JP7052258B2 - エレクトレット繊維シート、およびエアフィルター濾材 - Google Patents
エレクトレット繊維シート、およびエアフィルター濾材 Download PDFInfo
- Publication number
- JP7052258B2 JP7052258B2 JP2017165221A JP2017165221A JP7052258B2 JP 7052258 B2 JP7052258 B2 JP 7052258B2 JP 2017165221 A JP2017165221 A JP 2017165221A JP 2017165221 A JP2017165221 A JP 2017165221A JP 7052258 B2 JP7052258 B2 JP 7052258B2
- Authority
- JP
- Japan
- Prior art keywords
- fiber sheet
- electret
- electret fiber
- collection efficiency
- water
- Prior art date
- Legal status (The legal status is an assumption and is not a legal conclusion. Google has not performed a legal analysis and makes no representation as to the accuracy of the status listed.)
- Active
Links
Images
Landscapes
- Filtering Materials (AREA)
- Electrostatic Separation (AREA)
- Chemical Or Physical Treatment Of Fibers (AREA)
- Artificial Filaments (AREA)
- Nonwoven Fabrics (AREA)
Description
タテ×ヨコ=15cm×15cmのエレクトレット繊維シートの質量を1サンプルについて測定した。得られた値を1m2当たりの値に換算し、小数点以下第1位を四捨五入して、エレクトレット繊維シートの目付(g/m2)を算出した。
平均単繊維径については、エレクトレット繊維シートの任意の場所から、3mm×3mmの測定サンプルを10個採取し、走査型電子顕微鏡で倍率を1000~3000倍に調節して、採取した測定サンプルから繊維表面写真を各1枚ずつ、計10枚を撮影した。写真の中の繊維直径(単繊維径)がはっきり確認できる繊維について単繊維径を測定し、平均した値の小数点以下第2位を四捨五入して平均単繊維径とした。
厚み計(テクロック社製“TECLOCK”(登録商標)SM-114)を使用して、エレクトレット繊維シートの厚みを幅方向等間隔に10点測定し、その平均値から小数点以下第3位を四捨五入し、厚みとした。
エレクトレット繊維シートの幅方向5カ所で、タテ×ヨコ=15cm×15cmの測定用サンプルを採取し、それぞれのサンプルについて、図1に示す捕集効率測定装置を用いて捕集効率を測定した。この図1の捕集効率測定装置は、測定サンプルMをセットするサンプルホルダー1の上流側に、ダスト収納箱2を連結し、下流側に流量計3、流量調整バルブ4およびブロワ5を連結している。また、サンプルホルダー1にパーティクルカウンター6を使用し、切替コック7を介して、測定サンプルMの上流側のダスト個数と下流側のダスト個数とをそれぞれ測定することができる。さらに、サンプルホルダー1は圧力計8を備え、測定サンプルMの上流と下流での静圧差を読み取ることができる。
・捕集効率(%)=〔1-(d/D)〕×100
(ただし、dは下流ダストの3回測定トータル個数を表し、Dは上流のダストの3回測定トータル個数を表す。)
(5)捕集効率維持率(%)
エレクトレット繊維シートをタテ×ヨコ=15cm×15cmにカットし、それぞれのサンプルについて、110℃、120℃、140℃に設定した熱風乾燥機(エスペック(株)TABAI PHH-100)の中に吊り下げた状態で5分間熱処理した。熱処理したサンプルの捕集効率を前記(3)の方法によって測定し、下記の計算式を用いて、熱処理前後の捕集効率維持率を計算し、3個の測定サンプルの平均値を最終的な熱処理前後の捕集効率維持率とした。
・捕集効率維持率(%)=(熱処理後の捕集効率/熱処理前の捕集効率)×100
[実施例1]
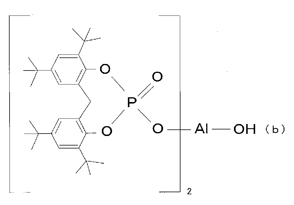
原料として、下記式(b)で表される“アデカスタブ”(登録商標)NA-21((株)ADEKA製))を0.3質量%およびヒンダードアミン系化合物“キマソーブ”(登録商標)944(BASFジャパン(株)製)を1質量%含むメルトフローレートが850g/10分のポリプロピレンを用いた。
原料として、実施例1で使用したポリプロピレンにNA-21を添加しないこと以外は、実施例1と同じ方法によりエレクトレット繊維シートを得た。
原料として、“アデカスタブ”(登録商標)NA-21((株)ADEKA製))を0.03質量%およびヒンダードアミン系化合物“キマソーブ”(登録商標)944(BASFジャパン(株)製)を1質量%含むこと以外は、実施例1と同じ条件でエレクトレット化されたメルトブロー不織布を得た。
2:ダスト収納箱
3:流量計
4:流量調整バルブ
5:ブロワ
6:パーティクルカウンター
7:切替コック
8:圧力計
M:測定サンプル
Claims (3)
- メルトブロー不織布からなる、請求項1に記載のエレクトレット繊維シート。
- 請求項1または2に記載のエレクトレット繊維シートからなるエアフィルター濾材。
Applications Claiming Priority (2)
| Application Number | Priority Date | Filing Date | Title |
|---|---|---|---|
| JP2016169280 | 2016-08-31 | ||
| JP2016169280 | 2016-08-31 |
Publications (2)
| Publication Number | Publication Date |
|---|---|
| JP2018040098A JP2018040098A (ja) | 2018-03-15 |
| JP7052258B2 true JP7052258B2 (ja) | 2022-04-12 |
Family
ID=61625187
Family Applications (1)
| Application Number | Title | Priority Date | Filing Date |
|---|---|---|---|
| JP2017165221A Active JP7052258B2 (ja) | 2016-08-31 | 2017-08-30 | エレクトレット繊維シート、およびエアフィルター濾材 |
Country Status (1)
| Country | Link |
|---|---|
| JP (1) | JP7052258B2 (ja) |
Families Citing this family (3)
| Publication number | Priority date | Publication date | Assignee | Title |
|---|---|---|---|---|
| CN114222781B (zh) * | 2019-08-21 | 2023-11-24 | 东洋纺Mc株式会社 | 驻极体及使用其的滤材 |
| US12409401B2 (en) | 2020-07-08 | 2025-09-09 | 3M Innovative Properties Company | Pleated filtration assembly comprising spunbonded prefilter |
| WO2025154527A1 (ja) * | 2024-01-17 | 2025-07-24 | 東レ株式会社 | エアフィルター用濾材、その製造方法およびそれを用いたエアフィルターユニット |
Citations (3)
| Publication number | Priority date | Publication date | Assignee | Title |
|---|---|---|---|---|
| JP2003260317A (ja) | 2002-03-08 | 2003-09-16 | Toyobo Co Ltd | エレクトレット濾材およびその製造方法 |
| JP2004058048A (ja) | 2002-06-06 | 2004-02-26 | Toyobo Co Ltd | エレクトレット濾材、及びその製造方法 |
| JP2004066026A (ja) | 2002-08-01 | 2004-03-04 | Toyobo Co Ltd | エレクトレット濾材の製造方法 |
-
2017
- 2017-08-30 JP JP2017165221A patent/JP7052258B2/ja active Active
Patent Citations (3)
| Publication number | Priority date | Publication date | Assignee | Title |
|---|---|---|---|---|
| JP2003260317A (ja) | 2002-03-08 | 2003-09-16 | Toyobo Co Ltd | エレクトレット濾材およびその製造方法 |
| JP2004058048A (ja) | 2002-06-06 | 2004-02-26 | Toyobo Co Ltd | エレクトレット濾材、及びその製造方法 |
| JP2004066026A (ja) | 2002-08-01 | 2004-03-04 | Toyobo Co Ltd | エレクトレット濾材の製造方法 |
Also Published As
| Publication number | Publication date |
|---|---|
| JP2018040098A (ja) | 2018-03-15 |
Similar Documents
| Publication | Publication Date | Title |
|---|---|---|
| US11154803B2 (en) | Electret fiber sheet | |
| JP7167432B2 (ja) | エレクトレット繊維シートおよびその製造方法 | |
| KR101997482B1 (ko) | 혼섬 부직포와 이것을 사용해서 이루어지는 여재 | |
| CN103717796A (zh) | 混纤长纤维无纺布 | |
| JP7255477B2 (ja) | 不織布およびこれを用いてなるエアフィルター濾材 | |
| JP5022987B2 (ja) | スパンボンド不織布およびそれを用いたエアフィルター | |
| TW201444691A (zh) | 混纖不織布及其製造方法 | |
| JP7052258B2 (ja) | エレクトレット繊維シート、およびエアフィルター濾材 | |
| JP4905340B2 (ja) | エレクトレット繊維シート | |
| JP2018095974A (ja) | エレクトレット繊維シートおよびエアフィルター濾材 | |
| JP2009203580A (ja) | エレクトレットメルトブロー不織布 | |
| JP2016176173A (ja) | 極細繊維シート | |
| JP2018071018A (ja) | エレクトレット繊維シート | |
| KR102466690B1 (ko) | 일렉트릿 섬유 시트 | |
| JP2020196974A (ja) | メルトブロー不織布製造用口金ならびにメルトブロー不織布の製造装置および製造方法 | |
| JP2015196920A (ja) | 混繊不織布 | |
| JP2023115977A (ja) | エレクトレット繊維シートおよびエレクトレット繊維シートの製造方法 | |
| JP7226655B1 (ja) | エレクトレット繊維シートおよび積層シート、エアフィルター、エレクトレット繊維シートの製造方法 | |
| JP2008081894A (ja) | エレクトレット繊維シートおよびそれを用いたエアフィルター | |
| JP2024125774A (ja) | エレクトレット不織布 | |
| JP2018084001A (ja) | エレクトレット繊維シートの製造方法 | |
| WO2024085211A1 (ja) | 濾材及びフィルタ | |
| JP6039897B2 (ja) | エレクトレット化合成繊維シートの製造方法 | |
| JP2016160542A (ja) | 混繊不織布 |
Legal Events
| Date | Code | Title | Description |
|---|---|---|---|
| A621 | Written request for application examination |
Free format text: JAPANESE INTERMEDIATE CODE: A621 Effective date: 20200817 |
|
| A977 | Report on retrieval |
Free format text: JAPANESE INTERMEDIATE CODE: A971007 Effective date: 20210531 |
|
| A131 | Notification of reasons for refusal |
Free format text: JAPANESE INTERMEDIATE CODE: A131 Effective date: 20210629 |
|
| A601 | Written request for extension of time |
Free format text: JAPANESE INTERMEDIATE CODE: A601 Effective date: 20210820 |
|
| A521 | Request for written amendment filed |
Free format text: JAPANESE INTERMEDIATE CODE: A523 Effective date: 20210824 |
|
| A521 | Request for written amendment filed |
Free format text: JAPANESE INTERMEDIATE CODE: A523 Effective date: 20211020 |
|
| A521 | Request for written amendment filed |
Free format text: JAPANESE INTERMEDIATE CODE: A821 Effective date: 20211020 |
|
| TRDD | Decision of grant or rejection written | ||
| A01 | Written decision to grant a patent or to grant a registration (utility model) |
Free format text: JAPANESE INTERMEDIATE CODE: A01 Effective date: 20220301 |
|
| A61 | First payment of annual fees (during grant procedure) |
Free format text: JAPANESE INTERMEDIATE CODE: A61 Effective date: 20220314 |
|
| R151 | Written notification of patent or utility model registration |
Ref document number: 7052258 Country of ref document: JP Free format text: JAPANESE INTERMEDIATE CODE: R151 |





