RU2024926C1 - Устройство для контроля временных рассогласований импульсных последовательностей - Google Patents
Устройство для контроля временных рассогласований импульсных последовательностей Download PDFInfo
- Publication number
- RU2024926C1 RU2024926C1 SU5004582A RU2024926C1 RU 2024926 C1 RU2024926 C1 RU 2024926C1 SU 5004582 A SU5004582 A SU 5004582A RU 2024926 C1 RU2024926 C1 RU 2024926C1
- Authority
- RU
- Russia
- Prior art keywords
- output
- pulse
- input
- inputs
- pulses
- Prior art date
Links
- 238000012544 monitoring process Methods 0.000 claims description 3
- 239000000126 substance Substances 0.000 abstract 1
- 238000010586 diagram Methods 0.000 description 5
- 238000001208 nuclear magnetic resonance pulse sequence Methods 0.000 description 2
- 230000015572 biosynthetic process Effects 0.000 description 1
Images
Landscapes
- Manipulation Of Pulses (AREA)
Abstract
Изобретение относится к вычислительной технике и может быть использовано в цифровых автоматических системах, в частности для контроля накопителей на магнитной ленте. Цель изобретения - упрощение и повышение надежности устройства. Устройство содержит формирователи импульсов, элементы ИЛИ, счетный триггер, элементы И, входы первой и второй контролируемых импульсных последовательностей, выходы признаков отставания первой и второй контролируемых последовательностей и выход признака полупериодного временного сдвига контролируемых последовательностей. 2 ил.
Description
Изобретение относится к вычислительной технике и может быть использовано в цифровых автоматических системах, в частности для контроля накопителей на магнитной ленте.
Целью изобретения является упрощение и повышение надежности устройства.
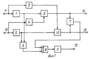
На фиг. 1 приведена структурная схема устройства; на фиг.2 - временные диаграммы, поясняющие работу устройства, при этом число на каждой из диаграмм равно номеру элемента структурной схемы, на выходе которого изображен сигнал на данной диаграмме.
Устройство содержит формирователи 1-5 импульсов, элементы ИЛИ 6 и 7, счетный триггер 8, элементы И 9 и 10, входы 11 и 12 первой и второй контролируемых импульсных последовательностей, выходы 13 и 14 признаков отставания первой и второй контролируемых последовательностей и выход 15 признака полупериодного временного сдвига контролируемых последовательностей.
Устройство для контроля временных рассогласований импульсных последовательностей работает следующим образом.
Импульсы, временное рассогласование между которыми необходимо контролировать, поступают на входы 11 и 12 устройства, на входы формирователей 1 и 2 и входы формирователей 3 и 4 соответственно.
Формирователи 1 и 2 преобразуют поступившие на их входы импульсы в импульсы фиксированной длительности τ , величина которой выбирается из условия
τ < , где Т - период следования контролируемых импульсов.
τ < , где Т - период следования контролируемых импульсов.
Импульсы с выхода формирователя 1 поступают на первый входы элементов 6 и 9, а импульсы с выхода формирователя 2 - на вторые входы элементов 6 и 10.
По передним фронтам входных импульсов формирователи 3 и 4 вырабатывают короткие импульсы, которые поступают на первый вход элемента 10 и второй вход элемента 9 соответственно.
Если фазовый импульс на входе 11 приходит с опережением относительно фазового импульса на входе 12 (фиг.2а), то импульс с выхода формирователя 4 проходит через элемент 9, открытый по другому входу импульсом с выхода формирователя 1, непосредственно на выход 14 устройства и через элемент 7 на вход обнуления триггера 8.
Если же фазовый импульс на входе 11 приходит с отставанием относительно фазового импульса на входе 12 (фиг.2,б), то импульс с выхода формирователя 3 проходит через элемент 10, открытый по другому входу импульсом с выхода формирователя 2, непосредственно на выход 13 устройства и через элемент 7 на вход обнуления счетчика 8.
В обоих случаях на выходе элемента 6 и счетном входе триггера 8 формируется один длинный импульс, так как импульсы формирователей 1 и 2 перекрываются во времени. Поскольку до поступления импульса на вход обнуления триггера 8 на его счетный вход поступает только один импульс, сигнал на его выходе не изменяется и формирователь 5 не срабатывает.
При рассогласовании импульсов на входах 11 и 12 на время τI , равное половине периода Т (фиг.2,в), выполняется условие τ < τI
Это приводит к тому, что импульсы на выходах формирователей 1 и 2 во времени не перекрываются, импульсы формирователей 3 и 4 через элементы 10 и 9 соответственно не проходят, так как последние во время действия указанных импульсов закрыты по другим входам, на выходах 13 и 14 устройства и на входе обнуления триггера 8 импульсов не появляется. Кроме того за период Т на выходе элемента 6 и на счетном входе триггера 8 появляется два импульса, сигнал на выходе последнего изменяется, под действием этого изменения формирователь 5 вырабатывает короткий импульс, который поступает на выход 15 устройства.
Это приводит к тому, что импульсы на выходах формирователей 1 и 2 во времени не перекрываются, импульсы формирователей 3 и 4 через элементы 10 и 9 соответственно не проходят, так как последние во время действия указанных импульсов закрыты по другим входам, на выходах 13 и 14 устройства и на входе обнуления триггера 8 импульсов не появляется. Кроме того за период Т на выходе элемента 6 и на счетном входе триггера 8 появляется два импульса, сигнал на выходе последнего изменяется, под действием этого изменения формирователь 5 вырабатывает короткий импульс, который поступает на выход 15 устройства.
Таким образом, предлагаемое устройство обеспечивает в случае опережения импульсами на входе 11 импульсы на входе 12 формирование импульсов на выходе 14, в случае отставания - на выходе 13, а в случае рассогласования этих импульсов на половину периода - на выходе 15.
Claims (1)
- УСТРОЙСТВО ДЛЯ КОНТРОЛЯ ВРЕМЕННЫХ РАССОГЛАСОВАНИЙ ИМПУЛЬСНЫХ ПОСЛЕДОВАТЕЛЬНОСТЕЙ, содержащее четыре формирователя импульсов, счетный триггер, элемент ИЛИ и два элемента И, причем входы первой и второй контролируемых последовательностей соединены с входами соответственно первого и второго формирователей импульсов, выходы которых соединены соответственно с первым и вторым входами первого элемента ИЛИ, выходы первого и второго элементов И соединены с выходами признака отставания соответственно первой и второй контролируемых последовательностей, первый вход первого элемента И соединен с выходом третьего формирователя импульсов, счетный вход счетного триггера соединен с выходом элемента ИЛИ, выход счетного триггера соединен с входом четвертого формирователя импульсов, выход которого соединен с выходом признака полупериодного временного сдвига, отличающееся тем, что в него введены пятый формирователь импульсов и второй элемент ИЛИ, входы третьего и пятого формирователей импульсов соединены с входами соответственно первой и второй контролируемых последовательностей, первый и второй входы второго элемента И соединены с выходами соответственно первого и пятого формирователей импульсов, второй вход первого элемента И соединен с выходом второго формирователя импульсов, первый и второй входы второго элемента ИЛИ соединены с выходами соответственно первого и второго элементов И, выход второго элемента ИЛИ соединен с входом обнуления счетного триггера.
Priority Applications (1)
| Application Number | Priority Date | Filing Date | Title |
|---|---|---|---|
| SU5004582 RU2024926C1 (ru) | 1991-07-08 | 1991-07-08 | Устройство для контроля временных рассогласований импульсных последовательностей |
Applications Claiming Priority (1)
| Application Number | Priority Date | Filing Date | Title |
|---|---|---|---|
| SU5004582 RU2024926C1 (ru) | 1991-07-08 | 1991-07-08 | Устройство для контроля временных рассогласований импульсных последовательностей |
Publications (1)
| Publication Number | Publication Date |
|---|---|
| RU2024926C1 true RU2024926C1 (ru) | 1994-12-15 |
Family
ID=21586433
Family Applications (1)
| Application Number | Title | Priority Date | Filing Date |
|---|---|---|---|
| SU5004582 RU2024926C1 (ru) | 1991-07-08 | 1991-07-08 | Устройство для контроля временных рассогласований импульсных последовательностей |
Country Status (1)
| Country | Link |
|---|---|
| RU (1) | RU2024926C1 (ru) |
Cited By (1)
| Publication number | Priority date | Publication date | Assignee | Title |
|---|---|---|---|---|
| RU2363093C1 (ru) * | 2008-02-11 | 2009-07-27 | Федеральное Государственное Образовательное Учреждение Высшего Профессионального Образования "Южный Федеральный Университет" | Устройство для контроля временных рассогласований импульсных последовательностей |
-
1991
- 1991-07-08 RU SU5004582 patent/RU2024926C1/ru active
Non-Patent Citations (2)
| Title |
|---|
| Авторское свидетельство СССР N 1605235, кл. G 06F 11/16, 1989. * |
| Патент США N 4451794, кл. H 03D 13/00, 1984. * |
Cited By (1)
| Publication number | Priority date | Publication date | Assignee | Title |
|---|---|---|---|---|
| RU2363093C1 (ru) * | 2008-02-11 | 2009-07-27 | Федеральное Государственное Образовательное Учреждение Высшего Профессионального Образования "Южный Федеральный Университет" | Устройство для контроля временных рассогласований импульсных последовательностей |
Similar Documents
| Publication | Publication Date | Title |
|---|---|---|
| US4035663A (en) | Two phase clock synchronizing method and apparatus | |
| RU2024926C1 (ru) | Устройство для контроля временных рассогласований импульсных последовательностей | |
| US3946362A (en) | Time division multiple transmission control apparatus | |
| SU1266007A1 (ru) | Преобразователь кода | |
| SU1457160A1 (ru) | Управл емый делитель частоты | |
| SU1197091A1 (ru) | Устройство декодировани импульсной последовательности | |
| SU1272491A1 (ru) | Устройство дл контрол последовательности импульсов | |
| SU1282315A1 (ru) | Устройство дл формировани импульсных последовательностей | |
| US3691548A (en) | Alarm circuit | |
| SU1354194A1 (ru) | Сигнатурный анализатор | |
| SU1450099A1 (ru) | Селектор импульсов по длительности | |
| SU383218A1 (ru) | Устройство определения длительности элементарной посылки телеграфных сообщений с различными скоростями телеграфирования | |
| SU1095413A2 (ru) | Управл емый делитель частоты следовани импульсов | |
| SU1061128A1 (ru) | Устройство дл ввода-вывода информации | |
| SU679984A1 (ru) | Устройство дл контрол регистра сдвига | |
| SU1001456A1 (ru) | Устройство программируемой задержки импульсов | |
| SU1312743A1 (ru) | Устройство дл декодировани кода Миллера | |
| SU1481767A1 (ru) | Анализатор сигнатур с квазисинхронизацией | |
| SU1529427A1 (ru) | Устройство дл временного разделени двух импульсных сигналов | |
| SU1503069A1 (ru) | Устройство дл контрол последовательности импульсов | |
| SU1157666A1 (ru) | Формирователь одиночного импульса | |
| SU1247876A1 (ru) | Сигнатурный анализатор | |
| SU1598197A1 (ru) | Устройство дл формировани биимпульсных сигналов | |
| SU1218457A1 (ru) | Устройство дл сравнени импульсных сигналов | |
| SU961126A1 (ru) | Устройство дл выделени одиночного импульса |