JP2021136898A - アルコール発酵醪の管理方法、アルコール発酵醪の管理プログラム、及びアルコール発酵醪の管理装置、並びに酒類の製造方法 - Google Patents
アルコール発酵醪の管理方法、アルコール発酵醪の管理プログラム、及びアルコール発酵醪の管理装置、並びに酒類の製造方法 Download PDFInfo
- Publication number
- JP2021136898A JP2021136898A JP2020036363A JP2020036363A JP2021136898A JP 2021136898 A JP2021136898 A JP 2021136898A JP 2020036363 A JP2020036363 A JP 2020036363A JP 2020036363 A JP2020036363 A JP 2020036363A JP 2021136898 A JP2021136898 A JP 2021136898A
- Authority
- JP
- Japan
- Prior art keywords
- molar concentration
- fermentation
- mash
- alcohol
- mol
- Prior art date
- Legal status (The legal status is an assumption and is not a legal conclusion. Google has not performed a legal analysis and makes no representation as to the accuracy of the status listed.)
- Pending
Links
Images
Landscapes
- Micro-Organisms Or Cultivation Processes Thereof (AREA)
- Alcoholic Beverages (AREA)
Abstract
Description
また、横軸にアルコール分(アルコール度数)、縦軸にボーメ、又は日本酒度をプロットしたAB直線の変化を見ながら発酵予測を行う方法もよく知られている(例えば、非特許文献2参照)。
その他にも、日本酒度又はボーメと、アルコール度数とから求められる原エキス分によって醪の発酵状態を管理する方法も知られている(例えば、非特許文献3参照)。
理想的な温度設定や追水量を自動計算するコンピュータプログラムを使用しても、判断が適正でないことがあり、せっかくコンピュータを用いても、実使用に耐えないことがある。
よって、発酵醪では発酵が継続している限り、醪中のモル数が増えるので質量モル濃度(mol/kg)は必ず上昇する。醪中の質量モル濃度(mol/kg)が上昇すると、発酵醪の浸透圧が上昇し、酵母の生理機能にストレスを与えると考えられる。本発明者らは、ある質量モル濃度(mol/kg)を超えると発酵が急激に衰えることを発見した。
特に、醪に使用する酵母が発酵の限界をむかえる前記質量モル濃度(以下、本明細書では「限界質量モル濃度」と称することがある)は、醪の醸造方法によって特異的な値をとり酵母の発酵能に大きな影響を与えることを発見した。本発明のアルコール発酵醪の発酵管理方法は、前記限界質量モル濃度を超えないように発酵させた場合の前記質量モル濃度(以下、本明細書では「理想質量モル濃度」と称することがある)を参照しながら発酵管理を行う方法である。
<1> アルコール発酵の醪に含まれる溶質のモル濃度(mol/kg)を質量モル濃度としたとき、前記質量モル濃度と、発酵経過時間との関係を示す質量モル濃度線における前記質量モル濃度の最大値が、前記アルコール発酵の前記醪に使用する酵母が発酵の限界をむかえるときの前記質量モル濃度である限界質量モル濃度を超えないように発酵させたときにおける、前記発酵経過時間に対応した理想質量モル濃度の情報を予め取得し、
前記アルコール発酵の開始から所定時間経過後に取得した前記醪の取得質量モル濃度Xと、前記所定時間に対応する前記理想質量モル濃度Yとを対比し、
前記取得質量モル濃度Xが、
1.02Y以上であるときは前記醪に対して水の追加する、発酵管理を行う発酵管理工程を含む、
ことを特徴とするアルコール発酵醪の管理方法である。
<2> 前記限界質量モル濃度が、下記条件を満たす、前記<1>に記載のアルコール発酵醪の管理方法である。
<条件>
一の時点と前記一の時点から24時間後の時点との、日本酒度(NS)及びアルコール度数(Alc)から算出される、
単位時間当たりの日本酒度の増加量ΔNSと、単位時間当たりのアルコール度数の増加量ΔAlcとが、下記式(I−a)及び式(I−b)を前記一の時点から24時間後の時点まで継続して満たしたときの前記一の時点から24時間後の時点の前記醪の質量モル濃度(mol/kg)
ΔNS≦1.0・・・式(I−a)
ΔAlc≦0.2・・式(I−b)
<3> 前記水の追加が、前記取得質量モル濃度の大きさに応じて行われる、前記<1>から<2>のいずれかに記載のアルコール発酵醪の管理方法である。
<4> 前記取得質量モル濃度Xが、前記所定時間の前記理想質量モル濃度Yよりも1.01Y以上1.02Y未満の値であるときも前記醪に対して水の追加を行う、前記<1>から<3>のいずれかに記載のアルコール発酵醪の管理方法である。
<5> 前記取得質量モル濃度が、前記醪の上清又はろ液における、エキス分(Ex)と、アルコール度数(Alc)とに基づき、次の式(1)から算出された推定値である、前記<1>から<4>のいずれかに記載のアルコール発酵醪の管理方法である。
取得質量モル濃度(推定値)=α×(Ex)+β×(Alc)−γ・・・式(1)
但し、α、β及びγは定数を表す。
<6> 前記アルコール発酵が日本酒発酵であり、
前記αが0.1013であり、
前記βが0.2962であり、
前記γが1.536である、前記<5>に記載のアルコール発酵醪の管理方法である。
<7> 前記<1>から<6>に記載のアルコール発酵醪の管理方法を用いて酒類を製造することを特徴とする酒類の製造方法である。
<8> アルコール発酵の醪に含まれる溶質のモル濃度(mol/kg)を質量モル濃度としたとき、前記質量モル濃度と、発酵経過時間との関係を示す質量モル濃度線における前記質量モル濃度の最大値が、前記アルコール発酵の前記醪に使用する酵母が発酵の限界をむかえるときの前記質量モル濃度である限界質量モル濃度を超えないように発酵させたときにおける、前記発酵経過時間に対応した理想質量モル濃度の情報を予め取得し、
前記アルコール発酵の開始から所定時間経過後に取得した前記醪の取得質量モル濃度Xと、前記所定時間に対応する前記理想質量モル濃度Yとを対比し、
前記取得質量モル濃度Xが、
1.02Y以上であるときは前記醪に対して水の追加する、発酵管理を行う処理を、コンピュータに行わせる、
ことを特徴とするアルコール発酵醪の管理プログラムである。
<9> アルコール発酵の醪に含まれる溶質のモル濃度(mol/kg)を質量モル濃度としたとき、前記質量モル濃度と、発酵経過時間との関係を示す質量モル濃度線における前記質量モル濃度の最大値が、前記アルコール発酵の前記醪に使用する酵母が発酵の限界をむかえるときの前記質量モル濃度である限界質量モル濃度を超えないように発酵させたときにおける、前記発酵経過時間に対応した理想質量モル濃度の情報を予め取得し、
前記アルコール発酵の開始から所定時間経過後に取得した前記醪の取得質量モル濃度Xと、前記所定時間に対応する前記理想質量モル濃度Yとを対比し、
前記取得質量モル濃度Xが、
1.02Y以上であるときは前記醪に対して水の追加する、発酵管理を行う発酵管理手段を有する、
ことを特徴とするアルコール発酵醪の管理装置である。
本発明のアルコール発酵醪の管理方法は、
アルコール発酵の醪に含まれる溶質のモル濃度(mol/kg)を質量モル濃度としたとき、前記質量モル濃度と、発酵経過時間との関係を示す質量モル濃度線における前記質量モル濃度の最大値が、前記アルコール発酵の前記醪に使用する酵母が発酵の限界をむかえるときの前記質量モル濃度である限界質量モル濃度を超えないように発酵させたときにおける、前記発酵経過時間に対応した理想質量モル濃度の情報を予め取得し、
前記アルコール発酵の開始から所定時間経過後に取得した前記醪の取得質量モル濃度Xと、前記所定時間に対応する前記理想質量モル濃度Yとを対比し、
前記取得質量モル濃度Xが、
1.02Y以上であるときは前記醪に対して水の追加する、発酵管理を行う発酵管理工程を含み、更に必要に応じてその他の工程を含む。
本発明のアルコール発酵醪の管理装置は、
アルコール発酵の醪に含まれる溶質のモル濃度(mol/kg)を質量モル濃度としたとき、前記質量モル濃度と、発酵経過時間との関係を示す質量モル濃度線における前記質量モル濃度の最大値が、前記アルコール発酵の前記醪に使用する酵母が発酵の限界をむかえるときの前記質量モル濃度である限界質量モル濃度を超えないように発酵させたときにおける、前記発酵経過時間に対応した理想質量モル濃度の情報を予め取得し、
前記アルコール発酵の開始から所定時間経過後に取得した前記醪の取得質量モル濃度Xと、前記所定時間に対応する前記理想質量モル濃度Yとを対比し、
前記取得質量モル濃度Xが、
1.02Y以上であるときは前記醪に対して水の追加する、発酵管理を行う発酵管理手段を有し、更に必要に応じてその他の手段を有する。
本発明のアルコール発酵醪の管理プログラムは、
アルコール発酵の醪に含まれる溶質のモル濃度(mol/kg)を質量モル濃度としたとき、前記質量モル濃度と、発酵経過時間との関係を示す質量モル濃度線における前記質量モル濃度の最大値が、前記アルコール発酵の前記醪に使用する酵母が発酵の限界をむかえるときの前記質量モル濃度である限界質量モル濃度を超えないように発酵させたときにおける、前記発酵経過時間に対応した理想質量モル濃度の情報を予め取得し、
前記アルコール発酵の開始から所定時間経過後に取得した前記醪の取得質量モル濃度Xと、前記所定時間に対応する前記理想質量モル濃度Yとを対比し、
前記取得質量モル濃度Xが、
1.02Y以上であるときは前記醪に対して水の追加する、発酵管理を行う処理を、コンピュータに行わせ、更に必要に応じてその他の処理を行わせる。
本発明のアルコール発酵醪の管理方法は、本発明のアルコール発酵醪の管理方法に係るアルコール発酵醪の管理装置により好適に行うことができ、発酵管理工程は発酵管理手段により好適に行うことができ、その他の工程はその他の手段により行うことができる。
本発明のアルコール発酵醪の管理方法、アルコール発酵醪の管理装置、及びアルコール発酵醪の管理プログラムにおける、「質量モル濃度(mol/kg)」、「質量モル濃度線」、「限界質量モル濃度(mol/kg)」、及び「理想質量モル濃度(mol/kg)」についてまず説明する。
前記質量モル濃度(mol/kg)は、アルコール発酵の醪に含まれる溶質のモル濃度(mol/kg)の総和を意味する。
ここで、溶質には、通常、アルコール発酵の醪に含有されるものであれば特に制限はなく、例えば、エタノール、エキス分(グルコース、グリセロール、イソマルトース、αエチルグルコシド、イソマルトトリオースなどの糖類、乳酸、コハク酸などの有機酸、アラニン、アルギニン、グリシンなどのアミノ酸など不揮発性成分)が挙げられる。なお、「エキス分」については、下記説明において単位を付している場合には、「エキス分」の濃度を意味するものとする。
(1)醪の「凝固点降下度」又は「浸透圧」を直接測定することによりエタノールに換算した醪の質量モル濃度(mol/kg)を算出する方法
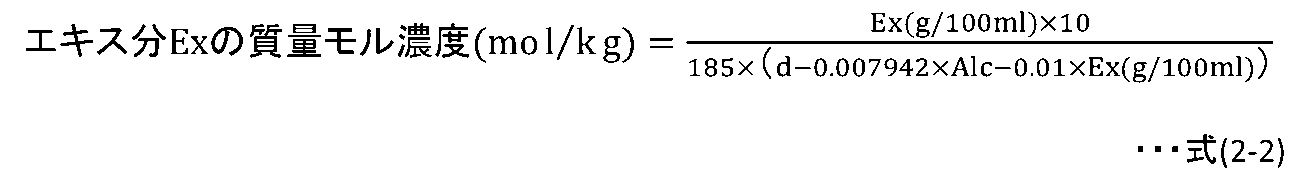
(2)醪の「日本酒度(NS)」、醪の「アルコール度数(Alc)」、及び「エキス分(g/100ml)」から、醪の「エキス分Exの質量モル濃度(mol/kg)」及び醪の「エタノールの質量モル濃度(mol/kg)」を算出し、得られた「エキス分Exの質量モル濃度(mol/kg)」及び醪の「エタノールの質量モル濃度(mol/kg)」を加算することにより算出する方法
(3)「グルコース濃度(g/100ml)」及び「エタノール濃度(v/v%)」は測定値を、「エキス分(g/100ml)」は、醪の「日本酒度(NS)」、「アルコール度数(Alc)」から「エキス分の近似値Ex(g/100ml)」を算出し、得られた「グルコース濃度(g/100ml)」と「エタノール濃度(v/v%)」と「エキス分の近似値Ex(g/100ml)」とから醪の質量モル濃度(mol/kg)を算出する方法
本発明者は、醪の「凝固点降下度」又は「浸透圧」を測定することにより、簡便に、醪の質量モル濃度の推定値(mol/kg)を算出することができることを見出した。
具体的には、本発明者は、醪の「凝固点降下度」又は「浸透圧」を測定することにより、エタノールに換算した醪の質量モル濃度(mol/kg)を算出し醪中の溶質のモル濃度の総和の推定値(mol/kg)を算出できることを見出した。
凝固点降下度や浸透圧は、存在する溶質分子の数だけに依存する性質(「束一的性質」と称することがある)である。溶質を溶媒に溶かすと溶媒の化学ポテンシャルが減少することを原因として、蒸気圧降下、沸点上昇、凝固点降下度、浸透圧といった現象が引き起こされる。溶質の濃度が十分に低ければ、溶媒の化学ポテンシャルの強度は溶質の種類に依存しなくなるため、束一的性質をもつ溶液は、溶質の種類によらず質量モル濃度(又はモル分率)の大小でその強度が決定付けられる。ファントホッフの法則としてよく知られるように、希薄溶液においては、浸透圧は溶質の種類に関わらず質量モル濃度に依存する。同じ束一的性質である凝固点降下度も同様に溶質の種類に関わらず質量モル濃度に依存する。
ここで、アルコール発酵醪は希薄溶液ではないが、発酵醪中に存在しうる濃度と同じ濃度の純粋のエタノール水溶液、及び発酵醪に存在しうる濃度と同じ濃度の純粋のグルコース水溶液の凝固点降下度と質量モル濃度はほぼ同じ挙動をとることが分かった(図1及び2参照)。なお、質量モル濃度に対する凝固点降下度の比例定数を実験的に求めたところ、エタノールは2.2075、グルコースは2.3295であった(図1参照)。なお、エタノールは発酵醪において「水」に次ぐ第二の主成分、グルコースは第三の主成分である。醪中の溶質の質量モル濃度としてエタノールとグルコースの合計は90%以上を占め、また両者の比例定数は、エタノールは2.2075、グルコースは2.329と類似していることから、醪の凝固点降下度から醪の溶質のモル濃度の総和をエタノール換算値として推定することができることを見出した。
なお、本発明者らが算出した日本酒の発酵醪中の主要成分の容量モル濃度(mol/L)と成分比率(%)の一例を下記表1に示す。
また、凝固点降下度は、市販の浸透圧計の出力値から測定することもできる(例えば、「日本臨床検査機器・試薬・システム振興協会」の「自動浸透圧測定装置 オズモステーション OM−6060」など参照)。
浸透圧は、市販の浸透圧計を使い、測定することができる。
図2に示すように、上記回帰式1は凝固点降下度の実測値とほぼ相関し、かつ誤差が小さいことが分かった。
エタノール換算の醪の質量モル濃度=ΔT’/2.2075
=(0.2237×Ex+0.6539×Alc−3.3898)/2.2075
=0.1013×Ex+0.2962×Alc−1.536・・・式(1−2)
から算出することができる。
醪の質量モル濃度(mol/kg)の推定値=α×(Ex)+β×(Alc)−γ・・・(式1−3)
但し、α、β及びγは定数を表す。
本発明においては、この「醪の質量モル濃度(mol/kg)の推定値」を後述する「取得質量モル濃度(推定値)」として用いることができる。
以下、本明細書では、式(1−3)から推定したこのエタノール換算の醪の質量モル濃度を「モル値」と称することがある。
醪中のエタノールの質量モル濃度(mol/kg)は、アルコール度数(Alc)から求めることができる。アルコール度数(Alc、vol%)とは、15℃における100ml中に存在するエタノールの容量(ml)であるので、エタノールの比重(15℃)を0.7942、エタノールの分子量を46.07すると、発酵醪のろ液1L中のエタノールのモル数は、Alc×0.7942×10/46.07(mol)である。
発酵醪の「比重(d)」(15℃)は、日本酒度(NS)の測定値から、下記式に基づいて求めることができる。
発酵醪のろ液1L中の水(溶媒)の重量(kg)は、ろ液の総重量1×d(kg)から、ろ液中のアルコール重量のAlc×0.7942/100(kg)、及びろ液中のエキス分(g/100ml)の重量のEx分/100(kg)を差し引いた、(d−0.007942×Alc―0.01×Ex分)である。
エキス分(g/100ml)は不揮発性の固形分のことを意味する。なお、発酵醪のろ液中の水及びエタノール以外の揮発性成分(沸点150℃以下の物質)は、総和しても1500mg/L程度の僅少であることが報告されている(例えば、非特許文献4を元に発明者が作成した下記表2参照)。そのため、発酵醪のろ液中の水及びエタノール以外の揮発性成分(沸点150℃以下の物質)は、水(溶媒)の重量を求めるに当たっては無視してもよい。
前記グルコースの濃度(g/100mL)を質量モル濃度(mol/kg)へ変換するには、下記式(3−1)を用いることで算出することができる。なお、式(3−1)中「Alc」は「アルコール度数」を、「d」は比重を、「Glc」は「グルコース濃度(g/100ml)」を、「Ex」はエキス分(g/100ml)を表す。
前記「グルコース以外のエキス分の質量モル濃度(mol/kg)」は、グルコース以外の平均分子量を190とすると、下記式(3−2)で求めることができる。なお、式(3−2)中「Alc」は「アルコール度数」を、「d」は比重を、「Glc」は「グルコース濃度(g/100ml)」を、「Ex」はエキス分(g/100ml)を表す。
前記質量モル濃度線は、前記質量モル濃度と、発酵経過時間との関係を示すデータを意味する。前記質量モル濃度線は、前記質量モル濃度と、前記発酵経過時間と、の関係を示す個々のデータそのもの自体であってもよく、データの集合から導き出される関数であってもよい。
その詳細は明らかではないが、前記質量モル濃度線は、醸造方法により変化することが本発明者の研究により明らかにされた(図3参照)。
前記限界質量モル濃度は、前記醪に使用する酵母が発酵の限界をむかえる前記質量モル濃度(mol/kg)である。前記醪に使用する酵母が発酵の限界をむかえる前記質量モル濃度(mol/kg)とは、下記条件を満たすことを意味する。
<条件>
一の時点と前記一の時点から24時間後の時点との、日本酒度(NS)及びアルコール度数から算出される、
単位時間当たりの日本酒度の増加量ΔNSと、単位時間当たりのアルコール度数の増加量ΔAlcとが、下記式(I−a)及び式(I−b)を前記一の時点から24時間後の時点まで継続して満たしたときの24時間後の時点の前記醪の質量モル濃度(mol/kg)である。
ΔNS≦1.0・・・式(I−a)
ΔAlc≦0.2・・式(I−b)
前記「単位時間」としては、特に制限はなく、目的に応じて適宜選択することができ、例えば、「秒(second)」、「分(minute)」、「時間(hour)」、「日(day)」、「週(week)」、「月(month)」、「年(year)」などが挙げられる。
また、前記<条件>において、「式(I−a)及び式(I−b)を前記一の時点から24時間後の時点まで継続して満たす」とは、一の時点及び24時間後の時点において式(I−a)及び式(I−b)を満たしていればよく、一の時点から24時間後の時点の間、式(I−a)及び式(I−b)を維持していない場合をも含む。
これは、発酵が減衰し、酵母が発酵の限界をむかえていることを示唆する状態である。
一般的にはアルコール度数が高くなりすぎる、又は日本酒度が大きく(数字が大きく)なりすぎると酵母が発酵の限界をむかえると考えられている。確かに、同じ原料(米、米麹、水)を使用し、同じ温度、同じ仕込配合、同じ酵母で順調に発酵させれば、ほぼ類似した経過時間、アルコール度数、及び日本酒度で発酵の限界を迎えることが経験的に知られている。しかし、仕込配合、特に汲水歩合(総米に対する仕込水の割合)が変わると、発酵の限界となる経過時間、アルコール度数、日本酒度、及びエキス分は変化する。また、ほぼ同じような条件であっても、わずかな製造条件の差異によって、発酵の限界となる経過時間、アルコール度数、日本酒度、及びエキス分は異なる場合がある。
しかし、本発明者らは汲水歩合が変わっても発酵の限界をむかえる質量モル濃度はほぼ同じ値となることを発見した。下記表4に、酵母の種類(酵母A)及び米の種類を同じものを使用して、一段の日本酒の小仕込を行ったときの仕込配合を示す。簡単のため発酵温度は15℃で一定とした。
ここで、酵母の総個体数に対する死滅した酵母の個体数の割合を死滅率と称することにする。表5中の製造条件1の仕込におけるデータから、死滅率D(%)を発酵経過時間T(日)に対して、プロットしたものが図4である。回帰分析によりこの曲線を二次関数で近似したところ以下の式(4−1)を得た。
死滅率D(%)=0.4112T2-5.696T+28.74・・・式(4−1)
この式(4−1)から、死滅率D(%)が50%となる発酵経過時間をTD50としたとき、TD50を得るには、二次方程式、0.4112T2-5.696T+(28.74−50)=0をTについて解けばよい。即ち、TD50は以下のようになる。
MD50(mol/L)
=−0.005564×(16.91)2+0.2526×16.91+2.407
=5.09
つまり、浸透圧ストレスによって質量モル濃度が上昇し、清酒酵母が死滅をはじめ、発酵が限界をむかえていることを示唆している。
よって、清酒酵母においては、酵母の死滅率と質量モル濃度の経過から、酵母が発酵の限界をむかえている質量モル濃度を求めることができる。
なお、清酒酵母ではない実験室酵母では、酵母が死滅するようなアルコール濃度に達する前に発酵を停止することが、例えば非特許文献5などにより報告されており、実験室酵母の場合においては、上記の方法では酵母が発酵の限界をむかえている質量モル濃度を求めることはできないものと考えられる。
本発明者らは、仕込配合が変わる現場スケールの実醸造でも発酵の限界を迎える質量モル濃度はほぼ同じ値となることを発見した。
下記表6に異なる仕込配合の総米3500kg〜6200kgの日本酒の仕込の配合を示す。
なお、酵母は前記上述の説明で使用したのと同じ酵母Aである。発酵醪の温度管理は、仕込み温度は6℃〜14℃とし、徐々に昇温させ、全発酵期間の中間日までに最高温度を10℃〜18℃とし、最高温度期間が終われば以降は上槽時期まで徐々に降温させた。最高温度期間は、最高温度を維持し続ける期間を意味し、発酵の進行度合いや目標発酵時間の長さなどにより適宜選択することができる。
また、降温させる温度についても同様に発酵の進行度合いや目標発酵時間の長さなどにより適宜選択することができる。
この結果から、酵母の限界質量モル濃度(mol/kg)は、前記<条件>を満たす場合に、酵母が発酵の限界をむかえる前記質量モル濃度(mol/kg)であるとみなすことができることを見出した。
前記理想質量モル濃度(mol/kg)は、発酵期間中における前記醪の質量モル濃度(mol/kg)が前記限界質量モル濃度(mol/kg)を超えないように発酵させたときにおける、発酵経過時間に対応した前記醪の理想的な質量モル濃度(mol/kg)を意味する。前記理想質量モル濃度(mol/kg)の情報としては、個々のデータそのもの自体であってもよく、データの集合から導き出される関数であってもよい。ここでいう「理想的な」とは、所望の発酵日数(目標発酵時間)で前記醪のアルコール度数及び日本酒度の両方が所望の値に達し、かつ香味が良好な状態で発酵した場合を意味する。
前記理想質量モル濃度(mol/kg)は、原料(米品種、精米歩合、米麹、水ほか)、仕込配合、酵母、発酵温度などが異なると変化することがわかった(図3参照)。
前記理想質量モル濃度(mol/kg)の情報としては、過去に順調に発酵が推移し、目標品質になったときの、対応する醸造方法に応じた質量モル濃度のデータに基づいて、発酵経過時間に応じた理想質量モル濃度(mol/kg)を定めてもよい。また、原料(米品種、精米歩合、米麹、水ほか)、仕込配合、酵母、発酵温度などが異なる醸造方法であっても、以下のようなデータ加工を行うと質量モル濃度線はほぼ同一の曲線になることから理想質量モル濃度線を求め、使用することができる。
図5Aに異なる5つの醸造方法A、B、C、D、及びE、並びにその醸造方法における質量モル濃度の発酵期間中における変化を示す。説明をより簡潔にするために、5つ醸造方法しか記述しないが加工するデータの数としては、特に制限はなく、目的に応じて適宜選択することができる。
一の醸造方法Z(Zは醸造方法A、B、C、D、Eのいずれか)における発酵経過時間T日目の質量モル濃度をM0(Z,T)と表すこととする。
発酵醪の質量モル濃度の変化は、仕込水の追加を行わなければ、単調増加である。醪の最終期、つまり発酵終了の2日前から終了日までは仕込水の追加を行わないのが一般的であり、その場合、醪の最終日がその醸造方法における醪の質量モル濃度の最大値M0max(Z)である。この最大値M0max(Z)で当該質量モル濃度系列(各醸造方法における質量モル濃度の推移)を除すると、各系列は図5Bに示すように1.0を最大値とする相対質量モル濃度系列M1(Z,T)に変換される。
M1(Z,T)=M0(Z,T)/M0max(Z)・・・式(5−1)
T’=T×20/全発酵期間・・・式(5−2)
M2(Z,T’)=M1(Z,T)・・・式(5−3)
このように相対質量モル濃度系列の全発酵期間を20日間に変換した相対モル濃度系列M2は、図5Cに示すようになる。
すべての醸造方法の質量モル濃度系列に共通の関数型を当てはめるため、M0(Z,T)からM3(Z,T’)までの変換を含む、次の数式モデルを立て、その計算値M4(Z,T)と実際の測定値M0(Z,T)との誤差の二乗和を最小にする定数A、B、Cの組合せを選択(最適化)することもできる。
M4(Z,T)=M0max(Z)×[A×{1−exp(B×T×20/全発酵期間+C)}]^{log(Mmid)/log(0.8208)}・・・式(5−5)
前記式(5−5)中、「全発酵期間(目標発酵時間)」は、発酵を開始してから終了させるまでに予定している期間を指す。
ソルバー法を使う場合について、より具体的に説明する。
ソルバー法を使用する場合には、初期値としては、A=1.0、B=−0.1、C=−0.3などを選び、それぞれ、たとえば、セル$A$1,セル$B$1,セル$C$1に入力する。
次に、発酵経過時間T(日)を、例えば、$A$3からA列に、M0(Z,T)を$B$3からB列に入力していく。次に、式(5−5)によって表されるM4(Z,T)を計算する式を、$C$3からC列に入力する。3行目からのB列とC列の差の二乗をD列に設け、これらを総和して誤差の二乗和を次式(5−6)で求めるセルを$D$1に作成する。
この方法により求めた前記18通りの醸造方法を母集団とするデータにおける最適解は、A=1.084、B=−0.1127、C=−0.2671となった。ただし、得られる式(5−5)におけるA、B、及びCの最適解は母集団のデータにより異なるため、これに限定されるものではない。
また、M0の最大値M0max(Z)が、前記の発酵の限界となる限界質量モル濃度の約0.9〜約1.0倍の状態において醸造を終了させることにより、限界質量モル濃度に届く前に醸造を終了させるように管理できる。
このとき、
モル値(mol/kg)=0.1013×Ex+0.2962×Alc−1.536
=M0max・・・式(5−7)
を満たしている。
式(5−7)を変形して、Exについて解くと、
実用的な解法としては、Microsoft Excelの機能の一つであるソルバーを用い、アルコール度数の初期値をたとえば「15.0」として、セル$A$1に入力し、それを参照して式(5−10)の左辺を計算させる算式をセル$B$2に入力し、そのセル$B$2の値が「0」になるようにアルコール度数のセル$A$1を変更して最適化する。
当該醸造方法の理想質量モル濃度の最大値(M0max)が、「5.0」で日本酒度が「+3」であればアルコール度数は「20.11」として最適化される。目標発酵時間で目標日本酒度に到達しておれば、アルコール度数は「20.11」になることを示す。
所望の日本酒度と所望のアルコール度数のときの質量モル濃度が理想質量モル濃度線の最大値(M0max)となるように設定されていれば理想質量モル濃度線に則って発酵醪を管理でき、かつ日本酒度が所望の値になった場合は、自ずと所望のアルコール度数である酒を醸造できることになる。
また、所望の日本酒度と所望のアルコール度数のときの質量モル濃度よりも、理想質量モル濃度線の最大値(M0max)が高く設定された場合において、理想質量モル濃度線に則って発酵醪を管理でき、かつ日本酒度が所望の値になったときは、アルコール度数は当然に所望の値より高くなっているので上槽直前、つまり発酵醪と発酵粕の分離操作の直前に下式(5−11)に基づいて加水量を決めて加水することが好ましい。
もし、所望の日本酒度と所望のアルコール度数のときの質量モル濃度が、理想質量モル濃度線の最大値(M0max)より高い場合は理想質量モル濃度線を超えないと所望の発酵醪を得られない。理想質量モル濃度線の最大値が、前記の発酵の限界となる限界質量モル濃度と一致するように設定されているなら、これは、酵母の発酵限界を超えてしまうことを意味する。この場合、設定した所望のアルコール度数と日本酒度の組み合わせは実現不可能か、もし実現可能であっても酵母の死滅を伴うので異臭(オフフレーバー)や異味を有するものしか醸造することができないと推定することができる。
なお、前記取得質量モル濃度X(mol/kg)が、前記所定時間の前記理想質量モル濃度Yに対して、0.98Y超1.02Y未満の場合には、現状の発酵管理を継続して行ってもよいし、温度条件などを変更してもよいし水の追加を行ってもよい。また、前記取得質量モル濃度X(mol/kg)が、前記所定時間の前記理想質量モル濃度Y(mol/kg)よりも0.98Y以下であるときは、上述した水の追加を行わない以外にも、発酵醪の温度を上げるなどして質量モル濃度の上昇を促してもよい。
さらに、前記取得質量モル濃度X(mol/kg)が、前記所定時間の前記理想質量モル濃度Yに対して、0.980Y超1.010Y未満の値の場合にも、前記醪に対して水の追加を行ってもよい。発酵初期の取得質量モル濃度の上昇が急な段階において、米がよく溶けることが予想される場合には、前記取得質量モル濃度X(mol/kg)が、前記所定時間の前記理想質量モル濃度Yに対して、0.980Y超1.010Y未満の値の場合にも、前記醪に対して水の追加を行うことにより、より細かく前記醪の発酵制御を行うことができる。
なお、前記取得質量モル濃度X(mol/kg)が、前記所定時間の前記理想質量モル濃度Yに対して、0.98Y超1.02Y以下の範囲にある場合、前記醪の発酵は前記理想質量モル濃度線に沿った発酵管理がなされていると判断することができる。前記取得質量モル濃度X(mol/kg)が、前記所定時間の前記理想質量モル濃度Yに対して、0.98Y超1.02Y以下の範囲にあると、オフフレーバーの発生を抑制して醪を発酵させることができる。
また、前記水の追加を、前記取得質量モル濃度X(mol/kg)が、前記所定時間の前記理想質量モル濃度Y(mol/kg)よりも0.980Y超1.010Y未満の値であるときも前記醪に対して水の追加を行うことにより、より細かく前記醪の発酵制御を行うことができる。特に、前記取得質量モル濃度の上昇が急である発酵前半期で米が溶けやすい場合は、0.980Y超1.000Y未満であっても前記醪に対して水の追加を行うことが好ましい場合がある。
前記醪は、酒母(酵母)、蒸米、麹、水を仕込み、原料が発酵したものをいう。
前記酵母としては、特に制限はなく、目的に応じて適宜選択することができ、例えば、清酒酵母、焼酎酵母、ワイン酵母、ビール酵母、パン酵母などが挙げられる。これらの中でも、清酒酵母が好ましい。
前記変異処理としては、特に制限はなく、公知の方法を適宜選択することができ、例えば、紫外線照射、放射線照射等の物理的変異処理、エチルメタンスルホネートの添加、N−メチル−N’−ニトロ−ニトロソグアニジンの添加等の化学的変異処理などが挙げられる。これらは、1種単独で使用してもよいし、2種以上を併用してもよい。
前記培地としては、特に制限はなく、目的に応じて適宜選択することができ、例えば、一般に酵母の培養に用いられるものを使用することができ、必要に応じて更にその他の成分を含む。前記一般に酵母の培養に用いられる培地としては、特に制限はなく、目的に応じて適宜選択することができ、例えば、SD培地、YPD培地などが挙げられる。これらの中でも、YPD培地が好ましい。
前記培地におけるその他の成分としては、特に制限はなく、一般に酵母の培養に用いられる成分を目的に応じて適宜選択することができ、例えば、大豆粉、小麦胚芽、押し麦、ペプトン、綿実粕、酵母エキス、肉エキス、コーン・スティープ・リカー、硫酸アンモニウム、硝酸ナトリウム、尿素等の窒素源;トマトペースト、グリセリン、デンプン、グルコース、ガラクトース、デキストリン、バクトソイトン等の炭水化物、脂肪等の炭素源;塩、炭酸カルシウム等の無機塩;金属塩などが挙げられる。これらは、1種単独で使用してもよいし、2種以上を併用してもよい。
前記培地におけるその他の成分の含有量としては、特に制限はなく、目的に応じて適宜選択することができる。
前記培養の条件としては、特に制限はなく、目的に応じて適宜選択することができる。
前記培養の温度としては、特に制限はなく、目的に応じて適宜選択することができ、例えば、10℃〜40℃などが挙げられる。
前記培養の期間としては、特に制限はなく、目的に応じて適宜選択することができ、例えば、1日間〜10日間などが挙げられる。
前記培養の方法としては、特に制限はなく、目的に応じて適宜選択することができ、例えば、静置培養、振盪培養などが挙げられる。
以下、アルコール発酵醪の管理装置のハードウェア構成、及び機能構成について説明する。
図6は、アルコール発酵醪の管理装置100のハードウェア構成の一例を示すブロック図である。
図6で示すように、アルコール発酵醪の管理装置100は、CPU(Central Processing Unit)101、主記憶装置102、補助記憶装置103、通信インターフェイス104、入力装置105、出力装置106、の各部を有する。これらの各部は、バス107を介してそれぞれ接続されている。
CPU101は、種々の制御や演算を行う処理装置である。CPU101は、主記憶装置102などが記憶するOS(Operating System)やプログラムを実行することにより、種々の機能を実現する。即ち、CPU101は、本発明では、アルコール発酵醪の管理プログラムを実行することにより、アルコール発酵醪の管理装置100の制御部130として機能する。
また、CPU101は、アルコール発酵醪の管理装置100全体の動作を制御する。尚、本発明では、アルコール発酵醪の管理装置100全体の動作を制御する装置をCPU101としたが、これに限ることなく、例えば、FPGA(Field Programmable Gate Array)などとしてもよい。
主記憶装置102は、各種プログラムを記憶し、各種プログラムを実行するために必要なデータ等を記憶する。
主記憶装置102は、図示しない、ROM(Reed Only Memory)と、RAM(Random Access Memory)と、を有する。
ROMは、BIOS(Basic Input/Output System)等の各種プログラムなどを記憶している。
RAMは、ROMに記憶された各種プログラムがCPU101により実行される際に展開される作業範囲として機能する。RAMとしては、特に制限はなく、目的に応じて適宜選択することができる。RAMとしては、例えば、DRAM(Dynamic Random Access Memory)、SRAM(Static Random Access Memory)などが挙げられる。
補助記憶装置103としては、各種情報を記憶できれば特に制限はなく、目的に応じて適宜選択することができ、例えば、ソリッドステートドライブ、ハードディスクドライブなどが挙げられる。また、補助記憶装置103は、例えば、CD(Compact Disc)ドライブ、DVD(Digital Versatile Disc)ドライブ、BD(Blu−ray(登録商標) Disc)ドライブなどの可搬記憶装置としてもよい。
出力装置106は、ディスプレイやスピーカーなどを用いることができる。ディスプレイとしては、特に制限はなく、適宜公知のものを用いることができ、例えば、液晶ディスプレイ、有機ELディスプレイが挙げられる。
以上のようなハードウェア構成によって、アルコール発酵醪の管理装置100の処理機能を実現することができる。
図7は、アルコール発酵醪の管理装置100の機能構成の一例を示す図である。
この図7に示すように、アルコール発酵醪の管理装置100は、入力部110、出力部120、通信部130、記憶部140、制御部150、を有する。
なお、取得質量モル濃度DB141、限界質量モル濃度DB142、理想質量モル濃度DB143、及び判定結果DB144は、通信部130が受信した取得質量モル濃度データを取得質量モル濃度データ群として記憶する。
図8に示すように、取得質量モル濃度データは、「仕込みタンクID」、「取得日時(時刻)」、「日本酒度(NS)」、「アルコール度数(Alc)」、「凝固点降下度(ΔT)」、「浸透圧」、「比重(d)」、「(A)エタノールの質量モル濃度(mol/kg)」、「(B)エキス分の質量モル濃度(mol/kg)」、「(C)グルコースの質量モル濃度(mol/kg)」、「(D)グルコース以外の成分の質量モル濃度(mol/kg)」のデータ項目を含む。なお、「凝固点降下度(ΔT)」を取得する場合には「浸透圧」は取得してもしなくてもよく、「(A)エタノールの質量モル濃度(mol/kg)」及び「(B)エキス分の質量モル濃度(mol/kg)」を取得する場合には「(C)グルコースの質量モル濃度(mol/kg)」及び「(D)グルコース以外の成分の質量モル濃度(mol/kg)」は取得してもしなくてもよい。
「取得日時」のデータ項目は、端末装置200に搭載されているデジタル時計などにより取得される。
「日本酒度(NS)」及び「アルコール度数(Alc)」のデータ項目は、端末装置200により採取された発酵醪の試料から上清を抽出し、各データを上述した方法で測定した結果である。
「凝固点降下度(ΔT)」、「浸透圧」のデータ項目は、端末装置200により採取された発酵醪の試料から上清を抽出し、各データを上述した方法で測定した結果である。
「(A)エタノールの質量モル濃度(mol/kg)」、「(B)エキス分の質量モル濃度(mol/kg)」、「(C)グルコースの質量モル濃度(mol/kg)」、「(D)グルコース以外の成分の質量モル濃度(mol/kg)」のデータ項目は、取得した「日本酒度(NS)」及び「アルコール度数(Alc)」、「グルコースの濃度(mg/100ml)」などから上述した方法により算出した結果である。
図9に示すように、限界質量モル濃度データは、取得質量モル濃度DB141から得られた取得質量モル濃度データの内、『<条件>一の時点と前記一の時点から24時間後の時点との、日本酒度(NS)及びアルコール度数から算出される、
単位時間当たりの日本酒度の増加量ΔNSと、単位時間当たりのアルコール度数の増加量ΔAlcとが、下記式(I−a)及び式(I−b)を前記一の時点から24時間後の時点まで継続して満たしたときの24時間後の時点の前記醪の質量モル濃度(mol/kg)
ΔNS≦1.0・・・式(I−a)
ΔAlc≦0.2・・式(I−b)』である。
図10に示すように、理想質量モル濃度データは、発酵期間中における醪の質量モル濃度が限界質量モル濃度を超えないように発酵させたときにおける、発酵経過時間に対応した醪の理想的な質量モル濃度である。理想質量モル濃度データは、例えば、上述した式(5−5)を上述した入力部110からの情報、「取得質量モル濃度データ」、及び「限界質量モル濃度データ」に基づいて算出された結果である。
図11に示すように、判定結果データは、所定時間(発酵経過時間)と、醪の質量モル濃度と、理想質量モル濃度とを対応させ、醪の質量モル濃度が理想質量モル濃度に対して所定値以上であるか、又は所定値以下であるかを判定した結果である。
また、得られた取得質量モル濃度データを用いて、限界質量モル濃度のデータを作製し、限界質量モル濃度DBへ記憶する。
さらに、得られた取得質量モル濃度データ及び限界質量モル濃度のデータを用いて、理想質量モル濃度データを作製し、理想質量モル濃度DBへ記憶する。なお、理想質量モル濃度データを作製する場合には、目標発酵時間の中間日に当たる理想質量モル濃度の過去のデータを用いて算出する(不図示)。
図12は、端末装置200のハードウェア構成の一例を示すブロック図である。
図12に示すように、端末装置200のハードウェア構成は、図6のアルコール発酵醪の管理装置100のハードウェア構成と同様であるため、説明を省略する。
図13は、端末装置200の機能構成の一例を示すブロック図である。
図13に示すように、端末装置200の機能構成としては、通信部210と、記憶部220と、制御部230と、入力部240と、出力部250と、を有する。
さらに、通信部210は、アルコール発酵醪の管理装置100から情報を受け付ける。
記憶部220は、アルコール発酵醪の管理装置100から受信した情報を補助記憶装置203に記憶する。
また、制御部230は、アルコール発酵醪の管理装置200に入力された情報をデータ抽出装置100に送信する制御を行う。
ステップS102では、アルコール発酵醪の管理装置100の制御部150の情報取得部151は、取得した醪の取得質量モル濃度Xに基づき、限界質量モル濃度及び理想質量モル濃度Yのデータを取得し、処理をS103へ移行する。
ステップS103では、アルコール発酵の醪の開始から所定時間経過後に取得した醪の取得質量モル濃度Xと、経過した所定時間に対応する時間における理想質量モル濃度Yとを対比し、処理をS104へ移行する。
ステップS104では、取得質量モル濃度Xが、対応する理想質量モル濃度Yの1.02Y以上の値であるか判定し、前記取得質量モル濃度Xが、前記理想質量モル濃度Yの1.02Y以上の値であると判定した場合は、処理をS105へ移行する。一方、前記取得質量モル濃度Xが前記理想質量モル濃度Yの1.02Y以上の値でないと判定した場合は、処理をS107へ移行する。
ステップS107では、水の追加を行い、処理をS110へ移行する。
ステップS108では、水の追加を行わず、処理をS110へ移行する。
ステップS110では、目標発酵時間に到達したか否か判定し、到達していない場合には、処理をS101へ移行し、到達している場合には、データを記録し、本処理を終了する。
ステップS105では、取得質量モル濃度Xが、対応する理想質量モル濃度Yの1.01Y超1.02未満の値であるか判定し、前記取得質量モル濃度Xが、前記理想質量モル濃度Yの1.01Y超1.02未満の値であると判定した場合は、処理をS105’へ移行する。一方、前記取得質量モル濃度Xが、前記理想質量モル濃度Yの1.01Y超1.02未満の値でないと判定した場合は、処理をS106へ移行する。
ステップS105’では、水の追加を行うか否かを判定し、水の追加を行う場合には処理をS107へ移行する。一方、水の追加を行わない場合には、処理をS109へ移行する。
ステップS106では、取得質量モル濃度Xが、対応する理想質量モル濃度Yの0.98Y以下の値であるか判定し、前記取得質量モル濃度Xが、前記理想質量モル濃度Yの0.98Y以下の値であると判定した場合は、処理をS108へ移行する。一方、前記取得質量モル濃度Xが、前記理想質量モル濃度Yの0.98Y以下の値でないと判定した場合は、処理をS109へ移行する。
ステップS109では、品温を上げるか維持するように管理し、発酵を促し質量モル濃度の速やかな上昇を促し、処理をS110へ移行する。
前記その他の工程としては、本発明の効果を損なわない限り、特に制限はなく、目的に応じて適宜選択することができ、例えば、酸度分析工程、アミノ酸度分析工程などが挙げられる。
前記酸度分析工程は、前記育種された酵母を用いて製造した日本酒の酸度を分析する工程である。
前記酸度は、国税庁所定分析法にしたがって分析することができる。
前記アミノ酸度分析工程は、前記育種された酵母を用いて製造した日本酒のアミノ酸度を分析する工程である。
前記アミノ酸度は、国税庁所定分析法にしたがって分析することができる。
本発明の酒類の製造方法は、上記した本発明のアルコール発酵醪の管理方法を用いる以外は、通常の酒類の製造方法を目的に応じて適宜選択することができる。
前記酒類としては、特に制限はなく、目的に応じて適宜選択することができ、例えば、日本酒、焼酎、ビール、ワインなどが挙げられる。これらの中でも、日本酒が好ましい。
清酒酵母(Saccharomyces cerevisiae)A(白鶴酒造株式会社保有)を用いて、下記表9に示す醸造条件により醪Aを発酵させた。結果を図16Aに示す。
実施例1において、下記表10に示すように理想質量モル濃度に応じた水の追加を行わなかったこと以外は、実施例1と同様にして、比較例1の醪B及び比較例2の醪Cを発酵させた。
また、アルコール発酵中に醪の質量モル濃度が、理想質量モル濃度から外れてしまうと、発酵醪の浸透圧のストレスが強まり、酵母の発酵の限界が早く訪れ発酵が停止してしまう場合があることが示された。
実施例1においては、目標通り順調に発酵をさせることができた(日本酒度+11、アルコール度数19.8)。
比較例1においては理想質量モル濃度からは外れた値で発酵が進み、発酵経過9日目以降で発酵が停止した(日本酒度+2、アルコール度数18.7)。
また、比較例2においても理想質量モル濃度からは外れた値で発酵が進み、9日目以降で発酵が停滞したが、外れ方が軽度であったためか、最終的には日本酒度+6.0、アルコール度数19.0まで発酵した。
そのため、実施例1の方法を用いた場合において、下記表12及び図16Bに示す通り、目標通りの優良酒を製造するのに適する方法であることがわかった。
清酒酵母(Saccharomyces cerevisiae)A(白鶴酒造株式会社保有)を用いて、下記表13に示す醸造条件により醪Dを発酵させた。結果を図17に示す。なお、実施例2においても、実施例1と同様に、醪に含まれる溶質のモル濃度を質量モル濃度と、前記質量モル濃度と発酵経過時間との関係を示す質量モル濃度線における前記質量モル濃度の最大値が、前記アルコール発酵の前記醪に使用する酵母が発酵の限界をむかえるときの前記質量モル濃度である限界質量モル濃度を超えないように発酵させた。
下記表14に示すように理想質量モル濃度に応じた水の追加において、水の量を多く行ったこと以外は、実施例2と同様にして、醪Eを発酵させた。結果を図17に示す。
実施例3は、発酵終了日の15日目において、理想質量モル濃度Yに対する所得質量モル濃度Xの比率X/Yが、0.95となっており、理想質量モル濃度線を大きく下回ってしまったためである。実施例3において、最後の仕込水の追加を行った9日目の醪量Z(L)は12,320(L)であったが、追加した仕込水の量は800(L)であり、好ましい範囲の上限である0.06×Z(L)、すなわち739(L)を上回っていた。なお、実施例2において、最後の仕込水の追加を行った9日目の醪量Z(L)は12,320(L)であったが、追加した仕込水の量は200(L)であり、好ましい範囲の下限である(X/Y−1)/3×Z(L)、即ち、143(L)以上で、上限である0.06×Z(L)、すなわち739(L)以下であった。仕込水は一度に多量に行うことなく、醪の質量モル濃度が理想質量モル濃度線に沿うように少量を複数回に分けて行うのが望ましい。特に、米が溶けにくいような場合は、取得質量モル濃度の増加が通常より鈍化することがあるので仕込水が多すぎないように注意を要する。
製造した酒の日本酒度及びアルコール度数を公知の方法で測定し、目標とする各日本酒度及びアルコール度数に対する誤差を算出した。結果を下記表16に示す。5種の醸造方法によって、目標とする日本酒度、アルコール度数は異なるが、以下の表17の通りである。
なお、管理精度は、下記式により求められる。
製造した酒を熟練の審査員(各回によって審査員数は異なるが熟練者から選抜した10〜15人(平均12.5人/回))により下記評価基準に基づき、その酒が「本来備えるべき固有の香りと味(香味)、色とつや(色沢)を有しているか」を基準に評価した。なお醸造方法によって「本来備わるべき固有の香味」は異なるので、醸造方法名は開示して行う。吟醸であるのに吟醸香がない場合、甘口の酒であるのに甘口に感じられない場合、高酸味の酒であるのに酸が足りない場合は欠点がありとして減点される。また香味異常やオフフレーバーがあれば、その種類と程度によって減点をされる。外観上も固有の色沢でない場合も減点される。日本酒度やアルコール度数、酸度、アミノ酸、香気成分含量などは開示せず、官能のみによって評価する。結果を表18に示す。
[評価基準]
1:欠点・問題が全くなく申し分ない香味である
2:欠点・問題がない香味である
3:許容できるわずかな欠点・問題がある香味である
4:許容できない欠点・問題がある香味である
5:許容できない複数の、または致命的な欠点・問題がある香味である
製造した酒の利き酒評価における評点平均値が、1.10を下回るものについて、香味異常であると判定し、全試験に対する評点平均値が、1.10を下回る試験の割合(発生率)について算出した。結果を表19に示す。
Claims (9)
- アルコール発酵の醪に含まれる溶質のモル濃度(mol/kg)を質量モル濃度としたとき、前記質量モル濃度と、発酵経過時間との関係を示す質量モル濃度線における前記質量モル濃度の最大値が、前記アルコール発酵の前記醪に使用する酵母が発酵の限界をむかえるときの前記質量モル濃度である限界質量モル濃度を超えないように発酵させたときにおける、前記発酵経過時間に対応した理想質量モル濃度の情報を予め取得し、
前記アルコール発酵の開始から所定時間経過後に取得した前記醪の取得質量モル濃度Xと、前記所定時間に対応する前記理想質量モル濃度Yとを対比し、
前記取得質量モル濃度Xが、
1.02Y以上であるときは前記醪に対して水の追加する、発酵管理を行う発酵管理工程を含む、
ことを特徴とするアルコール発酵醪の管理方法。 - 前記限界質量モル濃度が、下記条件を満たす、請求項1に記載のアルコール発酵醪の管理方法。
<条件>
一の時点と前記一の時点から24時間後の時点との、日本酒度(NS)及びアルコール度数(Alc)から算出される、
単位時間当たりの日本酒度の増加量ΔNSと、単位時間当たりのアルコール度数の増加量ΔAlcとが、下記式(I−a)及び式(I−b)を前記一の時点から24時間後の時点まで継続して満たしたときの前記一の時点から24時間後の時点の前記醪の質量モル濃度(mol/kg)
ΔNS≦1.0・・・式(I−a)
ΔAlc≦0.2・・式(I−b) - 前記水の追加が、前記取得質量モル濃度の大きさに応じて行われる、請求項1から2のいずれかに記載のアルコール発酵醪の管理方法。
- 前記取得質量モル濃度Xが、前記所定時間の前記理想質量モル濃度Yよりも1.01Y以上1.02Y未満の値であるときも前記醪に対して水の追加を行う、請求項1から3のいずれかに記載のアルコール発酵醪の管理方法。
- 前記取得質量モル濃度が、前記醪の上清又はろ液における、エキス分(Ex)と、アルコール度数(Alc)とに基づき、次の式(1)から算出された推定値である、請求項1から4のいずれかに記載のアルコール発酵醪の管理方法。
取得質量モル濃度(推定値)=α×(Ex)+β×(Alc)−γ・・・式(1)
但し、α、β及びγは定数を表す。 - 前記アルコール発酵が日本酒発酵であり、
前記αが0.1013であり、
前記βが0.2962であり、
前記γが1.536である、請求項5に記載のアルコール発酵醪の管理方法。 - 請求項1から6のいずれかに記載のアルコール発酵醪の管理方法を用いて酒類を製造することを特徴とする酒類の製造方法。
- アルコール発酵の醪に含まれる溶質のモル濃度(mol/kg)を質量モル濃度としたとき、前記質量モル濃度と、発酵経過時間との関係を示す質量モル濃度線における前記質量モル濃度の最大値が、前記アルコール発酵の前記醪に使用する酵母が発酵の限界をむかえるときの前記質量モル濃度である限界質量モル濃度を超えないように発酵させたときにおける、前記発酵経過時間に対応した理想質量モル濃度の情報を予め取得し、
前記アルコール発酵の開始から所定時間経過後に取得した前記醪の取得質量モル濃度Xと、前記所定時間に対応する前記理想質量モル濃度Yとを対比し、
前記取得質量モル濃度Xが、
1.02Y以上であるときは前記醪に対して水の追加する、発酵管理を行う処理を、コンピュータに行わせる、
ことを特徴とするアルコール発酵醪の管理プログラム。 - アルコール発酵の醪に含まれる溶質のモル濃度(mol/kg)を質量モル濃度としたとき、前記質量モル濃度と、発酵経過時間との関係を示す質量モル濃度線における前記質量モル濃度の最大値が、前記アルコール発酵の前記醪に使用する酵母が発酵の限界をむかえるときの前記質量モル濃度である限界質量モル濃度を超えないように発酵させたときにおける、前記発酵経過時間に対応した理想質量モル濃度の情報を予め取得し、
前記アルコール発酵の開始から所定時間経過後に取得した前記醪の取得質量モル濃度Xと、前記所定時間に対応する前記理想質量モル濃度Yとを対比し、
前記取得質量モル濃度Xが、
1.02Y以上であるときは前記醪に対して水の追加する、発酵管理を行う発酵管理手段を有する、
ことを特徴とするアルコール発酵醪の管理装置。
Priority Applications (1)
| Application Number | Priority Date | Filing Date | Title |
|---|---|---|---|
| JP2020036363A JP2021136898A (ja) | 2020-03-04 | 2020-03-04 | アルコール発酵醪の管理方法、アルコール発酵醪の管理プログラム、及びアルコール発酵醪の管理装置、並びに酒類の製造方法 |
Applications Claiming Priority (1)
| Application Number | Priority Date | Filing Date | Title |
|---|---|---|---|
| JP2020036363A JP2021136898A (ja) | 2020-03-04 | 2020-03-04 | アルコール発酵醪の管理方法、アルコール発酵醪の管理プログラム、及びアルコール発酵醪の管理装置、並びに酒類の製造方法 |
Publications (1)
| Publication Number | Publication Date |
|---|---|
| JP2021136898A true JP2021136898A (ja) | 2021-09-16 |
Family
ID=77666686
Family Applications (1)
| Application Number | Title | Priority Date | Filing Date |
|---|---|---|---|
| JP2020036363A Pending JP2021136898A (ja) | 2020-03-04 | 2020-03-04 | アルコール発酵醪の管理方法、アルコール発酵醪の管理プログラム、及びアルコール発酵醪の管理装置、並びに酒類の製造方法 |
Country Status (1)
| Country | Link |
|---|---|
| JP (1) | JP2021136898A (ja) |
Cited By (3)
| Publication number | Priority date | Publication date | Assignee | Title |
|---|---|---|---|---|
| JP2021180994A (ja) * | 2020-11-04 | 2021-11-25 | 株式会社三洋物産 | 遊技機 |
| JP2021180993A (ja) * | 2020-11-04 | 2021-11-25 | 株式会社三洋物産 | 遊技機 |
| JP2021180991A (ja) * | 2020-09-08 | 2021-11-25 | 株式会社三洋物産 | 遊技機 |
-
2020
- 2020-03-04 JP JP2020036363A patent/JP2021136898A/ja active Pending
Cited By (3)
| Publication number | Priority date | Publication date | Assignee | Title |
|---|---|---|---|---|
| JP2021180991A (ja) * | 2020-09-08 | 2021-11-25 | 株式会社三洋物産 | 遊技機 |
| JP2021180994A (ja) * | 2020-11-04 | 2021-11-25 | 株式会社三洋物産 | 遊技機 |
| JP2021180993A (ja) * | 2020-11-04 | 2021-11-25 | 株式会社三洋物産 | 遊技機 |
Similar Documents
| Publication | Publication Date | Title |
|---|---|---|
| JP6923617B2 (ja) | 発酵麦芽飲料及びその製造方法 | |
| JP2021136898A (ja) | アルコール発酵醪の管理方法、アルコール発酵醪の管理プログラム、及びアルコール発酵醪の管理装置、並びに酒類の製造方法 | |
| Fox | Starch in brewing applications | |
| Methner et al. | Investigation of non-Saccharomyces yeast strains for their suitability for the production of non-alcoholic beers with novel flavor profiles | |
| KR102634560B1 (ko) | 맥주맛 발효 맥아 음료 및 그의 제조 방법, 및 맥주맛 발효 맥아 음료의 싱거운 음용감을 완화하는 방법 | |
| BRPI0617877A2 (pt) | produção de cerveja melhorada | |
| Kucharczyk et al. | The effect of wort aeration on fermentation, maturation and volatile components of beer produced on an industrial scale | |
| US12454665B2 (en) | Production of an alcohol-free beverage | |
| JP2025107421A (ja) | ビールテイスト発酵麦芽飲料 | |
| CN109401891A (zh) | 浓香型白酒及其加工方法 | |
| US20240263108A1 (en) | Method for Creating a Craft Beer with Low Alcohol Content | |
| JP7671137B2 (ja) | 4-ビニルグアヤコール低生産酵母株の製造方法 | |
| JP2024523731A (ja) | 麦芽発酵液の製造方法 | |
| CN104560523B (zh) | 一种酱香型白酒的生产方法 | |
| JP2016002003A (ja) | 複数種の酵母を利用した果実酒とその製造方法 | |
| Basile et al. | New Sparkling Wines from Traditional Grape Varieties and Native Yeasts: Focusing on Wine Identity to Address the Industry's Crisis. | |
| CN103004325B (zh) | 一种大麦安全存储的控制方法 | |
| JP4079236B2 (ja) | 麦芽アルコール飲料の製造方法及び製造工程管理方法 | |
| KR101347440B1 (ko) | 증류주 및 그의 제조방법 | |
| Kucharczyk et al. | The effect of yeast generations on fermentation, maturation and volatile compounds of beer. | |
| JP6306314B2 (ja) | 糖質低減清酒の製造方法、及び清酒 | |
| Kucharczyk et al. | Effect of Wort Filling Time on Fermentation, Maturation and Acetaldehyde Content in Beer. | |
| WO2022054648A1 (ja) | 泡保持性発酵麦芽飲料の製造方法 | |
| JP6780218B2 (ja) | 低糖質清酒の製造方法 | |
| Kazumyan et al. | Investigating the Effect of Yeasts and their Derivatives on the Qualitative Indices of Red Wine |
Legal Events
| Date | Code | Title | Description |
|---|---|---|---|
| RD03 | Notification of appointment of power of attorney |
Free format text: JAPANESE INTERMEDIATE CODE: A7423 Effective date: 20220523 |
|
| A621 | Written request for application examination |
Free format text: JAPANESE INTERMEDIATE CODE: A621 Effective date: 20230117 |
|
| A131 | Notification of reasons for refusal |
Free format text: JAPANESE INTERMEDIATE CODE: A131 Effective date: 20240213 |
|
| A521 | Request for written amendment filed |
Free format text: JAPANESE INTERMEDIATE CODE: A523 Effective date: 20240321 |
|
| A02 | Decision of refusal |
Free format text: JAPANESE INTERMEDIATE CODE: A02 Effective date: 20240521 |
