DE69836331T2 - 2-sulfamoylbenzoesäure-derivate - Google Patents

2-sulfamoylbenzoesäure-derivate Download PDF

Info

Publication number
DE69836331T2
DE69836331T2 DE69836331T DE69836331T DE69836331T2 DE 69836331 T2 DE69836331 T2 DE 69836331T2 DE 69836331 T DE69836331 T DE 69836331T DE 69836331 T DE69836331 T DE 69836331T DE 69836331 T2 DE69836331 T2 DE 69836331T2
Authority
DE
Germany
Prior art keywords
group
benzyl
sulfamoylbenzoic acid
butyl
optionally substituted
Prior art date
Legal status (The legal status is an assumption and is not a legal conclusion. Google has not performed a legal analysis and makes no representation as to the accuracy of the status listed.)
Expired - Fee Related
Application number
DE69836331T
Other languages
English (en)
Other versions
DE69836331D1 (de
Inventor
Yoshihiro Shizuoka Factory ICHIKAWA
Central Research Institute Tokiko Minami kawara-cho NISHIDA
Central Research Institute Jun NAKANO
Ltd. Mitsuru Kaken Pharmaceutical Co. WATANUKI
Central Research Institute Masahiro SUDA
Central Research Institute Tsutomu NAKAMURA
Current Assignee (The listed assignees may be inaccurate. Google has not performed a legal analysis and makes no representation or warranty as to the accuracy of the list.)
Kaken Pharmaceutical Co Ltd
Original Assignee
Kaken Pharmaceutical Co Ltd
Priority date (The priority date is an assumption and is not a legal conclusion. Google has not performed a legal analysis and makes no representation as to the accuracy of the date listed.)
Filing date
Publication date
Application filed by Kaken Pharmaceutical Co Ltd filed Critical Kaken Pharmaceutical Co Ltd
Application granted granted Critical
Publication of DE69836331D1 publication Critical patent/DE69836331D1/de
Publication of DE69836331T2 publication Critical patent/DE69836331T2/de
Anticipated expiration legal-status Critical
Expired - Fee Related legal-status Critical Current

Links

Classifications

    • CCHEMISTRY; METALLURGY
    • C07ORGANIC CHEMISTRY
    • C07DHETEROCYCLIC COMPOUNDS
    • C07D277/00Heterocyclic compounds containing 1,3-thiazole or hydrogenated 1,3-thiazole rings
    • C07D277/02Heterocyclic compounds containing 1,3-thiazole or hydrogenated 1,3-thiazole rings not condensed with other rings
    • C07D277/20Heterocyclic compounds containing 1,3-thiazole or hydrogenated 1,3-thiazole rings not condensed with other rings having two or three double bonds between ring members or between ring members and non-ring members
    • C07D277/22Heterocyclic compounds containing 1,3-thiazole or hydrogenated 1,3-thiazole rings not condensed with other rings having two or three double bonds between ring members or between ring members and non-ring members with only hydrogen atoms, hydrocarbon or substituted hydrocarbon radicals, directly attached to ring carbon atoms
    • C07D277/24Radicals substituted by oxygen atoms
    • AHUMAN NECESSITIES
    • A61MEDICAL OR VETERINARY SCIENCE; HYGIENE
    • A61PSPECIFIC THERAPEUTIC ACTIVITY OF CHEMICAL COMPOUNDS OR MEDICINAL PREPARATIONS
    • A61P37/00Drugs for immunological or allergic disorders
    • A61P37/08Antiallergic agents
    • AHUMAN NECESSITIES
    • A61MEDICAL OR VETERINARY SCIENCE; HYGIENE
    • A61PSPECIFIC THERAPEUTIC ACTIVITY OF CHEMICAL COMPOUNDS OR MEDICINAL PREPARATIONS
    • A61P43/00Drugs for specific purposes, not provided for in groups A61P1/00-A61P41/00
    • CCHEMISTRY; METALLURGY
    • C07ORGANIC CHEMISTRY
    • C07DHETEROCYCLIC COMPOUNDS
    • C07D215/00Heterocyclic compounds containing quinoline or hydrogenated quinoline ring systems
    • C07D215/02Heterocyclic compounds containing quinoline or hydrogenated quinoline ring systems having no bond between the ring nitrogen atom and a non-ring member or having only hydrogen atoms or carbon atoms directly attached to the ring nitrogen atom
    • C07D215/12Heterocyclic compounds containing quinoline or hydrogenated quinoline ring systems having no bond between the ring nitrogen atom and a non-ring member or having only hydrogen atoms or carbon atoms directly attached to the ring nitrogen atom with substituted hydrocarbon radicals attached to ring carbon atoms
    • CCHEMISTRY; METALLURGY
    • C07ORGANIC CHEMISTRY
    • C07DHETEROCYCLIC COMPOUNDS
    • C07D215/00Heterocyclic compounds containing quinoline or hydrogenated quinoline ring systems
    • C07D215/02Heterocyclic compounds containing quinoline or hydrogenated quinoline ring systems having no bond between the ring nitrogen atom and a non-ring member or having only hydrogen atoms or carbon atoms directly attached to the ring nitrogen atom
    • C07D215/12Heterocyclic compounds containing quinoline or hydrogenated quinoline ring systems having no bond between the ring nitrogen atom and a non-ring member or having only hydrogen atoms or carbon atoms directly attached to the ring nitrogen atom with substituted hydrocarbon radicals attached to ring carbon atoms
    • C07D215/14Radicals substituted by oxygen atoms
    • CCHEMISTRY; METALLURGY
    • C07ORGANIC CHEMISTRY
    • C07DHETEROCYCLIC COMPOUNDS
    • C07D215/00Heterocyclic compounds containing quinoline or hydrogenated quinoline ring systems
    • C07D215/02Heterocyclic compounds containing quinoline or hydrogenated quinoline ring systems having no bond between the ring nitrogen atom and a non-ring member or having only hydrogen atoms or carbon atoms directly attached to the ring nitrogen atom
    • C07D215/16Heterocyclic compounds containing quinoline or hydrogenated quinoline ring systems having no bond between the ring nitrogen atom and a non-ring member or having only hydrogen atoms or carbon atoms directly attached to the ring nitrogen atom with hetero atoms or with carbon atoms having three bonds to hetero atoms with at the most one bond to halogen, e.g. ester or nitrile radicals, directly attached to ring carbon atoms
    • C07D215/18Halogen atoms or nitro radicals

Landscapes

  • Chemical & Material Sciences (AREA)
  • Organic Chemistry (AREA)
  • Health & Medical Sciences (AREA)
  • Life Sciences & Earth Sciences (AREA)
  • General Health & Medical Sciences (AREA)
  • General Chemical & Material Sciences (AREA)
  • Medicinal Chemistry (AREA)
  • Nuclear Medicine, Radiotherapy & Molecular Imaging (AREA)
  • Bioinformatics & Cheminformatics (AREA)
  • Pharmacology & Pharmacy (AREA)
  • Engineering & Computer Science (AREA)
  • Animal Behavior & Ethology (AREA)
  • Chemical Kinetics & Catalysis (AREA)
  • Public Health (AREA)
  • Veterinary Medicine (AREA)
  • Pulmonology (AREA)
  • Immunology (AREA)
  • Pharmaceuticals Containing Other Organic And Inorganic Compounds (AREA)
  • Acyclic And Carbocyclic Compounds In Medicinal Compositions (AREA)
  • Organic Low-Molecular-Weight Compounds And Preparation Thereof (AREA)
  • Quinoline Compounds (AREA)
  • Thiazole And Isothizaole Compounds (AREA)
  • Heterocyclic Carbon Compounds Containing A Hetero Ring Having Nitrogen And Oxygen As The Only Ring Hetero Atoms (AREA)

Description

  • TECHNISCHES GEBIET:
  • Die vorliegende Erfindung betrifft neue
  • 2-Sulfamoylbenzoesäurederivate, die eine antagonistische Wirkung sowohl auf den Leukotrien D4 (nachstehend einfach als LTD4 bezeichnet)-Rezeptor als auch den Thromboxan A2 (nachstehend einfach als TXA2 bezeichnet)-Rezeptor haben, Zwischenstufen für ihre Synthese und ihre Salze und Arzneimittel, die diese enthalten.
  • HINTERGRUND DER ERFINDUNG:
  • Zur Behandlung von allergischen Erkrankungen, einschliesslich Bronchialasthma, werden antiallergische Mittel, wie z.B. Histamin-Rezeptor-Antagonisten und Mittel zur Unterdrückung der Mediatorausschüttung für Mastzellen und Steroidarzneimittel, verwendet, und für Bronchialasthma wurden ebenfalls Bronchodilatatoren, wie Xanthinderivate, und Stimulatoren für den β-sympathetischen Nerven-Rezeptor verwendet.
  • In den letzten Jahren wurden allergische Erkrankungen durch ihre pathologischen Profile als allergische Entzündungen erkannt und es wurde gefunden, dass diese mit verschiedenen Entzündungszellen und Mediatoren in Verbindung stehen. Zum Beispiel ist Bronchialasthma durch eine erhöhte Empfindlichkeit der Atemwege für verschiedene Reize gekennzeichnet und wird so definiert, dass es eine reversible Verengung der Atemwege, Schleimhautödeme der Atemwege, starke Schleimabsonderung und Eindringen von Entzündungszellen in die Wände der Atemwege mit sich bringt.
  • Ferner wird in bezug auf die verwandten Mediatoren vorgeschlagen, dass LTD4 nicht nur eine starke bronchokonstriktorische Wirkung aufweist, sondern auch die Durchlässigkeit der Gefässe der Atemwege und Schleimabsonderung steigert, und dass TXA2 nicht nur eine starke bronchokonstriktorische Wirkung hat, sondern auch die Empfindlichkeit der Atemwege kontrolliert.
  • Mit den oben erwähnten Fortschritten in der Forschung zur Behandlung von allergischen Erkrankungen wurden LTD4-Rezeptor-Antagonisten, TXA2-Syntheseinhibitoren und TXA2-Rezeptor-Antagonisten verkauft und haben sich als wirksamer als konventionelle Antiallergiemittel erwiesen.
  • Da jedoch die Entwicklung von allergischen Erkrankungen, dargestellt durch Bronchialasthma, pathologisch gesehen wie oben erwähnt verschiedene Mediatoren gleichzeitig einbezieht, hat der Antagonismus gegen einen Rezeptor für einen einzigen Mediator oder die Hemmung der Synthese eines einzigen Mediators seine Grenzen hinsichtlich der Wirksamkeit, und die Entwicklung von neuen vielversprechenden Antiallergiemitteln, die grössere therapeutische Wirkungen durch Hemmung von sowohl LTD4 als auch TXA2 zeigen, die bedeutende pathologische Mediatoren bei Allergie sind, ist erforderlich.
  • Verbindungen, die antagonistische Wirkungen auf die Rezeptoren für beide der zwei Mediatoren, LTD4 und TXA2, aufweisen, werden in JP-A-3-258759, JP-A-4-154757, JP-A-4-154766, JP-A-5-262736, JP-A-5-279336, JP-A-6-41051 und WO 96/11916 offenbart. Diese Verbindungen sind strukturell verschieden von den erfindungsgemässen Verbindungen und es wird nicht erwartet, dass sie ausreichende therapeutische Wirkungen als antiallergische Mittel im Hinblick auf die Intensitäten ihrer antagonistischen Wirkungen auf die Rezeptoren für den bedeutenden bronchokonstriktorischen Mediator LTD4 und die Verhältnisse ihrer antagonistischen Aktivitäten gegen die zwei Mediatoren LTD4 und TXA2 aufweisen.
  • Die vorliegende Erfindung wurde im Hinblick auf die derzeitige Situation in der Behandlung von allergischen Erkrankungen und der Forschung zu ihrer Behandlung mit dem Ziel bewerkstelligt, neue Verbindungen bereitzustellen, die starke antagonistische Wirkungen auf die Rezeptoren für LTD4 und TXA2 zeigen, die die zwei wichtigen Mediatoren in der Entwicklung von allergischen Erkrankungen sind, und von denen deshalb erwartet wird, dass sie ausgezeichnete therapeutische Wirkungen haben, sowie die diese als Wirkstoffe enthaltende Pharmazeutika bereitzustellen.
  • OFFENBARUNG DER ERFINDUNG:
  • Zu den oben erwähnten Bemühungen in der Behandlung von allergischen Erkrankungen und der Erforschung ihrer Behandlung haben die Erfinder umfangreich Forschung betrieben, um das oben erwähnte Ziel zu erreichen, und sie haben dabei als Ergebnis festgestellt, dass die erfindungsgemässen 2-Sulfamoylbenzoesäurederivate antagonistische Wirkungen auf die Rezeptoren für die zwei Mediatoren LTD4 und TXA2 haben, die eine wichtige Rolle in der Entwicklung von allergischen Erkrankungen spielen, und bessere therapeutische Wirkungen als die oben erwähnten Rezeptor-Antagonisten gegen einen einzigen Mediator und die Hemmstoffe gegen die Synthese eines einzelnen Mediators haben. Die Erfinder haben die vorliegende Erfindung auf Basis dieses Befunds bewerkstelligt. Und zwar stellt die vorliegende Erfindung 2-Sulfamoylbenzoesäurederivate der allgemeinen Formel (I) bereit:
    Figure 00040001
    (worin R1 und R2, die gleich oder verschieden sein können, Wasserstoffatome, C3-8-Cycloalkylgruppen, optional substituierte C1-6-Alkylgruppen oder optional substituierte Arylgruppen sind oder zusammen mit dem Ring
    Figure 00040002
    einen kondensierten Ring bilden, dargestellt durch die Formel
    Figure 00040003
    der mit einer optional substituierten C1-6-Alkylgruppe, einer Aminogruppe, einer Cyanogruppe, einer Nitrogruppe, einer Hydroxylgruppe, einem Halogenatom oder einer C1-5- Alkoxygruppe substituiert sein kann, X ein Sauerstoffatom, ein Stickstoffatom, ein Schwefelatom oder -CH=CH- ist, R3 eine optional substituierte Phenylsulfonylaminogruppe, eine optional substituierte Phenylsulfonylgruppe oder eine optional substituierte Phenylsulfoxidgruppe ist, R4 ein Wasserstoffatom oder ein Esterrest ist, n eine ganze Zahl von 2 bis 6 ist, A -O-B-, -B-O-, -S-B-, -B-S- oder -B- ist, und B eine C1-6-Alkylengruppe oder eine C2-5-Alkenylengruppe ist, unter der Massgabe, dass die Fälle, in denen R1 eine C1-6-Alkylgruppe, eine C3-6-Cycloalkylgruppe oder eine Phenylgruppe ist, R2 ein Wasserstoffatom ist, A eine Vinylengruppe ist und X ein Schwefelatom ist, ausgeschlossen sind) oder ein Salz, Hydrat oder Solvat davon.
  • Die vorliegende Erfindung stellt ferner als nützliche Zwischenprodukte für ihre Synthese Benzylaminderivate der allgemeinen Formel (II) bereit:
    Figure 00050001
    (worin R1 und R2, die gleich oder verschieden sein können, Wasserstoffatome, C3-8-Cycloalkylgruppen, optional substituierte C1-6-Alkylgruppen oder optional substituierte Arylgruppen sind oder zusammen mit dem Ring
    Figure 00050002
    einen kondensierten Ring bilden, dargestellt durch die Formel
    Figure 00060001
    der mit einer optional substituierten C1-6-Alkylgruppe, einer Aminogruppe, einer Cyanogruppe, einer Nitrogruppe, einer Hydroxylgruppe, einem Halogenatom oder einer C1-5-Alkoxygruppe substituiert sein kann, X ein Sauerstoffatom, ein Stickstoffatom, ein Schwefelatom oder -CH=CH- ist, R3 eine optional substituierte Phenylsulfonylaminogruppe, eine optional substituierte Phenylsulfonylgruppe oder eine optional substituierte Phenylsulfoxidgruppe ist, n eine ganze Zahl von 2 bis 6 ist, A -O-B-, -B-O-, -S-B-, -B-S- oder -B- ist, und B eine C1-6-Alkylengruppe oder eine C2-5-Alkenylengruppe ist, unter der Massgabe, dass die Fälle, in denen R1 eine C1-6-Alkylgruppe, eine C3-6-Cycloalkylgruppe oder eine Phenylgruppe ist, R2 ein Wasserstoffatom ist, A eine Vinylengruppe ist und X ein Schwefelatom ist, ausgeschlossen sind) oder Salze davon; Benzaldehydderivate der allgemeinen Formel (IIIa):
    Figure 00060002
    (worin R1 und R2, die gleich oder verschieden sein können, Wasserstoffatome, C3-8-Cycloalkylgruppen, optional substituierte C1-6-Alkylgruppen oder optional substituierte Arylgruppen sind oder zusammen mit dem Ring !!!!1!!!einen kondensierten Ring bilden, dargestellt durch die Formel !!2!!!!! der mit einer optional substituierten C1-6-Alkylgruppe, einer Aminogruppe, einer Cyanogruppe, einer Nitrogruppe, einer Hydroxylgruppe, einem Halogenatom oder einer C1-5-Alkoxygruppe substituiert sein kann, A' -B'-O- oder -B'- ist, und B' eine C1-6-Alkylengruppe ist) oder Salze davon; Benzonitrilderivate der allgemeinen Formel (IV): !!3!!!!!(worin R1 und R2, die gleich oder verschieden sein können, Wasserstoffatome, C3-8-Cycloalkylgruppen, optional substituierte C1-6-Alkylgruppen oder optional substituierte Arylgruppen sind oder zusammen mit dem Ring !!!4!!!!!einen kondensierten Ring bilden, dargestellt durch die Formel
    Figure 00080001
    der mit einer optional substituierten C1-6-Alkylgruppe, einer Aminogruppe, einer Cyanogruppe, einer Nitrogruppe, einer Hydroxylgruppe, einem Halogenatom oder einer C1-5-Alkoxygruppe substituiert sein kann, und X ein Sauerstoffatom, ein Stickstoffatom, ein Schwefelatom oder -CH=CH- ist) oder Salze davon, und die Verwendung von Aminderivaten der allgemeinen Formel (V) H2N-(CH2)nR3 (worin n eine ganze Zahl von 2 bis 6 ist, und R3 eine optional substituierte Phenylsulfonylaminogruppe, eine optional substituierte Phenylsulfonylgruppe oder eine optional substituierte Phenylsulfoxidgruppe ist) oder von Salzen davon zur Herstellung von Verbindungen der Formel (I). Ferner stellt die vorliegende Erfindung ein pharmazeutisches Antiallergiemittel und Leukotrien und Thromboxan A2-antagonistisches Mittel zur Verfügung, das ein 2-Sulfamoylbenzoesäurederivat der allgemeinen Formel (I) oder ein Salz, ein Hydrat oder ein Solvat davon als Wirkstoff enthält.
  • In den oben erwähnten allgemeinen Formeln (I), (II), (IIIa), (IV) und (V) ist eine "C3-8-Cycloalkylgruppe" eine Cyclopropylgruppe, eine Cyclobutylgruppe, eine Cyclopentylgruppe, eine Cyclohexylgruppe, eine Cyclopeptylgruppe oder eine Cyclooctylgruppe, vorzugsweise eine Cyclopropylgruppe oder eine Cyclobutylgruppe.
  • Eine "C1-6-Alkylgruppe" ist eine lineare oder verzweigte Alkylgruppe, wie eine Methylgruppe, eine Ethylgruppe, eine Propylgruppe, eine Isopropylgruppe, eine n-Butylgruppe, eine Isobutylgruppe, eine tert-Butylgruppe, eine n-Pentylgruppe oder eine n-Hexylgruppe, vorzugsweise eine Isopropylgruppe oder eine tert-Butylgruppe.
  • Eine "optional substituierte Arylgruppe" ist eine carbocyclische Arylgruppe, wie eine Phenylgruppe oder eine Naphthylgruppe, die als Substituenten ein Halogenatom, wie ein Fluoratom, ein Chloratom, ein Bromatom oder ein Iodatom, eine C1-6-Alkylgruppe, wie eine Methylgruppe oder eine Ethylgruppe, oder eine C1-5-Alkoxygruppe, wie eine Methoxygruppe oder eine Ethoxygruppe, vorzugsweise ein Fluoratom, ein Chloratom, ein Bromatom, eine Methylgruppe oder eine Methoxygruppe, aufweisen kann.
  • Ein "Halogenatom" ist ein Fluoratom, ein Chloratom, ein Bromatom oder ein Iodatom.
  • Eine "C1-5-Alkoxygruppe" ist eine Methoxygruppe, eine Ethoxygruppe, eine n-Propoxygruppe, eine n-Butoxygruppe, eine Isobutoxygruppe, eine tert-Butoxygruppe oder eine n-Pentoxygruppe, vorzugsweise eine Methoxygruppe oder eine Ethoxygruppe.
  • Eine "optional substituierte Phenylsulfonylaminogruppe", eine "optional substituierte Phenylsulfonylgruppe" und eine "optional substituierte Phenylsulfoxidgruppe" kann als Substituenten ein Halogenatom, wie ein Fluoratom, ein Chloratom, ein Bromatom oder ein Iodatom, eine C1-6-Alkylgruppe, wie eine Methylgruppe oder eine Ethylgruppe, oder eine C1-5-Alkoxygruppe, wie eine Methoxygruppe oder eine Ethoxygruppe, vorzugsweise ein Fluoratom, ein Chloratom, ein Bromatom, eine Methylgruppe oder eine Methoxygruppe, in der ortho-Position, meta-Position oder para-Position, vorzugsweise in der para-Position, aufweisen.
  • Ein "Esterrest" ist ein Esterrest, wie eine C1-6-Alkylgruppe, eine Benzylgruppe, eine Phenethylgruppe oder eine 1-Naphthylgruppe, oder eine Estergruppe, die in vivo metabolisch hydrolysierbar ist, wie eine Niederalkanoyloxyniederalkylgruppe, wie eine Acetyloxymethylgruppe, eine Niederalkenoylniederalkylgruppe, wie eine Vinylcarbonylmethylgruppe, eine Cycloalkylcarbonyloxyniederalkylgruppe, wie eine Cyclopropylcarbonyloxymethylgruppe, eine Niederalkenoyloxyniederalkylgruppe, wie eine Vinylcarbonyloxymethylgruppe, eine Niederalkoxyniederalkylgruppe, wie eine Methoxymethylgruppe, eine Niederalkoxyniederalkoxyniederalkylgruppe, wie eine Methoxymethoxymethylgruppe, eine Niederalkoxycarbonyloxyniederalkylgruppe, wie eine Methoxycarbonyloxymethylmethylgruppe, eine Benzoyloxyniederalkylgruppe, wie eine Benzoyloxymethylgruppe, eine 2-Oxotetrahydrofuran-5-yl-Gruppe oder eine 2-Oxo-5-(niederalkyl)-1,3-dioxolen-4-ylmethyl-Gruppe. Hierbei bedeutet "Nieder" eine lineare oder verzweigte Kohlenstoffkette mit einer Kohlenstoffzahl von 1 bis 6.
  • Eine "C1-6-Alkylengruppe" ist eine lineare oder verzweigte Alkylengruppe, wie eine Methylengruppe, eine Ethylengruppe, eine Methylmethylengruppe, eine Trimethylengruppe, eine Propylengruppe, eine Dimethylmethylengruppe, eine Tetramethylengruppe, eine 1-Methyltrimethylengruppe, eine 2-Methyltrimethylengruppe, eine 3-Methyltrimethylengruppe, eine 1-Ethylethylengruppe, eine 2-Ethylethylengruppe, eine 2,2-Dimethylethylengruppe, 1,1-Dimethylethylen, eine Ethylmethylmethylengruppe, eine Pentamethylengruppe, 1-Methyltetramethylen, 2-Methyltetramethylen, eine 3-Methyltetramethylengruppe, eine 4-Methyltetramethylengruppe, eine 1,1-Dimethyltrimethylengruppe, eine 2,2-Dimethyltrimethylengruppe, eine 3,3-Dimethyltrimethylengruppe, eine 1,3-Dimethyltrimethylengruppe, eine 2,3-Dimethyltrimethylengruppe, 1,2-Dimethyltrimethylen, eine 1,1,2-Trimethylethylengruppe, eine Diethylmethylengruppe, eine Hexamethylengruppe, eine 1-Methylpentamethylengruppe, eine 1,1-Dimethyltetramethylengruppe oder eine 2,2-Dimethyltetramethylengruppe, vorzugsweise eine Methylengruppe, eine Ethylengruppe, eine Propylengruppe, eine Methylmethylengruppe oder eine Dimethylmethylengruppe.
  • Eine "C2-5-Alkenylengruppe" ist eine Vinylengruppe, eine Propenylengruppe oder eine Butenylengruppe, vorzugsweise eine Vinylengruppe.
  • Die vorliegende Erfindung umfasst Racemate, Diastereomere und alle optischen Isomere der erfindungsgemässen Verbindungen der Formeln (I), (II), (IIIa) und (IV) mit einem oder mehreren asymmetrischen Kohlenstoffatom(en). Des weiteren umfasst die vorliegende Erfindung auch alle geometrischen Isomere der erfindungsgemässen Verbindungen, einschliesslich der (E)-Formen, (Z)-Formen und Mischungen davon.
  • Ausserdem betrifft die vorliegende Erfindung die Verwendung von Verbindungen der Formel (V) zur Herstellung der Verbindungen der Formel (I).
  • Als Salze der erfindungsgemässen Verbindungen der allgemeinen Formeln (I), (II), (IIIa) und (IV) und der Verbindungen der Formel (V) können anorganische Salze, wie Hydrohalogenide, Hydrofluoride, Hydrochloride, Hydrobromide und Hydroiodide, Nitrate, Perchlorate, Sulfate, Phosphate und Carbonate, Niederalkylsulfonate, wie Methansulfonate, Trifluormethansulfonate und Ethansulfonate, Arylsulfonate, wie Benzolsulfonate und p-Toluolsulfonate, Carboxylate, wie Acetate, Fumarate, Succinate, Citrate, Tartrate, Oxalate und Maleate, Aminosäuresalze, wie Glycinsalze, Alaninsalze, Glutamate und Aspartate, und Alkalimetallsalze, wie Natriumsalze und Kaliumsalze, erwähnt werden. Als Solvate können Solvate mit Aceton, 2-Butanol, 2-Propanol, Ethanol, Ethylacetat, Tetrahydrofuran und Diethylether erwähnt werden.
  • Die erfindungsgemässen Verbindungen der allgemeinen Formeln (I), (II), (IIIa) und (IV) und die Verbindungen der Formel (V) können durch die nachstehend beschriebenen Verfahren hergestellt werden.
  • VERFAHREN (A):
  • Verfahren zur Herstellung der erfindungsgemässen Verbindungen der allgemeinen Formeln (I) und (II):
    Figure 00130001
    Figure 00140001
    (worin R1, R2, X, R3, n und A die gleichen sind wie oben definiert, und R4a ein Esterrest ist).
  • Der erste Schritt ist eine konventionelle reduktive Aminierung eines Aldehyds der allgemeinen Formel (III) mit einem Amin der allgemeinen Formel (V) und führt zu einem Benzylaminderivat der allgemeinen Formel (II).
  • Dieser Schritt wird gewöhnlich durch die in situ-Bildung eines intermediären Imins der allgemeinen Formel (II') aus dem Aldehyd der allgemeinen Formel (III) und dem Amin der allgemeinen Formel (V) bewerkstelligt, gefolgt von der Reduktion mit einem geeigneten Reduktionsmittel. Zur Bildung des intermediären Imins wird vorzugsweise Methanol, Ethanol, Isopropanol, Benzol oder Toluol als Reaktionslösungsmittel verwendet, obwohl es keine besondere Beschränkung gibt, ausser wenn die Reaktion beträchtlich gehemmt wird. Die Reaktionstemperatur beträgt vorzugsweise 20 bis 140°C und die Reaktionszeit beträgt vorzugsweise 1 bis 24 Stunden. Zur Reduktion des intermediären Imins ist z.B. Natriumborhydrid oder Lithiumaluminiumhydrid als Reduktionsmittel bevorzugt, obwohl ohne besondere Beschränkung jedes gewöhnliche Reduktionsmittel, das eine Iminogruppe zu einer Aminogruppe reduzieren kann, verwendet werden kann. Hinsichtlich der Mengen der entsprechenden Reaktanden wird die Verbindung der allgemeinen Formel (V) vorzugsweise in einer Menge von 1 bis 5 Äquivalenten, bezogen auf die Verbindung der allgemeinen Formel (III), verwendet, und das Reduktionsmittel wird vorzugsweise in einer Menge von 1 bis 5 Äquivalenten, bezogen auf die Verbindung der allgemeinen Formel (III), verwendet. Das Reaktionslösungsmittel ist vorzugsweise Methanol, Ethanol oder Isopropanol, obwohl es keine besondere Beschränkung gibt, sofern die Reaktion nicht beträchtlich gehemmt ist. Die Reaktionstemperatur beträgt vorzugsweise 0 bis 70°C, und die Reaktionszeit beträgt vorzugsweise 30 Minuten bis 12 Stunden.
  • Der zweite Schritt ist eine herkömmliche Sulfonamidierung des Benzylaminderivats (II), das im ersten Schritt erhalten wird, mit einem 2-Chlorsulfonylbenzoesäureester in Gegenwart einer Base, und liefert ein 2-Sulfamoylbenzoesäurederivat (Ia), das einen Esterrest als R4 in der allgemeinen Formel (I) hat. Die Base kann entweder ein aliphatisches Amin oder ein aromatisches Amin, vorzugsweise Triethylamin oder Pyridin, sein. Hinsichtlich der Mengen der entsprechenden Reaktanden wird der 2-Chlorsulfonylbenzoesäureester vorzugsweise in einer Menge von 1 bis 3 Äquivalenten, bezogen auf das Benzylaminderivat (II), verwendet, und die Base wird vorzugsweise in einer Menge von 1 bis 5 Äquivalenten, bezogen auf das Benzylaminderivat (II), verwendet. Das Reaktionslösungsmittel ist vorzugsweise Chloroform, Dichlormethan, 1,2-Dichlorethan oder 1,1,2,2-Tetrachlorethan, obwohl es keine besondere Beschränkung gibt, ausser wenn die Reaktion beträchtlich gehemmt wird. Die Reaktionstemperatur beträgt vorzugsweise 0 bis 100°C, und die Reaktionszeit beträgt vorzugsweise 30 Minuten bis 12 Stunden.
  • Der dritte Schritt ist eine herkömmliche Hydrolyse der Verbindung der allgemeinen Formel (Ia), die im zweiten Schritt erhalten wird und liefert eine Verbindung der vorliegenden Erfindung, die durch die allgemeine Formel (Ib) dargestellt ist, worin R4 ein Wasserstoffatom ist. Für diese Reaktion kann eine herkömmliche Hydrolyse in Gegenwart einer Base eingesetzt werden. Die Base ist vorzugsweise ein Metallhydroxid oder Metallcarbonat, wie Natriumhydroxid, Kaliumhydroxid, Natriumcarbonat oder Kaliumcarbonat. Hinsichtlich der Mengen der entsprechenden Reaktanden wird die Base vorzugsweise in einer Menge von 1 bis 50 Äquivalenten, bezogen auf die Esterverbindung (Ia), verwendet. Das Reaktionslösungsmittel ist vorzugsweise Wasser, Methanol, Ethanol, Tetrahydrofuran oder eine Mischung davon, obwohl es keine besondere Beschränkung gibt, ausser wenn die Reaktion beträchtlich gehemmt wird. Die Reaktionstemperatur beträgt vorzugsweise 0 bis 100°C und die Reaktionszeit beträgt vorzugsweise 30 Minuten bis 24 Stunden.
  • Die erfindungsgemässe Verbindung (Ia) ist ebenfalls erhältlich durch Veresterung einer erfindungsgemässen Verbindung (Ib), die die Umwandlung der erfindungsgemässen Verbindung (Ib) in ein Säurehalogenid mit einem Halogenierungsmittel, wie Thionylchlorid, Oxalylchlorid oder Thionylbromid, umfasst, gefolgt von der Behandlung mit einem Alkohol in Gegenwart oder Abwesenheit einer Base. Zur Bildung des Säurehalogenids ist Dichlormethan, Chloroform, 1,2-Dichlorethan, 1,1,2,2-Tetrachlorethan oder Toluol als Reaktionslösungsmittel bevorzugt, obwohl es keine besondere Beschränkung gibt, ausser wenn die Reaktion beträchtlich gehemmt wird. Die Reaktionstemperatur beträgt vorzugsweise 0 bis 100°C, und die Reaktionszeit beträgt vorzugsweise 1 bis 12 Stunden.
  • Die zur Veresterung verwendete Base kann entweder ein aliphatisches Amin oder ein aromatisches Amin, vorzugsweise Triethylamin oder Pyridin, sein. Hinsichtlich der Mengen der jeweiligen Reaktanden wird der Alkohol vorzugsweise in einer Menge von 1 bis 10 Äquivalenten, bezogen auf das Säurehalogenid, verwendet, und die Base wird vorzugsweise in einer Menge von 1 bis 5 Äquivalenten, bezogen auf das Säurehalogenid, verwendet. Das Reaktionslösungsmittel kann Dichlormethan, Chloroform, 1,2-Dichlorethan, 1,1,2,2-Tetrachlorethan, Toluol oder der für die Veresterung verwendete Alkohol sein, obwohl es keine besondere Beschränkung gibt, ausser wenn die Reaktion beträchtlich gehemmt wird. Die Reaktionstemperatur beträgt vorzugsweise 0 bis 80°C, und die Reaktionszeit beträgt vorzugsweise 30 Minuten bis 12 Stunden.
  • Eine erfindungsgemässe Verbindung (Ia) ist auch aus einer erfindungsgemässen Verbindung (Ib) durch Reaktion mit einem Alkohol erhältlich, indem ein Kondensationsmittel, wie z.B. Dicyclohexylcarbodiimid, 1-Ethyl-3-(3'-dimethylaminopropyl)carbodiimid oder 1,1'-Carbonyldiimidazol, verwendet wird. Das Kondensationsmittel wird vorzugsweise in einer Menge von 1 bis 2 Äquivalenten, bezogen auf die erfindungsgemässe Verbindung (Ib), verwendet. Das Reaktionslösungsmittel ist vorzugsweise N,N-Dimethylformamid, Dimethylsulfoxid, Tetrahydrofuran, Dioxan, Dichlormethan, Chloroform oder 1,2-Dichlorethan, obwohl es keine besondere Beschränkung gibt, ausser wenn die Reaktion beträchtlich gehemmt wird. Die Reaktionstemperatur beträgt vorzugsweise 0 bis 70°C, und die Reaktionszeit beträgt vorzugsweise 1 bis 48 Stunden. Im Fall mancher Reaktionslösungsmitteltypen kann zuvor mehr als ein Äquivalent von N,N-Hydroxysuccinimid oder N-Hydroxybenzotriazol zugegeben werden, so dass die Reaktion sanft abläuft.
  • Verfahren (B):
  • Verfahren zur Herstellung der Verbindungen (IIIb) der allgemeinen Formel (III), worin X ein Schwefelatom und A -CH2O- ist:
    Figure 00180001
    (worin R1 und R2 die gleichen sind wie oben definiert, ausser dass sie keinen kondensierten Ring bilden, und Hal ein Bromatom oder ein Chloratom ist).
  • Zunächst reagiert eine Verbindung der Formel (a) mit einer Verbindung (b) in Gegenwart einer Base zu einer Verbindung (c). Die für die Reaktion verwendete Base ist vorzugsweise ein Metallcarbonat, wie Kaliumcarbonat oder Natriumcarbonat, oder ein Metallhydrid, wie Natriumhydrid und Kaliumhydrid. Als Reaktionslösungsmittel kann N,N-Dimethylformamid, Dimethylsulfoxid oder Aceton genannt werden, obwohl es keine besondere Beschränkung gibt, ausser wenn die Reaktion beträchtlich gehemmt wird. Die Reaktionstemperatur beträgt vorzugsweise 0 bis 100°C und die Reaktionszeit beträgt vorzugsweise 30 Minuten bis 8 Stunden. Dann reagiert die resultierende Verbindung (c) mit O,O-Diethyldithiophosphat (d), wobei man eine Verbindung (e) erhält. Für die Reaktion wird O,O-Diethyldithiophosphat vorzugsweise in einer Menge von 1 bis 5 Äquivalenten, bezogen auf die Verbindung (c), verwendet. Das Reaktionslösungsmittel ist vorzugsweise Wasser oder eine Lösungsmittelmischung aus einem organischen Lösungsmittel und Wasser, obwohl es keine besondere Beschränkung gibt, ausser wenn die Reaktion beträchtlich gehemmt wird, und als organisches Lösungsmittel wird Dimethoxyethan, Tetrahydrofuran oder Aceton bevorzugt. Die Reaktionstemperatur beträgt vorzugsweise 25 bis 100°C und die Reaktionszeit beträgt vorzugsweise 30 Minuten bis 8 Stunden. Die resultierende Verbindung (e) reagiert mit einem Bromketon der Formel (f), um eine Verbindung der allgemeinen Formel (IIIb) zu ergeben. Hinsichtlich der Mengen der jeweiligen Reaktanden wird das Bromketon der Formel (f) vorzugsweise in eine Menge von 1 bis 2 Äquivalenten, bezogen auf die Verbindung (e), verwendet. Das Reaktionslösungsmittel ist vorzugsweise ein niederer Alkohol, wie Methanol, Ethanol oder Isopropanol, obwohl es keine besondere Beschränkung gibt, ausser wenn die Reaktion beträchtlich gehemmt wird. Die Reaktionstemperatur beträgt vorzugsweise 25 bis 100°C und die Reaktionszeit beträgt vorzugsweise 30 Minuten bis 24 Stunden.
  • Verfahren (C):
  • Verfahren zur Herstellung der Verbindung (IIIc) der allgemeinen Formel (III), worin A -CH2O- ist:
    Figure 00200001
    (worin R1, R2, X und Hal die gleichen sind wie oben definiert).
  • Eine Verbindung der Formel (g) und eine Verbindung (b) werden in Gegenwart einer Base alkyliert, wobei sich eine Verbindung der allgemeinen Formel (IIIc) bildet. Als Base, die für die Reaktion verwendet wird, wird vorzugsweise ein Metallcarbonat, wie Kaliumcarbonat oder Natriumcarbonat, oder ein Metallhydroxid, wie Natriumhydrid oder Kaliumhydrid, verwendet, und die Base wird vorzugsweise in einer Menge von 1 bis 10 Äquivalenten, bezogen auf die Verbindung (b), verwendet. Als Reaktionslösungsmittel kann N,N-Dimethylformamid, Dimethylsulfoxid oder Aceton erwähnt werden, obwohl es keine bestimmte Beschränkung gibt, ausser wenn die Reaktion beträchtlich gehemmt wird. Die Reaktionstemperatur beträgt vorzugsweise 30 bis 100°C und die Reaktionstemperatur beträgt vorzugsweise 30 Minuten bis 8 Stunden.
  • Verfahren (D):
  • Verfahren zur Herstellung der Verbindung (IIId) der allgemeinen Formel (III), worin A eine Ethylengruppe ist, und zur Herstellung der erfindungsgemässen Verbindungen der allgemeinen Formel (IV):
    Figure 00210001
    (worin R1, R2, X und Hal die gleichen sind wie oben definiert).
  • Eine Verbindung der Formel (h) reagiert mit einer Verbindung (i) in Gegenwart einer Base zu einer Verbindung der Formel (IV). Als Base wird vorzugsweise ein Alkylmetallsalz, wie n-Butyllithium, tert-Butyllithium, Lithiumdiisopropylamid oder Kalium-tert-butoxid, verwendet. Die Base wird vorzugsweise in einer Menge von 1 bis 5 Äquivalenten, bezogen auf die Verbindung der Formel (h), verwendet. Als Reaktionslösungsmittel ist Tetrahydrofuran, Diethylether oder Toluol bevorzugt, obwohl es keine besondere Beschränkung gibt, ausser wenn die Reaktion beträchtlich gehemmt wird. Die Reaktionstemperatur beträgt –100 bis 50°C und die Reaktionszeit beträgt vorzugsweise 30 Minuten bis 12 Stunden. Die nachfolgende Reduktion der Nitrilgruppe in der resultierenden Verbindung der allgemeinen Formel (IV) mit einem Reduktionsmittel ergibt eine Verbindung der allgemeinen Formel (IIId). Das Reduktionsmittel ist vorzugsweise ein Metallhydrid, insbesondere Diisopropylaluminiumhydrid, wobei einige Reduktionsmittel, die eine Nitrilgruppe zu einer Aldehydgruppe reduzieren können, ohne irgendeine besondere Beschränkung verwendet werden können, wobei sie in einer Menge von 1 bis 2 Äquivalenten, bezogen auf die Verbindung der allgemeinen Formel (IV) verwendet werden. Als Reaktionslösungsmittel kann Tetrahydrofuran, Diethylether oder Toluol erwähnt werden, obwohl es keine besondere Beschränkung gibt, ausser wenn die Reaktion beträchtlich gehemmt wird. Die Reaktionstemperatur beträgt vorzugsweise –100 bis 50°C und die Reaktionszeit beträgt vorzugsweise 30 Minuten bis 12 Stunden.
  • Verfahren (E):
  • Verfahren zur Herstellung der Verbindung (IIId) der allgemeinen Formel (III), worin A eine Ethylengruppe ist:
    Figure 00230001
    (worin R1, R2 und X die gleichen sind wie oben definiert).
  • Katalytische Hydrierung einer Verbindung der allgemeinen Formel (IIIe) in Gegenwart eines Katalysators ergibt eine Verbindung der allgemeinen Formel (IIId). Als Hydrierungskatalysator wird ein 5% Palladium/Kohlenstoff, 10% Palladium/Kohlenstoff, 30% Palladium/Kohlenstoff, Platinoxid oder Wilkinson-Katalysator bevorzugt. Der Katalysator wird vorzugsweise in einer Menge von 1/10 bis zum Z-fachen des Gewichts der Verbindung (IIIe) verwendet, und der Wasserstoffdruck beträgt vorzugsweise 1 bis 5 Atm. Als Reaktionslösungsmittel ist Methanol, Ethanol, Ethylacetat oder Tetrahydrofuran bevorzugt, obwohl es keine besondere Beschränkung gibt, ausser wenn die Reaktion beträchtlich gehemmt wird. Die Reaktionstemperatur beträgt vorzugsweise 25 bis 70°C und die Reaktionszeit beträgt vorzugsweise 1 bis 72 Stunden.
  • Verfahren (F):
  • Verfahren zur Herstellung der Verbindung (Va) der allgemeinen Formel (V), worin R3 eine optional substituierte Phenylsulfonylgruppe ist:
    Figure 00240001
    (worin n und Hal die gleichen sind wie oben definiert, P eine Schutzgruppe ist und Z ein Wasserstoffatom, ein Halogenatom, eine C1-6-Alkylgruppe oder eine C1-5-Alkoxygruppe ist).
  • Zum Schutz der Aminogruppe wird eine Aminoalkoholverbindung der Formel (k) in eine Verbindung der allgemeinen Formel (l) umgewandelt. Der Schutz der Aminogruppe kann durch ein konventionelles Verfahren bewerkstelligt werden, indem eine Schutzgruppe, wie eine Phthalimidogruppe, eine tert-Butoxycarbonylgruppe oder eine Benzyloxycarbonylgruppe verwendet wird. Die resultierende Verbindung der Formel (l) wird durch den Austausch der Hydroxylgruppe durch eine Halogengruppe in eine Verbindung der Formel (m) umgewandelt. Die Halogenierung kann konventionell durch Bromierung durchgeführt werden, indem Phosphortribromid oder Kohlenstofftetrabromid/Triphenylphosphin verwendet wird, oder durch Chlorierung, indem Thionylchlorid oder Phosphorpentachlorid verwendet wird. Die resultierende Verbindung der Formel (m) reagiert mit einem Thiophenol der Formel (n) zu einer Verbindung der Formel (o). Die Substitution kann durch Verwendung einer Base, wie Kaliumcarbonat oder Natriumhydrid bewerkstelligt werden. Die resultierende Verbindung der Formel (o) wird zu einer Verbindung der Formel (p) oxidiert und dann letztlich durch Entschützen zu einer Verbindung der allgemeinen Formel (Va) umgewandelt. Zur Oxidation kann ein Oxidationsmittel, wie Metachlorperbenzoesäure, verwendet werden. Zum Entschützen können, je nach Schutzgruppe, konventionelle Verfahren verwendet werden.
  • Verfahren (G):
  • Verfahren zur Herstellung der Verbindungen (Vb) der allgemeinen Formel (V), worin R3 eine optional substituierte Phenylsulfonylaminogruppe ist:
    Figure 00250001
    (worin n und Z die gleichen sind wie oben definiert).
  • Eine Diaminverbindung der Formel (q) reagiert mit einem Phenylsulfonylchlorid der Formel (r) zu einer Verbindung der allgemeinen Formel (Vb). Hinsichtlich der Mengen der jeweiligen Reaktanden wird die Diaminverbindung (q), vorzugsweise in einer Menge von 1 bis 20 Äquivalenten, bezogen auf die Verbindung der Formel (r), verwendet. Als Reaktionslösungsmittel kann Chloroform, 1,2-Dichlorethan, Dichlormethan oder 1,1,2,2-Tetrachlorethan erwähnt werden, obwohl es keine besondere Beschränkung gibt. Die Reaktionstemperatur beträgt vorzugsweise 0 bis 50°C und die Reaktionszeit beträgt vorzugsweise 1 bis 8 Stunden.
  • Die erfindungsgemässen Verbindungen und die Zwischenprodukte, die in den oben erwähnten Verfahren hergestellt werden, können in Form von freien Verbindungen, Salzen, Hydraten oder Solvaten mit verschiedenen Lösungsmitteln, wie Ethanol, oder polymorphen Kristallen isoliert werden. Pharmazeutisch annehmbare Salze der erfindungsgemässen Verbindungen sind durch konventionelle salzbildende Reaktionen erhältlich. Die Isolation kann durch chemische Techniken, wie fraktionierte Extraktion, Kristallisation und verschiedene Arten der fraktionierten Chromatografie bewerkstelligt werden. Ihre optischen Isomere können als stereochemisch reine Isomere aus geeignet ausgewählten Ausgangsmaterialien oder durch racemische Trennung von racemischen Verbindungen erhalten werden.
  • Die so erhaltenen 2-Sulfamoylbenzoesäurederivate der allgemeinen Formel (I) haben eine hervorragende antiallergische Wirkung aufgrund ihrer antagonistischen Wirkungen sowohl an dem LTD4-Rezeptor als auch an dem TXA2-Rezeptor und zeigen hervorragende Wirkungen als vorbeugende und therapeutische Mittel für allergisches Bronchialasthma, Rhinitis und Bindehautentzündung, Neurodermitis, Magen-Darm-Entzündung, Dickdarmentzündung, allergischen Husten, Nierenentzündung und andere allergische Erkrankungen. Sie sind auch als vorbeugende und therapeutische Mittel für Erkrankungen, die mit Leukotrienen und TXA2 im Zusammenhang stehen, nützlich und sind weitgehend anwendbar zur Vorbeugung und Behandlung von ischämischen Herz- oder Gehirnerkrankungen, Angina Pectoris, entzündlichen Magengeschwüren und Hepatopathie.
  • Die erfindungsgemässen 2-Sulfamoylbenzoesäurederivate können alleine verabreicht werden oder durch Verwendung von bekannten Arzneimittelformulierungen in verschiedenen Dosierungsformen, z.B. als orale Pharmazeutika, wie Tabletten, Kapseln, Granulate, feine Granulate, Pulver, Flüssigkeiten und Sirupe, und als parenterale Pharmazeutika, wie Injektionen, Nasentropfen, Augentropfen, Infusionen, Salben, Suppositorien, Inhalationsmittel, perkutane Arzneimittel und Pflaster.
  • Die Dosierungen der erfindungsgemässen Arzneimittel hängen vom Zustand, dem Alter und dem Körpergewicht des Patienten, der therapeutischen Wirkung und der Form und Dauer der Verabreichung ab, aber im Fall der oralen Verabreichung an einen Erwachsenen werden sie gewöhnlich in einer Menge von 0,1 mg bis 10 g pro Tag verabreicht.
  • BESTE AUSFÜHRUNGSFORM DER ERFINDUNG:
  • BEISPIELE
  • Nun werden die erfindungsgemässen Verbindungen und deren Herstellung unter Bezugnahme auf Beispiele detailliert beschrieben. Die vorliegende Erfindung soll jedoch nicht auf diese spezifischen Beispiele beschränkt sein. Die 1H-NMR-Spektren wurden mittels eines Spektrometers, Modell JNM-EX270 (270 MHz, JEOL Ltd.), unter Verwendung von Tetramethylsilan (TMS) als interner Standard erhalten, und die δ-Werte wurden in ppm angegeben. Die DI-EI-Massenspektren wurden mittels eines Spektrometers, Modell QP1000EX (Shimadzu Corporation), erhalten. Die FAB-Massenspektren wurden mittels eines hochauflösenden Massenspektrometers, Modell JMN-HX110A (JEOL Ltd.), erhalten.
  • BEISPIEL 1
  • Herstellung von 3-[(4-Isopropyl-2-thiazolyl)methoxy]benzaldehyd:
  • 50 g (0,41 mol) m-Hydroxybenzaldehyd und 49 g (0,41 mol) Bromacetonitril wurden in 300 ml N,N-Dimethylformamid gelöst und zusammen mit 85 g (0,62 mol) Kaliumcarbonat und 6,0 g (0,04 mol) Natriumiodid bei Raumtemperatur für 1,5 Stunden gerührt. Das Lösungsmittel wurde im Vakuum abdestilliert, und dann wurden Wasser und Ethylacetat zur Extraktion hinzugefügt. Die Ethylacetatschicht wurde mit gesättigtem wässrigen Natriumchlorid gewaschen und über Magnesiumsulfat getrocknet und zur Entfernung des Lösungsmittels im Vakuum verdampft. Der Rückstand wurde durch Kieselgel-Säulenchromatografie (Eluent:Chloroform) gereinigt, wodurch 58 g 3-Cyanomethoxybenzaldehyd in einer Ausbeute von 88% erhalten wurden.
    1H-NMR (CDCl3): 4,86 (2H, s), 7,25–7,30 (1H, m), 7,44–7,64 (3H, m), 10,01 (1H, s)
  • Dann wurden 50 g (0,31 mol) 3-Cyanomethoxybenzaldehyd in 500 ml 1,2-Dimethoxyethan gelöst und zusammen mit 5,6 ml (0,31 mol) Wasser und 52 ml (0,31 mol) O,O-Diethyldithiophosphat bei 70°C für 3 Stunden gerührt. Das Lösungsmittel wurde im Vakuum abdestilliert und der Rückstand wurde mit Ether gewaschen und abfiltriert, wodurch 31 g 3-(Thiocarbamoylmethoxy)benzaldehyd in einer Ausbeute von 51% erhalten wurden.
    Masse (m/z): 195 (M+) 160 121
    1H-NMR (CDCl3): 4,94 (2H, s), 7,20–7,29 (1H, m), 7,44–7,58 (3H, m), 7,97 (2H, br), 9,99 (1H, s)
  • Dann wurden 32,9 g (0,38 mol) Methylisopropylketon in 291 ml Methanol gelöst und unter Eiskühlung mit 2,9 ml 25%-iger HBr-AcOH gemischt. 18,7 ml (0,36 mol) Brom wurden tropfenweise unter Eiskühlung hinzugefügt und die Reaktionslösung wurde für 2 Stunden gerührt. Die Reaktionslösung wurde zusammen mit Wasser bei Raumtemperatur für 30 Minuten und dann zusammen mit 3-(Thiocarbamoylmethoxy)benzaldehyd bei Raumtemperatur für 5,5 Stunden gerührt. Um den pH auf 8,0 einzustellen, wurden Wasser und gesättigtes Natriumhydrogencarbonat hinzugefügt und die Reaktionslösung wurde mit Ethylacetat extrahiert. Die Ethylacetatschicht wurde mit gesättigtem wässrigen Natriumchlorid gewaschen, über wasserfreiem Magnesiumsulfat getrocknet, zur Entfernung des Lösungsmittels im Vakuum verdampft und der Rückstand wurde durch Kieselgel-Säulenchromatografie (Eluent:n-Hexan/Ethylacetat = 20:1) gereinigt, wodurch 64,3 g der Titelverbindung in einer Ausbeute von 68% erhalten wurden.
    1H-NMR (CDCl3): 1,33 (6H, d, J = 6,9 Hz), 3,12 (1H), 5,40 (2H, s), 6,92 (1H, d, J = 0,99 Hz), 7,26–7,31 (1H, m), 7,47–7,54 (3H, m), 9,98 (1H, s)
  • Auf die gleiche Weise wurden die Verbindungen der Beispiele 2 und 3 hergestellt.
  • BEISPIEL 2
  • 3-[(4-Cyclobutyl-2-thiazolyl)methoxy]benzaldehyd:
    • Masse (m/z): 273 (M+) 254 152
    • 1H-NMR (CDCl3): 1,90–2,10 (2H, m), 2,20–2,43 (4H, m), 3,68 (1H, Quintett), 5,40 (2H, s), 6,94 (1H, s), 7,26–7,30 (1H, m), 7,47–7,54 (3H, m), 9,98 (1H, s)
  • BEISPIEL 3
  • 3-[(4-Cyclopropyl-2-thiazolyl)methoxy]benzaldehyd:
  • 1H-NMR (CDCl3): 0,86–1,00 (4H, m), 2,06 (1H, m), 5,35 (2H, s), 6,87 (1H, s), 7,24–7,31 (1H, m), 7,44–7,53 (3H, m), 9,98 (1H, s)
  • BEISPIEL 4
  • Herstellung von 3-[2-(4-Cyclobutyl-2-thiazolyl)ethyl]benzonitril:
  • 766 mg (5 mmol) 4-Cyclobutyl-2-methylthiazol wurden in 15 ml wasserfreiem Tetrahydrofuran gelöst und mit 561 mg (5 mmol) Kalium-tert-butoxid gemischt, und 3 ml (5 mmol) n-Butyllithium (1,68 M Hexanlösung) wurden bei –78°C tropfenweise zugegeben. Nach 3-stündigem Rühren bei der gleichen Temperatur wurden 1.270 mg (6 mmol) 3-Brommethylbenzonitril in 3 ml wasserfreiem Tetrahydrofuran tropfenweise hinzugefügt und die Reaktionslösung wurde für 1 Stunde und 40 Minuten gerührt. Nach Zugabe von gesättigtem wässrigem Ammoniumchlorid wurde die Reaktionslösung zweimal mit Diethylether extrahiert und die organische Phase wurde mit gesättigtem wässrigen Natriumchlorid gewaschen, über wasserfreiem Magnesiumsulfat getrocknet und zur Entfernung des Lösungsmittels im Vakuum verdampft. Der Rückstand wurde durch Kieselgel-Säulenchromatografie (Eluent:n-Hexan/Ethylacetat = 4:1) gereinigt, wodurch 876 mg der Titelverbindung als gelbe ölige Substanz in einer Ausbeute von 64% erhalten wurden.
    Masse (m/z): 268 (M+)
    1H-NMR (CDCl3): 1,84–2,11 (2H, m), 2,15–2,42 (4H, m), 3,11–3,19 (2H, m), 3,25–3,52 (2H, m), 3,57–3,70 (1H, m), 6,75 (1H, s), 7,35–7,52 (4H, m)
  • BEISPIEL 5
  • Herstellung von 3-[2-(4-Cyclobutyl-2-thiazolyl)ethyl]benzaldehyd:
  • 875 mg (3,3 mmol) 3-[2-(4-Cyclobutyl-2-thiazolyl)ethyl]benzonitril wurden in 20 ml Toluol gelöst und 3,6 ml (3,60 mmol) 1,01 M Diisobutylammoniumhydrid (Toluollösung) wurden bei –78°C hinzugegeben. Die Reaktionslösung wurde auf Raumtemperatur gebracht und für 2 Stunden gerührt. Die Reaktionslösung wurde nacheinander mit gesättigtem wässrigen Ammoniumchlorid und 2 N Salzsäure gemischt und für 1 Stunde gerührt, und die organische Phase wurde mit gesättigtem wässrigen Natriumhydrogencarbonat und gesättigtem wässrigen Natriumchlorid gewaschen, über wasserfreiem Magnesiumsulfat getrocknet und zur Entfernung des Lösungsmittels im Vakuum verdampft. Der Rückstand wurde durch Kieselgel-Säulenchromatografie (Eluent:n-Hexan/Ethylacetat = 4:1) gereinigt, wodurch 792 mg der Titelverbindung als farblose ölige Substanz in einer Ausbeute von 89% erhalten wurden.
    Masse (m/z): 271 (M+) 242
    1H-NMR (CDCl3): 1,84–2,42 (6H, m), 3,20 (2H, m), 3,32 (2H, m), 3,64 (1H, Quintett), 6,74 (1H, d, J = 0,66 Hz), 7,47 (2H, m), 7,73 (2H, m), 9,99 (1H, s)
  • BEISPIEL 6
  • Herstellung von 3-[2-(2-Chinolyl)ethyl]benzaldehyd:
  • 5,5 g (21,2 mmol) 3-[2-(2-Chinolyl)ethenyl]benzaldehyd wurden in 500 ml gelöst und in Gegenwart von 1,1 g 10%-igem Palladium-Kohlenstoff unter Atmosphärendruck bei Raumtemperatur für 10 Stunden unter Rühren hydriert. Der 10%-ige Palladium-Kohlenstoff wurde durch Celite filtriert und das Filtrat wurde im Vakuum verdampft. Der Rückstand wurde durch Kieselgel-Säulenchromatografie (Eluent:n-Hexan/Ethylacetat = 9:1) gereinigt, wodurch 2,8 g (10,7 mmol) der Titelverbindung in einer Ausbeute von 51% erhalten wurden.
    Masse (m/z): 261 (M+) 156
    1H-NMR (CDCl3): 7,46–7,60 (3H, m), 7,65–7,91 (6H, m), 8,05–8,17 (3H, m), 10,07 (1H, s)
  • BEISPIEL 7
  • Herstellung von 5-(4-Chlorphenylsulfonyl)pentanamin:
  • 10 g (96,9 mmol) 5-Amino-1-pentanol wurden in 300 ml Toluol gelöst und zusammen mit 17,2 g (116 mmol) Phthalsäureanhydrid bei 120°C für 24 Stunden am Rückfluss gehalten. Das Lösungsmittel wurde im Vakuum abdestilliert und der Rückstand wurde durch Kieselgel-Säulenchromatografie (Eluent:Chloroform) gereinigt, wodurch 16,6 g 5-Phthalimido-1-pentanol in einer Ausbeute von 74% erhalten wurden.
    Masse (m/z): 233 (M+) 203 160
    1H-NMR (CDCl3): 1,37–1,48 (2H, m), 1,58–1,78 (4H, m), 3,62–3,73 (4H, m), 7,68–7,74 (2H, m), 7,81–7,87 (2H, m)
  • Dann wurden 16,2 g 5-Phthalimido-1-pentanol in 350 ml Diethylether gelöst und 4,3 ml Phosphortribromid wurden tropfenweise bei 0°C hinzugefügt. Die Reaktionslösung wurde bei Raumtemperatur für 9 Stunden gerührt und mit gesättigtem wässrigen Natriumhydrogencarbonat neutralisiert, und die organische Phase wurde mit gesättigtem wässrigen Natriumchlorid gewaschen, über wasserfreiem Magnesiumsulfat getrocknet und zur Entfernung des Lösungsmittels im Vakuum verdampft. Der Rückstand wurde durch Kieselgel-Säulenchromatografie (Eluent:n-Hexan/Ethylacetat = 9:1) gereinigt, wodurch 9,2 g 1-Brom-5-phthalimidopentan in einer Ausbeute von 45% erhalten wurden.
    Masse (m/z): 296 (M+) 216 160
    1H-NMR (CDCl3): 1,44–1,55 (2H, m), 1,63–1,77 (2H, m), 1,86–2,00 (2H, m), 3,37–3,42 (2H, m), 3,67–3,73 (2H, m), 7,68–7,75 (2H, m), 7,81–7,88 (2H, m)
  • Dann wurden 9,2 g (31 mmol) 1-Brom-5-phthalimidopentan in 100 ml N,N-Dimethylformamid gelöst und zusammen mit 8,6 g (62 mmol) Kaliumcarbonat, 465 mg (3,1 mmol) Natriumiodid und 4,5 g (31 mmol) 4-Chlorthiophenol bei Raumtemperatur für 15 Stunden gerührt. Das Lösungsmittel wurde im Vakuum abdestilliert und Wasser und Ethylacetat wurden zum Extrahieren hinzugefügt. Die Ethylacetatschicht wurde mit gesättigtem wässrigen Natriumchlorid gewaschen, über wasserfreiem Magnesiumsulfat getrocknet und zur Entfernung des Lösungsmittels im Vakuum verdampft. Der Rückstand wurde mit Hexan gewaschen, wodurch 9,6 g 1-(4-Chlorphenylthio)-5-phthalimidopentan in einer Ausbeute von 86% erhalten wurden.
    Masse (m/z): 359 (M+) 216 160
    1H-NMR (CDCl3): 1,47–1,51 (2H, m), 1,64–1,72 (4H, m), 2,88 (2H, t, J = 7,26 Hz), 3,68 (2H, t, J = 7,26 Hz), 7,23 (4H, s), 7,71–7,23 (2H, m), 7,82–7,86 (2H, m)
  • Dann wurden 9,4 g (26,1 mmol) 1-(4-Chlorphenylthio)-5-phthalimidopentan in 350 ml 1,2-Dichlorethan gelöst und zusammen mit 9,9 g (57,4 mmol) Metachlorperbenzoesäure bei Raumtemperatur für 18 Stunden gerührt. Die Reaktionslösung wurde mit 5%-igem Natriumthiosulfat, 3%-igem Natriumhydrogencarbonat und gesättigtem wässrigen Natriumchlorid gewaschen, über wasserfreiem Magnesiumsulfat getrocknet und zur Entfernung des Lösungsmittels im Vakuum verdampft, wodurch 9,7 g 1-(4-Chlorphenylsulfonyl)-5-phthalimidopentan in einer Ausbeute von 95% erhalten wurden.
    Masse (m/z): 391 (M+) 216 160
    1H-NMR (CDCl3): 1,37–1,48 (2H, m), 1,61–1,81 (4H, m), 3,05–3,11 (2H, m), 3,62–3,93 (3H, m), 7,52–7,57 (2H, m), 7,69–7,75 (2H, m), 7,80–7,86 (2H, m)
  • Dann wurden 4,0 g (10,2 mmol) 1-(4-Chlorphenylsulfonyl)-5-phthalimidopentan in 120 ml Dichlormethan und 20 ml Ethanol gelöst und zusammen mit 6 ml 80%-igem Hydrazinhydrat bei Raumtemperatur für 36 Stunden gerührt. Die Verunreinigungen wurden abfiltriert und das Filtrat wurde im Vakuum verdampft wodurch 3,2 g der Titelverbindung erhalten wurden.
  • BEISPIEL 8
  • Herstellung von 4-(4-Chlorphenylsulfonylamino)butanamin:
  • 26,4 g (0,3 mol) 1,4-Diaminobutan wurden in 100 ml 1,2-Dichlorethan gelöst und zusammen mit 6,3 g (0,03 mmol) 4-Chlorphenylsulfonylchlorid bei Raumtemperatur für 4 Stunden gerührt. Nach Zugabe von Chloroform wurde die Reaktionslösung durch Celite filtriert und das Filtrat nacheinander dreimal mit Wasser und mit gesättigtem wässrigen Natriumchlorid gewaschen, über wasserfreiem Magnesiumsulfat getrocknet und das Lösungsmittel wurde im Vakuum entfernt, wodurch 5,1 g der Titelverbindung in einer Ausbeute von 65% erhalten wurden.
  • BEISPIEL 9
  • Herstellung von N-[4-(4-Chlorbenzolsulfonylamino)butyl]-3-[(4-isopropyl-2-thiazolyl)methoxy]benzylamin (Verbindung Nr. (1a)):
  • 2,27 g (8,69 mmol) 3-[(4-Isopropyl-2-thiazolyl)methoxy]benzaldehyd und 2,27 g (8,69 mol) 4-(4-Chlorphenylsulfonylamino)butanamin wurden in 150 ml Ethanol gelöst und zusammen mit 4,0 g Molekularsieb (3A) für 16 Stunden am Rückfluss gehalten. Das Molekularsieb (3A) wurde abfiltriert und das Filtrat wurde zusammen mit 873 mg Natriumborhydrid bei Raumtemperatur für 3 Stunden gerührt. Das Lösungsmittel wurde zur Entfernung von Ethanol als Reaktionslösungsmittel im Vakuum verdampft und mit Wasser und Ethylacetat zur Extraktion von Ethylacetat gewaschen. Die Ethylacetatschicht wurde mit gesättigtem wässrigen Natriumchlorid gewaschen, über wasserfreiem Magnesiumsulfat getrocknet und zur Entfernung des Lösungsmittels im Vakuum verdampft. Der Rückstand wurde durch Kieselgel-Säulenchromatografie (Eluent:Chloroform zu Chloroform/Methanol = 98:2) gereinigt, wodurch N-[4-(4-Chlorbenzolsulfonylamino)butyl]-3-[(4-Isopropyl-2- thiazolyl)methoxy]benzylamin (Verbindung Nr. (1a)) erhalten wurde.
  • Die Verbindungen mit den Nrn. (2a) bis (90a) wurden auf die gleiche Weise hergestellt. Die Daten der Massenspektren sind in Tabelle 1 gezeigt.
  • Figure 00380001
  • Figure 00390001
  • Figure 00400001
  • Figure 00410001
  • Figure 00420001
  • Figure 00430001
  • Figure 00440001
  • Figure 00450001
  • Figure 00460001
  • BEISPIEL 10
  • Herstellung von Methyl-[2-{N-[4-(4-Chlorbenzolsulfonylamino)butyl]-N-{3-[(4-isopropyl-2-thiazolyl)methoxy]benzyl}}sulfamoylbenzoat (Verbindung Nr. (1b)):
  • 3,5 g (6,89 mmol) des Produkts von Beispiel 9 (Verbindung (1a)) wurden in 150 ml 1,2-Dichlorethan gelöst und zusammen mit 1,4 ml (10,34 mmol) Triethylamin und 1,9 g (8,27 mmol) Methyl-2-chlorsulfonylbenzoat bei Raumtemperatur für 4 Stunden gerührt. Das 1,2-Dichlorethan wurde im Vakuum abdestilliert und Wasser und Ethylacetat wurden hinzugegeben. Das Ethylacetat wurde mit gesättigtem wässrigen Natriumchlorid gewaschen, über wasserfreiem Magnesiumsulfat getrocknet und zur Entfernung des Lösungsmittels im Vakuum verdampft. Der Rückstand wurde durch Kieselgel-Säulenchromatografie (Eluent:Chloroform) gereinigt, wodurch 3,5 g (4,95 mmol) 2-{N-[4-(4-Chlorbenzolsulfonylamino)butyl]-N-{3-[(4-isopropyl-2-thiazolyl)methoxy]benzyl}}sulfamoylbenzoat (Verbindung Nr. (1b)) in einer Ausbeute von 72% erhalten wurden.
  • Die Verbindungen mit den Nrn. (2b) bis (90b) wurden auf die gleiche Weise hergestellt. Die Daten der Massenspektren sind in Tabelle 2 gezeigt.
  • Figure 00480001
  • Figure 00490001
  • Figure 00500001
  • Figure 00510001
  • Figure 00520001
  • Figure 00530001
  • Figure 00540001
  • Figure 00550001
  • Figure 00560001
  • BEISPIEL 11
  • Herstellung von 2-{N-[4-(4-Chlorbenzolsulfonylamino)butyl]-N-{3-[(4-isopropyl-2-thiazolyl)methoxy]benzyl}}sulfamoylbenzoesäure (Verbindung Nr. (1)):
  • 3,2 g (4,53 mmol) des Produkts von Beispiel 10 (Verbindung Nr. (1b)) wurden in 70 ml Methanol und 70 ml Tetrahydrofuran gelöst und zusammen mit 50 ml 1 N Natriumhydroxid bei 80°C für 3 Stunden gerührt. Die Reaktionslösung wurde zur Entfernung des Lösungsmittels im Vakuum verdampft, mit Wasser gemischt und mit 1 N Salzsäure neutralisiert, und der abgeschiedene Niederschlag wurde abfiltriert, wodurch 2,7 g (3,9 mmol) der Titelverbindung (Verbindung Nr. 1)) in einer Ausbeute von 86% erhalten wurden.
  • Die Verbindungen mit den Nrn. (2) bis (90) wurden auf die gleiche Weise hergestellt. Die Daten der Massenspektren sind in Tabelle 3 gezeigt.
  • Figure 00580001
  • Figure 00590001
  • Figure 00600001
  • Figure 00610001
  • Figure 00620001
  • Figure 00630001
  • Figure 00640001
  • Figure 00650001
  • Figure 00660001
  • Figure 00670001
  • Figure 00680001
  • Figure 00690001
  • Figure 00700001
  • Figure 00710001
  • Figure 00720001
  • Figure 00730001
  • Figure 00740001
  • Figure 00750001
  • Figure 00760001
  • Figure 00770001
  • Figure 00780001
  • Figure 00790001
  • Figure 00800001
  • Figure 00810001
  • Figure 00820001
  • Figure 00830001
  • Figure 00840001
  • Figure 00850001
  • Figure 00860001
  • Figure 00870001
  • BEISPIEL 12
  • Herstellung von Ethyl-2-{N-[4-(4-Chlorbenzolsulfonylamino)butyl]-N-{3-[(4-isopropyl-2-thiazolyl)methoxy]benzyl}}sulfamoylbenzoat (Verbindung Nr. (1c)):
  • 2,15 g (3,11 mmol) 2-{N-[4-(4-Chlorbenzolsulfonylamino)butyl]-N-{3-[(4-isopropyl-2-thiazolyl)methoxy]benzyl}}sulfamoylbenzoesäure (Verbindung Nr. (1)) wurde mit 16 ml 1,2-Dichlorethan und 0,41 ml (4,7 mmol) Oxalylchlorid gemischt und in Gegenwart einer katalytischen Menge von N,N-Dimethylamid bei Raumtemperatur gerührt. Die Reaktionslösung wurde zur Entfernung des Lösungsmittels im Vakuum verdampft und zusammen mit 12 ml Ethanol, 12 ml 1,2-Dichlorethan und 0,65 ml (4,66 mmol) Triethylamin bei Raumtemperatur für 1 Stunde gerührt. Die Reaktionslösung wurde mit Wasser und gesättigtem wässrigen Natriumhydrogencarbonat zur Neutralisation gemischt und dann mit Chloroform extrahiert. Die Chloroformphase wurde mit gesättigtem wässrigen Natriumchlorid gewaschen, über wasserfreiem Magnesiumsulfat getrocknet und zur Entfernung des Lösungsmittels im Vakuum verdampft. Der Rückstand wurde durch Kieselgel-Säulenchromatografie (Eluent:n-Hexan/Ethylacetat = 3:1) gereinigt, wodurch 1,42 g der Titelverbindung in einer Ausbeute von 63,5% erhalten wurden.
    1H-NMR (CDCl3): 1,23–1,41 (13H, m), 2,82 (2H, m), 3,06–3,17 (3H, m), 4,38–4,45 (4H, m), 4,83 (1H, t), 5,26 (2H, s), 6,90 (4H, d, J = 0,66 Hz), 7,22 (1H, m), 7,45 (2H, d, J = 1,98, 6,6 Hz), 7,51–7,65 (3H, m), 7,74 (2H, d, J = 1,98, 6,6 Hz), 7,83 (1H, m)
  • Auf die gleiche Weise wurden die Verbindungen der Beispiele 13 und 14 hergestellt.
  • BEISPIEL 13
  • Herstellung von Ethyl-2-{N-[4-(4-Methylbenzolsulfonylamino)butyl]-N-{3-[(4-cyclobutyl-2-thiazolyl)methoxy]benzyl}}sulfamoylbenzoat (Verbindung Nr. (5c)):
    • 1H-NMR (CDCl3): 1,22–1,41 (7H, m), 1,84–2,39 (6H, m), 2,41 (3H, s), 2,80 (2H, m), 3,16 (2H, m), 3,67 (1H, Quintett), 4,37–4,45 (4H, m), 4,61 (1H, t, J = 6,27 Hz), 5,27 (2H, s), 6,88–6,92 (4H, m), 7,22–7,29 (3H, m), 7,50–7,62 (3H, m), 7,68 (2H, d, J = 8,24 Hz), 7,82 (1H, d, J = 7,25 Hz)
  • BEISPIEL 14
  • Herstellung von Ethyl-2-{N-[4-(4-Chlorbenzolsulfonylamino)butyl]-N-{3-[4-cyclobutyl-2-thiazolyl)ethyl]benzyl}}sulfamoylbenzoat (Verbindung Nr. (29c)):
    • 1H-NMR (CDCl3): 1,2–1,41 (7H m), 1,87–2,39 (6H, m), 2,80 (2H, m), 3,14 (2H, br s), 3,22 (2H, m), 4,40 (4H, m), 5,04 (1H, t, J = 5,94 Hz), 6,75 (1H, s), 7,08 (3H, m), 7,20 (1H, m), 7,45 (2H, dd, J = 6,6, 1,98 Hz), 7,51–7,65 (3H, m), 7,73 (2H, d, J = 8,25 Hz), 7,82 (1H, d, J = 8,24 Hz)
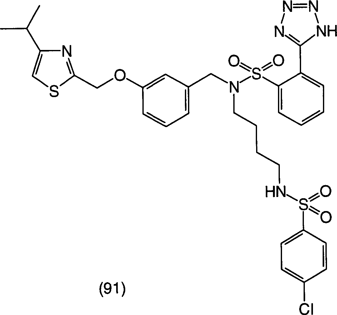
  • BEISPIEL 15 Herstellung von 5-{2-{N-[4-(4-Chlorbenzolsulfonylamino)butyl]-N-{3-[(4-isopropyl-2-thiazolyl)methoxy]benzyl}}sulfamoylphenyl}-1H-tetrazol (Verbindung Nr. (91)):
    Figure 00900001
  • Figure 00910001
  • 3,5 g (6,4 mmol) des Hydrochlorids des Produkts von Beispiel 9 (Verbindung (1a)) wurden in 75 ml 1,2-Dichlorethan gelöst und zusammen mit 2,7 ml Triethylamin und 1,7 g (1,3 Äq) 2-Chlorsulfonylbenzonitril bei Raumtemperatur über Nacht gerührt. Die organische Phase wurde mit Wasser und gesättigtem wässrigen Natriumchlorid gewaschen, über wasserfreiem Magnesiumsulfat getrocknet und zur Entfernung des Lösungsmittels im Vakuum verdampft. Der Rückstand wurde durch Kieselgel-Säulenchromatografie (Eluent:Chloroform zu Chloroform/Methanol = 99:1) gereinigt, wodurch 3,9 g 2-{N-[4-(4-Chlorbenzolsulfonylamino)butyl]-N-{3-[(4-isopropyl-2-thiazolyl)methoxy]benzyl}}sulfamoylbenzonitril (Verbindung Nr. (91b)) in einer Ausbeute von 89% erhalten wurden.
    FAB-MS (m/z): 673 (M+)
    1H-NMR (CDCl3): 1,32 (6H, d, J = 6,93 Hz), 1,42 (4H, m), 2,85 (2H, m), 3,11 (1H, m), 3,29 (2H, m), 4,42 (2H, m), 4,62 (1H, m), 5,29 (2H, s), 6,84–6,89 (3H, m), 6,91 (1H, s), 7,22 (1H, m), 7,47 (2H, dd, J = 8,58, 1,82 Hz), 7,65–7,78 (4H, m), 7,88 (1H, dd, J = 1,98, 7,26 Hz), 8,07 (1H, m)
  • 3,8 g (5,6 mmol) des obigen Produkts (Verbindung Nr. (91b)) wurden in 100 ml Toluol gelöst und zusammen mit 3,7 ml (5,0 Äq) Trimethylsilylazid und 702 mg (0,5 Äq) Dibutylzinnoxid unter Erwärmen auf 70°C für 28 Stunden gerührt. Das Lösungsmittel wurde im Vakuum abdestilliert und 50 ml 1 N Natriumhydroxid und 50 ml Wasser wurden zum Rückstand hinzugefügt. Das Unlösliche wurde abfiltriert und das Filtrat wurde mit 100 ml Ether gewaschen. Die wässrige Phase wurde mit 6 N Salzsäure angesäuert und mit Chloroform extrahiert. Das Lösungsmittel wurde im Vakuum abdestilliert und der Rückstand durch Kieselgel-Säulenchromatografie (Eluent:Chloroform zu Chloroform/Methanol = 99:1–95:5) gereinigt, wodurch 3,1 g einer öligen Substanz in einer Ausbeute von 78% erhalten wurden. Die ölige Substanz wurde in 8,4 ml 1 N Natriumhydroxid und 50 ml Wasser gelöst und mit 1 N Salzsäure angesäuert (pH 3,0) und der abgeschiedene Niederschlag wurde abfiltriert, wodurch 2,4 g der Titelverbindung (Verbindung Nr. (91)) erhalten wurden.
    FAB-MS (m/z): 716 (M+)
    1H-NMR (CDCl3): 1,16 (4H, m), 1,27 (6H, d, J = 6,93 Hz), 2,73 (2H, m), 2,87 (2H, m), 3,07 (1H, m), 4,08 (2H, s), 5,30 (2H, m), 6,74–6,91 (4H, m), 7,20 (1H, t, J = 7,76 Hz), 7,46 (2H, m), 7,68–7,80 (4H, m), 7,97 (1H, dd, J = 1,65, 7,32 Hz), 8,08 (1H, dd, J = 1,65, 5,66 Hz)
  • TESTBEISPIELE
  • Als nächstes werden die ausgezeichneten antagonistischen Wirkungen an den Rezeptoren für die beiden Mediatoren LTD4 und TXA2 und die antiallergischen Wirkungen der 2-Sulfamoylbenzoesäurederivate der vorliegenden Erfindung unter Bezugnahme auf die Testbeispiele gezeigt.
  • Die erfindungsgemässen Verbindungen wurden auf LTD4-hemmende Wirkungen, TXA2-hemmende Wirkungen und antiasthmatische Wirkungen getestet. Die Testverfahren und die Testergebnisse waren wie folgt.
  • TESTBEISPIEL 1 – LTD4-antagonistische Wirkungen
  • Meerschweinchen wurden verbluten gelassen, die Ilea wurden herausgeschnitten und Ileum-Zubereitungen wurden hergestellt. Die Ileum-Zubereitungen wurden mit einer 1 g-Ladung, die in Magnus-Röhrchen gefüllt wurde, mit 2 ml Tyrode-Lösung suspendiert, die bei 37°C unter Begasung mit einer 95% O2/5% CO2-Gasmischung gehalten wurde, und die LTD4-induzierten Konstriktionen wurden isotonisch aufgezeichnet.
  • Nach Äquilibrierung der Tonusse der Ilea wurden konstriktive Reaktionen auf die kumulative Zugabe von 0,05 bis 3,5 ng/ml LTD4 beobachtet. Nachdem die konstriktiven Reaktionen das Gleichgewicht erreicht hatten, wurde 5 Minuten nach der Vorbehandlung mit einer Testsubstanz wieder LTD4 kumulativ hinzugegeben, um Konstriktion zu induzieren. Die pA2-Werte wurden in Übereinstimmung mit der Van Rossum-Methode errechnet. Die Ergebnisse werden nachstehend in Tabelle 4 gezeigt.
  • TESTBEISPIEL 2 – TXA2-antagonistische Wirkungen
  • Meerschweinchen wurden verbluten gelassen und die Tracheae wurden herausgeschnitten und gemäss Takagi et al. zu trachealen Muskelstreifen verarbeitet. Die Streifen wurden mit einer 1 g-Ladung, die in Magnus-Röhrchen gefüllt wurde, mit 2 ml Tyrode-Lösung suspendiert, die bei 37°C unter Begasung mit einer 95% O2/5% CO2-Gasmischung stehen gelassen wurde, und U-46619-induzierte Konstriktion wurde isotonisch aufgenommen.
  • Nachdem die Tonusse der Streifen im Gleichgewicht waren, wurden die konstriktiven Reaktionen während der kumulativen Zugabe von 10–10 bis 10–7 M U-46619 beobachtet. Nachdem die konstriktive Reaktion das Gleichgewicht erreicht hatte, wurde U-46619 5 Minuten nach der Vorbehandlung mit einer Testsubstanz wieder kumulativ hinzugegeben, um Konstriktion zu induzieren. Die pA2-Werte wurden gemäss der Van Rossum-Methode errechnet. Die Ergebnisse sind nachstehend in Tabelle 4 gezeigt.
  • Diese Ergebnisse zeigen die hervorragenden antagonistischen Wirkungen der erfindungsgemässen Verbindungen an den Rezeptoren für beide Mediatoren, LTD4 und TXA2, auf.
  • TABELLE 4 Ergebnisse der Testbeispiele 1 und 2
    Figure 00950001
  • TESTBEISPIEL 3 – antiasthmatische Wirkungen
  • Die antiasthmatischen Wirkungen wurden durch die direkten asthmatischen Reaktionen von passiv sensibilisierten Meerschweinchen bewertet. Am Vortag wurden die Meerschweinchen durch intravenöse Injektionen eines 10-fach verdünnten Anti-DNP-Ovalbumin-Meerschweinchenserums (Meerschweinchen-PCA-Titer; × 1.024) in die Ohren sensibilisiert. Am Tag des Tests wurden nach der Vorbehandlung mit Pyrilamin (10 mg/kg i.p.) die normalen Luftwegwiderstände mit einem Doppelströmungsplethysmographen gemäss Pennock et al. gemessen. Die Testsubstanzen (3 mg/kg) in DMSO wurden in 50% normaler Meerschweinchenserum-Salslösung gelöst und 5 Minuten vor der Inhalation des Antigens durch die Ohrvene intravenös injiziert. Unmittelbare asthmatische Reaktionen wurden durch 3-minütiges Inhalieren von 1% Ovalbumin in Salzlösung als Antigen von einem Ultraschallzerstäuber hervorgerufen, und die Luftwegwiderstände wurden 5 Minuten (4 bis 4 Minuten) nach der Inhalation gemessen. Die Ergebnisse wurden durch die Inhibierungsraten ausgedrückt, die durch den folgenden Ausdruck angegeben sind: Inhibierungsrate (%) = [1 – (A – B)/(C – D)] × 100worin
  • A:
    der Luftwegwiderstand mit einer Testsubstanz nach Inhalation des Antigens ist,
    B:
    der Luftwegwiderstand mit einer Testsubstanz vor Inhalation des Antigens ist,
    C:
    der Luftwegwiderstand mit einer Kontrollsubstanz nach Inhalation des Antigens ist,
    D:
    der Luftwegwiderstand mit einer Kontrollsubstanz vor Inhalation des Antigens ist,
  • Die Ergebnisse sind nachstehend in Tabelle 5 gezeigt. Die Ergebnisse demonstrieren die ausgezeichneten antiasthmatischen Wirkungen der erfindungsgemässen Verbindungen.
  • TABELLE 5 Ergebnisse des Testbeispiels 3
    Figure 00970001
  • Akuter Toxizitätstest:
  • Die Verbindungen Nrn. 1, 5 und 29 wurden ICR-Mäusen intravenös in einer Menge von 100 mg/kg und oral in einer Menge von 1.000 mg/kg verabreicht, wobei keine der Mäuse starb.
  • Formulierungsbeispiele:
  • Nachstehend werden Formulierungsbeispiele angegeben, die die erfindungsgemässen Verbindungen verwenden. Die vorliegende Erfindung ist jedoch keineswegs auf diese Formulierungen beschränkt.
  • FORMULIERUNGSBEISPIEL 1
  • Tabletten, die jeweils 100 mg des Wirkstoffs enthielten, wurden gemäss folgender Formulierung hergestellt.
  • Figure 00980001
  • FORMULIERUNGSBEISPIEL 2
  • Eine Arzneimittelkapsel wurde durch Einkapseln von 190 mg einer Wirkstoffmischung, die 100 mg eines Wirkstoffs der folgenden Formulierung enthielt, hergestellt.
  • Figure 00980002
  • GEWERBLICHE ANWENDBARKEIT:
  • Die neuen erfindungsgemässen 2-Sulfamoylbenzoesäurederivate der allgemeinen Formel (I) weisen sowohl eine antagonistische Wirkung an dem LTD4-Rezeptor als auch eine antagonistische Wirkung an dem TXA2-Rezeptor auf und zeigen eine ausgezeichnete antiasthmatische Wirkung. Deshalb sind die erfindungsgemässen Verbindungen als Antiallergiemittel zur Behandlung und Vorbeugung von zahlreichen allergischen Erkrankungen, wie allergisches Bronchialasthma, verwendbar.

Claims (15)

  1. 2-Sulfamoylbenzoesäurederivat, dargestellt durch die allgemeine Formel (I):
    Figure 00990001
    (worin R1 und R2, die gleich oder verschieden sein können, Wasserstoffatome, C3-8-Cycloalkylgruppen, optional substituierte C1-6-Alkylgruppen, optional substituierte Arylgruppen sind oder zusammen mit dem Ring
    Figure 00990002
    einen kondensierten Ring bilden, dargestellt durch die Formel
    Figure 00990003
    der mit einer optional substituierten C1-6-Alkylgruppe, einer Aminogruppe, einer Cyanogruppe, einer Nitrogruppe, einer Hydroxylgruppe, einem Halogenatom oder einer C1-5-Alkoxygruppe substituiert sein kann, X ein Sauerstoffatom, ein Stickstoffatom, ein Schwefelatom oder -CH=CH- ist, R3 eine optional substituierte Phenylsulfonylaminogruppe, eine optional substituierte Phenylsulfonylgruppe oder eine optional substituierte Phenylsulfoxidgruppe ist, R4 ein Wasserstoffatom oder ein Esterrest ist, n eine ganze Zahl von 2 bis 6 ist, A -O-B-, -B-O-, -S-B-, -B-S- oder -B- ist, und B eine C1-6-Alkylengruppe oder eine C2-5-Alkenylengruppe ist, unter der Maßgabe, dass die Fälle, in denen R1 eine C1-6-Alkylgruppe, eine C3-6-Cycloalkylgruppe oder eine Phenylgruppe ist, R2 ein Wasserstoffatom ist, A eine Vinylengruppe ist und X ein Schwefelatom ist, ausgeschlossen sind) oder ein Salz, Hydrat oder Solvat davon.
  2. 2-Sulfamoylbenzoesäurederivat gemäß Anspruch 1 oder ein Salz, Hydrat oder Solvat davon, worin in der allgemeinen (I) X ein Schwefelatom und A -CH2O- oder eine Ethylengruppe ist.
  3. 2-Sulfamoylbenzoesäurederivat gemäß Anspruch 2 oder ein Salz, Hydrat oder Solvat davon, worin in der allgemeinen Formel (I) R1 und R2, die gleich oder verschieden sein können, Wasserstoffatome, C3-8-Cycloalkylgruppen, optional substituierte C1-6-Alkylgruppen oder optional substituierte Arylgruppen sind.
  4. Verbindung gemäß Anspruch 1, ausgewählt aus: 2-{N-[4-(4-Chlorbenzolsulfonylamino)butyl]-N-{3-[(4-isopropyl-2-thiazolyl)methoxy]benzyl}}sulfamoylbenzoesäure, 2-{N-[4-(4-Methylbenzolsulfonylamino)butyl]-N-{3-[(4-isopropyl-2-thiazolyl)methoxy]benzyl}}sulfamoylbenzoesäure, 2-{N-[4-(4-Methoxybenzolsulfonylamino)butyl]-N-{3-[(4-isopropyl-2-thiazolyl)methoxy]benzyl}}sulfamoylbenzoesäure, 2-{N-[4-(4-Brombenzolsulfonylamino)butyl]-N-{3-[(4-isopropyl-2-thiazolyl)methoxy]benzyl}}sulfamoylbenzoesäure, 2-{N-[4-(4-Fluorbenzolsulfonylamino)butyl]-N-{3-[(4-isopropyl-2-thiazolyl)methoxy]benzyl}}sulfamoylbenzoesäure, 2-{N-[4-(4-Chlorbenzolsulfonylamino)butyl]-N-{3-[(4-cyclobutyl-2-thiazolyl)methoxy]benzyl}}sulfamoylbenzoesäure, 2-{N-[4-(4-Brombenzolsulfonylamino)butyl]-N-{3-[(4-cyclobutyl-2-thiazolyl)methoxy]benzyl}}sulfamoylbenzoesäure, 2-{N-[4-(4-Fluorbenzolsulfonylamino)butyl]-N-{3-[(4-cyclobutyl-2-thiazolyl)methoxy]benzyl}}sulfamoylbenzoeacid, 2-{N-[4-(Benzolsulfonylamino)butyl]-N-{3-[(4-cyclobutyl-2-thiazolyl)methoxy]benzyl}}sulfamoylbenzoesäure, 2-{N-[4-(4-Methylbenzolsulfonylamino)butyl]-N-{3-[(4-cyclobutyl-2-thiazolyl)methoxy]benzyl}}sulfamoylbenzoesäure, 2-{N-[4-(4-Methoxybenzolsulfonylamino)butyl]-N-{3-[(4-cyclobutyl-2-thiazolyl)methoxy]benzyl}}sulfamoylbenzoesäure, 2-{N-[4-(4-Chlorbenzolsulfonylamino)butyl]-N-{3-[2-(4-cyclopropyl-2-thiazolyl)methoxy]benzyl}}sulfamoylbenzoesäure, 2-{N-[5-(4-Chlorbenzolsulfonyl)pentyl]-N-{3-[2-(4-cyclobutyl-2-thiazolyl)methoxy]benzyl}}sulfamoylbenzoesäure, 2-{N-[5-(4-Chlorbenzolsulfonylamino)pentyl]-N-{3-[(4-isopropyl-2-thiazolyl)methoxy]benzyl}}sulfamoylbenzoesäure, 2-{N-[4-(4-Chlorbenzolsulfonylamino)butyl)-N-{3-[2-(4-cyclobutyl-2-thiazolyl)ethyl]benzyl}}sulfamoylbenzoesäure, 2-{N-[4-(4-Fluorbenzolsulfonylamino)butyl]-N-{3-[2-(4-cyclobutyl-2-thiazolyl)ethyl]benzyl}}sulfamoylbenzoesäure und 2-{N-[4-(4-Brombenzolsulfonylamino)butyl]-N-{3-[2-(4-cyclobutyl-2-thiazolyl)ethyl]benzyl}}sulfamoylbenzoesäure, oder Salze, Hydrate oder Solvate davon.
  5. 2-Sulfamoylbenzoesäurederivat gemäß Anspruch 1 oder ein Salz, Hydrat oder Solvat davon, worin in der allgemeinen Formel (I) X -CH=CH- ist und A -CH2O-, eine Ethylengruppe oder eine Vinylengruppe ist.
  6. 2-Sulfamoylbenzoesäurederivat gemäß Anspruch 5 oder ein Salz, Hydrat oder Solvat davon, worin in der allgemeinen Formel (I) R1 und R2 zusammen mit dem Ring
    Figure 01020001
    einen kondensierten Ring bilden, dargestellt durch die Formel
    Figure 01020002
    der mit einer optional substituierten C1-6-Alkylgruppe, einer Aminogruppe, einer Cyanogruppe, einer Nitrogruppe, einer Hydroxylgruppe, einem Halogenatom oder einer C1-5-Alkoxygruppe substituiert sein kann.
  7. Verbindung gemäß Anspruch 1, ausgewählt aus: 2-{N-[4-(4-Chlorbenzolsulfonylamino)butyl]-N-{3-[2-(2-chinolyl)ethyl]benzyl}}sulfamoylbenzoesäure, 2-{N-[4-(4-Brombenzolsulfonylamino)butyl]-N-{3-[2-(2-chinolyl)ethyl]benzyl}}sulfamoylbenzoesäure, 2-{N-[4-(4-Fluorbenzolsulfonylamino)butyl]-N-{3-[2-(2-chinolyl)ethyl]benzyl}}sulfamoylbenzoesäure, 2-{N-[4-(4-Methylbenzolsulfonylamino)butyl]-N-{3-[2-(2-chinolyl)ethyl]benzyl}}sulfamoylbenzoesäure, 2-{N-[4-(4-Methoxybenzolsulfonylamino)butyl]-N-{3-[2-(2-chinolyl)ethyl]benzyl}}sulfamoylbenzoesäure, 2-{N-[4-(Benzolsulfonylamino)butyl]-N-{3-[2-(2-chinolyl)ethyl]benzyl}}sulfamoylbenzoesäure, 2-{N-[4-(4-Chlorbenzolsulfonylamino)butyl]-N-{3-[2-(7-chlor-2-chinolyl)ethyl]benzyl}}sulfamoylbenzoesäure, 2-{N-[4-(4-Brombenzolsulfonylamino)butyl]-N-{3-[2-(7-chlor-2-chinolyl)ethyl]benzyl}}sulfamoylbenzoesäure, 2-{N-[4-(4-Fluorbenzolsulfonylamino)butyl]-N-{3-[2-(7-chlor-2-chinolyl)ethyl]benzyl}}sulfamoylbenzoesäure, 2-{N-[4-(4-Methylbenzolsulfonylamino)butyl]-N-{3-[2-(7-chlor-2-chinolyl)ethyl]benzyl}}sulfamoylbenzoesäure, 2-{N-[4-(4-Methoxybenzolsulfonylamino)butyl]-N-{3-[2-(7-chlor-2-chinolyl)ethyl]benzyl}}sulfamoylbenzoesäure, 2-{N-[4-(Benzolsulfonylamino)butyl]-N-{3-[2-(7-chlor-2-chinolyl)ethyl]benzyl}}sulfamoylbenzoesäure, 2-{N-[5-(4-Chlorbenzolsulfonylamino)pentyl]-N-{3-[2-(7-chlor-2-chinolyl)ethyl]benzyl}}sulfamoylbenzoesäure, 2-{N-[5-(4-Chlorbenzolsulfonylamino)pentyl]-N-{3-[2-(2-chinolyl)ethyl]benzyl}}sulfamoylbenzoesäure, 2-{N-[4-(4-Chlorbenzolsulfonylaminobutyl]-N-{3-[(2-chinolyl)methoxy]benzyl}}sulfamoylbenzoesäure, 2-{N-[4-(4-Chlorbenzolsulfonylamino)butyl]-N-{3-[(7-chlor-2-chinolyl)methoxy]benzyl}}sulfamoylbenzoesäure, 2-{N-[4-(4-Chlorbenzolsulfonylamino)butyl]-N-{3-[2-(2-chinolyl)ethenyl]benzyl}}sulfamoylbenzoesäure und 2-{N-[4-(4-Chlorbenzolsulfonylaminobutyl]-N-{3-[(7-chlor-2-chinolyl)ethenyl]benzyl}}sulfamoylbenzoesäure, oder Salze, Hydrate oder Solvate davon.
  8. Verbindung gemäß Anspruch 1, ausgewählt aus: 2-{N-[4-(4-Chlorbenzolsulfonylamino)butyl]-N-{3-[(4-isopropyl-2-thiazolyl)methoxy]benzyl}}sulfamoylbenzoesäure, 2-{N-[5-(4-Chlorbenzolsulfonylamino)pentyl]-N-{3-[(4-isopropyl-2-thiazolyl)methoxy]benzyl}}sulfamoylbenzoesäure, 2-{N-[4-(4-Chlorbenzolsulfonylamino)butyl]-N-{3-[2-(4-cyclobutyl-2-thiazolyl)ethyl]benzyl}}sulfamoylbenzoesäure, 2-{N-[5-(4-Chlorbenzolsulfonylamino)pentyl]-N-{3-[2-(7-chlor-2-chinolyl)ethyl]benzyl}}sulfamoylbenzoesäureund 2-{N-[5-(4-Chlorbenzolsulfonylamino)pentyl]-N-{3-[2-(2-chinolyl)ethyl]benzyl}}sulfamoylbenzoesäure, oder Salze, Hydrate oder Solvate davon.
  9. Benzylaminderivat, dargestellt durch die allgemeine Formel (II):
    Figure 01050001
    (worin R1 und R2, die gleich oder verschieden sein können, Wasserstoffatome, C3-8-Cycloalkylgruppen, optional substituierte C1-6-Alkylgruppen, optional substituierte Arylgruppen sind oder zusammen mit dem Ring
    Figure 01050002
    einen kondensierten Ring bilden, dargestellt durch die Formel
    Figure 01050003
    der mit einer optional substituierten C1-6-Alkylgruppe, einer Aminogruppe, einer Cyanogruppe, einer Nitrogruppe, einer Hydroxylgruppe, einem Halogenatom oder einer C1-5-Alkoxygruppe substituiert sein kann, X ein Sauerstoffatom, ein Stickstoffatom, ein Schwefelatom oder -CH=CH- ist, R3 eine optional substituierte Phenylsulfonylaminogruppe, eine optional substituierte Phenylsulfonylgruppe oder eine optional substituierte Phenylsulfoxidgruppe ist, n eine ganze Zahl von 2 bis 6 ist, A -O-B- ist, -B-O-, -S-B-, -B-S- oder -B- ist, und B eine C1-6-Alkylengruppe oder eine C2-5-Alkenylengruppe ist, unter der Maßgabe, dass die Fälle, in denen R1 eine C1-6-Alkylgruppe, eine C3-6-Cycloalkylgruppe oder eine Phenylgruppe ist, R2 ein Wasserstoffatom ist, A eine Vinylengruppe ist und X ein Schwefelatom ist, ausgeschlossen sind) oder ein Salz davon.
  10. Benzaldehydderivat, dargestellt durch die allgemeine Formel (IIIa):
    Figure 01060001
    (worin R1 und R2, die gleich oder verschieden sein können, Wasserstoffatome, C3-8-Cycloalkylgruppen, optional substituierte C1-6-Alkylgruppen, optional substituierte Arylgruppen sind, oder zusammen mit dem Ring
    Figure 01060002
    einen kondensierten Ring bilden, dargestellt durch die Formel
    Figure 01060003
    der mit einer optional substituierten C1-6-Alkylgruppe, einer Aminogruppe, einer Cyanogruppe, einer Nitrogruppe, einer Hydroxylgruppe, einem Halogenatom oder einer C1-5-Alkoxygruppe substituiert sein kann, A' -B'-O- oder -B'- ist, und B' eine C1-6-Alkylengruppe ist) oder ein Salz davon.
  11. Benzonitrilderivat, dargestellt durch die allgemeine Formel (IV):
    Figure 01070001
    (worin R1 und R2, die gleich oder verschieden sein können, Wasserstoffatome, C3-8-Cycloalkylgruppen, optional substituierte C1-6-Alkylgruppen, optional substituierte Arylgruppen sind oder zusammen mit dem Ring
    Figure 01070002
    einen kondensierten Ring bilden, dargestellt durch die Formel
    Figure 01070003
    der mit einer optional substituierten C1-6-Alkylgruppe, einer Aminogruppe, einer Cyanogruppe, einer Nitrogruppe, einer Hydroxylgruppe, einem Halogenatom oder einer C1-5-Alkoxygruppe substituiert sein kann, und X ein Sauerstoffatom, ein Stickstoffatom, ein Schwefelatom oder -CH=CH- ist) [oder ein Salz davon].
  12. Verwendung eines Aminderivats, dargestellt durch die allgemeine Formel (V): H2N-(CH2)n-R3 (worin n eine ganze Zahl von 2 bis 6 ist, und R3 eine optional substituierte Phenylsulfonylaminogruppe, eine optional substituierte Phenylsulfonylgruppe oder eine optional substituierte Phenylsulfoxidgruppe ist) oder ein Salz davon, für die Herstellung eines 2-Sulfamoylbenzoesäurederivats, wie definiert in einem der Ansprüche 1 bis 8.
  13. Arzneimittel, das das 2-Sulfamoylbenzoesäurederivat gemäß Anspruch 1 oder ein Salz, Hydrat oder Solvat davon als Wirkstoff enthält.
  14. Verwendung des 2-Sulfamoylbenzoesäurederivats gemäß Anspruch 1 oder eines Salzes, Hydrates oder Solvates davon, für die Herstellung eines Arzneimittels für die Prävention oder die Behandlung von allergischen Erkrankungen.
  15. Verwendung des 2-Sulfamoylbenzoesäurederivats gemäß Anspruch 1 oder eines Salzes, Hydrates oder Solvates davon, für die Herstellung eines Arzneimittels für die Prävention oder die Behandlung von Krankheiten, die mit Leukotrienen und Thromboxan A2 in Zusammenhang stehen.
DE69836331T 1997-06-17 1998-06-12 2-sulfamoylbenzoesäure-derivate Expired - Fee Related DE69836331T2 (de)

Applications Claiming Priority (3)

Application Number Priority Date Filing Date Title
JP17645897 1997-06-17
JP17645897 1997-06-17
PCT/JP1998/002585 WO1998057935A1 (en) 1997-06-17 1998-06-12 2-sulfamoylbenzoic acid derivatives

Publications (2)

Publication Number Publication Date
DE69836331D1 DE69836331D1 (de) 2006-12-14
DE69836331T2 true DE69836331T2 (de) 2007-05-31

Family

ID=16014059

Family Applications (1)

Application Number Title Priority Date Filing Date
DE69836331T Expired - Fee Related DE69836331T2 (de) 1997-06-17 1998-06-12 2-sulfamoylbenzoesäure-derivate

Country Status (11)

Country Link
US (1) US6255321B1 (de)
EP (1) EP0999209B1 (de)
JP (1) JP3527514B2 (de)
KR (1) KR100563430B1 (de)
CN (1) CN1195739C (de)
AT (1) ATE344247T1 (de)
AU (1) AU732106B2 (de)
CA (1) CA2294956A1 (de)
DE (1) DE69836331T2 (de)
ES (1) ES2273419T3 (de)
WO (1) WO1998057935A1 (de)

Families Citing this family (7)

* Cited by examiner, † Cited by third party
Publication number Priority date Publication date Assignee Title
CA2387212A1 (en) * 1999-10-12 2001-04-19 Kaken Pharmaceutical Co., Ltd. Dry powder inhalation and a method for the preparation thereof
EP1389463A4 (de) * 2001-04-26 2008-09-17 Daiichi Seiyaku Co Medikament zum inhibieren einer pumpe, mit der arzneimittel eliminiert werden
US7056917B2 (en) 2001-04-26 2006-06-06 Daiichi Pharmaceutical Co., Ltd. Drug efflux pump inhibitor
JP2003034681A (ja) * 2001-07-18 2003-02-07 Tosoh Corp N−(ω−ブロモアルキル)フタルイミド類の製造方法
EP1782808A4 (de) * 2004-07-22 2008-12-03 Kaken Pharma Co Ltd Mittel zur prävention oder behandlung von chronischer entzündlicher lungenkrankheit
AT500990A1 (de) * 2004-10-19 2006-05-15 Hama Foodservice Gmbh Verfahren zur herstellung eines einen fettträger, einen stabilisator bzw. ein geliermittel und ein lösemittel für den stabilisator bzw. das geliermittel enthaltenden nahrungsmittels
JP2011088825A (ja) * 2008-01-16 2011-05-06 Kaken Pharmaceutical Co Ltd 鼻閉症治療用経粘膜投与製剤

Family Cites Families (5)

* Cited by examiner, † Cited by third party
Publication number Priority date Publication date Assignee Title
US4876346A (en) * 1985-05-02 1989-10-24 American Home Products Corporation Quinoline compounds
JPS62142168A (ja) 1985-10-16 1987-06-25 Mitsubishi Chem Ind Ltd チアゾ−ル誘導体及びそれを有効成分とするロイコトリエンきつ抗剤
GB8728051D0 (en) * 1987-12-01 1988-01-06 Leo Pharm Prod Ltd Chemical compounds
KR100386392B1 (ko) * 1994-10-14 2003-10-11 야마노우치세이야쿠 가부시키가이샤 아졸유도체및이를포함하는약제학적조성물
WO1997021691A1 (en) * 1995-12-14 1997-06-19 Kaken Pharmaceutical Co., Ltd. Thiazole derivatives

Also Published As

Publication number Publication date
AU7674498A (en) 1999-01-04
KR100563430B1 (ko) 2006-03-22
DE69836331D1 (de) 2006-12-14
CN1195739C (zh) 2005-04-06
AU732106B2 (en) 2001-04-12
CN1260783A (zh) 2000-07-19
EP0999209A1 (de) 2000-05-10
EP0999209B1 (de) 2006-11-02
KR20010013773A (ko) 2001-02-26
CA2294956A1 (en) 1998-12-23
JP3527514B2 (ja) 2004-05-17
WO1998057935A1 (en) 1998-12-23
US6255321B1 (en) 2001-07-03
EP0999209A4 (de) 2004-09-15
ES2273419T3 (es) 2007-05-01
ATE344247T1 (de) 2006-11-15

Similar Documents

Publication Publication Date Title
EP0261539B1 (de) Substituierte Phenylsulfonamide
DE69725978T2 (de) Chalcon-derivate und medikamente die diese enthalten
EP0243903B1 (de) Gegebenenfalls substituierte, 1-(w[bis-(Phenyl)-alkoxy]-alkyl)-4-(alkenyl)-piperazine und -4-(alkinyl)-piperazine, Verfahren zu ihrer Herstellung und diese enthaltende Arzneimittel
WO2001090053A1 (de) Diphenylmethanderivate
DE69836331T2 (de) 2-sulfamoylbenzoesäure-derivate
DE69105278T2 (de) Neue aminobenzosultamderivate und ihre verwendung als lipoxygenase hemmer.
DE3114239A1 (de) "piperazinderivate"
DE69315692T2 (de) Alkohole als kaliumchannelöffner und zur behandlung der harnincontinenz
EP0185909A1 (de) 5-Alkyl-1-phenyl-2-piperazinoalkylpyrazolin-3-on-Verbindungen sowie Verfahren und Zwischenprodukte zu ihrer Herstellung und diese Verbindungen enthaltende Arzneimittel
DE69611303T2 (de) Benzolsulfonamidderivate, ihre herstellung und ihre therapeutische verwendung
EP0582908B1 (de) 2-Substituierte Chinolylmethoxy-phenylessigsäure- und -benzylacyl Derivate, Verfahren zu ihrer Herstellung und ihre Verwendung als Leukotriensynthese Hemmer
PL179032B1 (pl) kwasu hydroksamowego oraz kompozycje farmaceutyczne zawierajace nowe pochodnekwasu hydroksamowego PL PL
DE69232812T2 (de) Neue cyclische aminophenylessigsäurederivate, ihre herstellung und immunomodulatoren , welche diese als aktiven bestandteil enthalten
DE4120322A1 (de) Aminomethyl-substituierte 2,3-dihydropyrano(2,3-b)pyridine, verfahren zu ihrer herstellung und ihre verwendung in arzneimitteln
DE3014813A1 (de) 2-hydroxy-5-(1-hydroxy-2-piperazinylethyl)benzoesaeure-derivate
EP0471259A1 (de) Phenylsulfonamid-substituierte Pyridinalken- und -aminooxyalkancarbonsäure-derivate
DE69303605T2 (de) Unverbrückte bis-aryl-carbinol-derivate, zusammensetzungen und ihre verwendung
EP0472166A1 (de) Tricyclische Pyridonderivate
DE3042844A1 (de) 2-(1h-imidazol-1-yl)-aethoxyderivate von chinolin-2- und 4-methanolen, verfahren zu ihrer herstellung, arzneimittel und ihre verwendung
JPWO1998057935A1 (ja) 2−スルファモイル安息香酸誘導体
US6376671B1 (en) 2-sulfamoylbenzoic acid derivatives
EP0165897B1 (de) Neue Resorcinäther
EP0589903A1 (de) Aminoalkylsubstituierte 5-mercaptothiazole, ihre herstellung und verwendung
EP0377896A2 (de) Cyclooxygenase- und 5-Lipoxygenase-inhibierende Hydroxansäurederivate
DE2635064C2 (de) Arzneimittel, enthaltend ein 2-(1-Hydroxyäthyl)-benzofuranderivat, 2-(1-Hydroxyäthyl)-benzofuranderivate als solche und Verfahren zu ihrer Herstellung

Legal Events

Date Code Title Description
8364 No opposition during term of opposition
8339 Ceased/non-payment of the annual fee