EP1146108A2 - Copolymermischungen und ihre Verwendung als Additiv zur Verbesserung der Kaltfliesseigenschaften von Mitteldestillaten - Google Patents

Copolymermischungen und ihre Verwendung als Additiv zur Verbesserung der Kaltfliesseigenschaften von Mitteldestillaten Download PDF

Info

Publication number
EP1146108A2
EP1146108A2 EP01104847A EP01104847A EP1146108A2 EP 1146108 A2 EP1146108 A2 EP 1146108A2 EP 01104847 A EP01104847 A EP 01104847A EP 01104847 A EP01104847 A EP 01104847A EP 1146108 A2 EP1146108 A2 EP 1146108A2
Authority
EP
European Patent Office
Prior art keywords
mol
und
copolymers
carbon atoms
structural units
Prior art date
Legal status (The legal status is an assumption and is not a legal conclusion. Google has not performed a legal analysis and makes no representation as to the accuracy of the status listed.)
Granted
Application number
EP01104847A
Other languages
English (en)
French (fr)
Other versions
EP1146108B1 (de
EP1146108A3 (de
Inventor
Matthias Dr. Krull
Thomas Dr. Volkmer
Werner Dr. Reimann
Current Assignee (The listed assignees may be inaccurate. Google has not performed a legal analysis and makes no representation or warranty as to the accuracy of the list.)
Clariant Produkte Deutschland GmbH
Original Assignee
Clariant GmbH
Priority date (The priority date is an assumption and is not a legal conclusion. Google has not performed a legal analysis and makes no representation as to the accuracy of the date listed.)
Filing date
Publication date
Application filed by Clariant GmbH filed Critical Clariant GmbH
Publication of EP1146108A2 publication Critical patent/EP1146108A2/de
Publication of EP1146108A3 publication Critical patent/EP1146108A3/de
Application granted granted Critical
Publication of EP1146108B1 publication Critical patent/EP1146108B1/de
Anticipated expiration legal-status Critical
Expired - Lifetime legal-status Critical Current

Links

Classifications

    • CCHEMISTRY; METALLURGY
    • C10PETROLEUM, GAS OR COKE INDUSTRIES; TECHNICAL GASES CONTAINING CARBON MONOXIDE; FUELS; LUBRICANTS; PEAT
    • C10LFUELS NOT OTHERWISE PROVIDED FOR; NATURAL GAS; SYNTHETIC NATURAL GAS OBTAINED BY PROCESSES NOT COVERED BY SUBCLASSES C10G OR C10K; LIQUIFIED PETROLEUM GAS; USE OF ADDITIVES TO FUELS OR FIRES; FIRE-LIGHTERS
    • C10L1/00Liquid carbonaceous fuels
    • C10L1/10Liquid carbonaceous fuels containing additives
    • C10L1/14Organic compounds
    • C10L1/18Organic compounds containing oxygen
    • C10L1/192Macromolecular compounds
    • C10L1/195Macromolecular compounds obtained by reactions involving only carbon-to-carbon unsaturated bonds
    • CCHEMISTRY; METALLURGY
    • C10PETROLEUM, GAS OR COKE INDUSTRIES; TECHNICAL GASES CONTAINING CARBON MONOXIDE; FUELS; LUBRICANTS; PEAT
    • C10LFUELS NOT OTHERWISE PROVIDED FOR; NATURAL GAS; SYNTHETIC NATURAL GAS OBTAINED BY PROCESSES NOT COVERED BY SUBCLASSES C10G OR C10K; LIQUIFIED PETROLEUM GAS; USE OF ADDITIVES TO FUELS OR FIRES; FIRE-LIGHTERS
    • C10L1/00Liquid carbonaceous fuels
    • C10L1/10Liquid carbonaceous fuels containing additives
    • C10L1/14Organic compounds
    • C10L1/146Macromolecular compounds according to different macromolecular groups, mixtures thereof
    • CCHEMISTRY; METALLURGY
    • C10PETROLEUM, GAS OR COKE INDUSTRIES; TECHNICAL GASES CONTAINING CARBON MONOXIDE; FUELS; LUBRICANTS; PEAT
    • C10LFUELS NOT OTHERWISE PROVIDED FOR; NATURAL GAS; SYNTHETIC NATURAL GAS OBTAINED BY PROCESSES NOT COVERED BY SUBCLASSES C10G OR C10K; LIQUIFIED PETROLEUM GAS; USE OF ADDITIVES TO FUELS OR FIRES; FIRE-LIGHTERS
    • C10L1/00Liquid carbonaceous fuels
    • C10L1/10Liquid carbonaceous fuels containing additives
    • C10L1/14Organic compounds
    • C10L1/18Organic compounds containing oxygen
    • C10L1/192Macromolecular compounds
    • C10L1/195Macromolecular compounds obtained by reactions involving only carbon-to-carbon unsaturated bonds
    • C10L1/196Macromolecular compounds obtained by reactions involving only carbon-to-carbon unsaturated bonds derived from monomers containing a carbon-to-carbon unsaturated bond and a carboxyl group or salts, anhydrides or esters thereof homo- or copolymers of compounds having one or more unsaturated aliphatic radicals each having one carbon bond to carbon double bond, and at least one being terminated by a carboxyl radical or of salts, anhydrides or esters thereof
    • C10L1/1963Macromolecular compounds obtained by reactions involving only carbon-to-carbon unsaturated bonds derived from monomers containing a carbon-to-carbon unsaturated bond and a carboxyl group or salts, anhydrides or esters thereof homo- or copolymers of compounds having one or more unsaturated aliphatic radicals each having one carbon bond to carbon double bond, and at least one being terminated by a carboxyl radical or of salts, anhydrides or esters thereof mono-carboxylic
    • CCHEMISTRY; METALLURGY
    • C10PETROLEUM, GAS OR COKE INDUSTRIES; TECHNICAL GASES CONTAINING CARBON MONOXIDE; FUELS; LUBRICANTS; PEAT
    • C10LFUELS NOT OTHERWISE PROVIDED FOR; NATURAL GAS; SYNTHETIC NATURAL GAS OBTAINED BY PROCESSES NOT COVERED BY SUBCLASSES C10G OR C10K; LIQUIFIED PETROLEUM GAS; USE OF ADDITIVES TO FUELS OR FIRES; FIRE-LIGHTERS
    • C10L1/00Liquid carbonaceous fuels
    • C10L1/10Liquid carbonaceous fuels containing additives
    • C10L1/14Organic compounds
    • C10L1/18Organic compounds containing oxygen
    • C10L1/192Macromolecular compounds
    • C10L1/195Macromolecular compounds obtained by reactions involving only carbon-to-carbon unsaturated bonds
    • C10L1/196Macromolecular compounds obtained by reactions involving only carbon-to-carbon unsaturated bonds derived from monomers containing a carbon-to-carbon unsaturated bond and a carboxyl group or salts, anhydrides or esters thereof homo- or copolymers of compounds having one or more unsaturated aliphatic radicals each having one carbon bond to carbon double bond, and at least one being terminated by a carboxyl radical or of salts, anhydrides or esters thereof
    • C10L1/1966Macromolecular compounds obtained by reactions involving only carbon-to-carbon unsaturated bonds derived from monomers containing a carbon-to-carbon unsaturated bond and a carboxyl group or salts, anhydrides or esters thereof homo- or copolymers of compounds having one or more unsaturated aliphatic radicals each having one carbon bond to carbon double bond, and at least one being terminated by a carboxyl radical or of salts, anhydrides or esters thereof poly-carboxylic
    • CCHEMISTRY; METALLURGY
    • C10PETROLEUM, GAS OR COKE INDUSTRIES; TECHNICAL GASES CONTAINING CARBON MONOXIDE; FUELS; LUBRICANTS; PEAT
    • C10LFUELS NOT OTHERWISE PROVIDED FOR; NATURAL GAS; SYNTHETIC NATURAL GAS OBTAINED BY PROCESSES NOT COVERED BY SUBCLASSES C10G OR C10K; LIQUIFIED PETROLEUM GAS; USE OF ADDITIVES TO FUELS OR FIRES; FIRE-LIGHTERS
    • C10L1/00Liquid carbonaceous fuels
    • C10L1/10Liquid carbonaceous fuels containing additives
    • C10L1/14Organic compounds
    • C10L1/18Organic compounds containing oxygen
    • C10L1/192Macromolecular compounds
    • C10L1/195Macromolecular compounds obtained by reactions involving only carbon-to-carbon unsaturated bonds
    • C10L1/197Macromolecular compounds obtained by reactions involving only carbon-to-carbon unsaturated bonds derived from monomers containing a carbon-to-carbon unsaturated bond and an acyloxy group of a saturated carboxylic or carbonic acid
    • C10L1/1973Macromolecular compounds obtained by reactions involving only carbon-to-carbon unsaturated bonds derived from monomers containing a carbon-to-carbon unsaturated bond and an acyloxy group of a saturated carboxylic or carbonic acid mono-carboxylic
    • CCHEMISTRY; METALLURGY
    • C10PETROLEUM, GAS OR COKE INDUSTRIES; TECHNICAL GASES CONTAINING CARBON MONOXIDE; FUELS; LUBRICANTS; PEAT
    • C10LFUELS NOT OTHERWISE PROVIDED FOR; NATURAL GAS; SYNTHETIC NATURAL GAS OBTAINED BY PROCESSES NOT COVERED BY SUBCLASSES C10G OR C10K; LIQUIFIED PETROLEUM GAS; USE OF ADDITIVES TO FUELS OR FIRES; FIRE-LIGHTERS
    • C10L1/00Liquid carbonaceous fuels
    • C10L1/10Liquid carbonaceous fuels containing additives
    • C10L1/14Organic compounds
    • C10L1/22Organic compounds containing nitrogen
    • C10L1/234Macromolecular compounds
    • C10L1/236Macromolecular compounds obtained by reactions involving only carbon-to-carbon unsaturated bonds derivatives thereof
    • C10L1/2364Macromolecular compounds obtained by reactions involving only carbon-to-carbon unsaturated bonds derivatives thereof homo- or copolymers derived from unsaturated compounds containing amide and/or imide groups

Definitions

  • Copolymer mixtures and their use as an additive to improve Cold flow properties of middle distillates
  • the present invention relates to mixtures of copolymers, on the one hand containing structural units of olefins, derivatives of dibasic carboxylic acids and optionally polyolefins, on the other hand containing structural units Ethylene and vinyl esters of tertiary carboxylic acids, and their use as additives to fuel oils to improve their cold flow properties.
  • Crude oils and middle distillates obtained by distilling crude oils such as gas oil, Diesel oil or heating oil contain different ones depending on the origin of the crude oils Amounts of n-paraffins which, when the temperature is lowered, are platelet-shaped Crystallize crystals and partially agglomerate with the inclusion of oil. This leads to a deterioration in the flow properties of these oils or distillates, which means, for example, during extraction, transport, storage and / or use of mineral oils and mineral oil distillates can occur. With mineral oils, this crystallization phenomenon can occur during transport Pipelines, especially in winter, to build up deposits on the pipe walls Individual cases, e.g. if a pipeline is at a standstill, even to completely block it to lead.
  • the flow and cold behavior of mineral oils and mineral oil distillates is under other by specifying the cloud point (determined according to ISO 3015), the Pöur point (determined according to ISO 3016) and the cold filter plugging point (CFPP; determined according to EN 116). These parameters are measured in ° C.
  • Typical flow improvers for crude oils and middle distillates are copolymers of Ethylene with carboxylic acid esters of vinyl alcohol. So you bet after the DE-A-11 47 799 petroleum distillate fuels with a boiling point between about 120 and 400 ° C oil-soluble copolymers of ethylene and Vinyl acetate with a molecular weight between about 1,000 and 3,000. Copolymers which contain about 60 to 99% by weight of ethylene and about are preferred Contain 1 to 40 wt .-% vinyl acetate. They are particularly effective when passed through radical polymerization in an inert solvent at temperatures of about 70 to 130 ° C and pressures of 35 to 2,100 atm (DE-A-19 14 756).
  • comb polymers are also known which are derived from ethylenically unsaturated monomers with longer (for example C 8 -C 30 ), preferably linear, alkyl radicals. These are used primarily in high-boiling, paraffin-rich mineral oils, optionally in combination with ethylene copolymers to improve the cold flow properties (for example GB-A-1 469 016 and EP-A-0 214 786). According to EP-A-0 153 176, comb polymers with C 12 -C 14 -alkyl radicals are also used in narrowly cut distillates with, for example, (90-20)% distillation ranges from ⁇ 100 ° C. and boiling ends of approximately 340-370 ° C.
  • copolymers of maleic anhydride (MA) and ⁇ -olefins esterified with long-chain fatty alcohols are used for the treatment of crude oils.
  • GB-A-14 69 016 describes the use of mixtures of ethylene copolymers with comb polymers which are derived from C 6 -C 18 esters of ethylenically unsaturated dicarboxylic acids and olefins or vinyl esters to improve the cold flow properties of middle distillates.
  • DE-A-35 14 878 describes esterification products from copolymers of Maleic anhydride with olefinically unsaturated monomers (olefins, especially ethylene and acrylic acid) and primary or secondary alcohols with 16-30 C atoms as pour point depressant for mineral oils containing paraffin.
  • This Products have an acid number less than 20 mg KOH / g.
  • EP-A-0 214 786 describes middle distillate additives from maleic anhydride and straight-chain 1-olefins, which are esterified polymer-analogously with fatty alcohols, for Improvement of the cold flow properties of middle distillates.
  • EP-A-0 320 766 describes polymer mixtures made from a copolymer (A1) made of 10-60% by weight vinyl acetate or a copolymer (A2) made from 15-50% by weight vinyl acetate, 0.5-20% by weight C. 6 -C 24 -alpha-olefin and 15.5-70% by weight of ethylene and a copolymer (B) of 10-90% by weight of C 6 -C 24 alpha-olefin and 10-90% by weight of NC 6 -C 22 alkylmaleimide, the mixing ratio of the copolymers (A1) or (A2) to (B) being 100: 1 to 1: 1.
  • These polymer mixtures are used as flow improvers in middle distillates.
  • EP-A-0 890 589 describes the use of ethylene-neocarboxylic acid vinyl ester copolymers to improve the Cold flow properties of middle distillates with extremely low cloud point and narrow boiling range, which may also contain comb polymers.
  • EP-A-0 931 824 describes mixtures of ethylene / neocarboxylic acid vinyl ester copolymers with further ethylene copolymers with a comonomer content of 10-20 mol%. These can also contain comb polymers.
  • Another object of the invention is the use of the invention Additives to improve the cold flow properties of fuel oils.
  • Another object of the invention are fuel oils that the contain additives according to the invention.
  • R 1 and R 2 are preferably hydrogen. In particular, they are copolymers of ethylene, where up to 10 mol%, in particular up to 5 mol%, can be replaced by lower olefins such as propene and / or butene.
  • R 3 in formula A2) preferably denotes a neoalkyl radical with 7 to 11 carbon atoms, in particular a neoalkyl radical with 8, 9 or 10 carbon atoms.
  • the copolymer A) according to the invention preferably consists of at most 15, in particular 5 to 10 mol% of structural units of the formula A2). Especially such copolymers A) with 5 to 9 mol% of neononane or are preferred Vinyl neodecanoate as structural unit A2).
  • the copolymers A) according to the invention are conventional Copolymerization processes such as suspension polymerization, Solvent polymerization, gas phase polymerization or high pressure bulk polymerization producible.
  • High-pressure bulk polymerization is preferred at pressures of preferably 50 to 400, in particular 100 to 300 MPa and Temperatures of preferably 50 to 300, in particular 100 to 250 ° C.
  • the Reaction of the monomers is caused by free radical initiators (Radical chain starter) initiated.
  • This class of substances includes e.g.
  • Oxygen, Hydroperoxides, peroxides and azo compounds such as cumene hydroperoxide, t-butyl hydroperoxide, dilauroyl peroxide, dibenzoyl peroxide, bis (2-ethylhexyl) peroxide dicarbonate, t-butyl perpivalate, t-butyl permaleinate, t-butyl perbenzoate, dicumyl peroxide, t-Butylcumyl peroxide, di- (t-butyl) peroxide, 2,2'-azobis (2-methylpropanonitrile), 2,2'-azobis (2-methylbutyronitrile).
  • the initiators are used individually or as a mixture of two or more substances in amounts of 0.001 to 20% by weight, preferably 0.01 to 10 wt .-%, based on the monomer mixture, used.
  • the copolymers A) according to the invention preferably have melt viscosities at 140 ° C from 20 to 10,000 mPas, especially from 30 to 5000 mPas, especially from 50 to 2000 mPas.
  • the desired melt viscosity of the copolymers A) is given Composition of the monomer mixture by varying the Reaction parameters pressure and temperature and optionally by adding Moderators hired.
  • Hydrogen, saturated or unsaturated hydrocarbons e.g. Propane, aldehydes, e.g. Propionaldehyde, n-butyraldehyde or isobutyraldehyde, ketones, e.g. Acetone, methyl ethyl ketone, Methyl isobutyl ketone, cyclohexanone or alcohols, e.g. Butanol, proven.
  • the moderators become dependent on the desired viscosity in quantities up to 20 wt .-%, preferably 0.05 to 10 wt .-%, based on the Monomer mixture, applied.
  • the comonomers suitable for the preparation of the copolymers A) according to the invention are, in particular, neooctane, neononane, neodecane, neoundecane and neododecanoic acid vinyl esters. These esters can be prepared, for example, by vinylation of the neocarboxylic acids accessible by Koch's carboxylic acid synthesis from olefins, CO and H 2 O (Römpp: Chemie-Lexikon, Thieme-Verlag, 9th edition, pp. 4881 and 4901).
  • the copolymers A) according to the invention can contain up to 4% by weight of vinyl acetate or up to 5 mol% of further comonomers.
  • Suitable comonomers are, for example, vinyl esters of lower carboxylic acids such as vinyl propionate and vinyl butyrate, vinyl ethers such as vinyl methyl ether and vinyl ethyl ether, (meth) acrylic acid alkyl esters of C 1 -C 4 alcohols such as methyl acrylate, ethyl acrylate, propyl acrylate, n-, iso-, tert-butyl acrylate and the corresponding Esters of methacrylic acid and higher olefins with at least 5 carbon atoms. Hexene, 4-methylpentene, norbornene, octene and diisobutylene are preferred as higher olefins.
  • copolymers of the composition mentioned under A mixtures of monomers other than ethylene and optionally a moderator Contain 1 to 50 wt .-%, preferably 3 to 40 wt .-% vinyl ester.
  • a moderator Contain 1 to 50 wt .-%, preferably 3 to 40 wt .-% vinyl ester With that of the composition of the copolymer differing composition of the Monomer mixture one carries the different copolymerization factors the monomer calculation.
  • the polymers are obtained as colorless melts solidify to waxy solids at room temperature.
  • High pressure bulk polymerization is carried out in known high pressure reactors, e.g. Autoclaves or tubular reactors, carried out batchwise or continuously, Tube reactors have proven particularly useful.
  • Solvents such as aliphatic and / or aromatic hydrocarbons or hydrocarbon mixtures, Benzene or toluene can be contained in the reaction mixture. The is preferred solvent-free mode of operation.
  • the Polymerization is the mixture of the monomers, the initiator and, if provided used, the moderator, a tubular reactor via the reactor inlet and via one or more side branches fed.
  • the monomer streams be composed differently (EP-A-0 271 738).
  • R 4 is preferably an alkyl radical of preferably 10 to 24, in particular 12 to 20, carbon atoms.
  • the use of alcohol mixtures for example of dodecanol and tetradecanol or tetradecanol and hexadecanol in a ratio of 1:10 to 10: 1, in particular 3: 1 to 1: 3, has proven particularly useful.
  • the additive can be adapted to the oil to be treated by varying the alcohol component. For example, by adding 15% by weight of behenyl alcohol to the above-mentioned mixtures, the effectiveness in oils with an extremely high boiling point of > 390 ° C, in particular> 410 ° C can be optimized.
  • the R 4 radicals can be linear or branched, and the branching can comprise a secondary or tertiary carbon atom.
  • Linear radicals R 4 are preferred. If R 4 is branched, it preferably carries this branch in the 2 position. It is possible to use different R 4 radicals, ie to use mixtures of different alcohols in the preparation of the maleic, itaconic and / or fumaric esters.
  • Preferred alcohols R 4 -OH are, for example, 1-decanol, 1-dodecanol, 1-tridecanol, isotridecanol, 1-tetradecanol, 1-hexadecanol, 1-octadecanol, eicosanol, docosanol, tetracosanol, their mixtures, and naturally occurring mixtures such as coconut fatty alcohol , Tallow fatty alcohol and behenyl alcohol.
  • the alcohols can be of natural as well as synthetic origin.
  • the radicals R 4 in formula B1) are alkoxyalkyl radicals of the formula - (OA) x - R 6 wherein A is a C 2 -C 4 alkylene radical, x is an integer from 1 to 100 and R 6 is a C 1 -C 30 alkyl radical.
  • the (OA) unit is preferably an ethoxy or propoxy unit. If alkoxylated units of the formula (3) are used for R 4 , this is preferably done in a mixture with radicals R 4 which are not alkoxylated. The proportion of alkoxylated radicals R 4 preferably does not exceed 20 mol% (based on all radicals R 4 ).
  • R 6 can be linear or branched. If R 6 is branched, the branch is preferably in the 2 position. R 6 is preferably linear.
  • the structural units of the formula B2) are derived from ⁇ -olefins. These ⁇ -olefins have from 10 to 50, preferably 12 to 40 carbon atoms. Olefins in the range C 14 -C 22 are particularly preferred.
  • the carbon chain of the ⁇ -olefins can be straight-chain or branched, preferably it is straight-chain.
  • olefins examples include 1-dodecene, 1-tetradecene, 1-tridecene, 1-hexadecene, 1-heptadecene, 1-octadecene, 1-nonadecene, 1-eicosen, 1-hemicosen, 1-docosen, 1-tetracosen, 1 -Hexacoses, 1-octacoses etc. and their mixtures.
  • Commercially available olefin fractions such as, for example, C 20 -C 24 or C 30+ olefin, are also suitable.
  • the bivalent structural units mentioned under B3) are derived from polyolefins which are composed of monoolefins having 3, 4 or 5 carbon atoms.
  • Particularly preferred monoolefins as the main body of the polyolefins are propylene and isobutylene, from which polypropylene and polyisobutylene are formed as polyolefins.
  • the polyolefins preferably have an alkylvinylidene content of at least 50 mol%, in particular at least 70 mol%, especially at least 75%.
  • the polyolefins that are not accessible to radical polymerization remain as non-copolymerized components in the product, which also has a positive effect on the miscibility of the esters and their mixtures with other polymers.
  • Alkyl vinylidene content means the content of structural units in the polyolefins based on compounds of the formula decrease in which R 7 or R 8 are methyl or ethyl and the other group is an oligomer of the C 3 -C 5 olefin.
  • the number of carbon atoms of the polyolefin is between 35 and 350. In a preferred embodiment of the invention, the number of carbon atoms is between 45 and 250. In a further preferred embodiment of the invention, the proportion of structural units B3) is 1 to 20 mol%, in particular 2 to 15 mol%.
  • the polyolefins on which the structural units B3) are based are ionic Polymerization accessible and available as commercial products (e.g. ® Ultravis, ® Napvis, ® Hyvis, ® Glissopal) (Polyisobutenes from BP, BASF with different Alkyl vinylidene contents and molecular weights).
  • the average molecular weight of the copolymers B) according to the invention is in generally between 1,500 and 200,000 g / mol, in particular between 2,000 and 100,000 g / mol (GPC against polystyrene standards in THF).
  • the copolymers B) according to the invention are preferably produced at Temperatures between 50 and 220 ° C, especially 100 to 190 ° C, especially 130 to 170 ° C.
  • the preferred manufacturing process is solvent-free Bulk polymerization, however, it is also possible to carry out the polymerization in the presence aromatic, aliphatic or isoaliphatic aprotic solvents such as toluene, Xylene or solvent mixtures such as kerosene or solvent naphtha perform.
  • radical initiators Radar chain starter
  • This class of substances includes e.g. Oxygen, Hydroperoxides, peroxides and azo compounds such as cumene hydroperoxide, t-butyl hydroperoxide, dilauroyl peroxide, dibenzoyl peroxide, bis (2-ethylhexyl) peroxide carbonate, t-butyl perpivalate, t-butyl permaleinate, t-butyl perbenzoate, dicumyl peroxide, t-Butylcumyl peroxide, bi- (t-butyl) peroxide, 2,2'-azobis (2-methylpropanonitrile) or 2,2'-azo-bis (2-methylbutyronitrile).
  • the initiators are used individually or as a mixture from two or more substances in amounts of 0.01 to 20 wt .-%, preferably 0.05 to 10 wt .-%, based on the
  • the copolymers can be obtained by copolymerizing polyolefin (component B3) and ⁇ -olefin (component B2) with either maleic acid, fumaric acid, Itaconic acid, itaconic or maleic anhydride or maleic, fumaric, Itaconic acid ester or maleic acid, itaconic acid imide (component B1) become. If a copolymerization with acids or anhydrides is carried out, then the resulting copolymer is esterified or imidized after production. This Esterification or imidation takes place, for example, by reaction with 1.5 to 2.5 mol alcohol or 0.8 to 1.2 mol amine per mol anhydride at 50 to 300, especially 120 - 250 ° C. The water of reaction can by means of an inert gas stream distilled off or discharged by means of azeotropic distillation. Copolymers B) with acid numbers less than 50, especially less than 30, especially less than 20 mg KOH / g are preferred.
  • Preferred additives according to the invention contain 20-85% by weight of one or several copolymers A and 15-80% by weight of one or more copolymers B, in particular 40-80% by weight of A and 20-60% by weight of B.
  • the further ethylene copolymers C) preferably contain 8-13 mol% of at least one vinyl ester such as vinyl acetate, vinyl propionate, vinyl butyrate, vinyl hexanoate, vinyl octanoate, neononane and neodecanoic acid vinyl ester, a C 1 -C 30 -alkyl vinyl ester and / or C 1 -C 30 Alkyl (meth) acrylate.
  • they preferably contain 1-6 mol% of at least one olefin with 3-8 C atoms such as propene, butene, isobutene, diisobutylene, pentene, hexene, 4-methylpentene, norbornene or octene.
  • mixtures of different flow improvers with different quantitative (eg comonomer content) and / or qualitative composition (type of copolymers / terpolymers, molecular weight, degree of branching) can also be used.
  • the polymers C) preferably have melt viscosities at 140 ° C. of 50 to 8,000 mPas, especially 70 to 3,000 mPas.
  • the additives according to the invention in a mixture with ethylene / vinyl acetate / Vinyl neononanoic acid terpolymers or ethylene vinyl acetate / Neodecanoic acid vinyl ester terpolymers.
  • the terpolymers of Besides contain neononanoic acid vinyl ester or the neodecanoic acid vinyl ester Ethylene 10 to 35 wt .-% vinyl acetate and 1 to 25 wt .-% of the respective Neo connection.
  • the Additives according to the invention with terpolymers used in addition to ethylene 10-35% by weight vinyl ester and 0.5 to 20% by weight olefins such as e.g. Diisobutylene, Contain witches, 4-methylpentene and / or norbornene.
  • the mixing ratio of the additives according to the invention with the above described ethylene-vinyl acetate copolymers or the terpolymers Ethylene, vinyl acetate and the vinyl esters of neononanoic or neodecanoic acid or from ethylene, vinyl esters and olefins is (in parts by weight) 20: 1 to 1:20, preferably 10: 1 to 1:10, especially 5: 1 to 1: 5.
  • the mixtures of the Additives according to the invention with the copolymers mentioned are in particular suitable for improving the flowability of middle distillates.
  • the additives according to the invention are mineral oils or mineral oil distillates Form of solutions or dispersions added. These solutions or Dispersions preferably contain 1 to 90, in particular 5 to 80% by weight, specifically 10 to 75% of the mixtures.
  • Suitable solvents or dispersants are aliphatic and / or aromatic hydrocarbons or Hydrocarbon mixtures, e.g.
  • Gasoline fractions, kerosene, decane, pentadecane, Toluene, xylene, ethylbenzene or commercial solvent mixtures such as solvents Naphtha, ® Shellsol AB, ® Solvesso 150, ® Solvesso 200, ® Exxsol-, ® ISOPAR- and ® Shellsol D types as well as aliphatic or aromatic alcohols, ethers and / or Esters.
  • the specified solvent mixtures contain different amounts of aliphatic and / or aromatic hydrocarbons.
  • the aliphates can straight-chain (n-paraffins) or branched (iso-paraffins).
  • Aromatic Hydrocarbons can be mono-, di- or polycyclic and optionally carry one or more substituents.
  • improved mineral oils or mineral oil distillates contain 0.001 to 2% by weight, preferably 0.005 to 0.5% by weight of the additives, based on the distillate.
  • Additives also together with one or more oil-soluble co-additives are used, which alone have the cold flow properties of crude oils, Improve lubricating oils or fuel oils.
  • oil-soluble co-additives are Alkylphenol-aldehyde resins and polar compounds that have a paraffin dispersion effect (paraffin dispersants).
  • the additives according to the invention can be used in a mixture with alkylphenol-formaldehyde resins.
  • these alkylphenol-formaldehyde resins are those of the formula wherein R 10 is C 4 -C 50 alkyl or alkenyl, R 9 is ethoxy and / or propoxy, n is a number from 5 to 100 and p is a number from 0 to 50.
  • Paraffin dispersants reduce the size of the paraffin crystals and ensure that the paraffin particles do not settle, but remain dispersed colloidally with a significantly reduced tendency to sedimentation.
  • Oil-soluble polar compounds with ionic or polar groups for example amine salts and / or amides, which have been found to be suitable as paraffin dispersants, can be obtained by reacting aliphatic or aromatic amines, preferably long-chain aliphatic amines, with aliphatic or aromatic mono-, di-, tri- or tetracarboxylic acids or the like Anhydrides can be obtained.
  • paraffin dispersants are copolymers of maleic anhydride and ⁇ , ⁇ -unsaturated compounds, which can optionally be reacted with primary monoalkylamines and / or aliphatic alcohols, the reaction products of alkenyl spirobislactones with amines and reaction products of terpolymers based on ⁇ , ⁇ -unsaturated dicarboxylic acid Unsaturated compounds and polyoxyalkylene ethers of lower unsaturated alcohols. Alkylphenol-formaldehyde resins are also suitable as paraffin dispersants.
  • the mixing ratio (in parts by weight) of the additives with paraffin dispersants is in each case 1:10 to 20: 1, preferably 1: 1 to 10: 1.
  • the additives according to the invention are suitable for improving the cold flow properties of To improve crude oils, distillate oils or fuel oils as well as lubricating oils.
  • the Oils can be of mineral, animal or vegetable origin.
  • middle distillates are mineral oils which are obtained by distillation of crude oil and range from 120 to Boil 500 ° C, such as kerosene, jet fuel, diesel and heating oil.
  • they are effective in oils whose GC content determines n-paraffins, which have chain lengths of 22 carbon atoms or more, at at least 1.0 area%, especially for more than 1.5 area%, especially for 2.0 and more area%.
  • the 90% distillation point of the invention Oils are preferably above 345 ° C, especially above 350 ° C, especially above 355 ° C. These oils have cloud points above 5 ° C, in particular above 8 ° C.
  • the additives can be used alone or together with other additives used, for example with dewaxing aids, Improving conductivity, defoaming agents, dispersing agents, Corrosion inhibitors, antioxidants, lubricity additives, dehazers or Sludge inhibitors.
  • the additive components can be the oils to be additized together as a concentrate mixture in suitable solvents or separately be added.
  • the boiling characteristics are determined in accordance with ASTM D-86 the CFPP value according to EN 116 and the determination of the cloud point according to ISO 3015.
  • the distribution of the n-paraffins is determined by gas chromatography using an HP 5890 Series II performed. The separation takes place on a silica gel column with 5% cross-linked phenylmethyl silicone ( ⁇ 0.32 mm, length 50 m, film thickness 0.17 ⁇ m). The Detection is carried out by means of a thermal conductivity detector.
  • the detected total area of the injected sample is determined in the first step.
  • a "valley-to-valley" integration is used to determine the areas for the individual n-paraffins. This area divided by the previously determined total area gives the area percent of the respective n-paraffin. Thus, the proportion of the area of a peak due to an n-paraffin is separated from that for the matrix (isomers of the n-paraffins, naphthenes and aromatics).
  • Test oil 1 Test oil 2 Test oil 3 Initial boiling point [° C] 144 139 152 20% [° C] 234 222 231 90% [° C] 363 355 363 Cloud Point [° C] +10 +8 +16 CFPP [° C] +6 +3 +9 n-paraffins ⁇ C 22 2.4% 2.0% 2.2% CFPP effectiveness in test oil 1 example 100 ppm 150 ppm 200 ppm 250 ppm A1 + B1 (3: 1) +2 -4 -5 -10 A1 + B3 (2: 1) 0 -5 -6 -11 A2 + B2 (2: 1) 0 -4 -5 -10 A1 + C2 + B3 (1: 1: 1) -1 -5 -8th -14 A1 + C1 + B2 (1: 1: 1) 0 -4 -6 -12 C2 + B1 (2: 1) (See) +4 0 -2 -9 C3 + B2 (2: 1) (See) +5 +1 -3 -8th CFPP effectiveness in test oil 2 example 100 ppm 150

Landscapes

  • Chemical & Material Sciences (AREA)
  • Oil, Petroleum & Natural Gas (AREA)
  • Engineering & Computer Science (AREA)
  • Chemical Kinetics & Catalysis (AREA)
  • General Chemical & Material Sciences (AREA)
  • Organic Chemistry (AREA)
  • Health & Medical Sciences (AREA)
  • Emergency Medicine (AREA)
  • Liquid Carbonaceous Fuels (AREA)
  • Addition Polymer Or Copolymer, Post-Treatments, Or Chemical Modifications (AREA)
  • Compositions Of Macromolecular Compounds (AREA)

Abstract

Gegenstand der Erfindung sind Additive zur Verbesserung der Kaltfließeigenschaften von Mitteldestillaten, enthaltend 10 bis 95 Gew.-% Copolymere A), 5 bis 90 Gew.-% Copolymere B) und gegebenenfalls 0 bis 70 Gew.-% Copolymere C), die folgenden Formeln entsprechen
  • A) Copolymere aus niederen Olefinen und Vinylestern, enthaltend
  • A1) 85 bis 97 mol-% bivalente Struktureinheiten der Formel - CH2 - CR1R2 - worin R1 und R2 unabhängig voneinander Wasserstoff oder Methyl bedeuten, und
  • A2) mindestens 3 mol-% bivalente Struktureinheiten der Formel
    Figure 80000001
    worin R3 gesättigtes, verzweigtes C6-C16-Alkyl bedeutet, das ein tertiäres Kohlenstoffatom aufweist, dadurch gekennzeichnet, dass R3 mit seinem tertiären Kohlenstoffatom an die Carboxylfunktion gebunden ist,
  • B) Copolymere, umfassend
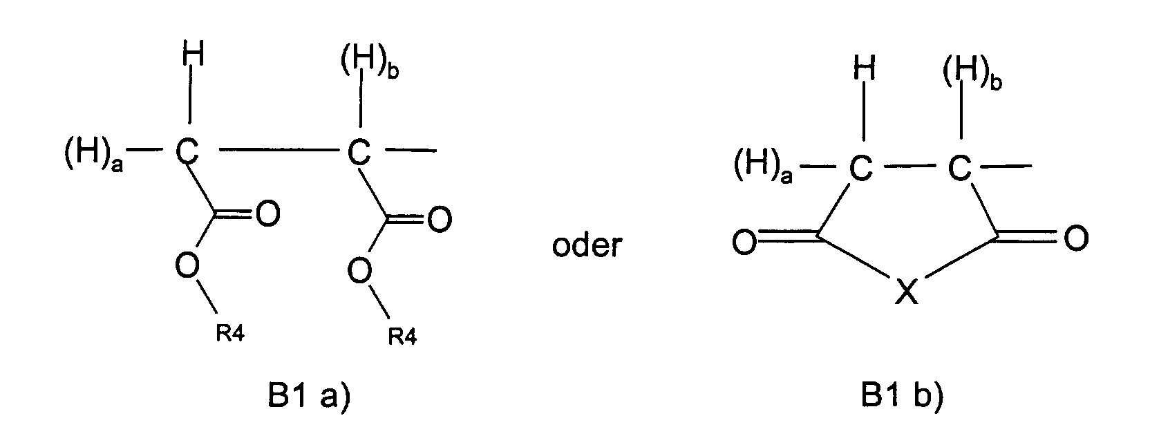
  • B1) 40 bis 60 mol-% bivalente Struktureinheiten der Formel
    Figure 80000002
  • mit X = O oder N - R4,
  • worin a, b = 0 oder 1 und a + b = 1 sind, und
  • B2) 35 bis 53 mol-% bivalente Struktureinheiten der Formel - H2C - CHR5 - und gegebenenfalls
  • B3) 0 bis 20 mol-%, bivalente Struktureinheiten, die sich von Polyolefinen ableiten, wobei die Polyolefine aus Monoolefinen mit 3 bis 5 Kohlenstoffatomen ableitbar sind, und worin
  • a) R4 einen Alkyl- oder Alkenylrest mit 10 bis 40 Kohlenstoffatomen oder einen Alkoxyalkylrest mit 1 bis 100 Alkoxyeinheiten und 1 bis 30 Kohlenstoffatomen im Alkylrest, und
  • b) R5 einen Alkylrest mit 10 bis 50 Kohlenstoffatomen bedeutet, und
  • c) die Zahl der Kohlenstoffatome der den Struktureinheiten B3) zugrunde liegenden Polyolefinmoleküle zwischen 35 und 350 beträgt, und gegebenenfalls
  • C) ein weiteres von A) und B) verschiedenes Copolymer aus Ethylen und einem oder mehreren Vinyl- oder Acrylester, das allein Wirksamkeit als Kaltfließverbesserer für Mitteldestillate aufweist.
  • Description

    Copolymermischungen und ihre Verwendung als Additiv zur Verbesserung der Kaltfließeigenschaften von Mitteldestillaten
    Die vorliegende Erfindung betrifft Mischungen aus Copolymeren, einerseits enthaltend Struktureinheiten von Olefinen, Derivaten zweiwertiger Carbonsäuren und gegebenenfalls Polyolefinen, andererseits enthaltend Struktureinheiten aus Ethylen und Vinylestern tertiärer Carbonsäuren, sowie ihre Verwendung als Zusatz zu Brennstoffölen zur Verbesserung ihrer Kaltfließeigenschaften.
    Rohöle und durch Destillation von Rohölen gewonnene Mitteldestillate wie Gasöl, Dieselöl oder Heizöl, enthalten je nach Herkunft der Rohöle unterschiedliche Mengen an n-Paraffinen, die bei Erniedrigung der Temperatur als plättchenförmige Kristalle auskristallisieren und teilweise unter Einschluss von Öl agglomerieren. Dadurch kommt es zu einer Verschlechterung der Fließeigenschaften dieser Öle bzw. Destillate, wodurch beispielsweise bei Gewinnung, Transport, Lagerung und/oder Einsatz der Mineralöle und Mineralöldestillate Störungen auftreten können. Bei Mineralölen kann dieses Kristallisationsphänomen beim Transport durch Rohrleitungen vor allem im Winter zu Ablagerungen an den Rohrwänden, in Einzelfällen, z.B. bei Stillstand einer Pipeline, sogar zu deren völliger Verstopfung führen. Auch bei der Lagerung und Weiterverarbeitung der Mineralöle kann die Ausfällung von Paraffinen Schwierigkeiten verursachen. So kann es im Winter unter Umständen erforderlich sein, die Mineralöle in beheizten Tanks zu lagern. Bei Mineralöldestillaten können als Folge der Kristallisation Verstopfung der Filter in Dieselmotoren und Feuerungsanlagen auftreten, wodurch eine sichere Dosierung der Brennstoffe verhindert wird und gegebenenfalls eine völlige Unterbrechung der Kraftstoff- bzw. Heizmittelzufuhr eintritt.
    Neben den klassischen Methoden zur Beseitigung der auskristallisierten Paraffine (thermisch, mechanisch oder mit Lösungsmitteln), die sich lediglich auf die Entfernung der bereits gebildeten Ausfällungen beziehen, wurden in den letzten Jahren chemische Additive (sogenannte Fließverbesserer oder Paraffininhibitoren) entwickelt, die durch physikalisches Zusammenwirken mit den ausfallenden Paraffinkristallen dazu führen, dass deren Form, Größe und Adhäsionseigenschaften modifiziert werden. Die Additive wirken dabei als zusätzliche Kristallkeime und kristallisieren teilweise mit den Paraffinen aus, wodurch eine größere Anzahl von kleineren Paraffinkristallen mit veränderter Kristallform resultiert. Ein Teil der Wirkung der Additive wird auch durch eine Dispergierung der Paraffinkristalle erklärt. Die modifizierten Paraffinkristalle neigen weniger zur Agglomeration, so dass sich die mit diesen Additiven versetzten Öle noch bei Temperaturen pumpen bzw. verarbeiten lassen, die oft mehr als 20°C tiefer liegen als bei nicht additivierten Ölen.
    Das Fließ- und Kälteverhalten von Mineralölen und Mineralöldestillaten wird unter anderem durch Angabe des Cloud Points (bestimmt nach ISO 3015), des Pöur-Points (bestimmt nach ISO 3016) und des Cold-Filter-Plugging-Points (CFPP; bestimmt nach EN 116) beschrieben. Diese Kenngrößen werden in °C gemessen.
    Typische Fließverbesserer für Rohöle und Mitteldestillate sind Copolymerisate des Ethylens mit Carbonsäureestern des Vinylalkohols. So setzt man nach der DE-A-11 47 799 Erdöldestillat-Treib- bzw. -Brennstoffen mit einem Siedepunkt zwischen etwa 120 und 400 °C öllösliche Mischpolymerisate aus Ethylen und Vinylacetat mit einem Molekulargewicht zwischen etwa 1.000 und 3.000 zu. Bevorzugt werden Mischpolymerisate, die etwa 60 bis 99 Gew.-% Ethylen und etwa 1 bis 40 Gew.-% Vinylacetat enthalten. Sie sind besonders wirksam, wenn sie durch radikalische Polymerisation in einem inerten Lösungsmittel bei Temperaturen von etwa 70 bis 130°C und Drücken von 35 bis 2.100 atü hergestellt werden (DE-A-19 14 756).
    Im Stand der Technik sind weiterhin sogenannte Kammpolymere bekannt, die sich von ethylenisch ungesättigten Monomeren mit längeren (z.B. C8-C30), bevorzugt linearen, Alkylresten ableiten. Diese werden vor allem in höhersiedenden, paraffinreichen Mineralölen, gegebenenfalls in Kombination mit Ethylen-Copolymeren zur Verbesserung der Kaltfließeigenschaften eingesetzt (z.B. GB-A-1 469 016 und EP-A-0 214 786). Gemäß EP-A-0 153 176 werden Kammpolymere mit C12-C14-Alkylresten auch in eng geschnittenen Destillaten mit z.B. (90-20) % Destillationsbereichen von <100°C und Siedeenden von etwa 340 - 370°C eingesetzt. Gemäß US-2 542 542 und GB-A-1 468 588 werden mit langkettigen Fettalkoholen veresterte Copolymere aus Maleinsäureanhydrid (MSA) und α-Olefinen zur Behandlung von Rohölen eingesetzt.
    GB-A-14 69 016 beschreibt die Verwendung von Mischungen aus Ethylen-Copolymeren mit Kammpolymeren, die sich von C6-C18-Estern ethylenisch ungesättigter Dicarbonsäuren und Olefinen bzw. Vinylestern ableiten, zur Verbesserung der Kaltfließeigenschaften von Mitteldestillaten.
    DE-A-35 14 878 beschreibt Veresterungsprodukte aus Copolymeren des Maleinsäureanhydrids mit olefinisch ungesättigten Monomeren (Olefine, insbesondere Ethylen sowie Acrylsäure) und primären oder sekundären Alkoholen mit 16-30 C-Atomen als Fließpunkterniedriger für paraffinhaltige Mineralöle. Diese Produkte haben eine Säurezahl kleiner 20 mg KOH/g.
    EP-A-0 214 786 beschreibt Mitteldestillatadditive aus Maleinsäureanhydrid und geradkettigen 1-Olefinen, die polymeranalog mit Fettalkoholen verestert werden, zur Verbesserung der Kaltfließeigenschaften von Mitteldestillaten.
    EP-A-0 320 766 beschreibt Polymermischungen aus einem Copolymer (A1) aus 10-60 Gew.-% Vinylacetat oder einem Copolymer (A2) aus 15-50 Gew.-% Vinylacetat, 0,5-20 Gew.-% C6-C24-alpha-Olefin und 15,5-70 Gew.-% Ethylen und einem Copolymer (B) aus 10-90 Gew.-% C6-C24 alpha-Olefin und 10-90 Gew.-% N-C6-C22-Alkylmaleinimid wobei das Mischungsverhältnis der Copolymeren (A1) oder (A2) zu (B) 100:1 bis 1:1 beträgt. Diese Polymermischungen werden als Fließverbesserer in Mitteldestillaten eingesetzt.
    EP-A-0 890 589 beschreibt die Verwendung von Ethylen-Neocarbonsäurevinylester-Copolymeren zur Verbesserung der Kaltfließeigenschaften von Mitteldestillaten mit extrem niedrigem Cloud Point und engem Siedebereich, wobei auch Kammpolymere enthalten sein können.
    EP-A-0 931 824 beschreibt Mischungen aus Ethylen-/Neocarbonsäurevinylester-Copolymeren mit weiteren Ethylen-Copolymeren mit einem Comonomergehalt von 10-20 mol-%. Diese können weiterhin Kammpolymere enthalten.
    Mit zunehmender Erschöpfung der Welterdölreserven werden immer schwerere und damit paraffinreichere Rohöle gefördert und verarbeitet. Die daraus hergestellten Destillate enthalten zunehmende Mengen an n-Paraffinen, deren Verteilung sich zu immer längeren Alkylketten verschiebt. Besonders problematisch ist dabei ein hoher Anteil an langkettigen n-Paraffinen mit C-Kettenlängen von 22 und darüber. Zur Behandlung derartiger Öle werden auch Kombinationen aus Fließverbesserern auf Ethylenbasis mit Kammpolymeren eingesetzt, deren Wirksamkeit oftmals jedoch nicht ausreicht. Somit besteht ein zunehmender Bedarf an effizienteren Additiven zur Behandlung schwerer und paraffinreicher Mitteldestillate.
    Überraschenderweise wurde nun gefunden, dass Mischungen aus wenigstens 2 Polymeren, die Copolymere aus Ethylen und Vinylestern tertiärer Carbonsäuren sowie bestimmte Kammpolymere enthalten, zur Verbesserung der Kaltfließeigenschaften von schweren, paraffinreichen Mitteldestillaten deutlich besser geeignet sind, als die Kaltfließverbesserer des Standes der Technik.
    Gegenstand der Erfindung sind Additive zur Verbesserung der Kaltfließeigenschaften von Mitteldestillaten, enthaltend 10 bis 95 Gew.-% Copolymere A), 5 bis 90 Gew.-% Copolymere B) und gegebenenfalls 0 bis 70 Gew.-% Copolymere C), die folgenden Formeln entsprechen:
  • A) Copolymere aus niederen Olefinen und Vinylestern, enthaltend
  • A1) 85 bis 97 mol-% bivalente Struktureinheiten der Formel -CH2-CR1R2- worin R1 und R2 unabhängig voneinander Wasserstoff oder Methyl bedeuten, und
  • A2) mindestens 3 mol-% bivalente Struktureinheiten der Formel
    Figure 00050001
    worin R3 gesättigtes, verzweigtes C6-C16-Alkyl bedeutet, das ein tertiäres Kohlenstoffatom aufweist, dadurch gekennzeichnet, dass R3 mit seinem tertiären Kohlenstoffatom an die Carboxylfunktion gebunden ist,
  • B) Copolymere, umfassend
  • B1) 40 bis 60 mol-% bivalente Struktureinheiten der Formel
    Figure 00050002
    mit X = O oder N - R4, worin a, b = 0 oder 1 und a + b = 1 sind, und
  • B2) 60 bis 40 mol-% bivalente Struktureinheiten der Formel - H2C - CHR5 - und gegebenenfalls
  • B3) 0 bis 20 mol-%, bivalente Struktureinheiten, die sich von Polyolefinen ableiten, wobei die Polyolefine aus Monoolefinen mit 3 bis 5 Kohlenstoffatomen ableitbar sind, und worin
  • a) R4 einen Alkyl- oder Alkenylrest mit 10 bis 40 Kohlenstoffatomen oder einen Alkoxyalkylrest mit 1 bis 100 Alkoxyeinheiten und 1 bis 30 Kohlenstoffatomen im Alkylrest, und
  • b) R5 einen Alkyliest mit 10 bis 50 Kohlenstoffatomen bedeutet, und
  • c) die Zahl der Kohlenstoffatome der den Struktureinheiten B3) zugrunde liegenden Polyolefinmoleküle zwischen 35 und 350 beträgt, und gegebenenfalls
  • C) ein weiteres von A) und B) verschiedenes Copolymer aus Ethylen und einem oder mehreren Vinyl- oder Acrylester, das allein Wirksamkeit als Kaltfließverbesserer für Mitteldestillate aufweist.
  • Ein weiterer Gegenstand der Erfindung ist die Verwendung der erfindungsgemäßen Additive zur Verbesserung der Kaltfließeigenschaften von Brennstoffölen.
    Ein weiterer Gegenstand der Erfindung sind Brennstofföle, die die erfindungsgemäßen Additive enthalten.
    Im folgenden wird der Begriff Polymermischung im Sinne des erfindungsgemäßen Additivs gebraucht.
    In Formel A1) bedeuten R1 und R2 vorzugsweise Wasserstoff. Insbesondere handelt es sich um Copolymere des Ethylens, wobei bis zu 10 mol-%, insbesondere bis zu 5 mol-% durch niedere Olefine wie Propen und/oder Buten ersetzt sein können. R3 bedeutet in Formel A2) vorzugsweise einen Neoalkylrest mit 7 bis 11 Kohlenstoffatomen, insbesondere einen Neoalkylrest mit 8, 9 oder 10 Kohlenstoffatomen.
    Das erfindungsgemäße Copolymer A) besteht vorzugsweise aus höchstens 15, insbesondere 5 bis 10 mol-% Struktureinheiten der Formel A2). Besonders bevorzugt sind solche Copolymere A) mit 5 bis 9 mol-% Neononan- oder Neodecansäurevinylester als Struktureinheit A2).
    Die erfindungsgemäßen Copolymere A) sind durch die üblichen Copolymerisationsverfahren wie beispielsweise Suspensionspolymerisation, Lösungsmittelpolymerisation, Gasphasenpolymerisation oder Hochdruckmassepolymerisation herstellbar. Bevorzugt ist dabei die Hochdruckmassepolymerisation bei Drucken von vorzugsweise 50 bis 400, insbesondere 100 bis 300 MPa und Temperaturen von vorzugsweise 50 bis 300, insbesondere 100 bis 250°C. Die Reaktion der Monomeren wird durch Radikale bildende Initiatoren (Radikalkettenstarter) eingeleitet. Zu dieser Substanzklasse gehören z.B. Sauerstoff, Hydroperoxide, Peroxide und Azoverbindungen wie Cumolhydroperoxid, t-Butylhydroperoxid, Dilauroylperoxid, Dibenzoylperoxid, Bis(2-ethylhexyl)peroxiddicarbonat, t-Butylperpivalat, t-Butylpermaleinat, t-Butylperbenzoat, Dicumylperoxid, t-Butylcumylperoxid, Di-(t-butyl)peroxid, 2,2'-Azo-bis(2-methylpropanonitril), 2,2'-Azo-bis(2-methylbutyronitril). Die Initiatoren werden einzeln oder als Gemisch aus zwei oder mehr Substanzen in Mengen von 0,001 bis 20 Gew.-%, vorzugsweise 0,01 bis 10 Gew.-%, bezogen auf das Monomerengemisch, eingesetzt.
    Vorzugsweise haben die erfindungsgemäßen Copolymere A) Schmelzviskositäten bei 140°C von 20 bis 10.000 mPas, insbesondere von 30 bis 5000 mPas, speziell von 50 bis 2000 mPas.
    Die gewünschte Schmelzviskosität der Copolymere A) wird bei gegebener Zusammensetzung des Monomerengemisches durch Variation der Reaktionsparameter Druck und Temperatur und gegebenenfalls durch Zusatz von Moderatoren eingestellt. Als Moderatoren haben sich Wasserstoff, gesättigte oder ungesättigte Kohlenwasserstoffe, z.B. Propan, Aldehyde, z.B. Propionaldehyd, n-Butyraldehyd oder Isobutyraldehyd, Ketone, z.B. Aceton, Methylethylketon, Methylisobutylketon, Cyclohexanon oder Alkohole, z.B. Butanol, bewährt. In Abhängigkeit von der angestrebten Viskosität werden die Moderatoren in Mengen bis zu 20 Gew.-%, vorzugsweise 0,05 bis 10 Gew.-%, bezogen auf das Monomerengemisch, angewandt.
    Die für die Herstellung der erfindungsgemäßen Copolymere A) geeigneten Comonomere sind insbesondere Neooctan-, Neononan-, Neodecan-, Neoundecan- und Neododecansäurevinylester. Diese Ester sind beispielsweise durch Vinylierung der durch die Kochsche Carbonsäuresynthese aus Olefinen, CO und H2O zugänglichen Neocarbonsäuren darstellbar (Römpp: Chemie-Lexikon, Thieme-Verlag, 9. Auflage, S. 4881 und 4901).
    Die erfindungsgemäßen Copolymere A) können bis zu 4 Gew.-% Vinylacetat oder bis zu 5 mol-% weiterer Comonomere enthalten. Geeignete Comonomere sind beispielsweise Vinylester niederer Carbonsäuren wie Vinylpropionat und Vinylbutyrat, Vinylether wie Vinylmethylether und Vinylethylether, (Meth)acrylsäurealkylester von C1-C4-Alkoholen wie Methylacrylat, Ethylacrylat, Propylacrylat, n-, iso-, tert.-Butylacrylat und die entsprechenden Ester der Methacrylsäure sowie höhere Olefine mit mindestens 5 Kohlenstoffatomen. Bevorzugt als höhere Olefine sind Hexen, 4-Methylpenten, Norbornen, Octen und Diisobutylen.
    Um Copolymere der unter A) genannten Zusammensetzung zu erhalten, verwendet man Monomerengemische, die außer Ethylen und gegebenenfalls einem Moderator 1 bis 50 Gew.-%, vorzugsweise 3 bis 40 Gew.-% Vinylester enthalten. Mit der von der Zusammensetzung des Copolymerisats abweichenden Zusammensetzung des Monomerengemisches trägt man den unterschiedlichen Copolymerisationsfaktoren der Monomeren Rechnung. Die Polymerisate fallen als farblose Schmelzen an, die bei Raumtemperatur zu wachsartigen Feststoffen erstarren.
    Die Hochdruckmassepolymerisation wird in bekannten Hochdruckreaktoren, z.B. Autoklaven oder Rohrreaktoren, diskontinuierlich oder kontinuierlich durchgeführt, besonders bewährt haben sich Rohrreaktoren. Lösungsmittel wie aliphatische und/oder aromatische Kohlenwasserstoffe oder Kohlenwasserstoffgemische, Benzol oder Toluol, können im Reaktionsgemisch enthalten sein. Bevorzugt ist die lösungsmittelfreie Arbeitsweise. In einer bevorzugten Ausführungsform der Polymerisation wird das Gemisch aus den Monomeren, dem Initiator und, sofern eingesetzt, dem Moderator, einem Rohrreaktor über den Reaktoreingang sowie über einen oder mehrere Seitenäste zugeführt. Hierbei können die Monomerenströme unterschiedlich zusammengesetzt sein (EP-A-0 271 738).
    Bei den Struktureinheiten der der Formel B1) zugrunde liegenden Verbindungen handelt es sich um Derivate der Malein-, Fumar- oder Itaconsäure. Vorzugsweise ist R4 ein Alkylrest von vorzugsweise 10 bis 24, insbesondere 12 bis 20 Kohlenstoffatomen.
    Neben dem Einsatz einzelner Alkohole R4-OH zur Veresterung hat sich hier die Verwendung von Alkoholmischungen z.B. aus Dodecanol und Tetradecanol oder Tetradecanol und Hexadecanol im Verhältnis 1:10 bis 10:1, insbesondere 3:1 bis 1:3 besonders bewährt. Durch Variation der Alkoholkomponente kann das Additiv dem zu behandelnden Öl angepasst werden. So kann z.B. durch Zugabe von beispielsweise 15 Gew.-% Behenylalkohol zu oben genannten Mischungen die Wirksamkeit in Ölen mit extrem hohem Siedeende von
    > 390°C, insbesondere >410°C optimiert werden. Die Reste R4 können linear oder verzweigt sein, wobei die Verzweigung ein sekundäres oder tertiäres Kohlenstoffatom umfassen kann. Lineare Reste R4 sind bevorzugt. Ist R4 verzweigt, dann trägt es diese Verzweigung vorzugsweise in 2-Stellung. Es ist möglich, verschiedene Reste R4 zu verwenden, d.h. bei der Herstellung der Maleinsäure-, Itaconsäure- und/oder Fumarsäureester Mischungen verschiedener Alkohole einzusetzen.
    Bevorzugte Alkohole R4-OH sind beispielsweise 1-Decanol, 1-Dodecanol, 1-Tridecanol, Isotridecanol, 1-Tetradecanol, 1-Hexadecanol, 1-Octadecanol, Eicosanol, Docosanol, Tetracosanol, deren Mischungen, sowie natürlich vorkommende Mischungen wie z.B. Cocosfettalkohol, Talgfettalkohol und Behenylalkohol. Die Alkohole können natürlichen wie auch synthetischen Ursprungs sein.
    In einer weiteren bevorzugten Ausführungsform handelt es sich bei den Resten R4 in Formel B1) um Alkoxyalkylreste der Formel - (O-A)x - R6 worin A für einen C2-C4-Alkylenrest, x für eine ganze Zahl von 1 bis 100 und R6 für einen C1-C30-Alkylrest steht. Die (O-A)-Einheit ist vorzugsweise eine Ethoxy- oder Propoxyeinheit. Werden alkoxylierte Einheiten der Formel (3) für R4 verwendet, so geschieht das vorzugsweise in Mischung mit Resten R4, die nicht alkoxyliert sind. Der Anteil der alkoxylierten Reste R4 übersteigt vorzugsweise 20 mol-% (bezogen auf alle Reste R4) nicht. R6 kann linear oder verzweigt sein. Ist R6 verzweigt, so liegt die Verzweigung vorzugsweise in 2-Stellung. Bevorzugt ist R6 linear.
    Besonders geeignet für die Imidierung (Struktureinheiten B1b) haben sich primäre Amine mit 12 bis 30 , insbesondere 12 bis 22 C-Atomen wie Dodecylamin, Tetradecylamin, Hexadecylamin und Octadecylamin sowie deren Mischungen wie Cocosfettamin und Talgfettamin erwiesen.
    Die Struktureinheiten der Formel B2) leiten sich von α-Olefinen ab. Diese α-Olefine haben von 10 bis 50, vorzugsweise 12 bis 40 Kohlenstoffatome. Olefine im Bereich C14-C22 sind besonders bevorzugt. Die Kohlenstoffkette der α-Olefine kann geradkettig oder verzweigt sein, vorzugsweise ist sie geradkettig. Beispiele für geeignete Olefine sind 1-Dodecen, 1-Tetradecen, 1-Tridecen, 1-Hexadecen, 1-Heptadecen, 1-Octadecen, 1-Nonadecen, 1-Eicosen, 1-Hemicosen, 1-Docosen, 1-Tetracosen, 1-Hexacosen, 1-Octacosen etc. sowie deren Mischungen. Ebenfalls geeignet sind kommerziell erhältliche Olefin-Fraktionen, wie z.B. C20-C24- oder C30+-Olefin.
    Die unter B3) genannten bivalenten Struktureinheiten sind von Polyolefinen abgeleitet, die aus Monoolefinen mit 3,4 oder 5 Kohlenstoffatomen aufgebaut sind. Besonders bevorzugte Monoolefine als Grundkörper der Polyolefine sind Propylen und Isobutylen, woraus Polypropylen und Polyisobutylen als Polyolefine entstehen. Die Polyolefine haben vorzugsweise einen Alkylvinylidengehalt von mindestens 50 mol-%, insbesondere von mindestens 70 mol-%, speziell mindestens 75 %. Die der radikalischen Polymerisation nicht zugänglichen Polyolefine verbleiben als nicht copolymerisierte Bestandteile im Produkt, was sich auch positiv auf die Mischbarkeit der Ester sowie deren Mischungen mit anderen Polymeren auswirkt. Unter Alkylvinylidengehalt versteht man den Gehalt der Polyolefine an Struktureinheiten, die auf Verbindungen der Formel
    Figure 00110001
    zurückgehen, worin R7 oder R8 Methyl oder Ethyl bedeuten und die andere Gruppe ein Oligomeres des C3-C5-Olefins ist. Die Zahl der Kohlenstoffatome des Polyolefins beträgt zwischen 35 und 350. In einer bevorzugten Ausführungsform der Erfindung beträgt die Zahl der Kohlenstoffatome zwischen 45 und 250. In einer weiteren bevorzugten Ausführungsform der Erfindung beträgt der Anteil der Struktureinheiten B3) 1 bis 20 mol-%, insbesondere 2 bis 15 mol-%.
    Die den Struktureinheiten B3) zugrunde liegenden Polyolefine sind durch ionische Polymerisation zugänglich, und als Handelsprodukte erhältlich (z.B. ® Ultravis, ® Napvis, ® Hyvis, ® Glissopal) (Polyisobutene von BP, BASF mit unterschiedlichen Alkylvinylidengehalten und Molekulargewichten).
    Die mittlere Molekülmasse der erfindungsgemäßen Copolymere B) beträgt im allgemeinen zwischen 1.500 und 200.000 g/mol, insbesondere zwischen 2.000 und 100.000 g/mol (GPC gegen Polystyrolstandards in THF).
    Die Herstellung der erfindungsgemäßen Copolymere B) erfolgt vorzugsweise bei Temperaturen zwischen 50 und 220°C, insbesondere 100 bis 190°C, speziell 130 bis 170°C. Das bevorzugte Herstellungsverfahren ist die lösemittelfreie Massepolymerisation, es ist jedoch auch möglich, die Polymerisation in Gegenwart aromatischer, aliphatischer oder isoaliphatischer aprotischer Lösemittel wie Toluol, Xylol oder von Lösemittelgemischen wie Kerosin oder Solvent Naphtha durchzuführen. Besonders bevorzugt ist die Polymerisation in wenig moderierenden, aliphatischen oder isoaliphatischen Lösemitteln. Bei der Lösungspolymerisation kann die Temperatur durch den Siedepunkt des Lösemittels oder durch Arbeiten unter Unter- oder Überdruck besonders einfach eingestellt werden.
    Die Reaktion der Monomeren wird durch Radikale bildende Initiatoren (Radikalkettenstarter) eingeleitet. Zu dieser Substanzklasse gehören z.B. Sauerstoff, Hydroperoxide, Peroxide und Azoverbindungen wie Cumolhydroperoxid, t-Butylhydroperoxid, Dilauroylperoxid, Dibenzoylperoxid, Bis(2-ethylhexyl)peroxidcarbonat, t-Butylperpivalat, t-Butylpermaleinat, t-Butylperbenzoat, Dicumylperoxid, t-Butylcumylperoxid, bi-(t-butyl)peroxid, 2,2'-Azo-bis(2-methylpropanonitril) oder 2,2'-Azo-bis(2-methylbutyronitril). Die Initiatoren werden einzeln oder als Gemisch aus zwei oder mehr Substanzen in Mengen von 0,01 bis 20 Gew.-%, vorzugsweise 0,05 bis 10 Gew.-%, bezogen auf das Monomerengemisch, eingesetzt.
    Die Copolymere können durch Copolymerisation von Polyolefin (Komponente B3) und α-Olefin (Komponente B2) mit entweder Maleinsäure, Fumarsäure, Itaconsäure,Itacon-oder Maleinsäureanhydrid oder Maleinsäure-, Fumarsäure-, Itaconsäureester oder Maleinsäure-, Itaconsäureimid (Komponente B1) hergestellt werden. Wird eine Copolymerisation mit Säuren oder Anhydriden durchgeführt, so wird das entstandene Copolymer nach der Herstellung verestert bzw. imidiert. Diese Veresterung bzw. Imidierung erfolgt beispielsweise durch Umsetzung mit 1,5 bis 2,5 mol Alkohol bzw. 0,8 bis 1,2 mol Amin pro mol Anhydrid bei 50 bis 300, insbesondere 120 - 250°C. Das Reaktionswasser kann mittels eines Inertgasstroms abdestilliert oder mittels azeotroper Destillation ausgetragen werden. Copolymere B) mit Säurezahlen von weniger als 50, insbesondere weniger als 30, speziell weniger als 20 mg KOH/g sind bevorzugt.
    Bevorzugte erfindungsgemäße Additive enthalten 20-85 Gew.-% eines oder mehrerer Copolymere A und 15-80 Gew.-% eines oder mehrerer Copolymere B, insbesondere 40-80 Gew.-% A und 20-60 Gew.-% B.
    Die weiteren Ethylen-Copolymeren C) enthalten bevorzugt 8-13 mol-% mindestens eines Vinylesters wie Vinylacetat, Vinylpropionat, Vinylbutyrat, Vinylhexanoat, Vinyloctanoat, Neononan- und Neodecansäurevinylester, eines C1-C30-Alkylvinylesters und/oder C1-C30-Alkyl-(meth)acrylats. Weiterhin enthalten sie bevorzugt 1-6 mol-% mindestens eines Olefins mit 3-8 C-Atomen wie Propen, Buten, Iso-Buten, Diisobutylen, Penten, Hexen, 4-Methylpenten, Norbornen oder Octen. Desgleichen können auch Mischungen verschiedener Fließverbesserer mit unterschiedlicher quantitativer (z.B. Comonomergehalt) und/oder qualitativer Zusammensetzung (Art der Co-/Terpolymere, Molekulargewicht, Verzweigungsgrad) eingesetzt werden. Vorzugsweise haben die Polymere C) Schmelzviskositäten bei 140°C von 50 bis 8.000 mPas, speziell 70 bis 3.000 mPas.
    Nach einer bevorzugten Ausgestaltung der Erfindung setzt man die erfindungsgemäßen Additive in Mischung mit Ethylen/Vinylacetat/ Neononansäurevinylester-Terpolymerisaten oder Ethylen-Vinylacetat/ Neodecansäurevinylester-Terpolymerisaten ein. Die Terpolymerisate der Neononansäurevinylester bzw. der Neodecansäurevinylester enthalten außer Ethylen 10 bis 35 Gew.-% Vinylacetat und 1 bis 25 Gew.-% der jeweiligen Neoverbindung.
    In weiterer bevorzugter Ausführungsform der Erfindung werden die erfindungsgemäßen Additive mit Terpolymeren eingesetzt, die neben Ethylen 10 - 35 Gew.-% Vinylester und 0,5 bis 20 Gew.-% Olefine wie z.B. Diisobutylen, Hexen, 4-Methylpenten und/oder Norbornen enthalten.
    Das Mischungsverhältnis der erfindungsgemäßen Additive mit den vorstehend beschriebenen EthylenNinylacetat-Copolymerisaten bzw. den Terpolymerisaten aus Ethylen, Vinylacetat und den Vinylestern der Neononan- bzw. der Neodecansäure bzw. aus Ethylen, Vinylestern und Olefinen beträgt (in Gewichtsteilen) 20:1 bis 1:20, vorzugsweise 10:1 bis 1:10, speziell 5:1 bis 1:5. Die Mischungen der erfindungsgemäßen Additive mit den genannten Copolymerisaten sind insbesondere zur Verbesserung der Fließfähigkeit von Mitteldestillaten geeignet.
    Die erfindungsgemäßen Additive werden Mineralölen oder Mineralöldestillaten in Form von Lösungen oder Dispersionen zugesetzt. Diese Lösungen oder Dispersionen enthalten vorzugsweise 1 bis 90, insbesondere 5 bis 80 Gew.-%, speziell 10 bis 75 %, der Mischungen. Geeignete Lösungs- oder Dispersionsmittel sind aliphatische und/oder aromatische Kohlenwasserstoffe oder Kohlenwasserstoffgemische, z.B. Benzinfraktionen, Kerosin, Decan, Pentadecan, Toluol, Xylol, Ethylbenzol oder kommerzielle Lösungsmittelgemische wie Solvent Naphtha, ® Shellsol AB, ® Solvesso 150, ® Solvesso 200, ® Exxsol-, ® ISOPAR- und ® Shellsol D-Typen sowie aliphatische oder aromatische Alkohole, Ether und/oder Ester. Die angegebenen Lösemittelgemische enthalten unterschiedliche Mengen an aliphatischen und/oder aromatischen Kohlenwasserstoffen. Die Aliphaten können geradkettig (n-Paraffine) oder verzweigt sein (iso-Paraffine). Aromatische Kohlenwasserstoffe können mono-, di- oder polyzyklisch sein und gegebenenfalls einen oder mehrere Substituenten tragen. Durch die erfindungsgemäßen Additive in ihren rheologischen Eigenschaften verbesserte Mineralöle oder Mineralöldestillate enthalten 0,001 bis 2 Gew.-%, vorzugsweise 0,005 bis 0,5 Gew.-% der Additive, bezogen auf das Destillat.
    Zur Herstellung von Additivpaketen für spezielle Problemlösungen können die Additive auch zusammen mit einem oder mehreren öllöslichen Co-Additiven eingesetzt werden, die bereits für sich allein die Kaltfließeigenschaften von Rohölen, Schmierölen oder Brennölen verbessern. Beispiele solcher Co-Additive sind Alkylphenol-Aldehydharze und polare Verbindungen, die eine Paraffindispergierung bewirken (Paraffindispergatoren).
    So können die erfindungsgemäßen Additive in Mischung mit Alkylphenol-Formaldehydharzen eingesetzt werden. In einer bevorzugten Ausführungsform der Erfindung handelt es sich bei diesen Alkylphenol-Formaldehydharzen um solche der Formel
    Figure 00140001
    worin R10 für C4-C50-Alkyl oder -Alkenyl, R9 für Ethoxy und/oder Propoxy, n für eine Zahl von 5 bis 100 und p für eine Zahl von 0 bis 50 steht. Paraffindispergatoren reduzieren die Größe der Paraffinkristalle und bewirken, dass die Paraffinpartikel sich nicht absetzen, sondern kolloidal mit deutlich reduziertem Sedimentationsbestreben, dispergiert bleiben. Als Paraffindispergatoren haben sich öllösliche polare Verbindungen mit ionischen oder polaren Gruppen, z.B. Aminsalze und/oder Amide bewährt, die durch Reaktion aliphatischer oder aromatischer Amine, vorzugsweise langkettiger aliphatischer Amine, mit aliphatischen oder aromatischen Mono-, Di-, Tri- oder Tetracarbonsäuren oder deren Anhydriden erhalten werden. Andere Paraffindispergatoren sind Copolymere des Maleinsäureanhydrids und α,β-ungesättigten Verbindungen, die gegebenenfalls mit primären Monoalkylaminen und/oder aliphatischen Alkoholen umgesetzt werden können, die Umsetzungsprodukte von Alkenylspirobislactonen mit Aminen und Umsetzungsprodukte von Terpolymerisaten auf Basis α,β-ungesättigter Dicarbonsäureanhydride, α,β-ungesättigter Verbindungen und Polyoxyalkylenether niederer ungesättigter Alkohole. Auch Alkylphenol-Formaldehydharze sind als Paraffindispergatoren geeignet.
    Das Mischungsverhältnis (in Gewichtsteilen) der Additive mit Paraffindispergatoren beträgt jeweils 1:10 bis 20:1, vorzugsweise 1:1 bis 10:1.
    Die erfindungsgemäßen Additive eignen sich dazu, die Kaltfließeigenschaften von Rohölen, Destillatölen oder Brennstoffölen sowie Schmierölen zu verbessern. Die Öle können mineralischen, tierischen wie auch pflanzlichen Ursprungs sein.
    Als Brennstofföle sind neben Roh- und Rückstandsölen Mitteldestillate besonders gut geeignet. Als Mitteldestillate bezeichnet man insbesondere solche Mineralöle, die durch Destillation von Rohöl gewonnen werden und im Bereich von 120 bis 500°C sieden, wie beispielsweise Kerosin, Jet-Fuel, Diesel und Heizöl. Sie können Anteile an alkoholischen Treibstoffen, wie z.B. Ethanol und Methanol, oder auch Biobrennstoffe, wie z.B. Rapsöl oder Rapsölsäuremethylester, enthalten. Insbesondere sind sie in Ölen wirksam, deren mittels GC bestimmter Gehalt an n-Paraffinen, die Kettenlängen von 22 Kohlenstoffatomen oder mehr aufweisen, bei mindestens 1,0 Flächen-%, insbesondere bei mehr als 1,5 Flächen-%, speziell bei 2,0 und mehr Flächen-% liegt. Der 90 %-Destillationspunkt der erfindungsgemäßen Öle liegt vorzugsweise oberhalb 345°C, insbesondere oberhalb 350°C, speziell oberhalb 355°C. Diese Öle haben Cloud Points oberhalb 5°C, insbesondere oberhalb 8°C.
    Die Additive können allein oder auch zusammen mit anderen Zusatzstoffen verwendet werden, beispielsweise mit Entwachsungshilfsmitteln, Leiffähigkeitsverbessaeren, Entschäumern, Dispergierhilfsmittel, Korrosionsinhibitore, Antioxidantien, Lubricity-Additiven, Dehazern oder Schlamminhibitoren. Die Additivkomponenten können den zu additivierenden Ölen gemeinsam als Konzentratmischung in geeigneten Lösemitteln oder auch getrennt zugesetzt werden.
    Beispiele Charakterisierung der eingesetzten Additive Additive A
  • A1) Copolymer aus Ethylen und 35 Gew.-% Neodecansäurevinylester mit einer bei 140°C gemessenen Schmelzviskosität von 200 mPas.
  • A2) Copolymer aus Ethylen und 31 Gew.-% Neononansäurevinylester mit einer bei 140°C gemessenen Schmelzviskosität von 350 mPas.
  • Additive B
  • B1) Copolymer aus Stearylmaleinimid und Octadecen gemäß EP-A-0 320 766.
  • B2) Alternierendes Copolymer aus Maleinsäureanhydrid und Octadecen, verestert mit einer Mischung gleicher Teile Tetradecanol und Hexadecanol.
  • B3) Alternierendes Copolymer aus Maleinsäureanhydrid und einer Mischung aus 9 Teilen Octadecen und 1 Teil Poly(isobutylen), verestert mit einer Mischung aus 90 % Tetradecanol und 10 % Behenylalkohol.
  • Additive C
  • C1) Copolymer aus Ethylen und 28 Gew.-% Vinylacetat mit einer bei 140°C gemessenen Schmelzviskosität von 300 mPas.
  • C2) Terpolymer aus Ethylen, 24 Gew.-% Vinylacetat und 4 mol-% 4-Methylpenten und einer bei 140°C gemessenen Schmelzviskosität von 250 mPas.
  • C3) Mischung aus 3 Teilen EVA-Copolymer mit 36 Gew.-% Vinylacetat (V140 = 200 mPas) und 1 Teil EVA-Copolymer mit 16 Gew.-% Vinylacetat (V140 = 350 mPas).
  • Alle Additive werden zur leichteren Handhabung und Einmischung in die zu additivierenden Öle als 50 %ige Lösungen in Kerosin bzw. Shellsol AB eingesetzt.
    Tabelle 1: Charakterisierung der Testöle:
    Die Bestimmung der Siedekenndaten erfolgt gemäß ASTM D-86, die Bestimmung des CFPP-Werts gemäß EN 116 und die Bestimmung des Cloud Points gemäß ISO 3015.
    Die Verteilung der n-Paraffine wird gaschromatographisch mit einem HP 5890 Series II durchgeführt. Die Trennung erfolgt auf einer Kieselgelsäule mit 5 % vernetztem Phenylmethylsilikon (Ø 0,32 mm, Länge 50 m, Filmdicke 0,17 µm). Die Detektion erfolgt mittels Wärmeleitfähigkeitsdetektor.
    Für die Analyse werden 3 µl des Mitteldestillates in den auf 230°C aufgeheizten Einlassraum eingespritzt. Die Säule wird von 40°C mit 5 K/min auf 310°C aufgeheizt und diese Temperatur für 5 Minuten gehalten.
    Zur Bestimmung der Flächenprozente der n-Paraffine wird im ersten Schritt die detektierte Gesamtfläche der eingespritzten Probe bestimmt. Im zweiten Schritt erfolgt durch eine "valley-to-valley"-lntegration die Bestimmung der Flächen für die einzelnen n-Paraffine. Diese Fläche dividiert durch die vorher bestimmte Gesamtfläche ergibt die Flächenprozente des jeweiligen n-Paraffins. Somit wird der Anteil der Fläche eines Peaks, der auf ein n-Paraffin zurückzuführen ist, von dem für die Matrix (Isomere der n-Paraffine, Naphthene und Aromaten) separiert.
    Testöl 1 Testöl 2 Testöl 3
    Siedebeginn [°C] 144 139 152
    20 % [°C] 234 222 231
    90 % [°C] 363 355 363
    Cloud Point [°C] +10 +8 +16
    CFPP [°C] +6 +3 +9
    n-Paraffine ≥C22 2,4 % 2,0 % 2,2 %
    CFPP-Wirksamkeit in Testöl 1
    Beispiel 100 ppm 150 ppm 200 ppm 250 ppm
    A1 + B1 (3:1) +2 -4 -5 -10
    A1 + B3 (2:1) 0 -5 -6 -11
    A2 + B2 (2:1) 0 -4 -5 -10
    A1 + C2 + B3 (1:1:1) -1 -5 -8 -14
    A1 + C1 + B2 (1:1:1) 0 -4 -6 -12
    C2 + B1 (2:1) (Vgl.) +4 0 -2 -9
    C3 + B2 (2:1) (Vgl.) +5 +1 -3 -8
    CFPP-Wirksamkeit in Testöl 2
    Beispiel 100 ppm 150 ppm 200 ppm 250 ppm
    A1 + B1 (3:1) 0 -3 -8
    A1 + B3 (2:1) 0 -2 -6 -12
    A2 + B2 +1 -1 -2 -9
    A1 + C2 + B3 (1:1:1) +1 -6 -3 -12
    A1 + C1 + B2 (1:1:1) +1 -2 -7 10
    C2 + B3 (2:1) (Vgl.) +1 +2 +1 -1
    C3 + B2 (2:1) (Vgl.) +2 +2 -2 -2
    CFPP-Wirksamkeit in Testöl 3
    Beispiel 150 ppm 200 ppm 300 ppm 400 ppm
    A1 + B1 (3:1) +5 +4 +1 -1
    A1 + B3 (2:1) +5 +2 -2 -3
    A1 + C2 + B3 (1:1:1) +3 +3 -3 -4
    A1 + C1 + B2 (1:1:1) +4 +3 -1 -2
    C2 + B3 (2:1) (Vgl.) +8 +7 +3 0
    C3 + B2 (2:1) (Vgl.) +7 +6 +3 +3
    A1 (Vgl.) +7 +7 +6
    B3 (Vgl.) +8 +3
    Die Wirksamkeit der erfindungsgemäßen, Neocarbonsäurevinylester enthaltenden Ethylen-Copolymere enthaltenden Mischungen ist den entsprechenden Copolymeren bzw. Polymermischungen des Standes der Technik überlegen.

    Claims (8)

    1. Additive zur Verbesserung der Kaltfließeigenschaften von Mitteldestillaten, enthaltend 10 bis 95 Gew.-% Copolymere A), 5 bis 90 Gew.-% Copolymere B) und 5 gegebenenfalls 0 bis 70 Gew.-% Copolymere C), die folgenden Formeln entsprechen
      A) Copolymere aus niederen Olefinen und Vinylestern, enthaltend
      A1) 85 bis 97 mol-% bivalente Struktureinheiten der Formel -CH2-CR1R2- worin R1 und R2 unabhängig voneinander Wasserstoff oder Methyl bedeuten, und
      A2) mindestens 3 mol-% bivalente Struktureinheiten der Formel
      Figure 00200001
      worin R3 gesättigtes, verzweigtes C6-C16-Alkyl bedeutet, das ein tertiäres Kohlenstoffatom aufweist, dadurch gekennzeichnet, dass R3 mit seinem tertiären Kohlenstoffatom an die Carboxylfunktion gebunden ist,
      B) Copolymere, umfassend
      B1) 40 bis 60 mol-% bivalente Struktureinheiten der Formel
      Figure 00200002
      mit X = O oder N - R4, worin a, b = 0 oder 1 und a + b = 1 sind, und
      B2) 60 bis 40 mol-% bivalente Struktureinheiten der Formel - H2C - CHR5 - und gegebenenfalls
      B3) 0 bis 20 mol-%, bivalente Struktureinheiten, die sich von Polyolefinen ableiten, wobei die Polyolefine aus Monoolefinen mit 3 bis 5 Kohlenstoffatomen ableitbar sind, und worin
      a) R4 einen Alkyl- oder Alkenylrest mit 10 bis 40 Kohlenstoffatomen oder einen Alkoxyalkylrest mit 1 bis 100 Alkoxyeinheiten und 1 bis 30 Kohlenstoffatomen im Alkylrest, und
      b) R5 einen Alkylrest mit 10 bis 50 Kohlenstoffatomen bedeutet, und
      c) die Zahl der Kohlenstoffatome der den Struktureinheiten B3) zugrunde liegenden Polyolefinmoleküle zwischen 35 und 350 beträgt, und gegebenenfalls
      C) ein weiteres von A) und B) verschiedenes Copolymer aus Ethylen und einem oder mehreren Vinyl- oder Acrylester, das allein Wirksamkeit als Kaltfließverbesserer für Mitteldestillate aufweist.
    2. Additiv nach Anspruch 1, worin die Schmelzviskosität der Copolymere A) 20 bis 10.000 mPas beträgt.
    3. Additiv nach Anspruch 1 und/oder 2, worin die Copolymere A) zusätzlich 4 Gew.-% Vinylacetat oder 5 mol-% weiterer Comonomere ausgewählt aus Vinylestern außer Vinylacetat, Vinylethern, (Meth)acrylsäureestern von C1-C4-Alkoholen und Olefinen mit mindestens 5 C-Atomen umfassen.
    4. Additiv nach einem oder mehreren der Ansprüche 1 bis 3, worin R4 in Formel B1 C10-C24-Alkyl bedeutet.
    5. Additive nach einem oder mehreren der Ansprüche 1 bis 4, worin die α-Olefine der Formel B2 Kettenlängen von 14 bis 22 C-Atomen aufweisen.
    6. Additive nach einem oder mehreren der Ansprüche 1 bis 4, worin es sich bei dem Ethylen-Copolymer C) um ein Copolymer handelt, das neben Ethylen 8 bis 13 mol-% wenigstens eines Vinylesters einer C2-C12-Carbonsäure oder eines C1-C30-Alkylmethacrylats, sowie gegebenenfalls 1 bis 6 mol-% wenigstens eines Olefins mit 3 bis 8 C-Atomen umfasst.
    7. Brennstofföl, umfassend ein Mitteldestillat und 0,001 bis 2 Gew.-% eines Additivs nach einem oder mehreren der Ansprüche 1 bis 6.
    8. Verwendung von Additiven gemäß einem oder mehreren der Ansprüche 1 bis 6 zur Verbesserung der Kaltfließeigenschaften von Mitteldestillaten.
    EP01104847A 2000-03-14 2001-02-28 Copolymermischungen und ihre Verwendung als Additiv zur Verbesserung der Kaltfliesseigenschaften von Mitteldestillaten Expired - Lifetime EP1146108B1 (de)

    Applications Claiming Priority (2)

    Application Number Priority Date Filing Date Title
    DE10012267 2000-03-14
    DE10012267A DE10012267B4 (de) 2000-03-14 2000-03-14 Copolymermischungen und ihre Verwendung als Additiv zur Verbesserung der Kaltfließeigenschaften von Mitteldestillaten

    Publications (3)

    Publication Number Publication Date
    EP1146108A2 true EP1146108A2 (de) 2001-10-17
    EP1146108A3 EP1146108A3 (de) 2002-08-07
    EP1146108B1 EP1146108B1 (de) 2006-09-20

    Family

    ID=7634598

    Family Applications (1)

    Application Number Title Priority Date Filing Date
    EP01104847A Expired - Lifetime EP1146108B1 (de) 2000-03-14 2001-02-28 Copolymermischungen und ihre Verwendung als Additiv zur Verbesserung der Kaltfliesseigenschaften von Mitteldestillaten

    Country Status (9)

    Country Link
    US (1) US6565616B1 (de)
    EP (1) EP1146108B1 (de)
    JP (1) JP2001288484A (de)
    BR (1) BR0100233B1 (de)
    CA (1) CA2340524A1 (de)
    DE (2) DE10012267B4 (de)
    ES (1) ES2272366T3 (de)
    NO (1) NO20011254L (de)
    PT (1) PT1146108E (de)

    Cited By (7)

    * Cited by examiner, † Cited by third party
    Publication number Priority date Publication date Assignee Title
    EP1380635A3 (de) * 2002-07-09 2004-03-10 Clariant GmbH Kaltfliessverbesserer für Brennstofföle pflanzlichen oder tierischen Ursprungs
    EP1526167A3 (de) * 2003-10-25 2005-05-11 Clariant GmbH Kaltfliessverbesserer für Brennstofföle pflanzlichen oder tierischen Ursprungs
    EP1541664A1 (de) * 2003-12-11 2005-06-15 Clariant GmbH Brennstofföle aus Mitteldestillaten und Ölen pflanzlichen oder tierischen Ursprungs mit verbesserten Kälteeigenschaften
    EP1541662A1 (de) * 2003-12-11 2005-06-15 Clariant GmbH Brennstofföle aus Mitteldestillaten und Ölen pflanzlichen oder tierischen Ursprungs mit verbesserten Kälteeigenschaften
    EP1857528A1 (de) * 2006-05-16 2007-11-21 Clariant International Ltd. Kaltfliessverbesserer für pflanzliche oder tierische Brennstofföle
    EP1881054A3 (de) * 2006-07-18 2011-02-02 Clariant Finance (BVI) Limited Additive zur Verbesserung der Kälteeigenschaften von Brennstoffölen
    US8979951B2 (en) 2006-07-18 2015-03-17 Clariant Finance (Bvi) Limited Additives for improving the cold properties of fuel oils

    Families Citing this family (16)

    * Cited by examiner, † Cited by third party
    Publication number Priority date Publication date Assignee Title
    DE10245737C5 (de) * 2002-10-01 2011-12-08 Clariant Produkte (Deutschland) Gmbh Verfahren zur Herstellung von Additivmischungen für Mineralöle und Mineralöldestillate
    JP2004193756A (ja) * 2002-12-09 2004-07-08 Canon Inc 電子透かし埋め込み方法
    DE10349850C5 (de) 2003-10-25 2011-12-08 Clariant Produkte (Deutschland) Gmbh Kaltfließverbesserer für Brennstofföle pflanzlichen oder tierischen Ursprungs
    DE10357878C5 (de) * 2003-12-11 2013-07-25 Clariant Produkte (Deutschland) Gmbh Brennstofföle aus Mitteldestillaten und Ölen pflanzlichen oder tierischen Ursprungs mit verbesserten Kälteeigenschaften
    US7326453B2 (en) * 2004-02-04 2008-02-05 3M Innovative Properties Company Article with selectively activated adhesive
    DE102006016588A1 (de) * 2006-04-06 2007-10-18 Rohmax Additives Gmbh Kraftstoffzusammensetzungen umfassend nachwachsende Rohstoffe
    DE102006033150B4 (de) * 2006-07-18 2008-10-16 Clariant International Limited Additive zur Verbesserung der Kälteeigenschaften von Brennstoffölen
    ES2382420T3 (es) 2009-09-25 2012-06-08 Evonik Rohmax Additives Gmbh Una composición para mejorar las propiedades de fluidez en frío de aceites combustibles
    EP2535396B1 (de) 2010-02-10 2017-04-19 NOF Corporation Verfahren unter verwendung von fliessfähigkeitsverbesserer für fette und pflanzenöle
    JP5634302B2 (ja) * 2011-02-28 2014-12-03 株式会社Adeka 脂肪酸メチルエステル用低温流動性向上剤
    US9284505B2 (en) 2011-03-25 2016-03-15 Evonik Oil Additives Gmbh Composition to improve oxidation stability of fuel oils
    CN103635498B (zh) * 2011-11-23 2016-03-02 深圳市广昌达石油添加剂有限公司 一种用于柴油低温流动性改进剂的共聚物及其合成方法
    US20130212931A1 (en) * 2012-02-16 2013-08-22 Baker Hughes Incorporated Biofuel having improved cold flow properties
    JP2015528523A (ja) 2012-09-13 2015-09-28 エボニック オイル アディティヴス ゲゼルシャフト ミット ベシュレンクテル ハフツングEvonik Oil Additives GmbH 植物油および動物性脂肪の低温特性および酸化安定性を向上させるための組成物
    US10604715B2 (en) 2013-02-04 2020-03-31 Evonik Operations Gmbh Cold flow improver with broad applicability in mineral diesel, biodiesel and blends thereof
    CN104830387B (zh) * 2015-05-29 2016-05-04 马健 一种减排柴油防冻剂

    Family Cites Families (19)

    * Cited by examiner, † Cited by third party
    Publication number Priority date Publication date Assignee Title
    US2542542A (en) 1948-08-02 1951-02-20 Standard Oil Dev Co Lubricating oil additives
    US3048479A (en) 1959-08-03 1962-08-07 Exxon Research Engineering Co Ethylene-vinyl ester pour depressant for middle distillates
    US3394114A (en) * 1965-09-08 1968-07-23 Shell Oil Co Process for copolymerizing vinyl esters of alpha-branched monocarboxylic acids with ethylenically unsaturated compounds
    DE1745565A1 (de) * 1967-10-23 1971-10-28 Wacker Chemie Gmbh Verfahren zur Herstellung von Copolymeren aus AEthylen und Vinylestern
    DE1914756C3 (de) 1968-04-01 1985-05-15 Exxon Research and Engineering Co., Linden, N.J. Verwendung von Ethylen-Vinylacetat- Mischpolymerisaten für Erdöl-Destillate
    US3966428A (en) 1973-10-31 1976-06-29 Exxon Research And Engineering Company Ethylene backbone polymers in combination with ester polymers having long alkyl side chains are low viscosity distillate fuel cold flow improvers
    CA1021158A (en) 1973-10-31 1977-11-22 Exxon Research And Engineering Company Low pour point gas fuel from waxy crudes polymers to improve cold flow properties
    DE3405843A1 (de) * 1984-02-17 1985-08-29 Bayer Ag, 5090 Leverkusen Copolymere auf basis von maleinsaeureanhydrid und (alpha), (beta)-ungesaettigten verbindungen, ein verfahren zu ihrer herstellung und ihre verwendung als paraffininhibitoren
    IN163163B (de) 1984-02-21 1988-08-20 Exxon Research Engineering Co
    DE3514878A1 (de) 1985-04-25 1986-11-06 Henkel KGaA, 4000 Düsseldorf Oelloesliche ester von copolymeren des maleinsaeureanhydrids
    GB8521393D0 (en) * 1985-08-28 1985-10-02 Exxon Chemical Patents Inc Middle distillate compositions
    DE3640613A1 (de) 1986-11-27 1988-06-09 Ruhrchemie Ag Verfahren zur herstellung von ethylen-mischpolymerisaten und deren verwendung als zusatz zu mineraloel und mineraloelfraktionen
    DE3742630A1 (de) * 1987-12-16 1989-06-29 Hoechst Ag Polymermischungen fuer die verbesserung der fliessfaehigkeit von mineraloeldestillaten in der kaelte
    DE4042206A1 (de) * 1990-12-29 1992-07-02 Hoechst Ag Terpolymerisate des ethylens, ihre herstellung und ihre verwendung als additive fuer mineraloeldestillate
    DE19620118C1 (de) * 1996-05-18 1997-10-23 Hoechst Ag Terpolymerisate des Ethylens, ihre Herstellung und ihre Verwendung als Additive für Mineralöldestillate
    DE19729055C2 (de) * 1997-07-08 2000-07-27 Clariant Gmbh Brennstofföle auf Basis von Mitteldestillaten und Copolymeren aus Ethylen und ungesättigten Carbonsäureestern
    DE19729057A1 (de) * 1997-07-08 1999-01-14 Clariant Gmbh Copolymere auf Basis von Ethylen und ungesättigten Carbonsäureestern und ihre Verwendung als Mineralöladditive
    US6846338B2 (en) 1997-07-08 2005-01-25 Clariant Gmbh Fuel oils based on middle distillates and copolymers of ethylene and unsaturated carboxylic esters
    DE19802690C2 (de) 1998-01-24 2003-02-20 Clariant Gmbh Additiv zur Verbesserung der Kaltfließeigenschaften von Brennstoffölen

    Cited By (9)

    * Cited by examiner, † Cited by third party
    Publication number Priority date Publication date Assignee Title
    EP1380635A3 (de) * 2002-07-09 2004-03-10 Clariant GmbH Kaltfliessverbesserer für Brennstofföle pflanzlichen oder tierischen Ursprungs
    US7041738B2 (en) 2002-07-09 2006-05-09 Clariant Gmbh Cold flow improvers for fuel oils of vegetable or animal origin
    EP1526167A3 (de) * 2003-10-25 2005-05-11 Clariant GmbH Kaltfliessverbesserer für Brennstofföle pflanzlichen oder tierischen Ursprungs
    EP1541664A1 (de) * 2003-12-11 2005-06-15 Clariant GmbH Brennstofföle aus Mitteldestillaten und Ölen pflanzlichen oder tierischen Ursprungs mit verbesserten Kälteeigenschaften
    EP1541662A1 (de) * 2003-12-11 2005-06-15 Clariant GmbH Brennstofföle aus Mitteldestillaten und Ölen pflanzlichen oder tierischen Ursprungs mit verbesserten Kälteeigenschaften
    EP1857528A1 (de) * 2006-05-16 2007-11-21 Clariant International Ltd. Kaltfliessverbesserer für pflanzliche oder tierische Brennstofföle
    EP1881054A3 (de) * 2006-07-18 2011-02-02 Clariant Finance (BVI) Limited Additive zur Verbesserung der Kälteeigenschaften von Brennstoffölen
    US8961622B2 (en) 2006-07-18 2015-02-24 Clariant Finance (Bvi) Limited Additives for improving the cold properties of fuel oils
    US8979951B2 (en) 2006-07-18 2015-03-17 Clariant Finance (Bvi) Limited Additives for improving the cold properties of fuel oils

    Also Published As

    Publication number Publication date
    CA2340524A1 (en) 2001-09-14
    BR0100233B1 (pt) 2011-05-03
    JP2001288484A (ja) 2001-10-16
    DE10012267B4 (de) 2005-12-15
    DE50111031D1 (de) 2006-11-02
    PT1146108E (pt) 2007-01-31
    ES2272366T3 (es) 2007-05-01
    BR0100233A (pt) 2001-11-06
    NO20011254D0 (no) 2001-03-13
    US6565616B1 (en) 2003-05-20
    EP1146108B1 (de) 2006-09-20
    NO20011254L (no) 2001-09-17
    DE10012267A1 (de) 2001-10-11
    EP1146108A3 (de) 2002-08-07

    Similar Documents

    Publication Publication Date Title
    EP1146108B1 (de) Copolymermischungen und ihre Verwendung als Additiv zur Verbesserung der Kaltfliesseigenschaften von Mitteldestillaten
    EP1541664B1 (de) Brennstofföle aus Mitteldestillaten und Ölen pflanzlichen oder tierischen Ursprungs mit verbesserten Kälteeigenschaften
    EP3224285B1 (de) Copolymerisat und seine verwendung zur verminderung der kristallisation von paraffinkristallen in kraftstoffen
    DE10357878B4 (de) Brennstofföle aus Mitteldestillaten und Ölen pflanzlichen oder tierischen Ursprungs mit verbesserten Kälteeigenschaften
    EP1433836B1 (de) Brennstofföle mit verbesserten Kälteeigenschaften
    EP3464399B1 (de) Copolymerisat und seine verwendung zur verminderung der kristallisation von paraffinkristallen in kraftstoffen
    EP1022293B1 (de) Copolymere und ihre Verwendung als Additiv zur Verbesserung der Kaltfliesseigenschaften von Mitteldestillaten
    EP1541662B1 (de) Brennstofföle aus Mitteldestillaten und Ölen pflanzlichen oder tierischen Ursprungs mit verbesserten Kälteeigenschaften
    DE10012269C2 (de) Verwendung von Copolymermischungen als Additiv zur Verbesserung der Kaltfließeigenschaften von Mitteldestillaten
    EP0890589B1 (de) Lösungen oder Dispersionen auf Basis von Copolymere von Olefinen und ungesättigten Carbonsäureestern und ihre Verwendung als Mineralöladditive
    EP0890633B1 (de) Verwendung von Copolymeren aus Ethylen und ungesättigten Carbonsäureestern in Mitteldestillaten zur Verbesserung der Kaltfliesseigenschaften
    WO2024037904A1 (de) Zusammensetzung zur verminderung der kristallisation von paraffinkristallen in kraftstoffen

    Legal Events

    Date Code Title Description
    PUAI Public reference made under article 153(3) epc to a published international application that has entered the european phase

    Free format text: ORIGINAL CODE: 0009012

    AK Designated contracting states

    Kind code of ref document: A2

    Designated state(s): AT BE CH CY DE DK ES FI FR GB GR IE IT LI LU MC NL PT SE TR

    AX Request for extension of the european patent

    Free format text: AL;LT;LV;MK;RO;SI

    PUAL Search report despatched

    Free format text: ORIGINAL CODE: 0009013

    AK Designated contracting states

    Kind code of ref document: A3

    Designated state(s): AT BE CH CY DE DK ES FI FR GB GR IE IT LI LU MC NL PT SE TR

    AX Request for extension of the european patent

    Free format text: AL;LT;LV;MK;RO;SI

    RIC1 Information provided on ipc code assigned before grant

    Free format text: 7C 10L 1/18 A, 7C 10L 1/14 B, 7C 08L 23/08 B

    17P Request for examination filed

    Effective date: 20030207

    AKX Designation fees paid

    Designated state(s): AT BE CH CY DE DK ES FI FR GB GR IE IT LI LU MC NL PT SE TR

    17Q First examination report despatched

    Effective date: 20041216

    GRAP Despatch of communication of intention to grant a patent

    Free format text: ORIGINAL CODE: EPIDOSNIGR1

    RAP1 Party data changed (applicant data changed or rights of an application transferred)

    Owner name: CLARIANT PRODUKTE (DEUTSCHLAND) GMBH

    GRAS Grant fee paid

    Free format text: ORIGINAL CODE: EPIDOSNIGR3

    GRAA (expected) grant

    Free format text: ORIGINAL CODE: 0009210

    AK Designated contracting states

    Kind code of ref document: B1

    Designated state(s): BE DE ES FR GB GR IT NL PT

    REG Reference to a national code

    Ref country code: GB

    Ref legal event code: FG4D

    Free format text: NOT ENGLISH

    REF Corresponds to:

    Ref document number: 50111031

    Country of ref document: DE

    Date of ref document: 20061102

    Kind code of ref document: P

    REG Reference to a national code

    Ref country code: GR

    Ref legal event code: EP

    Ref document number: 20060403925

    Country of ref document: GR

    GBT Gb: translation of ep patent filed (gb section 77(6)(a)/1977)

    Effective date: 20061220

    REG Reference to a national code

    Ref country code: PT

    Ref legal event code: SC4A

    Free format text: AVAILABILITY OF NATIONAL TRANSLATION

    Effective date: 20061120

    ET Fr: translation filed
    REG Reference to a national code

    Ref country code: ES

    Ref legal event code: FG2A

    Ref document number: 2272366

    Country of ref document: ES

    Kind code of ref document: T3

    PLBE No opposition filed within time limit

    Free format text: ORIGINAL CODE: 0009261

    STAA Information on the status of an ep patent application or granted ep patent

    Free format text: STATUS: NO OPPOSITION FILED WITHIN TIME LIMIT

    26N No opposition filed

    Effective date: 20070621

    PGFP Annual fee paid to national office [announced via postgrant information from national office to epo]

    Ref country code: PT

    Payment date: 20081120

    Year of fee payment: 9

    REG Reference to a national code

    Ref country code: PT

    Ref legal event code: MM4A

    Free format text: LAPSE DUE TO NON-PAYMENT OF FEES

    Effective date: 20100831

    PG25 Lapsed in a contracting state [announced via postgrant information from national office to epo]

    Ref country code: PT

    Free format text: LAPSE BECAUSE OF NON-PAYMENT OF DUE FEES

    Effective date: 20100831

    REG Reference to a national code

    Ref country code: FR

    Ref legal event code: PLFP

    Year of fee payment: 16

    PGFP Annual fee paid to national office [announced via postgrant information from national office to epo]

    Ref country code: GR

    Payment date: 20151221

    Year of fee payment: 16

    Ref country code: GB

    Payment date: 20151207

    Year of fee payment: 16

    PGFP Annual fee paid to national office [announced via postgrant information from national office to epo]

    Ref country code: IT

    Payment date: 20151223

    Year of fee payment: 16

    PGFP Annual fee paid to national office [announced via postgrant information from national office to epo]

    Ref country code: BE

    Payment date: 20160121

    Year of fee payment: 16

    REG Reference to a national code

    Ref country code: FR

    Ref legal event code: PLFP

    Year of fee payment: 17

    PG25 Lapsed in a contracting state [announced via postgrant information from national office to epo]

    Ref country code: BE

    Free format text: LAPSE BECAUSE OF NON-PAYMENT OF DUE FEES

    Effective date: 20170228

    GBPC Gb: european patent ceased through non-payment of renewal fee

    Effective date: 20170228

    PG25 Lapsed in a contracting state [announced via postgrant information from national office to epo]

    Ref country code: GR

    Free format text: LAPSE BECAUSE OF NON-PAYMENT OF DUE FEES

    Effective date: 20170906

    REG Reference to a national code

    Ref country code: BE

    Ref legal event code: MM

    Effective date: 20170228

    REG Reference to a national code

    Ref country code: FR

    Ref legal event code: PLFP

    Year of fee payment: 18

    PG25 Lapsed in a contracting state [announced via postgrant information from national office to epo]

    Ref country code: GB

    Free format text: LAPSE BECAUSE OF NON-PAYMENT OF DUE FEES

    Effective date: 20170228

    Ref country code: IT

    Free format text: LAPSE BECAUSE OF NON-PAYMENT OF DUE FEES

    Effective date: 20170228

    PGFP Annual fee paid to national office [announced via postgrant information from national office to epo]

    Ref country code: NL

    Payment date: 20200225

    Year of fee payment: 20

    Ref country code: ES

    Payment date: 20200323

    Year of fee payment: 20

    PGFP Annual fee paid to national office [announced via postgrant information from national office to epo]

    Ref country code: FR

    Payment date: 20200225

    Year of fee payment: 20

    PGFP Annual fee paid to national office [announced via postgrant information from national office to epo]

    Ref country code: DE

    Payment date: 20200429

    Year of fee payment: 20

    REG Reference to a national code

    Ref country code: DE

    Ref legal event code: R071

    Ref document number: 50111031

    Country of ref document: DE

    REG Reference to a national code

    Ref country code: NL

    Ref legal event code: MK

    Effective date: 20210227

    REG Reference to a national code

    Ref country code: ES

    Ref legal event code: FD2A

    Effective date: 20211230

    PG25 Lapsed in a contracting state [announced via postgrant information from national office to epo]

    Ref country code: ES

    Free format text: LAPSE BECAUSE OF EXPIRATION OF PROTECTION

    Effective date: 20210301