1 resulted from performing MALDI- MS analyses on the products of the amine 111 and epoxide reaction (see Example 14, Part 1). [0017] In one aspect of the invention, the inventive aminoalcohol lipidoid compounds are combined with an agent to be delivered to a cell or a subject to form microparticles, nanoparticles, liposomes, or micelles.
- the agent to be delivered by the particles, liposomes, or micelles may be in the form of a gas, liquid, or solid, and the agent may be a polynucleotide, protein, peptide, or small molecule.
- the inventive aminoalcohol lipidoid compounds may be combined with other aminoalcohol lipidoid compounds, polymers (synthetic or natural), surfactants, cholesterol, carbohydrates, proteins, lipids, etc. to form the particles. These particles may then optionally be combined with a pharmaceutical excipient to form a pharmaceutical composition.
- the invention also provides methods of preparing the inventive aminoalcohol lipidoid compounds.
- One or more equivalents of an amine are allowed to react with one or more equivalents of an epoxide-terminated compound under suitable conditions to form an aminoalcohol lipidoid compound of the present invention.
- all the amino groups of the amine are fully reacted with the epoxide-terminated compound to form tertiary amines.
- all the amino groups of the amine are not fully reacted with the epoxide-terminated compound to form tertiary amines thereby resulting in primary or secondary amines in the aminoalcohol lipidoid compound.
- a diamine or polyamine may include one, two, three, or four epoxide-derived compound tails off the various amino moieties of the molecule resulting in primary, secondary, and tertiary amines. In certain embodiments, all the amino groups are not fully functionalized. In certain embodiments, two of the same types of epoxide-terminated compounds are used. In other embodiments, two or more different epoxide- terminated compounds are used.
- the synthesis of the aminoalcohol lipidoid compounds is performed with or without solvent, and the synthesis may be performed at higher temperatures ranging from 30 0 C - 100 0 C, preferably at approximately 50 0 C - 90 0 C.
- the prepared aminoalcohol lipidoid compounds may be optionally purified.
- the mixture of aminoalcohol lipidoid compounds may be purified to yield an aminoalcohol lipidoid compound with a particular number of epoxide-derived compound tails.
- the mixture may be purified to yield a particular stereo- or regioisomer.
- the aminoalcohol lipidoid compounds may also be alkylated using an alkyl halide (e.g., methyl iodide) or other alkylating agent, and/or they may be acylated.
- the invention also provides libraries of aminoalcohol lipidoid compounds prepared by the inventive methods. These aminoalcohol lipidoid compounds may be prepared and/or screened using high-throughput techniques involving liquid handlers, robots, microtiter plates, computers, etc. In certain embodiments, the aminoalcohol lipidoid compounds are screened for their ability to transfect polynucleotides or other agents (e.g., proteins, peptides, small molecules) into the cell.
- agents e.g., proteins, peptides, small molecules
- the present invention contemplates all such compounds, including cis- and /rart.v-isomers, R- and S-enantiomers, diastereomers, (D)-isomers, (L)-isomers, the racemic mixtures thereof, and other mixtures thereof, as falling within the scope of the invention. Additional asymmetric carbon atoms may be present in a substituent such as an alkyl group. All such isomers, as well as mixtures thereof, are intended to be included in this invention. [0022] Isomeric mixtures containing any of a variety of isomer ratios may be utilized in accordance with the present invention.
- mixtures containing 50:50, 60:40, 70:30, 80:20, 90: 10, 95:5, 96:4, 97:3, 98:2, 99:1 , or 100:0 isomer ratios are all contemplated by the present invention.
- Those of ordinary skill in the art will readily appreciate that analogous ratios are contemplated for more complex isomer mixtures.
- a particular enantiomer of a compound of the present invention is desired, it may be prepared by asymmetric synthesis, or by derivation with a chiral auxiliary, where the resulting diastereomeric mixture is separated and the auxiliary group cleaved to provide the pure desired enantiomers.
- diastereomeric salts are formed with an appropriate optically-active acid or base, followed by resolution of the diastereomers thus formed by fractional crystallization or chromatographic means well known in the art, and subsequent recovery of the pure enantiomers.
- the "enantiomeric excess" of a substance is a measure of how pure a desired enantiomer is relative to the undesired enantiomer. Enantiomeric excess is defined as the absolute difference between the mole fraction of each enantiomer which is most often expressed as a percent enantiomeric excess. For mixtures of diastereomers, there are analogous definitions and uses for "diastereomeric excess" and percent diastereomeric excess.
- protecting group it is meant that a particular functional moiety, e.g., O, S, or N, is temporarily blocked so that a reaction can be carried out selectively at another reactive site in a multifunctional compound.
- a protecting group reacts selectively in good yield to give a protected substrate that is stable to the projected reactions; the protecting group should be selectively removable in good yield by readily available, preferably non-toxic reagents that do not attack the other functional groups; the protecting group forms an easily separable derivative (more preferably without the generation of new stereogenic centers); and the protecting group has a minimum of additional functionality to avoid further sites of reaction.
- oxygen, sulfur, nitrogen, and carbon protecting groups may be utilized.
- Hydroxyl protecting groups include methyl, methoxylmethyl (MOM), methylthiomethyl (MTM), ?-butylthiomethyl, (phenyldimethylsilyl)methoxymethyl (SMOM), benzyloxymethyl (BOM), p- methoxybenzyloxymethyl (PMBM), (4-methoxyphenoxy)methyl (/?-AOM), guaiacolmethyl (GUM), f-butoxymethyl, 4-pentenyloxymethyl (POM), siloxymethyl, 2-methoxyethoxymethyl (MEM), 2,2,2-trichloroethoxymethyl, bis(2-chloroethoxy)methyl, 2-(trimethylsilyl)ethoxymethyl (SEMOR), tetrahydropyranyl (THP), 3-bromotetrahydropyranyl, tetrahydrothiopyranyl, 1- methoxycyclohexyl, 4-methoxytetrahydropyranyl (MTHP), 4-methoxytetra
- the protecting groups include methylene acetal, ethylidene acetal, l-/-butylethylidene ketal, 1-phenylethylidene ketal, (4- methoxyphenyl)ethylidene acetal, 2,2,2-trichloroethylidene acetal, acetonide, cyclopentylidene ketal, cyclohexylidene ketal, cycloheptylidene ketal, benzylidene acetal, /7-methoxybenzylidene acetal, 2,4-dimethoxybenzylidene ketal , 3,4-dimethoxybenzylidene acetal, 2-nitrobenzylidene acetal, methoxymethylene acetal, ethoxymethylene acetal, dimethoxymethylene ortho ester, 1- methoxyethylidene ortho
- Amino-protecting groups include methyl carbamate, ethyl carbamante, 9-fluorenylmethyl carbamate (Fmoc), 9-(2-sulfo)fluorenylmethyl carbamate, 9-(2,7- dibromo)fluoroenylmethyl carbamate, 2,7-di-/-butyl-[9-( 10,10-dioxo- 10,10,10,10- tetrahydrothioxanthyl)]methyl carbamate (DBD-Tmoc), 4-methoxyphenacyl carbamate (Phenoc), 2,2,2-trichloroethyl carbamate (Troc), 2-trimethylsilylethyl carbamate (Teoc), 2- phenylethyl carbamate (hZ), l-(l-adamantyl)-l-methylethyl carbamate (Adpoc), l,l -dimethyl-2- haloethyl carb
- protecting groups are detailed herein, however, it will be appreciated that the present invention is not intended to be limited to these protecting groups; rather, a variety of additional equivalent protecting groups can be readily identified using the above criteria and utilized in the method of the present invention. Additionally, a variety of protecting groups are described in Protective Groups in Organic Synthesis, Third Ed. Greene, T.W. and Wuts, P.G., Eds., John Wiley & Sons, New York: 1999, the entire contents of which are hereby incorporated by reference.
- the compounds, as described herein, may be substituted with any number of substituents or functional moieties.
- substituted whether preceded by the term “optionally” or not, and substituents contained in formulas of this invention, refer to the replacement of hydrogen radicals in a given structure with the radical of a specified substituent.
- the substituent may be either the same or different at every position.
- substituted is contemplated to include all permissible substituents of organic compounds.
- the permissible substituents include acyclic and cyclic, branched and unbranched, carbocyclic and heterocyclic, aromatic and nonaromatic substituents of organic compounds.
- heteroatoms such as nitrogen may have hydrogen substituents and/or any permissible substituents of organic compounds described herein which satisfy the valencies of the heteroatoms.
- this invention is not intended to be limited in any manner by the permissible substituents of organic compounds.
- Combinations of substituents and variables envisioned by this invention are preferably those that result in the formation of stable compounds useful in the treatment of diseases or disorders.
- stable as used herein, preferably refers to compounds which possess stability sufficient to allow manufacture and which maintain the integrity of the compound for a sufficient period of time to be detected and preferably for a sufficient period of time to be useful for the purposes detailed herein.
- aliphatic includes both saturated and unsaturated, straight chain (i.e., unbranched), branched, acyclic, cyclic, or polycyclic aliphatic hydrocarbons, which are optionally substituted with one or more functional groups.
- aliphatic is intended herein to include, but is not limited to, alkyl, alkenyl, alkynyl, cycloalkyl, cycloalkenyl, and cycloalkynyl moieties.
- alkyl includes straight, branched and cyclic alkyl groups.
- alkyl alkenyl
- alkynyl alkynyl
- lower alkyl is used to indicate those alkyl groups (cyclic, acyclic, substituted, unsubstituted, branched or unbranched) having 1 -6 carbon atoms.
- the alkyl, alkenyl, and alkynyl groups employed in the invention contain 1-20 aliphatic carbon atoms. In certain other embodiments, the alkyl, alkenyl, and alkynyl groups employed in the invention contain 1-10 aliphatic carbon atoms. In yet other embodiments, the alkyl, alkenyl, and alkynyl groups employed in the invention contain 1 -8 aliphatic carbon atoms. In still other embodiments, the alkyl, alkenyl, and alkynyl groups employed in the invention contain 1-6 aliphatic carbon atoms.
- the alkyl, alkenyl, and alkynyl groups employed in the invention contain 1-4 carbon atoms.
- Illustrative aliphatic groups thus include, but are not limited to, for example, methyl, ethyl, n- propyl, isopropyl, cyclopropyl, -CHi-cyclopropyl, vinyl, allyl, n-butyl, sec-butyl, isobutyl, tert- butyl, cyclobutyl, -CH 2 -CyClObMyI, n-pentyl, sec-pentyl, isopentyl, tert-pentyl, cyclopentyl, - CH 2 -cyclopentyl, n-hexyl, sec-hexyl, cyclohexyl, -CH 2 -cyclohexyl moieties and the like, which again, may bear one or more substituents.
- Alkenyl groups include, but are not limited to, for example, ethenyl, propenyl, butenyl, l-methyl-2-buten-l -yl, and the like.
- Representative alkynyl groups include, but are not limited to, ethynyl, 2-propynyl (propargyl), 1-propynyl, and the like.
- alkyl refers to saturated, straight- or branched-chain hydrocarbon radicals derived from a hydrocarbon moiety containing between one and twenty carbon atoms by removal of a single hydrogen atom.
- alkyl radicals include, but are not limited to, methyl, ethyl, propyl, isopropyl, n-butyl, tert-butyl, n-pentyl, neopentyl, n-hexyl, n-heptyl, n-octyl, n-decyl, n-undecyl, and dodecyl.
- alkenyl denotes a monovalent group derived from a hydrocarbon moiety having at least one carbon-carbon double bond by the removal of a single hydrogen atom.
- Alkenyl groups include, for example, ethenyl, propenyl, butenyl, l-methyl-2-buten-l-yl, and the like.
- alkynyl refers to a monovalent group derived form a hydrocarbon having at least one carbon-carbon triple bond by the removal of a single hydrogen atom.
- Representative alkynyl groups include ethynyl, 2-propynyl (propargyl), 1-propynyl, and the like.
- alkoxy refers to an alkyl group, as previously defined, attached to the parent molecule through an oxygen atom or through a sulfur atom.
- the alkyl, alkenyl, and alkynyl groups contain 1-20 alipahtic carbon atoms.
- the alkyl, alkenyl, and alkynyl groups contain 1-10 aliphatic carbon atoms.
- the alkyl, alkenyl, and alkynyl groups employed in the invention contain 1-8 aliphatic carbon atoms.
- the alkyl, alkenyl, and alkynyl groups contain 1-6 aliphatic carbon atoms. In yet other embodiments, the alkyl, alkenyl, and alkynyl groups contain 1-4 aliphatic carbon atoms.
- alkoxy include but are not limited to, methoxy, ethoxy, propoxy, isopropoxy, n-butoxy, tert-butoxy, neopentoxy, and n-hexoxy.
- Examples of thioalkyl include, but are not limited to, methylthio, ethylthio, propylthio, isopropylthio, n-butylthio, and the like.
- alkylamino refers to a group having the structure -NHR', wherein R' is aliphatic, as defined herein.
- the aliphatic group contains 1-20 aliphatic carbon atoms.
- the aliphatic group contains 1 -10 aliphatic carbon atoms.
- the aliphatic group employed in the invention contain 1 -8 aliphatic carbon atoms.
- the aliphatic group contains 1-6 aliphatic carbon atoms.
- the aliphatic group contains 1-4 aliphatic carbon atoms.
- alkylamino groups include, but are not limited to, methylamino, ethylamino, n-propylamino, iso-propylamino, cyclopropylamino, n-butylamino, tert-butylamino, neopentylamino, n-pentylamino, hexylamino, cyclohexylamino, and the like.
- carboxylic acid refers to a group of formula -CO 2 H.
- di alkylamino refers to a group having the structure -NRR', wherein R and R' are each an aliphatic group, as defined herein. R and R' may be the same or different in an dialkyamino moiety.
- the aliphatic groups contains 1-20 aliphatic carbon atoms. In certain other embodiments, the aliphatic groups contains 1-10 aliphatic carbon atoms. In yet other embodiments, the aliphatic groups employed in the invention contain 1-8 aliphatic carbon atoms. In still other embodiments, the aliphatic groups contains 1-6 aliphatic carbon atoms.
- the aliphatic groups contains 1 -4 aliphatic carbon atoms.
- dialkylamino groups include, but are not limited to, dimethylamino, methyl ethylamino, diethylamino, methylpropylamino, di(n-propyl)amino, di(iso-propyl)amino, di(cyclopropyl)amino, di(n-butyl)amino, di(tert-butyl)amino, di(neopentyl)amino, di(n- pentyl)amino, di(hexyl)amino, di(cyclohexyl)amino, and the like.
- R and R' are linked to form a cyclic structure.
- the resulting cyclic structure may be aromatic or non-aromatic.
- Examples of cyclic diaminoalkyl groups include, but are not limted to, aziridinyl, pyrrolidinyl, piperidinyl, morpholinyl, pyrrolyl, imidazolyl, 1,3,4-trianolyl, and tetrazolyl.
- substituents of the above-described aliphatic (and other) moieties of compounds of the invention include, but are not limited to aliphatic; heteroaliphatic; aryl; heteroaryl; arylalkyl; heteroarylalkyl; alkoxy; aryloxy; heteroalkoxy; heteroaryloxy; alkylthio; arylthio; heteroalkylthio; heteroarylthio; F; Cl; Br; I; -OH; -NO 2 ; -CN; -CF 3 ; -CH 2 CF 3 ; -CHCl 2 ; -CH 2 OH; -CH 2 CH 2 OH; -CH 2 NH 2 ; -CH 2 SO 2 CH 3 ; -C(O)R x ; -CO 2 (R x ); -CON(R X ) 2 ; - OC(O)R x ; -OCO 2 R x ; -OCON(
- aryl and heteroaryl refer to stable mono- or polycyclic, heterocyclic, polycyclic, and polyheterocyclic unsaturated moieties having preferably 3-14 carbon atoms, each of which may be substituted or unsubstituted.
- Substituents include, but are not limited to, any of the previously mentioned substitutents, i.e., the substituents recited for aliphatic moieties, or for other moieties as disclosed herein, resulting in the formation of a stable compound.
- aryl refers to a mono- or bicyclic carbocyclic ring system having one or two aromatic rings including, but not limited to, phenyl, naphthyl, tetrahydronaphthyl, indanyl, indenyl, and the like.
- heteroaryl refers to a cyclic aromatic radical having from five to ten ring atoms of which one ring atom is selected from S, O, and N; zero, one, or two ring atoms are additional heteroatoms independently selected from S, O, and N; and the remaining ring atoms are carbon, the radical being joined to the rest of the molecule via any of the ring atoms, such as, for example, pyridyl, pyrazinyl, pyrimidinyl, pyrrolyl, pyrazolyl, imidazolyl, thiazolyl, oxazolyl, isooxazolyl, thiadiazolyl,oxadiazolyl, thiophenyl, furanyl, quinolinyl, isoquinolinyl, and the like.
- aryl and heteroaryl groups can be unsubstituted or substituted, wherein substitution includes replacement of one, two, three, or more of the hydrogen atoms thereon independently with any one or more of the following moieties including, but not limited to: aliphatic; heteroaliphatic; aryl; heteroaryl; arylalkyl; heteroarylalkyl; alkoxy; aryloxy; heteroalkoxy; heteroaryloxy; alkylthio; arylthio; heteroalkylthio; heteroarylthio; -F; -Cl; -Br; -I; -OH; -NO 2 ; -CN; -CF 3 ; -CH 2 CF 3 ; -CHCl 2 ; -CH 2 OH; -CH 2 CH 2 OH; -CH 2 NH 2 ; - CH 2 SO 2 CH 3 ; -C(O)R x ; -CO 2 (R x
- cycloalkyl refers specifically to groups having three to seven, preferably three to ten carbon atoms. Suitable cycloalkyls include, but are not limited to cyclopropyl, cyclobutyl, cyclopentyl, cyclohexyl, cycloheptyl and the like, which, as in the case of other aliphatic, heteroaliphatic, or hetercyclic moieties, may optionally be substituted with substituents including, but not limited to aliphatic; heteroaliphatic; aryl; heteroaryl; arylalkyl; heteroarylalkyl; alkoxy; aryloxy; heteroalkoxy; heteroaryloxy; alkylthio; arylthio; heteroalkylthio; heteroarylthio; -F; -Cl; -Br; -I; -OH; -NO 2 ; -CN; -CF 3 ; -
- heteroaliphatic refers to aliphatic moieties that contain one or more oxygen, sulfur, nitrogen, phosphorus, or silicon atoms, e.g., in place of carbon atoms. Heteroaliphatic moieties may be branched, unbranched, cyclic or acyclic and include saturated and unsaturated heterocycles such as morpholino, pyrrolidinyl, etc.
- heteroaliphatic moieties are substituted by independent replacement of one or more of the hydrogen atoms thereon with one or more moieties including, but not limited to aliphatic; heteroaliphatic; aryl; heteroaryl; arylalkyl; heteroarylalkyl; alkoxy; aryloxy; heteroalkoxy; heteroaryloxy; alkylthio; arylthio; heteroalkylthio; heteroarylthio; -F; -Cl; -Br; -I; - OH; -NO 2 ; -CN; -CF 3 ; -CH 2 CF 3 ; -CHCl 2 ; -CH 2 OH; -CH 2 CH 2 OH; -CH 2 NH 2 ; -CH 2 SO 2 CH 3 ; - C(O)R x ; -CO 2 (R x ); -CON(R X ) 2 ; -OC(O)R x ;
- haloalkyl denotes an alkyl group, as defined above, having one, two, or three halogen atoms attached thereto and is exemplified by such groups as chloromethyl, bromoethyl, trifluoromethyl, and the like.
- heterocycloalkyl refers to a non- aromatic 5-, 6-, or 7- membered ring or a polycyclic group, including, but not limited to a bi- or tri-cyclic group comprising fused six-membered rings having between one and three heteroatoms independently selected from oxygen, sulfur and nitrogen, wherein (i) each 5-membered ring has 0 to 1 double bonds and each 6-membered ring has 0 to 2 double bonds, (ii) the nitrogen and sulfur heteroatoms may be optionally be oxidized, (iii) the nitrogen heteroatom may optionally be quaternized, and (iv) any of the above heterocyclic rings may be fused to a benzene ring.
- heterocycles include, but are not limited to, pyrrolidinyl, pyrazolinyl, pyrazolidinyl, imidazolinyl, imidazolidinyl, piperidinyl, piperazinyl, oxazolidinyl, isoxazolidinyl, morpholinyl, thiazolidinyl, isothiazolidinyl, and tetrahydrofuryl.
- a "substituted heterocycloalkyl or heterocycle” group refers to a heterocycloalkyl or heterocycle group, as defined above, substituted by the independent replacement of one, two or three of the hydrogen atoms thereon with but are not limited to aliphatic; heteroaliphatic; aryl; heteroaryl; arylalkyl; heteroarylalkyl; alkoxy; aryloxy; heteroalkoxy; heteroaryl oxy; alkylthio; arylthio; heteroalkylthio; heteroarylthio; -F; -Cl; -Br; -1; - OH; -NO 2 ; -CN; -CF 3 ; -CH 2 CF 3 ; -CHCl 2 ; -CH 2 OH; -CH 2 CH 2 OH; -CH 2 NH 2 ; -CH 2 SO 2 CH 3 ; - C(O)R x
- Carbocycle refers to an aromatic or non- aromatic ring in which each atom of the ring is a carbon atom.
- label As used herein, the term “labeled” is intended to mean that a compound has at least one element, isotope, or chemical compound attached to enable the detection of the compound.
- labels typically fall into three classes: a) isotopic labels, which may be radioactive or heavy isotopes, including, but not limited to, 2 H, 3 H, 32 P, 35 S, 67 Ga, 99m Tc (Tc-99m), 11 1 In, 123 I, l25 1, 169 Yb and 186 Re; b) immune labels, which may be antibodies or antigens,which may be bound to enzymes (such as horseradish peroxidase) that produce detectable agents; and c) colored, luminescent, phosphorescent, or fluorescent dyes.
- isotopic labels which may be radioactive or heavy isotopes, including, but not limited to, 2 H, 3 H, 32 P, 35 S, 67 Ga, 99m Tc (Tc-99m), 11 1 In, 123 I, l25
- the labels may be incorporated into the compound at any position that does not interfere with the biological activity or characteristic of the compound that is being detected.
- photoaffinity labeling is utilized for the direct elucidation of intermolecular interactions in biological systems.
- a variety of known photophores can be employed, most relying on photoconversion of diazo compounds, azides, or diazirines to nitrenes or carbenes (See, Bayley, H., Photogenerated Reagents in Biochemistry and Molecular Biology (1983), Elsevier, Amsterdam.), the entire contents of which are hereby incorporated by reference.
- the photoaffinity labels employed are o-, m- and p-azidobenzoyls, substituted with one or more halogen moieties, including, but not limited to 4-azido-2,3,5,6-tetrafluorobenzoic acid.
- heterocyclic refers to a non-aromatic partially unsaturated or fully saturated 3- to 10-membered ring system, which includes single rings of 3 to 8 atoms in size and bi- and tri-cycHc ring systems which may include aromatic six-membered aryl or aromatic heterocyclic groups fused to a non-aromatic ring.
- heterocyclic rings include those having from one to three heteroatoms independently selected from oxygen, sulfur, and nitrogen, in which the nitrogen and sulfur heteroatoms may optionally be oxidized and the nitrogen heteroatom may optionally be quaternized.
- heteroaryl refers to a cyclic aromatic radical having from five to ten ring atoms of which one ring atom is selected from sulfur, oxygen, and nitrogen; zero, one, or two ring atoms are additional heteroatoms independently selected from sulfur, oxygen, and nitrogen; and the remaining ring atoms are carbon, the radical being joined to the rest of the molecule via any of the ring atoms, such as, for example, pyridyl, pyrazinyl, pyrimidinyl, pyrrolyl, pyrazolyl, imidazolyl, thiazolyl, oxazolyl, isooxazolyl, thiadiazolyl, oxadiazolyl, thiophenyl, furanyl, quinolinyl, isoquinolinyl, and the like.
- heterocyclic and aromatic heterocyclic groups that may be included in the compounds of the invention include: 3-methyl-4-(3-methylphenyl)piperazine, 3 methylpiperidine, 4-(bis-(4-fluorophenyi)methyl)piperazine, 4-(diphenylmethyl)piperazine, 4- (ethoxycarbonyl)piperazine, 4-(ethoxycarbonylmethyl)piperazine, 4-(phenylmethyl)piperazine, 4-(l-phenylethyl)piperazine, 4-(l,l-dimethylethoxycarbonyl)piperazine, 4-(2-(bis-(2-propenyl) amino)ethyl)piperazine, 4-(2-(diethylamino)ethyl)piperazine, 4-(2-chlorophenyl)piperazine, 4- (2-cyanophenyl)piperazine, 4-(2-ethoxyphenyl)piperazine, 4-(2-ethylphenyl)piperazine, 4-(2-eth
- substituted refers to the ability, as appreciated by one skilled in this art, to change one functional group for another functional group provided that the valency of all atoms is maintained.
- substituent may be either the same or different at every position.
- the substituents may also be further substituted (e.g., an aryl group substituent may have another substituent off it, such as another aryl group, which is further substituted with fluorine at one or more positions).
- Animal refers to humans as well as non-human animals, including, for example, mammals, birds, reptiles, amphibians, and fish.
- the non-human animal is a mammal (e.g., a rodent, a mouse, a rat, a rabbit, a monkey, a dog, a cat, a primate, or a pig).
- An animal may be a transgenic animal.
- association When two entities are “associated with” one another as described herein, they are linked by a direct or indirect covalent or non-covalent interaction. Preferably, the association is covalent. Desirable non-covalent interactions include hydrogen bonding, van der Waals interactions, hydrophobic interactions, magnetic interactions, electrostatic interactions, etc. In certain embodiments, an aninoalcohol lipidoid compound is associated with a polynucleotide through electrostatic interactions.
- Biocompatible The term “biocompatible,” as used herein is intended to describe compounds that are not toxic to cells. Compounds are “biocompatible” if their addition to cells in vitro results in less than or equal to 20% cell death, and their administration in vivo does not induce inflammation or other such adverse effects.
- Biodegradable As used herein, “biodegradable” compounds are those that, when introduced into cells, are broken down by the cellular machinery or by hydrolysis into components that the cells can either reuse or dispose of without significant toxic effect on the cells ⁇ i.e., fewer than about 20% of the cells are killed when the components are added to cells in vitro). The components preferably do not induce inflammation or other adverse effects in vivo. In certain embodiments, the chemical reactions relied upon to break down the biodegradable compounds are uncatalyzed.
- the effective amount of an active agent or composition refers to the amount necessary to elicit the desired biological response.
- the effective amount of an agent or device may vary depending on such factors as the desired biological endpoint, the agent to be delivered, the composition of the encapsulating matrix, the target tissue, etc.
- the effective amount of microparricles containing an antigen to be delivered to immunize an individual is the amount that results in an immune response sufficient to prevent infection with an organism having the administered antigen.
- protein comprises a string of at least three amino acids linked together by peptide bonds.
- the terms “protein” and “peptide” may be used interchangeably.
- Peptide may refer to an individual peptide or a collection of peptides.
- Inventive peptides preferably contain only natural amino acids, although non-natural amino acids ⁇ i.e., compounds that do not occur in nature but that can be incorporated into a polypeptide chain) and/or amino acid analogs as are known in the art may alternatively be employed.
- one or more of the amino acids in an inventive peptide may be modified, for example, by the addition of a chemical entity such as a carbohydrate group, a phosphate group, a farnesyl group, an isofarnesyl group, a fatty acid group, a linker for conjugation, functionalization, or other modification, etc.
- a chemical entity such as a carbohydrate group, a phosphate group, a farnesyl group, an isofarnesyl group, a fatty acid group, a linker for conjugation, functionalization, or other modification, etc.
- the modifications of the peptide lead to a more stable peptide ⁇ e.g., greater half-life in vivo). These modifications may include cyclization of the peptide, the incorporation of D-amino acids, etc. None of the modifications should substantially interfere with the desired biological activity of the peptide.
- Polynucleotide or oligonucleotide Polynucleotide or oligonucleotide refers to a polymer of nucleotides. Typically, a polynucleotide comprises at least three nucleotides.
- the polymer may include natural nucleosides ⁇ i.e., adenosine, thymidine, guanosine, cytidine, uridine, deoxyadenosine, deoxythymidine, deoxyguanosine, and deoxycytidine), nucleoside analogs (e.g., 2-aminoadenosine, 2-thiothymidine, inosine, pyrrolo-pyrimidine, 3-methyl adenosine, C5-propynylcytidine, C5-propynyluridine, C5-bromouridine, C5-fluorouridine, C5-iodouridine, C5-methylcytidine, 7-deazaadenosine, 7-deazaguanosine, 8-oxoadenosine, 8-oxoguanosine, O(6)-methylguanine, and 2-thiocytidine), chemically modified bases, biologically modified bases
- Small molecule refers to organic compounds, whether naturally-occurring or artificially created (e.g., via chemical synthesis) that have relatively low molecular weight and that are not proteins, polypeptides, or nucleic acids. Typically, small molecules have a molecular weight of less than about 1500 g/mol. In certain embodiments, the small molecule is uncharged. In certain embodiments, the small molecule is negatively charged. Also, small molecules typically have multiple carbon-carbon bonds.
- Known naturally-occurring small molecules include, but are not limited to, penicillin, erythromycin, taxol, cyclosporin, and rapamycin.
- Known synthetic small molecules include, but are not limited to, ampicillin, methicillin, sulfamethoxazole, and sulfonamides.
- Figure 1 depicts a general synthetic scheme for preparing aminoalcohol lipidoids by combining amines and epoxides, and reacting them at approximately 90 0 C.
- Figure 2 depicts exemplary amines containing between two and five amine functionalities and racemic epoxides of varying tails, unique functional groups and varying degrees of saturation that may be used for preparing aminoalcohol lipidoids.
- Figure 3 depicts characterization data of aminoalcohol lipidoids derived from amine 114.
- FIG. 4 depicts thin layer chromatography (TLC) plates of selected compounds from the aminoalcohol lipidoid library. Plate “A” depicts fully substituted amines, while Plate “B” depicts n-1 substituted amines.
- TLC thin layer chromatography
- Figure 5 depicts Firefly luciferase knockdown results relative to untreated cells from complexing RNA (50 ng) with various aminoalcohol lipidoids (at various wt/wt ratios) and incubated with HeLa cells.
- Figure 6 depicts luciferase gene delivery results (Luciferase Expression, "RLU") in HepG2 cells for various epoxide lipidoid compounds in 10% serum and 0.3 ⁇ g of DNA per well.
- RLU luciferase gene delivery results
- Figure 7 depicts Factor VII Knockdown in vivo results and characterization of
- Figure 8 depicts luciferase knockdown results (measured by relative luceriferase expression, % control) for a library of aminoalcohol lipidoid compounds wherein the ratio of aminoalcohol lipidoid compound to siRNA is 2.5: 1 (w/w).
- Figure 9 depicts the luciferase knockdown results (measured by relative luceriferase expression, % control) for fifteen aminoalcohol lipidoid compounds having >90% knockdown wherein the ratio of aminoalcohol lipidoid compound to siRNA is 2.5:1 (w/w).
- Figure 10 depicts: (a) dose (mg/kg) response results (measured by Factor VIl knockdown in mice by aminoalcohol lipidoid C14-110 36 hours post-injection) wherein the ratio of aminoalcohol lipidoid compound to siRNA is 10: 1 (w/w), the ratio of aminoalcohol lipidoid compound:cholesterol:PEG is 42:48:10, and 44% entrapment of 91 nm particles; and (b) average of % BW change.
- Figure 11 depicts in vitro screening results as luciferase knockdown in HeLa cells by 25 epoxide-based lipidoids at 5: 1 w/w ratio.
- Figure 12 depicts in vivo screening results as Factor VII knockdown 48 hours post- injection of formulated epoxide lipidoids in mice.
- Figure 13a depicts dose response results for C16-96B as Factor VII knockdown 48 hours post-injection of formulation C16-96-B in mice.
- Figure 13b depicts corresponding mice body weight loss and/or gain during the experimental that provided the results in Figure 13.
- Figure 14a depicts dose response results for C14-110B as Factor VII knockdown
- Figure 14b depicts corresponding mice body weight loss and/or gain during the experiment that provided the results in Figure 14a.
- Figure 15 depicts C16-96-B formulation optimization as Factor VII knockdown 48 hours post-injection of formulation C16-96-B in mice at 1 mg/kg dose.
- Figure 16 depicts C16-96-B dose response as Factor VII knockdown 48 hours post-injection of formulation C16-96-B in mice.
- Figure 17a depicts additional in vivo screening and discovery of C 12-200 and/or
- Figure 17b depicts additional in vivo screening and discovery of C 12-200 and/or
- Figure 18a depicts dose response results for C 12-200 and/or C12-205 and ND98 comparison as Factor VlI knockdown 48 hours post-injection of formulated C 12-200 and/or
- Figure 18b depicts corresponding mice body weight loss and/or gain during the experiment that provided the results in Figure 18a.
- Figure 19 depicts formulation optimization of C 12-200 and/or Cl 2-205 as Factor
- Figure 20a depicts a MALDI-TOF mass spectra (intensity vs. mlz ratio) of the crude reaction mixture of technical grade 1 1 1 amine and C 12 epoxide.
- Figure 20b depicts a MALDI-TOF mass spectra (intensity vs. mlz ratio) of the
- Figure 21a depicts a MALDI-TOF mass spectra (intensity vs. mlz ratio) of the crude reaction mixture of technical grade 11 1 amine and C 12 epoxide.
- Figure 21b depicts a MALDI-TOF mass spectra (intensity vs. mlz ratio) of the
- Figure 22 depicts an 1 H NMR (400 MHz) spectrum of C 12-200 and/or C 12-205
- the present invention provides novel aminoalcohol lipidoid compounds and drug delivery systems based on the use of such aminoalcohol lipidoid compounds.
- the system may be used in the pharmaceutical/drug delivery arts to delivery polynucleotides, proteins, small molecules, peptides, antigen, drugs, etc. to a patient, tissue, organ, cell, etc.
- novel compounds may also be used as materials for coating, additives, excipients, materials, bioengineering, etc.
- the aminoalcohol lipidoid compounds of the present invention provide for several different uses in the drug delivery art.
- the amine-containing portion of the aminoalcohol lipidoid compounds may be used to complex polynucleotides, thereby enhancing the delivery of polynucleotide and preventing their degradation.
- the aminoalcohol lipidoid compounds may also be used in the formation of picoparticles, nanoparticles, microparticles, liposomes, and micelles containing the agent to be delivered.
- the aminoalcohol lipidoid compounds are biocompatible and biodegradable, and the formed particles are also biodegradable and biocompatible and may be used to provide controlled, sustained release of the agent to be delivered.
- These lipidoids and their corresponding particles may also be responsive to pH changes given that these lipidoids are protonated at lower pH.
- the lipidoids may also act as proton sponges in the delivery of an agent to a cell to cause endosome lysis.
- the aminoalcohol lipidoid compounds of the present invention are aminoalcohol lipidoid compounds containing primary, secondary, tertiary, and/or quaternary amines, and salts thereof.
- the amines may be cyclic or acyclic amines.
- the inventive aminoalcohol lipidoid compounds are relatively non-cytotoxic.
- the inventive aminoalcohol lipidoid compounds are biocompatible and biodegradable.
- the aminoalcohol lipidoids of the present invention have pK a s in the range of approximately 5.5 to approximately 7.5, more preferably between approximately 6.0 and approximately 7.0.
- the aminoalcohol lipidoid compounds may be designed to have a desired pKa between approximately 3.0 and approximately 9.0, or between approximately 5.0 and approximately 8.0.
- the inventive aminoalcohol lipidoid compounds are particularly attractive for drug delivery for several reasons: 1) they contain amino groups for interacting with DNA, RNA, other polynucleotides, and other negatively charged agents, for buffering the pH, for causing endosomolysis, for protecting the agent to be delivered, etc.; 2) they can be synthesized from commercially available starting materials; and/or 3) they are pH responsive and can be engineered with a desired pK a .
- the aminoalcohol lipidoid compound or composition containing aminoalcohol lipidoid compound(s), are those derived from terminated epoxides of 14 carbons or greater coupled with monomers of three or more amine functional groups.
- the composition containing an aminoalcohol lipidoid compound is about 40-60% lipidoid, about 40-60 % cholesterol, and about 5-20% PEG.
- the composition containing an aminoalcohol lipidoid compound is about 50-60% lipidoid, about 40- 50 % cholesterol, and about 5-10% PEG.
- the composition containing an aminoalcohol lipidoid compound is 52% lipidoid, 48% cholesterol, and 10% PEG. In certain embodiments, the composition containing an aminoalcohol lipidoid is about 50-75% lipidoid, about 20-40% cholesterol, and about 1-10% PEG. In certain embodiments, the composition containing an aminoalcohol lipidoid compound is about 60-70% lipidoid, about 25-35% cholesterol, and about 5-10% PEG.
- the aminoalcohol lipidoid compounds may be prepared by reacting an amine with a terminal epoxide or an aldehyde according to the following schemes.
- the epoxide is stereochemically pure (e.g., enantiomerically pure).
- the amine is stereochemically pure (e.g., enantiomerically pure).
- the lipidoid is prepared from the reductive amination of an imine which derived from the condensation of an amine and an aldehyde.
- the aminoalcohol lipidoid compounds of the present invention are of one of the formulae:
- the amine may be reacted with an excess of epoxide to form a fully functionalized aminoalcohol lipidoid compound.
- the lipidoid may have fewer epoxide-derived tails than when fully functionalized.
- aminoalcohol lipidoid compound of the present invention is of the formula: wherein:
- A is a substituted or unsubstituted, branched or unbranched, cyclic or acyclic C2-20 alkylene, optionally interrupted by 1 or more heteroatoms independently selected from O, S and N, or A is a substituted or unsubstituted, saturated or unsaturated 4-6-membered ring;
- Ri is hydrogen, a substituted, unsubstituted, branched or unbranched Ci. 2 o-aliphatic or a substituted, unsubstituted, branched or unbranched C 1 - 20 heteroaliphatic, wherein at least one occurrence of Ri is hydrogen;
- R B , R C , and R D are, independently, hydrogen, a substituted, unsubstituted, branched or unbranched Ci. 2 o-aliphatic, or a substituted, unsubstituted, branched or unbranched C 1 - 20 - heteroaliphatic or -CH 2 CH(OH)R E ;
- R B and R D together may optionally form a cyclic structure
- Rc and R D together may optionally form a cyclic structure
- R E is a substituted, unsubstituted, branched or unbranched C 1 . 2 0 aliphatic or a substituted, unsubstituted, branched or unbranched Ci-20 heteroaliphatic; or a pharmaceutically acceptable salt thereof.
- A is an unsubstituted, unbranched, and acyclic C 2 - 2 0 alkylene.
- A is a substituted or unsubstituted, branched or unbranched, cyclic or acyclic C 2 - 2 0, alkylene, optionally interrupted by 1 or more nitrogen atoms.
- A is a substituted, unbranched, and acyclic C 2 - 10 alkylene, optionally interrupted,
- A is of the formula .
- A is a substituted or unsubstituted, branched or unbranched, cyclic or acyclic C 2 - 2 0 alkylene, optionally interrupted, by 1 or more oxygen atoms.
- A is an unsubstituted, unbranched, and acyclic C 2 - 10 alkylene, optionally interrupted by 1 or more oxygen atoms.
- A is an unsubstituted, unbranched, and acyclic C 2 - 1 0 alkylene, optionally interrupted by 2 oxygen atoms.
- A is of the formula In certain embodiments, A is of the formula , wherein n is an integer between 1 and 10, inclusive. In certain embodiments, A is a substituted or unsubstituted, branched or unbranched, cyclic or acyclic C 2 . 2 o alkylene, optionally interrupted by 1 or more nitrogen atoms. In certain embodiments A is an unsubstituted, unbranched, and acyclic C 2 . ⁇ o alkylene, optionally interrupted by 1 or more nitrogen atoms. In certain embodiments A is an unsubstituted, unbranched, and acyclic C 2 - 10 alkylene, optionally interrupted by 2 nitrogen atoms. In certain embodiments, A is of the
- A is of the formula , wherein n is an integer between 1 and 10, inclusive.
- A is selected from the following formulae:
- Ri is hydrogen. In certain embodiments, Ri is an unsubstituted and unbranched, Ci- 20 -aliphatic or Ci -2O heteroaliphatic moiety. In some embodiments, Ri is an unsubstituted and unbranched, Cio-i 2 -aliphatic group. In some embodiments, Rj is . In some embodiments, R) is an unsubstituted and unbranched, Cn heteroaliphatic group. In some embodiments, R] In some embodiments, Rj is an unsubstituted and unbranched, C] 4 heteroaliphatic group. In some embodiments, Rj In certain embodiments, R] is selected from the following formulae:
- is a Ci- 20 alkenyl moiety, optionally substituted.
- Ri is selected from the following formulae:
- each is independently .
- Ri is:
- Ri is selected from the following formulae:
- Ri is selected from the following formulae:
- Ri is fluorinated. In certain embodiments Ri is a fluorinated aliphatic moiety. In certain embodiments R
- Ri is selected from the following formulae:
- R B is hydrogen. In certain embodiments, R B is an unsubstituted and unbranched Ci- 2 0-aliphatic. In certain embodiments R B is Q-e-alkyl. In certain embodiments R B is methyl. In certain embodiments R B is ethyl. In certain embodiments R B is propyl. In certain embodiments R B is butyl. In certain embodiments, R B is an unsubstituted and unbranched C ⁇ - 2 0-heteroaliphatic. In certain embodiments R B is C ⁇ _6- heteroalkyl. In certain embodiments, R B is -CH 2 CH(OH)R E .
- Rc is hydrogen. In certain embodiments, Rc is an unsubstituted and unbranched Ci_ 2 o-a]iphatic. In certain embodiments Rc is Ci. 6 -alkyl. In certain embodiments Rc is methyl. In certain embodiments Rc is ethyl. In certain embodiments Rc is propyl. In certain embodiments Rc is butyl. In certain embodiments, Rc is an unsubstituted and unbranched C ⁇ - 20 -heteroaliphatic. In certain embodiments Rc is Ci -6 - heteroalkyl. In certain embodiments, Rc is -CH 2 CH(OH)R E -
- R D is hydrogen. In certain embodiments, R D is an unsubstituted and unbranched C
- R D is -C ⁇ CH(OH)R E - [00109]
- R B , R C , and R D are all the same.
- R B , R C , and RQ are all hydrogen or all Ci-C 6 alkyl.
- R B , RC, and RQ are all hydrogen.
- R B , Rc, and R D are all Ci-C 6 alkyl.
- R B , R C , and R D are all hydroxyalkyl.
- RB, RC, and RD are all aminoalkyl.
- R B , R C , and R D are hydrogen or methyl.
- at least two of R B , Rc, and R 0 are the same.
- R B , R C , and R D are all different.
- R E is hydrogen. In certain embodiments, R E is an unsubstituted and unbranched C]- 2 o-aliphatic. In certain embodiments R E is Ci ⁇ -alkyl. In certain embodiments R E is methyl. In certain embodiments R E is ethyl. In certain embodiments R E is propyl. In certain embodiments R E is butyl. In certain embodiments, R E is an unsubstituted and unbranched Ci. 2 o-heteroaliphatic. In certain embodiments R E is Ci- 6 -heteroalkyl. [00111] Particular exemplary compounds include:
- aminoalcohol lipidoid compound of the present invention is of the formula:
- A is a substituted or unsubstituted, branched or unbranched, cyclic or acyclic C 2 - 2 0 alkylene, optionally interrupted by 1 or more heteroatoms independently selected from O, S and N, or A is a substituted or unsubstituted, saturated or unsaturated 4-6-membered ring;
- Ri and R 2 are, independently, hydrogen, a substituted, unsubstituted, branched or unbranched Ci-io-aliphatic or a substituted, unsubstituted, branched or unbranched Ci -2 O heteroaliphatic, wherein at least one occurrence of Ri is hydrogen and at least one occurrence of Ro is hydrogen;
- Rc and R D are, independently, hydrogen, a substituted, unsubstituted, branched or unbranched Ci- 20 -aliphatic, or a substituted, unsubstituted, branched or unbranched C 1 . 20 - heteroaliphatic or -CH 2 CH(OH)R E ;
- Rc and R D together may optionally form a cyclic structure
- R E is a substituted, unsubstituted, branched or unbranched Ci- 2 0 aliphatic or a substituted, unsubstituted, branched or unbranched Ci- 20 heteroaliphatic; or a pharmaceutically acceptable salt thereof.
- A is an unsubstituted, unbranched, and acyclic C 2 - 20 alkylene.
- A is a substituted or unsubstituted, branched or unbranched, cyclic or acyclic C 2 - 2 0 alkylene, optionally interrupted by 1 or more nitrogen atoms.
- A is a substituted, unbranched, and acyclic C 2 - 10 alkylene, optionally interrupted by
- A is of the formula . in certain embodiments, A is a substituted or unsubstituted, branched or unbranched, cyclic or acyclic C 2 - 20 alkylene, optionally interrupted by 1 or more oxygen atoms. In certain embodiments A is an unsubstituted, unbranched, and acyclic C 2 -io alkylene, optionally interrupted by 1 or more oxygen atoms. In certain embodiments A is an unsubstituted, unbranched, and acyclic C2-10 alkylene, optionally interrupted by 2 oxygen atoms. In certain embodiments, A is of the
- A is of the wherein n is an integer between 1 and 10, inclusive.
- A is a substituted or unsubstituted, branched or unbranched, cyclic or acyclic C 2 . 2 o alkylene, optionally interrupted by 1 or more nitrogen atoms.
- A is an unsubstituted, unbranched, and acyclic C2-10 alkylene, optionally interrupted by 1 or more nitrogen atoms.
- A is an unsubstituted, unbranched, and acyclic C 2 - 10 alkylene, optionally interrupted by 2 nitrogen atoms.
- A is of the formula V In certain embodiments, A is of wherein n is an integer between 1 and 10, inclusive.
- A is selected from the following formulae:
- and R 2 are hydrogen. In certain embodiments, R
- Ri and R 2 are .
- R) and R 2 are, independently, an unsubstituted and unbranched, C 13 heteroaliphatic group.
- Ri and R 2 are .
- Ri and R 2 are, independently, an unsubstituted and unbranched, C 14 heteroaliphatic group. In some embodiments, Ri and R 2 are In certain embodiments, R
- Rj and R 2 are, a Cj- 2 0 alkenyl moiety, optionally substituted.
- R] and R? are, independently, selected from the following formulae:
- and R 2 are:
- Ri and R 3 are, independently, selected from the following formulae:
- and R 2 are fluorinated.
- Ri and R? are a fluorinated aliphatic moiety.
- Ri and R 2 are perfluorinated.
- Ri and R 2 are a perfluorinated aliphatic moiety.
- Ri and R 2 are a perfluorinated C ⁇ - 2 o alkyl group.
- Ri and R 2 are selected from the following formulae:
- R 1 and R 2 are, independently, selected from the following formulae:
- R 1 and Ri are both the same.
- each of Ri and R 2 are independently hydrogen or Ci-C 6 alkyl.
- Ri and R 2 are both hydrogen.
- Ri and R 2 are both CpC 6 alkyl.
- Ri and R 2 are both hydroxyalkyl.
- Rj and R 2 are both aminoalkyl.
- Ri and R 2 are different.
- Rc is hydrogen. In certain embodiments, Rc is an unsubstituted and unbranched Ci. 2 o-aliphatic. In certain embodiments Rc is Ci-6-alkyl. In certain embodiments Rc is methyl. In certain embodiments Rc is ethyl. In certain embodiments Rc is propyl. In certain embodiments Rc is butyl. In certain embodiments, Rc is an unsubstituted and unbranched Ci ⁇ o-heteroaliphatic. In certain embodiments Rc is Ci -6 - heteroalkyl. In certain embodiments, Rc is -CH 2 CH(OH)R E -
- R D is hydrogen. In certain embodiments, R D is an unsubstituted and unbranched Ci ⁇ o-aliphatic. In certain embodiments R D is Ci ⁇ -alkyl. In certain embodiments R D is methyl. In certain embodiments R D is ethyl. In certain embodiments R D is propyl. In certain embodiments R D is butyl. In certain embodiments, R D is an unsubstituted and unbranched C
- Rc and R D are both the same.
- each of Rc and R D are independently hydrogen, or Ci-C 6 alkyl.
- Rc and R D are both hydrogen.
- Rc and R D are both Ci-C 6 alkyl.
- Rc and R D are both hydroxyalkyl.
- Rc and Rp are both aminoalkyl.
- Rc and R D are different.
- R E is hydrogen. In certain embodiments, R E is an unsubstituted and unbranched Ci-20-aliphatic. In certain embodiments R E is C ⁇ -6-alkyl. In certain embodiments R E is methyl. In certain embodiments R E is ethyl. In certain embodiments R E is propyl. In certain embodiments R E is butyl. In certain embodiments, R E is an unsubstituted and unbranched C
- aminoalcohol lipidoid compound of the present invention is of the formula:
- A is a substituted or unsubstituted, branched or unbranched, cyclic or acyclic C 2 - 20 alkylene, optionally interrupted by 1 or more heteroatoms independently selected from O, S and N, or A is a substituted or unsubstituted, saturated or unsaturated 4-6-membered ring;
- Ri and R3 are, independently, hydrogen, a substituted, unsubstituted, branched or unbranched C
- R B and R D are, independently, hydrogen, a substituted, unsubstituted, branched or unbranched Ci-20-aliphatic, or a substituted, unsubstituted, branched or unbranched C1-20- heteroaliphatic or -CH 2 CH(OH)R E ;
- R B and R D together may optionally form a cyclic structure
- R E is a substituted, unsubstituted, branched or unbranched C 1 - 2 0 aliphatic or a substituted, unsubstituted, branched or unbranched Cj. 20 heteroaliphatic; or a pharmaceutically acceptable salt thereof.
- each is independently or and
- A is an unsubstituted, unbranched, and acyclic C 2 - 2 0 alkylene. In certain embodiments, A is a substituted or unsubstituted, branched or unbranched, cyclic or acyclic C 2 - 20 alkylene, optionally interrupted by 1 or more nitrogen atoms. In certain embodiments A is a substituted, unbranched, and acyclic C 2 - 10 alkylene, optionally interrupted by
- A is of the formula . in certain embodiments, A is a substituted or unsubstituted, branched or unbranched, cyclic or acyclic C 2 - 2 0 alkylene, optionally interrupted by 1 or more oxygen atoms. In certain embodiments A is an unsubstituted, unbranched, and acyclic C 2 - 10 alkylene, optionally interrupted by 1 or more oxygen atoms. In certain embodiments A is an unsubstituted, unbranched, and acyclic C 2 . 1 0 alkylene, optionally interrupted by 2 oxygen atoms. In certain embodiments, A is of the
- A is of the wherein n is an integer between 1 and 10, inclusive.
- A is a substituted or unsubstituted, branched or unbranched, cyclic or acyclic C 2 ⁇ o alkylene, optionally interrupted by 1 or more nitrogen atoms.
- A is an unsubstituted, unbranched, and acyclic C 2- io alkylene, optionally interrupted by 1 or more nitrogen atoms.
- A is an unsubstituted, unbranched, and acyclic C 2 _io alkylene, optionally interrupted by 2 nitrogen atoms.
- A is of the formula In certain embodiments, A is of
- n is an integer between 1 and 10, inclusive.
- A is selected from the following formulae:
- Ri and R 3 are hydrogen.
- Rj and R3 are, independently, an unsubstituted and unbranched, C
- Ri and Rj are, independently, an unsubstituted and unbranched,
- and R 3 are .
- Ri and R3 are, independently, an unsubstituted and unbranched, C 13 heteroaliphatic group.
- and R 3 are In some embodiments, Ri and R 3 are, independently, an unsubstituted and unbranched, C H heteroaliphatic group. In some embodiments, Ri and R3 are . In certain embodiments, Rj and R 3 are, independently, selected from the following formulae:
- Ri and R3 are, a Ci-20 alkenyl moiety, optionally substituted.
- Rj and R 3 are, independently, selected from the following formulae:
- and R 3 are:
- and R.i are, independently, selected from the following formulae:
- and R 3 are fluorinated.
- Ri and R 3 are a fluorinated aliphatic moiety.
- Ri and R 3 are perfl uorinated.
- and R 3 are a perfluorinated aliphatic moiety.
- Ri and R 3 are a perfluorinated C 1 - 2 0 alkyl group.
- Ri and R 3 are selected from the following formulae:
- Rj and R 3 are, independently, selected from the following formulae:
- Ri and R 3 are both the same.
- each of R] and R3 are independently hydrogen, or C I -C 6 alkyl.
- Ri and R 3 are both hydrogen.
- and R 3 are both Q -C O alkyl.
- R) and R 3 are both hydroxyalkyl.
- and R 3 are both aminoalkyl.
- Ri and R 3 are different.
- R B is hydrogen. In certain embodiments, R B is an unsubstituted and unbranched Ci- 20 -aliphatic. In certain embodiments R B is C ⁇ - 6 -alkyl. In certain embodiments R B is methyl. In certain embodiments R B is ethyl. In certain embodiments R B is propyl. In certain embodiments R B is butyl. In certain embodiments, R B is an unsubstituted and unbranched C t . 20 -heteroaliphatic. In certain embodiments R B is C t-6 - heteroalkyl. In certain embodiments, R B is -CH 2 CH(OH)R E .
- R D is hydrogen. In certain embodiments, R D is an unsubstituted and unbranched Q ⁇ o-aliphatic. In certain embodiments R D is Ci ⁇ -alkyl. In certain embodiments R D is methyl. In certain embodiments R D is ethyl. In certain embodiments R D is propyl. In certain embodiments R D is butyl. In certain embodiments, R D is an unsubstituted and unbranched Ci.oo-heteroaliphatic. In certain embodiments R D is Ci- ⁇ - heteroalkyl. In certain embodiments, R D is -CH 2 CH(OH)Re.
- R B and R D are both the same.
- each of R B and R D are independently hydrogen, or Ci-C 6 alkyl.
- R B and R D are both hydrogen.
- R B and R D are both Ci-Ce alkyl.
- R B and R D are both hydroxyalkyl.
- R B and R D are both aminoalkyl.
- R B and R D are different.
- R E is hydrogen. In certain embodiments, R E is an unsubstituted and unbranched Ci- 20 -aliphatic. In certain embodiments R E is C ⁇ -6-alkyl. In certain embodiments R E is methyl. In certain embodiments R E is ethyl. In certain embodiments R E is propyl. In certain embodiments R E is butyl. In certain embodiments, R E is an unsubstituted and unbranched C ⁇ - 20 -heteroaliphatic. In certain embodiments R E is Ci- 6 -heteroalkyl. [00144] Particular exemplary compounds include:
- each [00146] in certain embodiments, the aminoalcohol lipidoid compound of the present invention is of the formula:
- A is a substituted or unsubstituted, branched or unbranched, cyclic or acyclic C 2 - 20 alkylene, optionally interrupted by 1 or more heteroatoms independently selected from O, S and N, or A is a substituted or unsubstituted, saturated or unsaturated 4-6-membered ring;
- Rj, RI, and R 3 are, independently, hydrogen, a substituted, unsubstituted, branched or unbranched Ci -2 o-aliphatic or a substituted, unsubstituted, branched or unbranched C 1 . 20 heteroaliphatic, wherein at least one occurrence of Ri is hydrogen, at least one occurrence of R 2 is hydrogen and at least one occurrence of R 3 is hydrogen;
- R D is hydrogen, a substituted, unsubstituted, branched or unbranched C
- R E is a substituted, unsubstituted, branched or unbranched Ci-20 aliphatic or a substituted, unsubstituted, branched or unbranched Ci - 20 heteroaliphatic; or a pharmaceutically acceptable salt thereof.
- A is an unsubstituted, unbranched, and acyclic C 2 _ 2 o alkylene.
- A is a substituted or unsubstituted, branched or unbranched, cyclic or acyclic C 2 - 2 0 alkylene, optionally interrupted by 1 or more nitrogen atoms.
- A is a substituted, unbranched, and acyclic C2-10 alkylene, optionally interrupted by 1 oxygen atom.
- A is of the formula .
- A is a substituted or unsubstituted, branched or unbranched, cyclic or acyclic C2-20 alkylene, optionally interrupted by 1 or more oxygen atoms. In certain embodiments A is an unsubstituted, unbranched, and acyclic C 2 - 10 alkylene, optionally interrupted by 1 or more oxygen atoms. In certain embodiments A is an unsubstituted, unbranched, and acyclic C 2 -10 alkylene, optionally interrupted by 2 oxygen atoms. In certain embodiments, A is of the In certain embodiments, A is of the In certain embodiments, A is of the , wherein n is an integer between 1 and 10, inclusive.
- A is a substituted or unsubstituted, branched or unbranched, cyclic or acyclic C 2 - 2 0 alkylene, optionally interrupted by 1 or more nitrogen atoms. In certain embodiments A is an unsubstituted, unbranched, and acyclic C 2 - 1 0 alkylene, optionally interrupted by 1 or more nitrogen atoms. In certain embodiments A is an unsubstituted, unbranched, and acyclic C 2 - 10 alkylene, optionally interrupted by 2 nitrogen atoms. In certain
- A is of the formula in certain embodiments, A is of
- n is an integer between 1 and 10, inclusive.
- A is selected from the following formulae:
- Rj, R 2 and R 3 are hydrogen.
- Ri, R 2 and R3 are, independently, an unsubstituted and unbranched, Ci_ 2 o-aliphatic or Cj -2 O heteroaliphatic moiety.
- R), R 2 and R 3 are, independently, an unsubstituted and unbranched, Ci 2 -aliphatic group.
- Ri, R 2 and R 3 are .
- R 1 , R 2 and R 3 are, independently, an unsubstituted and unbranched, CB heteroaliphatic group.
- Ri, R 2 and R 3 are . [ n some embodiments, Rj, R 2 and R 3 are, independently, an unsubstituted and unbranched, C 14 heteroaliphatic group.
- R 3 are - I n certain embodiments, Ri, R 2 and R 3 are, independently, selected from the following formulae:
- , R 2 , and R 3 are, a Ci -2 O alkenyl moiety, optionally substituted.
- Rj, R 2 , and R 3 are, independently, selected from the following formulae:
- Ri, R 2 , and R3 are:
- Ri , R 2 , and R 3 are, independently, selected from the following formulae:
- Ri, RT and R 3 are fluorinated. In certain embodiments Ri, R 2 and R 3 are a fluorinated aliphatic moiety. In certain embodiments Ri, R 2 and R 3 are perfluorinated. In certain embodiments R
- Ri, R 2 , and R 3 are, independently, selected from the following formulae:
- R 1 , R 2 , and R 3 are all the same. In certain embodiments, at least two of Ri, R 2 , and R 3 are the same. In certain embodiments, R 1 , R 2 , and R 3 are all different.
- R D is hydrogen. In certain embodiments, R D is an unsubstituted and unbranched C ⁇ - 2 0-aliphatic. In certain embodiments R D is Ci_6-alkyl. In certain embodiments R D is methyl. In certain embodiments R D is ethyl. In certain embodiments
- R D is propyl. In certain embodiments R D is butyl. In certain embodiments, R D is an unsubstituted and unbranched Ci- 20 -heteroaliphatic. In certain embodiments R D is C)_ 6 - heteroalkyl. In certain embodiments, R D is -CH 2 CH(OH)R E .
- R E is hydrogen. In certain embodiments, R E is an unsubstituted and unbranched Ci. 2 o-aliphatic. In certain embodiments R E is Ci-6-alkyl. In certain embodiments R E is methyl. In certain embodiments R E is ethyl. In certain embodiments RE is propyl. In certain embodiments RE is butyl. In certain embodiments, R E is an unsubstituted and unbranched C ⁇ - 2 0-heteroaliphatic. In certain embodiments R E is Ci- 6 -heteroalkyl.
- Particular exemplary compounds include:
- each or [00162] in certain embodiments, the aminoalcohol lipidoid compound of the present invention is of the formula:
- A is a substituted or unsubstituted, branched or unbranched, cyclic or acyclic C 2 - 20 alkylene, optionally interrupted by 1 or more heteroatoms independently selected from O, S and N, or A is a substituted or unsubstituted, saturated or unsaturated 4-6-membered ring;
- Ri, R2, R3, and R 4 are, independently, hydrogen, a substituted, unsubstituted, branched or unbranched Ci-20-aliphatic or a substituted, unsubstituted, branched or unbranched C 1 - 2 0 heteroaliphatic, wherein at least one occurrence of Ri is hydrogen, at least one occurrence of R 2 is hydrogen, at least one occurrence of R 3 is hydrogen and at least one occurrence of R 4 is hydrogen; or a pharmaceutically acceptable salt thereof.
- each is independently is independently or
- A is an unsubstituted, unbranched, and acyclic C 2 . 2 0 alkylene. In certain embodiments, A is a substituted or unsubstituted, branched or unbranched, cyclic or acyclic C 2 - 20 alkylene, optionally interrupted by 1 or more nitrogen atoms. In certain embodiments A is a substituted, unbranched, and acyclic C 2 - 10 alkylene, optionally interrupted by
- A is of the formula .
- A is a substituted or unsubstituted, branched or unbranched, cyclic or acyclic C 2 - 20 alkylene, optionally interrupted by 1 or more oxygen atoms.
- A is an unsubstituted, unbranched, and acyclic C 2 - K ) alkylene, optionally interrupted by 1 or more oxygen atoms.
- A is an unsubstituted, unbranched, and acyclic C 2 - 1 0 alkylene, optionally interrupted by 2 oxygen atoms.
- A is of the formula .
- A is a substituted or unsubstituted, branched or unbranched, cyclic or acyclic C 2 - 20 alkylene, optionally interrupted by 1 or more oxygen atoms.
- A is an unsubstituted, unbranched, and acyclic C 2 - 1 0 alkylene, optionally interrupted by 2 oxygen atoms.
- A is
- A is of the
- A is a substituted or unsubstituted, branched or unbranched, cyclic or acyclic C 2 - 2 0 alkylene, optionally interrupted by 1 or more nitrogen atoms.
- A is an unsubstituted, unbranched, and acyclic C 2 - 10 alkylene, optionally interrupted by 1 or more nitrogen atoms.
- A is an unsubstituted, unbranched, and acyclic C 2 - 1 0 alkylene, optionally interrupted by 2 nitrogen atoms.
- A is of the formula . In certain embodiments, A is of
- n is an integer between 1 and 10, inclusive.
- A is selected from the following formulae:
- R 1 , R 2 , R 3 and R 4 are hydrogen.
- R], R2, R3 and R4 are, independently, an unsubstituted and unbranched, Ci -2 o-aliphatic or Ci- 2 0 heteroaliphatic moiety.
- R 1 , R 2 , R ? and R 4 are, independently, an unsubstituted and unbranched, C
- Ri, R 2 , R 3 and R 4 are - I n some embodiments, R 1 , R 2 , R ? and R 4 are, independently, an unsubstituted and unbranched, C 13 heteroaliphatic group.
- Ri, R 2 , R 3 and R 4 are . In some embodiments,
- R ⁇ , R 2 , R3 and R 4 are, independently, an unsubstituted and unbranched, C
- , R 2 , R 3 and R 4 are .
- J n certain embodiments, Ri, R 2 , R 3 and R 4 are, independently, selected from the following formulae:
- , R 2 , R 3 , and R 4 are, a Ci - 2 0 alkenyl moiety, optionally substituted.
- Ri, R 2 , R 3 , and R 4 are, independently, selected from the following formulae:
- Ri, R 2 , R 3 , and R 4 are:
- Ri , R 2 , R 3 , and R 4 are, independently, selected from the following formulae:
- Ri, R 2 , R 3 , and R 4 are fluorinated. In certain embodiments Ri, R 2 , R 3 , and R 4 are a fluorinated aliphatic moiety. In certain embodiments Ri, R 2 , R 3 , and R 4 are perfluorinated. In certain embodiments Rj, R 2 , R 3 , and R 4 are a perfluorinated aliphatic moiety. In certain embodiments, Ri, R 2 , R3, and R 4 are a perfluorinated Ci-20 alkyl group. In certain embodiments, Ri, R 2 , R 3 , and R 4 are selected from the following formulae:
- Ri, R 2 , R 3 , and R 4 are, independently, selected from the following formulae:
- R 1 , R 2 , R 3 , and R 4 are all the same. In certain embodiments, at least two of Ri, R 2 , R3, and R 4 are the same. In certain embodiments, at least three of R
- Particular exemplary compounds include:
- the aminoalcohol lipidoid compound or composition containing a mixture of aminoalcohol lipidoid compounds is prepared by reacting amine 120 with the epoxide-terminated compound C 14.
- the aminoalcohol lipidoid compound C 14-120 is one of the formulae below:
- each is independently
- the aminoalcohol lipidoid composition is a composition containing one or more of the above aminoalcohol lipidoid compounds.
- the aminoalcohol lipidoid compound or composition containing a mixture of aminoalcohol lipidoid compounds is prepared by reacting amine 120 with the epoxide-terminated compound C 16.
- the aminoalcohol lipidoid compound C 16- 120 is of one of the formulae below:
- each is independently
- the aminoalcohol lipidoid composition is a composition containing one or more of the above aminoalcohol lipidoid compounds.
- the aminoalcohol lipidoid compound or composition containing a mixture of aminoalcohol lipidoid compounds is prepared by reacting amine 98 with the epoxide-terminated compound C 14.
- the aminoalcohol lipidoid compound C 14-98 is of one of the formulae below:
- the aminoalcohol lipidoid composition is a composition containing one or more of the above aminoalcohol lipidoid compounds.
- the aminoalcohol lipidoid compound or composition containing a mixture of aminoalcohol lipidoid compounds is prepared by reacting amine 1 13 with the epoxide-terminated compound C14.
- the aminoalcohol lipidoid compound C 14-1 13 is of one of the formulae below:
- each is independently
- the aminoalcohol lipidoid composition is a composition containing one or more of the above aminoalcohol lipidoid compounds.
- the aminoalcohol lipidoid compound or composition containing a mixture of aminoalcohol lipidoid compounds is prepared by reacting amine 96 with the epoxide-terminated compound C 18.
- the aminoalcohol lipidoid compound is of one of the formulae below:
- each is independently
- the aminoalcohol lipidoid composition is a composition containing one or more of the above aminoalcohol lipidoid compounds.
- the aminoalcohol lipidoid compound or composition containing a mixture of aminoalcohol lipidoid compounds is prepared by reacting amine 96 with the epoxide-terminated compound C14.
- the aminoalcohol lipidoid compound C 14-96 is of one of the formulae below:
- each is independently
- the aminoalcohol lipidoid composition is a composition containing one or more of the above aminoalcohol lipidoid compounds.
- the aminoalcohol lipidoid compound or composition containing a mixture of aminoalcohol lipidoid compounds is prepared by reacting amine 1 10 with the epoxide-terminated compound C 14.
- the aminoalcohol lipidoid compound Cl 4-1 10 is of one of the formulae below:
- each is independently
- the aminoalcohol lipidoid composition is a composition containing one or more of the above aminoalcohol lipidoid compounds.
- the aminoalcohoi lipidoid compound of the present invention is of the formula: wherein: p is an integer between 1 and 3, inclusive; m is an integer between 1 and 3, inclusive;
- R A is hydrogen; substituted or unsubstituted, cyclic or acyclic, branched or unbranched Ci-20 aliphatic; substituted or unsubstituted, cyclic or acyclic, branched or unbranched Ci -2 O heteroaliphatic; substituted or unsubstituted aryl; substituted or unsubstituted heteroaryl;
- Rp is hydrogen; substituted or unsubstituted, cyclic or acyclic, branched or unbranched Ci-20 aliphatic; substituted or unsubstituted, cyclic or acyclic, branched or unbranched Ci -2 O heteroaliphatic; substituted or unsubstituted aryl; substituted or unsubstituted
- each occurrence of Rs is independently hydrogen; substituted or unsubstituted, cyclic or acyclic, branched or unbranched C
- R A , R F , Ry, and Rz is each occurrence of x is an integer between 1 and 10, inclusive; each occurrence of y is an integer between 1 and 10, inclusive; each occurrence of Ry is hydrogen; substituted or unsubstituted, cyclic or acyclic, branched or unbranched C 1 - 2 0 aliphatic; substituted or unsubstituted, cyclic or acyclic, branched or unbranched C 1 . 2 0 heteroaliphatic; substituted or unsubstituted aryl; substituted or unsubstituted
- each occurrence of R z is hydrogen; substituted or unsubstituted, cyclic or acyclic, branched or unbranched Ci -20 aliphatic; substituted or unsubstituted, cyclic or acyclic, branched or unbranched Ci -20 heteroaliphatic; substituted or unsubstituted aryl; substituted or unsubstituted
- heteroaryl or a pharmaceutically acceptable salt thereof.
- R A is hydrogen. In certain embodiments, R A is hydrogen. In certain embodiments, R A is substituted or unsubstituted, cyclic or acyclic, branched or unbranched Ci-20 aliphatic. In certain embodiments, R A is Ci-C 6 aliphatic. In certain embodiments, R A is Ci-C 6 alkyl. In certain embodiments, R A is substituted or unsubstituted, cyclic or acyclic, branched or unbranched C 1 . 20 heteroaliphatic. In certain embodiments, R A is substituted or unsubstituted aryl. In certain embodiments, R A is substituted or unsubstituted
- R A JS In certain embodiments,
- R A is In certain embodiments R/
- R F is hydrogen. In certain embodiments, no R F is hydrogen. In certain embodiments, Rp is substituted or unsubstituted, cyclic or acyclic, branched or unbranched C 1 . 2 0 aliphatic. In certain embodiments, R F is Ci-C 6 aliphatic. In certain embodiments, Rp is Ci -C 6 alkyl. In certain embodiments, Rp is substituted or unsubstituted, cyclic or acyclic, branched or unbranched Ci- 20 heteroaliphatic. In certain embodiments, Rp is substituted or unsubstituted aryl. In certain embodiments, R F is substituted or unsubstituted
- Rp is In certain embodiments,
- each 1 OH is OH . in certain embodiments, each in certain embodiments, Rp is OH . In certain embodiments, Rp is In certain embodiments, Rp is In certain embodiments R F is In certain embodiments R F is In certain embodiments Rp
- Rp [00186] In certain embodiments, no R A is hydrogen and no R F is hydrogen. In certain embodiments,
- R / is and RF
- R A is OH certain embodiments, each . I n certain embodiments, each is in ceratin embodiments, R A is and RF In certain embodiments, each . In certain embodiments, each . I n certain embodiments, H and RF embodiments, R A is
- n is 1. In certain embodiments, m is 2.
- m is 3.
- p is 1. In certain embodiments, p is 2. In certain embodiments, p is 3.
- R 5 is hydrogen. In certain embodiments, R 5 is substituted or unsubstituted, cyclic or acyclic, branched or unbranched C 1 . 20 aliphatic. In certain embodiments, R5 is Cg-Ci 6 aliphatic, hi certain embodiments, R 5 is C 8 -Ci 6 alkyl. In some embodiments, R 5 is an unsubstituted and unbranched, Cio- 12 -aliphatic group. hi some embodiments, R 5 is . J n some embodiments, R 5
- R 5 is selected from the following formulae:
- R 5 is a Ci - 20 alkenyl moiety, optionally substituted.
- Rs is selected from the following formulae:
- R. ⁇ is substituted or unsubstituted, cyclic or acyclic, branched or unbranched Ci -20 heteroaliphatic.
- R 5 is an unsubstituted and unbranched, Co heteroaliphatic group.
- R 5 is an unsubstituted and unbranched, Cj 4 heteroaliphatic group.
- R5 is:
- R 5 is, independently, selected from the following formulae:
- R 5 is fluorinated. In certain embodiments R 5 is a fluorinated aliphatic moiety. In certain embodiments R 5 is perfluorinated. In certain embodiments R 5 is a perfluorinated aliphatic moiety. In certain embodiments, R 5 is a perfluorinated C 1. 2 0 alkyl group. In certain embodiments, R 5 is selected from the following formulae:
- R 5 is selected from the following formulae:
- each R 5 is independently hydrogen, or Ci-C 6 alkyl. In certain embodiments, each R 5 is hydrogen. In certain embodiments, R
- x is 1. In certain embodiments, x is 2. In certain embodiments, x is 3. In certain embodiments, x is 4. In certain embodiments, x is 5. In certain embodiments, x is 6. In certain embodiments, x is 7. In certain embodiments, x is 8. In certain embodiments, x is 9. In certain embodiments, x is 10.
- y is 1. In certain embodiments, y is 2. In certain embodiments, y is 3. In certain embodiments, y is 4. In certain embodiments, y is 5. In certain embodiments, y is 6. In certain embodiments, y is 7. In certain embodiments, y is 8. In certain embodiments, y is 9. In certain embodiments, y is 10.
- x is 1 and y is 2. In certain embodiments, x is 1 and y is 3.
- x is 1 and y is 4. In certain embodiments, x is 1 and y is 5. In certain embodiments, x is 2 and y is 2. In certain embodiments, x is 2 and y is 3.
- Ry is hydrogen.
- R ⁇ is substituted or unsubstituted, cyclic or acyclic, branched or unbranched C 1 . 2 0 aliphatic.
- Ry is is Ci-C 6 alkyl.
- Ry is substituted or unsubstituted, cyclic or acyclic, branched or unbranched Ci- 20 heteroaliphatic.
- Ry is substituted or unsubstituted aryl.
- Ry is substituted or unsubstituted
- Ry is . In certain embodiments,
- Rz is hydrogen. In certain embodiments, Rz is substituted or unsubstituted, cyclic or acyclic, branched or unbranched Ci -20 aliphatic. In certain embodiments, Ry is is Ci-C 6 alkyl. In certain embodiments, Rz is substituted or unsubstituted, cyclic or acyclic, branched or unbranched Ci -20 heteroaliphatic. In certain embodiments, Rz is substituted or unsubstituted aryl. In certain embodiments, R z is substituted or unsubstituted
- Rz is . in certain embodiments,
- Particular exemplary compounds include:
- aminoalcohol lipidoid compounds of the present invention comprises a mixture of formulae:
- aminoalcohol lipidoid compound of the present invention is of the formula:
- each occurrence of R A is independently hydrogen; substituted or unsubstituted, cyclic or acyclic, branched or unbranched Cj. 20 aliphatic; substituted or unsubstituted, cyclic or acyclic, branched or unbranched C 1 . 20 heteroaliphatic; substituted or unsubstituted aryl; substituted or
- each occurrence of Rs is independently hydrogen; substituted or unsubstituted, cyclic or acyclic, branched or unbranched C 1 . 2 0 aliphatic; substituted or unsubstituted, cyclic or acyclic, branched or unbranched Ci- 2 0 heteroaliphatic; substituted or unsubstituted aryl; or substituted or unsubstituted heteroaryl; each occurrence of x is an integer between 1 and 10, inclusive; each occurrence of y is an integer between 1 and 10, inclusive; or a pharmaceutically acceptable salt thereof.
- R A is hydrogen. In certain embodiments, no R A is hydrogen. In certain embodiments, at least one R A is hydrogen. In certain embodiments, R A is substituted or unsubstituted, cyclic or acyclic, branched or unbranched Ci -20 heteroaliphatic. In certain embodiments, R A is substituted or unsubstituted aryl. In certain embodiments, R A is substituted or unsubstituted heteroaryl. In certain embodiments, two R A 'S together may form a
- At least one R A is .
- At least one R A is .
- R A is substituted or unsubstituted, cyclic or acyclic, branched or unbranched Ci -20 aliphatic.
- at least one R A is an alkenyl group.
- At least one R A is ⁇ In 1 certain embodiments, at least one R A is . In certain embodiments, at least one R A is ⁇ In certain embodiments, at least one
- R A is . In certain embodiments, at least one R A is In
- At least one R A is .
- At least one R A is . In certain embodiments, at least one R A is In
- At least one R A is I n certain embodiments, two R A variables are the same. In certain embodiments, three R A variables are the same. In certain embodiments, each R A variable is different from the other.
- R 5 is hydrogen. In certain embodiments, R5 is substituted or unsubstituted, cyclic or acyclic, branched or unbranched Ci - 20 aliphatic. In certain embodiments, R5 is C 8 -Ci 6 aliphatic. In certain embodiments, R5 is C 8 -Ci 6 alkyl. In some embodiments, R 5 is an unsubstituted and unbranched, C ⁇ o- 12 -aliphatic group. In some
- R 5 is a Cj. 20 alkenyl moiety, optionally substituted. In certain embodiments, R 5 is selected from the following formulae:
- R 5 is substituted or unsubstituted, cyclic or acyclic, branched or unbranched Ci -20 heteroaliphatic. In some embodiments, R 5 is an unsubstituted and unbranched, Cu heteroaliphatic group. In some embodiments, R 5 is an unsubstituted and unbranched, C14 heteroaliphatic group. In certain embodiments, R 5 is:
- R 5 is, independently, selected from the following formulae:
- R 5 is substituted or unsubstituted aryl. In certain embodiments, R 5 is or substituted or unsubstituted heteroaryl. In certain embodiments, R 5 is . In certain embodiments, each is independently or
- R 5 is OH .
- R 5 is fluorinated. In certain embodiments R 5 is a fluorinated aliphatic moiety. In certain embodiments R 5 is perfluorinated. In certain embodiments R 5 is a perfluorinated aliphatic moiety. In certain embodiments, R 5 is a perfluorinated C 1 . 20 alkyl group. In certain embodiments, R 5 is selected from the following formulae:
- R 5 is selected from the following formulae:
- each R 5 is independently hydrogen, or C ⁇ -C(, alkyl. In certain embodiments, each R 5 is hydrogen. In certain embodiments, R
- x is 1. In certain embodiments, x is 2. In certain embodiments, x is 3. In certain embodiments, x is 4. In certain embodiments, x is 5. In certain embodiments, x is 6. In certain embodiments, x is 7. In certain embodiments, x is 8. In certain embodiments, x is 9. In certain embodiments, x is 10.
- y is 1. In certain embodiments, y is 2. In certain embodiments, y is 3. In certain embodiments, y is 4. In certain embodiments, y is 5. In certain embodiments, y is 6. In certain embodiments, y is 7. In certain embodiments, y is 8. In certain embodiments, y is 9. In certain embodiments, y is 10.
- an aminoalcohol lipidoid compound or composition containing aminoalcohol lipidoid compound(s) is prepared by reacting an amine of one of the formulae:
- the epoxide-terminated compounds are of the formula:
- the epoxide-containing compound is of the formula: [00219] In certain embodiments, the epoxide contains one or more chiral centers, such as those shown below for amine C8b:
- one equivalent of an amine is reacted with one equivalent of an epoxide-terminated compound.
- one equivalent of an amine is reacted with one, two, three, four, five, six or more equivalents of an epoxide-terminated compound.
- the amount of epoxide-terminated compound is limiting to prevent the functionalization of all amino groups.
- the resulting aminoalcohol lipidoid or aminoalcohol lipidoid composition in these instances contain secondary amino groups and/or primary amino groups. Aminoalcohol lipidoid compounds having secondary amines are particular useful in certain instances.
- amine-containing aminoalcohol lipidoid compounds that have not been fully functionalized are futher reacted with another electrophile (e.g., terminal epoxide, alkyl halide, etc.).
- another electrophile e.g., terminal epoxide, alkyl halide, etc.
- Such further functionalization of the amines of the aminoalcohol lipidoid compound results in aminoalcohol lipidoid compounds with different epoxide-compound derived tails.
- One, two, three, four, five, or more tails may be different from the other tails of the aminoalcohol lipidoid compounds.
- the epoxide is stereochemical ⁇ pure (e.g., enantiomerically pure).
- the amine is stereochemically pure (e.g., enantiomerically pure).
- the lipidoid is prepared from the reductive amination of an imine which derived from the condensation of an amine and an aldehyde.
- the compounds of the invention can have an enantiomeric excess or a diastereomeric excess up to and including 2%, 5%, 10%, 15%, 20%, 25%, 30%, 35%, 40%, 45%, 50%, 55%, 60%, 61%, 62%, 63%, 64%, 65%, 66%, 67%, 68%, 69%, 70%, 71%, 72%, 73%, 74%, 75%, 76%, 77%, 78%, 79%, 80%, 81%, 82%, 83%, 84%, 85%, 86%, 87%, 88%, 89%, 90%, 90.5%, 91%, 91.5%, 92%, 92.5%, 93%, 93.5%, 94%, 94.5%, 95%, 95.5%, 96%, 96.5%, 97%, 97.5%, 98%, 98.5%, 99%, 99.5%, or 100%.
- An aminoalcohol lipidoid compound may have amines that have reacted in one or both manners.
- the amine and epoxide-terminated compound are reacted together neat.
- the reaction is done in a solvent (e.g., THF, CH 2 Cl 2 , MeOH, EtOH, CHCb, hexanes, toluene, benzene, CCl 4 , glyme, diethyl ether, etc.).
- the reaction mixture is heated.
- the reaction mixture is heated to temperature ranging from 30 0 C-IOO 0 C.
- the reaction mixture is heated to approximately 90 0 C.
- the reaction may also be catalyzed.
- the reaction may be catalyzed by the addition of an acid, base, or metal (e.g., Lewis acid).
- the reaction may be allowed to proceed for hours, days, or weeks. In certain embodiments, the reaction is allowed to proceed for 1-7 days. In certain embodiments, the reactions were run from about 1 to about 3 days.
- the resulting composition may be used with or without purification.
- the lipidoids are subsequently subjected to an alkylation step (e.g., reaction with methyl iodide) to form quaternary amine salts.
- an alkylation step e.g., reaction with methyl iodide
- various salt forms of the lipidoids may be prepared.
- the salts are pharmaceutically acceptable salts.
- the aminoalcohol lipidoid compound or composition containing a mixture of aminoalcohol lipidoid compounds is prepared by reacting amine
- the amine 200-derived aminoalcohol lipidoid compounds i.e., C 12-200
- its various possible isomers are of the formulae below:
- the aminoalcohol lipidoid composition is a composition containing one or more of the above aminoalcohol lipidoid compounds.
- aminoalcohol lipidoid compound or composition containing a mixture of aminoalcohol lipidoid compounds is prepared by reacting amine 205
- the amine 205-derived aminoalcohol lipidoid compounds i.e., C12-205
- its various possible isomers are of the formulae below:
- the aminoalcohol lipidoid composition is a composition containing one or more of the above aminoalcohol lipidoid compounds.
- the aminoalcohol lipidoid is of the
- the aminoalcohol lipidoid compound is of the
- aminoalcohol lipidoid compound is a mixure of and j n certain embodiments, each is
- the aminoalcohol lipidoid composition is a composition containing one or more of the above aminoalcohol lipidoid compounds.
- the aminoalcohol lipidoid compound or composition containing a mixture of aminoalcohol lipidoid compounds is prepared by reacting amine 96 w j tn an epoxide-terminated compound C 16.
- the amine 96-derived aminoalcohol lipidoid compounds i.e., Cl 6-96
- its various possible isomers are of the formulae below:
- aminoalcohol lipidoid compound or composition containing a mixture of aminoalcohol lipidoid compounds is prepared by reacting amine 210
- the aminoalcohol lipidoid composition is a composition containing one or more of the above aminoalcohol lipidoid compounds.
- aminoalcohol lipidoid compound or composition containing a mixture of aminoalcohol lipidoid compounds is prepared by reacting amine 220 with the epoxide-terminated compound C 12.
- amine 220 reacting amine 220 with the epoxide-terminated compound C 12.
- 220-derived aminoalcohol lipidoid compounds i.e., C12-220 isomeric structures that are possible from this reaction.
- the aminoalcohol lipidoid composition is a composition containing one or more of the above aminoalcohol lipidoid compounds.
- the aminoalcohol lipidoid compound or composition containing a mixture of aminoalcohol lipidoid compounds is prepared by reacting amine 111 w j tn me epoxide-terminated compound Cl 2.
- amine 111 w j tn me epoxide-terminated compound Cl 2 is prepared by reacting amine 111 w j tn me epoxide-terminated compound Cl 2.
- I l l-derived aminoalcohol lipidoid compounds i.e., C 12-1 11
- the aminoalcohol lipidoid composition is a composition containing one or more of the above aminoalcohol lipidoid compounds.
- the inventive aminoalcohol lipidoid compounds may be prepared by any method known in the art.
- the aminoalcohol lipidoid compounds are prepared from commercially available starting materials, such as terminal-epoxide compounds, interior epoxide compounds, and amines.
- the aminoalcohol lipidoid compounds are prepared from easily and/or inexpensively prepared starting materials.
- the inventive aminoalcohol lipidoid compounds can be prepared by total synthesis starting from commercially available starting materials.
- a particular aminoalcohol lipidoid compound may be the desired final product of the synthesis, or a mixture of aminoalcohol lipidoid compounds may be the desired final product.
- the inventive aminoalcohol lipidoid compound is prepared by reacting an amine with an epoxide-terminated compound.
- An exemplary reaction scheme is shown in Figure 1.
- Any amine containing between one, two, and five amine functionalities is useful in preparing inventive aminoalcohol lipidoid compounds.
- Primary amines useful in this invention include, but are not limited to, methylamine, ethylamine, isopropylamine, aniline, substituted anilines, ethanolamine, decylamine, undecylamine, dodecylamine, tetradecylamine, hexadecylamine, and octadecylamine.
- the amine may be a bis(primary amine) including, but not limited to, ethyl enediamine, 1,3 diaminopropane, 1,4 diamino butane, 1 ,5 diaminopentane, 1,6 diaminohexane, 2,2'(ethylenedioxy)bis(ethylamin ⁇ ).
- the amine may be a bis(secondary amine).
- Secondary amines useful in this invention include, but are not limited to dipropylamine and methylpentylamine.
- the amine may include both primary and secondary amines including, but not limited to, (2-aminoethyl) ethanolamine, diethylenetriamine and triethylenetetramine.
- the amine is commercially available.
- the amine is stereochemical ⁇ pure (e.g., enantiomerically pure).
- the amine used in the synthesis of the aminoalcohol lipidoid compound is of the formula:
- Epoxide-terminated compounds that are useful in the present invention include any epoxide-terminated compounds that are racemic or stereoisomers thereof, all of varying chain lengths and feature unique functional groups having varying degrees of saturation.
- the epoxide is stereochemical ⁇ pure (e.g., enantiomerically pure).
- the epoxide contains one or more chiral centers.
- the epoxide-terminated compounds are of the formula:
- the epoxide-terminated compounds are of the formula: In certain embodiments, the epoxide-terminated compounds are of the formula:
- the epoxide contains one or more chiral centers, such as those shown below:
- the enantiomeric epoxide is resolved from the racemic mixture of epoxides using hydrolytic kinetic resolution (HKR) catalyzed with the (R,R)- HKR catalyst of the formula:
- the enantiomeric epoxide is resolved from the racemic mixture of epoxides using hydrolytic kinetic resolution (HKR) catalyzed with the (S 1 S)-HKR catalyst of the formula:
- aminoalcohol lipidois of the invention are prepared from a process comprising steps of:
- R 1 is hydrogen, a substituted, unsubstituted, branched or unbranched Ci- 20 -aliphatic or a substituted, unsubstituted, branched or unbranched Ci- 2 0 heteroaliphatic, wherein at least one occurrence of Ri is hydrogen;
- R B , Rc, and R D are, independently, hydrogen, a substituted, unsubstituted, branched or unbranched C
- R B and R D together may optionally form a cyclic structure;
- Rc and R D together may optionally form a cyclic structure;
- R E is a substituted, unsubstituted, branched or unbranched C ⁇ - 2 0 aliphatic or a substituted, unsubstituted, branched or unbranched C 1 . 2 0 heteroaliphatic;
- PGi and PG 2 are O-protecting groups as described herein.
- the epoxide primary alcohol of step (a) is ; and the amine of
- step (f) is . in certain embodiments, the epoxide primary alcohol
- step (a) is .
- the chiral epoxides useful in the invention can be obtained from a variety of sources which are familiar to those skilled in the art of organic synthesis. In some embodiments, the chiral epoxides useful in the invention can be obtained commercially. In some embodiments, the chiral epoxides useful in the invention can be synthesized according to methods known to those of skill in the art, such as, but not limited to the Sharpless epoxidation of primary and secondary allylic alcohols into 2,3-epoxyaIcohols (Katsuki, et ah, J. Am. Chem. Soc. 1980, 102, 5974; Hill, et al, Org. Syn., Coll. Vol.
- the chiral epoxides useful in the invention are obtained from the resolution of racemic epoxides. In some embodiments, the chiral epoxides useful in the invention are obtained by the separation of enantiomers or diastereoisomers on chiral columns.
- the reaction is performed neat without the use of a solvent.
- a solvent is used for the reaction.
- Both or one of the starting amine or epoxide-terminated compound is dissolved in an organic solvent ⁇ e.g., THF, CH 2 CI 2 , MeOH, EtOH, CHCI 3 , hexanes, toluene, benzene, CCl 4 , glyme, diethyl ether, etc.).
- organic solvent ⁇ e.g., THF, CH 2 CI 2 , MeOH, EtOH, CHCI 3 , hexanes, toluene, benzene, CCl 4 , glyme, diethyl ether, etc.
- the resulting solutions are combined, and the reaction mixture is heated to yield the desired aminoalcohol lipidoid compound.
- the reaction mixture is heated to a temperature ranging from 25 0 C to 100 0 C, preferably at approximately 90 0 C.
- the reaction may also be catalyzed.
- the reaction may be catalyzed by the addition of an acid, base, or metal.
- the reagents may be allowed to react for hours, days, or weeks. Preferably, the reaction is allowed to proceed from overnight ⁇ e.g., 8-12 hours) to 7 days.
- the synthesized aminoalcohol lipidoid compounds may be purified by any technique known in the art including, but not limited to, precipitation, crystallization, chromatography, distillation, etc. In certain embodiments, the aminoalcohol lipidoid compound is purified through repeated precipitations in organic solvent (e.g., diethyl ether, hexane, etc.).
- the aminoalcohol lipidoid compound is isolated as a salt.
- the aminoalcohol lipidoid compound is reacted with an acid (e.g., an organic acid or inorganic acid) to form the corresponding salt.
- the tertiary amine is alkylated to form a quaternary ammonium salt of the aminoalcohol lipidoid compound.
- the teitiary amines may be alkylated with any alkylating agent, for example, alkyl halides such as methyl iodide may be used to from the quaternary amino groups.
- the anion associated with the quaternary amine may be any organic or inorganic anion.
- the anion is a pharmaceutically acceptable anion.
- the reaction mixture results in a mixture of isomers with varying numbers and positions of epoxide-derived compound tails. Such mixtures of products or compounds may be used as is, or a single isomer, or compound, may be purified from the reaction mixture. When an amine is not exhaustively alkylated, the resulting primary, secondary, or tertiary amines may be further reacted with another aminoalcohol lipidoid compound, epoxide-terminated compound, or other electrophile. The resulting aminoalcohol lipidoid compound may then be optionally purified.
- a desired aminoalcohol lipidoid compound is prepared by traditional total synthesis.
- a commercially available amine is the starting material.
- One or more amino groups of the amine are optionally protected.
- the unprotected amino groups are reacted with an epoxide-terminated compound.
- the product is optionally purified.
- Protecting groups are removed, and the free amino groups are optionally reacted with another aminoalcohol lipidoid compound, epoxide-terminated compound, or other electrophile.
- Such a sequence may be repeated depending on the desired complexity of the inventive product being prepared.
- the final product may then be optionally purified.
- a library of different aminoalcohol lipidoid compounds is prepared in parallel.
- a different amine and/or epoxide-terminated compound is added to each vial in a set of vials or to each well of a multi-well plate used to prepare the library.
- the array of reaction mixtures is incubated at a temperature and length of time sufficient to allow formation of the aminoalcohol lipidoid compounds to occur.
- the vials are incubated at approximately 90 0 C overnight.
- the vials are incubated from 1 to 7 days at approximately 90 0 C.
- the vials are incubated from 3 to 4 days at approximately 90 0 C.
- the vials are incubated from 1 to 2 days at approximately 90 0 C.
- the aminoalcohol lipidoid compounds may then be isolated and purified using techniques known in the art.
- the aminoalcohol lipidoid compounds may then be screened using high-throughput techniques to identify aminoalcohol lipidoid compounds with a desired characteristic (e.g., solubility in water, solubility at different pH, ability to bind polynucleotides, ability to bind heparin, ability to bind small molecules, ability to bind protein, ability to form microparticles, ability to increase tranfection efficiency, etc.).
- the aminoalcohol lipidoid compounds may be screened for properties or characteristics useful in gene therapy (e.g., ability to bind polynucleotides, increase in transfection efficiency).
- Cationic lipids such as Lipofectamine have been prepared and studied for their ability to complex and transfect polynucleotides. The interaction of the lipid with the polynucleotide is thought to at least partially prevent the degradation of the polynucleotide.
- the neutral or slightly-positively-charged complex is also able to more easily pass through the hydrophobic membranes (e.g., cytoplasmic, lysosomal, endosomal, nuclear) of the cell.
- the complex is slightly positively charged.
- the complex has a positive ⁇ -potential, more preferably the ⁇ -potential is between 0 and +30.
- the aminoalcohol lipidoid compounds of the present invention possess tertiary amines. Although these amines are hindered, they are available to interact with a polynucleotide (e.g., DNA, RNA, synthetic analogs of DNA and/or RNA, DNA/RNA hydrids, etc.). Polynucleotides or derivatives thereof are contacted with the inventive aminoalcohol lipidoid compounds under conditions suitable to form polynucleotide/lipidoid complexes.
- the lipidoid is preferably at least partially protonated so as to form a complex with the negatively charged polynucleotide.
- the polynucleotide/lipidoid complexes form particles that are useful in the delivery of polynucleotides to cells.
- multiple aminoalcohol lipidoid molecules may be associated with a polynucleotide molecule.
- the complex may include 1-100 aminoalcohol lipidoid molecules, 1-1000 aminoalcohol lipidoid molecules, 10-1000 aminoalcohol lipidoid molecules, or 100-10,000 aminoalcohol lipidoid molecules.
- the complex may form a particle.
- the diameter of the particles ranges from 10-500 micrometers. In certain embodiments, the diameter of the particles ranges from 10-1200 micrometers. In certain embodiments, the diameter of the particles ranges from 50- 150 micrometers. In certain embodiments, the diameter of the particles ranges from 10-500 nm, more preferably the diameter of the particles ranges from 10-1200 nm, and most preferably from 50-150 nm.
- the particles may be associated with a targeting agent as described below. In certain embodiments, the diameter of the particles ranges from 10-500 pm, more preferably the diameter of the particles ranges from 10-1200 pm, and most preferably from 50-150 pm.
- the particles may be associated with a targeting agent as described below.
- the polynucleotide to be complexed, encapsulated by the inventive aminoalcohol lipidoid compounds, or included in a composition with the inventive aminoalcohol lipidoid compounds may be any nucleic acid including, but not limited to, RNA and DNA.
- the polynucleotide is DNA.
- the polynucleotide is RNA.
- the polynucleotide is an RNA that carries out RNA interference (RNA/).
- RNAi RNAi double-stranded RNA
- the polynucleotide is an siRNA (short interfering RNA).
- the polynucleotide is an shRNA (short hairpin RNA).
- the polynucleotide is an miRNA (micro RNA).
- micro RNAs are genomically encoded non-coding RNAs of about 21 - 23 nucleotides in length that help regulate gene expression, particularly during development (see, e.g., Bartel, 2004, Cell, 1 16:281 ; Novina and Sharp, 2004, Nature, 430: 161 ; and U.S.
- the polynucleotide is an antisense RNA.
- a dsRNA, siRNA, shRNA, miRNA and/or antisense RNA can be designed and/or predicted using one or more of a large number of available algorithms.
- the following resources can be utilized to design and/or predict dsRNA, siRNA, shRNA, and/or miRNA: algorithms found at Alnylum Online, Dharmacon Online, OligoEngine Online, Molecula Online, Ambion Online, BioPredsi Online, RNAi Web Online, Chang Bioscience Online, Invitrogen Online, LentiWeb Online GenScript Online, Protocol Online; Reynolds et al., 2004, Nat.
- the polynucleotides may be of any size or sequence, and they may be single- or double-stranded. In certain embodiments, the polynucleotide is greater than 100 base pairs long. In certain embodiments, the polynucleotide is greater than 1000 base pairs long and may be greater than 10,000 base pairs long.
- the polynucleotide is optionally purified and substantially pure. Preferably, the polynucleotide is greater than 50% pure, more preferably greater than 75% pure, and most preferably greater than 95% pure.
- the polynucleotide may be provided by any means known in the art. In certain embodiments, the polynucleotide has been engineered using recombinant techniques (for a more detailed description of these techniques, please see Ausubel et al. Current Protocols in Molecular Biology (John Wiley & Sons, Inc., New York, 1999); Molecular Cloning: A Laboratory Manual, 2nd Ed., ed.
- the polynucleotide may also be obtained from natural sources and purified from contaminating components found normally in nature.
- the polynucleotide may also be chemically synthesized in a laboratory. In certain embodiments, the polynucleotide is synthesized using standard solid phase chemistry.
- the polynucleotide may be modified by chemical or biological means. In certain embodiments, these modifications lead to increased stability of the polynucleotide. Modifications include methylation, phosphorylation, end-capping, etc.
- Derivatives of polynucleotides may also be used in the present invention. These derivatives include modifications in the bases, sugars, and/or phosphate linkages of the polynucleotide.
- Modified bases include, but are not limited to, those found in the following nucleoside analogs: 2-aminoadenosine, 2-thiothymidine, inosine, pyrrolo-pyrimidine, 3-methyl adenosine, 5-methylcytidine, C5-bromouridine, C5-fluorouridine, C5-iodouridine, C5-propynyl-uridine, C5-propynyl-cytidine, C5-methylcytidine, 7-deazaadenosine, 7-deazaguanosine, 8-oxoadenosine, 8-oxoguanosine, O(6)-methylguanine, and 2-thiocytidine.
- Modified sugars include, but are not limited to, 2'-fluororibose, ribose, 2'-deoxyribose, 3 ' -azido- 2',3'-dideoxyribose, 2',3'-dideoxyribose, arabinose (the 2'-epimer of ribose), acyclic sugars, and hexoses.
- the nucleosides may be strung together by linkages other than the phosphodiester linkage found in naturally occurring DNA and RNA.
- Modified linkages include, but are not limited to, phosphorothioate and 5'-N-phosphoramidite linkages.
- the polynucleotides to be delivered may be in any form.
- the polynucleotide may be a circular plasmid, a linearized plasmid, a cosmid, a viral genome, a modified viral genome, an artificial chromosome, etc.
- the polynucleotide may be of any sequence.
- the polynucleotide encodes a protein or peptide.
- the encoded proteins may be enzymes, structural proteins, receptors, soluble receptors, ion channels, pharmaceutically active proteins, cytokines, interleukins, antibodies, antibody fragments, antigens, coagulation factors, albumin, growth factors, hormones, insulin, etc.
- the polynucleotide may also comprise regulatory regions to control the expression of a gene. These regulatory regions may include, but are not limited to, promoters, enhancer elements, repressor elements, TATA box, ribosomal binding sites, stop site for transcription, etc.
- the polynucleotide is not intended to encode a protein.
- the polynucleotide may be used to fix an error in the genome of the cell being transfected.
- the polynucleotide may also be provided as an antisense agent or RNA interference (RNAi) (Fire et al. Nature 391 :806-811 , 1998; incorporated herein by reference).
- RNAi RNA interference
- Antisense therapy is meant to include, e.g., administration or in situ provision of single- or double-stranded oligonucleotides or their derivatives which specifically hybridize, e.g., bind, under cellular conditions, with cellular mRNA and/or genomic DNA, or mutants thereof, so as to inhibit expression of the encoded protein, e.g., by inhibiting transcription and/or translation (Crooke "Molecular mechanisms of action of antisense drugs" Biochim. Biophys. Acta 1489(l):31-44, 1999; Crooke “Evaluating the mechanism of action of antiproliferative antisense drugs” Antisense Nucleic Acid Drug Dev.
- the binding may be by conventional base pair complementarity, or, for example, in the case of binding to DNA duplexes, through specific interactions in the major groove of the double helix (i.e., triple helix formation) (Chan et al. J. MoI. Med. 75(4):267-282, 1997; incorporated herein by reference).
- the polynucleotide to be delivered comprises a sequence encoding an antigenic peptide or protein.
- Nanoparticles containing these polynucleotides can be delivered to an individual to induce an immunologic response sufficient to decrease the chance of a subsequent infection and/or lessen the symptoms associated with such an infection.
- the polynucleotide of these vaccines may be combined with interleukins, interferon, cytokines, and adjuvants such as cholera toxin, alum, Freund's adjuvant, etc.
- the antigenic protein or peptides encoded by the polynucleotide may be derived from such bacterial organisms as Streptococccus pneumoniae, Haemophilus influenzae, Staphylococcus aureus, Streptococcus pyrogenes, Corynebacterium diphtheriae, Listeria monocytogenes. Bacillus anthracis, Clostridium tetani, Clostridium botulinum, Clostridium perfringens, Neisseria meningitidis, Neisseria gonorrhoeae, Streptococcus mutans.
- the aminoalcohol lipidoid compounds of the present invention may also be used to form drug delivery devices.
- the inventive aminoalcohol lipidoid compounds may be used to encapsulate agents including polynucleotides, small molecules, proteins, peptides, metals, organometallic compounds, etc.
- the inventive aminoalcohol lipidoid compounds have several properties that make them particularly suitable in the preparation of drug delivery devices. These include: 1) the ability of the lipid to complex and "protect" labile agents; 2) the ability to buffer the pH in the endosome; 3) the ability to act as a "proton sponge” and cause endosomolysis; and 4) the ability to neutralize the charge on negatively charged agents.
- the aminoalcohol lipidoid compounds are used to form particles containing the agent to be delivered. These particles may include other materials such as proteins, carbohydrates, synthetic polymers ⁇ e.g., PEG, PLGA), and natural polymers.
- the diameter of the particles range from between 1 micrometer to 1,000 micrometers. In certain embodiments, the diameter of the particles range from between from 1 micrometer to 100 micrometers. In certain embodiments, the diameter of the particles range from between from 1 micrometer to 10 micrometers. In certain embodiments, the diameter of the particles range from between from 10 micrometer to 100 micrometers. In certain embodiments, the diameter of the particles range from between from 100 micrometer to 1 ,000 micrometers.
- the particles range from 1-5 micrometers. In certain embodiments, the diameter of the particles range from between 1 nm to 1 ,000 nm. In certain embodiments, the diameter of the particles range from between from 1 nm to 100 nm. In certain embodiments, the diameter of the particles range from between from 1 nm to 10 nm. In certain embodiments, the diameter of the particles range from between from 10 nm to 100 nm. In certain embodiments, the diameter of the particles range from between from 100 nm to 1,000 nm. In certain embodiments, the particles range from 1-5 nm. In certain embodiments, the diameter of the particles range from between 1 pm to 1,000 pm. In certain embodiments, the diameter of the particles range from between from 1 pm to 100 pm.
- the diameter of the particles range from between from 1 pm to 10 pm. In certain embodiments, the diameter of the particles range from between from 10 pm to 100 pm. In certain embodiments, the diameter of the particles range from between from 100 pm to 1 ,000 pm. In certain embodiments, the particles range from 1 -5 pm.
- inventive particles may be prepared using any method known in this art. These include, but are not limited to, spray drying, single and double emulsion solvent evaporation, solvent extraction, phase separation, simple and complex coacervation, and other methods well known to those of ordinary skill in the art.
- methods of preparing the particles are the double emulsion process and spray drying.
- the conditions used in preparing the particles may be altered to yield particles of a desired size or property (e.g., hydrophobicity, hydrophilicity, external morphology, "stickiness", shape, etc.).
- the method of preparing the particle and the conditions (e.g., solvent, temperature, concentration, air flow rate, etc.) used may also depend on the agent being encapsulated and/or the composition of the matrix.
- Methods developed for making particles for delivery of encapsulated agents are described in the literature (for example, please see Doubrow, M., Ed., “Microcapsules and Nanoparticles in Medicine and Pharmacy," CRC Press, Boca Raton, 1992; Mathiowitz and Langer, J. Controlled Release 5:13-22, 1987; Mathiowitz et al. Reactive Polymers 6:275-283, 1987; Mathiowitz et al. J. Appl.
- the particles prepared by any of the above methods have a size range outside of the desired range, the particles can be sized, for example, using a sieve.
- the particle may also be coated.
- the particles are coated with a targeting agent.
- the particles are coated to achieve desirable surface properties (e.g., a particular charge).
- the aminoalcohol lipidoid compounds of the invention may be used to prepare micelles or liposomes. Many techniques for preparing micelles and liposomes are known in the art, and any method may be used with the inventive aminoalcohol lipidoid compounds to make micelles and liposomes. In addition, any agent including polynucleotides, small molecules, proteins, peptides, metals, organometallic compounds, etc. may be included in a micelle or liposome. Micelles and liposomes are particularly useful in delivering hydrophobic agents such as hydrophobic small molecules.
- liposomes are formed through spontaneous assembly.
- liposomes are formed when thin lipid films or lipid cakes are hydrated and stacks of lipid crystalline bilayers become fluid and swell. The hydrated lipid sheets detach during agitation and self-close to form large, multilamellar vesicles (LMV). This prevents interaction of water with the hydrocarbon core of the bilayers at the edges. Once these particles have formed, reducing the size of the particle can be modified through input of sonic energy (sonication) or mechanical energy (extrusion). See Walde, P.
- Aminoalcohol lipidoid compounds are first dissolved in an organic solvent to assure a homogeneous mixture of aminoalcohol lipidoid compounds. The solvent is then removed to form a lipidoid film. This film is thoroughly dried to remove residual organic solvent by placing the vial or flask on a vaccuum pump overnight. Hydration of the lipidoid film/cake is accomplished by adding an aqueous medium to the container of dry lipidoid and agitating the mixture. Disruption of LMV suspensions using sonic energy typically produces small unilamellar vesicles (SUV) with diameters in the range of 15-50 nm.
- SUV small unilamellar vesicles
- Lipid extrusion is a technique in which a lipid suspension is forced through a polycarbonate filter with a defined pore size to yield particles having a diameter near the pore size of the filter used. Extrusion through filters with 100 nm pores typically yields large, unilamellar vesicles (LUV) with a mean diameter of 120-140 nm.
- LUV unilamellar vesicles
- the polynucleotide is an RNA molecule (e.g., an RNAi molecule). In other embodiments, the polynucleotide is a DNA molecule.
- the aminoalcohol lipidoid is C14- 120. In certain embodiments, the aminoalcohol lipidoid is C16-120. In certain embodiments, the aminoalcohol lipidoid is C14-98. In certain embodiments, the aminoalcohol lipidoid is C14-113. In certain embodiments, the aminoalcohol lipidoid is Cl 8-96. In certain embodiments, the aminoalcohol lipidoid is C 14-96.
- the aminoalcohol lipidoid is C 14- 110.
- the amount of aminoalcohol lipidoid compound in the liposome ranges from 30-80 mol%, preferably 40-70 mol%, more preferably 60-70 mol%.
- These liposomes may be prepared using any method known in the art. In certain embodiments (e.g., liposomes containing RNAi molecules), the liposomes are prepared by lipid extrusion.
- Certain aminoalcohol lipidoid compounds can spontaneously self assemble around certain molecules, such as DNA and RNA, to form liposomes.
- the application is the delivery of polynucleotides. Use of these aminoalcohol lipidoid compounds allows for simple assembly of liposomes without the need for additional steps or devices such as an extruder.
- the agents to be delivered by the system of the present invention may be therapeutic, diagnostic, or prophylactic agents. Any chemical compound to be administered to an individual may be delivered using the inventive complexes, picoparticles, nanoparticles, microparticles, micelles, or liposomes.
- the agent may be a small molecule, organometallic compound, nucleic acid, protein, peptide, polynucleotide, metal, an isotopically labeled chemical compound, drug, vaccine, immunological agent, etc.
- the agents are organic compounds with pharmaceutical activity.
- the agent is a clinically used drug.
- the drug is an antibiotic, anti-viral agent, anesthetic, steroidal agent, antiinflammatory agent, anti-neoplastic agent, antigen, vaccine, antibody, decongestant, antihypertensive, sedative, birth control agent, progestational agent, anti-cholinergic, analgesic, anti-depressant, an ri -psychotic, ⁇ -adrenergic blocking agent, diuretic, cardiovascular active agent, vasoactive agent, non-steroidal anti-inflammatory agent, nutritional agent, etc.
- the agent to be delivered may be a mixture of agents.
- Diagnostic agents include gases; metals; commercially available imaging agents used in positron emissions tomography (PET), computer assisted tomography (CAT), single photon emission computerized tomography, x-ray, fluoroscopy, and magnetic resonance imaging (MRI); and contrast agents.
- PET positron emissions tomography
- CAT computer assisted tomography
- MRI magnetic resonance imaging
- suitable materials for use as contrast agents in MRI include gadolinium chelates, as well as iron, magnesium, manganese, copper, and chromium.
- Examples of materials useful for CAT and x-ray imaging include iodine-based materials.
- Prophylactic agents include, but are not limited to, antibiotics, nutritional supplements, and vaccines.
- Vaccines may comprise isolated proteins or peptides, inactivated organisms and viruses, dead organisms and viruses, genetically altered organisms or viruses, and cell extracts.
- Prophylactic agents may be combined with interleukins, interferon, cytokines, and adjuvants such as cholera toxin, alum, Freund's adjuvant, etc.
- Prophylactic agents include antigens of such bacterial organisms as Streptococccus pneumoniae, Haemophilus influenzae, Staphylococcus aureus, Streptococcus pyrogenes, Corynebacterium diphtheriae, Listeria monocytogenes.
- Bacillus anthracis Clostridium tetani, Clostridium botulinum, Clostridium perfringens, Neisseria meningitidis, Neisseria gonorrhoeae, Streptococcus mutans, Pseudomonas aeruginosa, Salmonella typhi, Haemophilus parainfluenzae, Bordetella pertussis, Francisella tularensis, Yersinia pestis, Vibrio cholerae, Legionella pneumophila, Mycobacterium tuberculosis, Mycobacterium leprae, Treponema pallidum, Leptospirosis interrogans, Borrelia burgdorferi, Camphylobacter jejuni, and the like; antigens of such viruses as smallpox, influenza A and B, respiratory syncytial virus, parainfluenza, measles, HIV, varicella-zoster, her
- the inventive complexes, liposomes, micelles, microparticles, picoparticles and nanoparticles may be modified to include targeting agents since it is often desirable to target a particular cell, collection of cells, or tissue.
- targeting agents that direct pharmaceutical compositions to particular cells are known in the art (see, for example, Cotten et al. Methods Enzym. 217:618, 1993; incorporated herein by reference).
- the targeting agents may be included throughout the particle or may be only on the surface.
- the targeting agent may be a protein, peptide, carbohydrate, glycoprotein, lipid, small molecule, nucleic acids, etc.
- the targeting agent may be used to target specific cells or tissues or may be used to promote endocytosis or phagocytosis of the particle.
- targeting agents include, but are not limited to, antibodies, fragments of antibodies, low-density lipoproteins (LDLs), transferrin, asialycoproteins, gpl20 envelope protein of the human immunodeficiency virus (HIV), carbohydrates, receptor ligands, sialic acid, aptamers etc.
- LDLs low-density lipoproteins
- transferrin asialycoproteins
- carbohydrates receptor ligands
- sialic acid aptamers etc.
- the targeting agent may be included in the mixture that is used to form the particles.
- the targeting agent may be associated with ⁇ i.e., by covalent, hydrophobic, hydrogen bonding, van der Waals, or other interactions) the formed particles using standard chemical techniques.
- compositions of the present invention and for use in accordance with the present invention may include a pharmaceutically acceptable excipient or carrier.
- pharmaceutically acceptable carrier means a non-toxic, inert solid, semi-solid or liquid filler, diluent, encapsulating material or formulation auxiliary of any type.
- materials which can serve as pharmaceutically acceptable carriers are sugars such as lactose, glucose, and sucrose; starches such as corn starch and potato starch; cellulose and its derivatives such as sodium carboxymethyl cellulose, ethyl cellulose, and cellulose acetate; powdered tragacanth; malt; gelatin; talc; excipients such as cocoa butter and suppository waxes; oils such as peanut oil, cottonseed oil; safflower oil; sesame oil; olive oil; corn oil and soybean oil; glycols such as propylene glycol; esters such as ethyl oleate and ethyl laurate; agar; detergents such as Tween 80; buffering agents such as magnesium hydroxide and aluminum hydroxide; alginic acid; pyrogen-free water; isotonic saline; Ringer's solution; ethyl alcohol; and phosphate buffer solutions, as well as other non-toxic compatible lubricants
- compositions of this invention can be administered to humans and/or to animals, orally, rectally, parenterally, intracisternally, intravaginally, intranasally, intraperitoneally, topically (as by powders, creams, ointments, or drops), bucally, or as an oral or nasal spray.
- Liquid dosage forms for oral administration include pharmaceutically acceptable emulsions, microemulsions, solutions, suspensions, syrups, and elixirs.
- the liquid dosage forms may contain inert diluents commonly used in the art such as, for example, water or other solvents, solubilizing agents and emulsifiers such as ethyl alcohol, isopropyl alcohol, ethyl carbonate, ethyl acetate, benzyl alcohol, benzyl benzoate, propylene glycol, 1,3-butylene glycol, dimethylformamide, oils (in particular, cottonseed, groundnut, corn, germ, olive, castor, and sesame oils), glycerol, tetrahydrofurfuryl alcohol, polyethylene glycols and fatty acid esters of sorbitan, and mixtures thereof.
- the oral compositions can also include adjuvants such as wetting agents, emulsifying
- Injectable preparations for example, sterile injectable aqueous or oleaginous suspensions may be formulated according to the known art using suitable dispersing or wetting agents and suspending agents.
- the sterile injectable preparation may also be a sterile injectable solution, suspension, or emulsion in a nontoxic parenterally acceptable diluent or solvent, for example, as a solution in 1 ,3-butanediol.
- acceptable vehicles and solvents that may be employed are water, Ringer's solution, U.S.P. and isotonic sodium chloride solution.
- sterile, fixed oils are conventionally employed as a solvent or suspending medium.
- any bland fixed oil can be employed including synthetic mono- or diglycerides.
- fatty acids such as oleic acid are used in the preparation of injectables.
- the particles are suspended in a carrier fluid comprising 1% (w/v) sodium carboxymethyl cellulose and 0.1% (v/v) Tween 80.
- the injectable formulations can be sterilized, for example, by filtration through a bacteria-retaining filter, or by incorporating sterilizing agents in the form of sterile solid compositions which can be dissolved or dispersed in sterile water or other sterile injectable medium prior to use.
- compositions for rectal or vaginal administration are preferably suppositories which can be prepared by mixing the particles with suitable non-irritating excipients or carriers such as cocoa butter, polyethylene glycol, or a suppository wax which are solid at ambient temperature but liquid at body temperature and therefore melt in the rectum or vaginal cavity and release the particles.
- suitable non-irritating excipients or carriers such as cocoa butter, polyethylene glycol, or a suppository wax which are solid at ambient temperature but liquid at body temperature and therefore melt in the rectum or vaginal cavity and release the particles.
- Solid dosage forms for oral administration include capsules, tablets, pills, powders, and granules.
- the particles are mixed with at least one inert, pharmaceutically acceptable excipient or carrier such as sodium citrate or dicalcium phosphate and/or a) fillers or extenders such as starches, lactose, sucrose, glucose, mannitol, and silicic acid, b) binders such as, for example, carboxymethylcellulose, alginates, gelatin, polyvinylpyrrolidinone, sucrose, and acacia, c) humectants such as glycerol, d) disintegrating agents such as agar-agar, calcium carbonate, potato or tapioca starch, alginic acid, certain silicates, and sodium carbonate, e) solution retarding agents such as paraffin, f) absorption accelerators such as quaternary ammonium compounds, g) wetting agents such as, for example, cetyl alcohol
- compositions of a similar type may also be employed as fillers in soft and hard-filled gelatin capsules using such excipients as lactose or milk sugar as well as high molecular weight polyethylene glycols and the like.
- the solid dosage forms of tablets, dragees, capsules, pills, and granules can be prepared with coatings and shells such as enteric coatings and other coatings well known in the pharmaceutical formulating art. They may optionally contain opacifying agents and can also be of a composition that they release the active ingredient(s) only, or preferentially, in a certain part of the intestinal tract, optionally, in a delayed manner. Examples of embedding compositions which can be used include polymeric substances and waxes. [00297] Solid compositions of a similar type may also be employed as fillers in soft and hard-filled gelatin capsules using such excipients as lactose or milk sugar as well as high molecular weight polyethylene glycols and the like.
- Dosage forms for topical or transdermal administration of an inventive pharmaceutical composition include ointments, pastes, creams, lotions, gels, powders, solutions, sprays, inhalants, or patches.
- the particles are admixed under sterile conditions with a pharmaceutically acceptable carrier and any needed preservatives or buffers as may be required.
- Ophthalmic formulation ear drops, and eye drops are also contemplated as being within the scope of this invention.
- the ointments, pastes, creams, and gels may contain, in addition to the particles of this invention, excipients such as animal and vegetable fats, oils, waxes, paraffins, starch, tragacanth, cellulose derivatives, polyethylene glycols, silicones, bentonites, silicic acid, talc, and zinc oxide, or mixtures thereof.
- excipients such as animal and vegetable fats, oils, waxes, paraffins, starch, tragacanth, cellulose derivatives, polyethylene glycols, silicones, bentonites, silicic acid, talc, and zinc oxide, or mixtures thereof.
- Powders and sprays can contain, in addition to the particles of this invention, excipients such as lactose, talc, silicic acid, aluminum hydroxide, calcium silicates, and polyamide powder, or mixtures of these substances.
- Sprays can additionally contain customary propellants such as chlorofluorohydrocarbons.
- Transdermal patches have the added advantage of providing controlled delivery of a compound to the body.
- dosage forms can be made by dissolving or dispensing the microparticles or nanoparticles in a proper medium.
- Absorption enhancers can also be used to increase the flux of the compound across the skin. The rate can be controlled by either providing a rate controlling membrane or by dispersing the particles in a polymer matrix or gel.
- lipidoids were synthesized by combining amines and epoxides in a glass vial equipped with a stirbar and heated to 90 0 C, as shown in Figure 1.
- the amines chosen contain between two and five amine functionalities, while the epoxides are racemic, of varying chain lengths and feature unique functional groups and varying degrees of saturation (Figure 2).
- the reaction times varied from 24 -72 hours at this temperature. Mixtures generally remained clear throughout the reaction and became noticeably viscous as the reaction progressed. Upon cooling, many became waxy solids. The extent of the reaction could be controlled by the number of equivalents of epoxide added to the reaction mixture.
- amine 1 14 has a maximum of five points for substitution. Addition of five equivalents of epoxide would yield an amine core with five alkane chains linked by a 1,2-aminoalcohol. Addition of four equivalents of epoxide would yield only four chains linked by the same structure. This was verified by thin layer chromatography (TLC), which showed primarily one product existing in the crude reaction mixtures set up as described.
- TLC thin layer chromatography
- Epoxide lipidoids were tested for their ability to deliver siRNA to a HeLa cell line that stably expresses both firefly and Renilla luciferase. Efficacy was determined by complexing the lipidoid with siRNA specific for firefly luciferase, adding this mixture to cells and measuring the subsequent ratio of firefly to Renilla expression. This procedure was performed in 96-well microtiter plates to enable high throughput testing of the materials. In this assay, reduction of both firefly and Renilla expression indicates toxicity, while reduction of only firefly expression is an indication of specific knockdown due to siRNA. Initial screening results of selected members of the library are shown in Figure 5.
- Formulation for in vitro experiments is a simple mixing of RNA with lipidoid at a set ratio in buffer prior to addition to cells.
- In vivo formulation requires the addition of extra ingredients to facilitate circulation throughout the body.
- lipidoids to form particles suitable for in vivo work, we followed a standard formulation procedure utilized in the lab. These particles consisted of 42% lipidoid, 48% cholesterol and 10% PEG.
- RNA was added and allowed to integrate with the complex. The encapsulation efficiency was determined using a standard Ribogreen assay. As shown in the table below, these particles were on the order of 100 nm after extrusion, with some achieving encapsulation efficiency of over 90%.
- HepG2 cells were seeded at a density of 15,000 cells per well into opaque white 96-well plates (Corning-Costar, Kennebunk, ME) 24 hours prior to transfection to allow for growth and confluence.
- Working dilutions of lipidoids were made in 25 mM sodium acetate (pH 5) at a concentration of 0.5 mg/ml.
- pCMV-Luc firefly luciferase DNA (ElimBiopharmaceuticals, South San Francisco, CA) was used.
- Lipidoid:DNA complexes were formed by electrostatic interaction between positively charged lipidoid molecules and negatively charged nucleic acids.
- lipidoid solution 75 ⁇ l was added to DNA solution (75 ⁇ l) and mixed well. Mixtures were then incubated at room temperature for 20 minutes to allow for complexation. These complexes (30 ⁇ l) were then added to serum containing medium (200 ⁇ l) and mixed well. Growth medium was then removed from the cells and lipidoid:DNA complex containing medium was immediately added. Total DNA loading was 300ug DNA per well. Lipofectamine 2000 transfection was performed as described by the vendor. Complexes were allowed to incubate with cells for 48 hours.
- Lipidoid-based siRNA formulations comprised lipidoid, cholesterol, polyethylene glycol-lipid (PEG-lipid) and siRNA.
- Stock solutions of Lipidoid, mPEG2000-DMG MW 2660 (synthesized by Alnylam), and cholesterol MW 387 (Sigma-Aldrich) were prepared in ethanol and mixed to yield a molar ratio of 42:10:48.
- Mixed lipids were added to 200 mM sodium acetate buffer pH 5.2 to yield a solution containing 35% ethanol, resulting in spontaneous formation of empty lipidoid nanoparticles. Resulting nanoparticles were extruded through an 80 nm membrane (three passes).
- siRNA in 35% ethanol and 50 mM sodium acetate pH 5.2 was added to the nanoparticles at 10: 1 (wt/wt) total lipids : siRNA and incubated at 37 0 C for 30 min.
- Ethanol removal and buffer exchange of siRNA-containing lipidoid nanoparticles was achieved by dialysis against PBS using a 3,500 MWCO membrane.
- Particle size was determined using a Malvern Zetasizer NanoZS (Malvern).
- siRNA content and entrapment efficiency was determined by Ribogreen assay.
- C57BL/6 mice (Charles River Labs) received either saline or siRNA in lipidoid formulations via tail vein injection at a volume of 0.01 ml/g. Mice were dosed at either 1.75 or 4 mg/kg entrapped siRNA. At 48 hours after administration, animals were anesthetized by isofluorane inhalation and blood was collected into serum separator tubes by retroorbital bleed. Serum levels of Factor VIl protein were determined in samples using a chromogenic assay (Biophen FVIl, Aniara Corporation) according to the manufacturer's protocols. A standard curve was generated using serum collected from saline-treated animals. Exemplary results are depicted in Figure 7.
- the total dose of siRNA administered in the initial screen varies from group to group due to the differences in entrapment efficiency of the lipidoid particles. In all experiments, the dose of siRNA administered to each mouse is consistent according to body weight.
- the knockdown results from the in vivo screen are shown in Figure 12.
- Bl and B2 nomenclature signify different compounds visualized by TLC and isolated during purification. As shown, C 14-1 1-B and C16-96-B were the lead compounds from the initial screen. It should be noted that while some compounds did not show efficacy in this screen, a simple adjustment of formulation composition may greatly improve the results.
- siRNA dose is based on total siRNA content in the formulation, not entrapped siRNA.
- the dose response results are shown in Figure 13a and Figure 14a.
- Factor VlI measurement the change in mouse body weight is recorded and a loss in weight is generally considered formulation induced toxicity (See Figure 13b and Figure 14b).
- Tables 1 and 2 tabulate the formulation parameters and characterization data from these experiments.
- FIG. 17b The knockdown and body weight change results of this screen are depicted in Figure 17b, and Table 5 tabulates the formulation parameters and characteristics.
- Figure 17a depicts knockdown results for a second batch of C16-96-B. In previous experiments, this compound had resulted in approximately 40% knockdown at a dose of 0.25 mg/kg. From mass spec analysis, it was shown that this batch is two-tailed as opposed to the more efficacious three- tailed version that had been used in the previous studies.
- EXAMPLE 13 To further improve delivery efficacy, the percent composition of the C 12-200 and/or C12-205 formulation was modified incrementally. These formulations were screened at a dose of 0.01 mg/kg to identify formulations which may perform better than the previous compositions. The results of these experiments are shown in Figure 19 along with the formulation parameters and characteristics in Table 7. As expected, more efficacious delivery can be achieved by tuning the composition of the formulation. This optimization work is currently ongoing, along with synthesis of longer and shorter tailed versions of the C 12-200 and/or C 12-205 structure.
- Part 1 Lipidoids based on amine 111
- Amine 111 (tetraethylenepentamine, or TEPA) is represented as the linear polyamine of the following structure:
- TEPA tetraethlenepentamine
- the MALDI spectrum of the crude reaction mixture using the C12 epoxide and a newer batch of amine 111 contains predominant peaks with mlz ratios of 1481 (linear amine 111 and 7 epoxide tails) and 1137 (consistent with amine 200 or 205 with 5 epoxide tails). The peak at mlz 910 in this spectrum was small. This might be a result of batch to batch differences in the 111 amine. Purification of the second reaction allowed isolation of a highly pure sample of the mlz 1137 material; we have designated this material "C12-200 and/or C12-205". The 1 H NMR spectrum of C12-200 and/or C12-205 is consistent with the proposed structure (see Figure 22).
- This Example describes the synthesis of a library of structures that are variations of the amino alcohols lipidoid derived from the reaction of amine 96 with a C16 epoxide as follows:
- the resulting library would contain approximately 800 possible amino alcohols of varying structure.
- a library of compounds resulting from the reaction of these amines with the various terminal epoxides would provide an additional - 700 amino alcohol lipidoids.
- a protection / deprotection synthetic strategy could provide multiple variations, where the two core amines are functionalized with different alkyl epoxides according to the following scheme:
- This strategy could allows for substitution at one amine position with a functional group other than an epoxide (e.g., alkyl halide, isothiocyanate, chloroformate, acid halide) generating two different functional groups on the same amine core as follows: wherein the first component can be any of the following or similar derivatives
- Y is an aryl, heteroaryl, alkyl group (unreactive with epoxides, isocyanates, isothiocyanates and/or alkyl halides); and Z represents fragment from isocyanate, isothiocyante, alkyl halide, having the following exemplary structures:
- Reductive animation as a first step after differential protection of the amine core provides access to a multitude of commercially available aldehydes and perhaps a way to introduce multiple hydroxyl groups through reductive amination using simple carbohydrates (a known procedure) as follows:
- a 250 mL glass pressure vessel was charged with 2-decyloxirane (20.0 grams, 109 mmoles), tetraethylenepentamine (Sigma- Aldrich technical grade, 2.93 grams, 15.5 mmoles) and a magnetic stir bar.
- the vessel was sealed and immersed in a silicone oil bath at 90 0 C.
- the reaction mixture was stirred vigorously for -72 hours at 90 °C.
- the pressure vessel was then removed from the oil bath, allowed to cool to room temperature, then opened with caution.
- the starting material may contain inseparable isomer Nl-(2-aminoethyl)-N2-(2-(piperazin- l-yl)ethyl)ethane-l,2-diamine; and the product may contain an inseparable isomer l,l '-(2-((2- hydroxydodecyl)(2-((2-hydroxydodecyl)(2-(4-(2-hydroxydodecyl)piperazin-l- yl)ethyl)amino)ethyl)-amino)-ethylazanediyl)-didodecan-2-ol.
- EXAMPLE 17 Amino alcohol lipidoids prepared from chiral epoxides
- Antimicrobial lipidoids e.g., C12-200, C16-96
- each epoxide contained an equal proportion of the R and S enantiomer.
- Achiral amines are equally likely to react with either stereoisomer.
- the effect of using racemic epoxides can be illustrated by considering the simple case of the reaction between an amine with one reactive site (e.g., piperidine) and a racemic epoxide (illustrated directly below). In this case, two aminoalcohol lipidoid products are generated: the R and 5 enantiomers. In theory, these products are separable through chromatography on a chiral stationary phase; in practice, developing and scaling up a method to perform this separation is difficult and expensive.
- Racemic epoxides can be resolved (separated into constituent enantiomers) by several means, including chromatography on a chiral stationary phase.
- chromatography on a chiral stationary phase.
- HKR hydrolytic kinetic resolution
- Efficient HKR of racemic epoxides can be achieved using a procedure described by Jacobsen (Schaus, et at., J. Am. Cliem. Soc. 2002, 124, 1307-1315; which is incorporated herein by reference). The process is illustrated directly below.
- a chiral catalyst and water are added to a solution containing the racemic epoxide.
- the rate of hydrolysis of one epoxide enantiomer is much greater than the rate of hydrolysis for the other enantiomer. This allows selective hydrolysis of the unwanted epoxide enantiomer (to a 1,2-diol).
- the 1,2-diol can be separated from the epoxide by removing the epoxide through distillation under reduced pressure.
- the first carbon atom in a terminal epoxide is the preferred site of attack during nucleophilic addition.
- 2D-NMR analysis of amino alcohol lipidoids shows that the majority of addition occurs at Cl of the epoxide, as illustrated directly below. Nevertheless, a trace amount of addition at C2 does occur.
- 2D-NMR analysis of compounds (5)-C12-205 and (/?)-C12-200 suggest that roughly 10% of the lipid "tails" are the result of amine attack at C2 of the epoxide. These regioisomeric tails are likely distributed randomly throughout the entire population of lipid tails in the material. Efforts to limit this side reaction with the epoxides have not been successful. To avoid this side reaction, we proposed and executed an alternate synthetic strategy.
- Trityl protected glycidol derivative 401 was prepared as described previously (Schweizer, et al., Synthesis 2007, 3807-3814; which is incorporated herein by reference.) A solution of (/?)-glycidol (5.0 g, 61 mmol) in CH 2 Cl 2 (30 mL) was added by syringe to a stirred solution of trityl chloride (18.6 g, 66.8 mmol) and triethylamine (16.9 mL, 122 mmol) in CH 2 Cl 2 (67 mL) in an ice bath under argon.
- Benzyl chloride (5.8 mJL, 50 mmol) was added to the reaction mixture.
- the flask was fitted with a reflux condenser, and the mixture was warmed to reflux under Ar overnight.
- NH 4 Cl (sat. aq., ⁇ 300 mL) was added slowly to quench residual NaH.
- the suspension was transferred into a separatory funnel using H 2 O (300 mL) and Et 2 O (200 mL).
- the organic layer was extracted with additional Et 2 O; ethereal layers were dried over MgSO 4 , filtered through paper, and concentrated to a yellow oil.
- This material was purified by chromatography on silica (gradient elution from hexanes to EtOAc); desired fractions were pooled and concentrated affording 15 g of a slightly yellow oil.
- This oil was dissolved in 1 : 1 MeOH/THF (100 mL). /7-TsOH-H 2 O (572 mg) was added to the mixture; the solution was stirred for 6 hours.
- the reaction mixture was concentrated onto Celite by rotary evaporation and purified by chromatography on silica gel (gradient elution from hexanes to ethyl acetate). Fractions containing the desired product were pooled and concentrated affording 403 (5.44 g, 66%) as a clear oil.
- (S)-2-(benzyloxy)dodecanal (404).
- CH 2 Cl 2 (10 mL) and oxalyl chloride (1.72 mL, 20.3 mmol) were added to an oven-dried 2-neck round bottom flask containing a magnetic stir bar under Ar. The flask was immersed in a dry ice / acetone bath.
- a solution of DMSO (2.88 mL, 40.6 mmol) in CH 2 Cl 2 (10 mL) was added to the stirred solution of oxalyl chloride slowly.
- 403 (5.4 g, 18.5 mmol) was dissolved in CH 2 Cl 2 and added dropwise, over a period of 15 minutes, to the cold, stirred reaction mixture.
- Et 3 N (12.9 mL, 18.46 mmol) was added to the reaction mixture, which was then allowed to warm to room temperature.
- the mixture was diluted with Et 2 O ( ⁇ 300 mL) and water.
- the ether layer was washed with sat. aq. NaHCO 3 , IM aq. HCl, and brine.
- the Et 2 O layer was then dried over MgSO 4 , filtered through paper, and concentrated by rotary evaporation.
- l-(2-aminoethyl)piperazine (205, 39 ⁇ L, 0.3 mmol) was added to a vial containing a magnetic stir bar.
- MeOH (10 mL) and the aldehyde 404 (971 mg, 3.34 mmol) were added to the vial.
- NaCNBH 3 (188 mg, 3 mmol) was then added to the mixture.
- Glacial AcOH was added dropwise to the stirred solution until the pH (as measured using indicator strips) was: approximately 5.5. The mixture bubbled during the addition of the AcOH. The mixture was stirred for 4 days, whereupon it was diluted with IM NaOH (aq.) and CH 2 Cl 2 .
- the aqueous layer was extracted an additional time with CH 2 Ch.
- the combined organic layers were washed with brine, dried over MgSO 4 , filtered through paper and concentrated.
- the desired intermediate was purified by chromatography on silica (CH 2 Cl 2 to 10% MeOH/CHiCh) affording a yellow oil (83 mg). This oil was dissolved in 25 mL 7:2:1 MeOH/H 2 O/AcOH. A portion of 10 wt. % PaVC was added to the solution.
- the reaction mixture was stirred under H 2 (slightly above atmospheric pressure) for 8 hours.
- the reaction mixture was filtered through Celite to remove the Pd/C and then concentrated to a film.
- the means are not intended to be limited to the means disclosed herein for performing the recited function, but are intended to cover in scope any means, known now or later developed, for performing the recited function.
- Use of ordinal terms such as “first”, “second”, “third”, etc., in the claims to modify a claim element does not by itself connote any priority, precedence, or order of one claim element over another or the temporal order in which acts of a method are performed, but are used merely as labels to distinguish one claim element having a certain name from another element having a same name (but for use of the ordinal term) to distinguish the claim elements.
Landscapes
- Health & Medical Sciences (AREA)
- Chemical & Material Sciences (AREA)
- Life Sciences & Earth Sciences (AREA)
- Engineering & Computer Science (AREA)
- Organic Chemistry (AREA)
- General Health & Medical Sciences (AREA)
- Medicinal Chemistry (AREA)
- Veterinary Medicine (AREA)
- Pharmacology & Pharmacy (AREA)
- Animal Behavior & Ethology (AREA)
- Public Health (AREA)
- Bioinformatics & Cheminformatics (AREA)
- Genetics & Genomics (AREA)
- Biomedical Technology (AREA)
- Epidemiology (AREA)
- Molecular Biology (AREA)
- Biotechnology (AREA)
- General Chemical & Material Sciences (AREA)
- Chemical Kinetics & Catalysis (AREA)
- Wood Science & Technology (AREA)
- General Engineering & Computer Science (AREA)
- Zoology (AREA)
- Nuclear Medicine, Radiotherapy & Molecular Imaging (AREA)
- Physics & Mathematics (AREA)
- Biochemistry (AREA)
- Microbiology (AREA)
- Plant Pathology (AREA)
- Biophysics (AREA)
- Dispersion Chemistry (AREA)
- Oil, Petroleum & Natural Gas (AREA)
- Proteomics, Peptides & Aminoacids (AREA)
- Optics & Photonics (AREA)
- Nanotechnology (AREA)
- Immunology (AREA)
- Virology (AREA)
- Communicable Diseases (AREA)
- Oncology (AREA)
- Pain & Pain Management (AREA)
- Psychiatry (AREA)
- Neurology (AREA)
Abstract
Description
Claims
Priority Applications (15)
| Application Number | Priority Date | Filing Date | Title |
|---|---|---|---|
| EP09825132.5A EP2365962B1 (en) | 2008-11-07 | 2009-11-06 | Aminoalcohol lipidoids and uses thereof |
| CA2742954A CA2742954C (en) | 2008-11-07 | 2009-11-06 | Aminoalcohol lipidoids and uses thereof |
| US13/128,020 US8969353B2 (en) | 2008-11-07 | 2009-11-06 | Aminoalcohol lipidoids and uses thereof |
| MX2011004859A MX2011004859A (en) | 2008-11-07 | 2009-11-06 | Aminoalcohol lipidoids and uses thereof. |
| AU2009311667A AU2009311667B2 (en) | 2008-11-07 | 2009-11-06 | Aminoalcohol lipidoids and uses thereof |
| MX2018001400A MX379581B (en) | 2008-11-07 | 2009-11-06 | AMINOALCOHOL LIPIDOIDS AND THEIR USES. |
| JP2011535564A JP6087504B2 (en) | 2008-11-07 | 2009-11-06 | Amino alcohol lipidoids and uses thereof |
| CN200980149576.1A CN102245559B (en) | 2008-11-07 | 2009-11-06 | Aminoalcohol lipidoids and uses thereof |
| ES09825132.5T ES2646630T3 (en) | 2008-11-07 | 2009-11-06 | Amino alcoholic lipidoids and uses thereof |
| MX2015003092A MX353900B (en) | 2008-11-07 | 2009-11-06 | Aminoalcohol lipidoids and uses thereof. |
| KR1020117012754A KR101734955B1 (en) | 2008-11-07 | 2009-11-06 | Aminoalcohol lipidoids and uses thereof |
| US14/599,004 US9556110B2 (en) | 2008-11-07 | 2015-01-16 | Aminoalcohol lipidoids and uses thereof |
| US15/417,530 US10189802B2 (en) | 2008-11-07 | 2017-01-27 | Aminoalcohol lipidoids and uses thereof |
| US16/208,295 US10844028B2 (en) | 2008-11-07 | 2018-12-03 | Aminoalcohol lipidoids and uses thereof |
| US17/070,486 US11414393B2 (en) | 2008-11-07 | 2020-10-14 | Aminoalcohol lipidoids and uses thereof |
Applications Claiming Priority (4)
| Application Number | Priority Date | Filing Date | Title |
|---|---|---|---|
| US11241408P | 2008-11-07 | 2008-11-07 | |
| US61/112,414 | 2008-11-07 | ||
| US16651809P | 2009-04-03 | 2009-04-03 | |
| US61/166,518 | 2009-04-03 |
Related Child Applications (2)
| Application Number | Title | Priority Date | Filing Date |
|---|---|---|---|
| US13/128,020 A-371-Of-International US8969353B2 (en) | 2008-11-07 | 2009-11-06 | Aminoalcohol lipidoids and uses thereof |
| US14/599,004 Division US9556110B2 (en) | 2008-11-07 | 2015-01-16 | Aminoalcohol lipidoids and uses thereof |
Publications (2)
| Publication Number | Publication Date |
|---|---|
| WO2010053572A2 true WO2010053572A2 (en) | 2010-05-14 |
| WO2010053572A9 WO2010053572A9 (en) | 2010-07-22 |
Family
ID=42153459
Family Applications (1)
| Application Number | Title | Priority Date | Filing Date |
|---|---|---|---|
| PCT/US2009/006018 Ceased WO2010053572A2 (en) | 2008-11-07 | 2009-11-06 | Aminoalcohol lipidoids and uses thereof |
Country Status (10)
| Country | Link |
|---|---|
| US (6) | US8969353B2 (en) |
| EP (2) | EP2365962B1 (en) |
| JP (4) | JP6087504B2 (en) |
| KR (1) | KR101734955B1 (en) |
| CN (2) | CN102245559B (en) |
| AU (1) | AU2009311667B2 (en) |
| CA (2) | CA2742954C (en) |
| ES (1) | ES2646630T3 (en) |
| MX (4) | MX2011004859A (en) |
| WO (1) | WO2010053572A2 (en) |
Cited By (350)
| Publication number | Priority date | Publication date | Assignee | Title |
|---|---|---|---|---|
| WO2011056883A1 (en) * | 2009-11-03 | 2011-05-12 | Alnylam Pharmaceuticals, Inc. | Lipid formulated compositions and methods for inhibiting expression of transthyretin (ttr) |
| US8168775B2 (en) | 2008-10-20 | 2012-05-01 | Alnylam Pharmaceuticals, Inc. | Compositions and methods for inhibiting expression of transthyretin |
| WO2012027675A3 (en) * | 2010-08-26 | 2012-05-10 | Massachusetts Institute Of Technology | Poly(beta-amino alcohols), their preparation, and uses thereof |
| WO2012170930A1 (en) | 2011-06-08 | 2012-12-13 | Shire Human Genetic Therapies, Inc | Lipid nanoparticle compositions and methods for mrna delivery |
| WO2012170889A1 (en) | 2011-06-08 | 2012-12-13 | Shire Human Genetic Therapies, Inc. | Cleavable lipids |
| WO2012135025A3 (en) * | 2011-03-28 | 2013-01-24 | Massachusetts Institute Of Technology | Conjugated lipomers and uses thereof |
| WO2013063468A1 (en) | 2011-10-27 | 2013-05-02 | Massachusetts Institute Of Technology | Amino acid derivates functionalized on the n- terminal capable of forming drug incapsulating microspheres |
| CN103189057A (en) * | 2010-08-26 | 2013-07-03 | 崔坤元 | Lipomacrocycles and uses thereof |
| KR101329702B1 (en) | 2011-10-06 | 2013-11-14 | 연세대학교 산학협력단 | Polyamine-based vector for delivery of small interfering RNA |
| WO2013185069A1 (en) | 2012-06-08 | 2013-12-12 | Shire Human Genetic Therapies, Inc. | Pulmonary delivery of mrna to non-lung target cells |
| WO2014028487A1 (en) * | 2012-08-13 | 2014-02-20 | Massachusetts Institute Of Technology | Amine-containing lipidoids and uses thereof |
| WO2014089486A1 (en) | 2012-12-07 | 2014-06-12 | Shire Human Genetic Therapies, Inc. | Lipidic nanoparticles for mrna delivering |
| WO2014144196A1 (en) | 2013-03-15 | 2014-09-18 | Shire Human Genetic Therapies, Inc. | Synergistic enhancement of the delivery of nucleic acids via blended formulations |
| WO2014152940A1 (en) | 2013-03-14 | 2014-09-25 | Shire Human Genetic Therapies, Inc. | Mrna therapeutic compositions and use to treat diseases and disorders |
| WO2014152774A1 (en) | 2013-03-14 | 2014-09-25 | Shire Human Genetic Therapies, Inc. | Methods and compositions for delivering mrna coded antibodies |
| WO2014152513A1 (en) | 2013-03-14 | 2014-09-25 | Shire Human Genetic Therapies, Inc. | RIBONUCLEIC ACIDs WITH 4'-THIO-MODIFIED NUCLEOTIDES AND RELATED METHODS |
| WO2014179562A1 (en) | 2013-05-01 | 2014-11-06 | Massachusetts Institute Of Technology | 1,3,5-triazinane-2,4,6-trione derivatives and uses thereof |
| WO2014186366A1 (en) * | 2013-05-13 | 2014-11-20 | Tufts University | Nanocomplexes for delivery of saporin |
| WO2014207231A1 (en) * | 2013-06-28 | 2014-12-31 | Ethris Gmbh | Compositions for introducing rna into cells |
| US8969353B2 (en) | 2008-11-07 | 2015-03-03 | Massachusetts Institute Of Technology | Aminoalcohol lipidoids and uses thereof |
| US9006487B2 (en) | 2005-06-15 | 2015-04-14 | Massachusetts Institute Of Technology | Amine-containing lipids and uses thereof |
| WO2015061500A1 (en) | 2013-10-22 | 2015-04-30 | Shire Human Genetic Therapies, Inc. | Mrna therapy for argininosuccinate synthetase deficiency |
| WO2015061461A1 (en) | 2013-10-22 | 2015-04-30 | Shire Human Genetic Therapies, Inc. | Cns delivery of mrna and uses thereof |
| WO2015061491A1 (en) | 2013-10-22 | 2015-04-30 | Shire Human Genetic Therapies, Inc. | Mrna therapy for phenylketonuria |
| WO2015061467A1 (en) | 2013-10-22 | 2015-04-30 | Shire Human Genetic Therapies, Inc. | Lipid formulations for delivery of messenger rna |
| US9149531B2 (en) | 2011-05-17 | 2015-10-06 | Axolabs Gmbh | Lipids and compositions for intracellular delivery of biologically active compounds |
| US9181321B2 (en) | 2013-03-14 | 2015-11-10 | Shire Human Genetic Therapies, Inc. | CFTR mRNA compositions and related methods and uses |
| WO2015173756A2 (en) | 2014-05-16 | 2015-11-19 | Pfizer Inc. | Bispecific antibodies |
| WO2015200465A1 (en) | 2014-06-24 | 2015-12-30 | Shire Human Genetic Therapies, Inc. | Stereochemically enriched compositions for delivery of nucleic acids |
| US9228186B2 (en) | 2002-11-14 | 2016-01-05 | Thermo Fisher Scientific Inc. | Methods and compositions for selecting siRNA of improved functionality |
| WO2016004318A1 (en) | 2014-07-02 | 2016-01-07 | Shire Human Genetic Therapies, Inc. | Encapsulation of messenger rna |
| WO2016004202A1 (en) | 2014-07-02 | 2016-01-07 | Massachusetts Institute Of Technology | Polyamine-fatty acid derived lipidoids and uses thereof |
| WO2016025643A1 (en) | 2014-08-12 | 2016-02-18 | Massachusetts Institute Of Technology | Brush-poly(glycoamidoamine)-lipids and uses thereof |
| US9339029B2 (en) | 2014-09-04 | 2016-05-17 | Preceres Inc. | Hydrazinyl lipidoids and uses thereof |
| WO2016090262A1 (en) | 2014-12-05 | 2016-06-09 | Shire Human Genetic Therapies, Inc. | Messenger rna therapy for treatment of articular disease |
| US9399775B2 (en) | 2011-11-18 | 2016-07-26 | Alnylam Pharmaceuticals, Inc. | RNAi agents, compositions and methods of use thereof for treating transthyretin (TTR) associated diseases |
| AU2010245869B2 (en) * | 2009-05-05 | 2016-10-20 | Arbutus Biopharma Corporation | Lipid compositions |
| WO2016168469A1 (en) * | 2015-04-17 | 2016-10-20 | The Regents Of The University Of California | Fatty acid analogs and methods of use thereof |
| WO2016176191A1 (en) | 2015-04-27 | 2016-11-03 | The Trustees Of The University Of Pennsylvania | Dual aav vector system for crispr/cas9 mediated correction of human disease |
| WO2016205691A1 (en) | 2015-06-19 | 2016-12-22 | Massachusetts Institute Of Technology | Alkenyl substituted 2,5-piperazinediones and their use in compositions for delivering an agent to a subject or cell |
| US9549901B2 (en) | 2010-09-03 | 2017-01-24 | The Brigham And Women's Hospital, Inc. | Lipid-polymer hybrid particles |
| WO2017177169A1 (en) | 2016-04-08 | 2017-10-12 | Rana Therapeutics, Inc. | Multimeric coding nucleic acid and uses thereof |
| WO2017201333A1 (en) * | 2016-05-18 | 2017-11-23 | Modernatx, Inc. | Polynucleotides encoding lipoprotein lipase for the treatment of hyperlipidemia |
| WO2017218524A1 (en) | 2016-06-13 | 2017-12-21 | Rana Therapeutics, Inc. | Messenger rna therapy for the treatment of ornithine transcarbamylase deficiency |
| US9850269B2 (en) | 2014-04-25 | 2017-12-26 | Translate Bio, Inc. | Methods for purification of messenger RNA |
| WO2017221251A1 (en) | 2016-06-21 | 2017-12-28 | Technion Research & Development Foundation Ltd. | Hybrid muco-adhesive delivery systems and use thereof |
| US9872911B2 (en) | 2011-12-16 | 2018-01-23 | Massachusetts Institute Of Technology | Alpha-aminoamidine polymers and uses thereof |
| US9890365B2 (en) | 2014-03-09 | 2018-02-13 | The Trustees Of The University Of Pennsylvania | Compositions useful in treatment of ornithine transcarbamylase (OTC) deficiency |
| WO2018033454A1 (en) | 2016-08-19 | 2018-02-22 | Fundación Para La Investigación Biomédica Del Hospital Universitario Ramón Y Cajal | Mir-127 agents for use in the treatment of renal fibrosis |
| US9957499B2 (en) | 2013-03-14 | 2018-05-01 | Translate Bio, Inc. | Methods for purification of messenger RNA |
| WO2018089846A1 (en) | 2016-11-10 | 2018-05-17 | Translate Bio, Inc. | Subcutaneous delivery of messenger rna |
| WO2018089801A1 (en) | 2016-11-10 | 2018-05-17 | Translate Bio, Inc. | Improved process of preparing mrna-loaded lipid nanoparticles |
| WO2018129544A1 (en) | 2017-01-09 | 2018-07-12 | Whitehead Institute For Biomedical Research | Methods of altering gene expression by perturbing transcription factor multimers that structure regulatory loops |
| US10022455B2 (en) | 2014-05-30 | 2018-07-17 | Translate Bio, Inc. | Biodegradable lipids for delivery of nucleic acids |
| US10060921B2 (en) | 2014-08-29 | 2018-08-28 | Alnylam Pharmaceuticals, Inc. | Methods of treating transthyretin (TTR) mediated amyloidosis |
| WO2018157154A2 (en) | 2017-02-27 | 2018-08-30 | Translate Bio, Inc. | Novel codon-optimized cftr mrna |
| WO2018157133A1 (en) | 2017-02-27 | 2018-08-30 | Translate Bio, Inc. | Methods for purification of messenger rna |
| WO2018157141A1 (en) | 2017-02-27 | 2018-08-30 | Translate Bio, Inc. | Methods for purification of messenger rna |
| US10064935B2 (en) | 2015-10-22 | 2018-09-04 | Modernatx, Inc. | Human cytomegalovirus RNA vaccines |
| WO2018160585A2 (en) | 2017-02-28 | 2018-09-07 | The Trustees Of The University Of Pennsylvania | Compositions useful in treatment of spinal muscular atrophy |
| WO2018165257A1 (en) | 2017-03-07 | 2018-09-13 | Translate Bio, Inc. | Polyanionic delivery of nucleic acids |
| WO2018213476A1 (en) | 2017-05-16 | 2018-11-22 | Translate Bio, Inc. | Treatment of cystic fibrosis by delivery of codon-optimized mrna encoding cftr |
| WO2018218359A1 (en) | 2017-05-31 | 2018-12-06 | The Trustees Of The University Of Pennsylvania | Gene therapy for treating peroxisomal disorders |
| WO2018236849A1 (en) | 2017-06-19 | 2018-12-27 | Translate Bio, Inc. | Messenger rna therapy for the treatment of friedreich's ataxia |
| US10195156B2 (en) | 2015-12-22 | 2019-02-05 | Modernatx, Inc. | Compounds and compositions for intracellular delivery of agents |
| US10208307B2 (en) | 2015-07-31 | 2019-02-19 | Alnylam Pharmaceuticals, Inc. | Transthyretin (TTR) iRNA compositions and methods of use thereof for treating or preventing TTR-associated diseases |
| EP3450553A1 (en) | 2014-03-24 | 2019-03-06 | Translate Bio, Inc. | Mrna therapy for treatment of ocular diseases |
| US10266485B2 (en) | 2015-09-17 | 2019-04-23 | Modernatx, Inc. | Compounds and compositions for intracellular delivery of therapeutic agents |
| WO2019110067A1 (en) * | 2017-12-07 | 2019-06-13 | Aarhus Universitet | Hybrid nanoparticle |
| US10323076B2 (en) | 2013-10-03 | 2019-06-18 | Modernatx, Inc. | Polynucleotides encoding low density lipoprotein receptor |
| WO2019126593A1 (en) | 2017-12-20 | 2019-06-27 | Translate Bio, Inc. | Improved composition and methods for treatment of ornithine transcarbamylase deficiency |
| WO2019152802A1 (en) | 2018-02-02 | 2019-08-08 | Translate Bio, Inc. | Cationic polymers |
| EP3536787A1 (en) | 2012-06-08 | 2019-09-11 | Translate Bio, Inc. | Nuclease resistant polynucleotides and uses thereof |
| WO2019222424A1 (en) | 2018-05-16 | 2019-11-21 | Translate Bio, Inc. | Ribose cationic lipids |
| WO2019222277A1 (en) | 2018-05-15 | 2019-11-21 | Translate Bio, Inc. | Subcutaneous delivery of messenger rna |
| WO2019226925A1 (en) | 2018-05-24 | 2019-11-28 | Translate Bio, Inc. | Thioester cationic lipids |
| WO2019232097A1 (en) | 2018-05-30 | 2019-12-05 | Translate Bio, Inc. | Phosphoester cationic lipids |
| WO2019232095A1 (en) | 2018-05-30 | 2019-12-05 | Translate Bio, Inc. | Vitamin cationic lipids |
| WO2019232208A1 (en) | 2018-05-30 | 2019-12-05 | Translate Bio, Inc. | Cationic lipids comprising a steroidal moiety |
| WO2019232103A1 (en) | 2018-05-30 | 2019-12-05 | Translate Bio, Inc. | Messenger rna vaccines and uses thereof |
| WO2020023533A1 (en) | 2018-07-23 | 2020-01-30 | Translate Bio, Inc. | Dry power formulations for messenger rna |
| WO2020033791A1 (en) | 2018-08-09 | 2020-02-13 | Verseau Therapeutics, Inc. | Oligonucleotide compositions for targeting ccr2 and csf1r and uses thereof |
| WO2020041793A1 (en) | 2018-08-24 | 2020-02-27 | Translate Bio, Inc. | Methods for purification of messenger rna |
| US10576166B2 (en) | 2009-12-01 | 2020-03-03 | Translate Bio, Inc. | Liver specific delivery of messenger RNA |
| WO2020047061A1 (en) | 2018-08-29 | 2020-03-05 | Translate Bio, Inc. | Improved process of preparing mrna-loaded lipid nanoparticles |
| WO2020056294A1 (en) | 2018-09-14 | 2020-03-19 | Translate Bio, Inc. | Composition and methods for treatment of methylmalonic acidemia |
| WO2020081933A1 (en) | 2018-10-19 | 2020-04-23 | Translate Bio, Inc. | Pumpless encapsulation of messenger rna |
| WO2020097511A2 (en) | 2018-11-09 | 2020-05-14 | Translate Bio, Inc. | Messenger rna therapy for treatment of ocular diseases |
| WO2020097384A1 (en) | 2018-11-09 | 2020-05-14 | Translate Bio, Inc. | 2,5-dioxopiperazine lipids with intercalated ester, thioester, disulfide and anhydride moieities |
| WO2020097376A1 (en) | 2018-11-09 | 2020-05-14 | Translate Bio, Inc. | Multi-peg lipid compounds |
| WO2020097509A1 (en) | 2018-11-08 | 2020-05-14 | Translate Bio, Inc. | Methods and compositions for messenger rna purification |
| WO2020097379A2 (en) | 2018-11-09 | 2020-05-14 | Translate Bio, Inc. | Peg lipidoid compounds |
| WO2020102172A2 (en) | 2018-11-12 | 2020-05-22 | Translate Bio, Inc. | Methods for inducing immune tolerance |
| WO2020106946A1 (en) | 2018-11-21 | 2020-05-28 | Translate Bio, Inc. | TREATMENT OF CYSTIC FIBROSIS BY DELIVERY OF NEBULIZED mRNA ENCODING CFTR |
| WO2020106903A1 (en) | 2018-11-21 | 2020-05-28 | Translate Bio, Inc. | Cationic lipid compounds and compositions thereof for use in the delivery of messenger rna |
| US10676735B2 (en) | 2015-07-22 | 2020-06-09 | Duke University | High-throughput screening of regulatory element function with epigenome editing technologies |
| US10676726B2 (en) | 2015-02-09 | 2020-06-09 | Duke University | Compositions and methods for epigenome editing |
| WO2020128031A2 (en) | 2018-12-21 | 2020-06-25 | Curevac Ag | Rna for malaria vaccines |
| US10695419B2 (en) | 2016-10-21 | 2020-06-30 | Modernatx, Inc. | Human cytomegalovirus vaccine |
| US10709779B2 (en) | 2014-04-23 | 2020-07-14 | Modernatx, Inc. | Nucleic acid vaccines |
| WO2020146344A1 (en) | 2019-01-07 | 2020-07-16 | Translate Bio, Inc. | Composition and methods for treatment of primary ciliary dyskinesia |
| WO2020161342A1 (en) | 2019-02-08 | 2020-08-13 | Curevac Ag | Coding rna administered into the suprachoroidal space in the treatment of ophtalmic diseases |
| WO2020214946A1 (en) | 2019-04-18 | 2020-10-22 | Translate Bio, Inc. | Cystine cationic lipids |
| US10815530B2 (en) | 2014-08-14 | 2020-10-27 | Technion Research & Development Foundation Limited | Compositions and methods for therapeutics prescreening |
| US10815291B2 (en) | 2013-09-30 | 2020-10-27 | Modernatx, Inc. | Polynucleotides encoding immune modulating polypeptides |
| WO2020219427A1 (en) | 2019-04-22 | 2020-10-29 | Translate Bio, Inc. | Thioester cationic lipids |
| WO2020227085A1 (en) | 2019-05-03 | 2020-11-12 | Translate Bio, Inc. | Di-thioester cationic lipids |
| WO2020232276A1 (en) | 2019-05-14 | 2020-11-19 | Translate Bio, Inc. | Improved process of preparing mrna-loaded lipid nanoparticles |
| EP3698631A3 (en) * | 2009-05-05 | 2020-11-25 | Arbutus Biopharma Corporation | Methods of delivering oligonucleotides to immune cells |
| WO2020237227A1 (en) | 2019-05-22 | 2020-11-26 | Massachusetts Institute Of Technology | Circular rna compositions and methods |
| WO2020243540A1 (en) | 2019-05-31 | 2020-12-03 | Translate Bio, Inc. | Macrocyclic lipids |
| US10857105B2 (en) | 2017-03-15 | 2020-12-08 | MordernaTX, Inc. | Compounds and compositions for intracellular delivery of therapeutic agents |
| WO2020257716A1 (en) | 2019-06-21 | 2020-12-24 | Translate Bio, Inc. | Tricine and citric acid lipids |
| WO2020254535A1 (en) | 2019-06-18 | 2020-12-24 | Curevac Ag | Rotavirus mrna vaccine |
| WO2020257611A1 (en) | 2019-06-21 | 2020-12-24 | Translate Bio, Inc. | Cationic lipids comprising an hydroxy moiety |
| KR102198736B1 (en) * | 2020-01-15 | 2021-01-05 | 이화여자대학교 산학협력단 | Lipid nanoparticles for in vivo drug delivery and uses thereof |
| WO2021007278A1 (en) | 2019-07-08 | 2021-01-14 | Translate Bio, Inc. | Improved mrna-loaded lipid nanoparticles and processes of making the same |
| WO2021016430A1 (en) | 2019-07-23 | 2021-01-28 | Translate Bio, Inc. | Stable compositions of mrna-loaded lipid nanoparticles and processes of making |
| WO2021021988A1 (en) | 2019-07-30 | 2021-02-04 | Translate Bio, Inc. | Treatment of cystic fibrosis by delivery of nebulized mrna encoding cftr |
| WO2021028439A1 (en) | 2019-08-14 | 2021-02-18 | Curevac Ag | Rna combinations and compositions with decreased immunostimulatory properties |
| WO2021055609A1 (en) | 2019-09-20 | 2021-03-25 | Translate Bio, Inc. | Mrna encoding engineered cftr |
| WO2021072172A1 (en) | 2019-10-09 | 2021-04-15 | Translate Bio, Inc. | Compositions, methods and uses of messenger rna |
| WO2021081058A1 (en) | 2019-10-21 | 2021-04-29 | Translate Bio, Inc. | Compositions, methods and uses of messenger rna |
| WO2021113777A2 (en) | 2019-12-04 | 2021-06-10 | Orna Therapeutics, Inc. | Circular rna compositions and methods |
| WO2021127394A2 (en) | 2019-12-20 | 2021-06-24 | Translate Bio, Inc. | Rectal delivery of messenger rna |
| WO2021127641A1 (en) | 2019-12-20 | 2021-06-24 | Translate Bio, Inc. | Improved process of preparing mrna-loaded lipid nanoparticles |
| WO2021142245A1 (en) | 2020-01-10 | 2021-07-15 | Translate Bio, Inc. | Compounds, pharmaceutical compositions and methods for modulating expression of muc5b in lung cells and tissues |
| US11066355B2 (en) | 2019-09-19 | 2021-07-20 | Modernatx, Inc. | Branched tail lipid compounds and compositions for intracellular delivery of therapeutic agents |
| WO2021156267A1 (en) | 2020-02-04 | 2021-08-12 | Curevac Ag | Coronavirus vaccine |
| WO2021173840A1 (en) | 2020-02-25 | 2021-09-02 | Translate Bio, Inc. | Improved processes of preparing mrna-loaded lipid nanoparticles |
| EP3900702A1 (en) | 2015-03-19 | 2021-10-27 | Translate Bio, Inc. | Mrna therapy for pompe disease |
| WO2021226463A1 (en) | 2020-05-07 | 2021-11-11 | Translate Bio, Inc. | Composition and methods for treatment of primary ciliary dyskinesia |
| WO2021226468A1 (en) | 2020-05-07 | 2021-11-11 | Translate Bio, Inc. | Improved compositions for cftr mrna therapy |
| WO2021226436A1 (en) | 2020-05-07 | 2021-11-11 | Translate Bio, Inc. | Optimized nucleotide sequences encoding sars-cov-2 antigens |
| WO2021231697A1 (en) | 2020-05-14 | 2021-11-18 | Translate Bio, Inc. | Peg lipidoid compounds |
| WO2021231579A1 (en) | 2020-05-12 | 2021-11-18 | The Trustees Of The University Of Pennsylvania | Compositions for drg-specific reduction of transgene expression |
| WO2021231901A1 (en) | 2020-05-15 | 2021-11-18 | Translate Bio, Inc. | Lipid nanoparticle formulations for mrna delivery |
| WO2021236980A1 (en) | 2020-05-20 | 2021-11-25 | Flagship Pioneering Innovations Vi, Llc | Coronavirus antigen compositions and their uses |
| WO2021236930A1 (en) | 2020-05-20 | 2021-11-25 | Flagship Pioneering Innovations Vi, Llc | Immunogenic compositions and uses thereof |
| WO2021236855A1 (en) | 2020-05-19 | 2021-11-25 | Orna Therapeutics, Inc. | Circular rna compositions and methods |
| WO2021243290A1 (en) | 2020-05-29 | 2021-12-02 | Flagship Pioneering Innovations Vi, Llc | Trem compositions and methods relating thereto |
| WO2021243301A2 (en) | 2020-05-29 | 2021-12-02 | Flagship Pioneering Innovations Vi, Llc. | Trem compositions and methods relating thereto |
| WO2021239880A1 (en) | 2020-05-29 | 2021-12-02 | Curevac Ag | Nucleic acid based combination vaccines |
| US11203569B2 (en) | 2017-03-15 | 2021-12-21 | Modernatx, Inc. | Crystal forms of amino lipids |
| WO2021257668A1 (en) | 2020-06-17 | 2021-12-23 | The Trustees Of The University Of Pennsylvania | Compositions and methods for treatment of gene therapy patients |
| WO2022006527A1 (en) | 2020-07-02 | 2022-01-06 | Maritime Therapeutics, Inc. | Compositions and methods for reverse gene therapy |
| WO2022015715A1 (en) | 2020-07-13 | 2022-01-20 | The Trustees Of The University Of Pennsylvania | Compositions useful for treatment of charcot-marie-tooth disease |
| WO2022023559A1 (en) | 2020-07-31 | 2022-02-03 | Curevac Ag | Nucleic acid encoded antibody mixtures |
| WO2022043551A2 (en) | 2020-08-31 | 2022-03-03 | Curevac Ag | Multivalent nucleic acid based coronavirus vaccines |
| WO2022051629A1 (en) | 2020-09-03 | 2022-03-10 | Flagship Pioneering Innovations Vi, Llc | Immunogenic compositions and uses thereof |
| WO2022076582A1 (en) | 2020-10-07 | 2022-04-14 | Regenxbio Inc. | Gene therapy for ocular manifestations of cln2 disease |
| WO2022076562A1 (en) | 2020-10-06 | 2022-04-14 | Translate Bio, Inc. | Improved process and formulation of lipid nanoparticles |
| WO2022076803A1 (en) | 2020-10-09 | 2022-04-14 | The Trustees Of The University Of Pennsylvania | Compositions and methods for treatment of fabry disease |
| WO2022081544A1 (en) | 2020-10-12 | 2022-04-21 | Translate Bio, Inc. | Improved process of preparing mrna-loaded lipid nanoparticles |
| WO2022081548A1 (en) | 2020-10-12 | 2022-04-21 | Translate Bio, Inc. | Improved process of preparing ice-based lipid nanoparticles |
| US20220125723A1 (en) | 2010-07-06 | 2022-04-28 | Glaxosmithkline Biologicals Sa | Lipid formulations with viral immunogens |
| WO2022099194A1 (en) | 2020-11-09 | 2022-05-12 | Translate Bio, Inc. | Improved compositions for delivery of codon-optimized mrna |
| WO2022115547A1 (en) | 2020-11-25 | 2022-06-02 | Translate Bio, Inc. | Stable liquid lipid nanoparticle formulations |
| WO2022119890A1 (en) | 2020-12-01 | 2022-06-09 | The Trustees Of The University Of Pennsylvania | Compositions and uses thereof for treatment of angelman syndrome |
| WO2022119871A2 (en) | 2020-12-01 | 2022-06-09 | The Trustees Of The University Of Pennsylvania | Novel compositions with tissue-specific targeting motifs and compositions containing same |
| WO2022135993A2 (en) | 2020-12-22 | 2022-06-30 | Curevac Ag | Pharmaceutical composition comprising lipid-based carriers encapsulating rna for multidose administration |
| WO2022140518A1 (en) * | 2020-12-23 | 2022-06-30 | Ecolab Usa Inc. | Non-cationic softeners and methods of use |
| WO2022137133A1 (en) | 2020-12-22 | 2022-06-30 | Curevac Ag | Rna vaccine against sars-cov-2 variants |
| WO2022139526A1 (en) * | 2020-12-24 | 2022-06-30 | (주)인핸스드바이오 | Composition for preventing or treating cancer, containing lipid nanoparticles |
| WO2022140702A1 (en) | 2020-12-23 | 2022-06-30 | Flagship Pioneering, Inc. | Compositions of modified trems and uses thereof |
| WO2022155404A1 (en) | 2021-01-14 | 2022-07-21 | Translate Bio, Inc. | Methods and compositions for delivering mrna coded antibodies |
| CN114828837A (en) * | 2019-10-18 | 2022-07-29 | 宾夕法尼亚大学理事会 | Lipid nanoparticles for CAR mRNA delivery and formulations thereof |
| CN114828836A (en) * | 2019-10-18 | 2022-07-29 | 宾夕法尼亚大学理事会 | Lipid and lipid nanoparticle formulations for drug delivery |
| WO2022162027A2 (en) | 2021-01-27 | 2022-08-04 | Curevac Ag | Method of reducing the immunostimulatory properties of in vitro transcribed rna |
| WO2022165313A1 (en) | 2021-02-01 | 2022-08-04 | Regenxbio Inc. | Gene therapy for neuronal ceroid lipofuscinoses |
| US11406703B2 (en) | 2020-08-25 | 2022-08-09 | Modernatx, Inc. | Human cytomegalovirus vaccine |
| US11421251B2 (en) | 2015-10-13 | 2022-08-23 | Duke University | Genome engineering with type I CRISPR systems in eukaryotic cells |
| US11427817B2 (en) | 2015-08-25 | 2022-08-30 | Duke University | Compositions and methods of improving specificity in genomic engineering using RNA-guided endonucleases |
| WO2022180213A1 (en) | 2021-02-26 | 2022-09-01 | Ethris Gmbh | Formulations for aerosol formation and aerosols for the delivery of nucleic acid |
| US11433027B2 (en) | 2015-05-20 | 2022-09-06 | Curevac Ag | Dry powder composition comprising long-chain RNA |
| US11446250B2 (en) | 2015-04-17 | 2022-09-20 | Curevac Real Estate Gmbh | Lyophilization of RNA |
| WO2022200575A1 (en) | 2021-03-26 | 2022-09-29 | Glaxosmithkline Biologicals Sa | Immunogenic compositions |
| WO2022204549A1 (en) | 2021-03-25 | 2022-09-29 | Translate Bio, Inc. | Optimized nucleotide sequences encoding the extracellular domain of human ace2 protein or a portion thereof |
| WO2022207862A2 (en) | 2021-03-31 | 2022-10-06 | Curevac Ag | Syringes containing pharmaceutical compositions comprising rna |
| WO2022212784A1 (en) | 2021-03-31 | 2022-10-06 | Flagship Pioneering Innovations V, Inc. | Thanotransmission polypeptides and their use in treating cancer |
| WO2022221276A1 (en) | 2021-04-12 | 2022-10-20 | The Trustees Of The University Of Pennsylvania | Compositions useful for treating spinal and bulbar muscular atrophy (sbma) |
| US11478552B2 (en) * | 2016-06-09 | 2022-10-25 | Curevac Ag | Hybrid carriers for nucleic acid cargo |
| WO2022225918A1 (en) | 2021-04-19 | 2022-10-27 | Translate Bio, Inc. | Improved compositions for delivery of mrna |
| WO2022226263A1 (en) | 2021-04-23 | 2022-10-27 | The Trustees Of The University Of Pennsylvania | Novel compositions with brain-specific targeting motifs and compositions containing same |
| WO2022233880A1 (en) | 2021-05-03 | 2022-11-10 | Curevac Ag | Improved nucleic acid sequence for cell type specific expression |
| JP2022184875A (en) * | 2010-11-15 | 2022-12-13 | ライフ テクノロジーズ コーポレーション | Amine-containing transfection reagents and methods for making and using the same |
| US11534405B2 (en) | 2015-05-20 | 2022-12-27 | Curevac Ag | Dry powder composition comprising long-chain RNA |
| WO2023278754A1 (en) | 2021-07-01 | 2023-01-05 | Translate Bio, Inc. | Compositions for delivery of mrna |
| US11555206B2 (en) | 2017-11-30 | 2023-01-17 | The Trustees Of The University Of Pennsylvania | Gene therapy for mucopolysaccharidosis IIIA |
| US11564996B2 (en) | 2017-03-01 | 2023-01-31 | The Trustees Of The University Of Pennsylvania | Gene therapy for ocular disorders |
| WO2023009547A1 (en) | 2021-07-26 | 2023-02-02 | Flagship Pioneering Innovations Vi, Llc | Trem compositions and uses thereof |
| US11583504B2 (en) | 2016-11-08 | 2023-02-21 | Modernatx, Inc. | Stabilized formulations of lipid nanoparticles |
| US11591614B2 (en) | 2017-05-11 | 2023-02-28 | The Trustees Of The University Of Pennsylvania | Gene therapy for ceroid lipofuscinoses |
| US11596645B2 (en) | 2010-07-06 | 2023-03-07 | Glaxosmithkline Biologicals Sa | Delivery of RNA to trigger multiple immune pathways |
| WO2023031394A1 (en) | 2021-09-03 | 2023-03-09 | CureVac SE | Novel lipid nanoparticles for delivery of nucleic acids |
| WO2023031855A1 (en) | 2021-09-03 | 2023-03-09 | Glaxosmithkline Biologicals Sa | Substitution of nucleotide bases in self-amplifying messenger ribonucleic acids |
| WO2023031392A2 (en) | 2021-09-03 | 2023-03-09 | CureVac SE | Novel lipid nanoparticles for delivery of nucleic acids comprising phosphatidylserine |
| WO2023044006A1 (en) | 2021-09-17 | 2023-03-23 | Flagship Pioneering Innovations Vi, Llc | Compositions and methods for producing circular polyribonucleotides |
| WO2023059806A1 (en) | 2021-10-06 | 2023-04-13 | Massachusetts Institute Of Technology | Lipid nanoparticles for drug delivery to microglia in the brain |
| WO2023069397A1 (en) | 2021-10-18 | 2023-04-27 | Flagship Pioneering Innovations Vi, Llc | Compositions and methods for purifying polyribonucleotides |
| US11639370B2 (en) | 2010-10-11 | 2023-05-02 | Glaxosmithkline Biologicals Sa | Antigen delivery platforms |
| WO2023073228A1 (en) | 2021-10-29 | 2023-05-04 | CureVac SE | Improved circular rna for expressing therapeutic proteins |
| WO2023081526A1 (en) | 2021-11-08 | 2023-05-11 | Orna Therapeutics, Inc. | Lipid nanoparticle compositions for delivering circular polynucleotides |
| WO2023086893A1 (en) | 2021-11-10 | 2023-05-19 | Translate Bio, Inc. | Composition and methods for treatment of primary ciliary dyskinesia |
| WO2023087019A2 (en) | 2021-11-15 | 2023-05-19 | The Trustees Of The University Of Pennsylvania | Compositions for drg-specific reduction of transgene expression |
| US11655475B2 (en) | 2010-07-06 | 2023-05-23 | Glaxosmithkline Biologicals Sa | Immunisation of large mammals with low doses of RNA |
| WO2023096990A1 (en) | 2021-11-24 | 2023-06-01 | Flagship Pioneering Innovation Vi, Llc | Coronavirus immunogen compositions and their uses |
| WO2023097003A2 (en) | 2021-11-24 | 2023-06-01 | Flagship Pioneering Innovations Vi, Llc | Immunogenic compositions and their uses |
| WO2023096963A1 (en) | 2021-11-24 | 2023-06-01 | Flagship Pioneering Innovations Vi, Llc | Varicella-zoster virus immunogen compositions and their uses |
| WO2023102517A1 (en) | 2021-12-02 | 2023-06-08 | The Trustees Of The University Of Pennsylvania | Compositions and methods for treatment of fabry disease |
| WO2023115013A1 (en) | 2021-12-17 | 2023-06-22 | Flagship Pioneering Innovations Vi, Llc | Methods for enrichment of circular rna under denaturing conditions |
| WO2023122789A1 (en) | 2021-12-23 | 2023-06-29 | Flagship Pioneering Innovations Vi, Llc | Circular polyribonucleotides encoding antifusogenic polypeptides |
| WO2023122745A1 (en) | 2021-12-22 | 2023-06-29 | Flagship Pioneering Innovations Vi, Llc | Compositions and methods for purifying polyribonucleotides |
| WO2023133574A1 (en) | 2022-01-10 | 2023-07-13 | The Trustees Of The University Of Pennsylvania | Compositions and methods useful for treatment of c9orf72-mediated disorders |
| WO2023144330A1 (en) | 2022-01-28 | 2023-08-03 | CureVac SE | Nucleic acid encoded transcription factor inhibitors |
| WO2023147090A1 (en) | 2022-01-27 | 2023-08-03 | BioNTech SE | Pharmaceutical compositions for delivery of herpes simplex virus antigens and related methods |
| US11723989B2 (en) | 2017-11-30 | 2023-08-15 | The Trustees Of The University Of Pennsylvania | Gene therapy for mucopolysaccharidosis IIIB |
| US11744801B2 (en) | 2017-08-31 | 2023-09-05 | Modernatx, Inc. | Methods of making lipid nanoparticles |
| US11759422B2 (en) | 2010-08-31 | 2023-09-19 | Glaxosmithkline Biologicals Sa | Pegylated liposomes for delivery of immunogen-encoding RNA |
| CN116803995A (en) * | 2023-05-16 | 2023-09-26 | 河北大学 | Amino amide lipoid compound and preparation method and application thereof |
| WO2023183616A1 (en) | 2022-03-25 | 2023-09-28 | Senda Biosciences, Inc. | Novel ionizable lipids and lipid nanoparticles and methods of using the same |
| WO2023196634A2 (en) | 2022-04-08 | 2023-10-12 | Flagship Pioneering Innovations Vii, Llc | Vaccines and related methods |
| US11786607B2 (en) | 2017-06-15 | 2023-10-17 | Modernatx, Inc. | RNA formulations |
| US11806360B2 (en) | 2017-09-19 | 2023-11-07 | Alnylam Pharmaceuticals, Inc. | Compositions and methods for treating transthyretin (TTR) mediated amyloidosis |
| WO2023214405A1 (en) | 2022-05-01 | 2023-11-09 | Yeda Research And Development Co. Ltd. | Reexpression of hnf4a to alleviate cancer-associated cachexia |
| WO2023220083A1 (en) | 2022-05-09 | 2023-11-16 | Flagship Pioneering Innovations Vi, Llc | Trem compositions and methods of use for treating proliferative disorders |
| WO2023220729A2 (en) | 2022-05-13 | 2023-11-16 | Flagship Pioneering Innovations Vii, Llc | Double stranded dna compositions and related methods |
| US11827906B2 (en) | 2017-02-28 | 2023-11-28 | The Trustees Of The University Of Pennsylvania | Adeno-associated virus (AAV) clade f vector and uses therefor |
| WO2023227608A1 (en) | 2022-05-25 | 2023-11-30 | Glaxosmithkline Biologicals Sa | Nucleic acid based vaccine encoding an escherichia coli fimh antigenic polypeptide |
| WO2023242817A2 (en) | 2022-06-18 | 2023-12-21 | Glaxosmithkline Biologicals Sa | Recombinant rna molecules comprising untranslated regions or segments encoding spike protein from the omicron strain of severe acute respiratory coronavirus-2 |
| WO2023250112A1 (en) | 2022-06-22 | 2023-12-28 | Flagship Pioneering Innovations Vi, Llc | Compositions of modified trems and uses thereof |
| US11879133B2 (en) | 2017-04-24 | 2024-01-23 | The Trustees Of The University Of Pennsylvania | Gene therapy for ocular disorders |
| WO2024030856A2 (en) | 2022-08-01 | 2024-02-08 | Flagship Pioneering Innovations Vii, Llc | Immunomodulatory proteins and related methods |
| US11896636B2 (en) | 2011-07-06 | 2024-02-13 | Glaxosmithkline Biologicals Sa | Immunogenic combination compositions and uses thereof |
| WO2024035952A1 (en) | 2022-08-12 | 2024-02-15 | Remix Therapeutics Inc. | Methods and compositions for modulating splicing at alternative splice sites |
| EP4327829A1 (en) | 2022-08-26 | 2024-02-28 | Ethris GmbH | Stabilization of lipid or lipidoid nanoparticle suspensions |
| WO2024042236A1 (en) | 2022-08-26 | 2024-02-29 | Ethris Gmbh | Stable lipid or lipidoid nanoparticle suspensions |
| WO2024049979A2 (en) | 2022-08-31 | 2024-03-07 | Senda Biosciences, Inc. | Novel ionizable lipids and lipid nanoparticles and methods of using the same |
| DE202023106198U1 (en) | 2022-10-28 | 2024-03-21 | CureVac SE | Nucleic acid-based vaccine |
| WO2024064934A1 (en) | 2022-09-23 | 2024-03-28 | BioNTech SE | Compositions for delivery of plasmodium csp antigens and related methods |
| WO2024064931A1 (en) | 2022-09-23 | 2024-03-28 | BioNTech SE | Compositions for delivery of liver stage antigens and related methods |
| WO2024063789A1 (en) | 2022-09-23 | 2024-03-28 | BioNTech SE | Compositions for delivery of malaria antigens and related methods |
| WO2024063788A1 (en) | 2022-09-23 | 2024-03-28 | BioNTech SE | Compositions for delivery of malaria antigens and related methods |
| WO2024068545A1 (en) | 2022-09-26 | 2024-04-04 | Glaxosmithkline Biologicals Sa | Influenza virus vaccines |
| WO2024077191A1 (en) | 2022-10-05 | 2024-04-11 | Flagship Pioneering Innovations V, Inc. | Nucleic acid molecules encoding trif and additionalpolypeptides and their use in treating cancer |
| US11959081B2 (en) | 2021-08-03 | 2024-04-16 | Alnylam Pharmaceuticals, Inc. | Transthyretin (TTR) iRNA compositions and methods of use thereof |
| US11964052B2 (en) | 2021-05-24 | 2024-04-23 | Suzhou Abogen Biosciences Co., Ltd. | Lipid compounds and lipid nanoparticle compositions |
| US11969506B2 (en) | 2017-03-15 | 2024-04-30 | Modernatx, Inc. | Lipid nanoparticle formulation |
| WO2024097664A1 (en) | 2022-10-31 | 2024-05-10 | Flagship Pioneering Innovations Vi, Llc | Compositions and methods for purifying polyribonucleotides |
| GB202404607D0 (en) | 2024-03-29 | 2024-05-15 | Glaxosmithkline Biologicals Sa | RNA formulation |
| WO2024102677A1 (en) | 2022-11-08 | 2024-05-16 | Orna Therapeutics, Inc. | Circular rna compositions |
| WO2024102730A1 (en) | 2022-11-08 | 2024-05-16 | Orna Therapeutics, Inc. | Lipids and nanoparticle compositions for delivering polynucleotides |
| WO2024102799A1 (en) | 2022-11-08 | 2024-05-16 | Flagship Pioneering Innovations Vi, Llc | Compositions and methods for producing circular polyribonucleotides |
| WO2024102762A1 (en) | 2022-11-08 | 2024-05-16 | Orna Therapeutics, Inc. | Lipids and lipid nanoparticle compositions for delivering polynucleotides |
| WO2024112652A1 (en) | 2022-11-21 | 2024-05-30 | Translate Bio, Inc. | Compositions of dry powder formulations of messenger rna and methods of use thereof |
| WO2024130067A2 (en) | 2022-12-17 | 2024-06-20 | The Trustees Of The University Of Pennsylvania | Recombinant aav mutant vectors with cardiac and skeletal muscle-specific targeting motifs and compositions containing same |
| WO2024130070A2 (en) | 2022-12-17 | 2024-06-20 | The Trustees Of The University Of Pennsylvania | Recombinant aav capsids with cardiac- and skeletal muscle- specific targeting motifs and uses thereof |
| WO2024129988A1 (en) | 2022-12-14 | 2024-06-20 | Flagship Pioneering Innovations Vii, Llc | Compositions and methods for delivery of therapeutic agents to bone |
| WO2024129982A2 (en) | 2022-12-15 | 2024-06-20 | Orna Therapeutics, Inc. | Circular rna compositions and methods |
| WO2024126809A1 (en) | 2022-12-15 | 2024-06-20 | Sanofi | Mrna encoding influenza virus-like particle |
| WO2024133160A1 (en) | 2022-12-19 | 2024-06-27 | Glaxosmithkline Biologicals Sa | Hepatitis b compositions |
| WO2024133515A1 (en) | 2022-12-20 | 2024-06-27 | Sanofi | Rhinovirus mrna vaccine |
| WO2024151673A2 (en) | 2023-01-09 | 2024-07-18 | President And Fellows Of Harvard College | Recombinant nucleic acid molecules and their use in wound healing |
| WO2024151685A1 (en) | 2023-01-09 | 2024-07-18 | Beth Israel Deaconess Medical Center, Inc. | Recombinant nucleic acid molecules and their use in wound healing |
| WO2024151687A1 (en) | 2023-01-09 | 2024-07-18 | Flagship Pioneering Innovations V, Inc. | Genetic switches and their use in treating cancer |
| WO2024151583A2 (en) | 2023-01-09 | 2024-07-18 | Flagship Pioneering Innovations Vii, Llc | Vaccines and related methods |
| WO2024157221A1 (en) | 2023-01-27 | 2024-08-02 | BioNTech SE | Pharmaceutical compositions for delivery of herpes simplex virus glycoprotein c, glycoprotein d, and glycoprotein e antigens and related methods |
| WO2024160936A1 (en) | 2023-02-03 | 2024-08-08 | Glaxosmithkline Biologicals Sa | Rna formulation |
| WO2024167885A1 (en) | 2023-02-06 | 2024-08-15 | Flagship Pioneering Innovations Vii, Llc | Immunomodulatory compositions and related methods |
| WO2024173307A2 (en) | 2023-02-13 | 2024-08-22 | Flagship Pioneering Innovation Vii, Llc | Cleavable linker-containing ionizable lipids and lipid carriers for therapeutic compositions |
| WO2024171052A1 (en) | 2023-02-14 | 2024-08-22 | Glaxosmithkline Biologicals Sa | Analytical method |
| WO2024173828A1 (en) | 2023-02-17 | 2024-08-22 | Flagship Pioneering Innovations Vii, Llc | Dna compositions comprising modified uracil |
| WO2024173836A2 (en) | 2023-02-17 | 2024-08-22 | Flagship Pioneering Innovations Vii, Llc | Dna compositions comprising modified cytosine |
| US12077501B2 (en) | 2017-06-14 | 2024-09-03 | Modernatx, Inc. | Compounds and compositions for intracellular delivery of agents |
| WO2024184500A1 (en) | 2023-03-08 | 2024-09-12 | CureVac SE | Novel lipid nanoparticle formulations for delivery of nucleic acids |
| US12090235B2 (en) | 2018-09-20 | 2024-09-17 | Modernatx, Inc. | Preparation of lipid nanoparticles and methods of administration thereof |
| WO2024192420A1 (en) | 2023-03-15 | 2024-09-19 | Flagship Pioneering Innovations Vi, Llc | Compositions comprising polyribonucleotides and uses thereof |
| WO2024192422A1 (en) | 2023-03-15 | 2024-09-19 | Flagship Pioneering Innovations Vi, Llc | Immunogenic compositions and uses thereof |
| US12098399B2 (en) | 2022-06-24 | 2024-09-24 | Tune Therapeutics, Inc. | Compositions, systems, and methods for epigenetic regulation of proprotein convertase subtilisin/kexin type 9 (PCSK9) gene expression |
| WO2024205657A2 (en) | 2023-03-29 | 2024-10-03 | Orna Therapeutics, Inc. | Lipids and lipid nanoparticle compositions for delivering polynucleotides |
| WO2024216191A1 (en) | 2023-04-12 | 2024-10-17 | Flagship Pioneering Innovations Vi, Llc | Modified trems, compositions, and related methods thereof |
| WO2024216128A1 (en) | 2023-04-12 | 2024-10-17 | Flagship Pioneering Innovations Vi, Llc | Trems for use in correction of missense mutations |
| WO2024220746A2 (en) | 2023-04-21 | 2024-10-24 | Flagship Pioneering Innovations Vii, Llc | Rnai agents targeting fatty acid synthase and related methods |
| WO2024218166A1 (en) | 2023-04-17 | 2024-10-24 | Sanofi | Reconstitutable dry powder formulations and methods of use thereof |
| WO2024223728A1 (en) | 2023-04-27 | 2024-10-31 | Glaxosmithkline Biologicals Sa | Influenza virus vaccines |
| WO2024223724A1 (en) | 2023-04-27 | 2024-10-31 | Glaxosmithkline Biologicals Sa | Influenza virus vaccines |
| WO2024228044A1 (en) | 2023-05-03 | 2024-11-07 | BioNTech SE | Optimized csp variants and related methods |
| WO2024228150A1 (en) | 2023-05-03 | 2024-11-07 | BioNTech SE | Optimized csp variants and related methods |
| WO2024233308A2 (en) | 2023-05-05 | 2024-11-14 | Orna Therapeutics, Inc. | Circular rna compositions and methods |
| WO2024230934A1 (en) | 2023-05-11 | 2024-11-14 | CureVac SE | Therapeutic nucleic acid for the treatment of ophthalmic diseases |
| WO2024240962A1 (en) | 2023-05-25 | 2024-11-28 | Ethris Gmbh | Gm-csf-encoding nucleic acids, pharmaceutical compositions, methods and uses thereof |
| WO2024258961A1 (en) | 2023-06-12 | 2024-12-19 | The Trustees Of The University Of Pennsylvania | Aav gene therapy for mucopolysaccharidosis iiib |
| WO2024258829A1 (en) | 2023-06-12 | 2024-12-19 | Flagship Pioneering Innovations Vii, Llc | Sars-cov-2 vaccine compositions and related methods |
| WO2025007046A1 (en) | 2023-06-29 | 2025-01-02 | The Trustees Of The University Of Pennsylvania | Mutant aav with central nervous system targeting motifs and compositions containing same |
| WO2025006684A1 (en) | 2023-06-28 | 2025-01-02 | Flagship Pioneering Innovations Vi, Llc | Circular polyribonucleotides encoding antifusogenic polypeptides |
| WO2025011529A2 (en) | 2023-07-07 | 2025-01-16 | Shanghai Circode Biomed Co., Ltd. | Circular rna vaccines for seasonal flu and methods of uses |
| WO2025024337A1 (en) | 2023-07-24 | 2025-01-30 | BioNTech SE | Compositions for delivery of plasmodium antigens and related methods |
| WO2025024324A1 (en) | 2023-07-21 | 2025-01-30 | BioNTech SE | Compositions for delivery of plasmodium antigens and related methods |
| WO2025024486A2 (en) | 2023-07-25 | 2025-01-30 | Flagship Pioneering Innovations Vii, Llc | Cas endonucleases and related methods |
| WO2025024335A2 (en) | 2023-07-21 | 2025-01-30 | BioNTech SE | Compositions for delivery of plasmodium antigens and related methods |
| US12214056B2 (en) | 2016-07-19 | 2025-02-04 | Duke University | Therapeutic applications of CPF1-based genome editing |
| WO2025030097A2 (en) | 2023-08-03 | 2025-02-06 | BioNTech SE | Pharmaceutical compositions for delivery of herpes simplex virus antigens and related methods |
| WO2025030154A1 (en) | 2023-08-03 | 2025-02-06 | The Trustees Of The University Of Pennsylvania | Pharmaceutical compositions for delivery of herpes simplex virus glycoprotein b antigens and related methods |
| WO2025035143A1 (en) | 2023-08-10 | 2025-02-13 | The Trustees Of The University Of Pennsylvania | Compositions and methods for treatment of spinal muscular atrophy |
| WO2025042786A1 (en) | 2023-08-18 | 2025-02-27 | Flagship Pioneering Innovations Vi, Llc | Compositions comprising circular polyribonucleotides and uses thereof |
| WO2025045142A1 (en) | 2023-08-29 | 2025-03-06 | Shanghai Circode Biomed Co., Ltd. | Circular rna encoding vegf polypeptides, formulations, and methods of uses |
| WO2025045767A1 (en) | 2023-08-25 | 2025-03-06 | Ethris Gmbh | Stabilized lipid and lipidoid nanoparticle formulations with specific surfactant properties for enhanced pharmaceutical applications |
| WO2025054556A1 (en) | 2023-09-07 | 2025-03-13 | BioNTech SE | Rna compositions for delivery of mpox antigens and related methods |
| WO2025054236A2 (en) | 2023-09-06 | 2025-03-13 | Flagship Pioneering Innovations Vii, Llc | Sars-cov-2 vaccine compositions and related methods |
| WO2025056938A1 (en) | 2023-09-11 | 2025-03-20 | BioNTech SE | Rna compositions for delivery of incretin agents |
| WO2025059107A1 (en) * | 2023-09-11 | 2025-03-20 | The Trustees Of The University Of Pennsylvania | Degradable, branched lipid compounds, methods of preparation thereof, lipid nanoparticles (lnps) comprising the same, and methods of use thereof |
| WO2025059215A1 (en) | 2023-09-12 | 2025-03-20 | Aadigen, Llc | Methods and compositions for treating or preventing cancer |
| WO2025057088A1 (en) | 2023-09-11 | 2025-03-20 | BioNTech SE | Rna compositions for delivery of incretin agents |
| WO2025064475A2 (en) | 2023-09-18 | 2025-03-27 | Flagship Pioneering Innovations Vii, Llc | Ionizable lipidoid compositions and therapeutic uses thereof |
| US12263229B2 (en) | 2014-11-10 | 2025-04-01 | Ethris Gmbh | Induction of osteogenesis by delivering BMP encoding RNA |
| US12263248B2 (en) | 2018-09-19 | 2025-04-01 | Modernatx, Inc. | Compounds and compositions for intracellular delivery of therapeutic agents |
| WO2025072331A1 (en) | 2023-09-26 | 2025-04-03 | Flagship Pioneering Innovations Vii, Llc | Cas nucleases and related methods |
| WO2025088192A1 (en) | 2023-10-27 | 2025-05-01 | Xl-Protein Gmbh | Methods for the coupling of di(alkyl)amines to polypeptides |
| WO2025096807A2 (en) | 2023-10-31 | 2025-05-08 | Flagship Pioneering Innovations Vii, Llc | Novel therapeutic dna forms |
| US12297285B2 (en) | 2022-06-24 | 2025-05-13 | Orna Therapeutics, Inc. | Circular RNA encoding chimeric antigen receptors targeting BCMA |
| WO2025102034A1 (en) | 2023-11-10 | 2025-05-15 | The Trustees Of The University Of Pennsylvania | Gene therapy for barth syndrome |
| WO2025101501A1 (en) | 2023-11-07 | 2025-05-15 | Orna Therapeutics, Inc. | Circular rna compositions |
| WO2025106661A1 (en) | 2023-11-14 | 2025-05-22 | The Trustees Of The University Of Pennsylvania | Compositions with cardiac and skeletal musclespecific targeting motifs and uses thereof |
| WO2025106670A1 (en) | 2023-11-14 | 2025-05-22 | Flagship Pioneering Innovations Vii, Llc | Ionizable lipidoid compositions and therapeutic uses thereof |
| WO2025111526A1 (en) | 2023-11-22 | 2025-05-30 | Flagship Pioneering Innovations Vii, Llc | Methods and compositions for treating non-alcoholic fatty liver disease |
| WO2025117877A2 (en) | 2023-12-01 | 2025-06-05 | Flagship Pioneering Innovations Vii, Llc | Cas nucleases and related methods |
| WO2025132839A1 (en) | 2023-12-21 | 2025-06-26 | Glaxosmithkline Biologicals Sa | Influenza virus vaccines |
| WO2025160334A1 (en) | 2024-01-26 | 2025-07-31 | Flagship Pioneering Innovations Vii, Llc | Immunoreceptor inhibitory proteins and related methods |
| WO2025184172A1 (en) | 2024-02-27 | 2025-09-04 | Overt Bio, Inc. | Cancer reactive t cell receptors |
| WO2025184170A1 (en) | 2024-02-27 | 2025-09-04 | Overt Bio, Inc. | Methods and compositions for improving t cell function in an immunosuppressive environment |
| WO2025193628A2 (en) | 2024-03-09 | 2025-09-18 | Aadigen, Llc | Compositions for treating cancer with kras mutations and uses thereof |
| WO2025194019A1 (en) | 2024-03-14 | 2025-09-18 | Flagship Pioneering Innovations Vii, Llc | Methods for treating liver fibrosis and non-alcoholic fatty liver disease |
| WO2025196065A1 (en) | 2024-03-20 | 2025-09-25 | Sanofi | Novel homocysteine based lipids and their use for delivery of nucleic acids |
| US12428631B2 (en) | 2016-04-13 | 2025-09-30 | Duke University | CRISPR/Cas9-based repressors for silencing gene targets in vivo and methods of use |
| WO2025202937A1 (en) | 2024-03-26 | 2025-10-02 | BioNTech SE | Cancer vaccines |
| WO2025213131A1 (en) | 2024-04-05 | 2025-10-09 | BioNTech SE | Rna compositions for delivery of orthopox antigens and related methods |
| WO2025217275A2 (en) | 2024-04-10 | 2025-10-16 | Flagship Pioneering Innovations Vii, Llc | Immune cell targeted compositions and related methods |
| WO2025229572A1 (en) | 2024-05-01 | 2025-11-06 | Glaxosmithkline Biologicals Sa | Epstein-barr virus antigen-encoding messenger ribonucleic acid and antigen protein vaccines |
| RU2851148C2 (en) * | 2021-05-28 | 2025-11-19 | Пекин Трисиженбио Терапьютикс Инк. | Lipid compound and its use for delivering nucleic acid |
| WO2025240680A1 (en) | 2024-05-16 | 2025-11-20 | Flagship Pioneering Innovations Vii, Llc | Immunoreceptor inhibitory proteins and related methods |
| WO2025245111A1 (en) | 2024-05-22 | 2025-11-27 | Flagship Pioneering Innovations Vii, Llc | Immunoreceptor targeting proteins and related methods |
| WO2025245188A2 (en) | 2024-05-21 | 2025-11-27 | Flagship Pioneering Innovations Vii, Llc | Methods of treating liver steatosis and non-alcoholic fatty liver disease |
| WO2025250751A1 (en) | 2024-05-31 | 2025-12-04 | Orna Therapeutics, Inc. | Circular rna compositions and methods |
| WO2025252759A1 (en) | 2024-06-03 | 2025-12-11 | Bio-Sourcing | Transient expression by lipid nanoparticle formulations |
| US12508225B2 (en) | 2021-05-28 | 2025-12-30 | Beijing Tricisionbio Therapeutics Inc. | Lipid compound and use thereof in delivery of nucleic acid |
| WO2026006577A1 (en) | 2024-06-26 | 2026-01-02 | Flagship Pioneering Innovations Vii, Llc | Therapeutic circular dna forms |
| WO2026008743A1 (en) | 2024-07-02 | 2026-01-08 | Sanofi Pasteur Inc. | Water-soluble polyanionic polymer as adjuvant for carrier-formulated nucleic acid |
| WO2026015882A1 (en) | 2024-07-12 | 2026-01-15 | BioNTech SE | Hsv antigen fragments and related methods |
| WO2026055547A1 (en) | 2024-09-06 | 2026-03-12 | Flagship Pioneering Innovations Vii, Llc | Dna compositions and related methods |
| WO2026055543A1 (en) | 2024-09-06 | 2026-03-12 | Flagship Pioneering Innovations Vii, Llc | Modified dna compositions and related methods |
Families Citing this family (251)
| Publication number | Priority date | Publication date | Assignee | Title |
|---|---|---|---|---|
| US9393315B2 (en) | 2011-06-08 | 2016-07-19 | Nitto Denko Corporation | Compounds for targeting drug delivery and enhancing siRNA activity |
| US8822663B2 (en) | 2010-08-06 | 2014-09-02 | Moderna Therapeutics, Inc. | Engineered nucleic acids and methods of use thereof |
| DK4108671T3 (en) | 2010-10-01 | 2025-01-06 | Modernatx Inc | MODIFIED NUCLEOSIDES, NUCLEOTIDES AND NUCLEIC ACIDS AND THEIR USES |
| JP2014511687A (en) | 2011-03-31 | 2014-05-19 | モデルナ セラピューティクス インコーポレイテッド | Engineered nucleic acid delivery and formulation |
| US10196637B2 (en) | 2011-06-08 | 2019-02-05 | Nitto Denko Corporation | Retinoid-lipid drug carrier |
| KR20130024079A (en) | 2011-08-30 | 2013-03-08 | 현대자동차주식회사 | Solid scr system and heating method of solid reductant using the same |
| US9464124B2 (en) | 2011-09-12 | 2016-10-11 | Moderna Therapeutics, Inc. | Engineered nucleic acids and methods of use thereof |
| JP6113737B2 (en) | 2011-10-03 | 2017-04-12 | モデルナティエックス インコーポレイテッドModernaTX,Inc. | Modified nucleosides, nucleotides and nucleic acids and methods for their use |
| KR20140102759A (en) | 2011-12-16 | 2014-08-22 | 모더나 세라퓨틱스, 인코포레이티드 | Modified nucleoside, nucleotide, and nucleic acid compositions |
| EP2834259A4 (en) | 2012-04-02 | 2016-08-24 | Moderna Therapeutics Inc | Modified polynucleotides |
| US9572897B2 (en) | 2012-04-02 | 2017-02-21 | Modernatx, Inc. | Modified polynucleotides for the production of cytoplasmic and cytoskeletal proteins |
| US9254311B2 (en) | 2012-04-02 | 2016-02-09 | Moderna Therapeutics, Inc. | Modified polynucleotides for the production of proteins |
| US9283287B2 (en) | 2012-04-02 | 2016-03-15 | Moderna Therapeutics, Inc. | Modified polynucleotides for the production of nuclear proteins |
| US9597380B2 (en) | 2012-11-26 | 2017-03-21 | Modernatx, Inc. | Terminally modified RNA |
| WO2014093701A1 (en) | 2012-12-12 | 2014-06-19 | The Broad Institute, Inc. | Functional genomics using crispr-cas systems, compositions, methods, knock out libraries and applications thereof |
| WO2014093622A2 (en) | 2012-12-12 | 2014-06-19 | The Broad Institute, Inc. | Delivery, engineering and optimization of systems, methods and compositions for sequence manipulation and therapeutic applications |
| EP3434776A1 (en) | 2012-12-12 | 2019-01-30 | The Broad Institute, Inc. | Methods, models, systems, and apparatus for identifying target sequences for cas enzymes or crispr-cas systems for target sequences and conveying results thereof |
| CN103087012B (en) * | 2012-12-28 | 2014-10-22 | 四川大学 | Epoxy compound and cationic polymer as well as preparation methods thereof |
| ES2859923T3 (en) | 2013-02-28 | 2021-10-04 | Univ Tufts | Disulfide compounds for the supply of pharmaceutical agents |
| US10258698B2 (en) | 2013-03-14 | 2019-04-16 | Modernatx, Inc. | Formulation and delivery of modified nucleoside, nucleotide, and nucleic acid compositions |
| US11377470B2 (en) | 2013-03-15 | 2022-07-05 | Modernatx, Inc. | Ribonucleic acid purification |
| US8980864B2 (en) | 2013-03-15 | 2015-03-17 | Moderna Therapeutics, Inc. | Compositions and methods of altering cholesterol levels |
| WO2014144767A1 (en) | 2013-03-15 | 2014-09-18 | Moderna Therapeutics, Inc. | Ion exchange purification of mrna |
| US10888622B2 (en) | 2013-05-14 | 2021-01-12 | Trustees Of Tufts College | Nanocomplexes of modified peptides or proteins |
| CA2915837A1 (en) | 2013-06-17 | 2014-12-24 | The Broad Institute, Inc. | Optimized crispr-cas double nickase systems, methods and compositions for sequence manipulation |
| EP3011033B1 (en) | 2013-06-17 | 2020-02-19 | The Broad Institute, Inc. | Functional genomics using crispr-cas systems, compositions methods, screens and applications thereof |
| SG11201510327TA (en) | 2013-06-17 | 2016-01-28 | Broad Inst Inc | Delivery, engineering and optimization of systems, methods and compositions for targeting and modeling diseases and disorders of post mitotic cells |
| EP3597755A1 (en) | 2013-06-17 | 2020-01-22 | The Broad Institute, Inc. | Delivery, use and therapeutic applications of the crispr-cas systems and compositions for targeting disorders and diseases using viral components |
| KR20240172759A (en) | 2013-06-17 | 2024-12-10 | 더 브로드 인스티튜트, 인코퍼레이티드 | Delivery and use of the crispr-cas systems, vectors and compositions for hepatic targeting and therapy |
| EP3674411A1 (en) | 2013-06-17 | 2020-07-01 | The Broad Institute, Inc. | Delivery, engineering and optimization of tandem guide systems, methods and compositions for sequence manipulation |
| WO2014210356A1 (en) * | 2013-06-26 | 2014-12-31 | Massachusetts Institute Of Technology | Multi-tailed lipids and uses thereof |
| DK3019619T3 (en) | 2013-07-11 | 2021-10-11 | Modernatx Inc | COMPOSITIONS INCLUDING SYNTHETIC POLYNUCLEOTIDES CODING CRISPR-RELATED PROTEINS, SYNTHETIC SGRNAs, AND USES OF USE |
| EP3041938A1 (en) | 2013-09-03 | 2016-07-13 | Moderna Therapeutics, Inc. | Circular polynucleotides |
| AU2014315287A1 (en) | 2013-09-03 | 2015-03-12 | Moderna Therapeutics, Inc. | Chimeric polynucleotides |
| EP3052511A4 (en) | 2013-10-02 | 2017-05-31 | Moderna Therapeutics, Inc. | Polynucleotide molecules and uses thereof |
| WO2015089354A1 (en) | 2013-12-12 | 2015-06-18 | The Broad Institute Inc. | Compositions and methods of use of crispr-cas systems in nucleotide repeat disorders |
| JP2017501149A (en) | 2013-12-12 | 2017-01-12 | ザ・ブロード・インスティテュート・インコーポレイテッド | Delivery, use and therapeutic applications of CRISPR-CAS systems and compositions for targeting disorders and diseases using particle delivery components |
| WO2015089364A1 (en) | 2013-12-12 | 2015-06-18 | The Broad Institute Inc. | Crystal structure of a crispr-cas system, and uses thereof |
| EP3080259B1 (en) | 2013-12-12 | 2023-02-01 | The Broad Institute, Inc. | Engineering of systems, methods and optimized guide compositions with new architectures for sequence manipulation |
| CN105899658B (en) | 2013-12-12 | 2020-02-18 | 布罗德研究所有限公司 | Delivery, Use and Therapeutic Applications of CRISPR-CAS Systems and Compositions for HBV and Viral Diseases and Disorders |
| EP3080271B1 (en) | 2013-12-12 | 2020-02-12 | The Broad Institute, Inc. | Systems, methods and compositions for sequence manipulation with optimized functional crispr-cas systems |
| EP3653229A1 (en) | 2013-12-12 | 2020-05-20 | The Broad Institute, Inc. | Delivery, use and therapeutic applications of the crispr-cas systems and compositions for genome editing |
| CA2940199A1 (en) | 2014-02-26 | 2015-09-03 | Ethris Gmbh | Compositions for gastrointestinal administration of rna |
| US9624191B2 (en) | 2014-03-24 | 2017-04-18 | International Business Machines Corporation | Cyclic carbonate monomers and ring opened polycarbonates therefrom |
| US9215876B2 (en) | 2014-03-24 | 2015-12-22 | International Business Machines Corporation | 1,3,6-dioxazocan-2-ones and antimicrobial cationic polycarbonates therefrom |
| CA2951707A1 (en) | 2014-06-10 | 2015-12-17 | Massachusetts Institute Of Technology | Method for gene editing |
| EP3169693B1 (en) | 2014-07-16 | 2022-03-09 | ModernaTX, Inc. | Chimeric polynucleotides |
| EP3171895A1 (en) | 2014-07-23 | 2017-05-31 | Modernatx, Inc. | Modified polynucleotides for the production of intrabodies |
| EP3686279B1 (en) | 2014-08-17 | 2023-01-04 | The Broad Institute, Inc. | Genome editing using cas9 nickases |
| WO2016049163A2 (en) | 2014-09-24 | 2016-03-31 | The Broad Institute Inc. | Use and production of chd8+/- transgenic animals with behavioral phenotypes characteristic of autism spectrum disorder |
| WO2016049258A2 (en) | 2014-09-25 | 2016-03-31 | The Broad Institute Inc. | Functional screening with optimized functional crispr-cas systems |
| AU2015360794B2 (en) | 2014-12-08 | 2021-07-08 | The Board Of Regents Of The University Of Texas System | Lipocationic polymers and uses thereof |
| WO2016094880A1 (en) | 2014-12-12 | 2016-06-16 | The Broad Institute Inc. | Delivery, use and therapeutic applications of crispr systems and compositions for genome editing as to hematopoietic stem cells (hscs) |
| EP3889260A1 (en) | 2014-12-12 | 2021-10-06 | The Broad Institute, Inc. | Protected guide rnas (pgrnas) |
| WO2016094874A1 (en) | 2014-12-12 | 2016-06-16 | The Broad Institute Inc. | Escorted and functionalized guides for crispr-cas systems |
| EP3230452B1 (en) | 2014-12-12 | 2025-06-11 | The Broad Institute, Inc. | Dead guides for crispr transcription factors |
| EP3034539A1 (en) | 2014-12-19 | 2016-06-22 | Ethris GmbH | Compositions for introducing nucleic acid into cells |
| WO2016100974A1 (en) | 2014-12-19 | 2016-06-23 | The Broad Institute Inc. | Unbiased identification of double-strand breaks and genomic rearrangement by genome-wide insert capture sequencing |
| WO2016106236A1 (en) | 2014-12-23 | 2016-06-30 | The Broad Institute Inc. | Rna-targeting system |
| CA2970370A1 (en) | 2014-12-24 | 2016-06-30 | Massachusetts Institute Of Technology | Crispr having or associated with destabilization domains |
| US20180000953A1 (en) * | 2015-01-21 | 2018-01-04 | Moderna Therapeutics, Inc. | Lipid nanoparticle compositions |
| MX392008B (en) | 2015-06-18 | 2025-03-21 | Broad Inst Inc | CRISPR ENZYME MUTATIONS THAT REDUCE OFF-TARGET EFFECTS |
| EP4159856A1 (en) | 2015-06-18 | 2023-04-05 | The Broad Institute, Inc. | Novel crispr enzymes and systems |
| WO2016205749A1 (en) | 2015-06-18 | 2016-12-22 | The Broad Institute Inc. | Novel crispr enzymes and systems |
| US9790490B2 (en) | 2015-06-18 | 2017-10-17 | The Broad Institute Inc. | CRISPR enzymes and systems |
| WO2016205745A2 (en) | 2015-06-18 | 2016-12-22 | The Broad Institute Inc. | Cell sorting |
| WO2016205759A1 (en) | 2015-06-18 | 2016-12-22 | The Broad Institute Inc. | Engineering and optimization of systems, methods, enzymes and guide scaffolds of cas9 orthologs and variants for sequence manipulation |
| DE112016002962T5 (en) | 2015-06-30 | 2018-05-24 | Ethris Gmbh | Family of ATP-binding cassette-encoding polyribonucleotides and formulations thereof |
| AU2016308339A1 (en) | 2015-08-18 | 2018-04-12 | Baylor College Of Medicine | Methods and compositions for altering function and structure of chromatin loops and/or domains |
| US10881682B2 (en) * | 2015-08-26 | 2021-01-05 | International Business Machines Corporation | Therapeutic compositions comprising n-alkyl-hydroxy polymers |
| US11247968B2 (en) | 2015-09-14 | 2022-02-15 | The Board Of Regents Of The University Of Texas System | Lipocationic dendrimers and uses thereof |
| PL3350333T3 (en) | 2015-09-17 | 2022-03-07 | Modernatx, Inc. | Polynucleotides containing a stabilizing tail region |
| WO2017049286A1 (en) | 2015-09-17 | 2017-03-23 | Moderna Therapeutics, Inc. | Polynucleotides containing a morpholino linker |
| WO2017069958A2 (en) | 2015-10-09 | 2017-04-27 | The Brigham And Women's Hospital, Inc. | Modulation of novel immune checkpoint targets |
| WO2017070605A1 (en) | 2015-10-22 | 2017-04-27 | The Broad Institute Inc. | Type vi-b crispr enzymes and systems |
| WO2017074788A1 (en) | 2015-10-27 | 2017-05-04 | The Broad Institute Inc. | Compositions and methods for targeting cancer-specific sequence variations |
| WO2017075465A1 (en) | 2015-10-28 | 2017-05-04 | The Broad Institute Inc. | Compositions and methods for evaluating and modulating immune responses by detecting and targeting gata3 |
| WO2017075451A1 (en) | 2015-10-28 | 2017-05-04 | The Broad Institute Inc. | Compositions and methods for evaluating and modulating immune responses by detecting and targeting pou2af1 |
| WO2017075478A2 (en) | 2015-10-28 | 2017-05-04 | The Broad Institute Inc. | Compositions and methods for evaluating and modulating immune responses by use of immune cell gene signatures |
| ES2924407T3 (en) | 2015-12-10 | 2022-10-06 | Modernatx Inc | Compositions and methods for the delivery of therapeutic agents |
| WO2017100744A1 (en) * | 2015-12-11 | 2017-06-15 | Preceres Inc. | Aminolipidoids and uses thereof |
| US12110490B2 (en) | 2015-12-18 | 2024-10-08 | The Broad Institute, Inc. | CRISPR enzymes and systems |
| LT3394093T (en) | 2015-12-23 | 2022-04-25 | Modernatx, Inc. | Methods of using ox40 ligand encoding polynucleotides |
| WO2017112852A1 (en) * | 2015-12-23 | 2017-06-29 | Preceres Inc. | Modified polyethyleneimines and uses thereof |
| EP3400023A1 (en) | 2016-01-10 | 2018-11-14 | ModernaTX, Inc. | Therapeutic mrnas encoding anti ctla-4 antibodies |
| WO2017189308A1 (en) | 2016-04-19 | 2017-11-02 | The Broad Institute Inc. | Novel crispr enzymes and systems |
| KR20260004568A (en) | 2016-04-19 | 2026-01-08 | 더 브로드 인스티튜트, 인코퍼레이티드 | The novel CRISPR enzyme and system |
| EP3445853A1 (en) | 2016-04-19 | 2019-02-27 | The Broad Institute, Inc. | Cpf1 complexes with reduced indel activity |
| WO2017201091A1 (en) | 2016-05-16 | 2017-11-23 | The Board Of Regents Of The University Of Texas System | COMPOSITIONS FOR THE DELIVERY OF tRNA AS NANOPARTICLES AND METHODS OF USE THEREWITH |
| EP3458032A4 (en) | 2016-05-16 | 2019-12-25 | The Board of Regents of The University of Texas System | CATIONIC AMINO SULFONAMIDE LIPIDS AND AMPHIPHILIC ZWITTERIONIC AMINO LIPIDS |
| KR102533456B1 (en) | 2016-05-18 | 2023-05-17 | 모더나티엑스, 인크. | Polynucleotides encoding relaxin |
| CA3025626A1 (en) | 2016-05-27 | 2017-11-30 | Transcriptx, Inc. | Treatment of primary ciliary dyskinesia with synthetic messenger rna |
| US20190336608A1 (en) | 2016-06-09 | 2019-11-07 | Curevac Ag | Cationic carriers for nucleic acid delivery |
| KR20190019168A (en) | 2016-06-17 | 2019-02-26 | 더 브로드 인스티튜트, 인코퍼레이티드 | Type VI CRISPR Operating System and System |
| US20210222164A1 (en) | 2016-06-29 | 2021-07-22 | The Broad Institute, Inc. | Crispr-cas systems having destabilization domain |
| KR101816795B1 (en) | 2016-06-30 | 2018-01-10 | 한국화학연구원 | Novel tertiary amine-based polyol and preparation method of polyurethane using the same autocatalysts |
| WO2018035388A1 (en) | 2016-08-17 | 2018-02-22 | The Broad Institute, Inc. | Novel crispr enzymes and systems |
| CN110312799A (en) | 2016-08-17 | 2019-10-08 | 博德研究所 | Novel C RISPR enzyme and system |
| JP6778380B2 (en) * | 2016-08-23 | 2020-11-04 | 昭和電工マテリアルズ株式会社 | Adsorbent |
| WO2018049025A2 (en) | 2016-09-07 | 2018-03-15 | The Broad Institute Inc. | Compositions and methods for evaluating and modulating immune responses |
| WO2018064208A1 (en) | 2016-09-28 | 2018-04-05 | The Broad Institute, Inc. | Systematic screening and mapping of regulatory elements in non-coding genomic regions, methods, compositions, and applications thereof |
| WO2018067991A1 (en) | 2016-10-07 | 2018-04-12 | The Brigham And Women's Hospital, Inc. | Modulation of novel immune checkpoint targets |
| WO2018104540A1 (en) | 2016-12-08 | 2018-06-14 | Curevac Ag | Rnas for wound healing |
| JP2020501545A (en) | 2016-12-08 | 2020-01-23 | キュアバック アーゲー | RNA for treatment or prevention of liver disease |
| US11524066B2 (en) | 2016-12-23 | 2022-12-13 | CureVac SE | Henipavirus vaccine |
| US11141476B2 (en) | 2016-12-23 | 2021-10-12 | Curevac Ag | MERS coronavirus vaccine |
| WO2018115525A1 (en) | 2016-12-23 | 2018-06-28 | Curevac Ag | Lassa virus vaccine |
| CN120330163A (en) | 2017-03-15 | 2025-07-18 | 博德研究所 | Novel Cas13B orthologs CRISPR enzymes and systems |
| JP2020514370A (en) | 2017-03-17 | 2020-05-21 | キュアバック アーゲー | RNA vaccines and immune checkpoint inhibitors for combination anti-cancer therapy |
| KR102842382B1 (en) | 2017-03-24 | 2025-08-04 | 큐어백 에스이 | Nucleic acid encoding a CRISPR-associated protein and uses thereof |
| CA3059757A1 (en) | 2017-04-12 | 2018-10-18 | Massachusetts Institute Of Technology | Novel type vi crispr orthologs and systems |
| WO2018191750A2 (en) | 2017-04-14 | 2018-10-18 | The Broad Institute Inc. | Novel delivery of large payloads |
| US11591601B2 (en) | 2017-05-05 | 2023-02-28 | The Broad Institute, Inc. | Methods for identification and modification of lncRNA associated with target genotypes and phenotypes |
| US11485972B2 (en) | 2017-05-18 | 2022-11-01 | Modernatx, Inc. | Modified messenger RNA comprising functional RNA elements |
| WO2018213726A1 (en) | 2017-05-18 | 2018-11-22 | The Broad Institute, Inc. | Systems, methods, and compositions for targeted nucleic acid editing |
| US11421011B2 (en) | 2017-05-18 | 2022-08-23 | Modernatx, Inc. | Polynucleotides encoding tethered interleukin-12 (IL12) polypeptides and uses thereof |
| EP3638292A1 (en) | 2017-06-14 | 2020-04-22 | ModernaTX, Inc. | Polynucleotides encoding coagulation factor viii |
| BR112019028280A2 (en) | 2017-07-04 | 2020-07-14 | Curevac Ag | nucleic acid molecules |
| EP3673069A1 (en) | 2017-08-22 | 2020-07-01 | CureVac AG | Bunyavirales vaccine |
| GB201714430D0 (en) | 2017-09-07 | 2017-10-25 | Micol Romain | Compositions and processes for targeted delivery and expression and modulation of therapeutic components in tissue |
| KR20200066616A (en) | 2017-09-21 | 2020-06-10 | 더 브로드 인스티튜트, 인코퍼레이티드 | Systems, methods and compositions for targeted nucleic acid editing |
| WO2019071054A1 (en) | 2017-10-04 | 2019-04-11 | The Broad Institute, Inc. | Methods and compositions for altering function and structure of chromatin loops and/or domains |
| US20220233568A1 (en) | 2017-10-19 | 2022-07-28 | Curevac Ag | Novel artificial nucleic acid molecules |
| US12227742B2 (en) | 2017-10-23 | 2025-02-18 | The Broad Institute, Inc. | Nucleic acid modifiers |
| US11547614B2 (en) | 2017-10-31 | 2023-01-10 | The Broad Institute, Inc. | Methods and compositions for studying cell evolution |
| EP3710039A4 (en) | 2017-11-13 | 2021-08-04 | The Broad Institute, Inc. | METHODS AND COMPOSITIONS FOR CANCER TREATMENT BY TARGETING THE CLEC2D-KLRB1 PATH |
| JP7423520B2 (en) | 2017-11-16 | 2024-01-29 | アストラゼネカ・アクチエボラーグ | Compositions and methods for improving the efficacy of Cas9-based knock-in policies |
| JP7423522B2 (en) | 2017-11-22 | 2024-01-29 | モダーナティエックス・インコーポレイテッド | Polynucleotide encoding ornithine transcarbamylase for the treatment of urea cycle disorders |
| WO2019104195A1 (en) | 2017-11-22 | 2019-05-31 | Modernatx, Inc. | Polynucleotides encoding propionyl-coa carboxylase alpha and beta subunits for the treatment of propionic acidemia |
| US11939601B2 (en) | 2017-11-22 | 2024-03-26 | Modernatx, Inc. | Polynucleotides encoding phenylalanine hydroxylase for the treatment of phenylketonuria |
| WO2019115635A1 (en) | 2017-12-13 | 2019-06-20 | Curevac Ag | Flavivirus vaccine |
| US20230193242A1 (en) | 2017-12-22 | 2023-06-22 | The Broad Institute, Inc. | Cas12b systems, methods, and compositions for targeted dna base editing |
| US11802146B2 (en) | 2018-01-05 | 2023-10-31 | Modernatx, Inc. | Polynucleotides encoding anti-chikungunya virus antibodies |
| EP3755344A1 (en) | 2018-02-19 | 2020-12-30 | Combined Therapeutics, Inc. | Compositions and methods for organ-protective expression and modulation of coding ribonucleic acids |
| WO2019176079A1 (en) * | 2018-03-16 | 2019-09-19 | 株式会社 東芝 | Biodegradable compound, lipid particle, lipid particle-containing composition, and kit |
| US10968257B2 (en) | 2018-04-03 | 2021-04-06 | The Broad Institute, Inc. | Target recognition motifs and uses thereof |
| WO2019193183A2 (en) | 2018-04-05 | 2019-10-10 | Curevac Ag | Novel yellow fever nucleic acid molecules for vaccination |
| EP3773745A1 (en) | 2018-04-11 | 2021-02-17 | ModernaTX, Inc. | Messenger rna comprising functional rna elements |
| SG11202008225PA (en) | 2018-04-17 | 2020-11-27 | Curevac Ag | Novel rsv rna molecules and compositions for vaccination |
| EP3784284B1 (en) | 2018-04-25 | 2023-08-02 | Ethris GmbH | Lipid-based formulations for the delivery of rna |
| WO2019226650A1 (en) | 2018-05-23 | 2019-11-28 | Modernatx, Inc. | Delivery of dna |
| US12357580B2 (en) | 2018-06-19 | 2025-07-15 | The Board Of Regents Of The University Of Texas System | Lipid nanoparticle compositions for delivery of mRNA and long nucleic acids |
| EP3813874A1 (en) | 2018-06-27 | 2021-05-05 | CureVac AG | Novel lassa virus rna molecules and compositions for vaccination |
| US20220184185A1 (en) | 2018-07-25 | 2022-06-16 | Modernatx, Inc. | Mrna based enzyme replacement therapy combined with a pharmacological chaperone for the treatment of lysosomal storage disorders |
| WO2020028729A1 (en) | 2018-08-01 | 2020-02-06 | Mammoth Biosciences, Inc. | Programmable nuclease compositions and methods of use thereof |
| EP3833761A1 (en) | 2018-08-07 | 2021-06-16 | The Broad Institute, Inc. | Novel cas12b enzymes and systems |
| WO2020041380A1 (en) | 2018-08-20 | 2020-02-27 | The Broad Institute, Inc. | Methods and compositions for optochemical control of crispr-cas9 |
| WO2020041456A1 (en) | 2018-08-22 | 2020-02-27 | The Regents Of The University Of California | Variant type v crispr/cas effector polypeptides and methods of use thereof |
| EP3844303A4 (en) | 2018-08-27 | 2022-06-01 | The Regents of The University of California | REPORTER NUCLEIC ACIDS FOR TYPE V CRISPR-MEDIATED DETECTION |
| EP4596532A3 (en) | 2018-08-29 | 2025-11-12 | Ecolab USA Inc. | Multiple charged ionic compounds derived from polyamines and compositions thereof and methods of preparation thereof |
| KR20210102870A (en) | 2018-08-30 | 2021-08-20 | 테나야 테라퓨틱스, 인코포레이티드 | Cardiac Cell Reprogramming with Myocardin and ASCL1 |
| MA53545A (en) | 2018-09-02 | 2021-07-14 | Modernatx Inc | POLYNUCLEOTIDES ENCODED FOR VERY LONG CHAIN ACYL-COA DEHYDROGENASE FOR THE TREATMENT OF VERY LONG CHAIN ACYL-COA DEHYDROGENASE DEFICIENCY |
| GB2592505B (en) | 2018-09-04 | 2023-05-03 | Univ Texas | Compositions and methods for organ specific delivery of nucleic acids |
| WO2020051220A1 (en) | 2018-09-04 | 2020-03-12 | The Board of the Regents of the University of Texas System | Compositions and methods for organ specific delivery of nucleic acids |
| EP3847251A1 (en) | 2018-09-07 | 2021-07-14 | Astrazeneca AB | Compositions and methods for improved nucleases |
| MX2021003015A (en) | 2018-09-13 | 2021-07-15 | Modernatx Inc | Polynucleotides encoding glucose-6-phosphatase for the treatment of glycogen storage disease. |
| EP3849594A2 (en) | 2018-09-13 | 2021-07-21 | Modernatx, Inc. | Polynucleotides encoding branched-chain alpha-ketoacid dehydrogenase complex e1-alpha, e1-beta, and e2 subunits for the treatment of maple syrup urine disease |
| AU2019339430A1 (en) | 2018-09-14 | 2021-04-29 | Modernatx, Inc. | Polynucleotides encoding uridine diphosphate glycosyltransferase 1 family, polypeptide A1 for the treatment of Crigler-Najjar Syndrome |
| JP7344300B2 (en) | 2018-09-18 | 2023-09-13 | ブイエヌブイ ニューコ インク. | ARC-based capsids and their uses |
| EP4509118A3 (en) | 2018-09-19 | 2025-05-14 | ModernaTX, Inc. | High-purity peg lipids and uses thereof |
| WO2020061284A1 (en) | 2018-09-19 | 2020-03-26 | Modernatx, Inc. | Peg lipids and uses thereof |
| MA53734A (en) | 2018-09-27 | 2021-08-04 | Modernatx Inc | POLYNUCLEOTIDES ENCODED ARGINASE 1 FOR THE TREATMENT OF ARGINASE DEFICIENCY |
| WO2020097409A2 (en) | 2018-11-08 | 2020-05-14 | Modernatx, Inc. | Use of mrna encoding ox40l to treat cancer in human patients |
| AU2019374883A1 (en) | 2018-11-09 | 2021-05-20 | Inari Agriculture Technology, Inc. | RNA-guided nucleases and DNA binding proteins |
| TW202039534A (en) | 2018-12-14 | 2020-11-01 | 美商美國禮來大藥廠 | Kras variant mrna molecules |
| WO2020142754A2 (en) | 2019-01-04 | 2020-07-09 | Mammoth Biosciences, Inc. | Programmable nuclease improvements and compositions and methods for nucleic acid amplification and detection |
| US12215382B2 (en) | 2019-03-01 | 2025-02-04 | The General Hospital Corporation | Liver protective MARC variants and uses thereof |
| EP3935156A4 (en) | 2019-03-07 | 2022-12-28 | The Regents of The University of California | CRISPR-CAS EFFECTOR POLYPEPTIDES AND METHODS OF USE |
| US20220154222A1 (en) | 2019-03-14 | 2022-05-19 | The Broad Institute, Inc. | Novel nucleic acid modifiers |
| US12534714B2 (en) | 2019-03-18 | 2026-01-27 | The Broad Institute, Inc. | Type VII CRISPR proteins and systems |
| US11359291B2 (en) | 2019-04-16 | 2022-06-14 | Ecolab Usa Inc. | Use of multiple charged cationic compounds derived from polyamines and compositions thereof for corrosion inhibition in a water system |
| JP2022532078A (en) | 2019-05-08 | 2022-07-13 | アストラゼネカ アクチボラグ | Compositions for skin and wounds and methods of their use |
| WO2020236972A2 (en) | 2019-05-20 | 2020-11-26 | The Broad Institute, Inc. | Non-class i multi-component nucleic acid targeting systems |
| MA56539A (en) | 2019-06-24 | 2022-04-27 | Modernatx Inc | ENDONUCLEASE RESISTANT MESSENGER RNA AND USES THEREOF |
| US20220387628A1 (en) | 2019-06-24 | 2022-12-08 | Modernatx, Inc. | Messenger rna comprising functional rna elements and uses thereof |
| EP3997226A1 (en) | 2019-07-11 | 2022-05-18 | Tenaya Therapeutics, Inc. | Cardiac cell reprogramming with micrornas and other factors |
| EP4013873A1 (en) | 2019-08-16 | 2022-06-22 | Massachusetts Institute Of Technology | Targeted trans-splicing using crispr/cas13 |
| WO2021055855A1 (en) | 2019-09-20 | 2021-03-25 | The Broad Institute, Inc. | Compositions and methods for delivering cargo to a target cell |
| US12297426B2 (en) | 2019-10-01 | 2025-05-13 | The Broad Institute, Inc. | DNA damage response signature guided rational design of CRISPR-based systems and therapies |
| EP4096644A1 (en) * | 2020-01-31 | 2022-12-07 | Modernatx, Inc. | Methods of preparing lipid nanoparticles |
| CN115552022A (en) | 2020-03-02 | 2022-12-30 | 特纳亚治疗股份有限公司 | MicroRNA-controlled gene vector expressed by cardiac muscle cells |
| US11773391B2 (en) | 2020-04-01 | 2023-10-03 | University of Pittsburgh—of the Commonwealth System of Higher Education | Therapeutic and diagnostic target for SARS-CoV-2 and COVID-19 |
| EP4133069A2 (en) | 2020-04-08 | 2023-02-15 | Astrazeneca AB | Compositions and methods for improved site-specific modification |
| US20230235298A1 (en) | 2020-06-01 | 2023-07-27 | Modernatx, Inc. | Phenylalanine hydroxylase variants and uses thereof |
| CA3195015A1 (en) | 2020-10-09 | 2022-04-14 | Jason MCLELLAN | Prefusion-stabilized hmpv f proteins |
| US20230406895A1 (en) | 2020-11-13 | 2023-12-21 | Modernatx, Inc. | Polynucleotides encoding cystic fibrosis transmembrane conductance regulator for the treatment of cystic fibrosis |
| JP2023552555A (en) * | 2020-12-07 | 2023-12-18 | トラスティーズ オブ タフツ カレッジ | Lipidoid compositions and methods of use thereof |
| CA3208643A1 (en) | 2021-01-18 | 2022-07-21 | Conserv Bioscience Limited | Coronavirus immunogenic compositions, methods and uses thereof |
| IL305021A (en) | 2021-02-08 | 2023-10-01 | Univ Texas | Unsaturated dendrimers compositions,related formulations, and methods of use thereof |
| US11524023B2 (en) | 2021-02-19 | 2022-12-13 | Modernatx, Inc. | Lipid nanoparticle compositions and methods of formulating the same |
| CA3208993A1 (en) | 2021-02-23 | 2022-09-01 | Joshua RYCHAK | Compositions and methods for delivery of nucleic acids |
| WO2022204219A1 (en) | 2021-03-22 | 2022-09-29 | Recode Therapeutics, Inc. | Compositions and methods for targeted delivery to cells |
| JP2024511437A (en) | 2021-03-23 | 2024-03-13 | リコード セラピューティクス,インク. | Polynucleotide compositions, related formulations, and methods of use thereof |
| WO2022204390A1 (en) | 2021-03-24 | 2022-09-29 | Modernatx, Inc. | Lipid nanoparticles containing polynucleotides encoding phenylalanine hydroxylase and uses thereof |
| WO2022204371A1 (en) | 2021-03-24 | 2022-09-29 | Modernatx, Inc. | Lipid nanoparticles containing polynucleotides encoding glucose-6-phosphatase and uses thereof |
| US20240226025A1 (en) | 2021-03-24 | 2024-07-11 | Modernatx, Inc. | Polynucleotides encoding methylmalonyl-coa mutase for the treatment of methylmalonic acidemia |
| US20240216288A1 (en) | 2021-03-24 | 2024-07-04 | Modernatx, Inc. | Lipid nanoparticles containing polynucleotides encoding propionyl-coa carboxylase alpha and beta subunits and uses thereof |
| US20240189449A1 (en) | 2021-03-24 | 2024-06-13 | Modernatx, Inc. | Lipid nanoparticles and polynucleotides encoding ornithine transcarbamylase for the treatment of ornithine transcarbamylase deficiency |
| WO2022214522A2 (en) | 2021-04-07 | 2022-10-13 | Astrazeneca Ab | Compositions and methods for site-specific modification |
| AU2022262422A1 (en) | 2021-04-22 | 2023-11-02 | The Board Of Regents Of The University Of Texas System | All-in-one dendrimer-based lipid nanoparticles enable precise hdr-mediated gene editing in vivo |
| EP4083227A1 (en) | 2021-04-29 | 2022-11-02 | 4basebio, S.L.U. | Linear dna with enhanced resistance against exonucleases |
| JP2024518793A (en) | 2021-05-27 | 2024-05-02 | アストラゼネカ・アクチエボラーグ | CAS9 Effector Proteins with Enhanced Stability |
| BR112023026246A2 (en) * | 2021-06-14 | 2024-02-27 | Flagship Pioneering Innovations Vi Llc | MODIFICATION OF PLANT MESSENGER PACKAGES |
| WO2022266083A2 (en) | 2021-06-15 | 2022-12-22 | Modernatx, Inc. | Engineered polynucleotides for cell-type or microenvironment-specific expression |
| US20240376445A1 (en) | 2021-06-22 | 2024-11-14 | Modernatx, Inc. | Polynucleotides encoding uridine diphosphate glycosyltransferase 1 family, polypeptide a1 for the treatment of crigler-najjar syndrome |
| US20240342206A1 (en) | 2021-07-30 | 2024-10-17 | CureVac SE | mRNAS FOR TREATMENT OR PROPHYLAXIS OF LIVER DISEASES |
| CN115724806B (en) * | 2021-08-25 | 2025-07-01 | 广州谷森制药有限公司 | Cationic lipid compounds |
| WO2023056282A1 (en) * | 2021-09-28 | 2023-04-06 | The Trustees Of The University Of Pennsylvania | Compositions and methods for t cell targeted delivery of therapeutic agents |
| EP4596697A3 (en) | 2021-09-28 | 2025-08-27 | Acrigen Biosciences | Compositions and methods for nucleic acid modifications |
| WO2023052508A2 (en) | 2021-09-30 | 2023-04-06 | Astrazeneca Ab | Use of inhibitors to increase efficiency of crispr/cas insertions |
| US20250017867A1 (en) | 2021-10-01 | 2025-01-16 | Modernatx, Inc. | Polynucleotides encoding relaxin for the treatment of fibrosis and/or cardiovascular disease |
| CA3255883A1 (en) * | 2021-10-01 | 2023-04-06 | The Trustees Of The University Of Pennsylvania | Lipid nanoparticle (lnp) compositions and methods of use thereof |
| AR127312A1 (en) | 2021-10-08 | 2024-01-10 | Suzhou Abogen Biosciences Co Ltd | LIPID COMPOUNDS AND LIPID NANOPARTICLE COMPOSITIONS |
| CN115957187B (en) * | 2021-10-09 | 2025-08-22 | 北京启辰生生物科技有限公司 | A lipid nanoparticle composition and a drug delivery system prepared therefrom |
| US11510975B1 (en) * | 2021-11-29 | 2022-11-29 | Replicate Bioscience, Inc. | Compositions and methods for inducing ESR1, PI3K, HER2, and HER3 immune responses |
| CN114507195B (en) * | 2022-01-14 | 2024-02-13 | 华南理工大学 | A lipid compound, compositions containing the same and applications |
| WO2023144193A1 (en) | 2022-01-25 | 2023-08-03 | CureVac SE | Mrnas for treatment of hereditary tyrosinemia type i |
| CN116554042A (en) * | 2022-01-30 | 2023-08-08 | 康希诺生物股份公司 | A Novel Ionizable Lipid for Nucleic Acid Delivery and Its LNP Composition and Vaccine |
| WO2023143601A1 (en) * | 2022-01-30 | 2023-08-03 | 康希诺生物股份公司 | Novel ionizable lipid used for nucleic acid delivery as well as lnp composition and vaccine thereof |
| EP4482962A1 (en) | 2022-02-24 | 2025-01-01 | IO Biotech ApS | Nucleotide delivery of cancer therapy |
| EP4499153A2 (en) | 2022-03-25 | 2025-02-05 | ModernaTX, Inc. | Polynucleotides encoding fanconi anemia, complementation group proteins for the treatment of fanconi anemia |
| CA3255225A1 (en) | 2022-04-04 | 2023-10-12 | The Regents Of The University Of California | Genetic complementation compositions and methods |
| KR20250005214A (en) | 2022-04-13 | 2025-01-09 | 우니버시타트 아우토노마 데 바르셀로나 | Treatment of neuromuscular disorders using gene therapy that expresses the Klotho protein |
| MA71619A (en) | 2022-07-26 | 2025-05-30 | Modernatx, Inc. | MODIFIED POLYNUCLEOTIDES FOR TEMPORAL REGULATION OF EXPRESSION |
| WO2024102954A1 (en) | 2022-11-10 | 2024-05-16 | Massachusetts Institute Of Technology | Activation induced clipping system (aics) |
| CN120693181A (en) | 2022-12-08 | 2025-09-23 | 瑞科德治疗公司 | Lipid nanoparticle compositions and uses thereof |
| EP4638766A1 (en) | 2022-12-20 | 2025-10-29 | NanoCell Therapeutics Holdings B.V. | Integrating and self-inactivating viral vectors and constructs and uses thereof |
| WO2024151586A2 (en) | 2023-01-09 | 2024-07-18 | Board Of Regents, The University Of Texas System | Prefusion-stabilized human parainfluenza virus 3 f proteins |
| WO2024168253A1 (en) | 2023-02-10 | 2024-08-15 | Possible Medicines Llc | Delivery of an rna guided recombination system |
| WO2024168265A1 (en) | 2023-02-10 | 2024-08-15 | Possible Medicines Llc | Aav delivery of rna guided recombination system |
| JP2026508928A (en) * | 2023-03-09 | 2026-03-13 | 上海吉量医薬工程有限公司 | Ionizable lipid molecules, their preparation methods, and their use |
| WO2024197033A1 (en) | 2023-03-21 | 2024-09-26 | Modernatx, Inc. | Polynucleotides encoding relaxin for the treatment of heart failure |
| WO2024201368A1 (en) | 2023-03-29 | 2024-10-03 | Astrazeneca Ab | Use of inhibitors to increase efficiency of crispr/cas insertions |
| WO2024229321A1 (en) | 2023-05-03 | 2024-11-07 | Modernatx, Inc. | Polynucleotides encoding cystic fibrosis transmembrane conductance regulator for the treatment of cystic fibrosis |
| WO2025012671A1 (en) | 2023-07-07 | 2025-01-16 | Institute National De La Sante Et De La Recherche Medicale (Inserm) | Sars-cov-2 5'utr sequences and linkage thereof to coding sequences |
| EP4520345A1 (en) | 2023-09-06 | 2025-03-12 | Myneo Nv | Product |
| WO2025072383A1 (en) | 2023-09-25 | 2025-04-03 | The Broad Institute, Inc. | Viral open reading frames, uses thereof, and methods of detecting the same |
| WO2025072482A1 (en) | 2023-09-27 | 2025-04-03 | Modernatx, Inc. | Immunoglobulin a protease polypeptides, polynucleotides, and uses thereof |
| CN117164468B (en) * | 2023-10-26 | 2024-01-30 | 南京澄实生物医药科技有限公司 | Ionizable lipid compound and application thereof |
| WO2025097055A2 (en) | 2023-11-02 | 2025-05-08 | The Broad Institute, Inc. | Compositions and methods of use of t cells in immunotherapy |
| US12364773B2 (en) | 2023-12-01 | 2025-07-22 | Recode Therapeutics, Inc. | Lipid nanoparticle compositions and uses thereof |
| US12553042B2 (en) | 2023-12-01 | 2026-02-17 | Recode Therapeutics, Inc. | Method for quantifying an amount of capped messenger RNA |
| US12539279B2 (en) | 2023-12-11 | 2026-02-03 | The Governing Council Of The University Of Toronto | Supramolecular ionizable lipid molecules with heteroatomic tuning for nucleic acid delivery |
| WO2025129158A1 (en) | 2023-12-15 | 2025-06-19 | The Broad Institute, Inc. | Engineered arc delivery vesicles and uses thereof |
| WO2025137646A1 (en) | 2023-12-22 | 2025-06-26 | Recode Therapeutics, Inc. | Gene editing methods and compositions for treating cystic fibrosis |
| WO2025172421A1 (en) | 2024-02-14 | 2025-08-21 | Astrazeneca Ab | Compositions and methods for treatment of huntington's disease |
| WO2025235862A1 (en) | 2024-05-10 | 2025-11-13 | Inndura Therapeutics Inc. | A modified immune cell receptor comprising a target-binding domain and the extracellular domain of cd16a |
| WO2025250808A1 (en) | 2024-05-29 | 2025-12-04 | The Brigham And Women’S Hospital, Inc. | Anti-crispr delivery compositions and methods |
| WO2025255199A1 (en) | 2024-06-05 | 2025-12-11 | Modernatx, Inc. | Argininosuccinate synthase 1 and argininosuccinate lyase polypeptides and polynucleotides and uses thereof |
| EP4678742A1 (en) | 2024-07-10 | 2026-01-14 | Astrazeneca AB | Improved cas9 proteins |
| WO2026033123A1 (en) | 2024-08-08 | 2026-02-12 | Sanofi Pasteur Inc. | Lipid nanoparticle formulations for mrna delivery |
Citations (1)
| Publication number | Priority date | Publication date | Assignee | Title |
|---|---|---|---|---|
| US20050059005A1 (en) | 2001-09-28 | 2005-03-17 | Thomas Tuschl | Microrna molecules |
Family Cites Families (306)
| Publication number | Priority date | Publication date | Assignee | Title |
|---|---|---|---|---|
| US2580922A (en) | 1942-09-19 | 1952-01-01 | Nat Aluminate Corp | Prevention of foaming in steam generation |
| US2759021A (en) | 1951-01-19 | 1956-08-14 | Armour & Co | Substituted trimethylene diamines |
| US2647121A (en) | 1951-02-02 | 1953-07-28 | Ruth P Jacoby | Diamine-bis-acetamides |
| US2819718A (en) | 1953-07-16 | 1958-01-14 | Isidore H Goldman | Drainage tube |
| US2717909A (en) * | 1953-09-24 | 1955-09-13 | Monsanto Chemicals | Hydroxyethyl-keryl-alkylene-ammonium compounds |
| US2844629A (en) | 1956-04-25 | 1958-07-22 | American Home Prod | Fatty acid amides and derivatives thereof |
| GB866408A (en) | 1957-10-21 | 1961-04-26 | Arnold Hoffman & Co Inc | Quaternary ammonium salts |
| US3096560A (en) | 1958-11-21 | 1963-07-09 | William J Liebig | Process for synthetic vascular implants |
| US3170953A (en) | 1960-09-06 | 1965-02-23 | Dow Chemical Co | N-hydroxymaleamic acid |
| NL269967A (en) | 1960-10-05 | |||
| DE1155118B (en) | 1961-12-30 | 1963-10-03 | Basf Ag | Process for the preparation of sulfonamides substituted on the nitrogen atom |
| US3268576A (en) | 1962-01-23 | 1966-08-23 | American Cyanamid Co | Di-alkanoic acid esters of 2, 2'-(ethylenedhino)-di-1-butanols |
| GB1072118A (en) | 1962-12-01 | 1967-06-14 | Sandoz Ag | Amides of aminopropionic acid |
| FR1378382A (en) | 1962-12-01 | 1964-11-13 | Sandoz Sa | Amides of amino-propionic acid, usable in particular for the treatment of textile fibers |
| BE642774A (en) | 1963-04-02 | 1964-07-22 | ||
| US3354209A (en) | 1964-02-19 | 1967-11-21 | Hercules Inc | Poly(dihydroxyalkyl) tertiary amines |
| US3350325A (en) | 1964-07-31 | 1967-10-31 | Dow Chemical Co | Water soluble polymer of diglycidyl ether and an alkanolamine |
| JPS5141663B1 (en) | 1966-03-12 | 1976-11-11 | ||
| US3682980A (en) | 1966-10-31 | 1972-08-08 | Mobil Oil Corp | Aminobenzoquinones and aminonaphthoquinones as additives for imparting oxidative stability to organic compositions |
| US3542581A (en) | 1968-11-05 | 1970-11-24 | Eastman Kodak Co | Method of de-aggregating oxonol dye-containing gelatin layers |
| NL143127B (en) | 1969-02-04 | 1974-09-16 | Rhone Poulenc Sa | REINFORCEMENT DEVICE FOR A DEFECTIVE HEART VALVE. |
| JPS5210847B1 (en) * | 1969-12-30 | 1977-03-26 | ||
| US3614955A (en) | 1970-02-09 | 1971-10-26 | Medtronic Inc | Standby defibrillator and method of operation |
| US3614954A (en) | 1970-02-09 | 1971-10-26 | Medtronic Inc | Electronic standby defibrillator |
| GB1361627A (en) | 1970-08-04 | 1974-07-30 | Marumo H | Detergent composition |
| US4258061A (en) | 1970-08-07 | 1981-03-24 | Pfizer Inc. | Interferon induction in animals by amines |
| JPS5012146Y2 (en) | 1971-07-27 | 1975-04-15 | ||
| US3964861A (en) | 1971-12-23 | 1976-06-22 | Allied Chemical Corporation | Alkoxylated aliphatic amines to inhibit ozone fading of dyed polyamides |
| JPS5122416B2 (en) | 1972-11-11 | 1976-07-09 | ||
| US3945052A (en) | 1972-05-01 | 1976-03-23 | Meadox Medicals, Inc. | Synthetic vascular graft and method for manufacturing the same |
| US3805301A (en) | 1972-07-28 | 1974-04-23 | Meadox Medicals Inc | Tubular grafts having indicia thereon |
| US4022833A (en) | 1973-02-14 | 1977-05-10 | Sterling Drug Inc. | N,N'-bridged-bis[2-alkyl-2-hydroxyethylamines] |
| GB1377449A (en) * | 1973-04-02 | 1974-12-18 | Sterling Drug Inc | N,n-bridged-bis-2-alkyl-2-hydroxy ethylamine compounds |
| JPS49127908A (en) * | 1973-04-20 | 1974-12-07 | ||
| JPS5624664B2 (en) | 1973-06-28 | 1981-06-08 | ||
| US4013507A (en) | 1973-09-18 | 1977-03-22 | California Institute Of Technology | Ionene polymers for selectively inhibiting the vitro growth of malignant cells |
| JPS5123537A (en) * | 1974-04-26 | 1976-02-25 | Adeka Argus Chemical Co Ltd | KASOZAISOSEIBUTSU |
| GB1527592A (en) | 1974-08-05 | 1978-10-04 | Ici Ltd | Wound dressing |
| US3956502A (en) * | 1974-09-04 | 1976-05-11 | Nalco Chemical Company | Polyamine alcohols as microbiocides |
| US3995623A (en) | 1974-12-23 | 1976-12-07 | American Hospital Supply Corporation | Multipurpose flow-directed catheter |
| JPS5813576B2 (en) | 1974-12-27 | 1983-03-14 | アデカ ア−ガスカガク カブシキガイシヤ | Stabilized synthetic polymer composition |
| DE2520814A1 (en) | 1975-05-09 | 1976-11-18 | Bayer Ag | Light stabilisation of polyurethanes - using polymeric tert. amines from aliphatic diamines and (meth)acrylic esters or amides |
| US4281669A (en) | 1975-05-09 | 1981-08-04 | Macgregor David C | Pacemaker electrode with porous system |
| DE2530243C2 (en) | 1975-07-07 | 1985-03-07 | Henkel KGaA, 4000 Düsseldorf | Use of N-substituted aminoalkanols as antimicrobial agents |
| JPS5210847A (en) | 1975-07-16 | 1977-01-27 | Nippon Steel Corp | Pinch roll |
| US4096860A (en) | 1975-10-08 | 1978-06-27 | Mclaughlin William F | Dual flow encatheter |
| JPS5278924A (en) | 1975-12-26 | 1977-07-02 | Hodogaya Chem Co Ltd | Solubilization of dye in hydrocarbon solvent |
| CA1069652A (en) | 1976-01-09 | 1980-01-15 | Alain F. Carpentier | Supported bioprosthetic heart valve with compliant orifice ring |
| US4134402A (en) | 1976-02-11 | 1979-01-16 | Mahurkar Sakharam D | Double lumen hemodialysis catheter |
| US4072146A (en) | 1976-09-08 | 1978-02-07 | Howes Randolph M | Venous catheter device |
| US4335723A (en) | 1976-11-26 | 1982-06-22 | The Kendall Company | Catheter having inflatable retention means |
| US4099528A (en) | 1977-02-17 | 1978-07-11 | Sorenson Research Co., Inc. | Double lumen cannula |
| US4140126A (en) | 1977-02-18 | 1979-02-20 | Choudhury M Hasan | Method for performing aneurysm repair |
| US4265745A (en) | 1977-05-25 | 1981-05-05 | Teijin Limited | Permselective membrane |
| US4182833A (en) | 1977-12-07 | 1980-01-08 | Celanese Polymer Specialties Company | Cationic epoxide-amine reaction products |
| US4180068A (en) | 1978-04-13 | 1979-12-25 | Motion Control, Incorporated | Bi-directional flow catheter with retractable trocar/valve structure |
| DE2960875D1 (en) | 1978-04-19 | 1981-12-10 | Ici Plc | A method of preparing a tubular product by electrostatic spinning |
| US4284459A (en) | 1978-07-03 | 1981-08-18 | The Kendall Company | Method for making a molded catheter |
| US4227533A (en) | 1978-11-03 | 1980-10-14 | Bristol-Myers Company | Flushable urinary catheter |
| DE2903979A1 (en) | 1979-02-02 | 1980-08-07 | Henkel Kgaa | Hydroxy-carboxylic acid amide derivs. - prepd. by acylating hydroxyalkyl alkylene di:amine and used as greying inhibitors in detergent compsns. |
| US4375817A (en) | 1979-07-19 | 1983-03-08 | Medtronic, Inc. | Implantable cardioverter |
| JPS5682859A (en) | 1979-12-11 | 1981-07-06 | Sakura Color Prod Corp | Ink composition |
| DE3010841A1 (en) | 1980-03-21 | 1981-10-08 | Ulrich Dr.med. 6936 Haag Uthmann | CATHEDER |
| US4308085A (en) | 1980-07-28 | 1981-12-29 | Jenoptik Jena Gmbh | Process for the preparation of high molecular thermoplastic epoxide-amine-polyadducts |
| US4339369A (en) | 1981-04-23 | 1982-07-13 | Celanese Corporation | Cationic epoxide-amine reaction products |
| US4406656A (en) | 1981-06-01 | 1983-09-27 | Brack Gillium Hattler | Venous catheter having collapsible multi-lumens |
| JPS588770A (en) | 1981-07-09 | 1983-01-18 | Sakura Color Prod Corp | Ink composition for jet printing |
| US4475972A (en) | 1981-10-01 | 1984-10-09 | Ontario Research Foundation | Implantable material |
| CS222448B1 (en) | 1981-12-11 | 1983-06-24 | Martin Capka | Method of making the tetrakis /2-hydroxypropyl/ alkylendiamine |
| US4401472A (en) * | 1982-02-26 | 1983-08-30 | Martin Marietta Corporation | Hydraulic cement mixes and processes for improving hydraulic cement mixes |
| US4568329A (en) | 1982-03-08 | 1986-02-04 | Mahurkar Sakharam D | Double lumen catheter |
| US5201998A (en) | 1982-05-28 | 1993-04-13 | Ciba-Geigy Corporation | Process for sizing paper with anionic hydrophobic sizing agents and cationic retention aids |
| US4546499A (en) | 1982-12-13 | 1985-10-15 | Possis Medical, Inc. | Method of supplying blood to blood receiving vessels |
| US4530113A (en) | 1983-05-20 | 1985-07-23 | Intervascular, Inc. | Vascular grafts with cross-weave patterns |
| US4647416A (en) | 1983-08-03 | 1987-03-03 | Shiley Incorporated | Method of preparing a vascular graft prosthesis |
| US4550447A (en) | 1983-08-03 | 1985-11-05 | Shiley Incorporated | Vascular graft prosthesis |
| US5104399A (en) | 1986-12-10 | 1992-04-14 | Endovascular Technologies, Inc. | Artificial graft and implantation method |
| US4571241A (en) | 1983-12-16 | 1986-02-18 | Christopher T Graham | Urinary catheter with collapsible urethral tube |
| US4710169A (en) | 1983-12-16 | 1987-12-01 | Christopher T Graham | Urinary catheter with collapsible urethral tube |
| US5197977A (en) | 1984-01-30 | 1993-03-30 | Meadox Medicals, Inc. | Drug delivery collagen-impregnated synthetic vascular graft |
| US4737518A (en) | 1984-04-03 | 1988-04-12 | Takeda Chemical Industries, Ltd. | Lipid derivatives, their production and use |
| US4562596A (en) | 1984-04-25 | 1986-01-07 | Elliot Kornberg | Aortic graft, device and method for performing an intraluminal abdominal aortic aneurysm repair |
| US4782836A (en) | 1984-05-24 | 1988-11-08 | Intermedics, Inc. | Rate adaptive cardiac pacemaker responsive to patient activity and temperature |
| GB8413911D0 (en) | 1984-05-31 | 1984-07-04 | British Petroleum Co Plc | Encapsulating organic material |
| US4897355A (en) | 1985-01-07 | 1990-01-30 | Syntex (U.S.A.) Inc. | N[ω,(ω-1)-dialkyloxy]- and N-[ω,(ω-1)-dialkenyloxy]-alk-1-yl-N,N,N-tetrasubstituted ammonium lipids and uses therefor |
| US4662382A (en) | 1985-01-16 | 1987-05-05 | Intermedics, Inc. | Pacemaker lead with enhanced sensitivity |
| US4762915A (en) | 1985-01-18 | 1988-08-09 | Liposome Technology, Inc. | Protein-liposome conjugates |
| US4860751A (en) | 1985-02-04 | 1989-08-29 | Cordis Corporation | Activity sensor for pacemaker control |
| CA1320724C (en) | 1985-07-19 | 1993-07-27 | Koichi Kanehira | Terpene amino alcohols and medicinal uses thereof |
| EP0211305B1 (en) * | 1985-08-05 | 1992-07-01 | Miyoshi Yushi Kabushiki Kaisha | Metal scavenging process |
| US4701162A (en) | 1985-09-24 | 1987-10-20 | The Kendall Company | Foley catheter assembly |
| EP0233140B1 (en) | 1986-01-10 | 1989-11-08 | Ciba-Geigy Ag | Lubricant additives containing sulphur and nitrogen |
| DE3616824A1 (en) | 1986-05-17 | 1987-11-19 | Schering Ag | USE OF CURABLE RESIN MIXTURES FOR SURFACE COATINGS AND PRINTING INKS AND METHOD FOR THE PRODUCTION THEREOF |
| EP0255899B1 (en) | 1986-07-31 | 1992-07-15 | Werner Prof. Dr.-Ing. Irnich | Rate adaptive pacemaker |
| US4778825A (en) | 1986-08-29 | 1988-10-18 | The University Of Akron | Macrophage stimulation by quadrol |
| US4960409A (en) | 1986-09-11 | 1990-10-02 | Catalano Marc L | Method of using bilumen peripheral venous catheter with adapter |
| JPH0829776B2 (en) | 1986-10-29 | 1996-03-27 | 東燃化学株式会社 | Synthetic resin container and mold for manufacturing the same |
| US4720517A (en) | 1986-11-24 | 1988-01-19 | Ciba-Geigy Corporation | Compositions stabilized with N-hydroxyiminodiacetic and dipropionic acids and esters thereof |
| US4873370A (en) * | 1987-03-03 | 1989-10-10 | Pennzoil Products Company | Alkylene diamines for use in friction and wear reducing compositions |
| JPH0199679A (en) | 1987-10-09 | 1989-04-18 | Miyoshi Oil & Fat Co Ltd | Method for fixing heavy metals in soil or solid waste |
| US5047540A (en) | 1987-12-17 | 1991-09-10 | Shionogi & Co., Ltd. | Lipid derivatives |
| US5138067A (en) | 1987-12-17 | 1992-08-11 | Shionogi & Co. Ltd. | Lipid derivatives |
| US4892540A (en) | 1988-04-21 | 1990-01-09 | Sorin Biomedica S.P.A. | Two-leaflet prosthetic heart valve |
| US5176661A (en) | 1988-09-06 | 1993-01-05 | Advanced Cardiovascular Systems, Inc. | Composite vascular catheter |
| US5024671A (en) | 1988-09-19 | 1991-06-18 | Baxter International Inc. | Microporous vascular graft |
| US5200395A (en) | 1988-10-18 | 1993-04-06 | Ajinomoto Company, Inc. | Pharmaceutical composition of BUF-5 for treating anemia |
| CA2001401A1 (en) | 1988-10-25 | 1990-04-25 | Claude Piantadosi | Quaternary amine containing ether or ester lipid derivatives and therapeutic compositions |
| US5141749A (en) * | 1988-12-05 | 1992-08-25 | Eastman Kodak Company | Tetraamides and method for improving feed utilization |
| FR2645866B1 (en) | 1989-04-17 | 1991-07-05 | Centre Nat Rech Scient | NEW LIPOPOLYAMINES, THEIR PREPARATION AND THEIR USE |
| US5122616A (en) * | 1989-09-11 | 1992-06-16 | Ethyl Petroleum Additives, Inc. | Succinimides |
| US5101824A (en) | 1990-04-16 | 1992-04-07 | Siemens-Pacesetter, Inc. | Rate-responsive pacemaker with circuitry for processing multiple sensor inputs |
| EP0549590A1 (en) | 1990-07-26 | 1993-07-07 | LANE, Rodney James | Self expanding vascular endoprosthesis for aneurysms |
| US5693338A (en) | 1994-09-29 | 1997-12-02 | Emisphere Technologies, Inc. | Diketopiperazine-based delivery systems |
| US6331318B1 (en) | 1994-09-30 | 2001-12-18 | Emisphere Technologies Inc. | Carbon-substituted diketopiperazine delivery systems |
| JPH0765267B2 (en) | 1990-08-22 | 1995-07-12 | 花王株式会社 | Softening agent |
| DE69118083T2 (en) | 1990-10-09 | 1996-08-22 | Cook Inc | Percutaneous stent assembly |
| ATE120971T1 (en) | 1990-12-19 | 1995-04-15 | Osypka Peter | PACEMAKER LEAD WITH AN INNER CHANNEL AND WITH AN ELECTRODE HEAD. |
| US5116360A (en) | 1990-12-27 | 1992-05-26 | Corvita Corporation | Mesh composite graft |
| US5405363A (en) | 1991-03-15 | 1995-04-11 | Angelon Corporation | Implantable cardioverter defibrillator having a smaller displacement volume |
| US5330768A (en) | 1991-07-05 | 1994-07-19 | Massachusetts Institute Of Technology | Controlled drug delivery using polymer/pluronic blends |
| US5545449A (en) * | 1991-10-02 | 1996-08-13 | Weyerhaeuser Company | Polyether-reinforced fiber-based materials |
| US5151105A (en) | 1991-10-07 | 1992-09-29 | Kwan Gett Clifford | Collapsible vessel sleeve implant |
| JP2684276B2 (en) | 1991-11-27 | 1997-12-03 | 富士写真フイルム株式会社 | Silver halide color photographic materials |
| US5284491A (en) | 1992-02-27 | 1994-02-08 | Medtronic, Inc. | Cardiac pacemaker with hysteresis behavior |
| US5352461A (en) | 1992-03-11 | 1994-10-04 | Pharmaceutical Discovery Corporation | Self assembling diketopiperazine drug delivery system |
| SE9200951D0 (en) | 1992-03-27 | 1992-03-27 | Kabi Pharmacia Ab | PHARMACEUTICAL COMPOSITION CONTAINING A DEFINED LIPID SYSTEM |
| DE4218744C2 (en) | 1992-06-04 | 1997-11-06 | Schering Ag | Process for the preparation of N-β-hydroxyalkyl-tri-N-carboxylalkyl-1,4,7,10-tetraazacyclododecane and N-β-hydroxyalkyl-tri-N-carboxyalkyl-1,4,8,11-tetraazacyclotetradecane derivatives and their metal complexes |
| CA2141685A1 (en) | 1992-08-04 | 1994-02-17 | Koji Naito | Antiallergic composition |
| US5334761A (en) | 1992-08-28 | 1994-08-02 | Life Technologies, Inc. | Cationic lipids |
| US5380778A (en) * | 1992-09-30 | 1995-01-10 | Minnesota Mining And Manufacturing Company | Fluorochemical aminoalcohols |
| US5461223A (en) | 1992-10-09 | 1995-10-24 | Eastman Kodak Company | Bar code detecting circuitry |
| JPH06211978A (en) * | 1992-10-28 | 1994-08-02 | Takeda Chem Ind Ltd | New polyether polyol and production of polyurethane foam therefrom |
| US5300022A (en) | 1992-11-12 | 1994-04-05 | Martin Klapper | Urinary catheter and bladder irrigation system |
| US5496362A (en) | 1992-11-24 | 1996-03-05 | Cardiac Pacemakers, Inc. | Implantable conformal coil patch electrode with multiple conductive elements for cardioversion and defibrillation |
| US5716395A (en) | 1992-12-11 | 1998-02-10 | W.L. Gore & Associates, Inc. | Prosthetic vascular graft |
| EP0685234B1 (en) | 1993-02-19 | 2000-05-10 | Nippon Shinyaku Company, Limited | Drug composition containing nucleic acid copolymer |
| US5395619A (en) | 1993-03-03 | 1995-03-07 | Liposome Technology, Inc. | Lipid-polymer conjugates and liposomes |
| US5697953A (en) | 1993-03-13 | 1997-12-16 | Angeion Corporation | Implantable cardioverter defibrillator having a smaller displacement volume |
| FR2703055B1 (en) | 1993-03-22 | 1995-07-07 | Guerbet Sa | New polyiodinated compounds, their preparation and their use as contrast agents for radiology. |
| US5624976A (en) | 1994-03-25 | 1997-04-29 | Dentsply Gmbh | Dental filling composition and method |
| US5314430A (en) | 1993-06-24 | 1994-05-24 | Medtronic, Inc. | Atrial defibrillator employing transvenous and subcutaneous electrodes and method of use |
| FR2707289B1 (en) | 1993-07-06 | 1995-08-11 | Chemoxal Sa | Process for the preparation of a hydroxylated compound of secondary or tertiary amine. |
| DE4325848A1 (en) | 1993-07-31 | 1995-02-02 | Basf Ag | Process for the preparation of N- (2-hydroxyethyl) piperazine |
| EP0875280B1 (en) | 1993-10-06 | 2001-08-22 | The Kansai Electric Power Co., Inc. | Method for removing carbon dioxide from combustion exhaust gas |
| US5609624A (en) | 1993-10-08 | 1997-03-11 | Impra, Inc. | Reinforced vascular graft and method of making same |
| SE9303481L (en) | 1993-10-22 | 1995-04-23 | Berol Nobel Ab | hygiene composition |
| WO1995013033A1 (en) | 1993-11-08 | 1995-05-18 | Lazarus Harrison M | Intraluminal vascular graft and method |
| JPH09505593A (en) | 1993-11-24 | 1997-06-03 | メガバイオス・コーポレイション | Amphiphilic derivatives of piperazine |
| US5464924A (en) | 1994-01-07 | 1995-11-07 | The Dow Chemical Company | Flexible poly(amino ethers) for barrier packaging |
| FR2714830B1 (en) | 1994-01-10 | 1996-03-22 | Rhone Poulenc Rorer Sa | Composition containing nucleic acids, preparation and uses. |
| US5853717A (en) | 1994-07-20 | 1998-12-29 | Cytotherapeutics, Inc. | Methods and compositions of growth control for cells encapsulated within bioartificial organs |
| US5885613A (en) | 1994-09-30 | 1999-03-23 | The University Of British Columbia | Bilayer stabilizing components and their use in forming programmable fusogenic liposomes |
| GB9524630D0 (en) | 1994-12-24 | 1996-01-31 | Zeneca Ltd | Chemical compounds |
| FR2730637B1 (en) | 1995-02-17 | 1997-03-28 | Rhone Poulenc Rorer Sa | PHARMACEUTICAL COMPOSITION CONTAINING NUCLEIC ACIDS, AND USES THEREOF |
| US5830430A (en) | 1995-02-21 | 1998-11-03 | Imarx Pharmaceutical Corp. | Cationic lipids and the use thereof |
| EP0822835A1 (en) | 1995-04-17 | 1998-02-11 | Imarx Pharmaceutical Corp. | Hybrid magnetic resonance contrast agents |
| US6428771B1 (en) | 1995-05-15 | 2002-08-06 | Pharmaceutical Discovery Corporation | Method for drug delivery to the pulmonary system |
| US5772694A (en) | 1995-05-16 | 1998-06-30 | Medical Carbon Research Institute L.L.C. | Prosthetic heart valve with improved blood flow |
| US5679852A (en) | 1995-06-02 | 1997-10-21 | Schering Aktiengesellschaft | Process for the production of DTPA-monoamides of the central carboxylic acid and their use as pharmaceutical agents |
| US5609629A (en) | 1995-06-07 | 1997-03-11 | Med Institute, Inc. | Coated implantable medical device |
| US5607385A (en) | 1995-08-17 | 1997-03-04 | Medtronic, Inc. | Device and algorithm for a combined cardiomyostimulator and a cardiac pacer-carioverter-defibrillator |
| US5728844A (en) | 1995-08-29 | 1998-03-17 | Celgene Corporation | Immunotherapeutic agents |
| FR2740978B1 (en) | 1995-11-10 | 1998-01-02 | Ela Medical Sa | IMPLANTABLE DEFIBRILLATOR / CARDIOVERVER ACTIVE MEDICAL DEVICE |
| DE19541788A1 (en) * | 1995-11-09 | 1997-05-15 | Max Planck Gesellschaft | New fluoroalkyl-(poly)hydroxy hydrocarbon(s) with e.g. amino groups |
| FR2741066B1 (en) | 1995-11-14 | 1997-12-12 | Rhone Poulenc Rorer Sa | NEW TRANSFECTION AGENTS AND THEIR PHARMACEUTICAL APPLICATIONS |
| US5874105A (en) | 1996-01-31 | 1999-02-23 | Collaborative Laboratories, Inc. | Lipid vesicles formed with alkylammonium fatty acid salts |
| US5913848A (en) | 1996-06-06 | 1999-06-22 | Luther Medical Products, Inc. | Hard tip over-the-needle catheter and method of manufacturing the same |
| US5736573A (en) | 1996-07-31 | 1998-04-07 | Galat; Alexander | Lipid and water soluble derivatives of drugs |
| JPH1099679A (en) | 1996-09-30 | 1998-04-21 | Kobe Steel Ltd | Deodorant for basic gas |
| TW520297B (en) | 1996-10-11 | 2003-02-11 | Sequus Pharm Inc | Fusogenic liposome composition and method |
| US6887665B2 (en) | 1996-11-14 | 2005-05-03 | Affymetrix, Inc. | Methods of array synthesis |
| US6204297B1 (en) * | 1996-11-26 | 2001-03-20 | Rhodia Inc. | Nonionic gemini surfactants |
| JPH10197978A (en) | 1997-01-09 | 1998-07-31 | Mitsubishi Paper Mills Ltd | Silver halide photographic material |
| FR2760193B1 (en) | 1997-02-28 | 1999-05-28 | Transgene Sa | LIPIDS AND COMPLEXES OF CATIONIC LIPIDS AND ACTIVE SUBSTANCES, IN PARTICULAR FOR THE TRANSFECTION OF CELLS |
| US5837283A (en) | 1997-03-12 | 1998-11-17 | The Regents Of The University Of California | Cationic lipid compositions targeting angiogenic endothelial cells |
| US5945326A (en) | 1997-03-20 | 1999-08-31 | New England Biolabs, Inc. | Method for cloning and producing the Spel restriction endonuclease |
| US5958894A (en) | 1997-04-04 | 1999-09-28 | Megabios Corporation | Amphiphilic biguanide derivatives |
| JPH115786A (en) | 1997-06-13 | 1999-01-12 | Pola Chem Ind Inc | New aminohydroxypropyl piperazine derivatives |
| US6067471A (en) | 1998-08-07 | 2000-05-23 | Cardiac Pacemakers, Inc. | Atrial and ventricular implantable cardioverter-defibrillator and lead system |
| JPH1180142A (en) * | 1997-09-05 | 1999-03-26 | Pola Chem Ind Inc | Method for producing diphenylalkyl compound |
| US6096075A (en) | 1998-01-22 | 2000-08-01 | Medical Carbon Research Institute, Llc | Prosthetic heart valve |
| FR2774092B1 (en) | 1998-01-26 | 2000-02-18 | Air Liquide | PROCESS FOR THE PREPARATION OF GRAFT POLYAZACYCLOALCANES ON SILICA GEL AND USE OF THE GRAFT COMPOUNDS |
| US6013429A (en) | 1998-02-27 | 2000-01-11 | Eastman Kodak Company | Photographic element with new singlet oxygen quenchers |
| US6271209B1 (en) | 1998-04-03 | 2001-08-07 | Valentis, Inc. | Cationic lipid formulation delivering nucleic acid to peritoneal tumors |
| US6176877B1 (en) | 1998-04-20 | 2001-01-23 | St. Jude Medical, Inc. | Two piece prosthetic heart valve |
| DE19822602A1 (en) | 1998-05-20 | 1999-11-25 | Goldschmidt Ag Th | Process for the preparation of polyamino acid esters by esterification of acidic polyamino acids or transesterification of polyamino acid esters |
| NO313244B1 (en) | 1998-07-08 | 2002-09-02 | Crew Dev Corp | Process for the isolation and production of magnesite or magnesium chloride |
| US6055454A (en) | 1998-07-27 | 2000-04-25 | Cardiac Pacemakers, Inc. | Cardiac pacemaker with automatic response optimization of a physiologic sensor based on a second sensor |
| AU771367B2 (en) | 1998-08-20 | 2004-03-18 | Cook Medical Technologies Llc | Coated implantable medical device |
| ATE285680T1 (en) * | 1998-11-30 | 2005-01-15 | Flamel Tech Sa | PROMOTION OF THE BIOLOGICAL EFFECTIVENESS OF EXOGENEOUS CHEMICAL SUBSTANCES IN PLANTS |
| DE19911509A1 (en) | 1999-03-15 | 2000-09-21 | Boehringer Ingelheim Pharma | Bicyclic heterocycles, medicaments containing these compounds, their use and processes for their preparation |
| US6169923B1 (en) | 1999-04-23 | 2001-01-02 | Pacesetter, Inc. | Implantable cardioverter-defibrillator with automatic arrhythmia detection criteria adjustment |
| US6696424B1 (en) * | 1999-05-28 | 2004-02-24 | Vical Incorporated | Cytofectin dimers and methods of use thereof |
| US6398808B1 (en) | 1999-06-15 | 2002-06-04 | Scimed Life Systems, Inc. | Localized delivery of genetic information from biostable materials |
| ES2395096T3 (en) | 1999-06-29 | 2013-02-08 | Mannkind Corporation | Purification and stabilization of pharmaceutical agents based on peptides and proteins |
| DE19937721A1 (en) | 1999-08-10 | 2001-02-15 | Max Planck Gesellschaft | New diketopiperazines |
| IL148359A0 (en) | 1999-08-27 | 2002-09-12 | Inex Pharmaceuticals Corp | Pharmaceutical compositions containing an oligodeoxynucleotide |
| US6358278B1 (en) | 1999-09-24 | 2002-03-19 | St. Jude Medical, Inc. | Heart valve prosthesis with rotatable cuff |
| US6371983B1 (en) | 1999-10-04 | 2002-04-16 | Ernest Lane | Bioprosthetic heart valve |
| CN1433478A (en) * | 1999-12-30 | 2003-07-30 | 诺瓦提斯公司 | New colloidal synthetic vectors for gene therapy |
| US6370434B1 (en) | 2000-02-28 | 2002-04-09 | Cardiac Pacemakers, Inc. | Cardiac lead and method for lead implantation |
| US6565960B2 (en) | 2000-06-01 | 2003-05-20 | Shriners Hospital Of Children | Polymer composite compositions |
| IL138474A0 (en) | 2000-09-14 | 2001-10-31 | Epox Ltd | Highly branched water-soluble polyamine oligomers, process for their preparation and applications thereof |
| US7427394B2 (en) | 2000-10-10 | 2008-09-23 | Massachusetts Institute Of Technology | Biodegradable poly(β-amino esters) and uses thereof |
| US6998115B2 (en) | 2000-10-10 | 2006-02-14 | Massachusetts Institute Of Technology | Biodegradable poly(β-amino esters) and uses thereof |
| USRE43612E1 (en) | 2000-10-10 | 2012-08-28 | Massachusetts Institute Of Technology | Biodegradable poly(β-amino esters) and uses thereof |
| US7776315B2 (en) | 2000-10-31 | 2010-08-17 | Boehringer Ingelheim Pharma Gmbh & Co. Kg | Pharmaceutical compositions based on anticholinergics and additional active ingredients |
| US20020094528A1 (en) | 2000-11-29 | 2002-07-18 | Salafsky Joshua S. | Method and apparatus using a surface-selective nonlinear optical technique for detection of probe-target interations |
| JP2002167368A (en) | 2000-12-01 | 2002-06-11 | Nitto Denko Corp | Alkyl-substituted dendrimer and method for producing the same |
| US20020192721A1 (en) | 2001-03-28 | 2002-12-19 | Engeneos, Inc. | Modular molecular clasps and uses thereof |
| US7084303B2 (en) | 2001-04-23 | 2006-08-01 | Shin-Etsu Chemical Co., Ltd. | Tertiary amine compounds having an ester structure and processes for preparing same |
| FR2825370A1 (en) | 2001-05-31 | 2002-12-06 | Inst Nat Sante Rech Med | KERATINOCYTES OBTAINED FROM MAMMALIAN EMBRYONIC STEM CELLS |
| US6656977B2 (en) | 2001-07-20 | 2003-12-02 | Air Products And Chemical, Inc. | Alkyl glycidyl ether-capped polyamine foam control agents |
| US7101995B2 (en) * | 2001-08-27 | 2006-09-05 | Mirus Bio Corporation | Compositions and processes using siRNA, amphipathic compounds and polycations |
| US6974869B2 (en) | 2001-09-18 | 2005-12-13 | Bristol-Myers Squibb Pharma Company | Piperizinones as modulators of chemokine receptor activity |
| WO2003040288A2 (en) | 2001-11-09 | 2003-05-15 | Bayer Healthcare Ag | Isotopically coded affinity markers 3 |
| DE10207178A1 (en) | 2002-02-19 | 2003-09-04 | Novosom Ag | Components for the production of amphoteric liposomes |
| US20030215395A1 (en) * | 2002-05-14 | 2003-11-20 | Lei Yu | Controllably degradable polymeric biomolecule or drug carrier and method of synthesizing said carrier |
| US7601367B2 (en) | 2002-05-28 | 2009-10-13 | Mirus Bio Llc | Compositions and processes using siRNA, amphipathic compounds and polycations |
| US20040028804A1 (en) | 2002-08-07 | 2004-02-12 | Anderson Daniel G. | Production of polymeric microarrays |
| EP1539936A2 (en) | 2002-08-22 | 2005-06-15 | Celltran Limited | Cell culture surface |
| JP2006505644A (en) | 2002-11-04 | 2006-02-16 | ジーイー・バイエル・シリコーンズ・ゲゼルシヤフト・ミツト・ベシユレンクテル・ハフツング・ウント・コンパニー・コマンジツトゲゼルシヤフト | Linear polyamino and/or polyammonium polysiloxane copolymer I |
| AU2003281978A1 (en) | 2002-11-22 | 2004-06-18 | Boehringer Ingelheim International Gmbh | 2,5-diketopiperazines for the treatment of obesity |
| US6998508B2 (en) | 2003-03-10 | 2006-02-14 | Air Products And Chemicals, Inc. | Tertiary alkanolamines containing surface active alkyl groups |
| US6737485B1 (en) | 2003-04-22 | 2004-05-18 | E. I. Du Pont De Nemours And Company | Titanium chelate dispersions |
| US7619017B2 (en) | 2003-05-19 | 2009-11-17 | Wacker Chemical Corporation | Polymer emulsions resistant to biodeterioration |
| EP1644479A4 (en) | 2003-06-16 | 2008-04-23 | Mark W Grinstaff | Functional synthetic molecules and macromolecules for gene delivery |
| JP2005041845A (en) | 2003-07-25 | 2005-02-17 | Kawaken Fine Chem Co Ltd | N-(2-hydroxyalkyl)-n-alkylaminocarboxylic acid composition, stimulus relieving agent for surfactant containing the same and method for producing the composition |
| EP1675943A4 (en) | 2003-09-15 | 2007-12-05 | Massachusetts Inst Technology | NANOLITRE SYNTHESIS OF BIOMATERIALS IN NETWORKS AND SCREENING THEREOF |
| US20050123596A1 (en) | 2003-09-23 | 2005-06-09 | Kohane Daniel S. | pH-triggered microparticles |
| US20050069590A1 (en) | 2003-09-30 | 2005-03-31 | Buehler Gail K. | Stable suspensions for medicinal dosages |
| AU2004287652A1 (en) | 2003-11-10 | 2005-05-19 | Nippon Kayaku Kabushiki Kaisha | Diimonium salt compound and use thereof |
| US7022214B2 (en) | 2004-01-21 | 2006-04-04 | Bio-Rad Laboratories, Inc. | Carrier ampholytes of high pH range |
| US7556684B2 (en) * | 2004-02-26 | 2009-07-07 | Construction Research & Technology Gmbh | Amine containing strength improvement admixture |
| US20060228404A1 (en) | 2004-03-04 | 2006-10-12 | Anderson Daniel G | Compositions and methods for treatment of hypertrophic tissues |
| ES2547220T3 (en) | 2004-04-20 | 2015-10-02 | Dendritic Nanotechnologies, Inc. | Dendritic polymers with enhanced amplification and interior functionality |
| EP1766035B1 (en) | 2004-06-07 | 2011-12-07 | Protiva Biotherapeutics Inc. | Lipid encapsulated interfering rna |
| US20060035893A1 (en) | 2004-08-07 | 2006-02-16 | Boehringer Ingelheim International Gmbh | Pharmaceutical compositions for treatment of respiratory and gastrointestinal disorders |
| DE102004043342A1 (en) * | 2004-09-08 | 2006-03-09 | Bayer Materialscience Ag | Blocked polyurethane prepolymers as adhesives |
| GB0502482D0 (en) | 2005-02-07 | 2005-03-16 | Glaxo Group Ltd | Novel compounds |
| DK1854789T3 (en) | 2005-02-23 | 2013-10-21 | Shionogi & Co | QUINAZOLINE DERIVATIVES WITH TYROSIN-KINASE INHIBITORIC ACTIVITY |
| EP1869106B1 (en) | 2005-03-28 | 2014-06-25 | Dendritic Nanotechnologies, Inc. | Janus dendrimers and dendrons |
| EP1912679A4 (en) | 2005-06-15 | 2009-07-29 | Massachusetts Inst Technology | LIPIDS CONTAINING AMINES AND USES |
| ITMI20051155A1 (en) | 2005-06-20 | 2006-12-21 | Maflon S R L | NEW FLUORURED COMPOUNDS, THEIR SYNTHESIS AND USE. |
| KR101486397B1 (en) | 2005-09-14 | 2015-01-28 | 맨카인드 코포레이션 | Method of drug formulation based on increasing the affinity of crystalline microparticle surfaces for active agents |
| KR100716210B1 (en) * | 2005-09-20 | 2007-05-10 | 웅진코웨이주식회사 | Method for preparing polyamide reverse osmosis composite membrane and polyamide reverse osmosis composite membrane prepared therefrom |
| WO2007073489A2 (en) | 2005-12-22 | 2007-06-28 | Trustees Of Boston University | Molecules for gene delivery and gene therapy, and methods of use thereof |
| CN100569877C (en) | 2005-12-30 | 2009-12-16 | 财团法人工业技术研究院 | Branched structure compound containing multiple UV crosslinking reactive groups and application thereof |
| KR20080096809A (en) | 2006-02-22 | 2008-11-03 | 맨카인드 코포레이션 | Method for Improving Pharmaceutical Properties of Microparticles Containing Diketopiperazine and Active Agents |
| US8628750B2 (en) | 2006-02-27 | 2014-01-14 | Technische Universitat Munchen | Cancer imaging and treatment |
| US20070275923A1 (en) | 2006-05-25 | 2007-11-29 | Nastech Pharmaceutical Company Inc. | CATIONIC PEPTIDES FOR siRNA INTRACELLULAR DELIVERY |
| WO2007143659A2 (en) | 2006-06-05 | 2007-12-13 | Massachusetts Institute Of Technology | Crosslinked, degradable polymers and uses thereof |
| ES2293834B1 (en) | 2006-07-20 | 2009-02-16 | Consejo Superior Investig. Cientificas | COMPOSED WITH INHIBITING ACTIVITY OF UBC13-UEV INTERACTIONS, PHARMACEUTICAL COMPOSITIONS THAT INCLUDE IT AND ITS THERAPEUTIC APPLICATIONS. |
| CA2658768C (en) | 2006-07-21 | 2016-05-17 | Massachusetts Institute Of Technology | End-modified poly(beta-amino esters) and uses thereof |
| EA016145B1 (en) * | 2006-08-30 | 2012-02-28 | Дзе Риджентс Оф Дзе Юниверсити Оф Мичиган | New small molecule inhibitors of mdm2 and the uses thereof |
| KR100905901B1 (en) * | 2006-09-07 | 2009-07-02 | 웅진코웨이주식회사 | Amine aqueous solution for forming an active layer of polyamide reverse osmosis composite membrane, polyamide reverse osmosis composite membrane prepared thereby, and preparation method thereof |
| JP5076419B2 (en) * | 2006-09-19 | 2012-11-21 | 東ソー株式会社 | Amine catalyst composition for producing polyurethane resin and method for producing polyurethane resin using the same |
| EP2695608B1 (en) | 2006-10-03 | 2016-11-23 | Arbutus Biopharma Corporation | Lipid containing formulations |
| JP2008202015A (en) | 2007-02-23 | 2008-09-04 | Toyo Ink Mfg Co Ltd | Pressure sensitive adhesive composition |
| WO2008113364A2 (en) | 2007-03-20 | 2008-09-25 | Recepticon Aps | Amino derivatives to prevent nephrotoxicity and cancer |
| AR065860A1 (en) * | 2007-03-29 | 2009-07-08 | Novartis Ag | 3-IMIDAZOLIL-INDOLES FOR THE TREATMENT OF PROLIFERATIVE DISEASES |
| JP5186126B2 (en) | 2007-03-29 | 2013-04-17 | 公益財団法人地球環境産業技術研究機構 | Novel triazine derivatives, their production and their use as gas separation membranes |
| US8678686B2 (en) | 2007-05-01 | 2014-03-25 | Pgr-Solutions | Multi-chain lipophilic polyamines |
| GB0716897D0 (en) | 2007-08-30 | 2007-10-10 | Univ Muenchen Tech | Cancer imaging and treatment |
| WO2009046220A2 (en) | 2007-10-02 | 2009-04-09 | Mdrna, Inc. | Lipopeptides for delivery of nucleic acids |
| WO2009086253A1 (en) | 2007-12-27 | 2009-07-09 | E. I. Du Pont De Nemours And Company | Hydroxy alkyl isocyanurates |
| WO2009086547A1 (en) | 2008-01-03 | 2009-07-09 | Cedars-Sinai Medical Center | Antioxidant nanosphere comprising [1,2]-dithiolane moieties |
| DE102008013500A1 (en) | 2008-03-10 | 2009-09-17 | Evonik Degussa Gmbh | New chiral selectors and stationary phases for the separation of enantiomeric mixtures |
| JP5024216B2 (en) | 2008-07-23 | 2012-09-12 | トヨタ自動車株式会社 | Ignition timing control device and ignition timing control method for internal combustion engine |
| JP5777519B2 (en) | 2008-10-09 | 2015-09-09 | テクミラ ファーマシューティカルズ コーポレイション | Improved aminolipid and nucleic acid delivery methods |
| CA2739046A1 (en) | 2008-10-16 | 2010-04-22 | Marina Biotech, Inc. | Process and compositions for liposomal and effective delivery of nucleic acids |
| US20120009222A1 (en) | 2008-10-27 | 2012-01-12 | Massachusetts Institute Of Technology | Modulation of the immune response |
| WO2010053572A2 (en) | 2008-11-07 | 2010-05-14 | Massachusetts Institute Of Technology | Aminoalcohol lipidoids and uses thereof |
| WO2010074268A1 (en) | 2008-12-26 | 2010-07-01 | 日油株式会社 | Arginine derivative and cosmetic comprising same |
| US8314106B2 (en) | 2008-12-29 | 2012-11-20 | Mannkind Corporation | Substituted diketopiperazine analogs for use as drug delivery agents |
| EP2862854A1 (en) | 2008-12-29 | 2015-04-22 | Mannkind Corporation | Substituted diketopiperazine analogs for use as drug delivery agents |
| US20100222489A1 (en) | 2009-02-27 | 2010-09-02 | Jiang Dayue D | Copolymer composition, membrane article, and methods thereof |
| CN102334237B (en) | 2009-04-02 | 2015-05-13 | 西蒙公司 | Telecommunications patch panel |
| CA2760776C (en) | 2009-05-05 | 2019-07-09 | Alnylam Pharmaceuticals, Inc. | Lipid compositions for the delivery of therapeutic agents |
| WO2010132876A1 (en) | 2009-05-15 | 2010-11-18 | Arizona Board Of Regents For And On Behalf Of Arizona State University | Polymers for delivering a substance into a cell |
| MY157166A (en) | 2009-06-12 | 2016-05-13 | Mankind Corp | Diketopiperazine microparticles with defined specific surface areas |
| CN102574818B (en) | 2009-07-30 | 2015-02-25 | 萨尔瓦特实验室股份有限公司 | Apaf-1 inhibitor compounds |
| ME03091B (en) | 2009-12-01 | 2019-01-20 | Translate Bio Inc | Delivery of mrna for the augmentation of proteins and enzymes in human genetic diseases |
| CA2782463A1 (en) | 2009-12-11 | 2011-06-16 | Chemseq International Ab | Methods and compositions for complex binding of metal ions |
| GB0921871D0 (en) | 2009-12-15 | 2010-01-27 | Univ Leuven Kath | Novel antifungal compounds |
| CN101863544B (en) | 2010-06-29 | 2011-09-28 | 湖南科技大学 | Cyanuric acid-based heavy metal chelating flocculant and preparation method thereof |
| US9193827B2 (en) | 2010-08-26 | 2015-11-24 | Massachusetts Institute Of Technology | Poly(beta-amino alcohols), their preparation, and uses thereof |
| AR084294A1 (en) | 2010-12-20 | 2013-05-08 | Glenmark Pharmaceuticals Sa | 2-AMINO-4-ARILTIAZOL COMPOUNDS, METHODS FOR SYNTHESIS AND USE AS AN ANTIGONIST OF TRPA1 |
| JP5257528B2 (en) | 2011-03-04 | 2013-08-07 | 東洋インキScホールディングス株式会社 | Crosslinkable composition |
| US9238716B2 (en) | 2011-03-28 | 2016-01-19 | Massachusetts Institute Of Technology | Conjugated lipomers and uses thereof |
| WO2012133737A1 (en) | 2011-03-31 | 2012-10-04 | 公益財団法人地球環境産業技術研究機構 | Crosslinkable amine compound, polymer membrane using crosslinkable amine compound, and method for producing polymer membrane |
| EP2532649B1 (en) | 2011-06-07 | 2015-04-08 | Incella GmbH | Amino lipids, their synthesis and uses thereof |
| EP3998064A1 (en) | 2011-06-08 | 2022-05-18 | Translate Bio, Inc. | Cleavable lipids |
| PT2717893T (en) | 2011-06-08 | 2019-08-20 | Translate Bio Inc | Lipid nanoparticle compositions and methods for mrna delivery |
| JO3115B1 (en) | 2011-08-22 | 2017-09-20 | Takeda Pharmaceuticals Co | Pyridazinone Compounds and Their Use as DAAO Inhibitors |
| CL2014000988A1 (en) | 2011-10-20 | 2014-11-03 | Oryzon Genomics Sa | Compounds derived from (aryl or heteroaryl) cyclopropylamide, lsd1 inhibitors; procedure to prepare them; pharmaceutical composition that includes them; and method to treat or prevent cancer, a neurological disease, a viral infection and viral reactivation after latency. |
| MX363734B (en) | 2011-10-27 | 2019-03-29 | Massachusetts Inst Technology | Amino acid derivates functionalized on the n- terminal capable of forming drug incapsulating microspheres. |
| CA2884870C (en) | 2012-08-13 | 2022-03-29 | Massachusetts Institute Of Technology | Amine-containing lipidoids and uses thereof |
| JP5991937B2 (en) | 2013-03-06 | 2016-09-14 | Jxエネルギー株式会社 | Friction modifier and lubricating oil composition |
| WO2014179562A1 (en) | 2013-05-01 | 2014-11-06 | Massachusetts Institute Of Technology | 1,3,5-triazinane-2,4,6-trione derivatives and uses thereof |
| WO2014210356A1 (en) | 2013-06-26 | 2014-12-31 | Massachusetts Institute Of Technology | Multi-tailed lipids and uses thereof |
| KR101355583B1 (en) | 2013-10-04 | 2014-01-24 | 한국지질자원연구원 | Simplicity valuable mineral decollator and valuable mineral separating method using thereof |
| CN105658800A (en) | 2013-10-22 | 2016-06-08 | 夏尔人类遗传性治疗公司 | CNS delivery of mRNA and its uses |
| WO2015061467A1 (en) | 2013-10-22 | 2015-04-30 | Shire Human Genetic Therapies, Inc. | Lipid formulations for delivery of messenger rna |
| WO2016004202A1 (en) | 2014-07-02 | 2016-01-07 | Massachusetts Institute Of Technology | Polyamine-fatty acid derived lipidoids and uses thereof |
| CA2990172A1 (en) | 2015-06-19 | 2016-12-22 | Massachusetts Institute Of Technology | Alkenyl substituted 2,5-piperazinediones and their use in compositions for delivering an agent to a subject or cell |
-
2009
- 2009-11-06 WO PCT/US2009/006018 patent/WO2010053572A2/en not_active Ceased
- 2009-11-06 MX MX2011004859A patent/MX2011004859A/en active IP Right Grant
- 2009-11-06 CN CN200980149576.1A patent/CN102245559B/en not_active Expired - Fee Related
- 2009-11-06 MX MX2015003092A patent/MX353900B/en unknown
- 2009-11-06 US US13/128,020 patent/US8969353B2/en active Active
- 2009-11-06 ES ES09825132.5T patent/ES2646630T3/en active Active
- 2009-11-06 EP EP09825132.5A patent/EP2365962B1/en not_active Not-in-force
- 2009-11-06 MX MX2018001400A patent/MX379581B/en unknown
- 2009-11-06 KR KR1020117012754A patent/KR101734955B1/en not_active Expired - Fee Related
- 2009-11-06 EP EP17179391.2A patent/EP3269395A1/en not_active Withdrawn
- 2009-11-06 JP JP2011535564A patent/JP6087504B2/en not_active Expired - Fee Related
- 2009-11-06 AU AU2009311667A patent/AU2009311667B2/en not_active Ceased
- 2009-11-06 CN CN201510205758.3A patent/CN104910025B/en not_active Expired - Fee Related
- 2009-11-06 CA CA2742954A patent/CA2742954C/en active Active
- 2009-11-06 CA CA3006395A patent/CA3006395C/en active Active
-
2010
- 2010-03-03 US US12/716,732 patent/US8450298B2/en not_active Expired - Fee Related
-
2011
- 2011-05-06 MX MX2021001144A patent/MX2021001144A/en unknown
-
2015
- 2015-01-16 US US14/599,004 patent/US9556110B2/en not_active Expired - Fee Related
-
2016
- 2016-12-12 JP JP2016240479A patent/JP6431027B2/en not_active Expired - Fee Related
-
2017
- 2017-01-27 US US15/417,530 patent/US10189802B2/en active Active
-
2018
- 2018-11-01 JP JP2018206565A patent/JP6637141B2/en not_active Expired - Fee Related
- 2018-12-03 US US16/208,295 patent/US10844028B2/en active Active
-
2019
- 2019-11-26 JP JP2019213419A patent/JP6902287B2/en not_active Expired - Fee Related
-
2020
- 2020-10-14 US US17/070,486 patent/US11414393B2/en active Active
Patent Citations (1)
| Publication number | Priority date | Publication date | Assignee | Title |
|---|---|---|---|---|
| US20050059005A1 (en) | 2001-09-28 | 2005-03-17 | Thomas Tuschl | Microrna molecules |
Non-Patent Citations (48)
| Title |
|---|
| "Constructing New DNA Delivery Agents", BIOCONJUGATE CHEM., vol. 12, 2001, pages 251 - 57 |
| "Handbook of Chemistry and Physics" |
| "Microcapsules and Nanoparticles in Medicine and Pharmacy", 1992, CRC PRESS |
| "Molecular Cloning: A Laboratory Manual", 1989, COLD SPRING HARBOR LABORATORY PRESS |
| "Protective Groups in Organic Synthesis", 1999, JOHN WILEY & SONS |
| ALLISON, DEV. BIOL. STAND., vol. 92, 1998, pages 3 - 11 |
| AUSUBEL ET AL.: "Current Protocols in Molecular Biology", 1999, JOHN WILEY & SONS, INC. |
| BARTEL, CELL, vol. 116, 2004, pages 281 |
| BAYLEY, H.: "Photogenerated Reagents in Biochemistry and Molecular Biology", 1983, ELSEVIER |
| CHAKRABORTY, CURR. DRUG TARGETS, vol. 8, 2007, pages 469 |
| CHAN ET AL., J. MOL. MED., vol. 75, no. 4, 1997, pages 267 - 282 |
| COTTEN ET AL., METHODS ENZYM., vol. 217, 1993, pages 618 |
| CROOKE: "Evaluating the mechanism of action of antiproliferative antisense drugs", ANTISENSE NUCLEIC ACID DRUG DEV., vol. 10, no. 2, 2000, pages 123 - 126,127 |
| CROOKE: "Molecular mechanisms of action of antisense drugs", BIOCHIM. BIOPHYS. ACTA, vol. 1489, no. L, 1999, pages 31 - 44 |
| ELBASHIR ET AL., GENES DEV., vol. 15, 2001, pages 188 |
| FIRE ET AL., NATURE, vol. 391, 1998, pages 806 |
| FIRE ET AL., NATURE, vol. 391, 1998, pages 806 - 811 |
| HAMMOND ET AL., NATURE, vol. 404, 2000, pages 293 |
| HILL ET AL., ORG. SYN., vol. 7, 1990, pages 461 |
| JIA ET AL., BMC BIOINFORMOTICS, vol. 7, 2006, pages 271 |
| KATSUKI ET AL., ORG. REACT, vol. 48, 1996, pages 1 - 300 |
| KATSUKI, J. 4M. CHEM. SOC., vol. 102, 1980, pages 5974 |
| LI ET AL., RNA, vol. 13, 2007, pages 1765 |
| LUKYANOV ET AL.: "Micelles from lipid derivatives of water-soluble polymers as delivery systems for poorly soluble drugs", ADVANCED DRUG DELIVERY REVIEWS, vol. 56, 2004, pages 1273 - 1289, XP002356816, DOI: doi:10.1016/j.addr.2003.12.004 |
| MATHIOWITZ ET AL., J. APPL. POLYMER SCI., vol. 35, 1988, pages 755 - 774 |
| MATHIOWITZ ET AL., REACTIVE POLYMERS, vol. 6, 1987, pages 275 - 283 |
| MATHIOWITZ; LANGER, J. CONTROLLED RELEASE, vol. 5, 1987, pages 13 - 22 |
| METHODS IN ENZYMOLOGY, 1999, pages 313 - 314 |
| MORRIS; ROSSI, GENE THER., vol. 13, 2006, pages 553 |
| NAITO ET AL., NUCLEIC ACIDS RES., vol. 34, 2006, pages W448 |
| NOVINA; SHARP, NATURE, vol. 430, 2004, pages 161 |
| ORG. SYN., vol. 63, 1985, pages 66 |
| PHILLIPS ET AL., VACCINE, vol. 10, 1992, pages 151 - 158 |
| REYNOLDS ET AL., NAT. BIOTECHNOL., vol. 22, 2004, pages 326 |
| SCHAUS ET AL., J. AM. CHEM. SOC., vol. 124, 2002, pages 1307 - 1315 |
| SCHWEIZER ET AL., SYNTHESIS, 2007, pages 3807 - 3814 |
| See also references of EP2365962A4 |
| SZOKA ET AL.: "Comparative Properties and Methods of Preparation of Lipid Vesicles (Liposomes", ANN. REV. BIOPHYS. BIOENG, vol. 9, 1980, pages 467 - 508, XP000600718, DOI: doi:10.1146/annurev.bb.09.060180.002343 |
| TABARA ET AL., CELL, vol. 99, 1999, pages 123 |
| THOMAS SORRELL: "Organic Chemistry", 1999, UNIVERSITY SCIENCE BOOKS |
| TRANCHANT ET AL.: "Physicochemical optimisation of plasmid delivery by cationic lipids", J. GENE MED., vol. 6, 2004, pages S24 - S35, XP002521501, DOI: doi:10.1002/jgm.509 |
| UNKELESS ET AL., ANNU. REV. IMMUNOL., vol. 6, 1998, pages 251 - 281 |
| VAN BALEN ET AL.: "Liposome/Water Lipophilicity: Methods, Information Content, and Pharmaceutical Applications", MEDICINAL RESEARCH REV., vol. 24, no. 3, 2004, pages 299 - 324, XP008056700, DOI: doi:10.1002/med.10063 |
| WALDE, P.: "Encylopedia of Nanoscience and Nanotechnology", vol. 9, 2004, AMERICAN SCIENTIFIC PUBLISHERS, article "Preparation of Vesicles (Liposomes", pages: 43 - 79 |
| WANG; LI, FRONT. BIOSCI., vol. 12, 2007, pages 3975 |
| YIU ET AL., ORMATICS, vol. 21, 2005, pages 144 |
| ZAMORE ET AL., CELL, vol. 101, 2000, pages 25 |
| ZHAO, TRENDS BIOCHEM. SCI., vol. 32, 2007, pages 189 |
Cited By (594)
| Publication number | Priority date | Publication date | Assignee | Title |
|---|---|---|---|---|
| US9777270B2 (en) | 2002-11-14 | 2017-10-03 | Thermo Fisher Scientific Inc. | Methods and compositions for selecting siRNA of improved functionality |
| US9228186B2 (en) | 2002-11-14 | 2016-01-05 | Thermo Fisher Scientific Inc. | Methods and compositions for selecting siRNA of improved functionality |
| US11198870B2 (en) | 2002-11-14 | 2021-12-14 | Thermo Fisher Scientific Inc. | Methods and compositions for selecting siRNA of improved functionality |
| US10233449B2 (en) | 2002-11-14 | 2019-03-19 | Thermo Fisher Scientific Inc. | Methods and compositions for selecting siRNA of improved functionality |
| US9006487B2 (en) | 2005-06-15 | 2015-04-14 | Massachusetts Institute Of Technology | Amine-containing lipids and uses thereof |
| US10240152B2 (en) | 2008-10-20 | 2019-03-26 | Alnylam Pharmaceuticals, Inc. | Compositions and methods for inhibiting expression of transthyretin |
| US8168775B2 (en) | 2008-10-20 | 2012-05-01 | Alnylam Pharmaceuticals, Inc. | Compositions and methods for inhibiting expression of transthyretin |
| US12227744B2 (en) | 2008-10-20 | 2025-02-18 | Alnylam Pharmaceuticals, Inc. | Compositions and methods for inhibiting expression of transthyretin |
| US9234196B2 (en) | 2008-10-20 | 2016-01-12 | Alnylam Pharmaceuticals, Inc. | Compositions and methods for inhibiting expression of transthyretin |
| US8741866B2 (en) | 2008-10-20 | 2014-06-03 | Alnylam Pharmaceuticals, Inc. | Compositions and methods for inhibiting expression of transthyretin |
| US9556110B2 (en) | 2008-11-07 | 2017-01-31 | Massachusetts Institute Of Technology | Aminoalcohol lipidoids and uses thereof |
| US10844028B2 (en) | 2008-11-07 | 2020-11-24 | Massachusetts Institute Of Technology | Aminoalcohol lipidoids and uses thereof |
| US10189802B2 (en) | 2008-11-07 | 2019-01-29 | Massachusetts Institute Of Technology | Aminoalcohol lipidoids and uses thereof |
| US8969353B2 (en) | 2008-11-07 | 2015-03-03 | Massachusetts Institute Of Technology | Aminoalcohol lipidoids and uses thereof |
| US11414393B2 (en) | 2008-11-07 | 2022-08-16 | Massachusetts Institute Of Technology | Aminoalcohol lipidoids and uses thereof |
| US9694077B2 (en) | 2009-05-05 | 2017-07-04 | Arbutus Biopharma Corporation | Lipid compositions |
| EP3698631A3 (en) * | 2009-05-05 | 2020-11-25 | Arbutus Biopharma Corporation | Methods of delivering oligonucleotides to immune cells |
| US12023383B2 (en) | 2009-05-05 | 2024-07-02 | Arbutus Biopharma Corporation | Lipid compositions |
| JP2019056010A (en) * | 2009-05-05 | 2019-04-11 | アルブータス・バイオファーマー・コーポレイション | Lipid composition |
| US10456473B2 (en) | 2009-05-05 | 2019-10-29 | Arbutus Biopharma Corporation | Lipid compositions |
| AU2010245869B2 (en) * | 2009-05-05 | 2016-10-20 | Arbutus Biopharma Corporation | Lipid compositions |
| US10953095B2 (en) | 2009-05-05 | 2021-03-23 | Arbutus Biopharma Corporation | Lipid compositions |
| WO2011056883A1 (en) * | 2009-11-03 | 2011-05-12 | Alnylam Pharmaceuticals, Inc. | Lipid formulated compositions and methods for inhibiting expression of transthyretin (ttr) |
| US9101643B2 (en) | 2009-11-03 | 2015-08-11 | Alnylam Pharmaceuticals, Inc. | Lipid formulated compositions and methods for inhibiting expression of transthyretin (TTR) |
| US10576166B2 (en) | 2009-12-01 | 2020-03-03 | Translate Bio, Inc. | Liver specific delivery of messenger RNA |
| US11730754B2 (en) | 2010-07-06 | 2023-08-22 | Glaxosmithkline Biologicals Sa | Delivery of RNA to trigger multiple immune pathways |
| US11839686B2 (en) | 2010-07-06 | 2023-12-12 | Glaxosmithkline Biologicals Sa | Lipid formulations with viral immunogens |
| US11666534B2 (en) | 2010-07-06 | 2023-06-06 | Glaxosmithkline Biologicals Sa | Methods of administering lipid formulations with viral immunogens |
| US11638694B2 (en) | 2010-07-06 | 2023-05-02 | Glaxosmithkline Biologicals Sa | Vaccine for eliciting immune response comprising lipid formulations and RNA encoding multiple immunogens |
| US11759475B2 (en) | 2010-07-06 | 2023-09-19 | Glaxosmithkline Biologicals Sa | Delivery of RNA to trigger multiple immune pathways |
| US11905514B2 (en) | 2010-07-06 | 2024-02-20 | Glaxosmithkline Biological Sa | Immunisation of large mammals with low doses of RNA |
| US11766401B2 (en) | 2010-07-06 | 2023-09-26 | Glaxosmithkline Biologicals Sa | Methods of administering lipid formulations with immunogens |
| US11773395B1 (en) | 2010-07-06 | 2023-10-03 | Glaxosmithkline Biologicals Sa | Immunization of large mammals with low doses of RNA |
| US11883534B2 (en) | 2010-07-06 | 2024-01-30 | Glaxosmithkline Biologicals Sa | Immunisation with lipid formulations with RNA encoding immunogens |
| US11690862B1 (en) | 2010-07-06 | 2023-07-04 | Glaxosmithkline Biologicals Sa | Delivery of RNA to trigger multiple immune pathways |
| US11786467B2 (en) | 2010-07-06 | 2023-10-17 | Glaxosmithkline Biologicals Sa | Lipid formulations with immunogens |
| US11739334B2 (en) | 2010-07-06 | 2023-08-29 | Glaxosmithkline Biologicals Sa | Immunisation of large mammals with low doses of RNA |
| US20220125723A1 (en) | 2010-07-06 | 2022-04-28 | Glaxosmithkline Biologicals Sa | Lipid formulations with viral immunogens |
| US11596645B2 (en) | 2010-07-06 | 2023-03-07 | Glaxosmithkline Biologicals Sa | Delivery of RNA to trigger multiple immune pathways |
| US11655475B2 (en) | 2010-07-06 | 2023-05-23 | Glaxosmithkline Biologicals Sa | Immunisation of large mammals with low doses of RNA |
| US11891608B2 (en) | 2010-07-06 | 2024-02-06 | Glaxosmithkline Biologicals Sa | Immunization of large mammals with low doses of RNA |
| US12186333B2 (en) | 2010-07-06 | 2025-01-07 | Glaxosmithkline Biologicals Sa | Delivery of RNA to trigger multiple immune pathways |
| US11690861B2 (en) | 2010-07-06 | 2023-07-04 | Glaxosmithkline Biologicals Sa | Delivery of RNA to trigger multiple immune pathways |
| US11638693B2 (en) | 2010-07-06 | 2023-05-02 | Glaxosmithkline Biologicals Sa | Vaccine for eliciting immune response comprising RNA encoding an immunogen and lipid formulations comprising mole percentage of lipids |
| US11865080B2 (en) | 2010-07-06 | 2024-01-09 | Glaxosmithkline Biologicals Sa | Delivery of RNA to trigger multiple immune pathways |
| US11857681B2 (en) | 2010-07-06 | 2024-01-02 | Glaxosmithkline Biologicals Sa | Lipid formulations with RNA encoding immunogens |
| US11913001B2 (en) | 2010-07-06 | 2024-02-27 | Glaxosmithkline Biologicals Sa | Immunisation of large mammals with low doses of RNA |
| US11717529B2 (en) | 2010-07-06 | 2023-08-08 | Glaxosmithkline Biologicals Sa | Delivery of RNA to trigger multiple immune pathways |
| US11707482B2 (en) | 2010-07-06 | 2023-07-25 | Glaxosmithkline Biologicals Sa | Delivery of RNA to trigger multiple immune pathways |
| US11857562B2 (en) | 2010-07-06 | 2024-01-02 | Glaxosmithkline Biologicals Sa | Delivery of RNA to trigger multiple immune pathways |
| US11690865B2 (en) | 2010-07-06 | 2023-07-04 | Glaxosmithkline Biologicals Sa | Delivery of RNA to trigger multiple immune pathways |
| US11696923B2 (en) | 2010-07-06 | 2023-07-11 | Glaxosmithkline Biologicals, Sa | Delivery of RNA to trigger multiple immune pathways |
| US11690864B2 (en) | 2010-07-06 | 2023-07-04 | Glaxosmithkline Biologicals Sa | Delivery of RNA to trigger multiple immune pathways |
| US11690863B2 (en) | 2010-07-06 | 2023-07-04 | Glaxosmithkline Biologicals Sa | Delivery of RNA to trigger multiple immune pathways |
| WO2012027675A3 (en) * | 2010-08-26 | 2012-05-10 | Massachusetts Institute Of Technology | Poly(beta-amino alcohols), their preparation, and uses thereof |
| JP2013539469A (en) * | 2010-08-26 | 2013-10-24 | ツイ,クンユァン | Macrocyclic aliphatic compounds and their applications |
| CN103189057A (en) * | 2010-08-26 | 2013-07-03 | 崔坤元 | Lipomacrocycles and uses thereof |
| US9193827B2 (en) | 2010-08-26 | 2015-11-24 | Massachusetts Institute Of Technology | Poly(beta-amino alcohols), their preparation, and uses thereof |
| CN103189057B (en) * | 2010-08-26 | 2015-02-18 | 崔坤元 | Macrocyclic Lipid Compounds and Their Applications |
| US11759422B2 (en) | 2010-08-31 | 2023-09-19 | Glaxosmithkline Biologicals Sa | Pegylated liposomes for delivery of immunogen-encoding RNA |
| US9549901B2 (en) | 2010-09-03 | 2017-01-24 | The Brigham And Women's Hospital, Inc. | Lipid-polymer hybrid particles |
| US11639370B2 (en) | 2010-10-11 | 2023-05-02 | Glaxosmithkline Biologicals Sa | Antigen delivery platforms |
| JP2022184875A (en) * | 2010-11-15 | 2022-12-13 | ライフ テクノロジーズ コーポレーション | Amine-containing transfection reagents and methods for making and using the same |
| US12458700B2 (en) | 2010-11-15 | 2025-11-04 | Life Technologies Corporation | Amine-containing transfection reagents and methods for making and using same |
| JP7512335B2 (en) | 2010-11-15 | 2024-07-08 | ライフ テクノロジーズ コーポレーション | Amine-Containing Transfection Reagents and Methods for Producing and Using Same - Patent application |
| US10933139B2 (en) | 2011-03-28 | 2021-03-02 | Massachusetts Institute Of Technology | Conjugated lipomers and uses thereof |
| WO2012135025A3 (en) * | 2011-03-28 | 2013-01-24 | Massachusetts Institute Of Technology | Conjugated lipomers and uses thereof |
| US12390528B2 (en) * | 2011-03-28 | 2025-08-19 | Massachusetts Institute Of Technology | Conjugated lipomers and uses thereof |
| US9238716B2 (en) | 2011-03-28 | 2016-01-19 | Massachusetts Institute Of Technology | Conjugated lipomers and uses thereof |
| US20210260195A1 (en) * | 2011-03-28 | 2021-08-26 | Massachusetts Institute Of Technology | Conjugated lipomers and uses thereof |
| US10117934B2 (en) | 2011-03-28 | 2018-11-06 | Massachusetts Institute Of Technology | Conjugated lipomers and uses thereof |
| US9636302B2 (en) | 2011-05-17 | 2017-05-02 | Axolabs Gmbh | Lipids and compositions for intracellular delivery of biologically active compounds |
| US9433681B2 (en) | 2011-05-17 | 2016-09-06 | Axolabs Gmbh | Lipids and compositions for intracellular delivery of biologically active compounds |
| US9278130B2 (en) | 2011-05-17 | 2016-03-08 | Axolabs Gmbh | Lipids and compositions for intracellular delivery of biologically active compounds |
| US9149531B2 (en) | 2011-05-17 | 2015-10-06 | Axolabs Gmbh | Lipids and compositions for intracellular delivery of biologically active compounds |
| EP3998064A1 (en) | 2011-06-08 | 2022-05-18 | Translate Bio, Inc. | Cleavable lipids |
| EP4458350A2 (en) | 2011-06-08 | 2024-11-06 | Translate Bio, Inc. | Lipid nanoparticle compositions and methods for mrna delivery |
| WO2012170930A1 (en) | 2011-06-08 | 2012-12-13 | Shire Human Genetic Therapies, Inc | Lipid nanoparticle compositions and methods for mrna delivery |
| WO2012170889A1 (en) | 2011-06-08 | 2012-12-13 | Shire Human Genetic Therapies, Inc. | Cleavable lipids |
| JP7723064B2 (en) | 2011-06-08 | 2025-08-13 | トランスレイト バイオ, インコーポレイテッド | Cleavable lipids |
| US12102720B2 (en) | 2011-06-08 | 2024-10-01 | Translate Bio, Inc. | Cleavable lipids |
| EP3336082A1 (en) | 2011-06-08 | 2018-06-20 | Translate Bio, Inc. | Cleavable lipids |
| JP2014523411A (en) * | 2011-06-08 | 2014-09-11 | シャイアー ヒューマン ジェネティック セラピーズ インコーポレイテッド | Lipid nanoparticle compositions and methods for mRNA delivery |
| EP4212514A1 (en) | 2011-06-08 | 2023-07-19 | Translate Bio, Inc. | Cleavable lipids |
| EP3354644A1 (en) | 2011-06-08 | 2018-08-01 | Translate Bio, Inc. | Cleavable lipids |
| US10888626B2 (en) | 2011-06-08 | 2021-01-12 | Translate Bio, Inc. | Lipid nanoparticle compositions and methods for mRNA delivery |
| EP3674292A1 (en) | 2011-06-08 | 2020-07-01 | Translate Bio, Inc. | Cleavable lipids |
| EP3336082B1 (en) | 2011-06-08 | 2020-04-15 | Translate Bio, Inc. | Cleavable lipids |
| EP4074693A1 (en) | 2011-06-08 | 2022-10-19 | Translate Bio, Inc. | Cleavable lipids |
| US10702478B2 (en) | 2011-06-08 | 2020-07-07 | Translate Bio, Inc. | Cleavable lipids |
| US12121592B2 (en) | 2011-06-08 | 2024-10-22 | Translate Bio, Inc. | Lipid nanoparticle compositions and methods for mRNA delivery |
| US11338044B2 (en) | 2011-06-08 | 2022-05-24 | Translate Bio, Inc. | Lipid nanoparticle compositions and methods for mRNA delivery |
| JP2024019459A (en) * | 2011-06-08 | 2024-02-09 | トランスレイト バイオ, インコーポレイテッド | cleavable lipid |
| EP3586861A1 (en) | 2011-06-08 | 2020-01-01 | Translate Bio, Inc. | Lipid nanoparticle compositions and methods for mrna delivery |
| CN111671919A (en) * | 2011-06-08 | 2020-09-18 | 川斯勒佰尔公司 | Lipid Nanoparticle Compositions and Methods for mRNA Delivery |
| US11951181B2 (en) | 2011-06-08 | 2024-04-09 | Translate Bio, Inc. | Lipid nanoparticle compositions and methods for mRNA delivery |
| US11052159B2 (en) | 2011-06-08 | 2021-07-06 | Translate Bio, Inc. | Lipid nanoparticle compositions and methods for mRNA delivery |
| US10507183B2 (en) | 2011-06-08 | 2019-12-17 | Translate Bio, Inc. | Cleavable lipids |
| US11951180B2 (en) | 2011-06-08 | 2024-04-09 | Translate Bio, Inc. | Lipid nanoparticle compositions and methods for MRNA delivery |
| US10507249B2 (en) | 2011-06-08 | 2019-12-17 | Translate Bio, Inc. | Lipid nanoparticle compositions and methods for mRNA delivery |
| US11730825B2 (en) | 2011-06-08 | 2023-08-22 | Translate Bio, Inc. | Lipid nanoparticle compositions and methods for mRNA delivery |
| US11547764B2 (en) | 2011-06-08 | 2023-01-10 | Translate Bio, Inc. | Lipid nanoparticle compositions and methods for MRNA delivery |
| US11234936B2 (en) | 2011-06-08 | 2022-02-01 | Translate Bio, Inc. | Cleavable lipids |
| US11951179B2 (en) | 2011-06-08 | 2024-04-09 | Translate Bio, Inc. | Lipid nanoparticle compositions and methods for MRNA delivery |
| JP2017203045A (en) * | 2011-06-08 | 2017-11-16 | シャイアー ヒューマン ジェネティック セラピーズ インコーポレイテッド | Lipid nanoparticle compositions and methods for mRNA delivery |
| US11291734B2 (en) | 2011-06-08 | 2022-04-05 | Translate Bio, Inc. | Lipid nanoparticle compositions and methods for mRNA delivery |
| US10413618B2 (en) | 2011-06-08 | 2019-09-17 | Translate Bio, Inc. | Lipid nanoparticle compositions and methods for mRNA delivery |
| US9597413B2 (en) | 2011-06-08 | 2017-03-21 | Shire Human Genetic Therapies, Inc. | Pulmonary delivery of mRNA |
| US9308281B2 (en) | 2011-06-08 | 2016-04-12 | Shire Human Genetic Therapies, Inc. | MRNA therapy for Fabry disease |
| JP2017014278A (en) * | 2011-06-08 | 2017-01-19 | シャイアー ヒューマン ジェネティック セラピーズ インコーポレイテッド | Lipid nanoparticle composition and method for mRNA delivery |
| US10350303B1 (en) | 2011-06-08 | 2019-07-16 | Translate Bio, Inc. | Lipid nanoparticle compositions and methods for mRNA delivery |
| EP4043025A1 (en) | 2011-06-08 | 2022-08-17 | Translate Bio, Inc. | Lipid nanoparticle compositions and methods for mrna delivery |
| US10238754B2 (en) | 2011-06-08 | 2019-03-26 | Translate Bio, Inc. | Lipid nanoparticle compositions and methods for MRNA delivery |
| JP2019048900A (en) * | 2011-06-08 | 2019-03-28 | シャイアー ヒューマン ジェネティック セラピーズ インコーポレイテッド | Lipid nanoparticle compositions and methods for mRNA delivery |
| US11185595B2 (en) | 2011-06-08 | 2021-11-30 | Translate Bio, Inc. | Lipid nanoparticle compositions and methods for mRNA delivery |
| US11896636B2 (en) | 2011-07-06 | 2024-02-13 | Glaxosmithkline Biologicals Sa | Immunogenic combination compositions and uses thereof |
| KR101329702B1 (en) | 2011-10-06 | 2013-11-14 | 연세대학교 산학협력단 | Polyamine-based vector for delivery of small interfering RNA |
| US11458158B2 (en) | 2011-10-27 | 2022-10-04 | Massachusetts Institute Of Technology | Amino acid-, peptide- and polypeptide-lipids, isomers, compositions, and uses thereof |
| US10682374B2 (en) | 2011-10-27 | 2020-06-16 | Massachusetts Intstitute Of Technology | Amino acid-, peptide- and polypeptide-lipids, isomers, compositions, and uses thereof |
| EP4074694A1 (en) | 2011-10-27 | 2022-10-19 | Massachusetts Institute Of Technology | Amino acid-, peptide- an polypeptide-lipids, isomers, compositions, an uses thereof |
| WO2013063468A1 (en) | 2011-10-27 | 2013-05-02 | Massachusetts Institute Of Technology | Amino acid derivates functionalized on the n- terminal capable of forming drug incapsulating microspheres |
| US10086013B2 (en) | 2011-10-27 | 2018-10-02 | Massachusetts Institute Of Technology | Amino acid-, peptide- and polypeptide-lipids, isomers, compositions, and uses thereof |
| US9512073B2 (en) | 2011-10-27 | 2016-12-06 | Massachusetts Institute Of Technology | Amino acid-, peptide-and polypeptide-lipids, isomers, compositions, and uses thereof |
| US10570391B2 (en) | 2011-11-18 | 2020-02-25 | Alnylam Pharmaceuticals, Inc. | RNAi agents, compositions and methods of use thereof for treating transthyretin (TTR) associated diseases |
| US9399775B2 (en) | 2011-11-18 | 2016-07-26 | Alnylam Pharmaceuticals, Inc. | RNAi agents, compositions and methods of use thereof for treating transthyretin (TTR) associated diseases |
| US9872911B2 (en) | 2011-12-16 | 2018-01-23 | Massachusetts Institute Of Technology | Alpha-aminoamidine polymers and uses thereof |
| EP3536787A1 (en) | 2012-06-08 | 2019-09-11 | Translate Bio, Inc. | Nuclease resistant polynucleotides and uses thereof |
| US11254936B2 (en) | 2012-06-08 | 2022-02-22 | Translate Bio, Inc. | Nuclease resistant polynucleotides and uses thereof |
| WO2013185069A1 (en) | 2012-06-08 | 2013-12-12 | Shire Human Genetic Therapies, Inc. | Pulmonary delivery of mrna to non-lung target cells |
| EP3884949A1 (en) | 2012-06-08 | 2021-09-29 | Translate Bio, Inc. | Pulmonary delivery of mrna to non-lung target cells |
| WO2014028487A1 (en) * | 2012-08-13 | 2014-02-20 | Massachusetts Institute Of Technology | Amine-containing lipidoids and uses thereof |
| US9227917B2 (en) | 2012-08-13 | 2016-01-05 | Massachusetts Institute Of Technology | Amine-containing lipidoids and uses thereof |
| US9439968B2 (en) | 2012-08-13 | 2016-09-13 | Massachusetts Institute Of Technology | Amine-containing lipidoids and uses thereof |
| EP4331620A2 (en) | 2012-12-07 | 2024-03-06 | Translate Bio, Inc. | Lipidic nanoparticles for mrna delivery |
| EP3628335A1 (en) | 2012-12-07 | 2020-04-01 | Translate Bio, Inc. | Lipidic nanoparticles for mrna delivery in the lungs |
| WO2014089486A1 (en) | 2012-12-07 | 2014-06-12 | Shire Human Genetic Therapies, Inc. | Lipidic nanoparticles for mrna delivering |
| US11510937B2 (en) | 2013-03-14 | 2022-11-29 | Translate Bio, Inc. | CFTR MRNA compositions and related methods and uses |
| US10420791B2 (en) | 2013-03-14 | 2019-09-24 | Translate Bio, Inc. | CFTR MRNA compositions and related methods and uses |
| EP3932947A1 (en) | 2013-03-14 | 2022-01-05 | Translate Bio MA, Inc. | Methods and compositions for delivering mrna coded antibodies |
| US12577554B2 (en) | 2013-03-14 | 2026-03-17 | Translate Bio, Inc. | Methods for purification of messenger RNA |
| US12247046B2 (en) | 2013-03-14 | 2025-03-11 | Translate Bio, Inc. | Ribonucleic acids with 4′-thio-modified nucleotides and related methods |
| EP3750903A1 (en) | 2013-03-14 | 2020-12-16 | Translate Bio, Inc. | Ribonucleic acids with 4'-thio-modified nucleotides and related methods |
| US9181321B2 (en) | 2013-03-14 | 2015-11-10 | Shire Human Genetic Therapies, Inc. | CFTR mRNA compositions and related methods and uses |
| US10876104B2 (en) | 2013-03-14 | 2020-12-29 | Translate Bio, Inc. | Methods for purification of messenger RNA |
| WO2014152940A1 (en) | 2013-03-14 | 2014-09-25 | Shire Human Genetic Therapies, Inc. | Mrna therapeutic compositions and use to treat diseases and disorders |
| US11820977B2 (en) | 2013-03-14 | 2023-11-21 | Translate Bio, Inc. | Methods for purification of messenger RNA |
| EP3301102A1 (en) | 2013-03-14 | 2018-04-04 | Translate Bio, Inc. | Ribonucleic acids with 4'-thio-modified nucleotides and related methods |
| WO2014152513A1 (en) | 2013-03-14 | 2014-09-25 | Shire Human Genetic Therapies, Inc. | RIBONUCLEIC ACIDs WITH 4'-THIO-MODIFIED NUCLEOTIDES AND RELATED METHODS |
| US9713626B2 (en) | 2013-03-14 | 2017-07-25 | Rana Therapeutics, Inc. | CFTR mRNA compositions and related methods and uses |
| WO2014152774A1 (en) | 2013-03-14 | 2014-09-25 | Shire Human Genetic Therapies, Inc. | Methods and compositions for delivering mrna coded antibodies |
| US9957499B2 (en) | 2013-03-14 | 2018-05-01 | Translate Bio, Inc. | Methods for purification of messenger RNA |
| EP3431592A1 (en) | 2013-03-14 | 2019-01-23 | Translate Bio, Inc. | Mrna therapeutic compositions and use to treat diseases and disorders |
| US11692189B2 (en) | 2013-03-14 | 2023-07-04 | Translate Bio, Inc. | Methods for purification of messenger RNA |
| US12234446B2 (en) | 2013-03-14 | 2025-02-25 | Translate Bio, Inc. | Methods for purification of messenger RNA |
| EP3446712A1 (en) | 2013-03-14 | 2019-02-27 | Translate Bio Ma, Inc. | Cftr mrna compositions and related methods and uses |
| WO2014144196A1 (en) | 2013-03-15 | 2014-09-18 | Shire Human Genetic Therapies, Inc. | Synergistic enhancement of the delivery of nucleic acids via blended formulations |
| EP4614148A2 (en) | 2013-03-15 | 2025-09-10 | Translate Bio, Inc. | Synergistic enhancement of the delivery of nucleic acids via blended formulations |
| EP4332576A2 (en) | 2013-03-15 | 2024-03-06 | Translate Bio, Inc. | Synergistic enhancement of the delivery of nucleic acids via blended formulations |
| EP3757570A1 (en) | 2013-03-15 | 2020-12-30 | Translate Bio, Inc. | Synergistic enhancement of the delivery of nucleic acids via blended formulations |
| EP3388834A1 (en) | 2013-03-15 | 2018-10-17 | Translate Bio, Inc. | Synergistic enhancement of the delivery of nucleic acids via blended formulations |
| US9315472B2 (en) | 2013-05-01 | 2016-04-19 | Massachusetts Institute Of Technology | 1,3,5-triazinane-2,4,6-trione derivatives and uses thereof |
| WO2014179562A1 (en) | 2013-05-01 | 2014-11-06 | Massachusetts Institute Of Technology | 1,3,5-triazinane-2,4,6-trione derivatives and uses thereof |
| US10792328B2 (en) | 2013-05-13 | 2020-10-06 | Trustees Of Tufts College | Nanocomplexes for delivery of saporin |
| WO2014186366A1 (en) * | 2013-05-13 | 2014-11-20 | Tufts University | Nanocomplexes for delivery of saporin |
| US12064484B2 (en) | 2013-06-28 | 2024-08-20 | Ethris Gmbh | Compositions for introducing RNA into cells |
| EA036400B1 (en) * | 2013-06-28 | 2020-11-06 | Этрис Гмбх | Compositions for introducing rna into cells |
| WO2014207231A1 (en) * | 2013-06-28 | 2014-12-31 | Ethris Gmbh | Compositions for introducing rna into cells |
| US10815291B2 (en) | 2013-09-30 | 2020-10-27 | Modernatx, Inc. | Polynucleotides encoding immune modulating polypeptides |
| US10323076B2 (en) | 2013-10-03 | 2019-06-18 | Modernatx, Inc. | Polynucleotides encoding low density lipoprotein receptor |
| EP3871696A1 (en) | 2013-10-22 | 2021-09-01 | Translate Bio MA, Inc. | Lipid formulations for delivery of messenger rna |
| EP3501605A1 (en) | 2013-10-22 | 2019-06-26 | Translate Bio, Inc. | Mrna therapy for argininosuccinate synthetase deficiency |
| EP3871696B1 (en) * | 2013-10-22 | 2025-03-19 | Translate Bio, Inc. | Lipid formulations for delivery of messenger rna |
| US9522176B2 (en) | 2013-10-22 | 2016-12-20 | Shire Human Genetic Therapies, Inc. | MRNA therapy for phenylketonuria |
| WO2015061500A1 (en) | 2013-10-22 | 2015-04-30 | Shire Human Genetic Therapies, Inc. | Mrna therapy for argininosuccinate synthetase deficiency |
| US10208295B2 (en) | 2013-10-22 | 2019-02-19 | Translate Bio, Inc. | MRNA therapy for phenylketonuria |
| WO2015061461A1 (en) | 2013-10-22 | 2015-04-30 | Shire Human Genetic Therapies, Inc. | Cns delivery of mrna and uses thereof |
| EP4276176A2 (en) | 2013-10-22 | 2023-11-15 | Translate Bio, Inc. | Mrna therapy for argininosuccinate synthetase deficiency |
| US11224642B2 (en) | 2013-10-22 | 2022-01-18 | Translate Bio, Inc. | MRNA therapy for argininosuccinate synthetase deficiency |
| US12509666B2 (en) | 2013-10-22 | 2025-12-30 | Translate Bio, Inc. | MRNA therapy for phenylketonuria |
| US9629804B2 (en) | 2013-10-22 | 2017-04-25 | Shire Human Genetic Therapies, Inc. | Lipid formulations for delivery of messenger RNA |
| WO2015061491A1 (en) | 2013-10-22 | 2015-04-30 | Shire Human Genetic Therapies, Inc. | Mrna therapy for phenylketonuria |
| US10959953B2 (en) | 2013-10-22 | 2021-03-30 | Translate Bio, Inc. | Lipid formulations for delivery of messenger RNA |
| EP3574923A1 (en) | 2013-10-22 | 2019-12-04 | Translate Bio, Inc. | Mrna therapy for phenylketonuria |
| WO2015061467A1 (en) | 2013-10-22 | 2015-04-30 | Shire Human Genetic Therapies, Inc. | Lipid formulations for delivery of messenger rna |
| US10493031B2 (en) | 2013-10-22 | 2019-12-03 | Translate Bio, Inc. | Lipid formulations for delivery of messenger RNA |
| EP3501605B1 (en) | 2013-10-22 | 2023-06-28 | Translate Bio, Inc. | Mrna therapy for argininosuccinate synthetase deficiency |
| US11377642B2 (en) | 2013-10-22 | 2022-07-05 | Translate Bio, Inc. | mRNA therapy for phenylketonuria |
| US10052284B2 (en) | 2013-10-22 | 2018-08-21 | Translate Bio, Inc. | Lipid formulations for delivery of messenger RNA |
| US12533402B2 (en) | 2013-10-22 | 2026-01-27 | Translate Bio, Inc. | MRNA therapy for argininosuccinate synthetase deficiency |
| US11890377B2 (en) | 2013-10-22 | 2024-02-06 | Translate Bio, Inc. | Lipid formulations for delivery of messenger RNA |
| EP4036241A1 (en) | 2013-10-22 | 2022-08-03 | Translate Bio, Inc. | Cns delivery of mrna and uses thereof |
| US10167454B2 (en) | 2014-03-09 | 2019-01-01 | The Trustees Of The University Of Pennsylvania | Compositions useful in treatment of ornithine transcarbamylase (OTC) deficiency |
| US10781430B2 (en) | 2014-03-09 | 2020-09-22 | The Trustees Of The University Of Pennsylvania | Compositions useful in treatment of ornithine transcarbamylase (OTC) deficiency |
| EP3778627A1 (en) | 2014-03-09 | 2021-02-17 | The Trustees of The University of Pennsylvania | Compositions useful in treatment of ornithine transcarbamylase (otc) deficiency |
| US11732246B2 (en) | 2014-03-09 | 2023-08-22 | The Trustees Of The University Of Pennsylvania | Compositions useful in treatment of ornithine transcarbamylase (OTC) deficiency |
| US9890365B2 (en) | 2014-03-09 | 2018-02-13 | The Trustees Of The University Of Pennsylvania | Compositions useful in treatment of ornithine transcarbamylase (OTC) deficiency |
| US10626382B2 (en) | 2014-03-09 | 2020-04-21 | The Trustees Of The University Of Pennsylvania | Compositions useful in treatment of ornithine transcarbamylase (OTC) deficiency |
| EP3450553A1 (en) | 2014-03-24 | 2019-03-06 | Translate Bio, Inc. | Mrna therapy for treatment of ocular diseases |
| EP3699274A1 (en) | 2014-03-24 | 2020-08-26 | Translate Bio, Inc. | Mrna therapy for the treatment of ocular diseases |
| US12329812B2 (en) | 2014-04-23 | 2025-06-17 | Modernatx, Inc. | Nucleic acid vaccines |
| US12274743B2 (en) | 2014-04-23 | 2025-04-15 | Modernatx, Inc. | Nucleic acid vaccines |
| US10709779B2 (en) | 2014-04-23 | 2020-07-14 | Modernatx, Inc. | Nucleic acid vaccines |
| US12060381B2 (en) | 2014-04-25 | 2024-08-13 | Translate Bio, Inc. | Methods for purification of messenger RNA |
| US10155785B2 (en) | 2014-04-25 | 2018-12-18 | Translate Bio, Inc. | Methods for purification of messenger RNA |
| US11059841B2 (en) | 2014-04-25 | 2021-07-13 | Translate Bio, Inc. | Methods for purification of messenger RNA |
| US11884692B2 (en) | 2014-04-25 | 2024-01-30 | Translate Bio, Inc. | Methods for purification of messenger RNA |
| US9850269B2 (en) | 2014-04-25 | 2017-12-26 | Translate Bio, Inc. | Methods for purification of messenger RNA |
| WO2015173756A2 (en) | 2014-05-16 | 2015-11-19 | Pfizer Inc. | Bispecific antibodies |
| US10286082B2 (en) | 2014-05-30 | 2019-05-14 | Translate Bio, Inc. | Biodegradable lipids for delivery of nucleic acids |
| US11433144B2 (en) | 2014-05-30 | 2022-09-06 | Translate Bio, Inc. | Biodegradable lipids for delivery of nucleic acids |
| EP3587409A1 (en) | 2014-05-30 | 2020-01-01 | Translate Bio, Inc. | Biodegradable lipids for delivery of nucleic acids |
| US10912844B2 (en) | 2014-05-30 | 2021-02-09 | Translate Bio, Inc. | Biodegradable lipids for delivery of nucleic acids |
| US10493166B2 (en) | 2014-05-30 | 2019-12-03 | Translate Bio, Inc. | Biodegradable lipids for delivery of nucleic acids |
| US10022455B2 (en) | 2014-05-30 | 2018-07-17 | Translate Bio, Inc. | Biodegradable lipids for delivery of nucleic acids |
| US10286083B2 (en) | 2014-05-30 | 2019-05-14 | Translate Bio, Inc. | Biodegradable lipids for delivery of nucleic acids |
| US10293057B2 (en) | 2014-05-30 | 2019-05-21 | Translate Bio, Inc. | Biodegradable lipids for delivery of nucleic acids |
| WO2015200465A1 (en) | 2014-06-24 | 2015-12-30 | Shire Human Genetic Therapies, Inc. | Stereochemically enriched compositions for delivery of nucleic acids |
| US10138213B2 (en) | 2014-06-24 | 2018-11-27 | Translate Bio, Inc. | Stereochemically enriched compositions for delivery of nucleic acids |
| US11104652B2 (en) | 2014-06-24 | 2021-08-31 | Translate Bio, Inc. | Stereochemically enriched compositions for delivery of nucleic acids |
| WO2016004318A1 (en) | 2014-07-02 | 2016-01-07 | Shire Human Genetic Therapies, Inc. | Encapsulation of messenger rna |
| US9840479B2 (en) | 2014-07-02 | 2017-12-12 | Massachusetts Institute Of Technology | Polyamine-fatty acid derived lipidoids and uses thereof |
| WO2016004202A1 (en) | 2014-07-02 | 2016-01-07 | Massachusetts Institute Of Technology | Polyamine-fatty acid derived lipidoids and uses thereof |
| WO2016025643A1 (en) | 2014-08-12 | 2016-02-18 | Massachusetts Institute Of Technology | Brush-poly(glycoamidoamine)-lipids and uses thereof |
| US10736966B2 (en) | 2014-08-12 | 2020-08-11 | Massachusetts Institute Of Technology | Brush-poly (glycoamidoamine)-lipids and uses thereof |
| US10815530B2 (en) | 2014-08-14 | 2020-10-27 | Technion Research & Development Foundation Limited | Compositions and methods for therapeutics prescreening |
| US12344899B2 (en) | 2014-08-14 | 2025-07-01 | Technion Research & Development Foundation Limited | Compositions and methods for therapeutics prescreening |
| US10060921B2 (en) | 2014-08-29 | 2018-08-28 | Alnylam Pharmaceuticals, Inc. | Methods of treating transthyretin (TTR) mediated amyloidosis |
| US11079379B2 (en) | 2014-08-29 | 2021-08-03 | Alnylam Pharmaceuticals, Inc. | Methods of treating transthyretin (TTR) mediated amyloidosis |
| US9339029B2 (en) | 2014-09-04 | 2016-05-17 | Preceres Inc. | Hydrazinyl lipidoids and uses thereof |
| US9363992B2 (en) | 2014-09-04 | 2016-06-14 | Preceres Inc. | Hydrazinyl lipidoids and uses thereof |
| US9409869B1 (en) | 2014-09-04 | 2016-08-09 | Preceres Inc. | Hydrazinyl lipidoids and uses thereof |
| US12263229B2 (en) | 2014-11-10 | 2025-04-01 | Ethris Gmbh | Induction of osteogenesis by delivering BMP encoding RNA |
| EP3884964A1 (en) | 2014-12-05 | 2021-09-29 | Translate Bio, Inc. | Messenger rna therapy for treatment of articular disease |
| WO2016090262A1 (en) | 2014-12-05 | 2016-06-09 | Shire Human Genetic Therapies, Inc. | Messenger rna therapy for treatment of articular disease |
| US10676726B2 (en) | 2015-02-09 | 2020-06-09 | Duke University | Compositions and methods for epigenome editing |
| US11155796B2 (en) | 2015-02-09 | 2021-10-26 | Duke University | Compositions and methods for epigenome editing |
| US12215366B2 (en) | 2015-02-09 | 2025-02-04 | Duke University | Compositions and methods for epigenome editing |
| EP3900702A1 (en) | 2015-03-19 | 2021-10-27 | Translate Bio, Inc. | Mrna therapy for pompe disease |
| US11491112B2 (en) | 2015-04-17 | 2022-11-08 | CureVac Manufacturing GmbH | Lyophilization of RNA |
| US12194148B2 (en) | 2015-04-17 | 2025-01-14 | CureVac Manufacturing GmbH | Lyophilization of RNA |
| US11446250B2 (en) | 2015-04-17 | 2022-09-20 | Curevac Real Estate Gmbh | Lyophilization of RNA |
| WO2016168469A1 (en) * | 2015-04-17 | 2016-10-20 | The Regents Of The University Of California | Fatty acid analogs and methods of use thereof |
| WO2016176191A1 (en) | 2015-04-27 | 2016-11-03 | The Trustees Of The University Of Pennsylvania | Dual aav vector system for crispr/cas9 mediated correction of human disease |
| US11534405B2 (en) | 2015-05-20 | 2022-12-27 | Curevac Ag | Dry powder composition comprising long-chain RNA |
| US11433027B2 (en) | 2015-05-20 | 2022-09-06 | Curevac Ag | Dry powder composition comprising long-chain RNA |
| US12318486B2 (en) | 2015-05-20 | 2025-06-03 | CureVac SE | Dry powder composition comprising long-chain RNA |
| US12138348B2 (en) | 2015-05-20 | 2024-11-12 | CureVac SE | Dry powder composition comprising long-chain RNA |
| WO2016205691A1 (en) | 2015-06-19 | 2016-12-22 | Massachusetts Institute Of Technology | Alkenyl substituted 2,5-piperazinediones and their use in compositions for delivering an agent to a subject or cell |
| US10201618B2 (en) | 2015-06-19 | 2019-02-12 | Massachusetts Institute Of Technology | Alkenyl substituted 2,5-piperazinediones, compositions, and uses thereof |
| US10695444B2 (en) | 2015-06-19 | 2020-06-30 | Massachusetts Institute Of Technology | Alkenyl substituted 2,5-piperazinediones, compositions, and uses thereof |
| EP4248988A2 (en) | 2015-06-19 | 2023-09-27 | Massachusetts Institute of Technology | Alkenyl substituted 2,5-piperazinediones and their use in compositions for delivering an agent to a subject or cell |
| US10676735B2 (en) | 2015-07-22 | 2020-06-09 | Duke University | High-throughput screening of regulatory element function with epigenome editing technologies |
| US10683501B2 (en) | 2015-07-31 | 2020-06-16 | Alnylam Pharmaceuticals, Inc. | Transthyretin (TTR) iRNA compositions and methods of use thereof for treating or preventing TTR-associated diseases |
| US12049628B2 (en) | 2015-07-31 | 2024-07-30 | Alnylam Pharmaceuticals, Inc. | Transthyretin (TTR) iRNA compositions and methods of use thereof for treating or preventing TTR-associated diseases |
| US11286486B2 (en) | 2015-07-31 | 2022-03-29 | Alnylam Pharmaceuticals, Inc. | Transthyretin (TTR) iRNA compositions and methods of use thereof for treating or preventing TTR-associated diseases |
| US10208307B2 (en) | 2015-07-31 | 2019-02-19 | Alnylam Pharmaceuticals, Inc. | Transthyretin (TTR) iRNA compositions and methods of use thereof for treating or preventing TTR-associated diseases |
| US11427817B2 (en) | 2015-08-25 | 2022-08-30 | Duke University | Compositions and methods of improving specificity in genomic engineering using RNA-guided endonucleases |
| US10442756B2 (en) | 2015-09-17 | 2019-10-15 | Modernatx, Inc. | Compounds and compositions for intracellular delivery of therapeutic agents |
| US10392341B2 (en) | 2015-09-17 | 2019-08-27 | Modernatx, Inc. | Compounds and compositions for intracellular delivery of therapeutic agents |
| US12151995B2 (en) | 2015-09-17 | 2024-11-26 | Modernatx, Inc. | Compounds and compositions for intracellular delivery of therapeutic agents |
| US11220476B2 (en) | 2015-09-17 | 2022-01-11 | Modernatx, Inc. | Compounds and compositions for intracellular delivery of therapeutic agents |
| US10266485B2 (en) | 2015-09-17 | 2019-04-23 | Modernatx, Inc. | Compounds and compositions for intracellular delivery of therapeutic agents |
| US12404232B2 (en) | 2015-09-17 | 2025-09-02 | Modernatx, Inc. | Compounds and compositions for intracellular delivery of therapeutic agents |
| US11421251B2 (en) | 2015-10-13 | 2022-08-23 | Duke University | Genome engineering with type I CRISPR systems in eukaryotic cells |
| US10383937B2 (en) | 2015-10-22 | 2019-08-20 | Modernatx, Inc. | Human cytomegalovirus RNA vaccines |
| US11484590B2 (en) | 2015-10-22 | 2022-11-01 | Modernatx, Inc. | Human cytomegalovirus RNA vaccines |
| US10064935B2 (en) | 2015-10-22 | 2018-09-04 | Modernatx, Inc. | Human cytomegalovirus RNA vaccines |
| US10716846B2 (en) | 2015-10-22 | 2020-07-21 | Modernatx, Inc. | Human cytomegalovirus RNA vaccines |
| US10799463B2 (en) | 2015-12-22 | 2020-10-13 | Modernatx, Inc. | Compounds and compositions for intracellular delivery of agents |
| EP3394030B2 (en) † | 2015-12-22 | 2025-02-12 | ModernaTX, Inc. | Compounds and compositions for intracellular delivery of agents |
| US12396961B2 (en) | 2015-12-22 | 2025-08-26 | Modernatx, Inc. | Compounds and compositions for intracellular delivery of agents |
| EP3394030B1 (en) | 2015-12-22 | 2021-12-22 | Modernatx, Inc. | Compounds and compositions for intracellular delivery of agents |
| US10195156B2 (en) | 2015-12-22 | 2019-02-05 | Modernatx, Inc. | Compounds and compositions for intracellular delivery of agents |
| EP3825400A1 (en) | 2016-04-08 | 2021-05-26 | Translate Bio Ma, Inc. | Multimeric coding nucleic acid and uses thereof |
| WO2017177169A1 (en) | 2016-04-08 | 2017-10-12 | Rana Therapeutics, Inc. | Multimeric coding nucleic acid and uses thereof |
| US12428631B2 (en) | 2016-04-13 | 2025-09-30 | Duke University | CRISPR/Cas9-based repressors for silencing gene targets in vivo and methods of use |
| WO2017201333A1 (en) * | 2016-05-18 | 2017-11-23 | Modernatx, Inc. | Polynucleotides encoding lipoprotein lipase for the treatment of hyperlipidemia |
| US12123030B2 (en) | 2016-05-18 | 2024-10-22 | Modernatx, Inc. | Polynucleotides encoding lipoprotein lipase for the treatment of hyperlipidemia |
| US11478552B2 (en) * | 2016-06-09 | 2022-10-25 | Curevac Ag | Hybrid carriers for nucleic acid cargo |
| EP3842530A1 (en) | 2016-06-13 | 2021-06-30 | Translate Bio, Inc. | Messenger rna therapy for the treatment of ornithine transcarbamylase deficiency |
| WO2017218524A1 (en) | 2016-06-13 | 2017-12-21 | Rana Therapeutics, Inc. | Messenger rna therapy for the treatment of ornithine transcarbamylase deficiency |
| WO2017221251A1 (en) | 2016-06-21 | 2017-12-28 | Technion Research & Development Foundation Ltd. | Hybrid muco-adhesive delivery systems and use thereof |
| US12214056B2 (en) | 2016-07-19 | 2025-02-04 | Duke University | Therapeutic applications of CPF1-based genome editing |
| US10907156B2 (en) | 2016-08-19 | 2021-02-02 | Fundación Para La Investigación Biomédica Del Hospital Univ. Ramón Y Cajal | MiR-127 agents for use in the treatment of renal fibrosis |
| WO2018033454A1 (en) | 2016-08-19 | 2018-02-22 | Fundación Para La Investigación Biomédica Del Hospital Universitario Ramón Y Cajal | Mir-127 agents for use in the treatment of renal fibrosis |
| US11541113B2 (en) | 2016-10-21 | 2023-01-03 | Modernatx, Inc. | Human cytomegalovirus vaccine |
| US11197927B2 (en) | 2016-10-21 | 2021-12-14 | Modernatx, Inc. | Human cytomegalovirus vaccine |
| US10695419B2 (en) | 2016-10-21 | 2020-06-30 | Modernatx, Inc. | Human cytomegalovirus vaccine |
| US12144895B2 (en) | 2016-11-08 | 2024-11-19 | Modernatx, Inc. | Stabilized formulations of lipid nanoparticles |
| US11583504B2 (en) | 2016-11-08 | 2023-02-21 | Modernatx, Inc. | Stabilized formulations of lipid nanoparticles |
| WO2018089846A1 (en) | 2016-11-10 | 2018-05-17 | Translate Bio, Inc. | Subcutaneous delivery of messenger rna |
| WO2018089801A1 (en) | 2016-11-10 | 2018-05-17 | Translate Bio, Inc. | Improved process of preparing mrna-loaded lipid nanoparticles |
| EP4249501A2 (en) | 2017-01-09 | 2023-09-27 | Whitehead Institute for Biomedical Research | Methods of altering gene expression by perturbing transcription factor multimers that structure regulatory loops |
| WO2018129544A1 (en) | 2017-01-09 | 2018-07-12 | Whitehead Institute For Biomedical Research | Methods of altering gene expression by perturbing transcription factor multimers that structure regulatory loops |
| WO2018157141A1 (en) | 2017-02-27 | 2018-08-30 | Translate Bio, Inc. | Methods for purification of messenger rna |
| US11253605B2 (en) | 2017-02-27 | 2022-02-22 | Translate Bio, Inc. | Codon-optimized CFTR MRNA |
| EP3971291A1 (en) | 2017-02-27 | 2022-03-23 | Translate Bio, Inc. | Methods for purification of messenger rna |
| WO2018157154A2 (en) | 2017-02-27 | 2018-08-30 | Translate Bio, Inc. | Novel codon-optimized cftr mrna |
| WO2018157133A1 (en) | 2017-02-27 | 2018-08-30 | Translate Bio, Inc. | Methods for purification of messenger rna |
| EP4008783A1 (en) | 2017-02-27 | 2022-06-08 | Translate Bio MA, Inc. | Methods for purification of messenger rna |
| US11827906B2 (en) | 2017-02-28 | 2023-11-28 | The Trustees Of The University Of Pennsylvania | Adeno-associated virus (AAV) clade f vector and uses therefor |
| WO2018160585A2 (en) | 2017-02-28 | 2018-09-07 | The Trustees Of The University Of Pennsylvania | Compositions useful in treatment of spinal muscular atrophy |
| US11578341B2 (en) | 2017-02-28 | 2023-02-14 | The Trustees Of The University Of Pennsylvania | Compositions useful in treatment of spinal muscular atrophy |
| EP4656244A2 (en) | 2017-03-01 | 2025-12-03 | The Trustees of the University of Pennsylvania | Gene therapy for ocular disorders |
| US11564996B2 (en) | 2017-03-01 | 2023-01-31 | The Trustees Of The University Of Pennsylvania | Gene therapy for ocular disorders |
| WO2018165257A1 (en) | 2017-03-07 | 2018-09-13 | Translate Bio, Inc. | Polyanionic delivery of nucleic acids |
| US10857105B2 (en) | 2017-03-15 | 2020-12-08 | MordernaTX, Inc. | Compounds and compositions for intracellular delivery of therapeutic agents |
| US12552738B2 (en) | 2017-03-15 | 2026-02-17 | Modernatx, Inc. | Crystal forms of amino lipids |
| US12324859B2 (en) | 2017-03-15 | 2025-06-10 | Modernatx, Inc. | Compounds and compositions for intracellular delivery of therapeutic agents |
| US11203569B2 (en) | 2017-03-15 | 2021-12-21 | Modernatx, Inc. | Crystal forms of amino lipids |
| US11969506B2 (en) | 2017-03-15 | 2024-04-30 | Modernatx, Inc. | Lipid nanoparticle formulation |
| US11879133B2 (en) | 2017-04-24 | 2024-01-23 | The Trustees Of The University Of Pennsylvania | Gene therapy for ocular disorders |
| US12428653B2 (en) | 2017-05-11 | 2025-09-30 | The Trustees Of The University Of Pennsylvania | Gene therapy for ceroid lipofuscinoses |
| US11591614B2 (en) | 2017-05-11 | 2023-02-28 | The Trustees Of The University Of Pennsylvania | Gene therapy for ceroid lipofuscinoses |
| US11173190B2 (en) | 2017-05-16 | 2021-11-16 | Translate Bio, Inc. | Treatment of cystic fibrosis by delivery of codon-optimized mRNA encoding CFTR |
| WO2018213476A1 (en) | 2017-05-16 | 2018-11-22 | Translate Bio, Inc. | Treatment of cystic fibrosis by delivery of codon-optimized mrna encoding cftr |
| US11793887B2 (en) | 2017-05-31 | 2023-10-24 | The Trustees Of The University Of Pennsylvania | Gene therapy for treating peroxisomal disorders |
| WO2018218359A1 (en) | 2017-05-31 | 2018-12-06 | The Trustees Of The University Of Pennsylvania | Gene therapy for treating peroxisomal disorders |
| US12077501B2 (en) | 2017-06-14 | 2024-09-03 | Modernatx, Inc. | Compounds and compositions for intracellular delivery of agents |
| US11786607B2 (en) | 2017-06-15 | 2023-10-17 | Modernatx, Inc. | RNA formulations |
| WO2018236849A1 (en) | 2017-06-19 | 2018-12-27 | Translate Bio, Inc. | Messenger rna therapy for the treatment of friedreich's ataxia |
| US12357575B2 (en) | 2017-08-31 | 2025-07-15 | Modernatx, Inc. | Methods of making lipid nanoparticles |
| US11744801B2 (en) | 2017-08-31 | 2023-09-05 | Modernatx, Inc. | Methods of making lipid nanoparticles |
| US11806360B2 (en) | 2017-09-19 | 2023-11-07 | Alnylam Pharmaceuticals, Inc. | Compositions and methods for treating transthyretin (TTR) mediated amyloidosis |
| US11723989B2 (en) | 2017-11-30 | 2023-08-15 | The Trustees Of The University Of Pennsylvania | Gene therapy for mucopolysaccharidosis IIIB |
| US11555206B2 (en) | 2017-11-30 | 2023-01-17 | The Trustees Of The University Of Pennsylvania | Gene therapy for mucopolysaccharidosis IIIA |
| WO2019110067A1 (en) * | 2017-12-07 | 2019-06-13 | Aarhus Universitet | Hybrid nanoparticle |
| WO2019126593A1 (en) | 2017-12-20 | 2019-06-27 | Translate Bio, Inc. | Improved composition and methods for treatment of ornithine transcarbamylase deficiency |
| WO2019152802A1 (en) | 2018-02-02 | 2019-08-08 | Translate Bio, Inc. | Cationic polymers |
| WO2019222277A1 (en) | 2018-05-15 | 2019-11-21 | Translate Bio, Inc. | Subcutaneous delivery of messenger rna |
| WO2019222424A1 (en) | 2018-05-16 | 2019-11-21 | Translate Bio, Inc. | Ribose cationic lipids |
| WO2019226925A1 (en) | 2018-05-24 | 2019-11-28 | Translate Bio, Inc. | Thioester cationic lipids |
| US12370262B2 (en) | 2018-05-30 | 2025-07-29 | Translate Bio, Inc. | Messenger RNA vaccines and uses thereof |
| EP4442831A2 (en) | 2018-05-30 | 2024-10-09 | Translate Bio, Inc. | Cationic lipids comprising a steroidal moiety |
| WO2019232097A1 (en) | 2018-05-30 | 2019-12-05 | Translate Bio, Inc. | Phosphoester cationic lipids |
| WO2019232103A1 (en) | 2018-05-30 | 2019-12-05 | Translate Bio, Inc. | Messenger rna vaccines and uses thereof |
| WO2019232095A1 (en) | 2018-05-30 | 2019-12-05 | Translate Bio, Inc. | Vitamin cationic lipids |
| WO2019232208A1 (en) | 2018-05-30 | 2019-12-05 | Translate Bio, Inc. | Cationic lipids comprising a steroidal moiety |
| WO2020023533A1 (en) | 2018-07-23 | 2020-01-30 | Translate Bio, Inc. | Dry power formulations for messenger rna |
| WO2020033791A1 (en) | 2018-08-09 | 2020-02-13 | Verseau Therapeutics, Inc. | Oligonucleotide compositions for targeting ccr2 and csf1r and uses thereof |
| WO2020041793A1 (en) | 2018-08-24 | 2020-02-27 | Translate Bio, Inc. | Methods for purification of messenger rna |
| US11174500B2 (en) | 2018-08-24 | 2021-11-16 | Translate Bio, Inc. | Methods for purification of messenger RNA |
| US12084702B2 (en) | 2018-08-24 | 2024-09-10 | Translate Bio, Inc. | Methods for purification of messenger RNA |
| WO2020047061A1 (en) | 2018-08-29 | 2020-03-05 | Translate Bio, Inc. | Improved process of preparing mrna-loaded lipid nanoparticles |
| WO2020056294A1 (en) | 2018-09-14 | 2020-03-19 | Translate Bio, Inc. | Composition and methods for treatment of methylmalonic acidemia |
| US12263248B2 (en) | 2018-09-19 | 2025-04-01 | Modernatx, Inc. | Compounds and compositions for intracellular delivery of therapeutic agents |
| US12090235B2 (en) | 2018-09-20 | 2024-09-17 | Modernatx, Inc. | Preparation of lipid nanoparticles and methods of administration thereof |
| WO2020081933A1 (en) | 2018-10-19 | 2020-04-23 | Translate Bio, Inc. | Pumpless encapsulation of messenger rna |
| WO2020097509A1 (en) | 2018-11-08 | 2020-05-14 | Translate Bio, Inc. | Methods and compositions for messenger rna purification |
| WO2020097376A1 (en) | 2018-11-09 | 2020-05-14 | Translate Bio, Inc. | Multi-peg lipid compounds |
| WO2020097379A2 (en) | 2018-11-09 | 2020-05-14 | Translate Bio, Inc. | Peg lipidoid compounds |
| WO2020097384A1 (en) | 2018-11-09 | 2020-05-14 | Translate Bio, Inc. | 2,5-dioxopiperazine lipids with intercalated ester, thioester, disulfide and anhydride moieities |
| WO2020097511A2 (en) | 2018-11-09 | 2020-05-14 | Translate Bio, Inc. | Messenger rna therapy for treatment of ocular diseases |
| WO2020102172A2 (en) | 2018-11-12 | 2020-05-22 | Translate Bio, Inc. | Methods for inducing immune tolerance |
| WO2020106946A1 (en) | 2018-11-21 | 2020-05-28 | Translate Bio, Inc. | TREATMENT OF CYSTIC FIBROSIS BY DELIVERY OF NEBULIZED mRNA ENCODING CFTR |
| US12195505B2 (en) | 2018-11-21 | 2025-01-14 | Translate Bio, Inc. | Treatment of cystic fibrosis by delivery of nebulized mRNA encoding CFTR |
| WO2020106903A1 (en) | 2018-11-21 | 2020-05-28 | Translate Bio, Inc. | Cationic lipid compounds and compositions thereof for use in the delivery of messenger rna |
| WO2020128031A2 (en) | 2018-12-21 | 2020-06-25 | Curevac Ag | Rna for malaria vaccines |
| WO2020146344A1 (en) | 2019-01-07 | 2020-07-16 | Translate Bio, Inc. | Composition and methods for treatment of primary ciliary dyskinesia |
| EP4491229A2 (en) | 2019-02-08 | 2025-01-15 | CureVac SE | Coding rna administered into the suprachoroidal space in the treatment of ophtalmic diseases |
| WO2020161342A1 (en) | 2019-02-08 | 2020-08-13 | Curevac Ag | Coding rna administered into the suprachoroidal space in the treatment of ophtalmic diseases |
| WO2020214946A1 (en) | 2019-04-18 | 2020-10-22 | Translate Bio, Inc. | Cystine cationic lipids |
| WO2020219427A1 (en) | 2019-04-22 | 2020-10-29 | Translate Bio, Inc. | Thioester cationic lipids |
| WO2020227085A1 (en) | 2019-05-03 | 2020-11-12 | Translate Bio, Inc. | Di-thioester cationic lipids |
| WO2020232276A1 (en) | 2019-05-14 | 2020-11-19 | Translate Bio, Inc. | Improved process of preparing mrna-loaded lipid nanoparticles |
| WO2020237227A1 (en) | 2019-05-22 | 2020-11-26 | Massachusetts Institute Of Technology | Circular rna compositions and methods |
| WO2020243540A1 (en) | 2019-05-31 | 2020-12-03 | Translate Bio, Inc. | Macrocyclic lipids |
| WO2020254535A1 (en) | 2019-06-18 | 2020-12-24 | Curevac Ag | Rotavirus mrna vaccine |
| WO2020257611A1 (en) | 2019-06-21 | 2020-12-24 | Translate Bio, Inc. | Cationic lipids comprising an hydroxy moiety |
| WO2020257716A1 (en) | 2019-06-21 | 2020-12-24 | Translate Bio, Inc. | Tricine and citric acid lipids |
| EP4467653A2 (en) | 2019-07-08 | 2024-11-27 | Translate Bio, Inc. | Improved mrna-loaded lipid nanoparticles and processes of making the same |
| WO2021007278A1 (en) | 2019-07-08 | 2021-01-14 | Translate Bio, Inc. | Improved mrna-loaded lipid nanoparticles and processes of making the same |
| WO2021016430A1 (en) | 2019-07-23 | 2021-01-28 | Translate Bio, Inc. | Stable compositions of mrna-loaded lipid nanoparticles and processes of making |
| WO2021021988A1 (en) | 2019-07-30 | 2021-02-04 | Translate Bio, Inc. | Treatment of cystic fibrosis by delivery of nebulized mrna encoding cftr |
| WO2021028439A1 (en) | 2019-08-14 | 2021-02-18 | Curevac Ag | Rna combinations and compositions with decreased immunostimulatory properties |
| US12312293B2 (en) | 2019-09-19 | 2025-05-27 | Modernatx, Inc. | Branched tail lipid compounds and compositions for intracellular delivery of therapeutic agents |
| US11597698B2 (en) | 2019-09-19 | 2023-03-07 | Modernatx, Inc. | Branched tail lipid compounds and compositions for intracellular delivery of therapeutic agents |
| US11066355B2 (en) | 2019-09-19 | 2021-07-20 | Modernatx, Inc. | Branched tail lipid compounds and compositions for intracellular delivery of therapeutic agents |
| WO2021055609A1 (en) | 2019-09-20 | 2021-03-25 | Translate Bio, Inc. | Mrna encoding engineered cftr |
| WO2021072172A1 (en) | 2019-10-09 | 2021-04-15 | Translate Bio, Inc. | Compositions, methods and uses of messenger rna |
| EP4529928A2 (en) | 2019-10-09 | 2025-04-02 | Translate Bio, Inc. | Compositions, methods and uses of messenger rna |
| EP4045020A4 (en) * | 2019-10-18 | 2024-02-21 | The Trustees of the University of Pennsylvania | Lipid and lipid nanoparticle formulation for drug delivery |
| CN114828837A (en) * | 2019-10-18 | 2022-07-29 | 宾夕法尼亚大学理事会 | Lipid nanoparticles for CAR mRNA delivery and formulations thereof |
| CN114828836A (en) * | 2019-10-18 | 2022-07-29 | 宾夕法尼亚大学理事会 | Lipid and lipid nanoparticle formulations for drug delivery |
| WO2021081058A1 (en) | 2019-10-21 | 2021-04-29 | Translate Bio, Inc. | Compositions, methods and uses of messenger rna |
| WO2021113777A2 (en) | 2019-12-04 | 2021-06-10 | Orna Therapeutics, Inc. | Circular rna compositions and methods |
| EP4289951A2 (en) | 2019-12-04 | 2023-12-13 | Orna Therapeutics, Inc. | Circular rna compositions and methods |
| WO2021127641A1 (en) | 2019-12-20 | 2021-06-24 | Translate Bio, Inc. | Improved process of preparing mrna-loaded lipid nanoparticles |
| WO2021127394A2 (en) | 2019-12-20 | 2021-06-24 | Translate Bio, Inc. | Rectal delivery of messenger rna |
| WO2021142245A1 (en) | 2020-01-10 | 2021-07-15 | Translate Bio, Inc. | Compounds, pharmaceutical compositions and methods for modulating expression of muc5b in lung cells and tissues |
| WO2021145595A1 (en) * | 2020-01-15 | 2021-07-22 | (주)인핸스드바이오 | Lipid nanoparticles for in-vivo drug delivery, and uses thereof |
| KR102198736B1 (en) * | 2020-01-15 | 2021-01-05 | 이화여자대학교 산학협력단 | Lipid nanoparticles for in vivo drug delivery and uses thereof |
| US11464870B2 (en) | 2020-01-15 | 2022-10-11 | EnhancedBio Inc. | Lipid nanoparticles for in-vivo drug delivery, and uses thereof |
| DE112021000012C9 (en) | 2020-02-04 | 2025-02-06 | CureVac SE | coronavirus vaccine |
| DE202021004123U1 (en) | 2020-02-04 | 2022-10-26 | Curevac Ag | Coronavirus Vaccine |
| DE202021003575U1 (en) | 2020-02-04 | 2022-01-17 | Curevac Ag | Coronavirus Vaccine |
| DE112021000012T5 (en) | 2020-02-04 | 2021-11-18 | Curevac Ag | Coronavirus vaccine |
| DE112021000012B4 (en) | 2020-02-04 | 2023-08-31 | CureVac SE | Coronavirus Vaccine |
| DE202021004130U1 (en) | 2020-02-04 | 2022-10-26 | Curevac Ag | Coronavirus Vaccine |
| WO2021156267A1 (en) | 2020-02-04 | 2021-08-12 | Curevac Ag | Coronavirus vaccine |
| DE112021000012C5 (en) | 2020-02-04 | 2024-11-14 | CureVac SE | coronavirus vaccine |
| EP4147717A1 (en) | 2020-02-04 | 2023-03-15 | CureVac SE | Coronavirus vaccine |
| WO2021173840A1 (en) | 2020-02-25 | 2021-09-02 | Translate Bio, Inc. | Improved processes of preparing mrna-loaded lipid nanoparticles |
| WO2021226463A1 (en) | 2020-05-07 | 2021-11-11 | Translate Bio, Inc. | Composition and methods for treatment of primary ciliary dyskinesia |
| WO2021226436A1 (en) | 2020-05-07 | 2021-11-11 | Translate Bio, Inc. | Optimized nucleotide sequences encoding sars-cov-2 antigens |
| WO2021226468A1 (en) | 2020-05-07 | 2021-11-11 | Translate Bio, Inc. | Improved compositions for cftr mrna therapy |
| WO2021231579A1 (en) | 2020-05-12 | 2021-11-18 | The Trustees Of The University Of Pennsylvania | Compositions for drg-specific reduction of transgene expression |
| WO2021231697A1 (en) | 2020-05-14 | 2021-11-18 | Translate Bio, Inc. | Peg lipidoid compounds |
| WO2021231901A1 (en) | 2020-05-15 | 2021-11-18 | Translate Bio, Inc. | Lipid nanoparticle formulations for mrna delivery |
| WO2021236855A1 (en) | 2020-05-19 | 2021-11-25 | Orna Therapeutics, Inc. | Circular rna compositions and methods |
| WO2021236980A1 (en) | 2020-05-20 | 2021-11-25 | Flagship Pioneering Innovations Vi, Llc | Coronavirus antigen compositions and their uses |
| WO2021236930A1 (en) | 2020-05-20 | 2021-11-25 | Flagship Pioneering Innovations Vi, Llc | Immunogenic compositions and uses thereof |
| WO2021243290A1 (en) | 2020-05-29 | 2021-12-02 | Flagship Pioneering Innovations Vi, Llc | Trem compositions and methods relating thereto |
| WO2021243301A2 (en) | 2020-05-29 | 2021-12-02 | Flagship Pioneering Innovations Vi, Llc. | Trem compositions and methods relating thereto |
| WO2021239880A1 (en) | 2020-05-29 | 2021-12-02 | Curevac Ag | Nucleic acid based combination vaccines |
| WO2021257668A1 (en) | 2020-06-17 | 2021-12-23 | The Trustees Of The University Of Pennsylvania | Compositions and methods for treatment of gene therapy patients |
| WO2022006527A1 (en) | 2020-07-02 | 2022-01-06 | Maritime Therapeutics, Inc. | Compositions and methods for reverse gene therapy |
| WO2022015715A1 (en) | 2020-07-13 | 2022-01-20 | The Trustees Of The University Of Pennsylvania | Compositions useful for treatment of charcot-marie-tooth disease |
| WO2022023559A1 (en) | 2020-07-31 | 2022-02-03 | Curevac Ag | Nucleic acid encoded antibody mixtures |
| US11406703B2 (en) | 2020-08-25 | 2022-08-09 | Modernatx, Inc. | Human cytomegalovirus vaccine |
| WO2022043551A2 (en) | 2020-08-31 | 2022-03-03 | Curevac Ag | Multivalent nucleic acid based coronavirus vaccines |
| WO2022051629A1 (en) | 2020-09-03 | 2022-03-10 | Flagship Pioneering Innovations Vi, Llc | Immunogenic compositions and uses thereof |
| WO2022076562A1 (en) | 2020-10-06 | 2022-04-14 | Translate Bio, Inc. | Improved process and formulation of lipid nanoparticles |
| WO2022076582A1 (en) | 2020-10-07 | 2022-04-14 | Regenxbio Inc. | Gene therapy for ocular manifestations of cln2 disease |
| WO2022076803A1 (en) | 2020-10-09 | 2022-04-14 | The Trustees Of The University Of Pennsylvania | Compositions and methods for treatment of fabry disease |
| WO2022081544A1 (en) | 2020-10-12 | 2022-04-21 | Translate Bio, Inc. | Improved process of preparing mrna-loaded lipid nanoparticles |
| WO2022081548A1 (en) | 2020-10-12 | 2022-04-21 | Translate Bio, Inc. | Improved process of preparing ice-based lipid nanoparticles |
| US12576030B2 (en) | 2020-11-09 | 2026-03-17 | Translate Bio, Inc. | Compositions for delivery of codon-optimized mRNA |
| WO2022099194A1 (en) | 2020-11-09 | 2022-05-12 | Translate Bio, Inc. | Improved compositions for delivery of codon-optimized mrna |
| WO2022115547A1 (en) | 2020-11-25 | 2022-06-02 | Translate Bio, Inc. | Stable liquid lipid nanoparticle formulations |
| WO2022119890A1 (en) | 2020-12-01 | 2022-06-09 | The Trustees Of The University Of Pennsylvania | Compositions and uses thereof for treatment of angelman syndrome |
| WO2022119871A2 (en) | 2020-12-01 | 2022-06-09 | The Trustees Of The University Of Pennsylvania | Novel compositions with tissue-specific targeting motifs and compositions containing same |
| WO2022137133A1 (en) | 2020-12-22 | 2022-06-30 | Curevac Ag | Rna vaccine against sars-cov-2 variants |
| WO2022135993A2 (en) | 2020-12-22 | 2022-06-30 | Curevac Ag | Pharmaceutical composition comprising lipid-based carriers encapsulating rna for multidose administration |
| WO2022140518A1 (en) * | 2020-12-23 | 2022-06-30 | Ecolab Usa Inc. | Non-cationic softeners and methods of use |
| WO2022140702A1 (en) | 2020-12-23 | 2022-06-30 | Flagship Pioneering, Inc. | Compositions of modified trems and uses thereof |
| WO2022139526A1 (en) * | 2020-12-24 | 2022-06-30 | (주)인핸스드바이오 | Composition for preventing or treating cancer, containing lipid nanoparticles |
| WO2022155404A1 (en) | 2021-01-14 | 2022-07-21 | Translate Bio, Inc. | Methods and compositions for delivering mrna coded antibodies |
| WO2022162027A2 (en) | 2021-01-27 | 2022-08-04 | Curevac Ag | Method of reducing the immunostimulatory properties of in vitro transcribed rna |
| WO2022165313A1 (en) | 2021-02-01 | 2022-08-04 | Regenxbio Inc. | Gene therapy for neuronal ceroid lipofuscinoses |
| WO2022180213A1 (en) | 2021-02-26 | 2022-09-01 | Ethris Gmbh | Formulations for aerosol formation and aerosols for the delivery of nucleic acid |
| WO2022204549A1 (en) | 2021-03-25 | 2022-09-29 | Translate Bio, Inc. | Optimized nucleotide sequences encoding the extracellular domain of human ace2 protein or a portion thereof |
| WO2022200575A1 (en) | 2021-03-26 | 2022-09-29 | Glaxosmithkline Biologicals Sa | Immunogenic compositions |
| WO2022200574A1 (en) | 2021-03-26 | 2022-09-29 | Glaxosmithkline Biologicals Sa | Immunogenic compositions |
| WO2022212784A1 (en) | 2021-03-31 | 2022-10-06 | Flagship Pioneering Innovations V, Inc. | Thanotransmission polypeptides and their use in treating cancer |
| WO2022207862A2 (en) | 2021-03-31 | 2022-10-06 | Curevac Ag | Syringes containing pharmaceutical compositions comprising rna |
| WO2022221276A1 (en) | 2021-04-12 | 2022-10-20 | The Trustees Of The University Of Pennsylvania | Compositions useful for treating spinal and bulbar muscular atrophy (sbma) |
| WO2022225918A1 (en) | 2021-04-19 | 2022-10-27 | Translate Bio, Inc. | Improved compositions for delivery of mrna |
| WO2022226263A1 (en) | 2021-04-23 | 2022-10-27 | The Trustees Of The University Of Pennsylvania | Novel compositions with brain-specific targeting motifs and compositions containing same |
| WO2022233880A1 (en) | 2021-05-03 | 2022-11-10 | Curevac Ag | Improved nucleic acid sequence for cell type specific expression |
| US11964052B2 (en) | 2021-05-24 | 2024-04-23 | Suzhou Abogen Biosciences Co., Ltd. | Lipid compounds and lipid nanoparticle compositions |
| RU2851148C2 (en) * | 2021-05-28 | 2025-11-19 | Пекин Трисиженбио Терапьютикс Инк. | Lipid compound and its use for delivering nucleic acid |
| US12508225B2 (en) | 2021-05-28 | 2025-12-30 | Beijing Tricisionbio Therapeutics Inc. | Lipid compound and use thereof in delivery of nucleic acid |
| WO2023278754A1 (en) | 2021-07-01 | 2023-01-05 | Translate Bio, Inc. | Compositions for delivery of mrna |
| WO2023009547A1 (en) | 2021-07-26 | 2023-02-02 | Flagship Pioneering Innovations Vi, Llc | Trem compositions and uses thereof |
| US11959081B2 (en) | 2021-08-03 | 2024-04-16 | Alnylam Pharmaceuticals, Inc. | Transthyretin (TTR) iRNA compositions and methods of use thereof |
| WO2023031855A1 (en) | 2021-09-03 | 2023-03-09 | Glaxosmithkline Biologicals Sa | Substitution of nucleotide bases in self-amplifying messenger ribonucleic acids |
| WO2023031394A1 (en) | 2021-09-03 | 2023-03-09 | CureVac SE | Novel lipid nanoparticles for delivery of nucleic acids |
| WO2023031392A2 (en) | 2021-09-03 | 2023-03-09 | CureVac SE | Novel lipid nanoparticles for delivery of nucleic acids comprising phosphatidylserine |
| WO2023044006A1 (en) | 2021-09-17 | 2023-03-23 | Flagship Pioneering Innovations Vi, Llc | Compositions and methods for producing circular polyribonucleotides |
| EP4464783A2 (en) | 2021-09-17 | 2024-11-20 | Flagship Pioneering Innovations VI, LLC | Compositions and methods for producing circular polyribonucleotides |
| WO2023059806A1 (en) | 2021-10-06 | 2023-04-13 | Massachusetts Institute Of Technology | Lipid nanoparticles for drug delivery to microglia in the brain |
| WO2023069397A1 (en) | 2021-10-18 | 2023-04-27 | Flagship Pioneering Innovations Vi, Llc | Compositions and methods for purifying polyribonucleotides |
| WO2023073228A1 (en) | 2021-10-29 | 2023-05-04 | CureVac SE | Improved circular rna for expressing therapeutic proteins |
| WO2023081526A1 (en) | 2021-11-08 | 2023-05-11 | Orna Therapeutics, Inc. | Lipid nanoparticle compositions for delivering circular polynucleotides |
| WO2023086893A1 (en) | 2021-11-10 | 2023-05-19 | Translate Bio, Inc. | Composition and methods for treatment of primary ciliary dyskinesia |
| WO2023087019A2 (en) | 2021-11-15 | 2023-05-19 | The Trustees Of The University Of Pennsylvania | Compositions for drg-specific reduction of transgene expression |
| WO2023097003A2 (en) | 2021-11-24 | 2023-06-01 | Flagship Pioneering Innovations Vi, Llc | Immunogenic compositions and their uses |
| WO2023096963A1 (en) | 2021-11-24 | 2023-06-01 | Flagship Pioneering Innovations Vi, Llc | Varicella-zoster virus immunogen compositions and their uses |
| WO2023096990A1 (en) | 2021-11-24 | 2023-06-01 | Flagship Pioneering Innovation Vi, Llc | Coronavirus immunogen compositions and their uses |
| WO2023102517A1 (en) | 2021-12-02 | 2023-06-08 | The Trustees Of The University Of Pennsylvania | Compositions and methods for treatment of fabry disease |
| WO2023115013A1 (en) | 2021-12-17 | 2023-06-22 | Flagship Pioneering Innovations Vi, Llc | Methods for enrichment of circular rna under denaturing conditions |
| WO2023122745A1 (en) | 2021-12-22 | 2023-06-29 | Flagship Pioneering Innovations Vi, Llc | Compositions and methods for purifying polyribonucleotides |
| WO2023122789A1 (en) | 2021-12-23 | 2023-06-29 | Flagship Pioneering Innovations Vi, Llc | Circular polyribonucleotides encoding antifusogenic polypeptides |
| WO2023133574A1 (en) | 2022-01-10 | 2023-07-13 | The Trustees Of The University Of Pennsylvania | Compositions and methods useful for treatment of c9orf72-mediated disorders |
| WO2023147090A1 (en) | 2022-01-27 | 2023-08-03 | BioNTech SE | Pharmaceutical compositions for delivery of herpes simplex virus antigens and related methods |
| WO2023144330A1 (en) | 2022-01-28 | 2023-08-03 | CureVac SE | Nucleic acid encoded transcription factor inhibitors |
| WO2023183616A1 (en) | 2022-03-25 | 2023-09-28 | Senda Biosciences, Inc. | Novel ionizable lipids and lipid nanoparticles and methods of using the same |
| WO2023196634A2 (en) | 2022-04-08 | 2023-10-12 | Flagship Pioneering Innovations Vii, Llc | Vaccines and related methods |
| WO2023214405A1 (en) | 2022-05-01 | 2023-11-09 | Yeda Research And Development Co. Ltd. | Reexpression of hnf4a to alleviate cancer-associated cachexia |
| WO2023220083A1 (en) | 2022-05-09 | 2023-11-16 | Flagship Pioneering Innovations Vi, Llc | Trem compositions and methods of use for treating proliferative disorders |
| WO2023220729A2 (en) | 2022-05-13 | 2023-11-16 | Flagship Pioneering Innovations Vii, Llc | Double stranded dna compositions and related methods |
| WO2023227608A1 (en) | 2022-05-25 | 2023-11-30 | Glaxosmithkline Biologicals Sa | Nucleic acid based vaccine encoding an escherichia coli fimh antigenic polypeptide |
| WO2023242817A2 (en) | 2022-06-18 | 2023-12-21 | Glaxosmithkline Biologicals Sa | Recombinant rna molecules comprising untranslated regions or segments encoding spike protein from the omicron strain of severe acute respiratory coronavirus-2 |
| WO2023250112A1 (en) | 2022-06-22 | 2023-12-28 | Flagship Pioneering Innovations Vi, Llc | Compositions of modified trems and uses thereof |
| US12297285B2 (en) | 2022-06-24 | 2025-05-13 | Orna Therapeutics, Inc. | Circular RNA encoding chimeric antigen receptors targeting BCMA |
| US12098399B2 (en) | 2022-06-24 | 2024-09-24 | Tune Therapeutics, Inc. | Compositions, systems, and methods for epigenetic regulation of proprotein convertase subtilisin/kexin type 9 (PCSK9) gene expression |
| WO2024030856A2 (en) | 2022-08-01 | 2024-02-08 | Flagship Pioneering Innovations Vii, Llc | Immunomodulatory proteins and related methods |
| WO2024035952A1 (en) | 2022-08-12 | 2024-02-15 | Remix Therapeutics Inc. | Methods and compositions for modulating splicing at alternative splice sites |
| WO2024042236A1 (en) | 2022-08-26 | 2024-02-29 | Ethris Gmbh | Stable lipid or lipidoid nanoparticle suspensions |
| EP4327829A1 (en) | 2022-08-26 | 2024-02-28 | Ethris GmbH | Stabilization of lipid or lipidoid nanoparticle suspensions |
| WO2024049979A2 (en) | 2022-08-31 | 2024-03-07 | Senda Biosciences, Inc. | Novel ionizable lipids and lipid nanoparticles and methods of using the same |
| WO2024063789A1 (en) | 2022-09-23 | 2024-03-28 | BioNTech SE | Compositions for delivery of malaria antigens and related methods |
| WO2024064931A1 (en) | 2022-09-23 | 2024-03-28 | BioNTech SE | Compositions for delivery of liver stage antigens and related methods |
| WO2024063788A1 (en) | 2022-09-23 | 2024-03-28 | BioNTech SE | Compositions for delivery of malaria antigens and related methods |
| WO2024064934A1 (en) | 2022-09-23 | 2024-03-28 | BioNTech SE | Compositions for delivery of plasmodium csp antigens and related methods |
| WO2024068545A1 (en) | 2022-09-26 | 2024-04-04 | Glaxosmithkline Biologicals Sa | Influenza virus vaccines |
| WO2024077191A1 (en) | 2022-10-05 | 2024-04-11 | Flagship Pioneering Innovations V, Inc. | Nucleic acid molecules encoding trif and additionalpolypeptides and their use in treating cancer |
| DE202023106198U1 (en) | 2022-10-28 | 2024-03-21 | CureVac SE | Nucleic acid-based vaccine |
| WO2024097664A1 (en) | 2022-10-31 | 2024-05-10 | Flagship Pioneering Innovations Vi, Llc | Compositions and methods for purifying polyribonucleotides |
| WO2024102730A1 (en) | 2022-11-08 | 2024-05-16 | Orna Therapeutics, Inc. | Lipids and nanoparticle compositions for delivering polynucleotides |
| WO2024102762A1 (en) | 2022-11-08 | 2024-05-16 | Orna Therapeutics, Inc. | Lipids and lipid nanoparticle compositions for delivering polynucleotides |
| WO2024102799A1 (en) | 2022-11-08 | 2024-05-16 | Flagship Pioneering Innovations Vi, Llc | Compositions and methods for producing circular polyribonucleotides |
| WO2024102677A1 (en) | 2022-11-08 | 2024-05-16 | Orna Therapeutics, Inc. | Circular rna compositions |
| WO2024112652A1 (en) | 2022-11-21 | 2024-05-30 | Translate Bio, Inc. | Compositions of dry powder formulations of messenger rna and methods of use thereof |
| WO2024129988A1 (en) | 2022-12-14 | 2024-06-20 | Flagship Pioneering Innovations Vii, Llc | Compositions and methods for delivery of therapeutic agents to bone |
| WO2024129982A2 (en) | 2022-12-15 | 2024-06-20 | Orna Therapeutics, Inc. | Circular rna compositions and methods |
| WO2024126809A1 (en) | 2022-12-15 | 2024-06-20 | Sanofi | Mrna encoding influenza virus-like particle |
| WO2024130067A2 (en) | 2022-12-17 | 2024-06-20 | The Trustees Of The University Of Pennsylvania | Recombinant aav mutant vectors with cardiac and skeletal muscle-specific targeting motifs and compositions containing same |
| WO2024130070A2 (en) | 2022-12-17 | 2024-06-20 | The Trustees Of The University Of Pennsylvania | Recombinant aav capsids with cardiac- and skeletal muscle- specific targeting motifs and uses thereof |
| WO2024133160A1 (en) | 2022-12-19 | 2024-06-27 | Glaxosmithkline Biologicals Sa | Hepatitis b compositions |
| WO2024133515A1 (en) | 2022-12-20 | 2024-06-27 | Sanofi | Rhinovirus mrna vaccine |
| WO2024151583A2 (en) | 2023-01-09 | 2024-07-18 | Flagship Pioneering Innovations Vii, Llc | Vaccines and related methods |
| WO2024151687A1 (en) | 2023-01-09 | 2024-07-18 | Flagship Pioneering Innovations V, Inc. | Genetic switches and their use in treating cancer |
| WO2024151685A1 (en) | 2023-01-09 | 2024-07-18 | Beth Israel Deaconess Medical Center, Inc. | Recombinant nucleic acid molecules and their use in wound healing |
| WO2024151673A2 (en) | 2023-01-09 | 2024-07-18 | President And Fellows Of Harvard College | Recombinant nucleic acid molecules and their use in wound healing |
| WO2024157221A1 (en) | 2023-01-27 | 2024-08-02 | BioNTech SE | Pharmaceutical compositions for delivery of herpes simplex virus glycoprotein c, glycoprotein d, and glycoprotein e antigens and related methods |
| WO2024160936A1 (en) | 2023-02-03 | 2024-08-08 | Glaxosmithkline Biologicals Sa | Rna formulation |
| WO2024167885A1 (en) | 2023-02-06 | 2024-08-15 | Flagship Pioneering Innovations Vii, Llc | Immunomodulatory compositions and related methods |
| WO2024173307A2 (en) | 2023-02-13 | 2024-08-22 | Flagship Pioneering Innovation Vii, Llc | Cleavable linker-containing ionizable lipids and lipid carriers for therapeutic compositions |
| WO2024171052A1 (en) | 2023-02-14 | 2024-08-22 | Glaxosmithkline Biologicals Sa | Analytical method |
| WO2024173828A1 (en) | 2023-02-17 | 2024-08-22 | Flagship Pioneering Innovations Vii, Llc | Dna compositions comprising modified uracil |
| WO2024173836A2 (en) | 2023-02-17 | 2024-08-22 | Flagship Pioneering Innovations Vii, Llc | Dna compositions comprising modified cytosine |
| WO2024184500A1 (en) | 2023-03-08 | 2024-09-12 | CureVac SE | Novel lipid nanoparticle formulations for delivery of nucleic acids |
| WO2024192422A1 (en) | 2023-03-15 | 2024-09-19 | Flagship Pioneering Innovations Vi, Llc | Immunogenic compositions and uses thereof |
| WO2024192420A1 (en) | 2023-03-15 | 2024-09-19 | Flagship Pioneering Innovations Vi, Llc | Compositions comprising polyribonucleotides and uses thereof |
| WO2024205657A2 (en) | 2023-03-29 | 2024-10-03 | Orna Therapeutics, Inc. | Lipids and lipid nanoparticle compositions for delivering polynucleotides |
| WO2024216128A1 (en) | 2023-04-12 | 2024-10-17 | Flagship Pioneering Innovations Vi, Llc | Trems for use in correction of missense mutations |
| WO2024216191A1 (en) | 2023-04-12 | 2024-10-17 | Flagship Pioneering Innovations Vi, Llc | Modified trems, compositions, and related methods thereof |
| WO2024218166A1 (en) | 2023-04-17 | 2024-10-24 | Sanofi | Reconstitutable dry powder formulations and methods of use thereof |
| WO2024220746A2 (en) | 2023-04-21 | 2024-10-24 | Flagship Pioneering Innovations Vii, Llc | Rnai agents targeting fatty acid synthase and related methods |
| WO2024223724A1 (en) | 2023-04-27 | 2024-10-31 | Glaxosmithkline Biologicals Sa | Influenza virus vaccines |
| WO2024223728A1 (en) | 2023-04-27 | 2024-10-31 | Glaxosmithkline Biologicals Sa | Influenza virus vaccines |
| WO2024228044A1 (en) | 2023-05-03 | 2024-11-07 | BioNTech SE | Optimized csp variants and related methods |
| WO2024228150A1 (en) | 2023-05-03 | 2024-11-07 | BioNTech SE | Optimized csp variants and related methods |
| WO2024233308A2 (en) | 2023-05-05 | 2024-11-14 | Orna Therapeutics, Inc. | Circular rna compositions and methods |
| WO2024230934A1 (en) | 2023-05-11 | 2024-11-14 | CureVac SE | Therapeutic nucleic acid for the treatment of ophthalmic diseases |
| CN116803995B (en) * | 2023-05-16 | 2025-06-06 | 河北大学 | A class of aminoamide lipid compounds and preparation methods and applications thereof |
| CN116803995A (en) * | 2023-05-16 | 2023-09-26 | 河北大学 | Amino amide lipoid compound and preparation method and application thereof |
| WO2024240962A1 (en) | 2023-05-25 | 2024-11-28 | Ethris Gmbh | Gm-csf-encoding nucleic acids, pharmaceutical compositions, methods and uses thereof |
| WO2024258961A1 (en) | 2023-06-12 | 2024-12-19 | The Trustees Of The University Of Pennsylvania | Aav gene therapy for mucopolysaccharidosis iiib |
| WO2024258829A1 (en) | 2023-06-12 | 2024-12-19 | Flagship Pioneering Innovations Vii, Llc | Sars-cov-2 vaccine compositions and related methods |
| WO2025006684A1 (en) | 2023-06-28 | 2025-01-02 | Flagship Pioneering Innovations Vi, Llc | Circular polyribonucleotides encoding antifusogenic polypeptides |
| WO2025007046A1 (en) | 2023-06-29 | 2025-01-02 | The Trustees Of The University Of Pennsylvania | Mutant aav with central nervous system targeting motifs and compositions containing same |
| WO2025011529A2 (en) | 2023-07-07 | 2025-01-16 | Shanghai Circode Biomed Co., Ltd. | Circular rna vaccines for seasonal flu and methods of uses |
| WO2025024335A2 (en) | 2023-07-21 | 2025-01-30 | BioNTech SE | Compositions for delivery of plasmodium antigens and related methods |
| WO2025024324A1 (en) | 2023-07-21 | 2025-01-30 | BioNTech SE | Compositions for delivery of plasmodium antigens and related methods |
| WO2025024337A1 (en) | 2023-07-24 | 2025-01-30 | BioNTech SE | Compositions for delivery of plasmodium antigens and related methods |
| WO2025024486A2 (en) | 2023-07-25 | 2025-01-30 | Flagship Pioneering Innovations Vii, Llc | Cas endonucleases and related methods |
| WO2025030154A1 (en) | 2023-08-03 | 2025-02-06 | The Trustees Of The University Of Pennsylvania | Pharmaceutical compositions for delivery of herpes simplex virus glycoprotein b antigens and related methods |
| WO2025030097A2 (en) | 2023-08-03 | 2025-02-06 | BioNTech SE | Pharmaceutical compositions for delivery of herpes simplex virus antigens and related methods |
| WO2025035143A1 (en) | 2023-08-10 | 2025-02-13 | The Trustees Of The University Of Pennsylvania | Compositions and methods for treatment of spinal muscular atrophy |
| WO2025042786A1 (en) | 2023-08-18 | 2025-02-27 | Flagship Pioneering Innovations Vi, Llc | Compositions comprising circular polyribonucleotides and uses thereof |
| WO2025045767A1 (en) | 2023-08-25 | 2025-03-06 | Ethris Gmbh | Stabilized lipid and lipidoid nanoparticle formulations with specific surfactant properties for enhanced pharmaceutical applications |
| WO2025045142A1 (en) | 2023-08-29 | 2025-03-06 | Shanghai Circode Biomed Co., Ltd. | Circular rna encoding vegf polypeptides, formulations, and methods of uses |
| WO2025054236A2 (en) | 2023-09-06 | 2025-03-13 | Flagship Pioneering Innovations Vii, Llc | Sars-cov-2 vaccine compositions and related methods |
| WO2025054556A1 (en) | 2023-09-07 | 2025-03-13 | BioNTech SE | Rna compositions for delivery of mpox antigens and related methods |
| WO2025056938A1 (en) | 2023-09-11 | 2025-03-20 | BioNTech SE | Rna compositions for delivery of incretin agents |
| WO2025059107A1 (en) * | 2023-09-11 | 2025-03-20 | The Trustees Of The University Of Pennsylvania | Degradable, branched lipid compounds, methods of preparation thereof, lipid nanoparticles (lnps) comprising the same, and methods of use thereof |
| WO2025057088A1 (en) | 2023-09-11 | 2025-03-20 | BioNTech SE | Rna compositions for delivery of incretin agents |
| WO2025059215A1 (en) | 2023-09-12 | 2025-03-20 | Aadigen, Llc | Methods and compositions for treating or preventing cancer |
| WO2025064475A2 (en) | 2023-09-18 | 2025-03-27 | Flagship Pioneering Innovations Vii, Llc | Ionizable lipidoid compositions and therapeutic uses thereof |
| WO2025072331A1 (en) | 2023-09-26 | 2025-04-03 | Flagship Pioneering Innovations Vii, Llc | Cas nucleases and related methods |
| WO2025088192A1 (en) | 2023-10-27 | 2025-05-01 | Xl-Protein Gmbh | Methods for the coupling of di(alkyl)amines to polypeptides |
| WO2025096807A2 (en) | 2023-10-31 | 2025-05-08 | Flagship Pioneering Innovations Vii, Llc | Novel therapeutic dna forms |
| WO2025101501A1 (en) | 2023-11-07 | 2025-05-15 | Orna Therapeutics, Inc. | Circular rna compositions |
| WO2025102034A1 (en) | 2023-11-10 | 2025-05-15 | The Trustees Of The University Of Pennsylvania | Gene therapy for barth syndrome |
| WO2025106661A1 (en) | 2023-11-14 | 2025-05-22 | The Trustees Of The University Of Pennsylvania | Compositions with cardiac and skeletal musclespecific targeting motifs and uses thereof |
| WO2025106670A1 (en) | 2023-11-14 | 2025-05-22 | Flagship Pioneering Innovations Vii, Llc | Ionizable lipidoid compositions and therapeutic uses thereof |
| WO2025111526A1 (en) | 2023-11-22 | 2025-05-30 | Flagship Pioneering Innovations Vii, Llc | Methods and compositions for treating non-alcoholic fatty liver disease |
| WO2025117877A2 (en) | 2023-12-01 | 2025-06-05 | Flagship Pioneering Innovations Vii, Llc | Cas nucleases and related methods |
| WO2025132839A1 (en) | 2023-12-21 | 2025-06-26 | Glaxosmithkline Biologicals Sa | Influenza virus vaccines |
| WO2025160334A1 (en) | 2024-01-26 | 2025-07-31 | Flagship Pioneering Innovations Vii, Llc | Immunoreceptor inhibitory proteins and related methods |
| WO2025184170A1 (en) | 2024-02-27 | 2025-09-04 | Overt Bio, Inc. | Methods and compositions for improving t cell function in an immunosuppressive environment |
| WO2025184172A1 (en) | 2024-02-27 | 2025-09-04 | Overt Bio, Inc. | Cancer reactive t cell receptors |
| WO2025193628A2 (en) | 2024-03-09 | 2025-09-18 | Aadigen, Llc | Compositions for treating cancer with kras mutations and uses thereof |
| WO2025194019A1 (en) | 2024-03-14 | 2025-09-18 | Flagship Pioneering Innovations Vii, Llc | Methods for treating liver fibrosis and non-alcoholic fatty liver disease |
| WO2025196065A1 (en) | 2024-03-20 | 2025-09-25 | Sanofi | Novel homocysteine based lipids and their use for delivery of nucleic acids |
| WO2025202937A1 (en) | 2024-03-26 | 2025-10-02 | BioNTech SE | Cancer vaccines |
| WO2025202360A1 (en) | 2024-03-29 | 2025-10-02 | Glaxosmithkline Biologicals Sa | Rna formulation |
| GB202404607D0 (en) | 2024-03-29 | 2024-05-15 | Glaxosmithkline Biologicals Sa | RNA formulation |
| WO2025213131A1 (en) | 2024-04-05 | 2025-10-09 | BioNTech SE | Rna compositions for delivery of orthopox antigens and related methods |
| WO2025217275A2 (en) | 2024-04-10 | 2025-10-16 | Flagship Pioneering Innovations Vii, Llc | Immune cell targeted compositions and related methods |
| WO2025229572A1 (en) | 2024-05-01 | 2025-11-06 | Glaxosmithkline Biologicals Sa | Epstein-barr virus antigen-encoding messenger ribonucleic acid and antigen protein vaccines |
| WO2025240680A1 (en) | 2024-05-16 | 2025-11-20 | Flagship Pioneering Innovations Vii, Llc | Immunoreceptor inhibitory proteins and related methods |
| WO2025245188A2 (en) | 2024-05-21 | 2025-11-27 | Flagship Pioneering Innovations Vii, Llc | Methods of treating liver steatosis and non-alcoholic fatty liver disease |
| WO2025245111A1 (en) | 2024-05-22 | 2025-11-27 | Flagship Pioneering Innovations Vii, Llc | Immunoreceptor targeting proteins and related methods |
| WO2025250751A1 (en) | 2024-05-31 | 2025-12-04 | Orna Therapeutics, Inc. | Circular rna compositions and methods |
| WO2025252759A1 (en) | 2024-06-03 | 2025-12-11 | Bio-Sourcing | Transient expression by lipid nanoparticle formulations |
| WO2026006577A1 (en) | 2024-06-26 | 2026-01-02 | Flagship Pioneering Innovations Vii, Llc | Therapeutic circular dna forms |
| WO2026008743A1 (en) | 2024-07-02 | 2026-01-08 | Sanofi Pasteur Inc. | Water-soluble polyanionic polymer as adjuvant for carrier-formulated nucleic acid |
| WO2026015882A1 (en) | 2024-07-12 | 2026-01-15 | BioNTech SE | Hsv antigen fragments and related methods |
| WO2026055547A1 (en) | 2024-09-06 | 2026-03-12 | Flagship Pioneering Innovations Vii, Llc | Dna compositions and related methods |
| WO2026055543A1 (en) | 2024-09-06 | 2026-03-12 | Flagship Pioneering Innovations Vii, Llc | Modified dna compositions and related methods |
Also Published As
Similar Documents
| Publication | Publication Date | Title |
|---|---|---|
| US11414393B2 (en) | Aminoalcohol lipidoids and uses thereof | |
| US9006487B2 (en) | Amine-containing lipids and uses thereof | |
| HK1162458B (en) | Aminoalcohol lipidoids and uses thereof | |
| HK1162458A (en) | Aminoalcohol lipidoids and uses thereof |
Legal Events
| Date | Code | Title | Description |
|---|---|---|---|
| WWE | Wipo information: entry into national phase |
Ref document number: 200980149576.1 Country of ref document: CN |
|
| 121 | Ep: the epo has been informed by wipo that ep was designated in this application |
Ref document number: 09825132 Country of ref document: EP Kind code of ref document: A2 |
|
| WWE | Wipo information: entry into national phase |
Ref document number: 2742954 Country of ref document: CA Ref document number: MX/A/2011/004859 Country of ref document: MX |
|
| WWE | Wipo information: entry into national phase |
Ref document number: 2011535564 Country of ref document: JP |
|
| WWE | Wipo information: entry into national phase |
Ref document number: 3893/DELNP/2011 Country of ref document: IN |
|
| ENP | Entry into the national phase |
Ref document number: 20117012754 Country of ref document: KR Kind code of ref document: A |
|
| REEP | Request for entry into the european phase |
Ref document number: 2009825132 Country of ref document: EP |
|
| WWE | Wipo information: entry into national phase |
Ref document number: 2009825132 Country of ref document: EP |
|
| ENP | Entry into the national phase |
Ref document number: 2009311667 Country of ref document: AU Date of ref document: 20091106 Kind code of ref document: A |
|
| WWE | Wipo information: entry into national phase |
Ref document number: 13128020 Country of ref document: US |
|
| NENP | Non-entry into the national phase |
Ref country code: DE |


















































































































































































































































































































































































































































































