EP2277620A2 - Statisches Mischelement - Google Patents
Statisches Mischelement Download PDFInfo
- Publication number
- EP2277620A2 EP2277620A2 EP10182884A EP10182884A EP2277620A2 EP 2277620 A2 EP2277620 A2 EP 2277620A2 EP 10182884 A EP10182884 A EP 10182884A EP 10182884 A EP10182884 A EP 10182884A EP 2277620 A2 EP2277620 A2 EP 2277620A2
- Authority
- EP
- European Patent Office
- Prior art keywords
- web
- arrangement
- mixing element
- static mixing
- width
- Prior art date
- Legal status (The legal status is an assumption and is not a legal conclusion. Google has not performed a legal analysis and makes no representation as to the accuracy of the status listed.)
- Granted
Links
Images
Classifications
-
- B—PERFORMING OPERATIONS; TRANSPORTING
- B01—PHYSICAL OR CHEMICAL PROCESSES OR APPARATUS IN GENERAL
- B01F—MIXING, e.g. DISSOLVING, EMULSIFYING OR DISPERSING
- B01F25/00—Flow mixers; Mixers for falling materials, e.g. solid particles
- B01F25/40—Static mixers
-
- B—PERFORMING OPERATIONS; TRANSPORTING
- B01—PHYSICAL OR CHEMICAL PROCESSES OR APPARATUS IN GENERAL
- B01F—MIXING, e.g. DISSOLVING, EMULSIFYING OR DISPERSING
- B01F23/00—Mixing according to the phases to be mixed, e.g. dispersing or emulsifying
- B01F23/40—Mixing liquids with liquids; Emulsifying
- B01F23/47—Mixing liquids with liquids; Emulsifying involving high-viscosity liquids, e.g. asphalt
-
- B—PERFORMING OPERATIONS; TRANSPORTING
- B01—PHYSICAL OR CHEMICAL PROCESSES OR APPARATUS IN GENERAL
- B01F—MIXING, e.g. DISSOLVING, EMULSIFYING OR DISPERSING
- B01F25/00—Flow mixers; Mixers for falling materials, e.g. solid particles
- B01F25/40—Static mixers
- B01F25/42—Static mixers in which the mixing is affected by moving the components jointly in changing directions, e.g. in tubes provided with baffles or obstructions
- B01F25/43—Mixing tubes, e.g. wherein the material is moved in a radial or partly reversed direction
- B01F25/431—Straight mixing tubes with baffles or obstructions that do not cause substantial pressure drop; Baffles therefor
- B01F25/4316—Straight mixing tubes with baffles or obstructions that do not cause substantial pressure drop; Baffles therefor the baffles being flat pieces of material, e.g. intermeshing, fixed to the wall or fixed on a central rod
- B01F25/43161—Straight mixing tubes with baffles or obstructions that do not cause substantial pressure drop; Baffles therefor the baffles being flat pieces of material, e.g. intermeshing, fixed to the wall or fixed on a central rod composed of consecutive sections of flat pieces of material
-
- B—PERFORMING OPERATIONS; TRANSPORTING
- B01—PHYSICAL OR CHEMICAL PROCESSES OR APPARATUS IN GENERAL
- B01F—MIXING, e.g. DISSOLVING, EMULSIFYING OR DISPERSING
- B01F2101/00—Mixing characterised by the nature of the mixed materials or by the application field
- B01F2101/2805—Mixing plastics, polymer material ingredients, monomers or oligomers
Definitions
- the invention relates to a static mixing element according to the preamble of claim 1.
- the invention also relates to a static mixer containing such a mixing element.
- a static mixing device which consists of a tubular housing and contains at least one mixing element arranged therein.
- the mixing element consists of intersecting webs, which have an angle with respect to the tube axis.
- the webs of the mixing elements are arranged in at least two groups. The ridges within each group are directed substantially parallel. The webs of one group intersect with the webs of the other group.
- DE 44 28 813 shows a static mixing device, which unlike CH 642 564 has intersecting webs which overlap in the region of the crossing points.
- This local broadening of the webs used in the DE 44 28 813 are designed as steel sheet bars, serves to reinforce and / or to form a positive connection of adjacent webs. In the widening a groove is cut, which receives an adjacent steel sheet bar.
- EP 0 856 353 A1 shows a module which is part of a static mixing device, which is intended for a residence time critical, plastically flowable mix.
- the device comprises a tubular housing in which webs are arranged. The webs are inclined against the longitudinal axis of the housing; they essentially intersect on a straight line perpendicular to the longitudinal axis.
- the module comprises a sleeve which can be inserted into the housing.
- the mixed material conducting inner wall of the static Mixing device is formed by inner sides of the sleeve.
- the webs are formed like a spike, each with a pointing against the direction of movement of the mixed material vertex and attached to the sleeve inside base. Each vertex forms a gap with the interior wall of the device.
- the object of the invention is to provide for said static mixer an improvement with which a lower pressure loss can be achieved with comparable or improved mixing efficiency.
- a static mixing element has a width dimension Db and is suitable for installation in a hollow body having a substantially equal width dimension Db.
- the static mixing element includes a plurality of web elements, wherein a first array includes at least a first land element that is cross-sectioned to a second structure that includes at least one second land element. At least one of the first and second web elements is formed as a plate, disk or bar-shaped element.
- the first arrangement and the second arrangement include an angle not equal to 0 ° to the main flow direction.
- the first arrangement and the second arrangement include an angle greater than 0 °.
- the further features relate to advantageous embodiments of the static mixing element, as well as a static mixer, which contains the inventive mixing element.
- the main flow direction is preferably in the direction of the longitudinal axis of a hollow body, in which the mixing element is received.
- the spacing element can be designed as a local thickening or widening of at least one stake element.
- the number of web elements can be 4 to 10 in the projection plane.
- at least two web elements per arrangement are provided.
- the first and the third web element are part of a first arrangement of web elements lying in a first plane.
- the second and the fourth web element are part of a second arrangement of web elements lying in a second plane. At least a part of the web elements of the first arrangement may be arranged in a third plane, which is arranged offset to the first plane.
- a part of the web elements of the second arrangement may be arranged in a fourth plane, wherein the fourth plane is arranged offset to the second plane.
- the web elements have a width (H).
- the sum (EHi) of the widths (H) of the web elements in the projection plane in relation to the diameter (D) of the hollow body is determined by the size z defined below.
- the size z is in particular less than 95%, preferably less than 85%, in particular less than 75%, particularly preferably less than 65%.
- the static mixing device comprises a static mixing element, as well as a hollow body or a sleeve to receive the static mixing element.
- the static mixing element may be attached to the hollow body or the sleeve, wherein the static mixing element and the hollow body or the sleeve may consist of a single component.
- the static mixing element may be fastened to the inner wall of the hollow body or the sleeve in the region of the intersection of the first plane with the second plane and / or in the region of at least part of the ends of the web elements.
- a static mixing element for laminar flowing media, in particular polymer melts or other highly viscous fluids.
- Fig. 1 shows four mixing elements, which are arranged one behind the other in a hollow body 10. Successive mixing elements 2 are at an angle of 90 ° to each other around the axis of rotation acting as Hollow body axis 8 pivoted. The main flow direction of the fluid flowing through the hollow body 10 lies in the direction of the hollow body axis 8.
- Each mixing element consists of arrangements of web elements (3, 4) arranged in two intersecting planes (5, 6).
- An arrangement of web elements designates a number of web elements which lie substantially in one plane.
- the first plane 5 contains a first arrangement 21 of web elements 3, a second plane 6 a second arrangement 31 of web elements 4.
- the first and the second plane (5, 6) are arranged at an angle to one another, so that the first arrangement 21 of FIG Web elements 3 with the second arrangement 31 of web elements 4 crosses.
- Adjacent web elements lie side by side in such a way that the sum of the widths (H) of the web elements is equal to the pipe diameter (D). In this case, therefore, the web elements directly adjoin one another.
- each flowing fluid molecule encounters a web element, under the idealizing assumption that the fluid molecule was flowing along the main flow direction.
- Each web element thus represents an obstacle to the flowing fluid molecule, so that a deflection of the fluid molecule takes place before it impinges on the web element.
- a static mixing element 2 according to the invention for installation in a hollow body 10 contains a plurality of web elements.
- a first web element 3 and a third web element 13 are arranged crosswise relative to a second web element 4 and a fourth web element 14.
- the first web element 3 and the third web element 13 form a first arrangement 21 of web elements.
- the second web element 4 and the fourth web element 14 form a second arrangement 31 of web elements.
- a web element can be configured, for example, as a tube or as a plate, disk or bar-shaped element.
- the cross section of the stake element can be edge-free, eg have a circular or elliptical cross-section.
- the cross section may include edges, that is, for example, have a rectangular or diamond-shaped cross-section.
- the connecting lines between the edges may be straight or curved, in particular convex or concave, which, for example, in the EP 1 305 108 B1 is realized.
- a web element can protrude at least in sections from the associated arrangement, for example, have a corrugated structure. In this case, the previously described level of the arrangement is to be understood as a middle level.
- the web elements can also have an irregular structure in the direction of an arrangement, ie in the corresponding plane or parallel to the middle plane, eg a wavy surface.
- the width H of the web elements is defined in this case as the width of the web elements averaged over the web length.
- the individual web elements also need not run parallel to one another, but they may have an angle relative to the other web elements of the same arrangement.
- the surprising effect of the invention occurs in each of the mentioned web element cross sections and each of the web element shapes, that is, it is largely independent of the cross section and the shape of the web element. If the two arrangements 21 and 31 are projected onto a plane which is normal to the main flow direction, ie normal to the longitudinal axis 8 of the enveloping hollow body 10, the web elements of the arrangements 21 and 31 follow Fig. 1 in the projection flush with each other, that is, there are no gaps visible between the thus projected web elements. On the other hand, assuming the same projection in one of the embodiments Fig. 2 to Fig. 4 before, there are such gaps between the web elements.
- Fig. 2 shows a radial section through a hollow body 10, in which exactly these projections of the web elements 3,13 and the web elements 4,14 are shown.
- the web elements have in this illustration, the width (H) and have a distance (a) from each other, wherein the widths (H) and the distances (a) of adjacent web elements according to this particularly preferred embodiment are the same.
- the surprising effect of the invention also occurs when the distances (a) and / or the widths (H) differ from each other.
- Fig. 3 shows a second embodiment of a mixing element according to the invention.
- a plurality of web elements forms an arrangement of web elements if all web elements of the arrangement lie substantially in the same plane as in FIG Fig. 3 shown, or if all the web elements in substantially parallel, but slightly offset in the direction of the longitudinal axis planes, as in Fig. 4 shown.
- the first arrangement 21 of web elements lying in a plane 5 comprises the two web elements 3, 13.
- the second arrangement 31 of web elements lying on a plane 6 consists of the web elements 4, 14, 24.
- two intersecting planes 5,6 clamped.
- the first and the second plane 5, 6 are arranged at an angle to one another, so that the web elements lying in the first plane 5 intersect with the web elements of the second plane 6, and form a cutting line 7.
- z N * H / D .
- N is the sum of the ridge elements of the first array 21 and the second array 31.
- the outermost web elements of an arrangement bear on the inner wall of the hollow body, or have only a slight distance from the inner wall.
- the diameter of the hollow body is specified here in particular for hollow bodies with a circular cross-section.
- the hollow body may also have an elliptical, polygonal, in particular rectangular or square cross-section.
- the width dimension Db of the hollow body substantially corresponds to the width dimension Db of the mixing element, neglecting manufacturing and installation tolerances.
- the sum of the areas of the web elements of two intersecting arrangements projected onto a plane perpendicular to the main flow direction is in each case less than 95% of the total cross-sectional area of the plane, preferably less than 85% of the entire plane, in particular less than 75% of the total Level, and more preferably less than 65% of the total level.
- the number N of the web elements is a minimum of 4 and a maximum of 10.
- FIG. 4 Another embodiment is in Fig. 4 shown. Deviating from Fig. 3 not all web elements (3, 13, 23) of a first arrangement 21 lie in a plane 5, but part of the web elements lies in a plane 5 'which is essentially parallel but at least slightly displaced in the direction of the longitudinal axis.
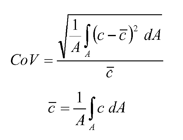
- the CoV becomes smaller.
- the reduction of the coefficient of variation CoV over a given mixer length was determined for the same distribution and therefore also the same CoV before the mixers; the mixer, which has a smaller CoV after the given length, mixes more intensively or better.
- the result of this study shows that mixing elements have significantly more favorable properties, which have a distance (a) between the intersecting web elements.
- the distance (a) is preferably approximately the same size as the width (H) of the web elements.
- FIG. 5 is the result of this study with respect to the pressure loss per mixer length and the mixing quality according to predetermined mixer length of the mixing element according to the invention in different variants in comparison with the prior art according to CH 642 564 shown.
- the pressure loss relative to the pressure loss of the prior art and the ordinate the mixing quality after a predetermined mixer length relative to the mixing quality of the prior art applied to the same mixer length.
- the single point 19 corresponds to the value pair for relative pressure loss and mixing quality according to the prior art. In the illustration, this value pair has been normalized to (1,1), so that the relative pressure loss according to the invention is between 20 and 80% of the pressure loss according to the prior art.
- the CoV after a given mixer length is between 75% and 125% of the value according to the prior art.
- the course of the graph 20 thus clearly shows that, despite the much lower pressure loss, even a significant improvement in the mixing quality, in particular a CoV of between 75 and 100%, can be achieved.
- a smaller CoV according to the above definition stands for a better mixing quality.
- the relative pressure loss can be reduced by more than 2/3 of the pressure loss of the prior art.
- the mixing quality can be up to 20% compared to the prior art according to a predetermined mixer length CH 642 564 improved, while reducing the pressure loss to over 50% opposite to the mixer according to the CH 642 564 is achievable.
- the illustrated mixing element in the diagram corresponds to a point with about 60% lower pressure loss than the prior art of at the same time with 20% better mixing quality after the same mixer length.
- spacer elements are at least partially spacer elements (15,16) arranged between adjacent web elements.
- the spacer elements By means of the spacer elements, the mounting of the web elements can be made possible or simplified.
- the spacer elements can serve to increase the stability of the static mixing element.
- Spacer elements may be separate components that can be connected to the web elements, for example by welding, or be designed in the form of local thickening or widening. An example of such widening in the area near the wall of the bar is in Fig. 6 shown.
- Fig. 6 shows a detail of a crossing region of two web elements 3,4 with spacers 15, 16 in the form of local thickening and widening. These thickenings serve to connect the two web elements together.
- the thickenings are essentially limited to the crossing area. Since the thickening 16 represents only a local connection of the web elements, it has at most a small influence on the flow.
Landscapes
- Chemical & Material Sciences (AREA)
- Chemical Kinetics & Catalysis (AREA)
- Dispersion Chemistry (AREA)
- Engineering & Computer Science (AREA)
- Civil Engineering (AREA)
- Structural Engineering (AREA)
- Processing And Handling Of Plastics And Other Materials For Molding In General (AREA)
Abstract
Description
- Die Erfindung betrifft ein statisches Mischelement gemäss Oberbegriff von Anspruch 1. Die Erfindung bezieht sich auch auf einen statischen Mischer, der ein derartiges Mischelement enthält.
- Aus dem Stand der Technik gemäss
ist eine statische Mischvorrichtung bekannt, die aus einem rohrartigen Gehäuse besteht und mindestens ein darin angeordnetes Mischelement enthält. Das Mischelement besteht aus sich kreuzenden Stegen, die einen Winkel gegenüber der Rohrachse aufweisen. Die Stege der Mischelemente sind in mindestens zwei Gruppen angeordnet. Die Stege innerhalb einer jeden Gruppe sind im wesentlichen parallel gerichtet. Die Stege der einen Gruppe kreuzen sich mit den Stegen der anderen Gruppe.CH 642 564 -
DE 44 28 813 zeigt eine statische Mischvorrichtung, welche im Unterschied zur sich kreuzende Stege aufweist, die im Bereich der Kreuzungspunkte überlappen. Diese lokale Verbreiterung der Stege, die in derCH 642 564 DE 44 28 813 als Stahlblechstäbe ausgebildet sind, dient zur Verstärkung und/oder zur Ausbildung einer formschlüssigen Verbindung benachbarter Stege. In die Verbreiterung ist eine Nut eingeschnitten, welche einen benachbarten Stahlblechstab aufnimmt. -
EP 0 856 353 A1 zeigt ein Modul, welches Teil einer statischen Mischeinrichtung ist, die für ein verweilzeitkritisches, plastisch fliessfähiges Mischgut vorgesehen ist. Die Einrichtung umfasst ein rohrartiges Gehäuse, in dem Stege angeordnet sind. Die Stege sind gegen die Längsachse des Gehäuses geneigt; sie kreuzen sich im wesentlichen auf einer geraden Linie senkrecht zur Längsachse. Der Modul umfasst eine in das Gehäuse einschiebbare Hülse. Die das Mischgut leitende Innenwand der statischen Mischeinrichtung ist durch Innenseiten der Hülse gebildet. Die Stege sind dornartig ausgebildet, mit jeweils einem gegen die Bewegungsrichtung des Mischguts weisenden Scheitel und einer an der Hülseninnenseite befestigten Basis. Jeder Scheitel bildet gegenüber der Innenwand der Einrichtung einen Zwischenraum. - Die Entwicklung des Mischers gemäss
im Jahr 1979 stellte eine unerwartete Verbesserung der statischen Mischtechnik für laminar strömende Medien dar. Seither hat sich dieser Mischer bewährt und er wird in einem sehr breiten Feld von Anwendungen mit grösstenteils hochviskosen Medien erfolgreich eingesetzt. In den fast 30 darauf folgenden Jahren wurde immer wieder versucht, diesen Mischer zu verbessern. Trotz erheblichen Aufwandes konnten jedoch nur marginale Verbesserungen erzielt werden. So wurde inCH 642 564 US 6 467 949 B1 ein abgewandelter Mischer mit abgeändertem, konkavem Stegquerschnitt geschützt. Unabhängige Messungen (M.Heniche, P.A.Tanguy, M.F.Reeder, J.B.Fasano, AlChE Journal Vol 51, No.1, January 2005) haben nur geringfügige Unterschiede bezüglich Druckverlust und Mischeffizienz für diesen modifizierten statischen Mischer gegenüber dem Stand der Technik ergeben. In einer anderen kürzlich veröffentlichten Arbeit (S.Liu, PhD Thesis, McMaster University, 2005) wurden eine Vielzahl von Modifikationen des Standes der Technik gemäss zur Verbesserung von Mischeffizienz und Druckabfall mittels unterschiedlicher Techniken untersucht. In dieser Arbeit wurden auch die Mischelemente nachCH 642 564 US 6 467 949 B1 ausgemessen. Liu erhält bei gleicher oder etwas schlechterer Mischwirkung einen um 15% geringeren Druckabfall. Durch eine weitere Änderung des Stegquerschnittes erreicht Liu ausserdem eine etwas bessere Mischwirkung bei einem um 7.5% reduziertem Druckverlust gegenüber dem Mischer gemäss . Diese Beispiele von Arbeiten zur Verbesserung und Untersuchung des Mischverhaltens von statischen Mischern, die ähnlich wie der Mischer gemässCH 642 564 aufgebaut sind, zeigen, dass bis heute keine wesentlichen Verbesserungen bei Mischeffizienz und Druckabfall laminarer Mischer erzielt werden konnten.CH 642 564 - Überraschenderweise lassen sich statische Mischelemente finden, für welche die obige Aussage nicht gilt, ja sogar eine gegenteilige Aussage zutrifft. Die mit einem erfindungsgemässen Mischelement beobachtete deutliche Reduktion des Druckabfalls bei ähnlicher oder verbesserter Mischeffizienz, die durch die erfindungsgemässen Mischelemente erzielt wird, ist ein technischer Durchbruch.
- Aufgabe der Erfindung ist es, zum genannten statischen Mischer eine Verbesserung zu schaffen, mit der ein geringerer Druckverlust bei vergleichbarer oder verbesserter Mischeffizienz erzielbar ist.
- Diese Aufgabe wird durch das in der Folge definierte statische Mischelement gelöst.
- Ein erfindungsgemässes statisches Mischelement weist eine Breitenabmessung Db auf und ist zum Einbau in einen Hohlkörper mit im wesentlichen gleicher Breitenabmessung Db geeignet. Das statische Mischelement enthält eine Mehrzahl von Stegelementen, wobei eine erste Anordnung zumindest ein erstes Stegelement enthält, die zu einer zweiten Anordnung, welche zumindest ein zweites Stegelement enthält, kreuzweise angeordnet ist. Zumindest eines der ersten und zweiten Stegelemente ist als ein platten-, scheiben- oder balkenförmiges Element ausgebildet. Die erste Anordnung und die zweite Anordnung schliessen einen Winkel ungleich 0° zur Hauptströmungsrichtung ein. Die erste Anordnung und die zweite Anordnung schliessen einen Winkel grösser 0° ein. Bei Projektion der ersten Anordnung und der zweiten Anordnung auf eine Projektionsebene, die normal zur Hauptströmungsrichtung liegt, liegen zwischen zueinander benachbarten Stegelementen zumindest teilweise Zwischenräume. Die relative Summe z der Breiten H der Stegelemente gemessen in Richtung der Breitenabmessung Db des Mischelements ist kleiner als 95% der Breitenabmessung Db des Mischelements.
- Die weiteren Merkmale betreffen vorteilhafte Ausführungsformen des statischen Mischelements, sowie eines statischen Mischers, welcher das erfindungsgemässe Mischelement enthält.
- Die Hauptströmungsrichtung liegt bevorzugt in Richtung der Längsachse eines Hohlkörpers, in welchem das Mischelement aufgenommen ist. Durch die erste Anordnung und die zweite Anordnung wird eine Kreuzungsstelle ausgebildet, in deren Nähe ein Abstandselement angeordnet sein kann. Das Abstandselement kann als eine lokale Verdickung oder Verbreiterung zumindest eines Stegelements ausgebildet sein. Die Anzahl der Stegelemente kann in der Projektionsebene 4 bis 10 betragen. Vorteilhafterweise sind mindestens 2 Stegelemente pro Anordnung vorgesehen. Das erste und das dritte Stegelement sind Teil einer in einer ersten Ebene liegenden ersten Anordnung von Stegelementen. Das zweite und das vierte Stegelement sind Teil einer in einer zweiten Ebene liegenden zweiten Anordnung von Stegelementen. Zumindest ein Teil der Stegelemente der ersten Anordnung kann in einer dritten Ebene angeordnet sein, die zu der ersten Ebene versetzt angeordnet ist. Alternativ oder in Ergänzung dazu kann ein Teil der Stegelemente der zweiten Anordnung in einer vierten Ebene angeordnet sein, wobei die vierte Ebene zu der zweiten Ebene versetzt angeordnet ist. Die Stegelemente weisen eine Breite (H) auf. Die Summe (EHi) der Breiten (H) der Stegelemente in der Projektionsebene im Verhältnis zum Durchmesser (D) des Hohlkörpers wird durch die nachfolgend definierte Grösse z festgelegt. Die Grösse z ist insbesondere kleiner als 95%, vorzugsweise kleiner als 85 %, insbesondere kleiner als 75%, besonders bevorzugt kleiner als 65%. Die statische Mischvorrichtung umfasst ein statisches Mischelement, sowie einen Hohlkörper oder eine Hülse, um das statische Mischelement aufzunehmen. Das statische Mischelement kann am Hohlkörper oder der Hülse befestigt sein, wobei das statische Mischelement und der Hohlkörper oder die Hülse aus einem einzigen Bauteil bestehen können.
- Das statische Mischelement kann im Bereich der Schnittlinie der ersten Ebene mit der zweiten Ebene und/oder im Bereich zumindest eines Teils der Enden der Stegelemente an der Innenwand des Hohlkörpers oder der Hülse befestigt sein.
- Die bevorzugte Verwendung eines statischen Mischelements nach einem der vorhergehenden Ausführungsbeispiele erfolgt für laminar strömende Medien, insbesondere Polymerschmelzen oder andere hochviskose Fluide.
- Nachfolgend wird die Erfindung anhand der Zeichnungen erläutert. Es zeigen:
- Fig. 1
- eine statische Mischvorrichtung gemäss des Standes der Technik,
- Fig. 2
- eine Ansicht eines statischen Mischelements gemäss der Erfindung nach einem ersten Ausführungsbeispiel,
- Fig. 3
- ein zweites Ausführungsbeispiel eines erfindungsgemässen statischen Mischelements,
- Fig. 4
- ein drittes Ausführungsbeispiel eines erfindungsgemässen statischen Mischelements,
- Fig. 5
- eine graphische Darstellung eines Vergleichs der Ergebnisse von Druckabfall und Mischeffizienz eines erfindungsgemässen Mischelementes in unterschiedlichen Designvarianten gegenüber dem Stand der Technik
,CH 642 564 - Fig. 6
- ein Detail eines Kreuzungsbereichs mit Abstandselementen mit lokalen Verdickungen und Verbreiterungen.
-
Fig. 1 zeigt vier Mischelemente, die hintereinander in einem Hohlkörper 10 angeordnet sind. Aufeinander folgende Mischelemente 2 sind um einen Winkel von 90° gegeneinander um die als Drehachse fungierende Hohlkörperachse 8 verschwenkt. Die Hauptströmungsrichtung des den Hohlkörper 10 durchströmenden Fluids liegt in Richtung der Hohlkörperachse 8. Jedes Mischelement besteht aus Anordnungen von Stegelementen (3,4), die in zwei sich kreuzenden Ebenen (5,6) angeordnet sind. Eine Anordnung von Stegelementen bezeichnet dabei eine Anzahl von Stegelementen, welche im Wesentlichen in einer Ebene liegen. Die erste Ebene 5 enthält eine erste Anordnung 21 von Stegelementen 3, eine zweite Ebene 6 eine zweite Anordnung 31 von Stegelementen 4. Die erste und die zweite Ebene (5,6) sind in einem Winkel zueinander angeordnet, sodass sich die erste Anordnung 21 von Stegelementen 3 mit der zweiten Anordnung 31 von Stegelementen 4 kreuzt. Benachbarte Stegelemente liegen derart nebeneinander, dass die Summe der Breiten (H) der Stegelemente gleich dem Rohrdurchmesser (D) ist. In diesem Fall grenzen also die Stegelemente unmittelbar aneinander. Gemäss dieses Ausführungsbeispiels trifft jedes strömende Fluidmolekül auf ein Stegelement auf, unter der idealisierenden Annahme, dass das Fluidmolekül entlang Hauptströmungsrichtung strömte. Jedes Stegelement stellt somit ein Hindernis für das strömende Fluidmolekül dar, sodass eine Ablenkung des Fluidmoleküls erfolgt, bevor es auf das Stegelement auftrifft. Daher trifft im Inneren des statischen Mischelements die Annahme nicht mehr zu, dass ein Fluidmolekül in Richtung der Hauptströmungsrichtung strömt. Durch die Ablenkung des Fluidmoleküls von der Hauptströmungsrichtung erfolgt eine Durchmischung des Fluidstroms. Daraus folgt, dass sich die Mischwirkung mit zunehmender Ablenkung von der Hauptströmungsrichtung verbessern sollte. Zunehmende Ablenkung der Fluidmoleküle von der Hauptströmungsrichtung bedeutet allerdings im Allgemeinen einen erhöhten Druckverlust. - Da es allgemein bekannt ist, dass der Druckverlust abnimmt, wenn der durchströmte Querschnitt möglichst frei von Hindernissen ist, erscheint es naheliegend, Hindernisse in der Strömung zu vermeiden, um den Druckverlust zu reduzieren. Zu erwarten wäre dann aber eine schlechtere Durchmischung nach gleicher Mischstrecke, weil nach bisheriger Auffassung Fluidelemente die so entstehenden Spalte durchströmen, ohne wesentlich abgelenkt zu werden, das heisst, im Wesentlichen der Hauptströmungsrichtung folgen, ohne sich mit anderen Fluidmolekülen zu vermischen. Überraschenderweise lassen sich Anordnungen von Stegelementen gemäss
Fig. 2 finden, für welche diese Aussage nicht zutrifft. Ein erfindungsgemässes statisches Mischelement 2 zum Einbau in einen Hohlkörper 10 enthält eine Mehrzahl von Stegelementen. Ein erstes Stegelement 3 und ein drittes Stegelement 13 sind relativ zu einem zweiten Stegelement 4 und einem vierten Stegelement 14 kreuzweise angeordnet. Das erste Stegelement 3 und das dritte Stegelement 13 bilden eine erste Anordnung 21 von Stegelementen. Das zweite Stegelement 4 und das vierte Stegelement 14 bilden eine zweite Anordnung 31 von Stegelementen. - Ein Stegelement kann beispielsweise als Rohr oder als platten-, scheiben- oder balkenförmiges Element ausgestaltet sein. Der Querschnitt des Stegelements kann kantenfrei sein, z.B. einen kreisförmigen oder elliptischen Querschnitt aufweisen. Der Querschnitt kann Kanten enthalten, das heisst beispielsweise einen rechteckigen oder rautenförmigen Querschnitt aufweisen. Die Verbindungslinien zwischen den Kanten können gerade oder gekrümmt, insbesondere konvex oder konkav sein, was beispielsweise in der
EP 1 305 108 B1 verwirklicht ist. Ein Stegelement kann zumindest abschnittsweise aus der zugehörigen Anordnung herausragen, beispielsweise eine gewellte Struktur aufweisen. In diesem Fall ist die vorgehend beschriebene Ebene der Anordnung als eine mittlere Ebene zu verstehen. - Weiter können die Stegelemente auch in Richtung einer Anordnung d.h. in der entsprechenden Ebene oder parallel zur mittleren Ebene, eine unregelmässige Struktur aufweisen, z.B. eine wellige Oberfläche. Die Breite H der Stegelemente ist in diesem Fall definiert als die über die Steglänge gemittelte Breite der Stegelemente. Innerhalb einer Anordnung brauchen die einzelnen Stegelemente auch nicht parallel zueinander zu verlaufen, sondern sie können gegenüber den anderen Stegelementen der selben Anordnung einen Winkel aufweisen.
- Der überraschende Effekt der Erfindung tritt bei jedem der angeführten Stegelementquerschnitte und jeder der Stegelementformen auf, ist also weitgehend unabhängig vom Querschnitt und der Form des Stegelements. Projiziert man die beiden Anordnungen 21 und 31 auf eine Ebene, die normal zur Hauptströmungsrichtung liegt, also normal zur Längsachse 8 des umhüllenden Hohlkörpers 10, so liegen die Stegelemente der Anordnungen 21 und 31 nach
Fig. 1 in der Projektion bündig aneinander, das heisst, es sind zwischen den derart projizierten Stegelementen keine Zwischenräume sichtbar. Nimmt man dieselbe Projektion hingegen bei einem der Ausführungsbeispiele gemässFig. 2 bis Fig. 4 vor, so gibt es derartige Zwischenräume zwischen den Stegelementen. -
Fig. 2 zeigt einen Radialschnitt durch einen Hohlkörper 10, in welchen genau diese Projektionen der Stegelemente 3,13 bzw. der Stegelemente 4,14 gezeigt sind. Die Stegelemente weisen in dieser Darstellung die Breite (H) auf und haben einen Abstand (a) voneinander, wobei die Breiten (H) und die Abstände (a) benachbarter Stegelemente nach diesem besonders bevorzugten Ausführungsbeispiel gleich sind. Der überraschende Effekt der Erfindung tritt auch auf, wenn die Abstände (a) und/oder die Breiten (H) sich voneinander unterscheiden. -
Fig. 3 zeigt ein zweites Ausführungsbeispiel eines erfindungsgemässen Mischelements. Eine Mehrzahl von Stegelementen bildet dabei eine Anordnung von Stegelementen, wenn alle Stegelemente der Anordnung im Wesentlichen in derselben Ebene liegen, wie inFig. 3 dargestellt, oder wenn alle Stegelemente in im Wesentlichen parallelen, aber in Richtung der Längsachse leicht versetzten Ebenen liegen, wie inFig. 4 dargestellt. Eine Anordnung von Stegelementen besteht nach dem Ausführungsbeispiel gemässFig. 3 aus zwei bzw. drei Stegelementen. In diesem Fall besteht die in einer Ebene 5 liegende erste Anordnung 21 von Stegelementen aus den zwei Stegelementen 3, 13. Die einer Ebene 6 liegende zweite Anordnung 31 von Stegelementen besteht aus den Stegelementen 4,14,24. Durch die ersten und zweiten Anordnungen werden zwei sich kreuzende Ebenen 5,6 aufgespannt. Die erste und die zweite Ebene 5,6 sind in einem Winkel zueinander angeordnet, sodass sich die in der ersten Ebene 5 liegenden Stegelemente mit den Stegelementen der zweiten Ebene 6 kreuzen, und eine Schnittlinie 7 ausbilden. -
- Sind die Breiten der Stegelemente alle gleich, gilt für z:
wobei N die Summe der Stegelemente der ersten Anordnung 21 und der zweiten Anordnung 31 ist. Vorzugsweise liegen die äussersten Stegelemente einer Anordnung an der Innenwand des Hohlkörpers an, oder weisen einen allenfalls nur geringen Abstand zur Innenwand auf. - Der Durchmesser des Hohlkörpers ist hier insbesondere für Hohlkörper mit kreisförmigem Querschnitt angegeben. Der Hohlkörper kann auch einen elliptischen, vieleckigen, insbesondere rechteckigen oder quadratischen Querschnitt haben. Anstatt des Durchmessers wird dann für z eine Breitenabmessung Db verwendet, für welche nachfolgende Beziehung gilt:
oder, wenn die Breiten der Stegelemente und die Abstände jeweils gleich sind, -
- Die Breitenabmessung Db des Hohlkörpers entspricht im Wesentlichen der Breitenabmessung Db des Mischelements unter Vernachlässigung von Fertigungs- und Einbautoleranzen. Erfindungsgemäss ist in jedem Fall z < 95%, vorzugsweise z < 85%, insbesondere z < 75% besonders bevorzugt z < 65%. Gleichzeitig beträgt erfindungsgemäss auch die Summe der auf eine Ebene senkrecht zur Hauptströmungsrichtung projizierten Flächen der Stegelemente zweier sich kreuzender Anordnungen in jedem Fall weniger als 95% der gesamten Querschnittsfläche der Ebene, vorzugsweise weniger als 85% der gesamten Ebene, insbesondere weniger als 75% der gesamten Ebene und besonders bevorzugt weniger als 65% der gesamten Ebene. Vorzugsweise beträgt die Anzahl N der Stegelemente minimal 4 und maximal 10. Nicht berücksichtigt sind in dieser Formel übliche Fertigungstoleranzen oder Einbautoleranzen. Wenn die Stegelemente die Innenwand des Hohlkörpers nicht berühren, lassen sich Ein- und Ausbau einer Mehrzahl von komplett vorgefertigten Mischelementen einfacher bewerkstelligen. Allfällige Wärmedehnungen des Mischelements können während des Betriebs weitgehend ungehindert erfolgen. Je nach strömendem Medium und konstruktiver Ausgestaltung des Mischelements können sich Totzonen in Randbereichen ausbilden, wenn die Stegelemente direkt mit der Innenwand des Hohlkörpers verbunden sind. Auch aus diesem Grund kann es vorteilhaft sein, einen geringen Abstand zwischen der Innenwand des Hohlkörpers und zumindest einem Teil der Stegelemente vorzusehen, wie bereits in der
EP 0 856 353 A1 dargelegt worden ist. - Ein weiteres Ausführungsbeispiel ist in
Fig. 4 gezeigt. Abweichend vonFig. 3 liegen jetzt nicht alle Stegelemente (3, 13, 23) einer ersten Anordnung 21 in einer Ebene 5, sondern ein Teil der Stegelemente liegt in einer im Wesentlichen parallelen, aber in Richtung der Längsachse zumindest leicht verschobenen Ebene 5'. - In einer aufwendigen Studie wurden die geometrischen Parameter, die das statische Mischelement beschreiben, systematisch variiert und die resultierenden Eigenschaften des Mischers bezüglich Druckverlust und Mischeffizienz bewertet.
- Damit statische Mischer unterschiedlicher Länge bezüglich Druckverlust miteinander verglichen werden können, wurde bei der Optimierung der Druckverlust pro Mischerlänge berechnet.
-
- Bei besserer Mischung wird der CoV kleiner. Zum Vergleich unterschiedlicher Mischer wurde die Reduktion des Variationskoefifizienten CoV über eine vorgegebene Mischerlänge bei gleicher Verteilung und deswegen auch gleichem CoV vor den Mischern bestimmt; der Mischer, der nach der vorgegebenen Länge ein kleineres CoV aufweist, mischt also intensiver oder besser.
- Das Ergebnis dieser Studie zeigt, dass Mischelemente signifikant günstigere Eigenschaften aufweisen, welche zwischen den sich kreuzenden Stegelementen einen Abstand (a) aufweisen. Der Abstand (a) ist bevorzugt ungefähr von gleicher Grösse wie die Breite (H) der Stegelemente. Hierdurch kann bei gleicher und/oder verbesserter Mischgüte nach vorgegebener Länge der Druckverlust bei gleichem Durchsatz und Strömungsquerschnitt gegenüber dem Stand der Technik wesentlich reduziert werden. Eine Reduktion um 2/3 des Druckverlustes bei gleicher Mischgüte oder sogar besser ist möglich.
- In
Figur 5 ist das Resultat dieser Studie bezüglich dem Druckverlust pro Mischerlänge und der Mischgüte nach vorgegebener Mischerlänge des erfindungsgemässen Mischelementes in unterschiedlichen Ausführungsvarianten im Vergleich mit dem Stand der Technik gemäss dargestellt. Hierbei ist auf der Abszisse der Druckverlust relativ zum Druckverlust des Standes der Technik und auf der Ordinate die Mischgüte nach vorgegebener Mischerlänge relativ zur Mischgüte des Standes der Technik nach derselben Mischerlänge aufgetragen. Der einzelne Punkt 19 entspricht dem Wertepaar für relativen Druckverlust und Mischgüte gemäss des Standes der Technik. In der Darstellung wurde dieses Wertepaar auf (1,1) normiert, demnach liegt der relative Druckverlust gemäss der Erfindung zwischen 20 und 80% des Druckverlusts gemäss Stand der Technik. Der CoV nach vorgegebener Mischerlänge liegt zwischen 75% und 125% des Wertes gemäss Stand der Technik. Der Verlauf des Graphen 20 zeigt somit deutlich, dass trotz des wesentlich geringeren Druckverlusts sogar eine bedeutende Verbesserung der Mischgüte, insbesondere ein CoV zwischen 75 und 100% erzielbar ist. Dazu sei hier nochmals vermerkt, dass ein kleinerer CoV entsprechend der obigen Definition für eine bessere Mischgüte steht. Durch geeignete Auslegung kann der relative Druckverlust um mehr als 2/3 des Druckverlustes des Standes der Technik reduziert werden. Bei anderen Varianten kann die Mischgüte nach vorgegebener Mischerlänge um bis zu 20% gegenüber dem Stand der Technik gemässCH 642 564 verbessert werden, wobei gleichzeitig eine Reduktion des Druckverlusts auf über 50% gegenüber der mit dem Mischer gemäss derCH 642 564 erzielbar ist. Das inCH 642 564 Figur 3 abgebildete Mischelement entspricht im Diagramm einem Punkt mit rund 60% geringerem Druckverlust als der Stand der Technik des bei gleichzeitig 20% besserer Mischgüte nach gleicher Mischerlänge. - Nach den Ausführungsbeispielen gemäss
Fig. 3 und4 sind zumindest teilweise Abstandselemente (15,16) zwischen benachbarten Stegelementen angeordnet. Mittels der Abstandselemente kann die Montage der Stegelemente ermöglicht oder vereinfacht werden. Zudem können die Abstandselemente der Erhöhung der Stabilität des statischen Mischelements dienen. Abstandselemente können dabei separate Bauteile sein, die mit den Stegelementen beispielsweise durch Schweissen verbunden werden können, oder auch in Form von lokalen Verdickungen oder Verbreiterungen ausgeführt sein. Ein Beispiel für eine derartige Verbreiterung im wandnahen Bereich des Stegelements ist inFig. 6 dargestellt. -
Fig. 6 zeigt ein Detail eines Kreuzungsbereichs von zwei Stegelementen 3,4 mit Abstandselementen 15, 16 in Form von lokalen Verdickungen und Verbreiterungen. Diese Verdickungen dienen der Verbindung der zwei Stegelemente miteinander. Die Verdickungen sind im Wesentlichen auf den Kreuzungsbereich beschränkt. Da die Verdickung 16 nur eine lokale Verbindung der Stegelemente darstellt, hat sie auf die Strömung allenfalls geringen Einfluss.
Claims (15)
- Statisches Mischelement welches eine Breitenabmessung Db aufweist und zum Einbau in einen Hohlkörper (10) mit im wesentlichen gleicher Breitenabmessung Db geeignet ist, durch dessen Längsachse eine Hauptströmungsrichtung bestimmt ist, wobei das statische Mischelement aus einer ersten Anordnung (21) und einer zweiten Anordnung (31) besteht, die wobei die erste Anordnung (21) zumindest ein erstes Stegelement (3) aufweist und die zweite Anordnung (31) zumindest ein zweites Stegelement (4) aufweist, wobei zumindest eines der ersten und zweiten Stegelemente als ein platten-, scheiben- oder balkenförmiges Element ausgebildet ist, wobei die erste Anordnung (21) kreuzweise zu der zweiten Anordnung (31) angeordnet ist und die erste Anordnung (21) und die zweite Anordnung (31) einen Winkel ungleich 0° zur Hauptströmungsrichtung einschliessen und die erste Anordnung (21) mit der zweiten Anordnung (31) einen Winkel grösser 0° einschliesst dadurch gekennzeichnet, dass bei Projektion der ersten Anordnung (21) und der zweiten Anordnung (31) auf eine Projektionsebene, die normal zur Hauptströmungsrichtung liegt, zwischen dem ersten Stegelement (3) und dem zweiten Stegelement (4) zumindest teilweise Zwischenräume liegen.
- Statisches Mischelement nach Anspruch 1, wobei das erste Stegelement (3) benachbart zum zweiten Stegelement (4) angeordnet ist.
- Statisches Mischelement nach einem der vorhergehenden Ansprüche, wobei das erste Stegelement (3) und das zweite Stegelement (4) eine anströmseitige Oberfläche aufweisen und eine abströmseitige Oberfläche aufweisen und die anströmseitige Oberfläche durch eine erste Längskante, eine zweite Längskante, eine erste Breitenkante und eine zweite Breitenkante begrenzt ist.
- Statisches Mischelement nach Anspruch 3, wobei die erste Längskante von der zweiten Längskante einen Abstand hat, der eine Breite des Stegelements definiert, gemessen in einer Normalebene zur Hauptströmungsrichtung.
- Statisches Mischelement nach Anspruch 4, wobei sich die Breite des Stegelements, die durch eine erste Normalebene bestimmt ist, von der Breite eines Stegelements, die durch eine zweite Normalebene bestimmt ist, unterscheidet, wobei die erste Normalebene ungleich der zweiten Normalebene ist.
- Statisches Mischelement nach einem der vorhergehenden Ansprüche, wobei zwischen der rechten Längskante des ersten Stegelements und der linken Längskante des zweiten Stegelements auch in der Projektion auf eine Normalebene zur Hauptströmungsrichtung ein Schlitz bestehen bleibt.
- Statisches Mischelement nach Anspruch 6, welches eine Oberfläche aufweist, die gewellt ist, sodass der Schlitz eine variable Schlitzbreite aufweist.
- Statisches Mischelement nach einem der Ansprüche 3 bis 7, wobei zumindest eine der ersten oder zweiten Längskanten eine Krümmung aufweist.
- Statisches Mischelement nach Anspruch 8, wobei die Krümmung konvex oder konkav ist.
- Statisches Mischelement nach einem der vorhergehenden Ansprüche, wobei zumindest ein Stegelement zumindest abschnittsweise aus der zugehörigen Anordnung herausragt.
- Statisches Mischelement nach Anspruch 10, wobei das Stegelement eine gewellte Struktur aufweist.
- Statisches Mischelement nach einem der vorhergehenden Ansprüche, wobei die abströmseitige Oberfläche im wesentlichen parallel zur anströmseitigen Oberfläche ist.
- Statisches Mischelement nach einem der vorhergehenden Ansprüche, wobei die anströmseitige Oberfläche einen Abstand von der abströmseitigen Oberfläche aufweist, welcher eine Dicke des Stegelements definiert.
- Statisches Mischelement nach einem der Ansprüche 4 bis 13, wobei jedes der Stegelemente eine mittlere Breite H aufweist, wobei die mittlere Breite der Mittelwert aus einer durch verschiedene Normalebenen bestimmten Breite ist und die relative Summe z der mittleren Breiten H der Stegelemente gemessen in Richtung der Breitenabmessung Db des Mischelements kleiner als 95% der Breitenabmessung Db des Mischelements ist.
- Statisches Mischelement nach Anspruch 1, wobei die Hauptströmungsrichtung in Richtung der Längsachse eines Hohlkörpers liegt, in welchem das Mischelement aufgenommen ist.
Priority Applications (1)
| Application Number | Priority Date | Filing Date | Title |
|---|---|---|---|
| EP10182884.6A EP2277620B2 (de) | 2007-06-22 | 2008-06-10 | Statisches Mischelement |
Applications Claiming Priority (3)
| Application Number | Priority Date | Filing Date | Title |
|---|---|---|---|
| EP07110892 | 2007-06-22 | ||
| EP10182884.6A EP2277620B2 (de) | 2007-06-22 | 2008-06-10 | Statisches Mischelement |
| EP08760786.7A EP2158027B2 (de) | 2007-06-22 | 2008-06-10 | Statisches mischelement |
Related Parent Applications (3)
| Application Number | Title | Priority Date | Filing Date |
|---|---|---|---|
| EP08760786.7A Division-Into EP2158027B2 (de) | 2007-06-22 | 2008-06-10 | Statisches mischelement |
| EP08760786.7A Division EP2158027B2 (de) | 2007-06-22 | 2008-06-10 | Statisches mischelement |
| EP08760786.7 Division | 2008-06-10 |
Publications (4)
| Publication Number | Publication Date |
|---|---|
| EP2277620A2 true EP2277620A2 (de) | 2011-01-26 |
| EP2277620A3 EP2277620A3 (de) | 2011-02-16 |
| EP2277620B1 EP2277620B1 (de) | 2012-03-14 |
| EP2277620B2 EP2277620B2 (de) | 2015-02-18 |
Family
ID=38657846
Family Applications (2)
| Application Number | Title | Priority Date | Filing Date |
|---|---|---|---|
| EP10182884.6A Active EP2277620B2 (de) | 2007-06-22 | 2008-06-10 | Statisches Mischelement |
| EP08760786.7A Active EP2158027B2 (de) | 2007-06-22 | 2008-06-10 | Statisches mischelement |
Family Applications After (1)
| Application Number | Title | Priority Date | Filing Date |
|---|---|---|---|
| EP08760786.7A Active EP2158027B2 (de) | 2007-06-22 | 2008-06-10 | Statisches mischelement |
Country Status (13)
| Country | Link |
|---|---|
| US (1) | US8491180B2 (de) |
| EP (2) | EP2277620B2 (de) |
| JP (2) | JP5555622B2 (de) |
| KR (1) | KR101516331B1 (de) |
| CN (2) | CN101743055B (de) |
| AT (2) | ATE549079T1 (de) |
| BR (1) | BRPI0813433B1 (de) |
| CA (1) | CA2691049C (de) |
| ES (2) | ES2382230T5 (de) |
| MX (1) | MX2009013424A (de) |
| RU (1) | RU2470702C2 (de) |
| TW (1) | TWI417135B (de) |
| WO (1) | WO2009000642A1 (de) |
Cited By (1)
| Publication number | Priority date | Publication date | Assignee | Title |
|---|---|---|---|---|
| EP2915581A1 (de) | 2014-03-06 | 2015-09-09 | Fluitec Invest AG | Statischer Mischer |
Families Citing this family (36)
| Publication number | Priority date | Publication date | Assignee | Title |
|---|---|---|---|---|
| ATE498810T1 (de) * | 2007-05-24 | 2011-03-15 | Atlas Holding Ag | Strömungskanal für einen mischer-wärmetauscher |
| TWI417135B (zh) | 2007-06-22 | 2013-12-01 | Sulzer Chemtech Ag | 靜態混合元件 |
| SG161141A1 (en) * | 2008-10-17 | 2010-05-27 | Sulzer Mixpac Ag | Static mixer |
| DE102010019771A1 (de) | 2010-05-07 | 2011-11-10 | Dürr Systems GmbH | Zerstäuber mit einem Gittermischer |
| US20110310697A1 (en) * | 2010-06-22 | 2011-12-22 | Sebastian Hirschberg | Dust mixing device |
| EP2565503A1 (de) | 2011-09-02 | 2013-03-06 | Aurotec GmbH | Rohrleitung mit Überdruckventil |
| WO2013030397A1 (de) | 2011-09-02 | 2013-03-07 | Aurotec Gmbh | Rohrleitung mit überdruckventil |
| EP2565504A1 (de) | 2011-09-02 | 2013-03-06 | Aurotec GmbH | Verbindungsstück einer Transportleitung |
| EP2565572A1 (de) | 2011-09-02 | 2013-03-06 | Aurotec GmbH | Wärmetauscherleitungsystem |
| DE102014216431A1 (de) * | 2014-08-19 | 2016-02-25 | Schunk Kohlenstofftechnik Gmbh | Statischer Mischer mit einer in einem Porenkörper ausgebildeten Porenstruktur sowie Verfahren zur Herstellung eines Porenkörpers |
| EP3034159B1 (de) * | 2014-12-18 | 2020-11-04 | The Procter and Gamble Company | Statischer Mischer und Verfahren zum Mischen von Fluiden |
| US10729600B2 (en) | 2015-06-30 | 2020-08-04 | The Procter & Gamble Company | Absorbent structure |
| JP6645086B2 (ja) * | 2015-09-18 | 2020-02-12 | 日本電気株式会社 | 流体混合装置 |
| HUE057989T2 (hu) | 2015-11-04 | 2022-06-28 | Procter & Gamble | Nedvszívó szerkezetet tartalmazó nedvszívó árucikk |
| US11173078B2 (en) | 2015-11-04 | 2021-11-16 | The Procter & Gamble Company | Absorbent structure |
| WO2017220659A1 (en) | 2016-06-22 | 2017-12-28 | Oceansaver As | Ballast water treatment system |
| EP3523018B1 (de) | 2016-10-05 | 2023-07-05 | Covestro Intellectual Property GmbH & Co. KG | Mischelemente mit verringerter bautiefe für statische mischer |
| TWI796356B (zh) | 2017-09-08 | 2023-03-21 | 美商科氏格利奇有限合夥公司 | 靜態混合裝置及製造方法 |
| US11701627B2 (en) | 2017-09-08 | 2023-07-18 | Koch-Glitsch, Lp | Countercurrent contacting devices and method of manufacture |
| US11583827B2 (en) | 2017-09-08 | 2023-02-21 | Koch-Glitsch, Lp | Countercurrent contacting devices and method of manufacture |
| US11654405B2 (en) * | 2017-09-08 | 2023-05-23 | Koch-Glitsch, Lp | Countercurrent contacting devices and method of manufacture |
| CN108978426B (zh) * | 2018-09-04 | 2023-12-01 | 南通威而多专用汽车制造有限公司 | 双组份点状挤压标线机 |
| EP3887420A1 (de) | 2018-11-28 | 2021-10-06 | Basf Se | Verfahren zur herstellung einer polyurethanzusammensetzung |
| RU2744373C1 (ru) * | 2019-09-24 | 2021-03-05 | Ильдар Ринатович Вальшин | Способ для перемешивания среды, транспортируемой по трубопроводу, и устройство для его осуществления |
| US11813580B2 (en) * | 2020-09-02 | 2023-11-14 | Nov Canada Ulc | Static mixer suitable for additive manufacturing |
| CN112643050B (zh) * | 2020-12-07 | 2023-02-17 | 西安航天发动机有限公司 | 一种颗粒增强金属基复合材料零件的激光增材制造方法 |
| EP4059979A1 (de) | 2021-03-18 | 2022-09-21 | Sulzer Management AG | Verfahren zur kontinuierlichen herstellung eines poly(hydroxysäure)-homo- oder -copolymers mit abstimmbarem molekulargewicht, struktur und zusammensetzung |
| CN118434784A (zh) | 2021-12-20 | 2024-08-02 | 巴斯夫涂料有限公司 | 水性聚氨酯分散体的连续生产方法 |
| CN114797642B (zh) * | 2022-04-18 | 2023-05-23 | 山东大学 | 一种可调压静态混合器及其使用方法 |
| EP4445978A1 (de) | 2023-04-11 | 2024-10-16 | Sulzer Management AG | Entgasungsvorrichtung mit verteilern mit einem statischen mischer |
| EP4445980A1 (de) | 2023-04-11 | 2024-10-16 | Sulzer Management AG | Entgasungsvorrichtung mit einem perforierten dachelement |
| EP4445979A1 (de) | 2023-04-11 | 2024-10-16 | Sulzer Management AG | Mehrstufige entgasungsvorrichtung mit mindestens einem statischen mischer |
| EP4470999A1 (de) | 2023-06-01 | 2024-12-04 | Sulzer Management AG | Verfahren und anlage zur wiederverwertung von polystyrolabfall mit mindestens einem organischen halogen mit flammhemmer |
| EP4491365A1 (de) | 2023-07-13 | 2025-01-15 | Sulzer Management AG | Verfahren und vorrichtung zur kontinuierlichen herstellung von gradierten polymerschäumen |
| EP4529978A1 (de) | 2023-09-26 | 2025-04-02 | Sulzer Management AG | Reaktor und verfahren zur durchführung einer polykondensations- oder depolymerisationsreaktion |
| DE102024113494B3 (de) * | 2024-05-14 | 2025-11-06 | INEXCO Europe GmbH | Vorrichtung zum Mischen und Kühlen von Medien in einem Extruder und Mischkühleranordnung umfassend eine Mehrzahl von solchen Vorrichtungen |
Citations (4)
| Publication number | Priority date | Publication date | Assignee | Title |
|---|---|---|---|---|
| CH642564A5 (de) | 1979-10-26 | 1984-04-30 | Sulzer Ag | Statische mischvorrichtung. |
| DE4428813A1 (de) | 1994-08-13 | 1996-02-15 | Ewald Schwing Verfahrenstechni | Vorrichtung zum statischen Mischen von Fluiden, insbesondere von thermoplastifiziertem Kunststoff, und Verfahren zur Herstellung einer solchen Vorrichtung |
| EP0856353A1 (de) | 1997-01-29 | 1998-08-05 | Sulzer Chemtech AG | Modul zu einer statischen Mischeinrichtung für ein verweilzeitkritisches, plastisch fliessfähige Mischgut |
| US6467949B1 (en) | 2000-08-02 | 2002-10-22 | Chemineer, Inc. | Static mixer element and method for mixing two fluids |
Family Cites Families (28)
| Publication number | Priority date | Publication date | Assignee | Title |
|---|---|---|---|---|
| CH542564A (de) * | 1966-07-06 | 1973-09-30 | Bommer Ag | Hörgerät mit einem Verstärker und mit an demselben angeschlossenem elektro-akustischem Wandler |
| US3406947A (en) * | 1966-08-19 | 1968-10-22 | Dow Chemical Co | Interfacial surface generator |
| US4062524A (en) | 1973-06-06 | 1977-12-13 | Bayer Aktiengesellschaft | Apparatus for the static mixing of fluid streams |
| DE2522106C3 (de) * | 1975-05-17 | 1982-04-15 | Bayer Ag, 5090 Leverkusen | Vorrichtung zum kontinuierlichen Mischen fließfähiger Stoffe und Verfahren zum Herstellen eines Mischeinsatzes |
| US4093188A (en) * | 1977-01-21 | 1978-06-06 | Horner Terry A | Static mixer and method of mixing fluids |
| EP0070915A1 (de) * | 1981-07-30 | 1983-02-09 | GebràDer Sulzer Aktiengesellschaft | Einbauelement für eine Vorrichtung für Stoff- und direkten Wärmeaustausch und Mischen |
| CH664505A5 (de) † | 1984-03-05 | 1988-03-15 | Sulzer Ag | Statische mischeinrichtung, insbesondere fuer hochviskose kunststoffschmelzen verarbeitende maschinen. |
| CH669336A5 (de) * | 1985-12-11 | 1989-03-15 | Sulzer Ag | |
| US4865460A (en) * | 1988-05-02 | 1989-09-12 | Kama Corporation | Static mixing device |
| USRE34255E (en) * | 1988-05-02 | 1993-05-18 | Krup Corporation | Static mixing device |
| DE59309890D1 (de) | 1993-10-05 | 2000-01-05 | Sulzer Chemtech Ag Winterthur | Vorrichtung zum Homogenisieren von hochviskosen Fluiden |
| US5378063A (en) * | 1993-12-02 | 1995-01-03 | Tokyo Nisshin Jabara Co., Ltd. | Static mixing module |
| ATE179630T1 (de) * | 1995-02-02 | 1999-05-15 | Sulzer Chemtech Ag | Statische mischvorrichtung für hochviskose medien |
| DE59505850D1 (de) * | 1995-08-30 | 1999-06-10 | Sulzer Chemtech Ag | Statischer Mischer für zähe Fluide |
| EP0766996B1 (de) * | 1995-10-05 | 2000-03-08 | Sulzer Chemtech AG | Mischeinrichtung zum Mischen eines niedrigviskosen Fluids in ein hochviskoses Fluid |
| ES2203673T3 (es) * | 1996-04-12 | 2004-04-16 | Sulzer Chemtech Ag | Tubo mezclador para fluidos de baja viscosidad. |
| US6109781A (en) * | 1999-02-16 | 2000-08-29 | Ogasawara; Toshiyuki | Element of a mixing apparatus |
| US6394644B1 (en) * | 1999-06-21 | 2002-05-28 | Koch-Glitsch, Inc. | Stacked static mixing elements |
| DE10005457A1 (de) | 2000-02-08 | 2001-08-09 | Bayer Ag | Statischer Mischer |
| CA2343561C (en) * | 2000-05-08 | 2004-11-30 | Sulzer Chemtech Ag | Mixing element for a flange transition in a pipeline |
| DE10063485A1 (de) * | 2000-12-20 | 2002-07-04 | Bayer Ag | Statischer Mischer |
| DE10223037C1 (de) * | 2002-05-22 | 2003-10-09 | Soell Gmbh | Verfahren und Vorrichtung zur kontinuierlichen Aufbereitung von Wasser |
| US6773156B2 (en) * | 2002-07-10 | 2004-08-10 | Tah Industries, Inc. | Method and apparatus for reducing fluid streaking in a motionless mixer |
| WO2004007063A1 (en) * | 2002-07-15 | 2004-01-22 | Sulzer Chemtech Usa, Inc. | Assembly of crossing elements and method of constructing same |
| US7198400B2 (en) * | 2003-05-03 | 2007-04-03 | Husky Injection Molding Systems Ltd. | Static mixer and a method of manufacture thereof |
| DE602004032473D1 (de) * | 2004-02-16 | 2011-06-09 | Anemos Co Ltd | Mischelement und statischer fluidmischer damit |
| DE102007009890B4 (de) * | 2007-02-28 | 2025-05-28 | Emcon Technologies Germany (Augsburg) Gmbh | Statisches Mischelement sowie Verfahren zur Herstellung eines statischen Mischelements |
| TWI417135B (zh) | 2007-06-22 | 2013-12-01 | Sulzer Chemtech Ag | 靜態混合元件 |
-
2008
- 2008-04-24 TW TW097115097A patent/TWI417135B/zh active
- 2008-06-10 JP JP2010512638A patent/JP5555622B2/ja active Active
- 2008-06-10 EP EP10182884.6A patent/EP2277620B2/de active Active
- 2008-06-10 RU RU2010101901/05A patent/RU2470702C2/ru active
- 2008-06-10 AT AT10182884T patent/ATE549079T1/de active
- 2008-06-10 EP EP08760786.7A patent/EP2158027B2/de active Active
- 2008-06-10 WO PCT/EP2008/057226 patent/WO2009000642A1/de not_active Ceased
- 2008-06-10 CN CN2008800215218A patent/CN101743055B/zh active Active
- 2008-06-10 AT AT08760786T patent/ATE532579T1/de active
- 2008-06-10 MX MX2009013424A patent/MX2009013424A/es active IP Right Grant
- 2008-06-10 CN CN2012102534536A patent/CN102861522A/zh active Pending
- 2008-06-10 ES ES10182884T patent/ES2382230T5/es active Active
- 2008-06-10 KR KR1020097026705A patent/KR101516331B1/ko active Active
- 2008-06-10 US US12/451,782 patent/US8491180B2/en active Active
- 2008-06-10 ES ES08760786.7T patent/ES2375592T5/es active Active
- 2008-06-10 BR BRPI0813433A patent/BRPI0813433B1/pt active IP Right Grant
- 2008-06-10 CA CA2691049A patent/CA2691049C/en active Active
-
2013
- 2013-07-11 JP JP2013145634A patent/JP2013212508A/ja not_active Withdrawn
Patent Citations (5)
| Publication number | Priority date | Publication date | Assignee | Title |
|---|---|---|---|---|
| CH642564A5 (de) | 1979-10-26 | 1984-04-30 | Sulzer Ag | Statische mischvorrichtung. |
| DE4428813A1 (de) | 1994-08-13 | 1996-02-15 | Ewald Schwing Verfahrenstechni | Vorrichtung zum statischen Mischen von Fluiden, insbesondere von thermoplastifiziertem Kunststoff, und Verfahren zur Herstellung einer solchen Vorrichtung |
| EP0856353A1 (de) | 1997-01-29 | 1998-08-05 | Sulzer Chemtech AG | Modul zu einer statischen Mischeinrichtung für ein verweilzeitkritisches, plastisch fliessfähige Mischgut |
| US6467949B1 (en) | 2000-08-02 | 2002-10-22 | Chemineer, Inc. | Static mixer element and method for mixing two fluids |
| EP1305108B1 (de) | 2000-08-02 | 2005-05-04 | Chemineer, Inc. | Statisches mischelement und verfahren zum mischen zweier fluide |
Non-Patent Citations (1)
| Title |
|---|
| M.HENICHE; P.A.TANGUY; M.F.REEDER; J.B.FASANO, AICHE JOURNAL, vol. 51, no. 1, January 2005 (2005-01-01) |
Cited By (1)
| Publication number | Priority date | Publication date | Assignee | Title |
|---|---|---|---|---|
| EP2915581A1 (de) | 2014-03-06 | 2015-09-09 | Fluitec Invest AG | Statischer Mischer |
Also Published As
| Publication number | Publication date |
|---|---|
| ATE549079T1 (de) | 2012-03-15 |
| EP2158027B2 (de) | 2016-04-27 |
| US20100202248A1 (en) | 2010-08-12 |
| CN101743055B (zh) | 2013-03-27 |
| CN102861522A (zh) | 2013-01-09 |
| ES2375592T3 (es) | 2012-03-02 |
| ES2375592T5 (es) | 2016-06-08 |
| KR20100022995A (ko) | 2010-03-03 |
| EP2277620B1 (de) | 2012-03-14 |
| JP5555622B2 (ja) | 2014-07-23 |
| EP2158027B1 (de) | 2011-11-09 |
| EP2158027A1 (de) | 2010-03-03 |
| RU2010101901A (ru) | 2011-07-27 |
| TWI417135B (zh) | 2013-12-01 |
| ES2382230T3 (es) | 2012-06-06 |
| ES2382230T5 (es) | 2015-03-13 |
| WO2009000642A1 (de) | 2008-12-31 |
| CA2691049A1 (en) | 2008-12-31 |
| RU2470702C2 (ru) | 2012-12-27 |
| JP2013212508A (ja) | 2013-10-17 |
| ATE532579T1 (de) | 2011-11-15 |
| CA2691049C (en) | 2015-05-19 |
| MX2009013424A (es) | 2010-01-15 |
| CN101743055A (zh) | 2010-06-16 |
| EP2277620B2 (de) | 2015-02-18 |
| TW200906480A (en) | 2009-02-16 |
| BRPI0813433A2 (pt) | 2015-08-18 |
| JP2010530819A (ja) | 2010-09-16 |
| US8491180B2 (en) | 2013-07-23 |
| EP2277620A3 (de) | 2011-02-16 |
| KR101516331B1 (ko) | 2015-05-04 |
| BRPI0813433B1 (pt) | 2018-12-04 |
Similar Documents
| Publication | Publication Date | Title |
|---|---|---|
| EP2158027B1 (de) | Statisches mischelement | |
| EP2286904B1 (de) | Statische Mischvorrichtung für fliessfähige Stoffe | |
| EP1216747B1 (de) | Statischer Mischer | |
| EP1123730B1 (de) | Statischer Mischer | |
| DE60006341T2 (de) | Statischer mischer | |
| CH642564A5 (de) | Statische mischvorrichtung. | |
| EP2483051B1 (de) | Behandlungselement zur behandlung von material in einer mehrwellen-schneckenmaschine sowie mehrwellen-schneckenmaschine | |
| EP0800857A1 (de) | Mischrohr für niedrigviskose Fluide | |
| EP2614883B1 (de) | Mischelement und statischer Mischer | |
| EP0526393A1 (de) | Einmischvorrichtung | |
| EP2548634A1 (de) | Mischelement für einen statischen Mischer | |
| DE112013004008T5 (de) | Verfahren zum Mischen eines Abgasstroms | |
| EP2001580B1 (de) | Statischer mischer und verfahren zur herstellung eines solchen | |
| EP2150765A1 (de) | Strömungskanal für einen mischer-wärmetauscher | |
| DE2723056A1 (de) | Rohrmischer | |
| DE10155045A1 (de) | Komponente zu einem statischen Mischer | |
| EP1170054A1 (de) | Mischer für die Mischung von Gasen und anderen Newtonschen Flüssigkeiten | |
| EP3081285B1 (de) | Statische mischvorrichtung für fliessfähige stoffe | |
| EP1540662A2 (de) | Abstandhalter | |
| EP1541229B1 (de) | Füllkörper für den Stoff- und Wärmeaustausch | |
| EP1493485B1 (de) | Statischer Mischer | |
| DE10148901B4 (de) | Strömungsgleichrichter-Modul und Stömungsgleichrichter | |
| DE102015006499B4 (de) | Ventilanordnung für elektrorheologische Flüssigkeiten | |
| DE102011121061B4 (de) | Matrix und Verfahren zu ihrer Herstellung | |
| DE19521523A1 (de) | Vorrichtung zum Gleichrichten einer Strömung |
Legal Events
| Date | Code | Title | Description |
|---|---|---|---|
| PUAI | Public reference made under article 153(3) epc to a published international application that has entered the european phase |
Free format text: ORIGINAL CODE: 0009012 |
|
| PUAL | Search report despatched |
Free format text: ORIGINAL CODE: 0009013 |
|
| AC | Divisional application: reference to earlier application |
Ref document number: 2158027 Country of ref document: EP Kind code of ref document: P |
|
| AK | Designated contracting states |
Kind code of ref document: A2 Designated state(s): AT BE BG CH CY CZ DE DK EE ES FI FR GB GR HR HU IE IS IT LI LT LU LV MC MT NL NO PL PT RO SE SI SK TR |
|
| AK | Designated contracting states |
Kind code of ref document: A3 Designated state(s): AT BE BG CH CY CZ DE DK EE ES FI FR GB GR HR HU IE IS IT LI LT LU LV MC MT NL NO PL PT RO SE SI SK TR |
|
| 17P | Request for examination filed |
Effective date: 20110816 |
|
| GRAP | Despatch of communication of intention to grant a patent |
Free format text: ORIGINAL CODE: EPIDOSNIGR1 |
|
| GRAS | Grant fee paid |
Free format text: ORIGINAL CODE: EPIDOSNIGR3 |
|
| GRAA | (expected) grant |
Free format text: ORIGINAL CODE: 0009210 |
|
| AC | Divisional application: reference to earlier application |
Ref document number: 2158027 Country of ref document: EP Kind code of ref document: P |
|
| AK | Designated contracting states |
Kind code of ref document: B1 Designated state(s): AT BE BG CH CY CZ DE DK EE ES FI FR GB GR HR HU IE IS IT LI LT LU LV MC MT NL NO PL PT RO SE SI SK TR |
|
| REG | Reference to a national code |
Ref country code: GB Ref legal event code: FG4D Free format text: NOT ENGLISH |
|
| REG | Reference to a national code |
Ref country code: AT Ref legal event code: REF Ref document number: 549079 Country of ref document: AT Kind code of ref document: T Effective date: 20120315 Ref country code: CH Ref legal event code: NV Representative=s name: SULZER MANAGEMENT AG PATENTABTEILUNG/0067 Ref country code: CH Ref legal event code: EP |
|
| REG | Reference to a national code |
Ref country code: IE Ref legal event code: FG4D Free format text: LANGUAGE OF EP DOCUMENT: GERMAN |
|
| REG | Reference to a national code |
Ref country code: DE Ref legal event code: R096 Ref document number: 502008006713 Country of ref document: DE Effective date: 20120516 |
|
| REG | Reference to a national code |
Ref country code: ES Ref legal event code: FG2A Ref document number: 2382230 Country of ref document: ES Kind code of ref document: T3 Effective date: 20120606 |
|
| REG | Reference to a national code |
Ref country code: NL Ref legal event code: T3 |
|
| PG25 | Lapsed in a contracting state [announced via postgrant information from national office to epo] |
Ref country code: HR Free format text: LAPSE BECAUSE OF FAILURE TO SUBMIT A TRANSLATION OF THE DESCRIPTION OR TO PAY THE FEE WITHIN THE PRESCRIBED TIME-LIMIT Effective date: 20120314 Ref country code: NO Free format text: LAPSE BECAUSE OF FAILURE TO SUBMIT A TRANSLATION OF THE DESCRIPTION OR TO PAY THE FEE WITHIN THE PRESCRIBED TIME-LIMIT Effective date: 20120614 Ref country code: LT Free format text: LAPSE BECAUSE OF FAILURE TO SUBMIT A TRANSLATION OF THE DESCRIPTION OR TO PAY THE FEE WITHIN THE PRESCRIBED TIME-LIMIT Effective date: 20120314 |
|
| LTIE | Lt: invalidation of european patent or patent extension |
Effective date: 20120314 |
|
| PG25 | Lapsed in a contracting state [announced via postgrant information from national office to epo] |
Ref country code: FI Free format text: LAPSE BECAUSE OF FAILURE TO SUBMIT A TRANSLATION OF THE DESCRIPTION OR TO PAY THE FEE WITHIN THE PRESCRIBED TIME-LIMIT Effective date: 20120314 Ref country code: LV Free format text: LAPSE BECAUSE OF FAILURE TO SUBMIT A TRANSLATION OF THE DESCRIPTION OR TO PAY THE FEE WITHIN THE PRESCRIBED TIME-LIMIT Effective date: 20120314 Ref country code: GR Free format text: LAPSE BECAUSE OF FAILURE TO SUBMIT A TRANSLATION OF THE DESCRIPTION OR TO PAY THE FEE WITHIN THE PRESCRIBED TIME-LIMIT Effective date: 20120615 |
|
| PG25 | Lapsed in a contracting state [announced via postgrant information from national office to epo] |
Ref country code: CY Free format text: LAPSE BECAUSE OF FAILURE TO SUBMIT A TRANSLATION OF THE DESCRIPTION OR TO PAY THE FEE WITHIN THE PRESCRIBED TIME-LIMIT Effective date: 20120314 |
|
| PG25 | Lapsed in a contracting state [announced via postgrant information from national office to epo] |
Ref country code: IS Free format text: LAPSE BECAUSE OF FAILURE TO SUBMIT A TRANSLATION OF THE DESCRIPTION OR TO PAY THE FEE WITHIN THE PRESCRIBED TIME-LIMIT Effective date: 20120714 Ref country code: SE Free format text: LAPSE BECAUSE OF FAILURE TO SUBMIT A TRANSLATION OF THE DESCRIPTION OR TO PAY THE FEE WITHIN THE PRESCRIBED TIME-LIMIT Effective date: 20120314 Ref country code: PL Free format text: LAPSE BECAUSE OF FAILURE TO SUBMIT A TRANSLATION OF THE DESCRIPTION OR TO PAY THE FEE WITHIN THE PRESCRIBED TIME-LIMIT Effective date: 20120314 Ref country code: RO Free format text: LAPSE BECAUSE OF FAILURE TO SUBMIT A TRANSLATION OF THE DESCRIPTION OR TO PAY THE FEE WITHIN THE PRESCRIBED TIME-LIMIT Effective date: 20120314 Ref country code: EE Free format text: LAPSE BECAUSE OF FAILURE TO SUBMIT A TRANSLATION OF THE DESCRIPTION OR TO PAY THE FEE WITHIN THE PRESCRIBED TIME-LIMIT Effective date: 20120314 Ref country code: SI Free format text: LAPSE BECAUSE OF FAILURE TO SUBMIT A TRANSLATION OF THE DESCRIPTION OR TO PAY THE FEE WITHIN THE PRESCRIBED TIME-LIMIT Effective date: 20120314 |
|
| PG25 | Lapsed in a contracting state [announced via postgrant information from national office to epo] |
Ref country code: PT Free format text: LAPSE BECAUSE OF FAILURE TO SUBMIT A TRANSLATION OF THE DESCRIPTION OR TO PAY THE FEE WITHIN THE PRESCRIBED TIME-LIMIT Effective date: 20120716 Ref country code: SK Free format text: LAPSE BECAUSE OF FAILURE TO SUBMIT A TRANSLATION OF THE DESCRIPTION OR TO PAY THE FEE WITHIN THE PRESCRIBED TIME-LIMIT Effective date: 20120314 |
|
| PLBI | Opposition filed |
Free format text: ORIGINAL CODE: 0009260 |
|
| PLAX | Notice of opposition and request to file observation + time limit sent |
Free format text: ORIGINAL CODE: EPIDOSNOBS2 |
|
| 26 | Opposition filed |
Opponent name: FLUITEC GEORG AG Effective date: 20121214 |
|
| PG25 | Lapsed in a contracting state [announced via postgrant information from national office to epo] |
Ref country code: MC Free format text: LAPSE BECAUSE OF NON-PAYMENT OF DUE FEES Effective date: 20120630 Ref country code: DK Free format text: LAPSE BECAUSE OF FAILURE TO SUBMIT A TRANSLATION OF THE DESCRIPTION OR TO PAY THE FEE WITHIN THE PRESCRIBED TIME-LIMIT Effective date: 20120314 |
|
| PLAF | Information modified related to communication of a notice of opposition and request to file observations + time limit |
Free format text: ORIGINAL CODE: EPIDOSCOBS2 |
|
| REG | Reference to a national code |
Ref country code: DE Ref legal event code: R026 Ref document number: 502008006713 Country of ref document: DE Effective date: 20121214 |
|
| REG | Reference to a national code |
Ref country code: IE Ref legal event code: MM4A |
|
| PG25 | Lapsed in a contracting state [announced via postgrant information from national office to epo] |
Ref country code: IE Free format text: LAPSE BECAUSE OF NON-PAYMENT OF DUE FEES Effective date: 20120610 |
|
| PLBB | Reply of patent proprietor to notice(s) of opposition received |
Free format text: ORIGINAL CODE: EPIDOSNOBS3 |
|
| PG25 | Lapsed in a contracting state [announced via postgrant information from national office to epo] |
Ref country code: MT Free format text: LAPSE BECAUSE OF FAILURE TO SUBMIT A TRANSLATION OF THE DESCRIPTION OR TO PAY THE FEE WITHIN THE PRESCRIBED TIME-LIMIT Effective date: 20120314 Ref country code: BG Free format text: LAPSE BECAUSE OF FAILURE TO SUBMIT A TRANSLATION OF THE DESCRIPTION OR TO PAY THE FEE WITHIN THE PRESCRIBED TIME-LIMIT Effective date: 20120614 |
|
| REG | Reference to a national code |
Ref country code: CH Ref legal event code: PCOW Free format text: NEW ADDRESS: SULZERALLEE 48, 8404 WINTERTHUR (CH) Ref country code: CH Ref legal event code: NV Representative=s name: DR. GRAF AND PARTNER AG INTELLECTUAL PROPERTY, CH |
|
| PG25 | Lapsed in a contracting state [announced via postgrant information from national office to epo] |
Ref country code: TR Free format text: LAPSE BECAUSE OF FAILURE TO SUBMIT A TRANSLATION OF THE DESCRIPTION OR TO PAY THE FEE WITHIN THE PRESCRIBED TIME-LIMIT Effective date: 20120314 |
|
| PG25 | Lapsed in a contracting state [announced via postgrant information from national office to epo] |
Ref country code: LU Free format text: LAPSE BECAUSE OF NON-PAYMENT OF DUE FEES Effective date: 20120610 |
|
| PG25 | Lapsed in a contracting state [announced via postgrant information from national office to epo] |
Ref country code: HU Free format text: LAPSE BECAUSE OF FAILURE TO SUBMIT A TRANSLATION OF THE DESCRIPTION OR TO PAY THE FEE WITHIN THE PRESCRIBED TIME-LIMIT Effective date: 20080610 |
|
| PUAH | Patent maintained in amended form |
Free format text: ORIGINAL CODE: 0009272 |
|
| STAA | Information on the status of an ep patent application or granted ep patent |
Free format text: STATUS: PATENT MAINTAINED AS AMENDED |
|
| 27A | Patent maintained in amended form |
Effective date: 20150218 |
|
| AK | Designated contracting states |
Kind code of ref document: B2 Designated state(s): AT BE BG CH CY CZ DE DK EE ES FI FR GB GR HR HU IE IS IT LI LT LU LV MC MT NL NO PL PT RO SE SI SK TR |
|
| REG | Reference to a national code |
Ref country code: DE Ref legal event code: R102 Ref document number: 502008006713 Country of ref document: DE |
|
| REG | Reference to a national code |
Ref country code: CH Ref legal event code: AELC |
|
| REG | Reference to a national code |
Ref country code: ES Ref legal event code: DC2A Ref document number: 2382230 Country of ref document: ES Kind code of ref document: T5 Effective date: 20150313 |
|
| REG | Reference to a national code |
Ref country code: DE Ref legal event code: R102 Ref document number: 502008006713 Country of ref document: DE Effective date: 20150218 |
|
| PG25 | Lapsed in a contracting state [announced via postgrant information from national office to epo] |
Ref country code: LV Free format text: LAPSE BECAUSE OF FAILURE TO SUBMIT A TRANSLATION OF THE DESCRIPTION OR TO PAY THE FEE WITHIN THE PRESCRIBED TIME-LIMIT Effective date: 20150218 |
|
| REG | Reference to a national code |
Ref country code: FR Ref legal event code: PLFP Year of fee payment: 9 |
|
| REG | Reference to a national code |
Ref country code: FR Ref legal event code: PLFP Year of fee payment: 10 |
|
| REG | Reference to a national code |
Ref country code: DE Ref legal event code: R082 Ref document number: 502008006713 Country of ref document: DE Representative=s name: PATENTANWAELTE HENKEL, BREUER & PARTNER MBB, DE Ref country code: DE Ref legal event code: R082 Ref document number: 502008006713 Country of ref document: DE Representative=s name: HENKEL & PARTNER MBB PATENTANWALTSKANZLEI, REC, DE Ref country code: DE Ref legal event code: R082 Ref document number: 502008006713 Country of ref document: DE Representative=s name: PATENTANWAELTE HENKEL, BREUER & PARTNER, DE Ref country code: DE Ref legal event code: R082 Ref document number: 502008006713 Country of ref document: DE Representative=s name: HENKEL, BREUER & PARTNER, DE |
|
| REG | Reference to a national code |
Ref country code: DE Ref legal event code: R082 Ref document number: 502008006713 Country of ref document: DE Representative=s name: PATENTANWAELTE HENKEL, BREUER & PARTNER MBB, DE Ref country code: DE Ref legal event code: R082 Ref document number: 502008006713 Country of ref document: DE Representative=s name: HENKEL & PARTNER MBB PATENTANWALTSKANZLEI, REC, DE Ref country code: DE Ref legal event code: R082 Ref document number: 502008006713 Country of ref document: DE Representative=s name: HENKEL, BREUER & PARTNER, DE |
|
| REG | Reference to a national code |
Ref country code: FR Ref legal event code: PLFP Year of fee payment: 11 |
|
| REG | Reference to a national code |
Ref country code: DE Ref legal event code: R082 Ref document number: 502008006713 Country of ref document: DE Representative=s name: PATENTANWAELTE HENKEL, BREUER & PARTNER MBB, DE Ref country code: DE Ref legal event code: R082 Ref document number: 502008006713 Country of ref document: DE Representative=s name: HENKEL & PARTNER MBB PATENTANWALTSKANZLEI, REC, DE |
|
| REG | Reference to a national code |
Ref country code: DE Ref legal event code: R082 Ref document number: 502008006713 Country of ref document: DE Representative=s name: HENKEL & PARTNER MBB PATENTANWALTSKANZLEI, REC, DE Ref country code: DE Ref legal event code: R081 Ref document number: 502008006713 Country of ref document: DE Owner name: SULZER MANAGEMENT AG, CH Free format text: FORMER OWNER: SULZER CHEMTECH AG, WINTERTHUR, CH |
|
| REG | Reference to a national code |
Ref country code: CH Ref legal event code: PUE Owner name: SULZER MANAGEMENT AG, CH Free format text: FORMER OWNER: SULZER CHEMTECH AG, CH |
|
| REG | Reference to a national code |
Ref country code: GB Ref legal event code: 732E Free format text: REGISTERED BETWEEN 20200723 AND 20200729 |
|
| REG | Reference to a national code |
Ref country code: CH Ref legal event code: NV Representative=s name: DR. GRAF AND PARTNER AG INTELLECTUAL PROPERTY, CH |
|
| REG | Reference to a national code |
Ref country code: AT Ref legal event code: PC Ref document number: 549079 Country of ref document: AT Kind code of ref document: T Owner name: SULZER MANAGEMENT AG, CH Effective date: 20200721 |
|
| REG | Reference to a national code |
Ref country code: BE Ref legal event code: PD Owner name: SULZER MANAGEMENT AG; CH Free format text: DETAILS ASSIGNMENT: CHANGE OF OWNER(S), CESSION; FORMER OWNER NAME: SULZER CHEMTECH AG Effective date: 20200908 |
|
| REG | Reference to a national code |
Ref country code: ES Ref legal event code: PC2A Owner name: SULZER MANAGEMENT AG Effective date: 20201027 |
|
| REG | Reference to a national code |
Ref country code: NL Ref legal event code: PD Owner name: SULZER MANAGEMENT AG; CH Free format text: DETAILS ASSIGNMENT: CHANGE OF OWNER(S), ASSIGNMENT; FORMER OWNER NAME: SULZER CHEMTECH AG Effective date: 20210805 |
|
| REG | Reference to a national code |
Ref country code: DE Ref legal event code: R079 Ref document number: 502008006713 Country of ref document: DE Free format text: PREVIOUS MAIN CLASS: B01F0005060000 Ipc: B01F0025400000 |
|
| P01 | Opt-out of the competence of the unified patent court (upc) registered |
Effective date: 20230608 |
|
| REG | Reference to a national code |
Ref country code: DE Ref legal event code: R082 Ref document number: 502008006713 Country of ref document: DE Representative=s name: MANITZ FINSTERWALD PATENT- UND RECHTSANWALTSPA, DE |
|
| PGFP | Annual fee paid to national office [announced via postgrant information from national office to epo] |
Ref country code: DE Payment date: 20250618 Year of fee payment: 18 |
|
| PGFP | Annual fee paid to national office [announced via postgrant information from national office to epo] |
Ref country code: GB Payment date: 20250618 Year of fee payment: 18 |
|
| PGFP | Annual fee paid to national office [announced via postgrant information from national office to epo] |
Ref country code: NL Payment date: 20250618 Year of fee payment: 18 Ref country code: BE Payment date: 20250618 Year of fee payment: 18 |
|
| PGFP | Annual fee paid to national office [announced via postgrant information from national office to epo] |
Ref country code: FR Payment date: 20250624 Year of fee payment: 18 |
|
| PGFP | Annual fee paid to national office [announced via postgrant information from national office to epo] |
Ref country code: AT Payment date: 20250620 Year of fee payment: 18 |
|
| PGFP | Annual fee paid to national office [announced via postgrant information from national office to epo] |
Ref country code: CZ Payment date: 20250603 Year of fee payment: 18 |
|
| PGFP | Annual fee paid to national office [announced via postgrant information from national office to epo] |
Ref country code: ES Payment date: 20250728 Year of fee payment: 18 |
|
| PGFP | Annual fee paid to national office [announced via postgrant information from national office to epo] |
Ref country code: IT Payment date: 20250624 Year of fee payment: 18 |
|
| PGFP | Annual fee paid to national office [announced via postgrant information from national office to epo] |
Ref country code: CH Payment date: 20250701 Year of fee payment: 18 |


