DE69839072T2 - Elektrostatische vorrichtung zur korrektur des chromatischen fehlers in einem teilchenoptischen gerät - Google Patents

Elektrostatische vorrichtung zur korrektur des chromatischen fehlers in einem teilchenoptischen gerät Download PDF

Info

Publication number
DE69839072T2
DE69839072T2 DE69839072T DE69839072T DE69839072T2 DE 69839072 T2 DE69839072 T2 DE 69839072T2 DE 69839072 T DE69839072 T DE 69839072T DE 69839072 T DE69839072 T DE 69839072T DE 69839072 T2 DE69839072 T2 DE 69839072T2
Authority
DE
Germany
Prior art keywords
plane
quadrupole
correction
expression
correction element
Prior art date
Legal status (The legal status is an assumption and is not a legal conclusion. Google has not performed a legal analysis and makes no representation as to the accuracy of the status listed.)
Expired - Lifetime
Application number
DE69839072T
Other languages
English (en)
Other versions
DE69839072D1 (de
Inventor
Alexander Henstra
Marcellinus Petrus Krijn
Current Assignee (The listed assignees may be inaccurate. Google has not performed a legal analysis and makes no representation or warranty as to the accuracy of the list.)
FEI Co
Original Assignee
FEI Co
Priority date (The priority date is an assumption and is not a legal conclusion. Google has not performed a legal analysis and makes no representation as to the accuracy of the date listed.)
Filing date
Publication date
Application filed by FEI Co filed Critical FEI Co
Publication of DE69839072D1 publication Critical patent/DE69839072D1/de
Application granted granted Critical
Publication of DE69839072T2 publication Critical patent/DE69839072T2/de
Anticipated expiration legal-status Critical
Expired - Lifetime legal-status Critical Current

Links

Classifications

    • HELECTRICITY
    • H01ELECTRIC ELEMENTS
    • H01JELECTRIC DISCHARGE TUBES OR DISCHARGE LAMPS
    • H01J37/00Discharge tubes with provision for introducing objects or material to be exposed to the discharge, e.g. for the purpose of examination or processing thereof
    • H01J37/02Details
    • H01J37/04Arrangements of electrodes and associated parts for generating or controlling the discharge, e.g. electron-optical arrangement or ion-optical arrangement
    • H01J37/153Electron-optical or ion-optical arrangements for the correction of image defects, e.g. stigmators
    • HELECTRICITY
    • H01ELECTRIC ELEMENTS
    • H01JELECTRIC DISCHARGE TUBES OR DISCHARGE LAMPS
    • H01J2237/00Discharge tubes exposing object to beam, e.g. for analysis treatment, etching, imaging
    • H01J2237/04Means for controlling the discharge
    • H01J2237/049Focusing means
    • H01J2237/0492Lens systems
    • H01J2237/04924Lens systems electrostatic
    • HELECTRICITY
    • H01ELECTRIC ELEMENTS
    • H01JELECTRIC DISCHARGE TUBES OR DISCHARGE LAMPS
    • H01J2237/00Discharge tubes exposing object to beam, e.g. for analysis treatment, etching, imaging
    • H01J2237/153Correcting image defects, e.g. stigmators
    • H01J2237/1534Aberrations

Landscapes

  • Chemical & Material Sciences (AREA)
  • Analytical Chemistry (AREA)
  • Electron Beam Exposure (AREA)

Description

  • I. Gebiet der Erfindung.
  • Die Erfindung betrifft einen Korrektor zur Korrektur der chromatischen Aberration einer Fokussierlinse in einer teilchenoptischen Vorrichtung, wobei die Fokussierlinse vom Korrektor beabstandet ist, wobei der Korrektor mindestens zwei gegenseitig beabstandete Korrekturelemente aufweist, von denen jedes mit Elektroden zur Erzeugung elektrischer Quadrupolfelder versehen ist, wobei die Elektroden in aufeinanderfolgenden Schichten längs einer optischen Achse angeordnet sind, die dem Korrektor und der Fokussierlinse gemeinsam ist, wobei die Quadrupolfelder, die durch die Elektroden in den Schichten erzeugt werden, um einen Winkel von im wesentlichen 90° um die optische Achse relativ zu dem Quadrupolfeld gedreht sind, das durch die Elektrode in einer angrenzenden Schicht erzeugt wird.
  • Ein Korrektursystem zur Korrektur von Linsenfehlern in teilchenoptischen Vorrichtungen wird in einem Artikel mit dem Titel „A Possible Chromatic Correction System for Electronic Lenses" von G.D. Archard, Proc. Phys. Soc. London, 1955, S. 817–829, insbesondere in den Abschnitten 6 und 7 und 2b beschrieben.
  • II Allgemeiner Stand der Technik
  • Teilchenoptische Vorrichtungen, wie Elektronenmikroskope oder Elektronenlithographievorrichtungen, sind im allgemeinen eingerichtet, ein Objekt, das untersucht oder behandelt werden soll, mittels eines Strahls elektrisch geladener Teilchen (üblicherweise einem Elektronenstrahl) zu bestrahlen, der mittels einer Teilchenquelle, wie einer thermischen Elektronenquelle oder einer Elektronenquelle des Feldemissionstyps erzeugt wird. Der Grund der Bestrahlung des Objekts kann es sein, das zu untersuchende Objekt (Proben in Elektronenmikroskopen) abzubilden oder sehr kleine Strukturen auf dem Objekt zum Beispiel für die Mikroelektronik zu erzeugen (Vorrichtung zur Elektronenlithographie). In beiden Fällen werden Fokussierlinsen zum Fokussieren des Elektronenstrahls benötigt.
  • Die Fokussierung des Elektronenstrahls kann im Prinzip auf zwei Arten durchgeführt werden. Gemäß eines ersten Verfahrens wird die Zone, die von einer zu untersuchenden Probe abgebildet werden soll, mehr oder weniger gleichmäßig mittels des Elektronenstrahls bestrahlt, und es wird mittels der Fokussierlinse ein vergrößertes Bild der Probe gebildet. Die Fokussierlinse wird in diesem Fall durch die Objektivlinse eines Abbildungslinsensystems gebildet; die Auflösung der Objektivlinse entscheidet dann die Auflösung der Vorrichtung. Vorrichtungen dieser Art sind als Transmissionselektronenmikroskope (TEM) bekannt. Gemäß eines zweiten Fokussierverfahrens wird die Emissionsfläche der Elektronenquelle (oder ein Teil davon) üblicherweise in beträchtlich verkleinerter Form auf der zu untersuchenden Probe (im Rasterelektronenmikroskop oder SEM) oder auf einem Objekt abgebildet, auf dem (in der Lithographievorrichtung) die maßgebliche Mikrostruktur bereitgestellt werden soll. Das Bild der Elektronenquelle (der „Fleck", der über das Objekt zum Beispiel mittels Ablenkspulen bewegt wird) wird wiederum mittels eines Abbildungslinsensystems gebildet. Die Fokussierlinse ist dann die Objektivlinse des fleckbildenden Linsensystems; die Auflösung dieser Objektivlinse i entscheidet dann die Fleckgröße des Strahls und folglich die Auflösung der Vorrichtung.
  • Die Linsen, die in allen solchen Vorrichtungen verwendet werden, sind üblicherweise Magnetlinsen, können jedoch auch elektrostatische Linsen sein. Die Linsen beider Typen sind praktisch immer rotationssymmetrisch. Solche Linsen weisen zwangsläufig ein nichtideales Verhalten auf, d.h. sie weisen von sich aus Linsenfehler auf, die die Auflösung der Linse begrenzen; ihre sogenannte sphärische Aberration und chromatische Aberration sind üblicherweise ausschlaggebend für die Auflösung der Linse. Diese Linsenfehler bestimmen folglich die Grenze der Auflösung der bekannten elektronenoptischen Vorrichtung. Gemäß eines Theorems der Teilchenoptik können diese Linsenfehler nicht durch Kompensation mittels rotationssymmetrischer elektrischer oder magnetischer Felder beseitigt werden.
  • In heutigen elektronenoptischen Vorrichtungen, insbesondere in einer abtastenden teilchenoptischen Vorrichtung mit einer fleckbildenden Objektivlinse (dem sogenannten Rasterelektronenmikroskop (SEM)) gibt es eine Tendenz, einen Wert für die Beschleunigungsspannung des Elektronenstrahls zu wählen, die niedriger als es bisher üblich war, d.h. in der Größenordnung von 0,5 kV bis 5 kV anstelle der vorher üblichen Spannung in der Größenordnung von 30 kV oder mehr. Dies liegt daran, daß die Aufladung von nichtleitenden Proben (zum Beispiel einem Photoresistmaterial für die Herstellung von elektronischen integrierten Schaltungen) bei solchen vergleichsweise niedrigen Beschleunigungsspannungen wesentlich reduziert wird, und daran, daß bei diesen niedrigen Spannungen auch eine wesentliche Verbesserung des sogenannten topographischen Kontrasts erzielt wird. Für solche niedrigen Beschleunigungsspannungen ist die chromatische Aberration der vorherrschende Linsenfehler, also der Faktor, der die Auflösung der teilchenoptischen Vorrichtung entscheidet. (Dies kann leicht verstanden werden, wenn man die Tatsache berücksichtigt, daß die chromatische Aberration zu ΔΦ/Φ proportional ist, wobei ΔΦ die nichtvariable Energiestreuung des Elektronenstrahls ist und Φ die Nennbeschleunigungsspannung ist; dieser Faktor nimmt daher zu, wenn Φ reduziert wird.)
  • Um dennoch die Auflösung der teilchenoptischen Vorrichtung zu verbessern, ist schon vorgeschlagen worden, die Linsenfehler mittels einer Korrekturvorrichtung zu reduzieren (die auch als Korrektor bezeichnet wird), die eine Struktur aufweisen, die nicht rotationssymmetrisch ist.
  • III Hintergrund des Stands der Technik
  • Der Ansatz, dem gefolgt werden kann, um zu versuchen, die chromatische Aberration eines Abbildungssystems mittels optischer Elemente gleich null zu machen, die nicht rotationssymmetrisch sind, ist schon in einem Artikel mit dem Titel „Sphärische und chromatische Korrektur von Elektronen-Linsen", Optik 2, S. 114–132, von O. Scherzer, insbesondere auf S. 114–119 beschrieben worden.
  • Die nicht rotationssymmetrischen optischen Elemente, die im zitierten Artikel (insbesondere in den Abschnitten 1a, 1b und 1c) beschrieben werden, bestehen aus Zylinderlinsen und Quadrupolfeldern und Monopolfeldern, die als Korrekturelemente dienen. Die Zylinderlinsen bilden eine astigmatische Bahn für die Elektronenstrahlen, und die Korrekturelemente, die aus einer Kombination von Quadrupolfeldern und Monopolfeldern bestehen, sind in der astigmatischen Bahn angeordnet. Die chromatische Aberration der Elektronenbahn in dieser bekannten Struktur wird in einer ersten Ebene korrigiert, die die optische Achse enthält (die sogenannte x-z-Ebene), und anschließend geschieht dasselbe in einer zweiten Ebene, die sich senkrecht dazu erstreckt (der y-z-Ebene). In dem Bereich, wo die Elektronenbahn in der x-z-Ebene einer chromatischen Korrektur unterzogen wird, ist der Abstand zwischen dem Elektronenstrahl und der optischen Achse in der y-z-Ebene für Elektronen mit Nennenergie gleich null und umgekehrt. Da im Elektronenstrahl eine Energie vorkommt, die von der Nennenergie abweicht, folgen die Elektronenstrahlen mit dieser abweichenden Energie einer anderen Bahn als die Strahlen mit Nennenergie. Die Elektronenstrahlen mit dieser abweichenden Energie durchqueren folglich das Korrekturelement längs einer Bahn, der von der Nennbahn abweicht; folglich ist in den Bereichen mit einem Abstand null von der Achse für diese Strahlen der Abstand von der Achse nicht gleich null. Jedoch wird im zitierten Artikel vorausgesetzt, daß für die Strahlen mit abweichender Energie dieser Abstand von der optischen Achse so klein ist, daß deren Ablenkeffekt vernachlässigbar klein ist. (In dieser Hinsicht siehe insbesondere Abschnitt 1c des zitierten Artikels.)
  • Weitere Korrekturen zur Korrektur der chromatischen Aberration werden in Muland Szilagyi, „Synthesis of monopole-and-quadrupole focusing columns", J. Vac. Sci. Technol. B 12(5), 1994, S. 3036–3045, DE-A1-4204512 und EP 0257694-A1 offenbart.
  • III-1 Das Problem, das vom Stand der Technik herrührt
  • Im allgemeinen kann die Konfiguration, die im Artikel von Scherzer offenbart wird, nicht einfach in einer teilchenoptischen Vorrichtung verwendet werden. Die Konfiguration nach Scherzer bildet ein Abbildungssystem, während eine teilchenoptische Vorrichtung, wie ein SEM ein Korrektursystem benötigt, das nur die chromatische Aberration korrigiert und keine oder kaum eine Wirkung auf die Stärke der Abbildungslinse (das Objektiv) hat. Es wäre machbar, das aus dem zitierten Artikel bekannte System durch ein System mit Strahlen zu ersetzen, die parallel ankommen und parallel herauskommen, so daß dem letztgenannten System das Objektiv folgen kann und die chromatische Aberration des Systems jene des Objektivs kompensieren kann. Die beschriebene Voraussetzung, daß für die Strahlen abweichender Energie der Abstand von der optischen Achse so klein ist, daß der Ablenkeffekt vernachlässigbar klein ist, erscheint jedoch unter praktischen Umständen heutiger teilchenoptischer Vorrichtungen ungültig zu sein, wie im folgenden in den Abschnitten III-2-a und III-2-b im Detail beschrieben wird.
  • Insbesondere in einer teilchenoptischen Vorrichtung des SEM-Typs weisen infolge der benötigten Stärke der Objektivlinse die elektrostatischen Felder, die in der Korrektureinheit verwendet werden sollen, eine solche Stärke auf, daß trotz eines kleinen Abstands von der Achse immer noch eine unzulässige Beeinflussung der Elektronenstrahlen stattfinden würde, die sich in einem kleinen Abstand von der optischen Achse bewegen. Folglich würden Elektronen mit einer Energie, die vom Nennwert abweicht, den Korrektor an einer Stelle verlassen, die wesentlich von der Nennstelle abweicht. Dieser Effekt würde dann einen weiteren Fehler einführen, den sogenannten chromatischen Vergrößerungsfehler, der die Auflösung der teilchenoptischen Vorrichtung auf im wesentlichen dasselbe Maß begrenzen würde, wie die schon beschriebene chromatische Aberration. Dies liegt daran, daß bewiesen werden kann, daß für den Radius des Streukreises rspot infolge des letztgenannten chromatischen Fehlers gilt, daß: rspot = a(δΦ)2Ccα, in dem a eine Konstante ist, Cc der chromatische Aberrationskoeffizient des Objektivs ist, δΦ die relative Abweichung von der Nennenergie der Elektronen (also δΦ = ΔΦ/Φ0) ist und α der Öffnungswinkel des Elektronenstrahls ist. Nach Computersimulationen ist die Konstante a sehr viel größer als 100, so daß kaum irgendein Gewinn bezüglich der Auflösung erlangt wird, indem die chromatische Aberration erster Ordnung gegen die letztgenannte chromatische Aberration (zweiter Ordnung) ausgetauscht wird.
  • In den folgenden Abschnitten III-2-a und III-2-b wird bewiesen, daß die Verwendung des Verfahrens, das im zitierten Artikel von Scherzer offenbart wird, in einem Elektronenmikroskop zu einem unannehmbar großen chromatischen Vergrößerungsfehler führt.
  • III-2 Der erlittene chromatische Vergrößerungsfehler bei der Verwendung des gegenwärtigen Stands der Technik
  • Zuerst wird in den folgenden Abschnitten III-2-a-1 bis III-2-a-3 ein Ausdruck für die maßgeblichen optischen Eigenschaften eines Korrekturelements sowohl für die Korrekturstärke (Kcorr) in der x-z-Ebene, in der das Korrekturelement eine direkte Sicht (also Linsenstärke Kx = 0) aufweist, als auch für die Linsenstärke (Ky) in der y-z-Ebene hergeleitet. Ein Vergleich der beiden Größen Kcorr und Ky wird die Stärke in der y-z-Ebene für die erwünschte Korrektur der chromatischen Aberration (erster Ordnung) deutlich machen. Anschließend wird im nächsten Abschnitt III-2-b bewiesen, daß die Verwendung eines solchen Korrekturelements in einem Korrektursystem zu einem unannehmbar hohen Wert des chromatischen Vergrößerungsfehlers führt.
  • III-2-a Bestimmung der maßgeblichen optischen Eigenschaften eines Korrekturelements
  • Für die folgenden Berechnungen wird vom „Ansatz einer schwachen Korrektor" Gebrauch gemacht, d.h. die Variation des Achsenpotentials des Korrektors ist sehr viel kleiner als das Potential des Beschleunigungsfelds, so daß die Störungstheorie verwendet werden kann; es wird außerdem vorausgesetzt, daß die chromatische Korrektur in der x-z-Ebene stattfindet.
  • Der Ausgangspunkt ist die Gleichung (1.4) im zitierten Artikel von Scherzer, die die paraxiale Bewegungsgleichung in der x-z-Ebene ist: Φx'' + 12 Φ'x' – (Φ214 Φ'')x = 0 (1)
  • Die verschiedenen Symbole im Ausdruck (1) haben die folgende Bedeutung:
    • – Φ ist der rotationssymmetrische Term (der Term „nullter Ordnung") in der Reihenentwicklung des Potentialen auf der optischen Achse; da x und y auf der optischen Achse beide 0 sind, ist dieser Term des Achsenpotentials nur von z abhängig;
    • – Φ' und Φ'' sind die erste bzw. die zweite Ableitung nach z des Terms nullter Ordnung des Potentialen auf der optischen Achse (folglich sind diese Ableitungen ebenfalls ausschließlich von z abhängig);
    • – Φ2 ist der Quadrupolterm (der Term zweiter Ordnung) in der Reihenentwicklung des Potentialen auf der optischen Achse; er hängt ebenfalls ausschließlich von z ab.
  • Unter Verwendung der allgemein bekannten Transformation auf die verkleinerter Koordinate X = xΦ1/4 (also x = XΦ–1/4), in der X die sogenannte „ficht-Variable" ist, wird eine vereinfachte Version der paraxialen Bewegungsgleichung (1) erhalten: X'' + TX = 0 (2)
  • Die Variable T im Ausdruck (2) ist eine Funktion von Φ, Φ' und Φ2 in Übereinstimmung mit:
    Figure 00080001
  • Dieser Ausdruck (3) für T wird erhalten, indem der Ausdruck für x als eine Funktion von X und seine Ableitungen im Ausdruck (1) eingesetzt werden.
  • Um eine Definition der Korrektorstärke eines Korrekturelements für die chromatische Aberration zu erreichen, wird eine Analogie mit einer rotationssymmetrischen Linse berücksichtigt. Für eine rotationssymmetrische Linse ist der chromatische Aberrationskoeffizient Cc in einer allgemeinen bekannten Weise in Übereinstimmung mit der Gleichung definiert:
    Figure 00080002
    in der die Symbole die folgende Bedeutung aufweisen:
    • – x ist der Abstand von der optischen Achse für ein Elektron, das sich parallel zur optischen Achse bewegt und auf die Linse trifft;
    • – Δ(x') ist die durch die chromatische Aberration verursachte Abweichung des Winkels zwischen der Elektronenbahn und der optischen Achse nach der Beugung durch die Linse; darin ist x' (= dx/dz, wobei z die Ortskoordinate in die Richtung der optischen Achse ist) der Winkel zwischen der Elektronenbahn und der optischen Achse;
    • – ΔΦ/Φ0n ist die Abweichung ΔΦ (ausgedrückt in einem äquivalenten Spannungsmaß) der Energie eines Elektrons relativ zur Nennenergie Φ0n. Φ0 ist im allgemeinen das Potential, mit dem die Elektronen in den Korrektor eintreten; diese Größe enthält daher immer noch die thermische Energiestreuung ΔΦ). Daher gilt für ein Elektron, das nicht die Nennenergie aufweist, daß Φ0 = Φ0n + ΔΦ.
    • – f ist die Brennweite der Linse (auch als 1/K ausgedrückt, die die reziproke Stärke der Linse ist).
  • Analog zur vorhergehenden Definition ist die Korrektorstärke Kcorr eines Korrekturelements für die chromatische Aberration definiert als:
    Figure 00090001
    oder:
    Figure 00090002
  • Die Symbole in den Ausdrücken (5) und (6), die noch nicht beschrieben worden sind, haben die folgende Bedeutung:
    • – X ist der Abstand von der optischen Achse für ein Elektron im Korrekturelement; X(1) ist der X-Wert im Bereich z = 1, d.h. am Ausgang des Korrekturelements. Es wird vorausgesetzt, daß das Elektron parallel zur optischen Achse in das Korrekturelement eintritt und es verläßt, also X'(–1) = X'(1) = 0;
    • – ΔX'(1) ist die Abweichung des Winkels zwischen der Elektronenbahn und der optischen Achse für die Korrektur der chromatischen Aberration der zu korrigierenden Linse; darin ist X' (= dX'/dz) der Winkel zwischen der Elektronenbahn und der optischen Achse.
  • Um einen Ausdruck für die Stärke des Korrekturelements in der x-z-Ebene zu finden, muß daher die Abweichung des Winkels zwischen der Elektronenbahn und der optischen Achse ΔX'(1) bestimmt werden. Zu diesem Zweck wird zuerst die Funktion T (siehe Ausdruck (3)) explizit bestimmt, wonach unter Verwendung dieses expliziten Ausdrucks für T die Größe ΔX'(1) durch die Lösung der Differentialgleichung bestimmt wird, die durch den Ausdruck (2) gegeben ist.
  • Die Störungstheorie wird angewendet, um die obigen Berechnungen auszuführen; es kann dann von einer Reihenentwicklung Gebrauch gemacht werden, in der T und X' nicht weiter als bis zur zweiten Ordnung entwickelt werden.
  • III-2-a-1 Bestimmung der Funktion T
  • Die Bestimmung der Funktion T beruht auf dem Ausdruck (3). Es wird vorausgesetzt, daß die Variation des Potentialen Φ im Korrekturelement relativ zur Energie (ausgedrückt in einem äquivalenten Potentialmaß) Φ0 klein ist, mit der die Elektronen in das Korrekturelement eintreten. Für das Gesamtpotential Φ eines beliebigen Elektrons in einem Korrekturelement kann dann das folgende geschrieben werden: Φ = Φ0 + εg, in dem g eine Funktion von z ist, die die Potentialvariation im Korrekturelement repräsentiert, und die Größe ε ein Ordnungsparameter ist, dessen Exponent die Ordnung der Reihenentwicklung repräsentiert. Die Größe Φ0 ist konstant, also keine Funktion von z.
  • Die Berechnung gilt für alle Elektronen, also für Elektronen des Nennpotentials Φ0n sowie für Elektronen, die davon um einen beliebigen Betrag ΔΦ abweichen, also Elektronen mit dem Potential Φ0n + ΔΦ.
  • Für die Funktion g = g(z) gilt am Eingang (z = –1) und am Ausgang (z = 1) des Korrekturelements, daß: g(–1) = g'(–1) = g(1) = g'(1) = 0. Unter Verwendung dieser Wahl für Φ folgt außerdem, daß Φ' = εg'.
  • Die Wahl von Φ2 beruht auf dem Ausdruck (2.6) im zitierten Artikel von Scherzer (siehe Seite 117). In diesem Ausdruck Φ = Φ0n + εg (dem Achsenpotential eines Elektrons mit Nennenergie) werden Φ' = εg' und Φ'' = εg'' eingesetzt und bis zur und einschließlich der zweiten Ordnung entwickelt. Die Ausführung dieser Operationen ergibt für Φ2:
    Figure 00100001
  • Dieser Ausdruck (7) wird nun verallgemeinert, indem –(1/16)g'2 durch eine nicht spezifizierte Funktion h = h(z) ersetzt wird. Der Ausdruck (7) wird folglich:
    Figure 00110001
    (Diese Verallgemeinerung wird durchgeführt, da es in der Praxis schwierig wäre, eine Vorrichtung herzustellen, die die gewünschte Potentialvariation gemäß des Terms Φ'2/Φ aus der Scherzer-Formel (2.6) zeigt. Es folgt aus der Berechnung und ist mittels einer Computersimulation bewiesen worden, daß das wirkliche Auftreten dieser Funktion h den endgültigen Korrektureffekt nicht wesentlich beeinflußt, so daß diese Verallgemeinerung gerechtfertigt ist und folglich dieser Term nicht exakt verwirklicht werden braucht.)
  • Der Ausdruck (8) sowie der vorher erwähnte Ausdruck Φ = Φ0 + εg und seine Ableitungen Φ' = εg' und Φ'' = εg'' werden dann in den Ausdruck (3) für die Funktion T eingesetzt, wonach diese Funktion bis zur und einschließlich der zweiten Potenz von ε entwickelt wird. Dies ergibt den folgenden Ausdruck für die Funktion T:
    Figure 00110002
  • Dieser Ausdruck (9) besteht aus einem Term T1 erster Ordnung (also proportional zu ε) und einem Term T2 zweiter Ordnung (also proportional zu ε2). Wenn daher T = T1 + T2 geschrieben wird, gilt daß:
    Figure 00110003
    und
    Figure 00110004
  • III-2-a-2 Bestimmung der Abweichung des Austrittswinkels ΔX'(1)
  • Um den Austrittswinkel ΔX'(1) zu bestimmen, wird nachstehend zuerst die Funktion h in einer solchen Weise bestimmt, daß das Korrekturelement eine direkte Sicht aufweist (wie schon im Abschnitt III-2 angegeben); dies wird zum Ausdruck (18) führen. Anschließend wird die Stärke des Korrekturelements als eine Funktion des Potentialen auf der Achse Φ(z) bestimmt; dies wird den Ausdruck (20) ergeben.
  • Die Bahngleichung X wird nun als die Summe von drei Termen geschrieben, d.h. einem Term nullter Ordnung, der gleich 1 ist, einem Term X1 erster Ordnung und einem Term X2 zweiter Ordnung, also X = 1 + X1 + X2. (Es folgt außerdem daraus, daß X' = X1' + X2' und X'' = X1'' + X2''.) Die Differentialgleichung für X, die durch den Ausdruck (2) gegeben ist, nimmt nach dem Einsetzen der obigen Ausdrücke X = 1 + X1 + X2 und X'' = X1'' + X2'' und dem vorher erwähnten Ausdruck T = T1 + T2 die folgende Erscheinung an: X''1 + X''2 + (T1 + T2)(1 + X1 + X2) = 0 (12)die nach dem Aufspalten in den Teil erster Ordnung und den Teil zweiter Ordnung und dem Einsetzen des Ausdrucks (10) für T1 für X1 ergibt:
    Figure 00120001
  • Als der Teil zweiter Ordnung des Ausdrucks (12) folgt für X2, daß: X''2 + T1X1 + T2 = 0 (14)
  • Einsetzen der Ausdrücke (10) für T1, (11) für T2 und (13) für X1 ergibt dann:
    Figure 00120002
  • Es ist zu beachten, daß sich aus dem Ausdruck (15) ergibt, daß X2'' proportional zu ε2 ist, wie es erwartet werden konnte, da X2 den Teil zweiter Ordnung der Bahngleichung repräsentiert. Die obige Differentialgleichung für X2 kann dann einmal über das Intervall zwischen z = –1 und z = 1 integriert werden, was ergibt:
    Figure 00130001
    wofür Gebrauch gemacht wird von
    Figure 00130002
    wobei der Ausdruck (17) aus einer partiellen Integration mit den Nebenbedingungen g(–1) = g'(–1)= g(1)= g'(1) = 0 folgt. X2(–1) im Ausdruck (17) ist gleich null, da es gilt, daß X'(–1) = X1'(–1) + X2(–1), wobei X'(–1) aufgrund der Nebenbedingung g'(–1) = 0 in Kombination mit dem Ausdruck (13) gleich null ist, und wobei X1'(–1) aufgrund der Nebenbedingung g'(–1) = 0 in Kombination mit dem Ausdruck (13) gleich null ist.
  • Die Form ∫hdz kann auch in –∫g'2dz ausgedrückt werden. Zu diesem Zweck wird von der Anforderung Gebrauch gemacht, daß die Korrektureinheit für die Nennenergie eine direkte Sicht aufweisen muß, also X'(1) = 0 für ΔΦ = 0 oder Φ0 = Φ0n. Da auf der Grundlage des Ausdrucks (13) in Kombination mit der Nebenbedingung g'(1) = 0 gilt, daß X'(1) = X1'(1) + X2'(1) und X1'(1) = 0, gilt folglich, daß X2'(1) = 0 für Φ0 = Φ0n. Dies bedeutet, daß der linke Term des Ausdrucks (16) gleich null sein muß, so daß die Relation zwischen ∫hdz und –∫g'2dz folgt aus:
    Figure 00130003
  • h kann durch den obigen Integralausdruck (18) im Ausdruck (16) ersetzt werden, während für ein Elektron mit Nicht- Nennpotential Φ0 = Φ0n + ΔΦ geschrieben werden kann, und für X2'(1) – X2'(–1) = ΔX2'(1); Φ' = εg' wird ebenfalls eingesetzt (siehe Abschnitt III-2-a-1). Dies ergibt:
    Figure 00140001
  • Die Stärke des Korrekturelements ist durch den Ausdruck (6) gegeben, in dem die Größe ΔX2'(1) im Zähler durch den Ausdruck (19) gegeben ist. Hinsichtlich des Nenners X(1) des Ausdrucks (6) ist zu beachten, daß er zweiter Ordnung ist, da X(1) = 1 + X1(1) + X2(1), wobei X1(1) = 0 (da g(1) = 0 in Kombination mit dem Ausdruck (13)) und wobei X2(1) zweiter Ordnung ist, so daß X(1) zweiter Ordnung ist. Da der Zähler des Ausdrucks (6) zweiter Ordnung ist (siehe Ausdruck (16), in dem ε2 auftritt), kann X(1) im Nenner des Ausdrucks (6) gleich 1 gemacht werden. Unter diesen Umständen ergibt das Einsetzen des Ausdrucks (19) in den Ausdruck (6) den endgültigen Ausdruck hinsichtlich der Stärke Kcorr des Korrekturelements in der x-z-Ebene:
    Figure 00140002
  • III-2-a-3 Bestimmung der Stärke des Korrekturelements in der y-z-Ebene
  • Die in diesem Abschnitt beschriebene Berechnung wird für ein Elektron mit Nennpotential Φ0n gelten. Auf der Grundlage der Gleichung (1.4) im zitierten Artikel von Scherzer, die die paraxiale Bewegungsgleichung in der y-z-Ebene ist, wird in der y-z-Ebene die bekannte Transformation auf die verkleinerte Koordinate Y analog zur x-z-Ebene durchgeführt: Y = yΦ1/4, die die paraxiale Bewegungsgleichung in der y-z-Ebene Y'' + TY = 0 ergibt. (Vergleiche Ausdruck (2) für die x-z-Ebene.) Die nun anwendbare Funktion T ist dann:
    Figure 00140003
  • Es ist zu beachten, daß der Ausdruck für die Funktion T für die y-z-Ebene mit der Ausnahme des Vorzeichens von Φ2/Φ derselbe wie jener für die Funktion T für die x-z-Ebene ist.
  • Die Stärke Ky des Korrekturelements in der y-z-Ebene ist definiert als
    Figure 00150001
  • Y = 1 + Y1 + Y2 kann analog zur Berechnung für die x-z-Ebene definiert werden. Der Term Y1 erster Ordnung im Bereich 1 (also Y1(1)) ist null, so daß Y(1) = 1 + Y2(1), in dem Y2(1) zweiter Ordnung ist, so daß der Nenner Y(1) des Ausdrucks (26) zweiter Ordnung ist. Der Zähler Y'(1) ist wiederum zweiter Ordnung für die y-z-Ebene, so daß Terme einer Ordnung, die höher als null ist, im Zähler ignoriert werden können und vorausgesetzt werden kann, daß der Zähler 1 ist. Folglich bleibt für die Stärke Ky des Korrekturelements in der y-z-Ebene: Ky ≈ –Y'(1), so daß in Übereinstimmung mit der obigen Relation Y(1) = 1 + Y2(1) gilt, daß: Ky = –Y2'(1).
  • Der noch zu bestimmende Ausdruck für Y2'(1) weist dieselbe Struktur wie der Ausdruck für X2'(1) auf (der aus der Gleichung (16) folgt; jedoch haben aufgrund des entgegengesetzten Vorzeichens in der Funktion T eine Anzahl von Koeffizienten in der Herleitung des Ausdrucks für Y2'(1) einen anderen Wert erhalten. Nach einer Berechnung, die auf dieselbe Art wie die für die x-z-Ebene durchgeführt wird, wird schließlich der folgende Ausdruck für Y2'' erhalten:
    Figure 00150002
    wobei der Ausdruck zum Ausdruck (15) analog ist, der für die x-z-Ebene gilt. Unter Verwendung einer Berechnung, die analog zu jener ist, die für die x-z-Ebene verwendet wird, folgt schließlich der folgende Ausdruck für Y2'(1) aus dem Ausdruck (23):
    Figure 00160001
    wobei der Ausdruck zu einem Ausdruck für die x-z-Ebene analog ist, der auftritt, wenn der Ausdruck (15) einmal integriert wird und ein Integralausdruck (18) für h darin eingeschlossen wird.
  • Wenn schließlich εg' = Φ' in den Ausdruck (24) eingesetzt wird, wird der endgültige Ausdruck für die Stärke Ky des Korrekturelements in der x-z-Ebene erhalten:
    Figure 00160002
    der, indem der Ausdruck (20) verwendet wird, für den Wert von Ky ergibt: Ky = 14Kcorr (26)
  • Die wesentliche Schlußfolgerung kann aus dem Ausdruck (26) gezogen werden, daß im Fall eines Direktsicht-Korrekturelements die Linsenstärke in der y-z-Ebene um ein vielfaches größer als die Korrektorstärke in der x-z-Ebene ist; der Wert dieses Faktors liegt daher in der Größenordnung von 14. Wenn man eine Computersimulation mit einer typischen Konfiguration verwendet und außerdem die exakten Elektronenbahnen verwendet, ergibt sich, daß dieser Faktor annähernd 20 beträgt, so daß die vorher beschriebenen Ansätze auf jedem Fall die korrekte Größenordnung für diesen Faktor ergeben.
  • Es ist zu beachten, daß die Größe Ky eine Linsenstärke angibt, also eine Größe, deren Kehrwert eine Brennweite repräsentiert, und daß die Größe Kcorr eine Korrektorstärke angibt, also eine Größe, die angibt, in welchem Ausmaß ein Elektron mit abweichender Energie beim Verlassen des Korrekturelements eine Winkelabweichung relativ zur optischen Achse zeigt. Daher ist die letztgenannte Größe keine Linsenstärke.
  • III-2-b Verwendung eines Korrekturelements in einem Korrektursystem
  • Es wird nachstehend bewiesen, daß der chromatische Vergrößerungsfehler aufgrund Ky = 14Kcorr einen unzulässig hohen Wert annimmt. Zu diesem Zweck wird vorausgesetzt, daß das einzelne Korrekturelement, das oben beschrieben wird, einen Teil eines bekannten Systems zur Korrektur der chromatische Aberration ist, wie im Artikel von Archard beschrieben. Das darin beschriebene Korrektursystem besteht aus einer Kombination von zwei Quadrupollinsen, die jeweils eine Stärke KQ aufweisen, und einigen Korrekturteilsystemen, wobei jedes Teilsystem aus einem einzelnen Korrekturelement besteht, wie oben beschrieben, das zwischen zwei Quadrupollinsen angeordnet ist, die jeweils eine Stärke KQ/2 aufweisen. Das Gesamtkorrektursystem besteht folglich aus einer Aufeinanderfolge einer ersten Quadrupollinse, eines ersten und eines zweiten Teilsystems, und einer zweiten Quadrupollinse. Für die Berechnung wird vorausgesetzt, daß alle Quadrupollinsen und das einzelne Korrekturelement im Korrektursystem als dünne Elemente ausgebildet sind, daß jede Quadrupollinse einen chromatischen Aberrationskoeffizienten Cc,Q aufweist, der der reziproken Stärke (d.h. 1/KQ oder 2/KQ) gleichkommt, daß für den Abstand d zwischen der ersten Quadrupollinse und dem ersten Korrekturteilsystem gilt, daß d = 1/KQ, was außerdem für den Abstand d zwischen dem zweiten Korrekturteilsystem gilt, und daß für den Abstand 2d zwischen den beiden Korrekturteilsystemen gilt, daß 2d = 2/KQ. Es wird nur der chromatische Vergrößerungsfehler in der x-z-Ebene am Ausgang des Gesamtkorrektursystems berechnet, da der chromatische Vergrößerungsfehler in der y-z-Ebene sehr viel kleiner ist.
  • Im Fall eines dünnen Quadrupols mit der Stärke KQ gilt für die Beziehung zwischen x0 und x0' (dem Abstand zwischen dem abgehenden Strahl in der x-z-Ebene und der optischen Achse oder die Neigung dieses Strahls) einerseits und xi und xi' (dem Abstand zwischen dem einfallenden Strahl in der x-z-Ebene und der Achse oder der Neigung dieses Strahls) andererseits, daß:
    Figure 00180001
    in dem δΦ die relative Abweichung bezüglich des Nennwerts Φ0 der Beschleunigungsspannung ist, also δΦ = ΔΦ/Φ0.
  • Analog gilt das folgende für die Beziehung zwischen den maßgeblichen Größen in der y-z-Ebene:
    Figure 00180002
  • Schließlich gilt für eine Verschiebung des Strahls über einen Abstand z ohne eine Beugung des Strahls analog, daß:
    Figure 00180003
    während offenbar eine entsprechende Beziehung für die entsprechenden Größen in der y-z-Ebene gilt.
  • Ferner gilt in der x-z-Ebene für das einzelne Korrekturelement, wie oben beschrieben, daß:
    Figure 00180004
    während für die Beziehung zwischen den maßgeblichen Größen in der y-z-Ebene gilt, daß:
    Figure 00180005
  • In den Ausdrücken (30) und (31) ist die Größe δΦ in den Matrixelementen weggelassen worden, die nicht zum endgültigen Ausdruck für x0 beitragen und in denen δΦ vorkommen würde. Dies ist gerechtfertigt, da die gegenwärtige Berechnung nur darauf abzielt, einen Eindruck von der Größenordnung des chromatischen Vergrößerungsfehlers zu geben und die Matrixelemente nur einen (vernachlässigbar kleinen) Beitrag höherer Ordnung in δΦ zum endgültigen Wert von x0 geben würden. Eine solche Nichtberücksichtigung wird nachstehend auch für die Ausarbeitung der Matrizen stattfinden.
  • Unter Verwendung der obigen Ausdrücke (27) und (30) folgt nun für ein Korrekturteilsystem (d.h. ein System, das aus einem einzelnen Korrekturelement besteht, das zwischen zwei Quadrupollinsen angeordnet ist, die jeweils eine Stärke KQ/2) in der x-z-Ebene aufweisen, daß:
    Figure 00190001
    und unter Verwendung der Ausdrücke (28) und (31) für die y-z-Ebene, daß:
    Figure 00190002
  • Für die Herleitung der Ausdrücke (32) und (33) ist vorausgesetzt worden, daß die chromatische Aberration aller Quadrupole null ist; diese Voraussetzung ist gültig, wenn es gilt, daß Kcorr » KQ. Der Strahlengang in der x-z-Ebene für das Gesamtkorrektursystem wird dann gefunden, indem der Strahlengang im ersten Quadrupol, dem ersten und dem zweiten Teilsystem, und dem zweiten Quadrupol kombiniert wird. Es wird wieder vorausgesetzt, daß die chromatische Aberration alle Quadrupole null ist. Dies ergibt:
    Figure 00190003
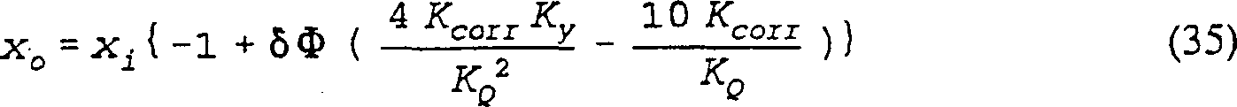
  • Ausarbeitung des obigen Ausdrucks (34) für x0 ergibt:
    Figure 00190004
  • Wenn es gilt, daß Kcorr » KQ, kann der Ausdruck (35) (für Ky ≈14Kcorr, wie schon im vorhergehenden Abschnitt III-2-a-3 bewiesen worden ist) angenähert werden durch:
    Figure 00200001
  • Es ist zu beachten, daß der Ausdruck (36) eine geeignete Näherung repräsentiert, wenn Kcorr » KQ. Wenn Kcorr nur ein kleines Vielfaches (zum Beispiel das drei- oder mehrfache) von KQ beträgt, bleibt dieser Ausdruck (36) eine Näherung, die verwendet werden kann, um zu demonstrieren, daß der chromatische Vergrößerungsfehler unzulässig groß wird.
  • Aus dem Ausdruck (34) folgt außerdem für x0', daß: x'o = 4·δΦ·Kcorr·xo (37)
  • Es ist zu beachten, daß wenn die obige Näherung (d.h. daß die chromatische Aberration aller Quadrupole null ist) nicht zulässig ist, der Ausdruck (37) werden wird zu: x'o = 4δΦ(Kcorr – KQ) (38)
  • Für einen geeigneten Betrieb als ein Korrektor der chromatischen Aberration ist es notwendig, daß das Verhältnis des Austrittswinkels x0' und der Austrittshöhe x0 (also x0'/x0) direkt proportional zu δΦ ist; diese Anforderung wird nur erfüllt, wenn der Term 6Φ(4KcorrKy/KQ 2) im Ausdruck (36) in Bezug zu 1 ausreichend klein ist. Im vorhergehenden Abschnitt III-2-a-3 ist schon bewiesen worden, daß Ky ≈ 14Kcorr, so daß dieser Term 56δΦ(Kcorr/KQ)2 wird. Praktische Werte für die Größen des letztgenannten Ausdrucks sind zum Beispiel: Φ0 = 500 V und ΔΦ = 0,25 V, so daß δΦ = 10–4 und Kcorr = pKQ, in dem p ist eine Proportionalitätskonstante ist. Es folgt aus dem Ausdruck (38), daß p in jedem Fall größer als 1 sein muß. Aus praktischen Gründen wird üblicherweise ein Wert in der Größenordnung von 3 bis 5 für p gewählt werden müssen. Unter Verwendung dieser Werte folgt, daß der Term annähernd gleich 0,45 ist, so daß er relativ zu 1 nicht vernachlässigbar klein ist. Der chromatische Vergrößerungsfehler des Gesamtkorrektors wird daher in dieser bekannten Konfiguration einen so hohen Wert aufweisen, daß das Korrektur system, das durch Archard vorgeschlagen wird, das die Korrektureinheiten verwendet, die durch Scherzer vorgeschlagen werden, in der Praxis nicht verwendet werden kann. Dies liegt daran, daß der Ausdruck für rspot, der im Abschnitt III-2 erwähnt wurde, dann einen so hohen Wert annehmen wird, daß der Gewinn hinsichtlich der Auflösung der Teilchenlinse, die korrigiert werden soll, im wesentlichen durch den Verlust der Auflösung infolge des chromatischen Vergrößerungsfehlers aufgehoben wird.
  • IV Erfindungsgemäße Aufgabe und Schritte
  • Es ist eine Aufgabe der Erfindung, eine Korrekturvorrichtung der angegebenen Art bereitzustellen, in der das beschriebene Problem eines großen chromatischen Vergrößerungsfehlers nicht auftritt. Zu diesem Zweck ist die erfindungsgemäße teilchenoptische Vorrichtung gekennzeichnet, wie im kennzeichnenden Abschnitt des Anspruchs 1 definiert.
  • IV-1 Beschreibung der erfindungsgemäß unternommenen Schritte
  • Unter Verwendung einer Berechnung werden die Übertragungseigenschaften eines Korrekturelements für den Fall hergeleitet, der mit einer großen Anzahl von Elektrodenschichten verbunden ist. Er wird verwendet, um zu zeigen, daß der chromatische Vergrößerungsfehler des vollständigen Korrektors, der aus solchen Elementen zusammengesetzt ist, ausreichend klein gemacht werden kann. Analog zu der Beschreibung, die im Abschnitt III-2-a-3 gegeben wird, ist der Ausgangspunkt die Beziehung für die Bahngleichung Y = 1 + Y1 + Y2, in der Y1 ein Term erster Ordnung ist und Y2 ein Term zweiter Ordnung ist. Es gilt nun außerdem, daß Y'' = Y1'' + Y2''. Die mittlere Kraft, die auf ein Elektron wirkt, ist proportional zum Mittel <Y''>. (Die Schreibweise <Y> zeigt den Mittelwert von Y an.) Der Mittelwert <Y''> von Y'' kann folglich als <Y''> = <Y1''> + <Y2''> geschrieben werden.
  • Analog zum Ausdruck (13) gilt nun, daß:
    Figure 00210001
  • Es ist zu beachten, daß die Funktion g eine Funktion von z ist, die die Potentialvariation auf der optischen Achse im Korrek turelement repräsentiert. Da das Korrekturelement aus einer Anzahl von Schichten zusammengesetzt ist, wird die Funktion g eine kontinuierliche periodische Variation aufweisen, wobei die Anzahl der Perioden gleich der Hälfte der Anzahl der Schichten sein wird, so daß die zweite Ableitung g'' ebenfalls kontinuierlich periodisch sein wird. Der Mittelwert einer solchen Funktion über eine große Anzahl von Perioden ist im wesentlichen null, so daß <Y1''> ebenfalls gleich 0 gesetzt werden kann. Folglich <Y''> = <Y2''>. Die Bestimmung von <Y2''> nutzt den Ausdruck (27), aus dem direkt folgt, daß:
    Figure 00220001
  • Im Ausdruck (40) wird wie im Ausdruck (17) erneut von der Gleichheit <gg''> = –<g'2> Gebrauch gemacht, wobei die Gleichheit exakt für eine Ganzzahl von Perioden gilt und als eine geeignete Näherung im Fall einer Anzahl von Perioden gilt, die nicht zu klein ist; ferner kann analog zum Ausdruck (18) von der Gleichheit <h> = –1/16<g'2> Gebrauch gemacht werden. Einsetzen der letztgenannten beiden Gleichheiten ergibt:
    Figure 00220002
  • Für Φ = Φ0 + εg (siehe Abschnitt III-2-a-1), also Φ' = εg', und für <Y''> = <Y2''> folgt, daß:
    Figure 00220003
  • Für die Herleitung des Ausdrucks (42) ist vorausgesetzt worden, daß die Elektronen parallel zur optischen Achse im Korrekturelement und auf einer Höhe 1 einfallen. Da das Verhalten der betrachteten optischen Elemente linear ist, gilt für Elektronen, die auf einer Höhe Y0 einfallen, im allgemeinen, daß der Ausdruck (42) noch mit Y0 multipliziert werden muß.
  • Auf der Grundlage des Ausdrucks (42) kann abgeleitet werden, daß Elektronen, die sich parallel zur optischen Achse bewegen, in die Richtung der optischen Achse beschleunigt werden.
  • Der obige Ausdruck (42) gilt nur für die Bereiche der Elektronenbahn, wo sie sich annähernd parallel zur optischen Achse erstreckt. Es kann eine weitere Berechnung durchgeführt werden, um zu beweisen, daß die folgende Differentialgleichung für die Elektronenbahn Y(z) gilt:
    Figure 00230001
  • Wie bekannt ist, weist die Lösung einer Differentialgleichung mit der Erscheinung des Ausdrucks (43) die Form einer Sinusfunktion auf; dies beweist wiederum, daß Elektronenbahnen, die durch eine solche Funktion repräsentiert werden, immer einer Kraft in die Richtung der Achse ausgesetzt sind. Die Korrekturelemente werden dann in einer solchen Weise erregt, daß der Verlauf der Elektronenbahnen in der y-z-Ebene praktisch sinusförmig mit einer Ganzzahl halber Wellenlängen ist (so daß das Argument der Sinusfunktion in der Austrittsebene n·π ist). Es ist schon bewiesen worden, daß im bekannten Korrekturelement nach Archard ein Faktor Ky in der Übertragungsmatrix für ein Korrekturelement auftritt (siehe Ausdruck (31)), wobei der Faktor folglich in den Ausdrücken (35) und (36) auftaucht; das Auftreten dieses Faktors in den letztgenannten Ausdrücken verursacht den chromatischen Vergrößerungsfehler im maßgeblichen Korrektor. Für ein erfindungsgemäßes Korrekturelement kann bewiesen werden, daß der Ausdruck, der dem Ausdruck (31) entspricht, zu
    Figure 00230002
    wird. Der letztgenannte Ausdruck (44) folgt einfach aus der Übertragungsmatrix T für eine sinusförmige Bahn mit dem Argument αz:
    Figure 00240001
    in der für α gilt, daß:
    Figure 00240002
  • Die Position der Variable Ky im Ausdruck (31) enthält den Wert 0 im Ausdruck (44), so daß der Faktor von δΦ im Ausdruck (35) gestrichen ist; dies bedeutet, daß der chromatische Vergrößerungsfehler folglich beträchtlich verkleinert worden ist.
  • V Kurze Beschreibung der Figuren
  • Die Erfindung wird nachstehend unter Bezugnahme auf die beigefügten Figuren im Detail beschrieben, in denen entsprechende Elemente durch dieselben Bezugsziffern bezeichnet werden. Es zeigen:
  • 1 eine schematische Darstellung eines maßgeblichen Teils eines teilchenoptischen Instruments, in dem die erfindungsgemäße Korrekturvorrichtung (Korrektor) verwendet werden kann;
  • 2 eine schematische Darstellung eines Korrektors, der aus Korrekturelementen und Quadrupolen besteht, sowohl für die x-z-Ebene als auch für die y-z-Ebene;
  • 3 schematisch den Strahlengang in einem bekannten Korrektor, sowohl für die x-z-Ebene als auch für die y-z-Ebene;
  • 4 die Form einer Elektrode, die eine Schicht in einem erfindungsgemäßen Korrekturelement bildet;
  • 5 schematisch ein erfindungsgemäßes Korrekturelement;
  • 6 schematisch den Strahlengang in einem erfindungsgemäßen Korrekturelement, das aus elf Elektrodenschichten zusammengesetzt ist, sowohl für die x-z-Ebene als auch für die y-z-Ebene;
  • 7 schematisch den Strahlengang in einem erfindungsgemäßen Korrektor, in dem jedes Korrekturelement aus elf Elektrodenschichten zusammengesetzt ist, sowohl für die x-z-Ebene als auch für die y-z-Ebene;
  • 8 eine schematische Darstellung des Strahlengangs in einem erfindungsgemäßen Korrekturelement, das aus fünf Elektrodenschichten zusammengesetzt ist, sowohl für die x-z-Ebene als auch für die y-z-Ebene;
  • 9 eine schematische Darstellung des Strahlengangs in einem erfindungsgemäßen Korrektor, in dem jedes Korrekturelement aus fünf Elektrodenschichten zusammengesetzt ist, sowohl für die x-z-Ebene als auch für die y-z-Ebene;
  • 10 eine schematische Darstellung des Strahlengangs in einem erfindungsgemäßen Korrektor, in dem Korrekturelemente in einer solchen Weise erregt werden, daß der chromatische Vergrößerungsfehler exakt null ist.
  • VI Detaillierte Beschreibung einiger Ausführungsformen der Erfindung
  • 1 zeigt ein teilchenoptisches Instrument in der Form eines Teils einer Säule 2 eines Rasterelektronenmikroskops (SEM). Wie üblich wird ein Elektronenstrahl in diesem Instrument durch eine (in der Figur nicht gezeigte) Elektronenquelle emittiert, wobei sich der Strahl längs der optischen Achse 4 des Instruments bewegt. Der Elektronenstrahl kann eine oder mehrere Elektromagnetlinsen durchqueren, wie die Kondensorlinse 6, wonach er die Objektivlinse 8 erreicht. Diese Linse, die eine sogenannte Monopollinse ist, bildet einen Teil eines Magnetkreises, der außerdem durch die Wand 10 der Probenkammer 12 gebildet wird. Die Objektivlinse 8 wird verwendet, um einen Elektronenstrahlbrennpunkt zu bilden, wodurch die Probe 14 abgetastet wird. Die Abtastung findet statt, indem der Elektronenstrahl über die Probe in die x-Richtung sowie die y-Richtung mittels Ablenkspulen 16 bewegt wird, die in der Objektivlinse 8 vorgesehen sind. Die Probe 14 ist auf einem Objekttisch 18 an geordnet, der einen Träger 20 für die x-Verschiebung und einen Träger 22 für die y-Verschiebung aufweist. Ein gewünschter Bereich der Probe kann zur Untersuchung mittels dieser beiden Träger ausgewählt werden. Eine Abbildung in diesem Mikroskop wird dadurch durchgeführt, daß Sekundärelektronen aus der Probe freigesetzt werden, wobei sich die Elektronen zurück in die Richtung der Objektivlinse 8 bewegen. Die Sekundärelektronen werden durch einen Detektor 24 detektiert, der in der Bohrung dieser Linse vorgesehen ist. Mit dem Detektor ist eine Steuereinheit 26 zur Betätigung des Detektors und zur Umwandlung des Stroms detektierter Elektronen in ein Signal verbunden, das verwendet werden kann, um zum Beispiel mittels einer (nicht gezeigten) Kathodenstrahlröhre ein Bild der Probe zu bilden. Ein Korrektor 28 zur Korrektur der chromatischen Aberration der Objektivlinse ist zwischen dem Kondensor 6 und der Objektivlinse angeordnet, wie nachstehend beschrieben wird.
  • 2 zeigt schematisch den Aufbau eines Korrektors, der aus Korrekturelementen und Quadrupolen besteht, sowohl für die x-z-Ebene als auch für die y-z-Ebene. Diese Figur kann einen Korrektor, der aus dem Stand der Technik bekannt ist, sowie einen erfindungsgemäßen Korrektor darstellen, abhängig von den Inhalten der Korrekturelemente 34 und 40, die in dieser Figur enthalten sind. Der vollständige Korrektor besteht in beiden Fällen aus einer Aufeinanderfolge eines ersten Quadrupols 30, eines zweiten Quadrupols 32, eines ersten Korrekturelements 34, eines dritten Quadrupols 36, eines vierten Quadrupols 38, eines zweiten Korrekturelements 40, eines fünften Quadrupols 42 und eines sechsten Quadrupols 44, wobei alle Elemente relativ zur optischen Achse 4 zentriert sind. Die obere Zeichnung in 2 trifft auf die x-z-Ebene und die untere Zeichnung auf die y-z-Ebene zu; dies kann auch auf der Grundlage der Symbole für die Quadrupole abgeleitet werden, die in einer Ebene jenen in der anderen Ebene entgegengesetzt sind.
  • Wenn 2 einen Korrektor darstellt, wie er aus dem zitierten Artikel von Archard bekannt ist, weist das erste Kor rekturelement 34 einen positiven Beugungseffekt in der y-z-Ebene auf und ist in der x-z-Ebene neutral; der Effekt dieses Elements kann folglich so betrachtet werden, daß er jener einer Zylinderlinse ist. Das zweite Korrekturelement 40 weist dann einen positiven Beugungseffekt in der x-z-Ebene auf und ist in der y-z-Ebene neutral; dieses Element kann folglich ebenfalls als eine Zylinderlinse betrachtet werden, die sich folglich senkrecht zur erstgenannten Zylinderlinse erstreckt. Die Quadrupole 32 und 36 in diesem bekannten Korrektor sind in das Korrekturelement 34 integriert, und die Quadrupole 38 und 42 sind in das Korrekturelement 40 integriert; dies ist bezüglich des Verhaltens dieses Korrektors von keiner großen Bedeutung. Für einen solchen Korrektor kann der Verlauf der Elektronenstrahlen darin mittels einer Computersimulation bestimmt werden.
  • 3 zeigt das Ergebnis der obenerwähnten Computersimulation, die mittels eines kommerziell erhältlichen Simulationsprogramms durchgeführt wird. Dieses Computerprogramm ist als „TRC/TRASYS" bekannt und ist von der Delft Technical University, Department of Applied Physics, Particle Optics Group, Delft, Niederlande, erhältlich. Die elektrischen Felder, die gemäß des Simulationsprogramms benötigt werden, können in der Form eines analytischen Ausdrucks eingegeben werden, oder können mittels einer Anzahl anderer Programme berechnet werden, die als „ELD, Electrostatic Lens Design" und „EMD, Electrostatic Multipole Design" bekannt sind; diese Programme sind ebenfalls von der obenerwähnten Delft Technical University erhältlich.
  • 3 zeigt den Verlauf der Elektronenstrahlen im bekannten Korrektor für die x-z-Ebene sowie für die y-z-Ebene. Für die Simulation des Verlaufs dieser Strahlen wird vorausgesetzt, daß die Beschleunigungsspannung Φ0n = 1000 V und daß die Elektronen im einfallenden Elektronenstrahl zwischen drei Energien verteilt sind, d.h. der Nennspannung von 1000 V und einer Abweichung ΔΦ = ±2 V. Die Korrekturelemente 34 und 40 dieses Kor rektors sind völlig identisch, jedoch ist das Element 40 bezüglich des Elements 34 um 90° gedreht worden. Es wird vorausgesetzt, daß jeder Quadrupol in diesem Korrektor, also auch die Quadrupole in den Korrekturelementen, so aufgebaut ist, wie in 4 gezeigt, mit einem Radius von 0,75 mm des Mittelkreises, der die Hyperbeln tangiert. Die beiden Quadrupole 30 und 44 bestehen aufeinanderfolgend aus einer Röhre zum elektrischen Abschluß, die einen Innendurchmesser von 1,5 mm aufweist und der sich in einem Abstand von 1 mm ein erster Quadrupol anschließt, der eine Dicke von 1,5 mm aufweist und dem in einem Abstand von 1 mm eine Röhre zum elektrischen Abschluß nachfolgt, die einen Innendurchmesser von 1,5 mm aufweist. Für den Quadrupol 30 betrug die Spannung an den Elektroden +4,34 V und –4,34 V für die x-z-Ebene bzw. die y-z-Ebene; die entgegengesetzten Werte gelten für den Quadrupol 44. Die direkt angrenzenden Quadrupole der Korrekturelemente waren mit diesen Korrekturelementen integriert; dies ist für das Verhalten dieses Korrektors nicht von großer Bedeutung. Jedes Korrekturelement besteht aufeinanderfolgend aus einer Röhre, die den Innendurchmesser und eine Spannung von 0 V aufweist, und der in einem Abstand von 1 mm ein erster Quadrupol nachfolgt, der eine Dicke von 1 mm aufweist und dem in einem Abstand von 1 mm ein zweiter Quadrupol nachfolgt, der eine Dicke von 1,5 mm aufweist und dem in einem Abstand von 1 mm ein dritter Quadrupol nachfolgt, der eine Dicke von 1 mm aufweist und dem in einem Abstand von 1 mm eine Röhre nachfolgt, die den Innendurchmesser und eine Spannung von 0 V aufweist. Die Spannungen an den Elektroden der äußeren beiden Quadrupole des Korrekturelements 32, 34, 36 betrugen –80,3 V für die x-z-Ebene bzw. +80,3 V; die Spannungen für den mittleren Quadrupol betrugen –556,8 V bzw. +556,8 V. Die Spannungen für die entsprechenden Quadrupole des Korrekturelements 38, 40, 42 wiesen den entgegengesetzten Wert auf.
  • Der weitere Verlauf eines Strahls 46, der parallel zur optischen Achse 4 einfällt, wird durch einen Strahl 48 in der x-z-Ebene und durch einen Strahl 50 in der y-z-Ebene dargestellt. 3 zeigt außerdem den Ort der verschiedenen optischen Elemente der 2, zusammen mit den maßgeblichen Bezugsziffern. Solange keine Dispersion stattfindet, werden die Elektronen unterschiedlicher Energien alle derselben Bahn folgen.
  • Der erste Quadrupol 30 und der zweite Quadrupol 32 werden in einer solchen Weise erregt, daß der Strahl 50 (d.h. der Strahl in der y-z-Ebene) durch die Mitte des Korrekturelements 34 geht. Aufgrund der (leichten) chromatischen Aberration des ersten Quadrupols 30 erfährt der Strahl 50 eine leichte Winkelabweichung, wenn er aus diesem Quadrupol hervorgeht, so daß die Strahlen für die unterschiedlichen Energien in das Korrekturelement 34 mit einem leichten Höhenunterschied eintreten. Da das erste Korrekturelement 34 in der y-z-Ebene eine starke Linse ist, werden Strahlen unterschiedlicher Energie infolge dieses Höhenunterschieds aus dem System 32, 34, 36 mit unterschiedlichen Winkeln hervorgehen. Dies bedeutet, daß die Elektronen im Strahl 50, die die Nennenergie aufweisen, aus dem Korrekturelement 34 parallel zum Strahl 50 und praktisch ohne Verschiebung bezüglich dazu hervorgehen, wie ein Strahl 50-b, während infolge der Energiedifferenz beim Durchgang durch diese Elemente der Strahl 50 weiter in die Strahlen 50-a (mit einer positiven Energieabweichung) und 50-c (mit einer negativen Energieabweichung) aufgespaltet wird. Folglich werden diese drei Strahlen auf den Quadrupol 38 mit gegenseitig unterschiedlichen Höhen und mit gegenseitig unterschiedlichen Winkeln einfallen. Da die drei Strahlen im wesentlichen von einem einzelnen Objektpunkt herrühren (d.h. dem Schnittpunkt des Strahls 50 und der optischen Achse 40 in der Mitte des Korrekturelements 34), werden die drei Strahlen im Quadrupol 38 in einer solchen Weise gebeugt, daß sie in das zweite Korrekturelement 40 praktisch parallel zueinander eintreten. Da das zweite Korrekturelement 40 keine Linsenwirkung in der y-z-Ebene aufweist, gehen die drei Strahlen aus diesem Element 40 mit demselben Höhenunterschied hervor. Aufgrund ihrer gegenseitigen Energiedifferenz treten diese Strahlen jedoch aus dem Element 40 mit unter schiedlichen Winkeln aus. Der Korrektureffekt der chromatischen Aberration des Korrekturelements wird aus dem Auftreten dieser Winkeldifferenz deutlich. Anschließend werden die Strahlen erneut durch den Quadrupol 42 in die Richtung der optischen Achse abgelenkt; die beiden Strahlen abweichender Energie behalten dann ihre Winkelabweichung relativ zum mittleren Strahl bei. Der Quadrupol 44 lenkt die Strahlen wieder zurück ab, wobei der Strahl mit Nennenergie wieder parallel zur optischen Achse gerichtet wird; die anderen beiden Strahlen behalten ihre Winkelabweichung relativ zum mittleren Strahl mit Nennenergie bei. Die Figur zeigt, daß dann ein vergleichsweise kleiner chromatischer Vergrößerungsfehler auftritt (d.h. der Höhenunterschied beim Austritt aus dem Quadrupol 44), der jedoch für die meisten praktischen Zwecke immer noch zulässig wäre.
  • In der x-z-Ebene wird der Strahl 48 durch den ersten Quadrupol 30 von der optischen Achse weg abgelenkt, wonach er mit einer vergleichsweise großen Höhe in das System 32, 34, 36 eintritt. Der Quadrupol 32 lenkt diesen Strahl in einer solchen Weise ab, daß er in das Korrekturelement 34 parallel zur optischen Achse eintritt. Für die x-z-Ebene und ein Elektron mit Nennenergie weist das Korrekturelement 34 einen neutralen Effekt auf, jedoch tritt in diesem Element eine starke Winkelabweichung für abweichende Energien auf, so daß der Strahl, der aus dem Quadrupol 36 hervorgeht, in drei Strahlen aufgespaltet wird, die relativ zueinander eine Winkelabweichung aufweisen, Über den Abstand vom System 32, 34, 36 zum System 38, 40, 42 wird diese Winkelabweichung in einen Höhenunterschied umgewandelt, mit dem die drei Strahlen in das letztgenannte System eintreten. Dieser Höhenunterschied ist wesentlich größer als der Höhenunterschied, mit der der Strahl 50 in der y-z-Ebene in das Korrekturelement 34 eintritt. Dies wird durch die Tatsache verursacht, daß der Abstand zwischen dem Quadrupol 30 und dem Korrekturelement 34 kleiner als der Abstand zwischen den Korrekturelementen 34 und 40 ist, und insbesondere durch die Tatsache, daß der Quadrupol 30 eine Dispersion verursacht, die we sentlich kleiner als jene ist, die durch das Korrekturelement 34 verursacht wird, das schließlich für die Korrektur der chromatischen Aberration bestimmt ist und folglich eine starke Dispersion verursacht. Der Quadrupol 38 weist nur einen leichten Effekt auf den Verlauf dieser drei Strahlen auf, da jedoch das zweite Korrekturelement 40 in der x-z-Ebene eine starke Linse ist, tritt in diesem Element eine Winkeldifferenz zwischen den Strahlen unterschiedlicher Energie auf, die auf den großen Höhenunterschied zurückzuführen ist. Unter diesen Strahlen wird der Strahl mit Nennenergie durch den Quadrupol 44 (der für die x-z-Ebene positiv wirkt) wieder parallel zur optischen Achse orientiert, während die beiden Strahlen abweichender Energie mit unterschiedlichen Winkeln hervorgehen. Als Ergebnis des beschriebenen Vorgangs gehen jedoch diese drei Strahlen 52-a, 52-b und 52-c aus dem Korrektursystem mit wesentlich abweichenden Höhen hervor, wobei sie folglich einen großen chromatischen Vergrößerungsfehler ergeben. Die Erfindung bietet eine Lösung für dieses Problem.
  • 4 zeigt die Form einer Elektrode, wie sie in Kombination mit einer Anzahl weiterer Elektroden verwendet wird, um ein erfindungsgemäßes Korrekturelement zu bilden. Ein so aufgebautes Korrekturelement wird nachstehend unter Bezugnahme auf 5 im Detail beschrieben. Die Elektrode, die in 4 gezeigt wird, besteht aus vier plattenförmigen Leitern (Polen) 60-a, 60-b, 60-c und 60-d, die elektrisch voneinander isoliert sind und in einer flachen Ebene angeordnet sind, so daß sie symmetrisch um die optische Achse 4 gruppiert sind, die sich senkrecht zur Zeichnungsebene in dieser Figur erstreckt. Diese Figur zeigt außerdem die gegenseitig senkrechten x- und y-Richtungen. Die Begrenzungslinie dieser Pole, die der optischen Achse gegenüberliegt, ist als eine Hyperbel geformt, die um einen imaginären Mittelkreis angeordnet ist, der die Hyperbeln tangiert. Zur Einfachheit der Herstellung kann die Form einer Hyperbel in einer bekannten Weise mittels eines Kreisbogens angenähert werden. Jeder der Pole 60-a bis 60-d kann auf ein Po tential V1, V2, V3 bzw. V4 eingestellt werden. Im einfachsten Fall sind V1 und V3 gleich, wie V2 und V4, die in diesem Fall zu V1 und V3 entgegengesetzt sind. Jedoch ist es alternativ möglich, einen festen Betrag zu all diesen Potentialen zu addieren, ohne daß der Quadrupoleffekt verloren geht. Dieser feste Betrag kann für eine nächste Elektrode des Korrekturelements einen anderen Wert aufweisen, so daß ein elektrostatischer Monopol, d.h. ein Element mit einer Linsenwirkung dem Quadrupol überlagert wird. Die Konfiguration der in 4 gezeigten Pole bildet nur eine Möglichkeit zur Verwirklichung des gewünschten Quadrupolseffekts. Es ist alternativ möglich, eine größere Anzahl von Polen (zum Beispiel 12) in einer bekannten Weise zu verwenden, wobei die Begrenzungslinie, die der optischen Achse gegenüberliegt, dann kurz und linear ist, wobei die linearen Stücke symmetrisch (mit einem gegebenen Freiraum) auf einem Kreis um die Achse angeordnet sind. Jeder dieser Pole kann dann in einer solchen Weise erregt werden, daß ein Quadrupolfeld geeignet angenähert wird, jedoch können auch überlagerte Felder höherer Ordnung darauf gebildet werden. Die Form des Quadrupols ist für die Idee der Erfindung in ihrem weitesten Sinn nicht maßgeblich.
  • 5 ist ein schematischer seitlicher Aufriß eines erfindungsgemäßen Korrekturelements, das aus 11 aufeinanderfolgend angeordneten Elektroden 62, 64-a, 64b,..., 64-i und 66 zusammengesetzt ist, die wie die in 4 gezeigte Elektrode aufgebaut sein können. Zum Zweck des elektrischen Abschlusses ist eine Röhre, die ein Potential 0 V führt, auf der linken Seite der Elektrode 62 und auf der rechten Seite der Elektrode 66 angeordnet. Jede der Elektroden wird als eine Schicht bezeichnet, wobei die Schichten zusammen die (Monopol-)Potentialvariation Φ0 auf der optischen Achse und die (Quadrupol-)Potentialvariation Φ2 in der Nähe der optischen Achse erzeugen. Die Schattierung der verschiedenen Schichten zeigt die Richtung an, in der die Quadrupolerregung stattfindet: die Schichten 62, 64-b, 64-d, 64-f, 64-h und 66 werden alle in derselben Richtung erregt. Die Schichten 64-a, 64-c, 64-e und 64-g werden auch in derselben Richtung erregt, die zur erstgenannten Richtung entgegengesetzt ist. Diese Erregung wird außerdem durch die Symbole dargestellt, die über den maßgeblichen Schichten für abwechselnd positive und negative Linsen in der x-z-Ebene gezeigt werden; jene in der y-z-Ebene sind natürlich den erstgenannten entgegengesetzt. 5 zeigt außerdem schematisch die (Monopol-)Potentialvariation Φ0 auf der optischen Achse. Jeder der Quadrupole 64-a bis 64-i weist nicht nur eine Quadrupolerregung, sondern auch eine Monopolerregung auf, während die beiden Quadrupole 62 und 66 nur eine Quadrupolerregung aufweisen.
  • Der Verlauf der Elektronenstrahlen im Korrekturelement gemäß 5 wird in 6 sowohl für die x-z-Ebene als auch für die y-z-Ebene gezeigt. Für die Simulation des Verlaufs dieser Strahlen wird vorausgesetzt, daß die Beschleunigungsspannung Φ0 = 1000 V und daß die Elektronen im einfallenden Elektronenstrahl zwischen drei Energien verteilt sind, d.h. der Nennspannung von 1000 V und einer Abweichung ΔΦ = ±5 V. In diesem Fall waren die weiteren Simulationsdaten: Potential der Schichten 62 und 66: 262,8 V in der x-z-Ebene und –262,8 V in der y-z-Ebene; Potential der Schichten 64-a, 64-c, 64-e, 64-g und 64-i 107,1 V in der x-z-Ebene und 931,9 V in der y-z-Ebene; Potential der Schichten 64-b, 64-d, 64-f und 64-h: –126,9 V in der x-z-Ebene und –912,1 V in der y-z-Ebene; der Radius des Mittelkreises, der die Hyperbeln tangiert, betrug 1,5 mm. Der Abstand zwischen den Quadrupolen 62 und 66 und den angrenzenden Röhren zum elektrischen Abschluß betrug 1 mm, wie der Abstand zwischen den Quadrupolen 62 und 66 und den angrenzenden Quadrupolen 64-a bzw. 64-i. Die Dicke der Quadrupole 62 und 66 betrug 1 mm. Die Dicke aller anderen Quadrupole 64-a bis 64-i betrug 1,5 mm, wie ihr Abstand. 6 ist durch eine Simulation unter Verwendung des Simulationsprogramms und der Abmessungen und Potentiale erhalten worden.
  • Ein Elektronenstrahl 68 fällt parallel zur optischen Achse 4 auf den ersten Quadrupol 62 des Korrekturelements. In der x- z-Ebene wird der Strahl 68 durch den ersten Quadrupol 62 des Korrekturelements von der optischen Achse weg abgelenkt, wonach er durch den nächsten Quadrupol 64-a wieder zurück zur optischen Achse abgelenkt wird. Dies wird etliche Male in den Quadrupolen 64-b bis 64-i wiederholt, wonach infolge des Quadrupols 66 der Strahl 70 wieder parallel zur optischen Achse aus dem Korrekturelement hervorgeht. Genau genommen gilt das letztgenannte nur für die Elektronen mit der Nennenergie von 1000 V; die Elektronen, die +5 V oder –5 V davon abweichen, folgen einer Bahn mit einem geringfügig abweichenden Winkel, d.h. den Bahnen 72 bzw. 74. Diese Figur zeigt, daß in der x-z-Ebene praktisch kein chromatischer Vergrößerungsfehler am Ausgang des Korrekturelements auftritt. Der Korrektureffekt des in 6 gezeigten Korrekturelements wird als die vergleichsweise große Winkeldifferenz zwischen den Strahlen 72 und 74 offensichtlich.
  • In der x-z-Ebene wird der Strahl 68 durch den ersten Quadrupol 62 des Korrekturelements zur optischen Achse abgelenkt, wonach dieser Strahl durch den nächsten Quadrupol 64-a wieder weg von der optischen Achse abgelenkt wird. Der anschließende Quadrupol 64-b lenkt den Elektronenstrahl wieder zur optischen Achse ab; dieser Strahl schneidet die Achse im Bereich des Quadrupols 64-c, wonach er vergleichsweise fern von der Achse auf den Quadrupol 64-d fällt. Der letztgenannte Quadrupol lenkt den Strahl wieder zurück in die Richtung der Achse ab, wonach er durch den Quadrupol 64-e weg von der Achse und durch den Quadrupol 64-f wieder zur Achse abgelenkt wird; der Strahl schneidet dann die Achse im Bereich des Quadrupols 64-g, wonach er vergleichsweise fern von der Achse auf den Quadrupol 64-h fällt, wobei der letztgenannte Quadrupol den Strahl wieder zurück zur Achse ablenkt. Der Quadrupol 64-i lenkt den Strahl wieder von der Achse weg zum Quadrupol 66 ab, der schließlich bewirkt, daß der Strahl parallel zur optischen Achse aus dem Korrekturelement hervorgeht. Genau genommen gilt das letztgenannte nur für die Elektronen mit der Nennenergie von 1000 V; die Elektronen, die davon +5 V oder –5 V abweichen, folgen ei ner Bahn mit einem abweichenden Winkel, d.h. den Bahnen 76 bzw. 78. Diese Figur zeigt, daß nur ein leichter chromatischer Aberrationsfehler (der für praktische Zwecke ignoriert werden kann) am Ausgang des Korrekturelements auftritt. Es scheint, daß an einigen Stellen in der y-z-Ebene die Extrema der Bahnen nicht exakt mit den Orten der optischen Elemente übereinstimmen; dies kann unter anderem auf der Grundlage der Tatsache erklärt werden, daß die verschiedenen Quadrupole auch eine Monopolerregung aufweisen und daß die verschiedenen optischen Elemente nicht ideal dünn sind, sondere eine gegebene Dicke aufweisen.
  • 6 zeigt eine vergleichsweise große Winkeldifferenz zwischen den Strahlen 76 und 78, jedoch hat diese Differenz fast keinen oder keinen Effekt auf das chromatische Verhalten des Korrektors als ganzes. Es gibt zwei Gründe in dieser Hinsicht. Der erste Grund beruht auf der Tatsache, daß die Strahlen nicht im ganzen Korrektor parallel zur optischen Achse einfallen. Der zweite Grund beruht auf der Tatsache, daß infolge der Wahl der Länge der Korrekturelemente und der Quadrupolerregung die Verteilung der Korrektorstärke durch die nicht-korrigierende Fläche der gesamten Korrektorstärke untergeordnet werden kann. Das letztgenannte wird auch im zitierten Artikel von Archard (Abschnitt 9) gezeigt. Aus demselben Grund ist diese Winkelabweichung bezüglich des chromatischen Vergrößerungsfehlers kaum von Bedeutung. Schließlich ist zu beachten, daß der Wert n = 2 (siehe den Ausdruck (44)) für den Strahlengang der 6 gilt.
  • 7 ist eine schematische Darstellung des Strahlengangs in einem erfindungsgemäßen Korrektor, in dem jedes der beiden Korrekturelemente für die x-z-Ebene sowie für die y-z-Ebene aus elf Schichten zusammengesetzt ist, wie in 6 gezeigt. Die Korrekturelemente sind mit zwei zusätzlichen Quadrupolen zusammengebaut, um einen Korrektor zu bilden, wie in 2 gezeigt. Die zusätzlichen Quadrupole sind daher die Quadrupole 30 und 44. Es ist zu beachten, daß im Gegensatz zu 6 in 7 die Elektronen nicht in allen Fällen parallel zur optischen Achse auf das Korrekturelement einfallen; in zwei der vier Fälle fallen sie aufgrund des Vorhandenseins des ersten Quadrupols 30 (für das erste Korrekturelement 34) oder aufgrund des Durchquerens des ersten Korrekturelements 34 (vor dem zweiten Korrekturelement 40) unter einem gegebenen Winkel ein. Folglich können die Elektronenbahnen der 6 nicht einfach auf 7 übertragen werden.
  • Die Erregung der Korrekturelemente, die für die Simulation der 7 verwendet werden, weicht leicht von jener in 6 ab: das Potential der Schichten 62 und 66 betrug 242,9 V in der x-z-Ebene und –242,9 V in der y-z-Ebene; das Potential der Schichten 64-a, 64-c, 64-e, 64-g und 64-i betrug 106,8 V in der x-z-Ebene und 932,2 V in der y-z-Ebene; das Potential der Schichten 64-b, 64-d, 64-f und 64-h betrug –127,2 V in der x-z-Ebene und –911,8 V in der y-z-Ebene. Die folgenden Daten gelten für die Quadrupole 30 und 44, die in der Simulation der 7 verwendet werden: jeder Quadrupol besteht aus einer Elektrodenschicht gemäß 4, die zwischen zwei Röhren zum elektrischen Abschluß angeordnet ist. Der Abstand zwischen der Elektrodenschicht und den Röhren beträgt 1 mm auf beiden Seiten; die Dicke der Elektrodenschicht beträgt 2 mm und der Radius des Mittelkreises, der die Hyperbeln tangiert, beträgt 1,5 mm, wie der Innenradius der Röhren. Die Röhren weisen ein Potential von 0 V auf, und das Potential der dazwischen angeordneten Elektrodenschicht beträgt +29,7 V für die x-z-Ebene am Quadrupol 30 und –29,7 V für die y-z-Ebene; die entgegengesetzten Werte gelten für den Quadrupol 44.
  • 7 zeigt, daß der darin verwendete Korrektor als ganzes eine direkte Sicht für Elektronen der Nennenergie aufweist, d.h. daß Strahlen, die parallel zur optischen Achse einfallen, auch wieder parallel zur optischen Achse hervorgehen. Offenbar werden Elektronen einer abweichenden Energie aus dem Korrektor mit einem abweichenden Winkel hervorgehen, wie es für einen Korrektor für die chromatische Aberration erwartet werden konnte. Die Strahlen 39 und 41, die vom Korrektor ausgehen (die zur optischen Achse gerichtet sind) entsprechen einer Energie von 1005 V; die Strahlen 45 und 47 (die von der optischen Achse weg gerichtet sind) entsprechen einer Energie von 995 V, und der Strahl 43 (der parallel zur optischen Achse hervorgeht) entspricht einer Nennenergie von 1000 V. Die Figur zeigt deutlich die starke Dispersion zwischen den Systemen 32, 34, 36 auf der einen Seite und 38, 40, 42 auf der anderen Seite (für die x-z-Ebene) und zwischen dem System 38, 40, 42 auf der einen Seite und dem Quadrupol 44 auf der anderen Seite (für die y-z-Ebene); dies konnte erwartet werden, da die Korrekturelemente 34 und 40 zu diesem Zweck bestimmt sind. 7 zeigt auch, daß der chromatische Vergrößerungsfehler (d.h. die Höhendifferenz zwischen den Strahlen abweichender Energie beim Austritt aus dem Korrektor) wesentlich kleiner als im bekannten Korrektor ist (vergleiche 3).
  • Wenn 7 mit 3 verglichen wird, ergibt sich, daß die Winkeldifferenz zwischen den ausgehenden Bahnen in 7 wesentlich größer als in 3 ist. Dies ist insbesondere auf die Tatsache zurückzuführen, daß in 3 eine Energiestreuung von 2 V und in 7 eine Energiestreuung von 5 V vorausgesetzt worden sind.
  • 8 ist eine schematische Darstellung des Strahlengangs in einem erfindungsgemäßen Korrekturelement, das in diesem Fall jedoch nur aus fünf Schichten für die x-z-Ebene sowie für die y-z-Ebene zusammengesetzt ist. Der Aufbau eines solchen Korrekturelements wird nicht in der Figur gezeigt, man kann sich ihn jedoch leicht auf der Grundlage der 5 vorstellen, indem angenommen wird, daß die neun Schichten 64-a bis 64-i in dieser Figur durch drei Schichten 64-a, 64-b und 64-c ersetzt werden, wobei die Erregung der Schicht 64-b jener der Schichten 64-a und 64-c entgegengesetzt ist, deren Erregung jener der Quadrupole 62 und 66 entgegengesetzt ist. Diese fünf Quadrupole sind durch zwei Röhren zum elektrischen Abschluß eingeschlossen. Es wird vorausgesetzt, daß jeder Quadrupol in diesem Korrekturelement so aufgebaut ist, wie in 4 gezeigt; der Radius des Mittelkreises, der die Hyperbeln tangiert, beträgt 3 mm, wie der Innenradius der Röhren zum elektrischen Abschluß. Das Korrekturelement besteht aufeinanderfolgend aus einer Röhre, die eine Spannung von 0 V führt und der sich in einem Abstand von 2 mm der erste Quadrupol 62 anschließt, der eine Dicke von 2 mm aufweist und dem sich in einem Abstand von 2 mm der zweite Quadrupol 64-a anschließt, der eine Dicke von 3 mm aufweist und dem sich in einem Abstand von 3 mm der dritte Quadrupol 64-b anschließt, der eine Dicke von 3 mm aufweist und dem sich in einem Abstand von 3 mm der vierte Quadrupol 64-c anschließt, der eine Dicke von 3 mm aufweist und dem sich in einem Abstand von 2 mm der fünfte Quadrupol 66 anschließt, der eine Dicke von 2 mm aufweist und dem sich schließlich in einem Abstand von 2 mm eine Röhre anschließt, die den Innendurchmesser und eine Spannung von 0 V aufweist. Die Spannungen an den Elektroden der äußeren beiden Quadrupole 62 und 66 betragen 513,4 V für die x-z-Ebene und –513,4 V für die y-z-Ebene; die Spannungen an den Elektroden der beiden Quadrupole 64-a und 64-c betragen 299 V für die x-z-Ebene und 2059,6 V für die y-z-Ebene, und am mittleren Quadrupol 64-b betragen die Spannungen –361,4 V für die x-z-Ebene und –1997,2 V für die y-z-Ebene.
  • Für die Simulation des Verlaufs der Elektronenstrahlen, der in 8 gezeigt wird, ist vorausgesetzt worden, daß die Beschleunigungsspannung Φ0 = 1000 V und daß die Elektronen im einfallenden Elektronenstrahl zwischen drei Energien verteilt sind, d.h. die Nennspannung von 1000 V und eine Abweichung ΔΦ = ±5 V. 8 ist durch eine Simulation erhalten worden, indem das vorher erwähnte Simulationsprogramm und die angegebenen Abmessungen und Potentiale verwendet wurden.
  • In 8 fällt ein Elektronenstrahl 68 auf den ersten Quadrupol 62 des Korrekturelements parallel zur optischen Achse 4 ein. In der x-z-Ebene wird der Strahl 68 durch den ersten Quadrupol 62 des Korrekturelements von der optischen Achse weg abgelenkt, wonach er durch den nächsten Quadrupol 64-a wieder zurück zur optischen Achse abgelenkt wird. Anschließend lenkt der Quadrupol 64-b den Strahl wieder von der optischen Achse weg ab, wonach er durch den nächsten Quadrupol 64-c zurück zur optischen Achse abgelenkt wird. Der Strahl 70 durchquert anschließend den letzten Quadrupol 66 und geht aus dem Korrekturelement wieder parallel zur optischen Achse hervor. Genau genommen ist das letztgenannte nur für die Elektronen mit der Nennenergie von 1000 V der Fall; die Elektronen mit einer Energie, die davon +5 V oder –5 V abweicht, folgen einer Bahn mit einem geringfügig anderen Winkel, wobei dies die Bahnen 72 bzw. 74 sind. Diese Figur zeigt, daß erneut praktisch kein chromatischer Vergrößerungsfehler in der x-z-Ebene am Ausgang des Korrekturelements auftritt, das aus fünf Schichten besteht. Der Korrektureffekt für die chromatische Aberration wird als die vergleichsweise große Winkeldifferenz zwischen den Strahlen 72 und 74 offensichtlich.
  • In der y-z-Ebene wird der Strahl 68 durch den ersten Quadrupol 62 des Korrekturelements zur optischen Achse abgelenkt, wonach er durch den nächsten Quadrupol 64-a wieder geringfügig zurück abgelenkt wird, sich jedoch immer noch in die Richtung der optischen Achse bewegt. Der anschließende Quadrupol 64-b lenkt den Elektronenstrahl wieder steiler zur optischen Achse ab; der Strahl schneidet die Achse im Bereich des Quadrupols 64-b und fällt anschließend vergleichsweise fern von der Achse auf den Quadrupol 64-c. Der letztgenannte Quadrupol sorgt dafür, daß sich der Strahl wieder geringfügig steiler erstreckt, wonach der Strahl durch den letzen Quadrupol 66 abgelenkt wird, so daß er schließlich parallel zur optischen Achse aus dem Korrekturelement hervorgeht. Genau genommen gilt das letztgenannte nur für die Elektronen mit der Nennenergie von 1000 V. Die Elektronen mit einer Energie, die davon +5 V oder –5 V abweichen, folgen einer Bahn mit einem abweichenden Winkel, d.h. den Bahnen 76 bzw. 78. 8 zeigt, daß ein leichter chromatischer Vergrößerungsfehler (der für praktische Zwecke ignoriert werden kann) in der y-z-Ebene am Ausgang des Korrekturelements auftritt.
  • Es ist zu beachten, daß wenn der Ausdruck (44) auf 8 angewendet wird, der Wert n = 1 verwendet wird. Dies bedeutet, daß ein Strahl, der auf der Höhe 1 und parallel zur optischen Achse einfällt, auf der Höhe –1 und parallel zur optischen Achse hervorgeht. Im allgemeinen beträgt die Determinante einer Übertragungsmatrix gleich 1, so daß diese Übertragungsmatrix dieselbe Eigenschaft wie eine Driftraummatrix aufweist. Dies zeigt, daß obwohl die Dispersion groß sein kann, es keinen Mechanismus gibt, der bewirken könnte, daß der chromatische Vergrößerungsfehler unzulässig groß wird.
  • 9 ist eine schematische Darstellung des Strahlengangs in einem erfindungsgemäßen Korrektor, in dem jedes der beiden Korrekturelemente aus fünf Schichten zusammengesetzt ist, sowohl für die x-z-Ebene als auch für die y-z-Ebene, wobei der Strahlengang für die Elemente in 8 gezeigt wird. Die Korrekturelemente sind mit zwei zusätzlichen Quadrupolen zusammengebaut, um einen Korrektor zu bilden, wie in 2 gezeigt. Folglich sind die zusätzlichen Quadrupole die Quadrupole 30 und 44. Im für die Simulation verwendeten Korrektor, der in 9 gezeigt wird, sind die Quadrupole 32 und 36 in das Korrekturelement 34 integriert, und die Quadrupole 38 und 42 sind in das Korrekturelement 40 integriert; dies ist nicht von wesentlicher Bedeutung für das Verhalten des Korrektors. Es ist zu beachten, daß im Gegensatz zu 7 die Elektronen in 9 nicht parallel zur optischen Achse auf die Korrekturelemente einfallen, sondern unter einem gegebenen Winkel, der von null abweicht; für das erste Korrekturelement 34 ist dies auf das Vorhandensein des ersten Quadrupols 30 zurückzuführen, und für das zweite Korrekturelement 40 ist dies auf die Tatsache zurückzuführen, daß das erste Korrekturelement zuerst durchquert worden ist. Folglich können die Elektronenbahnen der 8 nicht einfach auf 9 übertragen werden.
  • Für die Simulation des Verlaufs der Elektronenstrahlen in 9 ist vorausgesetzt worden, daß die Beschleunigungsspannung Φ0 = 1000 V und die Elektronen im einfallenden Elektronen strahl zwischen drei Energien verteilt sind, d.h. der Nennspannung von 1000 V und einer Abweichung ΔΦ = ±2 V. Die Korrekturelemente 32, 34, 36 und 38, 40, 42 waren zusammengesetzt, wie unter Bezugnahme auf 8 beschrieben, gesetzt den Fall, daß unterschiedliche Spannungen an den Elektroden vorhanden sind. Die Spannungen an den Elektroden der äußeren beiden Quadrupole 62 und 66 betragen 508,0 V für die x-z-Ebene und –508,0 V für die y-z-Ebene; an den Elektroden der beiden Quadrupolen 64-a und 64-c betragen sie 293,6 V für die x-z-Ebene und 2065,0 V für die y-z-Ebene, und für den mittleren Quadrupol 64-b betragen sie –366,8 V für die x-z-Ebene und –1991,8 V für die y-z-Ebene. Die folgenden Daten gelten für die zusätzlichen Quadrupole 30 und 44 in 9: jeder Quadrupol besteht aus einer Elektrodenschicht gemäß 4, die zwischen zwei Röhren zum elektrischen Abschluß angeordnet ist. Der Abstand zwischen der Elektrodenschicht und den Röhren beträgt 1 mm auf beiden Seiten; die Dicke der Elektrodenschicht beträgt 2 mm und der Radius des Mittelkreises, der die Hyperbeln tangiert, beträgt 1,2 mm, wie der Innenradius der Röhren. Die Röhren führen ein Potential von 0 V, und die dazwischen angeordnete Elektrodenschicht am Quadrupol 30 weist eine Spannung von +6,49 V für die x-z-Ebene und –6,49 V für die y-z-Ebene auf; für den Quadrupol 44 gelten entgegengesetzte Werte. 9 ist durch eine Simulation unter Verwendung des vorher erwähnten Simulationsprogramms und der angegebenen Abmessungen und Potentiale erhalten worden.
  • 9 zeigt, daß der darin verwendete Korrektor als ganzes eine direkte Sicht für Elektronen mit Nennenergie aufweist. Offensichtlich gehen Elektronen mit einer Energie, die vom Nennwert abweicht, aus dem Korrektor mit einem abweichenden Winkel hervor, wie es für einen Korrektor für die chromatische Aberration erwartet werden konnte. Die Figur zeigt außerdem, daß der chromatische Vergrößerungsfehler beträchtlich kleiner als im bekannten Korrektor ist (vergleiche 3). Daher kann auf der Grundlage der 8 und 9 abgeleitet werden, daß ein zufriedenstellend arbeitender Korrektor für die chromatische Aberration zusammengesetzt werden kann, indem nicht mehr als fünf Schichten verwendet werden.
  • 10 ist eine schematische Darstellung des Strahlengangs in einem erfindungsgemäßen Korrektor, in die Korrekturelemente in einer solchen Weise erregt werden, daß der chromatische Vergrößerungsfehler exakt null ist. Jedes der Korrekturelemente dieses Korrektors ist sowohl für die x-z-Ebene als auch für die y-z-Ebene aus sieben Schichten zusammengesetzt. Der Aufbau eines solchen Korrekturelements wird nicht in einer Figur gezeigt, man kann ihn sich jedoch auf der Grundlage der 5 leicht vorstellen, indem angenommen wird, daß die neun Schichten 64-a bis 64-i darin durch fünf Schichten 64-a, 64-b, 64-c, 64-d und 64-e ersetzt werden, wobei die Erregung der Schichten 64-b und 64-d entgegengesetzt zu jener der Schichten 64-a, 64-c und 64-e ist, wobei die Erregung der letztgenannten drei Schichten wieder zu jener der Quadrupole 62 und 66 entgegengesetzt ist.
  • Die Abmessungen und die Spannungen der Elektroden der Korrekturelemente waren für die beiden Korrekturelemente in 10 unterschiedlich. Die folgenden Abmessungen und Spannungen gelten für das erste Korrekturelement 32, 34, 36. Die sieben Quadrupole des Korrekturelements sind durch zwei Röhren zum elektrischen Abschluß eingeschlossen. Es wird vorausgesetzt, daß jeder Quadrupol in diesem Korrekturelement so aufgebaut ist, wie in 4 gezeigt; der Radius des Mittelkreises, der die Hyperbeln tangiert, beträgt dann 1,2 mm, wie der Innenradius der Röhren für den elektrischer Abschluß. Das Korrekturelement besteht aufeinanderfolgend aus einer Röhre, die eine Spannung von 0 V aufweist und der in einem Abstand von 0,8 mm der erste Quadrupol 62 nachfolgt, der eine Dicke von 0,8 mm aufweist und dem in einem Abstand von 0,8 mm der zweite Quadrupol 64-a nachfolgt, der eine Dicke von 1,2 mm aufweist und dem in einem Abstand von 1,2 mm der dritte Quadrupol 64-b nachfolgt, der eine Dicke von 1,2 mm aufweist und dem in einem Abstand von 1,2 mm der vierte Quadrupol 64-c nachfolgt, der eine Dicke von 1,2 mm aufweist. Die anderen Abmessungen sind bekannt, da das Korrekturelement relativ zu einer Ebene durch die Mitte der Elektrode 64-c spiegelsymmetrisch ist. Die Spannungen an den Elektroden der äußeren beiden Quadrupole 62 und 66 betragen 280,8 V für die x-z-Ebene und –280,8 V für die y-z-Ebene; an den Elektroden der drei Quadrupole 64-a, 64-c und 64-e betragen sie 107,2 V für die x-z-Ebene und 1004,0 V für die y-z-Ebene; an den Elektroden der beiden Quadrupolen 64-b und 64-d betragen sie –133,6 V für die x-z-Ebene und –977,6 V für die y-z-Ebene.
  • Die folgenden Abmessungen und Spannungen gelten für das zweite Korrekturelement 38, 40, 42. Die Zusammensetzung des zweiten Korrekturelements ist dieselbe wie jene des ersten Korrekturelements. Um die Abmessungen für das zweite Korrekturelement zu erhalten, müssen alle Abmessungen des ersten Korrekturelements mit einem Faktor 0,82 multipliziert werden. Die erste und die letzte Röhre führen wieder eine Spannung von 0 V. Die Spannungen an den Elektroden der äußeren beiden Quadrupole 62 und 66 betragen –256,3 V für die x-z-Ebene und 256,3 V für die y-z-Ebene; an den Elektroden der drei Quadrupole 64-a, 64c und 64-e betragen sie 912,1 V für die x-z-Ebene und 98,5 V für die y-z-Ebene; an den Elektroden der beiden Quadrupole 64-b und 64-d betragen sie –890,1 V für die x-z-Ebene und –120,5 V für die y-z-Ebene.
  • Die Elektroden der beiden Quadrupolen 30 und 44 weisen einen Mittelkreis auf, der die Hyperbeln tangiert, der einen Radius von 1,2 mm aufweist. Die beiden Quadrupole bestehen aufeinanderfolgend aus einer Röhre zum elektrischen Abschluß, die einen Innendurchmesser von 1,2 mm aufweist und der in einem Abstand von 1 mm ein Quadrupol nachfolgt, der eine Dicke von 2 mm aufweist und dem in einem Abstand von 1 mm eine Röhre zum elektrischen Abschluß nachfolgt, die einen Innendurchmesser von 1,2 mm aufweist. Die Spannungen an den Elektroden des Quadrupols 30 betragen +14,8 V und –14,8 V für die x-z-Ebene bzw. die y-z-Ebene, und die entgegengesetzten Werte gelten für den Quadrupol 44. Für die Simulation des Verlaufs der Elektronen strahlen wurde vorausgesetzt, daß die Beschleunigungsspannung Φ0 = 1000 V und daß die Elektronen im einfallenden Elektronenstrahl zwischen drei Energien verteilt waren, d.h. der Nennspannung von 1000 V und einer Abweichung ΔΦ = ±5 V. 10 ist durch eine Simulation erhalten worden, indem das Simulationsprogramm und die angegebenen Abmessungen und Potentiale verwendet wurden.
  • In 10 geht zuerst ein Strahl 80 von einem Punkt auf der Achse 4 durch eine runde Linse aus; die Position dieser runden Linse wird durch die Bezugsziffer 82 auf der Achse bezeichnet. Unter dem Einfluß dieser runden Linse wird der Strahl 80 parallel zur Achse gerichtet, wonach er durch den Quadrupol 30 aufgespaltet wird, um einen Strahl für die x-z-Ebene und einen Strahl für die y-z-Ebene zu bilden. Der Verlauf der Strahlen in der x-z-Ebene und in der y-z-Ebene ist wieder im wesentlichen derselbe, wie unter Bezugnahme auf die 6, 7, 8 und 9 beschrieben und braucht nicht wieder ausgearbeitet werden. Der Unterschied zwischen dem Strahlengang in 10 und dem in den anderen Figuren besteht darin, daß in 10 der Strahl nicht einer Bahn folgt, die eine Ganzzahl von halben Sinusperioden bildet; die Quadrupole werden nun in einer solchen Weise erregt, daß die Form der Bahn in jedem der Korrekturelemente leicht davon abweicht. Aufgrund dieser Abweichung werden zwei Freiheitsgrade erhalten (einer für jedes Korrekturelement): diese Freiheitsgrade können verwendet werden, um den Punkt mit einem chromatischen Vergrößerungsfehler, der für die x-z-Ebene gleich null ist, mit dem entsprechenden Punkt für die y-z-Ebene zusammenfallen zu lassen und, überdies diese zusammenfallenden Punkte zu einer gewünschten Position auf der optischen Achse zu bewegen. Diese Position wird durch die Bezugsziffer 84 in 10 bezeichnet. Eine runde Linse, die auf eine chromatische Aberration korrigiert werden soll, kann an diesem Punkt angeordnet werden, was zu einem achromatischen System führt, das außerdem einen chromatischen Vergrößerungsfehler aufweist, der gleich null ist.

Claims (1)

  1. Korrektor (28) zur Korrektur der chromatischen Aberration einer Fokussierlinse (8) in einer teilchenoptischen Vorrichtung, wobei die Fokussierlinse (8) vom Korrektor (28) beabstandet ist, wobei der Korrektor (28) mindestens zwei gegenseitig beabstandete Korrekturelemente (34, 40) aufweist, von denen jedes mit Elektroden (62, 64, 66) zur Erzeugung elektrischer Quadrupolfelder versehen ist, wobei die Elektroden (62, 64, 66) in aufeinanderfolgenden Schichten entlang einer optischen Achse (4) angeordnet sind, die dem Korrektor (29) und der Fokussierlinse (8) gemeinsam ist, und wobei die Quadrupolfelder, die durch die Elektroden (62, 64, 66) in den Schichten erzeugt werden, um einen Winkel von im wesentlichen 90° um die optische Achse (4) relativ zum Quadrupolfeld gedreht sind, das durch die Elektrode in einer angrenzenden Schicht erzeugt wird, dadurch gekennzeichnet, daß die Korrekturelemente (34, 40) jeweils mindestens fünf Schichten der Quadrupolelektroden aufweisen, wobei die mindestens fünf Schichten der Quadrupolelektroden jedes Korrekturelements in einer aufeinanderfolgenden Reihenfolge angeordnet sind und kein anderes optisches Element zwischen irgendwelchen zwei aufeinanderfolgenden Schichten der mindestens fünf Schichten der Quadrupolelektroden jedes Korrekturelements angeordnet ist.
DE69839072T 1997-11-20 1998-10-12 Elektrostatische vorrichtung zur korrektur des chromatischen fehlers in einem teilchenoptischen gerät Expired - Lifetime DE69839072T2 (de)

Applications Claiming Priority (3)

Application Number Priority Date Filing Date Title
EP97203622 1997-11-20
EP97203622 1997-11-20
PCT/IB1998/001607 WO1999027558A1 (en) 1997-11-20 1998-10-12 Electrostatic device for correcting chromatic aberration in a particle-optical apparatus

Publications (2)

Publication Number Publication Date
DE69839072D1 DE69839072D1 (de) 2008-03-20
DE69839072T2 true DE69839072T2 (de) 2008-05-21

Family

ID=8228944

Family Applications (1)

Application Number Title Priority Date Filing Date
DE69839072T Expired - Lifetime DE69839072T2 (de) 1997-11-20 1998-10-12 Elektrostatische vorrichtung zur korrektur des chromatischen fehlers in einem teilchenoptischen gerät

Country Status (5)

Country Link
US (1) US6184975B1 (de)
EP (1) EP0981829B1 (de)
JP (1) JP2001509952A (de)
DE (1) DE69839072T2 (de)
WO (1) WO1999027558A1 (de)

Families Citing this family (18)

* Cited by examiner, † Cited by third party
Publication number Priority date Publication date Assignee Title
DE19926927A1 (de) * 1999-06-14 2000-12-21 Ceos Gmbh Elektrostatischer Korrektor zur Beseitigung des Farbfehlers von Teilchenlinsen
DE19944857A1 (de) * 1999-09-18 2001-03-22 Ceos Gmbh Elektronenoptische Linsenanordnung mit weit verschiebbarer Achse
DE10102527A1 (de) * 2001-01-20 2002-07-25 Ceos Gmbh Elektrostatischer Korrektor
DE10159454B4 (de) * 2001-12-04 2012-08-02 Carl Zeiss Nts Gmbh Korrektor zur Korrektion von Farbfehlern erster Ordnung, ersten Grades
DE10159308A1 (de) * 2001-12-04 2003-06-12 Ceos Gmbh Teilchenoptischer Korrektor
US6930308B1 (en) * 2002-07-11 2005-08-16 Kla-Tencor Technologies Corporation SEM profile and surface reconstruction using multiple data sets
DE10237141A1 (de) * 2002-08-13 2004-02-26 Leo Elektronenmikroskopie Gmbh Strahlführungssystem, Abbildungsverfahren und Elektronenmikroskopiesystem
EP1783811A3 (de) * 2005-11-02 2008-02-27 FEI Company Korrektor zur Korrektion von chromatischen Aberrationen in einem korpuskularoptiachen Apparat
JP5078431B2 (ja) * 2007-05-17 2012-11-21 株式会社日立ハイテクノロジーズ 荷電粒子ビーム装置、その収差補正値算出装置、及びその収差補正プログラム
EP2091062A1 (de) * 2008-02-13 2009-08-19 FEI Company TEM mit Aberrationskorrektor und Phasenplatte
EP2131385A1 (de) * 2008-06-05 2009-12-09 FEI Company Hybridphasenplatte
EP2166557A1 (de) * 2008-09-22 2010-03-24 FEI Company Verfahren zur Berichtigung von Verzerrungen in einer teilchenoptischen Vorrichtung
EP2197018A1 (de) 2008-12-12 2010-06-16 FEI Company Verfahren zur Bestimmung von Verzeichnungen in einer teilchenoptischen Vorrichtung
EP2325862A1 (de) * 2009-11-18 2011-05-25 Fei Company Korrektor für axiale Aberrationen einer teilchenoptischen Linse
US20110142362A1 (en) * 2009-12-11 2011-06-16 Marimon Sanjuan David Method for filtering data with symmetric weighted integral images
EP2511936B1 (de) 2011-04-13 2013-10-02 Fei Company Verzerrungsfreie Stigmation eines TEM
EP2584584A1 (de) 2011-10-19 2013-04-24 FEI Company Verfahren zur Einstellung eines STEM mit Aberrationskorrektor
EP2704177B1 (de) 2012-09-04 2014-11-26 Fei Company Verfahren zur Untersuchung und Korrektur von Aberrationen in einem Linsensystem mit geladenen Teilchen

Family Cites Families (3)

* Cited by examiner, † Cited by third party
Publication number Priority date Publication date Assignee Title
NL8602196A (nl) * 1986-08-29 1988-03-16 Philips Nv Geladen deeltjes bestralingsapparaat met optisch vervormbaar bundel begrenzend diafragma.
DE4204512A1 (de) * 1992-02-15 1993-08-19 Haider Maximilian Dipl Phys Dr Elektronenoptisches korrektiv
EP0840939B1 (de) * 1996-05-21 2005-08-03 Fei Company Vorrichtung zur korrektur von linsenfehlern in teilchen-optischer geräte

Also Published As

Publication number Publication date
DE69839072D1 (de) 2008-03-20
US6184975B1 (en) 2001-02-06
JP2001509952A (ja) 2001-07-24
EP0981829B1 (de) 2008-01-30
WO1999027558A1 (en) 1999-06-03
EP0981829A1 (de) 2000-03-01

Similar Documents

Publication Publication Date Title
DE69839072T2 (de) Elektrostatische vorrichtung zur korrektur des chromatischen fehlers in einem teilchenoptischen gerät
DE69822139T2 (de) Korrekturvorrichtung zur linsenfehlerkorrektur in ladungsträger-optischen geräten
EP0373399B1 (de) Abbildender Korrektor vom Wien-Typ für Elektronenmikroskope
EP0617451B1 (de) Abbildendes Elektronenenergiefilter
EP0530640B1 (de) Abbildungssystem für Strahlung geladener Teilchen mit Spiegelkorrektor
DE69733408T2 (de) Korrigiervorrichtung zur korrektur chromatischer fehler in einem partikel-optischen gerät
DE69733873T2 (de) Vorrichtung zur korrektur von linsenfehlern in teilchen-optischer geräte
DE102008035297B4 (de) Aberrationskorrektureinrichtung für Ladungsteilchenstrahlen in einem optischen System einer Ladungsteilchenstrahlvorrichtung und Ladungsteilchenstrahlvorrichtung mit der Aberrationskorrektureinrichtung
DE102020107738B3 (de) Teilchenstrahl-System mit einer Multipol-Linsen-Sequenz zur unabhängigen Fokussierung einer Vielzahl von Einzel-Teilchenstrahlen, seine Verwendung und zugehöriges Verfahren
DE3913965A1 (de) Direkt abbildendes sekundaerionen-massenspektrometer mit laufzeit-massenspektrometrischer betriebsart
EP1995758B1 (de) Monochromator und Teilchenstrahlquelle mit Monochromator
DE102013020399B4 (de) Vorrichtung zur Korrektur chromatischer Aberration und Elektronenmikroskop
EP0106154B1 (de) Varioformstrahl-Ablenkobjektiv für Neutralteilchen und Verfahren zu seinem Betrieb
DE102019202838A1 (de) Strahlbestrahlungsvorrichtung
DE102020123567A1 (de) Vielzahl-Teilchenstrahl-System mit Kontrast-Korrektur-Linsen-System
WO2002093610A2 (de) Ablenksystem für ein teilchenstrahlgerät
EP3780064B1 (de) Teilchenoptischer korrektor frei von axialen fehlern sechster ordnung und elektronenmikroskop mit korrektor
EP0564438A1 (de) Teilchen-, insbes. ionenoptisches Abbildungssystem
EP1451847B1 (de) Teilchenoptischer korrektor
DE69501533T2 (de) Partikel-optisches instrument mit einer ablenkeinheit für sekundärelektronen
DE19734059B4 (de) Anordnung für Schattenwurflithographie
WO2000077819A1 (de) Elektrostatischer korrektor zur beseitigung des farbfehlers von teilchenlinsen
DE60037071T2 (de) Magentischer Energiefilter
DE69432670T2 (de) Chromatisch kompensierte teilchenstrahlsäule
DE112012003411B4 (de) Multipolmessvorrichtung

Legal Events

Date Code Title Description
8364 No opposition during term of opposition