EP1564411B2 - Verfahren zur Ermittlung von Fehlern beim Betrieb eines Pumpenaggregates - Google Patents
Verfahren zur Ermittlung von Fehlern beim Betrieb eines Pumpenaggregates Download PDFInfo
- Publication number
- EP1564411B2 EP1564411B2 EP04002979.5A EP04002979A EP1564411B2 EP 1564411 B2 EP1564411 B2 EP 1564411B2 EP 04002979 A EP04002979 A EP 04002979A EP 1564411 B2 EP1564411 B2 EP 1564411B2
- Authority
- EP
- European Patent Office
- Prior art keywords
- pump
- motor
- fault
- variables
- rotor
- Prior art date
- Legal status (The legal status is an assumption and is not a legal conclusion. Google has not performed a legal analysis and makes no representation as to the accuracy of the status listed.)
- Expired - Lifetime
Links
- 238000000034 method Methods 0.000 title claims abstract description 25
- 238000004804 winding Methods 0.000 claims description 16
- 230000007547 defect Effects 0.000 claims description 8
- 230000001939 inductive effect Effects 0.000 claims description 7
- 238000011156 evaluation Methods 0.000 claims description 5
- 230000004907 flux Effects 0.000 claims description 4
- 230000008878 coupling Effects 0.000 claims description 2
- 238000010168 coupling process Methods 0.000 claims description 2
- 238000005859 coupling reaction Methods 0.000 claims description 2
- 238000005259 measurement Methods 0.000 claims description 2
- 230000000052 comparative effect Effects 0.000 claims 1
- 239000012530 fluid Substances 0.000 claims 1
- 230000002123 temporal effect Effects 0.000 claims 1
- 238000012544 monitoring process Methods 0.000 abstract description 7
- 238000012545 processing Methods 0.000 abstract description 7
- 230000008569 process Effects 0.000 abstract description 2
- 238000001514 detection method Methods 0.000 description 6
- 230000002950 deficient Effects 0.000 description 2
- 230000001419 dependent effect Effects 0.000 description 2
- 238000011161 development Methods 0.000 description 2
- 238000003745 diagnosis Methods 0.000 description 2
- 238000005516 engineering process Methods 0.000 description 2
- 239000007788 liquid Substances 0.000 description 2
- QEIQEORTEYHSJH-UHFFFAOYSA-N Armin Natural products C1=CC(=O)OC2=C(O)C(OCC(CCO)C)=CC=C21 QEIQEORTEYHSJH-UHFFFAOYSA-N 0.000 description 1
- 238000013459 approach Methods 0.000 description 1
- 238000013528 artificial neural network Methods 0.000 description 1
- 230000008901 benefit Effects 0.000 description 1
- 230000005540 biological transmission Effects 0.000 description 1
- 238000009530 blood pressure measurement Methods 0.000 description 1
- 238000004364 calculation method Methods 0.000 description 1
- 230000004069 differentiation Effects 0.000 description 1
- 230000006870 function Effects 0.000 description 1
- 238000010438 heat treatment Methods 0.000 description 1
- 230000007774 longterm Effects 0.000 description 1
- 230000007257 malfunction Effects 0.000 description 1
- 238000004519 manufacturing process Methods 0.000 description 1
- 238000013178 mathematical model Methods 0.000 description 1
- 238000012821 model calculation Methods 0.000 description 1
- 230000001953 sensory effect Effects 0.000 description 1
- 239000010865 sewage Substances 0.000 description 1
- 230000003068 static effect Effects 0.000 description 1
- WFKWXMTUELFFGS-UHFFFAOYSA-N tungsten Chemical compound [W] WFKWXMTUELFFGS-UHFFFAOYSA-N 0.000 description 1
- 229910052721 tungsten Inorganic materials 0.000 description 1
- 239000010937 tungsten Substances 0.000 description 1
- XLYOFNOQVPJJNP-UHFFFAOYSA-N water Substances O XLYOFNOQVPJJNP-UHFFFAOYSA-N 0.000 description 1
Images
Classifications
-
- F—MECHANICAL ENGINEERING; LIGHTING; HEATING; WEAPONS; BLASTING
- F04—POSITIVE - DISPLACEMENT MACHINES FOR LIQUIDS; PUMPS FOR LIQUIDS OR ELASTIC FLUIDS
- F04D—NON-POSITIVE-DISPLACEMENT PUMPS
- F04D15/00—Control, e.g. regulation, of pumps, pumping installations or systems
- F04D15/02—Stopping of pumps, or operating valves, on occurrence of unwanted conditions
- F04D15/0245—Stopping of pumps, or operating valves, on occurrence of unwanted conditions responsive to a condition of the pump
-
- F—MECHANICAL ENGINEERING; LIGHTING; HEATING; WEAPONS; BLASTING
- F04—POSITIVE - DISPLACEMENT MACHINES FOR LIQUIDS; PUMPS FOR LIQUIDS OR ELASTIC FLUIDS
- F04D—NON-POSITIVE-DISPLACEMENT PUMPS
- F04D15/00—Control, e.g. regulation, of pumps, pumping installations or systems
- F04D15/02—Stopping of pumps, or operating valves, on occurrence of unwanted conditions
- F04D15/0209—Stopping of pumps, or operating valves, on occurrence of unwanted conditions responsive to a condition of the working fluid
- F04D15/0218—Stopping of pumps, or operating valves, on occurrence of unwanted conditions responsive to a condition of the working fluid the condition being a liquid level or a lack of liquid supply
- F04D15/0236—Lack of liquid level being detected by analysing the parameters of the electric drive, e.g. current or power consumption
Definitions
- the invention relates to a method for determining errors in the operation of a pump unit, in particular a centrifugal pump unit according to the features specified in the preamble of claim 1.
- EP-A-1 286 056 It belongs to the state of the art to detect in a pump unit cavitation in the region of the pump by means of sensors which record the pump differential pressure and the flow rate. The data recorded by the sensors are fed to a classification system which determines through a neural network whether and to what extent cavitation exists.
- EP-A-0 321 295 It belongs to the state of the art to detect by means of a variety of sensors hydraulic system data and mechanical data of the pump motor to detect critical operating conditions of the pump and turn off the pump if necessary in time when the pump z. B. runs dry or promotes closed valves.
- Such a monitoring system is also made of tungsten, Armin, component-based fault diagnosis industrial plants using the example of frequency converter-fed asynchronous and centrifugal pumps, thesis TU Darmstadt, VDI Forfön Kunststoffsberichte, Series 8, No. 967, VDI Verlag 2002 , Dusseldorf known. There are also described in particular the model relationships between the engine and pump. This prior art forms the preamble of claim 1.
- pump units are therefore considered to be the state of the art for providing a large number of sensors, on the one hand in order to detect operating conditions, and on the other hand also to determine fault conditions of the system and / or the pump unit.
- the disadvantage here is that the sensors required in this context not only consuming and expensive, but is often prone to failure.
- the invention has for its object to provide a method for detecting errors in the operation of a pump unit, which is executable with the lowest possible sensor.
- the basic idea of the present invention is to record characteristic data using characteristic electrical quantities of the motor which are generally available anyway or at least with little effort and two variable hydraulic variables to be determined by sensor for the electric motor and the hydraulic-mechanical pump to evaluate according to mathematical linkage. In the simplest form, this is done by comparison with predetermined values, wherein both the comparison and the result is done automatically by means of electronic data processing, which thus determines whether an error in the operation of the pump is present or not.
- the method according to the invention requires a minimum of sensor technology and, in the case of modern frequency-converter-controlled pumps, which in any case have digital data processing, can generally be implemented by software. It is particularly advantageous that the variables determining the electrical power of the motor, namely typically the voltage applied to the motor and the current supplying the motor, are anyway available within the frequency converter electronics, so that for detecting a hydraulic variable, e.g. the differential pressure only a pressure sensor is required, which incidentally also often belongs to standard equipment in modern pumps.
- the predetermined values required for comparison can be stored in digital form in corresponding memory modules of the engine electronics.
- the two electrical quantities of the motor determining the electrical power of the motor are mathematically linked to obtain at least one reference value and, on the other hand, the at least one variable hydraulic variable the pump and another determining the performance of the pump hydraulic variable to achieve at least one further comparison value are mathematically linked, wherein it is then determined on the basis of the result of the mathematical combination by comparison with predetermined values, whether an error exists or not.
- the mathematical combination is carried out for the motor-side data by appropriate for the electrical and / or magnetic relationships in the engine determining equations whereas equations are used for the pump, which describe the hydraulic and / or mechanical system.
- the values resulting from the respective links are compared with predetermined values stored in the memory electronics, after which the electronic data processing automatically determines whether an error exists or not. and
- the method according to the invention has the advantage that it requires little storage space for the given values.
- hydraulic variable is the generated by the pump. Used differential pressure, since this size can be detected on the aggregate side and the provision of such a pressure sensor in many pump types today is state of the art.
- the flow rate of the pump In addition to the detection of the differential pressure is used as a hydraulic variable, the flow rate of the pump.
- the detection of the flow rate can also be done on the aggregate side, also for this purpose are less expensive and long-term stable measuring systems available.
- an electrical motor model is used for the mathematical combination for the variables determining the electrical power of the motor
- a mechanical-hydraulic pump model is used for the mathematical combination of the mechanical-hydraulic pump variable.
- the electric motor model it is preferable to use one defined by the equations (1) to (5) or (6) to (9) or (10) to (14).
- Equations (1) to (5) represent an electric dynamic motor model for an asynchronous motor.
- Equations (6) to (9) also represent an electric static motor model for an asynchronous motor.
- Equations (10) to (14) represent an electric dynamic motor model for a permanent magnet motor.
- equation (15) and at least one of equations (16) and (17) are advantageously used.
- Claim 4 defines, by way of example, how mathematical links are made to determine whether an error exists or not.
- the basic idea of this specific method is, on the one hand with the aid of the engine model, to determine the engine torque resulting from the electrical variables on the motor shaft and the rotational speed. Equations (16) and (17) are used to determine a relationship between the differential pressure and the delivery flow on the one hand and between the pump pressure torque and the delivery flow on the other hand.
- a tolerance band by variance of at least one of the variables a h0 to a h2 , a t0 to a t2 , B and J in order to register an error only if this too is relevant to the operation.
- two hydraulic variables are determined by measuring and the determined values are inserted into the equations according to claim 4, so that then four error variables r 1 to r 4 result. Based on the combination of these error variables, the type of error is then determined on the basis of predetermined limit value combinations. This too is done automatically by electronic data processing.
- the two aforementioned hydraulic variables are determined by measuring and the determined values are compared with predetermined values to determine the type of error, in which case the predefined values define an area in three-dimensional space It is determined whether or not the determined quantities lie on these areas (r * 1 to r * 4 ) and, based on the combination of the values, the type of error is determined on the basis of predetermined limit value combinations.
- the type of error can then be determined, for example, from the following table: Error type defect size r 1 , r 2 , r 3 , r 4 , comparison area r 1 * r 2 * r 3 * r 4 * Increased friction due to mechanical defects 1 0 1 1
- the surfaces formed in the three-dimensional space on the basis of predetermined values are typically space-curved surfaces whose values have previously been determined by the factory based on the respective unit or aggregate type and stored in the digital data memory on the aggregate side.
- the aforementioned comparison surfaces r * 1 to r * 4 are arranged in a three-dimensional space, which at r * 1 from the torque, the flow and the speed, at r * 2 from the differential pressure, the flow rate and the speed, for r * 3 of the torque, the differential pressure and the speed and for r * 4 from the torque, the differential pressure and the flow rate are formed.
- the variables defined in the table by the comparison surfaces r * 1 to r * 4 indicate the respective operating state, wherein the number 0 means that the respective value lies within the area defined by the predetermined values and 1 outside.
- the error combination defined in the table due to increased friction due to mechanical defects can mean bearing damage or an otherwise caused increased frictional resistance between the rotating parts and the stationary parts of the aggregate.
- the under the generic term reduced promotion / missing differential pressure marked error combination can be, for example, by error or wear on the pump impeller or an obstacle in the pump Einoder Exhaust caused.
- defect in the intake / missing flow error combination can be caused for example by defect of the ring seal at the suction of the pump.
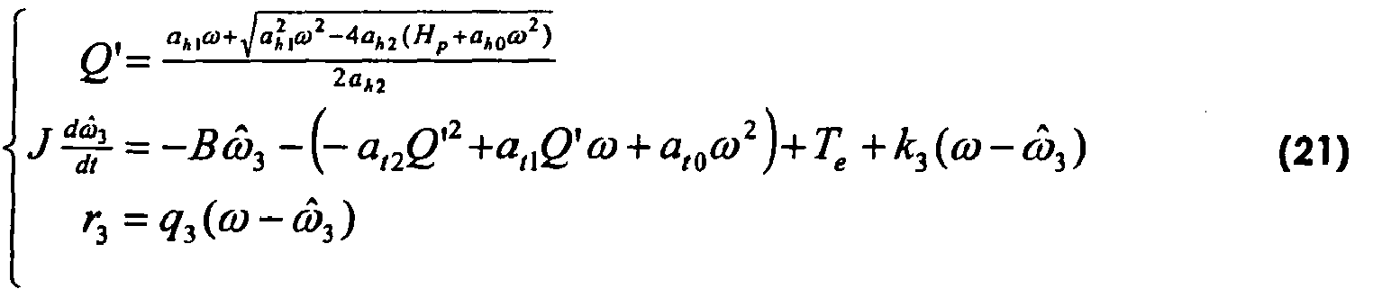
- the operating states designated in the table by the variables R 1 to R 4 are based on mathematical calculations of fault parameters r 1 to r 4 according to the equations (19) to (22), wherein the corresponding error amount becomes zero when a correct operation is present and the value 1 in case of error.
- the table is to be understood in terms of the type of error in a similar manner as described above.
- each of the error quantities r 1 to r 4 represents a distance to the corresponding areas r * 1 to r * 4 .
- the error quantities do not necessarily correspond to the areas r * 1 to r * 4 .
- the error quantities r 1 to r 4 correspond to the equations (19) to (22) and correspond to the areas r * 1 to r * 4 in the FIGS. 4 to 9 ,
- the pump unit when a fault is detected, the pump unit is actuated with a different speed, in order then to be able to define the detected error more precisely on the basis of the resulting measuring results.
- a sensor for detecting the voltage applied to the motor supply voltage and the supply current and for detecting the differential pressure applied by the pump and the flow rate.
- an evaluation device to be provided which in the form of digital data processing, for. B. a microprocessor may be formed, in which the inventive method is implemented by software.
- an electronic memory is also to be provided. In modern frequency converter controlled pump units all the aforementioned hardware requirements are already in place, so that is only to ensure sufficient dimensioning of the electronic data processing system, in particular the storage means and the evaluation device.
- All components are preferably an integral part of the motor and / or pump electronics, so that constructively so far no further precautions are necessary to carry out the method according to the invention.
- Another embodiment may be a separate module provided in a panel or control panel, in the same way as a motor protection switch, but with the monitoring and diagnostic features as described above.
- centrifugal pumps as can be seen from the mechanical-hydraulic pump model.
- Such pumps may be, for example, industrial pumps, submersible pumps for sewage or water supply and heating circulation pumps.
- Particularly advantageous is a diagnostic system according to the invention in canned pumps, since through early fault detection, the looping through of the can and thus outlet of the pumped liquid, eg. B. in the living area, preventively prevented.
- the mechanical-hydraulic pump model In the application of the invention in Verdrängerpumpen Scheme the mechanical-hydraulic pump model must be adjusted according to the different physical relationships. The same applies to the use of other engine types for the electric motor model.
- means are provided for generating and transmitting at least one error message to a display element arranged on the pump unit or elsewhere, whether in the form of one or more indicator lights or a display with an alphanumeric display.
- the transmission can be wireless, for example via infrared or radio but also wired, preferably in digital form.
- FIG. 1 A simplified method, which does not belong to the invention is based on Fig. 1 shown.
- the variable electrical power-determining variables flow, here the voltage V abc and the current i abc -
- the product of these quantities defines the electrical power absorbed by the engine.
- the torque T e on the shaft of the motor and the rotational speed ⁇ derivable from the engine as they result arithmetically on the basis of the engine model.
Landscapes
- Engineering & Computer Science (AREA)
- Mechanical Engineering (AREA)
- General Engineering & Computer Science (AREA)
- Control Of Positive-Displacement Pumps (AREA)
- Control Of Electric Motors In General (AREA)
- Fluid-Pressure Circuits (AREA)
Description
- Die Erfindung betrifft ein Verfahren zur Ermittlung von Fehlern beim Betrieb eines Pumpenaggregates, insbesondere eines Kreiselpumpenaggregats gemäß den im Oberbegriff des Anspruchs 1 angegebenen Merkmalen.
- Aus
EP-A-1 286 056 zählt es zum Stand der Technik, bei einem Pumpenaggregat Kavitation im Bereich der Pumpe mittels Sensoren zu erfassen, welche den Pumpendifferenzdruck und die Durchflussgeschwindigkeit aufnehmen. Die von den Sensoren aufgenommenen Daten werden einem Klassifizierungssystem zugeführt, welches durch ein neuronales Netzwerk bestimmt, ob und in welchem Ausmaß Kavitation vorliegt. - Aus
EP-A-0 321 295 zählt es zum Stand der Technik, mittels einer Vielzahl von Sensoren hydraulische Systemdaten und mechanische Daten des Pumpenmotors zu erfassen, um kritische Betriebszustände der Pumpe zu erfassen und die Pumpe ggf. rechtzeitig abzuschalten, wenn die Pumpe z. B. trockenläuft oder gegen geschlossene Ventile fördert. - Aus Wolfram, Armin, Dominik Füssel, Torsten Brune und Rolf Isermann, Component-based multi-model approach for fault detection and diagnosis of a centrifugal pump, Institute of Autom. Control, Darmstadt University of Technology; American Control Conference, 2001: Proceedings of the 2001; Volume: 6, On page(s): 4443-4448 vol. 6; ISBN: 078036495-3, ist es bekannt, Anlagen mit darin integrierten Pumpenaggregaten zu überwachen, wobei die Überwachung einzelner Anlagenkomponenten, wie Pumpe, mechanisches System, Rohrleitung jeweils modellgestützt erfolgt, indem eine von einem mathematischen Modell errechnete Größe mit einer gemessenen verglichen und dann festgestellt wird, ob ein Fehler vorliegt oder nicht. Als Modell werden unter anderem ein Motormodell und ein Pumpenmodell verwendet. Als Eingangsgröße für die vorgenannten Modellrechnungen wird die Drehzahl verwendet.
- Ein solches Überwachungssystem ist auch aus Wolfram, Armin, Komponentenbosierte Fehlerdiagnose industrielle Anlagen am Beispiel frequenzumrichtergespeister Asynchronmaschinen und Kreiselpumpen, Dissertation TU Darmstadt, VDI Forfschrittsberichte, Reihe 8, Nr. 967, VDI Verlag 2002, Düsseldorf bekannt. Dort sind insbesondere auch die Modellzusammenhänge zwischen Motor und Pumpe beschrieben. Dieser Stand der Technik bildet den Oberbegriff des Anspruchs 1.
- Es zählt also bei Pumpenaggregaten inzwischen zum Stand der Technik, eine Vielzahl von Sensorik vorzusehen, einerseits um Betriebszustände zu erfassen, andererseits auch um Fehlzustände der Anlage und/oder des Pumpenaggregats zu ermitteln. Nachteilig hierbei ist jedoch, dass die in diesem Zusammenhang erforderliche Sensorik nicht nur aufwändig und teuer, sondern häufig auch störanfällig ist.
- Vor diesem Hintergrund liegt der Erfindung die Aufgabe zugrunde, ein Verfahren zur Ermittlung von Fehlern beim Betrieb eines Pumpenaggregats zu schaffen, welches mit möglichst geringer Sensorik ausführbar ist.
- Diese Aufgabe wird gemäß der Erfindung durch die in Anspruch 1 angegebenen Merkmale gelöst. Vorteilhafte Ausgestaltungen des erfindungsgemäßen Verfahrens ergeben sich aus den Unteransprüchen, der nachfolgenden Beschreibung und den Figuren.
- Grundgedanke der vorliegenden Erfindung ist es, anhand in der Regel ohnehin zur Verfügung stehender oder zumindest wenig aufwändig ermittelbarer elektrischer Größen des Motors sowie zwei sensorisch zu ermittelnden veränderlichen hydraulischen Größe der Pumpe für den elektrischen Motor sowie die hydraulisch-mechanische Pumpe charakteristische Daten zu erfassen und diese nach mathematischer Verknüpfung auszuwerten. In einfachster Form erfolgt dies durch Vergleich mit vorgegebenen Werten, wobei sowohl der Vergleich als auch das Ergebnis selbsttätig mittels elektronischer Datenverarbeitung erfolgt, die somit feststellt, ob ein Fehler im Betrieb der Pumpe vorliegt oder nicht.
- Das erfindungsgemäße Verfahren benötigt ein Minimum an Sensorik und kann bei modernem frequenzumrichtergesteuerten Pumpen, die ohnehin eine digitale Datenverarbeitung aufweisen, in der Regel softwaremäßig implementiert werden. Dabei ist besonders vorteilhaft, dass die die elektrische Leistung des Motors bestimmenden Größen, nämlich typischerweise die am Motor anliegende Spannung und der den Motor speisende Strom, ohnehin innerhalb der Frequenzumrichterelektronik zur Verfügung stehen, so dass zur Erfassung einer hydraulischen Größe, z.B. des Differenzdrucks lediglich ein Drucksensor erforderlich ist, der im Übrigen bei modernen Pumpen ebenfalls schon häufig zur Standardausstattung zählt. Die zum Vergleich erforderlichen vorgegebenen Werte können in digitaler Form in entsprechenden Speicher bausteinen der Motorelektronik abgelegt werden.
- Gemäß der Erfindung ist vorgesehen, dass einerseits die zwei die elektrische Leistung des Motors bestimmenden elektrischen Größen des Motors, nämlich die am Motor anliegende Spannung und der den Motor speisende Strom, zur Erzielung mindestens eines Vergleichswertes mathematisch verknüpft werden und andererseits die mindestens eine veränderliche hydraulische Größe der Pumpe sowie eine weitere die Leistung der Pumpe bestimmende hydraulische Größe zur Erzielung mindestens eines weiteren Vergleichswerts mathematisch verknüpft werden, wobei dann anhand des Ergebnisses der mathematischen Verknüpfung durch Vergleich mit vorgegebenen Werten ermittelt wird, ob ein Fehler vorliegt oder nicht. Die mathematische Verknüpfung erfolgt dabei für die motorseitigen Daten durch entsprechende für die elektrischen und/oder magnetischen Zusammenhänge im Motor bestimmende Gleichungen wohingegen für die Pumpe Gleichungen verwendet werden, welche das hydraulische und/oder mechanische System beschreiben. Die sich bei den jeweiligen Verknüpfungen ergebenden Werte werden mit vorgegebenen, in der Speicherelektronik abgespeicherten Werten verglichen, wonach die elektronische Datenverarbeitung selbsttätig feststellt ob ein Fehler vorliegt oder nicht. und Das erfindungsgemäße Verfahren hat den Vorteil, dass es wenig Speicherplatz für die vorgegebenen Werte erfordert.
- Dabei kann mit dem erfindungsgemäßen Verfahren nicht nur festgestellt werden ob ein Fehler vorliegt, sondern es kann darüber hinaus vorteilhaft auch noch der Fehler spezifiziert werden, d.h. ermittelt werden, um welchen Fehler es sich handelt.
- Als zu erfassende hydraulische Größe wird der von der Pumpe erzeugte. Differenzdruck herangezogen, da diese Größe aggregatseitig erfasst werden kann und das Vorsehen eines solchen Druckaufnehmers bei zahlreichen Pumpenbauarten heute zum Stand der Technik zählt.
- Zusätzlich zur Erfassung des Differenzdruckes wird als hydraulische Größe der Förderstrom der Pumpe herangezogen. Die Erfassung des Förderstroms kann ebenfalls aggregatseitig erfolgen, auch hierfür stehen wenig aufwändige und langzeitstabile Messsysteme zur Verfügung.
- Da die Absolutdruckerfassung des von der Pumpe erzeugten Drucks stets eine Differenzdruckmessung gegenüber der Außenatmosphäre darstellt ist es häufig günstiger, den zwischen Saug- und Druckseite der Pumpe gebildeten Differenzdruck statt des Absolutdruckes zu erfassen, der darüber hinaus als hydraulische Größe der Pumpe wesentlich günstiger weiterzuverarbeiten ist.
- Erfindungsgemäß wird für die mathematische Verknüpfung für die die elektrische Leistung des Motors bestimmenden Größen ein elektrisches Motormodell und für die mathematische Verknüpfung der mechanisch-hydraulischen Pumpengröße ein mechanisch-hydraulisches Pumpenmodell verwendet. Dabei wird als elektrisches Motormodell bevorzugt, ein durch die Gleichungen (1) bis (5) oder (6) bis (9) oder (10) bis (14) definiertes verwendet.
-
-
- Die Gleichungen (10) bis (14) stellen ein elektrisches dynamisches Motormodell dar, und zwar für einen Permanentmagnetmotor.
- In den Gleichungen (1) bis (14) repräsentieren
- isd den Motorstrom in Richtung d
- isq den Motorstrom in Richtung q
- ψrd den magnetischen Fluss des Rotors in d-Richtung
- ψrq den magnetischen Fluss des Rotors in q-Richtung
- Te das Motormoment
- vsd die Versorgungsspannung des Motors in d-Richtung
- vsq die Versorgungsspannung des Motors in q-Richtung
- ω die Winkelgeschwindigkeit des Rotors und Laufrades
- R' s den Ersatzwiderstand der Statorwicklung
- R'r den Ersatzwiderstand der Rotorwicklung
- Lm den induktiven Kopplungswiderstand zwischen Stator- und Rotorwicklung
- L's den induktiven Ersatzwiderstand der Statorwicklung
- Lr den induktiven Widerstand der Rotorwicklung
- zp die Polpaarzahl
- Is den Phasenstrom
- Vs die Phasenspannung
- ωs die Frequenz der Versorgungsspannung
- ω die tatsächliche Rotor- und Laufraddrehzahl
- s den Motorschlupf
- Zs (s) die Statorimpedanz
- Zr(s) die Rotorimpedanz
- Rr den Ersatzwiderstand der Rotorwicklung
- Rs den Ersatzwiderstand der Statorwicklung
- Ls Den induktiven Widerstand der Statorwicklung,
- Für das mechanisch-hydraulische Pumpenmodell wir die Gleichung (15) und mindestens eine der Gleichungen (16) und (17) vorteilhaft verwendet.
-
-
die zeitliche Ableitung der Winkelgeschwindigkeit des Rotors, - Tp das Pumpendrehmoment,
- J das Massenträgheitsmoment von Rotor, Laufrad und im Laufrad gebundener Förderflüssigkeit,
- B die Reibungskonstante,
- Q der Förderstrom der Pumpe,
- Hp der von der Pumpe erzeugten Differenzdruck,
- a h2 ,a h1, a h0 die Parameter, die den Zusammenhang zwischen Drehzahl des Laufrades, Förderstrom und Differenzdruck beschreiben und
- a t2 ,a t1,a t0 die Parameter, die den Zusammenhang zwischen Drehzahl des Laufrades, Förderstrom und Massenträgheitsmoment beschreiben
- Anspruch 4 definiert beispielhaft, in welcher Weise mathematische Verknüpfungen vorgenommen werden um zu ermitteln, ob ein Fehler vorliegt oder nicht. Grundgedanke dieses konkreten Verfahrens besteht darin, einerseits unter Zuhilfenahme des Motormodells, das sich aufgrund der elektrischen Größen an der Motorwelle ergebende Motormoment sowie die Drehzahl zu ermitteln. Mit Hilfe der Gleichungen (16) und (17) wird eine Beziehung zwischen Differenzdruck und Förderstrom einerseits bzw. zwischen Pumpendruckmoment und Förderstrom andererseits ermittelt.
- Um dem System eine gewisse Toleranz zu geben, kann es sinnvoll sein, durch Varianz mindestens einer der Größen ah0 bis ah2, at0 bis at2, B und J ein Toleranzband festzulegen, um nur dann einen Fehler zu registrieren, wenn dieser auch betriebsrelevant ist.
- Um die Art des Fehlers näher spezifizieren zu können, werden zusätzlich zu den zwei elektrischen Größen zwei hydraulische Größen durch Messen ermittelt und die ermittelten Werte in die Gleichungen nach Anspruch 4 eingesetzt, so dass sich dann vier Fehlergrößen r1 bis r4 ergeben. Anhand der Kombination dieser Fehlergrößen wird dann die Art des Fehlers anhand vorgegebener Grenzwertkombinationen bestimmt. Auch dies erfolgt selbsttätig durch die elektronische Datenverarbeitung.
- In alternativer Weiterbildung des erfindungsgemäßen Verfahrens werden zur Ermittlung der Art des Fehlers zusätzlich zu den zwei elektrischen Größer die zwei vorhergenannten hydraulishe Größen durch Messen ermittelt und die ermittelten Werte mit vorgegebenen Werten verglichen werden, wobei dann jeweils die vorgegebenen Werte eine Fläche im dreidimensionalen Raum definieren und ermittelt wird, ob die ermittelten Größen auf diesen Flächen (r*1 bis r*4) liegen oder nicht und anhand der Kombination der Werte die Art des Fehlers anhand vorgegebener Grenzwertkombinationen ermittelt werden. Die Fehlerart kann dann beispielsweise anhand der folgenden Tabelle bestimmt werden:
Fehlerart Fehlergröße r1, r2 , r3 , r 4, Vergleichsfläche r 1* r 2* r 3* r 4* Erhöhte Reibung aufgrund mechanischer Defekte 1 0 1 1 Reduzierte Förderung/fehlender Differenzdruck 0 1 1 1 Defekt im Ansaugbereich/fehlender Förderstrom 1 1 0 1 Förderausfall 1 1 1 1 - Mit Hilfe des erfindungsgemäßen Verfahrens ist es somit möglich, mit einem Minimum an Sensorik nicht nur den fehlerfreien Betriebszustand des Pumpenaggregats festzustellen oder nicht festzustellen, sondern darüber hinaus im Falle eines Fehlers diesen auch noch im Einzelnen zu spezifizieren, so dass im Pumpenaggregat ein entsprechendes Fehlersignal generiert werden kann, das die Art des Fehlers anzeigt. Dieses Signal kann gegebenenfalls zu entfernten Stellen übermittelt werden, wo die Funktion des Pumpenaggregats überwacht werden soll.
- Die anhand vorgegebener Werte gebildeten Flächen im dreidimensionalen Raum sind typischerweise raumgekrümmte Flächen, deren Werte zuvor fabrikmäßig anhand des jeweiligen Aggregats oder des Aggregattyps ermittelt und im digitalen Datenspeicher aggregatseitig abgelegt sind. Dabei sind die vorerwähnten Vergleichsflächen r*1 bis r*4 in einem dreidimensionalen Raum angeordnet, der bei r*1 aus dem Drehmoment, dem Durchfluss und der Drehzahl, bei r*2 aus dem Differenzdruck, dem Förderstrom und der Drehzahl, für r*3 aus dem Drehmoment, dem Differenzdruck und der Drehzahl sowie für r*4 aus dem Drehmoment, dem Differenzdruck und dem Förderstrom gebildet sind.
- Die in der Tabelle durch die Vergleichsflächen r*1 bis r*4 definierten Größen kennzeichnen den jeweiligen Betriebszustand, wobei die Ziffer 0 bedeutet, dass der jeweilige Wert innerhalb der durch die vorgegebenen Werte definierten Fläche liegt und 1 außerhalb. So kann die in der Tabelle durch erhöhte Reibung aufgrund mechanischer Defekte definierte Fehlerkombination beispielsweise einen Lagerschaden oder einen sonstwie verursachten erhöhten Reibwiderstand zwischen den rotierenden Teilen und den feststehenden Teilen des Aggregats bedeuten. Die unter dem Oberbegriff reduzierte Förderung/fehlender Differenzdruck gekennzeichnete Fehlerkombination kann beispielsweise durch Fehler oder Verschleiß am Pumpenlaufrad oder ein Hindernis im Pumpen Einoder Auslass verursacht sein. Die unter dem Oberbegriff Defekt im Ansaugbereich/fehlender Förderstrom definierte Fehlerkombination kann beispielsweise durch Defekt der Ringdichtung am Saugmund der Pumpe verursacht sein. Die unter dem Oberbegriff Förderausfall fallende Fehlerkombination kann vielfältigste Ursachen haben und ist ggfs. weiter zu spezifisieren. Dieser Förderausfall kann durch eine blockierte Welle oder ein blockiertes Pumpenlaufrad, durch einen Wellenbruch, durch das Lösen des Pumpenlaufrads, durch Kavitation aufgrund unzulässig niedrigen Differenzdrucks am Pumpeneinlass sowie durch Trockenlauf verursacht sein.
- Die in der Tabelle durch die Größen r1 bis r4 gekennzeichneten Betriebszustände basieren auf mathematischen Berechnungen von Fehlergrößen r1 bis r4 entsprechend den Gleichungen (19) bis (22), wobei die entsprechende Fehlergröße den Wert Null annimmt, wenn ein einwandfreier Betrieb vorliegt und den Wert 1 im Falle eines Fehlers. Die Tabelle ist hinsichtlich der Fehlerart in entsprechender Weise wie oben beschrieben zu verstehen. Bildlich gesehen, repräsentiert jede der Fehlergrößen r1 bis r4 einen Abstand zu den entsprechenden Flächen r*1 bis r*4. Jedoch müssen die Fehlergrößen nicht notwendigerweise mit den Flächen r*1 bis r*4 korrespondieren. Die Fehlergrößen r1 bis r4 entsprechen den Gleichungen (19) bis (22) und korrespondieren zu den Flächen r*1 bis r*4 in den
Figuren 4 bis 9 . - Um die Art des Fehlers weiter zu differenzieren ist in einer Weiterbildung der Erfindung vorgesehen, dass bei Ermittlung eines Fehlers das Pumpenaggregat mit geänderter Drehzahl angesteuert wird, um dann anhand der sich einstellenden Messergebnisse den ermittelten Fehler näher eingrenzen zu können.
-
- k 1 ,k 3 ,k 4 Konstanten,
- q1 ,q 2 ,q 3,q 4 Konstanten,
- Q' Der berechnete Förderstrom auf Basis von aktueller Drehzahl und gemessenem Differenzdruck,
- ω̂1 die berechnete Rotordrehzahl auf Grundlage der mechanisch-hydraulischen Gleichungen (15) und (17),
- ω̂3 die berechnete Rotordrehzahl auf Grundlage der Gleichungen (15), (16) und (17),
- ω̂4 die berechnete Rotordrehzahl auf Grundlage der Gleichungen (15), (16) und (17),
- ω' die berechnete Rotordrehzahl aufgrund gemessenen Differenzdrucks und gemessenem Förderstrom
- r 1-r 4 Fehlergrößen und
- r 1 *-r 4* durch drei Variable bestimmte Flächen sind, die einen fehlerfreien Betrieb der Pumpe repräsentieren.
- Erfindungsgemäß ist hier also eine Sensorik zur Erfassung von der am Motor anliegenden Versorgungsspannung und des Versorgungsstroms sowie zur Erfassung des von der Pumpe aufgebrachten Differenzdrucks und dem Förderstrom vorgesehen. Darüber hinaus ist eine Auswerteinrichtung vorzusehen, die in Form einer digitalen Datenverarbeitung, z. B. eines Mikroprozessors ausgebildet sein kann, in den das erfindungsgemäße Verfahren softwaremäßig implementiert wird. Um den Vergleich zwischen erfassten bzw. berechneten Werten und vorgegebenen (z.B. fabrikseitig erfasst und abgespeicherten) Werten durchführen zu können ist ferner ein elektronischer Speicher vorzusehen. Bei modernen frequenzumrichtergesteuerten Pumpenaggregaten sind sämtliche vorgenannten hardwaremäßigen Voraussetzungen bereits vorhanden, so dass lediglich für eine ausreichende Dimensionierung der elektronischen Datenverarbeitungsanlage, insbesondere der Speichermittel und der Auswerteinrichtung zu sorgen ist. Sämtliche Bauteile mit Ausnahme der zur Erfassung von hydraulischen Größen erforderlichen Sensorik sind bevorzugt integraler Bestandteil der Motor- und/oder Pumpenelektronik, so dass konstruktiv insoweit keine weiteren Vorkehrungen zur Durchführung des erfindungsgemäßen Verfahrens zu treffen sind. Eine andere Ausführungsform kann ein separater in einer Schalttafel oder Steuertafel vorgesehener Baustein sein, in gleicher Weise wie ein Motorschutzschalter, jedoch mit den Überwachungs- und Diagnoseeigenschaften wie oben beschrieben.
- Die hier beschriebenen Ausführungsformen beziehen sich auf Kreiselpumpen, wie sich dies auch aus dem mechanisch-hydraulischen Pumpenmodell ergibt. Solche Pumpen können beispielsweise Industriepumpen, Tauchpumpen für die Abwasser- oder Wasserversorgung sowie Heizungsumwälzpumpen sein. Besonders vorteilhaft ist ein Diagnosesystem gemäß der Erfindung bei Spaltrohrpumpen, da durch frühzeitige Fehlererkennung das Durchschleifen des Spaltrohres und damit Austritt von Förderflüssigkeit, z. B. in den Wohnbereich, vorbeugend verhindert wird. Bei der Anwendung der Erfindung im Verdrängerpumpenbereich muss das mechanisch-hydraulische Pumpenmodell entsprechend den abweichenden physikalischen Zusammenhängen angepasst werden. Entsprechendes gilt auch beim Einsatz anderer Motortypen für das elektrische Motormodell.
- Darüber hinaus sind gemäß der Erfindung Mittel vorgesehen um mindestens eine Fehlermeldung zu erzeugen und zu übertragen an ein am Pumpenaggregat oder anderswo angeordnetes Anzeigelement, sei es in Form einer oder mehrerer Kontrollleuchten oder eines Displays mit alphanumerischer Anzeige. Dabei kann die Übertragung drahtlos, beispielsweise über Infrarot oder Funk erfolgen aber auch drahtgebunden, vorzugsweise in digitaler Form.
- Ein vereinfachtes Verfahren, das nicht zur Erfindung gehört, ist anhand von
Fig. 1 dargestellt. In ein elektrisches Motormodell 1 fließen die veränderlichen elektrischen leistungsbestimmenden Größen ein, hier die Spannung Vabc und der Strom iabc- Das Produkt dieser Größen definiert die vom Motor aufgenommene elektrische Leistung. Aus diesem Motormodell, wie es beispielsweise durch die Gleichungen (1) bis (5) oder (6) bis (9) oder (10) bis (14) gegeben ist, sind das Drehmoment Te an der Welle des Motors sowie die Drehzahl ω des Motors ableitbar, wie sie sich rechnerisch aufgrund des Motormodells ergeben. Diese leistungsabhängigen elektrischen Größen des Motors werden mit der ermittelten mechanischen Förderhöhe H (Differenzdruck) in einem Pumpenmodell 2, beispielsweise nach den Gleichungen (16) und (17) verknüpft, wobei dann das Ergebnis mit anhand definierter Betriebspunkte ermittelter vorgegebener Betriebswerte verglichen wird. Bei Übereinstimmung dieser Eingangsgrößen mit den vorgegebenen Werten arbeitet das Pumpenaggregat fehlerfrei. Ergibt sich hingegen über ein vorbestimmtes Maß hinausgehende Differenz, so wird ein Fehlersignal r generiert, welches eine Fehlfunktion der Pumpe signalisiert. - Bei der erfindungsgemäßen Ausführung gemäß
Fig. 2 werden in gleicher Weise wie beiFig. 1 die Eingangsspannung vabc und der Motorstrom iabc als Eingangswerte für das Motormodell 1 verwendet, um das an der Motorwelle anstehende Moment Te und die Drehgeschwindigkeit der Welle co zu ermitteln. Diese aus dem Motormodell 1 abgeleiteten Werte sowie die sensorisch ermittelten Größen der Förderhöhe H (Differenzdruck) sowie der Förderstrom Q werden in einem mechanisch-hydraulischen Pumpenmodell 3 mathematisch miteinander verknüpft, das z.B. durch die Gleichungen (19) bis (22) weitergebildet ist. Hierbei werden vier Fehlergrößen r1 bis r4 generiert, wobei ein fehlerfreier Betrieb vorliegt, wenn diese alle den Wert Null annehmen und damit die Betriebspunkte in den in denFiguren 4 bis 7 im Einzelnen dargestellten Flächen r*1 bis r*4 liegen. Diese dort dargestellten Flächen sind aus einer Vielzahl von Betriebspunkten beim ordnungsgemäßen Betrieb des Pumpenaggregats definiert und fabrikmäßig erzeugt und im Speicherbaustein der Auswertelektronik digital abgespeichert. Alternativ oder zusätzlich wird festgestellt, ob die anhand des mechanisch-hydraulischen Pumpenmodells ermittelten Fehlergrößen r1 bis r4 Null sind oder nicht, entsprechend diesem Ergebnis erfolgt eine Auswertung gemäß der vorbeschriebenen Tabelle. Je nachdem, ob eine Fehlergröße vorliegt oder nicht, können beim Auftreten eines Fehlers insgesamt vier fehlerhafte Betriebszustände des Pumpenaggregats festgestellt werden, und zwar die unter die vorgenannten Oberbegriffe fallenden: - 1. erhöhte Reibung aufgrund mechanischer Defekte,
- 2. reduzierte Förderung/fehlender Differenzdruck,
- 3. Defekt im Ansaugbereich/fehlender Förderstrom und
- 4. Förderausfall.
- Die vorstehend beschriebenen Gleichungen zur mathematischen Beschreibung von Pumpe und Motor sind nur beispielhaft zu verstehen und können ggfs. durch andere geeignete Gleichungen, wie sie aus der einschlägigen Fachliteratur bekannt sind, ersetzt werden. Die vorstehend mit diesen Modellen ermittelbaren Fehler beim Betrieb eines Pumpenaggregats bzw. Differenzierung nach Fehlerarten kann weiter diversifiziert werden durch geeignete Fehleralgorithmen.
- Um sicherzustellen, dass nicht schon geringe Fertigungstolleranzen oder Messfehler zur Abgabe von Fehlersignalen führen, ist es zweckmäßig, die in den Gleichungen (16) und (17) angegebenen Parameter ah und at nicht konstant zu wählen, sondern jeweils einen unteren oder oberen Grenzwert festzusetzen, um eine gewisse Bandbreite zu erzeugen, wie sie in
Fig. 3 dargestellt sind. In der dort dargestellten linken Kurve ist die Leistung über dem Förderstrom und in der rechten Kurve die Förderhöhe (Differenzdruck) über dem Förderstrom aufgetragen. -
- 1 - Elektrisches Motormodell
- 2 - Vereinfachtes Pumpenmodell
- 3 - Erweitertes Pumpenmodell
- 4 - Hydraulischer Teil der Anlage
Claims (10)
- Verfahren zur Ermittlung von Fehlern beim Betrieb eines Pumpenaggregats, bei dem mindestens zwei die elektrische Leistung des Motors bestimmende elektrische Größen des Motors und mindestens eine veränderliche hydraulische Größe der Pumpe sowie mindestens eine weitere die Leistung der Pumpe bestimmende hydraulische Größe erfasst werden und einerseits die zwei die elektrische Leistung des Motors bestimmenden elektrischen Größen des Motors zur Erzielung mindestens eines Vergleichswertes und andererseits die mindestens eine veränderliche hydraulische Größe der Pumpe sowie die mindestens eine weitere die Leistung der Pumpe bestimmende hydraulische Größe zur Erzielung mindestens eines Vergleichswertes mathematisch verknüpft werden, wobei für die mathematische Verknüpfung ein mathematisches elektrisches Motormodell (1) in Verbindung mit einem mathematischen mechanisch-hydraulischen Pumpenmodell (3) verwendet wird und anhand der Ergebnisse der mathematischen Verknüpfungen durch Vergleich mit vorgegebenen Werten ermittelt wird, ob ein Fehler vorliegt oder nicht, wobei die Eingangsspannung Vabc und der Motorstrom iabc als Eingangswerte für das Motormodell (1) verwendet wird um das an der Motorwelle anstehende Moment Te zu ermitteln F1 dadurch gekennzeichnet, dass die Drehgeschwindigkeit der Welle ω aus dem Motormodell ermittelt wird und diese aus dem Motormodell (1) abgeleiteten Werte sowie die sensorisch ermittelten Größen der Förderhöhe H Differenzdruck sowie der Förderstrom Q in dem mechanisch-hydraulischen Pumpenmodell (3) mathematisch miteinander verknüpft werden.
- Verfahren nach Anspruch 1, dadurch gekennzeichnet, dass dann, wenn das Vorliegen eines Fehlers ermittelt wird, weiter ermittelt wird, um welchen Fehler es sich handelt.
- Verfahren nach einem der vorhergehenden Ansprüche, dadurch gekennzeichnet, dass das elektrische Motormodell (1) durch folgende Gleichungen
oder
oder
gebildet wird, in denen
isd den Motorstrom in Richtung d
isq den Motorstrom in Richtung q
ψrd den magnetischen Fluss des Rotors in d-Richtung
ψrq den magnetischen Fluss des Rotors in q-Richtung
Te das Motormoment
vsd die Versorgungsspannung des Motors in d-Richtung
vsq die Versorgungsspannung des Motors in q-Richtung
ω die Winkelgeschwindigkeit des Rotors und Laufrades
R' s den Ersatzwiderstand der Statorwicklung
R'r den Ersatzwiderstand der Rotorwicklung
Lm den induktiven Kopplungswiderstand zwischen Stator- und Rotorwicklung
L' s den induktiven Ersatzwiderstand der Statorwicklung
Lr den induktiven Widerstand der Rotorwicklung
zp die Polpaarzahl
Is den Phasenstrom
Vs die Phasenspannung
ωs die Frequenz der Versorgungsspannung
ω die tatsächlich Rotor- und Laufraddrehzahl
s den Motorschlupf
Zs (s) die Statorimpedanz
Zr (s) die Rotorimpedanz
Rr den Ersatzwiderstand der Rotorwicklung
Rs den Ersatzwiderstand der Statorwicklung
Ls Den induktiven Widerstand der Statorwicklung,
wobei d und q zwei senkrecht zueinander stehende Richtungen senkrecht zur Motorwelle sind,
ist und dass das mechanisch-hydraulische Pumpen-/Motormodell durch eine Gleichung
und mindestens eine der Gleichungen
gebildet wird, in denen
die zeitliche Ableitung der Winkelgeschwindigkeit des Rotors,
Tp das Pumpendrehmoment,
J das Massenträgheitsmoment von Rotor, Laufrad und im Laufrad gebundener Förderflüssigkeit ,
B die Reibungskonstante,
Q der Förderstrom der Pumpe,
Hp der von der Pumpe erzeugten Differenzdruck,
a h2 ,a h1,a h0 die Parameter, die den Zusammenhang zwischen Drehzahl des Laufrades, Förderstrom und Differenzdruck beschreiben und
a t2,a t1,a t0 die Parameter, die den Zusammenhang zwischen Drehzahl des Laufrades, Förderstrom und Massenträgheitsmoment beschreiben
sind. - Verfahren nach Aspruch 3, dadurch gekennzeichnet, dass in den Gleichungen (16) und (17) die Größen ah0- ah2 und at0- at2 festgelegt werden, sowie in der Gleichung (15) die Größen B und J, dass aus dem elektrischen Motormodell (1) gemäß den Gleichungen (1) - (5) oder (6) - (9) oder (10) - (14) ein Motormoment (Te) ermittelt wird und die Drehzahl nach den Gleichungen (1) - (5) oder (6) - (9) oder (10) - (14) berechnet wird, wonach mit Hilfe der Gleichungen (16) und (17) eine Beziehung zwischen Differenzdruck und Förderstrom einerseits und zwischen Pumpenmoment und Förderstrom andererseits ermittelt wird.
- Verfahren nach Anspruch 3, dadurch gekennzeichnet, dass durch Varianz mindestens einer der Größen aho- ah2 und at0 - at2 und B und J ein Toleranzband festgelegt wird.
- Verfahren nach einem der vorhergehenden Ansprüche, dadurch gekennzeichnet, dass zur Ermitttung der Art des Fehlers die ermittelten Werte in die Gleichungen nach Anspruch 4 eingesetzt werden, derart, dass sich mehrere Fehlergrößen (r1-r4) ergeben, wobei anhand der Kombination der Fehlergrößen die Art des Fehlers anhand vorgegebener Grenzwertkombinationen ermittelt wird.
- Verfahren nach einem der vorhergehenden Ansprüche, dadurch gekennzeichnet, dass die ermittelten Werte oder davon abgeleitete Werte mit vorgegebenen Werten verglichen werden, wobei die vorgegebene Werte jeweils eine Fläche definieren, wobei ermittelt wird, ob die ermittelten oder die davon abgeleiteten Größen auf einer dieser Flächen (r*1-r*4) liegen oder nicht, und anhand der Kombination der Fehlergrößen die Art des Fehlers anhand vorgegebener Grenzwertkombinationen ermittelt wird.
- Verfahren nach einem der vorhergehenden Ansprüche, dadurch gekennzeichnet, dass die Ermittlung der Fehlerart anhand der folgenden Tabelle erfolgt
Fehlerart Fehlergröße r 1, r 2, r 3 , r 4, Vergleichsfläche r 1* r 2* r 3* Y4* Erhöhte Reibung aufgrund mechanischer Defekte 1 0 1 1 Reduzierte Förderung/ fehlender Differenzdruck 0 1 1 1 Defekt im Ansaugbereich/ fehlender Förderstrom 1 1 0 1 Förderausfall 1 1 1 1 - Verfähren nach einem der vorhergehenden Ansprüche, dadurch gekennzeichnet, dass bei Ermittlung eines Fehlers das Pumpenaggregat mit geänderter Drehzahl angesteuert wird, um anhand der sich dann einstellenden Messergebnisse den ermittelten Fehler näher zu spezifizieren.
- Verfahren nach einem der vorhergehenden Ansprüche, dadurch gekennzeichnet, dass die Größen r1 - r4 durch die Gleichungen
definiert sind, in denen
k 1 ,k 3 ,k 4 Konstanten,
q 1,q 2 ,q 3 ,q 4 Konstanten,
Q' Der berechnete Förderstrom auf Basis von aktueller Drehzahl und gemessenem Differenzdruck,
ω̂1 die berechnete Rotordrehzahl auf Grundlage der mechanisch-hydraulischen Gleichungen (15) und (17).
ω̂3 die berechnete Rotordrehzahl auf Grundlage der Gleichungen (15), (16) und (17),
ω̂4 die berechnete Rotordrehzahl auf Grundlage der Gleichungen (15), (16) und (17),
ω' die berechnete Rotordrehzahl aufgrund gemessenen Differenzdrucks und gemessenem Förderstrom
r 1 - r 4 Fehlergrößen und
r 1* - r 4* durch drei Variable bestimmte Flächen sind, die einen fehlerfreien Betrieb der Pumpe repräsentieren.
Priority Applications (7)
| Application Number | Priority Date | Filing Date | Title |
|---|---|---|---|
| EP04002979.5A EP1564411B2 (de) | 2004-02-11 | 2004-02-11 | Verfahren zur Ermittlung von Fehlern beim Betrieb eines Pumpenaggregates |
| AT04002979T ATE389807T1 (de) | 2004-02-11 | 2004-02-11 | Verfahren zur ermittlung von fehlern beim betrieb eines pumpenaggregates |
| DE502004006565T DE502004006565D1 (de) | 2004-02-11 | 2004-02-11 | Verfahren zur Ermittlung von Fehlern beim Betrieb eines Pumpenaggregates |
| PCT/EP2005/001193 WO2005078287A1 (de) | 2004-02-11 | 2005-02-05 | Verfahren zur ermittlung von fehlern beim betrieb eines pumpenaggregates |
| US10/597,892 US8070457B2 (en) | 2004-02-11 | 2005-02-05 | Method for determining faults during the operation of a pump unit |
| CN200580008075.3A CN1938520B (zh) | 2004-02-11 | 2005-02-05 | 用于确定泵单元运行时的故障的方法 |
| US13/284,049 US8353676B2 (en) | 2004-02-11 | 2011-10-28 | Method for determining faults during the operation of a pump unit |
Applications Claiming Priority (1)
| Application Number | Priority Date | Filing Date | Title |
|---|---|---|---|
| EP04002979.5A EP1564411B2 (de) | 2004-02-11 | 2004-02-11 | Verfahren zur Ermittlung von Fehlern beim Betrieb eines Pumpenaggregates |
Publications (3)
| Publication Number | Publication Date |
|---|---|
| EP1564411A1 EP1564411A1 (de) | 2005-08-17 |
| EP1564411B1 EP1564411B1 (de) | 2008-03-19 |
| EP1564411B2 true EP1564411B2 (de) | 2015-08-05 |
Family
ID=34684659
Family Applications (1)
| Application Number | Title | Priority Date | Filing Date |
|---|---|---|---|
| EP04002979.5A Expired - Lifetime EP1564411B2 (de) | 2004-02-11 | 2004-02-11 | Verfahren zur Ermittlung von Fehlern beim Betrieb eines Pumpenaggregates |
Country Status (6)
| Country | Link |
|---|---|
| US (2) | US8070457B2 (de) |
| EP (1) | EP1564411B2 (de) |
| CN (1) | CN1938520B (de) |
| AT (1) | ATE389807T1 (de) |
| DE (1) | DE502004006565D1 (de) |
| WO (1) | WO2005078287A1 (de) |
Cited By (1)
| Publication number | Priority date | Publication date | Assignee | Title |
|---|---|---|---|---|
| DE102023204527A1 (de) * | 2023-05-15 | 2024-11-21 | BSH Hausgeräte GmbH | Verfahren zur Bestimmung eines Druckverlustes einer Entwässerungspumpe und hierzu geeignetes wasserführendes Haushaltsgerät |
Families Citing this family (37)
| Publication number | Priority date | Publication date | Assignee | Title |
|---|---|---|---|---|
| US8469675B2 (en) | 2004-08-26 | 2013-06-25 | Pentair Water Pool And Spa, Inc. | Priming protection |
| US7690897B2 (en) * | 2006-10-13 | 2010-04-06 | A.O. Smith Corporation | Controller for a motor and a method of controlling the motor |
| GB2447867B (en) * | 2007-03-29 | 2010-01-27 | Byzak Ltd | Sewage pump blockage detection |
| EP2039939B2 (de) * | 2007-09-20 | 2020-11-18 | Grundfos Management A/S | Verfahren zur Überwachung einer Energieumwandlungseinrichtung |
| DE102008063132B4 (de) * | 2008-12-24 | 2011-02-17 | Oerlikon Leybold Vacuum Gmbh | Verfahren zur Identifizierung eines Typs einer Vakuumpumpe |
| DE102009009231B9 (de) * | 2009-02-17 | 2013-06-27 | Human Med Ag | Einrichtung und Verfahren zum Zuführen einer Flüssigkeit zu medizinischen Zwecken an einen Operationsort |
| DE102009022107A1 (de) * | 2009-05-20 | 2010-11-25 | Ksb Ag | Verfahren und Vorrichtung zur Betriebspunktbestimmung einer Arbeitsmaschine |
| ITTO20090598A1 (it) * | 2009-07-31 | 2011-02-01 | Sema Elettronica S R L | Dispositivo per l'estrazione di acqua dal sottosuolo |
| CA2793482C (en) * | 2011-11-01 | 2019-09-24 | Regal Beloit Epc Inc. | Entrapment detection for variable speed pump system using load coefficient |
| EP3869282B1 (de) * | 2012-12-12 | 2023-06-07 | S. A. Armstrong Limited | Selbstlernendes steuerungssystem und verfahren zur optimierung einer betriebsstoffeingabevariable |
| AU2013204013B2 (en) | 2013-03-15 | 2015-09-10 | Franklin Electric Company, Inc. | System and method for operating a pump |
| GB2512084A (en) * | 2013-03-19 | 2014-09-24 | Control Tech Ltd | Pump control |
| DE102013211345B4 (de) | 2013-06-18 | 2022-12-01 | Robert Bosch Gmbh | Verfahren zur Zustandsüberwachung an Verdrängereinheiten |
| DE102013109411A1 (de) * | 2013-08-29 | 2015-03-05 | Prominent Gmbh | Verfahren zur Bestimmung von hydraulischen Parametern |
| US9230208B2 (en) | 2013-12-18 | 2016-01-05 | International Business Machines Corporation | Haptic-based artificial neural network training |
| CN106066621A (zh) * | 2016-07-27 | 2016-11-02 | 霍州煤电集团有限责任公司 | 一种煤矿中央泵房水泵的预判维护及远程控制方法 |
| US11286917B2 (en) | 2016-10-21 | 2022-03-29 | Franklin Electric Co., Inc. | Motor drive system and method |
| EP4365453A3 (de) * | 2016-12-30 | 2024-07-10 | Grundfos Holding A/S | Verfahren zum betreiben eines elektronisch gesteuerten pumpenaggregates |
| USD872847S1 (en) | 2018-02-28 | 2020-01-14 | S. C. Johnson & Son, Inc. | Dispenser |
| USD872245S1 (en) | 2018-02-28 | 2020-01-07 | S. C. Johnson & Son, Inc. | Dispenser |
| USD881365S1 (en) | 2018-02-28 | 2020-04-14 | S. C. Johnson & Son, Inc. | Dispenser |
| USD880670S1 (en) | 2018-02-28 | 2020-04-07 | S. C. Johnson & Son, Inc. | Overcap |
| KR102103146B1 (ko) * | 2018-03-14 | 2020-04-22 | (주)아이티공간 | 구동부의 정밀 예지 보전방법 |
| KR102103151B1 (ko) * | 2018-03-14 | 2020-04-22 | (주)아이티공간 | 구동부의 정밀 예지 보전방법 |
| USD853548S1 (en) | 2018-05-07 | 2019-07-09 | S. C. Johnson & Son, Inc. | Dispenser |
| USD852938S1 (en) | 2018-05-07 | 2019-07-02 | S. C. Johnson & Son, Inc. | Dispenser |
| EP3567256B1 (de) * | 2018-05-11 | 2025-07-02 | Grundfos Holding A/S | Überwachungsmodul und verfahren zur identifizierung eines betriebsszenarios in einer abwasserpumpstation |
| CN111089819B (zh) * | 2019-12-17 | 2023-05-02 | 重庆南方数控设备股份有限公司 | 基于血流变仪的泵工作状态预判检测的血液检测方法 |
| US11454225B2 (en) | 2020-04-29 | 2022-09-27 | Halliburton Energy Services, Inc. | Single motor-driven dual pump detachment monitoring algorithm |
| RU2743866C1 (ru) * | 2020-06-30 | 2021-03-01 | Федеральное государственное бюджетное образовательное учреждение высшего образования "Омский государственный технический университет" (ОмГТУ) | Способ определения давления центробежного насоса с асинхронным электроприводом |
| US12305650B2 (en) | 2020-07-24 | 2025-05-20 | Eaton Intelligent Power Limited | Control system for a fluid management system |
| EP4019779A1 (de) | 2020-12-23 | 2022-06-29 | Grundfos Holding A/S | Pumpenüberwachungssystem und verfahren zur zuordnung eines aktuellen betriebszustandes eines pumpensystems mit einem oder mehreren fehlerszenarien |
| CN112983844B (zh) * | 2021-03-01 | 2021-10-08 | 合肥恒大江海泵业股份有限公司 | 一种潜水电泵监测控制系统 |
| CN114876782B (zh) * | 2022-05-13 | 2024-03-12 | 三一汽车制造有限公司 | 液压泵故障检测方法、装置及作业机械 |
| DE102022113913A1 (de) | 2022-06-02 | 2023-12-07 | Liebherr-Aerospace Lindenberg Gmbh | Vorrichtung und Verfahren zur Zustandsüberwachung einer Elektromotorpumpe |
| DE102023111782A1 (de) | 2023-05-05 | 2024-11-07 | KSB SE & Co. KGaA | Verfahren zur Detektion von Kavitation und/oder einer Lufteinperlung bzw. Lufteinströmung innerhalb eines hydraulischen Systems |
| CN117533511A (zh) * | 2023-11-23 | 2024-02-09 | 中国航发西安动力控制科技有限公司 | 一种电动燃油系统中飞机油箱故障诊断与处理装置及方法 |
Family Cites Families (15)
| Publication number | Priority date | Publication date | Assignee | Title |
|---|---|---|---|---|
| EP0231295A1 (de) | 1985-08-07 | 1987-08-12 | MARR, Edward Howell | Vorrichtung an einem seilende |
| US4913625A (en) * | 1987-12-18 | 1990-04-03 | Westinghouse Electric Corp. | Automatic pump protection system |
| JPH02206469A (ja) * | 1989-02-03 | 1990-08-16 | Aisin Seiki Co Ltd | ポンピング装置 |
| KR910006616A (ko) * | 1989-09-29 | 1991-04-29 | 이헌조 | 펌프모터의 운전제어회로 |
| US5447414A (en) * | 1994-05-27 | 1995-09-05 | Emerson Electric Co. | Constant air flow control apparatus and method |
| US5725357A (en) * | 1995-04-03 | 1998-03-10 | Ntn Corporation | Magnetically suspended type pump |
| JPH10147236A (ja) * | 1996-11-20 | 1998-06-02 | Aisin Seiki Co Ltd | 流体圧源装置 |
| DE19725074C2 (de) * | 1997-06-13 | 2001-10-18 | Ekl Ag | Alarmmodul |
| US6464464B2 (en) * | 1999-03-24 | 2002-10-15 | Itt Manufacturing Enterprises, Inc. | Apparatus and method for controlling a pump system |
| US6144178A (en) * | 1999-08-05 | 2000-11-07 | International Business Machines Corporation | Disk drive with controlled reduced internal pressure |
| CA2404636A1 (en) * | 2000-03-27 | 2001-10-04 | The Cleveland Clinic Foundation | Chronic performance control system for rotodynamic blood pumps |
| DE10116339B4 (de) * | 2001-04-02 | 2005-05-12 | Danfoss Drives A/S | Verfahren zum Betreiben einer Zentrifugalpumpe |
| EP1255174A1 (de) * | 2001-04-30 | 2002-11-06 | Starite S.p.A. | Elektrische Pumpe mit automatischer An-/Abschaltvorrichtung |
| US6655922B1 (en) * | 2001-08-10 | 2003-12-02 | Rockwell Automation Technologies, Inc. | System and method for detecting and diagnosing pump cavitation |
| SE0104317L (sv) * | 2001-12-20 | 2002-11-26 | Itt Mfg Enterprises Inc | Avkänningsanordning för vätskeflödet i ett pumputlopp avsedd att styra strömtillförseln till den elektriskt drivan pumpmotorn |
-
2004
- 2004-02-11 EP EP04002979.5A patent/EP1564411B2/de not_active Expired - Lifetime
- 2004-02-11 AT AT04002979T patent/ATE389807T1/de not_active IP Right Cessation
- 2004-02-11 DE DE502004006565T patent/DE502004006565D1/de not_active Expired - Lifetime
-
2005
- 2005-02-05 CN CN200580008075.3A patent/CN1938520B/zh not_active Expired - Fee Related
- 2005-02-05 US US10/597,892 patent/US8070457B2/en not_active Expired - Fee Related
- 2005-02-05 WO PCT/EP2005/001193 patent/WO2005078287A1/de not_active Ceased
-
2011
- 2011-10-28 US US13/284,049 patent/US8353676B2/en not_active Expired - Fee Related
Cited By (1)
| Publication number | Priority date | Publication date | Assignee | Title |
|---|---|---|---|---|
| DE102023204527A1 (de) * | 2023-05-15 | 2024-11-21 | BSH Hausgeräte GmbH | Verfahren zur Bestimmung eines Druckverlustes einer Entwässerungspumpe und hierzu geeignetes wasserführendes Haushaltsgerät |
Also Published As
| Publication number | Publication date |
|---|---|
| CN1938520A (zh) | 2007-03-28 |
| US20080240931A1 (en) | 2008-10-02 |
| US8353676B2 (en) | 2013-01-15 |
| US20120101788A1 (en) | 2012-04-26 |
| DE502004006565D1 (de) | 2008-04-30 |
| EP1564411A1 (de) | 2005-08-17 |
| ATE389807T1 (de) | 2008-04-15 |
| EP1564411B1 (de) | 2008-03-19 |
| US8070457B2 (en) | 2011-12-06 |
| WO2005078287A1 (de) | 2005-08-25 |
| CN1938520B (zh) | 2011-07-20 |
Similar Documents
| Publication | Publication Date | Title |
|---|---|---|
| EP1564411B2 (de) | Verfahren zur Ermittlung von Fehlern beim Betrieb eines Pumpenaggregates | |
| EP2145112B1 (de) | Einrichtung und verfahren zur störungsüberwachung | |
| EP3449132B1 (de) | Verfahren zur detektion eines abnormalen betriebszustands eines pumpenaggregats | |
| EP3803122B1 (de) | Verfahren zur bestimmung oder überwachung des zustandes einer exzenterschneckenpumpe | |
| EP2039939B1 (de) | Verfahren zur Überwachung einer Energieumwandlungseinrichtung | |
| EP0895010B1 (de) | Verfahren zum Ueberwachen des Zustands einer mechanischen Dichtung | |
| EP2024712B1 (de) | Einrichtung zur messwertübertragung | |
| WO2016173896A1 (de) | Pumpeneinrichtung sowie verfahren zum betrieb einer pumpe für flüssigkeiten | |
| EP3242035B1 (de) | Verfahren zum betreiben mindestens eines pumpenaggregates von einer vielzahl von pumpenaggregaten | |
| DE102011010218B4 (de) | Verfahren zum Regeln des Drucks eines mittels einer drehzahlgeregelten Pumpe geförderten Fluids | |
| WO2010133425A1 (de) | Verfahren und vorrichtung zur betriebspunktbestimmung einer arbeitsmaschine | |
| DE102007039699B4 (de) | Verfahren zum Überwachen von Schwingungspegelwerten bei einem Industriegetriebe und System | |
| EP2702459A1 (de) | Steuermittel zum ansteuern eines frequenzumrichters sowie ansteuerverfahren | |
| EP2696175A1 (de) | Verfahren zum Erfassen der Durchflussmenge einer Kreiselpumpe | |
| EP0943805B1 (de) | Verfahren und Sensor zur Detektion von Kavitationen, sowie Vorrichtung enthaltend einen solchen Sensor | |
| EP3841366B1 (de) | Verfahren und system zur unmittelbaren ermittlung einer theoretischen schädigung mindestens einer komponente einer vorrichtung | |
| WO2016009043A1 (de) | Bestimmung des förderstroms einer pumpe | |
| EP1825147B1 (de) | Verfahren zum betrieb eines stromrichtergespeisten verdichters | |
| EP2122177B1 (de) | Pumpenaggregat | |
| WO2016166114A1 (de) | Pumpe sowie verfahren zum betrieb einer pumpe für flüssigkeiten | |
| WO2004005939A1 (de) | Vorrichtung zur ermittlung der drehzahl eines rotierenden maschinenteils | |
| EP2500579A1 (de) | Erkennung von Kavitation und Mitführung von Gas in einer elektrischen Kreiselpumpe | |
| EP3120203B1 (de) | Vorrichtung sowie verfahren zur fehlererkennung in maschinen | |
| EP4357749B1 (de) | Verfahren zur automatischen detektion von verschleiss, verzahnungsschäden und/oder lagerschäden an einem getriebe | |
| DE102004044185A1 (de) | Verfahren und Vorrichtung zum Ermitteln eines Fehlerzustandes eines rotierenden Verdichters |
Legal Events
| Date | Code | Title | Description |
|---|---|---|---|
| PUAI | Public reference made under article 153(3) epc to a published international application that has entered the european phase |
Free format text: ORIGINAL CODE: 0009012 |
|
| AK | Designated contracting states |
Kind code of ref document: A1 Designated state(s): AT BE BG CH CY CZ DE DK EE ES FI FR GB GR HU IE IT LI LU MC NL PT RO SE SI SK TR |
|
| AX | Request for extension of the european patent |
Extension state: AL LT LV MK |
|
| 17P | Request for examination filed |
Effective date: 20051221 |
|
| AKX | Designation fees paid |
Designated state(s): AT BE BG CH CY CZ DE DK EE ES FI FR GB GR HU IE IT LI LU MC NL PT RO SE SI SK TR |
|
| 17Q | First examination report despatched |
Effective date: 20060502 |
|
| GRAP | Despatch of communication of intention to grant a patent |
Free format text: ORIGINAL CODE: EPIDOSNIGR1 |
|
| GRAS | Grant fee paid |
Free format text: ORIGINAL CODE: EPIDOSNIGR3 |
|
| GRAA | (expected) grant |
Free format text: ORIGINAL CODE: 0009210 |
|
| AK | Designated contracting states |
Kind code of ref document: B1 Designated state(s): AT BE BG CH CY CZ DE DK EE ES FI FR GB GR HU IE IT LI LU MC NL PT RO SE SI SK TR |
|
| REG | Reference to a national code |
Ref country code: GB Ref legal event code: FG4D Free format text: NOT ENGLISH |
|
| REG | Reference to a national code |
Ref country code: CH Ref legal event code: EP |
|
| REF | Corresponds to: |
Ref document number: 502004006565 Country of ref document: DE Date of ref document: 20080430 Kind code of ref document: P |
|
| REG | Reference to a national code |
Ref country code: IE Ref legal event code: FG4D Free format text: LANGUAGE OF EP DOCUMENT: GERMAN |
|
| REG | Reference to a national code |
Ref country code: SE Ref legal event code: TRGR |
|
| NLV1 | Nl: lapsed or annulled due to failure to fulfill the requirements of art. 29p and 29m of the patents act | ||
| PG25 | Lapsed in a contracting state [announced via postgrant information from national office to epo] |
Ref country code: SI Free format text: LAPSE BECAUSE OF FAILURE TO SUBMIT A TRANSLATION OF THE DESCRIPTION OR TO PAY THE FEE WITHIN THE PRESCRIBED TIME-LIMIT Effective date: 20080319 |
|
| REG | Reference to a national code |
Ref country code: HU Ref legal event code: AG4A Ref document number: E003577 Country of ref document: HU |
|
| REG | Reference to a national code |
Ref country code: IE Ref legal event code: FD4D |
|
| PG25 | Lapsed in a contracting state [announced via postgrant information from national office to epo] |
Ref country code: SK Free format text: LAPSE BECAUSE OF FAILURE TO SUBMIT A TRANSLATION OF THE DESCRIPTION OR TO PAY THE FEE WITHIN THE PRESCRIBED TIME-LIMIT Effective date: 20080319 Ref country code: PT Free format text: LAPSE BECAUSE OF FAILURE TO SUBMIT A TRANSLATION OF THE DESCRIPTION OR TO PAY THE FEE WITHIN THE PRESCRIBED TIME-LIMIT Effective date: 20080826 Ref country code: ES Free format text: LAPSE BECAUSE OF FAILURE TO SUBMIT A TRANSLATION OF THE DESCRIPTION OR TO PAY THE FEE WITHIN THE PRESCRIBED TIME-LIMIT Effective date: 20080630 Ref country code: CZ Free format text: LAPSE BECAUSE OF FAILURE TO SUBMIT A TRANSLATION OF THE DESCRIPTION OR TO PAY THE FEE WITHIN THE PRESCRIBED TIME-LIMIT Effective date: 20080319 |
|
| PG25 | Lapsed in a contracting state [announced via postgrant information from national office to epo] |
Ref country code: NL Free format text: LAPSE BECAUSE OF FAILURE TO SUBMIT A TRANSLATION OF THE DESCRIPTION OR TO PAY THE FEE WITHIN THE PRESCRIBED TIME-LIMIT Effective date: 20080319 Ref country code: RO Free format text: LAPSE BECAUSE OF FAILURE TO SUBMIT A TRANSLATION OF THE DESCRIPTION OR TO PAY THE FEE WITHIN THE PRESCRIBED TIME-LIMIT Effective date: 20080319 |
|
| PLBI | Opposition filed |
Free format text: ORIGINAL CODE: 0009260 |
|
| ET | Fr: translation filed | ||
| PLAX | Notice of opposition and request to file observation + time limit sent |
Free format text: ORIGINAL CODE: EPIDOSNOBS2 |
|
| 26 | Opposition filed |
Opponent name: WILO SE Effective date: 20081215 |
|
| PG25 | Lapsed in a contracting state [announced via postgrant information from national office to epo] |
Ref country code: DK Free format text: LAPSE BECAUSE OF FAILURE TO SUBMIT A TRANSLATION OF THE DESCRIPTION OR TO PAY THE FEE WITHIN THE PRESCRIBED TIME-LIMIT Effective date: 20080319 Ref country code: IE Free format text: LAPSE BECAUSE OF FAILURE TO SUBMIT A TRANSLATION OF THE DESCRIPTION OR TO PAY THE FEE WITHIN THE PRESCRIBED TIME-LIMIT Effective date: 20080319 |
|
| PG25 | Lapsed in a contracting state [announced via postgrant information from national office to epo] |
Ref country code: BG Free format text: LAPSE BECAUSE OF FAILURE TO SUBMIT A TRANSLATION OF THE DESCRIPTION OR TO PAY THE FEE WITHIN THE PRESCRIBED TIME-LIMIT Effective date: 20080619 Ref country code: EE Free format text: LAPSE BECAUSE OF FAILURE TO SUBMIT A TRANSLATION OF THE DESCRIPTION OR TO PAY THE FEE WITHIN THE PRESCRIBED TIME-LIMIT Effective date: 20080319 |
|
| PLAF | Information modified related to communication of a notice of opposition and request to file observations + time limit |
Free format text: ORIGINAL CODE: EPIDOSCOBS2 |
|
| PLBB | Reply of patent proprietor to notice(s) of opposition received |
Free format text: ORIGINAL CODE: EPIDOSNOBS3 |
|
| BERE | Be: lapsed |
Owner name: GRUNDFOS A/S Effective date: 20090228 |
|
| PG25 | Lapsed in a contracting state [announced via postgrant information from national office to epo] |
Ref country code: CY Free format text: LAPSE BECAUSE OF FAILURE TO SUBMIT A TRANSLATION OF THE DESCRIPTION OR TO PAY THE FEE WITHIN THE PRESCRIBED TIME-LIMIT Effective date: 20080319 Ref country code: MC Free format text: LAPSE BECAUSE OF NON-PAYMENT OF DUE FEES Effective date: 20090228 |
|
| REG | Reference to a national code |
Ref country code: CH Ref legal event code: PL |
|
| PG25 | Lapsed in a contracting state [announced via postgrant information from national office to epo] |
Ref country code: CH Free format text: LAPSE BECAUSE OF NON-PAYMENT OF DUE FEES Effective date: 20090228 Ref country code: LI Free format text: LAPSE BECAUSE OF NON-PAYMENT OF DUE FEES Effective date: 20090228 |
|
| PG25 | Lapsed in a contracting state [announced via postgrant information from national office to epo] |
Ref country code: BE Free format text: LAPSE BECAUSE OF NON-PAYMENT OF DUE FEES Effective date: 20090228 |
|
| PG25 | Lapsed in a contracting state [announced via postgrant information from national office to epo] |
Ref country code: AT Free format text: LAPSE BECAUSE OF NON-PAYMENT OF DUE FEES Effective date: 20090211 |
|
| PG25 | Lapsed in a contracting state [announced via postgrant information from national office to epo] |
Ref country code: GR Free format text: LAPSE BECAUSE OF FAILURE TO SUBMIT A TRANSLATION OF THE DESCRIPTION OR TO PAY THE FEE WITHIN THE PRESCRIBED TIME-LIMIT Effective date: 20080620 |
|
| PG25 | Lapsed in a contracting state [announced via postgrant information from national office to epo] |
Ref country code: LU Free format text: LAPSE BECAUSE OF NON-PAYMENT OF DUE FEES Effective date: 20090211 |
|
| PLAP | Information related to despatch of examination report in opposition + time limit deleted |
Free format text: ORIGINAL CODE: EPIDOSDORE2 |
|
| PLAY | Examination report in opposition despatched + time limit |
Free format text: ORIGINAL CODE: EPIDOSNORE2 |
|
| PLAY | Examination report in opposition despatched + time limit |
Free format text: ORIGINAL CODE: EPIDOSNORE2 |
|
| PLBC | Reply to examination report in opposition received |
Free format text: ORIGINAL CODE: EPIDOSNORE3 |
|
| APBM | Appeal reference recorded |
Free format text: ORIGINAL CODE: EPIDOSNREFNO |
|
| APBP | Date of receipt of notice of appeal recorded |
Free format text: ORIGINAL CODE: EPIDOSNNOA2O |
|
| APAH | Appeal reference modified |
Free format text: ORIGINAL CODE: EPIDOSCREFNO |
|
| APBU | Appeal procedure closed |
Free format text: ORIGINAL CODE: EPIDOSNNOA9O |
|
| PUAH | Patent maintained in amended form |
Free format text: ORIGINAL CODE: 0009272 |
|
| STAA | Information on the status of an ep patent application or granted ep patent |
Free format text: STATUS: PATENT MAINTAINED AS AMENDED |
|
| 27A | Patent maintained in amended form |
Effective date: 20150805 |
|
| AK | Designated contracting states |
Kind code of ref document: B2 Designated state(s): AT BE BG CH CY CZ DE DK EE ES FI FR GB GR HU IE IT LI LU MC NL PT RO SE SI SK TR |
|
| REG | Reference to a national code |
Ref country code: DE Ref legal event code: R102 Ref document number: 502004006565 Country of ref document: DE |
|
| REG | Reference to a national code |
Ref country code: SE Ref legal event code: RPEO |
|
| REG | Reference to a national code |
Ref country code: FR Ref legal event code: PLFP Year of fee payment: 13 |
|
| REG | Reference to a national code |
Ref country code: FR Ref legal event code: PLFP Year of fee payment: 14 |
|
| REG | Reference to a national code |
Ref country code: FR Ref legal event code: PLFP Year of fee payment: 15 |
|
| PGFP | Annual fee paid to national office [announced via postgrant information from national office to epo] |
Ref country code: HU Payment date: 20220205 Year of fee payment: 19 Ref country code: GB Payment date: 20220221 Year of fee payment: 19 Ref country code: FI Payment date: 20220215 Year of fee payment: 19 Ref country code: DE Payment date: 20220221 Year of fee payment: 19 |
|
| PGFP | Annual fee paid to national office [announced via postgrant information from national office to epo] |
Ref country code: TR Payment date: 20220128 Year of fee payment: 19 Ref country code: SE Payment date: 20220221 Year of fee payment: 19 Ref country code: IT Payment date: 20220228 Year of fee payment: 19 Ref country code: FR Payment date: 20220221 Year of fee payment: 19 |
|
| REG | Reference to a national code |
Ref country code: DE Ref legal event code: R082 Ref document number: 502004006565 Country of ref document: DE |
|
| REG | Reference to a national code |
Ref country code: DE Ref legal event code: R119 Ref document number: 502004006565 Country of ref document: DE |
|
| REG | Reference to a national code |
Ref country code: SE Ref legal event code: EUG |
|
| GBPC | Gb: european patent ceased through non-payment of renewal fee |
Effective date: 20230211 |
|
| PG25 | Lapsed in a contracting state [announced via postgrant information from national office to epo] |
Ref country code: SE Free format text: LAPSE BECAUSE OF NON-PAYMENT OF DUE FEES Effective date: 20230212 Ref country code: FI Free format text: LAPSE BECAUSE OF NON-PAYMENT OF DUE FEES Effective date: 20230211 |
|
| PG25 | Lapsed in a contracting state [announced via postgrant information from national office to epo] |
Ref country code: HU Free format text: LAPSE BECAUSE OF NON-PAYMENT OF DUE FEES Effective date: 20230212 |
|
| PG25 | Lapsed in a contracting state [announced via postgrant information from national office to epo] |
Ref country code: GB Free format text: LAPSE BECAUSE OF NON-PAYMENT OF DUE FEES Effective date: 20230211 |
|
| PG25 | Lapsed in a contracting state [announced via postgrant information from national office to epo] |
Ref country code: IT Free format text: LAPSE BECAUSE OF NON-PAYMENT OF DUE FEES Effective date: 20230211 Ref country code: GB Free format text: LAPSE BECAUSE OF NON-PAYMENT OF DUE FEES Effective date: 20230211 Ref country code: FR Free format text: LAPSE BECAUSE OF NON-PAYMENT OF DUE FEES Effective date: 20230228 Ref country code: DE Free format text: LAPSE BECAUSE OF NON-PAYMENT OF DUE FEES Effective date: 20230901 |







