JP2007106972A5 - - Google Patents
Download PDFInfo
- Publication number
- JP2007106972A5 JP2007106972A5 JP2005314332A JP2005314332A JP2007106972A5 JP 2007106972 A5 JP2007106972 A5 JP 2007106972A5 JP 2005314332 A JP2005314332 A JP 2005314332A JP 2005314332 A JP2005314332 A JP 2005314332A JP 2007106972 A5 JP2007106972 A5 JP 2007106972A5
- Authority
- JP
- Japan
- Prior art keywords
- isocyanate
- group
- fatty acid
- unsaturated fatty
- acid glyceride
- Prior art date
- Legal status (The legal status is an assumption and is not a legal conclusion. Google has not performed a legal analysis and makes no representation as to the accuracy of the status listed.)
- Granted
Links
Description
本発明に用いる(A)の未反応のイソシアネート基含有不飽和脂肪酸グリセリドのイソシアネート変性体の代表的なものとしては、ヒマシ油にジイソシアネートを反応させて得られた末端にイソシアネート基を有する液状高分子を挙げることができる。
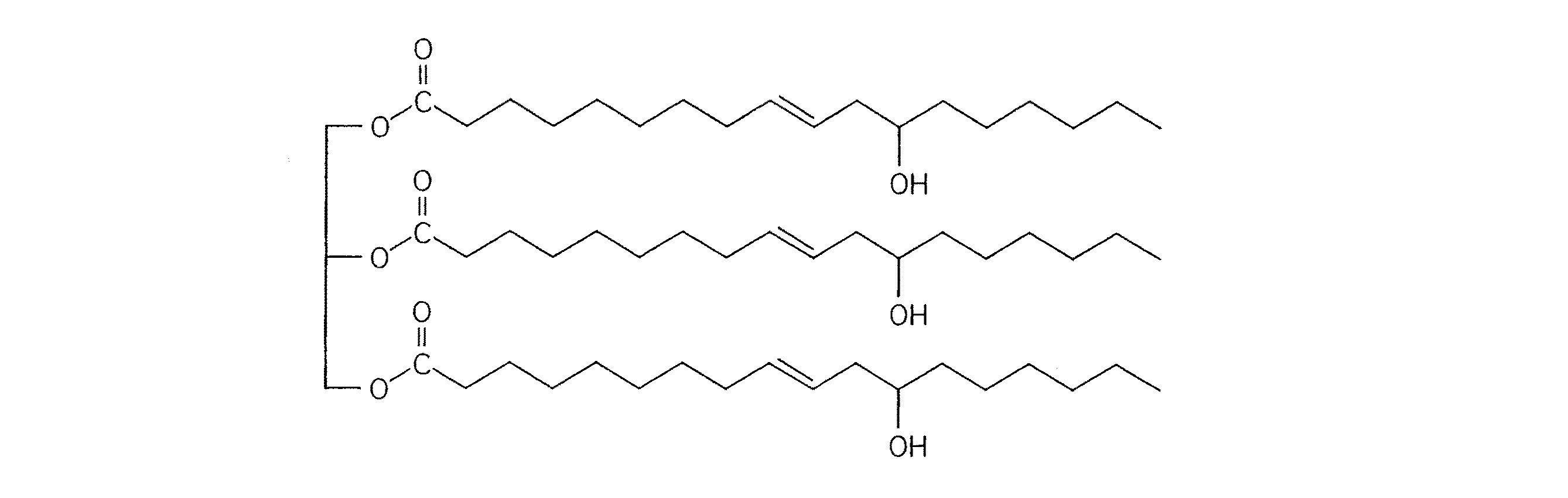
ヒマシ油の代表的成分であるリシノール酸のトリグリセリドの構造をモデル的に示すと下記のとおりであり、このOH基がイソシアネート化合物と反応するものである。このように、本発明における未反応のイソシアネート基含有不飽和脂肪酸グリセリドのイソシアネート変性体(A)は、イソシアネート化合物中のイソシアネート基のすべてが、不飽和脂肪酸グリセリドに含まれるイソシアネート基と反応性を有する基と反応するのではなく、反応生成物中には未反応のイソシアネート基が残留する条件で反応させたものである。
ヒマシ油の代表的成分であるリシノール酸のトリグリセリドの構造をモデル的に示すと下記のとおりであり、このOH基がイソシアネート化合物と反応するものである。このように、本発明における未反応のイソシアネート基含有不飽和脂肪酸グリセリドのイソシアネート変性体(A)は、イソシアネート化合物中のイソシアネート基のすべてが、不飽和脂肪酸グリセリドに含まれるイソシアネート基と反応性を有する基と反応するのではなく、反応生成物中には未反応のイソシアネート基が残留する条件で反応させたものである。
Priority Applications (1)
| Application Number | Priority Date | Filing Date | Title |
|---|---|---|---|
| JP2005314332A JP4963822B2 (ja) | 2005-09-15 | 2005-10-28 | 合成樹脂組成物およびそれを用いた合成樹脂製床材 |
Applications Claiming Priority (3)
| Application Number | Priority Date | Filing Date | Title |
|---|---|---|---|
| JP2005269035 | 2005-09-15 | ||
| JP2005269035 | 2005-09-15 | ||
| JP2005314332A JP4963822B2 (ja) | 2005-09-15 | 2005-10-28 | 合成樹脂組成物およびそれを用いた合成樹脂製床材 |
Publications (3)
| Publication Number | Publication Date |
|---|---|
| JP2007106972A JP2007106972A (ja) | 2007-04-26 |
| JP2007106972A5 true JP2007106972A5 (ja) | 2008-12-11 |
| JP4963822B2 JP4963822B2 (ja) | 2012-06-27 |
Family
ID=38033085
Family Applications (1)
| Application Number | Title | Priority Date | Filing Date |
|---|---|---|---|
| JP2005314332A Expired - Fee Related JP4963822B2 (ja) | 2005-09-15 | 2005-10-28 | 合成樹脂組成物およびそれを用いた合成樹脂製床材 |
Country Status (1)
| Country | Link |
|---|---|
| JP (1) | JP4963822B2 (ja) |
Families Citing this family (6)
| Publication number | Priority date | Publication date | Assignee | Title |
|---|---|---|---|---|
| JP5367223B2 (ja) * | 2007-01-24 | 2013-12-11 | 株式会社タジマ | アルコール類発生抑制用建築組成物 |
| JP5794723B2 (ja) * | 2010-10-26 | 2015-10-14 | 東リ株式会社 | 床材 |
| DE102011004675A1 (de) * | 2011-02-24 | 2012-08-30 | Evonik Oxeno Gmbh | C11 bis C13 Dialkylester der Furandicarbonsäure |
| JP6016471B2 (ja) * | 2012-06-19 | 2016-10-26 | 田島ルーフィング株式会社 | 床シート |
| JP6145468B2 (ja) * | 2015-03-17 | 2017-06-14 | 東リ株式会社 | 床材の製造方法 |
| CN113736320B (zh) * | 2021-08-17 | 2022-07-12 | 中华制漆(新丰)有限公司 | 一种硝基调色基料及其制备方法 |
Family Cites Families (4)
| Publication number | Priority date | Publication date | Assignee | Title |
|---|---|---|---|---|
| JPS5586809A (en) * | 1978-12-25 | 1980-07-01 | Nippon Polyurethan Kogyo Kk | Production of tatami mat and its core material |
| JPH06184261A (ja) * | 1992-12-21 | 1994-07-05 | Somar Corp | ポリマーアロイ用熱硬化性組成物 |
| JPH07228766A (ja) * | 1994-02-21 | 1995-08-29 | Tosoh Corp | ポリ塩化ビニル系樹脂組成物の製造方法 |
| JP2003276757A (ja) * | 2002-03-20 | 2003-10-02 | Daiwa Can Co Ltd | 耐腐食性に優れた飲食品瓶詰用キャップ |
-
2005
- 2005-10-28 JP JP2005314332A patent/JP4963822B2/ja not_active Expired - Fee Related
Similar Documents
| Publication | Publication Date | Title |
|---|---|---|
| US7538236B2 (en) | Bioplastics, monomers thereof, and processes for the preparation thereof from agricultural feedstocks | |
| JP2010524946A (ja) | 天然油ヒドロキシル化物の製造方法 | |
| CN102124042A (zh) | 由基于天然油的多元醇制得的预聚物 | |
| JP2007106972A5 (ja) | ||
| JP6243969B2 (ja) | 硬化体、電子部品、及び、表示素子 | |
| CN107141419A (zh) | 一种氟碳型水性聚氨酯‑丙烯酸酯复合乳液及制备方法 | |
| CN106519954B (zh) | 植物油基水性聚氨酯涂料的制备方法及其制备的涂料 | |
| MX2011013703A (es) | Procedimiento para la preparacion de un polimero de poliuretano con poliolesteres que comprenden grupos terminales hidroxilos secundarios. | |
| CN109180897A (zh) | 自催化型环氧树脂基多元醇水分散体及其制备方法 | |
| JP5596363B2 (ja) | カルボニル基含有ウレタンウレア樹脂の水分散体 | |
| JP2009516058A5 (ja) | ||
| US20180273704A1 (en) | Crosslinking materials from biorenewable aconitic acid | |
| CN103588950B (zh) | 一种端乙烯基两亲性含氟接枝聚合物及其制备方法与应用 | |
| CN1882615A (zh) | 聚丙烯酰肼以及树脂用交联或固化剂 | |
| CN108579611A (zh) | 一种三嵌段非离子型聚氨酯含氟短链表面活性剂的制备方法 | |
| US20180319920A1 (en) | Reactive resins made from renewable sources | |
| EP1702913A3 (en) | Blowing catalyst compositions containing hydroxyl and surface active groups for the production of polyurethane foams | |
| CN102796014A (zh) | 一种含全氟己基三元醇的制备方法 | |
| CN105384899B (zh) | 一种Y型三嵌段非离子型聚氨酯Bola表面活性剂的制备方法 | |
| EP2370488B1 (fr) | Nouveaux catalyseurs pour la reaction entre un isocyanate et un alcool | |
| CN103743695B (zh) | 一种连接漆/防污漆有机涂层界面化学键合的检测方法 | |
| JP4357583B2 (ja) | 接着剤組成物 | |
| JP2012111851A5 (ja) | ||
| CN119213051A (zh) | 聚碳化二亚胺化合物、树脂组合物及树脂固化物 | |
| CA2832164C (en) | Multi-arm hydrophilic urethane polymers, methods of making them, and compositions and processes employing them |
