DE60128936T2 - Aza- und polyaza-naphthalenylcarbonsäureamide als hiv-integrase-hemmer - Google Patents
Aza- und polyaza-naphthalenylcarbonsäureamide als hiv-integrase-hemmer Download PDFInfo
- Publication number
- DE60128936T2 DE60128936T2 DE60128936T DE60128936T DE60128936T2 DE 60128936 T2 DE60128936 T2 DE 60128936T2 DE 60128936 T DE60128936 T DE 60128936T DE 60128936 T DE60128936 T DE 60128936T DE 60128936 T2 DE60128936 T2 DE 60128936T2
- Authority
- DE
- Germany
- Prior art keywords
- alkyl
- substituted
- halogen
- fluoroalkyl
- phenyl
- Prior art date
- Legal status (The legal status is an assumption and is not a legal conclusion. Google has not performed a legal analysis and makes no representation as to the accuracy of the status listed.)
- Expired - Lifetime
Links
- DKDBYFWQABBOTE-BQYBEJQRSA-N C/C=C1/NCC=CN/C1=C/C Chemical compound C/C=C1/NCC=CN/C1=C/C DKDBYFWQABBOTE-BQYBEJQRSA-N 0.000 description 1
- WFDUOXJKEHADRT-UHFFFAOYSA-N C1CNc(cccc2)c2NC1 Chemical compound C1CNc(cccc2)c2NC1 WFDUOXJKEHADRT-UHFFFAOYSA-N 0.000 description 1
- MZBVNYACSSGXID-UHFFFAOYSA-N C1Cc(cccc2)c2NCC1 Chemical compound C1Cc(cccc2)c2NCC1 MZBVNYACSSGXID-UHFFFAOYSA-N 0.000 description 1
- GGXLVXHATLABGX-UHFFFAOYSA-N C1Cc2ccccc2N=CC1 Chemical compound C1Cc2ccccc2N=CC1 GGXLVXHATLABGX-UHFFFAOYSA-N 0.000 description 1
- WJPQEGAMOUAEOF-UHFFFAOYSA-N C1N=CC=Nc2c1cccc2 Chemical compound C1N=CC=Nc2c1cccc2 WJPQEGAMOUAEOF-UHFFFAOYSA-N 0.000 description 1
- GWVMLCQWXVFZCN-UHFFFAOYSA-N C1NCc2ccccc12 Chemical compound C1NCc2ccccc12 GWVMLCQWXVFZCN-UHFFFAOYSA-N 0.000 description 1
- MXMZCLLIUQEKSN-UHFFFAOYSA-N C1Nc2ccccc2N1 Chemical compound C1Nc2ccccc2N1 MXMZCLLIUQEKSN-UHFFFAOYSA-N 0.000 description 1
- YRLORWPBJZEGBX-UHFFFAOYSA-N C1Nc2ccccc2OC1 Chemical compound C1Nc2ccccc2OC1 YRLORWPBJZEGBX-UHFFFAOYSA-N 0.000 description 1
- LPAGFVYQRIESJQ-UHFFFAOYSA-N C1c2ccccc2NC1 Chemical compound C1c2ccccc2NC1 LPAGFVYQRIESJQ-UHFFFAOYSA-N 0.000 description 1
- AGKMOVOIQDXZOJ-UHFFFAOYSA-N Oc1c2ncccc2cnc1C(NCc1ncccc1)=O Chemical compound Oc1c2ncccc2cnc1C(NCc1ncccc1)=O AGKMOVOIQDXZOJ-UHFFFAOYSA-N 0.000 description 1
- SMWDFEZZVXVKRB-UHFFFAOYSA-N c1cc2cccnc2cc1 Chemical compound c1cc2cccnc2cc1 SMWDFEZZVXVKRB-UHFFFAOYSA-N 0.000 description 1
- AWJUIBRHMBBTKR-UHFFFAOYSA-N c1ccc(cncc2)c2c1 Chemical compound c1ccc(cncc2)c2c1 AWJUIBRHMBBTKR-UHFFFAOYSA-N 0.000 description 1
- BAXOFTOLAUCFNW-UHFFFAOYSA-N c1n[nH]c2ccccc12 Chemical compound c1n[nH]c2ccccc12 BAXOFTOLAUCFNW-UHFFFAOYSA-N 0.000 description 1
- BCMCBBGGLRIHSE-UHFFFAOYSA-N c1nc2ccccc2[o]1 Chemical compound c1nc2ccccc2[o]1 BCMCBBGGLRIHSE-UHFFFAOYSA-N 0.000 description 1
Classifications
-
- C—CHEMISTRY; METALLURGY
- C07—ORGANIC CHEMISTRY
- C07D—HETEROCYCLIC COMPOUNDS
- C07D471/00—Heterocyclic compounds containing nitrogen atoms as the only ring hetero atoms in the condensed system, at least one ring being a six-membered ring with one nitrogen atom, not provided for by groups C07D451/00 - C07D463/00
- C07D471/02—Heterocyclic compounds containing nitrogen atoms as the only ring hetero atoms in the condensed system, at least one ring being a six-membered ring with one nitrogen atom, not provided for by groups C07D451/00 - C07D463/00 in which the condensed system contains two hetero rings
- C07D471/04—Ortho-condensed systems
-
- A—HUMAN NECESSITIES
- A61—MEDICAL OR VETERINARY SCIENCE; HYGIENE
- A61K—PREPARATIONS FOR MEDICAL, DENTAL OR TOILETRY PURPOSES
- A61K31/00—Medicinal preparations containing organic active ingredients
- A61K31/33—Heterocyclic compounds
- A61K31/395—Heterocyclic compounds having nitrogen as a ring hetero atom, e.g. guanethidine or rifamycins
- A61K31/435—Heterocyclic compounds having nitrogen as a ring hetero atom, e.g. guanethidine or rifamycins having six-membered rings with one nitrogen as the only ring hetero atom
- A61K31/44—Non condensed pyridines; Hydrogenated derivatives thereof
-
- A—HUMAN NECESSITIES
- A61—MEDICAL OR VETERINARY SCIENCE; HYGIENE
- A61K—PREPARATIONS FOR MEDICAL, DENTAL OR TOILETRY PURPOSES
- A61K31/00—Medicinal preparations containing organic active ingredients
- A61K31/33—Heterocyclic compounds
- A61K31/395—Heterocyclic compounds having nitrogen as a ring hetero atom, e.g. guanethidine or rifamycins
- A61K31/435—Heterocyclic compounds having nitrogen as a ring hetero atom, e.g. guanethidine or rifamycins having six-membered rings with one nitrogen as the only ring hetero atom
- A61K31/47—Quinolines; Isoquinolines
-
- A—HUMAN NECESSITIES
- A61—MEDICAL OR VETERINARY SCIENCE; HYGIENE
- A61K—PREPARATIONS FOR MEDICAL, DENTAL OR TOILETRY PURPOSES
- A61K31/00—Medicinal preparations containing organic active ingredients
- A61K31/33—Heterocyclic compounds
- A61K31/395—Heterocyclic compounds having nitrogen as a ring hetero atom, e.g. guanethidine or rifamycins
- A61K31/495—Heterocyclic compounds having nitrogen as a ring hetero atom, e.g. guanethidine or rifamycins having six-membered rings with two or more nitrogen atoms as the only ring heteroatoms, e.g. piperazine or tetrazines
-
- A—HUMAN NECESSITIES
- A61—MEDICAL OR VETERINARY SCIENCE; HYGIENE
- A61K—PREPARATIONS FOR MEDICAL, DENTAL OR TOILETRY PURPOSES
- A61K31/00—Medicinal preparations containing organic active ingredients
- A61K31/33—Heterocyclic compounds
- A61K31/395—Heterocyclic compounds having nitrogen as a ring hetero atom, e.g. guanethidine or rifamycins
- A61K31/495—Heterocyclic compounds having nitrogen as a ring hetero atom, e.g. guanethidine or rifamycins having six-membered rings with two or more nitrogen atoms as the only ring heteroatoms, e.g. piperazine or tetrazines
- A61K31/50—Pyridazines; Hydrogenated pyridazines
-
- A—HUMAN NECESSITIES
- A61—MEDICAL OR VETERINARY SCIENCE; HYGIENE
- A61K—PREPARATIONS FOR MEDICAL, DENTAL OR TOILETRY PURPOSES
- A61K31/00—Medicinal preparations containing organic active ingredients
- A61K31/33—Heterocyclic compounds
- A61K31/395—Heterocyclic compounds having nitrogen as a ring hetero atom, e.g. guanethidine or rifamycins
- A61K31/54—Heterocyclic compounds having nitrogen as a ring hetero atom, e.g. guanethidine or rifamycins having six-membered rings with at least one nitrogen and one sulfur as the ring hetero atoms, e.g. sulthiame
-
- A—HUMAN NECESSITIES
- A61—MEDICAL OR VETERINARY SCIENCE; HYGIENE
- A61K—PREPARATIONS FOR MEDICAL, DENTAL OR TOILETRY PURPOSES
- A61K45/00—Medicinal preparations containing active ingredients not provided for in groups A61K31/00 - A61K41/00
- A61K45/06—Mixtures of active ingredients without chemical characterisation, e.g. antiphlogistics and cardiaca
-
- A—HUMAN NECESSITIES
- A61—MEDICAL OR VETERINARY SCIENCE; HYGIENE
- A61P—SPECIFIC THERAPEUTIC ACTIVITY OF CHEMICAL COMPOUNDS OR MEDICINAL PREPARATIONS
- A61P31/00—Antiinfectives, i.e. antibiotics, antiseptics, chemotherapeutics
-
- A—HUMAN NECESSITIES
- A61—MEDICAL OR VETERINARY SCIENCE; HYGIENE
- A61P—SPECIFIC THERAPEUTIC ACTIVITY OF CHEMICAL COMPOUNDS OR MEDICINAL PREPARATIONS
- A61P31/00—Antiinfectives, i.e. antibiotics, antiseptics, chemotherapeutics
- A61P31/12—Antivirals
- A61P31/14—Antivirals for RNA viruses
- A61P31/18—Antivirals for RNA viruses for HIV
-
- A—HUMAN NECESSITIES
- A61—MEDICAL OR VETERINARY SCIENCE; HYGIENE
- A61P—SPECIFIC THERAPEUTIC ACTIVITY OF CHEMICAL COMPOUNDS OR MEDICINAL PREPARATIONS
- A61P37/00—Drugs for immunological or allergic disorders
- A61P37/02—Immunomodulators
-
- A—HUMAN NECESSITIES
- A61—MEDICAL OR VETERINARY SCIENCE; HYGIENE
- A61P—SPECIFIC THERAPEUTIC ACTIVITY OF CHEMICAL COMPOUNDS OR MEDICINAL PREPARATIONS
- A61P43/00—Drugs for specific purposes, not provided for in groups A61P1/00-A61P41/00
-
- C—CHEMISTRY; METALLURGY
- C07—ORGANIC CHEMISTRY
- C07D—HETEROCYCLIC COMPOUNDS
- C07D401/00—Heterocyclic compounds containing two or more hetero rings, having nitrogen atoms as the only ring hetero atoms, at least one ring being a six-membered ring with only one nitrogen atom
- C07D401/02—Heterocyclic compounds containing two or more hetero rings, having nitrogen atoms as the only ring hetero atoms, at least one ring being a six-membered ring with only one nitrogen atom containing two hetero rings
- C07D401/12—Heterocyclic compounds containing two or more hetero rings, having nitrogen atoms as the only ring hetero atoms, at least one ring being a six-membered ring with only one nitrogen atom containing two hetero rings linked by a chain containing hetero atoms as chain links
Landscapes
- Health & Medical Sciences (AREA)
- Chemical & Material Sciences (AREA)
- Life Sciences & Earth Sciences (AREA)
- Animal Behavior & Ethology (AREA)
- Public Health (AREA)
- General Health & Medical Sciences (AREA)
- Pharmacology & Pharmacy (AREA)
- Veterinary Medicine (AREA)
- Medicinal Chemistry (AREA)
- Organic Chemistry (AREA)
- Epidemiology (AREA)
- Chemical Kinetics & Catalysis (AREA)
- General Chemical & Material Sciences (AREA)
- Nuclear Medicine, Radiotherapy & Molecular Imaging (AREA)
- Oncology (AREA)
- Communicable Diseases (AREA)
- Virology (AREA)
- Immunology (AREA)
- Engineering & Computer Science (AREA)
- Bioinformatics & Cheminformatics (AREA)
- Molecular Biology (AREA)
- Tropical Medicine & Parasitology (AREA)
- AIDS & HIV (AREA)
- Pharmaceuticals Containing Other Organic And Inorganic Compounds (AREA)
- Nitrogen Condensed Heterocyclic Rings (AREA)
- Nitrogen And Oxygen Or Sulfur-Condensed Heterocyclic Ring Systems (AREA)
- Medicines That Contain Protein Lipid Enzymes And Other Medicines (AREA)
- Plural Heterocyclic Compounds (AREA)
- Compression Or Coding Systems Of Tv Signals (AREA)
- Pyrrole Compounds (AREA)
- Decoration By Transfer Pictures (AREA)
Description
- GEBIET DER ERFINDUNG
- Die vorliegende Erfindung betrifft Aza- und Polyazanaphthalinylcarboxamide und pharmazeutisch annehmbare Salze davon, deren Synthese und deren Verwendung als Inhibitoren des HIV-Integrase-Enzyms. Die Verbindungen der vorliegenden Erfindung umfassen 7-(N-Substituiert.-Carboxamido)-8-hydroxy-1,6-naphthyridine und Chinoxaline. Die Verbindungen und deren pharmazeutisch annehmbare Salze der vorliegenden Erfindung eignen sich zur Prävention oder Behandlung einer HIV-Infektion und zur Behandlung von AIDS.
- Innerhalb dieser Anmeldung wird auf verschiedene veröffentlichte Dokumente Bezug genommen, um den Stand der Technik, auf den sich diese Erfindung bezieht, vollständiger zu beschreiben. Die Offenbarungen dieser Druckschriften sind hiermit durch Bezugnahme in ihrer Gesamtheit aufgenommen.
- HINTERGRUND DER ERFINDUNG
- Ein als humanes Immunschwächevirus (HIV) bezeichnetes Retrovirus ist der Krankheitserreger der komplexen Erkrankung, welche die progressive Zerstörung des Immunsystems (erworbenes Immundefektsyndrom; AIDS) und die Degenerierung des zentralen und peripheren Nervensystems umfasst. Dieses Virus war früher als LAV, HTLV-III oder ARV bekannt. Ein übliches Kennzeichen der Retrovirusreplikation ist der Einbau von proviraler DNA in das Genom der Wirtzelle mit Hilfe von viral kodierter Integrase, ein bei der HIV-Replikation in menschlichen T-Lymphzellen und monozytoiden Zellen notwendiger Schritt. Man nimmt an, dass die Integration durch Integrase in drei Stufen vermittelt wird: Zusammensetzung eines stabilen Nukleoproteinkomplexes mit viralen DNA-Sequenzen; Abspaltung von zwei Nucleotiden von den 3'-Enden der linearen proviralen DNA; kovalente Verbindung der freien 3'-OH-Enden der proviralen DNA an einem an der Zielstelle des Wirts erzeugten versetzten Schnitt. Der vierte Schritt des Verfahrens, die Reparatursynthese des resultierenden Spalts, kann von den Zellenzymen durchgeführt werden.
- Die Nucleotid-Sequenzierung von HIV zeigt die Anwesenheit eines Polymerasegens in einem offenen Leserahmen [Ratner, L. et al., Nature, 313, 277 (1985)]. Die Aminosäuresequenzhomologie liefert den Beweis, dass die Polymerasesequenz reverse Transkriptase, Integrase und eine HIV-Protease kodiert [Toh H. et al., EMBO J. 4, 1267 (1985); Power, M. D. et al., Science, 231, 1567 (1986); Pearl, L. H. et al., Nature 329, 351 (1987)]. Es wurde gezeigt, dass alle drei Enzyme für die HIV-Replikation essentiell sind.
- Es ist bekannt, dass einige Antivirusverbindungen, die als Inhibitoren der HIV-Replikation dienen, wirksame Mittel bei der Behandlung von AIDS und ähnlichen Erkrankungen sind, einschließlich Reverse-Transkriptase-Inhibitoren, wie z.B. Azidothymidin (AZT) und Efavirenz, und Proteaseinhibitoren, wie z.B. Indinavir und Nelfinavir. Die Verbindungen dieser Erfindung sind Inhibitoren von HIV-Integrase und Inhibitoren der HIV-Replikation. Die Inhibierung von Integrase in vitro und der HIV-Replikation in Zellen ist eine direkte Folge der Inhibierung der Strangtransferreaktion, katalysiert durch die rekombinante Integrase in vitro in HIV-infizierten Zellen. Der besondere Vorteil der vorliegenden Erfindung ist die hochspezifische Inhibierung von HIV-Integrase und der HIV-Replikation.
- Die folgenden Druckschriften sind als Hintergrund von Interesse: Chemical Abstracts Nr. 33-2525 offenbart die Herstellung von 5-Chlor-8-hydroxy-1,6-naphthyridin-7-carbonsäureamid aus dem entsprechenden Methylester.
- Derwent Abstract Nr. 97-048296 ist eine Zusammenfassung der veröffentlichten
. Die Zusammenfassung offenbart bestimmte heterocyclische Carboxamidderivate. Die Derivate sind angeblich als Tachykininrezeptor-Inhibitoren geeignet. Speziell wird N-(3,5-Bis(trifluormethyl)benzyl-1,2-dihydro-N,2-dimethyl-1-oxo-4-pyrrolidino-3-isochinolincarboxamid offenbart.Japanischen Anmeldung Nr. 08301849 - Die
offenbart bestimmte Chinolinderivate, die den vaskulären endothelialen Wachstumsfaktor inhibieren. Die Druckschrift offenbart auch bestimmte 1,8-Naphthyridinderivate; z.B. beschreiben die Beispiele 53 bzw. 54 Herstellungen von 2-Acetamido-5-(2-fluor-5-hydroxy-4-methylanilino)-1,8-naphthyridin und 2-Amino-5-(2-fluor-5-hydroxy-4-methylanilino)-1,8-naphthyridin.WO 98/13350 - Die
offenbart 4-Hydroxychinolin-2-carboxamidderivate, die zur Verwendung bei der Behandlung von Herpesvirusinfektionen vorgeschlagen werden.WO 99/32450 - Die
offenbart 8-Hydroxychinolin-7-carboxamide, die zur Verwendung bei der Behandlung von Herpesvirusinfektionen vorgeschlagen werden.WO 98/11073 - ZUSAMMENFASSUNG DER ERFINDUNG
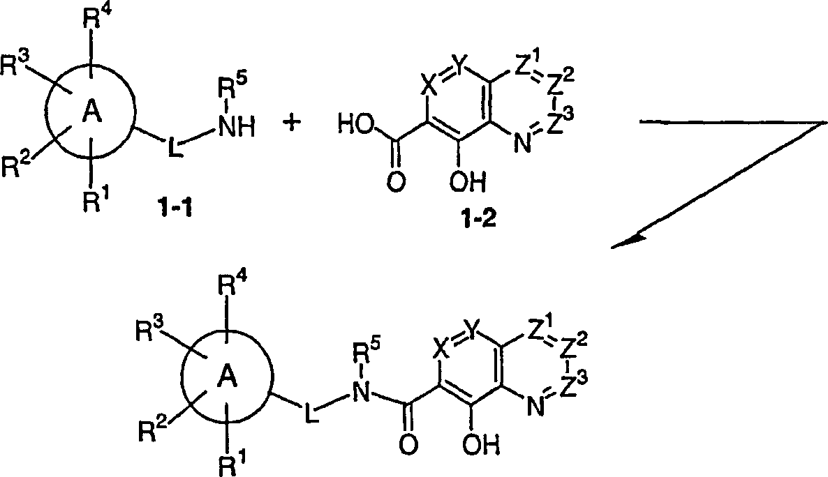
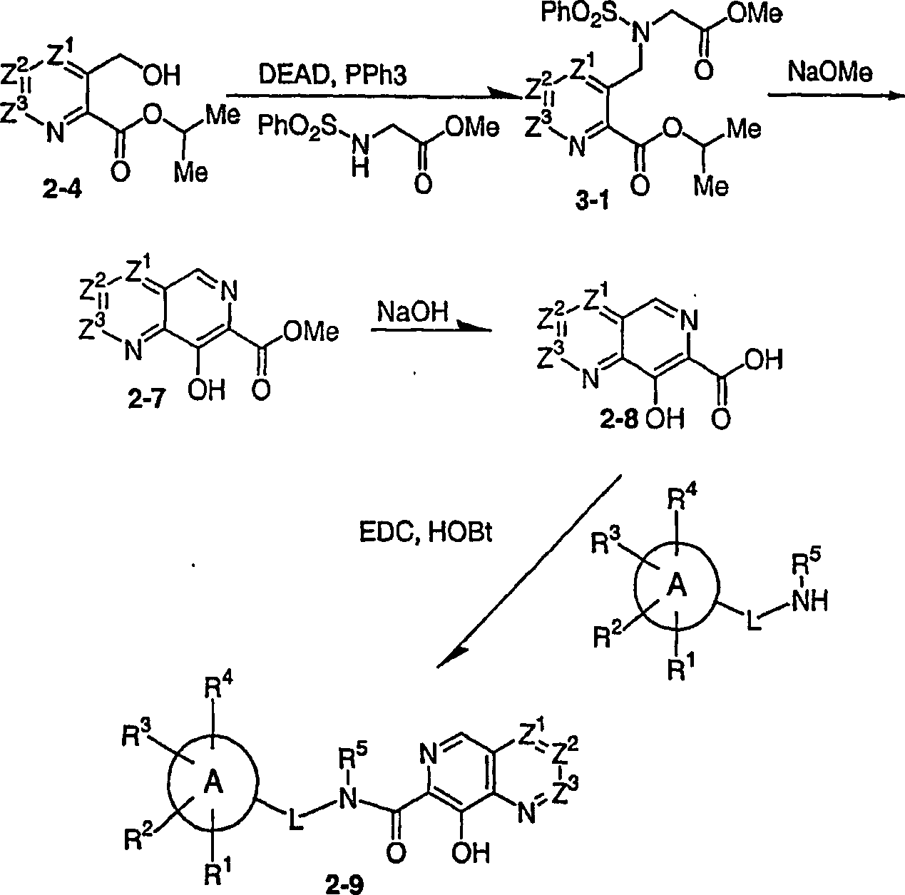
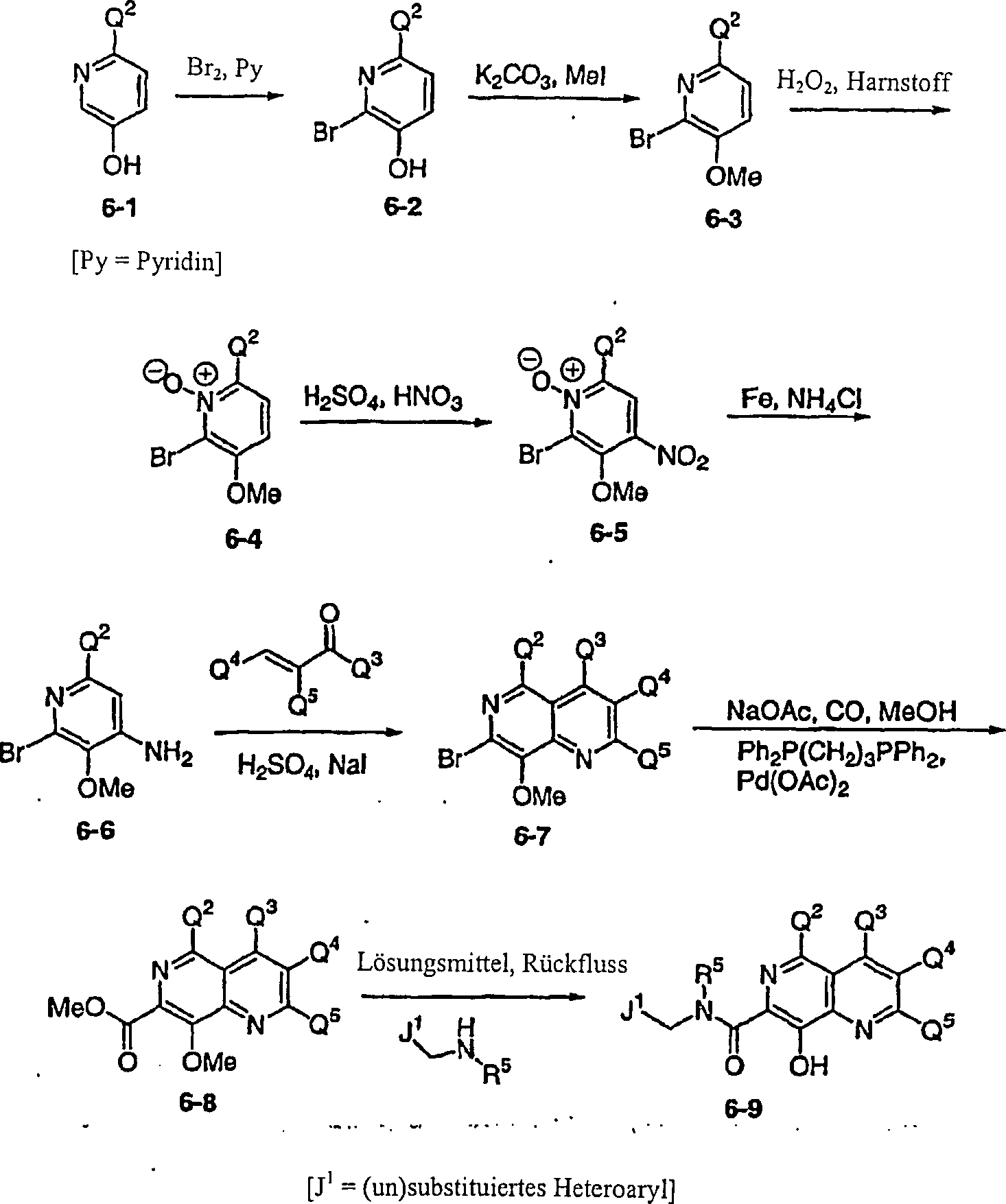
- Die vorliegende Erfindung betrifft neue Aza- und Polyazanaphthalinylcarboxamide. Diese Verbindungen eignen sich zur Inhibierung von HIV-Integrase, zur Prävention einer HIV-Infektion, zur Behandlung einer HIV-Infektion und zur Prävention, Behandlung und Verzögerung des Ausbruchs von AIDS und/oder ARC sowohl als Verbindungen als auch als pharmazeutisch annehmbare Salze oder Hydrate davon (falls zutreffend) oder als Bestandteile pharmazeutischer Zusammensetzungen, gleichgültig ob in Kombination mit anderen antiviralen HIV/AIDS-Mitteln, Antiinfektiva, Immunmodulatoren, Antibiotika oder Impfstoffen oder nicht. Insbesondere stellt die vorliegende Erfindung die Verwendung einer Verbindung der Formel (I-A): wobei A ein Heterocyclus ist,
A durch R1, R2, R3 und R4 substituiert ist,
L ein Linker ist, der ein Ringatom von A mit dem Stickstoff des -N(R5)-Restes verknüpft,
wobei L ist - (i) eine Einfachbindung,
- (ii) -(C1-6-Alkyl)-,
- (iii) -(C2-6-Alkenyl)-,
- (iv) -(C0-6-Alkyl)-(C3-6-cycloalkyl)-(C0-6-alkyl)- oder
- (v) -(C0-6-Alkyl)-M-(C0-6-alkyl)-, wobei M -N(Ra)-, -OC(=O)- oder -C(=O)O- ist, wobei das Alkenyl in (iii) und die Alkyle in (ii), (iv) und (v) unabhängig und gegebenenfalls substituiert sind mit 1, 2 oder 3 Substituenten, unabhängig ausgewählt aus der Gruppe, bestehend aus Halogen, -OH, -C1-6-Alkyl, -O-C1-6-Alkyl, -CO2Ra, -CO2(CH2)1-2Rk, -C1-6-Alkyl-ORa, -Rk, -(CH2)1-2Rk, -CH(ORa)-Rk und -CH(N(Ra)2)-Rk,
- (1) -H,
- (2) -C1-6-Alkyl,
- (3) -C1-6-Halogenalkyl,
- (4) -O-C1-6-Alkyl,
- (5) -O-C1-6-Halogenalkyl,
- (6) Halogen,
- (7) -CN,
- (8) -C1-6-Alkyl-ORa,
- (9) -C0-6-Alkyl-C(=O)Ra,
- (10) -C0-6-Alkyl-CO2Ra,
- (11) -C0-6-Alkyl-SRa,
- (12) -N(Ra)2,
- (13) -C1-6-Alkyl-N(Ra)2,
- (14) -C0-6-Alkyl-C(=O)N(Ra)2,
- (15) -C0-6-Alkyl-G-C1-6-alkyl-C(=O)N(Ra)2, wobei G O, S, N(Ra) oder N(SO2Ra) ist,
- (16) -N(Ra)-C(Ra)=O,
- (17) -C1-6-Alkyl-N(Ra)-C(Ra)=O,
- (18) -C(=O)-N(Ra)-C1-6-Alkyl-[C(=O)]0-1-N(Ra)2,
- (19) -C(=O)-N(Ra)-C1-6-Alkyl, substituiert mit 1 oder 2 -ORa,
- (20) -C0-6-Alkyl-SO2Ra,
- (21) -C0-6-Alkyl-N(Ra)SO2Ra,
- (22) -C2-6-Alkenyl,
- (23) -C2-6-Alkenyl-C(=O)-N(Ra)2,
- (24) -C2-5-Alkinyl,
- (25) -C2-5-Alkinyl-CH2N(Ra)2,
- (26) -C2-5-Alkynyl-CH2ORa,
- (27) -C2-5-Alkinyl-CH2S(O)n-Ra oder
- (28)
- (29)
- (30) -C(=NRa)-N(Ra)2,
- (31) -N(Ra)-C1-6-Alkyl-S(O)nRa,
- (32) -N(Ra)-C1-6-Alkyl-ORa,
- (33) -N(Ra)-C1-6-Alkyl-N(Ra)2,
- (34) -N(Ra)-C1-6-Alkyl-N(Ra)-C(Ra)=O,
- (35) -N(Ra)-C0-6-Alkyl-[C(=O)]1-2N(Ra)2,
- (36) -N(Ra)-C1-6-Alkyl-CO2Ra,
- (37) -N(Ra)C(=O)N(Ra)-C1-6-Alkyl-C(=O)N(Ra)2,
- (38) -N(Ra)C(=O)-C1-6-Alkyl-N(Ra)2,
- (39) -N(Ra)-SO2-N(Ra)2,
- (40) -Rk,
- (41) -C1-6-Alkyl, substituiert mit Rk,
- (42) -C1-6-Halogenalkyl, substituiert mit Rk,
- (43) -C2-5-Alkenyl-Rk,
- (44) -C2-5-Alkinyl-Rk,
- (45) -C0-6-Alkyl-O-Rk,
- (46) -C0-6-Alkyl-O-C1-6-alkyl-Rk,
- (47) -C0-6-Alkyl-S(O)n-Rk,
- (48) -C0-6-Alkyl-S(O)n-C1-6-alkyl-Rk,
- (49) -O-C1-6-Alkyl-ORk,
- (50) -O-C1-6-Alkyl-O-C1-6-alkyl-Rk,
- (51) -O-C1-6-Alkyl-S(O)nRk,
- (52) -C0-6-Alkyl-N(Rc)-Rk,
- (53) -C0-6-Alkyl-N(Rc)-C1-6-alkyl, substituiert mit einer oder zwei Rk-Gruppen,
- (54) -C0-6-Alkyl-N(Rc)-C1-6-alkyl-ORk,
- (55) -C0-6-Alkyl-C(=O)-Rk,
- (56) -C0-6-Alkyl-C(=O)N(Ra)-Rk,
- (57) -C0-6-Alkyl-N(Ra)C(=O)-Rk,
- (58) -C0-6-Alkyl-C(=O)N(Ra)-C1-6-alkyl-Rk oder
- (59) -C0-6-Alkyl-N(Ra)-C0-6-alkyl-S(O)nRk,
- (1) -H,
- (2) -C1-6-Alkyl,
- (3) -C1-6-Halogenalkyl,
- (4) -O-C1-6-Alkyl,
- (5) -O-C1-6-Halogenalkyl,
- (6) -OH,
- (7) Halogen,
- (8) -NO2,
- (9) -CN,
- (10) -C1-6-Alkyl-ORa,
- (11) -C0-6-Alkyl-C(=O)Ra,
- (12) -C0-6-Alkyl-CO2Ra,
- (13) -C0-6-Alkyl-SRa,
- (14) N(Ra)2,
- (15) -C1-6-Alkyl-N(Ra)2,
- (16) -C0-6-Alkyl-C(=O)N(Ra)2,
- (17) -C1-6-Alkyl-N(Ra)-C(Ra)=O,
- (18) -SO2Ra,
- (19) -N(Ra)SO2Ra,
- (20) -C2-5-Alkenyl,
- (21) -O-C1-6-Alkyl-ORa,
- (22) -O-C1-6-Alkyl-SRa,
- (23) -O-C1-6-Alkyl-NH-CO2Ra,
- (24) -O-C2-6-Alkyl-N(Ra)2,
- (25) -N(Ra)-C1-6-Alkyl-SRa,
- (26) -N(Ra)-C1-6-Alkyl-ORa,
- (27) -N(Ra)-C1-6-Alkyl-N(Ra)2,
- (28) -N(Ra)-C1-6-Alkyl-N(Ra)-C(Ra)=O,
- (29) -Rk,
- (30) -C1-6-Alkyl, substituiert mit 1 oder 2 Rk-Gruppen,
- (31) -C1-6-Halogenalkyl, substituiert mit 1 oder 2 Rk-Gruppen,
- (32) -C2-5-Alkenyl-Rk,
- (33) -C2-5-Alkinyl-Rk,
- (34) -O-Rk,
- (35) -O-C1-6-Alkyl-Rk,
- (36) -S(O)n-Rk,
- (37) -S(O)nC1-6-Alkyl-Rk,
- (38) -O-C1-6-Alkyl-ORk,
- (39) -O-C1-6-Alkyl-O-C1-6-alkyl-Rk,
- (40) -O-C1-6-Alkyl-S(O)nRk,
- (41) -C1-6-Alkyl(ORb)(Rk),
- (42) -C1-6-Alkyl(ORb)(-C1-6-alkyl-Rk),
- (43) -C0-6-Alkyl-N(Rb)(Rk),
- (44) -C0-6-Alkyl-N(Rb)(-C1-6-alkyl-Rk),
- (45) -C1-6-Alkyl-S(O)n-Rk,
- (46) -C1-6-Alkyl-S(O)n-C1-6-alkyl-Rk,
- (47) -C0-6-Alkyl-C(O)-Rk oder
- (48) -C0-6-Alkyl-C(O)-C1-6-alkyl-Rk,
- (1) -H,
- (2) Halogen,
- (3) -CN,
- (4) -NO2,
- (5) -OH,
- (6) C1-6-Alkyl,
- (7) C1-6-Halogenalkyl,
- (8) -O-C1-6-Alkyl,
- (9) -O-C1-6-Halogenalkyl,
- (10) -C1-6-Alkyl-ORa,
- (11) -C0-6-Alkyl-C(=O)Ra,
- (12) -C0-6-Alkyl-CO2Ra,
- (13) -C0-6-Alkyl-SRa,
- (14) N(Ra)2,
- (15) -C1-6-Alkyl-N(Ra)2,
- (16) -C0-6-Alkyl-C(=O)N(Ra)2,
- (17) -SO2Ra,
- (18) -N(Ra)SO2Ra,
- (19) -C2-5-Alkenyl,
- (20) -O-C1-6-Alkyl-ORa,
- (21) -O-C1-6-Alkyl-SRa,
- (22) -O-C1-6-Alkyl-NH-CO2Ra,
- (23) -O-C2-6-Alkyl-N(Ra)2 oder (24) Oxo,
- (1) -H,
- (2) -C1-6-Alkyl, gegebenenfalls substituiert mit 1 bis 5 Substituenten, unabhängig ausgewählt aus Halogen, -O-C1-6-Alkyl, -O-C1-6-Halogenalkyl, -N(Ra)2 und -CO2Ra,
- (3) Aryl, gegebenenfalls substituiert mit 1 bis 5 Substituenten, unabhängig ausgewählt aus Halogen, C1-6-Alkyl, C1-6-Halogenalkyl, -O-C1-6-Alkyl, -O-C1-6-Halogenalkyl, -S-C1-6-Alkyl, -CN und -OH, oder
- (4) -C1-6-Alkyl, substituiert mit Rk,
- (1) -H,
- (2) -C1-4-Alkyl,
- (3) -C1-4-Halogenalkyl,
- (4) -Rk,
- (5) -C2-3-Alkenyl,
- (6) -C1-4-Alkyl-Rk,
- (7) -C2-3-Alkenyl-Rk,
- (8) -S(O)n-Rk oder
- (9) -C(O)Rk,
- (1) -H,
- (2) -C1-6-Alkyl,
- (3) -C1-6-Alkyl, substituiert mit -N(Ra)2, oder
- (4) -C1-4-Alkylaryl, wobei Aryl gegebenenfalls substituiert ist mit 1 bis 5 Substituenten, unabhängig ausgewählt aus Halogen, C1-6-Alkyl, C1-6-Halogenalkyl, -O-C1-6-Alkyl, -O-C1-6-Halogenalkyl, -S-C1-6-Alkyl, -CN und -OH,
- (a) Halogen,
- (b) -C1-6-Alkyl,
- (c) -C1-6-Halogenalkyl,
- (d) -O-C1-6-Alkyl,
- (e) -O-C1-6-Halogenalkyl,
- (f) -S-C1-6-Alkyl,
- (g) -CN,
- (h) -OH,
- (i) Oxo,
- (j) -C0-6-Alkyl-C(=O)N(Ra)2,
- (k) -C0-6-Alkyl-C(=O)Ra,
- (l) -N(Ra)-C(=O)Ra,
- (m) -N(Ra)-CO2Ra,
- (n) -C
- (o) -N(Ra)2,
- (p) -C1-6-Alkyl-N(Ra)2,
- (q) -C1-6-Alkyl-ORa,
- (r) -C0-6-Alkyl-CO2Ra,
- (s) -C0-6-Alkyl-O-C1-6-alkyl-ORa,
- (t) -SO2Ra,
- (u) -SO2N(Ra)2,
- (v) -C0-6-Alkyl-CO2-C2-5-alkenyl,
- (w) Aryl,
- (x) Aryloxy-,
- (y) -C1-4-Alkyl, substituiert mit Aryl,
- (z) Heteromonocyclus,
- (aa) -C1-4-Alkyl, substituiert mit einem Heteromonocyclus,
- (bb) Heteromonocyclylcarbonyl-C0-6-alkyl- und
- (cc) N-Heteromonocyclyl-N-C1-6-alkylamino-,
- Die vorliegende Erfindung umfasst auch pharmazeutische Zusammensetzungen, die eine Verbindung der vorliegenden Erfindung enthalten, und Verfahren zur Herstellung solcher pharmazeutischer Zusammensetzungen. Die vorliegende Erfindung offenbart ferner Verfahren zur Behandlung von AIDS, Verfahren zur Verzögerung des Ausbruchs von AIDS, Verfahren zur Prävention von AIDS, Verfahren zur Prävention einer HIV-Infektion und Verfahren zur Behandlung einer HIV-Infektion.
- Andere Ausführungsformen, Aspekte und Merkmale der vorliegenden Erfindung sind entweder näher beschrieben in oder werden offensichtlich sein aus der nachfolgenden Beschreibung, den nachfolgenden Beispielen und den anhängenden Ansprüchen.
- DETAILLIERTE BESCHREIBUNG DER ERFINDUNG
- Die vorliegende Erfindung umfasst die Verwendung von Aza- und Polyazanaphthalinylcarboxamiden der obigen Formel (I-A). Diese Verbindungen und die pharmazeutisch annehmbaren Salze davon sind HIV-Integrase-Inhibitoren.
- Eine erste Ausführungsform der vorliegenden Erfindung ist die Verwendung einer Verbindung der Formel I-A, wobei
Q1, Q2, Q3 und Q4 jeweils unabhängig sind - (1) -H,
- (2) -C1-6-Alkyl,
- (3) -C1-6-Fluoralkyl,
- (4) -O-C1-6-Alkyl,
- (5) -O-C1-6-Fluoralkyl,
- (6) Halogen,
- (7) -CN,
- (8) -C1-6-Alkyl-ORa,
- (9) -C0-6-Alkyl-C(=O)Ra,
- (10) -C0-6-Alkyl-CO2Ra,
- (11) -C0-6-Alkyl-SRa,
- (12) -N(Ra)2,
- (13) -C1-6-Alkyl-N(Ra)2,
- (14) -C0-6-Alkyl-C(=O)N(Ra)2,
- (15) -C1-6-Alkyl-N(Ra)-C(Ra)=O,
- (16) -SO2Ra,
- (17) -N(Ra)SO2Ra,
- (18) -C2-5-Alkinyl,
- (19) -C2-5-Alkinyl-CH2N(Ra)2,
- (20) -C2-5-Alkinyl-CH2ORa,
- (21)
- (22) -N(Ra)-C1-6-Alkyl-SRa,
- (23) -N(Ra)-C1-6-Alkyl-ORa,
- (24) -N(Ra)-C1-6-Alkyl-N(Ra)2,
- (25) -N(Ra)-C1-6-Alkyl-N(Ra)-C(Ra)=O,
- (26) -Rk,
- (27) -C1-6-Alkyl, substituiert mit Rk,
- (28) -C1-6-Fluoralkyl, substituiert mit Rk,
- (29) -C2-5-Alkenyl-Rk,
- (30) -C2-5-Alkinyl-Rk,
- (31) -O-Rk,
- (32) -O-C1-4-Alkyl-Rk,
- (33) -S(O)n-Rk,
- (34) -S(O)n-C1-4-Alkyl-Rk,
- (35) -O-C1-6-Alkyl-ORk,
- (36) -O-C1-6-Alkyl-O-C1-4-alkyl-Rk,
- (37) -O-C1-6-Alkyl-SRk,
- (38) -N(Rc)-Rk,
- (39) -N(Rc)-C1-6-Alkyl, substituiert mit einer oder zwei Rk-Gruppen,
- (40) -N(Rc)-C1-6-Alkyl-ORk,
- (41) -C(=O)N-C1-6-Alkyl-Rk,
- (42) oder
- (43) -C(=NRa)-N(Ra)2,
- (1) -H,
- (2) -C1-6-Alkyl,
- (3) -C1-6-Fluoralkyl,
- (4) -O-C1-6-Alkyl,
- (5) -O-C1-6-Fluoralkyl,
- (6) -OH,
- (7) Halogen,
- (8) -NO2,
- (9) -CN,
- (10) -C1-6-Alkyl-ORa,
- (11) -C0-6-Alkyl-C(=O)R2,
- (12) -C0-6-Alkyl-CO2Ra,
- (13) -C0-6-Alkyl-SRa,
- (14) -N(Ra)2,
- (15) -C1-6-Alkyl-N(Ra)2,
- (16) -C0-6-Alkyl-C(=O)N(Ra)2,
- (17) -C1-6-Alkyl-N(Ra)-C(Ra)=O,
- (18) -SO2Ra,
- (19) -N(Ra)SO2Ra,
- (20) -C2-5-Alkenyl,
- (21) -O-C1-6-Alkyl-ORa,
- (22) -O-C1-6-Alkyl-SRa,
- (23) -O-C1-6-Alkyl-NH-CO2Ra,
- (24) -O-C2-6-Alkyl-N(Ra)2,
- (25) -N(Ra)-C1-6-Alkyl-SRa,
- (26) -N(Ra)-C1-6-Alkyl-ORa,
- (27) -N(Ra)-C1-6-Alkyl-N(Ra)2,
- (28) -N(Ra)-C1-6-Alkyl-N(Ra)-C(Ra)=O,
- (29) -Rk,
- (30) -C1-6-Alkyl, substituiert mit 1 oder 2 Rk-Gruppen,
- (31) -C1-6-Fluoralkyl, substituiert mit 1 oder 2 Rk-Gruppen,
- (32) -C2-5-Alkenyl-Rk,
- (33) -C2-5-Alkinyl-Rk,
- (34) -O-Rk,
- (35) -O-C1-4-Alkyl-Rk,
- (36) -S(O)Rk,
- (37) -S(O)n-C1-4-Alkyl-Rk,
- (38) -O-C1-6-Alkyl-ORk,
- (39) -O-C1-6-Alkyl-O-C1-4-alkyl-Rk,
- (40) -O-C1-6-Alkyl-SRk,
- (41) -C1-6-Alkyl(ORb)(Rk),
- (42) -C1-6-Alkyl(ORb)(-C1-4-alkyl-Rk),
- (43) -C0-6-Alkyl-N(Rb)(Rk),
- (44) -C0-6-Alkyl-N(Rb)(-C1-4-alkyl-Rk),
- (45) -C1-6-Alkyl-S(O)n-Rk,
- (46) -C1-6-Alkyl-S(O)n-C1-4-alkyl-Rk,
- (47) -C0-6-Alkyl-C(O)-Rk oder
- (48) -C0-6-Alkyl-C(O)-C1-4-alkyl-Rk,
- (1) -H,
- (2) Halogen,
- (3) -CN,
- (4) NO2,
- (5) -OH,
- (6) C1-6-Alkyl,
- (7) C1-6-Fluoralkyl,
- (8) -O-C1-6-Alkyl,
- (9) -O-C1-6-Fluoralkyl,
- (10) -C1-6-Alkyl-ORa,
- (11) -C0-6-Alkyl-C(=O)Ra,
- (12) -C0-6-Alkyl-CO2Ra,
- (13) -C0-6-Alkyl-SRa,
- (14) N(Ra)2,
- (15) -C1-6-Alkyl-N(Ra)2,
- (16) -C0-6-Alkyl-C(=O)N(Ra)2,
- (17) -SO2Ra,
- (18) -N(Ra)SO2Ra,
- (19) -C2-5-Alkenyl,
- (20) -O-C1-6-Alkyl-ORa,
- (21) -O-C1-6-Alkyl-SRa,
- (22) -O-C1-6-Alkyl-NH-CO2Ra,
- (23) -O-C2-6-Alkyl-N(Ra)2 oder
- (24) Oxo,
- (1) -H,
- (2) -C1-6-Alkyl, gegebenenfalls substituiert mit 1 bis 3 Substituenten, unabhängig ausgewählt aus Halogen, -O-C1-6-Alkyl, -O-C1-6-Fluoralkyl, -N(Ra)2 und -CO2Ra,
- (3) Aryl, gegebenenfalls substituiert mit 1 bis 5 Substituenten, unabhängig ausgewählt aus Halogen, C1-6-Alkyl, C1-6-Fluoralkyl, -O-C1-6-Alkyl, -O-C1-6-Fluoralkyl, -S-C1-6-Alkyl, -CN und -OH, oder
- (4) -C1-6-Alkyl, substituiert mit Rk,
- (1) -H,
- (2) -C1-4-Alkyl,
- (3) -C1-4-Fluoralkyl,
- (4) -Rk,
- (5) -C2-3-Alkenyl,
- (6) -C1-4-Alkyl-Rk,
- (7) -C2-3-Alkenyl-Rk,
- (8) S(O)n-Rk oder
- (9) C(O)Rk,
- (1) -H,
- (2) -C1-6-Alkyl,
- (3) -C1-6-Alkyl, substituiert mit -N(Ra)2, oder
- (4) -C1-4-Alkylaryl, wobei Aryl gegebenenfalls substituiert ist mit 1 bis 5 Substituenten, unabhängig ausgewählt aus Halogen, C1-6-Alkyl, C1-6-Fluoralkyl, -O-C1-6-Alkyl, -O-C1-6-Fluoralkyl, -S-C1-6-Alkyl, -CN und -OH,
- (a) Halogen,
- (b) C1-6-Alkyl,
- (c) C1-6-Fluoralkyl,
- (d) -O-C1-6-Alkyl,
- (e) -O-C1-6-Fluoralkyl,
- (f) -S-C1-6-Alkyl,
- (g) -CN,
- (h) -OH,
- (i) Oxo,
- (j) -(CH2)0-3C(=O)N(Ra)2,
- (k) -(CH2)0-3C(=O)Ra,
- (l) -N(Ra)-C(=O)Ra,
- (m) -N(Ra)-C(=O)ORa,
- (n) -(CH2)1-3N(Ra)-C(=O)Ra,
- (o) -N(Ra)2,
- (p) -C1-6-Alkyl-N(Ra)2,
- (q) Aryl,
- (r) Aryloxy-,
- (s) -C1-4-Alkyl, substituiert mit Aryl,
- (t) Heteromonocyclus,
- (u) -C1-4-Alkyl, substituiert mit einem Heteromonocyclus,
- (v) Heteromonocyclylcarbonyl-C0-6-alkyl- und
- (w) N-Heteromonocyclyl-N-C1-6-alkylamino-,
- Eine zweite Ausführungsform der vorliegenden Erfindung ist die Verwendung einer Verbindung der Formel (I-A), wobei
A ist - (i) ein 4- bis 7-gliedriger gesättigter oder ungesättigter monocyclischer Heterocyclus, der 1 bis 4 Stickstoffatome, null bis 2 Heteroatome, ausgewählt aus Sauerstoff und Schwefel, und als Rest Kohlenstoffatome enthält, wobei wenigstens eines der Ringatome Kohlenstoff ist,
- (ii) ein 7- bis 11-gliedriger kondensierter bicyclischer Heterocyclus, wobei jeder Ring davon gesättigt oder ungesättigt ist, wobei der kondensierte bicyclische Heterocyclus 1 bis 6 Heteroatome, ausgewählt aus Stickstoff, Sauerstoff und Schwefel, und als Rest Kohlenstoffatome enthält, wobei wenigsters zwei der Ringatome Kohlenstoff sind, oder
- (iii) ein 11- bis 15-gliedriger kondensierter tricyclischer Heterocyclus, wobei jeder Ring davon gesättigt oder ungesättigt ist, wobei der kondensierte tricyclische Heterocyclus 1 bis 6 Stickstoffatome, null bis 3 Heteroatome, ausgewählt aus Sauerstoff und Schwefel, und als Rest Kohlenstoffatome enthält, wobei wenigstens drei der Ringatome Kohlenstoff sind,
- (i) eine Einfachbindung,
- (ii) -(CH2)1-5-, gegebenenfalls substituiert mit 1 oder 2 Substituenten, unabhängig ausgewählt aus der Gruppe, bestehend aus Halogen, -OH, -C1-6-Alkyl, -O-C1-6-Alkyl, -CO2Ra, -CO2(CH2)1-2-Rk, -C1-6-Alkyl-ORa, -Rk, -(CH2)1-2Rk, -CH(ORa)-Rk und -CH(N(Ra)2)-Rk,
- (iii) -(CH2)0-2-CH=CH-(CH2)1-2-, das gegebenenfalls substituiert ist mit 1 oder 2 Substituenten, unabhängig ausgewählt aus der Gruppe, bestehend aus Halogen, -OH, -C1-6-Alkyl und -O-C1-6-Alkyl, oder
- (iv)wobei u und v jeweils ganze Zahlen mit einem Wert von 0 bis 4 sind, mit der Maßgabe, dass die Summe aus u + v 1, 2, 3 oder 4 ist,
- (1) -H,
- (2) -C1-4-Alkyl, gegebenenfalls substituiert mit 1 bis 3 Substituenten, unabhängig ausgewählt aus Halogen, -O-C1-6-Alkyl, -O-C1-6-Fluoralkyl, -N(Ra)2 und -CO2Ra,
- (3) Phenyl, gegebenenfalls substituiert mit 1 bis 5 Substituenten, unabhängig ausgewählt aus Halogen, C1-6-Alkyl, C1-6-Fluoralkyl, -O-C1-6-Alkyl, -O-C1-6-Fluoralkyl, -S-C1-6-Alkyl, -CN und -OH, oder
- (4) -C1-4-Alkyl, substituiert mit Rk,
- (1) -H,
- (2) -C1-4-Alkyl,
- (3) -C1-4-Alkyl, substituiert mit -N(Ra)2, oder
- (4) -C1-4-Alkylphenyl, wobei das Phenyl gegebenenfalls substituiert ist mit 1 bis 5 Substituenten, unabhängig ausgewählt aus Halogen, C1-6-Alkyl, C1-6-Fluoralkyl, -O-C1-6-Alkyl, O-C1-6-Fluoralkyl, -SC1-6-Alkyl, -CN und -OH,
- (1) Aryl, ausgewählt aus Phenyl und Naphthyl, wobei Aryl unsubstituiert oder substituiert ist mit 1 bis 5 Substituenten, unabhängig ausgewählt aus: (a) Halogen, (b) C1-6-Alkyl, (c) C1-6-Fluoralkyl, (d) -O-C1-6-Alkyl, (e) -O-C1-6-Fluoralkyl, (f) Phenyl, (g) -S-C1-6-Alkyl, (h) -CN, (i) -OH, (j) Phenyloxy, unsubstituiert oder substituiert mit 1 bis 3 Substituenten, unabhängig ausgewählt aus: (i) Halogen, (ii) C1-6-Alkyl, (iii) C1-6-Fluoralkyl und (iv) -OH, (k) -N(Ra)2, (l) -C1-6-Alkyl-N(Ra)2, (m) -Rt, (p) -(CH2)0-3C(=O)N(Ra)2 und (q) -(CH2)0-3C(=O)Ra,
- (2) -C3-7-Cycloalkyl, unsubstituiert oder substituiert mit 1 bis 3 Substituenten, unabhängig ausgewählt aus: (a) Halogen, (b) C1-6-Alkyl, (c) -O-C1-6-Alkyl, (d) C1-6-Fluoralkyl, (e) -O-C1-6-Fluoralkyl, (f) -CN, (h) Phenyl und (j) -OH,
- (3) -C3-7-Cycloalkyl, kondensiert mit einem Phenylring, unsubstituiert oder substituiert mit 1 bis 5 Substituenten, unabhängig ausgewählt aus: (a) Halogen, (b) C1-6-Alkyl, (c) -O-C1-6-Alkyl, (d) C1-6-Fluoralkyl, (e) -O-C1-6-Fluoralkyl, (f) -CN und (g) -OH,
- (4) ein 5- oder 6-gliedriger heteroaromatischer Ring, der 1 bis 4 Heteroatome enthält, unabhängig ausgewählt aus Sauerstoff, Stickstoff und Schwefel, wobei der heteroaromatische Ring am Stickstoff oder Kohlenstoff unsubstituiert oder substituiert ist mit 1 bis 5 Substituenten, unabhängig ausgewählt aus: (a) Halogen, (b) C1-6-Alkyl, (c) C1-6-Fluoralkyl, (d) -O-C1-6-Alkyl, (e) -O-C1-6-Fluoralkyl, (f) Phenyl, (g) -S-C1-6-Alkyl, (h) -CN, (i) -OH, (j) Phenyloxy, unsubstituiert oder substituiert mit 1 bis 3 Substituenten, unabhängig ausgewählt aus: (i) Halogen, (ii) C1-6-Alkyl, (iii) C1-6-Fluoralkyl und (iv) -OH, (k) -N(Ra)2, (l) -C1-6-Alkyl-N(Ra)2, (m) -Rt, (n) Oxo, (o) -(CH2)0-3C(=O)N(Ra)2 und (p) -(CH2)0-3C(=O)Ra,
- (5) ein 5- oder 6-gliedriger gesättigter heterocyclischer Ring, der 1 oder 2 Heteroatome enthält, unabhängig ausgewählt aus Sauerstoff, Stickstoff und Schwefel, wobei der heterocyclische Ring unsubstituiert oder substituiert ist mit 1 bis 4 Substituenten, unabhängig ausgewählt aus: (a) Halogen, (b) C1-6-Alkyl, (c) -O-C1-6-Alkyl, (d) C1-6-Fluoralkyl, (e) -O-C1-6-Fluoralkyl, (f) -CN, (g) Oxo, (h) Phenyl, (i) Benzyl, (j) Phenylethyl, (k) -OH, (l) -(CH2)0-3C(=O)N(Ra)2, (m) -(CH2)0-3C(=O)Ra, (n) -N(Ra)-C(=O)Ra, (o) -N(Ra)-C(=O)ORa, (p) -(CH2)1-3N(Ra)-C(=O)Ra, (q) N(Ra)2, (r) -(CH2)1-3N(Ra)2, (s) -(CH2)0-3C(=O)Rt, (t) -Rt, (u) -N(Ra)Rt und (v) -(CH2)1-3Rt, oder
- (6) ein 8- bis 10-gliedriger heterobicyclischer Ring, der 1 bis 4 Heteroatome enthält, unabhängig ausgewählt aus Sauerstoff, Stickstoff und Schwefel, wobei der heterobicyclische Ring gesättigt oder ungesättigt ist und unsubstituiert oder substituiert ist mit 1 bis 5 Substituenten, unabhängig ausgewählt aus: (a) Halogen, (b) C1-6-Alkyl, (c) -O-C1-6-Alkyl, (d) C1-6-Fluoralkyl, (e) -O-C1-6-Fluoralkyl, (f) -CN, (g) =O und (h) -OH, und
- Eine dritte Ausführungsform der vorliegenden Erfindung ist die Verwendung einer Verbindung der Formel I-A, wobei jedes Rk unabhängig ist:
- (1) Aryl, ausgewählt aus Phenyl und Naphthyl, wobei Aryl unsubstituiert oder substituiert ist mit 1 bis 4 Substituenten, unabhängig ausgewählt aus: (a) Halogen, (b) C1-6-Alkyl, (c) C1-6-Fluoralkyl, (d) -O-C1-6-Alkyl, (e) -O-C1-6-Fluoralkyl, (f) Phenyl, (g) -S-C1-6-Alkyl, (h) -CN, (i) -OH, (j) Phenyloxy, unsubstituiert oder substituiert mit 1 bis 3 Substituenten, unabhängig ausgewählt aus: (i) Halogen, (ii) -C1-6-Alkyl, (iii) C1-6-Fluoralkyl und (iv) -OH, (k) -N(Ra)2, (l) -C1-6-Alkyl-N(Ra)2, (m) -Rt, (p) -(CH2)0-3C(=O)N(Ra)2 und (q) -(CH2)0-3C(=O)Ra,
- (2) -C3-6-Cycloalkyl, unsubstituiert oder substituiert mit 1 bis 3 Substituenten, unabhängig ausgewählt aus: (a) Halogen, (b) C1-6-Alkyl, (c) -O-C1-6Alkyl, (d) C1-6-Fluoralkyl, (e) -O-C1-6-Fluoralkyl, (f) -CN, (h) Phenyl und (j) -OH,
- (3) -C3-6-Cycloalkyl, kondensiert mit einem Phenylring, unsubstituiert oder substituiert mit 1 bis 4 Substituenten, unabhängig ausgewählt aus: (a) Halogen, (b) C1-6-Alkyl, (c) -O-C1-6-Alkyl, (d) C1-6-Fluoralkyl, (e)- O-C1-6-Fluoralkyl, (f) -CN und (g) -OH,
- (4) ein 5- oder 6-gliedriger heteroaromatischer Ring, ausgewählt aus Thienyl, Pyridyl, Imidazolyl, Pyrrolyl, Pyrazolyl, Thiazolyl, Isothiazolyl, Oxazolyl, Isooxazolyl, Pyrazinyl, Pyrimidinyl, Triazolyl, Tetrazolyl, Furanyl und Pyridazinyl, wobei der heteroaromatische Ring am Stickstoff oder Kohlenstoff unsubstituiert oder substituiert ist mit 1 bis 4 Substituenten, unabhängig ausgewählt aus: (a) Halogen, (b) C1-6-Alkyl, (c) C1-6-Fluoralkyl, (d) -O-C1-6-Alkyl, (e) -O-C1-6-Fluoralkyl, (f) Phenyl, (g) -S-C1-6-Alkyl, (h) -CN, (i) -OH, (j) Phenyloxy, unsubstituiert oder substituiert mit 1 bis 3 Substituenten, unabhängig ausgewählt aus: (i) Halogen, (ii) C1-6-Alkyl, (iii) C1-6-Fluoralkyl und (iv) -OH, (k) -N(Ra)2, (l) -C1-6-Alkyl-N(Ra)2, (m) -Rt, (n) Oxo, (o) -(CH2)0-3C(=O)N(Ra)2 und (p) -(CH2)0-3C(=O)Ra,
- (5) ein 5- oder 6-gliedriger gesättigter heterocyclischer Ring, ausgewählt aus Piperidinyl, Morpholinyl, Thiomorpholinyl, Thiazolidinyl, Oxazolidinyl, Isooxazolidinyl, Isothiazolidinyl, Pyrrolidinyl, Imidazolidinyl, Piperazinyl, Tetrahydrofuranyl und Pyrazolidinyl, wobei der heterocyclische Ring unsubstituiert oder substituiert ist mit 1 bis 3 Substituenten, unabhängig ausgewählt aus: (a) Halogen, (b) C1-6-Alkyl, (c) -O-C1-6-Alkyl, (d) C1-6-Fluoralkyl, (e) -O-C1-6-Fluoralkyl, (f) -CN, (g) =O, (h) Phenyl, (i) Benzyl, (j) Phenylethyl, (k) -OH, (l) -(CH2)0-3C(=O)N(Ra)2, (m) -(CH2)0-3C(=O)Ra, (n) -N(Ra)-C(=O)Ra, (o) -N(Ra)-C(=O)ORa, (p) -(CH2)1-3N(Ra)-C(=O)Ra, (q) -N(Ra)2, (r) -(CH2)1-3N(Ra)2, (s) -(CH2)0-3C(=O)Rt, (t) -Rt, (u) -N(Ra)Rt und (v) -(CH2)1-3Rt, oder
- (6) ein 8- bis 10-gliedriger heterobicyclischer Ring, ausgewählt aus Indolyl, Benzotriazolyl, Benzoimidazolyl, Imidazo[4.5-b]pyridinyl, Dihydroimidazo[4,5-b]pyridinyl, Pyrazolo[4,3-c]pyridinyl, Dihydropyrazolo[4,3-c]pyridinyl, Tetrahydropyrazolo[4,3-c]pyridinyl, Pyrrolo[1,2-a]pyrazinyl, Dihydropyrrolo[1,2-a]pyrazinyl, Tetrahydropyrrolo[1,2-a]pyrazinyl, Octahydropyrrolo[1,2-a]pyrazinyl, Isoindolyl, Indazolyl, Indolinyl, Isoindolinyl, Chinolinyl, Isochinolinyl, Chinoxalinyl, Chinazolinyl, Cinnolinyl, Chromanyl und Isochromanyl, wobei der bicyclische Ring unsubstituiert oder substituiert ist mit 1 oder 2 Substituenten, unabhängig ausgewählt aus: (a) Halogen, (b) C1-6-Alkyl, (c) -O-C1-6-Alkyl, (d) C1-6-Fluoralkyl, (e) -O-C1-6-Fluoralkyl, (f) -CN, (g) =O und (h) -OH, und
- Eine vierte Ausführungsform der vorliegenden Erfindung ist die Verwendung einer Verbindung der Formel I-A, wobei:
- A (i) ein 5- oder 6-gliedriger gesättigter oder ungesättigter monocyclischer Heterocyclus ist, der 1 bis 4 Stickstoffatome, null bis 2 Heteroatome, ausgewählt aus Sauerstoff und Schwefel, und als Rest Kohlenstoffatome enthält, wobei wenigstens eines der Ringatome Kohlenstoff ist,
- (ii) ein 8- bis 11-gliedriger kondensierter bicyclischer Heterocyclus, wobei jeder Ring davon gesättigt oder ungesättigt ist, wobei der kondensierte bicyclische Heterocyclus 1 bis 5 Stickstoffatome, null bis 3 Heteroatome, ausgewählt aus Stickstoff und Schwefel, und als Rest Kohlenstoffatome enthält, wobei wenigstens zwei der Ringatome Kohlenstoff sind, oder
- (iii) ein 12- bis 14-gliedriger kondensierter tricyclischer Heterocyclus ist, wobei jeder Ring davon gesättigt oder ungesättigt ist, wobei der kondensierte tricyclische Heterocyclus 1 bis 6 Stickstoffatome, null bis 3 Heteroatome, ausgewählt aus Sauerstoff und Schwefel, und als Rest Kohlenstoffatome enthält, wobei wenigstens drei der Ringatome Kohlenstoff sind,
- Eine fünfte Ausführungsform der vorliegenden Erfindung ist die Verwendung einer Verbindung der Formel I-A, wobei:
- A (i) ein monocyclischer Heterocyclus, ausgewählt aus der Gruppe, bestehend aus Pyrrolyl, Pyrazolyl, Imidazolyl, Triazolyl, Tetrazolyl, Pyridyl, Pyrazinyl, Pyrimidinyl, Pyrazidinyl, Oxazolyl, Isoxazolyl, Thiazolyl, Isothiazolyl, Pyrrolidinyl, Pyrazolidinyl, Imidazolinyl, Piperidinyl, Piperazinyl, Thiazolidinyl, Isothiazolidinyl und Morpholinyl,
- (ii) ein kondensierter bicyclischer Heterocyclus, ausgewählt aus der Gruppe, bestehend aus Indolyl, Isoindolyl, Phthalazinyl, Purinyl, Chinoxalinyl, Chinazolinyl, Cinnolinyl, 1,6-Naphthyridinyl, 1,8-Naphthyridinyl, Benzimidazolyl, Chinolinyl, Isochinolinyl, Indazolyl, Dihydroindolyl, Dihydroisoindolyl, Tetrahydrochinolyl, Tetrahydroisochinolyl, Imidazo[1,2-a]pyrimidinyl, 2,3-Dihydroimidazo[2,1-b][1,3]thiazolyl, Benzazepinyl, Dihydrobenzazepinyl, Benzodiazepinyl, Dihydrobenzodiazepinyl, Tetrahydrobenzodiazepinyl und Benzothiazolyl, oder
- (iii) ein kondensierter tricyclischer Heterocyclus ist, ausgewählt aus der Gruppe, bestehend aus Phenothiazinyl, Carbazolyl, beta-Carbolinyl, Tetrahydro-beta-carbolinyl, Acridinyl, Phenazinyl und Phenoxazinyl,
- Eine sechste Ausführungsform der vorliegenden Erfindung ist die Verwendung einer Verbindung der Formel I-A, wobei:
Q2 ist - (1) -H,
- (2) -C1-6-Alkyl,
- (3) -C1-6-Fluoralkyl,
- (4) -O-C1-4-Alkyl,
- (5) -O-C1-6-Fluoralkyl,
- (6) Halogen,
- (7) -CN,
- (8) -C1-6-Alkyl-ORa,
- (9) -C0-6-Alkyl-C(=O)Ra,
- (10) -C0-6-Alkyl-CO2Ra,
- (11) -C0-6-Alkyl-SRa,
- (12) -N(Ra)2,
- (13) -C1-6-Alkyl-N(Ra)2,
- (14) -C0-6-Alkyl-C(=O)N(Ra)2,
- (15) -C1-6-Alkyl-N(Ra)-C(Ra)=O,
- (16) -SO2Ra,
- (17) -N(Ra)SO2Ra,
- (18) -C2-5-Alkinyl,
- (19) -C2-5-Alkinyl-CH2N(Ra)2,
- (20) -C2-5-Alkinyl-CH2ORa,
- (21)
- (22) -N(Ra)-C1-6-Alkyl-SRa,
- (23) -N(Ra)-C1-6-Alkyl-ORa,
- (24) -N(Ra)-C1-6-Alkyl-N(Ra)2,
- (25) -N(Ra)-C1-6-Alkyl-N(Ra)-C(Ra)=O,
- (26) -Rk,
- (27) -C1-6-Alkyl, substituiert mit Rk,
- (28) -C1-6-Fluoralkyl, substituiert mit Rk,
- (29) -C2-5-Alkenyl-Rk,
- (30) -C2-5-Alkinyl-Rk,
- (31) -O-Rk,
- (32) -O-C1-4-Alkyl-Rk,
- (33) S(O)n-Rk,
- (34) -S(O)n-C1-4-Alkyl-Rk,
- (35) -O-C1-6-Alkyl-ORk,
- (36) -O-C1-6-Alkyl-O-C1-4-alkyl-Rk,
- (37) -O-C1-6-Alkyl-SRk,
- (39) -N(Rc)-C1-6-Alkyl, substituiert mit einer oder zwei Rk-Gruppen,
- (40) -N(Rc)-C1-6-Alkyl-ORk,
- (41) -C(=O)N-C1-6-Alkyl-Rk,
- (42) -C2-5-Alkinyl-CH2S(O)n-Ra oder
- (43) -C(=NRa)-N(Ra)2,
- (1) -H,
- (2) -C1-6-Alkyl,
- (3) -C1-6-Fluoralkyl,
- (4) -O-C1-6-Alkyl,
- (5) -O-C1-6-Fluoralkyl,
- (6) Halogen,
- (7) -CN,
- (8) -C1-6-Alkyl-ORa,
- (9) -C0-6-Alkyl-C(=O)Ra,
- (10) -C0-6-Alkyl-CO2Ra,
- (11) -SRa,
- (12) -N(Ra)2,
- (13) -C1-6-Alkyl-N(Ra)2,
- (14) -C0-6-Alkyl-C(=O)N(Ra)2,
- (15) -SO2Ra,
- (16) -N(Ra)SO2Ra,
- (17) -Rk oder
- (18) -C1-6-Alkyl, substituiert mit Rk,
- Eine siebte Ausführungsform ist identisch mit der sechsten Ausführungsform, außer dass alle anderen Variablen wie in der ersten Ausführungsform definiert sind, anstatt wie ursprünglich definiert zu sein.
- Eine achte Ausführungsform der vorliegenden Erfindung ist die Verwendung einer Verbindung der Formel I-A, wobei:
Q3 ist: - (1) -H,
- (2) -C1-6-Alkyl,
- (3) -C1-6-Fluoralkyl,
- (4) -O-C1-6-Alkyl,
- (5) -O-C1-6-Fluoralkyl,
- (6) Halogen,
- (7) -CN,
- (8) -C1-6-Alkyl-ORa,
- (9) -C0-6-Alkyl-C(=O)Ra,
- (10) -C0-6-Alkyl-CO2Ra,
- (11) -SRa,
- (12) -N(Ra)2,
- (13) -C1-6-Alkyl-N(Ra)2,
- (14) -C0-6-Alkyl-C(=O)N(Ra)2,
- (15) -SO2Ra,
- (16) -N(Ra)SO2Ra,
- (17) -Rk oder
- (18) -C1-6-Alkyl, substituiert mit Rk,
- (1) -H,
- (2) -C1-6-Alkyl,
- (3) -C1-6-Fluoralkyl,
- (4) -O-C1-6-Alkyl,
- (5) -O-C1-6-Fluoralkyl,
- (6) Halogen,
- (7) -CN,
- (8) -C1-6-Alkyl-ORa,
- (9) -C0-6-Alkyl-C(=O)Ra,
- (10) -C0-6-Alkyl-CO2Ra,
- (11) -SRa,
- (12) -N(Ra)2,
- (13) -C1-6-Alkyl-N(Ra)2,
- (14) -C0-6-Alkyl-C(=O)N(Ra)2,
- (15) -SO2Ra oder
- (16) -N(Ra)SO2Ra,
- In einem Aspekt einer jeden der sechsten, siebten und achten Ausführungsformen sind Q3 und Q4 beide H.
-
- (i) ein 4- bis 7-gliedriger gesättigter oder ungesättigter monocyclischer Heterocyclus, der 1 bis 4 Stickstoffatome, null bis 2 Heteroatome, ausgewählt aus Sauerstoff und Schwefel, und als Rest Kohlenstoffatome enthält, wobei wenigstens eines der Ringatome Kohlenstoff ist,
- (ii) ein 7- bis 11-gliedriger kondensierter bicyclischer Heterocyclus, wobei jeder Ring davon gesättigt oder ungesättigt ist, wobei der kondensierte bicyclische Heterocyclus 1 bis 6 Heteroatome, ausgewählt aus Stickstoff, Sauerstoff und Schwefel, und als Rest Kohlenstoffatome enthält, wobei wenigstens zwei der Ringatome Kohlenstoff sind, oder
- (iii) ein 11- bis 15-gliedriger kondensierter tricyclischer Heterocyclus, wobei jeder Ring davon gesättigt oder ungesättigt ist, wobei der kondensierte tricyclische Heterocyclus 1 bis 6 Stickstoffatome, null bis 3 Heteroatome, ausgewählt aus Sauerstoff und Schwefel, und als Rest Kohlenstoffatome enthält, wobei wenigstens drei der Ringatome Kohlenstoff sind,
- (i) eine Einfachbindung,
- (ii) -(CH2)1-3-, gegebenenfalls substituiert mit 1 oder 2 Substituenten, unabhängig ausgewählt aus der Gruppe, bestehend aus -OH, C1-4-Alkyl, -O-C1-4 Alkyl, -CO2CH3, -CO2CH2-Phenyl, Phenyl, Benzyl, -(CH2)1-2OH, -CH(OH)-Phenyl und -CH(NH2)-Phenyl,
- (iii) -(CH2)0-1-CH=CH-(CH2)-, das gegebenenfalls substituiert ist mit 1 oder 2 Substituenten, unabhängig ausgewählt aus der Gruppe, bestehend aus Halogen, -OH, -C1-4-Alkyl und -O-C1-4-Alkyl, oder
- (iv) wobei u und v jeweils ganze Zahlen mit einem Wert von 0 bis 4 sind, mit der Maßgabe, dass die Summe aus u + v 1, 2, 3 oder 4 ist, Z1 N oder C-Q3 ist,
- (1) -H,
- (2) -C1-4-Alkyl,
- (3) -C1-4-Fluoralkyl,
- (4) -O-C1-4-Alkyl,
- (5) -O-C1-4-Fluoralkyl,
- (6) Halogen,
- (7) -CN,
- (8) -C1-4-Alkyl-ORa,
- (9) -(CH2)0-2C(=O)Ra,
- (10) -(CH2)0-2CO2Ra,
- (11) -(CH2)0-2SRa,
- (12) -N(Ra)2,
- (13) -C1-4-Alkyl-N(Ra)2,
- (14) -(CH2)0-2C(=O)N(Ra)2,
- (15) -SO2Ra,
- (16) -N(Ra)SO2Ra,
- (17) -C2-3-Alkinyl,
- (18) -C≡C-CH2N(Ra)2,
- (19) -C≡C-CH2ORa,
- (20) -N(Ra)-C1-4-Alkyl-SRa,
- (21) -N(Ra)-C1-4-Alkyl-ORa,
- (22) -N(Ra)-C1-4-Alkyl-N(Ra)2,
- (23) -N(Ra)-C1-4-Alkyl-N(Ra)-C(Ra)=O,
- (24) -Rk,
- (25) -C1-4-Alkyl, substituiert mit Rk,
- (26) -C1-4-Fluoralkyl, substituiert mit Rk,
- (27) -C2-5-Alkenyl-Rk,
- (28) -C2-5-Alkinyl-Rk,
- (29) -O-Rk,
- (30) -O-C1-4-Alkyl-Rk,
- (31) -S(O)n-Rk,
- (32) -N(Rc)-Rk,
- (33) -N(Rc)-C1-4-Alkyl, substituiert mit einer oder zwei Rk-Gruppen,
- (34) -N(Rc)-C1-4-Alkyl-ORk,
- (35) -C(=O)N-C1-4-Alkyl-Rk,
- (36) -C≡C-CH2SRa oder
- (37) -C≡C-CH2SO2Ra,
- (1) -H,
- (2) -C1-4-Alkyl,
- (3) -C1-4-Fluoralkyl,
- (4) -O-C1-4-Alkyl,
- (5) -O-C1-4-Fluoralkyl,
- (6) Halogen, ausgewählt aus -F, -Cl und -Br,
- (7) -CN,
- (8) -C1-4-Alkyl-ORa oder
- (9) -C1-4-Alkyl, substituiert mit Rk,
- (1) -H,
- (2) -C1-4-Alkyl,
- (3) -C1-4-Fluoralkyl,
- (4) -O-C1-4-Alkyl,
- (5) -O-C1-4-Fluoralkyl,
- (6) Halogen, ausgewählt aus -F, -Cl und -Br,
- (7) -CN,
- (8) -C1-6-Alkyl-ORa,
- (9) -N(Ra)2 oder
- (10) -C1-6-Alkyl-N(Ra)2,
- (1) -H,
- (2) -C1-4-Alkyl,
- 3) -C1-4-Fluoralkyl,
- (4) -O-C1-4-Alkyl,
- 5) -O-C1-4-Fluoralkyl,
- (6) -OH,
- (7) Halogen,
- (8) -CN,
- (9) -C1-4-Alkyl-ORa,
- (10) -(CH2)0-2C(=O)Ra,
- (11) -(CH2)0-2CO2Ra,
- (12) -(CH2)0-2SRa,
- (13) N(Ra)2,
- (14) -C1-4-Alkyl-N(Ra)2,
- (15) -(CH2)0-2C(=O)N(Ra)2,
- (16) -C1-4-Alkyl-N(Ra)C(Ra)=O,
- (17) -SO2Ra,
- (18) -N(Ra)SO2Ra,
- (19) -O-C1-4-Alkyl-ORa,
- (20) -O-C1-4-Alkyl-SRa,
- (21) -O-C1-4-Alkyl-NH-CO2Ra,
- (22) -O-C2-4-Alkyl-N(Ra)2,
- (23) -N(Ra)-C1-4-Alkyl-SRa,
- (24) -N(Ra)-C1-4-Alkyl-ORa,
- (25) -N(Ra)-C1-4-Alkyl-N(Ra)2,
- (26) -N(Ra)-C1-4-Alkyl-N(Ra)-C(Ra)=O,
- (27) -Rk,
- (28) -C1-4-Alkyl, substituiert mit 1 oder 2 Rk-Gruppen,
- (29) -C1-4-Fluoralkyl, substituiert mit 1 oder 2 Rk-Gruppen,
- (30) -O-Rk,
- (31) -O-C1-4-Alkyl-Rk,
- (32) -S(O)n-Rk,
- (33) -S(O)n-C1-4-Alkyl-Rk,
- (34) -O-C1-4-Alkyl-ORk,
- (35) -O-C1-4-Alkyl-O-C1-4-alkyl-Rk,
- (36) -O-C1-4-Alkyl-SRk oder
- (37) -C0-4-Alkyl-N(Rb)(Rk),
- (1) -H,
- (2) Halogen,
- (3) -CN,
- (4) -OH,
- (5) C1-4-Alkyl,
- (6) C1-4-Fluoralkyl,
- (7) -O-C1-4-Alkyl,
- (8) -O-C1-4-Fluoralkyl,
- (9) -C1-4-Alkyl-ORa,
- (10) -O-C1-4-Alkyl-ORa,
- (11) -O-C1-4-Alkyl-SRa,
- (12) -O-C1-4-Alkyl-NH-CO2Ra oder
- (13) -O-C2-4-Alkyl-N(Ra)2,
- (1) -H,
- (2) -C1-4-Alkyl, gegebenenfalls substituiert mit 1 oder 2 Substituenten, unabhängig ausgewählt aus Halogen, -O-C1-4-Alkyl, -O-C1-4-Fluoralkyl, -N(Ra)2 und -CO2Ra,
- (3) Phenyl, gegebenenfalls substituiert mit 1 bis 3 Substituenten, unabhängig ausgewählt aus Halogen, C1-4-Alkyl, C1-4-Fluoralkyl, -O-C1-4-Alkyl, -O-C1-4-Fluoralkyl, -S-C1-4-Alkyl, -CN und -OH, oder
- (4) -C1-4-Alkyl, substituiert mit Phenyl,
- (1) -H,
- (2) -C1-4-Alkyl,
- (3) -C1-4-Fluoralkyl,
- (4) -Rk,
- (5) -C1-4-Alkyl-Rk,
- (6) S(O)n-Rk oder
- (7) -C(=O)-Rk,
- (1) -H,
- (2) -C1-4-Alkyl,
- (3) -C1-4-Alkyl, substituiert mit -N(Ra)2, oder
- (4) -C1-4-Alkylphenyl, wobei das Phenyl gegebenenfalls substituiert ist mit 1 bis 3 Substituenten, unabhängig ausgewählt aus Halogen, C1-4-Alkyl, C1-4-Fluoralkyl, -O-C1-4-Alkyl, O-C1-4-Fluoralkyl, -S-C1-4-Alkyl, -CN und -OH,
- (1) Aryl, ausgewählt aus Phenyl und Naphthyl, wobei Aryl unsubstituiert oder substituiert ist mit 1 bis 5 Substituenten, unabhängig ausgewählt aus: (a) Halogen, (b) C1-6-Alkyl, (c) C1-6-Fluoralkyl, (d) -O-C1-6-Alkyl, (e) -O-C1-6-Fluoralkyl, (f) Phenyl, (g) -S-C1-6-Alkyl, (h) -CN, (i) -OH, (j) Phenyloxy, unsubstituiert oder substituiert mit 1 bis 3 Substituenten, unabhängig ausgewählt aus: (i) Halogen, (ii) C1-6-Alkyl, (iii) C1-6-Fluoralkyl und (iv) -OH, (k) -N(Ra)2, (l) -C1-6-Alkyl-N(Ra)2, (m) -Rt, (p) -(CH2)0-3C(=O)N(Ra)2 und (q) -(CH2)0-3C(=O)Ra,
- (2) -C3-7-Cycloalkyl, unsubstituiert oder substituiert mit 1 bis 3 Substituenten, unabhängig ausgewählt aus: (a) Halogen, (b) C1-6-Alkyl, (c) -O-C1-6-Alkyl, (d) C1-6-Fluoralkyl, (e) -O-C1-6-Fluoralkyl, (f) -CN, (h) Phenyl und (j) -OH,
- (3) -C3-7-Cycloalkyl, kondensiert mit einem Phenylring, unsubstituiert oder substituiert mit 1 bis 5 Substituenten, unabhängig ausgewählt aus: (a) Halogen, (b) C1-6-Alkyl, (c) -O-C1-6-Alkyl, (d) C1-6-Fluoralkyl, (e) -O-C1-6-Fluoralkyl, (f) -CN und (g) -OH,
- (4) ein 5- oder 6-gliedriger heteroaromatischer Ring, der 1 bis 4 Heteroatome enthält, unabhängig ausgewählt aus Sauerstoff, Stickstoff und Schwefel, wobei der heteroaromatische Ring am Stickstoff oder Kohlenstoff unsubstituiert oder substituiert ist mit 1 bis 5 Substituenten, unabhängig ausgewählt aus: (a) Halogen, (b) C1-6-Alkyl, (c) C1-6-Fluoralkyl, (d) -O-C1-6-Alkyl, (e) -O-C1-6-Fluoralkyl, (f) Phenyl, (g) -S-C1-6-Alkyl, (h) -CN, (i) -OH, (j) Phenyloxy, unsubstituiert oder substituiert mit 1 bis 3 Substituenten, unabhängig ausgewählt aus: (i) Halogen, (ii) C1-6-Alkyl, (iii) C1-6-Fluoralkyl und (iv) -OH, (k) -N(Ra)2, (l) -C1-6-Alkyl-N(Ra)2, (m) -Rt, (n) Oxo, (o) -(CH2)0-3C(=O)N(Ra)2 und (p) -(CH2)0-3C(=O)Ra,
- (5) ein 5- oder 6-gliedriger gesättigter heterocyclischer Ring, der 1 oder 2 Heteroatome enthält, unabhängig ausgewählt aus Sauerstoff, Stickstoff und Schwefel, wobei der heterocyclische Ring unsubstituiert oder substituiert ist mit 1 bis 4 Substituenten, unabhängig ausgewählt aus: (a) Halogen, (b) C1-6-Alkyl, (c) -O-C1-6-Alkyl, (d) C1-6-Fluoralkyl, (e) -O-C1-6-Fluoralkyl, (f) -CN, (g) Oxo, (h) Phenyl, (i) Benzyl, (j) Phenylethyl, (k) -OH, (l) -(CH2)0-3C(=O)N(Ra)2, (m) -(CH2)0-3C(=O)Ra, (n) -N(Ra)-C(=O)Ra, (o) -N(Ra)-C(=O)ORa, (p) -(CH2)1-3N(Ra)-C(=O)Ra, (q) -N(Ra)2, (r) -(CH2)1-3N(Ra)2, (s) -(CH2)0-3C(=O)R`, (t) -Rt, (u) -N(Ra)Rt und (v) -(CH2)1-3Rt, oder
- (6) ein 8- bis 10-gliedriger heterobicyclischer Ring, der 1 bis 4 Heteroatome enthält, unabhängig ausgewählt aus Sauerstoff, Stickstoff und Schwefel, wobei der heterobicyclische Ring gesättigt oder ungesättigt ist und unsubstituiert oder substituiert ist mit 1 bis 5 Substituenten, unabhängig ausgewählt aus: (a) Halogen, (b) C1-6-Alkyl, (c) -O-C1-6-Alkyl, (d) C1-6-Fluoralkyl, (e) -O-C1-6-Fluoralkyl, (f) -CN, (g) =O und (h) -OH,
- Eine zehnte Ausführungsform der vorliegenden Erfindung ist eine Verbindung der Formel II, wobei
Z1 CH ist,
Q2 ist - (1) -H,
- (2) -C1-4-Alkyl,
- (3) -(CH2)0-2CF3,
- (4) -O-C1-4-Alkyl,
- (5) -O-(CH2)0-2CF3,
- (6) Halogen, ausgewählt aus -F, -Cl und -Br,
- (7) -CN,
- (8) -(CH2)1-3ORa,
- (9) -(CH2)0-2C(=O)Ra,
- (10) -(CH2)0-2CO2Ra,
- (11) -(CH2)0-2SRa,
- (12) -N(Ra)2,
- (13) -(CH2)1-3N(Ra)2,
- (14) -(CH2)0-2C(=O)N(Ra)2,
- (15) -SO2Ra,
- (16) -N(Ra)SO2Ra,
- (17) -C≡C-CH2ORa,
- (18) -N(Ra)-(CH2)1-4SRa,
- (19) -N(Ra)-(CH2)1-4ORa,
- (20) -N(Ra)-(CH2)1-4-N(Ra)2,
- (21) -N(Ra)-(CH2)1-4N(Ra)-C(Ra)=O,
- (22) -Rk,
- (23) -(CH2)1-4Rk,
- (24) -C≡C-CH2Rk,
- (25) -O-Rk,
- (26) S(O)Rk,
- (27) -N(Rc)-Rk,
- (28) -N(Rc)-(CH2)1-4H, substituiert mit einer oder zwei Rk-Gruppen,
- (29) -N(Rc)-(CH2)1-4ORk,
- (30) -C(=O)N-(CH2)1-4Rk,
- (31) -C≡C-CH2SRa oder
- (32) -C≡C-CH2SO2Ra,
- (1) -H,
- (2) -C1-4-Alkyl,
- (3) -(CH2)0-2CF3,
- (4) -O-C1-4-Alkyl,
- (5) -O-(CH2)0-2CF3,
- (6) -OH,
- (7) Halogen, ausgewählt aus -F, -Cl und -Br,
- (8) -CN,
- (9) -(CH2)1-3ORa,
- (10) -(CH2)0-2C(=O)Ra,
- (11) -(CH2)0-2CO2Ra,
- (12) -(CH2)0-2SRa,
- (13) -N(Ra)2,
- (14) -(CH2)1-3N(Ra)2,
- (15) -(CH2)0-2C(=O)N(Ra)2,
- (16) -C1-4-Alkyl-N(Ra)-C(Ra)=O,
- (17) -SO2Ra,
- (18) -N(Ra)SO2Ra,
- (19) -O-(CH2)1-4ORa,
- (20) -O-(CH2)1-4SRa,
- (21) -O-(CH2)1-4NH-CO2Ra,
- (22) -O-(CH2)2-4N(Ra)2,
- (23) -N(Ra)-(CH2)1-4SRa,
- (24) -N(Ra)-(CH2)1-4ORa,
- (25) -N(Ra)-(CH2)1-4N(Ra)2,
- (26) -N(Ra)-(CH2)1-4N(Ra)-C(Ra)=O,
- (27) -Rk,
- (28) -(CH2)1-4H, substituiert mit 1 oder 2 Rk-Gruppen,
- (29) -O-Rk,
- (30) -O-(CH2)1-4Rk,
- (31) S(O)n-Rk,
- (32) -S(O)n-(CH2)1-4Rk,
- (33) -O-(CH2)1-4ORk,
- (34) -O-(CH2)1-4-O-(CH2)1-4Rk,
- (35) -O-(CH2)1-4SRk oder
- (36) -(CH2)0-4N(Rb)(Rk),
- (1) -H,
- (2) Halogen, ausgewählt aus -F, -Cl und -Br,
- (3) -CN,
- (4) -OH,
- (5) C1-4-Alkyl,
- (6) -(CH2)0-2CF3,
- (7) -O-C1-4-Alkyl oder
- (8) -O(CH2)0-2CF3,
- (1) -H,
- (2) -C1-4-Alkyl,
- (3) -(CH2)1-4N(Ra)2,
- (4) -(CH2)1-4CO2R2,
- (5) Phenyl, gegebenenfalls substituiert mit 1 bis 3 Substituenten, unabhängig ausgewählt aus Halogen, C1-4-Alkyl, -(CH2)0-2CF3, -O-C1-4-Alkyl, -O(CH2)0-2CF3, -S-C1-4-Alkyl, -CN und -OH, oder
- (6) -(CH2)1-4-Phenyl,
- (1) -H,
- (2) -C1-4-Alkyl,
- (3) -CF3,
- (4) -Rk oder
- (5) -(CH2)1-4-Rk,
- (1) -H,
- (2) -C1-4-Alkyl,
- (3) -(CH2)1-4N(Ra)2 oder
- (4) -(CH2)1-4-Phenyl, wobei das Phenyl gegebenenfalls substituiert ist mit 1 bis 3 Substituenten, unabhängig ausgewählt aus Halogen, C1-4-Alkyl, C1-4-Fluoralkyl, O-C1-4-Alkyl, -O-C1-4-Fluoralkyl, -S-C1-4-Alkyl, -CN und -OH, und
- (1) Aryl, ausgewählt aus Phenyl und Naphthyl, wobei Aryl unsubstituiert oder substituiert ist mit 1 bis 4 Substituenten, unabhängig ausgewählt aus: (a) Halogen, (b) C1-4-Alkyl, (c) C1-4-Fluoralkyl, (d) O-C1-4-Alkyl, (e) -O-C1-4-Fluoralkyl, (f) Phenyl, (g) -S-C1-4-Alkyl, (h) -CN, (i) -OH, (j) Phenyloxy, unsubstituiert oder substituiert mit 1 bis 3 Substituenten, unabhängig ausgewählt aus: (i) Halogen, (ii) C1-4-Alkyl, (iii) C1-4-Fluoralkyl und (iv) -OH, (k) -N(Ra)2, (l) -C1-4-Alkyl-N(Ra)2, (m) -Rt, (p) -(CH2)0-3C(=O)N(Ra)2 und (q) -(CH2)0-3C(=O)Ra,
- (2) -C3-6-Cycloalkyl, unsubstituiert oder substituiert mit 1 bis 3 Substituenten, unabhängig ausgewählt aus: (a) Halogen, (b) C1-4-Alkyl, (c) -O-C1-4-Alkyl, (d) C1-4-Fluoralkyl, (e) -O-C1-4-Fluoralkyl, (f) -CN, (h) Phenyl und (j) -OH,
- (3) -C3-6-Cycloalkyl, kondensiert mit einem Phenylring, unsubstituiert oder substituiert mit 1 bis 4 Substituenten, unabhängig ausgewählt aus: (a) Halogen, (b) C1-4-Alkyl, (c) -O-C1-4-Alkyl, (d) C1-4-Fluoralkyl, (e) -O-C1-4-Fluoralkyl, (f) -CN und (g) -OH,
- (4) ein 5- oder 6-gliedriger heteroaromatischer Ring, ausgewählt aus Thienyl, Pyridyl, Imidazolyl, Pyrrolyl, Pyrazolyl, Thiazolyl, Isothiazolyl, Oxazolyl, Isoxazolyl, Pyrazinyl, Pyrimidinyl, Triazolyl, Tetrazolyl, Furanyl und Pyridazinyl, wobei der heteroaromatische Ring am Stickstoff oder Kohlenstoff unsubstituiert oder substituiert ist mit 1 bis 4 Substituenten, unabhängig ausgewählt aus: (a) Halogen, (b) C1-4-Alkyl, (c) C1-4-Fluoralkyl, (d) -O-C1-4-Alkyl, (e) -O-C1-4-Fluoralkyl, (f) Phenyl, (g) -S-C1-6-Alkyl, (h) -CN, (i) -OH, (j) Phenyloxy, unsubstituiert oder substituiert mit 1 bis 3 Substituenten, unabhängig ausgewählt aus: (i) Halogen, (ii) C1-4-Alkyl, (iii) C1-4-Fluoralkyl und (iv) -OH, (k) -N(Ra)2, (l) -C1-4-Alkyl-N(Ra)2, (m) -Rt, (n) Oxo, (o) -(CH2)0-3C(=O)N(Ra)2 und (p) -(CH2)0-3C(=O)Ra,
- (5) ein 5- oder 6-gliedriger gesättigter heterocyclischer Ring, ausgewählt aus Piperidinyl, Morpholinyl, Thiomorpholinyl, Thiazolidinyl, Isothiazolidinyl, Oxazolidinyl, Isoxazolidinyl, Pyrrolidinyl, Imidazolidinyl, Piperazinyl, Tetrahydrofuranyl und Pyrazolidinyl, wobei der heterocyclische Ring unsubstituiert oder substituiert ist mit 1 bis 3 Substituenten, unabhängig ausgewählt aus: (a) Halogen, (b) C1-4-Alkyl, (c) O-C1-4-Alkyl, (d) C1-4-Fluoralkyl, (e) -O-C1-4-Fluoralkyl, (f) -CN, (g) =O, (h) Phenyl, (i) Benzyl, (j) Phenylethyl, (k) -OH, (l) -(CH2)0-3C(=O)N(Ra)2, (m) -(CH2)0-3C(=O)Ra, (n) -N(Ra)-C(=O)Ra, (o) -N(Ra)-C(=O)ORa, (p) -(CH2)1-3N(Ra)-C(=O)Ra, (q) -N(Ra)2, (r) -(CH2)1-3N(Ra)2, (s) -(CH2)0-3C(=O)Rt, (t) -Rt, (u) -N(Ra)Rt und (v) -(CH2)1-3Rt, oder
- (6) ein 8- bis 10-gliedriger heterobicyclischer Ring, ausgewählt aus Indolyl, Benzotriazolyl, Benzoimidazolyl, Imidazo[4.5-b]pyridinyl, Dihydroimidazo[4,5-b]pyridinyl, Pyrazolo[4,3-c]pyridinyl, Dihydropyrazolo[4,3-c]pyridinyl, Tetrahydropyrazolo[4,3-c]pyridinyl, Pyrrolo[1,2-a]pyrazinyl, Dihydropyrrolo[1,2-a]pyrazinyl, Tetrahydropyrrolo[1,2-a]pyrazinyl, Octahydropyrrolo[1,2-a]pyrazinyl, Isoindolyl, Indazolyl, Indolinyl, Isoindolinyl, Chinolinyl, Isochinolinyl, Chinoxalinyl, Chinazolinyl, Cinnolinyl, Chromanyl und Isochromanyl, wobei der bicyclische Ring unsubstituiert oder substituiert ist mit 1 oder 2 Substituenten, unabhängig ausgewählt aus: (a) Halogen, (b) C1-4-Alkyl, (c) -O-C1-4-Alkyl, (d) C1-4-Fluoralkyl, (e) -O-C1-4-Fluoralkyl, (f) -CN, (g) =O und (h) -OH,
-
- (i) ein 4- bis 7-gliedriger gesättigter oder ungesättigter monocyclischer Heterocyclus, der 1 bis 4 Stickstoffatome, null bis 2 Heteroatome, ausgewählt aus Sauerstoff und Schwefel, und als Rest Kohlenstoffatome enthält, wobei wenigstens eines der Ringatome Kohlenstoff ist,
- (ii) ein 7- bis 11-gliedriger kondensierter bicyclischer Heterocyclus, wobei jeder Ring davon gesättigt oder ungesättigt ist, wobei der kondensierte bicyclische Heterocyclus 1 bis 6 Heteroatome, ausgewählt aus Stickstoff, Sauerstoff und Schwefel, und als Rest Kohlenstoffatome enthält, wobei wenigstens zwei der Ringatome Kohlenstoff sind, oder
- (iii) ein 11- bis 15-gliedriger kondensierter tricyclischer Heterocyclus, wobei jeder Ring davon gesättigt oder ungesättigt ist, wobei der kondensierte tricyclische Heterocyclus 1 bis 6 Stickstoffatome, null bis 3 Heteroatome, ausgewählt aus Sauerstoff und Schwefel, und als Rest Kohlenstoffatome enthält, wobei wenigstens drei der Ringatome Kohlenstoff sind,
- (i) eine Einfachbindung oder
- (ii) -(CH2)1-3-, gegebenenfalls substituiert mit 1 oder 2 Substituenten, unabhängig ausgewählt aus der Gruppe, bestehend aus -OH, Methyl, Ethyl, -CO2CH3, -CO2CH2-Phenyl, Phenyl, Benzyl, -(CH2)1-2OH, -CH(OH)-Phenyl und -CH(NH2)-Phenyl,
- (1) -H,
- (2) Methyl,
- (3) Ethyl,
- (4) CF3,
- (5) Methoxy,
- (6) Ethoxy,
- (7) -OCF3,
- (8) Halogen, ausgewählt aus -F, -Cl und -Br,
- (9) -CN,
- (10) -CH2OH,
- (11) -CH2OCH3,
- (12) -(CH2)0-2-CO2CH3,
- (13) -SRa,
- (14) -N(Ra)2,
- (15) -SO2Ra,
- (16) -C≡C-CH2ORa,
- (17) -N(Ra)-(CH2)1-3SRa,
- (18) -N(Ra)-(CH2)1-3ORa,
- (19) -N(Ra)-(CH2)1-3N(Ra)2,
- (20) -N(Ra)-(CH2)1-3N(Ra)-C(Ra)=O,
- (21) -Rk,
- (22) -(CH2)1-4Rk,
- (23) -C≡–C-CH2Rk,
- (24) -O-Rk,
- (25) -S-Rk,
- (26) -SO2-Rk,
- (27) -N(Rc)-Rk,
- (28) -N(Rc)-(CH2)1-4H, substituiert mit einer oder zwei Rk-Gruppen,
- (29) -N(Rc)-(CH2)1-4ORk,
- (30) -C(=O)N-(CH2)1-4Rk,
- (31) -C≡C-CH2SRa oder
- (32) -C≡C-CH2SO2Ra,
- (1) -H,
- (2) Methyl,
- (3) Ethyl,
- (4) CF3,
- (5) Methoxy,
- (6) Ethoxy,
- (7) -OCF3,
- (8) Halogen, ausgewählt aus -F, -Cl und -Br,
- (9) -CN,
- (10) -CH2ORa,
- (11) -CO2Ra,
- (12) -SRa,
- (13) -N(Ra)2,
- (14) -(CH2)1-3N(Ra)2,
- (15) -SO2Ra,
- (16) -(CH2)1-2N(Ra)-C(Ra)=O,
- (17) -Rk,
- (18) -(CH2)1-3H, substituiert mit 1 oder 2 Rk-Gruppen,
- (19) -O-Rk oder
- (20) -O-(CH2)1-3Rk,
- (1) -H,
- (2) Methyl,
- (3) -(CH2)1-2N(Ra)2,
- (4) -(CH2)1-2CO2CH3 oder
- (5) -(CH2)1-2CO2CH2CH3,
- (6) Phenyl oder
- (7) Benzyl,
- (1) Phenyl, unsubstituiert oder substituiert mit 1 bis 4 Substituenten, unabhängig ausgewählt aus: (a) Halogen, ausgewählt aus -F, -Cl und -Br, (b) Methyl, (c) -CF3, (d) Methoxy, (e) -OCF3, (f) Phenyl, (g) -S-CH3, (h) -CN, (i) -OH, (j) Phenyloxy, unsubstituiert oder substituiert mit 1 bis 3 Substituenten, unabhängig ausgewählt aus: (i) Halogen, ausgewählt aus -F, -Cl und -Br, (ii) Methyl, (iii) -CF3 und (iv) -OH, (k) -N(Ra)2, (l) -(CH2)1-3N(Ra)2, (m) -Rt, (p) -(CH2)0-3C(=O)N(Ra)2 und (q) -(CH2)0-3C(=O)Ra,
- (2) -C3-6-Cycloalkyl, unsubstituiert oder substituiert mit 1 bis 3 Substituenten, unabhängig ausgewählt aus (a) Halogen, ausgewählt aus -F, -Cl und -Br, (b) Methyl, (c) -CF3, (d) Methoxy, (e) -OCF3, (f) -CN, (h) Phenyl und (j) -OH,
- (3) ein 5- oder 6-gliedriger heteroaromatischer Ring, ausgewählt aus Thienyl, Pyridyl, Imidazolyl, Pyrrolyl, Pyrazolyl, Thiazolyl, Isothiazolyl, Oxazolyl, Isoxazolyl, Pyrazinyl, Pyrimidinyl, Triazolyl, Tetrazolyl, Furanyl und Pyridazinyl, wobei der heteroaromatische Ring am Stickstoff oder Kohlenstoff unsubstituiert oder substituiert ist mit 1 oder 2 Substituenten, unabhängig ausgewählt aus: (a) Halogen, ausgewählt aus -F, -Cl und -Br, (b) Methyl, (c) -CF3, (d) Methoxy, (e) -OCF3, (f) Phenyl, (g) -S-C1-6-Alkyl, (h) -CN, (i) -OH, (j) Phenyloxy, unsubstituiert oder substituiert mit 1 bis 3 Substituenten, unabhängig ausgewählt aus: (i) Halogen, ausgewählt aus -F, -Cl und -Br, (ii) Methyl, (iii) -CF3 und (iv) -OH, (k) N(Ra)2, (l) -C1-6-Alkyl-N(Ra)2, (m) -Rt, (n) Oxo, (o) -(CH2)0-3C(=O)N(Ra)2 und (p) -(CH2)0-3C(=O)Ra,
- (4) ein 5- oder 6-gliedriger gesättigter heterocyclischer Ring, ausgewählt aus Piperidinyl, Morpholinyl, Thiomorpholinyl, Thiazolidinyl, Isothiazolidinyl, Oxazolidinyl, Isoxazolidinyl, Pyrrolidinyl, Imidazolidinyl, Piperazinyl, Tetrahydrofuranyl und Pyrazolidinyl, wobei der heterocyclische Ring unsubstituiert oder substituiert ist mit 1 oder 2 Substituenten, unabhängig ausgewählt aus: (a) Halogen, ausgewählt aus -F, -Cl und -Br, (b) Methyl, (c) -CF3, (d) Methoxy, (e) -OCF3, (f) -CN, (g) =O, (h) Phenyl, (i) Benzyl, (j) Phenylethyl, (k) -OH, (l) -(CH2)0-3C(=O)N(Ra)2, (m) -(CH2)0-3C(=O)Ra, (n) N(Ra)-C(=O)Ra, (o) N(Ra)-C(=O)ORa, (p) (CH2)1-3N(Ra)-C(=O)Ra, (q) N(Ra)2, (r) (CH2)1-3N(Ra)2, (s) -(CH2)0-3C(=O)Rt, (t) -Rt, (u) -N(Ra)Rt und (v) -(CH2)1-3Rt, und
- (5) ein 8- bis 10-gliedriger heterobicyclischer Ring, ausgewählt aus Indolyl, Benzotriazolyl, Benzoimidazolyl, Imidazo[4,5-b]pyridinyl, Dihydroimidazo[4,5-b]pyridinyl, Pyrazolo[4,3-c]pyridinyl, Dihydropyrazolo[4,3-c]pyridinyl, Tetrahydropyrazolo[4,3-c]pyridinyl, Pyrrolo[1,2-a]pyrazinyl, Dihydropyrrolo[1,2-a]pyrazinyl, Tetrahydropyrrolo[1,2-a]pyrazinyl, Octahydropyrrolo[1,2-a]pyrazinyl, Isoindolyl, Indazolyl, Indolinyl, Isoindolinyl, Chinolinyl, Isochinolinyl, Chinoxalinyl, Chinazolinyl, Cinnolinyl, Chromanyl und Isochromanyl, wobei der bicyclische Ring unsubstituiert oder substituiert ist mit 1 oder 2 Substituenten, unabhängig ausgewählt aus: (a) Halogen, ausgewählt aus -F, -Cl und -Br, (b) Methyl, (c) -CF3, (d) Methoxy, (e) -OCF3, (f) -CN, (g) =O und (h) -OH,
-
- (i) ein monocyclischer Heterocyclus, ausgewählt aus der Gruppe, bestehend aus Pyrrolyl, Pyrazolyl, Imidazolyl, Triazolyl, Tetrazolyl, Pyridyl, Pyrazinyl, Pyrimidinyl, Pyrazidinyl, Oxazolyl, Isoxazolyl, Thiazolyl, Isothiazolyl, Pyrrolidinyl, Pyrazolidinyl, Imidazolinyl, Piperidinyl, Piperazinyl, Thiazolidinyl, Isothiazolidinyl und Morpholinyl,
- (ii) ein kondensierter bicyclischer Heterocyclus, ausgewählt aus der Gruppe, bestehend aus Indolyl, Isoindolyl, Phthalazinyl, Purinyl, Chinoxalinyl, Chinazolinyl, Cinnolinyl, 1,6-Naphthyridinyl, 1,8-Naphthyridinyl, Benzimidazolyl, Chinolinyl, Isochinolinyl, Indazolyl, Dihydroindolyl, Dihydroisoindolyl, Tetrahydrochinolyl, Tetrahydroisochinolyl, Imidazo[1,2- a]pyrimidinyl, 2,3-Dihydroimidazo[2,1-b][1,3]thiazolyl, Benzazepinyl, Dihydrobenzazepinyl, Benzodiazepinyl, Dihydrobenzodiazepinyl, Tetrahydrobenzodiazepinyl und Benzothiazolyl, oder
- (iii) ein kondensierter tricyclischer Heterocyclus, ausgewählt aus der Gruppe, bestehend aus Phenothiazinyl, Carbazolyl, beta-Carbolinyl, Tetrahydro-beta-carbolinyl, Acridinyl, Phenazinyl und Phenoxazinyl,
- (1) Phenyl, das unsubstituiert oder substituiert ist mit 1 bis 2 Substituenten, unabhängig ausgewählt aus: (a) Halogen, ausgewählt aus -F, -Cl und -Br, (b) Methyl, (c) -CF3, (d) Methoxy, (e) -OCF3, (f) Phenyl, (g) -S-CH3, (h) -CN, (i) -OH, (j) Phenyloxy, (k) -N(Ra)2, (l) -(CH2)1-3N(Ra)2, (m) -Rt, (p) -(CH2)0-3C(=O)N(Ra)2 und (q) -(CH2)0-3C(=O)Ra,
- (2) -C3-6-Cycloalkyl,
- (3) ein 5- oder 6-gliedriger heteroaromatischer Ring, ausgewählt aus Thienyl, Pyridyl, Imidazolyl, Pyrrolyl, Pyrazolyl, Thiazolyl, Isothiazolyl, Pyrazinyl, Pyrimidinyl, Triazolyl und Tetrazolyl, wobei der heteroaromatische Ring am Stickstoff oder Kohlenstoff unsubstituiert oder substituiert ist mit 1 oder 2 Substituenten, unabhängig ausgewählt aus: (a) Halogen, ausgewählt aus -F, -Cl und -Br, (b) Methyl, (c) -CF3, (d) Methoxy, (e) -OCF3, (f) -S-C1-6-Alkyl, (g) -CN, (h) -OH, (i) -N(Ra)2, (j) -C1-6-Alkyl-N(Ra)2, (k) -Rt, (l) Oxo, (m) -(CH2)0-3C(=O)N(Ra)2 und (n) -(CH2)0-3C(=O)Ra,
- (4) ein 5- oder 6-gliedriger gesättigter heterocyclischer Ring, ausgewählt aus Piperidinyl, Morpholinyl, Thiomorpholinyl, Thiazolidinyl, Isothiazolidinyl, Oxazolidinyl, Isoxazolidinyl, Pyrrolidinyl, Imidazolidinyl und Piperazinyl, wobei der heterocyclische Ring unsubstituiert oder substituiert ist mit 1 oder 2 Substituenten, unabhängig ausgewählt aus: (a) Halogen, ausgewählt aus -F, -Cl und -Br, (b) Methyl, (c) -CF3, (d) Methoxy, (e) -OCF3, (f) -CN, (g) =O, (h) Phenyl, (i) Benzyl, (j) Phenylethyl, (k) -OH, (l) -(CH2)0-3C(=O)N(Ra)2, (m) -(CH2)0-3C(=O)Ra, (n) N(Ra)-C(=O)Ra, (o) N(Ra)-C(=O)ORa, (p) (CH2)1-3N(Ra)-C(=O)Ra, (q) N(Ra)2, (r) (CH2)1-3N(Ra)2, (s) -(CH2)0-3C(=O)Rt, (t) -Rt, (u) -N(Ra)Rt und (v) -(CH2)1-3Rt, und
- (5) ein 8- bis 10-gliedriger heterobicyclischer Ring, ausgewählt aus Indolyl, Imidazo[4,5-b]pyridinyl, Dihydroimidazo[4,5-b]pyridinyl, Pyrazolo[4,3-c]pyridinyl, Dihydropyrazolo[4,3-c]pyridinyl, Tetrahydropyrazolo[4,3-c]pyridinyl, Pyrrolo[1,2-a]pyrazinyl, Dihydropyrrolo[1,2-a]pyrazinyl, Tetrahydropyrrolo[1,2-a]pyrazinyl, Octahydropyrrolo[1,2-a]pyrazinyl, Isoindolyl, Indazolyl, Indolinyl, Isoindolinyl, Chinolinyl, Isochinolinyl, Chinoxalinyl und Chinazolinyl, wobei der bicyclische Ring unsubstituiert oder substituiert ist mit 1 oder 2 Substituenten, unabhängig ausgewählt aus: (a) Halogen, ausgewählt aus -F, -Cl und -Br, (b) Methyl, (c) -CF3, (d) Methoxy, (e) -OCF3, (f) -CN, (g) =O und (h) -OH, und
- Eine erste Unterklasse der vorliegenden Erfindung sind Verbindungen der Formel IV, wobei:
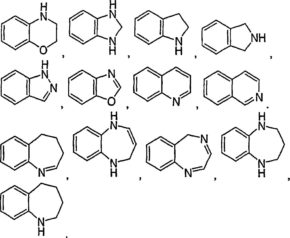
A ist - (i) ein monocyclischer Heterocyclus, ausgewählt aus der Gruppe, bestehend aus Pyrrolyl, Pyrazolyl, Imidazolyl, Triazolyl, Tetrazolyl, Pyridyl, Oxazolyl, Isoxazolyl, Thiazolyl, Pyrrolidinyl, Piperidinyl, Piperazinyl, Thiazolidinyl und Morpholinyl,
- (ii) ein kondensierter bicyclischer Heterocyclus, ausgewählt aus der Gruppe, bestehend aus Indolyl, Isoindolyl, Phthalazinyl, Benzimidazolyl, Chinolinyl, Isochinolinyl, Dihydroindolyl, Dihydroisoindolyl, Tetrahydrochinolyl, Tetrahydroisochinolyl, Imidazo[1,2-a]pyrimidinyl, 2,3-Dihydroimidazo[2,1-b][1,3]thiazolyl, Benzazepinyl, Dihydrobenzazepinyl, Benzodiazepinyl, Dihydrobenzodiazepinyl, Benzothiazolyl und Tetrahydrobenzodiazepinyl, oder
- (iii) ein kondensierter tricyclischer Heterocyclus, ausgewählt aus der Gruppe, bestehend aus Phenothiazinyl, beta-Carbolinyl und Tetrahydro-beta-carbolinyl,
- Bei einem Aspekt der ersten Unterklasse ist A ausgewählt aus der Gruppe, bestehend aus Indolyl, Phenothiazinyl, Benzimidazolyl, Phthalazinyl und Dihydroimidazothiazolyl.
- Bei einem weiteren Aspekt der ersten Unterklasse ist A Indolyl.
- Beispielhafte Verbindungen der Erfindung sind u.a. Verbindungen, ausgewählt aus der Gruppe, bestehend aus
2-({[(8-Hydroxy-1,6-naphthyridin-7-yl)carbonyl]amino}methyl)-1H-benzimidazol,
8-Hydroxy-N-[2-(1H-indol-3-yl)ethyl]-1,6-naphthyridin-7-carboxamid,
N-{2-[2-(3,4-Dimethoxyphenyl)-1H-indol-3-yl]ethyl}-8-hydroxy-1,6-naphthyridin-7-carboxamid,
8-Hydroxy-N-[(2-oxo-2,3-dihydro-1H-indol-3-yl)methyl]-1,6-naphthyridin-7-carboxamid,
8-Hydroxy-N-[2-(10H-phenothiazin-10-yl)ethyl]-1,6-naphthyridin-7-carboxamid,
8-Hydroxy-N-[2-(2-methyl-1-phenyl-1H-indol-3-yl)ethyl]-1,6-naphthyridin-7-carboxamid,
8-Hydroxy-N-(1H-indol-6-ylmethyl)-1,6-naphthyridin-7-carboxamid,
8-Hydroxy-N-(1H-indol-2-ylmethyl)-1,6-naphthyridin-7-carboxamid,
8-Hydroxy-N-[(4-oxo-3,4-dihydrophthalazin-1-yl)methyl]-1,6-naphthyridin-7-carboxamid,
tert.-Butyl-3-({[(8-hydroxy-1,6-naphthyridin-7-yl)carbonyl]amino}methyl)-1H-indol-1-carboxylat,
8-Hydroxy-N-(1H-indol-3-ylmethyl)-1,6-naphthyridin-7-carboxamid,
6-({[(8-Hydroxy-1,6-naphthyridin-7-yl)carbonyl]amino}methyl)-2,3-dihydroimidazo[2,1-b][1,3]thiazol,
8-Hydroxy-N-(4-pyridinylmethyl)[1,6]naphthyridin-7-carboxamid,
8-Hydroxy-N-(2-pyridinylmethyl)[1,6]naphthyridin-7-carboxamid,
und pharmazeutisch annehmbare Salze davon. - Weitere Ausführungsformen der Erfindung sind u.a. Verbindungen der Formel (I), (II), (III) oder (IV), wobei jede Variable unabhängig wie in irgendeiner/m der vorhergehenden Ausführungsformen, Klassen, Unterklassen oder Aspekte definiert ist.
- Weitere Ausführungsformen der vorliegenden Erfindung sind u.a. die folgenden:
- (a) Eine pharmazeutische Zusammensetzung, die eine Verbindung der Formel (I) und einen pharmazeutisch annehmbaren Träger enthält.
- (b) Die pharmazeutische Zusammensetzung (a), die ferner wenigstens ein antivirales Mittel enthält, ausgewählt aus der Gruppe, bestehend aus HIV-Protease-Inhibitoren, Nichtnukleosid-HIV-Reverse-Transkriptase-Inhibitoren und Nukleosid-HIV-Reverse-Transkriptase-Inhibitoren.
- (c) Ein Verfahren zur Inhibierung von HIV-Integrase bei einem Subjekt, das diese benötigt, umfassend die Verabreichung einer therapeutisch wirksame Menge einer Verbindung der Formel (I) an das Subjekt.
- (d) Ein Verfahren zur Prävention oder Behandlung einer HIV-Infektion bei einem Subjekt, das diese benötigt, umfassend die Verabreichung einer therapeutisch wirksamen Menge einer Verbindung der Formel (I) an das Subjekt.
- (e) Das Verfahren (d), wobei die Verbindung der Formel (I) in Kombination mit einer therapeutisch wirksamen Menge von wenigstens einem antiviralen Mittel, ausgewählt aus der Gruppe, bestehend aus HIV-Protease-Inhibitoren, Nichtnukleosid-HIV-Reverse-Transkriptase-Inhibitoren und Nukleosid-HIV-Reverse-Transkriptase-Inhibitoren, verabreicht wird.
- (f) Ein Verfahren zur Prävention, Behandlung oder Verzögerung des Ausbruchs von AIDS bei einem Subjekt, das diese benötigt, umfassend die Verabreichung einer therapeutisch wirksamen Menge einer Verbindung der Formel (I) an das Subjekt.
- (g) Das Verfahren (f), wobei die Verbindung in Kombination mit einer therapeutisch wirksamen Menge von wenigstens einem antiviralen Mittel, ausgewählt aus der Gruppe, bestehend aus HIV-Protease-Inhibitoren, Nichtnukleosid-HIV-Reverse-Transkriptase-Inhibitoren und Nukleosid-HIV-Reverse-Transkriptase-Inhibitoren, verabreicht wird.
- (h) Ein Verfahren zur Inhibierung von HIV-Integrase bei einem Subjekt, das diese benötigt, umfassend die Verabreichung einer therapeutisch wirksamen Menge der Zusammensetzung (a) oder (b) an das Subjekt.
- (i) Ein Verfahren zur Prävention oder Behandlung einer HIV-Infektion bei einem Subjekt, das diese benötigt, umfassend die Verabreichung einer therapeutisch wirksamen Menge der Zusammensetzung (a) oder (b) an das Subjekt.
- (j) Ein Verfahren zur Prävention, Behandlung oder Verzögerung des Ausbruchs von AIDS bei einem Subjekt, das diese benötigt, umfassend die Verabreichung einer therapeutisch wirksamen Menge der Zusammensetzung (a) oder (b) an das Subjekt. Noch weitere Ausführungsformen der vorliegenden Erfindung sind u.a. die folgenden:
- (k) Eine pharmazeutische Zusammensetzung, die das Produkt enthält, das durch Kombination (z.B. Vermischen) einer wirksamen Menge einer Verbindung der Formel (I) und eines pharmazeutisch annehmbaren Trägers hergestellt wird.
- (l) Eine Kombination, die zur Inhibierung von HIV-Integrase, zur Behandlung oder Prävention einer HIV-Infektion oder zur Prävention, Behandlung oder Verzögerung de Ausbruchs von AIDS geeignet ist, welche eine therapeutisch wirksame Menge einer Verbindung der Formel (I) und eine therapeutisch wirksame Menge eines Mittels zur Behandlung von HIV-Infektion/AIDS, ausgewählt aus der Gruppe, bestehend aus antiviralen HIV/AIDS-Mitteln, Immunmodulatoren und Antiinfektiva, ist.
- (m) Die Kombination (l), wobei das Mittel zur Behandlung von HIV-Infektion/AIDS ein antivirales Mittel ist, ausgewählt aus der Gruppe, bestehend aus HIV-Protease-Inhibitoren, Nichtnukleosid-HIV-Reverse-Transkriptase-Inhibitoren und Nukleosid-HIV-Reverse-Transkriptase-Inhibitoren.
- Weitere Ausführungsform der Erfindung sind u.a. die pharmazeutischen Zusammensetzungen und Verfahren, die in den obigen Punkten (a)–(j) angegeben sind, und die Zusammensetzungen und Kombinationen, die in (k)–(m) angegeben sind, wobei die darin verwendete Verbindung eine Verbindung nach einer der Ausführungsformen, Klassen, Unterklassen oder Aspekte der oben beschriebenen Verbindung ist. Bei allen diesen Ausführungsformen kann die Verbindung gegebenenfalls in Form eines pharmazeutisch annehmbaren Salzes verwendet werden.
- Wie zuvor erwähnt, umfasst die vorliegende Erfindung auch die Verwendung einer Verbindung der Formel (I-A): oder eines pharmazeutisch annehmbaren Salzes davon zur Inhibierung von HIV-Integrase, zur Prävention oder Behandlung einer HIV-Infektion oder zur Prävention, Behandlung oder Verzögerung des Ausbruchs von AIDS bei einem Subjekt, der diese benötigt, wobei A, R1, R2, R3, R4, R5, L, Q1, Q2, Q3 und Q4 jeweils unabhängig wie ursprünglich oben definiert oder wie in irgendeinem der obigen Ausführungsformen, Klassen, Unterklassen oder Aspekte definiert sind. In einem Aspekt ist die Verbindung der Formel (I-A) N-[2-(1H-Indol-3-yl)ethyl]-8-hydioxychinolin-7-carboxamid oder ein pharmazeutisch annehmbares Salz davon.
- Die vorliegende Erfindung umfasst auch Ausführungsformen für Verbindungen der Formel (I-A), die analog zu den Ausführungsformen (a)–(m) für Verbindungen der Formel (I) sind.
- So wie hierin verwendet, bedeutet die Bezeichnung "C1-6-Alkyl" (oder "C1-C6-Alkyl") lineare oder verzweigtkettige Alkylgruppen mit 1 bis 6 Kohlenstoffatomen und umfasst sämtliche Hexyl-Alkyl- und Pentyl-Alkylisomere sowie n-, Iso-, sek.- und t-Butyl, n- und Isopropyl, Ethyl und Methyl. "C1-4-Alkyl" bedeutet n-, Iso-, sek.- und t-Butyl, n- und Isopropyl, Ethyl und Methyl.
- Die Bezeichnung "C0", wie sie in Ausdrücken wie "C0-6-Alkyl" verwendet wird, bedeutet eine direkte kovalente Bindung.
- Die Bezeichnung "C2-5-Alkenyl" oder ("C2-C5-Alkenyl") bedeutet lineare oder verzweigtkettige Alkenylgruppen mit 2 bis 5 Kohlenstoffatomen und umfasst alle Pentenylisomere sowie 1-Butenyl, 2- Butenyl, 3-Butenyl, Isobutenyl, 1-Propenyl, 2-Propenyl und Ethenyl (oder Vinyl). Ähnliche Bezeichnungen, wie z.B. "C2-3-Alkenyl" haben eine analoge Bedeutung.
- Die Bezeichnung "C2-5-Alkinyl" oder ("C2-C5-Alkinyl") bedeutet lineare oder verzweigtkettige Alkinylgruppen mit 2 bis 5 Kohlenstoffatomen und umfasst alle Pentinylisomere sowie 1-Butinyl, 2-Butinyl, 3-Butinyl, 1-Propinyl, 2-Propinyl und Ethinyl (oder Acetylenyl). Ähnliche Bezeichnungen, wie z.B. "C2-3-Alkinyl" haben eine analoge Bedeutung.
- Die Bezeichnung "C3-7-Cycloalkyl" (oder "C3-C7-Cycloalkyl") bedeutet einen cyclischen Ring eines Alkan mit insgesamt drei bis sieben Kohlenstoffatomen (d.h. Cyclopropyl, Cyclobutyl, Cyclopentyl, Cyclohexyl oder Cycloheptyl). Die Bezeichnung "C3-6-Cycloalkyl" bedeutet einen cyclischen Ring, ausgewählt aus Cyclopropyl, Cyclobutyl, Cyclopentyl und Cyclohexyl. Bezeichnungen wie "C3-C5-Cycloalkyl" haben eine analoge Bedeutung.
- Die Bezeichnung "Halogen" (oder "Halo") bedeutet Fluor, Chlor, Brom und Iod (alternativ Fluoro, Chloro, Bromo und Iodo).
- Die Bezeichnung "Thio" (die auch "Thioxo" lauten kann) bedeutet zweiwertigen Schwefel, d.h. =S.
- Die Bezeichnung "C1-6-Halogenalkyl" (die alternativ "C1-C6-Haloalkyl" oder "halogeniertes C1-C6-Alkyl" lauten kann) bedeutet eine wie oben definierte lineare oder verzweigte C1- bis C6-Alkylgruppe mit einem oder mehreren Halogen-Substituenten. Die Bezeichnung "C1-4-Halogenalkyl" hat eine analoge Bedeutung.
- Die Bezeichnung "C1-6-Fluoralkyl" (die alternativ "C1-C6-Fluoralkyl" oder "fluoriertes C1-C6-Alkyl" lauten kann) bedeutet eine wie oben definierte lineare oder verzweigte C1- bis C6-Alkylgruppe mit einem oder mehreren Fluorsubstituenten. Die Bezeichnung "C1-4-Fluoralkyl" (oder "C1-C4-Fluoralkyl" oder "fluoriertes C1-C4-Alkyl) hat eine analoge Bedeutung. Repräsentative Beispiele für geeignete Fluoralkyle sind u.a. die Reihe (CH2)0-4CF3 (d.h. Trifluormethyl, 2,2,2-Trifluorethyl, 3,3,3-Trifluor-n-propyl usw.), 1-Fluorethyl, 2-Fluorethyl, 2,2-Difluorethyl, 3,3,3-Trifluorisopropyl, 1,1,1,3,3,3-Hexafluorisopropyl und Perfluorhexyl.
- Die Bezeichnung "Carbocyclus" (und Varianten davon, wie z.B. "carbocyclisch" oder "Carbocyclyl"), so wie sie hierin allgemein verwendet wird, bedeutet einen monocyclischen gesättigten oder ungesättigten C3- bis C8-Ring oder ein bicyclisches C7- bis C12-Ringsystem, bei dem die Ringe unabhängig oder kondensiert sind und wobei jeder Ring gesättigt oder ungesättigt ist. Der Carbocyclus kann an ein beliebiges Kohlenstoffatom gebunden sein, wenn dabei eine stabile Verbindung resultiert. Die kondensierten bicyclischen Carbocyclen sind eine Unterklasse der Carbocyclen, d.h., die Bezeichnung "kondensierter bicyclischer Carbocyclus" bedeutet im Allgemeinen ein bicyclisches C7- bis C10-Ringsystem, wobei jeder Ring gesättigt oder ungesättigt ist und zwei benachbarte Kohlenstoffatome von jedem der Ringe in dem Ringsystem geteilt werden. Eine Unterklasse der kondensierten bicyclischen Carbocyclen sind diejenigen kondensierten bicyclischen Carbocyclen, bei denen ein Ring ein Benzolring ist und der andere Ring gesättigt oder ungesättigt ist, mit Bindung über ein beliebiges Kohlenstoffatom, wobei eine stabile Verbindung resultiert. Repräsentative Beispiele für diese Unterklasse sind die folgenden:
-
- Die Bezeichnung "Aryl" bedeutet aromatische mono- und polycarbocyclische Ringsysteme, wobei die einzelnen carbocyclischen Ringe in den Polyringsystemen kondensiert oder durch eine Einfachbindung miteinander verbunden sein können. Geeignete Arylgruppen sind u.a. Phenyl, Naphthyl und Biphenyl, ohne jedoch darauf beschränkt zu sein.
- Die Bezeichnung "Heterocyclus" (und Varianten davon, wie z.B. "heterocyclisch" oder "Heterocyclyl") bedeutet allgemein einen 4- bis 8-gliedrigen monocyclischen Ring, ein 7- bis 12-gliedriges bicyclisches Ringsystem oder ein 11- bis 16-gliedriges tricyclisches Ringsystem, wobei jeder dieser Ringe gesättigt oder ungesättigt ist und aus Kohlenstoffatomen und einem oder mehreren Heteroatomen, ausgewählt aus N, O und S, besteht und wobei die Stickstoff- und Schwefel-Heteroatome gegebenenfalls oxidiert sein können und das Stickstoff-Heteroatom gegebenenfalls quaternisiert sein kann. Der heterocyclische Ring kann an ein beliebiges Heteroatom oder Kohlenstoffatom gebunden sein, mit der Maßgabe, dass die Bindung zur Erzeugung einer stabilen Struktur führt. Wenn der heterocyclische Ring Substituenten trägt, ist es zu verstehen, dass die Substituenten an ein beliebiges Atom im Ring gebunden sein können, egal ob Heteroatom oder Kohlenstoffatom, mit der Maßgabe, dass eine stabile chemische Struktur resultiert. Repräsentative Beispiele für Heterocyclen sind u.a. Piperidinyl, Piperazinyl, Azepinyl, Pyrrolyl, Pyrrolidinyl, Pyrazolyl, Pyrazolidinyl, Imidazolyl, Imidazolidinyl, Triazolyl, Tetrazolyl, Imidazolinyl, Pyridyl (oder Pyridinyl), Pyrazinyl, Pyrimidinyl, Pyridazinyl, Oxazolyl, Oxazolidinyl, Isoxazolyl, Isoxazolidinyl, Morpholinyl, Thiomorpholinyl, Thiazolyl, Thiazolidinyl, Isothiazolyl, Chinoxazolinyl, Isothiazolidinyl, Chinolinyl, Isochinolinyl, Benzimidazolyl, Thiadiazolyl, Benzopyranyl, Benzothiazolyl, Benzoazolyl, Furyl (oder Furanyl), Tetrahydrofuryl (oder Tetrahydrofuranyl), Tetrahydropuranyl, Thienyl (alternativ Thiophenyl), Benzothiophenyl, Oxadiazolyl und Benzo-1,3-dioxacyclopentyl (alternativ 1,3-Benzodioxolyl). Repräsentative Beispiele für Heterocyclen sind u.a. auch Tetrahydrothienyl, Tetrahydrodioxothienyl, Thiadiazinanyl, Dioxothiadiazinanyl, Thiazinanyl, Dioxothiazinanyl, Dioxothiazolidinyl und Isodioxothiazolidinyl. Repräsentative Beispiele für Heterocyclen sind auch u.a. die folgenden Bicyclen: Indolyl, Benzotriazolyl, Imidazo[4.5-b]pyridinyl, Dihydroimidazo[4,5-b]pyridinyl, Pyrazolo[4.3-c]pyridinyl, Dihydropyrazolo[4,3-c]pyridinyl, Tetrahydropyrazolo[4,3-c]pyridinyl, Pyrrolo[1,2-a]pyrazinyl, Dihydropyrrolo[1,2-a]pyrazinyl, Tetrahydropyrrolo[1,2-a]pyrazinyl, Octahydropyrrolo[1,2-a]pyrazinyl, isoindolyl, Indazolyl, Indolinyl, Isoindolinyl, Chinoxalinyl, Chinazolinyl, Cinnolinyl, Chromanyl und Isochromanyl. Weitere repräsentative Beispiele für Bicyclen sind u.a. die folgenden: Phthalazinyl, Purinyl, 1,6-Naphthyridinyl, 1,8-Naphthyridinyl, Dihydroindolyl, Dihydroisoindolyl, Tetrahydrochinolyl, Tetrahydroisochinolyl, Imidazo[1,2-a]pyrimidinyl, 2,3-Dihydroimidazo[1,2-b][1,3]thiazolyl, Benzazepinyl, Dihydrobenzazepinyl, Benzodiazepinyl, Dihydrobenzodiazepinyl und Tetrahydrobenzodiazepinyl. Repräsentative Beispiele für Heterocyclen sind u.a. auch die folgenden Tricyclen: Phenothiazinyl, Carbazolyl, beta-Carbolinyl, Tetrahydro-beta-carbolinyl, Acridinyl, Phenazinyl und Phenoxazinyl.
- Repräsentative Beispiele für Heterocyclen sind u.a. auch die folgenden ungesättigten Monocyclen: Hexahydropyrimidinyl, Thiazinanyl (z.B. 1,2-Thiazinanyl, alternativ Tetrahydro-1,2-thiazinyl genannt), Thiazepanyl (z.B. 1,4-Thiazepanyl, alternativ Hexahydro-1,4-thiazepinyl genannt), Azepanyl (alternativ Hexahydroazepinyl), Thiadiazepanyl (z.B. 1,2,5-Thiadiazepanyl), Dithiazepanyl (z.B. 1,5,2-Dithiazepanyl), Diazepanyl (z.B. 1,4-Diazepanyl) und Thiadiazinanyl (z.B. 1,2,6-Thiadiazinanyl).
-
- Repräsentative Beispiele für Heterocyclen umfassen auch die folgenden Bicyclen: Hexahydropyrazolo[4,3-c]pyridinyl (z.B. 3a,4,5,6,7,7a-Hexahydro-1H-pyrazolo[4,3-c]pyridinyl), Hexahydropurinyl (z.B. 2,3,4,5,6,7-Hexahydro-1H-purinyl), Hexahydrooxazolo[3,4-a]pyrazinyl und 1,2,3,4-Tetrahydro-1,8-naphthyridinyl.
- Heterocyclen mit kondensierten Ringen bilden einer Unterklasse der oben definierten Heterocyclen; z.B. bedeutet die Bezeichnung "kondensierter bicyclischer Heterocyclus" ein heteroatomhaltiges bicyclisches Ringsystem, wie es in dem vorhergehenden Abschnitt definiert ist, bei dem sich beide Ringe zwei benachbarte Atome teilen. Eine Unterklasse der Heterocyclen mit kondensierten Ringen bilden die kondensierten bicyclischen Heterocyclen, die Kohlenstoffatome und ein oder mehrere Heteroatome enthalten, ausgewählt aus Stickstoff, Sauerstoff und Schwefel, wobei ein Ring ein Benzolring ist und der andere ein gesättigter oder ungesättigter heteroatomhaltiger Ring ist. Repräsentative Beispiele für diese Unterklasse sind u.a., ohne jedoch darauf beschränkt zu sein, die folgenden:
- Die Bezeichnung "Heteromonocyclus" (und Varianten davon, wie z.B. "Heteromonocyclyl" oder "heteromonocyclisch") bedeutet einen 4- bis 8-gliedrigen monocyclischen Ring, der gesättigt oder ungesättigt ist und aus Kohlenstoffatomen und ein oder mehreren Heteroatomen, ausgewählt aus N, O und S, besteht, und wobei die Stickstoff- und Schwefel-Heteroatome gegebenenfalls oxidiert sein können und wobei das Stickstoff-Heteroatom gegebenenfalls quaternisiert sein kann. Der heterocyclische Ring kann an ein Heteroatom oder ein Kohlenstoffatom gebunden sein, mit der Maßgabe, dass die Bindung zur Bildung einer stabilen Struktur führt. Repräsentative Beispiele für Monoheterocyclen sind oben offenbart.
- Heteroaromaten bilden eine weitere Unterklasse der wie oben definierten Heterocyclen, d.h., die Bezeichnung "heteroaromatisch" (alternativ "Heteroaryl") bedeutet allgemein einen wie oben definierten Heterocyclus, bei dem das Ringsystem (egal ob mono- oder polycyclisch) ein aromatisches Ringsystem ist. Die Bezeichnung "heteroaromatischer Ring" bedeutet einen monocyclischen Heterocyclus, wie er oben definiert ist, welcher ein aromatischer Heterocyclus ist. Repräsentative Beispiele für Heteroaromaten sind u.a. Pyridyl, Pyrrolyl, Pyrazinyl, Pyrimidinyl, Pyridazinyl, Thienyl (oder Thiophenyl), Thiazolyl, Furanyl, Imidazolyl, Pyrazolyl, Triazolyl, Tetrazolyl, Oxazolyl, Isooxazolyl, Oxadiazolyl, Thiazolyl, Isothiazolyl und Thiadiazolyl.
- Sofern nicht das Gegenteil angegeben ist, ist ein "ungesättigter" Ring ein teilweise oder vollständig ungesättigter Ring. Zum Beispiel bedeutet ein "ungesättigter monocyclischer C6-Carbocyclus" Cyclohexen, Cyclohexadien und Benzol.
- Die vorliegende Erfindung umfasst pharmazeutische Zusammensetzungen, die sich zur Inhibierung von HIV-Integrase eignen und die eine wirksame Menge einer Verbindung dieser Erfindung und einen pharmazeutisch annehmbaren Träger enthalten. Pharmazeutische Zusammensetzungen, die sich zur Behandlung einer HIV-Infektion oder zur Behandlung von AIDS und ARC eignen, sind ebenfalls von der vorliegenden Erfindung umfasst, ebenso ein Verfahren zur Inhibierung von HIV-Integrase und ein Verfahren zur Behandlung einer HIV-Infektion oder zur Behandlung von AIDS oder ARC. Ferner betrifft die vorliegende Erfindung eine pharmazeutische Zusammensetzung, die eine therapeutisch wirksame Menge einer Verbindung der vorliegenden Erfindung in Kombination mit einer therapeutisch wirksamen Menge eines Mittels zur Behandlung einer HIV-Infektion oder AIDS, ausgewählt aus:
- (1) einem antiviralen Mittel, das sich zur Behandlung oder Prävention einer HIV-Infektion oder zur Behandlung von AIDS eignet (hierin auch als HIV/AIDS-Antivirusmittel bezeichnet),
- (2) einem Antiinfektivum und
- (3) einem Immunmodulator,
- Die vorliegende Erfindung umfasst auch eine Verbindung der vorliegenden Erfindung zur Verwendung zur (a) Inhibierung von HIV-Protease, (b) Prävention oder Behandlung einer HIV-Infektion oder (c) Prävention, Behandlung oder Verzögerung des Ausbruchs von AIDS oder ARC. Die vorliegende Erfindung umfasst auch die Verwendung einer Verbindung der vorliegenden Erfindung, wie sie oben beschrieben ist, als ein Medikament zur (a) Inhibierung von HIV-Integrase, (b) Prävention oder Behandlung einer HIV-Infektion oder (c) Prävention, Behandlung oder Verzögerung des Ausbruchs von AIDS oder ARC. Die vorliegende Erfindung umfasst ferner die Verwendung von irgendwelchen der oben beschriebenen HIV-Integrase inhibierenden Verbindungen der vorliegenden Erfindung in Kombination mit einem oder mehreren HIV/AIDS-Behandlungsmitteln, ausgewählt aus einem antiviralen HIV/AIDS-Mittel, einem Antiinfektivum und einem Immunmodulator, als ein Medikament zur (a) Inhibierung von HIV-Integrase, (b) Prävention oder Behandlung einer HIV-Infektion oder (c) Prävention, Behandlung oder Verzögerung des Ausbruchs von AIDS oder ARC, wobei das Medikament eine wirksame Menge der HIV-Integraseinhibitorverbindung und eine wirksame Menge des/der ein oder mehreren Behandlungsmittel enthält.
- Die vorliegende Erfindung umfasst auch die Verwendung einer oben beschriebenen Verbindung der vorliegenden Erfindung bei der Herstellung eines Medikaments zur (a) Inhibierung von HIV-Integrase, (b) Prävention oder Behandlung einer HIV-Infektion oder (c) Prävention, Behandlung oder Verzögerung des Ausbruchs von AIDS oder ARC.
- Die vorliegende Erfindung umfasst ferner die Verwendung von irgendwelchen der oben beschriebenen HIV-Integrase inhibierenden Verbindungen der vorliegenden Erfindung in Kombination mit einem oder mehreren HIV/AIDS-Behandlungsmitteln, ausgewählt aus einem antiviralen HIV/AIDS-Mittel, einem Antiinfektivum und einem Immunmodulator, zur Herstellung eines Medikaments zur (a) Inhibierung von HIV-Integrase, (b) Prävention oder Behandlung einer HIV-Infektion oder (c) Prävention, Behandlung oder Verzögerung des Ausbruchs von AIDS oder ARC, wobei das Medikament eine wirksame Menge der HIV-Integraseinhibitorverbindung und eine wirksame Menge des/der ein oder mehreren Behandlungsmittel enthält.
- Die Verbindungen der vorliegenden Erfindung können Asymmetriezentren besitzen und, außer wenn es speziell vermerkt ist, als Mischungen aus Stereoisomeren oder als einzelne Diastereomere oder Enantiomere auftreten, wobei alle isomeren Formen von der vorliegenden Erfindung umfasst sind.
- Wenn irgendeine Variable (z.B. Ra, Rb, Rc, Rk usw.) mehr als einmal in irgendeinem Bestandteil oder in Formel I oder in irgendeiner anderen Formel, die Verbindungen der Erfindung darstellt oder beschreibt, auftritt, ist ihre Definition bei jedem Auftreten unabhängig von ihrer Definition bei jedem weiteren Auftreten. Auch sind Kombinationen von Substituenten und/oder Variablen nur zulässig, wenn solche Kombinationen zu stabilen Verbindungen führen.
- Die Bezeichnung "substituiert" (z.B. wie in "Phenyl, unsubstituiert oder substituiert mit 1 bis 5 Substituenten...") umfasst die Mono- und Polysubstitution durch einen genannten Substituenten in dem Maße, wie eine solche einzelne und mehrfache Substitution chemisch erlaubt ist. Zum Beispiel kann ein Carbocyclus oder Heterocyclus, der mit mehr als einem Substituenten substituiert ist, mehrere Substituenten an demselben Ringatom bis zu dem Maße besitzen, wie es chemisch erlaubt ist. Ein Ring-Schwefelatom in einem gesättigten Heterocyclus kann zum Beispiel typischerweise mit 1 (-S(=O)-) oder mit 2 Oxogruppen (-SO2-) substituiert sein.
- Die Verbindungen der vorliegenden Erfindung sind zur Inhibierung von HIV-Integrase, zur Prävention oder Behandlung einer Infektion durch das humane Immunschwächevirus (HIV) und zur Behandlung von pathologischen Folgezuständen, wie z.B. AIDS, geeignet. Die Behandlung von AIDS oder die Prävention oder Behandlung einer HIV-Infektion ist derart definiert, dass sie, ohne jedoch darauf beschränkt zu sein, die Behandlung eines großen Bereichs an HIV-Infektionszuständen umfasst: AIDS, ARC (AIDS-bezogener Komplex), sowohl symptomatisch als auch asymptomatisch, und die tatsächliche oder potentielle HIV-Aussetzung. Zum Beispiel sind die Verbindungen dieser Erfindung zur Behandlung einer HIV-Infektion nach einem vermuteten früheren Inberührungkommen mit HIV, z.B. durch Bluttransfusion, Austausch von Körperflüssigkeiten, Bissen, versehentlichem Nadelstich oder Inberührungkommen mit Patientenblut während einer Operation, geeignet.
- Die Verbindungen dieser Erfindung eignen sich zur Herstellung und Durchführung von Screening-Assays für Antivirusverbindungen. Zum Beispiel sind die Verbindungen dieser Erfindung zur Isolierung von Enzymmutanten, die hervorragende Screening-Werkzeuge für stärkere Antivirusverbindungen sind, geeignet. Ferner sind die Verbindungen dieser Erfindung zur Feststellung oder Ermittlung der Bindungsstelle anderer antiviraler Mittel an HIV-Integrase geeignet, z.B. durch kompetitive Inhibierung. Somit sind die Verbindungen dieser Erfindung kommerzielle Produkte, die für diese Zwecke verkauft werden sollen.
- Die vorliegende Erfindung offenbart auch die Verwendung einer Verbindung der Formel (I-A) zur Herstellung einer pharmazeutischen Zusammensetzung, die zur Inhibierung von HIV-Integrase und zur Behandlung von AIDS oder ARC geeignet ist.
- Die Verbindungen der vorliegenden Erfindung können in Form von pharmazeutisch annehmbaren Salzen verabreicht werden. Die Bezeichnung "pharmazeutisch annehmbares Salz" soll alle annehmbaren Salze umfassen, wie z.B. Acetat, Lactobionat, Benzolsulfonat, Laurat, Benzoat, Malst, Hydrogencarbonat, Malest, Hydrogensulfat, Mandelat, Bitartrat, Mesylat, Borat, Methylbromid, Bromid, Methylnitrat, Calciumedetat, Methylsulfat, Caprylat, Mucat, Carbonat, Napsylat, Chlorid, Nitrat, Clavulanat, N- Methylglucamin, Citrat, Ammoniumsalz, Dihydrochiorid, Oleat, Edetat, Oxalat, Edisylat, Pamoat (Embonat), Estolat, Palmitat, Esylat, Pantothenat, Fumarat, Phosphat/Diphosphat, Gluceptat, Polygalacturonat, Gluconat, Salicylat, Glutamat, Stearat, Glycollylarsanilat, Sulfat, Hexylresorcinat, Subacetat, Hydrabamin, Succinat, Hydrobromid, Tannst, Hydrochlorid, Tartrat, Hydroxynaphthoat, Teoclat, Iodid, Tosylat, Isothionat, Triethiodid, Lactat, Pamoat, Valerat und dergleichen, die als Dosisform zur Modifizierung der Löslichkeits- oder Hydrolyseeigenschaften verwendet werden können oder in Formulierung mit verzögerter Freisetzung oder in Prodrug-Formulierungen verwendet werden können. In Abhängigkeit von der speziellen Funktionalität der Verbindung der vorliegenden Erfindung sind pharmazeutisch annehmbare Salze der Verbindungen dieser Erfindung u.a. diejenigen Salze, die aus Kationen, wie z.B. Natrium, Kalium, Aluminium, Calcium, Lithium, Magnesium, Zink, und aus Basen, wie z.B. Ammoniak, Ethylendiamin, N-Methylglutamin, Lysin, Arginin, Ornithin, Cholin, N,N'-Dibenzylethylendiamin, Chiorprocain, Diethanolamin, Procain, N-Benzylphenethylamin, Diethylamin, Piperazin, Tris(hydroxymethyl)aminomethan und Tetramethylammoniumhydroxid, gebildet werden. Diese Salze können durch Standardverfahren hergestellt werden, z.B. durch Umsetzung einer freien Säure mit einer geeigneten organischen oder anorganischen Base. Wenn eine basische Gruppe vorliegt, wie z.B. Amino, kann ein saures Salz, d.h. Hydrochlorid, Hydrobromid, Acetat, Pamoat und dergleichen, als die Dosisform verwendet werden.
- Im Falle einer vorliegenden Säure-(-COOH-)- oder Alkoholgruppe können auch pharmazeutisch annehmbare Ester, z.B. Acetat, Malest, Pivaloyloxymethyl und dergleichen und diejenigen Ester, die im Stand der Technik zur Modifizierung der Löslichkeits- oder Hydrolyseeigenschaften bekannt sind, zur Verwendung als Formulierungen mit verzögerter Freisetzung oder Prodrug-Formulierungen eingesetzt werden.
- Für diese Zwecke können die Verbindungen der vorliegenden Erfindung oral, parenteral (einschließlich subkutaner Injektionen, intravenöser, intramuskulärer, intrasternaler Injektion- oder Infusionstechniken), durch ein Inhalationsspray oder rektal in Form von Einheitsdosisformulierungen, die herkömmliche nichttoxische pharmazeutisch annehmbare Träger, Hilfsstoffe oder Vehikel enthalten, verabreicht werden.
- Die Bezeichnung "Verabreichung" und Varianten davon (z.B. "Verabreichen" einer Verbindung) in Bezug auf eine Verbindung der Erfindung bedeuten jeweils die Bereitstellung der Verbindung oder eines Prodrugs der Verbindung dem Individuum, das eine Behandlung benötigt. Wenn eine Verbindung der Erfindung oder ein Prodrug davon in Kombination mit einem oder mehreren anderen Wirkstoffen (z.B. antiviralen Mitteln, die sich zur Behandlung einer HIV-Infektion oder AIDS eignen) zur Verfügung gestellt wird, sind "Verabreichung" und seine Varianten jeweils so zu verstehen, dass sie die gleichzeitige und sequentielle Bereitstellung der Verbindung oder des Prodrugs davon und anderer Mittel umfassen.
- Daher wird gemäß der vorliegenden Erfindung ferner ein Behandlungsverfahren und eine pharmazeutisch annehmbare Zusammensetzung zur Behandlung einer HIV-Infektion und AIDS zur Verfügung gestellt. Die Behandlung umfasst die Verabreichung einer pharmazeutischen Zusammensetzung, die einen pharmazeutischen Träger und eine therapeutisch wirksame Menge einer Verbindung der vorliegenden Erfindung enthält, an ein Subjekt, das eine solche Behandlung benötigt.
- So wie hierin verwendet, soll die Bezeichnung "Zusammensetzung" ein Produkt umfassen, das die angegebenen Bestandteile in den angegebenen Mengen enthält, sowie jegliches Produkt, das direkt oder indirekt aus der Kombination der angegebenen Bestandteile in den angegebenen Mengen resultiert.
- Mit "pharmazeutisch annehmbar" ist gemeint, dass der Träger, das Verdünnungsmittel oder der Hilfsstoff mit den anderen Bestandteilen der Formulierung verträglich sein muss und für den Empfänger nicht schädlich sein darf.
- Die Bezeichnung "Subjekt" (alternativ hierin als "Patient" bezeichnet), so wie sie hier verwendet wird, bezieht sich auf ein Tier, vorzugsweise einen Säuger, besonders bevorzugt einen Menschen, das/der das Objekt der Behandlung, Beobachtung oder des Versuchs ist.
- Die Bezeichnung "therapeutisch wirksame Menge", so wie sie hier verwendet wird, bedeutet die Menge der Wirkverbindung oder des pharmazeutischen Mittels, die die biologische oder medizinische Reaktion in einem Gewebe, System, Tier oder Menschen hervorruft, welche von einem Forscher, Tiermediziner, Mediziner oder einem anderen Kliniker erwünscht wird, wobei die Linderung der Symptome der behandelten Krankheit umfasst ist.
- Diese pharmazeutischen Zusammensetzungen können in Form von oral verabreichbaren Suspensionen oder Tabletten oder Kapseln, Nasensprays, sterilen injizierbaren Präparaten, zum Beispiel als sterile injizierbare wässrige oder ölige Suspensionen oder Zäpfchen, vorliegen.
- Wenn sie oral als eine Suspension verabreicht werden, werden diese Zusammensetzungen gemäß im Fachgebiet der pharmazeutischen Formulierung gut bekannter Verfahren hergestellt und können als Massebildner mikrokristalline Cellulose, Alginsäure oder Natriumalginat als Suspensionsmittel, Methylcellulose als Viskositätsverstärker und im Stand der Technik bekannte Süßstoffe/Aromastoffe enthalten. Als Tabletten mit sofortiger Freisetzung können diese Zusammensetzungen mikrokristalline Cellulose, Dicalciumphosphat, Stärke, Magnesiumstearat und Lactose und/oder andere im Stand der Technik bekannte Hilfsstoffe, Bindemittel, Streckmittel, Sprengmittel, Verdünnungsmittel und Gleitmittel enthalten.
- Wenn sie durch ein Nasenaerosol oder durch Inhalation verabreicht werden, werden diese Zusammensetzungen gemäß Verfahren, die auf dem Gebiet der pharmazeutischen Formulierung gut bekannt sind, hergestellt und können als Kochsalzlösungen hergestellt werden, wobei Benzylalkohol oder andere geeignete Konservierungsstoffe, Absorptionsfördermittel zur Steigerung der Bioverfügbarkeit, Fluorkohlenstoffe und/oder andere im Stand der Technik bekannte Löslichmachungs- oder Dispersionsmittel eingesetzt werden.
- Die injizierbaren Lösungen oder Suspensionen können wie im Stand der Technik bekannt formuliert werden, wobei geeignete nichttoxische, parenteral annehmbare Verdünnungsmittel oder Lösungsmittel, wie z.B. Mannit, 1,3-Butandiol, Wasser, Ringer-Lösung oder isotonische Natriumchloridlösung, oder geeignete Dispersions- oder Benetzungs- und Suspendiermittel, wie z.B. sterile milde nichtflüssige Öle, einschließlich synthetischer Mono- oder Diglyceride, und Fettsäuren, einschließlich Ölsäure, verwendet werden.
- Wenn sie rektal in Form von Zäpfchen verabreicht werden, können diese Zusammensetzungen durch Vermischen des Arzneistoffes mit einem geeigneten nichtreizenden Hilfsstoff, wie z.B. Kakaobutter, synthetischen Glyceridestern von Polyethylenglycolen, welche bei normalen Temperaturen fest sind, sich jedoch im After verflüssigen und/oder auflösen, um den Arzneistoff freizusetzen, hergestellt werden.
- Die Verbindungen dieser Erfindung können oral in einem Dosisbereich von 0,1 bis 1000 mg/kg Körpergewicht in Teildosen verabreicht werden. Ein bevorzugter Dosisbereich ist 0,1 bis 200 mg/kg Körpergewicht oral in Teildosen. Ein weiterer bevorzugter Dosisbereich ist 0,5 bis 100 mg/kg Körpergewicht oral in Teildosen. Zur oralen Verabreichung können die Zusammensetzungen vorzugsweise in Form von Tabletten, die 1,0 bis 1000 Milligramm des Wirkstoffs, speziell 1,0, 5,0, 10,0, 15,0, 20,0, 25,0, 50,0, 75,0, 100,0, 150,0, 200,0, 250,0, 300,0, 400,0, 500,0, 600,0, 750,0, 800,0, 900,0 und 1000,0 Milligramm des Wirkstoffs enthalten, zur symptomatischen Einstellung der Dosis auf den zu behandelnden Patienten bereitgestellt werden. Es ist jedoch zu verstehen, dass die spezielle Dosismenge und Dosierungshäufigkeit für einen speziellen Patienten variiert werden kann und von einer Vielzahl von Faktoren abhängen wird, einschließlich der Wirksamkeit der speziellen eingesetzten Verbindung, der metabolischen Stabilität und der Wirkungsdauer dieser Verbindung, des Alters, Körpergewichts, allgemeinen Gesundheitszustandes, Geschlechts, der Nahrung, des Verabreichungsweges und der Verabreichungszeit, der Ausscheidungsrate, der Arzneistoffkombination, der Schwere des speziellen Zustandes und des Wirts, der sich einer Therapie unterzieht.
- Die vorliegende Erfindung betrifft auch Kombinationen der HIV-Integrase-Inhibitorverbindungen mit einem oder mehreren Mitteln, die sich zur Behandlung einer HIV-Infektion oder AIDS eignen. Zum Beispiel können die Verbindungen dieser Erfindung, egal ob in Perioden vor und/oder nach dem Inberührungkommen, wirksam in Kombination mit wirksamen Mengen der antiviralen HIV/AIDS-Mittel, Immunmodulatoren, Antiinfektiva oder Impfstoffe, die zur Behandlung einer HIV-Infektion oder von AIDS geeignet sind, wie z.B. diejenigen, die in der nachfolgenden Tabelle aufgeführt sind, verabreicht werden. ANTIVIRALE MITTEL
(Fortsetzung)Arzneistoffname Hersteller Indikation Amprenavir 141 W94 GW 141 Glaxo Wellcome HIV-Infektion, AIDS, ARC (Proteaseinhibitor) Abacavir GW 1592 1592U89 Glaxo Welcome HIV-Infektion, AIDS, ARC (Reverse-Transkriptase-Inhibitor) Acemannan Carrington Labs (Irving, TX) ARC Acyclovir Burroughs Wellcome HIV-Infektion, AIDS, ARC, in Kombination mit AZT AD-439 Tanox Biosystems HIV-Infektion, AIDS, ARC AD-519 Tanox Biosystems HIV-Infektion, AIDS, ARC Adefovir Dipivoxil Gilead Sciences HIV-Infektion AL-721 Ethigen (Los Angeles, CA) ARC, PGL, HIV-positiv, AIDS alpha-Interferon Glaxo Wellcome Kaposi-Sarkom, HIV, in Kombination mit Retrovir Ansamycin LM 427 Adria Laborstories (Dublin, OH) Erbamont (Stamford, CT) ARC Antikörper, der ph-labiles alpha-aberrierendes Interferon neutralisiert Advanced Biotherapy Concepts (Rockville, MD) AIDS, ARC AR177 Aronex Pharm HIV-Infektion, AIDS, ARC beta-Fluor-ddA Nat'l Cancer Institute AIDS-bezogene Erkrankungen BMS-232623 (CGP-73547) Bristol-Myers Squibb/Novartis HIV-Infektion, AIDS, ARC (Proteaseinhibitor) BMS-234475 (CGP-61755) Bristol-Myers Squibb/Novartis HIV-Infektion, AIDS, ARC (Proteaseinhibitor) CI-1012 Warner-Lambert HIV-1-Infektion Cidofovir Gilead Science CMV-Retinitis, Herpes, Papillomavirus Curdlan-Sulfat AJI Pharma USA HIV-Infektion Zytomegalovirusimmun-globin MedImmune CMV-Retinitis Cytoven Ganciclovir Syntex Sehfähigkeitsgefährdender CMV Periphere CMV-Retinitis (Fortsetzung)Arzneistoffname Hersteller Indikation Delaviridin Pharmacia-Upjohn HIV-Infektion, AIDS, ARC (Proteaseinhibitor) Dextransulfat Ueno Fine Chem. Ind. Ltd. (Osaka, Japan) AIDS, ARC, HIV-positiv asymtpomatisch ddC Didesoxycytidin Hoffman-La Roche HIV-Infektion, AIDS, ARC ddi Didesoxyinosin Bristol-Myers Squibb HIV-Infektion, AIDS, ARC; Kombination mit AZT/d4T Mozenavir (DMP-450) AVID (Camden, NJ) HIV-Infektion, AIDS, ARC (Proteaseinhibitor) EL10 Elan Corp, PLC (Gainesville, GA) HIV-Infeketion Efavirenz (DMP 266) (–)-6-Chlor-4(S)-cyclopropylethinyl-4(S)-trifluormethyl-1,4-dihydro-2H-3,1-benzoxazin-2-on, DuPont (SUSTIVA®) Merck (STOCRIN®) HIV-Infektion, AIDS ARC (Nichtnukleosid-RT-Inhibitor) Famciclovir Smith Kline Herpes zoster, Herpes simplex FTC Emory University HIV-Infektion, AIDS, ARC (Reverse-Transkriptase-Inhibitor) GS 850 Gilead HIV-Infektion, AIDS, ARC (Reverse-Transkriptase-Inhibitor) HBY097 Hoechst Marion Roussel HIV-Infektion, AIDS, ARC (Nichtnukleosid-Reverse-Transkriptase-Inhibitor) Hypericin VIMRx Pharm. HIV-Infektion, AIDS, ARC Rekombinantes menschliches Interferon-beta Triton Biosciences (Almeda, CA) AIDS, Kaposi-Sarkom ARC Interferon-alfa-n3 Interferon Sciences ARC, AIDS Indinavir Merck HIV-Infektion, AIDS, ARC, asymptomatisch HIV-positiv, auch in Kombination mit AZT/ddI/ddC Verbindung A Merck HIV-Infektion, AIDS, ARC, asymptomatisch HIV-positiv ISIS 2922 ISIS Pharmaceuticals CMV-Retinitis KNI-272 Nat'l Cancer Institute Mit HIV verb. Erkrankungen (Fortsetzung)Arzneistoffname Hersteller Indikation Lamivudin, 3TC Glaxo Wellcome HIV-Infektion, AIDS, ARC (Reverse-Transkriptase-Inhibitor) auch mit AZT Lobucavir Bristol-Myers Squibb CMV-Infektion Nelfinavir Agouron Pharmaceuticals HIV-Infektion, AIDS, ARC (Proteaseinhibitor) Nevirapin Boeheringer Ingleheim HIV-Infektion, AIDS, ARC (Proteaseinhibitor) Novapren Novaferon Labs, Inc. (Akron, OH) HIV-Inhibitor Peptid T OctapeptidSequenz Peninsula Labs (Belmont, CA) AIDS Trinatriumphosphonoformiat Astra Pharm. Products, Inc. CMV-Retinitis, HIV-Infektion, andere CMV-Infektionen PNU-140690 Pharmacia Upjohn HIV-Infektion, AIDS, ARC (Proteaseinhibitor) Probucol Vyrex HIV-Infektion, AIDS RBC-CD4 Sheffield Med. Tech (Houston TX) HIV-Infektion, AIDS, ARC Ritonavir (ABT-538) Abbott HIV-Infektion, AIDS, ARC (Proteaseinhibitor) Saquinavir Hoffmann-LaRoche HIV-Infektion, AIDS, ARC (Proteaseinhibitor) Stavudin; d4T Didehydrodesoxythymidin Bristol-Myers Squibb HIV-Infektion, AIDS, ARC Valaciclovir Glaxo Wellcome Genital-HSV-&-CMV-Infektionen Virazol Ribavirin Viratek/ICN (Costa Mesa, CA) asymptomatisch HIV-positiv, LAS, ARC VX-478 Vertex HIV-Infektion, AIDS, ARC Zalcitabin Hoffmann-La Roche HIV-Infektion, AIDS, ARC, mit AZT Zidovudin, AZT Glaxo Wellcome HIV-Infektion, AIDS, ARC Kaposi-Sarkom in Kombination mit anderen Therapien (Reverse-Transkriptase-Inhibitor) ABT-378; Lopinavir Abbot HIV-Infektion, AIDS, ARC (Proteaseinhibitor) IMMUNMODULATORENArzneistoffname Hersteller Indikation ABT-378/r; enthält Lopinavir und Ritonavir, Kaletra Abbot HIV-Infektion, AIDS, ARC (Proteaseinhibitor) JE2147/AG1776 Agouron HIV-Infektion, AIDS, ARC (Proteaseinhibitor) T-20 Trimeris HIV-Infektion, AIDS, ARC (Fusionsinhibitor) T-1249 Trimeris HIV-Infektion, AIDS, ARC (Fusionsinhibitor) Atazanavir (BMS 232632) Bristol-Myers-Squibb HIV-Infektion, AIDS, ARC (Proteaseinhibitor) PRO 542 Progenics HIV-Infektion, AIDS, ARC (Bindungsinhibitor) PRO 140 Progenics HIV-Infektion, AIDS, ARC (CCR-5-Co-Rezeptor-Inhibitor) TAK-779 Takeda HIV-Infektion, AIDS, ARC (injizierbarer CCR-5-Rezeptorantagonist) DPC 681 & DPC 684 DuPont HIV-Infektion, AIDS, ARC (Proteaseinhibitoren) DPC 961 & DPC 083 DuPont HIV-Infektion, AIDS, ARD (Nichtnukleosid-Reverse-Transkriptase-Inhibitoren) Trizivir (enthält Abacavir, Lamivudin und Zidovudin) GlaxoSmithKline HIV-Infektion, AIDS, ARC (Reverse-Transkriptase-Inhibitoren) Tipranavir (PNU-140690) Boehringer Ingelheim (erworben von Pharmacia & Upjohn) HIV-Infektion, AIDS, ARC (Proteaseinhibitor) Tenofovirdisoproxilfumarat Gilead HIV-Infektion, AIDS, ARC (Reverse-Transkriptase-Inhibitor) TMC-120 & TMC-125 Tibotec HIV-Infektionen, AIDS, ARC (Nichtnukleosid-Reverse-Transkriptase-Inhibitoren) TMC-126 Tibotec HIV-Infektion, AIDS, ARC (Proteaseinhibitor) (Fortsetzung)Arzneistoffname Hersteller Indikation AS-101 Wyeth-Ayerst AIDS Bropirimin Pharmacia Upjohn fortgeschrittenes AIDS Acemannan Carington Labs, Inc. (Irving, TX) AIDS, ARC CL 246738 American Cyanamid Lederle Labs AIDS, Kaposi-Sarkom EL 10 Elan Corp., PLC (Gainesville, GA) HIV-Infektion FP-21399 Fuki ImmunoPharm blockiert die HIV-Fusion mit CD4+-Zellen Gamma Interferon Genentech ARC in Kombination mit TNF (Tumornekrosefaktor) Granulozyten-Makrophagen-Koloniestimulierender Faktor Genetics Institute Sandoz AIDS Granulozyten-Makrophagen-Koloniestimulierender Faktor Hoeschst-Roussel Immunex AIDS Granulozyten-Makrophagen-Koloniestimulierender Faktor Schering-Plough AIDS, in Kombination mit AZT HIV-Core-Particle-Immunstimulans Rorer seropositives HIV IL-2 Interleukin-2 Cetus AIDS in Kombination mit AZT IL-2 Interleukin-2 Hoffman-La Roche Immunex AIDS, ARC, HIV in Kombination mit AZT IL-2 Interleukin-2 (Aldeslukin) Chiron AIDS, Anstieg der Anzahl der CD4-Zellen Immun-Globulin Intravenös (Menschen) Cutter Biological (Berkeley, CA) AIDS bei Kinder, in Kombination mit AZT IMREG-1 Imreg (New Orleans, LA) AIDS, Kaposi-Sarkom, ARC, PGL IMREG-2 Irrreg (New Orleans, LA) AIDS, Kaposi-Sarkom, ARC, PGL Imuthiol Diethyldithiocarbamat Merieux Institute AIDS, ARC Alpha-2-Interferon Schering Plough Kaposi-Sarkom mit AZT, AIDS ANTIINFEKTIVAArzneistoffname Hersteller Indikation Methionin-Enkephalin TNI Pharmaceutical (Chicago, IL) AIDS, ARC MTP-PE Muramyl-Tripeptid Ciba Geigy Corp. Kaposi-Sarkom Granulozyten-Kolonienstimulierender Faktor Amgen AIDS in Kombination mit AZT Remun Immune Response Corp. immuntherapeutisch rCD4, Rekombinantes lösliches menschliches CD4 Genetech AIDS, ARC rCD4-IgG-Hybriden AIDS, ARC Rekombinantes lösliches menschliches CD4 Biogen AIDS, ARC Interferon Alfa 2a Hoffman-La Roche Kaposi-Sarkom, AIDS, ARC in Kombination mit AZT SK&F106528 Lösliches T4 Smith Kline HIV-Infektion Thymopentin Immunobiology Research Institute HIV-Infektion Tumor-Nekrose-Faktor, TNF Genentech ARC, in Kombination mit gamma-Interferon Etanercept Immunex Corp (Enbrel®) Rheumatoide Arthritis Infliximab Centocor (Remicade®) Rheumatoide Arthritis und Morbus Crohn (Fortsetzung)Arzneistoffname Hersteller Indikation Clindamycin mit Primaquin Pharmacia Upjohn PCP Fluconazol Pfizer Kryptokokkenmeningitis, Candidiasis Pastille Nystatin-Pastille Squibb Corp Prävention oraler Candidiasis Ornidyl Eflornithin Merrell Dow PCP Pentamidin Isethionat (IM & IV) LyphoMed (Rosemont, IL) PCP-Behandlung Trimethoprim antibakteriell Trimethoprim/sulfa antibakteriell Piritrexim Burroughs Wellcome PCP-Behandlung ANDEREArzneistoffname Hersteller Indikation Pentamidinisethionat zur Inhalation Fisons Corporation PCP-Prophylaxe Spiramycin Rhone-Poulenc kryptosporidiale Diarrhö Intraconazol-R51211 Janssen Pharm. Histoplasmose, Kryptokokkenmeningitis Trimetrexat Wamer-Lambert PCP Arzneistoffname Hersteller Indikation Daunorubicin NeXstar, Sequus Kaposi-Sarkom Rekombinantes menschliches Erythropoietin Ortho Pharm. Corp. schwere Anämie, verbunden mit einer AZT-Therapie Rekombinantes menschliches Wachstumshormon Serono AIDS-bezogener Schwund, Kachexie Leukotrien-B4-Rezeptor-Anagonist – HIV-Infektion Megestrolacetat Bristol-Myers Squibb Behandlung von Anorexie in Verbindung mit AIDS Lösliches CD4-Protein und Derivate – HIV-Infektion Testosteron Alza, Smith Kline AIDS-bezogener Schwund Vollkommen enterale Ernährung Norwich Eaton Pharmaceuticals Diarrhö und Stoff-wechselstörung in Verbindung mit AIDS - Man wird verstehen, dass der Umfang der Kombinationen der Verbindungen dieser Erfindung mit antiviralen HIV/AIDS-Mitteln, Immunmodulatoren, Antiinfektiva oder Impfstoffen nicht auf die Liste in der obigen Tabelle beschränkt ist, sondern im Prinzip jede Kombination mit einer beliebigen pharmazeutischen, zur Behandlung einer HIV-Infektion oder von AIDS geeigneten Zusammensetzung umfasst. Wenn sie in Kombination mit den Verbindungen der Erfindung eingesetzt werden, werden die antiviralen HIV/AIDS-Mittel und die anderen Mittel typischerweise in ihren herkömmlichen Dosisbereichen und -regimes eingesetzt, wie es im Stand der Technik beschrieben ist, einschließlich der in der Physicians' Desk Reference, 54. Auflage, Medical Economics Company, 2000, beschriebenen Dosen. Die Dosisbereiche für eine Verbindung der Erfindung in diesen Kombinationen sind die gleichen wie die, die oben unmittelbar vor der Tabelle genannt sind.
- Bevorzugte Kombinationen sind gleichzeitige oder sequenzielle Behandlungen mit einer Verbindung der vorliegenden Erfindung und einem Inhibitor von HIV-Protease und/oder einem nichtnukleosiden Inhibitor von HIV-Reverse-Transkriptase. Eine optionale vierte Komponente bei der Kombination ist ein nukleosider Inhibitor von HIV-Reverse-Transkriptase, wie z.B. AZT, 3TC, ddC oder ddI. Ein bevorzugter Inhibitor von HIV-Protease ist das Sulfatsalz von Indinavir, das N-(2(R)-Hydroxy-1(S)-indanyl)-2(R)-phenylmethyl-4-(S)-hydroxy-5-(1-(4-(3-pyridylmethyl)-2(S)-N'-(t-butylcarboxamido)piperazinyl))pentanamidethanolat ist und gemäß
US 5413999 synthetisiert wird. Indinavir wird im Allgemeinen in einer Dosis von 800 mg dreimal am Tag verabreicht. Andere bevorzugte Protease-Inhibitoren sind Nelfinavir und Ritonavir. Ein weiterer bevorzugter Inhibitor von HIV-Protease ist Saquinavir, das in einer Dosis von 600 oder 1200 mg tid verabreicht wird. Noch ein weiterer bevorzugter Proteaseinhibitor ist Verbindung A, die N-(2(R)-Hydroxy-1(S)-indanyl)-2(R)-phenylmethyl-4(S)-hydroxy-5-(1-(4-(2-benzo[b]furanylmethyl)-2(S)-N'-(t-butylcarboxamido)piperazinyl))pentanamid ist, vorzugsweise als das Sulfatsalz verabreicht. Verbindung A kann wie inUS 5646148 beschrieben hergestellt werden. Bevorzugte nichtnukleoside Inhibitoren von HIV-Reverse-Transkriptase sind u.a. Efavirenz. Die Herstellung von ddC, ddI und AZT ist ebenfalls in derEP-A-0484071 beschrieben. Diese Kombinationen können unerwartete Wirkungen besitzen, die die Ausbreitung und Stärke einer HIV-Infektion verringern. Bevorzugte Kombinationen sind u.a. eine Verbindung der vorliegenden Erfindung mit den folgenden: (1) Indinavir mit Efavirenz und gegebenenfalls AZT und/oder 3TC und/oder ddI und/oder ddC; (2) Indinavir und irgendeinem von ATZ und/oder ddi und/oder ddC und/oder 3TC, insbesondere Indinavir und AZT und 3TC; (3) Stavudin und 3TC und/oder Zidovudin; (4) Zidovudin und Lamivudin und 141W94 und 159U89; (5) Zidovudin und Lamivudin. - Eine weitere bevorzugte Kombination ist eine Verbindung der vorliegenden Erfindung mit Indinavir und Verbindung A und gegebenenfalls mit einem oder mehreren von Efavirenz, ATZ, 3TC, ddI und ddC. Bei einer Ausführungsform dieser Kombination beträgt das Gewichtsverhältnis von Indinavir zu Verbindung A etwa 1:1 bis etwa 1:2, wobei die Menge an eingesetztem Indinavir im Bereich von etwa 200 bis etwa 1000 mg liegt. Indinavir und Verbindung A können gleichzeitig oder der Reihe nach in beliebiger Reihenfolge ein bis drei Mal pro Tag verabreicht werden.
- Bei solchen Kombinationen kann die Verbindung der vorliegenden Erfindung und andere Wirkstoffe zusammen oder getrennt verabreicht werden. Darüber hinaus kann die Verabreichung eines Mittels vor, gleichzeitig mit oder im Anschluss an die Verabreichung des/der anderen Mittel(s) erfolgen.
- Abkürzungen, die in der vorliegenden Beschreibung, insbesondere in den Schemata und Beispielen, verwendet werden, sind u.a. die folgenden:
- DEAD
- = Diethylazodicarboxylat
- DMF
- = N,N-Dimethylformamid
- DMPU
- = 1,3-Dimethyl-3,4,5,6-tetrahydro-2(1H)-pyrimidinon
- DMSO
- = Dimethylsulfoxid
- EDC
- = 1-Ethyl-3-(3-dimethylaminopropyl)carbodiimid
- ES MS
- = Elektrospray-Massenspektrometrie
- Et
- = Ethyl
- FAB HRMS
- = Fast-Atom-Bombardment-High-Resulution-Massenspektroskopie
- FAB MS
- = Fast-Atom-Bombardment-Massenspektroskopie
- HOBt
- = 1-Hydroxybenzotriazolhydrat
- HPLC
- = Hochleistungsflüssigchromatographie
- i-Pr
- = Isopropyl
- Me
- = Methyl
- MsCl
- = Methansulfonylchlorid (oder Mesylchlorid)
- NBS
- = N-Bromsuccinimid
- NIS
- = N-Iodsuccinimid
- NMR
- = Magnetische Kernresonanz
- Ph
- = Phenyl
- PMBCl
- = p-Methoxybenzylchlorid
- RT
- = Raumtemperatur
- TFA
- = Trifluoressigsäure
- THF
- = Tetrahydrofuran
- Die Verbindungen der vorliegenden Erfindung können leicht gemäß den folgenden Reaktionsschemata und Beispielen oder Modifizierungen davon unter Verwendung von leicht erhältlichen Ausgangsmaterialien, Reagenzien und herkömmlichen Syntheseverfahren hergestellt werden. Bei diesen Reaktionen ist es auch möglich, von Varianten Gebrauch zu machen, die ihrerseits den Durchschnittsfachleuten bekannt sind, die jedoch nicht detaillierter genannt werden. Darüber hinaus werden dem Durchschnittsfachmann anhand der folgenden Reaktionsschemata und Beispiele andere Verfahren zur Herstellung von Verbindungen der Erfindung sofort offensichtlich sein. Sofern nichts anderes angegeben ist, sind alle Variablen wie oben definiert.
- Die Verbindungen der vorliegenden Erfindung können durch Kuppeln geeigneter substituierter (Poly)azanaphthenylcarbonsäuren (oder Säurederivaten, wie z.B. Säurehalogeniden oder Ester) mit den passenden Aminen wie in dem nachstehenden allgemeinen Schema dargestellt hergestellt werden. In den folgenden Schemata ist X N oder CQ1, Y ist CQ2, Z ist CQ4 und Z3 ist CH.
- Verfahren zur Kupplung von Carbonsäuren mit Aminen, um Carboxamide zu bilden, sind im Stand der Technik gut bekannt. Geeignete Verfahren sind zum Beispiel bei Jerry March, Advanced Organic Chemistry, 3. Aufl., John Wiley & Sons, 1985, S. 370–376, beschrieben. Amine der Formel 1-1 können durch Anwendung der bei Richard Larock, Comprehensive Organic Transformation, VCH Publishers Inc, 1989, S. 385–438, beschriebenen Verfahren oder durch Routine-Varianten davon hergestellt werden. Azanaphthenyl- und Polyazanaphthenylcarbonsäuren der Formel 1-2 können mittels den bei Ochiai et al., Chem. Ber. 1937, 70:2018, 2023; Albert et al., J. Chem. Soc. 1952, 4985, 4991; und Barlin et al., Aust. J. Chem. 1990, 43: 1175–1181; beschriebenen Verfahren oder Routine-Varianten davon hergestellt werden. Die nachstehenden Schemata 2–16 veranschaulichen und erweitern die in Schema 1 vorgestellte Chemie.
- In Schema 2 kann durch Nacharbeiten des bei Ornstein et al., J. Med. Chem. 1989, 32: 827–833, beschriebenen Verfahrens ein cyclisches Anhydrid, wie z.B. ein Chinolinsäureanhydrid (z.B. Z1 = Z2 = Z3 = CH in 2-1) mit Isopropanol geöffnet werden, um die Monosäure 2-2 zu ergeben, die (z.B. durch Refluxieren in Thionylchlorid) in das entsprechende Acylchlorid 2-3 umgewandelt werden kann. Acylchlorid 2-3 kann dann (z.B. mit NaBH4 oder LiBH4) zum entsprechenden Alkohol 2-4 reduziert werden, welcher durch die Wirkung von Brom in Gegenwart von Triphenylphosphin in das entsprechende Bromid umgewandelt werden kann. Die Alkylierung des Bromids mit dem Natriumanion von Phenylsulfonamid 2-5 in einem polaren aprotischen Lösungsmittel wie DMF kann Sulfonamid 2-6 erzeugen, welches mit einer Base (z.B. Alkalimetallalkoxid, wie z.B. Natriummethoxid) behandelt werden kann, um durch eine Dieckmann-Cyclisierung den bicyclischen Ester 2-7 zu ergeben. Die Verseifung des Esters (z.B. mit wässrigem NaOH am Rückfluss) wird die Säure 2-8 ergeben. Die Säure 2-8 kann mit Triphosgen aktiviert und mit einer Reihe von Aminen gekuppelt werden, um die Verbindungen der Erfindung 2-9 zu ergeben.
- Die Ausgangs-Anhydride der Formel 2-1 können durch Verfahren hergestellt werden, die bei Philips et al., Justus Liebigs Ann. chem. 1895, 288: 2535; Bemthsen et al., Chem. Ber. 1887; 20, 1209; Bly et al., J. Org. Chem. 1964, 29: 2128–2135; und Krapcho et al., J. Heterocycl. Chem. 1993, 30: 1597–1606, beschrieben sind, oder durch Routine-Varianten davon.
- Schema 3 beschreibt eine alternative Synthese, bei der der Alkohol 2-4 die Mitsunobu-Reaktion mit dem Phenylsulfonamid von Glycinmethylester eingehen kann, um 3-1 zu ergeben. Das Sulfonamid 3-1 kann wiederum behandelt werden, um die Säure 2-8 zu ergeben, die mit einer Reihe von Aminen unter Verwendung von Standard-Reagenzien gekuppelt werden kann, um die Verbindungen der Erfindung 2-9 zu ergeben.
- Schema 3A beschreibt (für einen Naphthyridin-Kern) eine Variante der in Schema 3 gezeigten Synthese, wobei die Säure 3A-2 mit Ethylchlorformiat umgesetzt wird, um das gemischte Anhydrid 3A-3 zu ergeben, das zum Alkohol 3A-4 reduziert wird.
- Halogensubstituierte Verbindungen der vorliegenden Erfindung können wie in Schema 4 gezeigt hergestellt werden. Das Säurechlorid 2-3 kann mit Glycinmethylester umgesetzt werden, um das Amid 4-1 zu ergeben. Die Dieckmann-Cyclisierung des Esters 4-1 mit einer Natriumalkoxidbase in einem alkoholischen Lösungsmittel, wie z.B. Methanol, wird Phenol 4-2 ergeben, welches mit Phosphoroxychlorid umgesetzt werden kann, gefolgt von der Methanolyse des intermediären Phosphonatesters, um 4-3 zu ergeben. Die Esterbindung von 4-3 kann selektiv mit geeigneten Aminen (z.B. ist 1-(1H-Indol-2-yl)methanamin in Schema 4 gezeigt) umgesetzt werden, um das entsprechende halogenierte Derivat 4-4 zu ergeben.
- Die Herstellung von Verbindungen, die zusätzliche Substituenten tragen, kann wie in Schema 5 gezeigt erzielt werden. Die Oxidation des Alkohols 2-4 mit Mangandioxid in einem inerten Lösungsmittel, wie z.B. Methylenchlorid, wird den Aldehyd 5-1 ergeben. Die Addition von Grignard-Reagenzien (wie z.B. Phenylmagnesiumbromid) zum Aldehydrest 5-1 kann regioselektiv stattfinden, um den Alkohol 5-2 zu ergeben, der dann in die Verbindungen der Erfindung 5-6 umgewandelt werden kann.
- Ein weiterer Syntheseweg zur Herstellung von Verbindungen, die Gegenstand der Erfindung sind, ist in Schema 6 gezeigt. Dieses Verfahren ermöglicht den Zugang zu Naphthyridinderivaten, die in den 2-, 3-, 4- und 5-Positionen substituiert sind. Kurz gesagt kann ein 2-substituiertes 5-Hydroxypyridinderivat 6-1 mit Brom behandelt werden, damit es in der 6-Position eine Bromierung eingeht und 6-2 ergibt, welches in das Methoxypyridin 6-3 umgewandelt und anschließend zum entsprechenden N-Oxid 6-4 oxidiert werden kann. Das N-Oxid kann nitriert werden, um 6-5 zu ergeben. Die Reduktion von 6-5 mit Eisen in Gegenwart von Ammoniumchlorid kann das Anilin 6-6 ergeben, welches mit einem alpha,beta-ungesättigten Aldehyd oder Keton in Gegenwart eines Säurekatalysators, wie z.B. Schwefelsäure, umgesetzt werden kann, um durch eine Ringbildung 6-7 zu ergeben. Das Bromid 6-7 kann durch eine Reihe von Carbonylierungs- und Amidierungsreaktionen in das Amid 6-9 umgewandelt werden.
- 2-Substituierte 5-Hydroxypyridinderivate der Formel 6-1 können durch Verfahren hergestellt werden, die bei Sorm et al., Collect. Czech. Chem. Commun. 1949, 14: 331, 342; und Saksena et al., Tetrahedron Lett. 1993, 34: 3267–3270, beschrieben sind, oder durch Routine-Varianten davon.
- Verbindungen der Erfindung, die einen Aminosubstituenten in der 5-Position enthalten, können auf die in den Schemata 7 und 8 angegebene Weise hergestellt werden. Die Bromierung des Phenols 7-1 findet bei der Behandlung mit NBS in einem inerten Lösungsmittel, wie z.B. Methylenchlorid, regioselektiv statt, um 7-2 zu ergeben. Die Reaktion dieses Bromids mit einem Amin bei erhöhten Temperaturen in Gegenwart eines polaren Lösungsmittels, wie z.B. DMPU, ergibt Verbindungen der Erfindung 7-3. Ähnlich wird die Umsetzung des Bromids 7-2 (Schema 8) mit einem Diamin, wie z.B. Ethylendiamin, in DMF als Lösungsmittel das formylierte Derivat 8-1 zusätzlich zu dem erwarteten Diaminoethanderivat ergeben.
- Die Herstellung von Aryl- und Heteroarylderivaten durch Palladium-Querkupplung des Chlorids 9-1 und der erforderlichen Boronsäuren ist in Schema 9 dargestellt.
- Die (Hetero)aryloxy-, (Hetero)arylamino- und (Heteroaryl)thioxyderivate 10-2, 11-2 bzw. 12-2 können wie in den Schemata 10 bis 12, welche das Verfahren für den Naphthyridin-Kern veranschaulichen, gezeigt hergestellt werden. Die entsprechenden Sulfonderivate 12-2 können durch Oxidation der Sulfide 12-1 mit entweder Ozon oder 3-Chlorperbenzoesäure wie in Schema 12 gezeigt erhalten werden.
- Die Herstellung von Verbindungen der Erfindung, die mit einem Acetylen substituiert sind, kann gemäß Schema 13 erfolgen, welches das Verfahren für den Naphthyridinkem veranschaulicht. Nach dem Schutz des Iodids 13-2 als dessen Benzoat 13-3 kann die acetylenische Gruppe (zum Beispiel Propinol) durch Einsatz eines geeigneten Palladiumkatalysators in Gegenwart von Kupferiodid angehängt werden. Die Aminolyse des Esters 13-4 wird das Amid 13-5 ergeben, mit einhergehender Entfernung der Schutzgruppe vom Benzoatester. Alternativ kann der Ester 13-4 in das entsprechende Amin und die Sulfonderivat umgewandelt werden, wie es in den Schemata 14 und 15 gezeigt ist. Schema 16 zeigt, dass die Herstellung des Nitrilderivats 16-2 durch eine palladiumkatalysierte Cyanierung des Iodids 14-4 erreicht werden kann.
- Bei den in den obigen Schemata gezeigten Verfahren zur Herstellung von Verbindungen der vorliegenden Erfindung können funktionelle Gruppen in verschiedenen Resten und Substituenten unter den eingesetzten Reaktionsbedingungen und/oder in Gegenwart der eingesetzten Reagenzien empfindlich oder reaktiv sein. Eine solche Empfindlichkeit/Reaktivität kann den Fortschritt der erwünschten Reaktion stören, wobei die Ausbeute an dem erwünschten Produkt verringert oder möglicherweise sogar dessen Bildung verhindert werden kann. Demgemäß kann es notwendig oder wünschenswert sein, empfindliche oder reaktive Gruppen an irgendwelchen der betroffenen Moleküle zu schützen. Der Schutz kann mittels herkömmlicher Schutzgruppen erfolgen, wie z.B. derjenigen, die in Protective Groups in Organic Chemistry, Hrsg. J.F.W. McOmie, Plenum Press, 1973, und in T.W. Greene & P.G.M. Wuts, Protective Groups in Organic Synthesis, John Wiley & Sons, 1991, beschrieben sind. Die Schutzgruppen können an einer zweckmäßigen nachfolgenden Stufe durch Anwendung von im Fachgebiet bekannten Verfahren entfernt werden. Alternativ kann die Störgruppe nach dem betreffenden Reaktionsschritt in das Molekül eingebracht werden. Wenn zum Beispiel einer oder mehrere der Substituenten R1, R2, R3 und R4 in Verbindung 1-1 die Kupplungsreaktion zwischen den Verbindungen 1-1 und 1-2 von Schema 1 stören können, kann der Substituent in einem Schritt nach der Kupplung in das Molekül eingebracht werden, um Verbindung I zu ergeben.
- Die folgenden Beispiele dienen lediglich der Veranschaulichung der Erfindung und ihrer Durchführung. Die Beispiele sollen nicht als Einschränkungen der Erfindung aufgefasst werden.
- BEISPIEL 1
- Schritt 1: Herstellung von 3-{[Methoxycarbonylmethyl(toluol-4-sulfonyl)amino]methyl}pyridin-2-carbonsäureisopropylester
- Isopropyl-3-(hydroxymethyl)pyridin-2-carboxylat (hergestellt gemäß P. Ornstein et al., J. Med. Chem. 1989, 32, 827) (200 g, 1,02 mol), Methyl-N-[(4-Methylphenyl)sulfonyl]glycinat (249 g, 1,02 mol) und Triphenylphosphin (403 g, 1,5 mol) wurden in trockenem THF (3000 ml) gelöst und unter N2 auf 0°C abgekühlt. Das Diethylazodicarboxylat (DEAD) (267,6 g, 1,5 mol) wurde in trockenem THF (250 ml) gelöst und in einen 500-ml-Zugabetrichter gegeben. Das DEAD wurde tropfenweise innerhalb von 1 Stunde zugegeben. Das Eisbad wurde entfernt, und man ließ die Reaktion langsam auf RT erwärmen. nach 2 Stunden wurde die Reaktion durch HPLC (obige Bedingungen) geprüft, und es verblieb etwas Glycinat. Weitere Ausgangsreagenzien wurden zugegeben, und man ließ die Reaktion bei RT rühren. Nach 30 Minuten wurde die Reaktion erneut überprüft, und es wurde eine sehr kleine verbliebene Menge des Glycinats festgestellt. Die Reaktion wurde zu einem rötlich orangenfarbenen Öl eingeengt und dieses im nächsten Schritt verwendet.
- Schritt 2: Herstellung von Methyl-8-hydroxy-1,6-naphthyridin-7-carboxylat 3-{[Methoxycarbonylmethyl(toluol-4-sulfonyl)amino]methyl}pyridin-2-carbonsäureisopropylester
- (1,02 mol) wurde in trockenem Methanol (4000 ml) gelöst und unter Stickstoff auf 0°C abgekühlt. Anschließend wurde durch einen Zugabetrichter Natriummethoxid (137,8 g, 2,5 mol) langsam zugegeben, um eine Exotherme zu vermeiden. Die Reaktion wurde bei 0°C gerührt und nach 1,5 Stunden durch HPLC geprüft und als beendet befunden. Das Lösungsmittel wurde im Vakuum entfernt, um ein rötlich orangenfarbenes Öl zu ergeben, das zwischen Wasser (1 l) und Ethylacetat (1 l) aufgetrennt wurde. Die organische Schicht wurde mit gesättigter Natriumhydrogencarbonatlösung rückextrahiert. Der pH-Wert der wässrigen Schicht wurde auf 7 eingestellt und die Schicht bei diesem pH-Wert gehalten, während mit Methylenchlorid extrahiert wurde. Die organische Schicht wurde mit Na2SO4 getrocknet, filtriert und das Lösungsmittel im Vakuum eingeengt, um einen gelbbraunen Feststoff zu ergeben. Der Feststoff wurde in heißem Ethylacetat gelöst und die Lösung heiß filtriert, um jegliches unlösliches Material durch Filtration zu entfernen. Das Produkt fiel beim Abkühlen aus. Der Niederschlag wurde anschließend filtriert und im Vakuumofen getrocknet. Das Filtrat wurde umkristallisiert, indem es eingeengt der resultierende Feststoff in einer minimalen Menge Methylenchlorid wieder gelöst wurde. Ausreichend Ethylacetat wurde zugegeben, um die Lösung leicht trüb werden zu lassen, wonach die Lösung zum Sieden erhitzt wurde, um das Volumen zu verringern, man ließ sie abkühlen, und die resultierenden Kristalle wurden abfiltriert und in einem Vakuumofen getrocknet.
1H-NMR (CDCl3, 500 MHz) δ 11,794 (5H, s), 9,2 (1H, dd, J = 1,7 und 6,1 Hz), 8,8 (1H, s), 8,3 (1H, dd, J = 1,5 und 9,7 Hz), 7,7 (1H, dd, J = 4,2 und 12,4 Hz), 4,1 (3H, s) ppm.
Exakte ES-MS-Masse berechnet für C10H8N2O3 204,1869 (MH+), gefunden 205,1. - Schritt 3: Herstellung von 8-Hydroxyl-1,6-naphthyridin-7-carbonsäure
- Zu einer Aufschlämmung von Methyl-8-hydroxy-1,6-naphthyridin-7-carboxylat von Beispiel 1, Schritt 2, (1,50 g, 7,35 mmol) in Methanol (45 ml) wurde Lithiumhydroxid (22,0 ml einer 1M wässrig. Lösung, 22,0 mmol) zugegeben und die Reaktion 7 Stunden auf 100°C erhitzt. Nach dem Abkühlen auf Raumtemperatur wurde Salzsäure (22,0 ml einer 1M wässrig. Lösung, 22,0 mmol) zugegeben und die Reaktion 16 Stunden gerührt. Die Mischung wurde auf ein Volumen von 50 ml eingeengt und mit verdünntem NaHCO3 (pH = 7) neutralisiert. Der resultierende Niederschlag wurde durch Filtration gesammelt und mit Wasser gewaschen und im Vakuum getrocknet, um die Titelverbindung zu ergeben.
FAB-MS berechn. für C9H6N2O3 191 (MH+), gefunden 191.
1H-NMR (d6-DMSO, 400 MHz) δ 9,20 (1H, m), 8,72 (1H, s), 8,58 (1H, m), 7,80 (1H, dd, J = 8,3 und 4,2 Hz) ppm. - Schritt 4: Herstellung von 2-({[(8-Hydroxy-1,6-naphthyridin-7-yl)carbonyl]amino}methyl)-1H-benzimidazol-1-iumtrifluoracetat
- Triphosgen (0,556 g, 1,87 mmol) wurde innerhalb von 20 Minuten zu einer Lösung der Säule von Schritt 1 (0,89 g, 4,68 mmol) und Diisopropylethylamin (3,26 ml, 18,7 mmol) in DMF (22 ml) bei 0°C zugegeben. Die dunkle Lösung ließ man auf Raumtemperatur erwärmen und 1 weitere Stunde rühren. 2-(Ammoniummethyl)-1H-benzimidazol-1-iumdichlorid-Hydrat (25,0 mg, 1,05 mmol) wurde mit einer Portion der obigen Lösung (0,58 ml, 0,07 mmol) behandelt und die resultierende Mischung 16 Stunden bei Raumtemperatur gerührt. Die Lösung wurde mit TFA (0,025 ml) behandelt und durch präparative HPLC (halbpräparatives Gilson-HPLC-System und eine YMC-Combiprep-Pro-Säule (50 × 20 mm ID, C18, S-5 um, 120A) (erhältlich von Waters) mit 5–95% Acetonitril/Wasser (0,1% TFA) als Elutionsmittel bei 15 ml/Minute) gereinigt, um nach der Gefriertrocknung das Trifluoracetatsalz der Titelverbindung zu ergeben.
1H-NMR (d6-DMSO, 400 MHz) δ 10,03 (1H, m), 9,21 (1H, d, J = 4,2 Hz), 9,00 (1H, s), 8,66 (1H, d, J = 8,3 Hz), 7,85 (1H, dd, J = 8,3 und 4,2 Hz), 7,80–7,65 (2H, m), 7,60–7,40 (2H, m), 5,05 (2H, d, J = 4,9 Hz) ppm.
FAB-MS berechn. für C17H13N5O2 320 (MH+), gefunden 320.
Exakte FAB-HRMS-Masse berechn. für C17H13N5O2 320,1142 (MH+), gefunden 320,1145. - BEISPIEL 2
- Die Titelverbindung wurde durch Anwendung des in Beispiel 1, Schritt 4, beschriebenen Verfahrens hergestellt, wobei 2-(Ammoniummethyl)-1H-benzimidazol-1-iumdichlorid-Hydrat durch 2-(1H-Indol-3-yl)ethanamin ersetzt wurde.
1H-NMR (d6-DMSO, 400 MHz) δ 10,85 (1H, s), 9,40 (1H, m), 9,16 (1H, dd, J = 4,3 und 1,6 Hz), 8,90 (1H, s), 8,61 (1H, dd, J = 8,2 und 1,6 Hz), 7,83 (1H, dd, J = 8,2 und 4,2 Hz), 7,62 (1H, d, J = 8,1 Hz), 7,34 (1H, d, J = 7,8 Hz), 7,23 (1H, s), 7,07 (1H, t, J = 7,5 Hz), 7,00 (1H, t, J = 6,5 Hz), 3,66 (2H, m), 3,03 (2H, t, J = 7,7 Hz) ppm.
FAB-MS berechn. für C19H16N4O2 333 (MH+), gefunden 333. - BEISPIEL 3
- Die Titelverbindung wurde durch Anwendung des in Beispiel 1, Schritt 4, beschriebenen Verfahrens hergestellt, wobei 2-(Ammoniummethyl)-1H-benzimidazol-1-iumdichlorid-Hydrat durch 3-(2-Aminoethyl)-2-(3,4-dimethoxyphenylindol) ersetzt wurde.
1H-NMR (d6-DMSO, 400 MHz) δ 11,1 (1H, s), 9,55 (1H, m), 9,17 (1H, d, J = 4,2 Hz), 8,89 (1H, s), 8,61 (1H, d, J = 8,2 Hz), 7,84 (1H, dd, J = 8,2 und 4,2 Hz), 7,74 (1H, d, J = 8,1 Hz), 7,36 (1H, d, J = 7,9 Hz), 7,26 (1H, d, J = 8,2 Hz), 7,22 (1H, s), 7,10 (1H, t, J = 7,6 Hz), 7,10–7,00 (2H, m), 3,73 (3H, s), 3,70–3,40 (2H, m), 3,18 (2H, t, J = 7,9 Hz) ppm.
FAB-MS, berechn. für C27H24N4O4 469 (MH+) gefunden 469.
Exakte FAB-HRMS-Masse berechn. für C27H24N4O4 469,1870317 (MH+), gefunden 469,1871720. - BEISPIEL 4
- Die Titelverbindung wurde durch Anwendung des in Beispiel 1, Schritt 4, beschriebenen Verfahrens hergestellt, wobei 2-(Ammoniummethyl)-1H-benzimidazol-1-iumdichlorid-Hydrat durch 3-(Aminomethyl)-1,3-dihydro-2H-indol-2-on ersetzt wurde.
1H-NMR (d6-DMSO, 400 MHz) δ 10,4 (1H, s), 9,54 (1H, m), 9,18 (1H, d, J = 4,3 Hz), 8,92 (1H, s), 8,63 (1H, d, J = 8,3 Hz), 7,84 (1H, dd, J = 8,3 und 4,3 Hz), 7,22 (2H, t, J = 7,4 Hz), 6,96 (2H, t, J = 7,4 Hz), 5,48 (1H, m), 3,03 (1H, dd, J = 16,0 und 10,3 Hz), 2,75 (1H, dd, J = 16,0 und 6,0 Hz) ppm.
FAB-MS berechn. für C18H14N4O3 335 (MH+), gefunden 335.
Exakte FAB-HRMS-Masse berechn. für C18H14N4O3 335,1139 (MH+), gefunden 335,1143. - BEISPIEL 5
- Die Titelverbindung wurde durch Anwendung des in Beispiel 1, Schritt 4, beschriebenen Verfahrens hergestellt, wobei 2-(Ammoniummethyl)-1H-benzimidazol-1-iumdichlorid-Hydrat durch 2-(10H-Phenothiazin-10-yl)ethanamin ersetzt wurde.
1H-NMR(d6-DMSO, 400 MHz) δ 9,55 (1H, t, J = 6,2 Hz), 9,18 (1H, dd, J = 4,2 und 1,6 Hz), 8,93 (1H, s), 8,62 (1H, dd, J = 8,4 und 1,6 Hz), 7,84 (1H, dd, J = 8,4 und 4,2 Hz), 7,65–7,40 (4H, m), 7,15 (2H, m), 6,96 (2H, m), 4,09 (2H, m), 3,74 (2H, m) ppm. FAB-MS berechn. für C23H18N4O2S 415 (MH+), gefunden 415.
Exakte FAB-HRMS-Masse berechn. für C23H18N4O2S 415,1223 (MH+), gefunden 415,1224. - BEISPIEL 6
- Die Titelverbindung wurde durch Anwendung des in Beispiel 1, Schritt 4, beschriebenen Verfahrens hergestellt, wobei 2-(Ammoniummethyl)-1H-benzimidazol-1-iumdichlorid-Hydrat durch 2-(2-Methyl-1-phenyl-1H-indol-3-yl)ethanamin ersetzt wurde.
1H-NMR (d6-DMSO, 400 MHz) δ 9,47 (1H, t, J = 6,01 Hz), 9,17 (1H, dd, J = 4,2 und 1,6 Hz), 8,92 (1H, s), 8,62 (1H, dd, J = 8,4 und 1,6 Hz), 7,84 (1H, dd, J = 8,4 und 4,2 Hz), 7,67 (1H, d, J = 6,9 Hz), 7,59 (2H, t, J = 7,8 Hz), 7,48 (1H, t, J = 7,2 Hz), 7,41 (2H, d, J = 7,2 Hz), 7,20–6,95 (3H, m), 3,80–3,20 (2H, m), 3,08 (2H, t, J = 7,3 Hz), 2,24 (3H, s) ppm.
FAB-MS berechn. für C26H22N4O2 423 (MH+) gefunden 423.
Exakte FAB-HRMS-Masse berechn. für C26H22N4O2 423,1804 (MH+), gefunden 423,1804. - BEISPIEL 7
- Die Titelverbindung wurde durch Anwendung des in Beispiel 1, Schritt 4, beschriebenen Verfahrens hergestellt, wobei 2-(Ammoniummethyl)-1H-benzimidazol-1-iumdichlorid-Hydrat durch 1-(1H-Indol-6-yl)methanamin ersetzt wurde.
1H-NMR (d6-DMSO, 400 MHz) δ 11,02 (1H, s), 9,79 (1H, m), 9,17 (1H, d, J = 4,2 Hz), 8,91 (1H, s), 8,61 (1H, d, J = 8,3 Hz), 7,83 (1H, dd, J = 8,3 und 4,2 Hz), 7,49 (1H, d, J = 8,3 Hz), 7,42 (1H, s), 7,30 (1H, s), 7,06 (1H, d, J = 8,1 Hz), 6,38 (1H, s), 4,64 (2H, d, J = 6,3 Hz) ppm.
FAB-MS berechn. für C18H14N4O2 319 (MH+), gefunden 319. - BEISPIEL 8
- Die Titelverbindung wurde durch Nacharbeiten des in Beispiel 1, Schritt 4, beschriebenen Verfahrens hergestellt, wobei 2-(Ammoniummethyl)-1H-benzimidazol-1-iumdichlorid-Hydrat durch 1-(1H-Indol-2-yl)methanamin ersetzt wurde.
1H-NMR (d6-DMSO, 400 MHz) δ 11,0 (1H, s), 9,73 (1H, m), 9,17 (1H, m), 8,94 (1H, s), 8,61 (1H, d, J = 8,2 Hz), 7,84 (1H, dd, J = 8,2 und 4,2 Hz), 7,46 (1H, d, 7,9 Hz), 7,36 (1H, d, J = 8,1 Hz), 7,04 (1H, t, J = 8,0 Hz), 6,95 (1H, t, J = 7,4 Hz), 6,33 (1H, s), 4,73 (2H, d, J = 6,2 Hz) ppm.
FAB-MS berechn. für C18H14N4O2 319 (MH+), gefunden 319. - BEISPIEL 9
- Die Titelverbindung wurde durch Anwendung des in Beispiel 1, Schritt 4, beschriebenen Verfahrens hergestellt, wobei 2-(Ammoniummethyl)-1H-benzimidazol-1-iumdichlorid-Hydrat durch 4-(Aminomethyl)phthalazin-1(2H)-on ersetzt wurde.
1H-NMR (d6-DMSO, 400 MHz) δ 9,68 (1H, m), 9,18 (1H, dd, J = 1,5 und 4,2 Hz), 8,94 (1H, s), 8,62 (1H, dd, J = 8,2 und 1,5 Hz), 8,30 (1H, d, J = 7,5 Hz), 8,17 (1H, d, J = 9,0 Hz), 7,99 (1H, t, J = 7,7 Hz), 7,84 (1H, dd, J = 7,2 und 4,0 Hz), 4,95 (2H, m) ppm. FAB-MS berechn. für C18H13N5O3 319 (MH+), gefunden 348. - BEISPIEL 10
- Die Titelverbindung wurde durch Verwendung des in Beispiel 1, Schritt 4, beschriebenen Verfahrens hergestellt, wobei 2-(Ammoniummethyl)-1H-benzimidazol-1-iumdichlorid-Hydrat durch tert.-Butyl-3-(aminomethyl)-1H-indol-1-carboxylat ersetzt wurde.
1H-NMR (d6-DMSO, 400 MHz) δ 9,70 (1H, m), 9,16 (1H, dd, J = 1,7 und 4,3 Hz), 8,90 (1H, s), 8,60 (1H, dd, J = 8,2 und 1,7 Hz), 8,05 (1H, d, J = 8,3 Hz), 7,85 (1H, d, J = 9,5 Hz), 7,82 (1H, dd, = 4,2 und 8,3 Hz), 7,66 (1H, s), 7,33 (1H, t, J = 8,4 Hz), 7,20 (1H, t, J = 7,3 Hz), 4,69 (2H, m) ppm.
FAB-MS berechn. für C23H22N4O4 319 (MH+), gefunden 419. - BEISPIEL 11
- Eine Lösung von tert.-Butyl-3-({[(8-hydroxy-1,6-naphthyridin-7-yl)carbonyl]amino}methyl)-1H-indol-1-carboxylat von Beispiel 10 (12,0 mg, 0,0029 mmol) in CH2Cl2 (1 ml) wurde mit Trifluoressigsäure (TFA) (1 ml) behandelt und die resultierende Mischung 1 Stunde bei Raumtemperatur gerührt und dann das Lösungsmittel im Vakuum eingedampft. Das resultierende Material wurde in DMSO (1 ml) gelöst und 24 Stunden bei Raumtemperatur gealtert. Diese Lösung wurde durch präparative HPLC gereinigt (halbpräparatives Gilson-HPLC-System und eine YMC-Combiprep-Pro-Säule (50 × 20 mm ID, C18, S-5 um, 120A) mit 5–95% Acetonitril/Wasser (0,1% TFA) als Elutionsmittel bei 15 ml/Minute), um nach der Gefriertrocknung die Titelverbindung zu ergeben.
1H-NMR (d6-DMSO, 400 MHz) δ 10,98 (1H, s), 9,49 (1H, m), 9,15 (1H, d, J = 4,2 Hz), 8,85 (1H, s), 8,58 (1H, d, J = 8,3 Hz), 7,81 (1H, dd, J = 8,3 und 4,2 Hz), 7,75 (1H, dd, J = 7,7 Hz), 7,40–7,30 (2H, m), 7,08 (1H, t, J = 7,0 Hz), 7,00 (1H, t, J = 7,0 Hz), 4,71 (2H, d, J = 6,0 Hz) ppm.
FAB-MS berechnet für C18H14N4O2 319 (MH+), gefunden 319. - BEISPIEL 12
- Die Titelverbindung wurde als das Imidazothiazol-4-iumtrifluoracetatsalz durch Anwendung des in Beispiel 1, Schritt 4, beschriebenen Verfahrens hergestellt, wobei 2-(Ammoniummethyl)-1H-benzimidazol-1-iumdichlorid-Hydrat durch 1-(2,3-Dihydroimidazo[2,1-b][1,3]thiazol-6-yl)methanamin ersetzt wurde.
1H-NMR (d6-DMSO, 400 MHz) δ 9,67 (1H, t, J = 6,9 Hz), 9,17 (1H, dd, J = 4,2 und 1,6 Hz), 8,92 (1H, s), 8,62 (1H, dd, J = 8,2 und 1,6 Hz), 7,85 (1H, dd, J = 8,2 und 4,2 Hz), 7,47 (1H, s), 4,50 (2H, d, J = 6,0 Hz), 4,32 (2H, t, J = 7,5 Hz), 4,02 (2H, t, J = 7,5 Hz) ppm.
FAB-MS berechn. für C15H13N5O2S 328 (MH+), gefunden 328.
Exakte FAB-HRMS-Masse berechn. für C15H13N5O2S 328,0863 (MH+), gefunden 328,085. - BEISPIEL 13
- Zu einer Lösung von Methyl-8-hydroxy-1,6-naphthyridin-7-carboxylat von Beispiel 1, Schritt 2, (0,05 g, 0,245 mmol) in trockenem Toluol (3 ml) wurde 1-Pyridin-4-ylmethanamin (0,029 g, 0,270 mmol) zugegeben und die Mischung 16 Stunden zum Rückfluss erhitzt. Die Lösung wurde auf ein kleineres Volumen eingeengt und weitere 4 Stunden refluxiert. Das Lösungsmittel wurde unter vermindertem Druck entfernt und der Rückstand erneut in DMF gelöst und filtriert und die Lösung durch präparative HPLC (halbpräparatives Gilson-HPLC-System und eine YMC-Combiprep-Pro-Säule (50 × 20 mm ID, C18, S-5 um, 120A) mit 5–95% Acetonitril/Wasser (0,1% TFA) als Elutionsmittel bei 15 ml/Minute) gereinigt, um nach der Gefriertrocknung die Titelverbindung zu ergeben.
1H-NMR (d6-DMSO, 400 MHz) δ 10,07 (1H, m), 9,18 (1H, m), 8,97 (1H, d, J = 1,47 Hz), 8,75 (2H, dd, J = 5,0 Hz), 8,64 (1H, dd, J = 8,3 Hz), 7,86 (1H, m), 7,77 (2H, d, J = 5,1 Hz), 4,76 (2H, d, J = 4,6 Hz) ppm.
FAB-MS berechn. für C15H12N4O2 281 (MHO, gefunden 281.
Exakte FAB-HRMS-Masse berechn. für C15H12N4O2 281,1033 (MH+), gefunden 281,1032.
Anal. Berechn. für C15H12N4O2. 1,25 TFA. 1,00 H2O: C, 47,68; H, 3,49; N, 12,71.
Gefunden: C, 47,68; H, 3,70; N, 12,03. - BEISPIEL 14
- Zu einer Lösung von Methyl-8-hydroxy-1,6-naphthyridin-7-carboxylat von Beispiel 1, Schritt 2, (0,05 g, 0,0245 mmol) in trockenem Toluol (3 ml) wurde 1-Pyridin-2-ylmethanamin (0,029 g, 0,270 mmol) zugegeben und die Mischung 16 Stunden zum Rückfluss erhitzt. Die Lösung wurde auf ein kleineres Volumen eingeengt und weitere 4 Stunden refluxiert. Das Lösungsmittel wurde unter vermindertem Druck entfernt und der Rückstand erneut in DMF gelöst und filtriert, und die Lösung wurde durch präparative HPLC (halbpräparatives Gilson-HPLC-System und eine YMC-Combiprep-Pro-Säule (50 × 20 mm ID, C18, S-5 um, 120A) mit 5–95% Acetonitril/Wasser (0,1% TFA) als Elutionsmittel bei 15 ml/Minute) gereinigt, um nach der Gefriertrocknung die Titelverbindung zu ergeben.
1H-NMR (d6-DMSO, 400 MHz) δ 9,88 (1H, m), 9,18 (1H, m), 8,96 (1H, d, J = 1,1 Hz), 8,63 (2H, m), 7,96 (1H, dd, J = 7,6 Hz), 7,86 (1H, m), 7,55 (1H, d, J = 7,6 Hz), 7,46 (1H, dd, J = 5,3 Hz), 4,76 (2H, d, J = 4,6 Hz) ppm.
FAB-MS berechn. für C15H12N4O2 281 (MH+), gefunden 281.
Exakte FAB-HRMS-Masse berechn. für C15H12N4O2 281,1033 (MH+), gefunden 281,1040.
Anal. Berechn. für C15H12N4O2. 1,45 TFA. 0,1 H2O: C, 48,05; H, 3,08; N, 12,52.
Gefunden: C, 48,04; H, 3,29; N, 12,17. - BEISPIEL 15
- Eine Mischung aus 8-Hydroxychinolin-7-carbonsäure (0,23 g, 1,25 mmol), 2-(1H-Indol-3-yl)ethylamin (0,20 g, 1,25 mmol), 1-Hydroxybenzotriazol (0,18 g, 1,37 mmol), 1-(3-Dimethylaminopropyl)-3-ethylcarbodiimid-Hydrochlorid (0,26 g, 1,37 mmol) und Triethylamin (0,7 ml, 4,99 mmol) in DMF (12 ml) wurde über Nacht bei Raumtemperatur gerührt. Die Reaktionsmischung wurde unter Vakuum eingeengt. Der Rückstand wurde in DMSO gelöst und der HPLC-Reinigung an einer stationären C-18-Phase mit mobiler Wasser/Acetonitril/TFA-Phase als Elutionsmittel gereinigt. Durch Sammeln und Gefriertrocknen von geeigneten Fraktionen wurde die Titelverbindung als gelber Feststoff erhalten.
1H-NMR (400 MHz, DMSO-d6) δ 10,82 (s, 1H), 9,08 (br. s, 1H), 8,92 (br. s, 1H), 8,42 (br. d, 1H), 8,02 (d, 1H), 7,70 (br. m, 1H), 7,61 (d, 1H), 7,46 (d, 1H), 7,34 (d, 1H), 7,22 (d, 1H), 7,07 (t, 1H), 7,00 (t, 1H), 3,67 (q, 2H), 3,02 (t, 2H). - BEISPIEL 16
- Oralzusammensetzung
- Als eine spezielle Ausführungsform einer Oralzusammensetzung einer Verbindung dieser Erfindung werden 50 mg der Verbindung von Beispiel 1 mit ausreichend feinteiliger Lactose formuliert, um eine Gesamtmenge von 580 bis 590 mg zu ergeben, die in eine Hartgelatinekapsel der Größe O gefüllt wird.
- BEISPIEL 17
- HIV-Integrase-Assay: Durch rekombinante Integrase katalysierter Strangtransfer
- Assays für die Strangtransferaktivität von Integrase wurden gemäß Wolfe, A.L. et al., J. Virol. 1996, 70: 1424–1432, für rekombinante Integrase durchgeführt, außer dass: (i) die Assays vorher zusammengesetzte Integrase-Strangtransfer-Komplexe verwendeten; (ii) die Strangtransferreaktion in Gegenwart von Inhibitor in 2,5 mM MgCl2 unter Verwendung von 0,5 bis 5 nM eines mit 3'-FITC markierten Ziel-DNA-Substrats durchgeführt wurde (SEQU.-ID. NR.: 1 und SEQU. ID. NR.: 2).
5' TGA CCA AGG GCT AAT TCA CT fitc 3'
3' fitc ACT GGT TCC CGA TTA AGT GA 5';
und (iii) die Strangtransferprodukte mittels eines alkaliphosphatasekonjugierten Anti-FITC-Antikörpers und eines chemoluminszierenden Alkaliphosphatasesubstrats erfasst wurden. Repräsentative Verbindungen, die in dem Integraseassay getestet wurden, wiesen IC50-Werte von weniger als etwa 100 Mikromolar auf. - Eine weitere Beschreibung der Durchführung des Assays unter Verwendung von vorher zusammengesetzten Komplexen findet sich bei Hazuda et al., J. Virol 1997, 71: 7005–7011; Hazuda et al., Drug Design and Discovery 1997, 15: 17–24; und Hazuda et al., Science 2000, 287: 646–650.
- BEISPIEL 18
- Assay zur Inhibierung der HIV-Replikation
- Assays zur Inhibierung von akuter HIV-Infektion von T-Lymphzellen wurden gemäß Vacca, J.P. et al., (1994), Proc. Natl. Acad. Sci. USA 91, 4096, durchgeführt. Repräsentative Verbindungen, die bei dem vorliegenden Assay getestet wurden, wiesen IC95-Werte von weniger als etwa 20 Mikromolar auf.
- Während die obige Beschreibung die Prinzipien der vorliegenden Erfindung lehrt und für Veranschaulichungszwecke Beispiele angegeben sind, umfasst die Praxis der Erfindung alle üblichen Variationen, Adaptationen und/oder Modifizierungen, die in den Umfang der folgenden Ansprüche fallen.
jedes Rb unabhängig ist:
jedes n unabhängig eine ganze Zahl gleich 0, 1 oder 2 ist,
oder eines pharmazeutisch annehmbaren Salzes davon zur Herstellung eines Medikaments zur Inhibierung von HIV, zur Prävention oder Behandlung einer HIV-Infektion oder zur Behandlung oder Verzögerung des Ausbruchs von AIDS zur Verfügung.
jedes Rb unabhängig ist:
alle anderen Variablen wie ursprünglich oben definiert sind,
oder eines pharmazeutisch annehmbaren Salzes davon.
jedes Rc unabhängig ist:
und alle anderen Variablen wie in der ersten Ausführungsform definiert sind,
oder eines pharmazeutisch annehmbaren Salzes davon.
und alle anderen Variablen wie in der zweiten Ausführungsform definiert sind,
oder eines pharmazeutisch annehmbaren Salzes davon.
oder eines pharmazeutisch annehmbaren Salzes davon.
oder eines pharmazeutisch annehmbaren Salzes davon.
oder eines pharmazeutisch annehmbaren Salzes davon.
oder eines pharmazeutisch annehmbaren Salzes davon.
jedes Rb unabhängig ist:
n eine ganze Zahl gleich 0, 1 oder 2 ist,
oder ein pharmazeutisch annehmbares Salz davon.
R1 und R2 jeweils unabhängig sind:
jedes Rb unabhängig ist:
und alle anderen Variablen wie in der neunten Ausführungsform definiert sind,
oder ein pharmazeutisch annehmbares Salz davon.
jedes Rc unabhängig -H, -C1-4-Alkyl oder -(CH2)1-3N(Ra)2 ist,
jedes Rk unabhängig ist:
oder ein pharmazeutisch annehmbares Salz davon.
und alle anderen Variablen wie in der ersten Klasse definiert sind,
oder ein pharmazeutisch annehmbares Salz davon.
Claims (14)
- Eine Verbindung der Formel (II): wobei A ist (i) ein 4- bis 7-gliedriger gesättigter oder ungesättigter monocyclischer Heterocyclus, der 1 bis 4 Stickstoffatome, null bis 2 Heteroatome, ausgewählt aus Sauerstoff und Schwefel, und als Rest Kohlenstoffatome enthält, wobei wenigstens eines der Ringatome Kohlenstoff ist, (ii) ein 7- bis 11-gliedriger kondensierter bicyclischer Heterocyclus, wobei jeder Ring davon gesättigt oder ungesättigt ist, wobei der kondensierte bicyclische Heterocyclus 1 bis 6 Heteroatome, ausgewählt aus Stickstoff, Sauerstoff und Schwefel, und als Rest Kohlenstoffatome enthält, wobei wenigstens zwei der Ringatome Kohlenstoff sind, oder (iii) ein 11- bis 15-gliedriger kondensierter tricyclischer Heterocyclus, wobei jeder Ring davon gesättigt oder ungesättigt ist, wobei der kondensierte tricyclische Heterocyclus 1 bis 6 Stickstoffatome, null bis 3 Heteroatome, ausgewählt aus Sauerstoff und Schwefel, und als Rest Kohlenstoffatome enthält, wobei wenigstens drei der Ringatome Kohlenstoff sind, L ist (i) eine Einfachbindung, (ii) -(CH2)1-3-, gegebenenfalls substituiert mit 1 oder 2 Substituenten, unabhängig ausgewählt aus der Gruppe, bestehend aus -OH, -C1-4-Alkyl, -O-C1-4-Alkyl, -CO2CH3, -CO2CH2-Phenyl, Phenyl, Benzyl, -(CH2)1-2OH, -CH(OH)-Phenyl und -CH(NH2)-Phenyl, (iii) -(CH2)0-1-CH=CH-(CH2)-, das gegebenenfalls substituiert ist mit 1 oder 2 Substituenten, unabhängig ausgewählt aus der Gruppe, bestehend aus Halogen, -OH, -C1-4-Alkyl und -O-C1-4-Alkyl, oder (iv)wobei u und v jeweils ganze Zahlen mit einem Wert von 0 bis 4 sind, mit der Maßgabe, dass die Summe aus u + v 1, 2, 3 oder 4 ist, Z1 N oder C-Q3 ist, Q2 ist (1) -H, (2) -C1-4-Alkyl, (3) -C1-4-Fluoralkyl, (4) -O-C1-4-Alkyl, (5) -O-C1-4-Fluoralkyl, (6) Halogen, (7) -CN, (8) -C1-4-Alkyl-ORa, (9) -(CH2)0-2C(=O)Ra, (10) -(CH2)0-2CO2Ra (11) -(CH2)0-2SRa, (12) -N(Ra)2, (13) -C1-4-Alkyl-N(Ra)2, (14) -(CH2)0-2C(=O)N(Ra)2, (15) -SO2Ra, (16) -N(Ra)SO2Ra, (17) -C2-3-Alkinyl, (18) -C≡C-CH2N(Ra)2, (19) -C≡C-CH2ORa, (20) -N(Ra)-C1-4-Alkyl-SRa, (21) -N(R2)-C1-4-Alkyl-ORa, (22) -N(Ra)-C1-4-Alkyl-N(Ra)2, (23) -N(Ra)-C1-4-Alkyl-N(Ra)-C(Ra)=O, (24) -Rk, (25) -C1-4-Alkyl, substituiert mit Rk, (26) -C1-4-Fluoralkyl, substituiert mit Rk, (27) -C2-5-Alkenyl-Rk, (28) -C2-5 Alkinyl-Rk, (29) -O-Rk, (30) -O-C1-4-Alkyl-Rk, (31) -S(O)n-Rk, (32) -N(Rc)-Rk, (33) -N(Rc)-C1-4-Alkyl, substituiert mit einer oder zwei Rk-Gruppen, (34) -N(Rc)-C1-4-Alkyl-ORk, (35) -C(=O)N-C1-4-Alkyl-Rk, (36) -C≡C-CH2SRa oder (37) -C≡C-CH2SO2Ra, Q3 ist (1) -H, (2) -C1-4-Alkyl, (3) -C1-4-Fluoralkyl, (4) -O-C1-4-Alkyl, (5) -O-C1-4-Fluoralkyl, (6) Halogen, ausgewählt aus -F, -Cl und -Br, (7) -CN, (8) -C1-4-Alkyl-ORa oder (9) -C1-4-Alkyl, substituiert mit Rk, Q4 ist: (1) -H, (2) -C1-4-Alkyl, (3) -C1-4-Fluoralkyl, (4) -O-C1-4-Alkyl, (5) -O-C1-4-Fluoralkyl, (6) Halogen, ausgewählt aus -F, -Cl und -Br, (7) -CN, (8) -C1-6-Alkyl-ORa, (9) -N(Ra)2 oder (10) -C1-6-Alkyl-N(Ra)2, R1 und R2 jeweils unabhängig sind: (1) -H, (2) -C1-4-Alkyl, (3) -C1-4-Fluoralkyl, (4) -O-C1-4-Alkyl, (5) -O-C1-4-Fluoralkyl, (6) -OH, (7) Halogen, (8) -CN, (9) -C1-4-Alkyl-ORa, (10) -(CH2)0-2C(=O)Ra, (11) -(CH2)0-2CO2Ra, (12) -(CH2)0-2SRa, (13) -N(Ra)2, (14) -C1-4-Alkyl-N(Ra)2, (15) -(CH2)0-2C(=O)N(Ra)2, (16) -C1-4-Alkyl-N(Ra)-C(Ra)=O, (17) -SO2Ra, (18) -N(Ra)SO2Ra, (19) -O-C1-4-Alkyl-ORa, (20) -O-C1-4-Alkyl-SRa, (21) -O-C1-4-Alkyl-NH-CO2Ra, (22) -O-C2-4-Alkyl-N(R3)2, (23) -N(Ra)-C1-4-Alkyl-SRa, (24) -N(Ra)-C1-4-Alkyl-ORa, (25) -N(Ra)-C1-4-Alkyl-N(Ra)2, (26) -N(Ra)-C1-4-Alkyl-N(Ra)-C(Ra)=O, (27) -Rk, (28) -C1-4-Alkyl, substituiert mit 1 oder 2 Rk-Gruppen, (29) -C1-4-Fluoralkyl, substituiert mit 1 oder 2 Rk-Gruppen, (30) -O-Rk, (31) -O-C1-4-Alkyl-Rk, (32) -S(O)n-Rk, (33) -S(O)n-C1-4Alkyl-Rk, (34) -O-C1-4-Alkyl-ORk, (35) -O-C1-4-Alkyl-O-C1-4-alkyl-Rk, (36) -O-C1-4-Alkyl-SRk oder (37) -C0-4-Alkyl-N(Rb)(Rk), R3 und R4 jeweils unabhängig sind: (1) -H, (2) Halogen, (3) -CN, (4) -OH, (5) C1-4-Alkyl, (6) C1-4-Fluoralkyl, (7) -O-C1-4-Alkyl, (8) -O-C1-4-Fluoralkyl, (9) -C1-4-Alkyl-ORa, (10) -O-C1-4-Alkyl-ORa, (11) -O-C1-4-Alkyl-SRa, (12) -O-C1-4-Alkyl-NH-CO2Ra oder (13) -O-C2-4-Alkyl-N(Ra)2, R5 ist (1) -H, (2) -C1-4-Alkyl, gegebenenfalls substituiert mit 1 oder 2 Substituenten, unabhängig ausgewählt aus Halogen, -O-C1-4-Alkyl, -O-C1-4-Fluoralkyl, -N(Ra)2 und -CO2Ra, (3) Phenyl, gegebenenfalls substituiert mit 1 bis 3 Substituenten, unabhängig ausgewählt aus Halogen, C1-4-Alkyl, C1-4-Fluoralkyl, -O-C1-4-Alkyl, -O-C1-4-Fluoralkyl, -S-C1-4-Alkyl, -CN und -OH, oder (4) -C1-4-Alkyl, substituiert mit Phenyl, jedes Ra unabhängig -H oder -C1-4-Alkyl ist, jedes Rb unabhängig ist: (1) -H, (2) -C1-4-Alkyl, (3) -C1-4-Fluoralkyl, (4) -Rk, (5) -C1-4-Alkyl-Rk, (6) S(O)n-Rk oder (7) -C(=O)-Rk, jedes Rc unabhängig ist: (1) -H, (2) -C1-4-Alkyl, (3) -C1-4-Alkyl, substituiert mit -N(Ra)2, oder (4) -C1-4-Alkylphenyl, wobei das Phenyl gegebenenfalls substituiert ist mit 1 bis 3 Substituenten, unabhängig ausgewählt aus Halogen, C1-4 Alkyl, C1-4-Fluoralkyl, -O-C1-4-Alkyl, -O-C1-4-Fluoralkyl, -S-C1-4-Alkyl, -CN und -OH, jedes Rk unabhängig ist: (1) Aryl, ausgewählt aus Phenyl und Naphthyl, wobei Aryl unsubstituiert oder substituiert ist mit 1 bis 5 Substituenten, unabhängig ausgewählt aus: (a) Halogen, (b) C1-6-Alkyl, (c) C1-6-Fluoralkyl, (d) -O-C1-6 Alkyl, (e) -O-C1-6-Fluoralkyl, (f) Phenyl, (g) -S-C1-6-Alkyl, (h) -CN, (i) -OH, (j) Phenyloxy, unsubstituiert oder substituiert mit 1 bis 3 Substituenten, unabhängig ausgewählt aus: (i) Halogen, (ii) C1-6-Alkyl, (iii) C1-6-Fluoralkyl und (iv) -OH, (k) -N(Ra)2, (l) -C1-6-Alkyl-N(Ra)2, (m) -Rt, (p) -(CH2)0-3C(=O)N(Ra)2 und (q) -(CH2)0-3C(=O)Ra, (2) -C3-7-Cycloalkyl, unsubstituiert oder substituiert mit 1 bis 3 Substituenten, unabhängig ausgewählt aus: (a) Halogen, (b) C1-6-Alkyl, (c) -O-C1-6-Alkyl, (d) C1-6-Fluoralkyl, (e) -O-C1-6-Fluoralkyl, (f) -CN, (h) Phenyl und (j) -OH, (3) -C3-7-Cycloalkyl, kondensiert mit einem Phenylring, unsubstituiert oder substituiert mit 1 bis 5 Substituenten, unabhängig ausgewählt aus: (a) Halogen, (b) C1-6-Alkyl, (c) -O-C1-6-Alkyl, (d) C1-6-Fluoralkyl, (e) -O-C1-6-Fluoralkyl, (f) -CN und (g) -OH, (4) ein 5- oder 6-gliedriger heteroaromatischer Ring, der 1 bis 4 Heteroatome enthält, unabhängig ausgewählt aus Sauerstoff, Stickstoff und Schwefel, wobei der heteroaromatische Ring am Stickstoff oder Kohlenstoff unsubstituiert oder substituiert ist mit 1 bis 5 Substituenten, unabhängig ausgewählt aus: (a) Halogen, (b) C1-6-Alkyl, (c) C1-6-Fluoralkyl, (d) -O-C1-6-Alkyl, (e) -O-C1-6-Fluoralkyl, (f) Phenyl, (g) -S-C1-6-Alkyl, (h) -CN, (i) -OH, (j) Phenyloxy, unsubstituiert oder substituiert mit 1 bis 3 Substituenten, unabhängig ausgewählt aus: (i) Halogen, (ii) C1-6-Alkyl, (iii) C1-6-Fluoralkyl und (iv) -OH, (k) -N(Ra)2, (l) -C1-6-Alkyl-N(Ra)2, (m) -Rt, (n) Oxo, (o) -(CH2)0-3C(=O)N(Ra)2 und (p) -(CH2)0-3C(=O)Ra, (5) ein 5- oder 6-gliedriger gesättigter heterocyclischer Ring, der 1 oder 2 Heteroatome enthält, unabhängig ausgewählt aus Sauerstoff, Stickstoff und Schwefel, wobei der heterocyclische Ring unsubstituiert oder substituiert ist mit 1 bis 4 Substituenten, unabhängig ausgewählt aus: (a) Halogen, (b) C1-6-Alkyl, (c) -O-C1-6-Alkyl, (d) C1-6-Fluoralkyl, (e) -O-C1-6-Fluoralkyl, (f) -CN, (g) Oxo, (h) Phenyl, (i) Benzyl, (j) Phenylethyl, (k) -OH, (l) -(CH2)0-3C(=O)N(Ra)2, (m) -(CH2)0-3C(=O)Ra, (n) -N(Ra)-C(=O)Ra, (o) -N(Ra)-C(=O)ORa, (p) -(CH2)1-3N(Ra)-C(=O)Ra, (q) -N(Ra)2, (r) -(CH2)1-3N(Ra)2, (s) -(CH2)0-3C(=O)Rt, (l) -Rt, (u) -N(Ra)Rt und (v) -(CH2)1-3Rt, oder (6) ein 8- bis 10-gliedriger heterobicyclischer Ring, der 1 bis 4 Heteroatome enthält, unabhängig ausgewählt aus Sauerstoff, Stickstoff und Schwefel, wobei der heterobicyclische Ring gesättigt oder ungesättigt ist und unsubstituiert oder substituiert ist mit 1 bis 5 Substituenten, unabhängig ausgewählt aus: (a) Halogen, (b) C1-6-Alkyl, (c) -O-C1-6-Alkyl, (d) C1-6-Fluoralkyl, (e) -O-C1-6-Fluoralkyl, (f) -CN, (g) =O und (h) -OH, Rt Naphthyl oder ein 5- oder 6-gliedriger heteromonocyclischer Ring ist, der 1 bis 4 Stickstoffatome enthält, wobei der heteromonocyclische Ring gesättigt oder ungesättigt ist, und wobei das Naphthyl oder der heteromonocyclische Ring unsubstituiert oder substituiert ist mit 1 oder 2 Substituenten, unabhängig ausgewählt aus Halogen, Oxo, C1-4-Alkyl und -O-C1-4-Alkyl, und n eine ganze Zahl gleich 0, 1 oder 2 ist, oder ein pharmazeutisch annehmbares Salz davon.
- Die Verbindung gemäß Anspruch 1, die eine Verbindung der Formel (III) ist: wobei L ist (i) eine Einfachbindung oder (ii) -(CH2)1-3-, gegebenenfalls substituiert mit 1 oder 2 Substituenten, unabhängig ausgewählt aus der Gruppe, bestehend aus -OH, Methyl, Ethyl, -CO2CH3, -CO2CH2 Phenyl, Phenyl, Benzyl, -(CH2)1-2OH, -CH(OH)-Phenyl und -CH(NH2)-Phenyl, Q2 ist (1) -H, (2) Methyl, (3) Ethyl, (4) CF3, (5) Methoxy, (6) Ethoxy, (7) -OCF3, (8) Halogen, ausgewählt aus -F, -Cl und -Br, (9) -CN, (10) -CH2OH, (11) -CH2OCH3, (12) -(CH2)0-2CO2CH3, (13) SRa, (14) -N(Ra)2, (15) -SO2Ra, (16) -C≡C-CH2ORa, (17) -N(Ra)-(CH2)1-3SRa, (18) -N(Ra)-(CH2)1-3ORa, (19) -N(Ra)-(CH2)1-3N(Ra)2, (20) -N(Ra)-(CH2)1-3N(Ra)-C(Ra)=O, (21) -Rk, (22) -(CH2)1-4Rk (23) -C≡C-CH2Rk, (24) -O-Rk, (25) -S-Rk, (26) -SO2-Rk, (27) -N(Rc)-Rk, (28) -N(Rc)-(CH2)1-4H, substituiert mit einer oder zwei Rk-Gruppen, (29) -N(Rc)-(CH2)1-4ORk, (30) -C(=O)N-(CH2)1-4Rk, (31) -C≡C-CH2SRa oder (32) -C≡C-CH2SO2Ra, R1 und R2 jeweils unabhängig sind: (1) -H, (2) Methyl, (3) Ethyl, (4) CF3, (5) Methoxy, (6) Ethoxy, (7) -OCF3, (8) Halogen, ausgewählt aus -F, -Cl und -Br, (9) -CN, (10) -CH2ORa, (11) -CO2Ra, (12) SRa, (13) -N(Ra)2, (14) -(CH2)1-3N(Ra)2, (15) -SO2Ra, (16) -(CH2)1-2N(Ra)-C(Ra)=O, (17) -Rk, (18) -(CH2)1-3H, substituiert mit 1 oder 2 Rk-Gruppen, (19) -O-Rk oder (20) -O-(CH2)1-3Rk R5 ist (1) -H, (2) Methyl, (3) -(CH2)1-2N(Ra)2, (4) -(CH2)1-2CO2CH3 oder (5) -(CH2)1-2CO2CH2CH3, (6) Phenyl oder (7) Benzyl, jedes Ra unabhängig -H oder -C1-4-Alkyl ist, jedes Rc unabhängig -H, -C1-4-Alkyl oder -(CH2)1-3N(Ra)2 ist, jedes Rk unabhängig ist: (1) Phenyl, unsubstituiert oder substituiert ist mit 1 bis 4 Substituenten, unabhängig ausgewählt aus: (a) Halogen, ausgewählt aus -F, -Cl und -Br, (b) Methyl, (c) -CF3, (d) Methoxy, (e) -OCF3, (f) Phenyl, (g) -S-CH3, (h) -CN, (i) -OH, (j) Phenyloxy, unsubstituiert oder substituiert mit 1 bis 3 Substituenten, unabhängig ausgewählt aus: (i) Halogen, ausgewählt aus -F, -Cl und -Br, (ii) Methyl, (iii) -CF3 und (iv) -OH, (k) -N(Ra)2, (l) -(CH2)1-3N(Ra)2, (m) -Rt, (p) -(CH2)0-3C(=O)N(Ra)2 und (q) -(CH2)0-3C(=O)Ra (2) -C3-6-Cycloalkyl, unsubstituiert oder substituiert mit 1 bis 3 Substituenten, unabhängig ausgewählt aus (a) Halogen, ausgewählt aus -F, -Cl und -Br, (b) Methyl, (c) -CF3, (d) Methoxy, (e) -OCF3, (f) -CN, (h) Phenyl und (j) -OH, (3) ein 5- oder 6-gliedriger heteroaromatischer Ring, ausgewählt aus Thienyl, Pyridyl, Imidazolyl, Pyrrolyl, Pyrazolyl, Thiazolyl, Isothiazolyl, Oxazolyl, Isooxazolyl, Pyrazinyl, Pyrimidinyl, Triazolyl, Tetrazolyl, Furanyl und Pyridazinyl, wobei der heteroaromatische Ring am Stickstoff oder Kohlenstoff unsubstituiert oder substituiert ist mit 1 oder 2 Substituenten, unabhängig ausgewählt aus: (a) Halogen, ausgewählt aus -F, -Cl und -Br, (b) Methyl, (c) -CF3, (d) Methoxy, (e) -OCF3, (f) Phenyl, (g) -S-C1-6-Alkyl, (h) -CN, (i) -OH, (j) Phenyloxy, unsubstituiert oder substituiert mit 1 bis 3 Substituenten, unabhängig ausgewählt aus: (i) Halogen, ausgewählt aus -F, -Cl und -Br, (ii) Methyl, (iii) -CF3 und (iv) -OH, (k) -N(Ra)2, (l) -C1-6-Alkyl-N(Ra)2, (m) -Rt, (n) Oxo, (o) -(CH2)0-3C(=O)N(Ra)2 und (p) -(CH2)0-3C(=O)Ra, (4) ein 5- oder 6-gliedriger gesättigter heterocyclischer Ring, ausgewählt aus Piperidinyl, Morpholinyl, Thiomorpholinyl, Thiazolidinyl, Isothiazolidinyl, Oxazolidinyl, Isoxazolidinyl, Pyrrolidinyl, Imidazolidinyl, Piperazinyl, Tetrahydrofuranyl und Pyrazolidinyl, wobei der heterocyclische Ring unsubstituiert oder substituiert ist mit 1 oder 2 Substituenten, unabhängig ausgewählt aus: (a) Halogen, ausgewählt aus -F, -Cl und -Br, (b) Methyl, (c) -CF3, (d) Methoxy, (e) -OCF3, (f) -CN, (9) =O, (h) Phenyl, (i) Benzyl, (j) Phenylethyl, (k) -OH, (l) -(CH2)0-3C(=O)N(Ra)2, (m) -(CH2)0-3C(=O)Ra, (n) N(Ra)-C(=O)Ra, (o) N(Ra)-C(=O)ORa, (p) (CH2)1-3N(Ra)-C(=O)Ra, (q) N(Ra)2, (r) (CH2)1-3N(Ra)2, (s) -(CH2)0-3C(=O)Rt, (t) -Rt, (u) -N(Ra)Rt und (v) -(CH2)1-3Rt, und (5) ein 8- bis 10-gliedriger heterobicyclischer Ring, ausgewählt aus Indolyl, Benzotriazolyl, Benzoimidazolyl, Imidazo[4,5-b]pyridinyl, Dihydroimidazo[4,5-b]pyridinyl, Pyrazolo[4,3-c]pyridinyl, Dihydropyrazolo[4,3-c]pyridinyl, Tetrahydropyrazolo[4,3-c]pyridinyl, Pyrrolo[1,2-a]pyrazinyl, Dihydropyrrolo[1,2-a]pyrazinyl, Tetrahydropyrrolo[1,2-a]pyrazinyl, Octahydropyrrolo[1,2-a]pyrazinyl, Isoindolyl, Indazolyl, Indolinyl, Isoindolinyl, Chinolinyl, Isochinolinyl, Chinoxalinyl, Chinazolinyl, Cinnolinyl, Chromanyl und Isochromanyl, wobei der bicyclische Ring unsubstituiert oder substituiert ist mit 1 oder 2 Substituenten, unabhängig ausgewählt aus: (a) Halogen, ausgewählt aus -F, -Cl und -Br, (b) Methyl, (c) -CF3, (d) Methoxy, (e) -OCF3, (f) -CN, (g) =O und (h) -OH, Rt ausgewählt ist aus Pyrrolidinyl, Pyrazolidinyl, Imidazolinyl, Piperidinyl, Piperazinyl, Pyrrolyl, Pyridyl, Imidazolyl, Pyrazolyl, Triazolyl, Tetrazolyl, Pyrazinyl, Pyrimidinyl und Pyridazinyl, wobei jedes davon unsubstituiert oder substituiert ist mit 1 oder 2 Substituenten, unabhängig ausgewählt aus -F, -Cl, -Br, Oxo, Methyl und Methoxy, oder ein pharmazeutisch annehmbares Salz davon.
- Die Verbindung gemäß Anspruch 2, die eine Verbindung der Formel (IV) ist: wobei A ist (i) ein monocyclischer Heterocyclus, ausgewählt aus der Gruppe, bestehend aus Pyrrolyl, Pyrazolyl, Imidazolyl, Triazolyl, Tetrazolyl, Pyridyl, Pyrazinyl, Pyrimidinyl, Pyrazidinyl, Oxazolyl, Isoxazolyl, Thiazolyl, Isothiazolyl, Pyrrolidinyl, Pyrazolidinyl, Imidazolinyl, Piperidinyl, Piperazinyl, Thiazolidinyl, Isothiazolidinyl und Morpholinyl, (ii) ein kondensierter bicyclischer Heterocyclus, ausgewählt aus der Gruppe, bestehend aus Indolyl, Isoindolyl, Phthalazinyl, Purinyl, Chinoxalinyl, Chinazolinyl, Cinnolinyl, 1,6-Naphthyridinyl, 1,8-Naphthyridinyl, Benzimidazolyl, Chinolinyl, Isochinolinyl, Indazolyl, Dihydroindolyl, Dihydroisoindolyl, Tetrahydrochinolyl, Tetrahydroisochinolyl, Imidazo[1,2-a]pyrimidinyl, 2,3-Dihydroimidazo[2,1-b][1,3]thiazolyl, Benzazepinyl, Dihydrobenzazepinyl, Benzodiazepinyl, Dihydrobenzodiazepinyl, Tetrahydrobenzodiazepinyl und Benzothiazolyl, oder (iii) ein kondensierter tricyclischer Heterocyclus, ausgewählt aus der Gruppe, bestehend aus Phenothiazinyl, Carbazolyl, beta-Carbolinyl, Tetrahydro-beta-carbolinyl, Acridinyl, Phenazinyl und Phenoxazinyl, jedes Rk unabhängig ist: (1) Phenyl, das unsubstituiert oder substituiert ist mit 1 bis 2 Substituenten, unabhängig ausgewählt aus: (a) Halogen, ausgewählt aus -F, -Cl und -Br, (b) Methyl, (c) -CF3, (d) Methoxy, (e) -OCF3, (f) Phenyl, (9) -S-CH3, (h) -CN, (i) -OH, (j) Phenyloxy, (k) -N(Ra)2, (l) -(CH2)1-3N(Ra)2, (m) -Rt, (p) -(CH2)0-3C(=O)N(Ra)2 und (q) -(CH2)0-3C(=O)Ra, (2) -03-6-Cycloalkyl, (3) ein 5- oder 6-gliedriger heteroaromatischer Ring, ausgewählt aus Thienyl, Pyridyl, Imidazolyl, Pyrrolyl, Pyrazolyl, Thiazolyl, Isothiazolyl, Pyrazinyl, Pyrimidinyl, Triazolyl und Tetrazolyl, wobei der heteroaromatische Ring am Stickstoff oder Kohlenstoff unsubstituiert oder substituiert ist mit 1 oder 2 Substituenten, unabhängig ausgewählt aus: (a) Halogen, ausgewählt aus -F, -Cl und -Br, (b) Methyl, (c) -CF3, (d) Methoxy, (e) -OCF3, (f) -S-C1-6-Alkyl, (g) -CN, (h) -OH, (i) -N(Ra)2, (j) -C1-6-Alkyl-N(Ra)2, (k) -Rt, (l) Oxo, (m) -(CH2)0-3C(=O)N(Ra)2 und (n) -(CH2)0-3C(=O)Ra, (4) ein 5- oder 6-gliedriger gesättigter heterocyclischer Ring, ausgewählt aus Piperidinyl, Morpholinyl, Thiomorpholinyl, Thiazolidinyl, Isothiazolidinyl, Oxazolidinyl, Isooxazolidinyl, Pyrrolidinyl, Imidazolidinyl und Piperazinyl, wobei der heterocyclische Ring unsubstituiert oder substituiert ist mit 1 oder 2 Substituenten, unabhängig ausgewählt aus: (a) Halogen, ausgewählt aus -F, -Cl und -Br, (b) Methyl, (c) -CF3, (d) Methoxy, (e) -OCF3, (f) -CN, (g) =O, (h) Phenyl, (i) Benzyl, (j) Phenylethyl, (k) -OH, (l) -(CH2)0-3C(=O)N(Ra)2, (m) -(CH2)0-3C(=O)Ra, (n) N(Ra)-C(=O)Ra, (o) N(Ra)-C(=O)ORa, (p) (CH2)1-3N(Ra)-C(=O)Ra, (q) N(Ra)2, (r) (CH2)1-3N(Ra)2, (s) -(CH2)0-3C(=O)Rt, (t) -Rt, (u) -N(Ra)Rt und (v) -(CH2)1-3Rt, und (5) ein 8- bis 10-gliedriger heterobicyclischer Ring, ausgewählt aus Indolyl, Imidazo[4,5-b]pyridinyl, Dihydroimidazo[4,5-b]pyridinyl, Pyrazolo[4,3-c]pyridinyl, Dihydropyrazolo[4,3-c]pyridinyl, Tetrahydropyrazolo[4,3-c]pyridinyl, Pyrrolo[1,2-a]pyrazinyl, Dihydropyrrolo[1,2-a]pyrazinyl, Tetrahydropyrrolo[1,2-a]pyrazinyl, Octahydropyrrolo[1,2-a]pyrazinyl, Isoindolyl, Indazolyl, Indolinyl, Isoindolinyl, Chinolinyl, Isochinolinyl, Chinoxalinyl und Chinazolinyl, wobei der bicyclische Ring unsubstituiert oder substituiert ist mit 1 oder 2 Substituenten, unabhängig ausgewählt aus: (a) Halogen, ausgewählt aus -F, -Cl und -Br, (b) Methyl, (c) -CF3, (d) Methoxy, (e) -OCF3, (f) -CN, (g) =O und (h) -OH, und Rt ausgewählt ist aus Pyrrolidinyl, Pyrazolidinyl, Imidazolinyl, Piperidinyl, Piperazinyl, Pyrrolyl, Pyridyl, Imidazolyl, Pyrazolyl, Triazolyl, Tetrazolyl, Pyrazinyl, Pyrimidinyl und Pyridazinyl, wobei jedes davon unsubstituiert oder substituiert ist mit 1 oder 2 Substituenten, unabhängig ausgewählt aus -F, -Cl, -Br, Oxo, Methyl und Methoxy, oder ein pharmazeutisch annehmbares Salz davon.
- Die Verbindung gemäß Anspruch 3, wobei A ist (i) ein monocyclischer Heterocyclus, ausgewählt aus der Gruppe, bestehend aus Pyrrolyl, Pyrazolyl, Imidazolyl, Triazolyl, Tetrazolyl, Pyridyl, Oxazolyl, Isoxazolyl, Thiazolyl, Pyrrolidinyl, Piperidinyl, Piperazinyl, Thiazolidinyl und Morpholinyl, (ii) ein kondensierter bicyclischer Heterocyclus, ausgewählt aus der Gruppe, bestehend aus Indolyl, Isoindolyl, Phthalazinyl, Benzimidazolyl, Chinolinyl, Isochinolinyl, Dihydroindolyl, Dihydroisoindolyl, Tetrahydrochinolyl, Tetrahydroisochinolyl, Imidazo[1,2-a]pyrimidinyl, 2,3-Dihydroimidazo[2,1-b][1,3]thiazolyl, Benzazepinyl, Dihydrobenzazepinyl, Benzodiazepinyl, Dihydrobenzodiazepinyl, Benzothiazolyl und Tetrahydrobenzodiazepinyl, oder (iii) ein kondensierter tricyclischer Heterocyclus, ausgewählt aus der Gruppe, bestehend aus Phenothiazinyl, beta-Carbolinyl und Tetrahydro-beta-carbolinyl, oder ein pharmazeutisch annehmbares Salz davon.
- Die Verbindung gemäß Anspruch 4, wobei A ausgewählt ist aus der Gruppe, bestehend aus Indolyl, Phenothiazinyl, Benzimidazolyl, Phthalazinyl und Dihydroimidazothiazolyl, oder ein pharmazeutisch annehmbares Salz davon.
- Die Verbindung gemäß Anspruch 4, wobei A Indolyl ist, oder ein pharmazeutisch annehmbares Salz davon.
- Eine Verbindung gemäß Anspruch 1, die eine Verbindung ist, ausgewählt aus der Gruppe, bestehend aus 2-({[(8-Hydroxy-1,6-naphthyridin-7-yl)carbonyl]amino}methyl)-1H-benzimidazol, 8-Hydroxy-N-[2-(1H-indol-3-yl)ethyl]-1,6-naphthyridin-7-carboxamid, N-{2-[2-(3,4-Dimethoxyphenyl)-1H-indol-3-yl]ethyl}-8-hydroxy-1,6-naphthyridin-7-carboxamid, 8-Hydroxy-N-[(2-oxo-2,3-dihydro-1H-indol-3-yl)methyl]-1,6-naphthyridin-7-carboxamid, 8-Hydroxy-N-[2-(10H-phenothiazin-10-yl)ethyl]-1,6-naphthyridin-7-carboxamid, 8-Hydroxy-N-[2-(2-methyl-1-phenyl-1H-indol-3-yl)ethyl]-1,6-naphthyridin-7-carboxamid, 8-Hydroxy-N-(1H-indol-6-ylmethyl)-1,6-naphthyridin-7-carboxamid, 8-Hydroxy-N-(1H-indol-2-ylmethyl)-1,6-naphthyridin-7-carboxamid, 8-Hydroxy-N-[(4-oxo-3,4-dihydrophthalazin-1-yl)methyl]-1,6-naphthyridin-7-carboxamid, tert.-Butyl-3-({[(8-hydroxy-1,6-naphthyridin-7-yl)carbonyl]amino}methyl)-1H-indol-1-carboxylat, 8-Hydroxy-N-(1H-indol-3-ylmethyl)-1,6-naphthyridin-7-carboxamid, 6-({[(8-Hydroxy-1,6-naphthyridin-7-yl)carbonyl]amino}methyl)-2,3-dihydroimidazo[2,1-b][1,3]thiazol, 8-Hydroxy-N-(4-pyridinylmethyl)[1,6]naphthyridin-7-carboxamid, 8-Hydroxy-N-(2-pyridinylmethyl)[1,6]naphthyridin-7-carboxamid, und pharmazeutisch annehmbare Salze davon.
- Eine pharmazeutische Zusammensetzung, enthaltend eine therapeutisch wirksame Menge einer Verbindung gemäß irgendeinem der Ansprüche 1 bis 7 oder eines pharmazeutisch annehmbaren Salzes davon und einen pharmazeutisch annehmbaren Träger.
- Eine Verbindung nach irgendeinem der Ansprüche 1 bis 7 oder ein pharmazeutisch annehmbares Salz davon zur Verwendung bei einem Verfahren zur Behandlung des menschlichen Körpers.
- Verwendung einer Verbindung nach irgendeinem der Ansprüche 1 bis 7 oder eines pharmazeutisch annehmbaren Salzes davon zur Herstellung eines Medikaments zur HIV-Inhibierung, zur Prävention oder Behandlung einer HIV-Infektion oder zur Behandlung oder Verzögerung des Ausbruchs von AIDS.
- Eine zur Inhibierung von HIV-Integrase, zur Behandlung oder Prävention einer HIV-Infektion oder zur Prävention, Behandlung oder Verzögerung des Ausbruchs von AIDS geeignete Kombination, die eine therapeutisch wirksame Menge einer Verbindung gemäß irgendeinem der Ansprüche 1 bis 7 oder eines pharmazeutisch annehmbaren Salzes davon und eine therapeutisch wirksame Menge eines Mittels zur Behandlung von HIV-Infektion/AIDS, ausgewählt aus der Gruppe, bestehend aus HIV/AIDS-Antivirusmitteln, Immunmodulatoren und Antiinfektiva, ist.
- Die Kombination gemäß Anspruch 11, wobei das Mittel zur Behandlung von HIV-Infektion/AIDS ein Antivirusmittel ist, ausgewählt aus der Gruppe, bestehend aus HIV-Protease-Inhibitoren, Nichnukleosid-HIV-Reverse-Transkriptase-Inhibitoren und Nukleosid-HIV-Reverse-Transkriptase-Inhibitoren.
- Verwendung einer Verbindung der Formel (I-A): wobei A ein Heterocyclus ist, A durch R1, R2, R3 und R4 substituiert ist, L ein Linker ist, der ein Ringatom von A mit dem Stickstoff des -N(R5)-Restes verknüpft, wobei L ist (i) eine Einfachbindung, (ii) -(C1-6-Alkyl)-, (iii) -(C2-6-Alkenyl)-, (iv) -(C0-6-Alkyl)-(C3-6cycloalkyl)-(C0-6-alkyl)- oder (v) -(C0-6-Alkyl)-M-(C0-6-alkyl)-, wobei M -N(Ra)-, -OC(=O)- oder -C(=O)O- ist, wobei das Alkenyl in (iii) und die Alkyle in (ii), (iv) und (v) unabhängig und gegebenenfalls substituiert sind mit 1, 2 oder 3 Substituenten, unabhängig ausgewählt aus der Gruppe, bestehend aus Halogen, -OH, -C1-6 Alkyl, -O-C1-6 Alkyl, -CO2Ra, -CO2(CH2)1-2Rk, -C1-6-Alkyl-ORa, -Rk, -(CH2)1-2Rk, -CH(ORa)-Rk und -CH(N(Ra)2)-Rk, Q1, Q2, Q3 und Q4 jeweils unabhängig sind (1) -H, (2) -C1-6-Alkyl, (3) -C1-6-Halogenalkyl, (4) -O-C1-6-Alkyl, (5) -O-C1-6-Halogenalkyl, (6) Halogen, (7) -CN, (8) -C1-6-Alkyl-ORa, (9) -C0-6-Alkyl-C(=O)Ra, (10) -C0-6-Alkyl-CO2Ra, (11) -C0-6-Alkyl-SRa, (12) -N(Ra)2, (13) -C1-6-Alkyl-N(Ra)2, (14) -C0-6-Alkyl-C(=O)N(R3)2, (15) -C0-6-Alkyl-G-C1-6-alkyl-C(=O)N(Ra)2, wobei G O, S, N(Ra) oder N(SO2Ra) ist, (16) -N(Ra)-C(Ra)=O, (17) -C1-6-Alkyl-N(Ra)-C(Ra)=O, (18) -C(=O)-N(Ra)-C1-6-Alkyl-[C(=O)]0-1-N(Ra)2, (19) -C(=O)-N(Ra)-C1-6-Alkyl, substituiert mit 1 oder 2 -ORa, (20) -C0-6-Alkyl-SO2Ra, (21) -C0-6-Alkyl-N(Ra)SO2Ra, (22) -C2-6-Alkenyl, (23) -C2-6-Alkenyl-C(=O)-N(Ra)2, (24) -C2-5-Alkinyl, (25) -C2-5 Alkinyl-CH2N(Ra)2, (26) -C2-5-Alkinyl-CH2ORa, (27) -C2-5-Alkinyl-CH2S(O)n-Ra oder (28) (29) (30) -C(=NRa)-N(Ra)2, (31) -N(Ra)-C1-6-Alkyl-S(O)nRa, (32) -N(Ra)-C1-6-Alkyl-ORa, (33) -N(Ra)-C1-6-Alkyl-N(Ra)2, (34) -N(Ra)-C1-6-Alkyl-N(Ra)-C(Ra)=O, (35) -N(Ra)-C0-6-Alkyl-[C(=O)]1-2N(Ra)2, (36) -N(Ra)-C1-6-Alkyl-CO2Ra, (37) -N(Ra)C(=O)N(Ra)-C1-6-Alkyl-C(=O)N(Ra)2, (38) -N(Ra)C(=O)-C1-6-Alkyl-N(Ra)2, (39) -N(Ra)-SO2-N(Ra)2, (40) -Rk, (41) -C1-6-Alkyl, substituiert mit Rk, (42) -C1-6-Halogenalkyl, substituiert mit Rk, (43) -C2-5-Alkenyl-Rk, (44) -C2-5-Alkinyl-Rk, (45) -C0-6-Alkyl-O-Rk, (46) -C0-6-Alkyl-O-C1-6-alkyl-Rk, (47) -C0-6Alkyl-S(O)n-Rk, (48) -C0-6-Alkyl-S(O)n-C1-6-alkyl-Rk, (49) -O-C1-6-Alkyl-ORk, (50) -O-C1-6-Alkyl-O-C1-6-alkyl-Rk, (51) -O-C1-6-Alkyl-S(O)nRk, (52) -C0-6-Alkyl-N(Rc)-Rk, (53) -C0-6-Alkyl-N(Rc)-C1-6-alkyl, substituiert mit einer oder zwei Rk-Gruppen, (54) -C0-6-Alkyl-N(Rc)-C1-6-alkyl-ORk, (55) -C0-6-Alkyl-C(=O)-Rk, (56) -C0-6-Alkyl-C(=O)N(Ra)-Rk, (57) -C0-6-Alkyl-N(Ra)C(=O)-Rk, (58) -C0-6-Alkyl-C(=O)N(Ra)-C1-6-alkyl-Rk oder (59) -C0-6-Alkyl-N(Ra)-C0-6-alkyl-S(O)nRk, R1 und R2 jeweils unabhängig sind: (1) -H, (2) -C1-6-Alkyl, (3) -C1-6-Halogenalkyl, (4) -O-C1-6-Alkyl, (5) -O-C1-6-Halogenalkyl, (6) -OH, (7) Halogen, (8) -NO2, (9) -CN, (10) -C1-6 Alkyl-ORa, (11) -C0-6-Alkyl-C(=O)Ra, (12) -C0-6 Alkyl-CO2Ra, (13) -C0-6-Alkyl-SRa, (14) -N(Ra)2, (15) -C1-6-Alkyl-N(Ra)2, (16) -C1-6-Alkyl-C(=O)N(Ra)2, (17) -C1-6-Alkyl-N(Ra)-C(Ra)=O, (18) -SO2Ra, (19) -N(Ra)SO2Ra, (20) -C2-5-Alkenyl, (21) -O-C1-6-Alkyl-ORa, (22) -O-C1-6-Alkyl-SRa, (23) -O-C1-6-Alkyl-NH-CO2Ra, (24) -O-C2-6 Alkyl-N(Ra)2, (25) -N(Ra)-C1-6-Alkyl-SRa, (26) -N(Ra)-C1-6-Alkyl-ORa, (27) -N(Ra)-C1-6-Alkyl-N(Ra)2, (28) -N(Ra)-C1-6-Alkyl-N(Ra)-C(Ra)=O, (29) -Rk, (30) -C1-6 Alkyl, substituiert mit 1 oder 2 Rk-Gruppen, (31) -C1-6-Halogenalkyl, substituiert mit 1 oder 2 Rk-Gruppen, (32) -C2-5-Alkenyl-Rk, (33) -C2-5-Alkinyl-Rk, (34) -O-Rk, (35) -O-C1-6-Alkyl-Rk, (36) S(O)n-Rk, (37) -S(O)n-C1-6-Alkyl-Rk, (38) -O-C1-6-Alkyl-ORk, (39) -O-C1-6-Alkyl-O-C1-6-alkyl-Rk, (40) -O-C1-6 Alkyl-S(O)nRk, (41) -C1-6-Alkyl(ORb)(Rk), (42) -C1-6Alkyl(ORb)(-C1-6-alkyl-Rk), (43) -C0-6-Alkyl-N(Rb)(Rk), (44) -C0-6-Alkyl-N(Rb)(-C1-6-alkyl-Rk), (45) -C1-6-Alkyl-S(O)n-Rk, (46) -C1-6-Alkyl-S(O)n-C1-6-alkyl-Rk, (47) -C0-6-Alkyl-C(O)-Rk oder (48) -C0-6-Alkyl-C(O)-C1-6-alkyl-Rk, R3 und R4 jeweils unabhängig sind (1) -H, (2) Halogen, (3) -CN, (4) -NO2, (5) -OH, (6) C1-6-Alkyl, (7) C1-6-Halogenalkyl, (8) -O-C1-6-Alkyl, (9) -O-C1-6-Halogenalkyl, (10) -C1-6-Alkyl-ORa, (11) -C0-6-Alkyl-C(=O)Ra, (12) -C0-6-Alkyl-CO2Ra, (13) -C0-6-Alkyl-SRa, (14) -N(Ra)2, (15) -C1-6-Alkyl-N(Ra)2, (16) -C0-6-Alkyl-C(=O)N(Ra)2, (17) -SO2Ra, (18) -N(Ra)SO2Ra, (19) -C2-5-Alkenyl, (20) -O-C1-6-Alkyl-ORa, (21) -O-C1-6-Alkyl-SRa, (22) -O-C1-6-Alkyl-NH-CO2Ra, (23) -O-C2-6-Alkyl-N(Ra)2 oder (24) Oxo, R5 ist (1) -H, (2) -C1-6-Alkyl, gegebenenfalls substituiert mit 1 bis 5 Substituenten, unabhängig ausgewählt aus Halogen, -O-C1-6 Alkyl, -O-C1-6 Halogenalkyl, -N(Ra)2 und -CO2Ra, (3) Aryl, gegebenenfalls substituiert mit 1 bis 5 Substituenten, unabhängig ausgewählt aus Halogen, C1-6-Alkyl, C1-6-Halogenalkyl, -O-C1-6-Alkyl, -O-C1-6-Halogenalkyl, -S-C1-6-Alkyl, -CN und -OH, oder (4) -C1-6-Alkyl, substituiert mit Rk, jedes Ra unabhängig -H, -C1-6-Alkyl oder -C1-6-Halogenalkyl ist, jedes Rb unabhängig ist: (1) -H, (2) -C1-4 Alkyl, (3) -C1-4-Halogenalkyl, (4) -Rk, (5) -C2-3-Alkenyl, (6) -C1-4-Alkyl-Rk, (7) -C2-3-Alkenyl-Rk, (8) -S(O)n-Rk oder (9) -C(O)-Rk, jedes Rc unabhängig ist (1) -H, (2) -C1-6-Alkyl, (3) -C1-6 Alkyl, substituiert mit -N(Ra)2, oder (4) -C1-4-Alkylaryl, wobei Aryl gegebenenfalls substituiert ist mit 1 bis 5 Substituenten, unabhängig ausgewählt aus Halogen, C1-6-Alkyl, C1-6-Halogenalkyl, -O-C1-6-Alkyl, -O-C1-6-Halogenalkyl, -S-C1-6-Alkyl, -CN und -OH, jedes Rk unabhängig Carbocyclus oder Heterocyclus ist, wobei der Carbocyclus und der Heterocyclus unsubstituiert oder substituiert sind mit 1 bis 5 Substituenten, von denen jeder unabhängig ausgewählt ist aus (a) Halogen, (b) -C1-6-Alkyl, (c) -C1-6-Halogenalkyl, (d) -O-C1-6-Alkyl, (e) -O-C1-6-Halogenalkyl, (f) -S-C1-6-Alkyl, (g) -CN, (h) -OH, (i) Oxo, (j) -C0-6-Alkyl-C(=O)N(Ra)2, (k) -C0-6-Alkyl-C(=O)Ra, (l) -N(Ra)-C(=O)Ra, (m) -N(Ra)-CO2Ra, (n) -C1-6-Alkyl-N(Ra)-C(=O)Ra, (o) -N(Ra)2, (p) -C1-6-Alkyl-N(Ra)2, (q) -C1-6-Alkyl-ORa, (r) -C0-6-Alkyl-CO2Ra, (s) -C0-6-Alkyl-O-C1-6-alkyl-ORa, (t) -SO2Ra, (u) -SO2N(Ra)2, (v) -C0-6Alkyl-CO2-C2-5-alkenyl, (w) Aryl, (x) Aryloxy-, (y) -C1-4-Alkyl, substituiert mit Aryl, (z) Heteromonocyclus, (aa) -C1-4-Alkyl, substituiert mit einem Heteromonocyclus, (bb) Heteromonocyclylcarbonyl-C0-6-alkyl- und (cc) N-Heteromonocyclyl-N-C1-6-alkylamino-, wobei die Arylgruppe in (w) Aryl, (x) Aryloxy und (y) -C1-4-Alkyl, substituiert mit Aryl, gegebenenfalls substituiert ist mit 1 bis 4 Substituenten, unabhängig ausgewählt aus Halogen, C1-6-Alkyl, -O-C1-6-Alkyl, C1-6-Alkyl, substituiert mit N(Ra)2, C1-6-Halogenalkyl und OH, und wobei die Heteromonocyclylgruppe in (z) Heteromonocyclus, (aa) -C1-4-Alkyl, substituiert mit Heteromonocyclus, (bb) Heteromonocyclylcarbonyl-C0-6-alkyl und (cc) N-Heteromonocyclyl-N-C1-6alkylamino- gegebenenfalls substituiert ist mit 1 bis 4 Substituenten, unabhängig ausgewählt aus Halogen, C1-6-Alkyl, -O-C1-6-Alkyl, C1-6-Halogenalkyl, Oxo und -OH, und jedes n unabhängig eine ganze Zahl gleich 0, 1 oder 2 ist, oder eines pharmazeutisch annehmbaren Salzes davon zur Herstellung eines Medikaments zur Inhibierung von HIV, zur Prävention oder Behandlung einer HIV-Infektion oder zur Behandlung oder Verzögerung des Ausbruchs von AIDS.
- Die Verwendung gemäß Anspruch 13, wobei die Verbindung N-[2-(1H-Indol-3-yl)ethyl]-8-hydroxychinolin-7-carboxamid oder ein pharmazeutisch annehmbares Salz davon ist.
Applications Claiming Priority (3)
| Application Number | Priority Date | Filing Date | Title |
|---|---|---|---|
| US23970800P | 2000-10-12 | 2000-10-12 | |
| US239708P | 2000-10-12 | ||
| PCT/US2001/031550 WO2002030426A1 (en) | 2000-10-12 | 2001-10-09 | Aza- and polyaza-naphthalenyl-carboxamides useful as hiv integrase inhibitors |
Publications (2)
| Publication Number | Publication Date |
|---|---|
| DE60128936D1 DE60128936D1 (en) | 2007-07-26 |
| DE60128936T2 true DE60128936T2 (de) | 2008-04-10 |
Family
ID=22903379
Family Applications (1)
| Application Number | Title | Priority Date | Filing Date |
|---|---|---|---|
| DE60128936T Expired - Lifetime DE60128936T2 (de) | 2000-10-12 | 2001-10-09 | Aza- und polyaza-naphthalenylcarbonsäureamide als hiv-integrase-hemmer |
Country Status (9)
| Country | Link |
|---|---|
| US (1) | US6919351B2 (de) |
| EP (1) | EP1326611B1 (de) |
| JP (1) | JP4287649B2 (de) |
| AT (1) | ATE364385T1 (de) |
| AU (2) | AU2002215328B2 (de) |
| CA (1) | CA2425395C (de) |
| DE (1) | DE60128936T2 (de) |
| ES (1) | ES2287170T3 (de) |
| WO (1) | WO2002030426A1 (de) |
Families Citing this family (54)
| Publication number | Priority date | Publication date | Assignee | Title |
|---|---|---|---|---|
| MXPA03007765A (es) | 2001-03-01 | 2003-12-08 | Shionogi & Co | Compuestos heteroarilo que contienen nitrogeno, que tienen actividad inhibitoria contra virus de inmunodeficiencia humana integrasa. |
| WO2003016275A1 (fr) | 2001-08-10 | 2003-02-27 | Shionogi & Co., Ltd. | Agent antiviral |
| EP1441735B1 (de) | 2001-10-26 | 2006-02-22 | Istituto Di Ricerche Di Biologia Molecolare P. Angeletti S.P.A. | N-substituierte hydroxypyrimidinoncarboxamid-hemmer der hiv-integrase |
| DE60218511T2 (de) * | 2001-10-26 | 2007-10-25 | Istituto Di Richerche Di Biologia Molecolare P. Angeletti S.P.A. | Dihydroxypyrimidin-carbonsäueramid-hemmer der hiv-integrase |
| AU2003220170B2 (en) * | 2002-03-15 | 2008-12-11 | Merck Sharp & Dohme Corp. | N-(Substituted benzyl)-8-hydroxy-1,6-naphthyridine-7- carboxamides useful as HIV integrase inhibitors |
| EP2045242A1 (de) | 2002-08-13 | 2009-04-08 | Shionogi&Co., Ltd. | Heterozyklische Verbindungen mit hemmender HIV-Integrase-Aktivität |
| WO2004047725A2 (en) * | 2002-09-11 | 2004-06-10 | Merck & Co. Inc. | 8-hydroxy-1-oxo-tetrahydropyrrolopyrazine compounds useful as hiv integrase inhibitors |
| AU2003267098B2 (en) * | 2002-09-11 | 2008-11-20 | Merck & Co., Inc. | Dihydroxypyridopyrazine-1,6-dione compounds useful as HIV integrase inhibitors |
| AU2003287160A1 (en) * | 2002-10-15 | 2004-05-04 | Rigel Pharmaceuticals, Inc. | Substituted indoles and their use as hcv inhibitors |
| AU2003301439A1 (en) * | 2002-10-16 | 2004-05-04 | Gilead Sciences, Inc. | Pre-organized tricyclic integrase inhibitor compounds |
| AU2003292436B2 (en) | 2002-12-27 | 2009-07-30 | Msd Italia S.R.L. | Tetrahydro-4H-pyrido[1,2-A]pyrimidines and related compounds useful as HIV integrase inhibitors |
| JP2006528694A (ja) * | 2003-05-13 | 2006-12-21 | スミスクライン ビーチャム コーポレーション | ナフチリジンインテグラーゼインヒビター |
| TW200510425A (en) | 2003-08-13 | 2005-03-16 | Japan Tobacco Inc | Nitrogen-containing fused ring compound and use thereof as HIV integrase inhibitor |
| US20070185007A1 (en) * | 2003-09-19 | 2007-08-09 | Haolun Jin | Aza-quinolinol phosphonate integrase inhibitor compounds |
| CN1870896A (zh) | 2003-10-20 | 2006-11-29 | 默克公司 | 用作hiv整合酶抑制剂的羟基吡啶并吡咯并吡嗪二酮化合物 |
| JP2007516258A (ja) | 2003-12-12 | 2007-06-21 | ワイス | 心臓血管の疾患治療に有用なキノリン誘導体 |
| US7919623B2 (en) * | 2004-02-04 | 2011-04-05 | Shionogi & Co., Ltd. | Naphthyridine derivatives having inhibitory activity against HIV integrase |
| AU2005211733A1 (en) * | 2004-02-11 | 2005-08-25 | Shionogi & Co., Ltd | HIV integrase inhibitors |
| KR20070026414A (ko) | 2004-03-09 | 2007-03-08 | 머크 앤드 캄파니 인코포레이티드 | Hiv 인테그라제 억제제 |
| EP1725535A4 (de) | 2004-03-09 | 2009-11-25 | Merck & Co Inc | Hiv-integrasehemmer |
| AU2005227258A1 (en) | 2004-03-09 | 2005-10-06 | Merck & Co., Inc. | HIV integrase inhibitors |
| CA2557926A1 (en) | 2004-03-09 | 2005-09-22 | Monica Donghi | Hiv integrase inhibitors |
| US7538112B2 (en) * | 2004-05-07 | 2009-05-26 | Merck & Co., Inc. | HIV integrase inhibitors |
| US7476666B2 (en) | 2004-06-09 | 2009-01-13 | Merck & Co., Inc. | HIV integrase inhibitors |
| JP5317257B2 (ja) * | 2005-02-21 | 2013-10-16 | 塩野義製薬株式会社 | Hivインテグラーゼ阻害活性を有する2環性カルバモイルピリドン誘導体 |
| CA2599688A1 (en) | 2005-03-01 | 2006-09-08 | Wyeth | Cinnoline compounds and their use as liver x receptor modulators |
| EP1866313A1 (de) * | 2005-03-31 | 2007-12-19 | Istituto di Richerche di Biologia Molecolare P. Angeletti S.p.A. | Hiv-integrasehemmer |
| US8129385B2 (en) | 2005-04-28 | 2012-03-06 | Shionogi & Co., Ltd. | Substituted 5-hydroxy-3,4,6,9,9a, 10-hexanhydro-2h-1-oxa04a,8a-diaza-anthracene-6,10-dioness |
| WO2006121831A2 (en) * | 2005-05-10 | 2006-11-16 | Merck & Co., Inc. | Hiv integrase inhibitors |
| WO2007019130A2 (en) * | 2005-08-04 | 2007-02-15 | Smithkline Beecham Corporation | Hiv integrase inhibitors |
| EP1910355A4 (de) * | 2005-08-04 | 2010-11-24 | Glaxosmithkline Llc | Hiv-integrasehemmer |
| US20080214503A1 (en) * | 2005-08-04 | 2008-09-04 | Smithkline Beecham Corporation | Hiv Integrase Inhibitors |
| JP5094725B2 (ja) * | 2005-10-04 | 2012-12-12 | イステイチユート・デイ・リチエルケ・デイ・ビオロジア・モレコラーレ・ピ・アンジエレツテイ・エツセ・エルレ・エルレ | Hivインテグラーゼ阻害剤 |
| AU2006306355A1 (en) * | 2005-10-27 | 2007-05-03 | Merck & Co., Inc. | HIV integrase inhibitors |
| DE102005059479A1 (de) * | 2005-12-13 | 2007-06-14 | Merck Patent Gmbh | Hydroxychinolinderivate |
| NZ572367A (en) | 2006-05-16 | 2011-09-30 | Gilead Sciences Inc | Fused cyclic compounds as integrase inhibitors |
| EP2044018A1 (de) | 2006-07-11 | 2009-04-08 | Pfizer Japan, Inc. | Substituierte bicyclische n-bicyclylalkylcarbonsäureamidverbindungen |
| US20100056516A1 (en) * | 2006-07-17 | 2010-03-04 | Williams Peter D | 1-hydroxy naphthyridine compounds as anti-hiv agents |
| AU2007275805A1 (en) | 2006-07-19 | 2008-01-24 | University Of Georgia Research Foundation, Inc. | Pyridinone diketo acids: Inhibitors of HIV replication in combination therapy |
| NZ575831A (en) | 2006-09-29 | 2011-12-22 | Idenix Pharmaceuticals Inc | Enantiomerically pure phosphoindoles as hiv inhibitors |
| JP2010506913A (ja) * | 2006-10-18 | 2010-03-04 | メルク エンド カムパニー インコーポレーテッド | Hivインテグラーゼ阻害剤 |
| CN105055432A (zh) | 2008-01-25 | 2015-11-18 | 奇默里克斯公司 | 治疗病毒感染的方法 |
| EP2376080B1 (de) | 2008-12-11 | 2017-09-13 | Shionogi&Co., Ltd. | Synthese von carbamoylpyridon-hiv-integrase-hemmern und zwischenprodukte |
| ES2446720T3 (es) | 2009-10-13 | 2014-03-10 | Elanco Animal Health Ireland Limited | Inhibidores de la integrasa macrocíclica |
| KR20120094098A (ko) | 2009-12-07 | 2012-08-23 | 유니버시티 오브 조지아 리서치 파운데이션, 인코포레이티드 | 피리디논 하이드록시사이클로펜틸 카복사미드: 치료 용도의 hiv 인테그라제 억제제 |
| EP2345641A1 (de) | 2009-12-29 | 2011-07-20 | Polichem S.A. | Neue sekundäre 8-Hydroxychinolin-7-Carboxamid-Derivate |
| EP2345642A1 (de) * | 2009-12-29 | 2011-07-20 | Polichem S.A. | Sekundäre 8-Hydroxychinolin-7-Carboxamid-Derivate zur Verwendung als Fungizid |
| EP2345643A1 (de) | 2009-12-29 | 2011-07-20 | Polichem S.A. | Neue tertiäre 8-Hydroxychinolin-7-Carboxamidederivate und deren Verwendungen |
| US8283366B2 (en) | 2010-01-22 | 2012-10-09 | Ambrilia Biopharma, Inc. | Derivatives of pyridoxine for inhibiting HIV integrase |
| ES2629165T3 (es) | 2010-02-12 | 2017-08-07 | Chimerix, Inc. | Métodos de tratamiento de una infección vírica |
| RU2567385C2 (ru) | 2010-04-02 | 2015-11-10 | ЯНССЕН Ар ЭНД Ди АЙРЛЭНД | Макроциклические ингибиторы интегразы |
| MX344879B (es) * | 2012-12-21 | 2017-01-11 | Gilead Sciences Inc | Compuestos de carbamoilpiridona policiclicos y su uso farmaceutico. |
| IL290341B2 (en) | 2019-09-12 | 2024-11-01 | Mirati Therapeutics Inc | Mta-cooperative prmt5 inhibitors |
| CN111689944B (zh) * | 2020-06-10 | 2021-11-16 | 中山大学 | 喹啉色胺杂联体及其在制备治疗阿尔茨海默病的药物中的应用 |
Family Cites Families (26)
| Publication number | Priority date | Publication date | Assignee | Title |
|---|---|---|---|---|
| JPS5751837B2 (de) * | 1973-04-05 | 1982-11-04 | ||
| US4416884A (en) * | 1978-04-12 | 1983-11-22 | Otsuka Pharmaceutical Co., Ltd. | Piperazinylbenzoheterocyclic compounds |
| FR2632639B1 (fr) * | 1988-06-09 | 1990-10-05 | Sanofi Sa | Derives d'amino-4 carboxy-3 naphtyridines, leur preparation et compositions pharmaceutiques qui les contiennent |
| IL101860A0 (en) * | 1991-05-31 | 1992-12-30 | Ici Plc | Heterocyclic derivatives |
| US5776944A (en) * | 1994-06-16 | 1998-07-07 | Lg Chemical Ltd. | 7-(4-aminomethyl-3-methyloxyiminopyrroplidin-1-yl)-1-cyclopropyl-6-flu oro-4-oxo-1,4-dihydro-1,8-naphthyridine-3-carboxylic acid and the process for the preparation thereof |
| DE69509442T2 (de) * | 1994-06-16 | 1999-09-02 | Lg Chemical Ltd. | Chinolincarbonsäurederivate mit 7-(4-Amino-methyl-3-oxim)-pyrrolidin-Substituenten und Verfahren zu ihrer Herstellung |
| US5681832A (en) | 1995-02-17 | 1997-10-28 | The United States Of America As Represented By The Department Of Health And Human Services | Aroylaniline compounds, pharmaceutical compositions, and methods of using same to inhibit viral activity |
| DE69631423T2 (de) * | 1995-08-02 | 2004-12-02 | Darwin Discovery Ltd., Slough | Chinolone und deren therapeutische verwendung |
| US5945431A (en) * | 1996-03-15 | 1999-08-31 | Biochem Therapeutics Incorporated | Cytomegalovirus inhibiting compounds |
| US6310211B1 (en) | 1996-09-10 | 2001-10-30 | Pharmacia & Upjohn Company | 8-hydroxy-7-substituted quinolines as anti-viral agents |
| ATE300521T1 (de) | 1996-09-25 | 2005-08-15 | Astrazeneca Ab | Chinolin-derivate die den effekt von wachstumsfaktoren wie vegf vezögern |
| KR20010014262A (ko) * | 1997-06-30 | 2001-02-26 | 닛뽄카야쿠가부시키가이샤 | 신규 나프티리딘 유도체 또는 그 염 |
| SI20270A (sl) | 1997-08-25 | 2000-12-31 | Neurogen Corporation | Substituirani 4-okso-naftiridin-3-karboksamidi kot ligandi možganskih GABA receptorjev |
| US6143760A (en) * | 1997-08-25 | 2000-11-07 | Neurogen Corporation | Substituted 4-oxo-napthyridine-3-carboxamides: GABA brain receptor ligands |
| GB9720052D0 (en) | 1997-09-19 | 1997-11-19 | Smithkline Beecham Plc | Novel compounds |
| KR20010015639A (ko) * | 1997-09-30 | 2001-02-26 | 스즈키 다다시 | 술포닐 유도체 |
| US6093732A (en) | 1997-12-22 | 2000-07-25 | Pharmacia & Upjohn Company | 4-hydroxyquinoline-3-carboxamides and hydrazides as antiviral agents |
| US6380249B1 (en) * | 1998-06-03 | 2002-04-30 | Merck & Co., Inc. | HIV integrase inhibitors |
| US6262055B1 (en) * | 1998-06-03 | 2001-07-17 | Merck & Co., Inc. | HIV integrase inhibitors |
| US6306891B1 (en) * | 1998-06-03 | 2001-10-23 | Merck & Co., Inc. | HIV integrase inhibitors |
| SE9802550D0 (sv) | 1998-07-15 | 1998-07-15 | Active Biotech Ab | Quinoline derivatives |
| AU5880600A (en) | 1999-06-25 | 2001-01-31 | Merck & Co., Inc. | 1-(aromatic- or heteroaromatic-substituted)-3-(heteroaromatic substituted)-1,3-propanediones and uses thereof |
| US6730682B2 (en) | 2000-07-12 | 2004-05-04 | Pharmacia & Upjohn Company | Heterocycle carboxamides as antiviral agents |
| GB0017676D0 (en) | 2000-07-19 | 2000-09-06 | Angeletti P Ist Richerche Bio | Inhibitors of viral polymerase |
| DE60218511T2 (de) | 2001-10-26 | 2007-10-25 | Istituto Di Richerche Di Biologia Molecolare P. Angeletti S.P.A. | Dihydroxypyrimidin-carbonsäueramid-hemmer der hiv-integrase |
| EP1441735B1 (de) | 2001-10-26 | 2006-02-22 | Istituto Di Ricerche Di Biologia Molecolare P. Angeletti S.P.A. | N-substituierte hydroxypyrimidinoncarboxamid-hemmer der hiv-integrase |
-
2001
- 2001-10-09 DE DE60128936T patent/DE60128936T2/de not_active Expired - Lifetime
- 2001-10-09 AU AU2002215328A patent/AU2002215328B2/en not_active Ceased
- 2001-10-09 EP EP01983939A patent/EP1326611B1/de not_active Expired - Lifetime
- 2001-10-09 WO PCT/US2001/031550 patent/WO2002030426A1/en not_active Ceased
- 2001-10-09 AT AT01983939T patent/ATE364385T1/de not_active IP Right Cessation
- 2001-10-09 ES ES01983939T patent/ES2287170T3/es not_active Expired - Lifetime
- 2001-10-09 US US10/399,083 patent/US6919351B2/en not_active Expired - Fee Related
- 2001-10-09 AU AU1532802A patent/AU1532802A/xx active Pending
- 2001-10-09 CA CA002425395A patent/CA2425395C/en not_active Expired - Fee Related
- 2001-10-09 JP JP2002533867A patent/JP4287649B2/ja not_active Expired - Fee Related
Also Published As
| Publication number | Publication date |
|---|---|
| EP1326611A4 (de) | 2004-04-07 |
| EP1326611B1 (de) | 2007-06-13 |
| US6919351B2 (en) | 2005-07-19 |
| CA2425395A1 (en) | 2002-04-18 |
| CA2425395C (en) | 2009-06-02 |
| ES2287170T3 (es) | 2007-12-16 |
| WO2002030426A1 (en) | 2002-04-18 |
| AU1532802A (en) | 2002-04-22 |
| JP4287649B2 (ja) | 2009-07-01 |
| DE60128936D1 (en) | 2007-07-26 |
| AU2002215328B2 (en) | 2005-11-17 |
| US20040034221A1 (en) | 2004-02-19 |
| ATE364385T1 (de) | 2007-07-15 |
| JP2004510819A (ja) | 2004-04-08 |
| EP1326611A1 (de) | 2003-07-16 |
Similar Documents
| Publication | Publication Date | Title |
|---|---|---|
| DE60128936T2 (de) | Aza- und polyaza-naphthalenylcarbonsäureamide als hiv-integrase-hemmer | |
| DE60315796T2 (de) | Hydroxynaphthyridinoncarbonsäureamide, die sich als inhibitoren der hiv-integrase eignen | |
| EP1326610B1 (de) | Aza- und polyaza-naphthalenylcarbonsäureamide als hiv-integrase-hemmer | |
| CA2425440C (en) | Aza- and polyaza-naphthalenyl carboxamides useful as hiv integrase inhibitors | |
| US20050010048A1 (en) | Aza-and polyaza-naphthalenly ketones useful as hiv integrase inhibitors | |
| AU2002215328A1 (en) | AZA- and polyaza-naphthalenyl-carboxamides useful as HIV integrase inhibitors | |
| AU2002246499A1 (en) | Aza-and polyaza-naphthalenyl carboxamides useful as HIV integrase inhibitors | |
| DE60215699T2 (de) | Quinolinone als prostaglandin rezeptor liganden | |
| AU2002211527A1 (en) | Aza- and polyaza-naphthalenyl carboxamides useful as HIV integrase inhibitors | |
| TW200817411A (en) | Pyrimidine derivative as PI3 inhibitor and use thereof | |
| CN101621931A (zh) | 杂芳基酰胺衍生物 | |
| JP2015007100A (ja) | キナーゼ調節のための化合物と方法、及びそのための適応 | |
| DE10226943A1 (de) | Phenylaminopyrimidine und ihre Verwendung | |
| EP1539714B1 (de) | 8-hydroxy-1-oxotetrahydropyrrolopyrazinverbindungen, die sich als inhibitoren von hiv-integrase eignen | |
| EP2931716B1 (de) | Pyridinderivate und verwendungen davon bei der behandlung von tuberkulose |
Legal Events
| Date | Code | Title | Description |
|---|---|---|---|
| 8364 | No opposition during term of opposition | ||
| 8327 | Change in the person/name/address of the patent owner |
Owner name: MERCK SHARP & DOHME CORP., RAHWAY, N.J., US |
|
| 8328 | Change in the person/name/address of the agent |
Representative=s name: MARKS & CLERK (LUXEMBOURG) LLP, LUXEMBOURG, LU |























































