EP2491982A2 - Brand- oder Rauchschutzvorhang zum Verschliessen einer Gebäudeöffnung und dazugehöriges Verfahren - Google Patents
Brand- oder Rauchschutzvorhang zum Verschliessen einer Gebäudeöffnung und dazugehöriges Verfahren Download PDFInfo
- Publication number
- EP2491982A2 EP2491982A2 EP12000815A EP12000815A EP2491982A2 EP 2491982 A2 EP2491982 A2 EP 2491982A2 EP 12000815 A EP12000815 A EP 12000815A EP 12000815 A EP12000815 A EP 12000815A EP 2491982 A2 EP2491982 A2 EP 2491982A2
- Authority
- EP
- European Patent Office
- Prior art keywords
- fire
- zone
- elasticity
- fire protection
- protection element
- Prior art date
- Legal status (The legal status is an assumption and is not a legal conclusion. Google has not performed a legal analysis and makes no representation as to the accuracy of the status listed.)
- Withdrawn
Links
- 239000000779 smoke Substances 0.000 title claims abstract description 39
- 238000000034 method Methods 0.000 title claims abstract description 4
- 239000004753 textile Substances 0.000 claims description 24
- 238000004804 winding Methods 0.000 claims description 13
- 230000007547 defect Effects 0.000 claims 1
- 238000009941 weaving Methods 0.000 claims 1
- 239000004744 fabric Substances 0.000 abstract description 4
- 230000001681 protective effect Effects 0.000 abstract description 2
- 230000008901 benefit Effects 0.000 description 4
- 230000002349 favourable effect Effects 0.000 description 3
- 239000000463 material Substances 0.000 description 3
- 238000004519 manufacturing process Methods 0.000 description 2
- 239000000155 melt Substances 0.000 description 2
- RNFJDJUURJAICM-UHFFFAOYSA-N 2,2,4,4,6,6-hexaphenoxy-1,3,5-triaza-2$l^{5},4$l^{5},6$l^{5}-triphosphacyclohexa-1,3,5-triene Chemical compound N=1P(OC=2C=CC=CC=2)(OC=2C=CC=CC=2)=NP(OC=2C=CC=CC=2)(OC=2C=CC=CC=2)=NP=1(OC=1C=CC=CC=1)OC1=CC=CC=C1 RNFJDJUURJAICM-UHFFFAOYSA-N 0.000 description 1
- 239000012141 concentrate Substances 0.000 description 1
- 230000005611 electricity Effects 0.000 description 1
- 239000003063 flame retardant Substances 0.000 description 1
- 239000003779 heat-resistant material Substances 0.000 description 1
- 238000010606 normalization Methods 0.000 description 1
Images
Classifications
-
- A—HUMAN NECESSITIES
- A62—LIFE-SAVING; FIRE-FIGHTING
- A62C—FIRE-FIGHTING
- A62C2/00—Fire prevention or containment
- A62C2/06—Physical fire-barriers
- A62C2/10—Fire-proof curtains
-
- E—FIXED CONSTRUCTIONS
- E06—DOORS, WINDOWS, SHUTTERS, OR ROLLER BLINDS IN GENERAL; LADDERS
- E06B—FIXED OR MOVABLE CLOSURES FOR OPENINGS IN BUILDINGS, VEHICLES, FENCES OR LIKE ENCLOSURES IN GENERAL, e.g. DOORS, WINDOWS, BLINDS, GATES
- E06B9/00—Screening or protective devices for wall or similar openings, with or without operating or securing mechanisms; Closures of similar construction
- E06B9/24—Screens or other constructions affording protection against light, especially against sunshine; Similar screens for privacy or appearance; Slat blinds
- E06B9/40—Roller blinds
- E06B9/42—Parts or details of roller blinds, e.g. suspension devices, blind boxes
Definitions
- the invention relates to a fire or smoke protection curtain for closing a building opening, comprising (a) a flexible fire protection element comprising a fire protection textile, and (b) a finishing strip closing the fire protection element.
- Such a fire or smoke protection curtain is from the EP 0 906 772 A2 known.
- Such fire and smoke curtains are mounted on site on the building by the flexible smoke protection element is attached, for example, to a winding shaft. Thereafter, the fire protection element is wound onto the winding shaft until the end strip is flush with the ceiling. If the flexible fire protection element, in particular the fire protection textile, has not been perfectly fastened to the winding shaft, one end of the end strip reaches the building ceiling earlier than the opposite one. The remaining gap is aesthetically undesirable.
- the end strip in two parts form, with a foot part of the end bar is resiliently connected to a headboard.
- a fire protection curtain which has a textile fabric with locally different elasticities. This ensures that internal pockets can expand in case of fire. However, the elasticity of the fire protection curtain as a whole is not affected, so that a classic end strip is still provided.
- the invention is based, to reduce the manufacturing cost of the end strip the task.
- the invention solves the problem by a fire or smoke protection curtain having the features of claim 1, a fire protection device having the features of claim 9 and a method having the features of claim 10.
- An advantage of the invention is that mounting errors can be compensated as in known systems without a specially gestatlete end strip would have to be provided. It is also advantageous that existing fire or smoke curtains can be retrofitted, if it has been found that there is a mounting error, so that the end strip is not flush with the system.
- the flexible fire protection element is understood in particular to mean an element which withstands a fire for at least 60 minutes. It should be noted that a flexible fire protection element is not necessarily elastic and in known fire or smoke curtains the fire protection element is also flexible, but not elastic. A flexible fire protection element is understood to mean a bendable fire protection element.
- an elongated component is understood, which is usually mounted below the fire protection element. If the fire or smoke protection curtain is placed in its closure arrangement in which the fire protection element closes the building opening, the end strip rests on the floor.
- the elasticity namely the inner-zone elasticity and the extra-zone elasticity, is understood in particular to be the quotient, the relative change in length as a numerator and the product of the force required to produce the elongation and the width.
- the elasticity zone can extend completely, so over the full width of the fire protection element, but that is not necessary. So is quite possible that an edge of the fire protection element no elasticity zone is present. It is particularly favorable, however, when the elasticity zone extends completely over the full width of the fire protection element.
- the elasticity zone can also be formed within the end strip. This is to be understood in particular that the elasticity zone is at least partially hidden by the end strip. However, the elasticity zone can also be formed at least partially outside the end strip.
- the elasticity zone has an elastic zone width measured perpendicular to the direction of the end strip, the elastic zone width being at most one fifth of a full height of the fire protection element.
- the inner zone elasticity is at least three times, in particular five times, the extra-zone elasticity.
- the advantage of this is that then concentrates a possible deformation of the fire protection element in the elasticity zone.
- the elasticity zone is formed by the fact that the fire protection textile forms at least one bulge extending along the end strip, which is held by means of an elastic fastening means.
- the bulge may in particular be a loop or gathering. This has the advantage that the flexible fire protection element over its entire length or height can be constructed substantially similar, which makes the production easier.
- the elastic fastening means is attached to the fire protection textile at at least two mutually horizontally spaced locations, so that forms an at least substantially horizontally extending bulge.
- the weight of the end strips is then at least predominantly absorbed by the elastic fastening means, so that the possible assembly errors are compensated by the elastic fastening means.
- the elastic fastening means comprises at least one spring element.
- the spring element is a spring, for example a metallic spring, or a rubber-elastic element, for example a rubber strip.
- the elastic fastening means is not resistant to heat.
- the elastic fastening means is then destroyed, so that the fire protection element can fully develop its protective effect by, for example, the bulge dissolves. It can then create a bulge that provides the necessary Deflekti-on.
- the elastic fastening means is flame retardant, incombustible and / or thermally resistant, so that it does not ignite even in a 90 minute fire test, when it is located on the side facing away from the fire.
- the elastic fastening means melts or softens under the action of fire heat.
- the elastic fastening means is covered by a heat-protected cover.
- the cover is formed by a part of the end strip.
- the fire or smoke protection curtain has a piping, which, for example by means of a fastener, with the end strip, in particular rigidly connected, wherein the elasticity zone extends at least also adjacent to the piping.
- the fire protection element rests at least also and at least partially with its elasticity zone on the piping.
- the elasticity zone may be formed by the fire protection textile having a different weave pattern in the elasticity zone than outside. It is known that the elasticity of fire protection textiles with respect to a given direction depends on the course of the weave pattern with respect to this direction and the weave pattern itself. Through targeted changes of the weave pattern, the elasticity can be changed locally.
- the recording has a system, in particular a veneer or a stop, wherein arranged in the bearing assembly in which the fire protection element in the recording is, the end strip rests along its longitudinal extension of the plant and a possible misalignment of the end strip is compensated by the elasticity zone.
- the veneer is understood in particular to mean a component which is at least partially visible when the fire protection element is in its bearing arrangement and which interacts with the end strip in such a way that the fire protection element in the bearing arrangement attracts as little attention as possible.
- FIG. 1 shows a fire or smoke curtain 10 for closing a building opening 12, such as a passage, a gate opening, a window or the like.
- the fire or smoke protection curtain 10 comprises a flexible fire protection element 14, which has a fire protection textile 16, and a final strip 18 which terminates the fire protection element 14 downwards.
- the end strip 18 comprises a piping 20, which is looped around by the fire protection textile 16, and a head part 22, which is held by means of the welt 20, and a foot part 24, which is held by the head part 22.
- the foot part 24 surrounds the head part 22.
- FIG. 1 also shows a winding roll 26 on which the fire protection fabric 16 is wound to bring it into its storage arrangement.
- closure assembly is the end strip 18 with its foot 24 to a system 28, which is formed in the present case as a veneer and defines a slot 29 through which the fire protection element 16 runs when it is wound onto the winding roller 26.
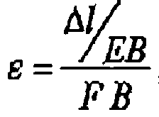
- EB is the electricity zone width
- ⁇ l (cf. FIG. 2 )
- the width B serves as normalization, so that the elasticity does not depend on the width of the considered fire protection element 14.
- ⁇ l / ER is the relative elongation.
- FIG. 1 shows the case without assembly error, in which the end strip 18 simultaneously abuts with its foot part 24 over its full length to the system 28 when the fire protection element 14 is wound onto the winding roller 26.
- FIG. 2 shows the case in which the system 28 has a mounting error, so that the in FIG. 2 front end of the foot part 24, the system 28 reached earlier than that in FIG. 2 drawn on the back. If the winding roll 26 is rotated further, the fire protection element 14 elongates in the elasticity zone 30, as indicated by the arrows P1, P2 and P3, locally different. Finally, if that too in FIG. 2 rear end of the foot part 24 rests against the system 28, close the end bar 18 and the system 28 flush with each other, although it has come to a mounting error.
- FIG. 2 shows that the elastic zone 30 is formed by the fact that the fire protection textile 16 forms a bulge 32 extending along the end strip 18, which is held by means of an elastic fastening means 34.
- the elastic fastening means 34 comprises, for example, a spring element 36 in the form of at least one rubber-elastic strip which is fastened to the fire protection textile 16 by fixing elements 38.1, 38.2.
- the spring element 36 may, as in the present case, from a non-heat-resistant material, such as rubber, so that it dissolves in the event of fire. If the fire protection element 14 has multiple layers of fire protection textile 16, between which, for example, intumescent material is arranged, then this intumescent material can expand unhindered, since it is no longer prevented by the elastic fastening means 34 therefrom.
- the fixing elements 38 reference numerals without counting suffix designate the object as such
- FIG. 3 shows a further embodiment of a fire or smoke protection curtain 10 according to the invention, in which the elastic fastening means 34 is formed by a plurality of threads that hold a gathering 38 of the fire protection textile 16.
- the threads are also elastic, so the possible assembly errors, as exemplified in FIG. 2 shown can be compensated.
- FIGS. 1 and 2 is also with the fire or smoke protection curtain 10 according to FIG. 3 the fire protection textile 16 also formed in the elastic zone 30 throughout.
- FIG. 4 shows an embodiment of a fire or smoke protection curtain 10 according to the invention, in which the fire protection textile 16 is interrupted, wherein the elastic fastening means 34 bridges the resulting gap.
- the fire protection element 14 has a zone of elasticity 30 which has a zone of elasticity EB.
- a height H of the fire protection element 14 is shown, which corresponds to the distance between the uppermost part of the fire protection element 14, which is in particular attached to the winding roll 26 and the lower end of the fire protection element 14 which is attached to the end strip 18.
- the elasticity zone width EB is significantly smaller than the size H, for example, it is less than one third, in particular less than one fifth of the height H.
- the elasticity ⁇ 30 in the elasticity zone 30 is significantly greater than an elasticity ⁇ 31 outside the elasticity zone 30, which may be referred to as normal zone 31, and for example at least three times as large.
- FIG. 5 shows a fire or smoke protection curtain 10, in which the elastic fastening means 34 is covered by a cover 42 heat protected.
- the cover 42 is in FIG. 5 shown case realized by a piece of fire protection fabric 16. It has been found that an elastic fastening means 34 made of rubber attached to the side away from the fire does not catch fire even after 90 minutes of a fire test, since the rubber only melts and drips into the relatively cold ground. However, the cover 42 may provide additional protection.
- FIG. 6 shows a fire or smoke protection curtain 10, in which the elastic fastening means 34 is covered by a cover 42 heat protected, which is part of the end bar 18.
- FIG. 7 shows a fire or smoke protection curtain 10 with a piping 20 which is rigidly connected by means of a fastener 44 with the end strip 18.
- the elasticity zone 30 extends at least also adjacent to the welt 20.
Landscapes
- Engineering & Computer Science (AREA)
- Structural Engineering (AREA)
- Architecture (AREA)
- Civil Engineering (AREA)
- Health & Medical Sciences (AREA)
- Public Health (AREA)
- Business, Economics & Management (AREA)
- Emergency Management (AREA)
- Curtains And Furnishings For Windows Or Doors (AREA)
- Operating, Guiding And Securing Of Roll- Type Closing Members (AREA)
Abstract
Description
- Die Erfindung betrifft einen Brand- oder Rauchschutzvorhang zum Verschließen einer Gebäudeöffnung, mit (a) einem flexiblen Brandschutzelement, das ein Brandschutztextil umfasst, und (b) einer das Brandschutzelement abschließenden Abschlussleiste.
- Ein derartiger Brand- oder Rauchschutzvorhang ist aus der
EP 0 906 772 A2 bekannt. Solche Brand- und Rauchschutzvorhänge werden vor Ort am Gebäude montiert, indem das flexible Rauchschutzelement beispielsweise an einer Wickelwelle befestigt wird. Danach wird das Brandschutzelement auf die Wickelwelle aufgewickelt, bis die Abschlussleiste bündig mit der Decke abschließt. Ist das flexible Brandschutzelement, insbesondere also das Brandschutztextil, nicht perfekt an der Wickelwelle befestigt worden, so erreicht ein Ende der Abschlussleiste die Gebäudedecke früher als das gegenüber liegende. Der verbleibende Spalt ist ästhetisch unerwünscht. In derEP 0 906 772 A2 wird zur Lösung vorgeschlagen, die Abschlussleiste zweiteilig auszubilden, wobei ein Fußteil der Abschlussleiste federnd mit einem Kopfteil verbunden ist. - Aus der
ist ein Brandschutzvorhang bekannt, der ein Textilgewebe mit lokal unterschiedlichen Elastizitäten besitzt. Dadurch wird erreicht, dass interne Taschen sich im Brandfall erweitern können. Die Elastizität des Brandschutzvorhangs als Ganzes wird davon aber nicht beeinflusst, so dass weiter eine klassische Abschlussleiste vorgesehen ist.GB 2 389 310 A - Aus der
DE 10 2009 004 399 A1 ist eine federnd aufgehängte Abschlussleiste bekannt, mittels der Montagetoleranzen ausgeglichen werden können. Verläuft beispielsweise die Abschlussleiste aufgrund eines Montagefehlers nicht vollkommen parallel zu der Wand, an der sie im eingefahrenen Zustand des Brandschutzvorhangs anliegen soll, so gibt die Abschlussleiste nach und gleicht den Montagefehler aus. - Der Erfindung liegt die Aufgabe zugrunde, den Fertigungsaufwand für die Abschlussleiste zu vermindern.
- Die Erfindung löst das Problem durch einen Brand- oder Rauchschutzvorhang mit den Merkmalen von Anspruch 1, eine Brandschutzvorrichtung mit den Merkmalen von Anspruch 9 und ein Verfahren mit den Merkmalen von Anspruch 10.
- Vorteilhaft an der Erfindung ist, dass Montagefehler wie bei bekannten Systemen ausgeglichen werden können, ohne dass eine speziell gestatlete Abschlussleiste vorgesehen werden müsste. Vorteilhaft ist zudem, dass auch bestehende Brand- oder Rauchschutzvorhänge nachgerüstet werden können, wenn sich herausgestellt hat, dass ein Montagefehler vorliegt, so dass die Abschlussleiste nicht bündig an der Anlage anliegt.
- Vorteilhaft ist auch, dass selbst komplexe Montagefehler nicht dazu führen, dass die Abschlussleiste ungleichmäßig an der Anlage anliegt. Aus gestalterischen Gründen werden möglichst lange Abschlussleisten angestrebt. Wird bei einer beispielsweise einstückigen Abschlussleiste ein Montagefehler in der Mitte gemacht, indem in der Mitte und an einem Rand das Brandschutztextil zu kurz bemessen an der Wickelrolle befestigt wurde, so muss dieser Montagefehler bei bekannten Brand- oder Rauchschutzvorhängen durch Dehnung einer Vielzahl von Federelementen aufgefangen werden, was zu einer hohen zu überwindenden Kraft führt. Das wiederum bedeutet, dass das flexible Brandschutzelement, insbesondere das Brandschutztextil, mit einem hohen Drehmoment aufgewickelt werden muss, was unerwünscht ist. Bei der erfindungsgemäßen Lösung wird der lokale Montagefehler auch lokal ausgeglichen, so dass lange Abschlussleisten verwendet werden können, ohne dass es zu übermäßig großen Kräften gegen Ende des Aufwickelns kommt.
- Im Rahmen der vorliegenden Beschreibung wird unter dem flexiblen Brandschutzelement insbesondere ein Element verstanden, das einem Brand zumindest 60 Minuten standhält. Es sei darauf hingewiesen, dass ein flexibles Brandschutzelement nicht notwendigerweise auch elastisch ist und bei bekannten Brand- oder Rauchschutzvorhängen ist das Brandschutzelement auch nur flexibel, nicht aber elastisch. Unter einem flexiblen Brandschutzelement wird nämlich ein biegbares Brandschutzelement verstanden.
- Unter der Abschlussleiste wird insbesondere ein längliches Bauteil verstanden, was in der Regel unten am Brandschutzelement angebaut ist. Wird der Brand- oder Rauchschutzvorhang in seine Verschlussanordnung gebracht, in der das Brandschutzelement die Gebäudeöffnung verschließt, so liegt die Abschlussleiste auf dem Boden auf.
- Unter der Elastizität, nämlich der Innerzonen-Elastizität und der Außerzonen-Elastizität, wird insbesondere der Quotient, aus der relativen Längenänderung als Zähler und dem Produkt aus der zum Hervorrufen der Längung benötigten Kraft und der Breite verstanden. Je höher die Elastizität, umso stärker längt sich das Brandschutzelement bei einer gegebenen Kraft und einer gegebenen Breite.
- Unter dem Merkmal, dass sich die Elastizitätszone entlang der Abschlussleiste erstreckt, wird insbesondere auch verstanden, dass sich die Elastizitätszone vollständig, also über die volle Breite des Brandschutzelements, erstrecken kann, dass das aber nicht notwendig ist. So ist durchaus denkbar, dass an einem Rand des Brandschutzelements keine Elastizitätszone vorhanden ist. Besonders günstig ist es aber, wenn sich die Elastizitätszone vollständig über die volle Breite des Brandschutzelements erstreckt.
- Die Elastizitätszone kann zumindest auch innerhalb der Abschlussleiste ausgebildet sein. Hierunter ist insbesondere zu verstehen, dass die Elastizitätszone zumindest teilweise von der Abschlussleiste verdeckt ist. Die Elastizitätszone kann aber auch zumindest teilweise außerhalb der Abschlussleiste ausgebildet sein.
- Gemäß einer bevorzugten Ausführungsform besitzt die Elastizitätszone eine senkrecht zur Richtung der Abschlussleiste gemessene Elastizitätszonenbreite, wobei die Elastizitätszonenbreite höchstens ein Fünftel einer vollen Höhe des Brandschutzelements beträgt.
- Es hat sich gezeigt, dass eine größere Breite der Elastizitätszone höchstens einen geringen zusätzlichen Nutzen bringt, so dass der zusätzliche Aufwand zum Einbringen der Elastizität in das Brandschutzelement nicht generell gerechtfertigt ist.
- Vorzugsweise beträgt die Innerzonen-Elastizität zumindest das Dreifache, insbesondere das Fünffache, der Außerzonen-Elastizität. Vorteilhaft daran ist, dass sich dann eine etwaige Verformung des Brandschutzelements in der Elastizitätszone konzentriert.
- Günstig ist es, wenn die Elastizitätszone dadurch gebildet ist, dass das Brandschutztextil zumindest eine entlang der Abschlussleiste verlaufende Auswölbung bildet, die mittels eines elastischen Befestigungsmittels gehalten ist. Bei der Auswölbung kann es sich insbesondere um eine Schlaufe oder Raffung handeln. Das hat den Vorteil, dass das flexible Brandschutzelement über seine volle Länge bzw. Höhe im Wesentlichen gleichartig aufgebaut sein kann, was die Fertigung erleichtert.
- Beispielsweise ist das elastische Befestigungsmittel am Brandschutztextil an zumindest zwei voneinander horizontal beabstandeten Stellen befestigt, so dass sich eine zumindest im Wesentlichen horizontal verlaufende Auswölbung bildet. Die Gewichtskraft der Abschlussleisten wird dann zumindest überwiegend vom elastischen Befestigungsmittel aufgenommen, so dass die etwaigen Montagefehler von dem elastischen Befestigungsmittel ausgeglichen werden.
- Gemäß einer bevorzugten Ausführungsform umfasst das elastische Befestigungsmittel zumindest ein Federelement. Beispielsweise ist das Federelement eine Feder, beispielsweise eine metallische Feder, oder ein gummielastisches Element, beispielsweise ein Gummistreifen.
- Besonders günstig ist es, wenn das elastische Befestigungsmittel unter Hitzeeinwirkung nicht beständig ist. Im Brandfall wird das elastische Befestigungsmittel dann zerstört, so dass das Brandschutzelement seine schützende Wirkung vollständig entfalten kann, indem sich beispielsweise die Auswölbung löst. Es kann dann eine Ausbauchung entstehen, die die notwendige Deflekti-on bereitstellt.
- Vorzugsweise ist das elastische Befestigungsmittel schwer entflammbar, unbrennbar und/oder thermisch beständig, so dass es sich auch bei einem 90 minütigen Brandtest nicht entzündet, wenn es auf der brandabgewandten Seite angeordnet ist. Es ist allerdings möglich, dass das elastische Befestigungsmittel unter Brandhitzeeinwirkung schmilzt oder erweicht. Alternativ oder zusätzlich ist das elastische Befestigungsmittel mittels einer Abdeckung hitzegeschützt abgedeckt. Beispielsweise ist die Abdeckung durch einen Teil der Abschlussleiste gebildet.
- Gemäß einer bevorzugten Ausführungsform besitzt der Brand- oder Rauchschutzvorhang einen Keder, der, beispielsweise mittels eines Befestigungselements, mit der Abschlussleiste, insbesondere starr, verbunden ist, wobei die Elastizitätszone zumindest auch benachbart zum Keder verläuft. Hierunter ist insbesondere zu verstehen, dass das Brandschutzelement zumindest auch und zumindest teilweise mit seiner Elastizitätszone am Keder anliegt.
- Alternativ oder zusätzlich kann die Elastizitätszone dadurch gebildet sein, dass das Brandschutztextil in der Elastizitätszone ein anderes Webmuster aufweist als außerhalb. Es ist bekannt, dass die Elastizität von Brandschutztextilen bezüglich einer vorgegebenen Richtung vom Verlauf des Webmusters bezüglich dieser Richtung und dem Webmuster selbst abhängt. Durch gezielte Veränderungen des Webmusters kann dadurch die Elastizität lokal verändert werden.
- Erfindungsgemäß ist zudem eine Brandschutzvorrichtung mit einem erfindungsgemäßen Brand- oder Rauchschutzvorhang und einer Aufnahme zum Montieren der Brandschutzvorrichtung an einer Gebäudedecke, wobei die Aufnahme eine Anlage, insbesondere eine Verblendung oder einen Anschlag besitzt, wobei in der Lageranordnung, in der das Brandschutzelement in der Aufnahme angeordnet ist, die Abschlussleiste entlang ihrer Längserstreckung an der Anlage anliegt und eine etwaige Fehlposition der Abschlussleiste durch die Elastizitätszone ausgeglichen wird. Hierbei wird unter der Verblendung insbesondere ein Bauteil verstanden, das zumindest teilweise sichtbar ist, wenn das Brandschutzelement in seiner Lageranordnung ist und das mit der Abschlussleiste so zusammenwirkt, dass das Brandschutzelement in der Lageranordnung möglichst wenig auffällt.
- Im Folgenden wird die Erfindung anhand der beigefügten Zeichnungen näher erläutert. Dabei zeigt
- Figur 1
- eine schematische perspektivische Ansicht eines erfindungsgemäßen Brand- oder Rauchschutzvorhangs,
- Figur 2
- eine schematische Darstellung der Längung des Brandschutztextils in der Elastizitätszone, wenn ein Montagefehler vorliegt,
- Figur 3
- eine alternative Ausführungsform eines erfindungsgemäßen Brand- oder Rauchschutzvorhangs und
- Figur 4
- eine weitere alternative Ausführungsform eines Brand- oder Rauchschutzvorhangs.
- Figur 5
- zeigt eine bevorzugte Ausführungsform eines Brand- oder Rauchschutzvorhangs, bei der das elastische Befestigungsmittel von einer Abdeckung hitzegeschützt abgedeckt ist,
- Figur 6
- zeigt eine bevorzugte Ausführungsform, bei der die Abdeckung an der Abschlussleiste befestigt ist.
- Figur 7
- zeigt eine weitere alternative Ausführungsform eines Brand- oder Rauchschutzvorhangs.
-
Figur 1 zeigt einen Brand- oder Rauchschutzvorhang 10 zum Verschließen einer Gebäudeöffnung 12, beispielsweise eines Durchganges, einer Toröffnung, eines Fensters oder dergleichen. Der Brand- oder Rauchschutzvorhang 10 umfasst ein flexibles Brandschutzelement 14, das ein Brandschutztextil 16, und eine das Brandschutzelement 14 nach unten abschließende Abschlussleiste 18 besitzt. - Die Abschlussleiste 18 umfasst einen Keder 20, der vom Brandschutztextil 16 umschlungen ist, sowie ein Kopfteil 22, das mittels des Keders 20 gehalten wird, und ein Fußteil 24, das vom Kopfteil 22 gehalten ist. Dazu umgreift das Fußteil 24 das Kopfteil 22.
-
Figur 1 zeigt zudem eine Wickelrolle 26, auf der das Brandschutztextil 16 aufgewickelt wird, um es in seine Lageranordnung zu bringen. In seiner inFigur 1 gezeigten Verschlussanordnung liegt die Abschlussleiste 18 mit ihrem Fußteil 24 an einer Anlage 28 an, die im vorliegenden Fall als Verblendung ausgebildet ist und einen Schacht 29 begrenzt, durch den das Brandschutzelement 16 läuft, wenn es auf die Wickelrolle 26 aufgewickelt wird. - Der Brand- oder Rauchschutzvorhang 10 besitzt benachbart zur Abschlussleiste 18 eine Elastizitätszone 30 erhöhter Elastizität, Die Elastizität ε lässt sich berechnen gemäß der Formel
, wobei EB die Elektrizitätszonen-breite ist und Δl (vgl.Figur 2 ) die Längung des Brandschutzelements 14 aufgrund einer Kraft F. Die Breite B dient als Normierung, so dass die Elastizität nicht von der Breite des betrachteten Brandschutzelements 14 abhängt. Δl/ER ist die relative Längung. -
Figur 1 zeigt den Fall ohne Montagefehler, bei dem die Abschlussleiste 18 mit ihrem Fußteil 24 über dessen volle Länge gleichzeitig an der Anlage 28 anschlägt, wenn das Brandschutzelement 14 auf die Wickelrolle 26 aufgewickelt wird. -
Figur 2 zeigt den Fall, in dem die Anlage 28 einen Montagefehler aufweist, so dass das inFigur 2 vorn dargestellte Ende des Fußteils 24 die Anlage 28 früher erreicht als das inFigur 2 hinten eingezeichnete. Wird die Wickelrolle 26 weitergedreht, so längt sich das Brandschutzelement 14 in der Elastizitätszone 30, wie durch die Pfeile P1, P2 und P3 angedeutet ist, lokal unterschiedlich. Wenn schließlich auch das inFigur 2 hinten eingezeichnete Ende des Fußteils 24 an der Anlage 28 anliegt, schließen die Abschlussleiste 18 und die Anlage 28 bündig miteinander ab, obwohl es zu einem Montagefehler gekommen ist. -
Figur 2 zeigt, dass die Elastizitätszone 30 dadurch gebildet ist, dass das Brandschutztextil 16 eine entlang der Abschlussleiste 18 verlaufende Auswölbung 32 bildet, die mittels eines elastischen Befestigungsmittels 34, gehalten ist. Das elastische Befestigungsmittel 34 umfasst beispielsweise ein Federelement 36 in Form zumindest eines gummielastischen Streifens, der durch Fixierelemente 38.1, 38.2 am Brandschutztextil 16 befestigt ist. - Das Federelement 36 kann, wie im vorliegenden Fall, aus einem bei Hitze nicht beständigen Material, beispielsweise Gummi, bestehen, so dass es sich im Brandfall auflöst. Wenn das Brandschutzelement 14 mehrere Lagen an Brandschutztextil 16 aufweist, zwischen denen beispielsweise intumeszierendes Material angeordnet ist, so kann sich dieses intumeszierende Material ungehindert ausdehnen, da es nicht mehr durch das elastische Befestigungsmittel 34 daran gehindert wird. Insbesondere können auch die Fixierelemente 38 (Bezugszeichen ohne Zählsuffix bezeichnen das Objekt als solches) auf thermisch nicht beständigem Material aufgebaut sein.
-
Figur 3 zeigt eine weitere Ausführungsform eines erfindungsgemäßen Brand-oder Rauchschutzvorhangs 10, bei dem das elastische Befestigungsmittel 34 durch eine Mehrzahl an Fäden gebildet ist, die eine Raffung 38 des Brandschutztextils 16 halten. Die Fäden sind ebenfalls elastisch, so dass die etwaigen Montagefehler, wie sie beispielhaft inFigur 2 gezeigt sind, ausgeglichen werden können. - Wie in den
Figuren 1 und2 ist auch bei dem Brand- oder Rauchschutzvorhang 10 gemäßFigur 3 das Brandschutztextil 16 auch in der Elastizitätszone 30 durchgängig ausgebildet. -
Figur 4 zeigt eine Ausführungsform eines erfindungsgemäßen Brand- oder Rauchschutzvorhangs 10, bei dem das Brandschutztextil 16 unterbrochen ist, wobei das elastische Befestigungsmittel 34 die entstehende Lücke überbrückt. - In allen gezeigten Ausführungsformen hat das Brandschutzelement 14 eine Elastizitätszone 30, die eine Elastizitätszonenbreite EB besitzt. In
Figur 4 ist zudem eine Höhe H des Brandschutzelements 14 eingezeichnet, die den Abstand zwischen dem obersten Teil des Brandschutzelements 14, der insbesondere an der Wickelrolle 26 befestigt ist und dem unteren Ende des Brandschutzelements 14, das an der Abschlussleiste 18 befestigt ist, entspricht. In der Regel ist die Elastizitätszonenbreite EB deutlich kleiner als die Größe H, beispielsweise beträgt sie weniger als ein Drittel, insbesondere weniger als ein Fünftel der Höhe H. Die Elastizität ε 30 in der Elastizitätszone 30 ist deutlich größer als eine Elastizität ε 31 außerhalb der Elastizitätszone 30, die als Normalzone 31 bezeichnet werden kann, und beispielsweise mindestens dreimal so groß. -
Figur 5 zeigt einen Brand- oder Rauchschutzvorhang 10, bei dem das elastische Befestigungsmittel 34 von einer Abdeckung 42 hitzegeschützt abgedeckt ist. Die Abdeckung 42 ist im inFigur 5 gezeigten Fall durch ein Stück Brandschutztextil 16 realisiert. Es hat sich gezeigt, dass ein auf der brandabgewandten Seite angebrachtes elastisches Befestigungsmittel 34 aus Gummi auch nach 90 Minuten eines Brandtests kein Feuer fängt, da das Gummi lediglich schmilzt und in die relativ kalte Bodennähe tropft. Die Abdeckung 42 kann jedoch einen zusätzlichen Schutz bieten. -
Figur 6 zeigt einen Brand- oder Rauchschutzvorhang 10, bei dem das elastische Befestigungsmittel 34 von einer Abdeckung 42 hitzegeschützt abgedeckt ist, die ein Teil der Abschlussleiste 18 ist. -
Figur 7 zeigt einen Brand- oder Rauchschutzvorhang 10 mit einen Keder 20, der mittels eines Befestigungselements 44 mit der Abschlussleiste 18 starr verbunden ist. Die Elastizitätszone 30 verläuft zumindest auch benachbart zum Keder 20. Beim Aufbringen einer Zugkraft F auf das Brandschutzelement 14 längt sich das Brandschutztextil 16 wie durch die Pfeile P angegeben und gleicht so etwaige Montagefehler aus. Die Elastizitätszone 30 ist bei dieser Ausführungsform von der Abschlussleiste 18 verdeckt. -
- 10
- Brand- oder Rauchschutzvorhang
- 12
- Gebäudeöffnung
- 14
- Brandschutzelement
- 16
- Brandschutztextil
- 18
- Abschlussleiste
- 20
- Keder
- 22
- Kopfteil
- 24
- Fußteil
- 26
- Wickelrolle
- 28
- Anlage
- 29
- Schacht
- 30
- Elastizitätszone
- 31
- Normalzone
- 32
- Auswölbung
- 34
- elastisches Befestigungsmittel
- 36
- Federelement
- 38
- Fixierelement
- 40
- Raffung
- 42
- Abdeckung
- 44
- Befestigungselement
- ε
- Elastizität
- P
- Pfeil
- EB
- Elastizitätszonenbreite
- H
- Höhe
Claims (10)
- Brand- oder Rauchschutzvorhang (10) zum Verschließen einer Gebäudeöffnung (12), mit(a) einem flexiblen Brandschutzelement (14),
das ein Brandschutztextil (16) umfasst, und.(b) einer das Brandschutzelement (14) abschließenden Abschlussleiste (18), dadurch gekennzeichnet, dass(c) das Brandschutzelement (14) benachbart zur Abschlussleiste (18) eine sich entlang der Abschlussleiste (18) erstreckende Elastizitätszone (30) aufweist,
in der eine Innerzonen-Elastizität (ε30) des Brandschutzelements (14) größer ist als eine Außerzonen-Elastizität (ε31) außerhalb der Elastizitätszone (30). - Brand- oder Rauchschutzvorhang (10) nach Anspruch 1, dadurch gekennzeichnet, dass die Elastizitätszone (30) eine in senkrechter Richtung zur Abschlussleiste (18) gemessene Elastizitätszonenbreite (EB) besitzt, wobei die Elastizitätszonenbreite (EB) höchstens ein Fünftel einer vollen Höhe (H) des Brandschutzelements (14) beträgt.
- Brand- oder Rauchschutzvorhang (10) nach Anspruch 1, dadurch gekennzeichnet, dass die Innerzonen-Elastizität (ε30), zumindest das Dreifache der Außerzonen-Elastizität (ε31) beträgt.
- Brand- oder Rauchschutzvorhang (10) nach einem der vorstehenden Ansprüche, dadurch gekennzeichnet, dass die Elastizitätszone (30) dadurch gebildet ist, dass das Brandschutztextil (16) zumindest eine entlang der Abschlussleiste (18) verlaufende Auswölbung (32) bildet, die mittels eines elastischen Befestigungsmittels (34) gehalten ist.
- Brand- oder Rauchschutzvorhang (10) nach Anspruch 4, dadurch gekennzeichnet, dass das Brandschutzelement (14)- in eine Verschlussanordnung, in der das Brandschutzelement (14) die Gebäudeöffnung 12 verschließt, und- in eine Lageranordnung, in der die das Brandschutzelement (14) die Gebäudeöffnung 12 offen lässt, bringbar ist,- wobei die Auswölbungen (32) in der Verschlussanordnung im Wesentlichen horizontal verlaufen.
- Brand- oder Rauchschutzvorhang (10) nach Anspruch 4 oder 5, dadurch gekennzeichnet, dass das elastische Befestigungsmittel (34) zumindest ein Federelement (36) umfasst.
- Brand- oder Rauchschutzvorhang (10) nach Anspruch 4 bis 6, dadurch gekennzeichnet, dass das elastische Befestigungsmittel (34) unter Hitzeeinwirkung nicht beständig ist.
- Brand- oder Rauchschutzvorhang (10) nach einem der vorstehenden Ansprüche, dadurch gekennzeichnet, dass die Elastizitätszone (30) dadurch gebildet ist, dass das Brandschutztextil (16) in der Elastizitätszone (30) ein anderes Webmuster aufweist als außerhalb.
- Brandschutzvorrichtung mit- einem Brand- oder Rauchschutzvorhang (10) nach einem der vorstehenden Ansprüche und- einer Aufnahme zum Montieren der Brandschutzvorrichtung, insbesondere an einer Gebäudedecke (24) oder Gebäudewand,- wobei die Aufnahme eine Anlage (28), insbesondere eine Verblendung, besitzt,- wobei in einer Lageranordnung, in der das Brandschutzelement (14) in der Aufnahme angeordnet ist, die Abschlussleiste (18) entlang ihrer Längserstreckung an der Anlage (28) anliegt und eine etwaige Fehlposition der Abschlussleiste (18) durch die Elastizitätszone (30) ausgeglichen wird.
- Verfahren zum Montieren eines Brand- oder Rauchschutzvorhangs (10) an einer Gebäudeöffnung (12), mit den Schritten:(i) Befestigen eines Brand- oder Rauchschutzvorhangs (10) mit- einem flexiblen Brandschutzelement (14), das ein Brandschutztextil (16) umfasst, und- einer das Brandschutzelement (14) abschließenden Abschlussleiste (18),- wobei das Brandschutzelement (14) benachbart zur Abschlussleiste (18) eine sich entlang der Abschlussleiste (18) erstreckende Elastizitätszone (30) aufweist, in der eine Innerzonen-Elastizität des Brandschutzelements (14) größer ist als eine Außerzonen-Elastizität außerhalb der Elastizitätszone (30),an einer Wickelrolle (26) und(ii) Aufwickeln des Brandschutzelements (14) auf eine Wickelrolle (26), bis die Abschlussleiste (18) bündig mit einer Anlage (28), insbesondere der Gebäudedecke oder einer Verblendung, abschließt, wobei etwaige Befestigungsfehler durch in Richtung entlang der Abschlussleiste (18) lokal unterschiedliche Dehnungen der Elastizitätszone (30) ausgeglichen werden.
Applications Claiming Priority (1)
| Application Number | Priority Date | Filing Date | Title |
|---|---|---|---|
| DE201110012657 DE102011012657B3 (de) | 2011-02-28 | 2011-02-28 | Brand- oder Rauchschutzvorhang zum Verschließen einer Gebäudeöffnung und dazugehöriges Verfahren |
Publications (2)
| Publication Number | Publication Date |
|---|---|
| EP2491982A2 true EP2491982A2 (de) | 2012-08-29 |
| EP2491982A3 EP2491982A3 (de) | 2013-08-14 |
Family
ID=45654903
Family Applications (1)
| Application Number | Title | Priority Date | Filing Date |
|---|---|---|---|
| EP12000815.6A Withdrawn EP2491982A3 (de) | 2011-02-28 | 2012-02-08 | Brand- oder Rauchschutzvorhang zum Verschliessen einer Gebäudeöffnung und dazugehöriges Verfahren |
Country Status (2)
| Country | Link |
|---|---|
| EP (1) | EP2491982A3 (de) |
| DE (1) | DE102011012657B3 (de) |
Citations (3)
| Publication number | Priority date | Publication date | Assignee | Title |
|---|---|---|---|---|
| EP0906772A2 (de) | 1997-10-04 | 1999-04-07 | Andrew Paul Cooper | Feuerhemmender Vorhang |
| GB2389310A (en) | 2002-06-07 | 2003-12-10 | Stobich Brandschutz Gmbh & Co | Fire Barrier |
| DE102009004399A1 (de) | 2009-01-11 | 2010-07-29 | Stöbich Brandschutz GmbH | Brand- oder Rauchschutzvorhang |
-
2011
- 2011-02-28 DE DE201110012657 patent/DE102011012657B3/de not_active Expired - Fee Related
-
2012
- 2012-02-08 EP EP12000815.6A patent/EP2491982A3/de not_active Withdrawn
Patent Citations (3)
| Publication number | Priority date | Publication date | Assignee | Title |
|---|---|---|---|---|
| EP0906772A2 (de) | 1997-10-04 | 1999-04-07 | Andrew Paul Cooper | Feuerhemmender Vorhang |
| GB2389310A (en) | 2002-06-07 | 2003-12-10 | Stobich Brandschutz Gmbh & Co | Fire Barrier |
| DE102009004399A1 (de) | 2009-01-11 | 2010-07-29 | Stöbich Brandschutz GmbH | Brand- oder Rauchschutzvorhang |
Also Published As
| Publication number | Publication date |
|---|---|
| EP2491982A3 (de) | 2013-08-14 |
| DE102011012657B3 (de) | 2012-05-31 |
Similar Documents
| Publication | Publication Date | Title |
|---|---|---|
| EP2508232B1 (de) | Brand- oder Rauchschutzvorrichtung und Gebäude damit | |
| EP2596719B1 (de) | Schubkasten | |
| WO2017016944A1 (de) | Fassade für ein gebäude, aufgebaut aus verbundelementen | |
| EP2939712B1 (de) | Brandschutzvorhang | |
| EP3705676B1 (de) | Verfahren zur montage eines rollladenkastens und auf einem rahmenteil aufgesetzter rollladenkasten | |
| DE202007000020U1 (de) | Türblatt, vorzugsweise für eine Hauseingangstür | |
| DE2149665A1 (de) | Abbaufaehige Zwischenwand | |
| DE102011012657B3 (de) | Brand- oder Rauchschutzvorhang zum Verschließen einer Gebäudeöffnung und dazugehöriges Verfahren | |
| DE102014103851A1 (de) | Rollenführung | |
| EP2311347B1 (de) | Verschlusselement zum Verschließen eines Spaltes zwischen Einbaugerät und Möbelumbau | |
| EP1997770B2 (de) | Aufzugstürblatt | |
| EP2939713B1 (de) | Brandschutzvorhang | |
| WO2019110162A1 (de) | Tor | |
| EP2878754B1 (de) | Feuerschutztürflügel für eine ein- oder mehrflügel-Feuerschutztür | |
| EP2698334B1 (de) | Schienensystem für Aufzugschiebetüren | |
| DE102021114852A1 (de) | Seitenführung eines Abdeckelements | |
| EP1914376A2 (de) | Verkleidung für ein Rolltor oder ein Rollgitter sowie damit versehenes Rolltor bzw. Rollgitter | |
| DE112014004351B4 (de) | Schwimmend gelagerte Abstützrolle | |
| DE102015118156B4 (de) | Glashalter, damit versehener Brandschutzabschluss sowie Herstellverfahren | |
| DE20206644U1 (de) | Brandschutzelement | |
| DE102017109317A1 (de) | Durchsturzsicherung für eine Lichtbandzarge | |
| AT204754B (de) | Rollvorhang zum Schutz vor Insekten | |
| AT508666B1 (de) | Lichtkuppel | |
| DE7919299U1 (de) | Rolladen mit einer sicherung gegen ein unberechtigtes hochschieben des rolladenpanzers | |
| DE29821899U1 (de) | Rauch- und feuerhemmende Vorrichtung |
Legal Events
| Date | Code | Title | Description |
|---|---|---|---|
| PUAI | Public reference made under article 153(3) epc to a published international application that has entered the european phase |
Free format text: ORIGINAL CODE: 0009012 |
|
| AK | Designated contracting states |
Kind code of ref document: A2 Designated state(s): AL AT BE BG CH CY CZ DE DK EE ES FI FR GB GR HR HU IE IS IT LI LT LU LV MC MK MT NL NO PL PT RO RS SE SI SK SM TR |
|
| AX | Request for extension of the european patent |
Extension state: BA ME |
|
| PUAL | Search report despatched |
Free format text: ORIGINAL CODE: 0009013 |
|
| AK | Designated contracting states |
Kind code of ref document: A3 Designated state(s): AL AT BE BG CH CY CZ DE DK EE ES FI FR GB GR HR HU IE IS IT LI LT LU LV MC MK MT NL NO PL PT RO RS SE SI SK SM TR |
|
| AX | Request for extension of the european patent |
Extension state: BA ME |
|
| RIC1 | Information provided on ipc code assigned before grant |
Ipc: E06B 9/42 20060101ALI20130705BHEP Ipc: A62C 2/18 20060101ALN20130705BHEP Ipc: A62C 2/10 20060101AFI20130705BHEP |
|
| STAA | Information on the status of an ep patent application or granted ep patent |
Free format text: STATUS: THE APPLICATION IS DEEMED TO BE WITHDRAWN |
|
| 18D | Application deemed to be withdrawn |
Effective date: 20140215 |
