DE69832020T2 - Lichtschutzzusammensetzungen, die ein Benzylidencampher- und/oder ein Dibenzolmethan- und/oder ein Triazin-Derivat und ein Dialkyltartrat enthalten, und ihre Verwendung in der Kosmetik - Google Patents

Lichtschutzzusammensetzungen, die ein Benzylidencampher- und/oder ein Dibenzolmethan- und/oder ein Triazin-Derivat und ein Dialkyltartrat enthalten, und ihre Verwendung in der Kosmetik Download PDF

Info

Publication number
DE69832020T2
DE69832020T2 DE69832020T DE69832020T DE69832020T2 DE 69832020 T2 DE69832020 T2 DE 69832020T2 DE 69832020 T DE69832020 T DE 69832020T DE 69832020 T DE69832020 T DE 69832020T DE 69832020 T2 DE69832020 T2 DE 69832020T2
Authority
DE
Germany
Prior art keywords
composition according
filter
triazine
composition
derivative
Prior art date
Legal status (The legal status is an assumption and is not a legal conclusion. Google has not performed a legal analysis and makes no representation as to the accuracy of the status listed.)
Expired - Lifetime
Application number
DE69832020T
Other languages
English (en)
Other versions
DE69832020D1 (de
Inventor
Martin Josso
Jean-Louis Refregier
Isabelle Hansenne
Current Assignee (The listed assignees may be inaccurate. Google has not performed a legal analysis and makes no representation or warranty as to the accuracy of the list.)
LOreal SA
Original Assignee
LOreal SA
Priority date (The priority date is an assumption and is not a legal conclusion. Google has not performed a legal analysis and makes no representation as to the accuracy of the date listed.)
Filing date
Publication date
Family has litigation
First worldwide family litigation filed litigation Critical https://patents.darts-ip.com/?family=9510881&utm_source=google_patent&utm_medium=platform_link&utm_campaign=public_patent_search&patent=DE69832020(T2) "Global patent litigation dataset” by Darts-ip is licensed under a Creative Commons Attribution 4.0 International License.
Application filed by LOreal SA filed Critical LOreal SA
Publication of DE69832020D1 publication Critical patent/DE69832020D1/de
Application granted granted Critical
Publication of DE69832020T2 publication Critical patent/DE69832020T2/de
Anticipated expiration legal-status Critical
Expired - Lifetime legal-status Critical Current

Links

Classifications

    • AHUMAN NECESSITIES
    • A61MEDICAL OR VETERINARY SCIENCE; HYGIENE
    • A61KPREPARATIONS FOR MEDICAL, DENTAL OR TOILETRY PURPOSES
    • A61K8/00Cosmetics or similar toiletry preparations
    • A61K8/18Cosmetics or similar toiletry preparations characterised by the composition
    • A61K8/30Cosmetics or similar toiletry preparations characterised by the composition containing organic compounds
    • AHUMAN NECESSITIES
    • A61MEDICAL OR VETERINARY SCIENCE; HYGIENE
    • A61KPREPARATIONS FOR MEDICAL, DENTAL OR TOILETRY PURPOSES
    • A61K8/00Cosmetics or similar toiletry preparations
    • A61K8/18Cosmetics or similar toiletry preparations characterised by the composition
    • A61K8/30Cosmetics or similar toiletry preparations characterised by the composition containing organic compounds
    • A61K8/46Cosmetics or similar toiletry preparations characterised by the composition containing organic compounds containing sulfur
    • A61K8/466Cosmetics or similar toiletry preparations characterised by the composition containing organic compounds containing sulfur containing sulfonic acid derivatives; Salts
    • AHUMAN NECESSITIES
    • A61MEDICAL OR VETERINARY SCIENCE; HYGIENE
    • A61KPREPARATIONS FOR MEDICAL, DENTAL OR TOILETRY PURPOSES
    • A61K8/00Cosmetics or similar toiletry preparations
    • A61K8/18Cosmetics or similar toiletry preparations characterised by the composition
    • A61K8/30Cosmetics or similar toiletry preparations characterised by the composition containing organic compounds
    • A61K8/33Cosmetics or similar toiletry preparations characterised by the composition containing organic compounds containing oxygen
    • A61K8/35Ketones, e.g. benzophenone
    • AHUMAN NECESSITIES
    • A61MEDICAL OR VETERINARY SCIENCE; HYGIENE
    • A61KPREPARATIONS FOR MEDICAL, DENTAL OR TOILETRY PURPOSES
    • A61K8/00Cosmetics or similar toiletry preparations
    • A61K8/18Cosmetics or similar toiletry preparations characterised by the composition
    • A61K8/30Cosmetics or similar toiletry preparations characterised by the composition containing organic compounds
    • A61K8/33Cosmetics or similar toiletry preparations characterised by the composition containing organic compounds containing oxygen
    • A61K8/37Esters of carboxylic acids
    • AHUMAN NECESSITIES
    • A61MEDICAL OR VETERINARY SCIENCE; HYGIENE
    • A61KPREPARATIONS FOR MEDICAL, DENTAL OR TOILETRY PURPOSES
    • A61K8/00Cosmetics or similar toiletry preparations
    • A61K8/18Cosmetics or similar toiletry preparations characterised by the composition
    • A61K8/30Cosmetics or similar toiletry preparations characterised by the composition containing organic compounds
    • A61K8/49Cosmetics or similar toiletry preparations characterised by the composition containing organic compounds containing heterocyclic compounds
    • A61K8/494Cosmetics or similar toiletry preparations characterised by the composition containing organic compounds containing heterocyclic compounds with more than one nitrogen as the only hetero atom
    • A61K8/4966Triazines or their condensed derivatives
    • AHUMAN NECESSITIES
    • A61MEDICAL OR VETERINARY SCIENCE; HYGIENE
    • A61PSPECIFIC THERAPEUTIC ACTIVITY OF CHEMICAL COMPOUNDS OR MEDICINAL PREPARATIONS
    • A61P17/00Drugs for dermatological disorders
    • A61P17/16Emollients or protectives, e.g. against radiation
    • AHUMAN NECESSITIES
    • A61MEDICAL OR VETERINARY SCIENCE; HYGIENE
    • A61QSPECIFIC USE OF COSMETICS OR SIMILAR TOILETRY PREPARATIONS
    • A61Q17/00Barrier preparations; Preparations brought into direct contact with the skin for affording protection against external influences, e.g. sunlight, X-rays or other harmful rays, corrosive materials, bacteria or insect stings
    • A61Q17/04Topical preparations for affording protection against sunlight or other radiation; Topical sun tanning preparations

Landscapes

  • Health & Medical Sciences (AREA)
  • Life Sciences & Earth Sciences (AREA)
  • Animal Behavior & Ethology (AREA)
  • General Health & Medical Sciences (AREA)
  • Public Health (AREA)
  • Veterinary Medicine (AREA)
  • Birds (AREA)
  • Epidemiology (AREA)
  • Emergency Medicine (AREA)
  • Dermatology (AREA)
  • Engineering & Computer Science (AREA)
  • Bioinformatics & Cheminformatics (AREA)
  • Chemical & Material Sciences (AREA)
  • Chemical Kinetics & Catalysis (AREA)
  • General Chemical & Material Sciences (AREA)
  • Medicinal Chemistry (AREA)
  • Nuclear Medicine, Radiotherapy & Molecular Imaging (AREA)
  • Organic Chemistry (AREA)
  • Pharmacology & Pharmacy (AREA)
  • Toxicology (AREA)
  • Cosmetics (AREA)

Description

  • Die vorliegende Erfindung betrifft neue kosmetische und oder dermatologische Zusammensetzungen, die für den Schutz der Haut und/oder der Haare vor UV-Strahlung, insbesondere vor Sonnenlicht, vorgesehen sind. Sie betrifft genauer neue kosmetische und/oder dermatologische Zusammensetzungen, die mindestens ein UV-Filter vom Dibenzoylmethan-Typ und/oder ein UV-Filter vom Typ der Filter, die von Benzylidencampher abgeleitet sind, und/oder mindestens ein UV-Filter vom Typ der Filter, die von Triazin abgeleitet sind, enthalten, die einen verbesserten Lichtschutzfaktor aufweisen und in einem kosmetisch und/oder dermatologisch akzeptablen Medium mindestens ein geradkettiges oder verzweigtes Dialkyltartrat enthalten.
  • Es ist bekannt, daß Lichtstrahlung mit einer Wellenlänge im Bereich von 280 bis 400 nm zur Bräunung der menschlichen Epidermis führt, und daß Lichtstrahlung mit einer Wellenlänge im Bereich von 280 bis 320 nm, die unter der Bezeichnung UV-B-Strahlung bekannt ist, Erytheme und Hautverbrennungen hervorruft, die schädlich für die Entwicklung der natürlichen Bräune sein können; die UV-B-Strahlung muß daher gefiltert werden.
  • Es ist außerdem bekannt, daß UV-A-Strahlung mit einer Wellenlänge im Bereich von 320 bis 400 nm, die zur Bräunung der Haut führt, imstande ist, Veränderungen der Haut hervorzurufen, insbesondere im Fall einer empfindlichen Haut oder einer Haut, die kontinuierlich dem Sonnenlicht ausgesetzt wird. UV-A-Strahlung verursacht insbesondere einen Elastizitätsverlust der Haut und das Erscheinen von Falten, was zu einer vorzeitigen Alterung führt. Sie fördert das Auslösen der Erythemreaktion oder verstärkt diese Reaktion bei bestimmten Personen und kann sogar ursächlich für phototoxische oder photoallergische Reaktionen sein. Es ist daher wünschenswert, auch die UV-A-Strahlung zu filtern.
  • Bis heute sind zahlreiche kosmetische Zusammensetzungen vorgeschlagen worden, die für den Lichtschutz (UV-A und/oder UV-B) der Haut vorgesehen sind.
  • Diese Lichtschutzzusammensetzungen liegen häufig in Form einer Emulsion vom Öl-in-Wasser-Typ vor (d.h. ein kosmetisch akzeptabler Träger, der aus einer kontinuierlichen dispergierenden wässrigen Phase und einer diskontinuierlichen dispergierten Ölphase besteht), die in unterschiedlichen Konzentrationen ein oder mehrere herkömmliche lipophile und/oder hydrophile organische Filter enthält, die imstande sind, die schädliche UV-Strahlung selektiv zu absorbieren, wobei diese Filter (und ihre Mengen) in Abhängigkeit vom gewünschten Schutzfaktor ausgewählt werden (der Schutzfaktor SF wird mathematisch durch den Quotienten aus der Bestrahlungszeit, die vergeht, bis die Erythemschwelle mit dem UV-Filter erreicht wird, und der Zeit, die vergeht, bis die Erythemschwelle ohne UV-Filter erreicht wird, ausgedrückt).
  • Die Anmelderin hat nach umfangreichen Forschungsarbeiten auf dem oben beschriebenen Gebiet des Lichtschutzes die unerwartete und überraschende Feststellung gemacht, dass es möglich ist, Lichtschutzzusammensetzungen mit einem verbesserten Lichtschutzfaktor zu erhalten, wenn man ein C1-15-Dialkyltartrat und vor allem C12-15-Dialkyltartrat mit einem Lichtschutzsystem kombiniert, das aus mindestens einem UV-Filter vom Typ der Filter, die von Benzylidencampher abgeleitet sind, und/oder einem UV-Filter vom Typ der Filter, die von Dibenzoylmethan abgeleitet sind, und/oder mindestens einem UV-Filter vom Typ der Filter, die von Triazin abgeleitet sind, besteht, wobei der Lichtschutzfaktor in jedem Fall höher liegt als der Lichtschutzfaktor, der mit einem derartigen Lichtschutzsystem allein erzielt werden kann.
  • Diese Eigenschaft ist um so überraschender, als im Stand der Technik, insbesondere aus der Anmeldung WO 96/40047, kosmetische oder pharmazeutische Zusammensetzungen bekannt sind, die α-Hydroxysäureester, insbesondere Diethyltartrat, in Gegenwart herkömmlicher UV-Filter enthalten, und insbesondere sind aus der Anmeldung EP-A-635 260 Lipogele mit Lichtschutzwirkung bekannt, in denen C12-C13-Dialkyltartrate und UV-Filter vom Zimtsäure- oder Benzophenon-Typ verwendet werden.
  • Außerdem sind Lichtschutzzusammensetzungen auf der Basis von 2,4,6-Tris[p-(2'-ethylhexyl-1'-oxycarbonyl)anilino]-1,3,5-triazin (insbesondere unter der Handelsbezeichnung „UVINUL T150" von der Firma BASF im Handel erhältlich) bekannt, in denen zusätzlich α,β-Dihydroxycarbonsäuredialkylester ausschließlich für die Solubilisierung des Triazins oder für die Verbesserung der Solubilisierung dieses speziellen UV-Filters verwendet werden.
  • Die Anmelderin hat die unerwartete Feststellung gemacht, dass der Schutzfaktor nicht verbessert wird, wenn ein Dialkyltartrat mit einem Lichtschutzsystem des Stands der Technik kombiniert wird, das nicht die Verbindungen des Lichtschutzsystems der Erfindung enthält und aus anderen herkömmlichen UV-Filter-Typen besteht, wie Zimtsäure- oder Benzophenon-Derivaten.
  • Diese Erkenntnis stellt die Grundlage der vorliegenden Erfindung dar.
  • Nach einem ersten erfindungsgemäßen Gegenstand werden daher neue Zusammensetzungen vorgeschlagen, die insbesondere für den Schutz der Haut und/oder der Haare vor UV-Strahlung vorgesehen sind, die dadurch gekennzeichnet sind, dass sie in einem kosmetisch akzeptablen Träger mindestens enthalten:
    • (a) ein Lichtschutzsystem, das imstande ist, die UV-Strahlung zu filtern, das aus mindestens einem UV-Filter vom Typ der Filter, die von Benzylidencampher abgeleitet sind, und/oder mindestens einem UV-Filter vom Typ der Filter, die von Dibenzoylmethan abgeleitet sind, und/oder mindestens einem UV-Filter vom Typ der Filter, die von Triazin abgeleitet sind, besteht;
    • (b) ein geradkettiges oder verzweigtes Dialkyltartrat, das vorzugsweise 1 bis 16 Kohlenstoffatome enthält;
    wobei die Zusammensetzung kein 2,4,6-Tris[p-(2'-ethylhexyl-1'-oxycarbonyl)-anilino]-1,3,5-triazin enthält.
  • Erfindungsgemäß wird unter Lichtschutzsystem, das imstande ist, UV-Strahlung zu filtern, allgemein jede Verbindung oder jede Kombination von Verbindungen verstanden, die es durch die an sich bekannten Mechanismen der Absorption und/oder Reflexion und/oder Streuung von UV-A- und/oder UV-B-Strahlung ermöglicht/ermöglichen, den Kontakt dieser Strahlung mit einer Oberfläche (der Haut, den Haaren), auf die diese Verbindung(en) aufgetragen wurde(n), zu verhindern oder zumindest zu begrenzen. Anders ausgedrückt können diese Verbindungen UV-Licht absorbierende organische Lichtschutzfilter oder UV-Licht streuende und/oder reflektierende anorganische (Nano)pigmente sowie Gemische dieser Substanzen sein.
  • Nach einem weiteren Gegenstand betrifft die vorliegende Erfindung die Verwendung eines Dialkyltartrats für die Herstellung einer kosmetischen oder dermatologischen Zusammensetzung, die für den Schutz der Haut und/oder der Haare vor Ultraviolett-Strahlung vorgesehen ist, des Typs, der ein Lichtschutzsystem enthält, das imstande ist, UV-Strahlung zu filtern, das aus mindestens einem UV-Filter vom Typ der Filter, die von Benzylidencampher abgeleitet sind, und/oder mindestens einem UV-Filter vom Dibenzoylmethan-Typ und/oder mindestens einem UV-Filter vom Typ der Filter, die von Triazin abgeleitet sind, besteht, zur Erhöhung des Lichtschutzfaktors.
  • Ein weiterer Gegenstand der vorliegenden Erfindung betrifft ein Verfahren zur kosmetischen Behandlung zum Schutz der Haut und/oder der Haare vor Ultraviolett-Strahlung, insbesondere vor Sonnenlicht, das im wesentlichen darin besteht, auf die Haut und/oder die Haare eine wirksame Menge einer erfindungsgemäßen Zusammensetzung aufzutragen. Andere Eigenschaften, Aspekte und Vorteile der vorliegenden Erfindung ergeben sich beim Lesen der folgenden detaillierten Beschreibung.
  • Als Dialkyltartrate können die geradkettigen Verbindungen angegeben werden, deren Alkylreste C1-4-Alkylreste sind, wie Dimethyl-, Diethyl- oder Dipropyltartrat. Vorzugsweise wird Diethyltartrat verwendet.
  • Besonders bevorzugte erfindungsgemäße Dialkyltartrate weisen die folgende Struktur auf:
    Figure 00050001
    in der bedeuten:
    R eine Gruppe der Formel:
    Figure 00050002
    p die Zahl 0 oder 1;
    n die Zahl 12 oder 13, wenn p gleich 0 ist und
    m + n die Zahl 8 oder 9, wenn p gleich 1 ist.
  • Es werden ganz besonders die geradkettigen C12-C13-Dialkyltartrate verwendet, wie die, die unter der Bezeichnung COSMACOL ETI von der Firma ENICHEM AUGUSTA INDUSTRIALE im Handel erhältlich sind, sowie die geradkettigen C14-C15-Dialkyltartrate, wie die, die unter der Bezeichnung COSMACOL ETL von der gleichen Firma im Handel erhältlich sind.
  • Die Dialkyltartrate werden in den erfindungsgemäßen Zusammensetzungen in Konzentrationen verwendet, die vorzugsweise im Bereich von 0,1 bis 10 Gew.-%, bezogen auf das Gesamtgewicht der Zusammensetzung, und noch bevorzugter im Bereich von 0,2 bis 5 Gew.-% liegen.
  • Die Dibenzoylmethan-Derivate, die erfindungsgemäß verwendet werden, sind Verbindungen, die bereits an sich bekannt sind und insbesondere in den Druckschriften FR-A-2326405, FR-A-2440933 und EP-A-0 114 607 beschrieben werden; die technische Lehre dieser Druckschriften wird, soweit sie die Definition dieser Verbindungen betrifft, durch Bezugnahme in vollem Umfang in die vorliegende Beschreibung einbezogen.
  • Von den Dibenzoylmethan-Derivaten, die erfindungsgemäß vor allem in Betracht gezogen werden, können insbesondere in nicht einschränkender Weise die folgenden Verbindungen angegeben werden:
    • – 2-Methyldibenzoylmethan,
    • – 4-Methyldibenzoylmethan,
    • – 4-Isopropyldibenzoylmethan,
    • – 4-tert.-Butyldibenzoylmethan,
    • – 2,4-Dimethyldibenzoylmethan,
    • – 2,5-Dimethyldibenzoylmethan,
    • – 4,4'-Diisopropyldibenzoylmethan,
    • – 4-tert.-Butyl-4'-methoxydibenzoylmethan,
    • – 2-Methyl-5-isopropyl-4'methoxydibenzoylmethan,
    • – 2-Methyl-5-tert.-butyl-4'-dibenzoylmethan,
    • – 2,4-Dimethyl-4'-methoxydibenzoylmethan,
    • – 2,6-Dimethyl-4-tert.-butyl-4'-methoxydibenzoylmethan.
  • Von den oben erwähnten Derivaten von Dibenzoylmethan ist es erfindungsgemäß besonders bevorzugt, 4-tert.-Butyl-4'-methoxydibenzoylmethan einzusetzen, insbesondere das Produkt, das im Handel unter der Handelsbezeichnung "PARSOL 1789" von der Firma Givaudan angeboten wird, bei dem es sich um ein Filter handelt, das die folgende Strukturformel (I) aufweist:
    Figure 00070001
  • Ein weiteres erfindungsgemäß bevorzugtes Dibenzoylmethan-Derivat ist die Verbindung 4-Isopropyldibenzoylmethan, bei der es sich um ein Filter handelt, das unter der Bezeichnung "EUSOLEX 8020" von der Firma Merck im Handel erhältlich ist und das der folgenden Strukturformel (II)
    Figure 00070002
  • Die erfindungsgemäß in Betracht kommenden Benzylidencampher-Derivate sind Verbindungen, die bereits an sich bekannt sind. Beispielhaft können die folgenden Verbindungen angegeben werden:
    • – 3-Benzylidencampher,
    • – 4-Methylbenzylidencampher;
    • – 3-(4'-Trimethylammoniumbenzyliden)-camphermethylsulfat;
    • – Benzylidencamphersulfonsäure und ihre Salze;
    • – 3-(3'-Sulfo-4'-methylbenzyliden)-campher;
    • – Polyacrylamidomethylbenzylidencampher.
  • Außerdem können die Polydiorganosiloxane mit Benzylidencampher-Gruppe angegeben werden, wie die Verbindungen, die in dem Patent EP-B-0 355 777 angegeben werden, sowie die Diorganosiloxane mit kurzen, geradkettigen oder cyclischen Ketten, wie die Verbindungen, die in dem Patent EP-B-0 712 855 beschrieben werden; diese Druckschriften werden im Umfang der Definition dieser Verbindungen in vollem Umfang durch Bezugnahme in die vorliegende Beschreibung aufgenommen.
  • Außerdem können die Benzol-1,4-di-(3-methyliden-10-camphersulfonsäure) und ihre verschiedenen Salze angegeben werden, die insbesondere in den Patentanmeldungen FR-A-2528420 und FR-A-2639347 beschrieben werden, bei denen es sich um an sich bekannte Filter handelt (sogenannte Breitbandfilter), die imstande sind, die UV-Strahlung mit einer Wellenlänge im Bereich von 280 bis 400 nm zu absorbieren, wobei das Absorptionsmaximum im Bereich von 320 bis 400 nm und insbesondere in der Nähe von 345 nm liegt. Diese Filter entsprechen der folgenden allgemeinen Formel (III):
    Figure 00080001
    in der B ein Wasserstoffatom, ein Alkalimetall, eine Gruppe NH(R)3 +, in der die Reste R, die gleich oder verschieden sein können, Wasserstoff, C1- 4-Alkyl-C1-4-Hydroxyalkyl darstellen, oder eine Gruppe Mn+/n bedeutet, wobei Mn+ ein mehrwertiges Metallkation ist, worin n die Zahl 2 oder 3 oder 4 ist, wobei Mn+ vorzugsweise ein Metallkation bedeutet, das unter Ca2+, Zn2+, Mg2+, Ba2+, Al3+ und Zr4+ ausgewählt ist. Es ist selbstverständlich, dass die Verbindungen der obigen Formel (III) in Form von "cis-trans"-Isomeren um eine oder mehrere Doppelbindungen vorliegen können und dass alle Isomeren dieser Verbindungen zum Gegenstand der vorliegenden Erfindung gehören.
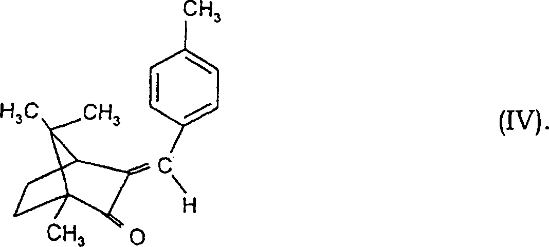
  • Es kann vor allem 4-Methylbenzylidencampher verwendet werden, bei dem es sich um ein an sich bekanntes fettlösliches Filter handelt, das im UV-B-Bereich absorbiert und insbesondere unter der Handelsbezeichnung "EUSOLEX 6300" von der Firma MERCK oder "PARSOL 5000" von der Firma GIVAUDAN im Handel erhältlich ist. Diese Verbindung entspricht der folgenden Formel (IV):
    Figure 00090001
  • Als Triazin-Derivat kann vor allem 2,4,6-Tris[p-(2'-ethylhexyl-1'-oxycarbonyl)-anilino]-1,3,5-triazin verwendet werden. Dieses Filter ist an sich bekannt, im UV-B-Bereich wirksam und liegt in Form eines Feststoffs vor, der insbesondere unter der Handelsbezeichnung "UVINUL T150" von der Firma BASF im Handel erhältlich ist. Diese Verbindung entspricht der folgenden Formel (V):
    Figure 00100001
    in der R 2-Ethylhexyl bedeutet.
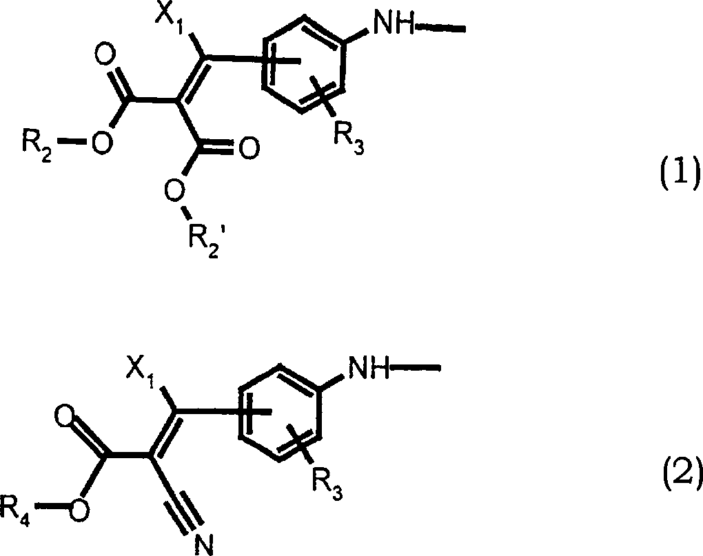
  • Als Triazin-Derivate können weiterhin die Verbindungen verwendet werden, die in der Patentanmeldung FR-A-2744721 beschrieben werden, die der folgenden Formel (VI)
    Figure 00100002
    entsprechen, in der R1, R1' und R1'' die gleich oder verschieden sein können, unter den einwertigen Resten der folgenden Formeln (1) und (2) ausgewählt sind:
    Figure 00100003
    worin bedeuten:
    • – R2 und R2', die gleich oder verschieden sein können, einen geradkettigen oder verzweigten C1-3-Alkylrest,
    • – R3 ein Wasserstoffatom, einen geradkettigen oder verzweigten C1-4-Alkylrest oder einen C1-4-Alkoxyrest,
    • – R4 einen geradkettigen oder verzweigten C1-12-Alkylrest,
    • – X1 Wasserstoff oder einen Phenylrest, der gegebenenfalls mit einem Halogenatom, C1-4-Alkyl oder C1-4-Alkoxy substituiert ist.
  • Von den Verbindungen der Formel (VI) können insbesondere die folgenden Verbindungen angegeben werden:
    • – 2,4,6-Tris(4'-aminobenzalmalonsäurediethylester)-s-triazin,
    • – 2,4,6-Tris(4'-aminobenzalmalonsäurediisopropylester)-s-triazin,
    • – 2,4,6-Tris(4'-aminobenzalmalonsäuredimethylester)-s-triazin,
    • – 2,4,6-Tris(α-cyano-4-aminozimtsäureethylester)-s-triazin,
  • Es können ebenso andere Triazin-Derivate verwendet werden, wie die Triazin-Derivate, die in den Patentanmeldungen EP-A-0 517 104, EP-A-0 570 838, EP-A-0 796 851 beschrieben werden, deren technische Lehre, soweit sie die Definition dieser Verbindungen betrifft, durch Bezugnahme in vollem Umfang in die vorliegende Beschreibung eingeschlossen wird.
  • Die erfindungsgemäßen Lichtschutzsysteme können zusätzlich einen oder mehrere weitere UV-Licht absorbierende organische Filter, die verschieden von den Benzylidencampher-Derivaten, Dibenzoylmethan-Derivaten und Triazin-Derivaten sind, oder ein oder mehrere Pigmente und/oder anorganische Nanopigmente sowie Gemische dieser Substanzen enthalten.
  • Die in den erfindungsgemäßen Lichtschutzzusammensetzungen verwendbaren zusätzlichen organischen UV-Filter sind herkömmliche hydrophile oder lipophile Sonnenlichtfilter, die im UV-A- und/oder UV-B-Bereich wirksam sind. Beispielhaft können diese Filter, einzeln oder im Gemisch, unter 2-Phenylbenzimidazol-5-sulfonsäure und ihren Salzen, den Zimtsäure-Derivaten, den Salicylsäure-Derivaten, den Benzophenon-Derivaten, den β,β-Diphenylacrylat-Derivaten, den p-Aminobenzoesäure-Derivaten, Menthylanthranilat, den Polymerfiltern und den Siliconfiltern, die in der Anmeldung WO-93-04665 beschrieben werden, ausgewählt werden. Weitere Beispiele für organische Filter sind in der Patentanmeldung EP-A-0 487 404 enthalten.
  • Das erfindungsgemäße Lichtschutzsystem ist in den erfindungsgemäßen Zusammensetzungen im allgemeinen in einer Menge enthalten, die im Bereich von 0,1 bis 30 Gew.-% und vorzugsweise 0,5 bis 15 Gew.-%, bezogen auf das Gesamtgewicht der Zusammensetzung, liegt.
  • Eine zweite Klasse von zusätzlichen Lichtschutzmitteln, die in den erfindungsgemäßen Zusammensetzungen verwendet werden können, ist die Klasse der Pigmente. Bevorzugt werden Nanopigmente (mittlere Größe der Primärpartikel: im allgemeinen im Bereich von 5 bis 100 nm, vorzugsweise 10 bis 50 nm) von Metalloxiden verwendet, die gegebenenfalls umhüllt sind, wie z.B. Nanopigmente aus den Oxiden von Titan (amorph oder kristallisiert in Form von Rutil und/oder Anatas), Eisen, Zink, Zirconium oder Cer, bei denen es sich durchweg um an sich bekannte Lichtschutzmittel handelt, deren Wirkung darin besteht, die UV-Strahlung physikalisch zu blockieren (durch Reflexion und/oder Streuung). Herkömmliche Umhüllungsmittel sind hierbei übrigens Aluminiumoxid und/oder Aluminiumstearat oder auch die Silicone. Derartige Nanopigmente von Metalloxiden, die umhüllt oder nicht umhüllt sind, werden insbesondere in den Patentanmeldungen EP-A-0 518 772 und EP-A-0 518 773 beschrieben.
  • Das oder die anorganischen (Nano)pigmente können in den erfindungsgemäßen Zusammensetzungen in einer Menge von 0,1 bis 30 Gew.-%, vorzugsweise 0,5 bis 10 Gew.-%, bezogen auf das Gesamtgewicht der Zusammensetzung, enthalten sein.
  • Die übrigen Bestandteile, die in die Formulierung der erfindungsgemäß Zusammensetzungen eingebracht werden können, insbesondere die Öle, die wachsartigen Verbindungen, die kosmetischen und/oder dermatologischen Wirkstoffe, sind die Bestandteile, die herkömmlicherweise auf dem Gebiet der Kosmetik und/oder dem Gebiet der Dermatologie verwendet werden.
  • Unter Öl wird eine bei Umgebungstemperatur flüssige Verbindung verstanden. Unter Wachs wird eine bei Umgebungstemperatur feste oder im wesentlichen feste Verbindung verstanden, deren Schmelzpunkt im allgemeinen oberhalb von 35°C liegt.
  • Als Öle können angegeben werden: die Mineralöle (Vaseline); die pflanzlichen Öle (Süßmandelöl, Macadamiaöl, Johannisbeerkernöl, Jojobaöl); die synthetischen Öle, wie Perhydrosqualen, die Alkohole, Säuren oder Fettester (Octylpalmitat, Isopropyllanolat, die Triglyceride, darunter die Triglyceride von Caprin-/Caprylsäure), die ethoxylierten oder propoxylierten Fettester und Fettether; die Siliconöle (Cyclometicon, Polydimethylsiloxane oder PDMS) oder die fluorierten Öle, die Polyalkylene.
  • Als Wachsverbindungen können Paraffin, Carnaubawachs, Bienenwachs, hydriertes Ricinusöl angegeben werden.
  • Die erfindungsgemäßen Zusammensetzungen können außerdem Mittel gegen freie Radikale, Antioxidantien, Vitamine, wie Vitamin E und C, α-Hydroxysäuren enthalten.
  • Die erfindungsgemäßen Zusammensetzungen können ferner Mittel zur Bräunung und/oder Mittel zur künstlichen Bräunung (Selbstbräunungsmittel) enthalten, wie z.B. Dihydroxyaceton (DHA).
  • Die erfindungsgemäßen Zusammensetzungen können außerdem verschiedene herkömmlicherweise auf dem Gebiet der Kosmetik, Dermatologie oder Dermopharmazie verwendeten Bestandteile enthalten, wie Farbmittel, Lösemittel (Wasser, Alkohole, ...), Konservierungsmittel, Parfüms, Hydratisierungsmittel, pulverförmige Stoffe, Bakterizide und/oder Geruchsabsorber.
  • Der Fachmann achtet selbstverständlich darauf, die mögliche(n) oben erwähnte(n) ergänzende(n) Verbindung(en) und/oder ihre Mengen so auszuwählen, dass die vorteilhaften Eigenschaften, die mit der erfindungsgemäßen Kombination [Lichtschutzsystem + C12-15-Alkyltartrat] verbunden sind, nicht oder nicht wesentlich durch den oder die in Betracht gezogenen Zusätze verschlechtert werden.
  • Die erfindungsgemäßen Zusammensetzungen können unter Anwendung der dem Fachmann bekannten Techniken hergestellt werden, insbesondere durch die Techniken, die für die Herstellung von Dispersionen mit kontinuierlicher wäßriger Phase, wie Emulsionen vom Öl-in-Wasser-Typ, Gels, Gelcremes, vorgesehen sind.
  • Diese Zusammensetzung kann insbesondere in Form einer Emulsion, einer einfachen oder komplexen Emulsion (O/W, W/O, O/W/O oder W/O/W), wie einer Creme, einer Milch, oder in Form eines Gels, einer Gelcreme, eines Puders, eines festen Stifts vorliegen, und sie kann gegebenenfalls als Aerosol verpackt sein und in Form eines Schaumes oder eines Sprays vorliegen.
  • Beispielhaft liegt bei den erfindungsgemäßen Lichtschutzformulierungen, die eine Träger vom Dispersionstyp mit kontinuierlicher wäßriger Phase aufweisen, wie die Öl-in-Wasser-Emulsionen oder die Gelcremes, der Anteil der wäßrigen Phase (die insbesondere die hydrophilen Filter enthält) im allgemeinen im Bereich von 50 bis 95 Gew.-%, vorzugsweise 70 bis 90 Gew.-%, bezogen auf die gesamte Formulierung, und der Anteil der Ölphase (die insbesondre die lipophilen Filter enthält) liegt bei 5 bis 50 Gew.-%, vorzugsweise 10 bis 30 Gew.-%, bezogen auf die gesamte Formulierung.
  • Die erfindungsgemäßen Zusammensetzungen liegen vorzugsweise in Form von Gelcremes vor.
  • Im Folgenden werden konkrete, jedoch in keiner Weise einschränkende Beispiele zur Veranschaulichung der Erfindung angegeben.
  • In allen folgenden Beispielen handelt es sich bei den Mengenangaben um Angaben in Gewichtsprozent, bezogen auf das Gesamtgewicht der Zusammensetzung
  • BEISPIEL 1:
  • Es wurde eine erfindungsgemäße Lichtschutzformulierung B hergestellt, die in Form einer Emulsion vom Öl-in-Wasser-Typ vorliegt und die enthält: Phase 1:
    – 4-(tert.-Butyl)-4'-methoxydibenzoylmethan („PARSOL 1789") 2,5 g
    – 2-Ethylhexyl-α-cyano-β,β-diphenylacrylat („UVINUL N 539") 10 g
    – C14-C15-Dialkyltartrat („COSMACOL ETL") 1 g
    – Stearylsäure 0,5 g
    – Stearinsäure 1 g
    – Dimeticon 1 g
    – Benzoat von C12-15-Alkoholen, unter der Handelsbezeichnung
    "Finsolv TN" von der Firma Finetex im Handel erhältlich 2 g
    – Glycerlystearat/PEG-100-stearat-Gemisch, unter der Be
    zeichnung ARLACEL 165 von ICI im Handel erhältlich 1,5 g
    – Triethanolamin 0,3 g
    – Konservierungsmittel qs
    Phase 2:
    – Polyacrylsäure, unter der Handelsbezeichnung „Carbopol
    980" von Goodrich im Handel erhältlich 0,2 g
    – Triethanolamin 0,2 g
    Phase 3:
    – Kaliumcetylphosphat ("AMPHISOL K" von GIVAUDAN) 1 g
    Phase 4:
    – Hydratisierungsmittel 15 g
    – Konservierungsmittel qs
    Phase 5:
    – Cyclometicon 10 g
    Phase 6:
    – Benzol-1,4-di-(3-methyliden-10-camphersulfonsäure) 1 g
    – Triethanolamin qs pH 7
  • Anschließend wurde eine Vergleichslichtschutzzusammensetzung B' hergestellt mit dem gleichen Träger wie in Formulierung B, die jedoch kein C14-C15-Dialkyltartrat enthält.
  • Für beide Zusammensetzungen B und B' wurde anschließend der Lichtschutzfaktor (LSF) bestimmt.
  • Der Lichtschutzfaktor wird unter Anwendung des in-vitro-Verfahrens ermittelt, das von B.L. DIFFEY et al. in J. Soc. Cosmet. Chem. 40-127-133 (1989) beschrieben wird. Dieses Verfahren besteht darin, alle 5 nm in einem Wellenlängenbereich von 290 bis 400 nm die monochromatischen Schutzfaktoren zu ermitteln und aus diesen Werten den Lichtschutzfaktor nach einer vorgegebenen mathematischen Gleichung zu ermitteln.
  • Die Ergebnisse (Mittelwert aus fünf Versuchen) sind in der folgenden Tabelle (I) aufgeführt.
  • Tabelle (I):
    Figure 00170001
  • Diese Ergebnisse zeigen deutlich, dass durch die Zugabe eines C14-C15-Dialkyltartrats zu einem Lichtschutzsystem, das mindestens ein UV-Filter vom Typ der Filter, die von Dibenzoylmethan abgeleitet sind, und ein UV-Filter vom Typ der Filter, die von Benzylidencampher abgeleitet sind, enthält, die Lichtschutzeigenschaften des Systems deutlich verbessert werden können.
  • BEISPIEL 2:
  • Es wurde eine erfindungsgemäße Lichtschutzformulierung C hergestellt, die in Form einer Emulsion vom Öl-in-Wasser-Typ vorliegt und die enthält: Phase 1:
    – 4-(tert.-Butyl)-4'-methoxydibenzoylmethan („PARSOL 1789") 5 g
    – Stearylsäure 0,5 g
    – Stearinsäure 1 g
    – Dimeticon 1 g
    – C12-C13-Dialkyltartrat („COSMACOL ETI") 1 g
    – Benzoat von C12-15-Alkoholen, unter der Handelsbezeichnung
    "Finsolv TN" von der Firma Finetex im Handel erhältlich 2 g
    – Glycerlystearat/PEG-100-stearat-Gemisch, unter der Be
    zeichnung ARLACEL 165 von ICI im Handel erhältlich 1,5 g
    – Triethanolamin 0,3 g
    – Konservierungsmittel qs
    Phase 2:
    – Polyacrylsäure, unter der Handelsbezeichnung „Carbopol
    980" von Goodrich im Handel erhältlich 0,2 g
    – Triethanolamin 0, 2 g
    Phase 3:
    – Kaliumcetylphosphat ("AMPHISOL K" von GIVAUDAN) 1 g
    Phase 4:
    – Hydratisierungsmittel 15 g
    – Konservierungsmittel qs
    Phase 5:
    – Cyclometicon 10 g
    Phase 6:
    – Triethanolamin qs pH 7
    – gereinigtes Wasser qs 100 g
  • Anschließend wurde eine Vergleichslichtschutzzusammensetzung C' hergestellt mit dem gleichen Träger wie in Formulierung C, die jedoch kein C12-C15-Dialkyltartrat enthält.
  • Für beide Zusammensetzungen C und C' wurde anschließend der Lichtschutzfaktor (LSF) bestimmt. Der Lichtschutzfaktor wurde unter Anwendung des Verfahrens, das in Beispiel 1 beschrieben wurde, ermittelt.
  • Die Ergebnisse (Mittelwert aus fünf Versuchen) sind in der folgenden Tabelle (II) aufgeführt.
  • Tabelle (II):
    Figure 00190001
  • Diese Ergebnisse zeigen deutlich, dass durch die Zugabe eines C12-C13-Dialkyltartrats zu einem Lichtschutzsystem, das ein UV-Filter vom Typ der Filter, die von Dibenzoylmethan abgeleitet sind, enthält, die Lichtschutzeigenschaften des Systems deutlich verbessert werden können. Man erhält äquivalente Ergebnisse bei Verwendung von Diethyltartrat (Ca) oder eines C12-C13-Dialkyltartrats, wie des Produkts COSMACOL ETI, anstelle des Produkts COSMACOL ETL.
  • BEISPIEL 3:
  • Es wurde eine erfindungsgemäße Lichtschutzformulierung D hergestellt, die die gleiche Zusammensetzung wie die Formulierung von Beispiel 2 hat, aber anstelle des UV-Filters vom Typ der Filter, die von Dibenzoylmethan abgeleitet sind, 6 Gew.-% 4-Methylbenzylidencampher "EUSOLEX 6300" von MERCK und als Dialkyltartrat das Produkt COSMACOL ETL (C14-C15-Dialkyltartrat) enthält.
  • Anschließend wurde eine Vergleichslichtschutzzusammensetzung D' hergestellt mit dem gleichen Träger wie in Formulierung D, die jedoch kein C12-C13-Dialkyltartrat enthält.
  • Für beide Zusammensetzungen D und D' wurde anschließend der Lichtschutzfaktor (LSF) bestimmt. Der Lichtschutzfaktor wurde unter Anwendung des Verfahrens, das in Beispiel 1 beschrieben wurde, ermittelt.
  • Die Ergebnisse (Mittelwert aus fünf Versuchen) sind in der folgenden Tabelle (III) aufgeführt.
  • Tabelle (III):
    Figure 00200001
  • Diese Ergebnisse zeigen deutlich, dass durch die Zugabe eines C14-C15-Dialkyltartrats zu einem Lichtschutzsystem, das aus einem UV-Filter vom Typ der Filter besteht, die von Benzylidencampher abgeleitet sind, die Lichtschutzeigenschaften des Systems deutlich verbessert werden können. Man erhält äquivalente Ergebnisse bei Verwendung von Diethyltartrat (C2) oder eines C12-C13-Dialkyltartrats, wie des Produkts COSMACOL ETI, anstelle des Produkts COSMACOL ETL.
  • BEISPIEL 4:
  • Es wurde eine erfindungsgemäße Lichtschutzformulierung E hergestellt, die die gleiche Zusammensetzung wie die Formulierung von Beispiel 3 hat, aber anstelle des UV-Filters vom Typ der Filter, die von Benzylidencampher abgeleitet sind, 5 Gew.-% 2,4,6-Tris[p-(2'-ethylhexyl-1'-oxycarbonyl)-anilino]-1,3,5-triazin ("UVINUL T 150" von der Firma BASF) enthält.
  • Anschließend wurde eine Vergleichslichtschutzzusammensetzung E' hergestellt mit dem gleichen Träger wie in Formulierung E, die jedoch kein Dialkyltartrat enthält.
  • Für beide Zusammensetzungen E und E' wurde anschließend der Lichtschutzfaktor (LSF) bestimmt. Der Lichtschutzfaktor wurde unter Anwendung des Verfahrens, das in Beispiel 1 beschrieben wurde, ermittelt.
  • Die Ergebnisse (Mittelwert aus fünf Versuchen) sind in der folgenden Tabelle (IV) aufgeführt.
  • Tabelle (IV):
    Figure 00210001
  • Diese Ergebnisse zeigen deutlich, dass durch die Zugabe eines C14-C15-Dialkyltartrats zu einem Lichtschutzsystem, das aus einem UV-Filter vom Typ der Filter besteht, die von Triazin abgeleitet sind, die Lichtschutzeigenschaften des Systems deutlich verbessert werden können. Man erhält äquivalente Ergebnisse bei Verwendung von Diethyltartrat (C2) oder eines C12-C13-Dialkyltartrats, wie des Produkts COSMACOL ETI, anstelle des Produkts COSMACOL ETL.
  • BEISPIEL 5 (Vergleich):
  • Es wurde eine Lichtschutzformulierung F (nicht zur Erfindung gehörend) hergestellt, die in Form einer Emulsion vom Öl-in-Wasser-Typ vorliegt, die die gleiche Zusammensetzung wie die Formulierung von Beispiel 3 hat, aber anstelle des UV-Filters vom Typ der Filter, die von Benzylidencampher abgeleitet sind, 9 Gew.-% 2-Ethylhexyl-p-methoxycinnamat ("PARSOL MCX" von Givaudan) enthält.
  • Anschließend wurde eine Vergleichslichtschutzzusammensetzung F' hergestellt mit dem gleichen Träger wie in der Formulierung F, die jedoch kein C14-C15-Dialkyltartrat enthält.
  • Für beide Zusammensetzungen F und F' wurde anschließend. der Lichtschutzfaktor (LSF) bestimmt. Der Lichtschutzfaktor wurde unter Anwendung des Verfahrens, das in Beispiel 1 beschrieben wurde, ermittelt.
  • Die Ergebnisse (Mittelwert aus fünf Versuchen) sind in der folgenden Tabelle (V) aufgeführt.
  • Tabelle (V):
    Figure 00230001
  • Diese Ergebnisse zeigen deutlich, dass durch die Zugabe eines C14-C15-Dialkyltartrats zu einem Lichtschutzsystem, das aus einem UV-Filter vom Typ der Filter besteht, die von Zimtsäure abgeleitet sind, die Lichtschutzeigenschaften des Systems nicht deutlich verbessert werden können.
  • BEISPIEL 6 (Vergleich):
  • Es wurde eine Lichtschutzformulierung G (nicht zur Erfindung gehörend) hergestellt, die in Form einer Emulsion vom Öl-in-Wasser-Typ vorliegt, die die gleiche Zusammensetzung wie die Formulierung von Beispiel 3 hat, aber anstelle des UV-Filters vom Typ der Filter, die von Benzylidencampher abgeleitet sind, 6 Gew.-% 3-Benzophenon ("UVINUL M40" von BASF) enthält.
  • Anschließend wurde eine Vergleichslichtschutzzusammensetzung G' hergestellt mit dem gleichen Träger wie in der Formulierung G, die jedoch kein C14-C15-Dialkyltartrat enthält.
  • Für beide Zusammensetzungen G und G' wurde anschließend der Lichtschutzfaktor (LSF) bestimmt. Der Lichtschutzfaktor wurde unter Anwendung des Verfahrens, das in Beispiel 1 beschrieben wurde, ermittelt.
  • Die Ergebnisse (Mittelwert aus fünf Versuchen) sind in der folgenden Tabelle (VI) aufgeführt.
  • Tabelle (VI):
    Figure 00240001
  • Diese Ergebnisse zeigen deutlich, dass durch die Zugabe eines C12-C15-Dialkyltartrats zu einem Lichtschutzsystem, das aus einem UV-Filter vom Benzophenon-Typ besteht, die Lichtschutzeigenschaften des Systems nicht deutlich verbessert werden können.
  • BEISPIEL 7 (Vergleich):
  • Es wurde eine Lichtschutzformulierung H (nicht zur Erfindung gehörend) hergestellt, die in Form einer Emulsion vom Öl-in-Wasser-Typ vorliegt, die gleiche Zusammensetzung wie die Formulierung von Beispiel 3 hat, aber anstelle des UV-Filters vom Typ der Filter, die von Benzylidencampher abgeleitet sind, 9 Gew.-% 2-Ethylhexyl-p-methoxycinnamat ("PARSOL MCX" von Givaudan) und 1 Gew.-% Diethyltartrat anstelle von COSMACOL ETL enthält.
  • Anschließend wurde eine Vergleichslichtschutzzusammensetzung H' hergestellt mit dem gleichen Träger wie in der Formulierung H, die jedoch kein Diethyltartrat enthält.
  • Für beide Zusammensetzungen H und H' wurde anschließend der Lichtschutzfaktor (LSF) bestimmt. Der Lichtschutzfaktor wurde unter Anwendung des Verfahrens, das in Beispiel 1 beschrieben wurde, ermittelt.
  • Die Ergebnisse (Mittelwert aus fünf Versuchen) sind in der folgenden Tabelle (VII) aufgeführt.
  • Tabelle (VII):
    Figure 00250001
  • Diese Ergebnisse zeigen deutlich, dass durch die Zugabe von Diethyltartrat zu einem Lichtschutzsystem, das aus einem UV-Filter vom Typ der Filter, die von Zimtsäure abgeleitet sind, die Lichtschutzeigenschaften des Systems nicht verbessert werden können.

Claims (24)

  1. Zusammensetzung, die für den Schutz der Haut und/oder der Haare vor Ultraviolett-Strahlung vorgesehen ist, dadurch gekennzeichnet, dass sie in einem kosmetisch akzeptablen Träger mindestens enthält: (a) ein Lichtschutzsystem, das imstande ist, UV-Strahlung zu filtern, das aus mindestens einem UV-Filter vom Typ der Filter, die von Benzylidencampher abgeleitet sind, und/oder mindestens einem UV-Filter vom Typ der Filter, die von Dibenzoylmethan abgeleitet sind, und/oder mindestens einem UV-Filter vom Typ der Filter, die von Triazin abgeleitet sind, besteht; (b) ein geradkettiges oder verzweigtes Dialkyltartrat, das vorzugsweise 1 bis 16 Kohlenstoffatome enthält; wobei die Zusammensetzung kein 2,4,6-Tris[p-(2'-ethylhexyl-1'-oxycarbonyl)anilino]-1,3,5-triazin enthält.
  2. Zusammensetzung nach Anspruch 1, wobei das Dialkyltartrat unter den C1-16-Dialkyltartraten ausgewählt ist.
  3. Zusammensetzung nach Anspruch 1 oder 2, wobei das Dialkyltartrat unter den C1-4-Dialkyltartraten ausgewählt ist.
  4. Zusammensetzung nach einem der Ansprüche 1 bis 3, wobei es sich bei dem Dialkyltartrat um Diethyltartrat handelt.
  5. Zusammensetzung nach Anspruch 1 oder 2, wobei das Dialkyltartrat die folgende Struktur aufweist:
    Figure 00270001
    in der bedeuten: R eine Gruppe der Formel:
    Figure 00270002
    p die Zahl 0 oder 1; n die Zahl 12 oder 13, wenn p gleich 0 ist, und m + n die Zahl 8 oder 9, wenn p gleich 1 ist.
  6. Zusammensetzung nach einem der Ansprüche 1 bis 6, wobei das Dialkyltartrat in einer Konzentration verwendet wird, die im Bereich von 0,1 bis 10 Gew.-%, bezogen auf das Gesamtgewicht der Zusammensetzung, und vor allem im Bereich von 0,2 bis 5 Gew.-% liegt.
  7. Zusammensetzung nach einem der Ansprüche 1 bis 6, wobei das Dibenzoylmethan-Derivat ausgewählt ist unter: – 2-Methyldibenzoylmethan, – 4-Methyldibenzoylmethan, – 4-Isopropyldibenzoylmethan, – 4-tert.-Butyldibenzoylmethan, – 2,4-Dimethyldibenzoylmethan, – 2,5-Dimethyldibenzoylmethan, – 4,4'-Diisopropyldibenzoylmethan, – 4-tert.-Butyl-4'-methoxydibenzoylmethan, – 2-Methyl-5-isopropyl-4'-methoxydibenzoylmethan, – 2-Methyl-5-tert.-butyl-4'-dibenzoylmethan, – 2,4-Dimethyl-4'-methoxydibenzoylmethan, – 2,6-Dimethyl-4-tert.-butyl-4'-methoxydibenzoylmethan.
  8. Zusammensetzung nach einem der Ansprüche 1 bis 7, wobei es sich bei dem Dibenzoylmethan-Derivat um 4-tert.-Butyl-4'-methoxydibenzoylmethan handelt.
  9. Zusammensetzung nach einem der Ansprüche 1 bis 7, wobei es sich bei dem Dibenzoylmethan-Derivat um 4-Isopropyldibenzoylmethan handelt.
  10. Zusammensetzung nach einem der Ansprüche 1 bis 9, wobei das Benzylidencampher-Derivat ausgewählt ist unter: – 3-Benzylidencampher, – 4-Methylbenzylidencampher; – 3-(4'-Trimethylammoniumbenzyliden)-camphermethylsulfat; – Benzylidencamphersulfonsäure und ihren Salzen; – 3-(3'-Sulfo-4'-methylbenzyliden)-campher; – Polyacrylamidomethylbenzylidencampher.
  11. Zusammensetzung nach einem der Ansprüche 1 bis 9, wobei das Benzylidenderivat ausgewählt ist unter: – den Polydiorganosiloxanen mit Benzylidencampher-Gruppe; – den Diorganosiloxanen mit kurzer, geradkettiger oder cyclischer Kette; – den Triorganosilanen mit Benzylidencamphergruppe.
  12. Zusammensetzung nach einem der Ansprüche 1 bis 9, wobei das Benzylidenderivat der folgenden allgemeinen Formel (III)
    Figure 00290001
    entspricht, in der B ein Wasserstoffatom, ein Alkalimetall, eine Gruppe NH(R)3 +, in der die Reste R, die gleich oder verschieden sein können, Wasserstoff, C1-4-Alkyl- oder C1-4-Hydroxyalkyl darstellen, oder eine Gruppe Mn+/n bedeutet, wobei Mn+ ein mehrwertiges Metallkation ist, worin n die Zahl 2 oder 3 oder 4 ist, wobei Mn+ vorzugsweise ein Metallkation ist, das unter Ca2+, Zn2+, Mg2+, Ba2+, Al3+ und Zr4+ ausgewählt ist, einschließlich seiner Isomere.
  13. Zusammensetzung nach einem der Ansprüche 1 bis 10, wobei es sich bei dem Benzylidencampher-Derivat um 4-Methylbenzylidencampher handelt.
  14. Zusammensetzung nach einem der Ansprüche 1 bis 13, wobei das Triazin-Derivat der folgenden Formel (VI)
    Figure 00290002
    entspricht, in der R1, R1' und R1'', die gleich oder verschieden sein können, unter den einwertigen Resten der folgenden Formeln (1) und (2) ausgewählt sind:
    Figure 00300001
    worin bedeuten: – R2 und R2', die gleich oder verschieden sein können, einen geradkettigen oder verzweigten C1-3-Alkylrest, – R3 ein Wasserstoffatom, einen geradkettigen oder verzweigten C1-4-Alkylrest oder einen C1-4-Alkoxyrest, – R4 einen geradkettigen oder verzweigten C1-12-Alkylrest, – X1 Wasserstoff oder einen Phenylrest, der gegebenenfalls mit einem Halogenatom, C1-4-Alkyl oder C1-4-Alkoxy substituiert ist.
  15. Zusammensetzung nach Anspruch 14, wobei das Triazin-Derivat ausgewählt ist unter: – 2,4,6-Tris(4'-aminobenzalmalonsäurediethylester)-s-triazin, – 2,4,6-Tris(4'-aminobenzalmalonsäurediisopropylester)-s-triazin, – 2,4,6-Tris(4'-aminobenzalmalonsäuredimethylester)-s-triazin, – 2,4,6-Tris(α-cyano-4-aminozimtsäureethylester)-s-triazin,
  16. Zusammensetzung nach einem der Ansprüche 1 bis 15, wobei das Lichtschutzsystem zusätzlich ein oder mehrere weitere UV-Licht absorbierende organische Filter, die verschieden von den Benzylidencampher-Derivaten, Dibenzoylmethan-Derivaten und Triazin-Derivaten sind, ein oder mehrere anorganische Pigmente und/oder Nanopigmente oder Gemische dieser Substanzen enthält.
  17. Zusammensetzung nach Anspruch 16, wobei die weiteren organischen UV-Filter, einzeln oder im Gemisch, unter 2-Phenylbenzimidazol-5-sulfonsäure und ihren Salzen, den Zimtsäure-Derivaten, den Salicylsäure-Derivaten, den Benzophenon-Derivaten, den β,β-Diphenylacrylat-Derivaten, den p-Aminobenzoesäure-Derivaten, Menthylanthranilat, den Polymerfiltern und den Siliconfiltern ausgewählt sind.
  18. Zusammensetzung nach einem der Ansprüche 1 bis 17, wobei das Lichtschutzsystem in der Zusammensetzung in einer Konzentration enthalten ist, die im Bereich von 0,1 bis 30 Gew.-% und vorzugsweise 0,5 bis 15 Gew.-%, bezogen auf das Gesamtgewicht der Zusammensetzung, liegt.
  19. Zusammensetzung nach einem der Ansprüche 1 bis 18, dadurch gekennzeichnet, dass das Lichtschutzsystem zusätzlich als ergänzende Lichtschutzmittel Pigmente oder Nanopigmente von Metalloxiden enthält, die gegebenenfalls umhüllt sind, die imstande sind, die UV-Strahlung physikalisch durch Streuung und/oder Reflexion zu blocken.
  20. Zusammensetzung nach Anspruch 19, dadurch gekennzeichnet, dass die Pigmente oder Nanopigmente unter den Oxiden von Titan, Zink, Eisen, Zirconium, Cer und den Gemischen dieser Oxide, die gegebenenfalls umhüllt sind, ausgewählt sind.
  21. Zusammensetzung nach einem der Ansprüche 1 bis 20, dadurch gekennzeichnet, dass sie außerdem mindestens ein Mittel zur Bräunung und/oder ein Mittel zur künstlichen Bräunung enthält.
  22. Zusammensetzung nach einem der Ansprüche 1 bis 21, dadurch gekennzeichnet, dass sie in Form einer Dispersion mit kontinuierlicher wäßriger Phase vorliegt.
  23. Zusammensetzung nach Anspruch 22, dadurch gekennzeichnet, dass sie in Form einer Gelcreme vorliegt.
  24. Verwendung eines wie in einem der Ansprüche 1 bis 3 definierten Dialkyltartrats für die Herstellung einer Zusammensetzung, die für den Schutz der Haut und/oder der Haare vor Ultraviolett-Strahlung vorgesehen ist, die aus mindestens einem UV-Filter vom Typ der Filter, die von Benzylidencampher abgeleitet sind, und/oder mindestens einem UV-Filter vom Dibenzoylmethan-Typ und/oder mindestens einem UV-Filter vom Triazin-Typ besteht, zur Erhöhung des Lichtschutzfaktors.
DE69832020T 1997-09-09 1998-08-26 Lichtschutzzusammensetzungen, die ein Benzylidencampher- und/oder ein Dibenzolmethan- und/oder ein Triazin-Derivat und ein Dialkyltartrat enthalten, und ihre Verwendung in der Kosmetik Expired - Lifetime DE69832020T2 (de)

Applications Claiming Priority (2)

Application Number Priority Date Filing Date Title
FR9711173A FR2768053B1 (fr) 1997-09-09 1997-09-09 Compositions photoprotectrices comprenant un benzylidene camphre et/ou un dibenzoylmethane et/ou une triazine et un tartrate de dialkyle; utilisations en cosmetique
FR9711173 1997-09-09

Publications (2)

Publication Number Publication Date
DE69832020D1 DE69832020D1 (de) 2005-12-01
DE69832020T2 true DE69832020T2 (de) 2006-07-20

Family

ID=9510881

Family Applications (1)

Application Number Title Priority Date Filing Date
DE69832020T Expired - Lifetime DE69832020T2 (de) 1997-09-09 1998-08-26 Lichtschutzzusammensetzungen, die ein Benzylidencampher- und/oder ein Dibenzolmethan- und/oder ein Triazin-Derivat und ein Dialkyltartrat enthalten, und ihre Verwendung in der Kosmetik

Country Status (17)

Country Link
US (1) US5985925A (de)
EP (1) EP0904776B1 (de)
JP (1) JP3643924B2 (de)
KR (1) KR100295303B1 (de)
CN (1) CN1138517C (de)
AR (1) AR012271A1 (de)
AT (1) ATE307564T1 (de)
AU (1) AU701135B1 (de)
BR (1) BR9803555A (de)
CA (1) CA2243860C (de)
DE (1) DE69832020T2 (de)
ES (1) ES2255140T3 (de)
FR (1) FR2768053B1 (de)
HU (1) HUP9802033A3 (de)
MX (1) MX217494B (de)
PL (1) PL196984B1 (de)
RU (1) RU2144350C1 (de)

Families Citing this family (22)

* Cited by examiner, † Cited by third party
Publication number Priority date Publication date Assignee Title
DE19750030A1 (de) * 1997-11-12 1999-05-20 Merck Patent Gmbh Lichtstabile kosmetische Formulierung enthaltend Butylmethoxydibenzoylmethan
US6129908A (en) * 1998-11-02 2000-10-10 Basf Aktiengesellschaft Cosmetic or pharmaceutical preparations comprising 1,3,5-triazine derivatives and zinc oxide
FR2795318B1 (fr) * 1999-06-25 2001-09-07 Jean Noel Thorel Procede de photostabilisation du 4-(ter.butyl) 4'-methoxy dibenzoylmethane et compositions filtrantes anti-solaires
FR2799966B1 (fr) * 1999-10-22 2002-07-26 Oreal Procede de photostabilisation de filtres solaires derives du dibenzoylmethane par un filtre organique insoluble
FR2804600B1 (fr) * 2000-02-08 2002-03-22 Oreal Compositions photoprotectrices comprenant un melange d'un polyethylene a fonction acide carboxylique terminale et d'un polyethylene
US6423376B1 (en) * 2000-04-06 2002-07-23 Air Products And Chemicals, Inc. Tartaric acid diesters as biodegradable surfactants
US6444195B1 (en) 2001-06-18 2002-09-03 Johnson & Johnson Consumer Companies, Inc. Sunscreen compositions containing a dibenzoylmethane derivative
GB0119639D0 (en) * 2001-08-11 2001-10-03 Boots Co Plc Personal care compositions
FR2833169B1 (fr) * 2001-12-07 2004-07-16 Oreal Composition filtrante contenant un derive de 1,3,5-triazine, un derive du dibenzoylmethane, et un derive de 2-hydroxybenzophenone aminosubstitue
US7008935B2 (en) * 2003-03-03 2006-03-07 L'oreal Amine, amide, sulphonamide and carbamate derivatives of benzalmalonic salts and photoprotective cosmetic compositions comprised thereof
US20050008588A1 (en) * 2003-06-05 2005-01-13 L'oreal Aminoarylvinyl-s-triazine compounds and uses thereof
FR2840989A1 (fr) * 2003-06-11 2003-12-19 Oreal Procede de determination in vitro de l'efficacite de protection d'un produits vis-a-vis du rayonnement solaire
DE102004039726A1 (de) * 2004-08-16 2006-03-02 Beiersdorf Ag Fließfähige kosmetische Zubereitung mit Lichtschutzfiltern
US20100221200A1 (en) * 2007-07-17 2010-09-02 The Ohio State University Research Foundation Compositions and methods for skin care
DE102008016709A1 (de) * 2008-03-31 2009-10-01 Sebapharma Gmbh & Co. Sonnenschutzmittel
FR2933614B1 (fr) * 2008-07-10 2010-09-10 Oreal Kit de protection solaire.
KR20120002571A (ko) * 2009-03-30 2012-01-06 가부시키가이샤 시세이도 피부외용제의 도포방법, 그 방법에 의한 도포평가방법, 도포평가장치 및 도포평가프로그램을 기록한 컴퓨터로 읽을 수 있는 기록매체
WO2013010590A1 (en) * 2011-07-21 2013-01-24 L'oreal Cosmetic and/or dermatological composition containing a merocyanine derivative comprising specific polar groups consisting of hydroxyl- and ether-functionalities
FR2986154B1 (fr) * 2012-01-31 2017-08-04 Pierre Fabre Dermo Cosmetique Nouveau systeme photoprotecteur
DE202013103395U1 (de) * 2013-07-26 2013-08-13 Sasol Germany Gmbh Transparente Sonnenschutzmittelzusammensetzungen und deren Verwendung
JP6918694B2 (ja) 2014-12-09 2021-08-11 ビーエイエスエフ・ソシエタス・エウロパエアBasf Se 化粧品配合物におけるuvフィルターのための可溶化剤
CA3167834A1 (en) * 2020-02-11 2021-08-19 HallStar Beauty and Personal Care Innovations Company Formulations comprising c12-15 alkyl benzoate compounds

Family Cites Families (12)

* Cited by examiner, † Cited by third party
Publication number Priority date Publication date Assignee Title
FR2506156A1 (fr) * 1981-05-20 1982-11-26 Oreal Compositions cosmetiques contenant des derives hydroxyles du dibenzoylmethane et leur utilisation pour la protection de l'epiderme humain contre les rayons ultraviolets
DE3302123A1 (de) * 1983-01-22 1984-07-26 Haarmann & Reimer Gmbh Neue dibenzol-methan-derivate, verfahren zu ihrer herstellung und ihre verwendung
US5686489A (en) * 1986-12-23 1997-11-11 Tristrata Technology, Inc. Alpha hydroxyacid esters for skin aging
US5091171B2 (en) * 1986-12-23 1997-07-15 Tristrata Inc Amphoteric compositions and polymeric forms of alpha hydroxyacids and their therapeutic use
FR2677543B1 (fr) * 1991-06-13 1993-09-24 Oreal Composition cosmetique filtrante a base d'acide benzene 1,4-di(3-methylidene-10-camphosulfonique) et de nanopigments d'oxydes metalliques.
DE4242876C2 (de) * 1992-12-18 1997-11-27 Beiersdorf Ag Kosmetische und/oder dermatologische Zubereitungen zur kosmetischen und/oder dermatologischen Pflege der Haut und/oder der Hautanhangsgebilde
IT1270953B (it) * 1993-07-21 1997-05-26 Enichem Augusta Ind Geli trasparenti a base oleosa
GB9316916D0 (en) * 1993-08-13 1993-09-29 Unilever Plc Cleansing composition
FR2714602B1 (fr) * 1993-12-30 1996-02-09 Oreal Composition antiacnéique pour le traitement simultané des couches superficielles et profondes de la peau, son utilisation.
US5609854A (en) * 1995-06-06 1997-03-11 Elizabeth Arden Company, Division Of Conopco, Inc. Thickened and stabilized cosmetic emulsion compositions
US5750733A (en) * 1996-08-06 1998-05-12 Lever Brothers Company, Division Of Conopco, Inc. Hydroxy containing alkyl glycamides, low foaming detergent compositions comprising such and a process for their manufacture
IT1286504B1 (it) * 1996-11-26 1998-07-15 3V Sigma Spa Composizioni cosmetiche antisolari comprendenti derivati del dibenzoilmetano del benzofenone e della triazina

Also Published As

Publication number Publication date
BR9803555A (pt) 2000-02-08
EP0904776A1 (de) 1999-03-31
DE69832020D1 (de) 2005-12-01
HU9802033D0 (en) 1998-10-28
EP0904776B1 (de) 2005-10-26
JP3643924B2 (ja) 2005-04-27
CN1138517C (zh) 2004-02-18
HUP9802033A3 (en) 2002-07-29
KR100295303B1 (ko) 2001-07-12
AU701135B1 (en) 1999-01-21
PL328423A1 (en) 1999-03-15
PL196984B1 (pl) 2008-02-29
HUP9802033A2 (hu) 1999-06-28
KR19990029662A (ko) 1999-04-26
CN1222343A (zh) 1999-07-14
ES2255140T3 (es) 2006-06-16
CA2243860A1 (fr) 1999-03-09
CA2243860C (fr) 2004-11-23
US5985925A (en) 1999-11-16
MX217494B (es) 2003-11-11
JPH11152219A (ja) 1999-06-08
RU2144350C1 (ru) 2000-01-20
FR2768053A1 (fr) 1999-03-12
AR012271A1 (es) 2000-09-27
ATE307564T1 (de) 2005-11-15
MX9807286A (es) 2000-04-30
FR2768053B1 (fr) 1999-10-15

Similar Documents

Publication Publication Date Title
DE69832020T2 (de) Lichtschutzzusammensetzungen, die ein Benzylidencampher- und/oder ein Dibenzolmethan- und/oder ein Triazin-Derivat und ein Dialkyltartrat enthalten, und ihre Verwendung in der Kosmetik
DE69500084T2 (de) Kosmetische Sonnenschutzmittel enthaltend 2,4,6-Tris(p-(2'-Ethyl-Hexyl-1'-Oxycarbonyl)Anilino)-1,3,5 Triazine und Dioctyl Malate und Verwendungen
DE69912727T2 (de) Ein anionisches tensid, uv-strahlung filtrierende verbindungen und eine kationische verbindung enthaltende kosmetische sonnenschutzzusammensetzung
DE69620364T2 (de) Lichtschutzmittel
DE69510500T2 (de) Kosmetische Sonnenschutzmittel und Verwendungen
EP0683662B1 (de) Wasserfeste kosmetische oder dermatologische lichtschutzzubereitungen
DE69101734T2 (de) Kosmetisches Mittel.
DE69500040T2 (de) Kosmetische Sonnenschutzmittel und Verwendungen
DE60022284T2 (de) Mindestens ein unlösliches organisches UV-Filter enthaltende Emulsionen ohne Emulgatoren
DE69500026T2 (de) Anti-UV kosmetische Mittel und Verwendungen
DE69510499T2 (de) Kosmetische Sonnenschutzmittel enthaltend eine synergistische Mischung aus Filtern und Nanopigmenten und Verwendungen
DE60224427T2 (de) Mit einem Polyamid strukturierte Zusammensetzung enthaltend einen N-acylierten Aminosäureester und einen UV-Filter
DE60111445T2 (de) Lichtschutzzusammensetzungen, die ein Gemisch aus einem Polyethlen mit endständiger Carboxygruppe und einem Polyethylen enthalten
DE69511621T2 (de) Kosmetische Sonnenschutzmittel enthaltend spezifische Öle und Verwendungen
EP1280505B1 (de) Photostabilisierung von dibenzoylmethan-derivaten
DE60202906T2 (de) Solubilisierung von 1,3,5-Triazinderivaten mittels Estern von N-Acylaminosäuren
DE69700045T3 (de) Zusammensetzungen enthaltend einen 4-ter-Butyl-4'-Methoxydibenzoylmethan, einen 1,3,5-Triazinderivat und einen (Alpha-cyano)-beta, beta'-Diphenylacrylsäure-Alkylester sowie ihre Verwendung
DE69700588T2 (de) Zusammensetzungen enthaltend ein Dibenzoylmethanderivat, ein 1,3,5-Triazinderivat und ein Benzalmalonat Siloxanderivat sowie ihre Verwendung
DE69627464T2 (de) Photostabile, emulgatorfreie, kosmetische Mittel
DE69700402T2 (de) Mittel enthaltend ein Dibenzoylmethanederivaten, einen Triazinderivaten und einen Dialkyl-benzalmalonaten
DE69510498T2 (de) Kosmetische Sonnenschutzmittel enthaltend eine synergistische Mischung aus Filtern und Verwendungen
DE10141473A1 (de) Kosmetische und dermatologische Lichtschutzformulierungen mit einem Gehalt an partikulären UV-Filtersubstanzen und Alkylnaphthalaten
DE69800691T2 (de) Kosmetische Zusammensetzungen zum Lichtschutz der Haut und/oder der Haare auf der Basis eines synergistischen Gemisches von Filtern und Verwendungen
DE60104961T2 (de) Kosmetische Zusammensetzung, die Retinol und ein Benzotriazolsilicon enthält l
DE69510501T2 (de) Kosmetische Sonnenschutzmittel enthaltend eine synergistische Mischung von Filtern und Verwendungen