RU2694209C2 - Донорно-акцепторные олигомеры на основе трифениламина с п-фторфенилдициановинильными электроноакцепторными заместителями и способ их получения - Google Patents
Донорно-акцепторные олигомеры на основе трифениламина с п-фторфенилдициановинильными электроноакцепторными заместителями и способ их получения Download PDFInfo
- Publication number
- RU2694209C2 RU2694209C2 RU2017106018A RU2017106018A RU2694209C2 RU 2694209 C2 RU2694209 C2 RU 2694209C2 RU 2017106018 A RU2017106018 A RU 2017106018A RU 2017106018 A RU2017106018 A RU 2017106018A RU 2694209 C2 RU2694209 C2 RU 2694209C2
- Authority
- RU
- Russia
- Prior art keywords
- donor
- acceptor
- compounds
- acceptor oligomers
- reaction
- Prior art date
Links
- -1 p-fluorophenyldicyano-vinyl Chemical group 0.000 title description 22
- ODHXBMXNKOYIBV-UHFFFAOYSA-N triphenylamine Chemical compound C1=CC=CC=C1N(C=1C=CC=CC=1)C1=CC=CC=C1 ODHXBMXNKOYIBV-UHFFFAOYSA-N 0.000 title description 8
- 238000004519 manufacturing process Methods 0.000 title description 2
- 150000001875 compounds Chemical class 0.000 claims abstract description 33
- 238000006243 chemical reaction Methods 0.000 claims abstract description 21
- 150000002576 ketones Chemical class 0.000 claims abstract description 21
- CUONGYYJJVDODC-UHFFFAOYSA-N malononitrile Chemical compound N#CCC#N CUONGYYJJVDODC-UHFFFAOYSA-N 0.000 claims abstract description 16
- 238000000034 method Methods 0.000 claims abstract description 12
- 238000010521 absorption reaction Methods 0.000 claims abstract description 8
- 238000009833 condensation Methods 0.000 claims abstract description 8
- 230000005494 condensation Effects 0.000 claims abstract description 8
- YXFVVABEGXRONW-UHFFFAOYSA-N Toluene Natural products CC1=CC=CC=C1 YXFVVABEGXRONW-UHFFFAOYSA-N 0.000 claims description 25
- JUJWROOIHBZHMG-UHFFFAOYSA-N Pyridine Chemical compound C1=CC=NC=C1 JUJWROOIHBZHMG-UHFFFAOYSA-N 0.000 claims description 20
- 239000002904 solvent Substances 0.000 claims description 13
- WYURNTSHIVDZCO-UHFFFAOYSA-N Tetrahydrofuran Chemical class C1CCOC1 WYURNTSHIVDZCO-UHFFFAOYSA-N 0.000 claims description 12
- RFFLAFLAYFXFSW-UHFFFAOYSA-N 1,2-dichlorobenzene Chemical compound ClC1=CC=CC=C1Cl RFFLAFLAYFXFSW-UHFFFAOYSA-N 0.000 claims description 10
- UMJSCPRVCHMLSP-UHFFFAOYSA-N pyridine Natural products COC1=CC=CN=C1 UMJSCPRVCHMLSP-UHFFFAOYSA-N 0.000 claims description 10
- HEDRZPFGACZZDS-UHFFFAOYSA-N Chloroform Chemical class ClC(Cl)Cl HEDRZPFGACZZDS-UHFFFAOYSA-N 0.000 claims description 8
- MVPPADPHJFYWMZ-UHFFFAOYSA-N chlorobenzene Chemical class ClC1=CC=CC=C1 MVPPADPHJFYWMZ-UHFFFAOYSA-N 0.000 claims description 8
- 238000006482 condensation reaction Methods 0.000 claims description 8
- 239000000203 mixture Substances 0.000 claims description 8
- 239000003054 catalyst Substances 0.000 claims description 5
- 238000010438 heat treatment Methods 0.000 claims description 5
- 238000000862 absorption spectrum Methods 0.000 claims description 4
- 230000005855 radiation Effects 0.000 claims description 4
- 239000010409 thin film Substances 0.000 claims description 4
- YLQBMQCUIZJEEH-UHFFFAOYSA-N tetrahydrofuran Chemical class C=1C=COC=1 YLQBMQCUIZJEEH-UHFFFAOYSA-N 0.000 claims description 3
- SCYULBFZEHDVBN-UHFFFAOYSA-N 1,1-Dichloroethane Chemical class CC(Cl)Cl SCYULBFZEHDVBN-UHFFFAOYSA-N 0.000 claims description 2
- 150000003613 toluenes Chemical class 0.000 claims description 2
- 239000000126 substance Substances 0.000 abstract description 7
- 239000011358 absorbing material Substances 0.000 abstract description 2
- 239000000975 dye Substances 0.000 abstract description 2
- 230000000694 effects Effects 0.000 abstract description 2
- 239000011368 organic material Substances 0.000 abstract description 2
- 238000001228 spectrum Methods 0.000 abstract description 2
- 238000003889 chemical engineering Methods 0.000 abstract 1
- 230000031700 light absorption Effects 0.000 abstract 1
- VLKZOEOYAKHREP-UHFFFAOYSA-N n-Hexane Chemical compound CCCCCC VLKZOEOYAKHREP-UHFFFAOYSA-N 0.000 description 15
- 239000000047 product Substances 0.000 description 13
- 230000015572 biosynthetic process Effects 0.000 description 11
- 238000003786 synthesis reaction Methods 0.000 description 11
- UHOVQNZJYSORNB-UHFFFAOYSA-N Benzene Chemical compound C1=CC=CC=C1 UHOVQNZJYSORNB-UHFFFAOYSA-N 0.000 description 9
- YMWUJEATGCHHMB-UHFFFAOYSA-N Dichloromethane Chemical compound ClCCl YMWUJEATGCHHMB-UHFFFAOYSA-N 0.000 description 9
- RTZKZFJDLAIYFH-UHFFFAOYSA-N Diethyl ether Chemical compound CCOCC RTZKZFJDLAIYFH-UHFFFAOYSA-N 0.000 description 9
- 238000002360 preparation method Methods 0.000 description 9
- XLYOFNOQVPJJNP-UHFFFAOYSA-N water Substances O XLYOFNOQVPJJNP-UHFFFAOYSA-N 0.000 description 9
- MZRVEZGGRBJDDB-UHFFFAOYSA-N N-Butyllithium Chemical compound [Li]CCCC MZRVEZGGRBJDDB-UHFFFAOYSA-N 0.000 description 8
- 239000000243 solution Substances 0.000 description 8
- 125000000217 alkyl group Chemical group 0.000 description 7
- 239000003960 organic solvent Substances 0.000 description 7
- 239000011541 reaction mixture Substances 0.000 description 7
- UOQXIWFBQSVDPP-UHFFFAOYSA-N 4-fluorobenzaldehyde Chemical compound FC1=CC=C(C=O)C=C1 UOQXIWFBQSVDPP-UHFFFAOYSA-N 0.000 description 6
- LYCAIKOWRPUZTN-UHFFFAOYSA-N Ethylene glycol Chemical compound OCCO LYCAIKOWRPUZTN-UHFFFAOYSA-N 0.000 description 6
- 238000000746 purification Methods 0.000 description 6
- 239000012298 atmosphere Substances 0.000 description 5
- 239000012153 distilled water Substances 0.000 description 5
- 239000012634 fragment Substances 0.000 description 5
- 150000001412 amines Chemical class 0.000 description 4
- 238000009835 boiling Methods 0.000 description 4
- 239000003480 eluent Substances 0.000 description 4
- 125000001424 substituent group Chemical group 0.000 description 4
- JOXIMZWYDAKGHI-UHFFFAOYSA-N toluene-4-sulfonic acid Chemical compound CC1=CC=C(S(O)(=O)=O)C=C1 JOXIMZWYDAKGHI-UHFFFAOYSA-N 0.000 description 4
- YTPLMLYBLZKORZ-UHFFFAOYSA-N Divinylene sulfide Natural products C=1C=CSC=1 YTPLMLYBLZKORZ-UHFFFAOYSA-N 0.000 description 3
- PMZURENOXWZQFD-UHFFFAOYSA-L Sodium Sulfate Chemical compound [Na+].[Na+].[O-]S([O-])(=O)=O PMZURENOXWZQFD-UHFFFAOYSA-L 0.000 description 3
- HEMHJVSKTPXQMS-UHFFFAOYSA-M Sodium hydroxide Chemical compound [OH-].[Na+] HEMHJVSKTPXQMS-UHFFFAOYSA-M 0.000 description 3
- ZMANZCXQSJIPKH-UHFFFAOYSA-N Triethylamine Chemical compound CCN(CC)CC ZMANZCXQSJIPKH-UHFFFAOYSA-N 0.000 description 3
- 150000001299 aldehydes Chemical class 0.000 description 3
- 239000010410 layer Substances 0.000 description 3
- 239000012044 organic layer Substances 0.000 description 3
- 238000000425 proton nuclear magnetic resonance spectrum Methods 0.000 description 3
- 229910052938 sodium sulfate Inorganic materials 0.000 description 3
- 235000011152 sodium sulphate Nutrition 0.000 description 3
- 238000002411 thermogravimetry Methods 0.000 description 3
- OHZAHWOAMVVGEL-UHFFFAOYSA-N 2,2'-bithiophene Chemical compound C1=CSC(C=2SC=CC=2)=C1 OHZAHWOAMVVGEL-UHFFFAOYSA-N 0.000 description 2
- CZKLEJHVLCMVQR-UHFFFAOYSA-N 4-fluorobenzoyl chloride Chemical compound FC1=CC=C(C(Cl)=O)C=C1 CZKLEJHVLCMVQR-UHFFFAOYSA-N 0.000 description 2
- 125000001255 4-fluorophenyl group Chemical group [H]C1=C([H])C(*)=C([H])C([H])=C1F 0.000 description 2
- IJGRMHOSHXDMSA-UHFFFAOYSA-N Atomic nitrogen Chemical compound N#N IJGRMHOSHXDMSA-UHFFFAOYSA-N 0.000 description 2
- LFQSCWFLJHTTHZ-UHFFFAOYSA-N Ethanol Chemical compound CCO LFQSCWFLJHTTHZ-UHFFFAOYSA-N 0.000 description 2
- BZLVMXJERCGZMT-UHFFFAOYSA-N Methyl tert-butyl ether Chemical compound COC(C)(C)C BZLVMXJERCGZMT-UHFFFAOYSA-N 0.000 description 2
- NQRYJNQNLNOLGT-UHFFFAOYSA-N Piperidine Chemical compound C1CCNCC1 NQRYJNQNLNOLGT-UHFFFAOYSA-N 0.000 description 2
- VYPSYNLAJGMNEJ-UHFFFAOYSA-N Silicium dioxide Chemical compound O=[Si]=O VYPSYNLAJGMNEJ-UHFFFAOYSA-N 0.000 description 2
- 125000004429 atom Chemical group 0.000 description 2
- 239000003153 chemical reaction reagent Substances 0.000 description 2
- 238000004891 communication Methods 0.000 description 2
- 229940126214 compound 3 Drugs 0.000 description 2
- 125000004435 hydrogen atom Chemical group [H]* 0.000 description 2
- 238000002955 isolation Methods 0.000 description 2
- 239000000463 material Substances 0.000 description 2
- 150000002894 organic compounds Chemical class 0.000 description 2
- 239000012074 organic phase Substances 0.000 description 2
- KDLHZDBZIXYQEI-UHFFFAOYSA-N palladium Substances [Pd] KDLHZDBZIXYQEI-UHFFFAOYSA-N 0.000 description 2
- NFHFRUOZVGFOOS-UHFFFAOYSA-N palladium;triphenylphosphane Chemical compound [Pd].C1=CC=CC=C1P(C=1C=CC=CC=1)C1=CC=CC=C1.C1=CC=CC=C1P(C=1C=CC=CC=1)C1=CC=CC=C1.C1=CC=CC=C1P(C=1C=CC=CC=1)C1=CC=CC=C1.C1=CC=CC=C1P(C=1C=CC=CC=1)C1=CC=CC=C1 NFHFRUOZVGFOOS-UHFFFAOYSA-N 0.000 description 2
- 239000002243 precursor Substances 0.000 description 2
- 239000000741 silica gel Substances 0.000 description 2
- 229910002027 silica gel Inorganic materials 0.000 description 2
- 238000010898 silica gel chromatography Methods 0.000 description 2
- 239000011734 sodium Substances 0.000 description 2
- VZGDMQKNWNREIO-UHFFFAOYSA-N tetrachloromethane Chemical compound ClC(Cl)(Cl)Cl VZGDMQKNWNREIO-UHFFFAOYSA-N 0.000 description 2
- 238000001757 thermogravimetry curve Methods 0.000 description 2
- 229930192474 thiophene Natural products 0.000 description 2
- ZRXVCYGHAUGABY-UHFFFAOYSA-N 4-bromo-n,n-bis(4-bromophenyl)aniline Chemical compound C1=CC(Br)=CC=C1N(C=1C=CC(Br)=CC=1)C1=CC=C(Br)C=C1 ZRXVCYGHAUGABY-UHFFFAOYSA-N 0.000 description 1
- CCIVUDMVXNBUCY-UHFFFAOYSA-N 4-bromo-n-phenylaniline Chemical compound C1=CC(Br)=CC=C1NC1=CC=CC=C1 CCIVUDMVXNBUCY-UHFFFAOYSA-N 0.000 description 1
- 229910018072 Al 2 O 3 Inorganic materials 0.000 description 1
- USFZMSVCRYTOJT-UHFFFAOYSA-N Ammonium acetate Chemical compound N.CC(O)=O USFZMSVCRYTOJT-UHFFFAOYSA-N 0.000 description 1
- 239000005695 Ammonium acetate Substances 0.000 description 1
- VGGSQFUCUMXWEO-UHFFFAOYSA-N Ethene Chemical class C=C VGGSQFUCUMXWEO-UHFFFAOYSA-N 0.000 description 1
- YCKRFDGAMUMZLT-UHFFFAOYSA-N Fluorine atom Chemical compound [F] YCKRFDGAMUMZLT-UHFFFAOYSA-N 0.000 description 1
- 238000006000 Knoevenagel condensation reaction Methods 0.000 description 1
- 239000002841 Lewis acid Substances 0.000 description 1
- AFCARXCZXQIEQB-UHFFFAOYSA-N N-[3-oxo-3-(2,4,6,7-tetrahydrotriazolo[4,5-c]pyridin-5-yl)propyl]-2-[[3-(trifluoromethoxy)phenyl]methylamino]pyrimidine-5-carboxamide Chemical compound O=C(CCNC(=O)C=1C=NC(=NC=1)NCC1=CC(=CC=C1)OC(F)(F)F)N1CC2=C(CC1)NN=N2 AFCARXCZXQIEQB-UHFFFAOYSA-N 0.000 description 1
- CTQNGGLPUBDAKN-UHFFFAOYSA-N O-Xylene Chemical compound CC1=CC=CC=C1C CTQNGGLPUBDAKN-UHFFFAOYSA-N 0.000 description 1
- 239000007983 Tris buffer Substances 0.000 description 1
- 229940043376 ammonium acetate Drugs 0.000 description 1
- 235000019257 ammonium acetate Nutrition 0.000 description 1
- 238000004458 analytical method Methods 0.000 description 1
- 239000007864 aqueous solution Substances 0.000 description 1
- 239000012300 argon atmosphere Substances 0.000 description 1
- 150000001491 aromatic compounds Chemical class 0.000 description 1
- 125000000732 arylene group Chemical group 0.000 description 1
- 239000006227 byproduct Substances 0.000 description 1
- 125000002915 carbonyl group Chemical group [*:2]C([*:1])=O 0.000 description 1
- 230000003197 catalytic effect Effects 0.000 description 1
- 238000011097 chromatography purification Methods 0.000 description 1
- 229940125782 compound 2 Drugs 0.000 description 1
- 239000007859 condensation product Substances 0.000 description 1
- 238000012790 confirmation Methods 0.000 description 1
- 239000012043 crude product Substances 0.000 description 1
- 230000006378 damage Effects 0.000 description 1
- 238000004090 dissolution Methods 0.000 description 1
- 238000004821 distillation Methods 0.000 description 1
- 238000005516 engineering process Methods 0.000 description 1
- 150000002170 ethers Chemical class 0.000 description 1
- 230000007717 exclusion Effects 0.000 description 1
- 239000010408 film Substances 0.000 description 1
- 229910052731 fluorine Inorganic materials 0.000 description 1
- 239000011737 fluorine Substances 0.000 description 1
- 238000007429 general method Methods 0.000 description 1
- 230000006872 improvement Effects 0.000 description 1
- 230000009878 intermolecular interaction Effects 0.000 description 1
- 230000002427 irreversible effect Effects 0.000 description 1
- 150000007517 lewis acids Chemical class 0.000 description 1
- 230000007774 longterm Effects 0.000 description 1
- 230000007246 mechanism Effects 0.000 description 1
- 229910000000 metal hydroxide Inorganic materials 0.000 description 1
- 150000004692 metal hydroxides Chemical class 0.000 description 1
- WSFSSNUMVMOOMR-BJUDXGSMSA-N methanone Chemical compound O=[11CH2] WSFSSNUMVMOOMR-BJUDXGSMSA-N 0.000 description 1
- 125000001570 methylene group Chemical group [H]C([H])([*:1])[*:2] 0.000 description 1
- 238000012986 modification Methods 0.000 description 1
- 230000004048 modification Effects 0.000 description 1
- 230000007935 neutral effect Effects 0.000 description 1
- 229910052757 nitrogen Inorganic materials 0.000 description 1
- 230000003287 optical effect Effects 0.000 description 1
- 230000005693 optoelectronics Effects 0.000 description 1
- 150000004045 organic chlorine compounds Chemical class 0.000 description 1
- 125000002524 organometallic group Chemical group 0.000 description 1
- 238000013021 overheating Methods 0.000 description 1
- 125000001997 phenyl group Chemical group [H]C1=C([H])C([H])=C(*)C([H])=C1[H] 0.000 description 1
- 229920000642 polymer Polymers 0.000 description 1
- 238000001556 precipitation Methods 0.000 description 1
- 238000000039 preparative column chromatography Methods 0.000 description 1
- 230000002035 prolonged effect Effects 0.000 description 1
- 239000012429 reaction media Substances 0.000 description 1
- 230000035484 reaction time Effects 0.000 description 1
- 238000001953 recrystallisation Methods 0.000 description 1
- 230000009467 reduction Effects 0.000 description 1
- 238000001226 reprecipitation Methods 0.000 description 1
- 150000003839 salts Chemical class 0.000 description 1
- QDRKDTQENPPHOJ-UHFFFAOYSA-N sodium ethoxide Chemical compound [Na+].CC[O-] QDRKDTQENPPHOJ-UHFFFAOYSA-N 0.000 description 1
- 238000001179 sorption measurement Methods 0.000 description 1
- 230000003595 spectral effect Effects 0.000 description 1
- 238000003756 stirring Methods 0.000 description 1
- 238000006467 substitution reaction Methods 0.000 description 1
- 125000006617 triphenylamine group Chemical group 0.000 description 1
- LENZDBCJOHFCAS-UHFFFAOYSA-N tris Chemical compound OCC(N)(CO)CO LENZDBCJOHFCAS-UHFFFAOYSA-N 0.000 description 1
- 238000001771 vacuum deposition Methods 0.000 description 1
- 125000000391 vinyl group Chemical group [H]C([*])=C([H])[H] 0.000 description 1
- 238000001429 visible spectrum Methods 0.000 description 1
- 239000008096 xylene Substances 0.000 description 1
Images
Classifications
-
- C—CHEMISTRY; METALLURGY
- C07—ORGANIC CHEMISTRY
- C07D—HETEROCYCLIC COMPOUNDS
- C07D409/00—Heterocyclic compounds containing two or more hetero rings, at least one ring having sulfur atoms as the only ring hetero atoms
- C07D409/02—Heterocyclic compounds containing two or more hetero rings, at least one ring having sulfur atoms as the only ring hetero atoms containing two hetero rings
- C07D409/04—Heterocyclic compounds containing two or more hetero rings, at least one ring having sulfur atoms as the only ring hetero atoms containing two hetero rings directly linked by a ring-member-to-ring-member bond
-
- C—CHEMISTRY; METALLURGY
- C07—ORGANIC CHEMISTRY
- C07D—HETEROCYCLIC COMPOUNDS
- C07D333/00—Heterocyclic compounds containing five-membered rings having one sulfur atom as the only ring hetero atom
-
- C—CHEMISTRY; METALLURGY
- C07—ORGANIC CHEMISTRY
- C07D—HETEROCYCLIC COMPOUNDS
- C07D333/00—Heterocyclic compounds containing five-membered rings having one sulfur atom as the only ring hetero atom
- C07D333/02—Heterocyclic compounds containing five-membered rings having one sulfur atom as the only ring hetero atom not condensed with other rings
- C07D333/04—Heterocyclic compounds containing five-membered rings having one sulfur atom as the only ring hetero atom not condensed with other rings not substituted on the ring sulphur atom
- C07D333/06—Heterocyclic compounds containing five-membered rings having one sulfur atom as the only ring hetero atom not condensed with other rings not substituted on the ring sulphur atom with only hydrogen atoms, hydrocarbon or substituted hydrocarbon radicals, directly attached to the ring carbon atoms
- C07D333/08—Hydrogen atoms or radicals containing only hydrogen and carbon atoms
- C07D333/10—Thiophene
-
- C—CHEMISTRY; METALLURGY
- C07—ORGANIC CHEMISTRY
- C07D—HETEROCYCLIC COMPOUNDS
- C07D333/00—Heterocyclic compounds containing five-membered rings having one sulfur atom as the only ring hetero atom
- C07D333/02—Heterocyclic compounds containing five-membered rings having one sulfur atom as the only ring hetero atom not condensed with other rings
- C07D333/04—Heterocyclic compounds containing five-membered rings having one sulfur atom as the only ring hetero atom not condensed with other rings not substituted on the ring sulphur atom
- C07D333/06—Heterocyclic compounds containing five-membered rings having one sulfur atom as the only ring hetero atom not condensed with other rings not substituted on the ring sulphur atom with only hydrogen atoms, hydrocarbon or substituted hydrocarbon radicals, directly attached to the ring carbon atoms
- C07D333/22—Radicals substituted by doubly bound hetero atoms, or by two hetero atoms other than halogen singly bound to the same carbon atom
-
- C—CHEMISTRY; METALLURGY
- C07—ORGANIC CHEMISTRY
- C07D—HETEROCYCLIC COMPOUNDS
- C07D409/00—Heterocyclic compounds containing two or more hetero rings, at least one ring having sulfur atoms as the only ring hetero atoms
- C07D409/14—Heterocyclic compounds containing two or more hetero rings, at least one ring having sulfur atoms as the only ring hetero atoms containing three or more hetero rings
-
- C—CHEMISTRY; METALLURGY
- C08—ORGANIC MACROMOLECULAR COMPOUNDS; THEIR PREPARATION OR CHEMICAL WORKING-UP; COMPOSITIONS BASED THEREON
- C08G—MACROMOLECULAR COMPOUNDS OBTAINED OTHERWISE THAN BY REACTIONS ONLY INVOLVING UNSATURATED CARBON-TO-CARBON BONDS
- C08G16/00—Condensation polymers of aldehydes or ketones with monomers not provided for in the groups C08G4/00 - C08G14/00
-
- C—CHEMISTRY; METALLURGY
- C08—ORGANIC MACROMOLECULAR COMPOUNDS; THEIR PREPARATION OR CHEMICAL WORKING-UP; COMPOSITIONS BASED THEREON
- C08G—MACROMOLECULAR COMPOUNDS OBTAINED OTHERWISE THAN BY REACTIONS ONLY INVOLVING UNSATURATED CARBON-TO-CARBON BONDS
- C08G77/00—Macromolecular compounds obtained by reactions forming a linkage containing silicon with or without sulfur, nitrogen, oxygen or carbon in the main chain of the macromolecule
- C08G77/60—Macromolecular compounds obtained by reactions forming a linkage containing silicon with or without sulfur, nitrogen, oxygen or carbon in the main chain of the macromolecule in which all the silicon atoms are connected by linkages other than oxygen atoms
-
- C—CHEMISTRY; METALLURGY
- C09—DYES; PAINTS; POLISHES; NATURAL RESINS; ADHESIVES; COMPOSITIONS NOT OTHERWISE PROVIDED FOR; APPLICATIONS OF MATERIALS NOT OTHERWISE PROVIDED FOR
- C09K—MATERIALS FOR MISCELLANEOUS APPLICATIONS, NOT PROVIDED FOR ELSEWHERE
- C09K9/00—Tenebrescent materials, i.e. materials for which the range of wavelengths for energy absorption is changed as a result of excitation by some form of energy
- C09K9/02—Organic tenebrescent materials
Landscapes
- Chemical & Material Sciences (AREA)
- Organic Chemistry (AREA)
- Health & Medical Sciences (AREA)
- Chemical Kinetics & Catalysis (AREA)
- Medicinal Chemistry (AREA)
- Polymers & Plastics (AREA)
- Engineering & Computer Science (AREA)
- Materials Engineering (AREA)
- Organic Low-Molecular-Weight Compounds And Preparation Thereof (AREA)
- Low-Molecular Organic Synthesis Reactions Using Catalysts (AREA)
- Catalysts (AREA)
Abstract
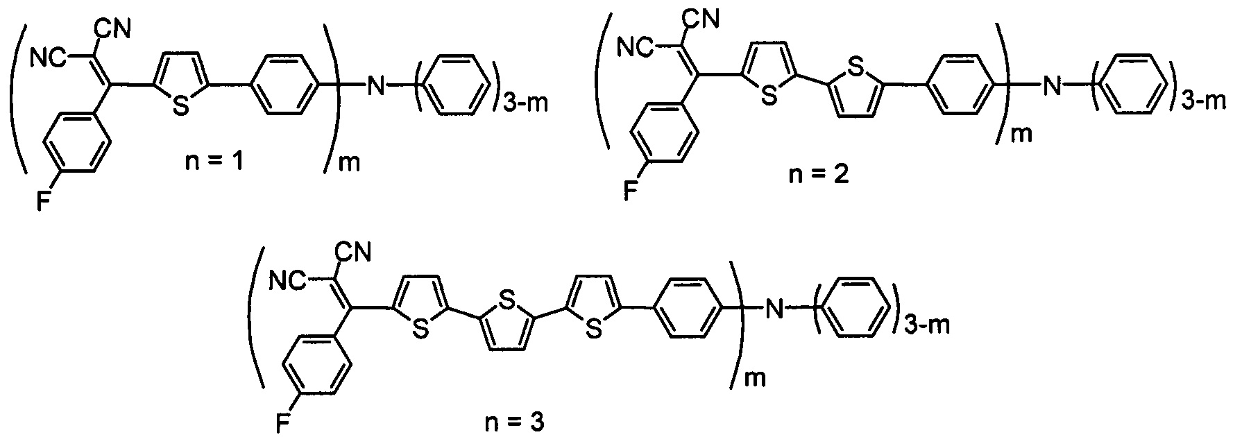
Изобретение относится к области химической технологии органических и элементоорганических соединений, которые представляют собой донорно-акцепторные олигомеры общей формулы (I), в которой n означает целое число от 1 до 4; m означает целое число от 1 до 3. Изобретение также относится к способу получения соединений формулы (I), который заключается в том, что осуществляют реакцию конденсации Кнёвенагеля между малононитрилом и кетоном, выбранным из ряда соединений общей формулы (II). Технический результат – получены новые соединения, отличающиеся высокой термической стабильностью и эффективным поглощением света в области от 400 до 800 нм, которые могут найти применение для получения органических материалов, обладающих эффективным поглощением в видимой части спектра, например светопоглощающих материалов, новых органических красителей для солнечных батарей и т.д. 2 н. и 8 з.п. ф-лы, 6 ил., 1 табл., 2 пр.
Description
Данное изобретение относится к области химической технологии органических соединений и может найти промышленное применение при получении новых функциональных органических материалов, обладающих эффективным поглощением в видимой части спектра, например, светопоглощающих материалов, новых органических красителей для солнечных батарей и т.д. Более конкретно, изобретение относится к донорно-акцепторным олигомерам на основе трифениламина, имеющих п-фторфенилдициановинильные электроноакцепторные заместители.
В литературе описаны разнообразные донорно-акцепторные олигомеры на основе трифениламина, содержащие самые различные по природе электроноакцепторные заместители и π-сопряженные ариленовые или гетероариленовые спейсеры (Высокомол. Соедин. Сер. С, 2014, т. 56, №. 1, с. 111-143).
В рамках данного изобретения к донорно-акцепторным олигомерам относятся органические соединения, которые имеют один электронодонорный трифениламиновый фрагмент, связанный через π-сопряженный тиофеновый спейсер (π-спейсер) с одним, двумя или тремя электроноакцепторными, п-фенилдициановинильными фрагментами.
Наиболее близким по строению к заявляемым донорно-акцепторным олигомерам, можно отнести схожие соединения, имеющие также трифениламин в качестве электронодонорного фрагмента, тиофен или его производные в качестве π-спейсера, но дициановинильные (J. Am. Chem. Soc., 2006, 128, 3459-3466; Chem. Commun. 48, 8907 (2012), (Solar Energy Materials & Solar Cells 2013, 115, 52) или алкилдициановинильные (Патент 2012, WO 2012/100908 Al; Faraday Discuss. 2014, 174, 313; Proc. SPIE 9567 (2015), 95670W) заместители в качестве электроноакцепторного фрагмента.
Как правило, синтез таких соединений основан на проведении конденсации Кневенагеля между малононитрилом и полученным заранее прекурсором, альдегидом в случае обычных дициановинильных групп (J. Am. Chem. Soc., 2006, 128, 3459-3466), или кетоном, в случае алкилдициановинильных групп (Org. Electron., 2013, 14, 219-229; Adv. Energy Mater. 2014, 4, 201301234):
Однако, подобные донорно-акцепторные олигомеры на основе трифениламина с п-фторфенилдициановинильными группами не описаны, поскольку синтез таких соединений не является тривиальной задачей, ввиду сложности проведения реакции Кневенагеля между малононитрилом и арилкетонами с фторсо держащим и электроноакцепторными заместителями. Например, известны различные олиготиофены с перфторбензоильными группами, но в литературе нет примеров синтеза их дициановинильных производных [J. AM. СНЕМ. SOC. 2005, 127, 13476-13477; Organic Electronics 11 (2010) 801-813 и др].
Несмотря на то, что вышеприведенные примеры донорно-акцепторных олигомеров с дициановинильными и алкилдициановинильными заместителями демонстрируют эффективное поглощение в длинноволновой области видимого спектра и в ряде работ были использованы в качестве компонента фотоактивного слоя органических солнечных батарей, они не лишены ряда недостатков, обусловленных особенностями их химического строения. Например, в дициановинильных группах присутствует реакционноспособный (активный) протон, т.к. для их синтеза используется альдегидный прекурсор. Наличие такого активного протона, может снижать долговременную стабильность донорно-акцепторных соединений при их использовании в оптоэлектронных устройствах, где они подвержены длительным фото-, электро- и термическим воздействиям. Например, недавно в работах было продемонстрированно, что соединения на основе трифениламина с обычными дициановинильными группами обладают необратимым электрохимическим восстановлением (Chemical Communication, 2012, 48, 8907-8909, Faraday Discussions 2014, 174, 313-339). Также, в этой и других работах было показано, что наличие алкильной группы вместо атома водорода, способно повышать электрохимическую стабильность таких донорно-акцепторных соединений. Однако, при проведении термогравиметрического анализа было найдено, что алкильные группы начинают первыми разлагаться при термическом воздействии как на воздухе, так и в инертной среде, что ведет к последующему разрушению алкилдициановинильной группы (Faraday Discussions 2014, 174, 313-339; J. Mater. Chem. A, 2014, 2, 16135).
В данной заявке предлагается использовать новые донорно-акцепторные олигомеры на основе трифениламина, имеющие п-фторфенильный радикал при дициановинильной группе вместо активного атома водорода или алкильной группы (см. Фиг. 1). Благодаря тому, что подобные соединения не имеют никаких алкильных групп, они будут обладать повышенной термической стабильностью по сравнению с прототипами (Faraday Discussions 2014, 174, 313-339) - N(Ph-2T-DCN-Hex)3 и N(Ph-2T-DCN)3 (см. Фиг. 2), имеющими обычные дициановинильные или аклилдициановинильные группы. Кроме того, известно, что введение в структуру донорно-акцепторных олигомеров и полимеров, сильных электроноакцепторных атомов, даже в количестве 1-2 штуки, может положительно влиять на комплекс физико-химических свойств таких соединений за счет изменения межмолекулярных взаимодействий, энергий граничных орбиталей, оптических свойств и др. [J. Am. Chem. Soc., 2015, 137, 6866-6879, ACS Appl. Mater. Interfaces, 2016, 8, 11639, Polym. Chem., 2015, 6, 7726-7736]. Кроме того, такая модификация электроноакцепторными атомами может приводить к улучшению выходных параметров органических и гибридных солнечных батарей на основе подобных донорно-акцепторных олигомеров. [J. Mater. Chem. А, 2013, 1, 11909-11921; Adv. Mater. 2012, 24, 3646, Nature Communications 2016, 7, 13740].
Таким образом, задачей заявляемого изобретения, является расширение ассортимента донорно-акцепторных олигомеров на основе трифениламина и получение нового технического результата, заключающегося в синтезе новых донорно-акцепторных олигомеров обладающих повышенной стабильностью, которые могут найти применение в различных устройствах органической электроники и фотоники. Например, в качестве фотоактивных, светопоглощающих или светопреобразующих материалов в органических и гибридных солнечных батареях, фотодетекторах и др. В качестве таких свойств в рамках данного изобретения выступают эффективное поглощение света в широком спектральном диапазоне, растворимость в органических растворителях и повышенная термическая стабильность как в инертной атмосфере, так и на воздухе.
Кроме того, задачей данного изобретения является разработка способа получения заявленных донорно-акцепторных олигомеров, позволяющего синтезировать продукты заданного строения высокой чистоты, и пригодного к применению в промышленных условиях.
Задача решается тем, что получены донорно-акцепторные олигомеры общей формулы (I)
где n означает целое число от 1 до 4;
m означает целое число от 1 до 3;
Преимущественные значения n от 1 до 3. В случае, когда донорно-акцепторные олигомеры имеют значение n равным 1, 2 или 3, то их общая формула может быть представлена следующим образом:
Преимущественным значением m является 1 или 3. В случае, когда донорно-акцепторные олигомеры имеют значение m равным 1 или 3, их общая формула может быть представлена следующим образом:
Представленные значения n и m являются частными случаями и не исчерпывают все возможные значения и все возможные сочетания значений n, m между собой.
Донорно-акцепторные олигомеры отличаются тем, что они характеризуются термической стабильностью не ниже 380°C. В рамках данного изобретения термическая стабильность определяется как температура потери 5% массы при нагревании вещества в инертной атмосфере. Данная температура для различных частных случаев составляет не менее 380°C, предпочтительно не менее 400°C. Такая высокая термическая стабильность, обусловлена тем, что в химической структуре таких соединений отсутствуют термически нестабильные фрагменты. Данные термогравиметрического анализа (ТГА), иллюстрирующие высокую термическую стабильность заявленных донорно-акцепторных олигомеров, в том числе и в сравнение с прототипами, имеющими обычные дициановинильные или алкилдициановинильные фрагменты, приведены на Фиг. 1 и Фиг. 2, а также в Таблице 1.
Отличительной особенностью заявленных донорно-акцепторных олигомеров является то, что спектры поглощения их тонких пленок толщиной 50-300 нм имеют край поглощения не менее 600 нм. Данная особенность обусловлена тем, что донорно-акцепторные олигомеры содержат фрагменты, обладающие эффективным поглощением в диапазоне от 400 до 800 нм. В рамках данного изобретения способность к поглощению света в этом диапазоне определяется тем, что спектры поглощения их тонких пленок толщиной 50-300 нм имеют край поглощения не менее 600 нм. Данные, иллюстрирующие способность заявленных донорно-акцепторных олигомеров в пленках поглощать свет с краем поглощения не менее 600 нм приведены на Фиг. 4, а также в Таблице 1.
Отличительной особенностью заявленных донорно-акцепторных олигомеров является то, что они характеризуются растворимостью не менее 3 мг/мл в о-дихлорбензоле, при комнатной температуре. Растворимость является важным параметром для возможности использования донорно-акцепторных олигомеров в различных устройствах органической электроники. Поскольку в этом случае фотоактивный слой из этих соединений может быть получен из раствора, а не дорогостоящим вакуумным напылением. Предпочтительной растворимостью считается растворимость порядка 10 мг/мл о-дихлорбензола. Заявленные донорно-акцепторные олигомеры могут быть растворимы и в других органических растворителях, например, в тетрагидрофуране, хлороформе, хлорбензоле, хлористом метилене, о-дихлорбензоле и т.д., а также в различных вариациях смесей этих растворителей. Данные, иллюстрирующие способность заявленных донорно-акцепторных олигомеров растворяться в о-дихлорбензоле приведены в Таблице 1.
Приведенные данные являются только демонстрационными примерами, и ни в коей мере не ограничивают характеристик, заявленных донорно-акцепторных олигомеров.
Задача решается также тем, что разработан способ получения донорно-акцепторных олигомеров, заключающийся в том, что осуществляют реакцию конденсации Кнёвенагеля между кетоном, выбранным из ряда соединений общей формулы (II), и малононитрилом,
Ключевой стадией для получения донорно-акцепторных олигомеров является проведение реакции конденсации Кнёвенагеля между кетоном, выбранным из ряда соединений общей формулы (II) и малононитрилом,
где n, m имеют вышеуказанные значения.
К реакции конденсации Кнёвенагеля относят конденсацию альдегидов или кетонов с соединениями, содержащими активную метиленовую группу, с образованием производных этилена (J. March, Advanced Organic Chemistry: Reactions, Mechanisms, and Structure, McGraw-Hill, New York, NY: 1968, pp. 693, 697-698). В контексте данного изобретения реакция конденсации Кнёвенагеля между кетоном, выбранным из ряда соединений общей формулы (II), и малононитрилом приводит к замещению карбонильных групп в кетоне на дициановинильные с образованием донорно-акцепторного олигомера общей формулы (I). Общую схему реакции можно представить следующим образом:
В частности, реакцию конденсации Кнёвенагеля между кетоном и малононитрилом проводят в среде пиридина или его смеси с, по крайней мере, одним растворителем, выбранным из ряда толуол, тетрагидрофуран, хлороформ, дихлорэтан, хлорбензол, или смеси одного или нескольких из них, при этом пиридин является и катализатором. Наиболее предпочтительным является проведение реакции в каталитической среде пиридина без дополнительных органических растворителей. В этом случае, пиридин выполняет функцию как растворителя, так и катализатора. Необходимым условием проведения конденсации Кнёвенагеля является присутствие катализатора в реакционной среде. В качестве катализатора, могут быть использованы различные основания, например, органические (триэтиламин, пиридин, пиперидин, этилат натрия и др). или неорганические (ацетат аммония, гидроксиды металлов, например, NaOH, KOH, KOH, оксиды, Al2O3 и др., соли.), основания, а также их смеси с кислотами Льюиса (AlCl3, TiCl4). Предпочтительным основанием является пиридин.
В частности, реакцию конденсации Кнёвенагеля между малононитрилом и кетоном проводят при температуре от +20 до +150°C, предпочтительно при температуре от +80 до +116°C. Проведение конденсации Кнёвенагеля при повышенных температурах способствует увеличению скорости реакции и повышению выхода целевого продукта.
В частности, реакцию конденсации Кнёвенагеля между малононитрилом и кетоном проводят при нагревании микроволновым излучением. Нагревание реакционной смеси можно проводить как традиционным способом, так и с использованием микроволнового излучения. Предпочтительно нагревание реакции за счет микроволнового излучения, поскольку в этом случае нагревание происходит более равномерно, без перегрева реакционной массы, что ведет к уменьшению побочных продуктов и снижению времени реакции.
Приведенные данные являются только демонстрационными примерами, и ни в коей мере не ограничивают характеристик заявленных донорно-акцепторных олигомеров.
После окончания реакции продукт конденсации выделяют по известным методикам. Например, добавляют воду и органический растворитель. Органическую фазу отделяют, промывают водой до нейтральной реакции и высушивают, после чего растворитель упаривают. В качестве органического растворителя может быть использован любой не смешивающийся или ограниченно смешивающийся с водой растворитель, например, выбранный из ряда эфиров: диэтиловый эфир, метилтретбутиловый эфир, или выбранный из ряда ароматических соединений: бензол, толуол, ксилол, или выбранный из ряда хлорорганических соединений: дихлорметан, хлороформ, четыреххлористый углерод, хлорбензол. Также для выделения могут использоваться смеси органических растворителей. Выделение продукта можно производить и без применения органических растворителей, например, отгонкой растворителей из реакционной смеси, или любым другим известным методом. Предпочтительным является выделение продукта отгонкой растворителя.
Очистку сырого продукта проводят любым известным методом, например, препаративной колоночной хроматографией в адсорбционном или эксклюзионом режиме, перекристаллизацией, дробным осаждением, дробным растворением или их любой комбинацией.
Чистоту и строение синтезированных донорно-акцепторных соединений подтверждают совокупностью данных физико-химического анализа, хорошо известных специалистам, таких как хроматографические, спектроскопические, масс-спектроскопические. Наиболее предпочтительным подтверждением чистоты и структуры донорно-акцепторных олигомеров являются ЯМР-спектры на ядрах 1Н (см. в качестве примера Фиг. 5 и Фиг. 6).
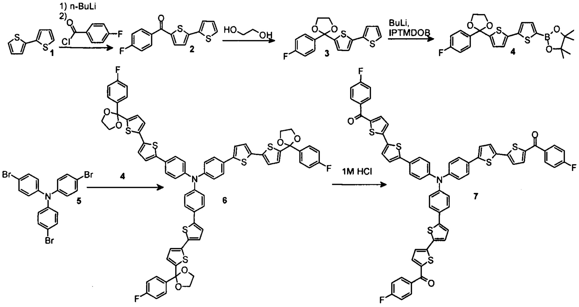
Исходные кетоны, выбранные из ряда соединений общей формулы (II), для синтеза донорно-акцепторных олигомеров получают в несколько стадий, используя для этого набор реакций органического и металлорганического синтеза в различной последовательности. Конкретный пример получения исходного кетона общей формулы (II), где n равно 2, m равно 3 проиллюстрирован ниже (см. Пример 1).
На Фиг. 1 в качестве иллюстрации представлены структурные формулы олигомера по Примеру 2, а также соединений наиболее близких к нему по строению, но имеющие дициановинильные (N(Ph-2T-DCN)3) или алкилдициановинильные (N(Ph-2T-DCN-Hex)3) группы в качестве электроноакцепторных фрагментов.
На Фиг. 2 в качестве иллюстрации высокой термостабильности заявленных соединений представлены ТГА кривые в инертной атмосфере донорно-акцепторного олигомера по примеру 2 в сравнении с прототипами, имеющими дициановинильные N(Ph-2T-DCN-Hex)3 или алкилдициановинильные N(Ph-2T-DCN-Hex)3 группы.
На Фиг. 3 в качестве иллюстрации высокой термостабильности заявленных соединений дополнительно представлены ТГА кривые в инертной атмосфере донорно-акцепторных олигомеров по Примерам 3-5.
На Фиг. 4 в качестве иллюстрации представлены спектры поглощения тонких пленок донорно-акцепторных олигомеров по Примерам 2-5.
На Фиг. 5 представлен 1Н ЯМР спектр соединения по Примеру 2.
На Фиг. 6 представлен 1Н ЯМР спектр соединения по Примеру 3.
Изобретение может быть проиллюстрировано нижеприведенными примерами синтеза донорно-акцепторных олигомеров (см. ниже Пример 1-2 и Таблицу 1 с Примерами 2-5). При этом использовали коммерчески доступные реагенты и растворители без дополнительной очистки: 1.6 М и 2.5 М растворы н-бутиллития (BuLi) в гексане, тетракис(трифенилфосфин) палладий (0) (Pd(PPh3)4), п-толуолсульфоновая кислота, (р-TosH), малононитрил, п-фторбензоилхлорид, этиленгликоль, 2,2'-битиофен, трис(4-бромофенил)амин, 4-бромо-N,N-дифениламин и др. Дополнительные реагенты и вещества были получены, используя описанные в литературе методики. Все реакции, если не оговорено особо, проводили в атмосфере аргона.
Получение кетонов общей формулы (II) для синтеза донорно-акцепторных олигомеров.
Пример 1. Синтез кетона (7) общей формулы (II), где n равно 2, m равно 3, был осуществлен постадийно согласно приведенной ниже схеме:
Получение соединения 2. 2,2'-битиен-5-ил(4-фторфенил)метанон (2) был получен следующим образом: 2.5 М раствор н-бутиллития в гексане (24,8 мл, 62 ммоль) был прикапан к раствору 2,2'-битиофена (10,3 г, 62 ммоль) в 300 мл сухого ТГФ, поддерживая температуру в диапазоне -70 - -78°С. После чего перемешивание при температуре -78°С было продолжено в течении 1 часа. Затем 4-фторобензоил хлорид (9,82 г, 62 ммоль) быд добавлен одной порцией при температуре -78°С. После чего температуру реакционной смеси в течении 1 часа подняли до комнатной. Затем реакционную смесь вылили в 300 мл дистиллированной воды и экстрагировали диэтиловым эфиром. Органическую фазу отмывали дистиллированной водой и сушили над безводным Na2SO4. Растворитель был отогнан в вакууме и чистый продукт (9 г, 50%) был получен после очистки на колонке с силикагелем (элюент гексан : толуол 2:1). 1Н ЯМР (250 МГц, CDCl3, δ, м.д.): 7,05 (дд, 1Н, J1=3,7 Гц; J2=1,52 Гц), 7,13-7,24 (перекрывающиеся сигналы, 3Н), 7,31-7,40 (перекрывающиеся сигналы, 2Н), 7,51 (д, 1Н, J1=4,00 Гц), 7,83-7,96 (перекрывающиеся сигналы, 2Н).
Получение соединения 3. 2-(2,2'-битиен-5-ил)-2-(4-фторфенил)-1,3-диоксолан (3) был получен следующим образом: 2.2'-битиен-5-ил(4-фторфенил)метанон (2) (6.6 г, 23 ммоль) растворили в сухом бензоле (160 мл). После добавили этиленгликоль (57 г, 916 ммоль) и n-толуолсульфокислоту (0.87 г, 4,6 ммоль). Реакцию перемешивали с насадкой Дина-Старка при кипячении 30 часов, после чего реакцию охладили и смесь вылили в 200 мл дистиллированной воды и трижды экстрагировали бензолом. Органический слой объединили
и посушили над сульфатом натрия, а растворитель отогнали при пониженном давлении. Чистый продукт (5.20 г, 70%) был получен очисткой колоночной хроматографией на силикагеле (элюент, гексан : толуол, 2:1). 1Н ЯМР (250 МГц, CDCl3, δ, м.д.): 3.97-4.26 (перекрывающиеся сигналы, 4Н), 6.72 (д, 1Н, J=4.0 Гц), 6.95 (д, 1Н, J=3.7 Гц), 6.98-7.08 (перекрывающиеся сигналы, 3Н), 7,12 (дд, 1Н, J1=1,2 Гц, J2=3.7 Гц), 7,18 (дд, 1Н, J1=1,2 Гц, J2=3.7 Гц), 7.52-7.63 (перекрывающиеся сигналы, 2Н).
Получение соединения 4. 2-{5'-[2-(4-фторфенил)-1,3-диоксолан-2-ил]-2,2'-битиен-5-ил}-4,4,5,5-тетраметил-1,3,2-диоксоборолан (4) был получен следующим образом: 2.5 М раствор н-бутиллития (5,2 мл, 13.1 ммоль) был прикапан к раствору соединения 3 (4,3 г, 13.1 ммоль) в 130 мл сухого ТГФ при -78°C. После чего реакцию перемешивали при -78°C в течение часа и добавили изопропокси-4,4,5,5-тетраметил-1,3,2-диоксоборолан (2,43 г, 13.1 ммоль) одной порцией. Реакцию перемешивали в течение часа при -78°C и после подняли температуру до комнатной. После завершения реакции реакционную смесь вылили в 150 мл дистиллированной воды, содержащей 13 мл 1 М HCl и трижды экстрагировали диэтиловым эфиром. Органический слой посушили над сульфатом натрия, а растворитель отогнали в вакууме. Продукт 5,42 г (91%) был использован в следующей стадии синтеза без дополнительной очистки. 1Н ЯМР (250 МГц, CDCl3, δ, м.д.): 1,33 (с, 12Н), 3.99-4.21 (перекрывающиеся сигналы, 4Н), 6,72 (д, 1Н, J=3.7 Гц), 7.00-7.10 (перекрывающиеся сигналы, 3Н), 7.18 (д, 1Н, J=3.7 Гц), 7.48 (д, 1Н, J=3.7 Гц), 7,54 (дд, 2Н, J1=5,4 Гц, J2=3.4 Гц).
Получение соединения 6. трис(4-{5'-[2-(4-фторфенил)-1,3-диоксолан-2-ил]-2,2'-битиен-5-ил}фенил)амин (6) был получен следующим образом. В инертной атмосфере к Pd(PPh3)4 (242 мг, 0,209 ммоль) были добавлены дегазированные растворы соединения 4 (3.20 г, 7 ммоль) и 5 (0,94 g, 1,95 ммоль) в смеси толуол/этанол (80/8 мл), а также водный раствор 2М Na2CO3 (10.5 мл). Реакционную смесь перемешивали при кипении в течение 12 часов, после чего ее охладили до комнатной температуры и вылили в делительную воронку, содержащую 75 мл дистилированной волы и 100 мл толуола. Водный слой трижды экстрагировали толуолом, и объединенный органический слой посушили над сульфатом натрия, а растворитель отогнали в вакууме. Чистый продукт был получен хроматографически очисткой на колонке с силикагелем (элюент - толуол/гексан, 1:1). Выход продукта 6 (2.14 г) составил 89%. 1Н ЯМР (250 МГц, CDCl3): δ [м.д.] 3.92-4.41 (перекрывающиеся пики, 12Н), 6.73 (д, 3Н, J=3.7 Гц), 6.93-7.27 (перекрывающиеся пики, 21Н), 7.46 (д, 6Н, J=8.6 Гц), 7,55 (дд, 6Н, J1=5,4 Гц, J2=3.4 Гц).
Получение соединения 7. [({4-[5'-(3-фторбензоил)-2,2'-битиен-5-ил]фенил}имино)бис(4,1-фенилен-2,2'-битиен-5',5-диил)]бис[(4-фторфенил)метанон] (7) был получен следующим образом: 2,4 мл 1М HCl добавили к раствору соединения 6 (2.1 g, 1.7 ммоль) в ТГФ (70 мл) и перемешивали реакцию при кипении в течение 5 часов. После чего реакционную смесь охладили, профильтровали. Продукт полученный на фильтре обильно промыли водой и посушили в вакууме. Выход продукта 7 (1.8 г) составил 98%. 1Н ЯМР (250 МГц, CDCl3): δ [м.д.] 7.13-7.24 (перекрывающиеся сигналы, 18Н), 7.33 (д, 3H, J=4 Гц), 7.49-7.59 (перекрывающиеся сигналы, 9Н), 7,87 (дд, 6Н, J1=5,4 Гц, h=3.4 Гц).
Получение донорно-акцепторных олигомеров.
Пример 2. Общая методика способа получения донорно-акцепторных олигомеров общей формулы (I) реакцией конденсации Кнёвенагеля между малононитрилом и кетоном, выбранным из ряда соединений общей формулы (II), приведена ниже на примере полученного выше кетона (соединение 7, пример 1), где n равно 2, m равно 3:
Кетон (7) из примера 1 (1.72 г, 1.6 ммоль), малононитрил (0.2 г, 3.1 ммоль) и пиридин помещаются в реакционный сосуд и перемешиваются в атмосфере азота в течение 25 часов при кипячении, используя контролируемый микроволновый нагрев. После окончания реакции пиридин отгоняют при пониженном давлении. Продукт очищают методом колоночной хроматографии на силикагеле (элюент дихлорметан), с последующим очисткой методом переосаждения. Выход продукта (0.81 г) составил 55%. 1Н ЯМР (250 МГц, CDCl3): δ [м.д.] 7.09-7.25 (перекрывающиеся сигналы, 15Н), 7.26 (д, 3Н, J=0.9 Гц), 7,32 (д, 3Н, J=3.7 Гц), 7,43-7,57 (перекрывающиеся сигналы, 12Н), 7.61 (д, 3Н, J=4,5 Гц).
Другие примеры (Примеры 3-5) донорно-акцепторных олигомеров общей формулы (I), полученных аналогичным способом, а также их основные физико-химические параметры представлены в Таблице 1.
Claims (16)
1. Донорно-акцепторные олигомеры общей формулы (I)
где n означает целое число от 1 до 4;
m означает целое число от 1 до 3.
2. Донорно-акцепторные олигомеры по п. 1, отличающиеся тем, что n имеет значения от 1 до 3.
3. Донорно-акцепторные олигомеры по п. 1, отличающиеся тем, что m имеет значения 1 или 3.
4. Донорно-акцепторные олигомеры по п. 1, отличающиеся тем, что они характеризуются термической стабильностью не ниже 380°С.
5. Донорно-акцепторные олигомеры по п. 1, отличающиеся тем, что спектры поглощения их тонких пленок толщиной 50-300 нм имеют край поглощения не менее 600 нм.
6. Донорно-акцепторные олигомеры по п. 1, отличающиеся тем, что характеризуются растворимостью не менее 3 мг/мл в о-дихлорбензоле при комнатной температуре.
7. Способ получения донорно-акцепторных олигомеров по пп. 1-6, заключающийся в том, что осуществляют реакцию конденсации Кнёвенагеля между кетоном, выбранным из ряда соединений общей формулы (II), и малононитрилом
где n означает целое число от 1 до 4;
m означает целое число от 1 до 3.
8. Способ по п. 7, отличающийся тем, что реакцию конденсации Кнёвенагеля между кетоном и малононитрилом проводят в среде пиридина или его смеси с, по крайней мере, одним растворителем, выбранным из ряда толуол, тетрагидрофуран, хлороформ, дихлорэтан, хлорбензол, при этом пиридин является одновременно и катализатором.
9. Способ по п. 7, отличающийся тем, что реакцию конденсации Кнёвенагеля между кетоном и малононитрилом проводят при температуре от +20 до +150°С, предпочтительно при температуре от +80 до +116°С.
10. Способ по п. 7, отличающийся тем, что реакцию конденсации Кнёвенагеля между малононитрилом и кетоном проводят при нагревании микроволновым излучением.
Priority Applications (2)
| Application Number | Priority Date | Filing Date | Title |
|---|---|---|---|
| RU2017106018A RU2694209C2 (ru) | 2017-02-22 | 2017-02-22 | Донорно-акцепторные олигомеры на основе трифениламина с п-фторфенилдициановинильными электроноакцепторными заместителями и способ их получения |
| PCT/RU2017/000126 WO2018156046A1 (ru) | 2017-02-22 | 2017-03-10 | Донорно-акцепторные олигомеры на основе трифениламина с п-фторфенилдициановинильными электроноакцепторными заместителями и способ их получения |
Applications Claiming Priority (1)
| Application Number | Priority Date | Filing Date | Title |
|---|---|---|---|
| RU2017106018A RU2694209C2 (ru) | 2017-02-22 | 2017-02-22 | Донорно-акцепторные олигомеры на основе трифениламина с п-фторфенилдициановинильными электроноакцепторными заместителями и способ их получения |
Publications (3)
| Publication Number | Publication Date |
|---|---|
| RU2017106018A RU2017106018A (ru) | 2018-08-22 |
| RU2017106018A3 RU2017106018A3 (ru) | 2018-08-22 |
| RU2694209C2 true RU2694209C2 (ru) | 2019-07-09 |
Family
ID=63253324
Family Applications (1)
| Application Number | Title | Priority Date | Filing Date |
|---|---|---|---|
| RU2017106018A RU2694209C2 (ru) | 2017-02-22 | 2017-02-22 | Донорно-акцепторные олигомеры на основе трифениламина с п-фторфенилдициановинильными электроноакцепторными заместителями и способ их получения |
Country Status (2)
| Country | Link |
|---|---|
| RU (1) | RU2694209C2 (ru) |
| WO (1) | WO2018156046A1 (ru) |
Citations (1)
| Publication number | Priority date | Publication date | Assignee | Title |
|---|---|---|---|---|
| RU2014127758A (ru) * | 2014-07-09 | 2016-02-10 | Федеральное государственное бюджетное учреждение науки Институт синтетических полимерных материалов им. Н.С. Ениколопова РАН (ИСПМ РАН) | Донорно-акцепторные сопряженные молекулы и способ их получения |
Family Cites Families (1)
| Publication number | Priority date | Publication date | Assignee | Title |
|---|---|---|---|---|
| DE102011009415A1 (de) * | 2011-01-25 | 2012-07-26 | Heraeus Precious Metals Gmbh & Co. Kg | Sternförmige Verbindungen für organische Solarzellen |
-
2017
- 2017-02-22 RU RU2017106018A patent/RU2694209C2/ru not_active Application Discontinuation
- 2017-03-10 WO PCT/RU2017/000126 patent/WO2018156046A1/ru not_active Ceased
Patent Citations (1)
| Publication number | Priority date | Publication date | Assignee | Title |
|---|---|---|---|---|
| RU2014127758A (ru) * | 2014-07-09 | 2016-02-10 | Федеральное государственное бюджетное учреждение науки Институт синтетических полимерных материалов им. Н.С. Ениколопова РАН (ИСПМ РАН) | Донорно-акцепторные сопряженные молекулы и способ их получения |
Non-Patent Citations (4)
| Title |
|---|
| PENGBO HAN ET AL. Dyes and Pigments, 149, 2018, pp.8-15.. 2391-2392. * |
| XIAOMING WU ET AL. Chem. Commun., 1999, pp * |
| ЛУПОНОСОВ Ю.Н. и др. Высокомолекулярные соединения, Серия С, 2014, том 56. * |
| ЛУПОНОСОВ Ю.Н. и др. Высокомолекулярные соединения, Серия С, 2014, том 56. PENGBO HAN ET AL. Dyes and Pigments, 149, 2018, pp.8-15. XIAOMING WU ET AL. Chem. Commun., 1999, pp. 2391-2392. * |
Also Published As
| Publication number | Publication date |
|---|---|
| RU2017106018A (ru) | 2018-08-22 |
| WO2018156046A1 (ru) | 2018-08-30 |
| RU2017106018A3 (ru) | 2018-08-22 |
Similar Documents
| Publication | Publication Date | Title |
|---|---|---|
| JP5940548B2 (ja) | 新規なスピロビフルオレン化合物 | |
| CN108546267B (zh) | 一种端基含环烷基链的有机共轭小分子材料及其制备方法与在太阳能电池中的应用 | |
| CN108473482A (zh) | 用于光活性有机电子构造元件的化合物以及包含此化合物的光活性有机电子构造元件 | |
| CN108084450B (zh) | 一种含乙烯苯基和对乙烯苯酚基亚甲胺衍生物合镉的聚合配合物及其制备方法与用途 | |
| CN109438459B (zh) | 一种有机二阶非线性光学发色团及其合成方法和应用 | |
| RU2624820C2 (ru) | Донорно-акцепторные сопряженные молекулы и способ их получения | |
| CN106750194B (zh) | 一类含邻菲罗啉并咪唑衍生物合Cd(Ⅱ)的聚合金属配合物及其制备方法和用途 | |
| CN111647140B (zh) | 一种聚合咔唑衍生物合镉配合物及其制备方法与用途 | |
| CN110655518B (zh) | 基于喹啉的稠环单元、含该单元的小分子、聚合物及它们的制备方法与应用 | |
| KR102691872B1 (ko) | 유기 반도전성 물질 및 이의 합성 및 이러한 물질을 갖는 유기 반도전성 부품 | |
| CN109517142B (zh) | 基于三茚并五元芳杂环的星型d-a结构共轭分子及其制备方法和应用 | |
| KR101286014B1 (ko) | 팔라듐계 촉매를 사용한 직접적 ch 아릴화 방법 | |
| WO2014196891A1 (ru) | Новые разветвленные олигоарилсиланы и способ их получения | |
| RU2694209C2 (ru) | Донорно-акцепторные олигомеры на основе трифениламина с п-фторфенилдициановинильными электроноакцепторными заместителями и способ их получения | |
| CN109956955B (zh) | 基于苯并三(环戊二烯并双五元芳杂环)的星型d-a结构共轭分子及其制备方法和应用 | |
| CN108164532A (zh) | 具有类四面体构形的有机化合物 | |
| JP6698300B2 (ja) | ポリマー及びそれを用いた有機薄膜太陽電池 | |
| RU2788650C2 (ru) | Несимметричные люминесцентные донорно-акцепторные молекулы на основе трифениламин-тиофенового блока с различными электроноакцепторными группами и способ их получения | |
| RU2667362C2 (ru) | Донорно-акцепторные олигомеры с фенилдициановинильными заместителями на основе трифениламина и способ их получения | |
| JP2012236777A (ja) | インドロカルバゾール含有イミド化合物及び合成中間体、これらの製造方法、有機半導体組成物、ならびに有機太陽電池素子 | |
| JP7427318B2 (ja) | 新規な化合物およびこれを利用した有機発光素子 | |
| KR101678415B1 (ko) | 신규한 유기 반도체 화합물, 이의 제조방법 및 이를 포함하는 유기 전자 소자 | |
| RU2544863C2 (ru) | Разветвленные олигоарилсиланы с реакционноспособными концевыми группами и способ их получения | |
| KR101000784B1 (ko) | 덴드론구조가 치환된 폴리아센계 유기 화합물 및 이를이용한 유기박막트랜지스터 | |
| CN112876658A (zh) | 一种基于二噻吩并吡咯的聚合物及其制备方法和应用 |
Legal Events
| Date | Code | Title | Description |
|---|---|---|---|
| FA92 | Acknowledgement of application withdrawn (lack of supplementary materials submitted) |
Effective date: 20181009 |
|
| FZ9A | Application not withdrawn (correction of the notice of withdrawal) |
Effective date: 20190327 |
|
| PD4A | Correction of name of patent owner | ||
| PC41 | Official registration of the transfer of exclusive right |
Effective date: 20210317 |











