KR0140887B1 - 7-[2-(2-아미노티아졸-4-일)-2-하이드록시이미노아세타미도]-3-세펨 화합물의 제조방법 - Google Patents
7-[2-(2-아미노티아졸-4-일)-2-하이드록시이미노아세타미도]-3-세펨 화합물의 제조방법Info
- Publication number
- KR0140887B1 KR0140887B1 KR1019890000027A KR890000027A KR0140887B1 KR 0140887 B1 KR0140887 B1 KR 0140887B1 KR 1019890000027 A KR1019890000027 A KR 1019890000027A KR 890000027 A KR890000027 A KR 890000027A KR 0140887 B1 KR0140887 B1 KR 0140887B1
- Authority
- KR
- South Korea
- Prior art keywords
- compound
- aminothiazol
- salt
- formula
- ester
- Prior art date
- Legal status (The legal status is an assumption and is not a legal conclusion. Google has not performed a legal analysis and makes no representation as to the accuracy of the status listed.)
- Expired - Lifetime
Links
- -1 2-aminothiazol-4-yl Chemical group 0.000 title claims description 106
- 150000001875 compounds Chemical class 0.000 title claims description 49
- 238000004519 manufacturing process Methods 0.000 title claims description 5
- 150000003839 salts Chemical class 0.000 claims description 44
- 125000002252 acyl group Chemical group 0.000 claims description 20
- 125000003178 carboxy group Chemical group [H]OC(*)=O 0.000 claims description 13
- 229910052736 halogen Inorganic materials 0.000 claims description 6
- HMODWNGXKAZDOG-UHFFFAOYSA-N [[1-(2-amino-1,3-thiazol-4-yl)-2-chloro-2-oxoethylidene]amino] acetate;hydrochloride Chemical compound Cl.CC(=O)ON=C(C(Cl)=O)C1=CSC(N)=N1 HMODWNGXKAZDOG-UHFFFAOYSA-N 0.000 claims description 5
- 125000003277 amino group Chemical group 0.000 claims description 5
- 230000002140 halogenating effect Effects 0.000 claims description 3
- 125000000962 organic group Chemical group 0.000 claims description 3
- 238000003379 elimination reaction Methods 0.000 claims description 2
- 125000005843 halogen group Chemical group 0.000 claims 3
- OKKJLVBELUTLKV-UHFFFAOYSA-N Methanol Chemical compound OC OKKJLVBELUTLKV-UHFFFAOYSA-N 0.000 description 33
- XEKOWRVHYACXOJ-UHFFFAOYSA-N Ethyl acetate Chemical compound CCOC(C)=O XEKOWRVHYACXOJ-UHFFFAOYSA-N 0.000 description 31
- 238000003756 stirring Methods 0.000 description 27
- 238000006243 chemical reaction Methods 0.000 description 25
- 238000000034 method Methods 0.000 description 20
- XLYOFNOQVPJJNP-UHFFFAOYSA-N water Substances O XLYOFNOQVPJJNP-UHFFFAOYSA-N 0.000 description 19
- VEXZGXHMUGYJMC-UHFFFAOYSA-N Hydrochloric acid Chemical compound Cl VEXZGXHMUGYJMC-UHFFFAOYSA-N 0.000 description 16
- 239000000203 mixture Substances 0.000 description 15
- 238000001914 filtration Methods 0.000 description 14
- 239000011541 reaction mixture Substances 0.000 description 14
- 239000000243 solution Substances 0.000 description 14
- 239000002244 precipitate Substances 0.000 description 13
- YMWUJEATGCHHMB-UHFFFAOYSA-N Dichloromethane Chemical compound ClCCl YMWUJEATGCHHMB-UHFFFAOYSA-N 0.000 description 12
- WYURNTSHIVDZCO-UHFFFAOYSA-N Tetrahydrofuran Chemical compound C1CCOC1 WYURNTSHIVDZCO-UHFFFAOYSA-N 0.000 description 12
- DLYUQMMRRRQYAE-UHFFFAOYSA-N tetraphosphorus decaoxide Chemical compound O1P(O2)(=O)OP3(=O)OP1(=O)OP2(=O)O3 DLYUQMMRRRQYAE-UHFFFAOYSA-N 0.000 description 12
- 239000002253 acid Substances 0.000 description 11
- UIIMBOGNXHQVGW-UHFFFAOYSA-M Sodium bicarbonate Chemical compound [Na+].OC([O-])=O UIIMBOGNXHQVGW-UHFFFAOYSA-M 0.000 description 10
- LFQSCWFLJHTTHZ-UHFFFAOYSA-N Ethanol Chemical compound CCO LFQSCWFLJHTTHZ-UHFFFAOYSA-N 0.000 description 9
- FAPWRFPIFSIZLT-UHFFFAOYSA-M Sodium chloride Chemical compound [Na+].[Cl-] FAPWRFPIFSIZLT-UHFFFAOYSA-M 0.000 description 9
- 125000000738 acetamido group Chemical group [H]C([H])([H])C(=O)N([H])[*] 0.000 description 9
- 238000002360 preparation method Methods 0.000 description 9
- 125000005907 alkyl ester group Chemical group 0.000 description 8
- ZZVUWRFHKOJYTH-UHFFFAOYSA-N diphenhydramine Chemical group C=1C=CC=CC=1C(OCCN(C)C)C1=CC=CC=C1 ZZVUWRFHKOJYTH-UHFFFAOYSA-N 0.000 description 7
- 150000004820 halides Chemical class 0.000 description 7
- 229920006395 saturated elastomer Polymers 0.000 description 7
- 239000000725 suspension Substances 0.000 description 7
- KZMGYPLQYOPHEL-UHFFFAOYSA-N Boron trifluoride etherate Chemical compound FB(F)F.CCOCC KZMGYPLQYOPHEL-UHFFFAOYSA-N 0.000 description 6
- ZAFNJMIOTHYJRJ-UHFFFAOYSA-N Diisopropyl ether Chemical compound CC(C)OC(C)C ZAFNJMIOTHYJRJ-UHFFFAOYSA-N 0.000 description 6
- IAZDPXIOMUYVGZ-WFGJKAKNSA-N Dimethyl sulfoxide Chemical compound [2H]C([2H])([2H])S(=O)C([2H])([2H])[2H] IAZDPXIOMUYVGZ-WFGJKAKNSA-N 0.000 description 6
- ZMXDDKWLCZADIW-UHFFFAOYSA-N N,N-Dimethylformamide Chemical compound CN(C)C=O ZMXDDKWLCZADIW-UHFFFAOYSA-N 0.000 description 6
- HEMHJVSKTPXQMS-UHFFFAOYSA-M Sodium hydroxide Chemical compound [OH-].[Na+] HEMHJVSKTPXQMS-UHFFFAOYSA-M 0.000 description 6
- 229910052783 alkali metal Inorganic materials 0.000 description 6
- 239000002585 base Substances 0.000 description 6
- TYJJADVDDVDEDZ-UHFFFAOYSA-M potassium hydrogencarbonate Chemical compound [K+].OC([O-])=O TYJJADVDDVDEDZ-UHFFFAOYSA-M 0.000 description 6
- YLQBMQCUIZJEEH-UHFFFAOYSA-N tetrahydrofuran Natural products C=1C=COC=1 YLQBMQCUIZJEEH-UHFFFAOYSA-N 0.000 description 6
- 239000007864 aqueous solution Substances 0.000 description 5
- 229910000030 sodium bicarbonate Inorganic materials 0.000 description 5
- 235000017557 sodium bicarbonate Nutrition 0.000 description 5
- 239000011780 sodium chloride Substances 0.000 description 5
- 239000002904 solvent Substances 0.000 description 5
- 239000007858 starting material Substances 0.000 description 5
- NLXLAEXVIDQMFP-UHFFFAOYSA-N Ammonia chloride Chemical compound [NH4+].[Cl-] NLXLAEXVIDQMFP-UHFFFAOYSA-N 0.000 description 4
- HEDRZPFGACZZDS-UHFFFAOYSA-N Chloroform Chemical compound ClC(Cl)Cl HEDRZPFGACZZDS-UHFFFAOYSA-N 0.000 description 4
- 150000007513 acids Chemical class 0.000 description 4
- 125000003118 aryl group Chemical group 0.000 description 4
- 238000000354 decomposition reaction Methods 0.000 description 4
- 150000002148 esters Chemical group 0.000 description 4
- 125000000623 heterocyclic group Chemical group 0.000 description 4
- 238000002844 melting Methods 0.000 description 4
- 230000008018 melting Effects 0.000 description 4
- BDAGIHXWWSANSR-UHFFFAOYSA-N methanoic acid Natural products OC=O BDAGIHXWWSANSR-UHFFFAOYSA-N 0.000 description 4
- 125000001181 organosilyl group Chemical class [SiH3]* 0.000 description 4
- 229920002554 vinyl polymer Polymers 0.000 description 4
- WFDIJRYMOXRFFG-UHFFFAOYSA-N Acetic anhydride Chemical compound CC(=O)OC(C)=O WFDIJRYMOXRFFG-UHFFFAOYSA-N 0.000 description 3
- CSCPPACGZOOCGX-UHFFFAOYSA-N Acetone Chemical compound CC(C)=O CSCPPACGZOOCGX-UHFFFAOYSA-N 0.000 description 3
- WEVYAHXRMPXWCK-UHFFFAOYSA-N Acetonitrile Chemical compound CC#N WEVYAHXRMPXWCK-UHFFFAOYSA-N 0.000 description 3
- 229930186147 Cephalosporin Natural products 0.000 description 3
- KWYUFKZDYYNOTN-UHFFFAOYSA-M Potassium hydroxide Chemical compound [OH-].[K+] KWYUFKZDYYNOTN-UHFFFAOYSA-M 0.000 description 3
- 125000003342 alkenyl group Chemical group 0.000 description 3
- 229940124587 cephalosporin Drugs 0.000 description 3
- 238000007796 conventional method Methods 0.000 description 3
- 238000001816 cooling Methods 0.000 description 3
- 150000002367 halogens Chemical class 0.000 description 3
- 230000007062 hydrolysis Effects 0.000 description 3
- 238000006460 hydrolysis reaction Methods 0.000 description 3
- 150000007529 inorganic bases Chemical class 0.000 description 3
- 239000003960 organic solvent Substances 0.000 description 3
- 125000001997 phenyl group Chemical group [H]C1=C([H])C([H])=C(*)C([H])=C1[H] 0.000 description 3
- 238000006722 reduction reaction Methods 0.000 description 3
- 125000001424 substituent group Chemical group 0.000 description 3
- JOXIMZWYDAKGHI-UHFFFAOYSA-N toluene-4-sulfonic acid Chemical compound CC1=CC=C(S(O)(=O)=O)C=C1 JOXIMZWYDAKGHI-UHFFFAOYSA-N 0.000 description 3
- 125000000391 vinyl group Chemical group [H]C([*])=C([H])[H] 0.000 description 3
- MASDFXZJIDNRTR-UHFFFAOYSA-N 1,3-bis(trimethylsilyl)urea Chemical compound C[Si](C)(C)NC(=O)N[Si](C)(C)C MASDFXZJIDNRTR-UHFFFAOYSA-N 0.000 description 2
- 125000003903 2-propenyl group Chemical group [H]C([*])([H])C([H])=C([H])[H] 0.000 description 2
- OSWFIVFLDKOXQC-UHFFFAOYSA-N 4-(3-methoxyphenyl)aniline Chemical compound COC1=CC=CC(C=2C=CC(N)=CC=2)=C1 OSWFIVFLDKOXQC-UHFFFAOYSA-N 0.000 description 2
- ZCYVEMRRCGMTRW-UHFFFAOYSA-N 7553-56-2 Chemical compound [I] ZCYVEMRRCGMTRW-UHFFFAOYSA-N 0.000 description 2
- WKBOTKDWSSQWDR-UHFFFAOYSA-N Bromine atom Chemical compound [Br] WKBOTKDWSSQWDR-UHFFFAOYSA-N 0.000 description 2
- RMCXNEWFCJXTKB-UHFFFAOYSA-M CN(C=O)C.NC=1SC=C(N1)C(C(=O)[O-])=NOC(C)=O.[Na+] Chemical compound CN(C=O)C.NC=1SC=C(N1)C(C(=O)[O-])=NOC(C)=O.[Na+] RMCXNEWFCJXTKB-UHFFFAOYSA-M 0.000 description 2
- VTYYLEPIZMXCLO-UHFFFAOYSA-L Calcium carbonate Chemical compound [Ca+2].[O-]C([O-])=O VTYYLEPIZMXCLO-UHFFFAOYSA-L 0.000 description 2
- OKTJSMMVPCPJKN-UHFFFAOYSA-N Carbon Chemical compound [C] OKTJSMMVPCPJKN-UHFFFAOYSA-N 0.000 description 2
- ZAMOUSCENKQFHK-UHFFFAOYSA-N Chlorine atom Chemical compound [Cl] ZAMOUSCENKQFHK-UHFFFAOYSA-N 0.000 description 2
- CSNNHWWHGAXBCP-UHFFFAOYSA-L Magnesium sulfate Chemical compound [Mg+2].[O-][S+2]([O-])([O-])[O-] CSNNHWWHGAXBCP-UHFFFAOYSA-L 0.000 description 2
- 229930182555 Penicillin Natural products 0.000 description 2
- JUJWROOIHBZHMG-UHFFFAOYSA-N Pyridine Chemical compound C1=CC=NC=C1 JUJWROOIHBZHMG-UHFFFAOYSA-N 0.000 description 2
- CDBYLPFSWZWCQE-UHFFFAOYSA-L Sodium Carbonate Chemical compound [Na+].[Na+].[O-]C([O-])=O CDBYLPFSWZWCQE-UHFFFAOYSA-L 0.000 description 2
- DTQVDTLACAAQTR-UHFFFAOYSA-N Trifluoroacetic acid Chemical compound OC(=O)C(F)(F)F DTQVDTLACAAQTR-UHFFFAOYSA-N 0.000 description 2
- 125000002777 acetyl group Chemical group [H]C([H])([H])C(*)=O 0.000 description 2
- 125000001931 aliphatic group Chemical group 0.000 description 2
- 229910052784 alkaline earth metal Inorganic materials 0.000 description 2
- 125000004453 alkoxycarbonyl group Chemical group 0.000 description 2
- 125000005103 alkyl silyl group Chemical group 0.000 description 2
- 125000004390 alkyl sulfonyl group Chemical group 0.000 description 2
- 235000019270 ammonium chloride Nutrition 0.000 description 2
- 230000000845 anti-microbial effect Effects 0.000 description 2
- SIOVKLKJSOKLIF-UHFFFAOYSA-N bis(trimethylsilyl)acetamide Chemical compound C[Si](C)(C)OC(C)=N[Si](C)(C)C SIOVKLKJSOKLIF-UHFFFAOYSA-N 0.000 description 2
- GDTBXPJZTBHREO-UHFFFAOYSA-N bromine Substances BrBr GDTBXPJZTBHREO-UHFFFAOYSA-N 0.000 description 2
- 229910052794 bromium Inorganic materials 0.000 description 2
- 125000004432 carbon atom Chemical group C* 0.000 description 2
- 239000003795 chemical substances by application Substances 0.000 description 2
- 239000000460 chlorine Substances 0.000 description 2
- 229910052801 chlorine Inorganic materials 0.000 description 2
- 239000013078 crystal Substances 0.000 description 2
- 238000000921 elemental analysis Methods 0.000 description 2
- 125000001495 ethyl group Chemical group [H]C([H])([H])C([H])([H])* 0.000 description 2
- 235000019253 formic acid Nutrition 0.000 description 2
- XLYOFNOQVPJJNP-ZSJDYOACSA-N heavy water Substances [2H]O[2H] XLYOFNOQVPJJNP-ZSJDYOACSA-N 0.000 description 2
- 125000004051 hexyl group Chemical group [H]C([H])([H])C([H])([H])C([H])([H])C([H])([H])C([H])([H])C([H])([H])* 0.000 description 2
- 239000011630 iodine Substances 0.000 description 2
- 229910052740 iodine Inorganic materials 0.000 description 2
- 150000007522 mineralic acids Chemical class 0.000 description 2
- 229910052757 nitrogen Inorganic materials 0.000 description 2
- 125000004433 nitrogen atom Chemical group N* 0.000 description 2
- 150000007530 organic bases Chemical class 0.000 description 2
- 239000012044 organic layer Substances 0.000 description 2
- UHZYTMXLRWXGPK-UHFFFAOYSA-N phosphorus pentachloride Chemical compound ClP(Cl)(Cl)(Cl)Cl UHZYTMXLRWXGPK-UHFFFAOYSA-N 0.000 description 2
- XHXFXVLFKHQFAL-UHFFFAOYSA-N phosphoryl trichloride Chemical compound ClP(Cl)(Cl)=O XHXFXVLFKHQFAL-UHFFFAOYSA-N 0.000 description 2
- SCVFZCLFOSHCOH-UHFFFAOYSA-M potassium acetate Chemical compound [K+].CC([O-])=O SCVFZCLFOSHCOH-UHFFFAOYSA-M 0.000 description 2
- BWHMMNNQKKPAPP-UHFFFAOYSA-L potassium carbonate Chemical compound [K+].[K+].[O-]C([O-])=O BWHMMNNQKKPAPP-UHFFFAOYSA-L 0.000 description 2
- 239000011734 sodium Substances 0.000 description 2
- HXSSMGAEXOJQKH-UHFFFAOYSA-M sodium;2-(2-amino-1,3-thiazol-4-yl)-2-hydroxyiminoacetate;dihydrate Chemical compound O.O.[Na+].NC1=NC(C(=NO)C([O-])=O)=CS1 HXSSMGAEXOJQKH-UHFFFAOYSA-M 0.000 description 2
- 125000000999 tert-butyl group Chemical group [H]C([H])([H])C(*)(C([H])([H])[H])C([H])([H])[H] 0.000 description 2
- NYBWUHOMYZZKOR-UHFFFAOYSA-N tes-adt Chemical class C1=C2C(C#C[Si](CC)(CC)CC)=C(C=C3C(SC=C3)=C3)C3=C(C#C[Si](CC)(CC)CC)C2=CC2=C1SC=C2 NYBWUHOMYZZKOR-UHFFFAOYSA-N 0.000 description 2
- FYSNRJHAOHDILO-UHFFFAOYSA-N thionyl chloride Chemical compound ClS(Cl)=O FYSNRJHAOHDILO-UHFFFAOYSA-N 0.000 description 2
- 125000003944 tolyl group Chemical group 0.000 description 2
- 125000005023 xylyl group Chemical group 0.000 description 2
- 125000002861 (C1-C4) alkanoyl group Chemical group 0.000 description 1
- 125000004516 1,2,4-thiadiazol-5-yl group Chemical group S1N=CN=C1* 0.000 description 1
- ZVOKELDNQIOPEC-UHFFFAOYSA-N 1,2,4-thiadiazole-3-carbaldehyde Chemical compound O=CC=1N=CSN=1 ZVOKELDNQIOPEC-UHFFFAOYSA-N 0.000 description 1
- WSLDOOZREJYCGB-UHFFFAOYSA-N 1,2-Dichloroethane Chemical compound ClCCCl WSLDOOZREJYCGB-UHFFFAOYSA-N 0.000 description 1
- RYHBNJHYFVUHQT-UHFFFAOYSA-N 1,4-Dioxane Chemical compound C1COCCO1 RYHBNJHYFVUHQT-UHFFFAOYSA-N 0.000 description 1
- ORLCYMQZIPSODD-UHFFFAOYSA-N 1-chloro-2-[chloro(2,2,2-trichloroethoxy)phosphoryl]oxybenzene Chemical compound ClC1=CC=CC=C1OP(Cl)(=O)OCC(Cl)(Cl)Cl ORLCYMQZIPSODD-UHFFFAOYSA-N 0.000 description 1
- 125000006017 1-propenyl group Chemical group 0.000 description 1
- YQTCQNIPQMJNTI-UHFFFAOYSA-N 2,2-dimethylpropan-1-one Chemical group CC(C)(C)[C]=O YQTCQNIPQMJNTI-UHFFFAOYSA-N 0.000 description 1
- AMOYMEBHYUTMKJ-UHFFFAOYSA-N 2-(2-phenylethoxy)ethylbenzene Chemical compound C=1C=CC=CC=1CCOCCC1=CC=CC=C1 AMOYMEBHYUTMKJ-UHFFFAOYSA-N 0.000 description 1
- DAGTUXYYGAALIV-UHFFFAOYSA-N 2-[(6-hydroxy-4-oxo-2-sulfanylidene-1H-pyrimidin-5-yl)methylideneamino]acetic acid Chemical compound C(C(=O)O)N=CC1=C(NC(=S)NC1=O)O DAGTUXYYGAALIV-UHFFFAOYSA-N 0.000 description 1
- OBRMMFBYPFFKFA-UHFFFAOYSA-N 2-acetyloxyimino-2-(2-amino-1,3-thiazol-4-yl)acetic acid Chemical compound CC(=O)ON=C(C(O)=O)C1=CSC(N)=N1 OBRMMFBYPFFKFA-UHFFFAOYSA-N 0.000 description 1
- IKFFQQMQNFCTJA-UHFFFAOYSA-N 2-acetyloxyimino-2-(2-amino-1,3-thiazol-4-yl)acetic acid;dihydrate Chemical compound O.O.CC(=O)ON=C(C(O)=O)C1=CSC(N)=N1 IKFFQQMQNFCTJA-UHFFFAOYSA-N 0.000 description 1
- KKAXFYDPDIJKPR-UHFFFAOYSA-N 2-acetyloxyiminoacetic acid Chemical compound CC(=O)ON=CC(O)=O KKAXFYDPDIJKPR-UHFFFAOYSA-N 0.000 description 1
- 125000004974 2-butenyl group Chemical group C(C=CC)* 0.000 description 1
- BSKHPKMHTQYZBB-UHFFFAOYSA-N 2-methylpyridine Chemical class CC1=CC=CC=N1 BSKHPKMHTQYZBB-UHFFFAOYSA-N 0.000 description 1
- 125000004975 3-butenyl group Chemical group C(CC=C)* 0.000 description 1
- 125000004080 3-carboxypropanoyl group Chemical group O=C([*])C([H])([H])C([H])([H])C(O[H])=O 0.000 description 1
- 125000006042 4-hexenyl group Chemical group 0.000 description 1
- 125000006043 5-hexenyl group Chemical group 0.000 description 1
- XVMSFILGAMDHEY-UHFFFAOYSA-N 6-(4-aminophenyl)sulfonylpyridin-3-amine Chemical compound C1=CC(N)=CC=C1S(=O)(=O)C1=CC=C(N)C=N1 XVMSFILGAMDHEY-UHFFFAOYSA-N 0.000 description 1
- QTBSBXVTEAMEQO-UHFFFAOYSA-M Acetate Chemical compound CC([O-])=O QTBSBXVTEAMEQO-UHFFFAOYSA-M 0.000 description 1
- LSNNMFCWUKXFEE-UHFFFAOYSA-M Bisulfite Chemical compound OS([O-])=O LSNNMFCWUKXFEE-UHFFFAOYSA-M 0.000 description 1
- FEWJPZIEWOKRBE-JCYAYHJZSA-N Dextrotartaric acid Chemical compound OC(=O)[C@H](O)[C@@H](O)C(O)=O FEWJPZIEWOKRBE-JCYAYHJZSA-N 0.000 description 1
- XBPCUCUWBYBCDP-UHFFFAOYSA-N Dicyclohexylamine Chemical class C1CCCCC1NC1CCCCC1 XBPCUCUWBYBCDP-UHFFFAOYSA-N 0.000 description 1
- PXGOKWXKJXAPGV-UHFFFAOYSA-N Fluorine Chemical compound FF PXGOKWXKJXAPGV-UHFFFAOYSA-N 0.000 description 1
- BDAGIHXWWSANSR-UHFFFAOYSA-M Formate Chemical compound [O-]C=O BDAGIHXWWSANSR-UHFFFAOYSA-M 0.000 description 1
- CPELXLSAUQHCOX-UHFFFAOYSA-N Hydrogen bromide Chemical compound Br CPELXLSAUQHCOX-UHFFFAOYSA-N 0.000 description 1
- 239000002841 Lewis acid Substances 0.000 description 1
- AFVFQIVMOAPDHO-UHFFFAOYSA-N Methanesulfonic acid Chemical compound CS(O)(=O)=O AFVFQIVMOAPDHO-UHFFFAOYSA-N 0.000 description 1
- 241001024304 Mino Species 0.000 description 1
- 229910019142 PO4 Inorganic materials 0.000 description 1
- JGSARLDLIJGVTE-MBNYWOFBSA-N Penicillin G Chemical compound N([C@H]1[C@H]2SC([C@@H](N2C1=O)C(O)=O)(C)C)C(=O)CC1=CC=CC=C1 JGSARLDLIJGVTE-MBNYWOFBSA-N 0.000 description 1
- YGYAWVDWMABLBF-UHFFFAOYSA-N Phosgene Chemical compound ClC(Cl)=O YGYAWVDWMABLBF-UHFFFAOYSA-N 0.000 description 1
- QOSMNYMQXIVWKY-UHFFFAOYSA-N Propyl levulinate Chemical compound CCCOC(=O)CCC(C)=O QOSMNYMQXIVWKY-UHFFFAOYSA-N 0.000 description 1
- VMHLLURERBWHNL-UHFFFAOYSA-M Sodium acetate Chemical compound [Na+].CC([O-])=O VMHLLURERBWHNL-UHFFFAOYSA-M 0.000 description 1
- UIIMBOGNXHQVGW-DEQYMQKBSA-M Sodium bicarbonate-14C Chemical compound [Na+].O[14C]([O-])=O UIIMBOGNXHQVGW-DEQYMQKBSA-M 0.000 description 1
- QAOWNCQODCNURD-UHFFFAOYSA-L Sulfate Chemical compound [O-]S([O-])(=O)=O QAOWNCQODCNURD-UHFFFAOYSA-L 0.000 description 1
- GSEJCLTVZPLZKY-UHFFFAOYSA-N Triethanolamine Chemical class OCCN(CCO)CCO GSEJCLTVZPLZKY-UHFFFAOYSA-N 0.000 description 1
- ZMANZCXQSJIPKH-UHFFFAOYSA-N Triethylamine Chemical class CCN(CC)CC ZMANZCXQSJIPKH-UHFFFAOYSA-N 0.000 description 1
- DTQVDTLACAAQTR-UHFFFAOYSA-M Trifluoroacetate Chemical compound [O-]C(=O)C(F)(F)F DTQVDTLACAAQTR-UHFFFAOYSA-M 0.000 description 1
- 125000004423 acyloxy group Chemical group 0.000 description 1
- 230000002411 adverse Effects 0.000 description 1
- 150000001298 alcohols Chemical class 0.000 description 1
- 229910000288 alkali metal carbonate Inorganic materials 0.000 description 1
- 150000008041 alkali metal carbonates Chemical class 0.000 description 1
- 150000008044 alkali metal hydroxides Chemical class 0.000 description 1
- 150000001340 alkali metals Chemical class 0.000 description 1
- 229910001860 alkaline earth metal hydroxide Inorganic materials 0.000 description 1
- 229910000316 alkaline earth metal phosphate Inorganic materials 0.000 description 1
- 125000003545 alkoxy group Chemical group 0.000 description 1
- 150000003973 alkyl amines Chemical class 0.000 description 1
- 125000000217 alkyl group Chemical group 0.000 description 1
- 125000004414 alkyl thio group Chemical group 0.000 description 1
- 125000000304 alkynyl group Chemical group 0.000 description 1
- 150000003863 ammonium salts Chemical class 0.000 description 1
- 150000008064 anhydrides Chemical class 0.000 description 1
- 239000004599 antimicrobial Substances 0.000 description 1
- 125000003435 aroyl group Chemical group 0.000 description 1
- JUHORIMYRDESRB-UHFFFAOYSA-N benzathine Chemical class C=1C=CC=CC=1CNCCNCC1=CC=CC=C1 JUHORIMYRDESRB-UHFFFAOYSA-N 0.000 description 1
- SRSXLGNVWSONIS-UHFFFAOYSA-M benzenesulfonate Chemical compound [O-]S(=O)(=O)C1=CC=CC=C1 SRSXLGNVWSONIS-UHFFFAOYSA-M 0.000 description 1
- 229940077388 benzenesulfonate Drugs 0.000 description 1
- SRSXLGNVWSONIS-UHFFFAOYSA-N benzenesulfonic acid Chemical compound OS(=O)(=O)C1=CC=CC=C1 SRSXLGNVWSONIS-UHFFFAOYSA-N 0.000 description 1
- 229940092714 benzenesulfonic acid Drugs 0.000 description 1
- PQNFLJBBNBOBRQ-UHFFFAOYSA-N benzocyclopentane Natural products C1=CC=C2CCCC2=C1 PQNFLJBBNBOBRQ-UHFFFAOYSA-N 0.000 description 1
- 125000003236 benzoyl group Chemical group [H]C1=C([H])C([H])=C(C([H])=C1[H])C(*)=O 0.000 description 1
- FFBHFFJDDLITSX-UHFFFAOYSA-N benzyl N-[2-hydroxy-4-(3-oxomorpholin-4-yl)phenyl]carbamate Chemical compound OC1=C(NC(=O)OCC2=CC=CC=C2)C=CC(=C1)N1CCOCC1=O FFBHFFJDDLITSX-UHFFFAOYSA-N 0.000 description 1
- 125000001584 benzyloxycarbonyl group Chemical group C(=O)(OCC1=CC=CC=C1)* 0.000 description 1
- 125000000484 butyl group Chemical group [H]C([*])([H])C([H])([H])C([H])([H])C([H])([H])[H] 0.000 description 1
- 125000004744 butyloxycarbonyl group Chemical group 0.000 description 1
- 125000004063 butyryl group Chemical group O=C([*])C([H])([H])C([H])([H])C([H])([H])[H] 0.000 description 1
- 239000006227 byproduct Substances 0.000 description 1
- 229910000019 calcium carbonate Inorganic materials 0.000 description 1
- AXCZMVOFGPJBDE-UHFFFAOYSA-L calcium dihydroxide Chemical compound [OH-].[OH-].[Ca+2] AXCZMVOFGPJBDE-UHFFFAOYSA-L 0.000 description 1
- 239000000920 calcium hydroxide Substances 0.000 description 1
- 229910001861 calcium hydroxide Inorganic materials 0.000 description 1
- 239000001506 calcium phosphate Substances 0.000 description 1
- 229910000389 calcium phosphate Inorganic materials 0.000 description 1
- 235000011010 calcium phosphates Nutrition 0.000 description 1
- 159000000007 calcium salts Chemical class 0.000 description 1
- 150000001732 carboxylic acid derivatives Chemical class 0.000 description 1
- 150000001735 carboxylic acids Chemical class 0.000 description 1
- 239000003054 catalyst Substances 0.000 description 1
- 238000010531 catalytic reduction reaction Methods 0.000 description 1
- 150000001780 cephalosporins Chemical class 0.000 description 1
- 125000002668 chloroacetyl group Chemical group ClCC(=O)* 0.000 description 1
- 125000002592 cumenyl group Chemical group C1(=C(C=CC=C1)*)C(C)C 0.000 description 1
- ZPWVASYFFYYZEW-UHFFFAOYSA-L dipotassium hydrogen phosphate Chemical compound [K+].[K+].OP([O-])([O-])=O ZPWVASYFFYYZEW-UHFFFAOYSA-L 0.000 description 1
- BNIILDVGGAEEIG-UHFFFAOYSA-L disodium hydrogen phosphate Chemical compound [Na+].[Na+].OP([O-])([O-])=O BNIILDVGGAEEIG-UHFFFAOYSA-L 0.000 description 1
- 150000002169 ethanolamines Chemical class 0.000 description 1
- 125000003754 ethoxycarbonyl group Chemical group C(=O)(OCC)* 0.000 description 1
- 125000005745 ethoxymethyl group Chemical group [H]C([H])([H])C([H])([H])OC([H])([H])* 0.000 description 1
- BTEPYCPXBCCSDL-BJMVGYQFSA-N ethyl (2e)-2-(2-amino-1,3-thiazol-4-yl)-2-hydroxyiminoacetate Chemical compound CCOC(=O)C(=N\O)\C1=CSC(N)=N1 BTEPYCPXBCCSDL-BJMVGYQFSA-N 0.000 description 1
- 125000004494 ethyl ester group Chemical group 0.000 description 1
- 125000002534 ethynyl group Chemical group [H]C#C* 0.000 description 1
- 239000000706 filtrate Substances 0.000 description 1
- 229910052731 fluorine Inorganic materials 0.000 description 1
- 239000011737 fluorine Substances 0.000 description 1
- 125000002485 formyl group Chemical group [H]C(*)=O 0.000 description 1
- 125000001475 halogen functional group Chemical group 0.000 description 1
- 125000005935 hexyloxycarbonyl group Chemical group 0.000 description 1
- 239000005457 ice water Substances 0.000 description 1
- 238000009776 industrial production Methods 0.000 description 1
- 125000000959 isobutyl group Chemical group [H]C([H])([H])C([H])(C([H])([H])[H])C([H])([H])* 0.000 description 1
- 125000001449 isopropyl group Chemical group [H]C([H])([H])C([H])(*)C([H])([H])[H] 0.000 description 1
- 125000005928 isopropyloxycarbonyl group Chemical group [H]C([H])([H])C([H])(OC(*)=O)C([H])([H])[H] 0.000 description 1
- 239000010410 layer Substances 0.000 description 1
- 150000007517 lewis acids Chemical class 0.000 description 1
- ZLNQQNXFFQJAID-UHFFFAOYSA-L magnesium carbonate Chemical compound [Mg+2].[O-]C([O-])=O ZLNQQNXFFQJAID-UHFFFAOYSA-L 0.000 description 1
- 239000001095 magnesium carbonate Substances 0.000 description 1
- 229910000021 magnesium carbonate Inorganic materials 0.000 description 1
- VTHJTEIRLNZDEV-UHFFFAOYSA-L magnesium dihydroxide Chemical compound [OH-].[OH-].[Mg+2] VTHJTEIRLNZDEV-UHFFFAOYSA-L 0.000 description 1
- 239000000347 magnesium hydroxide Substances 0.000 description 1
- 229910001862 magnesium hydroxide Inorganic materials 0.000 description 1
- GVALZJMUIHGIMD-UHFFFAOYSA-H magnesium phosphate Chemical compound [Mg+2].[Mg+2].[Mg+2].[O-]P([O-])([O-])=O.[O-]P([O-])([O-])=O GVALZJMUIHGIMD-UHFFFAOYSA-H 0.000 description 1
- 239000004137 magnesium phosphate Substances 0.000 description 1
- 229910000157 magnesium phosphate Inorganic materials 0.000 description 1
- 229960002261 magnesium phosphate Drugs 0.000 description 1
- 235000010994 magnesium phosphates Nutrition 0.000 description 1
- 159000000003 magnesium salts Chemical class 0.000 description 1
- 229910052943 magnesium sulfate Inorganic materials 0.000 description 1
- 235000019341 magnesium sulphate Nutrition 0.000 description 1
- VZCYOOQTPOCHFL-UPHRSURJSA-N maleic acid Chemical compound OC(=O)\C=C/C(O)=O VZCYOOQTPOCHFL-UPHRSURJSA-N 0.000 description 1
- 125000001160 methoxycarbonyl group Chemical group [H]C([H])([H])OC(*)=O 0.000 description 1
- 125000004184 methoxymethyl group Chemical group [H]C([H])([H])OC([H])([H])* 0.000 description 1
- 150000004702 methyl esters Chemical class 0.000 description 1
- 125000002496 methyl group Chemical group [H]C([H])([H])* 0.000 description 1
- 125000004170 methylsulfonyl group Chemical group [H]C([H])([H])S(*)(=O)=O 0.000 description 1
- 244000000010 microbial pathogen Species 0.000 description 1
- 244000005700 microbiome Species 0.000 description 1
- 239000012046 mixed solvent Substances 0.000 description 1
- LWFWUJCJKPUZLV-UHFFFAOYSA-N n-trimethylsilylacetamide Chemical compound CC(=O)N[Si](C)(C)C LWFWUJCJKPUZLV-UHFFFAOYSA-N 0.000 description 1
- 125000001038 naphthoyl group Chemical group C1(=CC=CC2=CC=CC=C12)C(=O)* 0.000 description 1
- 125000001624 naphthyl group Chemical group 0.000 description 1
- 125000001971 neopentyl group Chemical group [H]C([*])([H])C(C([H])([H])[H])(C([H])([H])[H])C([H])([H])[H] 0.000 description 1
- 238000005580 one pot reaction Methods 0.000 description 1
- 150000007524 organic acids Chemical class 0.000 description 1
- 125000003431 oxalo group Chemical group 0.000 description 1
- 150000002923 oximes Chemical group 0.000 description 1
- 229940049954 penicillin Drugs 0.000 description 1
- 150000002960 penicillins Chemical class 0.000 description 1
- 125000001147 pentyl group Chemical group C(CCCC)* 0.000 description 1
- 125000001148 pentyloxycarbonyl group Chemical group 0.000 description 1
- UYWQUFXKFGHYNT-UHFFFAOYSA-N phenylmethyl ester of formic acid Natural products O=COCC1=CC=CC=C1 UYWQUFXKFGHYNT-UHFFFAOYSA-N 0.000 description 1
- 125000003170 phenylsulfonyl group Chemical group C1(=CC=CC=C1)S(=O)(=O)* 0.000 description 1
- NBIIXXVUZAFLBC-UHFFFAOYSA-K phosphate Chemical compound [O-]P([O-])([O-])=O NBIIXXVUZAFLBC-UHFFFAOYSA-K 0.000 description 1
- 239000010452 phosphate Substances 0.000 description 1
- 235000021317 phosphate Nutrition 0.000 description 1
- 125000005633 phthalidyl group Chemical group 0.000 description 1
- 125000000612 phthaloyl group Chemical group C(C=1C(C(=O)*)=CC=CC1)(=O)* 0.000 description 1
- 235000011056 potassium acetate Nutrition 0.000 description 1
- 229910000028 potassium bicarbonate Inorganic materials 0.000 description 1
- 235000015497 potassium bicarbonate Nutrition 0.000 description 1
- 239000011736 potassium bicarbonate Substances 0.000 description 1
- 229910000027 potassium carbonate Inorganic materials 0.000 description 1
- 235000011181 potassium carbonates Nutrition 0.000 description 1
- 159000000001 potassium salts Chemical class 0.000 description 1
- 125000001501 propionyl group Chemical group O=C([*])C([H])([H])C([H])([H])[H] 0.000 description 1
- 125000001436 propyl group Chemical group [H]C([*])([H])C([H])([H])C([H])([H])[H] 0.000 description 1
- 125000004742 propyloxycarbonyl group Chemical group 0.000 description 1
- 125000002568 propynyl group Chemical group [*]C#CC([H])([H])[H] 0.000 description 1
- UMJSCPRVCHMLSP-UHFFFAOYSA-N pyridine Natural products COC1=CC=CN=C1 UMJSCPRVCHMLSP-UHFFFAOYSA-N 0.000 description 1
- 150000003222 pyridines Chemical class 0.000 description 1
- 239000000376 reactant Substances 0.000 description 1
- 239000012429 reaction media Substances 0.000 description 1
- DCKVNWZUADLDEH-UHFFFAOYSA-N sec-butyl acetate Chemical compound CCC(C)OC(C)=O DCKVNWZUADLDEH-UHFFFAOYSA-N 0.000 description 1
- 239000001632 sodium acetate Substances 0.000 description 1
- 235000017281 sodium acetate Nutrition 0.000 description 1
- 229910000033 sodium borohydride Inorganic materials 0.000 description 1
- 239000012279 sodium borohydride Substances 0.000 description 1
- 229910000029 sodium carbonate Inorganic materials 0.000 description 1
- 159000000000 sodium salts Chemical class 0.000 description 1
- 229910052717 sulfur Inorganic materials 0.000 description 1
- 125000004434 sulfur atom Chemical group 0.000 description 1
- QAOWNCQODCNURD-UHFFFAOYSA-N sulfuric acid Substances OS(O)(=O)=O QAOWNCQODCNURD-UHFFFAOYSA-N 0.000 description 1
- 229940095064 tartrate Drugs 0.000 description 1
- 125000001981 tert-butyldimethylsilyl group Chemical group [H]C([H])([H])[Si]([H])(C([H])([H])[H])[*]C(C([H])([H])[H])(C([H])([H])[H])C([H])([H])[H] 0.000 description 1
- 125000005931 tert-butyloxycarbonyl group Chemical group [H]C([H])([H])C(OC(*)=O)(C([H])([H])[H])C([H])([H])[H] 0.000 description 1
- 125000001973 tert-pentyl group Chemical group [H]C([H])([H])C([H])([H])C(*)(C([H])([H])[H])C([H])([H])[H] 0.000 description 1
- 125000005425 toluyl group Chemical group 0.000 description 1
- 125000002088 tosyl group Chemical group [H]C1=C([H])C(=C([H])C([H])=C1C([H])([H])[H])S(*)(=O)=O 0.000 description 1
- VZCYOOQTPOCHFL-UHFFFAOYSA-N trans-butenedioic acid Natural products OC(=O)C=CC(O)=O VZCYOOQTPOCHFL-UHFFFAOYSA-N 0.000 description 1
- 125000005106 triarylsilyl group Chemical group 0.000 description 1
- QORWJWZARLRLPR-UHFFFAOYSA-H tricalcium bis(phosphate) Chemical compound [Ca+2].[Ca+2].[Ca+2].[O-]P([O-])([O-])=O.[O-]P([O-])([O-])=O QORWJWZARLRLPR-UHFFFAOYSA-H 0.000 description 1
- 125000000026 trimethylsilyl group Chemical group [H]C([H])([H])[Si]([*])(C([H])([H])[H])C([H])([H])[H] 0.000 description 1
- 125000003774 valeryl group Chemical group O=C([*])C([H])([H])C([H])([H])C([H])([H])C([H])([H])[H] 0.000 description 1
- 229920001567 vinyl ester resin Polymers 0.000 description 1
- 238000010792 warming Methods 0.000 description 1
Classifications
-
- C—CHEMISTRY; METALLURGY
- C07—ORGANIC CHEMISTRY
- C07D—HETEROCYCLIC COMPOUNDS
- C07D501/00—Heterocyclic compounds containing 5-thia-1-azabicyclo [4.2.0] octane ring systems, i.e. compounds containing a ring system of the formula:, e.g. cephalosporins; Such ring systems being further condensed, e.g. 2,3-condensed with an oxygen-, nitrogen- or sulfur-containing hetero ring
- C07D501/14—Compounds having a nitrogen atom directly attached in position 7
- C07D501/16—Compounds having a nitrogen atom directly attached in position 7 with a double bond between positions 2 and 3
- C07D501/20—7-Acylaminocephalosporanic or substituted 7-acylaminocephalosporanic acids in which the acyl radicals are derived from carboxylic acids
- C07D501/22—7-Acylaminocephalosporanic or substituted 7-acylaminocephalosporanic acids in which the acyl radicals are derived from carboxylic acids with radicals containing only hydrogen and carbon atoms, attached in position 3
Landscapes
- Chemical & Material Sciences (AREA)
- Organic Chemistry (AREA)
- Cephalosporin Compounds (AREA)
- Thiazole And Isothizaole Compounds (AREA)
Abstract
Description
Claims (6)
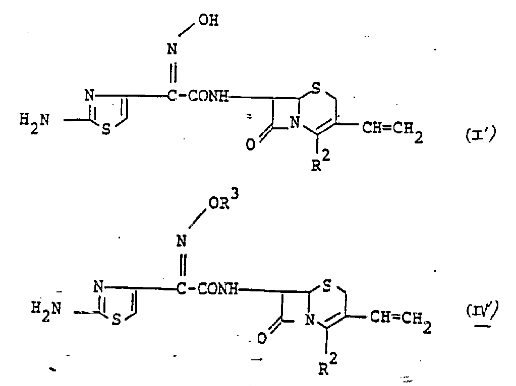
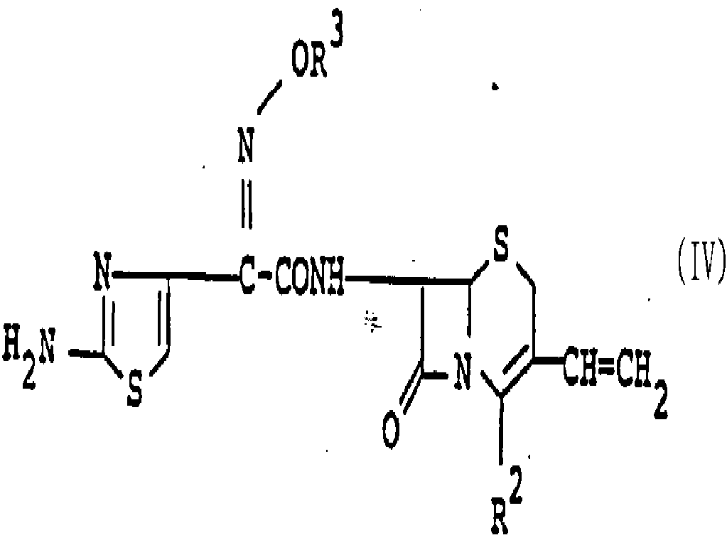
- 제4항에 있어서, 2-(2-아미노티아졸-4-일)-2-아세톡시이미노아세틸 클로라이드 하이드로클로라이드 (신(syn) 이성체)인 화합물.
Applications Claiming Priority (2)
| Application Number | Priority Date | Filing Date | Title |
|---|---|---|---|
| GB8800295 | 1988-01-07 | ||
| GB888800295A GB8800295D0 (en) | 1988-01-07 | 1988-01-07 | Process for preparation of 7-(2-amino-thiazol-4-y)-2-hydroxyimino-acetanidol-3-cephem compounds |
Publications (2)
| Publication Number | Publication Date |
|---|---|
| KR890011893A KR890011893A (ko) | 1989-08-23 |
| KR0140887B1 true KR0140887B1 (ko) | 1998-06-01 |
Family
ID=10629612
Family Applications (1)
| Application Number | Title | Priority Date | Filing Date |
|---|---|---|---|
| KR1019890000027A Expired - Lifetime KR0140887B1 (ko) | 1988-01-07 | 1989-01-05 | 7-[2-(2-아미노티아졸-4-일)-2-하이드록시이미노아세타미도]-3-세펨 화합물의 제조방법 |
Country Status (5)
| Country | Link |
|---|---|
| JP (1) | JP2600878B2 (ko) |
| KR (1) | KR0140887B1 (ko) |
| CA (1) | CA1340604C (ko) |
| ES (1) | ES2013828A6 (ko) |
| GB (1) | GB8800295D0 (ko) |
Families Citing this family (10)
| Publication number | Priority date | Publication date | Assignee | Title |
|---|---|---|---|---|
| KR100342600B1 (ko) * | 2000-03-06 | 2002-07-04 | 한미정밀화학주식회사 | 신규한 티아졸 화합물 및 그의 제조 방법 |
| KR100392409B1 (ko) * | 2000-03-20 | 2003-07-22 | 한미정밀화학주식회사 | 신규한 티아졸 화합물을 이용한 세팔로스포린계항생물질의 제조 방법 |
| JP2004149412A (ja) * | 2000-06-21 | 2004-05-27 | Fujisawa Pharmaceut Co Ltd | 7−[2−(2−アミノチアゾール−4−イル)−2−低級アルコキシカルボニルメトキシイミノアセトアミド]−3−セフェム化合物の製造法 |
| KR100451672B1 (ko) * | 2001-06-05 | 2004-10-08 | 한미약품 주식회사 | 결정성 세프디니르 산부가염, 이의 제조방법 및 이를이용한 세프디니르의 제조방법 |
| ATE501154T1 (de) | 2002-08-13 | 2011-03-15 | Sandoz Ag | Ein cefdinir-zwischenprodukt |
| WO2004104010A1 (en) * | 2003-05-20 | 2004-12-02 | Ranbaxy Laboratories Limited | Crystalline form of cefdinir |
| US7105659B2 (en) * | 2003-06-02 | 2006-09-12 | Aurobind - Pharma Ltd. | Process for preparing cefdinir |
| GB0416379D0 (en) * | 2004-07-22 | 2004-08-25 | Sandoz Ag | Organic compounds |
| GB0416380D0 (en) * | 2004-07-22 | 2004-08-25 | Sandoz Ag | Organic compounds |
| CN113372292A (zh) * | 2021-06-29 | 2021-09-10 | 山东昌邑四方医药化工有限公司 | 头孢他啶侧链酸的制备方法 |
-
1988
- 1988-01-07 GB GB888800295A patent/GB8800295D0/en active Pending
- 1988-12-28 JP JP63330966A patent/JP2600878B2/ja not_active Expired - Lifetime
-
1989
- 1989-01-05 ES ES8900046A patent/ES2013828A6/es not_active Expired - Fee Related
- 1989-01-05 KR KR1019890000027A patent/KR0140887B1/ko not_active Expired - Lifetime
- 1989-01-06 CA CA000587693A patent/CA1340604C/en not_active Expired - Lifetime
Also Published As
| Publication number | Publication date |
|---|---|
| JPH02790A (ja) | 1990-01-05 |
| KR890011893A (ko) | 1989-08-23 |
| CA1340604C (en) | 1999-06-22 |
| GB8800295D0 (en) | 1988-02-10 |
| ES2013828A6 (es) | 1990-06-01 |
| JP2600878B2 (ja) | 1997-04-16 |
Similar Documents
| Publication | Publication Date | Title |
|---|---|---|
| KR0140887B1 (ko) | 7-[2-(2-아미노티아졸-4-일)-2-하이드록시이미노아세타미도]-3-세펨 화합물의 제조방법 | |
| US5387679A (en) | Process for the preparation of cephalosporins intermediates | |
| HU195664B (en) | Process for producing cepheme derivatives and pharmaceutical compositions containing them | |
| JP3713282B2 (ja) | 3−(2−置換−ビニル)−セファロスポリンのz異性体の選択的製造方法 | |
| US5359058A (en) | Cephem derivatives | |
| DK163584B (da) | 7-amino-3-propenylcephalosporinsyrederivater samt fremgangsmaade til fremstilling deraf | |
| AU654384B2 (en) | Preparation of a cephalosporin antibiotic using the syn-isomer of a thiazolyl intermediate | |
| JP4022070B2 (ja) | 新規チアゾール化合物およびその製造方法 | |
| US4888429A (en) | Process for producing allyl aminothiazole acetate intermediates | |
| US4148997A (en) | 7-[Sulfomethyl)phenyl]acetamidocephalosporin derivatives | |
| HU212782B (en) | Water-free acylating process for stereospecifical producing antibioticum cephepim-dihydrochloride-hydrate | |
| CS196371B2 (en) | Method of preparing 2-lower alkyl-7-substituted 2-or 3-cephem-4-carboxylic acids | |
| JPS6341914B2 (ko) | ||
| US3704297A (en) | 7 - (1,4 - cyclohexadienylacylamido)cephalosporanic acids and related compounds | |
| JP2004149412A (ja) | 7−[2−(2−アミノチアゾール−4−イル)−2−低級アルコキシカルボニルメトキシイミノアセトアミド]−3−セフェム化合物の製造法 | |
| US5162522A (en) | Method for producing cephem compounds | |
| US5969131A (en) | Cephem compound, its production and its use for producing cephem antibiotics | |
| EP0382268B1 (en) | New amino carboxylic acid derivatives | |
| KR810000635B1 (ko) | 세팔로스포린 화합물의 제조법 | |
| KR840002142B1 (ko) | 7α-메톡시세팔로스포린 유도체의 제조방법 | |
| US4226806A (en) | 7-[(Sulfomethyl)phenyl]acetamidocephalosporin derivatives | |
| KR810000636B1 (ko) | 세팔로스포린 화합물의 제조법 | |
| KR810000637B1 (ko) | 세팔로스포린 화합물의 제조법 | |
| FI72122C (fi) | Foerfarande foer framstaellning av derivat av kefalosporin. | |
| KR900003562B1 (ko) | 실릴세팔로스포린 화합물의 제조방법 |
Legal Events
| Date | Code | Title | Description |
|---|---|---|---|
| PA0109 | Patent application |
Patent event code: PA01091R01D Comment text: Patent Application Patent event date: 19890105 |
|
| PG1501 | Laying open of application | ||
| A201 | Request for examination | ||
| PA0201 | Request for examination |
Patent event code: PA02012R01D Patent event date: 19940104 Comment text: Request for Examination of Application Patent event code: PA02011R01I Patent event date: 19890105 Comment text: Patent Application |
|
| E902 | Notification of reason for refusal | ||
| PE0902 | Notice of grounds for rejection |
Comment text: Notification of reason for refusal Patent event date: 19970722 Patent event code: PE09021S01D |
|
| E701 | Decision to grant or registration of patent right | ||
| PE0701 | Decision of registration |
Patent event code: PE07011S01D Comment text: Decision to Grant Registration Patent event date: 19980113 |
|
| GRNT | Written decision to grant | ||
| PR0701 | Registration of establishment |
Comment text: Registration of Establishment Patent event date: 19980316 Patent event code: PR07011E01D |
|
| PR1002 | Payment of registration fee |
Payment date: 19980316 End annual number: 3 Start annual number: 1 |
|
| PG1601 | Publication of registration | ||
| PR1001 | Payment of annual fee |
Payment date: 20010307 Start annual number: 4 End annual number: 4 |
|
| PR1001 | Payment of annual fee |
Payment date: 20020307 Start annual number: 5 End annual number: 5 |
|
| PR1001 | Payment of annual fee |
Payment date: 20030311 Start annual number: 6 End annual number: 6 |
|
| PR1001 | Payment of annual fee |
Payment date: 20040310 Start annual number: 7 End annual number: 7 |
|
| PR1001 | Payment of annual fee |
Payment date: 20050309 Start annual number: 8 End annual number: 8 |
|
| PR1001 | Payment of annual fee |
Payment date: 20060313 Start annual number: 9 End annual number: 9 |
|
| PR1001 | Payment of annual fee |
Payment date: 20070313 Start annual number: 10 End annual number: 10 |
|
| PR1001 | Payment of annual fee |
Payment date: 20080310 Start annual number: 11 End annual number: 11 |
|
| PR1001 | Payment of annual fee |
Payment date: 20090311 Start annual number: 12 End annual number: 12 |
|
| PR1001 | Payment of annual fee |
Payment date: 20100310 Start annual number: 13 End annual number: 13 |
|
| PR1001 | Payment of annual fee |
Payment date: 20110223 Start annual number: 14 End annual number: 14 |
|
| FPAY | Annual fee payment |
Payment date: 20120223 Year of fee payment: 15 |
|
| PR1001 | Payment of annual fee |
Payment date: 20120223 Start annual number: 15 End annual number: 15 |
|
| EXPY | Expiration of term | ||
| PC1801 | Expiration of term |
Termination date: 20131022 Termination category: Expiration of duration |












