CN101250412A - 液晶性组合物、光学各向异性膜、光学薄膜、偏振片以及液晶显示装置 - Google Patents
液晶性组合物、光学各向异性膜、光学薄膜、偏振片以及液晶显示装置 Download PDFInfo
- Publication number
- CN101250412A CN101250412A CN 200810082214 CN200810082214A CN101250412A CN 101250412 A CN101250412 A CN 101250412A CN 200810082214 CN200810082214 CN 200810082214 CN 200810082214 A CN200810082214 A CN 200810082214A CN 101250412 A CN101250412 A CN 101250412A
- Authority
- CN
- China
- Prior art keywords
- quality
- polymkeric substance
- liquid crystalline
- aliphatic group
- fluorinated aliphatic
- Prior art date
- Legal status (The legal status is an assumption and is not a legal conclusion. Google has not performed a legal analysis and makes no representation as to the accuracy of the status listed.)
- Granted
Links
- 239000004973 liquid crystal related substance Substances 0.000 title claims abstract description 128
- 239000000203 mixture Substances 0.000 title claims abstract description 92
- 239000007788 liquid Substances 0.000 title claims abstract description 75
- 239000010408 film Substances 0.000 title claims description 117
- 239000012788 optical film Substances 0.000 title 1
- 239000000178 monomer Substances 0.000 claims abstract description 62
- 238000006116 polymerization reaction Methods 0.000 claims abstract description 33
- 125000000217 alkyl group Chemical group 0.000 claims abstract description 29
- 125000004435 hydrogen atom Chemical group [H]* 0.000 claims abstract description 29
- 125000004432 carbon atom Chemical group C* 0.000 claims abstract description 21
- 125000002496 methyl group Chemical group [H]C([H])([H])* 0.000 claims abstract description 18
- 239000000126 substance Substances 0.000 claims description 141
- 230000003287 optical effect Effects 0.000 claims description 139
- 125000001931 aliphatic group Chemical group 0.000 claims description 137
- 239000010409 thin film Substances 0.000 claims description 91
- 238000000034 method Methods 0.000 claims description 51
- -1 methoxyl group Chemical group 0.000 claims description 41
- 229910052731 fluorine Inorganic materials 0.000 claims description 28
- 230000007704 transition Effects 0.000 claims description 17
- 125000001153 fluoro group Chemical group F* 0.000 claims description 16
- 239000011737 fluorine Substances 0.000 claims description 11
- YCKRFDGAMUMZLT-UHFFFAOYSA-N Fluorine atom Chemical compound [F] YCKRFDGAMUMZLT-UHFFFAOYSA-N 0.000 claims description 10
- 125000002887 hydroxy group Chemical group [H]O* 0.000 claims description 8
- NINIDFKCEFEMDL-UHFFFAOYSA-N Sulfur Chemical group [S] NINIDFKCEFEMDL-UHFFFAOYSA-N 0.000 claims description 7
- 238000004833 X-ray photoelectron spectroscopy Methods 0.000 claims description 5
- 239000008247 solid mixture Substances 0.000 claims 1
- 150000001875 compounds Chemical class 0.000 abstract description 98
- 229920000642 polymer Polymers 0.000 abstract description 28
- 125000006162 fluoroaliphatic group Chemical group 0.000 abstract 1
- 125000004430 oxygen atom Chemical group O* 0.000 abstract 1
- 230000003252 repetitive effect Effects 0.000 abstract 1
- 229910052717 sulfur Inorganic materials 0.000 abstract 1
- 125000004434 sulfur atom Chemical group 0.000 abstract 1
- 238000000576 coating method Methods 0.000 description 89
- 239000011248 coating agent Substances 0.000 description 85
- 239000012530 fluid Substances 0.000 description 56
- ZZUFCTLCJUWOSV-UHFFFAOYSA-N furosemide Chemical compound C1=C(Cl)C(S(=O)(=O)N)=CC(C(O)=O)=C1NCC1=CC=CO1 ZZUFCTLCJUWOSV-UHFFFAOYSA-N 0.000 description 45
- CERQOIWHTDAKMF-UHFFFAOYSA-N Methacrylic acid Chemical compound CC(=C)C(O)=O CERQOIWHTDAKMF-UHFFFAOYSA-N 0.000 description 43
- NIXOWILDQLNWCW-UHFFFAOYSA-N acrylic acid group Chemical group C(C=C)(=O)O NIXOWILDQLNWCW-UHFFFAOYSA-N 0.000 description 41
- 238000011156 evaluation Methods 0.000 description 25
- 239000003795 chemical substances by application Substances 0.000 description 17
- 125000001118 alkylidene group Chemical group 0.000 description 16
- 229920002451 polyvinyl alcohol Polymers 0.000 description 16
- 125000005647 linker group Chemical group 0.000 description 15
- ZWEHNKRNPOVVGH-UHFFFAOYSA-N 2-Butanone Chemical compound CCC(C)=O ZWEHNKRNPOVVGH-UHFFFAOYSA-N 0.000 description 12
- 229920002284 Cellulose triacetate Polymers 0.000 description 11
- NNLVGZFZQQXQNW-ADJNRHBOSA-N [(2r,3r,4s,5r,6s)-4,5-diacetyloxy-3-[(2s,3r,4s,5r,6r)-3,4,5-triacetyloxy-6-(acetyloxymethyl)oxan-2-yl]oxy-6-[(2r,3r,4s,5r,6s)-4,5,6-triacetyloxy-2-(acetyloxymethyl)oxan-3-yl]oxyoxan-2-yl]methyl acetate Chemical compound O([C@@H]1O[C@@H]([C@H]([C@H](OC(C)=O)[C@H]1OC(C)=O)O[C@H]1[C@@H]([C@@H](OC(C)=O)[C@H](OC(C)=O)[C@@H](COC(C)=O)O1)OC(C)=O)COC(=O)C)[C@@H]1[C@@H](COC(C)=O)O[C@@H](OC(C)=O)[C@H](OC(C)=O)[C@H]1OC(C)=O NNLVGZFZQQXQNW-ADJNRHBOSA-N 0.000 description 11
- 239000000654 additive Substances 0.000 description 11
- 230000000694 effects Effects 0.000 description 11
- 150000003254 radicals Chemical class 0.000 description 11
- 239000000758 substrate Substances 0.000 description 11
- 230000000996 additive effect Effects 0.000 description 10
- 150000002148 esters Chemical class 0.000 description 10
- UHOVQNZJYSORNB-UHFFFAOYSA-N Benzene Chemical compound C1=CC=CC=C1 UHOVQNZJYSORNB-UHFFFAOYSA-N 0.000 description 9
- 125000003710 aryl alkyl group Chemical group 0.000 description 9
- 150000004646 arylidenes Chemical group 0.000 description 9
- 125000003178 carboxy group Chemical group [H]OC(*)=O 0.000 description 9
- 238000001035 drying Methods 0.000 description 9
- 239000003960 organic solvent Substances 0.000 description 9
- 150000003839 salts Chemical class 0.000 description 9
- 239000004372 Polyvinyl alcohol Substances 0.000 description 8
- WYURNTSHIVDZCO-UHFFFAOYSA-N Tetrahydrofuran Chemical compound C1CCOC1 WYURNTSHIVDZCO-UHFFFAOYSA-N 0.000 description 8
- 125000003118 aryl group Chemical group 0.000 description 7
- 230000001680 brushing effect Effects 0.000 description 7
- 229920006217 cellulose acetate butyrate Polymers 0.000 description 7
- 230000008859 change Effects 0.000 description 7
- 210000002858 crystal cell Anatomy 0.000 description 7
- 238000004519 manufacturing process Methods 0.000 description 7
- 239000000463 material Substances 0.000 description 7
- RTZKZFJDLAIYFH-UHFFFAOYSA-N Diethyl ether Chemical compound CCOCC RTZKZFJDLAIYFH-UHFFFAOYSA-N 0.000 description 6
- OKKJLVBELUTLKV-UHFFFAOYSA-N Methanol Chemical compound OC OKKJLVBELUTLKV-UHFFFAOYSA-N 0.000 description 6
- VVQNEPGJFQJSBK-UHFFFAOYSA-N Methyl methacrylate Chemical compound COC(=O)C(C)=C VVQNEPGJFQJSBK-UHFFFAOYSA-N 0.000 description 6
- 230000000052 comparative effect Effects 0.000 description 6
- 238000010528 free radical solution polymerization reaction Methods 0.000 description 6
- 125000005395 methacrylic acid group Chemical group 0.000 description 6
- 239000007787 solid Substances 0.000 description 6
- 125000000020 sulfo group Chemical group O=S(=O)([*])O[H] 0.000 description 6
- 238000012719 thermal polymerization Methods 0.000 description 6
- 125000000391 vinyl group Chemical group [H]C([*])=C([H])[H] 0.000 description 6
- 229920002554 vinyl polymer Polymers 0.000 description 6
- XLYOFNOQVPJJNP-UHFFFAOYSA-N water Substances O XLYOFNOQVPJJNP-UHFFFAOYSA-N 0.000 description 6
- CSCPPACGZOOCGX-UHFFFAOYSA-N Acetone Chemical compound CC(C)=O CSCPPACGZOOCGX-UHFFFAOYSA-N 0.000 description 5
- 150000001408 amides Chemical class 0.000 description 5
- 150000001732 carboxylic acid derivatives Chemical class 0.000 description 5
- 229920002678 cellulose Polymers 0.000 description 5
- 238000010438 heat treatment Methods 0.000 description 5
- 239000001257 hydrogen Substances 0.000 description 5
- 229910052739 hydrogen Inorganic materials 0.000 description 5
- 239000001301 oxygen Substances 0.000 description 5
- 229910052760 oxygen Inorganic materials 0.000 description 5
- 230000008569 process Effects 0.000 description 5
- 230000001681 protective effect Effects 0.000 description 5
- 238000011160 research Methods 0.000 description 5
- HEDRZPFGACZZDS-UHFFFAOYSA-N Chloroform Chemical compound ClC(Cl)Cl HEDRZPFGACZZDS-UHFFFAOYSA-N 0.000 description 4
- IAZDPXIOMUYVGZ-UHFFFAOYSA-N Dimethylsulphoxide Chemical compound CS(C)=O IAZDPXIOMUYVGZ-UHFFFAOYSA-N 0.000 description 4
- 229920003171 Poly (ethylene oxide) Polymers 0.000 description 4
- 229920002125 Sokalan® Polymers 0.000 description 4
- QAOWNCQODCNURD-UHFFFAOYSA-N Sulfuric acid Chemical compound OS(O)(=O)=O QAOWNCQODCNURD-UHFFFAOYSA-N 0.000 description 4
- QYKIQEUNHZKYBP-UHFFFAOYSA-N Vinyl ether Chemical class C=COC=C QYKIQEUNHZKYBP-UHFFFAOYSA-N 0.000 description 4
- 235000010724 Wisteria floribunda Nutrition 0.000 description 4
- 150000001350 alkyl halides Chemical class 0.000 description 4
- 229920001971 elastomer Polymers 0.000 description 4
- 230000005611 electricity Effects 0.000 description 4
- 239000012467 final product Substances 0.000 description 4
- 238000005227 gel permeation chromatography Methods 0.000 description 4
- 230000001771 impaired effect Effects 0.000 description 4
- 238000010526 radical polymerization reaction Methods 0.000 description 4
- 238000007127 saponification reaction Methods 0.000 description 4
- YLQBMQCUIZJEEH-UHFFFAOYSA-N tetrahydrofuran Natural products C=1C=COC=1 YLQBMQCUIZJEEH-UHFFFAOYSA-N 0.000 description 4
- 238000007601 warm air drying Methods 0.000 description 4
- UZKWTJUDCOPSNM-UHFFFAOYSA-N 1-ethenoxybutane Chemical compound CCCCOC=C UZKWTJUDCOPSNM-UHFFFAOYSA-N 0.000 description 3
- ZCYVEMRRCGMTRW-UHFFFAOYSA-N 7553-56-2 Chemical group [I] ZCYVEMRRCGMTRW-UHFFFAOYSA-N 0.000 description 3
- 239000004215 Carbon black (E152) Substances 0.000 description 3
- XEKOWRVHYACXOJ-UHFFFAOYSA-N Ethyl acetate Chemical compound CCOC(C)=O XEKOWRVHYACXOJ-UHFFFAOYSA-N 0.000 description 3
- MHAJPDPJQMAIIY-UHFFFAOYSA-N Hydrogen peroxide Chemical compound OO MHAJPDPJQMAIIY-UHFFFAOYSA-N 0.000 description 3
- ABLZXFCXXLZCGV-UHFFFAOYSA-N Phosphorous acid Chemical group OP(O)=O ABLZXFCXXLZCGV-UHFFFAOYSA-N 0.000 description 3
- JUJWROOIHBZHMG-UHFFFAOYSA-N Pyridine Chemical class C1=CC=NC=C1 JUJWROOIHBZHMG-UHFFFAOYSA-N 0.000 description 3
- PPBRXRYQALVLMV-UHFFFAOYSA-N Styrene Chemical compound C=CC1=CC=CC=C1 PPBRXRYQALVLMV-UHFFFAOYSA-N 0.000 description 3
- YXFVVABEGXRONW-UHFFFAOYSA-N Toluene Chemical compound CC1=CC=CC=C1 YXFVVABEGXRONW-UHFFFAOYSA-N 0.000 description 3
- 239000002253 acid Substances 0.000 description 3
- 239000013543 active substance Substances 0.000 description 3
- 125000003545 alkoxy group Chemical group 0.000 description 3
- 238000013459 approach Methods 0.000 description 3
- QVGXLLKOCUKJST-UHFFFAOYSA-N atomic oxygen Chemical compound [O] QVGXLLKOCUKJST-UHFFFAOYSA-N 0.000 description 3
- 230000033228 biological regulation Effects 0.000 description 3
- 230000005540 biological transmission Effects 0.000 description 3
- 230000015572 biosynthetic process Effects 0.000 description 3
- DKPFZGUDAPQIHT-UHFFFAOYSA-N butyl acetate Chemical compound CCCCOC(C)=O DKPFZGUDAPQIHT-UHFFFAOYSA-N 0.000 description 3
- 239000012986 chain transfer agent Substances 0.000 description 3
- 229910052801 chlorine Inorganic materials 0.000 description 3
- 230000002950 deficient Effects 0.000 description 3
- 238000009826 distribution Methods 0.000 description 3
- 239000000975 dye Substances 0.000 description 3
- 125000001495 ethyl group Chemical group [H]C([H])([H])C([H])([H])* 0.000 description 3
- 239000007789 gas Substances 0.000 description 3
- 125000005843 halogen group Chemical group 0.000 description 3
- 229910052740 iodine Inorganic materials 0.000 description 3
- 150000002576 ketones Chemical class 0.000 description 3
- 230000007774 longterm Effects 0.000 description 3
- 239000012528 membrane Substances 0.000 description 3
- VLKZOEOYAKHREP-UHFFFAOYSA-N n-Hexane Chemical compound CCCCCC VLKZOEOYAKHREP-UHFFFAOYSA-N 0.000 description 3
- 238000004321 preservation Methods 0.000 description 3
- CIHOLLKRGTVIJN-UHFFFAOYSA-N tert‐butyl hydroperoxide Chemical compound CC(C)(C)OO CIHOLLKRGTVIJN-UHFFFAOYSA-N 0.000 description 3
- RMVRSNDYEFQCLF-UHFFFAOYSA-N thiophenol Chemical compound SC1=CC=CC=C1 RMVRSNDYEFQCLF-UHFFFAOYSA-N 0.000 description 3
- 238000012546 transfer Methods 0.000 description 3
- JHPBZFOKBAGZBL-UHFFFAOYSA-N (3-hydroxy-2,2,4-trimethylpentyl) 2-methylprop-2-enoate Chemical compound CC(C)C(O)C(C)(C)COC(=O)C(C)=C JHPBZFOKBAGZBL-UHFFFAOYSA-N 0.000 description 2
- UOCLXMDMGBRAIB-UHFFFAOYSA-N 1,1,1-trichloroethane Chemical compound CC(Cl)(Cl)Cl UOCLXMDMGBRAIB-UHFFFAOYSA-N 0.000 description 2
- LIKMAJRDDDTEIG-UHFFFAOYSA-N 1-hexene Chemical compound CCCCC=C LIKMAJRDDDTEIG-UHFFFAOYSA-N 0.000 description 2
- SDJHPPZKZZWAKF-UHFFFAOYSA-N 2,3-dimethylbuta-1,3-diene Chemical compound CC(=C)C(C)=C SDJHPPZKZZWAKF-UHFFFAOYSA-N 0.000 description 2
- BTJPUDCSZVCXFQ-UHFFFAOYSA-N 2,4-diethylthioxanthen-9-one Chemical compound C1=CC=C2C(=O)C3=CC(CC)=CC(CC)=C3SC2=C1 BTJPUDCSZVCXFQ-UHFFFAOYSA-N 0.000 description 2
- IMSODMZESSGVBE-UHFFFAOYSA-N 2-Oxazoline Chemical compound C1CN=CO1 IMSODMZESSGVBE-UHFFFAOYSA-N 0.000 description 2
- LWRBVKNFOYUCNP-UHFFFAOYSA-N 2-methyl-1-(4-methylsulfanylphenyl)-2-morpholin-4-ylpropan-1-one Chemical compound C1=CC(SC)=CC=C1C(=O)C(C)(C)N1CCOCC1 LWRBVKNFOYUCNP-UHFFFAOYSA-N 0.000 description 2
- YEJRWHAVMIAJKC-UHFFFAOYSA-N 4-Butyrolactone Chemical compound O=C1CCCO1 YEJRWHAVMIAJKC-UHFFFAOYSA-N 0.000 description 2
- NIXOWILDQLNWCW-UHFFFAOYSA-M Acrylate Chemical compound [O-]C(=O)C=C NIXOWILDQLNWCW-UHFFFAOYSA-M 0.000 description 2
- 101001028764 Arabidopsis thaliana Mitochondrial phosphate carrier protein 2, mitochondrial Proteins 0.000 description 2
- IJGRMHOSHXDMSA-UHFFFAOYSA-N Atomic nitrogen Chemical compound N#N IJGRMHOSHXDMSA-UHFFFAOYSA-N 0.000 description 2
- KAKZBPTYRLMSJV-UHFFFAOYSA-N Butadiene Chemical compound C=CC=C KAKZBPTYRLMSJV-UHFFFAOYSA-N 0.000 description 2
- SOGAXMICEFXMKE-UHFFFAOYSA-N Butylmethacrylate Chemical compound CCCCOC(=O)C(C)=C SOGAXMICEFXMKE-UHFFFAOYSA-N 0.000 description 2
- YMWUJEATGCHHMB-UHFFFAOYSA-N Dichloromethane Chemical compound ClCCl YMWUJEATGCHHMB-UHFFFAOYSA-N 0.000 description 2
- XTHFKEDIFFGKHM-UHFFFAOYSA-N Dimethoxyethane Chemical compound COCCOC XTHFKEDIFFGKHM-UHFFFAOYSA-N 0.000 description 2
- SXRSQZLOMIGNAQ-UHFFFAOYSA-N Glutaraldehyde Chemical compound O=CCCCC=O SXRSQZLOMIGNAQ-UHFFFAOYSA-N 0.000 description 2
- RRHGJUQNOFWUDK-UHFFFAOYSA-N Isoprene Chemical compound CC(=C)C=C RRHGJUQNOFWUDK-UHFFFAOYSA-N 0.000 description 2
- BAPJBEWLBFYGME-UHFFFAOYSA-N Methyl acrylate Chemical compound COC(=O)C=C BAPJBEWLBFYGME-UHFFFAOYSA-N 0.000 description 2
- NTIZESTWPVYFNL-UHFFFAOYSA-N Methyl isobutyl ketone Chemical compound CC(C)CC(C)=O NTIZESTWPVYFNL-UHFFFAOYSA-N 0.000 description 2
- UIHCLUNTQKBZGK-UHFFFAOYSA-N Methyl isobutyl ketone Natural products CCC(C)C(C)=O UIHCLUNTQKBZGK-UHFFFAOYSA-N 0.000 description 2
- KWYUFKZDYYNOTN-UHFFFAOYSA-M Potassium hydroxide Chemical compound [OH-].[K+] KWYUFKZDYYNOTN-UHFFFAOYSA-M 0.000 description 2
- XBDQKXXYIPTUBI-UHFFFAOYSA-M Propionate Chemical compound CCC([O-])=O XBDQKXXYIPTUBI-UHFFFAOYSA-M 0.000 description 2
- 239000004902 Softening Agent Substances 0.000 description 2
- DAKWPKUUDNSNPN-UHFFFAOYSA-N Trimethylolpropane triacrylate Chemical compound C=CC(=O)OCC(CC)(COC(=O)C=C)COC(=O)C=C DAKWPKUUDNSNPN-UHFFFAOYSA-N 0.000 description 2
- DZBUGLKDJFMEHC-UHFFFAOYSA-N acridine Chemical compound C1=CC=CC2=CC3=CC=CC=C3N=C21 DZBUGLKDJFMEHC-UHFFFAOYSA-N 0.000 description 2
- 150000001336 alkenes Chemical class 0.000 description 2
- 125000005250 alkyl acrylate group Chemical group 0.000 description 2
- XYLMUPLGERFSHI-UHFFFAOYSA-N alpha-Methylstyrene Chemical compound CC(=C)C1=CC=CC=C1 XYLMUPLGERFSHI-UHFFFAOYSA-N 0.000 description 2
- FUSUHKVFWTUUBE-UHFFFAOYSA-N buten-2-one Chemical compound CC(=O)C=C FUSUHKVFWTUUBE-UHFFFAOYSA-N 0.000 description 2
- 125000002091 cationic group Chemical group 0.000 description 2
- 238000006243 chemical reaction Methods 0.000 description 2
- 125000001309 chloro group Chemical group Cl* 0.000 description 2
- 230000001419 dependent effect Effects 0.000 description 2
- ZQMIGQNCOMNODD-UHFFFAOYSA-N diacetyl peroxide Chemical compound CC(=O)OOC(C)=O ZQMIGQNCOMNODD-UHFFFAOYSA-N 0.000 description 2
- 150000001993 dienes Chemical class 0.000 description 2
- 150000005690 diesters Chemical class 0.000 description 2
- HRKQOINLCJTGBK-UHFFFAOYSA-N dihydroxidosulfur Chemical compound OSO HRKQOINLCJTGBK-UHFFFAOYSA-N 0.000 description 2
- WNAHIZMDSQCWRP-UHFFFAOYSA-N dodecane-1-thiol Chemical compound CCCCCCCCCCCCS WNAHIZMDSQCWRP-UHFFFAOYSA-N 0.000 description 2
- FJKIXWOMBXYWOQ-UHFFFAOYSA-N ethenoxyethane Chemical compound CCOC=C FJKIXWOMBXYWOQ-UHFFFAOYSA-N 0.000 description 2
- 125000000524 functional group Chemical group 0.000 description 2
- 239000003292 glue Substances 0.000 description 2
- 229920001519 homopolymer Polymers 0.000 description 2
- 229930195733 hydrocarbon Natural products 0.000 description 2
- 150000002430 hydrocarbons Chemical class 0.000 description 2
- 239000011630 iodine Substances 0.000 description 2
- 230000007246 mechanism Effects 0.000 description 2
- QSHDDOUJBYECFT-UHFFFAOYSA-N mercury Chemical compound [Hg] QSHDDOUJBYECFT-UHFFFAOYSA-N 0.000 description 2
- 229910052753 mercury Inorganic materials 0.000 description 2
- 229940043265 methyl isobutyl ketone Drugs 0.000 description 2
- 239000003595 mist Substances 0.000 description 2
- 230000004048 modification Effects 0.000 description 2
- 238000012986 modification Methods 0.000 description 2
- 125000000896 monocarboxylic acid group Chemical group 0.000 description 2
- 238000006386 neutralization reaction Methods 0.000 description 2
- 150000002825 nitriles Chemical class 0.000 description 2
- 229910052757 nitrogen Inorganic materials 0.000 description 2
- JFNLZVQOOSMTJK-KNVOCYPGSA-N norbornene Chemical compound C1[C@@H]2CC[C@H]1C=C2 JFNLZVQOOSMTJK-KNVOCYPGSA-N 0.000 description 2
- 150000002894 organic compounds Chemical class 0.000 description 2
- PNJWIWWMYCMZRO-UHFFFAOYSA-N pent‐4‐en‐2‐one Natural products CC(=O)CC=C PNJWIWWMYCMZRO-UHFFFAOYSA-N 0.000 description 2
- 125000001997 phenyl group Chemical group [H]C1=C([H])C([H])=C(*)C([H])=C1[H] 0.000 description 2
- 125000000843 phenylene group Chemical group C1(=C(C=CC=C1)*)* 0.000 description 2
- 125000000394 phosphonato group Chemical group [O-]P([O-])(*)=O 0.000 description 2
- DCKVNWZUADLDEH-UHFFFAOYSA-N sec-butyl acetate Chemical compound CCC(C)OC(C)=O DCKVNWZUADLDEH-UHFFFAOYSA-N 0.000 description 2
- 230000001235 sensitizing effect Effects 0.000 description 2
- 239000002904 solvent Substances 0.000 description 2
- 239000007858 starting material Substances 0.000 description 2
- ISXSCDLOGDJUNJ-UHFFFAOYSA-N tert-butyl prop-2-enoate Chemical compound CC(C)(C)OC(=O)C=C ISXSCDLOGDJUNJ-UHFFFAOYSA-N 0.000 description 2
- BFKJFAAPBSQJPD-UHFFFAOYSA-N tetrafluoroethene Chemical group FC(F)=C(F)F BFKJFAAPBSQJPD-UHFFFAOYSA-N 0.000 description 2
- 238000009281 ultraviolet germicidal irradiation Methods 0.000 description 2
- 229920001567 vinyl ester resin Polymers 0.000 description 2
- UXOFRFPVWFJROK-UHFFFAOYSA-N (2-ethenylphenyl)methanol Chemical compound OCC1=CC=CC=C1C=C UXOFRFPVWFJROK-UHFFFAOYSA-N 0.000 description 1
- PMJHHCWVYXUKFD-SNAWJCMRSA-N (E)-1,3-pentadiene Chemical compound C\C=C\C=C PMJHHCWVYXUKFD-SNAWJCMRSA-N 0.000 description 1
- BQCIDUSAKPWEOX-UHFFFAOYSA-N 1,1-Difluoroethene Chemical compound FC(F)=C BQCIDUSAKPWEOX-UHFFFAOYSA-N 0.000 description 1
- SKYXLDSRLNRAPS-UHFFFAOYSA-N 1,2,4-trifluoro-5-methoxybenzene Chemical compound COC1=CC(F)=C(F)C=C1F SKYXLDSRLNRAPS-UHFFFAOYSA-N 0.000 description 1
- RYHBNJHYFVUHQT-UHFFFAOYSA-N 1,4-Dioxane Chemical compound C1COCCO1 RYHBNJHYFVUHQT-UHFFFAOYSA-N 0.000 description 1
- UICXTANXZJJIBC-UHFFFAOYSA-N 1-(1-hydroperoxycyclohexyl)peroxycyclohexan-1-ol Chemical compound C1CCCCC1(O)OOC1(OO)CCCCC1 UICXTANXZJJIBC-UHFFFAOYSA-N 0.000 description 1
- ZRZHXNCATOYMJH-UHFFFAOYSA-N 1-(chloromethyl)-4-ethenylbenzene Chemical compound ClCC1=CC=C(C=C)C=C1 ZRZHXNCATOYMJH-UHFFFAOYSA-N 0.000 description 1
- VMKOFRJSULQZRM-UHFFFAOYSA-N 1-bromooctane Chemical class CCCCCCCCBr VMKOFRJSULQZRM-UHFFFAOYSA-N 0.000 description 1
- QTKWLGPILKQVJB-UHFFFAOYSA-N 1-buta-1,3-dienylnaphthalene Chemical compound C1=CC=C2C(C=CC=C)=CC=CC2=C1 QTKWLGPILKQVJB-UHFFFAOYSA-N 0.000 description 1
- DURPTKYDGMDSBL-UHFFFAOYSA-N 1-butoxybutane Chemical compound CCCCOCCCC DURPTKYDGMDSBL-UHFFFAOYSA-N 0.000 description 1
- PCPYTNCQOSFKGG-UHFFFAOYSA-N 1-chlorobuta-1,3-diene Chemical class ClC=CC=C PCPYTNCQOSFKGG-UHFFFAOYSA-N 0.000 description 1
- OZCMOJQQLBXBKI-UHFFFAOYSA-N 1-ethenoxy-2-methylpropane Chemical compound CC(C)COC=C OZCMOJQQLBXBKI-UHFFFAOYSA-N 0.000 description 1
- LAYAKLSFVAPMEL-UHFFFAOYSA-N 1-ethenoxydodecane Chemical compound CCCCCCCCCCCCOC=C LAYAKLSFVAPMEL-UHFFFAOYSA-N 0.000 description 1
- YAOJJEJGPZRYJF-UHFFFAOYSA-N 1-ethenoxyhexane Chemical compound CCCCCCOC=C YAOJJEJGPZRYJF-UHFFFAOYSA-N 0.000 description 1
- XXCVIFJHBFNFBO-UHFFFAOYSA-N 1-ethenoxyoctane Chemical compound CCCCCCCCOC=C XXCVIFJHBFNFBO-UHFFFAOYSA-N 0.000 description 1
- IOSXLUZXMXORMX-UHFFFAOYSA-N 1-ethenoxypentane Chemical compound CCCCCOC=C IOSXLUZXMXORMX-UHFFFAOYSA-N 0.000 description 1
- OVGRCEFMXPHEBL-UHFFFAOYSA-N 1-ethenoxypropane Chemical compound CCCOC=C OVGRCEFMXPHEBL-UHFFFAOYSA-N 0.000 description 1
- LMAUULKNZLEMGN-UHFFFAOYSA-N 1-ethyl-3,5-dimethylbenzene Chemical compound CCC1=CC(C)=CC(C)=C1 LMAUULKNZLEMGN-UHFFFAOYSA-N 0.000 description 1
- XLPJNCYCZORXHG-UHFFFAOYSA-N 1-morpholin-4-ylprop-2-en-1-one Chemical compound C=CC(=O)N1CCOCC1 XLPJNCYCZORXHG-UHFFFAOYSA-N 0.000 description 1
- AUXIEQKHXAYAHG-UHFFFAOYSA-N 1-phenylcyclohexane-1-carbonitrile Chemical class C=1C=CC=CC=1C1(C#N)CCCCC1 AUXIEQKHXAYAHG-UHFFFAOYSA-N 0.000 description 1
- KUIZKZHDMPERHR-UHFFFAOYSA-N 1-phenylprop-2-en-1-one Chemical compound C=CC(=O)C1=CC=CC=C1 KUIZKZHDMPERHR-UHFFFAOYSA-N 0.000 description 1
- IGGDKDTUCAWDAN-UHFFFAOYSA-N 1-vinylnaphthalene Chemical compound C1=CC=C2C(C=C)=CC=CC2=C1 IGGDKDTUCAWDAN-UHFFFAOYSA-N 0.000 description 1
- VEPOHXYIFQMVHW-XOZOLZJESA-N 2,3-dihydroxybutanedioic acid (2S,3S)-3,4-dimethyl-2-phenylmorpholine Chemical compound OC(C(O)C(O)=O)C(O)=O.C[C@H]1[C@@H](OCCN1C)c1ccccc1 VEPOHXYIFQMVHW-XOZOLZJESA-N 0.000 description 1
- OVSKIKFHRZPJSS-UHFFFAOYSA-N 2,4-D Chemical compound OC(=O)COC1=CC=C(Cl)C=C1Cl OVSKIKFHRZPJSS-UHFFFAOYSA-N 0.000 description 1
- LCPVQAHEFVXVKT-UHFFFAOYSA-N 2-(2,4-difluorophenoxy)pyridin-3-amine Chemical compound NC1=CC=CN=C1OC1=CC=C(F)C=C1F LCPVQAHEFVXVKT-UHFFFAOYSA-N 0.000 description 1
- XMNIXWIUMCBBBL-UHFFFAOYSA-N 2-(2-phenylpropan-2-ylperoxy)propan-2-ylbenzene Chemical compound C=1C=CC=CC=1C(C)(C)OOC(C)(C)C1=CC=CC=C1 XMNIXWIUMCBBBL-UHFFFAOYSA-N 0.000 description 1
- OEPOKWHJYJXUGD-UHFFFAOYSA-N 2-(3-phenylmethoxyphenyl)-1,3-thiazole-4-carbaldehyde Chemical compound O=CC1=CSC(C=2C=C(OCC=3C=CC=CC=3)C=CC=2)=N1 OEPOKWHJYJXUGD-UHFFFAOYSA-N 0.000 description 1
- WYGWHHGCAGTUCH-UHFFFAOYSA-N 2-[(2-cyano-4-methylpentan-2-yl)diazenyl]-2,4-dimethylpentanenitrile Chemical compound CC(C)CC(C)(C#N)N=NC(C)(C#N)CC(C)C WYGWHHGCAGTUCH-UHFFFAOYSA-N 0.000 description 1
- DADINJSQBPUGEI-UHFFFAOYSA-N 2-buta-1,3-dienylnaphthalene Chemical compound C1=CC=CC2=CC(C=CC=C)=CC=C21 DADINJSQBPUGEI-UHFFFAOYSA-N 0.000 description 1
- AEPWOCLBLLCOGZ-UHFFFAOYSA-N 2-cyanoethyl prop-2-enoate Chemical compound C=CC(=O)OCCC#N AEPWOCLBLLCOGZ-UHFFFAOYSA-N 0.000 description 1
- PGYJSURPYAAOMM-UHFFFAOYSA-N 2-ethenoxy-2-methylpropane Chemical compound CC(C)(C)OC=C PGYJSURPYAAOMM-UHFFFAOYSA-N 0.000 description 1
- BQHQZFUAEAVJRE-UHFFFAOYSA-N 2-fluorobuta-1,3-diene Chemical compound FC(=C)C=C BQHQZFUAEAVJRE-UHFFFAOYSA-N 0.000 description 1
- WFUGQJXVXHBTEM-UHFFFAOYSA-N 2-hydroperoxy-2-(2-hydroperoxybutan-2-ylperoxy)butane Chemical compound CCC(C)(OO)OOC(C)(CC)OO WFUGQJXVXHBTEM-UHFFFAOYSA-N 0.000 description 1
- CTHJQRHPNQEPAB-UHFFFAOYSA-N 2-methoxyethenylbenzene Chemical compound COC=CC1=CC=CC=C1 CTHJQRHPNQEPAB-UHFFFAOYSA-N 0.000 description 1
- AIDLAEPHWROGFI-UHFFFAOYSA-N 2-methylbenzene-1,3-dicarboxylic acid Chemical compound CC1=C(C(O)=O)C=CC=C1C(O)=O AIDLAEPHWROGFI-UHFFFAOYSA-N 0.000 description 1
- RUMACXVDVNRZJZ-UHFFFAOYSA-N 2-methylpropyl 2-methylprop-2-enoate Chemical compound CC(C)COC(=O)C(C)=C RUMACXVDVNRZJZ-UHFFFAOYSA-N 0.000 description 1
- CFVWNXQPGQOHRJ-UHFFFAOYSA-N 2-methylpropyl prop-2-enoate Chemical compound CC(C)COC(=O)C=C CFVWNXQPGQOHRJ-UHFFFAOYSA-N 0.000 description 1
- WLPATYNQCGVFFH-UHFFFAOYSA-N 2-phenylbenzonitrile Chemical class N#CC1=CC=CC=C1C1=CC=CC=C1 WLPATYNQCGVFFH-UHFFFAOYSA-N 0.000 description 1
- FMFHUEMLVAIBFI-UHFFFAOYSA-N 2-phenylethenyl acetate Chemical compound CC(=O)OC=CC1=CC=CC=C1 FMFHUEMLVAIBFI-UHFFFAOYSA-N 0.000 description 1
- FDMFUZHCIRHGRG-UHFFFAOYSA-N 3,3,3-trifluoroprop-1-ene Chemical compound FC(F)(F)C=C FDMFUZHCIRHGRG-UHFFFAOYSA-N 0.000 description 1
- DXIJHCSGLOHNES-UHFFFAOYSA-N 3,3-dimethylbut-1-enylbenzene Chemical compound CC(C)(C)C=CC1=CC=CC=C1 DXIJHCSGLOHNES-UHFFFAOYSA-N 0.000 description 1
- MKARNSWMMBGSHX-UHFFFAOYSA-N 3,5-dimethylaniline Chemical compound CC1=CC(C)=CC(N)=C1 MKARNSWMMBGSHX-UHFFFAOYSA-N 0.000 description 1
- FRIBMENBGGCKPD-UHFFFAOYSA-N 3-(2,3-dimethoxyphenyl)prop-2-enal Chemical compound COC1=CC=CC(C=CC=O)=C1OC FRIBMENBGGCKPD-UHFFFAOYSA-N 0.000 description 1
- DSSAWHFZNWVJEC-UHFFFAOYSA-N 3-(ethenoxymethyl)heptane Chemical compound CCCCC(CC)COC=C DSSAWHFZNWVJEC-UHFFFAOYSA-N 0.000 description 1
- MWKAGZWJHCTVJY-UHFFFAOYSA-N 3-hydroxyoctadecan-2-one Chemical compound CCCCCCCCCCCCCCCC(O)C(C)=O MWKAGZWJHCTVJY-UHFFFAOYSA-N 0.000 description 1
- YHQXBTXEYZIYOV-UHFFFAOYSA-N 3-methylbut-1-ene Chemical group CC(C)C=C YHQXBTXEYZIYOV-UHFFFAOYSA-N 0.000 description 1
- RYHAZBFRQQCSOJ-UHFFFAOYSA-N 5-methoxypent-1-en-3-one Chemical compound COCCC(=O)C=C RYHAZBFRQQCSOJ-UHFFFAOYSA-N 0.000 description 1
- HRPVXLWXLXDGHG-UHFFFAOYSA-N Acrylamide Chemical class NC(=O)C=C HRPVXLWXLXDGHG-UHFFFAOYSA-N 0.000 description 1
- NLHHRLWOUZZQLW-UHFFFAOYSA-N Acrylonitrile Chemical compound C=CC#N NLHHRLWOUZZQLW-UHFFFAOYSA-N 0.000 description 1
- QGZKDVFQNNGYKY-UHFFFAOYSA-O Ammonium Chemical compound [NH4+] QGZKDVFQNNGYKY-UHFFFAOYSA-O 0.000 description 1
- 239000004160 Ammonium persulphate Substances 0.000 description 1
- 239000004342 Benzoyl peroxide Substances 0.000 description 1
- OMPJBNCRMGITSC-UHFFFAOYSA-N Benzoylperoxide Chemical compound C=1C=CC=CC=1C(=O)OOC(=O)C1=CC=CC=C1 OMPJBNCRMGITSC-UHFFFAOYSA-N 0.000 description 1
- WRJVGCPJPJXNKH-UHFFFAOYSA-N C(C)(=O)OC=C.COCC(=O)O Chemical compound C(C)(=O)OC=C.COCC(=O)O WRJVGCPJPJXNKH-UHFFFAOYSA-N 0.000 description 1
- CBLBFWLIKSCGPX-UHFFFAOYSA-N C(C)(=O)OC=C.[N+](=O)([O-])C=1C=C(C(=O)O)C=CC1 Chemical compound C(C)(=O)OC=C.[N+](=O)([O-])C=1C=C(C(=O)O)C=CC1 CBLBFWLIKSCGPX-UHFFFAOYSA-N 0.000 description 1
- XYKSQZIMVHYWIF-UHFFFAOYSA-N C(C)(C)(C)OO.C(CCCC)(=O)O Chemical compound C(C)(C)(C)OO.C(CCCC)(=O)O XYKSQZIMVHYWIF-UHFFFAOYSA-N 0.000 description 1
- LZTAFOFVUWLZLV-UHFFFAOYSA-N C(O)CN.CN(C)C Chemical compound C(O)CN.CN(C)C LZTAFOFVUWLZLV-UHFFFAOYSA-N 0.000 description 1
- WHGUTLYXFNCDTE-UHFFFAOYSA-N C1(=CC=CC=C1)S.C(CCCCCCCC)C1=CC=CC=C1 Chemical compound C1(=CC=CC=C1)S.C(CCCCCCCC)C1=CC=CC=C1 WHGUTLYXFNCDTE-UHFFFAOYSA-N 0.000 description 1
- 229920002134 Carboxymethyl cellulose Polymers 0.000 description 1
- 229920008347 Cellulose acetate propionate Polymers 0.000 description 1
- XDTMQSROBMDMFD-UHFFFAOYSA-N Cyclohexane Chemical compound C1CCCCC1 XDTMQSROBMDMFD-UHFFFAOYSA-N 0.000 description 1
- VGGSQFUCUMXWEO-UHFFFAOYSA-N Ethene Chemical compound C=C VGGSQFUCUMXWEO-UHFFFAOYSA-N 0.000 description 1
- JIGUQPWFLRLWPJ-UHFFFAOYSA-N Ethyl acrylate Chemical compound CCOC(=O)C=C JIGUQPWFLRLWPJ-UHFFFAOYSA-N 0.000 description 1
- UEXCJVNBTNXOEH-UHFFFAOYSA-N Ethynylbenzene Chemical group C#CC1=CC=CC=C1 UEXCJVNBTNXOEH-UHFFFAOYSA-N 0.000 description 1
- 229920002153 Hydroxypropyl cellulose Polymers 0.000 description 1
- VQTUBCCKSQIDNK-UHFFFAOYSA-N Isobutene Chemical group CC(C)=C VQTUBCCKSQIDNK-UHFFFAOYSA-N 0.000 description 1
- KFZMGEQAYNKOFK-UHFFFAOYSA-N Isopropanol Chemical compound CC(C)O KFZMGEQAYNKOFK-UHFFFAOYSA-N 0.000 description 1
- YIVJZNGAASQVEM-UHFFFAOYSA-N Lauroyl peroxide Chemical compound CCCCCCCCCCCC(=O)OOC(=O)CCCCCCCCCCC YIVJZNGAASQVEM-UHFFFAOYSA-N 0.000 description 1
- 229920000106 Liquid crystal polymer Polymers 0.000 description 1
- GYCMBHHDWRMZGG-UHFFFAOYSA-N Methylacrylonitrile Chemical compound CC(=C)C#N GYCMBHHDWRMZGG-UHFFFAOYSA-N 0.000 description 1
- SUAKHGWARZSWIH-UHFFFAOYSA-N N,N‐diethylformamide Chemical compound CCN(CC)C=O SUAKHGWARZSWIH-UHFFFAOYSA-N 0.000 description 1
- LRHPLDYGYMQRHN-UHFFFAOYSA-N N-Butanol Chemical class CCCCO LRHPLDYGYMQRHN-UHFFFAOYSA-N 0.000 description 1
- WHNWPMSKXPGLAX-UHFFFAOYSA-N N-Vinyl-2-pyrrolidone Chemical compound C=CN1CCCC1=O WHNWPMSKXPGLAX-UHFFFAOYSA-N 0.000 description 1
- BVMWIXWOIGJRGE-UHFFFAOYSA-N NP(O)=O Chemical compound NP(O)=O BVMWIXWOIGJRGE-UHFFFAOYSA-N 0.000 description 1
- 241001597008 Nomeidae Species 0.000 description 1
- PCNDJXKNXGMECE-UHFFFAOYSA-N Phenazine Natural products C1=CC=CC2=NC3=CC=CC=C3N=C21 PCNDJXKNXGMECE-UHFFFAOYSA-N 0.000 description 1
- WCUXLLCKKVVCTQ-UHFFFAOYSA-M Potassium chloride Chemical compound [Cl-].[K+] WCUXLLCKKVVCTQ-UHFFFAOYSA-M 0.000 description 1
- 239000004159 Potassium persulphate Substances 0.000 description 1
- 241000254062 Scarabaeidae Species 0.000 description 1
- LCXXNKZQVOXMEH-UHFFFAOYSA-N Tetrahydrofurfuryl methacrylate Chemical compound CC(=C)C(=O)OCC1CCCO1 LCXXNKZQVOXMEH-UHFFFAOYSA-N 0.000 description 1
- XTXRWKRVRITETP-UHFFFAOYSA-N Vinyl acetate Chemical compound CC(=O)OC=C XTXRWKRVRITETP-UHFFFAOYSA-N 0.000 description 1
- BZHJMEDXRYGGRV-UHFFFAOYSA-N Vinyl chloride Chemical compound ClC=C BZHJMEDXRYGGRV-UHFFFAOYSA-N 0.000 description 1
- 238000010521 absorption reaction Methods 0.000 description 1
- KXKVLQRXCPHEJC-UHFFFAOYSA-N acetic acid trimethyl ester Natural products COC(C)=O KXKVLQRXCPHEJC-UHFFFAOYSA-N 0.000 description 1
- 230000002378 acidificating effect Effects 0.000 description 1
- 229920006222 acrylic ester polymer Polymers 0.000 description 1
- 125000002252 acyl group Chemical group 0.000 description 1
- 125000004423 acyloxy group Chemical group 0.000 description 1
- 150000001298 alcohols Chemical class 0.000 description 1
- 125000004453 alkoxycarbonyl group Chemical group 0.000 description 1
- 125000004390 alkyl sulfonyl group Chemical group 0.000 description 1
- 125000004414 alkyl thio group Chemical group 0.000 description 1
- 125000003368 amide group Chemical group 0.000 description 1
- 125000004397 aminosulfonyl group Chemical group NS(=O)(=O)* 0.000 description 1
- ROOXNKNUYICQNP-UHFFFAOYSA-N ammonium persulfate Chemical compound [NH4+].[NH4+].[O-]S(=O)(=O)OOS([O-])(=O)=O ROOXNKNUYICQNP-UHFFFAOYSA-N 0.000 description 1
- 235000019395 ammonium persulphate Nutrition 0.000 description 1
- 150000003863 ammonium salts Chemical class 0.000 description 1
- 150000004945 aromatic hydrocarbons Chemical group 0.000 description 1
- 125000005110 aryl thio group Chemical group 0.000 description 1
- 125000004104 aryloxy group Chemical group 0.000 description 1
- 125000005337 azoxy group Chemical group [N+]([O-])(=N*)* 0.000 description 1
- 150000001555 benzenes Chemical class 0.000 description 1
- 150000001558 benzoic acid derivatives Chemical class 0.000 description 1
- 125000003236 benzoyl group Chemical group [H]C1=C([H])C([H])=C(C([H])=C1[H])C(*)=O 0.000 description 1
- 235000019400 benzoyl peroxide Nutrition 0.000 description 1
- 229960003328 benzoyl peroxide Drugs 0.000 description 1
- AOJOEFVRHOZDFN-UHFFFAOYSA-N benzyl 2-methylprop-2-enoate Chemical compound CC(=C)C(=O)OCC1=CC=CC=C1 AOJOEFVRHOZDFN-UHFFFAOYSA-N 0.000 description 1
- GCTPMLUUWLLESL-UHFFFAOYSA-N benzyl prop-2-enoate Chemical compound C=CC(=O)OCC1=CC=CC=C1 GCTPMLUUWLLESL-UHFFFAOYSA-N 0.000 description 1
- JRXXLCKWQFKACW-UHFFFAOYSA-N biphenylacetylene Chemical group C1=CC=CC=C1C#CC1=CC=CC=C1 JRXXLCKWQFKACW-UHFFFAOYSA-N 0.000 description 1
- ZLSMCQSGRWNEGX-UHFFFAOYSA-N bis(4-aminophenyl)methanone Chemical compound C1=CC(N)=CC=C1C(=O)C1=CC=C(N)C=C1 ZLSMCQSGRWNEGX-UHFFFAOYSA-N 0.000 description 1
- 238000009835 boiling Methods 0.000 description 1
- GDTBXPJZTBHREO-UHFFFAOYSA-N bromine Substances BrBr GDTBXPJZTBHREO-UHFFFAOYSA-N 0.000 description 1
- 229910052794 bromium Inorganic materials 0.000 description 1
- 125000001246 bromo group Chemical group Br* 0.000 description 1
- 238000012662 bulk polymerization Methods 0.000 description 1
- MPMBRWOOISTHJV-UHFFFAOYSA-N but-1-enylbenzene Chemical compound CCC=CC1=CC=CC=C1 MPMBRWOOISTHJV-UHFFFAOYSA-N 0.000 description 1
- 125000006226 butoxyethyl group Chemical group 0.000 description 1
- 229940043232 butyl acetate Drugs 0.000 description 1
- CQEYYJKEWSMYFG-UHFFFAOYSA-N butyl acrylate Chemical compound CCCCOC(=O)C=C CQEYYJKEWSMYFG-UHFFFAOYSA-N 0.000 description 1
- 230000006242 butyrylation Effects 0.000 description 1
- 238000010514 butyrylation reaction Methods 0.000 description 1
- 229910052799 carbon Inorganic materials 0.000 description 1
- 239000001768 carboxy methyl cellulose Substances 0.000 description 1
- 235000010948 carboxy methyl cellulose Nutrition 0.000 description 1
- 239000008112 carboxymethyl-cellulose Substances 0.000 description 1
- 238000005266 casting Methods 0.000 description 1
- 239000003153 chemical reaction reagent Substances 0.000 description 1
- 239000000460 chlorine Substances 0.000 description 1
- UUAGAQFQZIEFAH-UHFFFAOYSA-N chlorotrifluoroethylene Chemical group FC(F)=C(F)Cl UUAGAQFQZIEFAH-UHFFFAOYSA-N 0.000 description 1
- 239000008199 coating composition Substances 0.000 description 1
- 239000000084 colloidal system Substances 0.000 description 1
- 230000003750 conditioning effect Effects 0.000 description 1
- 239000000470 constituent Substances 0.000 description 1
- 150000004696 coordination complex Chemical class 0.000 description 1
- LDHQCZJRKDOVOX-NSCUHMNNSA-N crotonic acid Chemical compound C\C=C\C(O)=O LDHQCZJRKDOVOX-NSCUHMNNSA-N 0.000 description 1
- 239000013078 crystal Substances 0.000 description 1
- JHIVVAPYMSGYDF-UHFFFAOYSA-N cyclohexanone Chemical compound O=C1CCCCC1 JHIVVAPYMSGYDF-UHFFFAOYSA-N 0.000 description 1
- OIWOHHBRDFKZNC-UHFFFAOYSA-N cyclohexyl 2-methylprop-2-enoate Chemical compound CC(=C)C(=O)OC1CCCCC1 OIWOHHBRDFKZNC-UHFFFAOYSA-N 0.000 description 1
- KBLWLMPSVYBVDK-UHFFFAOYSA-N cyclohexyl prop-2-enoate Chemical compound C=CC(=O)OC1CCCCC1 KBLWLMPSVYBVDK-UHFFFAOYSA-N 0.000 description 1
- VTXVGVNLYGSIAR-UHFFFAOYSA-N decane-1-thiol Chemical compound CCCCCCCCCCS VTXVGVNLYGSIAR-UHFFFAOYSA-N 0.000 description 1
- 238000000354 decomposition reaction Methods 0.000 description 1
- 238000013461 design Methods 0.000 description 1
- LSXWFXONGKSEMY-UHFFFAOYSA-N di-tert-butyl peroxide Chemical compound CC(C)(C)OOC(C)(C)C LSXWFXONGKSEMY-UHFFFAOYSA-N 0.000 description 1
- 239000012933 diacyl peroxide Substances 0.000 description 1
- JBSLOWBPDRZSMB-FPLPWBNLSA-N dibutyl (z)-but-2-enedioate Chemical compound CCCCOC(=O)\C=C/C(=O)OCCCC JBSLOWBPDRZSMB-FPLPWBNLSA-N 0.000 description 1
- OGVXYCDTRMDYOG-UHFFFAOYSA-N dibutyl 2-methylidenebutanedioate Chemical compound CCCCOC(=O)CC(=C)C(=O)OCCCC OGVXYCDTRMDYOG-UHFFFAOYSA-N 0.000 description 1
- ZWWQRMFIZFPUAA-UHFFFAOYSA-N dimethyl 2-methylidenebutanedioate Chemical compound COC(=O)CC(=C)C(=O)OC ZWWQRMFIZFPUAA-UHFFFAOYSA-N 0.000 description 1
- LDCRTTXIJACKKU-ONEGZZNKSA-N dimethyl fumarate Chemical compound COC(=O)\C=C\C(=O)OC LDCRTTXIJACKKU-ONEGZZNKSA-N 0.000 description 1
- 229960004419 dimethyl fumarate Drugs 0.000 description 1
- LDCRTTXIJACKKU-ARJAWSKDSA-N dimethyl maleate Chemical compound COC(=O)\C=C/C(=O)OC LDCRTTXIJACKKU-ARJAWSKDSA-N 0.000 description 1
- 238000004090 dissolution Methods 0.000 description 1
- 238000010556 emulsion polymerization method Methods 0.000 description 1
- 125000003700 epoxy group Chemical group 0.000 description 1
- CMXXMZYAYIHTBU-UHFFFAOYSA-N ethenyl 2-hydroxybenzoate Chemical compound OC1=CC=CC=C1C(=O)OC=C CMXXMZYAYIHTBU-UHFFFAOYSA-N 0.000 description 1
- HLMAOUJZLUOWAH-UHFFFAOYSA-N ethenyl acetate 2-methylpropanoic acid Chemical compound C(=C)OC(C)=O.C(C(C)C)(=O)O HLMAOUJZLUOWAH-UHFFFAOYSA-N 0.000 description 1
- QGEOKXWFGANCJL-UHFFFAOYSA-N ethenyl acetate;hydrochloride Chemical compound Cl.CC(=O)OC=C QGEOKXWFGANCJL-UHFFFAOYSA-N 0.000 description 1
- MEGHWIAOTJPCHQ-UHFFFAOYSA-N ethenyl butanoate Chemical compound CCCC(=O)OC=C MEGHWIAOTJPCHQ-UHFFFAOYSA-N 0.000 description 1
- 150000002170 ethers Chemical class 0.000 description 1
- SUPCQIBBMFXVTL-UHFFFAOYSA-N ethyl 2-methylprop-2-enoate Chemical compound CCOC(=O)C(C)=C SUPCQIBBMFXVTL-UHFFFAOYSA-N 0.000 description 1
- 235000019439 ethyl acetate Nutrition 0.000 description 1
- 238000002474 experimental method Methods 0.000 description 1
- 238000001125 extrusion Methods 0.000 description 1
- 150000002221 fluorine Chemical class 0.000 description 1
- 239000004811 fluoropolymer Substances 0.000 description 1
- 229920002313 fluoropolymer Polymers 0.000 description 1
- 238000011010 flushing procedure Methods 0.000 description 1
- 239000011521 glass Substances 0.000 description 1
- 230000009477 glass transition Effects 0.000 description 1
- 210000003128 head Anatomy 0.000 description 1
- 125000004836 hexamethylene group Chemical group [H]C([H])([*:2])C([H])([H])C([H])([H])C([H])([H])C([H])([H])C([H])([H])[*:1] 0.000 description 1
- FUZZWVXGSFPDMH-UHFFFAOYSA-M hexanoate Chemical compound CCCCCC([O-])=O FUZZWVXGSFPDMH-UHFFFAOYSA-M 0.000 description 1
- XMBWDFGMSWQBCA-UHFFFAOYSA-N hydrogen iodide Chemical compound I XMBWDFGMSWQBCA-UHFFFAOYSA-N 0.000 description 1
- 239000001863 hydroxypropyl cellulose Substances 0.000 description 1
- 235000010977 hydroxypropyl cellulose Nutrition 0.000 description 1
- CBFCDTFDPHXCNY-UHFFFAOYSA-N icosane Chemical compound CCCCCCCCCCCCCCCCCCCC CBFCDTFDPHXCNY-UHFFFAOYSA-N 0.000 description 1
- 230000008676 import Effects 0.000 description 1
- 230000002779 inactivation Effects 0.000 description 1
- 125000003454 indenyl group Chemical class C1(C=CC2=CC=CC=C12)* 0.000 description 1
- 239000004615 ingredient Substances 0.000 description 1
- 239000003999 initiator Substances 0.000 description 1
- 229910003002 lithium salt Inorganic materials 0.000 description 1
- 159000000002 lithium salts Chemical class 0.000 description 1
- HZVOZRGWRWCICA-UHFFFAOYSA-N methanediyl Chemical compound [CH2] HZVOZRGWRWCICA-UHFFFAOYSA-N 0.000 description 1
- 229920000609 methyl cellulose Polymers 0.000 description 1
- XJRBAMWJDBPFIM-UHFFFAOYSA-N methyl vinyl ether Chemical compound COC=C XJRBAMWJDBPFIM-UHFFFAOYSA-N 0.000 description 1
- 239000001923 methylcellulose Substances 0.000 description 1
- MHNNAWXXUZQSNM-UHFFFAOYSA-N methylethylethylene Natural products CCC(C)=C MHNNAWXXUZQSNM-UHFFFAOYSA-N 0.000 description 1
- OVHHHVAVHBHXAK-UHFFFAOYSA-N n,n-diethylprop-2-enamide Chemical class CCN(CC)C(=O)C=C OVHHHVAVHBHXAK-UHFFFAOYSA-N 0.000 description 1
- OHLHOLGYGRKZMU-UHFFFAOYSA-N n-benzylprop-2-enamide Chemical class C=CC(=O)NCC1=CC=CC=C1 OHLHOLGYGRKZMU-UHFFFAOYSA-N 0.000 description 1
- PMJFVKWBSWWAKT-UHFFFAOYSA-N n-cyclohexylprop-2-enamide Chemical class C=CC(=O)NC1CCCCC1 PMJFVKWBSWWAKT-UHFFFAOYSA-N 0.000 description 1
- RIWRFSMVIUAEBX-UHFFFAOYSA-N n-methyl-1-phenylmethanamine Chemical compound CNCC1=CC=CC=C1 RIWRFSMVIUAEBX-UHFFFAOYSA-N 0.000 description 1
- SEEYREPSKCQBBF-UHFFFAOYSA-N n-methylmaleimide Chemical compound CN1C(=O)C=CC1=O SEEYREPSKCQBBF-UHFFFAOYSA-N 0.000 description 1
- 125000000740 n-pentyl group Chemical group [H]C([H])([H])C([H])([H])C([H])([H])C([H])([H])C([H])([H])* 0.000 description 1
- 125000004123 n-propyl group Chemical group [H]C([H])([H])C([H])([H])C([H])([H])* 0.000 description 1
- WDFKEEALECCKTJ-UHFFFAOYSA-N n-propylprop-2-enamide Chemical class CCCNC(=O)C=C WDFKEEALECCKTJ-UHFFFAOYSA-N 0.000 description 1
- XFHJDMUEHUHAJW-UHFFFAOYSA-N n-tert-butylprop-2-enamide Chemical class CC(C)(C)NC(=O)C=C XFHJDMUEHUHAJW-UHFFFAOYSA-N 0.000 description 1
- 125000001624 naphthyl group Chemical group 0.000 description 1
- 239000012299 nitrogen atmosphere Substances 0.000 description 1
- QJAOYSPHSNGHNC-UHFFFAOYSA-N octadecane-1-thiol Chemical compound CCCCCCCCCCCCCCCCCCS QJAOYSPHSNGHNC-UHFFFAOYSA-N 0.000 description 1
- KZCOBXFFBQJQHH-UHFFFAOYSA-N octane-1-thiol Chemical compound CCCCCCCCS KZCOBXFFBQJQHH-UHFFFAOYSA-N 0.000 description 1
- NZIDBRBFGPQCRY-UHFFFAOYSA-N octyl 2-methylprop-2-enoate Chemical compound CCCCCCCCOC(=O)C(C)=C NZIDBRBFGPQCRY-UHFFFAOYSA-N 0.000 description 1
- 238000006384 oligomerization reaction Methods 0.000 description 1
- 150000004812 organic fluorine compounds Chemical class 0.000 description 1
- QMMOXUPEWRXHJS-UHFFFAOYSA-N pent-2-ene Chemical group CCC=CC QMMOXUPEWRXHJS-UHFFFAOYSA-N 0.000 description 1
- GYDSPAVLTMAXHT-UHFFFAOYSA-N pentyl 2-methylprop-2-enoate Chemical compound CCCCCOC(=O)C(C)=C GYDSPAVLTMAXHT-UHFFFAOYSA-N 0.000 description 1
- ULDDEWDFUNBUCM-UHFFFAOYSA-N pentyl prop-2-enoate Chemical compound CCCCCOC(=O)C=C ULDDEWDFUNBUCM-UHFFFAOYSA-N 0.000 description 1
- 150000002978 peroxides Chemical class 0.000 description 1
- QIWKUEJZZCOPFV-UHFFFAOYSA-N phenyl 2-methylprop-2-enoate Chemical compound CC(=C)C(=O)OC1=CC=CC=C1 QIWKUEJZZCOPFV-UHFFFAOYSA-N 0.000 description 1
- OPYYWWIJPHKUDZ-UHFFFAOYSA-N phenyl cyclohexanecarboxylate Chemical class C1CCCCC1C(=O)OC1=CC=CC=C1 OPYYWWIJPHKUDZ-UHFFFAOYSA-N 0.000 description 1
- WRAQQYDMVSCOTE-UHFFFAOYSA-N phenyl prop-2-enoate Chemical compound C=CC(=O)OC1=CC=CC=C1 WRAQQYDMVSCOTE-UHFFFAOYSA-N 0.000 description 1
- PMJHHCWVYXUKFD-UHFFFAOYSA-N piperylene Natural products CC=CC=C PMJHHCWVYXUKFD-UHFFFAOYSA-N 0.000 description 1
- 230000010287 polarization Effects 0.000 description 1
- 229920000233 poly(alkylene oxides) Polymers 0.000 description 1
- 229920001084 poly(chloroprene) Polymers 0.000 description 1
- 229920003229 poly(methyl methacrylate) Polymers 0.000 description 1
- 229920002492 poly(sulfone) Polymers 0.000 description 1
- 239000004417 polycarbonate Substances 0.000 description 1
- 229920000515 polycarbonate Polymers 0.000 description 1
- 230000000379 polymerizing effect Effects 0.000 description 1
- 239000004926 polymethyl methacrylate Substances 0.000 description 1
- 239000001103 potassium chloride Substances 0.000 description 1
- 235000011164 potassium chloride Nutrition 0.000 description 1
- USHAGKDGDHPEEY-UHFFFAOYSA-L potassium persulfate Chemical compound [K+].[K+].[O-]S(=O)(=O)OOS([O-])(=O)=O USHAGKDGDHPEEY-UHFFFAOYSA-L 0.000 description 1
- 235000019394 potassium persulphate Nutrition 0.000 description 1
- 125000002924 primary amino group Chemical group [H]N([H])* 0.000 description 1
- 238000012545 processing Methods 0.000 description 1
- HJWLCRVIBGQPNF-UHFFFAOYSA-N prop-2-enylbenzene Chemical compound C=CCC1=CC=CC=C1 HJWLCRVIBGQPNF-UHFFFAOYSA-N 0.000 description 1
- BOQSSGDQNWEFSX-UHFFFAOYSA-N propan-2-yl 2-methylprop-2-enoate Chemical compound CC(C)OC(=O)C(C)=C BOQSSGDQNWEFSX-UHFFFAOYSA-N 0.000 description 1
- VVWRJUBEIPHGQF-UHFFFAOYSA-N propan-2-yl n-propan-2-yloxycarbonyliminocarbamate Chemical compound CC(C)OC(=O)N=NC(=O)OC(C)C VVWRJUBEIPHGQF-UHFFFAOYSA-N 0.000 description 1
- LYBIZMNPXTXVMV-UHFFFAOYSA-N propan-2-yl prop-2-enoate Chemical compound CC(C)OC(=O)C=C LYBIZMNPXTXVMV-UHFFFAOYSA-N 0.000 description 1
- NHARPDSAXCBDDR-UHFFFAOYSA-N propyl 2-methylprop-2-enoate Chemical compound CCCOC(=O)C(C)=C NHARPDSAXCBDDR-UHFFFAOYSA-N 0.000 description 1
- QQONPFPTGQHPMA-UHFFFAOYSA-N propylene Natural products CC=C QQONPFPTGQHPMA-UHFFFAOYSA-N 0.000 description 1
- 125000004805 propylene group Chemical group [H]C([H])([H])C([H])([*:1])C([H])([H])[*:2] 0.000 description 1
- 238000010926 purge Methods 0.000 description 1
- UMJSCPRVCHMLSP-UHFFFAOYSA-N pyridine Natural products COC1=CC=CN=C1 UMJSCPRVCHMLSP-UHFFFAOYSA-N 0.000 description 1
- 230000005855 radiation Effects 0.000 description 1
- 125000002914 sec-butyl group Chemical group [H]C([H])([H])C([H])([H])C([H])(*)C([H])([H])[H] 0.000 description 1
- APSBXTVYXVQYAB-UHFFFAOYSA-M sodium docusate Chemical compound [Na+].CCCCC(CC)COC(=O)CC(S([O-])(=O)=O)C(=O)OCC(CC)CCCC APSBXTVYXVQYAB-UHFFFAOYSA-M 0.000 description 1
- CHQMHPLRPQMAMX-UHFFFAOYSA-L sodium persulfate Substances [Na+].[Na+].[O-]S(=O)(=O)OOS([O-])(=O)=O CHQMHPLRPQMAMX-UHFFFAOYSA-L 0.000 description 1
- 159000000000 sodium salts Chemical class 0.000 description 1
- 125000000472 sulfonyl group Chemical group *S(*)(=O)=O 0.000 description 1
- 150000003462 sulfoxides Chemical class 0.000 description 1
- 238000010557 suspension polymerization reaction Methods 0.000 description 1
- 238000003786 synthesis reaction Methods 0.000 description 1
- MUTNCGKQJGXKEM-UHFFFAOYSA-N tamibarotene Chemical compound C=1C=C2C(C)(C)CCC(C)(C)C2=CC=1NC(=O)C1=CC=C(C(O)=O)C=C1 MUTNCGKQJGXKEM-UHFFFAOYSA-N 0.000 description 1
- QEMXHQIAXOOASZ-UHFFFAOYSA-N tetramethylammonium Chemical compound C[N+](C)(C)C QEMXHQIAXOOASZ-UHFFFAOYSA-N 0.000 description 1
- 125000000383 tetramethylene group Chemical group [H]C([H])([*:1])C([H])([H])C([H])([H])C([H])([H])[*:2] 0.000 description 1
- 230000000930 thermomechanical effect Effects 0.000 description 1
- 125000003258 trimethylene group Chemical group [H]C([H])([*:2])C([H])([H])C([H])([H])[*:1] 0.000 description 1
- XSQUKJJJFZCRTK-UHFFFAOYSA-N urea group Chemical group NC(=O)N XSQUKJJJFZCRTK-UHFFFAOYSA-N 0.000 description 1
- 238000009736 wetting Methods 0.000 description 1
- 239000008096 xylene Substances 0.000 description 1
- 150000003738 xylenes Chemical class 0.000 description 1
Images
Landscapes
- Liquid Crystal (AREA)
- Polarising Elements (AREA)
- Liquid Crystal Substances (AREA)
- Addition Polymer Or Copolymer, Post-Treatments, Or Chemical Modifications (AREA)
Abstract
一种液晶性组合物,其含有至少一种液晶化合物和至少一种下述通式(1-1)所表示的含有氟代脂肪族基团的聚合物。在通式(1-1)中,i以及j分别表示1以上的整数,且是指各重复单元分别含有i以及j种;M是从烯属不饱和单体衍生得到且含有k(k是1以上的整数)种的重复单元;a、b以及c是表示聚合比的质量百分率,∑ai表示1~98质量%的数值,∑bj表示1~98质量%的数值,∑ck表示1~98质量%的数值;R11以及R12分别表示氢原子或甲基;X1以及X2分别表示氧原子、硫原子或-N(R13)-,R13表示氢原子或碳原子数为1~4的烷基;m1以及m2分别表示1~6的整数,n1表示0~1的整数。
Description
技术领域
本发明涉及含有液晶化合物的液晶性组合物,由该液晶性组合物形成的光学各向异性膜以及具有由该液晶性组合物形成的光学各向异性层的光学薄膜,以及具有该光学薄膜的偏振片和液晶显示装置。
背景技术
近年来,代替拉伸双折射薄膜,提出了使用在透明支撑体上具有由圆盘状(discotic)液晶性化合物构成的光学各向异性层的光学补偿片材。该光学各向异性层通常是通过将含有圆盘状液晶性化合物等液晶性化合物的液晶组合物涂布在取向膜上,以比取向温度更高的温度加热而使液晶性化合物的分子取向,并将该取向状态固定来形成。这种光学补偿片材的制作中,要求将液晶性分子控制为所希望的取向状态。作为对液晶性化合物的取向进行控制的方法的一例子,已知有使用取向膜(界面处理)的方法。但是,仅就取向膜的限制力而言,使液晶性化合物从取向膜界面到空气界面进行均匀取向(单微区取向)是困难的,且纹影等缺陷易于残留。特别是如果为了提高生产率而缩短熟化时间,则纹影缺陷的发生变得显著。如果在光学各向异性层中产生纹影缺陷,则存在引起光散射,使光学特性受损的问题。
也提出了下述的方法:在使用取向膜的同时(或者代替使用取向膜),在含有液晶性化合物的光学各向异性层中添加规定的添加剂,从而控制液晶性化合物的取向的方法。例如,提出了将含有氟取代烷基和亲水基(磺基通过连接基团结合到苯环上)的化合物添加至光学各向异性层中,控制圆盘状液晶性化合物的倾斜角的方法(例如,参照特开2001-330725号公报)。还提出了将疏水性排除体积效应化合物添加至光学各向异性层中,从而控制液晶性化合物的取向的方法(例如,参照特开2002-20363号公报)。此外,提出了含有氟代脂肪族基团的共聚物作为在可以促进液晶性化合物的混合取向的同时,也有助于改善涂布性的添加剂(例如,参照特开2004-198511号公报以及特开2005-164628号公报)。
于是,在由液晶组合物形成光学各向异性层等时,将该液晶组合物调制成涂布液,使该种涂布液干燥,使得液晶性化合物的分子成为所希望的取向状态。本发明者对将涂布液涂布在表面上后的干燥的经过进行了研究,结果发现,在刚刚涂布后的初期干燥时发生斑点(不均匀),以及即使使用上述特开2004-198511号公报以及特开2005-164628号公报中记载的含有氟代脂肪族基团的共聚物,也不能使这种斑点充分减轻,为了满足高亮度化以及大画面化的要求,还需要减轻在初期干燥时产生的斑点。
另一方面,将表面活性剂等添加至涂布液中,可以有助于改善涂布性和减轻干燥斑点,但会成为引起粘连现象这样的不良效果的原因。粘连现象是指,例如在涂布液变干之前通过施加过度的压力来将重叠的膜粘接、以及即使在涂布后发生固化后,当在膜表面上添加物等不均匀地存在时,通过膜彼此之间接触而粘接等的现象。由此在制作长尺寸状(长条状)的膜、并将该膜卷取而以辊形态保管和搬送等时,膜表面和膜背面被层叠,并以加压的状态长期间保存。通过加压而引起粘连的结果是:不仅膜的透明性受损,而且发生膜表面和膜背面粘接等不利情况。可以减轻上述干燥斑点,在同时如果能够抑制粘连,则可以显著地提高总的生产率。
发明内容
本发明的第1方面的课题在于,提供一种光学补偿薄膜等光学薄膜以及对制作这种光学薄膜有用的液晶性组合物,所述光学薄膜即使在适用于大型液晶显示装置的情况下,也不产生斑点,或者斑点少、有助于显示品质高的图像显示。
此外,本发明的第1方面的另一课题在于,提供一种不会产生由光学薄膜引起的斑点,或者斑点少、有助于显示品质高的图像显示的偏振片以及可以进行这种显示品质高的图像显示的液晶显示装置。
本发明的第2方面的课题在于,提供一种光学补偿薄膜等光学薄膜以及对制作这种光学薄膜有用的液晶性组合物,所述光学薄膜即使在适用于大型液晶显示装置的情况下,也不产生斑点,或者斑点少、有助于显示品质高的图像显示。
此外,本发明的第2方面的另一课题在于,提供一种液晶性组合物,该液晶性组合物在作为涂布液调制时,难以产生干燥斑点,而且难以在形成的膜上引起粘连现象,且对以高生产率形成光学各向异性膜是有用的。
此外,本发明的第2方面的另一课题在于,提供一种不会产生由光学薄膜引起的斑点,或者斑点少、有助于显示品质高的图像显示的偏振片以及可以进行这种显示品质高的图像显示的液晶显示装置。
为了解决上述课题,本发明的第1方面是提供一种液晶性组合物,其特征在于,含有至少一种液晶化合物和至少一种下述通式(1-1)所表示的含有氟代脂肪族基团的聚合物,
通式(1-1)
在通式(1-1)中,i以及j分别表示1以上的整数,且是指各重复单元分别含有i以及j种;M是从烯属不饱和单体衍生得到且含有k(k是1以上的整数)种的重复单元;a、b以及c是表示聚合比的质量百分率,∑ai表示1~98质量%的数值,∑bj表示1~98质量%的数值,∑ck表示1~98质量%的数值;R11以及R12分别表示氢原子或甲基;X1以及X2分别表示氧原子、硫原子或-N(R13)-,R13表示氢原子或碳原子数为1~4的烷基;m1以及m2分别表示1~6的整数,n1表示0~3的整数。
此外,为了解决上述课题,本发明的第2方面是提供一种液晶性组合物,其特征在于,其是含有至少一种液晶化合物和至少一种含有氟代脂肪族基团的聚合物的液晶性组合物,该含有氟代脂肪族基团的聚合物的玻璃化转变温度为-25℃~50℃。在本发明的第2方面中,上述含有氟代脂肪族基团的聚合物优选为下述式(1-2)所表示的含有氟代脂肪族基团的聚合物。
通式(1-2)
在通式(1-2)中,i、j以及1分别表示1以上的整数,且是指各重复单元分别含有i、j以及1种;
M是从烯属不饱和单体衍生得到且含有k(k是1以上的整数)种的重复单元;
a、b、c以及d是表示聚合比的质量百分率,∑ai表示1~98质量%的数值,∑bj表示1~98质量%的数值,∑ck表示1~98质量%的数值,∑dl表示0.1~20质量%的数值;
R11、R12以及R23分别表示氢原子或甲基;R24表示羟基或甲氧基;X1以及X2分别表示氧原子、硫原子或-N(R13)-、R13表示氢原子或碳原子数为1~4的烷基;
m1以及m2分别表示1~6的整数,n1表示0~3的整数。
此外,从另外的观点来看,通过本发明提供了:由本发明的第1以及第2方面的组合物形成的光学各向异性膜;具有由本发明的第1以及第2方面的液晶性组合物形成的光学各向异性层的光学薄膜;以含有该光学薄膜和起偏振器为特征的偏振片;以及以含有上述光学薄膜为特征的液晶显示装置。
附图说明
图1是关于本发明的第1方面的实施例1-4中制作的光学薄膜,是显示了以各光学薄膜的制作中使用的涂布液的C×F为横轴、以各光学薄膜的外观评价的得分为纵轴来作图而得到的结果的曲线图。
具体实施方式
以下对本发明进行详细说明。另外,在本说明书中所述的「~」是以含有在其前后所记载的数值作为下限值以及上限值的含义来使用的。
[本发明的第1方面的液晶性组合物]
本发明的第1方面的液晶性组合物含有至少一种液晶性化合物和至少一种规定的含有氟代脂肪族基团的聚合物。
·含有氟代脂肪族基团的聚合物
本发明的第1方面中使用的含有氟代脂肪族基团的聚合物由下述通式(1-1)所表示。
通式(1-1)
在通式(1-1)中,i以及j分别表示1以上的整数,且是指各重复单元分别含有i以及j种;M是从烯属不饱和单体衍生得到且含有k(k是1以上的整数)种的重复单元;a、b以及c是表示聚合比的质量百分率,∑ai表示1~98质量%的数值,∑bj表示1~98质量%的数值,∑ck表示1~98质量%的数值;R11以及R12分别表示氢原子或甲基;X1以及X2分别表示氧原子、硫原子或-N(R13)-,R13表示氢原子或碳原子数为1~4的烷基m1以及m2分别表示1~6的整数,n1表示0~3的整数。
在上述式(1-1)中,下述重复单元A以及B分别是从末端为-(CF2CF2)3F的含有氟代脂肪族基团的单体A以及末端为-(CF2CF2)2F的含有氟代脂肪族基团的单体B衍生得到的重复单元。
重复单元A
重复单元B
上述重复单元A以及B中,X1以及X2分别优选为O。即,上述重复单元A以及B分别优选由(甲基)丙烯酸系单体得到的重复单元。
m1以及m2分别优选为1~4,更优选为1~2。
n1优选为0~2,更优选为0或1,最优选为0。
以下列举了衍生出上述重复单元A的含有氟代脂肪族基团的单体的例子,但并不限于这些。其中,优选作为(甲基)丙烯酸系单体的例示化合物A1-1~6以及A2-1~6。另外,下述的例示化合物列举了式(1-1)中的n1=0的化合物,但n1为1~3的化合物当然也包含在衍生出上述重复单元A的含有氟代脂肪族基团的单体的例子中。
m1=2 A1-2 m1=5 A1-5
m1=3 A1-3 m1=6 A1-6
m1=2 A2-2 m1=5 A2-5
m1=3 A2-3 m1=6 A2-6
m1=2 A3-2 m1=5 A3-5
m1=3 A3-3 m1=6 A3-6
m1=1 A4-1 m1=4 A4-4
m1=2 A4-2 m1=5 A4-5
m1=3 A4-3 m1=6 A4-6
m1=2 A5-2 m1=5 A5-5
m1=3 A5-3 m1=6 A5-6
m1=2 A6-2 m1=5 A6-5
m1=3 A6-3 m1=6 A6-6
m1=2 A7-2 m1=5 A7-5
m1=3 A7-3 m1=6 A7-6
m1=1 A8-1 m1=4 A8-4
m1=2 A8-2 m1=5 A8-5
m1=3 A8-3 m1=6 A8-6
m1=2 A9-2 m1=5 A9-5
m1=3 A9-3 m1=6 A9-6
m1=1 A10-1 m1=4 A10-4
m1=2 A10-2 m1=5 A10-5
m1=3 A10-3 m1=6 A10-6
m1=2 A11-2 m1=5 A11-5
m1=3 A11-3 m1=6 A11-6
m1=2 A12-2 m1=5 A12-5
m1=3 A12-3 m1=6 A12-6
m1=2 A13-2 m1=5 A13-5
m1=3 A13-3 m1=6 A13-6
m1=2 A14-2 m1=5 A14-5
m1=3 A14-3 m1=6 A14-6
以下列举了衍生出上述重复单元B的含有氟代脂肪族基团的单体的例子,但并不限于这些。其中,优选作为(甲基)丙烯酸系单体的例示化合物B1-1~6以及B2-1~6。
m2=2 B1-2 m2=5 B1-5
m2=3 B1-3 m2=6 B1-6
m2=2 B2-2 m2=5 B2-5
m2=3 B2-3 m2=6 B2-6
m2=2 B3-2 m2=5 B3-5
m2=3 B3-3 m2=6 B3-6
m2=2 B4-2 m2=5 B4-5
m2=3 B4-3 m2=6 B4-6
m2=1 B5-1 m2=4 B5-4
m2=2 B5-2 m2=5 B5-5
m2=3 B5-3 m2=6 B5-6
m2=1 B6-1 m2=4 B6-4
m2=2 B6-2 m2=5 B6-5
m2=3 B6-3 m2=6 B6-6
m2=1 B7-1 m2=4 B7-4
m2=2 B7-2 m2=5 B7-5
m2=3 B7-3 m2=6 B7-6
m2=1 B8-1 m2=4 B8-4
m2=2 B8-2 m2=5 B8-5
m2=3 B8-3 m2=6 B8-6
m2=2 B9-2 m2=5 B9-5
m2=3 B9-3 m2=6 B9-6
m2=2 B10-2 m2=5 B10-5
m2=3 B10-3 m2=6 B10-6
m2=2 B11-2 m2=5 B11-5
m2=3 B11-3 m2=6 B11-6
m2=2 B12-2 m2=5 B12-5
m2=3 B12-3 m2=6 B12-6
m2=2 B13-2 m2=5 B13-5
m2=3 B13-3 m2=6 B13-6
m2=2 B14-2 m2=5 B14-5
m2=3 B14-3 m2=6 B14-6
上述含有氟代脂肪族基团的单体可以通过调聚反应法(也称为调聚物法)或低聚反应法(也称为低聚物法)来制造。关于这些氟代脂肪族化合物的制造法,例如,在「氟化合物的合成和功能」(主编:石川延男、发行:株式会社シ一ェムシ一、1987)的第117~118页、「Chemistry of OrganicFluorine Compounds II」(Monograph 187,Ed by Milos Hudlicky and AttilaE.Pavlath,American Chemical Society 1995)的第747-752页有记载。所谓的调聚反应法是指,以碘化物等链转移常数大的卤代烷作为调节剂,进行四氟乙烯等含氟乙烯基化合物的自由基聚合,从而合成调聚物的方法(在Scheme 1中示出了例子)。
R-I+nF2C=CF2→RCF2CF2nI
所得到的末端碘化调聚物通常例如象Scheme 2那样实施合适的末端化学修饰,转变成氟代脂肪族化合物。
上述式(1-1)中,M是从烯属不饱和单体衍生得到的重复单元。关于M没有特别的限制,但优选为在侧链上具有氢键性的极性基团的重复单元。M优选为下述通式(2)所表示的重复单元。
通式(2)
在上述通式(2)中,R1、R2、以及R3各自独立地表示氢原子、烷基、卤原子或-L-Q所表示的基团。L表示2价的连接基团,Q表示具有氢键性的极性基团。
L优选是从下述的连接基团组之中选择的任意的基团、或者将它们的两者以上组合而形成的2价的连接基团。
(连接基团组)
表示单键、-O-、-CO-、-NR4-、-S-、-SO2-、-P(=O)(OR5)-、亚烷基、亚芳基(R4表示氢原子、烷基、芳基或芳烷基。R5表示烷基、芳基、或芳烷基。)。
更详细地说,在通式(2)中,R1、R2以及R3各自独立地表示氢原子、烷基、卤原子(例如、氟原子、氯原子、溴原子、碘原子等)、或后述的-L-Q所表示的基团,优选为氢原子、碳原子数为1~6的烷基、氯原子、-L-Q所表示的基团,更优选为氢原子、碳原子数为1~4的烷基,特别优选的是氢原子、碳原子数为1~2的烷基。作为可以得到R1、R2以及R3的烷基的具体例子,可列举出甲基、乙基、正丙基、正丁基、仲丁基等。该烷基可以具有1个以上的取代基。作为该取代基,可以列举出卤原子、芳基、杂环基、烷氧基、芳氧基、烷硫基、芳硫基、酰基、羟基、酰氧基、氨基、烷氧基羰基、酰氨基、氧羰基、氨基甲酰基、磺酰基、氨磺酰基、磺酰胺基、硫酰基(スルホリル)、羧基等。
另外,烷基的碳原子数不包括取代基的碳原子。以下,关于其它的基团的碳原子数也与此相同。
L表示单键、-O-、-CO-、-NR4-、-S-、-SO2-、-PO(OR5)-、亚烷基、亚芳基或将这些基团组合而形成的2价连接基团。其中R4表示氢原子、烷基、芳基、或芳烷基。R5表示烷基、芳基、或芳烷基。
L优选包括单键、-O-、-CO-、-NR4-、-S-、-SO2-、亚烷基、亚芳基,特别优选包括-CO-、-O-、-NR4-、亚烷基或亚芳基。也优选包括含有-O-和亚烷基两者的亚烷基氧基,也优选包括含有亚烷基氧基的重复的聚亚烷基氧基。
L在含有亚烷基时,亚烷基的碳原子数优选为1~10,更优选为1~8,特别优选为1~6。作为特别优选的亚烷基的具体例子,可列举出亚甲基、乙烯基、三亚甲基、四亚丁基、六亚甲基等。而且,亚烷基(也包括在亚烷基氧基中所含有的亚烷基)也可以具有支链结构,支链部分的亚烷基链的碳原子数优选为1~3。
L在含有亚芳基时,亚芳基的碳原子数优选为6~24,更优选为6~18,特别优选为6~12。作为特别优选的亚芳基的具体例子,可以列举出亚苯基、萘基等。
L在含有将亚烷基和亚芳基组合而得到的2价连接基团(即亚芳烷基)时,亚芳烷基的碳原子数优选为7~34,更优选为7~26,特别优选为7~16。作为特别优选的亚芳烷基的具体例子,可以列举出亚苯基亚甲基、亚苯基亚乙基、亚甲基亚苯基等。
上述列举作为L的基团也可以具有适当的取代基。作为这样的取代基,可以列举出与先前作为R1~R3的取代基所列举的取代基相同的那些。
以下例示出了L的具体的结构,但并不限于这些具体例。
L-3-COOCH23
L-4-COOCH25
L-5-COOCH28
L-8-CONHCH23 L-17-COOCH2CH2O2CH2-
L-9-CONHCH25
L-11-CONHCH211
L-26CH25
L-27-OCH24O-CH2-
其中,L-28中、R51~R58分别是氢原子或(优选为碳原子数为1~4、更优选为碳原子数为1~2)的烷基,n是1~12(优选为2~10的整数)。优选的是,R53和R54、R55和R56、以及R57和R58中的任一个是氢原子,而另一个是烷基。
Q只要是具有氢键性的极性基团即可,并不特别限定。优选为羟基、羧基、羧基的盐(例如锂盐、钠盐、钾盐、铵盐(例如铵、四甲基铵、三甲基-2-羟乙基铵、四丁基铵、三甲基苄基铵、二甲基苯基铵等)、吡啶鎓盐等)、羧酸的酰胺(N无取代体或N-单低级烷基取代体、例如-CONH2、-CONHCH3等)磺基、磺基的盐(形成盐的阳离子的例子与上述羧基中记载的相同)、磺酰胺基(N无取代体或N-单低级烷基取代体、-SO2NH2、-SO2NHCH3等)、膦酸基、膦酸基的盐(形成盐的阳离子的例子与上述羧基中记载的相同)、膦酰胺(N无取代体或N-单低级烷基取代体,例如OP(=O)(NH2)2、-OP(=O)(NHCH3)2等)、脲基(-NHCONH2)、N位是无取代或单取代的氨基(-NH2、-NHCH3)等(其中低级烷基表示甲基或乙基)。
更优选为羟基、羧基、磺基、膦酸基,进一步优选的是羟基或羧基,特别优选的是羟基。
上述通式(2)所表示的重复单元优选是从(甲基)丙烯酸系单体衍生得到的重复单元。
以下示出了衍生出重复单元M的烯属不饱和单体的具体例子,但并不限于此。
上述通式(1-1)所表示的氟代脂肪族基团聚合物分别含有重复单元A、B以及M中的至少1种。即,在上述式(1-1)中,表示各重复单元的种类的数目的i、j以及k分别是1以上的整数。上述通式(1-1)所表示的氟代脂肪族基团聚合物可以含有2种以上的各重复单元,也可以含有重复单元A、B以及M以外的重复单元。
例如,上述含有氟代脂肪族基团的聚合物中,由从下述单体组选择的单体衍生得到的重复单元可以含有1种,也可以含有2种以上。
单体组
(1)链烯类
乙烯、丙烯、1-丁烯、异丁烯、1-己烯、1-十二烯、1-十八烯、1-二十碳烯、六氟丙烯、偏二氟乙烯、氯三氟乙烯、3,3,3-三氟丙烯、四氟乙烯、氯乙烯、偏二氯乙烯等;
(2)二烯烃类
1,3-丁二烯、异戊二烯、1,3-戊二烯、2-乙基-1,3-丁二烯、2-正丙基-1,3-丁二烯、2,3-二甲基-1,3-丁二烯、2-甲基-1,3-戊二烯、1-苯基-1,3-丁二烯、1-α-萘基-1,3-丁二烯、1-β-萘基-1,3-丁二烯、2-氯-1,3-丁二烯、1-溴-1,3-丁二烯、1-氯丁二烯、2-氟-1,3-丁二烯、2,3-二氯-1,3-丁二烯、1,1,2-三氯-1,3-丁二烯以及2-氰基-1,3-丁二烯、1,4-二乙烯基环己烷等;
(3)α,β-不饱和羧酸的衍生物
(3a)丙烯酸烷基酯类
丙烯酸甲酯、丙烯酸乙酯、丙烯酸正丙酯、丙烯酸异丙酯、丙烯酸正丁酯、丙烯酸异丁酯、丙烯酸仲丁酯、丙烯酸叔丁酯、丙烯酸戊酯、丙烯酸正己酯、丙烯酸环己酯、丙烯酸2-乙基己酯、丙烯酸正辛酯、丙烯酸叔辛酯、丙烯酸十二烷酯、丙烯酸苯酯、丙烯酸苄酯、丙烯酸2-氯乙酯、丙烯酸2-溴乙酯、丙烯酸4-氯丁酯、丙烯酸2-氰基乙酯、丙烯酸2-乙酰氧基乙酯、丙烯酸甲氧基苄酯、丙烯酸2-氯环己酯、丙烯酸糠酯、丙烯酸四氢糠酯、丙烯酸2-甲氧基乙酯、ω-甲氧基聚乙烯醇丙烯酸酯(聚氧乙烯的加成摩尔数:n=2~100)、丙烯酸3-甲氧基丁酯、丙烯酸2-乙氧基乙酯、丙烯酸2-丁氧基乙酯、2-(2-丁氧基乙氧基)乙基丙烯酸酯、1-溴-2-甲氧基乙基丙烯酸酯、1,1-二氯-2-乙氧基乙基丙烯酸酯、缩水甘油丙烯酸酯等);
(3b)甲基丙烯酸烷基酯类
甲基丙烯酸甲酯、甲基丙烯酸乙酯、甲基丙烯酸正丙酯、甲基丙烯酸异丙酯、甲基丙烯酸正丁酯、甲基丙烯酸异丁酯、甲基丙烯酸仲丁酯、甲基丙烯酸叔丁酯、甲基丙烯酸戊酯、甲基丙烯酸正己酯、甲基丙烯酸环己酯、甲基丙烯酸2-乙基己酯、甲基丙烯酸正辛酯、甲基丙烯酸十八烷酯、甲基丙烯酸苄酯、甲基丙烯酸苯酯、甲基丙烯酸芳酯、甲基丙烯酸糠酯、甲基丙烯酸四氢糠酯、甲基丙烯酸甲苯酯、甲基丙烯酸萘酯、甲基丙烯酸2-甲氧基乙酯、甲基丙烯酸3-甲氧基丁酯、ω-甲氧基聚乙烯醇甲基丙烯酸酯(聚氧乙烯的加成摩尔数:n=2~100)、甲基丙烯酸2-乙酰氧基乙酯、甲基丙烯酸2-乙氧基乙酯、甲基丙烯酸2-丁氧基乙酯、2-(2-丁氧基乙氧基)乙基甲基丙烯酸酯、缩水甘油甲基丙烯酸酯、3-三甲氧基甲硅烷基丙基甲基丙烯酸酯、甲基丙烯酸芳基酯、2-异氰酸酯乙基甲基丙烯酸酯等;
(3c)不饱和多元羧酸的二酯类
马来酸二甲酯、马来酸二丁酯、衣康酸二甲酯、衣康酸二丁酯、丁烯酸二丁酯、丁烯酸二己酯、富马酸二乙酯、富马酸二甲酯等;
(3d)α、β-不饱和羧酸的酰胺类
N,N-二甲基丙烯酸酰胺、N,N-二乙基丙烯酸酰胺、N-正丙基丙烯酸酰胺、N-叔丁基丙烯酸酰胺、N-叔辛基甲基丙烯酸酰胺、N-环己基丙烯酸酰胺、N-苯基丙烯酸酰胺、N-(2-乙酰乙酰氧基乙基)丙烯酸酰胺、N-苄基丙烯酸酰胺、N-丙烯酰基吗啉、双丙酮丙烯酸酰胺、N-甲基马来酰亚胺等;
(4)不饱和腈类
丙烯腈、甲基丙烯腈等;
(5)苯乙烯及其衍生物
苯乙烯、乙烯基甲苯、乙基苯乙烯、对叔丁基苯乙烯、对乙烯基安息香酸甲酯、α-甲基苯乙烯、对氯甲基苯乙烯、乙烯基萘、对甲氧基苯乙烯、对羟基甲基苯乙烯、对乙酰氧基苯乙烯等;
(6)乙烯基酯类
醋酸乙烯酯、丙酸乙烯酯、丁酸乙烯酯、异丁酸乙烯酯、安息香酸乙烯酯、水杨酸乙烯酯、氯醋酸乙烯酯、甲氧基醋酸乙烯酯、苯基醋酸乙烯酯等;
(7)乙烯基醚类
甲基乙烯基醚、乙基乙烯基醚、正丙基乙烯基醚、异丙基乙烯基醚、正丁基乙烯基醚、异丁基乙烯基醚、叔丁基乙烯基醚、正戊基乙烯基醚、正己基乙烯基醚、正辛基乙烯基醚、正十二烷基乙烯基醚、正二十烷基乙烯基醚、2-乙基己基乙烯基醚、环己基乙烯基醚、氟丁基乙烯基醚、氟丁氧基乙基乙烯基醚等;以及
(8)其它的聚合性单体
N-乙烯基吡咯烷酮、甲基乙烯基酮、苯基乙烯基酮、甲氧基乙基乙烯基酮、2-乙烯基噁唑啉、2-异丙烯基噁唑啉等。
上述通式(1-1)中,a、b以及c是表示衍生出各重复单元的单体的聚合比的质量百分率,∑ai表示1~98质量%的数值,∑bj表示1~98质量%的数值,∑ck表示1~98质量%的数值。∑ai优选是5~40质量%,∑bj优选是5~40质量%,∑ck优选是20~90质量%,∑ai更优选是10~35质量%,∑bj更优选是10~35质量%,∑ck更优选是30~80质量%。上述通式(1-1)所表示的含有氟代脂肪族基团的聚合物也可以含有上述重复单元A、B以及M以外的重复单元,即可以是∑ai+∑bj+∑ck<100质量%,但优选不含有上述重复单元A、B以及M以外的重复单元,即优选∑ai+∑bj+∑ck=100质量%。
此外,当从包含在含有氟代脂肪族基团的聚合物中的含有氟代脂肪族基团的单体衍生得到的重复单元A以及B的比例在规定的范围时,可以进一步减轻在干燥初期时发生斑点,因此是优选的。具体地说,i种重复单元A的总质量∑ai和j种重复单元B的总质量之和(∑ai+∑bj)优选是20~50质量%,更优选是25~45质量%,进一步优选是25~40质量%。当(∑ai+∑bj)低于20质量%时,在空气界面上的液晶化合物的控制不充分,有时使光学薄膜的斑点减低的本发明的第1方面的效果弱,而当超过50质量%时,在将液晶性组合物涂布在表面(例如聚合物薄膜等透明支撑体的表面)上时的涂布性不充分,有时发生涂刷困难故障。当(∑ai+∑bj)在上述范围内时,没有上述问题,可以进一步减轻在干燥初期时的斑点。
此外,从相同的观点来看,∑ai与∑ai+∑bj之比(∑ai/(∑ai+∑bj))优选为0.2~0.8,更优选为0.3~0.6,进一步优选为0.35~0.55。当上述比(∑ai/(∑ai+∑bj))低于0.2时,在空气界面上的液晶化合物的控制不充分,有时使光学薄膜的斑点减低的本发明的第1方面的效果弱,而当超过0.8时,在将液晶性组合物涂布在表面(例如聚合物薄膜等透明支撑体的表面)上时的涂布性不充分,有时发生涂刷困难故障。当∑ai/(∑ai+∑bj))在上述范围内时,没有上述问题,可以进一步减轻在干燥初期时的斑点,所以是优选的。
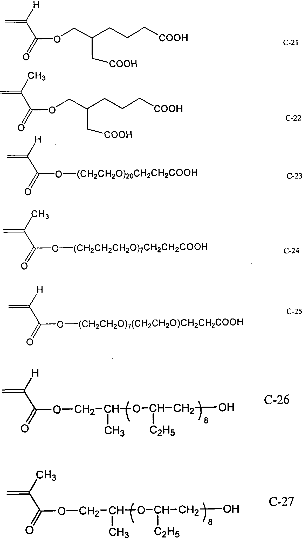
在本发明的第1方面中可以使用的含有氟代脂肪族基团的聚合物的具体例子归纳在以下的表中,但不限于以下的具体例子。另外,在下述表中,重复单元A、B以及M通过衍生出各个重复单元的单体的例示化合物No.来表征。
| 聚合物No. | 重复单元A(∑ai:质量%) | 重复单元B(∑bj:质量%) | 重复单元M(∑ck:质量%) |
| P1-1 | A1-2(20) | B1-2(20) | C-27(60) |
| P1-2 | A1-2(10) | B1-2(30) | C-27(60) |
| P1-3 | A1-2(20) | B1-2(20) | C-26(60) |
| P1-4 | A1-2(10) | B1-2(30) | C-26(60) |
| P1-5 | A1-2(25) | B1-2(25) | C-23(50) |
| P1-6 | A1-2(30) | B1-2(5) | C-24(65) |
| P1-7 | A1-2(35) | B1-2(5) | C-26(60) |
| P1-8 | A1-2(40) | B1-2(10) | C-26(50) |
| P1-9 | A1-4(20) | B1-4(20) | C-23(60) |
| P1-10 | A1-4(10) | B1-4(30) | C-24(60) |
| P1-11 | A1-4(20) | B1-4(20) | C-26(60) |
| P1-12 | A1-4(10) | B1-4(30) | C-26(60) |
| P1-13 | A1-4(25) | B1-4(25) | C-23(50) |
| P1-14 | A1-4(30) | B1-4(5) | C-24(65) |
| P1-15 | A1-4(35) | B1-4(5) | C-26(60) |
| P1-16 | A1-4(40) | B1-4(10) | C-26(50) |
| 聚合物No. | 重复单元A(∑ai:质量%) | 重复单元B(∑bj:质量%) | 重复单元M(∑ck:质量%) |
| P1-17 | A2-2(20) | B2-2(20) | C-27(60) |
| P1-18 | A2-2(25) | B2-2(25) | C-27(50) |
| P1-19 | A2-2(10) | B2-2(30) | C-26(60) |
| P1-20 | A2-2(25) | B2-2(25) | C-26(50) |
| P1-21 | A2-4(20) | B2-4(20) | C-27(60) |
| P1-22 | A2-4(20) | B2-4(20) | C-26(60) |
本发明的第1方面的液晶性组合物含有至少1种上述含有氟代脂肪族基团的聚合物即可,当然也可以含有2种以上。在上述组合物中,上述含有氟代脂肪族基团的聚合物的添加量优选是液晶性化合物(优选为圆盘状液晶性化合物)的质量的0.01~20质量%,更优选是0.05~10质量%,进一步优选是0.1~5质量%。
另外,上述组合物(在组合物调制成涂布液等时为固体成分)中的上述含有氟代脂肪族基团的聚合物的浓度C质量%的优选范围是随着该含有氟代脂肪族基团的聚合物中的氟含量F%不同而变动的。为了进一步减轻干燥初期的斑点,上述含有氟代脂肪族基团的聚合物的浓度C质量%和该含有氟代脂肪族基团的聚合物中的氟含量F%之积优选是0.05~0.12,更优选是0.06~0.09,进一步优选是0.06~0.08。当C×F低于0.05时,在空气界面上的液晶化合物的控制不充分,有时光学薄膜的外观特性(斑点的程度)变差,而当超过0.12时,在将液晶性组合物涂布在表面(例如聚合物薄膜等透明支撑体的表面)上时的涂布性不充分,有时光学薄膜的外观特性(涂刷困难故障发生)变差。当C×F在上述范围内时,没有上述问题,可以进一步减轻在干燥初期时的斑点。
·第2含有氟代脂肪族基团的聚合物
在本发明的第1方面的液晶性组合物中,也可以添加1种以上的上述含有氟代脂肪族基团的聚合物(以下、称之为“第1含有氟代脂肪族基团的聚合物”)的范围外的含有氟代脂肪族基团的聚合物(以下、有时称之为“第2含有氟代脂肪族基团的聚合物”)。第2含有氟代脂肪族基团的聚合物优选含有:从具有氟代脂肪族基团的单体衍生得到的至少一种重复单元和从具有羧基(-COOH)或其盐、磺基(-SO3H)或其盐、或膦酰氧基{-OP(=O)(OH)2}或其盐等酸性基的单体衍生得到的至少一种重复单元。
作为上述第2含有氟代脂肪族基团的聚合物的优选例子,可以列举出WO2006/001504号公报中记载的下述聚合物A(是含有由含有氟代脂肪族基团的单体衍生得到的重复单元和下述通式(1a)所表示的重复单元的共聚物)。
通式(1a)
式中,R1a、R2a以及R3a分别表示氢原子或取代基;La表示从下述的连接基团组之中选择的2价连接基团或从下述的连接基团组之中选择的两种以上组合而形成的2价连接基团、
(连接基团组)
单键、-O-、-CO-、-NR4a-(R4a表示氢原子、烷基、芳基、或芳烷基)、-S-、-SO2-、-P(=O)(OR5a)-(R5a表示烷基、芳基、或芳烷基)、亚烷基、以及亚芳基;
Qa表示羧基(-COOH)或其盐、磺基(-SO3H)或其盐、或膦酰氧基{-OP(=O)(OH)2}或其盐。)
式中、R1a、R2a、R3a以及La分别与上述通式(2)中的R1、R2、R3以及L的优选范围相同。
作为上述第2含有氟代脂肪族基团的聚合物所具有的从含有氟代脂肪族基团的单体衍生得到的重复单元,可以是上述重复单元A以及B中的任一种。此外,也优选从下述式(3)所表示的含有氟代脂肪族基团的单体衍生得到的重复单元。
通式(3)
通式(3)中、R5表示氢原子或甲基、X5表示氧原子、硫原子或-N(R15)-、R15表示氢原子或碳原子数为1~4的烷基。Z表示氢原子或氟原子、m5表示1~6的整数、n5表示2~4的整数。
此外,上述第2含有氟代脂肪族基团的聚合物可以含有上述通式(2)所表示的具有氢键性基团的重复单元,也可以含有从由上述单体组(1)~(7)之中选择的至少一种单体衍生得到的重复单元。以下列举出了在本发明的第1方面的液晶性组合物中可以作为第2含有氟代脂肪族基团的聚合物使用的聚合物的例示化合物,但并不限于以下的具体例子。
Mw=23000
Mw=33000
Mw=38000
a/b=15/85
Mw=51000
Mw=22000
Mw=35000
Mw=42000
Mw=22000
a/b=20/80
Mw=33000
Mw=26000
a/b=20/80
Mw=29000
Mw=51000
a/b=5/95
Mw=21000
Mw=31000
Mw=19000
a/b/c=25/5/70
Mw=15000
a/b/c/d=25/5/50/20
Mw=42000
Mw=45000
Mw=24000
a/b/c=5/25/70
Mw=36000
a/b=10/90
Mw=33000
Mw=25000
Mw=26000
Mw=30000
Mw=21000
Mw25000
Mw20000
Mw13000
Mw20000
Mw32000
Mw25000
Mw27000
Mw10000
Q-41
Mw20000
Mw15000
Mw15000
Mw15000
Mw22000
Mw19000
Q-47
Mw30000
Q-48
Mw23000
Mw15000
Mw23000
Mw25000
Q-52
Mw25000
Mw13000
Mw25000
Mw30000
Mw34000
Mw22000
Q-58
Mw15000
Mw20000
Mw14000
Mw30000
Q-64
Mw15000
Q-65
Mw18000
Mw6000
Mw10000
Mw15000
关于添加上述第2含有氟代脂肪族基团的聚合物的方式,优选的是上述第2含有氟代脂肪族基团的聚合物的添加量(质量%)为上述第1含有氟代脂肪族基团的聚合物的添加量(质量%)以下。
上述第1含有氟代脂肪族基团的聚合物(以及根据需要而添加的第2含有氟代脂肪族基团的聚合物)的重均分子量优选为1,000,000以下。更优选重均分子量为500,000以下,特别优选重均分子量为100,000以下。
重均分子量可以使用凝胶渗透色谱法(GPC)以聚环氧乙烷(PEO)换算的值来测定。
关于上述第1含有氟代脂肪族基团的聚合物(以及根据需要而添加的第2含有氟代脂肪族基团的聚合物)的制造方法,没有特别限制。例如,可以通过利用了乙烯基的阳离子聚合、自由基聚合、或者阴离子聚合等聚合方法来制造,其中,自由基聚合方法因为可以广泛地利用,所以是特别优选的。
作为自由基聚合的聚合引发剂,可以使用自由基热聚合引发剂、自由基光聚合引发剂等公知的化合物,特别优选使用自由基热聚合引发剂。其中,自由基热聚合引发剂是通过加热到分解温度以上而产生自由基的化合物。作为这样的自由基热聚合引发剂,例如可以列举出二酰基过氧化物(过氧化乙酰、过氧化苯甲酰等)、酮过氧化物(过氧化甲乙酮、过氧化环己酮等)、氢过氧化物(过氧化氢、氢过氧化叔丁基、氢过氧化枯烯等)、二烷基过氧化物(过氧化二叔丁基、过氧化二枯基、过氧化二月桂酰等)、过氧化酯类(叔丁基过氧化乙酸酯、叔丁基过氧化戊酸酯等)、偶氮系化合物(偶氮二异丁腈、偶氮二异戊腈等)、过硫酸盐类(过硫酸铵、过硫酸钠、过硫酸钾等)。这样的自由基热聚合引发剂可以单独使用1种,也可以将2种以上组合使用。
自由基聚合方法没有特别限制,可以采用乳化聚合法、悬浮聚合法、本体聚合法、溶液聚合法等。下面对作为典型的自由基聚合方法的溶液聚合进一步进行具体的说明。关于其它的聚合方法概况也是同等的,它们的详情例如记载于「高分子科学実験法」高分子学会编(東京化学同人、1981年)等中。
为了进行溶液聚合而使用有机溶剂。这些有机溶剂在不损害本发明的目的、效果的范围内可以任意地进行选择。这些有机溶剂为通常在大气压下的沸点具有50~200℃的范围内的值的有机化合物,优选使各构成成分均匀溶解的有机化合物。若要示出优选的有机溶剂的例子,则可以列举出异丙醇、丁醇等醇类、二丁基醚、乙二醇二甲基醚、四氢呋喃、二噁烷等醚类、丙酮、甲乙酮、甲基异丁基酮、环己酮等酮类、醋酸乙酯、醋酸丁酯、醋酸戊酯、γ-丁内酯等酯类、苯、甲苯、二甲苯等芳香族烃类。另外,这些有机溶剂可以单独使用1种,也可以组合使用2种以上。另外,从单体和生成的聚合物的溶解性的观点来看,也可以使用在上述有机溶剂中并用水的水混合有机溶剂。
而且,溶液聚合条件也没有特别限制,但是例如优选在50~200℃的温度范围内,加热10分钟~30小时。另外,为了使所产生的自由基不失活,在溶液聚合中当然要进行不活泼气体冲洗,在溶液聚合开始前也优选进行不活泼性气体冲洗(purge)。作为不活泼性气体,通常适宜使用氮气。
为了以优选的分子量范围得到上述第1含有氟代脂肪族基团的聚合物(以及根据需要而添加的第2含有氟代脂肪族基团的聚合物),使用了链转移剂的自由基聚合法是特别有效的。
作为链转移剂,可以使用硫醇类(例如,辛基硫醇、癸基硫醇、十二烷基硫醇、叔十二烷基硫醇、十八烷基硫醇、苯硫酚、对壬基苯硫酚等)、多卤代烷(例如,四氯化碳、氯仿、1,1,1-三氯乙烷、1,1,1-三溴辛烷等)、低活性单体类(α-甲基苯乙烯、α-甲基苯乙烯二聚物等)之中的任一种,但优选为碳原子数为4~16的硫醇类。这些链转移剂的使用量受到链转移剂的活性、单体的组合、聚合条件等显著影响,所以需要精密地控制,通常相对于所使用的单体的总摩尔数为0.01摩尔%~50摩尔%左右,优选为0.05摩尔%~30摩尔%,特别优选为0.08摩尔%~25摩尔%。这些链转移剂与在聚合过程中用于控制聚合度的对象单体同时存在于体系内即可,关于其添加方法没有特别的限定。可以溶解在单体中而添加,也可以与单体分开添加。
·液晶性组合物
接下来,对本发明的第1方面的液晶性组合物中所使用的液晶性化合物进行说明。在本发明的第1方面中可以使用的液晶性化合物的例子中包括棒状液晶性化合物以及圆盘状液晶性化合物。棒状液晶性化合物以及圆盘状液晶性化合物可以是高分子液晶也可以是低分子液晶,还包括低分子液晶交联而不显示液晶性的化合物。
(棒状液晶性化合物)
作为棒状液晶性化合物,优选使用甲亚胺类、氧化偶氮基类、氰基联苯类、氰基苯基酯类、苯甲酸酯类、环己烷羧酸苯基酯类、氰基苯基环己烷类、氰基取代苯基嘧啶类、烷氧基取代苯基嘧啶类、苯基二噁烷类、二苯乙炔类以及链烯基环己基苄腈类。
另外,在棒状液晶性化合物中也可以含有金属络合物。而且在重复单元中含有棒状液晶性分子的液晶聚合物也可以用作棒状液晶性分子。换句话说,棒状液晶性分子也可以与(液晶)聚合物结合。
关于棒状液晶性化合物,在《季刊化学总说》第22卷、“液晶化学”(1994)日本化学会编的第4章、第7章以及第11章、以及《液晶元件手册》日本学术振兴会第142委员会编的第3章中有记载。
棒状液晶性化合物的双折射率优选在0.001~0.7的范围内。
棒状液晶性化合物为了固定其取向状态,优选具有聚合性基团。聚合性基团优选是不饱和聚合性基团或环氧基,进一步优选不饱和聚合性基团,最优选烯属不饱和聚合性基团。
(圆盘状液晶性化合物)
圆盘状液晶性化合物包括:C.Destrade等人的研究报告(Mol.Cryst.71卷,111页(1981年))中记载的苯衍生物;C.Destrade等人的研究报告(Mol.Cryst.122卷,141页(1985年)、Physics lett,A,78卷,82页(1990))中记载的三亚茚衍生物;B.Kohne等人的研究报告(Angew.Chem.96卷,70页(1984年))中记载的环己烷衍生物以及J.M.Lehn等人的研究报告(J.Chem.Commun.,1794页(1985年))、J.Zhang等人的研究报告(J.Am.Chem.Soc.116卷,2655页(1994年))中记载的氮杂冠醚类和苯乙炔类大环化合物等。
圆盘状液晶性化合物还包括具有下述结构的显示出液晶性的化合物,在该结构中相对于分子中心的母核,以直链的烷基、烷氧基、取代苯甲酰氧基作为母核的侧链而呈放射线状取代。分子或分子的集合体优选是具有旋转对称性、且可以赋予恒定的取向的化合物。对于由圆盘状液晶性分子形成的光学各向异性层来说,最终包含在光学各向异性层中的化合物不必是圆盘状液晶性分子,例如也包含下述的化合物:低分子圆盘状液晶性分子具有通过热或光来反应的基团,结果通过由于热、光反应而聚合或交联、发生高分子量化而失去了液晶性的化合物。圆盘状液晶性化合物的优选例子记载于特开平8-50206号公报中。另外,关于圆盘状液晶性化合物的聚合,在特开平8-27284公报中有记载。
为了通过聚合将圆盘状液晶性化合物固定,需要在圆盘状液晶性化合物的圆盘状芯上结合聚合性基团作为取代基。但是,如果使圆盘状芯与聚合性基团直接连接,则在聚合反应中难以保持取向状态。因此,在圆盘状芯和聚合性基团之间导入连接基团。所以,具有聚合性基团的圆盘状液晶性化合物优选是由下述式(5)表示的化合物。
通式(5)
D(-L1Q1)n
在式(5)中,D是圆盘状芯;L1是二价的连接基团,Q1是聚合性基团,而且n是4~12的整数。
圆盘状芯(D)的例子示于以下。以下的各例子中,LQ(或QL)是指二价连接基团(L1)和聚合性基团(Q1)的组合。
·其它的添加剂
作为与圆盘状液晶性化合物一起使用的添加剂的例子,可以列举出增塑剂、表面活性剂、聚合性单体以及聚合物等。长轴的取向方向的变化程度也与上述相同,可以通过液晶性分子和添加剂的选择来调整。
与圆盘状液晶性化合物一起使用的增塑剂、表面活性剂以及聚合性单体优选与圆盘状液晶性化合物具有相容性,并可以使圆盘状液晶性化合物的倾斜角变化,或者不对取向造成阻碍。在添加成分中也优选添加聚合性单体(例如具有乙烯基、乙烯氧基、丙烯酰基以及甲基丙烯酰基的化合物)。上述化合物的添加量相对于圆盘状液晶性化合物一般为1~50重量%的范围,优选为5~30重量%的范围。另外,在混合使用聚合性的反应性官能基团数为4以上的单体时,可以提高取向膜与光学各向异性层之间的粘附性。
当添加纤维素酯作为上述添加剂时,因为可以抑制在涂布组合物时发生涂刷困难,所以是优选的。可以适宜地使用的纤维素酯包括乙酸纤维素、乙酸丁酸纤维素、乙酸丙酸纤维素、羟丙基纤维素、甲基纤维素以及羧甲基纤维素等。其中,优选乙酸丁酸纤维素,进一步更优选丁酰化度为40%以上的乙酸丁酸纤维素。
关于添加量,相对于液晶性化合物的总量以重量百分率计优选为0.01~20%、更优选为0.05~10%,特别优选为0.05~5%。
·有机溶剂
本发明的第1方面的液晶性组合物也可以调制成涂布液。作为在涂布液的调制中使用的溶剂,优选使用有机溶剂。有机溶剂的例子包括:酰胺(例如N,N-二甲基甲酰胺)、亚砜(例如二甲基亚砜)、杂环化合物(例如吡啶)、烃(例如苯、己烷)、卤代烷(例如氯仿、二氯甲烷)、酯(例如乙酸甲酯、乙酸丁酯)、酮(例如丙酮、甲乙酮)、醚(例如四氢呋喃、1,2-二甲氧基乙烷)。优选卤代烷和酮。也可以将两种以上的有机溶剂并用。
在制作均匀性高的光学各向异性膜、光学薄膜时,涂布液的表面张力优选为25mN/m以下,进一步优选为22mN/m以下。
此外,为了进一步减轻初期干燥时的斑点,上述液晶性组合物的涂布液的用最大泡压法测定的10m秒和1000m秒的表面张力比(10m秒/1000m秒)优选为1.00~1.20,更优选为1.00~1.15,进一步优选为1.00~1.10。当上述表面张力比超过1.20时,在刚刚涂布之后向空气界面移动的速度慢,在空气界面上的涂膜表面的稳定性差,有时降低初期干燥时的斑点的效果不充分。当表面张力比在上述范围内时,没有上述问题,可以进一步减轻初期干燥时的斑点。
另外,关于用最大泡压法进行的表面张力的测定,详细地记载于《化学便覧改訂5版》8章 界面とコロィド(界面和胶体),90頁、8.2表面张力とぬれ(表面张力和润湿)、“ASTM D3825-90”等中,所以本发明的液晶性组合物的表面张力也可以参考该公报等中记载的方法来测定。而且,为了随着时间变化的同时连续地测定表面张力,可以使用例如LAUDA公司的“MPT2”等表面张力计。
另外,本发明的第1方面也涉及一种液晶性组合物,其特征在于,其是含有至少一种液晶化合物和至少一种含有氟代脂肪族基团的聚合物的液晶性组合物,该含有氟代脂肪族基团的聚合物在25℃下的粘度为200Pa·s~10000Pa·s。当上述含有氟代脂肪族基团的聚合物在25℃下的粘度为200Pa·s~10000Pa·s时,可以在不产生斑点的情况下,形成光学各向异性膜,同时更难以引起所谓的粘连现象。粘连现象是指,例如在涂布液变干之前通过施加过度的压力来将重叠的膜粘接、以及即使在干燥后发生固化后,通过在膜表面上添加物等不均匀地存在,随着膜彼此之间接触而粘接。由此在制作长尺寸状(长条状)的膜、将该膜卷取而以辊形态保管和搬送等时,膜表面和膜背面被层叠,并以加压的状态长期间保存。通过加压而引起粘连,结果不仅膜的透明性受损,而且发生膜表面和膜背面粘接等不利情况。因此,更难引起粘连者在制造后的操作性变得容易,总的生产率提高,所以是优选的。从更难以引起粘连的观点来看,上述含有氟代脂肪族基团的聚合物的粘度更优选是250~5000Pa·s,进一步优选是300~1000Pa·s。另外,在本说明书中含有氟代脂肪族基团的聚合物的“粘度”是指,用レオロジカ制VAR-100型レオメ一タ、间隙间距离为1.5mm、频率为1Hz、应变为0.005、升温速度为5℃/min、在氮气氛下的条件下通过摆动模式测定的值。
在本方案中,上述含有氟代脂肪族基团的聚合物优选从上述通式(1-1)所表示的含有氟代脂肪族基团的聚合物之中选择。特别是,在上述通式(1-1)中,优选R11以及R12两者为甲基的含有氟代脂肪族基团的聚合物。在本方案的液晶性组合物中,当上述含有氟代脂肪族基团的聚合物的含量相对于液晶性组合物(在调制成涂布液时为固体成分)的总质量为0.02~0.50质量%时,更难以引起粘连,所以是优选的,从相同的观点来看,更优选为0.03~0.30质量%,进一步优选为0.05~0.20质量%。
此外,关于根据需要而添加的第2氟代脂肪族含有聚合物的优选例子、根据需要而添加的其它添加剂的例子、液晶性化合物的优选例子、以及组合物的调制方法等,均与上述相同。
[本发明的第2方面的液晶性组合物]
本发明的第2方面的液晶性组合物含有至少一种液晶性化合物和至少一种含有氟代脂肪族基团的聚合物。以下,对本发明的第2方面的液晶性组合物的调制中所使用的各种的材料以及调制方法等进行说明。
·含有氟代脂肪族基团的聚合物
本发明的第2方面的液晶性组合物含有玻璃化转变温度为-25℃~50℃的含有氟代脂肪族基团的聚合物。当使用玻璃化转变温度为上述范围的含有氟代脂肪族基团的聚合物时,在调制成涂布液时,在涂布时没有干燥斑点或者干燥斑点少,而且成膜后,能够减轻在该膜中引起粘连现象。从该观点来看,上述含有氟代脂肪族基团的聚合物的玻璃化转变温度优选为-10℃~40℃,更优选为0℃~30℃。
另外,聚合物的玻璃化转变温度可以参考书籍、文献等中所记载的。一般来说,作为在玻璃化转变温度处急剧地变化的物性,有刚性、粘度。关于刚性,可以作为被称之为TMA法的热机械特性相对于温度依赖性的不连续的变化点来测定的,而关于粘度,可以作为粘弹性相对于温度依赖性的不连续的变化点来测定。另外,关于玻璃化转变,在多数情况下伴随有发热或吸热,所以可以应用DSC法作为简便的方法。而且,也可以基于在书籍等中记载的类似聚合物(例如类似的不含氟聚合物)的玻璃化转变温度,并考虑结构上的不同点(例如,由氟原子取代氢原子及其取代数、以及在为(甲基)丙烯酸酯系聚合物时酯部的碳原子数的不同)来推定。在算出共聚物的玻璃化转变温度的推定值时,针对构成共聚物的各个重复单元来得到均聚物的玻璃化转变温度的实测值或推测值,可以假定各重复单元对玻璃化转变温度的贡献率与各重复单元的聚合比(质量比)相等,作为各重复单元的均聚物的玻璃化转变温度(实测值或推测值)及其重复单元的聚合比(质量比)之积的合计来算出。在本发明中,也可以通过该方法来推测既存的材料的玻璃化转变温度,选择使用适当的含有氟代脂肪族基团的聚合物,或者也可以基于该方法,设计适当的含有氟代脂肪族基团的聚合物来新合成而使用。
上述含有氟代脂肪族基团的聚合物优选是下述通式(1-2)所表示的含有氟代脂肪族基团的聚合物。
通式(1-2)
在通式(1-2)中,i、j以及1分别表示1以上的整数,且是指各重复单元分别含有i、j以及1种;M是从烯属不饱和单体衍生得到且含有k(k是1以上的整数)种的重复单元;a、b、c以及d是表示聚合比的质量百分率,∑ai表示1~98质量%的数值,∑bj表示1~98质量%的数值,∑ck表示1~98质量%的数值,∑dl表示0.1~20质量%的数值;R11、R12以及R3分别表示氢原子或甲基;R24表示羟基或甲氧基;X1以及X2分别表示氧原子、硫原子或-N(R13)-、R13表示氢原子或碳原子数为1~4的烷基;m1以及m2分别表示1~6的整数,n1表示0~3的整数。
上述式(1-2)中,下述重复单元A以及B分别是从末端为-(CF2CF2)3F的含有氟代脂肪族基团的单体A以及末端为-(CF2CF2)2F的含有氟代脂肪族基团的单体B衍生得到的重复单元。
重复单元A
重复单元B
关于上述重复单元A以及B,与在本发明的第1方面中可以利用的重复单元A以及B的含义相同,各记号的定义、其优选例、单体的具体例、以及单体的合成例也相同。
上述通式(1-2)含有下述重复单元D。
重复单元D
上述重复单元D中,R23优选是甲基,即,是从甲基丙烯酸系单体得到的重复单元。而且,R24优选是羟基(OH)。即,上述重复单元D最优选是从甲基丙烯酸得到的重复单元。
上述式(1-2)中,M是从烯属不饱和单体衍生得到的重复单元。关于M,没有特别限制,但优选是在侧链上含有具有氢键性的极性基团的重复单元。M优选是下述通式(2)所表示的重复单元。
通式(2)
关于上述通式(2),与在本发明的第1方面中所说明的通式(2)含义相同,其优选范围也相同。
上述通式(1-2)所表示的含有氟代脂肪族基团的聚合物分别含有重复单元A、B、M以及D的至少1种。即,上述式(1-2)中,表示各重复单元的种类的数目的i、j、k以及1分别是1以上的整数。上述通式(1-2)所表示的含有氟代脂肪族基团的聚合物可以含有2种以上的各重复单元,还可以含有重复单元A、B、M以及D以外的重复单元。单元A、B、M以及D以外的重复单元的例子包括由从下述物质中选择的单体衍生得到的重复单元,各单体在具体例子与本发明的第1方面中例示的单体组(1)~(8)的具体例子相同。
(1)链烯类、
(2)二烯烃类、
(3)α,β-不饱和羧酸的衍生物、
(3a)丙烯酸烷基酯类
(3b)甲基丙烯酸烷基酯类
(3c)不饱和多元羧酸的二酯类
(3d)α、β-不饱和羧酸的酰胺类
(4)不饱和腈类、
(5)苯乙烯及其衍生物、
(6)乙烯基酯类、
(7)乙烯基醚类、以及
(8)其它的聚合性单体。
上述通式(1-2)中,a、b、c以及d是表示衍生出各重复单元的单体的聚合比的质量百分率,∑ai表示1~98质量%的数值,∑bj表不1~98质量%的数值,∑ck表示1~98质量%的数值,∑dl优选是0.1~20质量%的数值。∑ai优选是5~40质量%,∑bj优选是5~40质量%,∑ck优选是20~90质量%,∑dl优选是0.5~15质量%,∑ai更优选是10~35质量%,∑bj更优选是10~35质量%,∑ck更优选是30~80质量%,∑dl更优选是1~10质量%。上述通式(1-2)所表示的含有氟代脂肪族基团的聚合物也可以含有上述重复单元A、B、M以及D以外的重复单元,即,也可以是∑ai+∑bj+∑ck+∑dl<100质量%,但是优选不含有上述重复单元A、B、M以及D以外的重复单元,即,优选∑ai+∑bj+∑ck+∑dl=100质量%。
此外,当从在含有氟代脂肪族基团的聚合物中所包含的含有氟代脂肪族基团的单体衍生得到的重复单元A以及B的比例在规定的范围内时,可以进一步减轻在干燥初期的斑点的发生,所以是优选的。具体地说,i种重复单元A的总质量∑ai和j种重复单元B的总质量之和(∑ai+∑bj)优选是20~50质量%,更优选是25~45质量%,进一步优选是25~40质量%。当(∑ai+∑bj)低于20质量%时,在空气界面上的液晶化合物的控制不充分,有时使光学薄膜的斑点减低的本发明的第2方面的效果弱,当超过50质量%时,将液晶性组合物涂布在表面(例如聚合物薄膜等透明支撑体的表面)上时的涂布性不充分,有时发生涂刷困难故障。当(∑ai+∑bj)在上述范围内时,没有上述问题,可以进一步减轻初期干燥时的斑点。
此外,从相同的观点来看,∑ai与∑ai+∑bj的比例(∑ai/(∑ai+∑bj))优选是0.2~0.8,更优选是0.3~0.6,进一步优选是0.35~0.55。当上述比(∑ai/(∑ai+∑bj))低于0.2时,在空气界面上的液晶化合物的控制不充分,有时使光学薄膜的斑点减低的本发明的第2方面的效果弱,而当超过0.8时,在将液晶性组合物涂布在表面(例如聚合物薄膜等透明支撑体的表面)上时的涂布性不充分,有时发生涂刷困难故障。当∑ai/(∑ai+∑bj))在上述范围内时,没有上述问题,可以进一步减轻在干燥初期时的斑点,所以是优选的。
将在本发明的第2方面中可以使用的含有氟代脂肪族基团的聚合物的具体例子同玻璃化转变温度一起归纳在以下的表中,但并不限于以下的具体例子。在下述表中,重复单元A、B以及M通过衍生出各重复单元的单体的例示化合物No.来表征。
| 聚合物No. | 重复单元A(∑ai:质量%) | 重复单元B(∑bj:质量%) | 重复单元M(∑ck:质量%) | 重复单元D(∑dl:质量%) | 玻璃化转变温度(℃) |
| P2-1 | A2-2(20) | B2-2(20) | C-27(55) | 甲基丙烯酸(5) | -22℃ |
| P2-2 | A2-2(20) | B2-2(20) | C-27(50) | 甲基丙烯酸(10) | -2℃ |
| P2-3 | A2-2(20) | B2-2(20) | C-27(45) | 甲基丙烯酸(15) | 13℃ |
| P2-4 | A2-2(20) | B2-2(20) | C-27(40) | 甲基丙烯酸(20) | 27℃ |
| P2-5 | A2-2(25) | B2-2(25) | C-27(49) | 甲基丙烯酸(1) | -20℃ |
| P2-6 | A2-2(25) | B2-2(25) | C-27(45) | 甲基丙烯酸(5) | -9℃ |
| P2-7 | A2-2(25) | B2-2(25) | C-27(35) | 甲基丙烯酸(15) | 2℃ |
| P2-8 | A2-2(25) | B2-2(25) | C-27(35) | 甲基丙烯酸甲酯(15) | 2℃ |
| P2-9 | A1-2(25) | B1-2(25) | C-27(35) | 甲基丙烯酸(15) | -3℃ |
本发明的第2方面的液晶性组合物含有至少1种上述含有氟代脂肪族基团的聚合物即可,当然也可以含有2种以上。在上述组合物中,上述含有氟代脂肪族基团的聚合物分添加量优选是液晶性化合物(优选为圆盘状液晶性化合物)的质量的0.01~20质量%,更优选是0.05~10质量%,进一步优选是0.1~5质量%。此外,在本发明的第2方面的液晶性组合物中,当上述含有氟代脂肪族基团的聚合物的含量相对于液晶性组合物(调制成涂布液时为固体成分)的总质量为0.02~0.50质量%时,粘连更难以发生,所以是优选的,从相同的观点来看更优选是0.03~0.30质量%,进一步优选是0.05~0.20质量%。成为引起粘连现象这样的不良效果的原因。粘连现象是指,例如在涂布液变干之前通过施加过度的压力来将重叠的膜粘接,以及即使在干燥后发生固化后,通过在膜表面上添加物等不均匀地存在,在膜彼此之间接触时粘接等的现象。由此在制作长尺寸状的膜、将该膜卷取而以辊形态保管和搬送等时,膜表面和膜背面被层叠,并以加压的状态长期间保存。通过加压而引起粘连,结果不仅膜的透明性受损,而且发生膜表面和膜背面粘接等不利情况。因此,更难引起粘连者在制造后的操作性变得容易,总的生产率提高,所以是优选的。
另外,上述组合物(在组合物调制成涂布液等时为固体成分)中的上述含有氟代脂肪族基团的聚合物的浓度C质量%的优选范围是随着该含有氟代脂肪族基团的聚合物中的氟含量F%不同而变动的。为了进一步减轻干燥初期的斑点,上述含有氟代脂肪族基团的聚合物的浓度C质量%和该含有氟代脂肪族基团的聚合物中的氟含量F%之积优选是0.05~0.12,更优选是0.06~0.09,进一步优选是0.06~0.08。当C×F低于0.05时,在空气界面上的液晶化合物的控制不充分,有时光学薄膜的外观特性(斑点的程度)变差,而当超过0.12时,在将液晶性组合物涂布在表面(例如聚合物薄膜等透明支撑体的表面)上时的涂布性不充分,有时光学薄膜的外观特性(涂刷困难故障发生)变差。当C×F在上述范围内时,没有上述问题,可以进一步减轻在干燥初期时的斑点。
·第2含有氟代脂肪族基团的聚合物
在本发明的第2方面的液晶性组合物中,也可以添加1种以上的上述含有氟代脂肪族基团的聚合物(以下称为“第1含有氟代脂肪族基团的聚合物”)的范围之外的含有氟代脂肪族基团的聚合物(以下有时称为“第2含有氟代脂肪族基团的聚合物”)。作为第2含有氟代脂肪族基团的聚合物,可以例示出与可以添加在本发明的第1方面的液晶性组合物中的第2含有氟代脂肪族基团的聚合物相同的化合物,优选的例子也相同。此外,添加量的优选范围也与本发明的第1方面相同。
上述第1含有氟代脂肪族基团的聚合物(以及根据需要而添加的第2含有氟代脂肪族基团的聚合物)的重均分子量优选为1,000,000以下。更优选重均分子量为500,000以下,特别优选重均分子量为100,000以下。
重均分子量可以使用凝胶渗透色谱法(GPC)以聚环氧乙烷(PEO)换算的值来测定。
关于上述第1以及第2含有氟代脂肪族基团的聚合物(以及根据需要而添加的第2含有氟代脂肪族基团的聚合物)的制造方法,与在本发明的第1方面中利用的第1以及第2含有氟代脂肪族基团的聚合物的制造方法相同。
·液晶性组合物
接下来,对本发明的第2方面的液晶性组合物中所使用的液晶性化合物进行说明。在本发明的第2方面中可以使用的液晶性化合物的例子中包括棒状液晶性化合物以及圆盘状液晶性化合物。关于在本发明的第2方面中可以利用的棒状液晶性化合物以及圆盘状液晶性化合物,与在本发明的第1方面中可以利用的分别相同,优选的例子也相同。此外,在上述组合物中的各成分的含量的优选范围及其调制方法也与本发明的第1方面的组合物相同。
此外,在将本发明的第2方面的液晶组合物调制成涂布液的方案中,其涂布液的表面张力的优选范围与本发明的第1方面相同。
[光学各向异性膜以及光学薄膜]
本发明也涉及由本发明的第1以及第2方面的液晶性组合物形成的光学各向异性膜,以及具有由上述液晶性组合物形成的光学各向异性层的光学薄膜。光学各向异性膜等优选是通过将上述液晶性组合物调制成涂布液,将该涂布液涂布在表面(作为支撑体的聚合物薄膜等的表面或取向膜的表面)上,使液晶性化合物的分子成为所希望的取向状态后,将其取向状态固定来形成。涂布液的涂布是通过公知的方法(例如,绕线棒涂布法、挤出涂布法、直接凹版涂布法、逆向凹版涂布法、模头涂布法)来实施。
涂布后,进行干燥而除去溶剂,同时根据必要来控制温度,从而使液晶性化合物的分子成为所希望的取向状态。可以是水平取向、垂直取向、混合取向、倾斜取向等中的任一种。在使圆盘状液晶性化合物混合取向时,使圆盘状液晶性化合物的分子的长轴(圆盘面)与层面的角度即倾斜角沿光学各向异性膜等的深度方向增加或减少。角度优选随着与涂布的表面(例如取向膜界面)的距离的增加而减少。此外,作为倾斜角的变化形式,可以是包括连续的增加、连续的减少、间歇的增加、间歇的减少、连续的增加和连续的减少的变化,或者可以是包括增加以及减少的间歇的变化。间歇的变化包括在厚度方向的途中倾斜角没有变化的区域。可以包含角度没有变化的区域,只要整体上增加或减少即可。但是,优选倾斜角连续地变化。
圆盘状液晶性化合物的长轴(圆盘面)的平均方向(各分子的长轴方向的平均)通常可以通过对圆盘状液晶性化合物或取向膜的材料加以选择,或者对摩擦处理方法加以选择来进行调整。另外,表面侧(空气侧)的圆盘状液晶性化合物的长轴(圆盘面)方向通常可以通过对与圆盘状液晶性化合物或者圆盘状液晶性化合物一起使用的上述的添加剂的种类、含有氟代脂肪族基团的聚合物加以选择来进行调整。
接着,将取向状态固定。取向状态的固定化优选通过聚合反应来实施。聚合反应包括使用热聚合引发剂的热聚合反应和使用光聚合引发剂的光聚合反应。优选光聚合反应。在涂布液中,优选含有有助于液晶性化合物的固定化的聚合性单体、聚合引发剂。聚合性单体优选例如具有乙烯基、乙烯氧基、丙烯酰基以及甲基丙烯酰基的化合物。上述化合物的添加量相对于液晶性化合物通常为1~50重量%,优选为5~30重量%。另外,当混合使用聚合性的反应性官能基团数为3以上的单体时,可以提高取向膜和光学各向异性层间的粘附性。
光聚合引发剂的例子包括α-羰基化合物(美国专利2367661号、美国专利2367670号各公报记载)、偶姻醚(美国专利2448828号公报记载)、α-烃取代芳香族偶姻化合物(美国专利2722512号公报记载)、多核醌化合物(美国专利3046127号、美国专利2951758号各公报记载)、三芳基咪唑二聚物和对氨基苯基酮的组合(美国专利3549367号公报记载)、吖啶以及吩嗪化合物(特开昭60-105667号、美国专利4239850号各公报记载)以及噁二唑化合物(美国专利4212970号公报记载)。
光聚合引发剂的使用量优选为涂布液的固体成分的0.01~20重量%,进一步优选为0.5~5重量%。
用于液晶性分子的聚合的光照射优选使用紫外线。照射能量优选在20mJ/cm2~50J/cm2的范围内,更优选在20mJ/cm2~5000mJ/cm2的范围内,进一步优选在100mJ/cm2~800mJ/cm2的范围内。另外,为了促进光聚合反应,也可以在加热条件下实施光照射。
这样形成的光学各向异性膜以及光学各向异性层的厚度优选为0.1~20μm,进一步优选为0.5~15μm,更进一步优选为1~10μm。
上述光学各向异性膜以及光学各向异性层因为是涂布在表面上来形成的,在与该表面的界面和其相反侧存在空气界面。在上述含有氟代脂肪族基团的聚合物中存在的氟原子因为有助于减轻斑点,所以优选在空气界面上不均匀地存在。另一方面,在将空气界面设定为0nm的位置,在从0nm到深度方向为10nm的范围内,氟原子以某种程度存在对于减轻斑点来说也是重要的。从这种观点来看,在将空气界面上的氟原子存在比率(ESCA:F/C)设定为100时,从距离空气界面10nm的位置处的氟原子存在率(ESCA:F/C)优选为2~10。
在制作上述光学各向异性膜以及光学各向异性层时,优选利用取向膜。取向膜具有对液晶性分子的取向方向进行规定的功能。取向膜优选是在由改性聚乙烯醇构成的膜的表面上实施摩擦处理来制作的。
本发明的光学薄膜优选具有支撑上述光学各向异性层的基板(以下有时称为“支撑体”)。上述基板优选是玻璃或透明的聚合物薄膜。优选上述基板的光透过率(400~700nm)为80%以上,雾度为2.0%以下。更优选光透过率为86%以上,雾度为1.0%以下。构成聚合物薄膜的聚合物的例子包括纤维素酯(例如纤维素的一、二或三酰化物)、降冰片烯系聚合物以及聚甲基丙烯酸甲酯。市售的聚合物(降冰片烯系聚合物可以使用ア一トン以及ぜオネツクス(均为商品名))。另外,即使是以前一直知道的聚碳酸酯和聚砜之类的容易显现出双折射的聚合物,只要如国际公开第00/26705号小册子所记载的那样,通过修饰分子来控制双折射的显现性,就也可以用于本发明的光学薄膜中。
[偏振片]
本发明涉及具有上述光学薄膜和起偏振器的偏振片。上述偏振片可以与作为直线偏振膜的起偏振器组合而用于椭圆偏振片的用途。
通过将本发明的光学薄膜和偏振膜层叠可以制作椭圆偏振片。上述偏振膜包括碘系偏振膜、使用了二色性染料的染料系偏振膜、多烯烃系偏振膜。碘系偏振膜以及染料系偏振膜通常使用聚乙烯醇系薄膜来制造。偏振膜的偏振轴与薄膜的延伸方向垂直的方向相当。
优选在偏振膜的一个表面上层叠上述光学薄膜,在另一个表面上层叠保护膜。保护膜优选是光透过率为80%以上的透明保护膜。透明保护膜通常使用纤维素酯薄膜,优选使用三乙酰纤维素薄膜。纤维素酯薄膜优选通过溶剂流铸法形成。保护膜的厚度优选为20~500μm,进一步优选为50~200μm。
[液晶显示装置]
本发明中,可以使用本发明的光学薄膜作为光学补偿片材,和/或使用本发明的偏振片作为椭圆偏振片,从而用于液晶显示装置中。可以用于IPS(面内切换)、FDC(FerroeDectric Diquid Crystal)、OCB(光学补偿弯曲)、STN(超扭曲向列)、VA(垂直取向)以及HAN(混合排列向列)模式之类的各种显示模式的液晶显示装置中。
实施例
以下举出实施例来更具体地说明本发明。在以下的实施例中示出的材料、试剂、物质的量及其比例、操作等在不脱离本发明的主旨的情况下可以进行适宜变更。因此,本发明的范围不限于以下的具体例。另外,在以下中,“份”以及%只要没有特别说明,则均是以质量为基准的。
[实施例1-1]
将三乙酸纤维素薄膜(TAC薄膜)在2.0N的氢氧化钾溶液(25℃)中浸渍2分钟后,用硫酸中和,并用纯水进行水洗,然后进行干燥。在TAC薄膜上用#16的绕线棒涂布机以28ml/m2的涂布量涂布下述的组成的取向膜涂布液。用60℃的热风干燥60秒,然后用90℃的热风干燥150秒。
(取向膜涂布液组成)
下述的改性聚乙烯醇 10质量份
水 371质量份
甲醇 119质量份
戊二醛(交联剂) 0.5质量份
改性聚乙烯醇
沿与TAC薄膜的慢轴平行的方向对取向膜实施了摩擦处理。
(光学各向异性层的形成)
调制下述的组成的涂布液1-1。
下述的圆盘状液晶性化合物 27.46质量%
环氧乙烷改性三羟甲基丙烷三丙烯酸酯
(V#360、大阪有机化学株式会社制) 2.72质量%
乙酸丁酸纤维素
(CAB551-0·2、Eastman Chemical公司制) 0.23质量%
乙酸丁酸纤维素
(CAB531-1、Eastman Chemical公司制) 0.07质量%
例示聚合物P1-1(MW=15000) 0.07质量%
(通式(1-1)的第1含有氟代脂肪族基团的聚合物)
下述聚合物P-0(MW=MW=13000) 0.07质量%
(第2含有氟代脂肪族基团的聚合物)
光聚合引发剂(Irgacure 907、Ciba-Geigy公司制) 0.90质量%
增感剂(Kayacure DETX、日本化药株式会社制) 0.30质量%
圆盘状液晶性化合物
聚合物P-0
Mw=33000
将上述成分混合,溶解在甲乙酮(68.31质量%)中而调制成涂布液1-1,将该涂布液用#3.6的绕线棒连续地涂布在取向膜上,在130℃的状态加热2分钟,使圆盘状液晶性化合物取向。接着,在100℃下使用120W/cm的高压水银灯,用UV照射1分钟,使圆盘状液晶性化合物聚合。然后,放冷到室温。这样,制作成光学薄膜1-1。
除了将含有氟代脂肪族基团的聚合物P1-1按照下述表1-1中所示,变更成各种聚合物,以及变更其添加量以外,与涂布液1-1相同地调制涂布液1-2~1-5,分别使用这些涂布液按照与光学薄膜1-1相同的方法制作成光学薄膜1-2~1-5。
(外观评价)
关于制作成的光学薄膜1-1~1-5,用以下的方法来观察斑点的有无,并用以下的基准来评价外观。
(偏振片的制作)
使用聚乙烯醇系粘接剂将制作成的光学薄膜以聚合物基材(TAC薄膜)面贴附到起偏振器的单侧上。此外,对厚度为80μm的三乙酰纤维素薄膜(TD-80U:富士胶片株式会社制)进行皂化处理,并使用聚乙烯醇系粘接剂贴附到起偏振器的相反侧上。配置成使起偏振器的透过轴和聚合物基材的慢轴平行。配置成使起偏振器的透过轴和上述三乙酰纤维素薄膜的慢轴垂直。这样,制作成偏振片。
(在平面高亮度光源上的斑点评价)
将上述偏振片贴合在平面高亮度光源(群馬ゥシオ電机制 FP901高亮度平面光源)上,与作为判断基准的等级样品对比,通过肉眼来评价斑点。
表1-1
| 光学薄膜 | 第1含有氟代脂肪族基团的聚合物(质量%) | 第2含有氟代脂肪族基团的聚合物(质量%) | 外观评价结果 |
| 1-1(本发明) | P1-1(0.07) | P-0(0.07) | ○ |
| 1-2(本发明) | P1-2(0.07) | P-0(0.04) | ○ |
| 1-3(本发明) | P1-18(0.07) | P-0(0.03) | ○ |
| 1-4(比较例) | Pc-1(0.09) | - | × |
| 1-5(比较例) | Pc-2(0.14) | P-0(0.01) | × |
聚合物Pc-1(MW=15000)
聚合物Pc-2(MW=15000)
从上述表1-1中记载的结果可知,使用上述通式(1-1)所表示的含有氟代脂肪族基团的聚合物来形成光学各向异性层的光学薄膜1-1以及1-2完全没有斑点。
(光学薄膜的粘连评价)
对上述制作成的光学薄膜1-1~1-3用以下的方法进行粘连评价。另外,P1-1以及P1-2在25℃下的粘度是30Pa·s左右,而P1-18在相同温度下的粘度为309Pa·s。
(评价用薄膜的制作)
将制作成的光学薄膜切取成5cm×5cm的大小,将2片重叠起来。在其上设置面积为4cm×1cm的橡胶板,再在其上施加10kg重量的重物,并且放置3小时。将重物和橡胶板去除,制作成粘连评价用的样品。
(粘连的评价)
用高亮度光源对制作成的粘连评价用薄膜的涂布面进行观察,使之与作为判断基准的等级样品对比,通过肉眼来评价斑点。
结果,光学薄膜1-1以及1-2发生了在薄膜表面上出现粘接痕迹的粘连,但光学薄膜3完全没有观察到粘连现象。
[实施例1-2]
关于例示单体A2-2、例示单体B2-2、以及例示单体C-27,使加料量进行各种变化而实施聚合,分别合成下述式的a、b、c(表示各自的聚合比的质量%)为各种值的含有氟代脂肪族基团的甲基丙烯酸系聚合物(式(1-1)的聚合物)PM1-1~PM1-10。
此外,关于例示单体A1-2、例示单体B1-2以及例示单体C-26,使加料量进行各种变化而实施聚合,分别合成下述式的a、b、c为各种值的含有氟代脂肪族基团的丙烯酸系聚合物(式(1-1)的聚合物)PA-1~10。
含有氟代脂肪族基团的甲基丙烯酸系聚合物
含有氟代脂肪族基团的丙烯酸系聚合物
除了使用所合成的各个聚合物来代替聚合物P1-1以外,按照相同的方法来制作光学薄膜1-10~1-20,按照与上述相同的方法来评价光学薄膜的外观(斑点的有无)。其中,更详细地说,是用以下的基准进行评价。
(偏振片的制作)
使用聚乙烯醇系粘接剂将制作成的光学薄膜以聚合物基材(TAC薄膜)面贴附到起偏振器的单侧上。此外,对厚度为80μm的三乙酰纤维素薄膜(TD-80U:富士胶片株式会社制)进行皂化处理,并使用聚乙烯醇系粘接剂贴附到起偏振器的相反侧上。配置成使起偏振器的透过轴和聚合物基材的慢轴平行。配置成使起偏振器的透过轴和上述三乙酰纤维素薄膜的慢轴垂直。这样,制作成偏振片。
(TN液晶单元中的评价)
将在使用了TN型液晶单元的液晶显示装置(V260B1、チメィ電子株式会社制)中设置的一对偏振片剥下来,而代之以将实施例1-1中制作成的上述偏振片通过粘合剂各贴附一片到观察者侧以及背光源侧上,以使得上述光学薄膜成为液晶单元侧。按照观察者侧的偏振片的透过轴和背光源侧的偏振片的透过轴成为O模式的方式配置。
(液晶显示装置面板上的斑点评价)
将上述液晶显示装置的显示面板调整成整面中间色调,使之与成为判断基准的等级样品对比,通过肉眼来评价斑点。
在下述表1-2中示出了所使用的聚合物的a/(a+b)的值、(a+b)的值、以及斑点的评价结果。表中的评价结果的数值是通过与样品的对比来判定的斑点评价的分数,数值越小,表示斑点越没有。
表1-2
| a/(a+b) | (a+b) | 外观特性评价结果 | |||
| PM1-1 | 甲基丙烯酸型 | 0.85 | 40.0 | 3 | △ |
| PM1-2 | 甲基丙烯酸型 | 0.6 | 37.0 | 2 | ○ |
| PM1-3 | 甲基丙烯酸型 | 0.6 | 42.0 | 2 | ○ |
| PM1-4 | 甲基丙烯酸型 | 0.6 | 48.0 | 2 | ○ |
| PM1-5 | 甲基丙烯酸型 | 0.5 | 36.0 | 1 | ○ |
| PM1-6 | 甲基丙烯酸型 | 0.5 | 47.0 | 1 | ○ |
| PM1-7(P1-1) | 甲基丙烯酸型 | 0.5 | 40.0 | 1 | ○ |
| PM1-8 | 甲基丙烯酸型 | 0.4 | 35.0 | 2 | ○ |
| PM1-9 | 甲基丙烯酸型 | 0.4 | 40.0 | 2 | ○ |
| PM1-10 | 甲基丙烯酸型 | 0.4 | 46.0 | 2 | ○ |
| PM1-11(P1-2) | 甲基丙烯酸型 | 0.25 | 40.0 | 2 | ○ |
| PM1-12 | 甲基丙烯酸型 | 0.15 | 33.0 | 3 | △ |
| PA-1 | 丙烯酸型 | 0.85 | 45.0 | 3 | △ |
| PA-2 | 丙烯酸型 | 0.75 | 28.0 | 2 | ○ |
| PA-3 | 丙烯酸型 | 0.75 | 33.0 | 2 | ○ |
| PA-4 | 丙烯酸型 | 0.75 | 43.0 | 2 | ○ |
| PA-5 | 丙烯酸型 | 0.5 | 27.0 | 1 | ○ |
| PA-6 | 丙烯酸型 | 0.5 | 35.0 | 1 | ○ |
| PA-7 | 丙烯酸型 | 0.5 | 41.0 | 1 | ○ |
| PA-8 | 丙烯酸型 | 0.38 | 34.0 | 1 | ○ |
| PA-9 | 丙烯酸型 | 0.32 | 34.0 | 1 | ○ |
| PA-10 | 丙烯酸型 | 0.25 | 26.0 | 2 | ○ |
| PA-11 | 丙烯酸型 | 0.25 | 25.0 | 2 | ○ |
| PA-12 | 丙烯酸型 | 025 | 39.0 | 2 | ○ |
| PA-13 | 丙烯酸型 | 0.20 | 33.0 | 2 | ○ |
| PA-14 | 丙烯酸型 | 0.15 | 35.0 | 3 | △ |
从上述表1-2所示的结果可知,当在通式(1-1)所表示的含有氟代脂肪族基团的聚合物中也使用a/(a+b)的值是0.2~0.8、和/或(a+b)/(a+b+c)为20~50质量%的含有氟代脂肪族基团的聚合物时,可以制作特别是斑点少,外观特性优良的光学薄膜。
[实施例1-3]
关于在上述实施例1-1所制作的各光学薄膜1-1~1-4的制作中使用的涂布液1-1~1-4,通过最大泡压法以规定的时间连续地测定表面张力。测定使用了LAUDA公司的表面张力计“MPT2”。
另外,关于涂布液1-1,分别调制除了改变各成分的浓度以外按照相同的方法调制成的涂布液1-1a以及1-1b,以及关于涂布液1-2,分别调制除了改变各成分的浓度以外按照相同的方法调制成的涂布液1-2a以及1-2b,按照相同的方法连续地测定表面张力。另外,使用各涂布液,按照与实施例1-1相同的方法分别制作光学薄膜1-1a以及1-1b、以及光学薄膜1-2a以及1-2b。
对实施例1-1制作成的光学薄膜1-1以及1-2、以及光学薄膜1-1a、1-1b、1-2a以及1-2b,按照与上述相同的方法评价外观(斑点的有无)。其中,更详细地说,用以下的基准进行评价。
将各涂布液的表面张力的测定值以及各光学薄膜的外观评价结果分别示于下述表1-3中。
表1-3
| 涂布液 | 含有氟代脂肪族基团的聚合物 | 涂布经过时间(m/秒) | 表面张力比10m秒/1000m秒 | 光学薄膜 | 外观特性 | |||
| 10 | 100 | 1000 | ||||||
| 1-1(本发明) | P1-1 | 25.0 | 22.5 | 21.9 | 1.1 | 1 | 1 | ○ |
| 1-1a(本发明) | P1-1 | 29.0 | 25.2 | 23.2 | 1.25 | 1a | 3 | △ |
| 1-1b(本发明) | P1-1 | 29.1 | 25.5 | 22.8 | 1.28 | 1a | 3 | △ |
| 1-2(本发明) | P1-2 | 23.9 | 21.7 | 21.1 | 1.1 | 2 | 1 | ○ |
| 1-2a(本发明) | P1-2 | 28.9 | 25.4 | 23.5 | 1.23 | 2a | 3 | △ |
| 1-2b(本发明) | P1-2 | 28.3 | 24.9 | 22.6 | 1.25 | 2b | 3 | △ |
| 1-3(比较例) | Pc-1 | 28.2 | 22.5 | 20.8 | 1.4 | 3 | 5 | × |
| 1-4(比较例) | Pc-2 | 25.6 | 23.0 | 22.6 | 1.1 | 4 | 4 | × |
从上述表1-3中所示的结果可知,将通式(1-1)所表示的含有氟代脂肪族基团的聚合物的涂布液在干燥初期的表面张力低,结果,斑点被减轻。由此可知,特别是当使用表面张力比(10m秒/1000m秒)为1.0~1.20的涂布液时,斑点被进一步减轻,得到了外观优良的光学薄膜。
[实施例1-4]
关于在实施例1-1中的光学薄膜1-1的制作中使用的涂布液1-1,除了改变例示聚合物P1-1(式(1-1)的含有氟代脂肪族基团的聚合物)的浓度以外,按照相同的方法调制各种涂布液,使用该涂布液来制作各种光学薄膜。关于这些光学薄膜,按照与上述相同的方法进行外观评价。关于各光学薄膜,在其制作中使用的涂布液中的聚合物P1-1的固体成分浓度C与聚合物P1-1的含氟量F(例示聚合物P1-1中,F=0.08%)之积C×F为横轴,以光学薄膜的外观评价结果的分数作为纵轴来作图,归纳于图1的曲线图中。分数3以下是外观容许的等级。
从图1的曲线图中所示的结果可知,涂布液中的聚合物P1-1的C×F的值对光学薄膜的外观特性产生了影响,当C×F在0.05~0.12的范围时,可以得到特别是斑点减轻、外观优良的光学薄膜。
[实施例1-5]
关于在实施例1-1中制作的光学薄膜1-1、1-3以及1-4,通过测定ESCA来调查各光学各向异性层的氟原子的分布。将结果示于下述表1-4中。另外,表1-4中的氟原子比是:将光学薄膜1-1的光学各向异性层的空气界面(0nm)处的氟原子的浓度设定为100,在深度方向为5nm的位置以及10nm的位置的氟原子浓度作为相对值来表示的。在光学薄膜1-3以及1-4中,也是将光学薄膜1-1的光学各向异性层的空气界面(0nm)处的氟原子的浓度设定为100,以其相对值的形式来表示各深度的氟原子浓度。
表1-4
| 光学薄膜 | 含有氟代脂肪族基团的聚合物 | 与光学各向异性层空气界面的距离(nm) | 外观特性 | ||
| 0 | 5 | 10 | |||
| 1-1(本发明) | P1-1 | 100 | 5 | 2 | ○ |
| 1-3(比较例) | Pc-1 | 100 | 0 | 0 | × |
| 1-4(比较例) | Pc-2 | 78 | 42 | 23 | × |
从上述表1-4中所示的结果可以理解,本发明的光学薄膜1-1中氟原子在空气界面上不均匀地存在,同时在深度方向上某种程度地分布(空气界面上为100,而在距离空气界面为10nm的位置处存在2~10左右)。可以认为,通过使用式(1-1)所表示的含有氟代脂肪族基团的聚合物,这种氟原子的分布是可能的,结果光学薄膜的外观被改善。
[实施例2-1]
将三乙酸纤维素薄膜(TAC薄膜)在2.0N的氢氧化钾溶液(25℃)中浸渍2分钟后,用硫酸中和,并用纯水进行水洗,然后进行干燥。在TAC薄膜上上用#16的绕线棒涂布机以28ml/m2的涂布量涂布下述的组成的取向膜涂布液。用60℃的热风干燥60秒,然后用90℃的热风干燥150秒。
(取向膜涂布液组成)
下述的改性聚乙烯醇 10质量份
水 371质量份
甲醇 119质量份
戊二醛(交联剂) 0.5质量份
改性聚乙烯醇
沿与TAC薄膜的慢轴平行的方向对取向膜实施摩擦处理。
(光学各向异性层的形成)
调制下述的组成的涂布液2-1。
下述的圆盘状液晶性化合物 27.46质量%
环氧乙烷改性三羟甲基丙烷三丙烯酸酯
(V#360、大阪有机化学株式会社制) 2.72质量%
乙酸丁酸纤维素
(CAB551-0·2、Eastman Chemical公司制) 0.23质量%
乙酸丁酸纤维素
(CAB531-1、Eastman Chemical公司制) 0.07质量%
例示聚合物P2-1(MW=14000) 0.07质量%
(通式(1-2)的第1含有氟代脂肪族基团的聚合物)
下述聚合物P-0(MW=MW=13000) 0.03质量%
(第2含有氟代脂肪族基团的聚合物)
光聚合引发剂(Irgacure 907、Ciba-Geigy公司制) 0.90质量%
增感剂(Kayacure DETX、日本化药株式会社制) 0.30质量%
圆盘状液晶性化合物
聚合物P-0
Mw=33000
将上述成分混合,溶解在甲乙酮(68.31质量%)中而调制成涂布液2-1,将该涂布液用#3.6的绕线棒连续地涂布在取向膜上,在130℃的状态下加热2分钟,使圆盘状液晶性化合物取向。接着,在100℃下使用120W/cm的高压水银灯,用UV照射1分钟,使圆盘状液晶性化合物聚合。然后,放冷到室温。这样,制作成光学薄膜2-1。
除了将含有氟代脂肪族基团的聚合物P2-1按照下述表2-1中所示,变更其它的聚合物及其添加量以外,与涂布液2-1相同地调制涂布液2-2~2-14,分别使用这些涂布液按照与光学薄膜2-1相同的方法制作成光学薄膜2-2~2-14。
(外观评价)
关于制作成的光学薄膜2-2~2-14,用以下的方法来观察斑点的有无,并用以下的基准来评价外观。
(偏振片的制作)
使用聚乙烯醇系粘接剂将制作成的光学薄膜以聚合物基材(TAC薄膜)面贴附到起偏振器的单侧上。此外,对厚度为80μm的三乙酰纤维素薄膜(TD-80U:富士胶片株式会社制)进行皂化处理,并使用聚乙烯醇系粘接剂贴附到起偏振器的相反侧上。配置成使起偏振器的透过轴和聚合物基材的慢轴平行。配置成使起偏振器的透过轴和上述三乙酰纤维素薄膜的慢轴垂直。这样,制作成偏振片。
(在平面高亮度光源上的斑点评价)
将上述偏振片贴合在平面高亮度光源(群馬ゥシオ電机制 FP901高亮度平面光源)上,与作为判断基准的等级样品对比,通过肉眼来评价斑点。
○:用肉眼没有发现斑点。
△:用肉眼观察到若干斑点。
×:即使用肉眼也能明确地观察到斑点。
<光学薄膜的粘连评价>
关于制作成的光学薄膜2-1~2-14,用以下的方法进行粘连评价。
(评价用薄膜的制作)
将制作成的光学薄膜切取成5cm×5cm的大小,将2片重叠起来。在其上设置面积为4cm×1cm的橡胶板,再在其上施加10kg重量的重物,并且放置3小时。将重物和橡胶板去除,制作成粘连评价用的样品。
(粘连的评价)
用高亮度光源对制作成的粘连评价用薄膜的涂布面进行观察,使之与作为判断基准的等级样品对比,通过肉眼来评价斑点。
◎:完全没有粘连现象,通过肉眼完全不能发现斑点。
○:粘连现象稍微发生,但没有产生用肉眼可以发现的程度的斑点。
△:粘连现象发生,且产生了用肉眼可以发现的斑点。
×:粘连现象发生,且显著地产生了可以用肉眼发现的斑点。
表2-1
| 光学薄膜 | 第1含有氟代脂肪族基团的聚合物(质量%) | 玻璃化转变温度 | 斑点评价结果 | 粘连评价 |
| 2-1 | P2-1(0.07) | -22℃ | ○ | ○ |
| 2-2 | P2-2(0.07) | -2℃ | ○ | ○ |
| 2-3 | P2-3(0.07) | 13℃ | ○ | ◎ |
| 2-4 | P2-4(0.07) | 27℃ | ○ | ◎ |
| 2-5 | P2-5(0.07) | -20℃ | ○ | ○ |
| 2-6 | P2-6(0.07) | -9℃ | ○ | ○ |
| 2-7 | P2-7(0.07) | 20℃ | ○ | ◎ |
| 2-8 | P2-8(0.07) | 2℃ | ○ | ○ |
| 2-9 | P2-9(0.07) | -3℃ | ○ | ○ |
| 2-10 | P2-6(0.20) | -9℃ | ○ | ○ |
| 2-11 | P2-6(0.80) | -9℃ | ○ | △ |
| 2-12 | P2-6(0.01) | -9℃ | △ | ○ |
| 2-13 | Pc-1(0.07) | -60℃ | ○ | × |
| 2-14 | Pc-2(0.07) | -53℃ | × | × |
Pc-1(MW=13000)
Pc-2(MW=15000)
从上述表中所示的结果可知,使用了玻璃化转变温度在规定的范围内的含有氟代脂肪族基团的聚合物的光学薄膜2-1~2-12的斑点评价以及粘连评价均良好。
[实施例2-2]
关于例示单体A1-2、例示单体B1-2、以及例示单体C-27,使加料量进行各种变化而实施聚合,分别合成了下述式的a、b、c、d(分别表示聚合比的质量%)为各种值的含有氟代脂肪族基团的甲基丙烯酸系聚合物(式(1-2)的聚合物)PM2-1~PM2-10。
此外,关于例示单体A1-2、例示单体B1-2、以及例示单体C-26,使加料量进行各种变化而实施聚合,分别合成了下述式的a、b、c、d为各种值的含有氟代脂肪族基团的丙烯酸系聚合物(式(1-2)的聚合物)PA-1~10。
含有氟代脂肪族基团的甲基丙烯酸系聚合物
含有氟代脂肪族基团的丙烯酸系聚合物
除了使用所合成的各个聚合物来代替聚合物P2-1以外,按照相同的方法来制作光学薄膜2-10~2-20,按照与上述相同的方法来评价光学薄膜的外观(斑点的有无)。其中,更详细地说,是用以下的基准进行评价。
(偏振片的制作)
使用聚乙烯醇系粘接剂将制作成的光学薄膜以聚合物基材(TAC薄膜)面贴附到起偏振器的单侧上。此外,对厚度为80μm的三乙酰纤维素薄膜(TD-80U:富士胶片株式会社制)进行皂化处理,并使用聚乙烯醇系粘接剂贴附到起偏振器的相反侧上。配置成使起偏振器的透过轴和聚合物基材的慢轴平行。配置成使起偏振器的透过轴和上述三乙酰纤维素薄膜的慢轴垂直。这样,制作成偏振片。
(TN液晶单元中的评价)
将在使用了TN型液晶单元的液晶显示装置(V260B1、チメィ電子株式会社制)中设置的一对偏振片剥下来,而代之以将实施例2-1中制作成的上述偏振片通过粘合剂各贴附一片到观察者侧以及背光源侧上,以使得上述光学薄膜成为液晶单元侧。按照观察者侧的偏振片的透过轴和背光源侧的偏振片的透过轴成为O模式的方式配置。
(液晶显示装置面板上的斑点评价)
将上述液晶显示装置的显示面板调整成整面中间色调,使之与成为判断基准的等级样品对比,通过肉眼来评价斑点。
在下述表2-2中示出了所使用的聚合物的a/(a+b)的值、(a+b)的值、以及斑点的评价结果。表中的评价结果的数值是通过与样品的对比来判定的斑点评价的分数,数值越小,表示斑点越没有。
表2-2
| a/(a+b) | (a+b) | 斑点评价结果 | |||
| PM2-1 | 甲基丙烯酸型 | 0.85 | 40.0 | 3 | △ |
| PM2-2 | 甲基丙烯酸型 | 0.6 | 37.0 | 2 | ○ |
| PM2-3 | 甲基丙烯酸型 | 0.6 | 42.0 | 2 | ○ |
| PM2-4 | 甲基丙烯酸型 | 0.6 | 48.0 | 2 | ○ |
| PM2-5 | 甲基丙烯酸型 | 0.5 | 36.0 | 1 | ○ |
| PM2-6 | 甲基丙烯酸型 | 0.5 | 47.0 | 1 | ○ |
| PM2-7(P2-1) | 甲基丙烯酸型 | 0.5 | 40.0 | 1 | ○ |
| PM2-8 | 甲基丙烯酸型 | 0.4 | 35.0 | 2 | ○ |
| PM2-9 | 甲基丙烯酸型 | 0.4 | 40.0 | 2 | ○ |
| PM2-10 | 甲基丙烯酸型 | 0.4 | 46.0 | 2 | ○ |
| PM2-11 | 甲基丙烯酸型 | 0.25 | 40.0 | 2 | ○ |
| PM2-12 | 甲基丙烯酸型 | 0.15 | 33.0 | 3 | △ |
| PA-1 | 丙烯酸型 | 0.85 | 45.0 | 3 | △ |
| PA-2 | 丙烯酸型 | 0.75 | 28.0 | 2 | ○ |
| PA-3 | 丙烯酸型 | 0.75 | 33.0 | 2 | ○ |
| PA-4 | 丙烯酸型 | 0.75 | 43.0 | 2 | ○ |
| PA-5 | 丙烯酸型 | 0.5 | 27.0 | 1 | ○ |
| PA-6 | 丙烯酸型 | 0.5 | 35.0 | 1 | ○ |
| PA-7 | 丙烯酸型 | 0.5 | 41.0 | 1 | ○ |
| PA-8 | 丙烯酸型 | 0.38 | 34.0 | 1 | ○ |
| PA-9 | 丙烯酸型 | 0.32 | 34.0 | 1 | ○ |
| PA-10 | 丙烯酸型 | 0.25 | 26.0 | 2 | ○ |
| PA-11 | 丙烯酸型 | 0.25 | 25.0 | 2 | ○ |
| PA-12 | 丙烯酸型 | 025 | 39.0 | 2 | ○ |
| PA-13 | 丙烯酸型 | 0.20 | 33.0 | 2 | ○ |
| PA-14 | 丙烯酸型 | 0.15 | 35.0 | 3 | △ |
从上述表2-2所示的结果可知,当在通式(1-2)所表示的含有氟代脂肪族基团的聚合物中也使用a/(a+b)的值为0.2~0.8、和/或(a+b)/(a+b+c+d)为20~50质量%的含有氟代脂肪族基团的聚合物时,可以制作特别是斑点少,外观特性优良的光学薄膜。
Claims (18)
1.一种液晶性组合物,其特征在于,含有至少一种液晶化合物和至少一种下述通式(1-1)所表示的含有氟代脂肪族基团的聚合物,
通式(1-1)
在通式(1-1)中,i以及j分别表示1以上的整数,且是指各重复单元分别含有i以及j种;M是从烯属不饱和单体衍生得到且含有k种的重复单元,其中k是1以上的整数;a、b以及c是表示聚合比的质量百分率,∑ai表示1~98质量%的数值,∑bj表示1~98质量%的数值,∑ck表示1~98质量%的数值;R11以及R12分别表示氢原子或甲基;X1以及X2分别表示氧原子、硫原子或-N(R13)-,R13表示氢原子或碳原子数为1~4的烷基;m1以及m2分别表示1~6的整数,n1表示0~3的整数。
2.根据权利要求1所述的液晶性组合物,其特征在于,∑ai/(∑ai+∑bj)为0.2~0.8。
3.根据权利要求1所述的液晶性组合物,其特征在于,∑ai+∑bj为20~50质量%。
4.根据权利要求1所述的液晶性组合物,其特征在于,所述含有氟代脂肪族基团的聚合物在25℃下的粘度为200Pa·s~10000Pa·s。
5.根据权利要求1所述的液晶性组合物,其特征在于,所述含有氟代脂肪族基团的聚合物的含量为0.02~0.50质量%。
6.根据权利要求1所述的液晶性组合物,其特征在于,用最大泡压法测定的10m秒和1000m秒的表面张力比(10m秒/1000m秒)为1.00~1.20。
7.根据权利要求1所述的液晶性组合物,其特征在于,所述含有氟代脂肪族基团的聚合物的浓度C质量%和该含有氟代脂肪族基团的聚合物中的氟含量F%之积C×F为0.05~0.12。
8.一种液晶性组合物,其特征在于,其是含有至少一种液晶化合物和至少一种含有氟代脂肪族基团的聚合物的液晶性组合物,所述含有氟代脂肪族基团的聚合物的玻璃化转变温度为-25℃~50℃。
9.根据权利要求8所述的液晶性组合物,其特征在于,所述含有氟代脂肪族基团的聚合物的含量相对于组合物固体成分的总质量为0.02~0.50重量%。
10.根据权利要求8所述的液晶性组合物,其特征在于,所述含有氟代脂肪族基团的聚合物是下述通式(1-2)所表示的含有氟代脂肪族基团的聚合物,
通式(1-2)
在通式(1-2)中,i、j以及1分别表示1以上的整数,且是指各重复单元分别含有i、j以及1种;
M是从烯属不饱和单体衍生得到且含有k种的重复单元,其中k是1以上的整数;
a、b、c以及d是表示聚合比的质量百分率,∑ai表示1~98质量%的数值,∑bj表示1~98质量%的数值,∑ck表示1~98质量%的数值,∑dl表示0.1~20质量%的数值;
R11、R12以及R23分别表示氢原子或甲基;R24表示羟基或甲氧基;X1以及X2分别表示氧原子、硫原子或-N(R13)-、R13表示氢原子或碳原子数为1~4的烷基;
m1以及m2分别表示1~6的整数,n1表示0~3的整数。
11.根据权利要求10所述的液晶性组合物,其特征在于,R11、R12以及R23为甲基。
12.根据权利要求10所述的液晶性组合物,其特征在于,∑ai/(∑ai+∑bj)为0.2~0.8。
13.根据权利要求10所述的液晶性组合物,其特征在于,∑ai+∑bj为20~50质量%。
14.一种光学各向异性膜,其由权利要求1~13的任一项中所述的组合物形成。
15.根据权利要求14所述的光学各向异性膜,其特征在于,在将空气界面上的氟原子存在比率(ESCA:F/C)设定为100时,距离空气界面10nm的位置处的氟原子存在率(ESCA:F/C)为2~10。
16.一种光学薄膜,其含有由权利要求1~14的任一项中所述的液晶性组合物形成的光学各向异性层。
17.一种偏振片,其特征在于,其含有权利要求16所述的光学薄膜和起偏振器。
18.一种液晶显示装置,其特征在于,其含有权利要求16所述的光学薄膜。
Applications Claiming Priority (6)
| Application Number | Priority Date | Filing Date | Title |
|---|---|---|---|
| JP2007041746 | 2007-02-22 | ||
| JP041746/2007 | 2007-02-22 | ||
| JP2007207471A JP5186151B2 (ja) | 2007-02-22 | 2007-08-09 | 液晶性組成物、光学異方性膜、光学フィルム、ならびにそれを用いた偏光板及び液晶表示装置 |
| JP207471/2007 | 2007-08-09 | ||
| JP207470/2007 | 2007-08-09 | ||
| JP2007207470A JP5186150B2 (ja) | 2007-08-09 | 2007-08-09 | 液晶性組成物、光学異方性膜、光学フィルム、ならびにそれを用いた偏光板及び液晶表示装置 |
Publications (2)
| Publication Number | Publication Date |
|---|---|
| CN101250412A true CN101250412A (zh) | 2008-08-27 |
| CN101250412B CN101250412B (zh) | 2013-06-05 |
Family
ID=39904582
Family Applications (1)
| Application Number | Title | Priority Date | Filing Date |
|---|---|---|---|
| CN 200810082214 Active CN101250412B (zh) | 2007-02-22 | 2008-02-22 | 液晶性组合物、光学各向异性膜、光学薄膜、偏振片以及液晶显示装置 |
Country Status (2)
| Country | Link |
|---|---|
| JP (1) | JP5186151B2 (zh) |
| CN (1) | CN101250412B (zh) |
Cited By (5)
| Publication number | Priority date | Publication date | Assignee | Title |
|---|---|---|---|---|
| CN106433690A (zh) * | 2015-08-06 | 2017-02-22 | 旭硝子株式会社 | 液晶组合物以及液晶光学元件 |
| CN109791243A (zh) * | 2016-09-30 | 2019-05-21 | 富士胶片株式会社 | 液晶组合物、光学膜、偏振片及图像显示装置 |
| CN111093843A (zh) * | 2017-09-26 | 2020-05-01 | 富士胶片株式会社 | 薄膜的制造方法 |
| CN113544554A (zh) * | 2019-03-07 | 2021-10-22 | 富士胶片株式会社 | 偏振元件及图像显示装置 |
| CN116134114A (zh) * | 2020-07-14 | 2023-05-16 | 富士胶片株式会社 | 液晶组合物、光学各向异性层、层叠体及图像显示装置 |
Families Citing this family (2)
| Publication number | Priority date | Publication date | Assignee | Title |
|---|---|---|---|---|
| JP4993351B2 (ja) * | 2007-02-23 | 2012-08-08 | 富士フイルム株式会社 | 光学フィルムの製造方法及び光学フィルム |
| WO2024195456A1 (ja) * | 2023-03-20 | 2024-09-26 | 富士フイルム株式会社 | 光学異方性膜、光学フィルム、偏光板および画像表示装置 |
Family Cites Families (3)
| Publication number | Priority date | Publication date | Assignee | Title |
|---|---|---|---|---|
| JP4190275B2 (ja) * | 2002-12-16 | 2008-12-03 | 富士フイルム株式会社 | 光学フィルム及びそれを用いた偏光板及び液晶表示装置 |
| JP4907881B2 (ja) * | 2004-09-09 | 2012-04-04 | 富士フイルム株式会社 | 液晶組成物、光学補償フィルム、及び液晶表示装置 |
| JP2007045993A (ja) * | 2005-08-12 | 2007-02-22 | Fujifilm Corp | 液晶組成物、光学補償シート、及び液晶表示装置 |
-
2007
- 2007-08-09 JP JP2007207471A patent/JP5186151B2/ja active Active
-
2008
- 2008-02-22 CN CN 200810082214 patent/CN101250412B/zh active Active
Cited By (8)
| Publication number | Priority date | Publication date | Assignee | Title |
|---|---|---|---|---|
| CN106433690A (zh) * | 2015-08-06 | 2017-02-22 | 旭硝子株式会社 | 液晶组合物以及液晶光学元件 |
| CN106433690B (zh) * | 2015-08-06 | 2021-09-10 | Agc株式会社 | 液晶组合物以及液晶光学元件 |
| CN109791243A (zh) * | 2016-09-30 | 2019-05-21 | 富士胶片株式会社 | 液晶组合物、光学膜、偏振片及图像显示装置 |
| CN109791243B (zh) * | 2016-09-30 | 2021-06-01 | 富士胶片株式会社 | 液晶组合物、光学膜、偏振片及图像显示装置 |
| CN111093843A (zh) * | 2017-09-26 | 2020-05-01 | 富士胶片株式会社 | 薄膜的制造方法 |
| CN113544554A (zh) * | 2019-03-07 | 2021-10-22 | 富士胶片株式会社 | 偏振元件及图像显示装置 |
| CN113544554B (zh) * | 2019-03-07 | 2023-06-20 | 富士胶片株式会社 | 偏振元件及图像显示装置 |
| CN116134114A (zh) * | 2020-07-14 | 2023-05-16 | 富士胶片株式会社 | 液晶组合物、光学各向异性层、层叠体及图像显示装置 |
Also Published As
| Publication number | Publication date |
|---|---|
| JP2008231396A (ja) | 2008-10-02 |
| CN101250412B (zh) | 2013-06-05 |
| JP5186151B2 (ja) | 2013-04-17 |
Similar Documents
| Publication | Publication Date | Title |
|---|---|---|
| CN101250412B (zh) | 液晶性组合物、光学各向异性膜、光学薄膜、偏振片以及液晶显示装置 | |
| JP5948655B2 (ja) | 配向膜組成物により製造された配向膜を含む光学フィルム及び光学フィルムを含むディスプレイ装置 | |
| US8189165B2 (en) | Liquid-crystalline coating fluid and polarizing film | |
| JP5186116B2 (ja) | 化合物、それを含有する液晶組成物、異方性材料、偏光板保護フィルム、光学補償フィルムならびに液晶表示装置 | |
| WO2006052001A1 (ja) | 光学フィルム | |
| TWI744387B (zh) | 液晶組成物、光學膜、偏光板及圖像顯示裝置 | |
| JPWO2016114066A1 (ja) | 重合性組成物及びそれを用いた光学異方体 | |
| MXPA05001005A (es) | Composicion adhesiva para un medio humedo, con base en copolimeros de bloqueo que comprenden por lo menos un bloque hidrofilo. | |
| JP5813681B2 (ja) | 光学フィルムおよびそれを含む液晶表示装置 | |
| JP5884923B2 (ja) | 液晶組成物 | |
| TWI642745B (zh) | 聚合物組成物、包含其的光學層壓體、壓敏黏合光學膜及顯示元件 | |
| CN106716193A (zh) | 层叠体及使用其的光学膜或液晶取向膜 | |
| JP2023033284A (ja) | 組成物及び表示装置 | |
| JP2002333642A (ja) | ホメオトロピック配向液晶性組成物、ホメオトロピック配向液晶フィルムの製造方法およびホメオトロピック配向液晶フィルム | |
| CN101395526A (zh) | 具有优异耐久性的o-板以及包括该o-板的集成偏振板 | |
| WO2016114047A1 (ja) | 重合性液晶組成物及び該組成物を用いて作製した光学異方体、位相差膜、反射防止膜、液晶表示素子 | |
| JP2010224433A (ja) | フィルム状光学素子用光硬化型接着剤および光学素子用フィルム | |
| CN109564317A (zh) | 光学薄膜、偏振片及图像显示装置 | |
| JP5281637B2 (ja) | 光学フィルム、位相差フィルムおよびそれを含む液晶表示装置 | |
| WO2012043719A1 (ja) | 配向膜、光学フィルム、偏光板、及び液晶表示装置 | |
| US7799242B2 (en) | Liquid crystalline composition, optically anisotropic film, optical film, and polarizer and liquid-crystal display device using them | |
| TWI359180B (en) | Pressure-sensitive adhesive composition and adhesi | |
| JP3788746B2 (ja) | ホメオトロピック配向液晶フィルムの屈折率特性制御方法 | |
| JP5655113B2 (ja) | ホメオトロピック配向液晶フィルム、偏光板、画像表示装置、及びホメオトロピック配向液晶フィルムの製造方法 | |
| JP6297705B2 (ja) | 偏光板およびこれを含む画像表示装置 |
Legal Events
| Date | Code | Title | Description |
|---|---|---|---|
| C06 | Publication | ||
| PB01 | Publication | ||
| C10 | Entry into substantive examination | ||
| SE01 | Entry into force of request for substantive examination | ||
| C14 | Grant of patent or utility model | ||
| GR01 | Patent grant |












































































































