DE10353202A1 - Pentafluorsulfuranyl-benzoylguanidine, Verfahren zu ihrer Herstellung, ihre Verwendung als Medikament oder Diagnostikum sowie sie enthaltendes Medikament - Google Patents
Pentafluorsulfuranyl-benzoylguanidine, Verfahren zu ihrer Herstellung, ihre Verwendung als Medikament oder Diagnostikum sowie sie enthaltendes Medikament Download PDFInfo
- Publication number
- DE10353202A1 DE10353202A1 DE10353202A DE10353202A DE10353202A1 DE 10353202 A1 DE10353202 A1 DE 10353202A1 DE 10353202 A DE10353202 A DE 10353202A DE 10353202 A DE10353202 A DE 10353202A DE 10353202 A1 DE10353202 A1 DE 10353202A1
- Authority
- DE
- Germany
- Prior art keywords
- atoms
- zero
- alkyl
- hydrogen
- formula
- Prior art date
- Legal status (The legal status is an assumption and is not a legal conclusion. Google has not performed a legal analysis and makes no representation as to the accuracy of the status listed.)
- Withdrawn
Links
- 0 *c1c(C(I)=O)c(*)c(*)c(S(F)(F)(F)(F)F)c1* Chemical compound *c1c(C(I)=O)c(*)c(*)c(S(F)(F)(F)(F)F)c1* 0.000 description 1
Classifications
-
- C—CHEMISTRY; METALLURGY
- C07—ORGANIC CHEMISTRY
- C07C—ACYCLIC OR CARBOCYCLIC COMPOUNDS
- C07C381/00—Compounds containing carbon and sulfur and having functional groups not covered by groups C07C301/00 - C07C337/00
-
- A—HUMAN NECESSITIES
- A61—MEDICAL OR VETERINARY SCIENCE; HYGIENE
- A61K—PREPARATIONS FOR MEDICAL, DENTAL OR TOILETRY PURPOSES
- A61K51/00—Preparations containing radioactive substances for use in therapy or testing in vivo
- A61K51/02—Preparations containing radioactive substances for use in therapy or testing in vivo characterised by the carrier, i.e. characterised by the agent or material covalently linked or complexing the radioactive nucleus
- A61K51/04—Organic compounds
- A61K51/0404—Lipids, e.g. triglycerides; Polycationic carriers
- A61K51/0406—Amines, polyamines, e.g. spermine, spermidine, amino acids, (bis)guanidines
-
- A—HUMAN NECESSITIES
- A61—MEDICAL OR VETERINARY SCIENCE; HYGIENE
- A61P—SPECIFIC THERAPEUTIC ACTIVITY OF CHEMICAL COMPOUNDS OR MEDICINAL PREPARATIONS
- A61P1/00—Drugs for disorders of the alimentary tract or the digestive system
- A61P1/16—Drugs for disorders of the alimentary tract or the digestive system for liver or gallbladder disorders, e.g. hepatoprotective agents, cholagogues, litholytics
-
- A—HUMAN NECESSITIES
- A61—MEDICAL OR VETERINARY SCIENCE; HYGIENE
- A61P—SPECIFIC THERAPEUTIC ACTIVITY OF CHEMICAL COMPOUNDS OR MEDICINAL PREPARATIONS
- A61P11/00—Drugs for disorders of the respiratory system
-
- A—HUMAN NECESSITIES
- A61—MEDICAL OR VETERINARY SCIENCE; HYGIENE
- A61P—SPECIFIC THERAPEUTIC ACTIVITY OF CHEMICAL COMPOUNDS OR MEDICINAL PREPARATIONS
- A61P13/00—Drugs for disorders of the urinary system
- A61P13/08—Drugs for disorders of the urinary system of the prostate
-
- A—HUMAN NECESSITIES
- A61—MEDICAL OR VETERINARY SCIENCE; HYGIENE
- A61P—SPECIFIC THERAPEUTIC ACTIVITY OF CHEMICAL COMPOUNDS OR MEDICINAL PREPARATIONS
- A61P13/00—Drugs for disorders of the urinary system
- A61P13/12—Drugs for disorders of the urinary system of the kidneys
-
- A—HUMAN NECESSITIES
- A61—MEDICAL OR VETERINARY SCIENCE; HYGIENE
- A61P—SPECIFIC THERAPEUTIC ACTIVITY OF CHEMICAL COMPOUNDS OR MEDICINAL PREPARATIONS
- A61P15/00—Drugs for genital or sexual disorders; Contraceptives
- A61P15/12—Drugs for genital or sexual disorders; Contraceptives for climacteric disorders
-
- A—HUMAN NECESSITIES
- A61—MEDICAL OR VETERINARY SCIENCE; HYGIENE
- A61P—SPECIFIC THERAPEUTIC ACTIVITY OF CHEMICAL COMPOUNDS OR MEDICINAL PREPARATIONS
- A61P25/00—Drugs for disorders of the nervous system
-
- A—HUMAN NECESSITIES
- A61—MEDICAL OR VETERINARY SCIENCE; HYGIENE
- A61P—SPECIFIC THERAPEUTIC ACTIVITY OF CHEMICAL COMPOUNDS OR MEDICINAL PREPARATIONS
- A61P25/00—Drugs for disorders of the nervous system
- A61P25/02—Drugs for disorders of the nervous system for peripheral neuropathies
-
- A—HUMAN NECESSITIES
- A61—MEDICAL OR VETERINARY SCIENCE; HYGIENE
- A61P—SPECIFIC THERAPEUTIC ACTIVITY OF CHEMICAL COMPOUNDS OR MEDICINAL PREPARATIONS
- A61P25/00—Drugs for disorders of the nervous system
- A61P25/08—Antiepileptics; Anticonvulsants
-
- A—HUMAN NECESSITIES
- A61—MEDICAL OR VETERINARY SCIENCE; HYGIENE
- A61P—SPECIFIC THERAPEUTIC ACTIVITY OF CHEMICAL COMPOUNDS OR MEDICINAL PREPARATIONS
- A61P25/00—Drugs for disorders of the nervous system
- A61P25/18—Antipsychotics, i.e. neuroleptics; Drugs for mania or schizophrenia
-
- A—HUMAN NECESSITIES
- A61—MEDICAL OR VETERINARY SCIENCE; HYGIENE
- A61P—SPECIFIC THERAPEUTIC ACTIVITY OF CHEMICAL COMPOUNDS OR MEDICINAL PREPARATIONS
- A61P25/00—Drugs for disorders of the nervous system
- A61P25/22—Anxiolytics
-
- A—HUMAN NECESSITIES
- A61—MEDICAL OR VETERINARY SCIENCE; HYGIENE
- A61P—SPECIFIC THERAPEUTIC ACTIVITY OF CHEMICAL COMPOUNDS OR MEDICINAL PREPARATIONS
- A61P25/00—Drugs for disorders of the nervous system
- A61P25/24—Antidepressants
-
- A—HUMAN NECESSITIES
- A61—MEDICAL OR VETERINARY SCIENCE; HYGIENE
- A61P—SPECIFIC THERAPEUTIC ACTIVITY OF CHEMICAL COMPOUNDS OR MEDICINAL PREPARATIONS
- A61P25/00—Drugs for disorders of the nervous system
- A61P25/28—Drugs for disorders of the nervous system for treating neurodegenerative disorders of the central nervous system, e.g. nootropic agents, cognition enhancers, drugs for treating Alzheimer's disease or other forms of dementia
-
- A—HUMAN NECESSITIES
- A61—MEDICAL OR VETERINARY SCIENCE; HYGIENE
- A61P—SPECIFIC THERAPEUTIC ACTIVITY OF CHEMICAL COMPOUNDS OR MEDICINAL PREPARATIONS
- A61P29/00—Non-central analgesic, antipyretic or antiinflammatory agents, e.g. antirheumatic agents; Non-steroidal antiinflammatory drugs [NSAID]
-
- A—HUMAN NECESSITIES
- A61—MEDICAL OR VETERINARY SCIENCE; HYGIENE
- A61P—SPECIFIC THERAPEUTIC ACTIVITY OF CHEMICAL COMPOUNDS OR MEDICINAL PREPARATIONS
- A61P3/00—Drugs for disorders of the metabolism
- A61P3/06—Antihyperlipidemics
-
- A—HUMAN NECESSITIES
- A61—MEDICAL OR VETERINARY SCIENCE; HYGIENE
- A61P—SPECIFIC THERAPEUTIC ACTIVITY OF CHEMICAL COMPOUNDS OR MEDICINAL PREPARATIONS
- A61P3/00—Drugs for disorders of the metabolism
- A61P3/08—Drugs for disorders of the metabolism for glucose homeostasis
- A61P3/10—Drugs for disorders of the metabolism for glucose homeostasis for hyperglycaemia, e.g. antidiabetics
-
- A—HUMAN NECESSITIES
- A61—MEDICAL OR VETERINARY SCIENCE; HYGIENE
- A61P—SPECIFIC THERAPEUTIC ACTIVITY OF CHEMICAL COMPOUNDS OR MEDICINAL PREPARATIONS
- A61P33/00—Antiparasitic agents
- A61P33/02—Antiprotozoals, e.g. for leishmaniasis, trichomoniasis, toxoplasmosis
- A61P33/06—Antimalarials
-
- A—HUMAN NECESSITIES
- A61—MEDICAL OR VETERINARY SCIENCE; HYGIENE
- A61P—SPECIFIC THERAPEUTIC ACTIVITY OF CHEMICAL COMPOUNDS OR MEDICINAL PREPARATIONS
- A61P35/00—Antineoplastic agents
-
- A—HUMAN NECESSITIES
- A61—MEDICAL OR VETERINARY SCIENCE; HYGIENE
- A61P—SPECIFIC THERAPEUTIC ACTIVITY OF CHEMICAL COMPOUNDS OR MEDICINAL PREPARATIONS
- A61P35/00—Antineoplastic agents
- A61P35/04—Antineoplastic agents specific for metastasis
-
- A—HUMAN NECESSITIES
- A61—MEDICAL OR VETERINARY SCIENCE; HYGIENE
- A61P—SPECIFIC THERAPEUTIC ACTIVITY OF CHEMICAL COMPOUNDS OR MEDICINAL PREPARATIONS
- A61P43/00—Drugs for specific purposes, not provided for in groups A61P1/00-A61P41/00
-
- A—HUMAN NECESSITIES
- A61—MEDICAL OR VETERINARY SCIENCE; HYGIENE
- A61P—SPECIFIC THERAPEUTIC ACTIVITY OF CHEMICAL COMPOUNDS OR MEDICINAL PREPARATIONS
- A61P5/00—Drugs for disorders of the endocrine system
- A61P5/14—Drugs for disorders of the endocrine system of the thyroid hormones, e.g. T3, T4
-
- A—HUMAN NECESSITIES
- A61—MEDICAL OR VETERINARY SCIENCE; HYGIENE
- A61P—SPECIFIC THERAPEUTIC ACTIVITY OF CHEMICAL COMPOUNDS OR MEDICINAL PREPARATIONS
- A61P7/00—Drugs for disorders of the blood or the extracellular fluid
-
- A—HUMAN NECESSITIES
- A61—MEDICAL OR VETERINARY SCIENCE; HYGIENE
- A61P—SPECIFIC THERAPEUTIC ACTIVITY OF CHEMICAL COMPOUNDS OR MEDICINAL PREPARATIONS
- A61P7/00—Drugs for disorders of the blood or the extracellular fluid
- A61P7/02—Antithrombotic agents; Anticoagulants; Platelet aggregation inhibitors
-
- A—HUMAN NECESSITIES
- A61—MEDICAL OR VETERINARY SCIENCE; HYGIENE
- A61P—SPECIFIC THERAPEUTIC ACTIVITY OF CHEMICAL COMPOUNDS OR MEDICINAL PREPARATIONS
- A61P7/00—Drugs for disorders of the blood or the extracellular fluid
- A61P7/08—Plasma substitutes; Perfusion solutions; Dialytics or haemodialytics; Drugs for electrolytic or acid-base disorders, e.g. hypovolemic shock
-
- A—HUMAN NECESSITIES
- A61—MEDICAL OR VETERINARY SCIENCE; HYGIENE
- A61P—SPECIFIC THERAPEUTIC ACTIVITY OF CHEMICAL COMPOUNDS OR MEDICINAL PREPARATIONS
- A61P9/00—Drugs for disorders of the cardiovascular system
-
- A—HUMAN NECESSITIES
- A61—MEDICAL OR VETERINARY SCIENCE; HYGIENE
- A61P—SPECIFIC THERAPEUTIC ACTIVITY OF CHEMICAL COMPOUNDS OR MEDICINAL PREPARATIONS
- A61P9/00—Drugs for disorders of the cardiovascular system
- A61P9/04—Inotropic agents, i.e. stimulants of cardiac contraction; Drugs for heart failure
-
- A—HUMAN NECESSITIES
- A61—MEDICAL OR VETERINARY SCIENCE; HYGIENE
- A61P—SPECIFIC THERAPEUTIC ACTIVITY OF CHEMICAL COMPOUNDS OR MEDICINAL PREPARATIONS
- A61P9/00—Drugs for disorders of the cardiovascular system
- A61P9/06—Antiarrhythmics
-
- A—HUMAN NECESSITIES
- A61—MEDICAL OR VETERINARY SCIENCE; HYGIENE
- A61P—SPECIFIC THERAPEUTIC ACTIVITY OF CHEMICAL COMPOUNDS OR MEDICINAL PREPARATIONS
- A61P9/00—Drugs for disorders of the cardiovascular system
- A61P9/10—Drugs for disorders of the cardiovascular system for treating ischaemic or atherosclerotic diseases, e.g. antianginal drugs, coronary vasodilators, drugs for myocardial infarction, retinopathy, cerebrovascula insufficiency, renal arteriosclerosis
-
- A—HUMAN NECESSITIES
- A61—MEDICAL OR VETERINARY SCIENCE; HYGIENE
- A61P—SPECIFIC THERAPEUTIC ACTIVITY OF CHEMICAL COMPOUNDS OR MEDICINAL PREPARATIONS
- A61P9/00—Drugs for disorders of the cardiovascular system
- A61P9/12—Antihypertensives
Landscapes
- Health & Medical Sciences (AREA)
- Chemical & Material Sciences (AREA)
- Organic Chemistry (AREA)
- Life Sciences & Earth Sciences (AREA)
- Veterinary Medicine (AREA)
- Public Health (AREA)
- Pharmacology & Pharmacy (AREA)
- General Health & Medical Sciences (AREA)
- Medicinal Chemistry (AREA)
- Animal Behavior & Ethology (AREA)
- Engineering & Computer Science (AREA)
- Chemical Kinetics & Catalysis (AREA)
- Bioinformatics & Cheminformatics (AREA)
- Nuclear Medicine, Radiotherapy & Molecular Imaging (AREA)
- General Chemical & Material Sciences (AREA)
- Diabetes (AREA)
- Neurosurgery (AREA)
- Neurology (AREA)
- Biomedical Technology (AREA)
- Cardiology (AREA)
- Hematology (AREA)
- Heart & Thoracic Surgery (AREA)
- Urology & Nephrology (AREA)
- Pain & Pain Management (AREA)
- Endocrinology (AREA)
- Psychiatry (AREA)
- Obesity (AREA)
- Tropical Medicine & Parasitology (AREA)
- Hospice & Palliative Care (AREA)
- Gastroenterology & Hepatology (AREA)
- Proteomics, Peptides & Aminoacids (AREA)
- Rheumatology (AREA)
- Oncology (AREA)
- Vascular Medicine (AREA)
- Reproductive Health (AREA)
- Pulmonology (AREA)
- Biophysics (AREA)
- Molecular Biology (AREA)
- Emergency Medicine (AREA)
- Physics & Mathematics (AREA)
Abstract
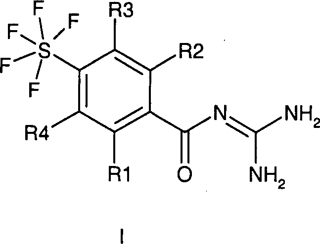
Pentafluorsulfuranly-benzoylguanidine der Formel I, DOLLAR F1 worin R1 bis R4 die in den Ansprüchen angegebenen Bedeutungen haben, sind beispielsweise als antiarrhythmische Arzneimittel mit cardioprotektiver Komponente zur Infarktprophylaxe und der Infarktbehandlung sowie zur Behandlung der angina pectoris geeignet. DOLLAR A Sie inhibieren auch präventiv die pathophysiologischen Vorgänge beim Entstehen ischämisch induzierter Schäden, insbesondere bei der Auslösung ischämisch induzierter Herzarrhythmien.
Description
- Pentafluorsulfuranyl-benzoylguanidine der Formel I worin R1 bis R4 die in den Ansprüchen angegebenen Bedeutungen haben, und deren pharmazeutisch verträgliche Salze sind substituierte Acylguanidine und inhibieren den zellulären Natrium-Protonen-Antiporter (Na+/H+-Exchanger, NHE). Aufgrund der NHE-inhibitorischen Eigenschaften eignen sich die Verbindungen der Formel I und deren pharmazeutisch verträgliche Salze zur Prävention und Behandlung von Krankheiten, die durch eine Aktivierung bzw. durch einen aktivierten NHE verursacht werden, sowie von Krankheiten, die sekundär durch die NHE-bedingten Schädigungen verursacht werden.
- Gegenüber den bekannten Verbindungen zeichnen sich die erfindungsgemäßen Verbindungen durch eine außerordentlich hohe Wirksamkeit in der Inhibition des Na+/H+-Austauschs, sowie durch verbesserte ADMET-Eigenschaften aus. Durch die xenobiotische Struktur (insbesondere durch die Einführung der eher "unnatürlichen/naturfremden" SF5-Substituenten) wird die Gewebeverteilung vorteilhaft beeinflusst. Das führt u.a. zu erhöhten Expositionen in vivo. Dabei wird das Resorptionsverhalten nicht signifikant beeinflusst und die hohe Bioverfügbarkeit der Acylguanidine bleibt erhalten.
- Im Gegensatz zu einigen in der Literatur beschriebenen Acylguanidinen zeigen die hier beschriebenen Verbindungen der Formel I und deren pharmazeutisch verträgliche Salze keine unerwünschten und nachteiligen saliduretischen Eigenschaften.
- Die Erfindung betrifft Pentafluorsulfuranyl-benzoylguanidine der Formel I worin bedeuten
R1 Wasserstoff, Alkyl mit 1, 2, 3 oder 4 C-Atomen, Alkoxy mit 1, 2, 3 oder 4 C Atomen, F, Cl, Br, I, -CN, NR5R8, -Op-(CH2)n-(CF2)o-CF3 oder -(SOm)q-(CH2)r-(CF2)s-CF3;
R5 und R6
unabhängig voneinander Wasserstoff, Alkyl mit 1, 2, 3 oder 4 C-Atomen oder -CH2-CF3;
m Null, 1 oder 2
n, o, p, q, r und s
unabhängig voneinander Null oder 1;
R2 Wasserstoff, Alkyl mit 1, 2, 3 oder 4 C-Atomen, Alkoxy mit 1, 2, 3 oder 4 C-Atomen, F, Cl, Br, I, -CN, NR7R8, -Ot-(CH2)u-(CF2)v-CF3 oder -(SOw)x-(CH2)y-(CF2)z-CF3;
R7 und R8
unabhängig voneinander Wasserstoff, Alkyl mit 1, 2, 3 oder 4 C-Atomen oder -CH2-CF3;
w Null, 1 oder 2
t, u, v, x, y und z
unabhängig voneinander Null oder 1;
R3 Cl, Br, I, -CN, -SO2CH3, Alkoxy mit 1, 2, 3 oder 4 C-Atomen, NR9R10, -Oa-(CH2)b-(CF2)c-CF3, -(SOd)e-(CH2)f-(CF2)g-CF3, Alkyl mit 1, 2, 3, 4, 5 oder 6 C-Atomen oder Cycloalkyl mit 3, 4, 5, 6, 7 oder 8 C-Atomen, in dem 1, 2, 3 oder 4 Wasserstoff-Atome durch Fluoratome ersetzt sein können;
R9 und R10
unabhängig voneinander Wasserstoff, Alkyl mit 1, 2, 3 oder 4 C-Atomen oder -CH2-CF3;
a, b und c
unabhängig voneinander Null oder 1;
d Null, 1 oder 2;
e Null oder 1;
f Null, 1, 2, 3 oder 4;
g Null oder 1;
oder
R3 -(CH2)h -Phenyl oder -O-Phenyl,
in denen die Phenylreste unsubstituiert sind oder substituiert sind mit 1, 2 oder 3 Resten ausgewählt aus der Gruppe bestehend aus Reihe F, Cl, Br, I, -Oj-(CH2)k-CF3, Alkoxy mit 1, 2, 3 oder 4 C-Atomen, Alkyl mit 1, 2, 3 oder 4 C-Atomen und -SO2CH3;
j Null oder 1;
k Null, 1, 2 oder 3;
h Null, 1, 2, 3 oder 4;
oder
R3 -(CH2)aa -Heteroaryl,
das unsubstituiert ist oder substituiert ist mit 1, 2 oder 3 Resten ausgewählt aus der Gruppe bestehend aus F, Cl, Br, I, -Obb-(CH2)cc-CF3, Alkoxy mit 1, 2, 3 oder 4 C-Atomen, Alkyl mit 1, 2, 3 oder 4 C-Atomen und -SO2CH3;
bb Null oder 1;
cc Null, 1, 2 oder 3;
aa Null, 1, 2, 3 oder 4;
R4 Wasserstoff, F, Cl, Br, I, -CN, -SO2CH3, Alkoxy mit 1, 2, 3 oder 4 C-Atomen, NR11R12, -Odd-(CH2)ee-(CF2)ff-CF3, -(SOgg)hh-(CH2)jj-(CF2)kk-CF3, Alkyl mit 1, 2, 3, 4, 5 oder 6 C-Atomen oder Cycloalkyl mit 3, 4, 5, 6, 7 oder 8 C-Atomen, in dem 1, 2, 3 oder 4 Wasserstoff-Atome durch Fluoratome ersetzt sein können;
R11 und R12
unabhängig voneinander Wasserstoff, Alkyl mit 1, 2, 3 oder 4 C-Atomen oder -CH2-CF3;
dd, ee und ff
unabhängig voneinander Null oder 1;
gg Null, 1 oder 2;
hh Null oder 1;
jj Null, 1, 2, 3 oder 4;
kk Null oder 1;
oder
R4 -(CH2)ll -Phenyl oder -O-Phenyl,
in denen die Phenylreste unsubstituiert sind oder substituiert sind mit 1, 2 oder 3 Resten ausgewählt aus der Gruppe bestehend aus Reihe F, Cl, Br, I, -Omm-(CH2)nn-CF3, Alkoxy mit 1, 2, 3 oder 4 C-Atomen, Alkyl mit 1, 2, 3 oder 4 C-Atomen und -SO2CH3;
mm Null oder 1;
nn Null, 1, 2 oder 3;
ll Null, 1, 2, 3 oder 4;
oder
R4 -(CH2)oo -Heteroaryl,
das unsubstituiert ist oder substituiert ist mit 1, 2 oder 3 Resten ausgewählt aus der Gruppe bestehend aus F, Cl, Br, I, -Opp-(CH2)rr-CF3, Alkoxy mit 1, 2, 3 oder 4 C-Atomen, Alkyl mit 1, 2, 3 oder 4 C-Atomen und -SO2CH3;
pp Null oder 1;
rr Null, 1, 2 oder 3;
oo Null, 1, 2, 3 oder 4;
sowie deren pharmazeutisch verträgliche Salze. - Bevorzugt sind Verbindungen der Formel I, in denen bedeuten:
R1 Wasserstoff, Alkyl mit 1, 2, 3 oder 4 C-Atomen, Alkoxy mit 1, 2, 3 oder 4 C-Atomen, F, Cl, Br, I, -CN, NR5R6, -Op-(CH2)n-(CF2)o-CF3 oder -(SOm)q-(CH2)r-(CF2)s-CF3;
R5 und R6
unabhängig voneinander Wasserstoff, Alkyl mit 1, 2, 3 oder 4 C-Atomen oder -CH2-CF3;
m Null, 1 oder 2
n, o, p, q, r und s
unabhängig voneinander Null oder 1;
R2 Wasserstoff oder F;
R3 Cl, Br, I, -CN, -SO2CH3, Alkoxy mit 1, 2, 3 oder 4 C-Atomen, NR9R10, -Oa-(CH2)b-(CF2)c-CF3, -(SOd)e-(CH2)f-(CF2)g-CF3, Alkyl mit 1, 2, 3, 4, 5 oder 6 C-Atomen oder Cycloalkyl mit 3, 4, 5, 6, 7 oder 8 C-Atomen, in dem 1, 2, 3 oder 4 Wasserstoff-Atome durch Fluoratome ersetzt sein können;
R9 und R10
unabhängig voneinander Wasserstoff, Alkyl mit 1, 2, 3 oder 4 C-Atomen oder -CH2-CF3;
a, b und c
unabhängig voneinander Null oder 1;
d Null, 1 oder 2;
e Null oder 1;
f Null, 1, 2, 3 oder 4;
g Null oder 1;
oder
R3 -(CH2)n -Phenyl oder -O-Phenyl,
in denen die Phenylreste unsubstituiert sind oder substituiert sind mit 1, 2 oder 3 Resten ausgewählt aus der Gruppe bestehend aus Reihe F, Cl, Br, I, -Oj-(CH2)k-CF3, Alkoxy mit 1, 2, 3 oder 4 C-Atomen, Alkyl mit 1, 2, 3 oder 4 C-Atomen und -SO2CH3;
j Null oder 1;
k Null, 1, 2 oder 3;
h Null, 1, 2, 3 oder 4;
oder
R3 -(CH2)aa -Heteroaryl,
das unsubstituiert ist oder substituiert ist mit 1, 2 oder 3 Resten ausgewählt aus der Gruppe bestehend aus F, Cl, Br, I, -Obb-(CH2)cc-CF3, Alkoxy mit 1, 2, 3 oder 4 C-Atomen, Alkyl mit 1, 2, 3 oder 4 C-Atomen und -SO2CH3;
bb Null oder 1;
cc Null, 1, 2 oder 3;
aa Null, 1, 2, 3 oder 4;
R4 Wasserstoff oder F;
sowie deren pharmazeutisch verträgliche Salze. - Besonders bevorzugt sind Verbindungen der Formel I, in denen bedeuten:
R1 Wasserstoff, Alkyl mit 1, 2, 3 oder 4 C-Atomen, Alkoxy mit 1, 2, 3 oder 4 C-Atomen, F, Cl, Br, I, -CN, NR5R6, -O-CH2-CF3 oder -(SOm)q-(CH2)r-CF3;
R5 und R6
unabhängig voneinander Wasserstoff, Alkyl mit 1, 2, 3 oder 4 C-Atomen oder -CH2-CF3;
m Null, 1 oder 2
q und r
unabhängig voneinander Null oder 1;
R2 Wasserstoff oder F;
R3 Cl, Br, I, -CN, -SO2CH3, Alkoxy mit 1, 2, 3 oder 4 C-Atomen, NR9R10, -O-CH2-CF3, -(SOd)e-CF3, Alkyl mit 1, 2, 3, 4, 5 oder 6 C-Atomen oder Cycloalkyl mit 3, 4, 5, 6, 7 oder 8 C-Atomen, in dem 1, 2, 3 oder 4 Wasserstoff-Atome durch Fluoratome ersetzt sein können;
R9 und R10
unabhängig voneinander Wasserstoff, Alkyl mit 1, 2, 3 oder 4 C-Atomen oder -CH2-CF3;
d Null, 1 oder 2;
e Null oder 1;
oder
R3 Phenyl,
das unsubstituiert ist oder substituiert ist mit 1, 2 oder 3 Resten ausgewählt aus der Gruppe bestehend aus Reihe F, Cl, Br, I, -Oj-(CH2)k-CF3, Alkoxy mit 1, 2, 3 oder 4 C-Atomen, Alkyl mit 1, 2, 3 oder 4 C-Atomen und -SO2CH3;
j Null oder 1;
k Null, 1, 2 oder 3;
oder
R3 Heteroaryl,
das unsubstituiert ist oder substituiert ist mit 1, 2 oder 3 Resten ausgewählt aus der Gruppe bestehend aus F, Cl, Br, I, -Obb-(CH2)cc-CF3, Alkoxy mit 1, 2, 3 oder 4 C-Atomen, Alkyl mit 1, 2, 3 oder 4 C-Atomen und -SO2CH3;
bb Null oder 1;
cc Null, 1, 2 oder 3;
R4 Wasserstoff oder F;
sowie deren pharmazeutisch verträgliche Salze. - Ganz besonders bevorzugt sind Verbindungen der Formel I, in denen bedeuten:
R1 Wasserstoff, Alkyl mit 1, 2, 3 oder 4 C-Atomen, Methoxy, Ethoxy, F, Cl, NR5R6, -O-CH2-CF3 oder -(SOm)q-(CH2)r-CF3;
R5 und R6
unabhängig voneinander Wasserstoff, Alkyl mit 1, 2, 3 oder 4 C-Atomen oder -CH2-CF3;
m Null, 1 oder 2
q und r
unabhängig voneinander Null oder 1;
R2 Wasserstoff oder F;
R3 Cl, -CN, -SO2CH3, Methoxy, Ethoxy, NR9R10, -O-CH2-CF3, -(SOd)e-CF3, Alkyl mit 1, 2, 3, 4, 5 oder 6 C-Atomen oder Cycloalkyl mit 3, 4, 5, 6 oder 7 C-Atomen, in dem 1, 2, 3 oder 4 Wasserstoff-Atome durch Fluoratome ersetzt sein können;
R9 und R10
unabhängig voneinander Wasserstoff, Methyl, Ethyl oder -CH2-CF3;
d Null, 1 oder 2;
e Null oder 1;
oder
R3 Phenyl,
das unsubstituiert ist oder substituiert ist mit 1 oder 2 Resten ausgewählt aus der Gruppe bestehend aus Reihe F, Cl, -Oj-(CH2)k-CF3, Methoxy, Ethoxy, Alkyl mit 1, 2, 3 oder 4 C-Atomen und -SO2CH3;
j und k
unabhängig voneinander Null oder 1;
oder
R3 Heteroaryl,
das unsubstituiert ist oder substituiert ist mit 1 oder 2 Resten ausgewählt aus der Gruppe bestehend aus F, Cl, -Obb-(CH2)cc-CF3, Methoxy, Ethoxy, Alkyl mit 1, 2, 3 oder 4 C-Atomen und -SO2CH3;
bb und cc
unabhängig voneinander Null oder 1;
R4 Wasserstoff oder F;
sowie deren pharmazeutisch verträgliche Salze. - In einer Ausführungsform sind dabei Verbindungen der Formel I bevorzugt, in denen R1 durch Wasserstoff, Alkyl mit 1, 2, 3 oder 4 C-Atomen, Alkoxy mit 1, 2, 3 oder 4 C-Atomen, F, Cl, Br, I, -CN, NR5R6, wobei R5 und R6 unabhängig voneinander Wasserstoff, Alkyl mit 1, 2, 3, oder 4 C-Atomen oder -CH2-CF3 sind, -O-CH2-CF3 oder -(SOm)q-(CH2)rCF3, wobei m Null, 1 oder 2 ist und q und r unabhängig voneinander Null oder 1 sind, beschrieben wird; besonders bevorzugt sind Verbindungen, in denen R1 durch Wasserstoff, Alkyl mit 1, 2, 3 oder 4 C-Atomen, Methoxy, Ethoxy, F, Cl, NR5R6, wobei R5 und R6 unabhängig voneinander Wasserstoff, Alkyl mit 1, 2, 3, oder 4 C-Atomen oder -CH2-CF3 sind, -O-CH2-CF3 oder -(SOm)q-(CH2)r-CF3, wobei m Null, 1 oder 2 ist und q und r unabhängig voneinander Null oder 1 sind, beschrieben wird; ganz besonders bevorzugt sind Verbindungen, in denen R1 durch Wasserstoff, Methyl, Ethyl, CF3-CH2-O-, F, Cl oder CF3 beschrieben wird.
- In einer weiteren Ausführungsform sind Verbindungen der Formel I bevorzugt, in denen R2 durch Wasserstoff oder F beschrieben wird; besonders bevorzugt sind Verbindungen, in denen R2 durch Wasserstoff beschrieben wird.
- In einer weiteren Ausführungsform sind Verbindungen der Formel I bevorzugt, in denen R3 durch Cl, -CN, -SO2CH3, Methoxy, Ethoxy, NR9R10, wobei R9 und R10 unabhängig voneinander Wasserstoff, Methyl, Ethyl oder -CH2-CF3 sind, -O-CH2-CF3, -(SOd)e-CF3, wobei d Null, 1 oder 2 ist und e Null oder 1 ist, Alkyl mit 1, 2, 3, 4, 5 oder 6 C-Atomen oder Cycloalkyl mit 3, 4, 5, 6 oder 7 C-Atomen, in dem 1, 2, 3 oder 4 Wasserstoff-Atome durch Fluoratome ersetzt sein können, Phenyl, das unsubstituiert ist oder substituiert ist mit 1, 2 oder 3 Resten ausgewählt aus der Gruppe bestehend aus Reihe F, Cl, Br, I, -Oj-(CH2)k-CF3, wobei j Null oder 1 ist und k Null, 1, 2 oder 3 ist, Alkoxy mit 1, 2, 3 oder 4 C-Atomen, Alkyl mit 1, 2, 3 oder 4 C-Atomen und -SO2CH3, oder Heteroaryl, das unsubstituiert ist oder substituiert ist mit 1, 2 oder 3 Resten ausgewählt aus der Gruppe bestehend aus F, Cl, Br, I, -Obb-(CH2)cc-CF3, wobei bb Null oder 1 ist und cc Null, 1, 2 oder 3 ist, Alkoxy mit 1, 2, 3 oder 4 C-Atomen, Alkyl mit 1, 2, 3 oder 4 C-Atomen und -SO2CH3, beschrieben wird; besonders bevorzugt sind Verbindungen, in denen R3 durch Cl, -CN, -SO2CH3, Methoxy, Ethoxy, NR9R10, wobei R9 und R10 unabhängig voneinander Wasserstoff, Methyl, Ethyl oder -CH2-CF3 sind, -O-CH2-CF3, -(SOd)e-CF3, wobei d Null, 1 oder 2 ist und e Null oder 1 ist, Alkyl mit 1, 2, 3, 4, 5 oder 6 C-Atomen oder Cycloalkyl mit 3, 4, 5, 6 oder 7 C-Atomen, in dem 1, 2, 3 oder 4 Wasserstoff-Atome durch Fluoratome ersetzt sein können, Phenyl, das unsubstituiert ist oder substituiert ist mit 1–2 Resten ausgewählt aus der Gruppe bestehend aus Reihe F, Cl, -Oj-(CH2)k-CF3, wobei j und k unabhängig voneinander Null oder 1 sind, Methoxy, Ethoxy, Alkyl mit 1, 2, 3 oder 4 C-Atomen und -SO2CH3, oder Heteroaryl, das unsubstituiert ist oder substituiert ist mit 1–2 Resten ausgewählt aus der Gruppe bestehend aus F, Cl, -Obb-(CH2)cc-CF3, wobei bb und cc unabhängig voneinander Null oder 1 sind, Methoxy, Ethoxy, Alkyl mit 1, 2, 3 oder 4 C-Atomen und -SO2CH3, beschrieben wird; ganz besonders bevorzugt sind Verbindungen, in denen R3 durch Cl, -CN oder -SO2CH3 beschrieben wird.
- In einer weiteren Ausführungsform sind Verbindungen der Formeln I bevorzugt, in denen R4 durch Wasserstoff und F beschrieben wird, besonders bevorzugt sind Verbindungen, in denen R4 durch Wasserstoff beschrieben wird.
- Enthalten die Substituenten R1 bis R4 ein oder mehrere Asymmetriezentren, so können diese unabhängig voneinander sowohl S als auch R konfiguriert sein. Die Verbindungen können als optische Isomere, als Diastereomere, als Racemate oder als Gemische derselben vorliegen.
- Die vorliegende Erfindung umfasst alle tautomeren Formen der Verbindungen der Formel I.
- Alkylreste können geradkettig oder verzweigt sein. Dies gilt auch, wenn sie Substituenten tragen oder als Substituenten anderer Reste auftreten, beispielsweise in Fluoralkylresten oder Alkoxyresten. Beispiele für Alkylreste sind Methyl, Ethyl, n-Propyl, Isopropyl (= 1-Methylethyl), n-Butyl, Isobutyl (= 2-Methylpropyl), sec-Butyl (= 1-Methylpropyl), tert-Butyl (= 1,1-Dimethylethyl), n-Pentyl, Isopentyl, tert-Pentyl, Neopentyl und Hexyl. Bevorzugte Alkylreste sind Methyl, Ethyl, n-Propyl und Isopropyl. In Alkylresten können ein oder mehrere, zum Beispiel 1, 2, 3, 4 oder 5, Wasserstoffatome durch Fluoratome substituiert sein. Beispiele für solche Fluoralkylreste sind Trifluormethyl, 2,2,2-Trifluorethyl und Pentafluorethyl. Substituierte Alkylreste können in beliebigen Positionen substituiert sein. Beispiele für Cycloalkylreste sind Cyclopropyl, Cyclobutyl, Cyclopentyl, Cyclohexyl Cycloheptyl oder Cyclooctyl. In Cycloalkylresten können ein oder mehrere, zum Beispiel 1, 2, 3, oder 4 Wasserstoffatome durch Fluoratome substituiert sein. Substituierte Cycloalkylreste können in beliebigen Positionen substituiert sein.
- Phenylreste können unsubstituiert sein oder einfach oder mehrfach, zum Beispiel einfach, zweifach oder dreifach, durch gleiche oder verschiedene Reste substituiert sein. Wenn ein Phenylrest substituiert ist, trägt er bevorzugt einen oder zwei gleiche oder verschiedene Substituenten. Dies gilt ebenso für substituierte Phenylreste in Gruppen wie zum Beispiel Phenylalkyl oder Phenyloxy. In monosubstituierten Phenylresten kann sich der Substituent in der 2-Position, der 3-Position oder der 4-Position befinden. Zweifach substituiertes Phenyl kann in 2,3-Position, 2,4-Position, 2,5-Position, 2,6-Position, 3,4-Position oder 3,5-Position substituiert sein. In dreifach substituierten Phenylresten können sich die Substituenten in 2,3,4-Position, 2,3,5-Position, 2,4,5-Position, 2,4,6-Position, 2,3,6-Position oder 3,4,5-Position befinden.
- Heteroarylreste sind aromatische Ringverbindungen, in denen ein oder mehrere Ringatome Sauerstoffatome, Schwefelatome oder Stickstoffatome sind, z. B. 1, 2 oder 3 Stickstoffatome, 1 oder 2 Sauerstoffatome, 1 oder 2 Schwefelatome oder eine Kombinationen aus verschiedenen Heteroatomen. Die Heteroarylreste können über alle Positionen angebunden sein, zum Beispiel über die 1-Position, 2-Position, 3-Position, 4-Position, 5-Position, 6-Position, 7-Position oder 8-Position. Heteroarylreste können unsubstituiert sein oder einfach oder mehrfach, zum Beispiel einfach, zweifach oder dreifach, durch gleiche oder verschiedene Reste substituiert sein. Dies gilt ebenso für die Heteroarylreste wie zum Beispiel im Rest Heteroarylalkyl. Heteroaryl bedeutet zum Beispiel Furanyl, Thienyl, Pyrrolyl, Imidazolyl, Pyrazolyl, Triazolyl, Tetrazolyl, Oxazolyl, Isoxazolyl, Thiazolyl, Isothiazolyl, Pyridyl, Pyrazinyl, Pyrimidinyl, Pyridazinyl, Indolyl, Indazolyl, Chinolyl, Isochinolyl, Phthalazinyl, Chinoxalinyl, Chinazolinyl und Cinnolinyl.
- Als Heteroarylreste gelten insbesondere 2- oder 3-Thienyl, 2- oder 3-Furyl, 1-, 2- oder 3- Pyrrolyl, 1-, 2-, 4- oder 5-Imidazolyl, 1-, 3-, 4- oder 5-Pyrazolyl, 1,2,3-Triazol-1-, -4- oder -5-yl, 1,2,4-Triazol-1-, -3- oder -5-yl, 1- oder 5-Tetrazolyl, 2-, 4- oder 5-Oxazolyl, 3-, 4- oder 5-Isoxazolyl, 1,2,3-Oxadiazol-4- oder -5-yl, 1,2,4-Oxadiazol-3- oder -5-yl, 1,3,4-Oxadiazol-2-yl oder -5-yl, 2-, 4- oder 5-Thiazolyl, 3-, 4- oder 5-Isothiazolyl, 1,3,4-Thiadiazol-2- oder -5-yl, 1,2,4-Thiadiazol-3- oder -5-yl, 1,2,3-Thiadiazol-4- oder -5-yl, 2-, 3- oder 4-Pyridyl, 2-, 4-, 5- oder 6-Pyrimidinyl, 3- oder 4-Pyridazinyl, Pyrazinyl, 1-, 2-, 3-, 4-, 5-, 6- oder 7-Indolyl, 1-, 2-, 4- oder 5-Benzimidazolyl, 1-, 3-, 4-, 5-, 6- oder 7-Indazolyl, 2-, 3-, 4-, 5-, 6-, 7- oder 8-Chinolyl, 1-, 3-, 4-, 5-, 6-, 7- oder 8-Isochinolyl, 2-, 4-, 5-, 6-, 7- oder 8-Chinazolinyl, 3-, 4-, 5-, 6-, 7- oder 8-Cinnolinyl, 2-, 3-, 5-, 6-, 7- oder 8-Chinoxalinyl, 1-, 4-, 5-, 6-, 7- oder 8-Phthalazinyl. Umfasst sind weiterhin die entsprechenden N-Oxide dieser Verbindungen, also zum Beispiel 1-Oxy-2-, -3- oder -4-pyridyl.
- Besonders bevorzugt sind die Heteroaromaten 2- oder 3-Thienyl, 2- oder 3-Furyl, 1-, 2- oder 3- Pyrrolyl, 1-, 2-, 4- oder 5-Imidazolyl, 2-, 3-, 4-, 5-, 6-, 7- oder 8-Chinolyl, 1-, 3-, 4- oder 5-Pyrazolyl, 2-, 3- oder 4-Pyridyl, 2- oder 3-Pyrazinyl, 2-, 4-, 5- oder 6-Pyrimidinyl und 3- oder 4-Pyridazinyl.
-
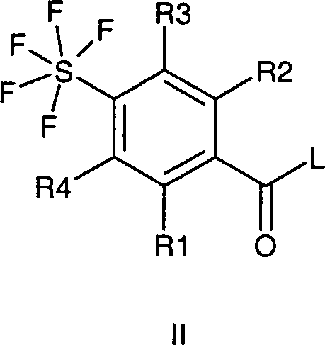
- Die aktivierten Säurederivate der Formel II, worin L eine Alkoxy-, vorzugsweise eine Methoxygruppe, eine Phenoxygruppe, Phenylthio-, Methylthio-, 2-Pyridylthiogruppe, einen Stickstoffheterocyclus, vorzugsweise 1-Imidazolyl, bedeutet, erhält man vorteilhaft in dem Fachmann bekannter Weise aus den zugrundeliegenden Carbonsäurechloriden (Formel II; L = Cl), die man ihrerseits wiederum in bekannter Weise aus den zugrundeliegenden Carbonsäuren (Formel II; L = OH) beispielsweise mit Thionylchlorid herstellen kann.
- Neben den Carbonsäurechloriden der Formel II (L = Cl) lassen sich auch weitere aktivierte Säurederivate der Formel II in bekannter Weise direkt aus den zugrundeliegenden Benzoesäuren (Formel II; L = OH) herstellen, wie die Methylester der Formel II mit L = OCH3 durch Behandeln mit gasförmigem HCl in Methanol, die Imidazolide der Formel II durch Behandeln mit Carbonyldiimidazol, die gemischten Anhydride der Formel II durch Behandeln mit Cl-COOC2H5 oder Tosylchlorid in Gegenwart von Triethylamin in einem inerten Lösungsmittel, wie auch Aktivierungen von Benzoesäuren mit Dicyclohexylcarbodiimid (DCC) oder mit O-[(Cyano(ethoxycarbonyl)methylen)amino]-1,1,3,3-tetramethyluronium-tetrafluorborat ("TOTU") möglich sind. Eine Reihe geeigneter Methoden zur Herstellung von aktivierten Carbonsäurederivaten der Formel II sind unter Angabe von Quellenliteratur in J. March, Advanced Organic Chemistry, Third Edition (John Wiley & Sons, 1985, S. 350) angegeben.
- Die Umsetzung eines aktivierten Carbonsäurederivates der Formel II mit Guanidin erfolgt vorzugsweise in bekannter Weise in einem protischen oder aprotischen polaren aber inerten organischen Lösungsmittel. Dabei haben sich bei der Umsetzung der Benzoesäuremethylester (Formel II; L = OCH3) mit Guanidin Methanol, Isopropanol oder THF bei Temperaturen von 20°C bis zur Siedetemperatur dieser Lösungsmittel bewährt. Bei den meisten Umsetzungen von Verbindungen der Formel II mit salzfreiem Guanidin wird beispielsweise in aprotischen inerten Lösungsmitteln wie THF, Dimethoxyethan, Dioxan gearbeitet. Aber auch Wasser kann unter Gebrauch einer Base wie beispielsweise NaOH als Lösungsmittel bei der Umsetzung von Verbindungen der Formel II mit Guanidin verwendet werden.
- Wenn L die Bedeutung Cl hat, arbeitet man vorteilhaft unter Zusatz eines Säurefängers, zum Beispiel in Form von überschüssigem Guanidin, zur Abbindung der Halogenwasserstoffsäure.
-
- a) ein 4-Nitrophenyl-schwefelpentafluorid-Derivat der Formel III zum Amin der Formel IV reduziert wird,
- b) die Verbindung der Formel IV in ortho-Stellung zur Aminogruppe mit einem Halogenierungsmittel zur Verbindung der Formel V halogeniert wird,
- c) in der Verbindung der Formel V mit einem geeigneten Nukleophil oder einer Organoelementverbindung, beispielsweise einer Alkylborverbindung, gegebenenfalls unter Katalyse, der Halogen-Substituent durch einen Substituenten R1 ersetzt wird, und
- d) in der Verbindung der Formel VI die Aminofunktion durch einen Halogen-Substituenten ersetzt wird,
- e) in der Verbindung der Formel VII der Halogen-Substituent durch eine Nitrilfunktion ersetzt wird,
- f) die Nitrilfunktion der Verbindung der Formel VIII zur Carbonsäure hydrolysiert wird,
- g) die Verbindung der Formel IX in ortho-Stellung zur Pentafluorsulfanylgruppe zur Verbindung der Formel X nitriert wird,
- h) die Nitroverbindung der Formel X zum Anilin reduziert wird,
- i) in der Verbindung der Formel XI die Aminofunktion mit einem geeigneten Nucleophil durch R3 ersetzt wird und
- k) die Verbindung der Formel XII in die Verbindung der Formel II umgewandelt wird,
- Bei der Herstellung der Verbindungen der Formel II geht man beispielsweise so vor, dass zunächst in Schritt a die Verbindungen der Formel III nach bekannten Methoden zur Reduktion von aromatischen Nitroverbindungen zu aromatischen Aminen zu Verbindungen der Formel IV umgesetzt werden. Solche Methoden sind beispielsweise beschrieben in: R.C. Larock, Comprehensive Organic Transformations: A Guide to Functional Group Preparations, VCH Publishers, New York, Weinheim, 1999, 821–828 und der dort zitierten Literatur.
- Anschließend (Schritt b) werden die Verbindungen der Formel IV in einem organischen Lösungsmittel A gelöst und mit einem Halogenierungsmittel, beispielsweise mit einem Bromierungsmittel, umgesetzt. Die Reaktionstemperatur beträgt dabei im allgemeinen –30 °C bis +150 °C, bevorzugt 0 °C bis 40 °C. Die Reaktionszeit liegt im allgemeinen bei 10 min bis 20 h, je nach Zusammensetzung des Gemisches und des gewählten Temperaturbereiches. Zur Aufarbeitung kann das erhaltene Reaktionsgemisch anschließend über eine Kieselgelschicht filtriert, mit organischem Lösungsmittel A nachgewaschen und nach dem Entfernen des Lösungsmittels im Vakuum das Produkt durch übliche Reinigungsmethoden wie Umkristallisieren, Destillation oder Chromatographie gereinigt werden.
- Es werden beispielsweise 0,1 bis 10 Mol der Verbindung der Formel IV in 1000 mL organischem Lösungsmittel A gelöst. Beispielsweise verwendet man auf 1 Mol der zu halogenierenden Verbindung der Formel IV 0,8 bis 1,2 Äquivalente des Halogenierungsmittels.
- Unter dem Begriff „Halogenierungsmittel" werden zum Beispiel elementare Halogene, Halogen-Amin-Komplexe, cyclische und nichtcyclische N-halogenierte Carbonsäure-amide und -imide sowie Harnstoffe verstanden, wie sie beispielsweise in R.C. Larock, Comprehensive Organic Transformations: A Guide to Functional Group Preparations, VCH Publishers, New York, Weinheim, 1999, 619–628 und der dort zitierten Literatur oder M.B. Smith and J. March, March's Advanced Organic Chemistry: Reactions, Mechanisms, and Structure, Wiley, New York, 2001, 704–707 und der dort zitierten Literatur beschrieben sind, wie zum Beispiel N-Bromsuccinimid, N-Chlorsuccinimid, HBr in H2SO4 oder 1,3-Dibrom-5,5-dimethyl-imidazolidin-2,4-dion. Unter dem Begriff „Bromierungsmittel" werden zum Beispiel elementares Brom, Brom-Amin-Komplexe, cyclische und nichtcyclische N-bromierte Carbonsäure-amide und -imide sowie Harnstoffe verstanden, wie sie beispielsweise in R.C. Larock, Comprehensive Organic Transformations: A Guide to Functional Group Preparations, VCH Publishers, New York, Weinheim, 1999, 622–624 und der dort zitierten Literatur oder M.B. Smith and J. March, March's Advanced Organic Chemistry: Reactions, Mechanisms, and Structure, Wiley, New York, 2001, 704–707 und der dort zitierten Literatur beschrieben sind, beispielsweise N-Bromsuccinimid, HBr in H2SO4 oder 1,3-Dibrom-5,5-dimethyl-imidazolidin-2,4-dion, wobei letzteres 2 Bromatome pro Molekül übertragen kann.
- Unter dem Begriff „organisches Lösungsmittel A" werden vorzugsweise aprotische Lösungsmittel wie beispielsweise Dichlormethan, Chloroform, Tetrachlormethan, Pentan, Hexan, Heptan, Oktan, Benzol, Toluol, Xylol, Chlorbenzol, 1,2-Dichlorethan, Trichlorethylen oder Acetonitril verstanden.
- Eventuell bei der Reaktion entstehendes HX kann durch organische oder anorganische Basen abgefangen werden.
- In Schritt c werden die Verbindungen der Formel V anschließend in einem organischen Lösungsmittel B gelöst und mit einen Nukleophil R1– oder einer Elementverbindung, die den Substituenten R1 enthält, zu Verbindungen der Formel VI umgesetzt. Dabei kann unter Zusatz einer Base A gearbeitet werden und ein katalysierendes Metallsalz A zugegeben werden.
- Die Reaktionstemperatur beträgt dabei im allgemeinen zwischen –20 °C und +150 °C, bevorzugt zwischen 30 °C und 100 °C. Die Reaktionszeit liegt im allgemeinen bei 0,5 h bis 20 h, je nach Zusammensetzung des Gemisches und des gewählten Temperaturbereiches. Zur Aufarbeitung kann das erhaltene Reaktionsgemisch anschließend über eine Kieselgelschicht abfiltriert, mit einem organischen Lösungsmittel B nachgewaschen und nach dem Entfernen des Lösungsmittels im Vakuum das Produkt durch übliche Reinigungsverfahren wie Umkristallisieren, Chromatographie, zum Beispiel an Kieselgel, Destillation oder Wasserdampfdestillation gereinigt werden.
- Es werden beispielsweise 0,1 bis 10 Mol der Verbindung der Formel V in 1000 mL organischem Lösungsmittel B gelöst. Beispielsweise verwendet man auf 1 Mol der Ausgangsverbindung der Formel V 0,8 bis 3 Äquivalente des Nucleophils R1– oder der Elementverbindung, die den Substituenten R1 enthält.
- Unter dem Begriff „Nucleophil R1–"werden Verbindungen verstanden, die beim Deprotonieren einer Verbindung R1-H mit starken Basen, wie beispielsweise Alkyl- oder Aryllithiumverbindungen, Organomagnesiumverbindungen, Alkoholaten oder Lithiumdiisopropylamid, entstehen.
- Unter „Organoelementverbindungen, die den Substituenten R1 enthalten" werden beispielsweise Organolithiumverbindungen R1-Li, Organomagnesiumverbindungen R1-Mg-Hal, mit Hal = Cl, Br, I, Organoborverbindungen wie R1-B(OH)2, R1-Boronsäureester wie beispielsweise R2-Boronsäureanhydride wie beispielsweise oder Organozinkverbindungen R1-Zn-Z, mit Z = Cl, Br, I, verstanden.
- Unter dem Begriff „Base A" werden Basen verstanden, wie sie als Hilfsbasen bei Kreuzkupplungsreaktionen verwendet werden und beispielsweise in A. Suzuki et al., Chem. Rev. 1995, 95, 2457–2483 oder M. Lamaire et al., Chem. Rev. 2002, 102, 1359–1469 oder S.P. Stanforth, Tetrahedron 1998, 54, 263–303 und der darin jeweils zitierten Literatur aufgeführt sind, beispielsweise Na2CO3, Cs2CO3, KOH, NaOH, K3PO4, N(Ethyl)3.
- Unter dem Begriff "organisches Lösungsmitel B" werden protische oder aprotische Lösungsmittel verstanden wie Diethylether, Dimethoxyethan, THF, Alkohole, Wasser oder deren Gemische. In einer Ausführungsform sind Gemische mit Wasser bevorzugt.
- Unter dem Begriff „katalysierendes Metallsalz A" werden unter anderem Pd- und Ni-Katalysatoren verstanden, wie sie für Suzuki- und Negishi-Reaktionen verwendet werden und beispielsweise in A. Suzuki et al., Chem. Rev. 1995, 95, 2457–2483 oder M. Lamaire et al., Chem. Rev. 2002, 102, 1359–1469 oder S.P. Stanforth, Tetrahedron 1998, 54, 263 oder G.C. Fu et al., J. Am. Chem. Soc. 2001, 123, 10099 oder G.C. Fu et al., J. Am. Chem. Soc. 2002, 124, 13662 und der dort jeweils zitierten Literatur beschrieben sind, einschließlich der zugesetzten Liganden, wie Pd(OAc)2, PdCl2(dppf) oder Pd2(dba)3.
- In Schritt d werden anschließend die Verbindungen der Formel VI durch ein Diazotierungs-Halogenierungsverfahren mit einem Diazotierungs-Halogenierungsmittel, beispielsweise mit einem Diazotierungs-Bromierungsmittel, wie es für andere aromatische Amine zum Austausch der Amin- gegen eine Halogen-Funktion beispielsweise in M.B. Smith and J. March, March's Advanced Organic Chemistry: Reactions, Mechanisms, and Structure, Wiley, New York, 2001, 935–936 oder R.C. Larock, Comprehensive Organic Transformations: A Guide to Functional Group Preparations, VCH Publishers, New York, Weinheim, 1999, 678–679 und der dort zitierten Literatur beschrieben wurde, beispielsweise durch die Sandmeyer- oder Gattermann-Reaktion, in die Verbindungen der Formel VII überführt. Bevorzugt ist das Verfahren von M. Doyle et al., J. Org. Chem. 1977, 42, 2426 oder von S. Oae et al., Bull. Chem. Soc. Jpn. 1980, 53, 1065.
- In Schritt e werden die Verbindungen der Formel VII in einem Löungsmittel C mit einem Cyanierungsmittel, zum Beispiel unter Zusatz eines katalysierenden Metallsalzes B, umgesetzt. Die Reaktionstemperatur beträgt im allgemeinen 20 °C bis 200 °C, bevorzugt 80 °C bis 150 °C. Die Reaktionszeit liegt im allgemeinen bei 1 h bis 20 h, je nach Zusammensetzung des Gemisches und des gewählten Temperaturbereiches. Die erhaltenen Reaktionsgemische können über eine Kieselgel- oder Kieselgurschicht abgesaugt und das Filtrat wässrig-extraktiv aufgearbeitet. Nach dem Eindampfen des Lösungsmittels im Vakuum wird die Verbindung der Formel VIII durch übliche Reinigungsverfahren wie Umkristallisieren, Chromatographie an Kieselgel, Destillation oder Wasserdampfdestillation gereinigt. Es werden beispielsweise 0,1 bis 10 Mol der Verbindung der Formel VII in 1000 mL organischem Lösungsmittel C gelöst. Beispielsweise verwendet man auf 1 Mol der umzusetzenden Verbindungen mit der Formel VII 1 bis 10 Äquivalente des Cyanierungsmittels.
- Unter dem Begriff „Cyanierungsmittel" werden beispielsweise Alkalimetallcyanide oder Zn(CN)2 entweder alleine oder im Gemisch mit metallischem Zink, bevorzugt in Form von Zink-Staub, verstanden.
- Unter dem Begriff „organisches Lösungsmittel C" werden vorzugsweise aprotische polare Lösungsmittel wie beispielsweise DMF, Dimethylacetamid, NMP, DMSO verstanden.
- Unter dem Begriff „katalysierendes Metallsalz B" werden unter anderem Pd- und Ni-Katalysatoren verstanden, wie sie bei Suzuki-Reaktionen eingesetzt werden und beispielsweise in A. Suzuki et al., Chem. Rev. 1995, 95, 2457–2483 oder M. Lamaire et al., Chem. Rev. 2002, 102, 1359–1469 oder S.P. Stanforth, Tetrahedron 1998, 54, 263 und der dort zitieten Literatur beschrieben werden, beispielsweise PdCl2(dppf), Pd(OAc)2, Pd2(dba)3.
- Anschließend werden die erhaltenen Verbindungen der Formel VIII in Schritt f, zum Beispiel in Gegenwart einer Base, zu den Carbonsäuren der Formel IX hydrolysiert. Dies kann geschehen durch dem Fachmann bekannte Verfahren zur Hydrolyse aromatischer Nitrile, wie sie beispielsweise in R.C. Larock, Comprehensive Organic Transformations: A Guide to Functional Group Preparations, VCH Publishers, New York, Weinheim, 1999, 1986–1987 oder M.B. Smith and J. March, March's Advanced Organic Chemistry: Reactions, Mechanisms, and Structure, Wiley, New York, 2001, 1179–1180 und der dort zitierten Literatur beschrieben sind.
- In Schritt g werden Verbindungen der Formel IX mit einem Nitrierungsmittel, wie beispielsweise in Houben-Weyl, Methoden der organischen Chemie 4. Auflage, Organo-Stickstoff-Verbindungen IV, Teil 1, Georg Thieme Verlag Stuttgart 1992, S. 262–341 beschrieben nitriert.
- In Schritt h werden die Nitroverbindungen der Formel X nach im Prinzip bekannten Methoden zur Reduktion von aromatischen Nitroverbindungen zu aromatischen Aminen zu Verbindungen der Formel XI umgesetzt. Solche Methoden sind beispielsweise beschrieben in: R.C. Larock, Comprehensive Organic Transformations: a Guide to Functional Group Preparations, VCH Publishers, New York, Weinheim, 1999, 821–828 und der dort zitierten Literatur.
- In Schritt i werden die Aniline der Formel XI über den Weg der Diazotierung-Substitution in die Verbindungen der Formel XII überführt unter Substitution der Amingruppe durch R3. Solche Methoden sind dem Fachmann bekannt und werden beispielsweise beschrieben in Houben-Weyl, Methoden der organischen Chemie 4. Auflage, Organo-Stickstoff-Verbindungen I, Teil 2, Georg Thieme Verlag Stuttgart 1990, S. 1087–1136 sowie in den dort zitierten Literaturstellen.
- Beispielsweise kann ein Anilin der Formel XI über den Weg der Diazotierung-Substitution in ein Sulfochlorid der Formel XII (R3 = SO2Cl) überführt werden, wie beispielsweise beschrieben in Houben-Weyl, Methoden der organischen Chemie 4. Auflage, Organo-Schwefel-Verbindungen, Teil 2, Georg Thieme Verlag Stuttgart 1985, S. 1069–1070.
- In Schritt k werden die Verbindungen der Formel XII nach dem Fachmann bekannten Methoden und wie oben beschrieben zu den Verbindungen der Formel II derivatisiert.
- In diesem Schritt können beispielsweise die Sulfochloride der Formel XII (R3 = SO2Cl) zunächst zu den entsprechenden Sulfinsäuren (wie zum Beispiel in Houben-Weyl, Methoden der organischen Chemie 4. Auflage, Organo-Schwefel-Verbindungen, Teil 1, Georg Thieme Verlag Stuttgart 1985, S. 620–621 und Houben-Weyl, Methoden der organischen Chemie, Schwefel-, Selen-, Tellur-Verbindungen, Georg Thieme Verlag Stuttgart 1955, S. 304–309 beschrieben) umgesetzt und anschließend zum Methylsulfon alkyliert werden, wie zum Beispiel beschrieben in Houben-Weyl, Methoden der organischen Chemie 4. Auflage, Organo-Schwefel-Verbindungen, Teil 2, Georg Thieme Verlag Stuttgart 1985, S. 1145–1149. Dabei tritt gleichzeitige Veresterung der Carbonsäure zum Methylester ein.
- Für die Darstellung der Verbindungen der Formel I, in denen R1 Wasserstoff ist, erfolgt die Synthese ohne die Schritte b und c.
- Für die Darstellung der Verbindungen der Formel I, in denen R3 NR9R10 ist, erfolgt die Synthese ohne den Schritt i.
- In den Ausgangsverbindungen können auch funktionelle Gruppen in geschützter Form oder in Form von Vorstufen vorliegen und dann in den nach dem oben beschriebenen Verfahren hergestellten Verbindungen der Formel II in die gewünschten Gruppen überführt werden. Entsprechende Schutzgruppentechniken sind dem Fachmann bekannt.
- Ebenso können entsprechende funktionelle Gruppen nach dem Fachmann bekannten Methoden derivatisiert werden. Beispielsweise können Verbindungen, in denen R3 NH2 ist, durch Umsetzung mit entsprechenden Alkylhalogeniden oder 2,2,2-Trifluorethylhalogeniden, zum Beispiel Methyliodid, Ethyliodid oder 2,2,2-Trifluorethyliodid, zu Verbindungen umgesetzt werden, in denen R3 NR9R10 ist, wobei R9 und R10 unabhängig voneinander Wasserstoff, Alkyl mit 1, 2, 3 oder 4 C-Atomen oder -CH2-CF3 und nicht beide gleichzeitig Wasserstoff sind.
- Pentafluorsulfuranyl-benzoylguanidine der Formel I sind im allgemeinen schwache Basen und können Säure unter Bildung von Salzen binden. Als Säureadditionssalze kommen Salze aller pharmazeutisch verträglichen Säuren in Frage, beispielsweise Halogenide, insbesondere Hydrochloride, Lactate, Sulfate, Citrate, Tartrate, Acetate, Phosphate, Methylsulfonate, p-Toluolsulfonate.
- Die Verbindungen der Formel I sind substituierte Acylguanidine und inhibieren den zellulären Natrium-Protonen-Antiporter (Na+/H+-Exchanger, NHE), insbesondere den Subtyp NHE-1.
- Aufgrund der NHE-inhibitorischen Eigenschaften eignen sich die Verbindungen der Formel I und/oder deren pharmazeutisch verträgliche Salze zur Prävention und Behandlung von Krankheiten, die durch eine Aktivierung bzw. durch einen aktivierten NHE verursacht werden, sowie von Krankheiten, die sekundär durch die NHE-bedingten Schädigungen verursacht werden.
- Da NHE-Inhibitoren in überwiegender Weise über ihre Beeinflussung der zellulären pH-Regulation wirken, können diese generell in günstiger Weise mit anderen, den intrazellulären pH-Wert regulierenden Verbindungen kombiniert werden, wobei Inhibitoren der Enzymgruppe der Carboanhydrasen, Inhibitoren der Bicarbonationen transportierenden Systeme wie des Natrium-Bicarbonat-Cotransporters (NBC) oder des Natrium abhängigen Chlorid-Bicarbonat-Austauschers (NCBE), sowie NHE-Inhibitoren mit inhibitorischer Wirkung auf andere NHE-Subtypen, als Kombinationspartner infrage kommen, weil durch sie die pharmakologisch relevanten pH-regulierenden Effekte der hier beschriebenen NHE-Inhibitoren verstärkt oder moduliert werden können.
- Die Verwendung der erfindungsgemäßen Verbindungen betrifft die Prävention und die Behandlung akuter und chronischer Krankheiten in der Veterinär- und in der Humanmedizin.
- So eignen sich die erfindungsgemäßen Inhibitoren des NHE zur Behandlung von Krankheiten, die durch Ischämie und durch Reperfusion hervorgerufen werden.
- Die hier beschriebenen Verbindungen sind infolge ihrer pharmakologischen Eigenschaften als antiarrhythmische Arzneimittel geeignet.
- Durch ihre cardioprotektive Komponente eignen sich die NHE-Inhibitoren der Formel I und/oder deren pharmazeutisch verträgliche Salze hervorragend zur Infarktprophylaxe und der Infarktbehandlung sowie zur Behandlung der angina pectoris, wobei sie auch präventiv die pathophysiologischen Vorgänge beim Entstehen ischämisch induzierter Schäden, insbesondere bei der Auslösung ischämisch induzierter Herzarrhythmien, inhibieren oder stark vermindern. Wegen ihrer schützenden Wirkungen gegen pathologische hypoxische und ischämische Situationen können die erfindungsgemäß verwendeten Verbindungen der Formel I und/oder deren pharmazeutisch verträgliche Salze infolge Inhibition des zellulären Na+/H+-Austauschmechanismus als Arzneimittel zur Behandlung aller akuten oder chronischen durch Ischämie ausgelösten Schäden oder dadurch primär oder sekundär induzierten Krankheiten verwendet werden.
- Dies betrifft auch ihre Verwendung als Arzneimittel für chirurgische Eingriffe. So können die Verbindungen bei Organ-Transplantationen verwendet werden, wobei die Verbindungen sowohl für den Schutz der Organe im Spender vor und während der Entnahme, zum Schutz entnommener Organe beispielsweise bei Behandlung mit oder deren Lagerung in physiologischen Badflüssigkeiten, wie auch bei der Überführung in den Empfängerorganismus verwendet werden können.
- Die erfindungsgemäßen Verbindungen sind ebenfalls wertvolle, protektiv wirkende Arzneimittel bei der Durchführung angioplastischer operativer Eingriffe beispielsweise am Herzen wie auch an peripheren Organen und Gefäßen.
- Es zeigte sich, dass die erfindungsgemäßen Verbindungen außerordentlich wirksame Arzneimittel sind gegen lebensbedrohliche Arrhythmien. Kammerflimmern wird beendet und der physiologische Sinus-Rhythmus des Herzens wiederhergestellt.
- Da NHE1-Inhibitoren menschliches Gewebe und Organe, insbesondere das Herz, nicht nur effektiv gegen Schäden schützen, die durch Ischämie und Reperfusion verursacht werden, sondern auch gegen die cytotoxische Wirkung von Arzneimitteln, wie sie insbesondere in der Krebstherapie und der Therapie von Autoimmunerkrankungen Anwendung finden, ist die kombinierte Verabreichung mit Verbindungen der Formel I und/oder deren pharmazeutisch verträgliche Salze geeignet, die cytotoxischen, insbesondere cardiotoxischen Nebenwirkungen der genannten Verbindungen zu inhibieren. Durch die Verminderung der cytotoxischen Effekte, insbesondere der Cardiotoxizität, infolge Ko-Medikation mit NHE1-Inhibitoren kann außerdem die Dosis der cytotoxischen Therapeutika erhöht und/oder die Medikation mit solchen Arzneimitteln verlängert werden. Der therapeutische Nutzen einer solchen cytotoxischen Therapie kann durch die Kombination mit NHE-Inhibitoren erheblich gesteigert werden.
- Außerdem können die erfindungsgemäßen NHE1-Inhibitoren der Formel I und/oder deren pharmazeutisch verträgliche Salze bei einer herzschädigenden Überproduktion von Schilddrüsenhormonen, der Thyreotoxikose, oder bei der externen Zufuhr von Schilddrüsenhormonen Verwendung finden. Die Verbindungen der Formel I und/oder deren pharmazeutisch verträgliche Salze eignen sich somit zur Verbesserung der Therapie mit cardiotoxischen Arzneimitteln.
- Entsprechend ihrer protektiven Wirkung gegen ischämisch induzierte Schäden sind die erfindungsgemäßen Verbindungen auch als Arzneimittel zur Behandlung von Ischämien des Nervensystems, insbesondere des Zentralnervensystems, geeignet, wobei sie zum Beispiel zur Behandlung des Schlaganfalls oder des Hirnödems geeignet sind.
- Die Verbindungen der Formel I und/oder deren pharmazeutisch verträgliche Salze eignen sich auch zur Therapie und Prophylaxe von Erkrankungen und Störungen, die durch Übererregbarkeit des Zentralnervensystems ausgelöst werden, insbesondere zur Behandlung von Erkrankungen des epileptischen Formenkreises, zentral ausgelöster klonischer und tonischer Spasmen, psychische Depressionszustände, Angsterkrankungen und Psychosen. Dabei können die hier beschriebenen NHE-Inhibitoren allein angewandt werden oder in Kombination mit anderen antiepileptisch wirkenden Substanzen oder antipsychotischen Wirkstoffen, oder Carboanhydrasehemmern, beispielweise mit Acetazolamid, sowie mit weiteren Inhibitoren des NHE oder des natrium-abhängigen Chlorid-Bicarbonat-Austauschers (NCBE).
- Darüber hinaus eignen sich die erfindungsgemäß verwendeten Verbindungen der Formel I und/oder deren pharmazeutisch verträgliche Salze ebenfalls zur Behandlung von Formen des Schocks, wie beispielweise des allergischen, cardiogenen, hypovolämischen und des bakteriellen Schocks.
- Die Verbindungen der Formel I und/oder deren pharmazeutisch verträgliche Salze können ebenfalls zur Prävention und zur Behandlung thrombotischer Erkrankungen verwendet werden, da sie als NHE-Inhibitoren sowohl die Plättchenaggregation selbst inhibieren können. Darüberhinaus können sie die nach Ischämie und Reperfusion stattfindende überschießende Freisetzung von Entzündungs- und Gerinnungsmediatoren, insbesondere des von Willebrand Faktors und der thrombogenen Selectin-Proteine hemmen bzw. verhindern. Damit kann die pathogene Wirkung bedeutender thrombogener Faktoren vermindert und ausgeschaltet werden. Deshalb sind die NHE-Inhibitoren der vorliegenden Erfindung kombinierbar mit weiteren antikoagulativen und/oder thrombolytischen Wirkstoffen wie beispielsweise recombinantem oder natürlichen tissue plasminogen activator, Streptokinase, Urokinase, Acetylsalizylsäure, Thrombinantagonisten, Faktor Xa-Antagonisten, fibrinolytisch wirkenden Arzneistoffen, Thromboxan Rezeptor-Antagonisten, Phosphodiesterase-Inhibitoren, Factor-VIIa-Antagonisten, Clopidogrel, Ticolopidin usw. Eine kombinierte Anwendung der vorliegenden NHE-Inhibitoren mit NCBE-Inhibitoren und/oder mit Inhibitoren der Carboanhydrase, wie beispielsweise mit Acetazolamid, ist besonders günstig.
- Darüber hinaus zeichnen sich die erfindungsgemäß verwendeten Verbindungen der Formel I und/oder deren pharmazeutisch verträgliche Salze durch starke inhibierende Wirkung auf die Proliferationen von Zellen, beispielsweise der Fibroblasten-Zellproliferation und der Proliferation der glatten Gefäßmuskelzellen, aus. Deshalb kommen die Verbindungen der Formel I und/oder deren pharmazeutisch verträgliche Salze als wertvolle Therapeutika für Krankheiten in Frage, bei denen die Zellproliferation eine primäre oder sekundäre Ursache darstellt, und können deshalb als Antiatherosklerotika, Mittel gegen das chronische Nierenversagen, Krebserkrankungen, verwendet werden.
- Es konnte gezeigt werden, dass durch die erfindungsgemäßen Verbindungen die Zellmigration inhibiert wird. Daher kommen die Verbindungen der Formel I und/oder deren pharmazeutisch verträgliche Salze als wertvolle Therapeutika für Krankheiten in Frage, bei denen die Zellmigration eine primäre oder sekundäre Ursache darstellt, wie beispielsweise Krebserkrankungen mit ausgeprägter Neigung zur Metastasierung.
- Die Verbindungen der Formel I und/oder deren pharmazeutisch verträgliche Salze zeichnen sich weiterhin durch eine Verzögerung oder Verhinderung von fibrotischen Erkrankungen aus. Sie eignen sich somit als ausgezeichnete Mittel zur Behandlung von Fibrosen des Herzens, sowie der Lungenfibrose, Leberfibrose, der Nierenfibrose und anderer fibrotischer Erkrankungen. Sie können somit zur Behandlung von Organhypertrophien und -hyperplasien, beispielsweise des Herzens und der Prostata verwendet werden. Sie sind deshalb zur Prävention und zur Behandlung der Herzinsuffizienz (congestive heart failure = CHF) wie auch bei der Behandlung und Prävention der Prostatahyperplasie bzw. Prostatahypertrophie geeignet.
- Da der NHE bei essentiellen Hypertonikern signifikant erhöht ist, eignen sich die Verbindungen der Formel I und/oder deren pharmazeutisch verträgliche Salze zur Prävention und zur Behandlung des Bluthochdrucks und zur Behandlung von Herz-Kreislauferkrankungen. Dabei können sie allein oder mit einem geeigneten Kombinations- und Formulierungspartner zur Bluthochdruckbehandlung und von Herz-Kreislauferkrankungen zur Anwendung kommen. So können beispielsweise ein oder mehrere thiazid-artig wirkende Diuretika, Loop-Diuretika, Aldosteron- und Pseudoaldosteron-Antagonisten, wie Hydrochlorothiazid, Indapamid, Polythiazid, Furosemid, Piretanid, Torasemid, Bumetanid, Amilorid, Triamteren, Spironolacton oder Epleron, kombiniert werden. Weiterhin können die NHE-Inhibitoren der vorliegenden Erfindung in Kombination mit Calcium-Antagonisten, wie Verapamil, Diltiazem, Amlodipin oder Nifedipin, sowie mit ACE-Hemmern, wie beispielsweise Ramipril, Enalapril, Lisinopril, Fosinopril oder Captopril verwendet werden. Weitere günstige Kombinationspartner sind auch β-Blocker wie Metoprolol, Albuterol usw., Antagonisten des Angiotensin-Rezeptors und seiner Rezeptor-Subtypen wie Losartan, Irbesartan, Valsartan, Omapatrilat, Gemopatrilat, Endothelin-Antagonisten, Renin-Inhibitoren, Adenosin-Rezeptoragonisten, Inhibitoren und Aktivatoren von Kaliumkanälen wie Glibenclamid, Glimepirid, Diazoxid, Cromakalim, Minoxidil und deren Derivate, Aktivatoren des mitochondrialen ATP-sensitiven Kaliumkanals (mitoK(ATP) Kanal), Inhibitoren des Kv1.5 usw.
- Es zeigte sich, dass NHE1-Inhibitoren der Formel I und/oder deren pharmazeutisch verträgliche Salze eine signifikante antiphlogistische Wirkung haben und somit als Antiinflammatorika verwendet werden können. Dabei fällt die Inhibition der Freisetzung von Entzündungsmediatoren auf. Die Verbindungen können somit allein oder in Kombination mit einem Antiphlogistikum bei der Prävention oder Behandlung chronischer und akuter inflammatorischer Erkrankungen verwendet werden. Als Kombinationspartner werden vorteilhaft steroidale und nicht-steroidale Antiinflammatorika verwendet. Weiterhin könne die erfindungsgemäßen Verbindungen zur Prävention oder Behandlung von Erkrankungen, die durch Protozoen verursacht werden, eingesetzt werden, wie bei Malaria und der Hühnercoccidiose.
- Es wurde außerdem gefunden, dass Verbindungen der der Formel I und/oder deren pharmazeutisch verträgliche Salze eine günstige Beeinflussung der Serumlipoproteine zeigen. Es ist allgemein anerkannt, dass für die Entstehung arteriosklerotischer Gefäßveränderungen, insbesondere der koronaren Herzkrankheit, zu hohe Blutfettwerte, sogenannte Hyperlipoproteinämien, einen wesentlichen Risikofaktor darstellen. Für die Prophylaxe und die Regression von atherosklerotischen Veränderungen kommt daher der Senkung erhöhter Serum-Lipoproteine eine außerordentliche Bedeutung zu. Neben der Reduktion des Serum-Gesamtcholesterins kommt der Senkung des Anteils spezifischer atherogener Lipidfraktionen dieses Gesamtcholesterins, insbesondere der low density Lipoproteine (LDL) und der very low density Lipoproteine (VLDL) eine besondere Bedeutung zu, da diese Lipidfraktionen einen atherogenen Risikofaktor darstellen. Dagegen wird den high density Lipoproteinen eine Schutzfunktion gegen die koronare Herzkrankheit zugeschrieben. Dementsprechend sollen Hypolipidämika in der Lage sein, nicht nur das Gesamtcholesterin, sondern insbesondere die VLDL und LDL-Serumcholesterinfraktionen zu senken. Es wurde nun gefunden, dass NHE1-Inhibitoren bezüglich der Beeinflussung der Serumlipidspiegel wertvolle therapeutisch verwertbare Eigenschaften zeigen. So erniedrigen sie signifikant die erhöhte Serum-Konzentrationen von LDL und VLDL, wie sie beispielweise durch erhöhte diätetische Einnahme einer cholesterin- und lipidreichen Kost oder bei pathologischen Stoffwechselveränderungen, beispielsweise genetisch bedingten Hyperlipidämien zu beobachten sind. Sie können daher zur Prophylaxe und zur Regression von atherosklerotischen Veränderungen herangezogen werden, indem sie einen kausalen Risikofaktor ausschalten. Hierzu zählen nicht nur die primären Hyperlipidämien, sondern auch gewisse sekundäre Hyperlipidämien, wie sie zum Beispiel beim Diabetes vorkommen. Darüber hinaus führen die Verbindungen der Formel I und/oder deren pharmazeutisch verträgliche Salze zu einer deutlichen Reduktion der durch Stoffwechselanomalien induzierten Infarkte und insbesondere zu einer signifikanten Verminderung der induzierten Infarktgröße und dessen Schweregrades.
- Die genannten Verbindungen finden deshalb vorteilhaft Verwendung zur Herstellung eines Medikaments zur Behandlung von Hypercholesterinämie; zur Herstellung eines Medikaments zur Prävention der Atherogenese; zur Herstellung eines Medikaments zur Prävention und Behandlung der Atherosklerose, zur Herstellung eines Medikaments zur Prävention und Behandlung von Krankheiten, die durch erhöhte Cholesterinspiegel ausgelöst werden, zur Herstellung eines Medikaments zur Prävention und Behandlung von Krankheiten, die durch endotheliale Dysfunktion ausgelöst werden, zur Herstellung eines Medikaments zur Prävention und Behandlung von atherosklerose-induzierter Hypertonie, zur Herstellung eines Medikaments zur Prävention und Behandlung von atherosklerose-induzierter Thrombosen, zur Herstellung eines Medikaments zur Prävention und Behandlung von Hypercholesterinämie- und endothelialer Dysfunktion induzierter ischämischer Schäden und postischämischer Reperfusionsschäden, zur Herstellung eines Medikaments zur Prävention und Behandlung von Hypercholesterinämie- und endothelialer Dysfunktion induzierter kardialer Hypertrophien und Cardiomyopathien und der congestiven Herzinsuffizienz (CHF), zur Herstellung eines Medikaments zur Prävention und Behandlung von Hypercholesterinämie- und endothelialer Dysfunktion induzierter koronarer Gefäßspasmen und myocardialer Infarkte, zur Herstellung eines Medikaments zur Behandlung der genannten Leiden in Kombinationen mit blutdrucksenkenden Stoffen, bevorzugt mit Angiotensin Converting Enzyme (ACE)-Hemmern und Angiotensin-Rezeptorantagonisten. Eine Kombination eines NHE-Inhibitors der Formel I und/oder deren pharmazeutisch verträgliche Salze mit einem blutfettspiegelsenkenden Wirkstoff, bevorzugt mit einem HMG-CoA-Reduktaseinhibitor (zum Beispiel Lovastatin oder Pravastatin), wobei letzterer eine hypolipidämische Wirkung herbeiführt und dadurch die hypolipidämischen Eigenschaften des NHE-Inhibitors der Formel I und/oder deren pharmazeutisch verträgliche Salze steigert, erweist sich als günstige Kombination mit verstärkter Wirkung und vermindertem Wirkstoffeinsatz.
- So führen Verbindungen der Formel I und/oder deren pharmazeutisch verträgliche Salze zu einen wirksamen Schutz gegen Endothelschädigungen unterschiedlicher Genese. Mit diesem Schutz der Gefäße gegen das Syndrom der endothelialen Dysfunktion sind Verbindungen der Formel I und/oder deren pharmazeutisch verträgliche Salze wertvolle Arzneimittel zur Prävention und zur Behandlung koronarer Gefäßspasmen, peripherer Gefäßkrankheiten, insbesondere von claudicatio intermittens, der Atherogenese und der Atherosklerose, der linksventrikulären Hypertrophie und der dilatierten Kardiomyopathie, und thrombotischer Erkrankungen.
- Außerdem wurde gefunden, dass Benzoylguanidine der Formel I und/oder deren pharmazeutisch verträgliche Salze geeignet in der Behandlung des nicht-insulinabhängigen Diabetes (NIDDM) sind, wobei die Insulinresistenz zurückgedrängt wird. Dabei kann es zur Verstärkung von antidiabetischer Wirksamkeit und Wirkqualität der erfindungsgemäßen Verbindungen günstig sein, diese mit einem Biguanid wie Metformin, mit einem antidiabetischen Sulfonylharnstoff, wie Glyburid, Glimepirid, Tolbutamid usw., einem Glucosidase-Inhibitor, einem PPAR Agonisten, wie Rosiglitazone, Pioglitazone etc., mit einem Insulinpräparat unterschiedlicher Verabreichungsform, mit einem DB4 Inhibitor, mit einem Insulinsensitizer oder mit Meglitinide zu kombinieren.
- Neben den akuten antidiabetischen Effekten wirken die Verbindungen der Formel I und/oder deren pharmazeutisch verträgliche Salze der Entstehung diabetischer Spätkomplikationen entgegen und können deshalb als Arzneimittel zur Prävention und Behandlung diabetischer Spätschäden, wie der diabetischen Nephropathie, der diabetischen Neuropathie, der diabetischen Retinopathie, der diabetischen Cardiomyopathie und anderen, als Folge des Diabetes auftretenden Erkrankungen verwendet werden. Dabei können sie mit den soeben unter NIDDM-Behandlung beschriebenen antidiabetischen Arzneimitteln vorteilhaft kombiniert werden. Der Kombination mit einer günstigen Darreichungsform von Insulin dürfte dabei eine besondere Bedeutung zukommen.
- Die erfindungsgemäßen NHE-Inhibitoren der Formel I und/oder deren pharmazeutisch verträgliche Salze zeigen neben den protektiven Effekten gegen akute ischämische Ereignisse und die nachfolgenden ebenso akut belastenden Reperfusionsereignisse, auch noch direkte therapeutisch verwertbare Wirkungen gegen Erkrankungen und Störungen des gesamten Säugetierorganismus, die mit den Erscheinungen des chronisch ablaufenden Alterungsprozesses zusammenhängen und die unabhängig von akuten Mangeldurchblutungszuständen sind und bei normalen, nicht-ischämischen Bedingungen auftreten. Bei diesen pathologischen, über die lange Zeit des Alterns ausgelösten altersbedingten Erscheinungen wie Krankheit, Siechtum und Tod, die neuerdings mit NHE-Inhibitoren einer Behandlung zugänglich gemacht werden können, handelt es sich um Erkrankungen und Störungen, die maßgeblich durch altersbedingte Veränderungen von lebensnotwendigen Organen und deren Funktion verursacht werden und im alternden Organismus zunehmend an Bedeutung gewinnen. Erkrankungen, die mit einer altersbedingten Funktionsstörung, mit altersbedingten Verschleißerscheinungen von Organen zusammenhängen, sind beispielsweise die ungenügende Ansprechbarkeit und Reagibilität der Blutgefäße gegenüber Kontraktions- und Relaxationsreaktionen. Diese altersbedingte Abnahme der Gefäßreagibilität auf konstriktorische und relaxierende Reize, die ein essentieller Prozess des Herz-Kreislaufsystems und somit des Lebens und der Gesundheit sind, kann signifikant durch NHE-Inhibitoren aufgehoben bzw. verringert werden. Eine wichtige Funktion und ein Maß für die Aufrechterhaltung der Gefäßreagibilität ist die Blockade bzw. Retardierung der altersbedingt fortschreitenden endothelialen Dysfunktion, die hochsignifikant durch NHE-Inhibitoren aufgehoben werden kann. Die Verbindungen der Formel I und/oder deren pharmazeutisch verträgliche Salze eignen sich somit hervorragend zur Behandlung und Prävention der altersbedingt fortschreitenden endothelialen Dysfunktion, insbesondere von claudicatio intermittens.
- Beispiel einer weiteren den Altersprozess charakterisierenden Messgröße ist die Abnahme der Kontraktilität des Herzens und die Abnahme der Anpassung des Herzens an eine geforderte Pumpleistung des Herzens. Diese verminderte Herzleistungsfähigkeit als Folge des Alterungsprozesses ist in den meisten Fällen verbunden mit einer Dysfunktion des Herzens, die unter anderem durch eine Einlagerung von Bindegewebe ins Herzgewebe verursacht wird. Diese Bindegewebseinlagerung ist gekennzeichnet durch eine Zunahme des Herzgewichtes, durch eine Vergrößerung des Herzens und durch eine eingeschränkte Herzfunktion. Es war überraschend, dass eine derartige Alterung des Organs Herz nahezu komplett inhibiert werden konnte. Die Verbindungen der Formel I und/oder deren pharmazeutisch verträgliche Salze eignen sich somit hervorragend zur Behandlung und Prävention der Herzinsuffizienz, des congestive heart failure (CHF).
- Durch Proliferationshemmung können nicht nur die bereits eingetretene Krebserkrankung geheilt werden, sondern dass auch die altersbedingte Entstehungshäufigkeit von Krebs durch NHE-Inhibitoren vermindert und hochsignifikant verzögert werden. Besonders bemerkenswert ist der Befund, dass altersbedingt auftretenden Erkrankungen aller Organe und nicht nur bestimmter Krebsformen unterbunden bzw. hochsignifikant verzögert auftreten. Die Verbindungen der Formel I und/oder deren pharmazeutisch verträgliche Salze eignen sich somit zur Behandlung und insbesondere der Prävention von altersbedingten Formen von Krebs.
- Mit NHE-Inhibitoren wird eine zeitlich hochsignifikant verschobene Verzögerung des Eintretens altersbedingter Erkrankungen aller untersuchten Organe einschließlich Herz, Gefäße, Leber usw., sowie eine hochsignifikante Verzögerung von Alterskrebs festgestellt. Vielmehr kommt es auch überraschenderweise zu einer Lebensverlängerung in einem Ausmaß, das bislang durch keine andere Medikamentengruppe bzw. durch irgendwelche Naturstoffe erreicht werden konnte. Diese einzigartige Wirkung der NHE-Inhibitoren ermöglicht es auch, neben der alleinigen Wirkstoffanwendung an Mensch und Tier diese NHE-Inhibitoren mit anderen gerontologisch verwendeten Wirkprinzipien, Maßnahmen, Substanzen und Naturstoffen zu kombinieren, denen ein anderer Wirkmechanismus zugrunde liegt. Derartige in der gerontologischen Therapie verwendete Wirkstoffklassen sind: insbesondere Vitamine und antioxidativ wirksame Stoffe. Da eine Korrelation zwischen kalorischer Belastung bzw. Nahrungsaufnahme und Alterungsprozeß besteht, kann die Kombination mit diätetischen Maßnahmen zum Beispiel mit Appetitszüglern erfolgen. Ebenso kann eine Kombination mit blutdrucksenkenden Medikamenten, wie mit ACE-Hemmern, Angiotensinrezeptorantagonisten, Diuretika, Ca+2-Antagonisten etc. oder mit stoffwechselnormalisierenden Medikamenten, wie Cholesterinsenkern, gedacht werden.
- Die Verbindungen der Formel I und/oder deren pharmazeutisch verträgliche Salze eignen sich somit hervorragend zur Prävention altersbedingter Gewebsveränderungen und zur Lebensverlängerung unter Erhalt einer hohen Lebensqualität.
- Die erfindungsgemäßen Verbindungen sind wirkungsvolle Inhibitoren des zellulären Natrium-Protonen-Antiporters (Na/H-Exchanger), der bei zahlreichen Erkrankungen (Essentielle Hypertonie, Atherosklerose, Diabetes usw.) auch in solchen Zellen erhöht ist, die Messungen leicht zugänglich sind, wie beispielsweise in Erythrocyten, Thrombocyten oder Leukozyten. Die erfindungsgemäß verwendeten Verbindungen eignen sich deshalb als hervorragende und einfache wissenschaftliche Werkzeuge, beispielsweise in ihrer Verwendung als Diagnostika zur Bestimmung und Unterscheidung bestimmter Formen der Hypertonie, aber auch der Atherosklerose, des Diabetes und diabetischer Spätkomplikationen, proliferativer Erkrankungen usw.
- Beansprucht wird weiterhin ein Heilmittel für die humane, veterinäre oder phytoprotektive Anwendung enthaltend eine wirksame Menge einer Verbindung der Formel I und/oder deren pharmazeutisch verträgliche Salze, zusammen mit pharmazeutisch annehmbaren Träger- und Zusatzstoffen, allein oder in Kombination mit anderen pharmakologischen Wirkstoffen oder Arzneimitteln.
- Arzneimittel, die eine Verbindung der Formel I und/oder deren pharmazeutisch verträgliche Salze enthalten, können dabei zum Beispiel oral, parenteral, intravenös, rektal, perkutan oder durch Inhalation appliziert werden, wobei die bevorzugte Applikation von dem jeweiligen Erscheinungsbild der Erkrankung abhängig ist. Die Verbindungen der Formel I können dabei allein oder zusammen mit galenischen Hilfsstoffen zur Anwendung kommen, und zwar sowohl in der Veterinär- als auch in der Humanmedizin. Die Arzneimittel enthalten Wirkstoffe der Formel I und/oder deren pharmazeutisch verträgliche Salze im allgemeinen in einer Menge von 0.01 mg bis 1 g pro Dosiseinheit.
- Welche Hilfsstoffe für die gewünschte Arzneimittelformulierung geeignet sind, ist dem Fachmann auf Grund seines Fachwissens geläufig. Neben Lösemitteln, Gelbildnern, Suppositorien-Grundlagen, Tablettenhilfsstoffen, und anderen Wirkstoffträgern können beispielsweise Antioxidantien, Dispergiermittel, Emulgatoren, Entschäumer, Geschmackskorrigentien, Konservierungsmittel, Lösungsvermittler oder Farbstoffe verwendet werden.
- Für eine orale Anwendungsform werden die aktiven Verbindungen mit den dafür geeigneten Zusatzstoffen, wie Trägerstoffen, Stabilisatoren oder inerten Verdünnungsmittel vermischt und durch die üblichen Methoden in die geeigneten Darreichungsformen gebracht, wie Tabletten, Dragees, Steckkapseln, wäßrige, alkoholische oder ölige Lösungen. Als inerte Träger können zum Beispiel Gummi arabicum, Magnesia, Magnesiumcarbonat, Kaliumphosphat, Milchzucker, Glucose oder Stärke, insbesondere Maisstärke, verwendet werden. Dabei kann die Zubereitung sowohl als Trocken- als auch als Feuchtgranulat erfolgen. Als ölige Trägerstoffe oder als Lösemittel kommen beispielsweise pflanzliche oder tierische Öle in Betracht, wie Sonnenblumenöl oder Lebertran.
- Zur subkutanen, intramuskulären oder intravenösen Applikation werden die aktiven Verbindungen, gewünschtenfalls mit den dafür üblichen Substanzen wie Lösungsvermittler, Emulgatoren oder weiteren Hilfsstoffen in Lösung, Suspension oder Emulsion gebracht. Als Lösungsmittel kommen zum Beispiel in Frage: Wasser, physiologische Kochsalzlösung oder Alkohole, zum Beispiel Ethanol, Propanol, Glycerin, daneben auch Zuckerlösungen wie Glucose- oder Mannitlösungen, oder auch eine Mischung aus den verschiedenen genannten Lösungsmitteln.
- Als pharmazeutische Formulierung für die Verabreichung in Form von Aerosolen oder Sprays sind geeignet zum Beispiel Lösungen, Suspensionen oder Emulsionen des Wirkstoffes der Formel I und/oder deren pharmazeutisch verträgliche Salze in einem pharmazeutisch unbedenklichen Lösungsmittels, wie insbesondere Ethanol oder Wasser, oder einem Gemisch solcher Lösungsmittel. Die Formulierung kann nach Bedarf auch noch andere pharmazeutische Hilfsstoffe wie Tenside, Emulgatoren und Stabilisatoren sowie ein Treibgas enthalten. Eine solche Zubereitung enthält den Wirkstoff üblicherweise in einer Konzentration von etwa 0,1 bis 10, insbesondere von etwa 0,3 bis 3 Gew.-%.
- Die Dosierung des zu verabreichenden Wirkstoffs der Formel I und die Häufigkeit der Verabreichung hängen von der Wirkstärke und Wirkdauer der verwendeten Verbindungen ab; außerdem auch von Art und Stärke der zu behandelnden Krankheit sowie von Geschlecht, Alter, Gewicht und individueller Ansprechbarkeit des zu behandelnden Säugers.
- Im Durchschnitt beträgt die tägliche Dosis einer Verbindung der Formel I und/oder deren pharmazeutisch verträgliche Salze bei einem etwa 75 kg schweren Patienten mindestens 0,001 mg/kg, beispielsweise 0,01 mg/kg, bis höchstens 10 mg/kg, beispielsweise 1 mg/kg Körpergewicht. Bei akuten Ausbrüchen der Krankheit, etwa unmittelbar nach Erleiden eines Herzinfarkts, können auch noch höhere und vor allem häufigere Dosierungen notwendig sein, zum Beispiel bis zu 4 Einzeldosen pro Tag. Insbesondere bei i.v. Anwendung, etwa bei einem Infarktpatienten auf der Intensivstation können beispielsweise bis zu 700 mg pro Tag notwendig werden und können die erfindungsgemäßen Verbindungen durch Infusion verabreicht werden.
- Liste der Abkürzungen:
-
- ADMET
- Adsorption – Distribution – Metabolismus – Ausscheidung – Toxikologie
- CDI
- Di-imidazol-1-yl-methanon
- dba
- Dibenzylideneaceton
- DIP
- Diisopropylether
- DIPEA
- Diisopropylethylamin
- DME
- 1,2-Dimethoxyethan
- DMF
- N,N-Dimethylformamid
- DMSO
- Dimethylsulfoxid
- EE
- Ethylacetat
- eq.
- Äquivalent
- HOAc
- Essigsäure
- KOtBu
- Kalium-2-methyl-propan-2-olat
- MeOH
- Methanol
- Mp
- Schmelzpunkt
- MTB
- tert.-Butyl-methylether
- NMP
- N-Methyl-2-Pyrrolidon
- OAc
- Acetat
- dppf
- 1,1'-Bis-(diphenylphosphino)-ferrocen
- RT
- Raumtemperatur
- THF
- Tetrahydrofuran
- TMEDA
- N,N,N',N'-Tetramethyl-ethan-1,2-diamin
- Experimenteller Teil
- Eine Lösung von Zinn(II)chlorid (1465 g, 7,73 Mol) in konzentrierter (32-prozentiger) wässriger HCl-Lösung wurde unter Rühren auf 80 °C erwärmt und dann wurde unter Eiskühlung innerhalb von 1 h in 8 Portionen 4-Nitrophenyl-schwefelpentafluorid (584 g, 2,344 Mol) eingetragen. Die Innentemperatur wurde hierbei unter 100 °C gehalten. Anschließend wurde das Gemisch 1,5 h bei 85 °C Innentemperatur gerührt und dann innerhalb einer weiteren Stunde auf 45 °C abkühlen gelassen. Ein Gemisch aus Eis (12 kg), NaOH (2 kg) und Dichlormethan (1,5 L) wurde vorbereitet und das Reaktionsgemisch unter starkem Rühren zugegeben. Die Phasen wurden getrennt, die wässrige Phase wurde 3 × mit je 1 L Dichlormethan extrahiert und die vereinigten organischen Phasen wurden über Na2SO4 getrocknet und im Vakuum eingedampft. Man erhielt 510 g 4-Aminophenyl-schwefelpentafluorid als hellgelbes, kristallines Pulver, Mp. 63–65 °C.
- 4-Aminophenyl-schwefelpentafluorid (510 g, 2,327 Mol) wurden in Dichlormethan (7 L) gelöst, die Lösung auf 5 °C abgekühlt und unter Rühren 1,3-Dibrom-5,5-dimethyl-imidazolidin-2,4-dion (326 g, 1,14 Mol) in mehreren Portionen unter Eiskühlung so eingetragen, dass die Innentemperatur bei 3–8 °C gehalten wurde (etwa 1 h). Anschließend wurde das Gemisch ohne äußere Kühlung 1 h rühren und auf Raumtemperatur aufwärmen gelassen. Das Gemisch wurde über ein Kieselgelbett (Volumen etwa 1 L) filtriert, mit Dichlormethan (5,5 L) nachgewaschen und das Filtrat im Vakuum eingedampft. Man erhielt etwa 700 g einer rotbraunen, kristallinen Masse, die bei 60 °C in n-Heptan (600 mL) gelöst wurde und danach im Kühlschrank bei 4 °C kristallisiert. Nach dem Absaugen erhielt man 590 g (85 %) 4-Amino-3-brom-phenyl-schwefelpentafluorid als bräunliche Kristalle, Mp. 59–59,5 °C.
- Ein Gemisch aus Cs2CO3 (794 g, 2,7 Mol), Dimethoxyethan (2 L), Wasser (300 mL) und Trimethylboroxin (50-prozentige Lösung in THF, 225 g, 0,9 Mol) wurde auf 70 °C erwärmt, PdCl2(dppf) × CH2Cl2 (37 g, 45 mmol) zugegeben und eine Lösung von 4-Amino-3-brom-phenyl-schwefelpentafluorid (270 g, 0,9 Mol) in Dimethoxyethan (400 mL) innerhalb von 2 h unter Erhitzen des Reaktionsgemisches am Rückfluß zugetropft. Anschließend wurde weitere 3 h am Rückfluß erhitzt, dann auf Raumtemperatur abgekühlt, mit MTB (500 mL) verdünnt, über eine Kieselgelsäule (14 × 7 cm, 70–200 μm) filtriert und mit MTB (2500 mL) nachgewaschen. Das Filtrat wurde im Vakuum eingedampft. Man erhielt 490 g einer schwarzen, halbkristallinen Masse, die einer Wasserdampfdestillation unterzogen wurde. Insgesamt wurden 5,5 L Kondensat gesammelt, aus dem das Produkt sich bereits kristallin abschied. Das Kondensat wurde 3 × mit MTB extrahiert, die vereinigten organischen Phasen über Na2SO4 getrocknet und im Vakuum eingedampft. Man erhielt 4-Amino-3-methyl-phenyl-schwefelpentafluorid (181 g, 76 %) als farblose Kristalle, Mp. 65–66 °C,
- Ein Gemisch aus tert.-Butylnitrit (90-prozentig, 37 ml, 280 mmol) und CuBr2 (35.8 g, 160 mmol) in Acetonitril (260 mL) wurde bei 5 °C vorgelegt und unter Rühren und Eiskühlung eine Lösung von 4-Amino-3-methyl-phenyl-schwefelpentafluorid (30,9 g, 132,5 mmol) in MTB (140 mL) innerhalb 1 h bei 5–8 °C zugetropft. Dabei setzte nach etwa 2 min Stickstoff-Entwicklung ein. Anschließend wurde das Gemisch innerhalb 1 h unter Rühren auf Raumtemperatur erwärmen gelassen, ein Gemisch aus Eis (250 g), 26-prozentiger wässriger NH3-Lösung (50 mL) und MTB (250 mL) zugesetzt und das Gemisch 10 min gerührt. Die Phasen wurden getrennt, die wässrigen 3 × mit MTB (je 150 mL) extrahiert und die vereinigten organischen Phasen einmal mit 400 mL Wasser geschüttelt. Nach Trocknen mit Na2SO4 und Eindampfen der organischen Phase erhielt man 39 g 4-Brom-3-methyl-phenyl-schwefelpentafluorid als rotbraunes Öl, das mit 8 Mol-% 4,5-Dibrom-3-methyl-phenyl-schwefelpentafluorid verunreinigt war, aber ohne weitere Reinigung weiterverwendet wurde. Ausbeute 89 %, bezogen auf eine Reinheit von 90 %.
- Ein Gemisch aus 4-Brom-3-methyl-phenyl-schwefelpentafluorid (136,4 g, Reinheit 80 %, 0,367 Mol), Zn(CN)2 (72,8 g, 0,62 Mol) und Zn-Staub (7,2 g; 0,11 Mol) wurde in Dimethylacetamid (900 mL) und Wasser (40 mL) unter Stickstoff-Begasung vorgelegt, unter Rühren auf 125 °C erwärmt und PdCl2(dppf) × CH2Cl2 (32,7 g, 40 mmol) zugesetzt. Nach einstündigem Rühren bei 125 °C wurde nochmals PdCl2(dppf) × CH2Cl2 (16,3 g, 20 mmol) und Zn-Staub (3,6 g, 55 mmol) zugegeben und weitere 2 h bei 125 °C gerührt. Anschließend wurde auf Raumtemperatur abgekühlt, mit n-Heptan (400 mL) verdünnt und das Gemisch unter Zugabe von 5 N wässriger NH4Cl-Lösung (250 mL) und Wasser (450 mL) 15 min lang stark gerührt. Das Gemisch wurde über eine Kieselgurschicht abgesaugt, die Phasen getrennt und die wässrige 2 × mit n-Heptan (200 mL) extrahiert. Die vereinigten organischen Phasen wurden mit Wasser (450 mL) geschüttelt, über MgSO4 getrocknet und im Vakuum eingedampft. Der erhaltene schwarze Rückstand wurde in 200 mL n-Heptan gelöst, filtriert und erneut im Vakuum eingedampft. Man erhielt 78 g einer dunkelbraunen Flüssigkeit, die durch Chromatographie an einer Kieselgelsäule (7 × 55 cm, 60–200 μm, n-Heptan/Dichlormethan 4:1 bis 3:2) gereinigt wurde. Als erste Fraktion erhielt man 6,5 g 4-Brom-3-methyl-phenyl-schwefelpentafluorid (Edukt) als gelbliche Flüssigkeit und anschließend 71,1 g (80 %) 4-Cyano-3-methyl-phenyl-schwefelpentafluorid als hellgelbes Öl.
- Ein Gemisch aus 4-Cyan-3-methyl-phenyl-schwefelpentafluorid (41,2 g, 169,4 mmol), NaOH (20,4 g, 510 mmol) und Wasser (60 mL) in Ethylenglykol (160 mL) wurde auf 130 °C erwärmt und 4 h bei dieser Temperatur gerührt. Anschließend wurde auf Raumtemperatur abgekühlt, mit MTB (150 mL) und Wasser (250 mL) verdünnt und das Gemisch abgesaugt. Die Phasen des Filtrats wurden getrennt und die wässrige Phase mit konzentrierter wässriger HCl-Lösung angesäuert und der ausfallende Feststoff abgesaugt. Man erhielt 41,1 g (93 %) 2-Methyl-4-pentafluorsulfuranyl-benzoesäure als farblose Kristalle, Mp. 138–139 °C.
- 6.0 g 2-Methyl-4-pentafluorsulfuranyl-benzoesäure wurden in 60 ml einer 90% wäßrigen HNO3-Lösung gelöst und bei RT 6 ml einer 96% H2SO4 zugetropft. 28 h wurde bei RT stehen gelassen, anschließend auf 300 g Eis gegossen, 300 ml Wasser zugegeben, 1 h nachgerührt und dann das Produkt abfiltriert. An der Luft wurde getrocknet und man erhielt 6.5 g eines blassgelben Feststoffs, Mp. 218–220°C.
Rf (DIP/2%HOAc) = 0.27 MS (ES–): 306 - 6.5 g 2-Methyl-5-nitro-4-pentafluorsulfuranyl-benzoesäure wurden in 100 ml MeOH und 20 ml HOAc gelöst und mit 500 mg 10%Pd/C versetzt. 20 h lang wurde unter Wasserstoff bei Normaldruck und RT hydriert. Die Umsetzung war unvollständig, daher wurde weitere 48 h bei 6 bar Wasserstoffdruck und RT hydriert. Anschließend wurde der Katalysator abfiltriert und die Solventien im Vakuum entfernt. Man erhielt 5.7 g eines hellgrauen Feststoffs, Mp 187–189°C.
Rf (DIP/2%HOAc) = 0.23 MS (ES–): 276 - 1,0 g 5-Amino-2-methyl-4-pentafluorsulfuranyl-benzoesäure wurde in 30 ml HOAc gelöst und mit 30 g Eis und 30 ml einer gesättigten wäßrigen HCl-Lösung versetzt. Anschließend wurde bei 0°C eine Lösung von 274 mg NaNO2 in 1 ml Wasser innerhalb einer Minute zugetropft. 15 Minuten lang wurde bei 0°C nachgerührt. Dann wurde die so erhaltene Suspension zu einer 0°C kalten Suspension aus 6.1 mg CuCl und 61.5 mg CuCl2 × 2H2O in 30 ml einer gesättigten Lösung von SO2 in HOAc portionsweise addiert. 1 h wurde bei 0°C, anschließend 1 h bei RT nachgerührt. Anschließend wurde das Reaktionsgemisch 3 mal mit je 200 ml Diethylether extrahiert. Über MgSO4 wurde getrocknet und die flüchtigen Bestandteile im Vakuum entfernt. Man erhielt 1.3 g des Produktes, das direkt weiter umgesetzt wurde.
- 1.2 g 5-Chlorsulfonyl-2-methyl-4-pentafluorsulfuranyl-benzoesäure wurden portionsweise zu einer 70°C warmen Lösung von 4.2 g Na2SO3 in 50 ml Wasser zugegeben und dabei mit einer 2 N wäßrigen NaOH-Lösung der pH der Lösung zwischen pH = 9 und pH = 11 gehalten. 20 Minuten wurde bei 70°C nachgerührt, auf RT abgekühlt und mit einer wäßrigen HCl-Lösung auf pH = 1–2 gestellt. 16 h wurde bei RT stehen gelassen, anschließend das Produkt abfiltriert und im Vakuum getrocknet. Man erhielt 1.0 g eines weißen Feststoffs, Mp. 288–290°C (unter Zersetzung).
Rf (EE/MeOH 1:1) = 0.52 - 1.0 g 2-Methyl-5-sulfino-4-pentafluorosulfuranyl-benzoesäure wurde in 10 ml Wasser suspendiert und 3.1 ml einer wäßrigen 2 N NaOH-Lösung zugegeben (Phenolphthalein: Basisch). Das Wasser wurde im Vakuum entfernt und anschließend 2 mal mit je 20 ml Toluol coevaporiert. Das Dinatriumsalz wurde anschließend in 40 ml wasserfreiem DMF gelöst, 0.69 ml Methyliodid zugegeben und zunächst 4 h bei 60°C, dann 15 h bei RT gerührt. Das Reaktionsgemsch wurde auf 100 ml Wasser gegossen und ein erster Teil des Produktes (500 mg) abgesaugt. Das Filtrat wurde mit wäßriger HCl-Lösung auf pH = 2 eingestellt und 3 mal mit je 30 ml EE extrahiert. Über MgSO4 wurde getrocknet und das Solvens im Vakuum entfernt. Chromatographie an Kieselgel mit DIP lieferte weitere 460 mg weißer Kristalle, Mp 127°C.
Rf (DIP) = 0.36 - m) N-(5-Methansulfonyl-2-methyl-4-pentafluorsulfuranyl-benzoyl)-guanidin
- 0.70 g Guanidinium-chlorid und 0.68 g KOtBu wurden in 20 ml wasserfreiem DMF 30 Minuten bei RT gerührt. Diese Suspension wurde dann zu 0.43 g 5-Methansulfonyl- 2-methyl-4-pentafluorsulfuranyl-benzoesäure-methylester gegeben und 16 h bei RT gerührt. Anschließend wurde das Reaktionsgemisch auf 200 ml Wasser gegossen, mit wäßriger HCl-Lösung auf pH = 8 eingestellt und 3 mal mit je 100 ml EE extrahiert. Über MgSO4 wurde getrocknet und das Solvens im Vakuum entfernt. Der Rückstand wurde in 5 ml CH2Cl2 suspendiert und das Produkt abfiltriert. Man erhielt 190 mg farbloser Kristalle, Mp. 254–256°C.
Rf (EE) = 0.22 MS (ES+): 382 - Berstimmung der NHE-Hemmung
- Die Hemmkonzentration IC50 für die NHE-1 Hemmung wurde wie folgt bestimmt:
IC50 für die NHE-1 Hemmnung wurden bestimmt in einem FLIPR-Assay mittels Messung der pHi-Erholung in transfizierten Zelllinien, die den humanen NHE-1 exprimieren. - Der Assay wurde im FLIPR (Fluorescent imaging plate reader) mit schwarzwandigen 96-Well-Mikrotiterplatten mit klarem Boden durchgeführt. Die transfizierten Zelllinien, welche die verschiedenen NHE-Subtypen exprimieren (die parentale Zelllinie LAP-1 weist als Folge von Mutagenese und anschließender Selektion keine endogene NHE-Aktivität auf), wurden am Vortag mit einer Dichte von 25.000 Zellen/Well ausgesät.
- Das Wachstumsmedium der transfizierten Zellen (Iscove +10 % fötales Kälberserum) enthielt zusätzlich G418 als Selektionsantibiotikum, um die Anwesenheit der transfizierten Sequenzen sicherzustellen.
- Der eigentliche Assay begann mit der Entfernung des Wachstumsmediums und Zugabe von 100 μl/Well Beladungspuffer (5 μM BCECF-AM [2',7'-Bis-(Carboxyethyl)-5-(und-6)-Carboxyfluorescein, Acetoxymethyl ester] in 20 mM NH4Cl, 115 mM Cholinchlorid, 1 mM MgCl2, 1 mM CaCl2, 5 mM KCl, 20 mM HEPES, 5 mM Glucose; pH 7,4 [mit KOH eingestellt]). Die Zellen wurden dann 20 Minuten bei 37°C inkubiert. Diese Inkubation führte zur Beladung der Zellen mit dem fluoreszierenden Farbstoff, dessen Fluoreszenzintensität vom pHi abhängt, und mit NH4Cl, was zu einer leichten Alkalinisierung der Zellen führte.
- Die nicht fluoreszierende Farbstoff-Vorstufe BCECF-AM ist als Ester membranpermeabel. Intrazellulär wird durch Esterasen der eigentliche Farbstoff BCECF freigesetzt, der nicht membranpermeabel ist.
- Nach dieser 20-minütigen Inkubation wurde der Beladungspuffer, der NH4Cl und freies BCECF-AM enthielt, durch dreimaliges Waschen im Zellwasher (Tecan Columbus) mit jeweils 400 μl Waschpuffer (133,8 mM Cholinchlorid, 4,7 mM KCl, 1,25 mM MgCl2, 1,25 mM CaCl2, 0,97 mM K2HPO4, 0,23 mM KH2PO4, 5 mM HEPES, 5 mM Glucose; pH 7,4 [mit KOH eingestellt]) entfernt. Das in den Wells verbleibende Restvolumen betrug 90 μl (50–125 μl möglich). Dieser Waschschritt entfernte das freie BCECF-AM und führte als Folge der Entfernung der externen NH4 +-Ionen zu einer intrazellulären Ansäuerung (~ pHi 6.3–6.4).
- Da das Gleichgewicht von intrazellulärem NH4 + mit NH3 und H+ durch das Entfernen des extrazellulären NH4 + und durch die nachfolgende, augenblicklich ablaufende Passage des NH3 durch die Zellmembran gestört wurde, führte der Waschprozess dazu, dass intrazellulär H+ zurückblieb, was die Ursache für die intrazelluläre Ansäuerung war. Diese kann letztlich zum Zelltod führen, wenn sie lang genug anhält.
- An dieser Stelle war es wichtig, dass der Waschpuffer natriumfrei (< 1 mM) war, da extrazelluläre Natrium-Ionen zu einer augenblicklichen Erholung des pHi durch die Aktivität der klonierten NHE-Isoformen führen würde.
- Es war ebenfalls wichtig, dass alle verwendeten Puffer (Beladungspuffer, Waschpuffer, Recoverypuffer) keine HCO3 –-Ionen enthielten, da die Anwesenheit von Bicarbonat zur Aktivierung störender bicarbonatabhängiger pHi-Regulationssysteme führen würde, die in der parentalen LAP-1 Zelllinie enthalten sind.
- Die Mikrotiterplatten mit den angesäuerten Zellen wurden dann (bis zu 20 Minuten nach der Ansäuerung) zum FLIPR transferiert. Im FLIPR wurde der intrazelluläre Fluoreszenzfarbstoff durch Licht mit einer Wellenlänge von 488 nm, das von einem Argon-Laser erzeugt wurde, angeregt, und die Messparameter (Laserleistung, Belichtungszeit und Blende der im FLIPR eingebauten CCD-Kamera) wurden so gewählt, dass das durchschnittliche Fluoreszenzsignal pro Well zwischen 30000 und 35000 relativen Fluoreszenzeinheiten lag.
- Die eigentliche Messung im FLIPR begann damit, dass Software-gesteuert alle zwei Sekunden eine Aufnahme mit der CCD-Kamera gemacht wurde. Nach zehn Sekunden wurde die Erholung des intrazellulären pH's durch Zugabe von 90 μl Recoverypuffer (133,8 mM NaCl, 4,7 mM KCl, 1,25 mM MgCl2, 1,25 mM CaCl2, 0,97 mM K2HPO4, 0,23 mM KH2PO4, 10 mM HEPES, 5 mM Glucose; pH 7.4 [mit NaOH eingestellt]) mittels des im FLIPR eingebauten 96-Well-Pipettierers eingeleitet.
- Als Positivkontrollen (100 % NHE-Aktivität) dienten Wells, denen reiner Recoverypuffer zugegeben wurde, Negativkontrollen (0 % NHE-Aktivität) erhielten Waschpuffer. In allen anderen Wells wurde Recoverypuffer mit der zweifach konzentrierten Testsubstanz hinzugegeben. Die Messung im FLIPR endete nach 60 Messpunkten (zwei Minuten).
- Die Rohdaten werden in das Programm ActivityBase exportiert. Mit diesem Programm werden zunächst die NHE-Aktivitäten für jede getestete Substanzkonzentration und daraus die IC50-Werte für die Substanzen berechnet.
- Da der Verlauf der pHi-Erholung nicht während des ganzen Experiments linear war, sondern am Ende aufgrund abnehmender NHE-Aktivität bei höheren pHi-Werten abfiel, war es wichtig, für die Auswertung der Messung den Teil auszuwählen, in dem die Fluoreszenzzunahme der Positivkontrollen linear war.
- In vivo Pharmakokinetik – Profilierung mit der „n in one Methode"
- Als pharmakokinetische Kenndaten wurden die Expositionsdaten und die Verteilungsvolumina wie folgt bestimmt:
Der erfindungsgemäße NHE-1 Inhibitor des Beispiels 1 und als Referenzsubstanz der bekannte NHE-1 Hemmer Cariporid mit der Formel wurden in wässrigem, leicht saurem Medium (Wasser, pH 4, eingestellt mit 1 M Salzsäure) gelöst. Die Konzentration der so hergestellten wässrigen Formulierung betrug ca. 1,5 mg je Substanz pro 1 g Lösung. 10 ml dieser Formulierung wurden einem männlichen, nüchternen Beagle-Hund in die Vena jugularis mittels Katheter als Bolus einmal appliziert (Dosis ca. 1 mg je applizierter Substanz pro kg Körpergewicht des Hundes). Mittels eines zweiten Katheters wurden nach 5min, 15min, 30min, 1h, 2h, 4h, 8h und 24h Blutproben gewonnen und heparinisiertes Plasma durch Zentrifugation bei 1000G in entsprechenden Plasmaröhrchen hergestellt. - Die Plasmaproben wurden aufgearbeitet und nach einer HPLC-Trennung mittels MS/MS quantifiziert. Diese Methode erlaubte wegen ihrer hohen Spezifität die gleichzeitige Bestimmung mehrerer Substanzen. Aus den Konzentrations – Zeitkurven (siehe
1 ) ließen sich die Expositionen mittels des Computerprogramms WinNonlin berechnen und mit der Exposition der bekannten NHE-1 Referenzsubstanz vergleichen. Da die verschiedenen Substanzen im gleichen Tier zum gleichen Zeitpunkt gemessen wurden, ergab sich ein exakter Vergleich der Verbindungen und es konnte ein Ranking der Verteilungsvolumina erstellt werden. - Aus den Konzentrations-Zeitkurven in
1 ist deutlich ersichtlich, das die erfindungsgemäße Verbindung im Blut auch über einen längeren Zeitraum erhalten bleibt und damit die Exposition etwa 2–3 mal höher ist als bei der Referenzsubstanz Cariporid. Nach 24 Stunden ist Cariporide im Plasma nicht mehr detektierbar. - In der Abbildung wurden folgende Beschriftungen und Kennzeichnungen vorgenommen:
-
1 : Konzentrations – Zeitkurven im Blutplasma von Hunden nach Gabe von je ca. 1 mg/kg von der Verbindung des Beispiels 1 und von Cariporid.
Y-Achse: Konzentration der gemessenen Verbindung in μg/ml im Plasma
X-Achse: Zeit in h
R1 bis R4 definiert sind wie in Formel I
L definiert ist wie in Formel II und
X und Y unabhängig voneinander F, Cl, Br oder I sind.
Claims (15)
- Pentafluorsulfuranyl-benzoylguanidine der Formel I worin bedeuten R1 Wasserstoff, Alkyl mit 1, 2, 3 oder 4 C-Atomen, Alkoxy mit 1, 2, 3 oder 4 C Atomen, F, Cl, Br, I, -CN, NR5R6, -Op-(CH2)n-(CF2)o-CF3 oder -(SOm)q-(CH2)r-(CF2)s-CF3; R5 und R6 unabhängig voneinander Wasserstoff, Alkyl mit 1, 2, 3 oder 4 C-Atomen oder -CH2-CF3; m Null, 1 oder 2 n, o, p, q, r und s unabhängig voneinander Null oder 1; R2 Wasserstoff, Alkyl mit 1, 2, 3 oder 4 C-Atomen, Alkoxy mit 1, 2, 3 oder 4 C-Atomen, F, Cl, Br, I, -CN, NR7R8, -Ot-(CH2)u-(CF2)v-CF3 oder -(SOw)x-(CH2)y-(CF2)z-CF3; R7 und R8 unabhängig voneinander Wasserstoff, Alkyl mit 1, 2, 3 oder 4 C-Atomen oder -CH2-CF3; w Null, 1 oder 2 t, u, v, x, y und z unabhängig voneinander Null oder 1; R3 Cl, Br, I, -CN, -SO2CH3, Alkoxy mit 1, 2, 3 oder 4 C-Atomen, NR9R10, -Oa-(CH2)b-(CF2)c-CF3, -(SOd)c-(CH2)f-(CF2)g-CF3, Alkyl mit 1, 2, 3, 4, 5 oder 6 C-Atomen oder Cycloalkyl mit 3, 4, 5, 6, 7 oder 8 C-Atomen, in dem 1, 2, 3 oder 4 Wasserstoff-Atome durch Fluoratome ersetzt sein können; R9 und R10 unabhängig voneinander Wasserstoff, Alkyl mit 1, 2, 3 oder 4 C-Atomen oder -CH2-CF3; a, b und c unabhängig voneinander Null oder 1; d Null, 1 oder 2; e Null oder 1; f Null, 1, 2, 3 oder 4; g Null oder 1; oder R3 -(CH2)h -Phenyl oder -O-Phenyl, in denen die Phenylreste unsubstituiert sind oder substituiert sind mit 1, 2 oder 3 Resten ausgewählt aus der Gruppe bestehend aus Reihe F, Cl, Br, I, -Oj-(CH2)k-CF3, Alkoxy mit 1, 2, 3 oder 4 C-Atomen, Alkyl mit 1, 2, 3 oder 4 C-Atomen und -SO2CH3; j Null oder 1 k Null, 1, 2 oder 3; h Null, 1, 2, 3 oder 4; oder R3 -(CH2)aa -Heteroaryl, das unsubstituiert ist oder substituiert ist mit 1, 2 oder 3 Resten ausgewählt aus der Gruppe bestehend aus F, Cl, Br, I, -Obb-(CH2)cc-CF3, Alkoxy mit 1, 2, 3 oder 4 C-Atomen, Alkyl mit 1, 2, 3 oder 4 C-Atomen und -SO2CH3; bb Null oder 1; cc Null, 1, 2 oder 3; aa Null, 1, 2, 3 oder 4; R4 Wasserstoff, F, Cl, Br, I, -CN, -SO2CH3, Alkoxy mit 1, 2, 3 oder 4 C-Atomen, NR11R12, -Odd-(CH2)ee-(CF2)ff-CF3, -(SOgg)hh-(CH2)jj-(CF2)kk-CF3, Alkyl mit 1, 2, 3, 4, 5 oder 6 C-Atomen oder Cycloalkyl mit 3, 4, 5, 6, 7 oder 8 C-Atomen, in dem 1, 2, 3 oder 4 Wasserstoff-Atome durch Fluoratome ersetzt sein können; R11 und R12 unabhängig voneinander Wasserstoff, Alkyl mit 1, 2, 3 oder 4 C-Atomen oder -CH2-CF3; dd, ee und ff unabhängig voneinander Null oder 1; gg Null, 1 oder 2; hh Null oder 1; jj Null, 1, 2, 3 oder 4; kk Null oder 1; oder R4 -(CH2)ll -Phenyl oder -O-Phenyl, in denen die Phenylreste unsubstituiert sind oder substituiert sind mit 1, 2 oder 3 Resten ausgewählt aus der Gruppe bestehend aus Reihe F, Cl, Br, I, -Omm-(CH2)nn-CF3, Alkoxy mit 1, 2, 3 oder 4 C-Atomen, Alkyl mit 1, 2, 3 oder 4 C-Atomen und -SO2CH3; mm Null oder 1; nn Null, 1, 2 oder 3; ll Null, 1, 2, 3 oder 4; oder R4 -(CH2)oo -Heteroaryl, das unsubstituiert ist oder substituiert ist mit 1, 2 oder 3 Resten ausgewählt aus der Gruppe bestehend aus F, Cl, Br, I, -Opp-(CH2)rr-CF3, Alkoxy mit 1, 2, 3 oder 4 C-Atomen, Alkyl mit 1, 2, 3 oder 4 C-Atomen und -SO2CH3; pp Null oder 1; rr Null, 1, 2 oder 3; oo Null, 1, 2, 3 oder 4; sowie deren pharmazeutisch verträgliche Salze.
- Verbindungen der Formel I nach Anspruch 1, in denen bedeuten: R1 Wasserstoff, Alkyl mit 1, 2, 3 oder 4 C-Atomen, Alkoxy mit 1, 2, 3 oder 4 C-Atomen, F, Cl, Br, I, -CN, NR5R6, -Op-(CH2)n-(CF2)o-CF3 oder -(SOm)q-(CH2)r-(CF2)s-CF3; R5 und R6 unabhängig voneinander Wasserstoff, Alkyl mit 1, 2, 3 oder 4 C-Atomen oder -CH2-CF3; m Null, 1 oder 2 n, o, p, q, r und s unabhängig voneinander Null oder 1; R2 Wasserstoff oder F; R3 Cl, Br, I, -CN, -SO2CH3, Alkoxy mit 1, 2, 3 oder 4 C-Atomen, NR9R10, -Oa-(CH2)b-(CF2)c-CF3, -(SOd)e-(CH2)f-(CF2)g-CF3, Alkyl mit 1, 2, 3, 4, 5 oder 6 C-Atomen oder Cycloalkyl mit 3, 4, 5, 6, 7 oder 8 C-Atomen, in dem 1, 2, 3 oder 4 Wasserstoff-Atome durch Fluoratome ersetzt sein können; R9 und R10 unabhängig voneinander Wasserstoff, Alkyl mit 1, 2, 3 oder 4 C-Atomen oder -CH2-CF3; a, b und c unabhängig voneinander Null oder 1; d Null, 1 oder 2; e Null oder 1; f Null, 1, 2, 3 oder 4; g Null oder 1; oder R3 -(CH2)n -Phenyl oder -O-Phenyl, in denen die Phenylreste unsubstituiert sind oder substituiert sind mit 1, 2 oder 3 Resten ausgewählt aus der Gruppe bestehend aus Reihe F, Cl, Br, I, -Oj-(CH2)k-CF3, Alkoxy mit 1, 2, 3 oder 4 C-Atomen, Alkyl mit 1, 2, 3 oder 4 C-Atomen und -SO2CH3; j Null oder 1; k Null, 1, 2 oder 3; h Null, 1, 2, 3 oder 4; oder R3 -(CH2)aa -Heteroaryl, das unsubstituiert ist oder substituiert ist mit 1, 2 oder 3 Resten ausgewählt aus der Gruppe bestehend aus F, Cl, Br, I, -Obb-(CH2)cc-CF3, Alkoxy mit 1, 2, 3 oder 4 C-Atomen, Alkyl mit 1, 2, 3 oder 4 C-Atomen und -SO2CH3; bb Null oder 1; cc Null, 1, 2 oder 3; aa Null, 1, 2, 3 oder 4; R4 Wasserstoff oder F; sowie deren pharmazeutisch verträgliche Salze.
- Verbindungen der Formel I nach Anspruch 1 oder 2, in denen bedeuten: R1 Wasserstoff, Alkyl mit 1, 2, 3 oder 4 C-Atomen, Alkoxy mit 1, 2, 3 oder 4 C-Atomen, F, Cl, Br, I, -CN, NR5R6, -O-CH2-CF3 oder -(SOm)q-(CH2)r-CF3; R5 und R6 unabhängig voneinander Wasserstoff, Alkyl mit 1, 2, 3 oder 4 C-Atomen oder -CH2-CF3; m Null, 1 oder 2 q und r unabhängig voneinander Null oder 1; R2 Wasserstoff oder F; R3 Cl, Br, I, -CN, -SO2CH3, Alkoxy mit 1, 2, 3 oder 4 C-Atomen, NR9R10, -O-CH2-CF3, -(SOd)e-CF3, Alkyl mit 1, 2, 3, 4, 5 oder 6 C-Atomen oder Cycloalkyl mit 3, 4, 5, 6, 7 oder 8 C-Atomen, in dem 1, 2, 3 oder 4 Wasserstoff-Atome durch Fluoratome ersetzt sein können; R9 und R10 unabhängig voneinander Wasserstoff, Alkyl mit 1, 2, 3 oder 4 C-Atomen oder -CH2-CF3; d Null, 1 oder 2; e Null oder 1; oder R3 Phenyl, das unsubstituiert ist oder substituiert ist mit 1, 2 oder 3 Resten ausgewählt aus der Gruppe bestehend aus Reihe F, Cl, Br, I, -Oj-(CH2)k-CF3, Alkoxy mit 1, 2, 3 oder 4 C-Atomen, Alkyl mit 1, 2, 3 oder 4 C-Atomen und -SO2CH3; j Null oder 1; k Null, 1, 2 oder 3; oder R3 Heteroaryl, das unsubstituiert ist oder substituiert ist mit 1, 2 oder 3 Resten ausgewählt aus der Gruppe bestehend aus F, Cl, Br, I, -Obb-(CH2)cc-CF3, Alkoxy mit 1, 2, 3 oder 4 C-Atomen, Alkyl mit 1, 2, 3 oder 4 C-Atomen und -SO2CH3; bb Null oder 1; cc Null, 1, 2 oder 3; R4 Wasserstoff oder F; sowie deren pharmazeutisch verträgliche Salze.
- Verbindungen der Formel I nach einem oder mehreren der Ansprüche 1, 2 oder 3, in denen bedeuten: R1 Wasserstoff, Alkyl mit 1, 2, 3 oder 4 C-Atomen, Methoxy, Ethoxy, F, Cl, NR5R6, -O-CH2-CF3 oder -(SOm)q-(CH2)r-CF3; R5 und R6 unabhängig voneinander Wasserstoff, Alkyl mit 1, 2, 3 oder 4 C-Atomen oder -CH2-CF3; m Null, 1 oder 2 q und r unabhängig voneinander Null oder 1; R2 Wasserstoff oder F; R3 Cl, -CN, -SO2CH3, Methoxy, Ethoxy, NR9R10, -O-CH2-CF3, -(SOd)e-CF3, Alkyl mit 1, 2, 3, 4, 5 oder 6 C-Atomen oder Cycloalkyl mit 3, 4, 5, 6 oder 7 C-Atomen, in dem 1, 2, 3 oder 4 Wasserstoff-Atome durch Fluoratome ersetzt sein können; R9 und R10 unabhängig voneinander Wasserstoff, Methyl, Ethyl oder -CH2-CF3; d Null, 1 oder 2; e Null oder 1; oder R3 Phenyl, das unsubstituiert ist oder substituiert ist mit 1 oder 2 Resten ausgewählt aus der Gruppe bestehend aus Reihe F, Cl, -Oj-(CH2)k-CF3, Methoxy, Ethoxy, Alkyl mit 1, 2, 3 oder 4 C-Atomen und -SO2CH3; j und k unabhängig voneinander Null oder 1; oder R3 Heteroaryl, das unsubstituiert ist oder substituiert ist mit 1 oder 2 Resten ausgewählt aus der Gruppe bestehend aus F, Cl, -Obb-(CH2)cc-CF3, Methoxy, Ethoxy, Alkyl mit 1, 2, 3 oder 4 C-Atomen und -SO2CH3; bb und cc unabhängig voneinander Null oder 1; R4 Wasserstoff oder F; sowie deren pharmazeutisch verträgliche Salze.
- Verfahren zur Herstellung einer Verbindung der Formel I nach einem oder mehreren der Ansprüche 1, 2, 3 oder 4 und/oder deren pharmazeutisch verträgliche Salze, dadurch gekennzeichnet, dass man eine Verbindung der Formel II, worin R1 bis R4 die in den Ansprüchen 1 bis 4 angegebene Bedeutung besitzen und L für eine nucleophil substituierbare Fluchtgruppe steht, mit Guanidin umsetzt.
- Verbindung der Formel I und/oder deren pharmazeutisch verträgliche Salze nach einem oder mehreren der Ansprüche 1 bis 4 zur Verwendung als Medikament.
- Verwendung einer Verbindung der Formel I und/oder deren pharmazeutisch verträgliche Salze nach einem oder mehreren der Ansprüche 1 bis 4 zur Herstellung eines Medikaments zur Behandlung oder Prophylaxe von akuten oder chronischen Schäden, Erkrankungen oder indirekte Folgeerkrankungen von Organen und Geweben, die durch Ischämie- oder durch Reperfusionsereignisse verursacht werden, zur Behandlung oder Prophylaxe von Arrhythmien, des lebensbedrohlichen Kammerflimmerns des Herzens, des Herzinfarkts, der Angina Pectoris, zur Behandlung oder Prophylaxe von ischämischen Zuständen des Herzens, von ischämischen Zuständen des peripheren und zentralen Nervensystems oder des Schlaganfalls oder von ischämischen Zuständen peripherer Organe und Gewebe, zur Behandlung oder Prophylaxe von Schockzuständen, von Krankheiten, bei denen die Zellproliferation eine primäre oder sekundäre Ursache darstellt, von Krebs, der Metastasierung, der Prostata-Hypertrophie bzw. der Prostata-Hyperplasie, der Atherosklerose oder von Störungen des Fettstoffwechsels, des Bluthochdrucks, der essentiellen Hypertonie, von Erkrankungen des Zentralnervensystems, von Erkrankungen, die durch ZNS-Übererregbarkeit resultieren, Epilepsie oder zentral ausgelöste Krämpfe, von Erkrankungen des Zentralnervensystems, insbesondere von Angstzuständen, Depressionen oder Psychosen, zur Behandlung oder Prophylaxe des non insulin dependent diabetes mellitus (NIDDM) oder diabetischer Spätschäden, von Thrombosen, von Erkrankungen infolge endothelialer Dysfunktion, von claudicatio intermittens, zur Behandlung oder Prophylaxe fibrotischer Erkrankungen innerer Organe, fibrotischer Erkrankungen der Leber, fibrotischer Erkrankungen der Niere, fibrotischer Erkrankungen von Gefäßen und fibrotischer Erkrankungen des Herzens, zur Behandlung oder Prophylaxe der Herzinsuffizienz oder des Congestive Heart failure, akuter oder chronischer inflammatorischer Erkrankungen, von Erkrankungen, die durch Protozoen verursacht werden, von Malaria und der Hühnercoccidiose und zum Einsatz bei chirurgischen Operationen und Organtransplantationen, zur Konservierung und Lagerung von Transplantaten für chirurgische Maßnahmen, zur Verhinderung altersbedingter Gewebsveränderung, zur Herstellung eines gegen die Alterung gerichteten Medikaments oder zur Lebensverlängerung, zur Behandlung und Senkung der cardiotoxischen Wirkungen in der Thyreotoxikose oder zur Herstellung eines Diagnostikums.
- Verwendung einer Verbindung der Formel I und/oder deren pharmazeutisch verträgliche Salze nach einem oder mehreren der Ansprüche 1 bis 4 in Kombination mit anderen Arzneimitteln oder Wirkstoffen zur Herstellung eines Medikaments zur Behandlung oder Prophylaxe von akuten oder chronischen Schäden, Erkrankungen oder indirekte Folgeerkrankungen von Organen und Geweben, die durch Ischämie- oder durch Reperfusionsereignisse verursacht werden, zur Behandlung oder Prophylaxe von Arrhythmien, des lebensbedrohlichen Kammerflimmerns des Herzens, des Herzinfarkts, der Angina Pectoris, zur Behandlung oder Prophylaxe von ischämischen Zuständen des Herzens, von ischämischen Zuständen des peripheren und zentralen Nervensystems oder des Schlaganfalls oder von ischämischen Zuständen peripherer Organe und Gewebe, zur Behandlung oder Prophylaxe von Schockzuständen, von Krankheiten, bei denen die Zellproliferation eine primäre oder sekundäre Ursache darstellt, von Krebs, der Metastasierung, der Prostata-Hypertrophie bzw. der Prostata-Hyperplasie, der Atherosklerose oder von Störungen des Fettstoffwechsels, des Bluthochdrucks, der essentiellen Hypertonie, von Erkrankungen des Zentralnervensystems, von Erkrankungen, die durch ZNS-Übererregbarkeit resultieren, Epilepsie oder zentral ausgelöste Krämpfe, von Erkrankungen des Zentralnervensystems, insbesondere von Angstzuständen, Depressionen oder Psychosen, zur Behandlung oder Prophylaxe des non insulin dependent diabetes mellitus (NIDDM) oder diabetischer Spätschäden, von Thrombosen, von Erkrankungen infolge endothelialer Dysfunktion, von claudicatio intermittens, zur Behandlung oder Prophylaxe fibrotischer Erkrankungen innerer Organe, fibrotischer Erkrankungen der Leber, fibrotischer Erkrankungen der Niere, fibrotischer Erkrankungen von Gefäßen und fibrotischer Erkrankungen des Herzens, zur Behandlung oder Prophylaxe der Herzinsuffizienz oder des Congestive Heart failure, akuter oder chronischer inflammatorischer Erkrankungen, von Erkrankungen, die durch Protozoen verursacht werden, von Malaria und der Hühnercoccidiose und zum Einsatz bei chirurgischen Operationen und Organtransplantationen, zur Konservierung und Lagerung von Transplantaten für chirurgische Maßnahmen, zur Verhinderung altersbedingter Gewebsveränderung, zur Herstellung eines gegen die Alterung gerichteten Medikaments oder zur Lebensverlängerung, zur Behandlung und Senkung der cardiotoxischen Wirkungen in der Thyreotoxikose oder zur Herstellung eines Diagnostikums.
- Verwendung einer Verbindung der Formel I und/oder deren pharmazeutisch verträgliche Salze nach Anspruch 8 in der Kombination mit cardiotoxischen und cytotoxischen Arzneimitteln oder Wirkstoffen zur Herstellung eines Medikaments mit verminderten cardiotoxischen und cytotoxischen Eigenschaften.
- Verwendung einer Verbindung der Formel I und/oder deren pharmazeutisch verträgliche Salze allein oder in Kombination mit anderen Arzneimitteln oder Wirkstoffen nach Anspruch 7 und/oder 8 zur Herstellung eines Medikaments zur Behandlung oder Prophylaxe von akuten oder chronischen Schäden, Erkrankungen oder indirekten Folgeerkrankungen von Organen und Geweben, die durch Ischämie- oder durch Reperfusionsereignisse verursacht werden.
- Verwendung einer Verbindung der Formel I und/oder deren pharmazeutisch verträgliche Salze allein oder in Kombination mit anderen Arzneimitteln oder Wirkstoffen nach Anspruch 7 und/oder 8 zur Herstellung eines Medikaments zur Behandlung lebensbedrohlichen Kammerflimmerns des Herzens.
- Verwendung einer Verbindung der Formel I und/oder deren pharmazeutisch verträgliche Salze allein oder in Kombination mit anderen Arzneimitteln oder Wirkstoffen nach Anspruch 7 und/oder 8 zur Herstellung eines Medikaments zur Behandlung oder zur Prophylaxe der Metastasierung.
- Verwendung einer Verbindung der Formel I und/oder deren pharmazeutisch verträgliche Salze allein oder in Kombination mit anderen Arzneimitteln oder Wirkstoffen nach Anspruch 7 und/oder 8 zur Herstellung eines Medikaments zur Behandlung oder Prophylaxe fibrotischer Erkrankungen des Herzens, der Herzinsuffizienz oder des Congestive Heart failure:
- Heilmittel für die humane, veterinäre und/oder phytoprotektive Anwendung enthaltend eine wirksame Menge einer Verbindung der Formel I und/oder deren pharmazeutisch verträgliche Salze nach einem oder mehreren der Ansprüche 1 bis 4, zusammen mit pharmazeutisch annehmbaren Träger- und Zusatzstoffen.
- Heilmittel für die humane, veterinäre oder phytoprotektive Anwendung enthaltend eine wirksame Menge einer Verbindung der Formel I und/oder deren pharmazeutisch verträgliche Salze nach einem oder mehreren der Ansprüche 1 bis 4, zusammen mit pharmazeutisch annehmbaren Träger- und Zusatzstoffen in Kombination mit anderen pharmakologischen Wirkstoffen oder Arzneimitteln.
Priority Applications (43)
| Application Number | Priority Date | Filing Date | Title |
|---|---|---|---|
| OA1200600153A OA13285A (en) | 2003-11-13 | 2003-11-03 | Pentafluorosulfanyl benzoylguanidines, method for their production, their use as medicaments or diagnostic agents and medicament containing the same. |
| DE10353202A DE10353202A1 (de) | 2003-11-13 | 2003-11-13 | Pentafluorsulfuranyl-benzoylguanidine, Verfahren zu ihrer Herstellung, ihre Verwendung als Medikament oder Diagnostikum sowie sie enthaltendes Medikament |
| JO2004140A JO2466B1 (en) | 2003-11-13 | 2004-10-06 | Pentaflorosilvanil guanidines, methods of preparation, use as treatment and diagnostic aids, and drugs containing it. |
| GT200400217A GT200400217A (es) | 2003-11-13 | 2004-10-27 | Pentafluorosulfanilbenzoilguanidinas, procedimiento para su preparacion, su uso como medicamento o coadyuvante de diagnostico y medicamento que las comprende. |
| HR20070364T HRP20070364T3 (en) | 2003-11-13 | 2004-11-03 | Pentafluorosulfanyl benzoylguanidines, method for their production, their use as medicaments or diagnostic agents and medicament containing the same |
| ES04797535T ES2287788T3 (es) | 2003-11-13 | 2004-11-03 | Pentafluorosulfanil-benzoilguanidinas, procedimiento para su preparacion, su uso como medicamento o agente de diagnostico, asi como medicamento que las contiene. |
| DK04797535T DK1685096T3 (da) | 2003-11-13 | 2004-11-03 | Pentafluorsulfanyl-benzoylguanidiner, fremgangsmåde til deres fremstilling, deres anvendelse som medikament eller diagnostikum såvel som medikamenter indeholdende dem |
| HK07102568.1A HK1095584B (en) | 2003-11-13 | 2004-11-03 | Pentafluorosulfanyl benzoylguanidines, method for their production, their use as medicaments or diagnostic agents and medicament containing the same |
| PCT/EP2004/012393 WO2005047239A1 (de) | 2003-11-13 | 2004-11-03 | Pentafluorsulfanyl-benzoylguanidine, verfahren zu ihrer herstellung, ihre verwendung als medikament oder diagnostikum sowie sie enthaltendes medikament |
| BRPI0416487-3A BRPI0416487A (pt) | 2003-11-13 | 2004-11-03 | pentafluorossulfanil-benzoilguanidinas, método para produção das mesmas, seu uso como medicamentos ou agentes de diagnóstico e medicamento contendo as mesmas |
| NZ547172A NZ547172A (en) | 2003-11-13 | 2004-11-03 | Pentafluorosulfanyl benzoylguanidines, method for their production, their use as medicaments or diagnostic agents and medicament containing the same |
| RU2006120448/04A RU2380358C2 (ru) | 2003-11-13 | 2004-11-03 | Пентафторсульфанил-бензоилгуанидины, способ их получения, их применение в качестве лекарственных или диагностических средств, а также содержащие их лекарственные средства |
| AU2004288758A AU2004288758B2 (en) | 2003-11-13 | 2004-11-03 | Pentafluorosulfanyl benzoylguanidines, method for their production, their use as medicaments or diagnostic agents and medicament containing the same |
| RSP-2007/0368A RS50520B (sr) | 2003-11-13 | 2004-11-03 | Pentafluorosulfanil-benzoilgvanidini, postupak za njihovu proizvodnju, njihova primena u svojstvu leka ili dijagnostičkog sredstva kao i lek koji sadrži ova jedinjenja |
| AT04797535T ATE368029T1 (de) | 2003-11-13 | 2004-11-03 | Pentafluorsulfanyl-benzoylguanidine, verfahren zu ihrer herstellung, ihre verwendung als medikament oder diagnostikum sowie sie enthaltendes medikament |
| UAA200606449A UA84307C2 (ru) | 2003-11-13 | 2004-11-03 | Пентафторсульфанил-бензоилгуанидины, способ их получения, их применение как лекарственных или диагностических средств, а также лекарственные средства, которые их содержат |
| SI200430424T SI1685096T1 (sl) | 2003-11-13 | 2004-11-03 | Pentafluorosulfanil-benzoilgvanidini, postopek zanjihovo pripravo, njihova uporaba kot zdravilo ali diagnostik za zdravilo, ki jih vsebuje |
| EP04797535A EP1685096B1 (de) | 2003-11-13 | 2004-11-03 | Pentafluorsulfanyl-benzoylguanidine, verfahren zu ihrer herstellung, ihre verwendung als medikament oder diagnostikum sowie sie enthaltendes medikament |
| JP2006538730A JP4528304B2 (ja) | 2003-11-13 | 2004-11-03 | ペンタフルオロスルファニルベンゾイルグアニジン、その製造方法、医薬又は診断薬としてのその使用及びそれらを含有する医薬 |
| PL04797535T PL1685096T3 (pl) | 2003-11-13 | 2004-11-03 | Pentafluorosulfanylobenzoiloguanidyny, sposób ich wytwarzania, ich zastosowanie jako leku lub środka diagnostycznego, jak również zawierający je lek |
| DE502004004460T DE502004004460D1 (de) | 2003-11-13 | 2004-11-03 | Pentafluorsulfanyl-benzoylguanidine, verfahren zu ihrer herstellung, ihre verwendung als medikament oder diagnostikum sowie sie enthaltendes medikament |
| CA2551057A CA2551057C (en) | 2003-11-13 | 2004-11-03 | Pentafluorosulfanyl benzoylguanidines, method for their production, their use as medicaments or diagnostic agents and medicament containing the same |
| PT04797535T PT1685096E (pt) | 2003-11-13 | 2004-11-03 | Pentafluorossulfanil-benzoílguanidinas, processo para a sua preparação, sua utilização como medicamento ou como agente de diagnóstico, bem como medicamento contendo as mesmas |
| CNB200480033483XA CN100445265C (zh) | 2003-11-13 | 2004-11-03 | 五氟硫基苯甲酰基胍、它们的制备方法、它们作为药物或诊断剂的用途和含有它们的药物 |
| DO2004001028A DOP2004001028A (es) | 2003-11-13 | 2004-11-10 | Pentafluorosulfanilbenzoilguanidinas, procedimiento para su preparacion, su uso como medicamento o coadyuvante de diagnostico, y medicamento que las comprende |
| HN2004000474A HN2004000474A (es) | 2003-11-13 | 2004-11-11 | Pentafluorosulfanilbenzoilguanidinas y sus sales farmaceuticamente aceptables son acilguanidinas sustituidas e inhiben el antiportador celular de sodioprotones ( intercambiador na + / , nhe ) |
| TW093134390A TWI334411B (en) | 2003-11-13 | 2004-11-11 | Pentafluorosulfanylbenzoylguanidines, process for their preparation, their use as medicament or diagnostic aid, and medicament comprising them |
| ARP040104156A AR046620A1 (es) | 2003-11-13 | 2004-11-11 | Pentafluorosulfanilbenzoilguanidinas, procedimiento para su preparacion, su uso como medicamento o coadyuvante de diagnostico, y medicamento que las comprende |
| MYPI20044737A MY144211A (en) | 2003-11-13 | 2004-11-12 | Pentafluorosulfanylbenzoylguanidines, process for their preparation, their use as medicament or diagnostic aid, and medicament comprising them |
| PE2004001110A PE20051034A1 (es) | 2003-11-13 | 2004-11-12 | Pentafluorosulfanilbenzoilguanidinas como inhibidores del antiportador celular de sodio-protones (nhe) |
| UY28616A UY28616A1 (es) | 2003-11-13 | 2004-11-12 | Pentafluorosulfanilbenzoilguanidinas, procedimiento para su preparación, su uso como medicamento o coadyuvante de diagnostico, y medicamento que las comprende. |
| US10/989,069 US20050124666A1 (en) | 2003-11-13 | 2004-11-15 | Pentafluorosulfanylbenzoylguanidines, process for their preparation, use as a medicament or diagnostic aid, and medicament comprising same |
| ZA200602579A ZA200602579B (en) | 2003-11-13 | 2006-03-29 | Pentafluorosulfanyl, benzoylguanidines, method for their production, their use as medicaments or diagnostic agents and medicament containing the same |
| CR8321A CR8321A (es) | 2003-11-13 | 2006-03-31 | Pentafluorosulfanil benzoylguanidinas, metodo para su produccion, su uso como medicamentos o agentes de diagnostico, y medicamento que las contiene |
| TNP2006000116A TNSN06116A1 (en) | 2003-11-13 | 2006-04-21 | Pentafluorosulfanyl benzoylguanidines, method for their production, their use as medicaments or diagnostic agents and medicament containing the same |
| IL175237A IL175237A (en) | 2003-11-13 | 2006-04-26 | Pentafluorosulfanyl benzoylguanidines, method for their production, their use as medicaments and medicaments containing the same |
| EC2006006563A ECSP066563A (es) | 2003-11-13 | 2006-05-11 | Pentafluorosulfanil-benzoilguanidinas, método para su producción, su uso como medicamentos o agentes de diagnóstico, y medicamento que las contiene |
| KR1020067009186A KR101262065B1 (ko) | 2003-11-13 | 2006-05-11 | 펜타플루오로설파닐 벤조일구아니딘, 이의 제조방법, 약물또는 진단제로서의 이의 용도 및 이를 포함하는 약물 |
| NI200600112A NI200600112A (es) | 2003-11-13 | 2006-05-12 | Pentafluorosulfanil-benzoilguanidinas, metodo para su produccion, su uso como medicamentos o agentes de diagnostico, y medicamento que las contiene. |
| MA29028A MA28161A1 (fr) | 2003-11-13 | 2006-05-12 | Les pentafluorosulfanylbenzoylguanidines, leur procédé de production, leur utilisation comme médicaments ou agents de diagnostic et les médicaments les contenant |
| NO20062635A NO20062635L (no) | 2003-11-13 | 2006-06-08 | Pentafluorsulfanyl-benzoylguanidiner, produksjonsmetode, deres anvendelse som medikamenter eller diagnostiserende midler og medikamenter inneholdende disse |
| CY20071101190T CY1106868T1 (el) | 2003-11-13 | 2007-09-14 | Πενταφθοροσουλφανυλο-βενζοϋλογουανιδινες, μεθοδος για την παρασκευη τους, η χρηση τους ως φαρμακο ή διαγνωστικο μεσο, ως και φαρμακο που τις περιεχει |
| US11/972,954 US7622611B2 (en) | 2003-11-13 | 2008-01-11 | Pentafluorosulfanylbenzoylguanidines, process for their preparation, use as a medicament or diagnostic aid, and medicament comprising same |
Applications Claiming Priority (1)
| Application Number | Priority Date | Filing Date | Title |
|---|---|---|---|
| DE10353202A DE10353202A1 (de) | 2003-11-13 | 2003-11-13 | Pentafluorsulfuranyl-benzoylguanidine, Verfahren zu ihrer Herstellung, ihre Verwendung als Medikament oder Diagnostikum sowie sie enthaltendes Medikament |
Publications (1)
| Publication Number | Publication Date |
|---|---|
| DE10353202A1 true DE10353202A1 (de) | 2005-06-16 |
Family
ID=34585094
Family Applications (2)
| Application Number | Title | Priority Date | Filing Date |
|---|---|---|---|
| DE10353202A Withdrawn DE10353202A1 (de) | 2003-11-13 | 2003-11-13 | Pentafluorsulfuranyl-benzoylguanidine, Verfahren zu ihrer Herstellung, ihre Verwendung als Medikament oder Diagnostikum sowie sie enthaltendes Medikament |
| DE502004004460T Expired - Lifetime DE502004004460D1 (de) | 2003-11-13 | 2004-11-03 | Pentafluorsulfanyl-benzoylguanidine, verfahren zu ihrer herstellung, ihre verwendung als medikament oder diagnostikum sowie sie enthaltendes medikament |
Family Applications After (1)
| Application Number | Title | Priority Date | Filing Date |
|---|---|---|---|
| DE502004004460T Expired - Lifetime DE502004004460D1 (de) | 2003-11-13 | 2004-11-03 | Pentafluorsulfanyl-benzoylguanidine, verfahren zu ihrer herstellung, ihre verwendung als medikament oder diagnostikum sowie sie enthaltendes medikament |
Country Status (38)
| Country | Link |
|---|---|
| EP (1) | EP1685096B1 (de) |
| JP (1) | JP4528304B2 (de) |
| KR (1) | KR101262065B1 (de) |
| CN (1) | CN100445265C (de) |
| AR (1) | AR046620A1 (de) |
| AT (1) | ATE368029T1 (de) |
| AU (1) | AU2004288758B2 (de) |
| BR (1) | BRPI0416487A (de) |
| CA (1) | CA2551057C (de) |
| CR (1) | CR8321A (de) |
| CY (1) | CY1106868T1 (de) |
| DE (2) | DE10353202A1 (de) |
| DK (1) | DK1685096T3 (de) |
| DO (1) | DOP2004001028A (de) |
| EC (1) | ECSP066563A (de) |
| ES (1) | ES2287788T3 (de) |
| GT (1) | GT200400217A (de) |
| HN (1) | HN2004000474A (de) |
| HR (1) | HRP20070364T3 (de) |
| IL (1) | IL175237A (de) |
| JO (1) | JO2466B1 (de) |
| MA (1) | MA28161A1 (de) |
| MY (1) | MY144211A (de) |
| NI (1) | NI200600112A (de) |
| NO (1) | NO20062635L (de) |
| NZ (1) | NZ547172A (de) |
| OA (1) | OA13285A (de) |
| PE (1) | PE20051034A1 (de) |
| PL (1) | PL1685096T3 (de) |
| PT (1) | PT1685096E (de) |
| RS (1) | RS50520B (de) |
| RU (1) | RU2380358C2 (de) |
| TN (1) | TNSN06116A1 (de) |
| TW (1) | TWI334411B (de) |
| UA (1) | UA84307C2 (de) |
| UY (1) | UY28616A1 (de) |
| WO (1) | WO2005047239A1 (de) |
| ZA (1) | ZA200602579B (de) |
Families Citing this family (4)
| Publication number | Priority date | Publication date | Assignee | Title |
|---|---|---|---|---|
| US7317124B2 (en) * | 2003-11-13 | 2008-01-08 | Sanofi-Aventis Deutschland Gmbh | Ortho-substituted pentafluorosulfanylbenzenes, process for their preparation and their use as valuable synthetic intermediates |
| SI2242740T1 (sl) | 2008-02-05 | 2013-03-29 | Sanofi | SF5-derivati kot PAR1 inhibitorji, njihova priprava in uporaba kot zdravila |
| EP2661434A4 (de) * | 2011-01-06 | 2014-07-09 | Beta Pharma Canada Inc | Neue harnstoffe zur behandlung und prävention von krebs |
| US9682931B2 (en) | 2013-11-01 | 2017-06-20 | Ube Industries, Ltd. | Aryloyl(oxy or amino)pentafluorosulfanylbenzene compound, pharmaceutically acceptable salt thereof, and prodrugs thereof |
Citations (1)
| Publication number | Priority date | Publication date | Assignee | Title |
|---|---|---|---|---|
| DE10222192A1 (de) * | 2002-05-18 | 2003-11-27 | Aventis Pharma Gmbh | Pentafluorsulfuranyl-benzoylguanidine, Verfahren zu ihrer Herstellung, ihre Verwendung als Medikament oder Diagnostikum sowie sie enthaltendes Medikament |
Family Cites Families (7)
| Publication number | Priority date | Publication date | Assignee | Title |
|---|---|---|---|---|
| EP0589336B1 (de) * | 1992-09-22 | 1997-01-08 | Hoechst Aktiengesellschaft | Benzoylguanidine, Verfahren zu ihrer Herstellung, sowie ihre Verwendung als Antiarrhythmika |
| DE4417004A1 (de) * | 1994-05-13 | 1995-11-16 | Hoechst Ag | Perfluoralkyl-substituierte Benzoylguanidine, Verfahren zu ihrer Herstellung, ihre Verwendung als Medikament oder Diagnostikum sowie sie enthaltendes Medikament |
| DE19517848A1 (de) * | 1995-05-16 | 1996-11-21 | Merck Patent Gmbh | Fluorhaltige Benzoylguanidine |
| DE19526381A1 (de) * | 1995-07-19 | 1997-01-23 | Hoechst Ag | 4-Fluoralkyl-substituierte Benzoylguanidine, Verfahren zu ihrer Herstellung, ihre Verwendung als Medikament oder Diagnostikum sowie sie enthaltendes Medikament |
| DE19713427A1 (de) * | 1997-04-01 | 1998-10-08 | Hoechst Ag | Ortho-substituierte Benzoylguanidine, Verfahren zu ihrer Herstellung, ihre Verwendung als Medikament oder Diagnostikum sowie sie enthaltendes Medikament |
| DE19950898A1 (de) * | 1999-10-22 | 2001-04-26 | Aventis Pharma Gmbh | Heterocyclisch substituierte Benzoylguanidine, Verfahren zu ihrer Herstellung, ihre Verwendung als Medikament oder Diagnostikum sowie sie enthaltendes Medikament |
| DE10338554A1 (de) * | 2003-08-22 | 2005-03-31 | Aventis Pharma Deutschland Gmbh | Pentafluorosulfanylphenyl-substituierte Benzoylguanidine, Verfahren zu ihrer Herstellung, ihre Verwendung als Medikament oder Diagnostikum sowie sie enthaltendes Medikament |
-
2003
- 2003-11-03 OA OA1200600153A patent/OA13285A/en unknown
- 2003-11-13 DE DE10353202A patent/DE10353202A1/de not_active Withdrawn
-
2004
- 2004-10-06 JO JO2004140A patent/JO2466B1/en active
- 2004-10-27 GT GT200400217A patent/GT200400217A/es unknown
- 2004-11-03 HR HR20070364T patent/HRP20070364T3/xx unknown
- 2004-11-03 AT AT04797535T patent/ATE368029T1/de active
- 2004-11-03 PT PT04797535T patent/PT1685096E/pt unknown
- 2004-11-03 RU RU2006120448/04A patent/RU2380358C2/ru not_active IP Right Cessation
- 2004-11-03 CN CNB200480033483XA patent/CN100445265C/zh not_active Expired - Fee Related
- 2004-11-03 EP EP04797535A patent/EP1685096B1/de not_active Expired - Lifetime
- 2004-11-03 PL PL04797535T patent/PL1685096T3/pl unknown
- 2004-11-03 WO PCT/EP2004/012393 patent/WO2005047239A1/de not_active Ceased
- 2004-11-03 CA CA2551057A patent/CA2551057C/en not_active Expired - Fee Related
- 2004-11-03 BR BRPI0416487-3A patent/BRPI0416487A/pt not_active IP Right Cessation
- 2004-11-03 RS RSP-2007/0368A patent/RS50520B/sr unknown
- 2004-11-03 DE DE502004004460T patent/DE502004004460D1/de not_active Expired - Lifetime
- 2004-11-03 UA UAA200606449A patent/UA84307C2/ru unknown
- 2004-11-03 JP JP2006538730A patent/JP4528304B2/ja not_active Expired - Fee Related
- 2004-11-03 DK DK04797535T patent/DK1685096T3/da active
- 2004-11-03 ES ES04797535T patent/ES2287788T3/es not_active Expired - Lifetime
- 2004-11-03 NZ NZ547172A patent/NZ547172A/en not_active IP Right Cessation
- 2004-11-03 AU AU2004288758A patent/AU2004288758B2/en not_active Ceased
- 2004-11-10 DO DO2004001028A patent/DOP2004001028A/es unknown
- 2004-11-11 TW TW093134390A patent/TWI334411B/zh not_active IP Right Cessation
- 2004-11-11 HN HN2004000474A patent/HN2004000474A/es unknown
- 2004-11-11 AR ARP040104156A patent/AR046620A1/es not_active Application Discontinuation
- 2004-11-12 PE PE2004001110A patent/PE20051034A1/es not_active Application Discontinuation
- 2004-11-12 UY UY28616A patent/UY28616A1/es not_active Application Discontinuation
- 2004-11-12 MY MYPI20044737A patent/MY144211A/en unknown
-
2006
- 2006-03-29 ZA ZA200602579A patent/ZA200602579B/xx unknown
- 2006-03-31 CR CR8321A patent/CR8321A/es unknown
- 2006-04-21 TN TNP2006000116A patent/TNSN06116A1/en unknown
- 2006-04-26 IL IL175237A patent/IL175237A/en not_active IP Right Cessation
- 2006-05-11 EC EC2006006563A patent/ECSP066563A/es unknown
- 2006-05-11 KR KR1020067009186A patent/KR101262065B1/ko not_active Expired - Fee Related
- 2006-05-12 NI NI200600112A patent/NI200600112A/es unknown
- 2006-05-12 MA MA29028A patent/MA28161A1/fr unknown
- 2006-06-08 NO NO20062635A patent/NO20062635L/no unknown
-
2007
- 2007-09-14 CY CY20071101190T patent/CY1106868T1/el unknown
Patent Citations (1)
| Publication number | Priority date | Publication date | Assignee | Title |
|---|---|---|---|---|
| DE10222192A1 (de) * | 2002-05-18 | 2003-11-27 | Aventis Pharma Gmbh | Pentafluorsulfuranyl-benzoylguanidine, Verfahren zu ihrer Herstellung, ihre Verwendung als Medikament oder Diagnostikum sowie sie enthaltendes Medikament |
Also Published As
Similar Documents
| Publication | Publication Date | Title |
|---|---|---|
| EP1515947B1 (de) | Fluorierte cycloalkyl-derivatisierte benzoylguanidine und ihre verwendung als medikament | |
| WO2006032372A1 (de) | Substituierte 4-phenyltetrahydroisochinoline, verfahren zu ihrer herstellung, ihre verwendung als medikament, sowie sie enthaltendes medikament | |
| EP1509498B1 (de) | Pentafluorsulfanyl-benzoylguanidine, verfahren zu ihrer hertellung, ihre verwendung als medikament oder diagnostikum sowie sie enthaltendes medikament | |
| EP1812412B1 (de) | Substituierte benzoylguanidine, verfahren zu ihrer herstellung, ihre verwendung als medikament oder diagnostikum sowie sie enthaltendes medikament | |
| WO2003101984A1 (de) | Substituierte thiophene, verfahren zu ihrer herstellung, ihre verwendung als medikament oder diagnostikum sowie sie enthaltendes medikament | |
| EP1685096B1 (de) | Pentafluorsulfanyl-benzoylguanidine, verfahren zu ihrer herstellung, ihre verwendung als medikament oder diagnostikum sowie sie enthaltendes medikament | |
| EP1658266B1 (de) | Pentafluorosulfanylphenyl-substituierte benzoylguanidine, verfahren zu ihrer herstellung, ihre verwendung als medikament oder diagnostikum sowie sie enthaltendes medikament | |
| EP1999113B1 (de) | Substituierte 1-amino-4-phenyl-dihydroisochinoline, verfahren zu ihrer herstellung, ihre verwendung als medikament, sowie sie enthaltendes medikament | |
| EP1664058B1 (de) | Substituierte thienoimidazole, verfahren zu ihrer herstellung, ihre verwendung als medikament oder diagnostikum sowie sie enthaltende medikamente | |
| EP1791813B1 (de) | Pentafluorsulfanylphenyl-substituierte benzoylguanidine, verfahren zu ihrer herstellung, ihre verwendung als medikament oder diagnostikum sowie sie enthaltendes medikament | |
| DE10356717A1 (de) | Verfahren zur Herstellung von (3-Oxo-2,3-dihydro-1H-isoindol-1-yl)-acetylguanidin-Derivaten | |
| US7622611B2 (en) | Pentafluorosulfanylbenzoylguanidines, process for their preparation, use as a medicament or diagnostic aid, and medicament comprising same | |
| HK1095584B (en) | Pentafluorosulfanyl benzoylguanidines, method for their production, their use as medicaments or diagnostic agents and medicament containing the same | |
| WO2003066620A1 (de) | Dihydro-thia-phenanthren-carbonyl-guanidine, verfahren zu ihrer herstellung, ihre verwendung als medikament oder diagnostikum |
Legal Events
| Date | Code | Title | Description |
|---|---|---|---|
| OM8 | Search report available as to paragraph 43 lit. 1 sentence 1 patent law | ||
| 8127 | New person/name/address of the applicant |
Owner name: SANOFI-AVENTIS DEUTSCHLAND GMBH, 65929 FRANKFURT, |
|
| 8141 | Disposal/no request for examination |






















