WO2019151374A1 - 皮膚への外的ダメージに対する防御効果の評価方法 - Google Patents
皮膚への外的ダメージに対する防御効果の評価方法 Download PDFInfo
- Publication number
- WO2019151374A1 WO2019151374A1 PCT/JP2019/003305 JP2019003305W WO2019151374A1 WO 2019151374 A1 WO2019151374 A1 WO 2019151374A1 JP 2019003305 W JP2019003305 W JP 2019003305W WO 2019151374 A1 WO2019151374 A1 WO 2019151374A1
- Authority
- WO
- WIPO (PCT)
- Prior art keywords
- skin
- evaluation method
- coating film
- heat
- measurement
- Prior art date
- Legal status (The legal status is an assumption and is not a legal conclusion. Google has not performed a legal analysis and makes no representation as to the accuracy of the status listed.)
- Ceased
Links
Images
Classifications
-
- G—PHYSICS
- G01—MEASURING; TESTING
- G01N—INVESTIGATING OR ANALYSING MATERIALS BY DETERMINING THEIR CHEMICAL OR PHYSICAL PROPERTIES
- G01N21/00—Investigating or analysing materials by the use of optical means, i.e. using sub-millimetre waves, infrared, visible or ultraviolet light
- G01N21/17—Systems in which incident light is modified in accordance with the properties of the material investigated
- G01N21/59—Transmissivity
-
- G—PHYSICS
- G01—MEASURING; TESTING
- G01N—INVESTIGATING OR ANALYSING MATERIALS BY DETERMINING THEIR CHEMICAL OR PHYSICAL PROPERTIES
- G01N21/00—Investigating or analysing materials by the use of optical means, i.e. using sub-millimetre waves, infrared, visible or ultraviolet light
- G01N21/17—Systems in which incident light is modified in accordance with the properties of the material investigated
- G01N21/25—Colour; Spectral properties, i.e. comparison of effect of material on the light at two or more different wavelengths or wavelength bands
- G01N21/31—Investigating relative effect of material at wavelengths characteristic of specific elements or molecules, e.g. atomic absorption spectrometry
- G01N21/33—Investigating relative effect of material at wavelengths characteristic of specific elements or molecules, e.g. atomic absorption spectrometry using ultraviolet light
-
- A—HUMAN NECESSITIES
- A61—MEDICAL OR VETERINARY SCIENCE; HYGIENE
- A61K—PREPARATIONS FOR MEDICAL, DENTAL OR TOILETRY PURPOSES
- A61K8/00—Cosmetics or similar toiletry preparations
-
- A—HUMAN NECESSITIES
- A61—MEDICAL OR VETERINARY SCIENCE; HYGIENE
- A61Q—SPECIFIC USE OF COSMETICS OR SIMILAR TOILETRY PREPARATIONS
- A61Q17/00—Barrier preparations; Preparations brought into direct contact with the skin for affording protection against external influences, e.g. sunlight, X-rays or other harmful rays, corrosive materials, bacteria or insect stings
- A61Q17/04—Topical preparations for affording protection against sunlight or other radiation; Topical sun tanning preparations
-
- G—PHYSICS
- G01—MEASURING; TESTING
- G01N—INVESTIGATING OR ANALYSING MATERIALS BY DETERMINING THEIR CHEMICAL OR PHYSICAL PROPERTIES
- G01N33/00—Investigating or analysing materials by specific methods not covered by groups G01N1/00 - G01N31/00
- G01N33/15—Medicinal preparations ; Physical properties thereof, e.g. dissolubility
-
- A—HUMAN NECESSITIES
- A61—MEDICAL OR VETERINARY SCIENCE; HYGIENE
- A61B—DIAGNOSIS; SURGERY; IDENTIFICATION
- A61B5/00—Measuring for diagnostic purposes; Identification of persons
Definitions
- the present invention relates to a method for evaluating a protective effect against external damage to the skin of an external preparation for skin, in particular, an ultraviolet protective effect such as sunscreen cosmetics. More specifically, the present invention relates to an evaluation method that makes it possible to appropriately identify a change in the ultraviolet protection effect due to heat by intentionally incorporating a heat treatment step that has not been taken into account in the conventional evaluation of the ultraviolet protection effect.
- UV rays, blue light, visible rays, infrared rays, and other light rays are known to have an effect on the skin, and many external preparations for skin (including skin care cosmetics) that have the effect of reducing their effects on the skin are known. It has been.
- sunscreen cosmetics suppress the adverse effects on the skin by reducing the amount of ultraviolet rays that reach the skin on which the cosmetics are applied, by the action of UV absorbers and UV scattering agents incorporated in the cosmetics. There is an effect to.
- the sun protection factor (Sun Factor: SPF) is the most widely known, and the UV protection effect is displayed as an SPF value (for example, “SPF30”).
- SPF Sun Factor
- PFA Protection Factor of UVA
- UV APF UV A Protection factor of UV product
- UVA classification
- PA ++ Critical Wavelength
- CW Critical Wavelength
- Patent Document 1 describes an in vitro measurement method and a measurement apparatus that can obtain an SPF value highly correlated with a value measured in vitro.
- Patent Document 2 a method and an apparatus for evaluating the UV protection effect from the predicted SPF value in vitro have been developed (Patent Document 2).
- UV protection effect of sunscreen products is exerted by the UV absorbers and UV scattering agents (titanium oxide, zinc oxide, etc.) that are blended, but some UV absorbers have reduced UV absorbing ability due to light irradiation.
- UV absorbers and UV scattering agents titanium oxide, zinc oxide, etc.
- the UV scattering agent may flow out by contact with moisture, and the protective ability may be reduced. Therefore, in ISO, a method for testing the light stability and water resistance of the UV protection effect has been studied (Non-Patent Document 1).
- Patent Document 3 Many devices for suppressing the photodegradation of the UV protection effect have been proposed (Patent Document 3). Regarding water resistance, the UV protection effect does not decrease even when it comes into contact with moisture, and the protection effect is improved. Sunscreen cosmetics having such innovative performance have been developed (Patent Document 4).
- Japanese Patent No. 3377832 Japanese Patent No. 4365552 JP 2010-150172 A WO2016 / 068300 Publication Japanese Patent No. 4397286
- the subject in the present invention is a new method that can appropriately evaluate the influence of heat on the protective effect of the external preparation for skin against the light that affects the skin, particularly the influence of heat on the ultraviolet protective effect of the sunscreen external preparation. Is to provide.
- the present invention is a method for evaluating a skin external preparation such as sunscreen cosmetics, (1) a step of forming a skin external preparation coating on the substrate; (2) a step of heat-treating the coating film of the external preparation for skin, and (3) a protective effect against light rays affecting the skin of the heat-treated coating film of the external preparation for skin, preferably an ultraviolet protective effect.
- a skin external preparation such as sunscreen cosmetics
- the step (1) and the step (2) may be performed simultaneously.
- the step of measuring the UV protection effect comprises at least one selected from the group consisting of SPF measurement, UVAPF or PFA measurement, critical wavelength measurement, absorbance measurement, transmittance measurement, and a test method for comparing some UV protection effect. It is preferable to include.
- the evaluation method of the present invention it is possible to appropriately evaluate the influence of heat on the protective effect against light rays (ultraviolet rays and the like) of a skin external preparation such as sunscreen.
- the method for evaluating skin external preparations such as sunscreen cosmetics of the present invention, (1) a step of forming a skin external preparation coating on the substrate; (2) The process which heat-processes the coating film of the said skin external preparation, (3) The process of measuring the protective effect of the coating film of the said heat-processed skin external preparation.
- the “external preparation for skin” of the present invention may include not only sunscreen cosmetics but also makeup cosmetics, hair care products, etc.
- the “protective effect” of the present invention is not limited to ultraviolet rays.
- a protective effect from light rays such as blue light, visible light, and infrared light may be included.
- FIG. 1 is a diagram for explaining the outline of the evaluation method of the present invention.
- a predetermined amount of a sunscreen skin external preparation sample (test material) 1 is applied to the base 2 and optionally dried to form a coating film of the sample 1 on the base 2.
- the process (1 ') which measures the ultraviolet-ray protective effect (absorbance etc.) before the heating of the formed sample coating film may be included arbitrarily.
- step (2) heat is applied to the sample coating film formed in step (1).
- heat may be applied after the sample coating is formed on the substrate, or the substrate in the step (1) is heated to a predetermined temperature and heated by coating the sample ( That is, step (1) and step (2) may be performed simultaneously).
- another sample (second sample) of the same sunscreen external preparation as the above sample is prepared, and the second sample is applied to another part of the substrate in the step (1).
- the second sample coating film is optionally dried to form a second sample coating film (step 1A), and the second sample coating film is not subjected to heat treatment (step (2)), and is preferably kept at room temperature (step 2A).
- a step (step 3A) of measuring the UV protection effect of the non-heated second sample coating film may be included.
- step (1) when the measurement of the UV protection effect of the sample coating film before heating (when the step (1 ′) is performed, the UV protection effect before heating and the heating measured in the step (3)).
- a step (4 ′) for comparison with a later ultraviolet protection effect may be included.
- the evaluation method of the present invention can be carried out in vivo or in vitro. This will be described in detail below.
- FIG. 2 is a diagram illustrating an example of the evaluation method of the present invention performed in vivo.
- the following is an example when the SPF measurement is adopted as the ultraviolet protection effect measurement.
- SPF measurement method refer to “Japan Cosmetic Federation SPF Measurement Method Standard (Revised 2011)” and “ISO 24444 Cosmetics-Sun protection test methods-In vivo determination of the sun protection factor (SPF)”.
- a sample of a sunscreen external preparation is applied to a predetermined part of a substrate (subject's skin) and optionally dried to form a sample coating (FIG. 2 (A)).
- a sample coating FOG. 2 (A)
- two types of sample (1) and sample (2) are applied to two locations each.
- the predetermined portion is not particularly limited, but is preferably a region between the shoulder ribs of the subject's back and the waist.
- a heat treatment is performed in which heat is applied to at least one of the sample coating films formed on at least two locations of the substrate.
- the heat of the part to be heated (“heated part”: right side in FIG. 2B) is not heated (“unheated part”: left side in FIG. 2B). It is preferable to take measures not to raise the temperature.
- the non-heated part is preferably covered with a heat insulating or heat-shielding member such as a towel or aluminum foil, or the shielding material 10 is preferably provided between the heated part and the non-heated part.
- the shielding member 10 is preferably disposed along the subject's spine, but is not limited thereto.
- the shielding material 10 shields heat (infrared rays) irradiated from the infrared lamp 20 in FIG. 2B, for example, and prevents heat from reaching the non-heated portion.
- the shielding material 10 is preferably a plate-like member made of a material having a low thermal conductivity, for example, a foamed heat insulating material such as urethane foam, a fiber heat insulating material such as cork or cellulose fiber.
- the heating method is not particularly limited, and for example, infrared light irradiation with an infrared lamp 20 is preferably used. Further, during the heat treatment, it is preferable to check with a thermography, a thermometer or the like in order to confirm that the temperature of the heated part is maintained at a predetermined temperature. At the same time, it is preferable to confirm that the temperature of the non-heated part has not changed by thermography or a thermometer.
- the heat treatment is preferably carried out at a temperature higher than the body surface temperature and not higher than about 45 ° C.
- the body surface temperature can vary depending on the environmental temperature and the condition of the subject (such as the presence or absence of fever and before and after exercise).
- a healthy subject no fever
- the subject is rested for a predetermined time (eg, 10 minutes, 30 minutes, 1 hour, etc.) in an environment adjusted to an appropriate temperature (eg, 25 ° C.).
- the body surface temperature is preferably adopted. Usually, it is about 30 ° C or higher, and in some cases, it may be 32 ° C or higher, 35 ° C or higher, or 37 ° C or higher.
- the heat treatment is preferably carried out at a temperature of at least 1 ° C., preferably 2 ° C. or more, more preferably 3 ° C. or more higher than the body surface temperature.
- the upper limit of the heat treatment temperature is the actual use temperature of sunscreen cosmetics (for example, the body surface temperature under summer sunlight irradiation is about 40 ° C., and in some cases 41 ° C. to 45 ° C.) and Considering the safety of the subject, the temperature is preferably about 45 ° C. or lower.
- the heating time is preferably 1 minute or longer, more preferably 10 minutes or longer in order to accurately evaluate the influence of heat.
- the upper limit of the heating time is not particularly limited, but is usually 60 minutes or less, preferably 30 minutes or less.
- the heat treatment After the heat treatment is finished, leave it until the temperature of the heated part decreases and returns to the normal skin temperature.
- it is confirmed by thermography, a thermometer, or the like that the temperature of the heated portion and the non-heated portion are equal.
- the SPF of each sample coating film is measured (FIG. 2C).
- the sample application part of the test site and the non-application part adjacent to the sample application part are irradiated with ultraviolet rays, and after an elapse of a predetermined time (usually 16 to 24 hours), an area of 2/3 or more of the irradiated part
- a predetermined time usually 16 to 24 hours
- an area of 2/3 or more of the irradiated part The minimum amount of ultraviolet light (MED) that initially causes a few erythema that are well-defined is determined.
- MED of a sample application part is called MEDp
- MED of an unapplication part is called MEDu.
- the above steps are performed for a plurality of subjects, and the SPFi arithmetic average value (rounded down) obtained for each subject is taken as the SPF of the sample.
- UVAPF or PFA measured according to the Japan Cosmetic Industry Association UVA prevention effect measurement method standard (revised in 2012) or ISO 24442 can be calculated and displayed as PA according to the following classification.
- a resin substrate such as PMMA, nylon, or an acrylic plate, or an inorganic plate such as glass or quartz can be used as a substrate.
- organic substances such as paper may be used.
- a skin substitute membrane also referred to as “S plate”: see Japanese Patent No. 4453959 made of a PMMA plate having a V-shaped groove on the surface is used.
- step (1) shown in FIG. 1 a predetermined amount of sunscreen external preparation sample (test material) is applied to the surface of the substrate and optionally dried to form a sample coating film.
- the substrate on which the sample coating film has been formed in step (2) is heated.
- the heating method may be the above-described infrared irradiation, but may be carried out by allowing the substrate on which the sample coating film has been formed to stand in a thermostat adjusted to a predetermined temperature.
- a process (1) and a process (2) can also be implemented simultaneously by forming a sample coating film in the base
- the heating temperature is preferably in the range of 30 ° C to 70 ° C. When the heating temperature exceeds 70 ° C., problems such as dissolution of the resin substrate may occur.
- the temperature is not particularly limited as long as it is within the above range, and can be, for example, 32 ° C or higher, 35 ° C or higher, 37 ° C or higher, or 40 ° C or higher, 65 ° C or lower, 60 ° C or lower, 55 ° C or lower, or 50 You may heat-process at the temperature below degrees C.
- the heating time is preferably 1 minute or longer, more preferably 10 minutes or longer in order to accurately evaluate the influence of heat.
- the upper limit of the heating time is not particularly limited, but is usually 60 minutes or less, preferably 30 minutes or less.
- a coating film is formed with the same amount of the same sample on each of the plurality of substrates, and at least one of them is subjected to the heat treatment in the step (2) (heated sample), and the rest (non-
- the heated sample is preferably kept at room temperature.
- the substrate is preferably left until the temperature of the substrate returns to room temperature, and the absorbance of the sample coating film on each substrate at a predetermined wavelength (UVA or UVB region) is measured (step (3)).
- the “absorbance measurement” in the present invention includes absorbance measurement at a single wavelength (ultraviolet region) and absorbance measurement over a predetermined wavelength region (including critical wavelength measurement).
- SPF or UVAPF may be calculated based on the absorbance measured in step (3), and may be used as an index of the UV protection effect.
- step (3) by comparing the ultraviolet protection effect of the “heated sample” with the ultraviolet protection effect of the “non-heated sample”, a change in the ultraviolet protection effect due to heat can be detected.
- the step (1 ′) for measuring the absorbance of each sample coating film formed in the step (1) the “heated sample” and the “non-heated sample” in the steps (1) and (3) Since changes in absorbance become apparent, it is possible to accurately grasp changes due to heat by referencing those values, for example, to compensate for changes in UV protection effects not caused by heat, such as fluctuations over time.
- the heat treatment (step (2)) is preferably performed in an environment where ultraviolet rays are blocked.
- the evaluation method of the present invention is not applied in vitro or in vivo, but the same UV protection effect of the heated sample and the non-heated sample for the same sunscreen skin external preparation (cosmetics) sample. It is possible to directly compare the UV protection effect.
- the test method for comparing the UV protection effect includes a test method using a photosensitive paper and a test method using a substance whose color changes by UV irradiation. Therefore, the evaluation method of the present invention can be used as a method for screening sunscreen skin preparations (cosmetics) whose ultraviolet ray protection effect is changed by heat, and preferably which is improved by heat.
- the present invention also provides a sunscreen skin external preparation (cosmetic) that is identified by the screening method and whose UV protection effect is improved by heat.
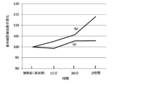
- a part of the skin substitute film on which each of the sample coating films of (a) and (b) was formed was allowed to stand in a constant temperature bath (36.4 ° C.) for a predetermined time. After the heat treatment, the ultraviolet protective effect (absorbance) of each sample was measured.
- the change in UV protection effect (absorbance) after heating was calculated according to the following formula.
- the UV protection effect was calculated using a value obtained by integrating the absorbance in the wavelength region of 280 to 400 nm. The results are shown in the graph of FIG.
- the evaluation method of the present invention can be used as a method for screening sunscreen cosmetics having a characteristic that the ultraviolet ray protection effect is changed by heat.
Landscapes
- Health & Medical Sciences (AREA)
- Life Sciences & Earth Sciences (AREA)
- Physics & Mathematics (AREA)
- General Health & Medical Sciences (AREA)
- Chemical & Material Sciences (AREA)
- Analytical Chemistry (AREA)
- Biochemistry (AREA)
- General Physics & Mathematics (AREA)
- Immunology (AREA)
- Pathology (AREA)
- Engineering & Computer Science (AREA)
- Veterinary Medicine (AREA)
- Spectroscopy & Molecular Physics (AREA)
- Public Health (AREA)
- Animal Behavior & Ethology (AREA)
- Food Science & Technology (AREA)
- Bioinformatics & Cheminformatics (AREA)
- Biophysics (AREA)
- Molecular Biology (AREA)
- Pharmacology & Pharmacy (AREA)
- Medicinal Chemistry (AREA)
- Dermatology (AREA)
- Birds (AREA)
- Epidemiology (AREA)
- Investigating Or Analysing Materials By Optical Means (AREA)
- Cosmetics (AREA)
- Investigating Or Analysing Biological Materials (AREA)
- Measuring And Recording Apparatus For Diagnosis (AREA)
Priority Applications (5)
| Application Number | Priority Date | Filing Date | Title |
|---|---|---|---|
| EP19748439.7A EP3751254B1 (en) | 2018-02-05 | 2019-01-31 | Method for evaluating protective effect against external damage to skin |
| CN201980011534.5A CN111684265B (zh) | 2018-02-05 | 2019-01-31 | 对于向皮肤的外在损伤的防御效果的评价方法 |
| JP2019569210A JP7509544B2 (ja) | 2018-02-05 | 2019-01-31 | 皮膚への外的ダメージに対する防御効果の評価方法 |
| US16/966,276 US11474038B2 (en) | 2018-02-05 | 2019-01-31 | Method for evaluating protective effect against external damage to skin |
| JP2023033308A JP2023085264A (ja) | 2018-02-05 | 2023-03-06 | 皮膚への外的ダメージに対する防御効果の評価方法 |
Applications Claiming Priority (4)
| Application Number | Priority Date | Filing Date | Title |
|---|---|---|---|
| JP2018-018269 | 2018-02-05 | ||
| JP2018018269 | 2018-02-05 | ||
| JP2018151682 | 2018-08-10 | ||
| JP2018-151682 | 2018-08-10 |
Publications (1)
| Publication Number | Publication Date |
|---|---|
| WO2019151374A1 true WO2019151374A1 (ja) | 2019-08-08 |
Family
ID=67478403
Family Applications (1)
| Application Number | Title | Priority Date | Filing Date |
|---|---|---|---|
| PCT/JP2019/003305 Ceased WO2019151374A1 (ja) | 2018-02-05 | 2019-01-31 | 皮膚への外的ダメージに対する防御効果の評価方法 |
Country Status (6)
| Country | Link |
|---|---|
| US (1) | US11474038B2 (enExample) |
| EP (1) | EP3751254B1 (enExample) |
| JP (2) | JP7509544B2 (enExample) |
| CN (1) | CN111684265B (enExample) |
| TW (1) | TW201942561A (enExample) |
| WO (1) | WO2019151374A1 (enExample) |
Cited By (3)
| Publication number | Priority date | Publication date | Assignee | Title |
|---|---|---|---|---|
| JP2022080492A (ja) * | 2020-11-18 | 2022-05-30 | ロレアル | 照射ターゲット上のuvカバレージをリアルタイムに判定するための方法およびデバイス |
| US12188815B2 (en) | 2021-04-07 | 2025-01-07 | The Procter & Gamble Company | Ultraviolet imaging systems and methods |
| WO2025013802A1 (ja) * | 2023-07-07 | 2025-01-16 | 花王株式会社 | 推定方法、推定装置、推定システム、およびプログラム |
Families Citing this family (1)
| Publication number | Priority date | Publication date | Assignee | Title |
|---|---|---|---|---|
| DE102022124831A1 (de) * | 2022-09-27 | 2024-03-28 | Courage + Khazaka Electronic Gmbh | Messsystem und messverfahren |
Citations (13)
| Publication number | Priority date | Publication date | Assignee | Title |
|---|---|---|---|---|
| JP3337832B2 (ja) | 1993-09-27 | 2002-10-28 | 株式会社資生堂 | 紫外線防御効果の測定方法及び装置 |
| JP2006028335A (ja) * | 2004-07-15 | 2006-02-02 | Hitachi Chem Co Ltd | 防曇塗料及び防曇性成形品 |
| JP2007284516A (ja) * | 2006-04-14 | 2007-11-01 | Toyo Ink Mfg Co Ltd | 紫外線遮断性樹脂組成物及びその利用 |
| JP4365452B2 (ja) | 2007-10-18 | 2009-11-18 | 株式会社資生堂 | 紫外線防御効果の評価方法、評価装置、評価プログラム、及び該プログラムが記録された記録媒体 |
| JP4397286B2 (ja) | 2003-11-28 | 2010-01-13 | 日清オイリオグループ株式会社 | 水中油型乳化化粧料及びその製造方法 |
| JP4453995B2 (ja) | 2000-12-05 | 2010-04-21 | 信越石英株式会社 | フッ素系樹脂被覆石英ガラス製キャリアボート |
| JP2010150172A (ja) | 2008-12-25 | 2010-07-08 | Shiseido Co Ltd | 日焼け止め化粧料 |
| WO2010095116A1 (en) * | 2009-02-23 | 2010-08-26 | L'oreal | A method of removing makeup and a makeup remover |
| JP2012063323A (ja) * | 2010-09-17 | 2012-03-29 | Shiseido Co Ltd | 紫外線防御効果の評価方法、評価装置、評価プログラム、及び該プログラムが記録された記録媒体 |
| JP2014071007A (ja) * | 2012-09-28 | 2014-04-21 | Kao Corp | 紫外線防御化粧料の評価方法及び評価装置 |
| WO2016068300A1 (ja) | 2014-10-31 | 2016-05-06 | 株式会社 資生堂 | 日焼け止め化粧料 |
| WO2016138249A1 (en) * | 2015-02-26 | 2016-09-01 | Edgewell Personal Care Brands, Llc | Sunscreen compositions with improved water resistance |
| JP2017146211A (ja) * | 2016-02-17 | 2017-08-24 | 花王株式会社 | 評価装置、評価方法、評価プログラム及び記録媒体 |
Family Cites Families (14)
| Publication number | Priority date | Publication date | Assignee | Title |
|---|---|---|---|---|
| JP3135158B2 (ja) * | 1992-03-10 | 2001-02-13 | ポーラ化成工業株式会社 | 人工皮膚膜を用いた紫外線透過防止効果の評価法 |
| JP2006038335A (ja) * | 2004-07-27 | 2006-02-09 | Valeo Thermal Systems Japan Corp | 熱交換器のコア部 |
| JP2006306842A (ja) * | 2005-03-30 | 2006-11-09 | Kose Corp | 二層型紫外線防御化粧料 |
| JP5184031B2 (ja) * | 2007-10-01 | 2013-04-17 | ポーラ化成工業株式会社 | 乳化剤形の粉体含有皮膚外用剤 |
| JP2013511515A (ja) | 2009-11-20 | 2013-04-04 | 株式会社アモーレパシフィック | 無機粉末を含有する化粧料組成物 |
| JP5095799B2 (ja) * | 2010-10-19 | 2012-12-12 | 株式会社 資生堂 | 水中油型皮膚外用剤 |
| CN102179011B (zh) * | 2011-03-04 | 2013-03-13 | 赵广 | 红外线-中波紫外线治疗仪 |
| JP5819637B2 (ja) * | 2011-05-18 | 2015-11-24 | 株式会社 資生堂 | 紫外線防御効果の評価装置 |
| JP5575865B2 (ja) * | 2012-12-11 | 2014-08-20 | 株式会社 資生堂 | 紫外線防御効果の評価方法、評価装置、及び評価プログラム |
| EP2972248A4 (en) | 2013-03-15 | 2016-10-26 | Suncare Res Lab Llc | IN VITRO DETERMINATION OF SOLAR SCREEN PROTECTION BASED ON IMAGE ANALYSIS OF SOLAR SCREENS APPLIED ON THE SKIN |
| JP6595192B2 (ja) * | 2014-02-25 | 2019-10-23 | 日本メナード化粧品株式会社 | 特定の波長域を有する光を照射して栽培したフェヌグリークの抽出物を含有する皮膚外用剤や内用剤。 |
| US10533992B2 (en) * | 2015-03-19 | 2020-01-14 | Amorepacific Corporation | Method for screening for sunlight protection functional material and method for evaluating sunlight protection effect |
| US20180289610A1 (en) | 2015-09-30 | 2018-10-11 | Shiseido Company, Ltd. | Sunscreen cosmetic |
| JP6619262B2 (ja) | 2016-03-02 | 2019-12-18 | 株式会社コスモビューティー | 複合粒子、化粧料組成物、及び、複合粒子の製造方法 |
-
2019
- 2019-01-31 JP JP2019569210A patent/JP7509544B2/ja active Active
- 2019-01-31 WO PCT/JP2019/003305 patent/WO2019151374A1/ja not_active Ceased
- 2019-01-31 EP EP19748439.7A patent/EP3751254B1/en active Active
- 2019-01-31 CN CN201980011534.5A patent/CN111684265B/zh active Active
- 2019-01-31 US US16/966,276 patent/US11474038B2/en active Active
- 2019-02-01 TW TW108104079A patent/TW201942561A/zh unknown
-
2023
- 2023-03-06 JP JP2023033308A patent/JP2023085264A/ja active Pending
Patent Citations (13)
| Publication number | Priority date | Publication date | Assignee | Title |
|---|---|---|---|---|
| JP3337832B2 (ja) | 1993-09-27 | 2002-10-28 | 株式会社資生堂 | 紫外線防御効果の測定方法及び装置 |
| JP4453995B2 (ja) | 2000-12-05 | 2010-04-21 | 信越石英株式会社 | フッ素系樹脂被覆石英ガラス製キャリアボート |
| JP4397286B2 (ja) | 2003-11-28 | 2010-01-13 | 日清オイリオグループ株式会社 | 水中油型乳化化粧料及びその製造方法 |
| JP2006028335A (ja) * | 2004-07-15 | 2006-02-02 | Hitachi Chem Co Ltd | 防曇塗料及び防曇性成形品 |
| JP2007284516A (ja) * | 2006-04-14 | 2007-11-01 | Toyo Ink Mfg Co Ltd | 紫外線遮断性樹脂組成物及びその利用 |
| JP4365452B2 (ja) | 2007-10-18 | 2009-11-18 | 株式会社資生堂 | 紫外線防御効果の評価方法、評価装置、評価プログラム、及び該プログラムが記録された記録媒体 |
| JP2010150172A (ja) | 2008-12-25 | 2010-07-08 | Shiseido Co Ltd | 日焼け止め化粧料 |
| WO2010095116A1 (en) * | 2009-02-23 | 2010-08-26 | L'oreal | A method of removing makeup and a makeup remover |
| JP2012063323A (ja) * | 2010-09-17 | 2012-03-29 | Shiseido Co Ltd | 紫外線防御効果の評価方法、評価装置、評価プログラム、及び該プログラムが記録された記録媒体 |
| JP2014071007A (ja) * | 2012-09-28 | 2014-04-21 | Kao Corp | 紫外線防御化粧料の評価方法及び評価装置 |
| WO2016068300A1 (ja) | 2014-10-31 | 2016-05-06 | 株式会社 資生堂 | 日焼け止め化粧料 |
| WO2016138249A1 (en) * | 2015-02-26 | 2016-09-01 | Edgewell Personal Care Brands, Llc | Sunscreen compositions with improved water resistance |
| JP2017146211A (ja) * | 2016-02-17 | 2017-08-24 | 花王株式会社 | 評価装置、評価方法、評価プログラム及び記録媒体 |
Non-Patent Citations (5)
| Title |
|---|
| ANONYMOUS: "Countermeasures against UV rays to protect beautiful skin", SHISEIDO INFORMATION LETTER, vol. 92, no. 2015, 26 March 2015 (2015-03-26), pages 1 - 28, XP009522240 * |
| IS024444 COSMETICS-SUN PROTECTION TEST METHODS-IN VIVO DETERMINATION OF THE SUN PROTECTION FACTOR (SPF |
| JAPAN COSMETIC INDUSTRY ASSOCIATION STANDARD SPF TEST METHOD, 2011 |
| JOURNAL OF THE SOCIETY OF COSMETIC CHEMISTS OF JAPAN, vol. 47, no. 4, 2013, pages 271 - 277 |
| MAKOTO MIZUNO: "Current Conditions of Sun Protection Test Methods for Sunscreen Products", JOURNAL OF SOCIETY OF COSMETIC CHEMISTS OF JAPAN, vol. 47, no. 4, 30 April 2013 (2013-04-30), pages 271 - 277, XP055721126, ISSN: 0387-5253, DOI: 10.5107/sccj.47.271 * |
Cited By (4)
| Publication number | Priority date | Publication date | Assignee | Title |
|---|---|---|---|---|
| JP2022080492A (ja) * | 2020-11-18 | 2022-05-30 | ロレアル | 照射ターゲット上のuvカバレージをリアルタイムに判定するための方法およびデバイス |
| JP7740871B2 (ja) | 2020-11-18 | 2025-09-17 | ロレアル | 照射ターゲット上のuvカバレージをリアルタイムに判定するための方法およびデバイス |
| US12188815B2 (en) | 2021-04-07 | 2025-01-07 | The Procter & Gamble Company | Ultraviolet imaging systems and methods |
| WO2025013802A1 (ja) * | 2023-07-07 | 2025-01-16 | 花王株式会社 | 推定方法、推定装置、推定システム、およびプログラム |
Also Published As
| Publication number | Publication date |
|---|---|
| CN111684265B (zh) | 2024-03-29 |
| US20200371027A1 (en) | 2020-11-26 |
| JP2023085264A (ja) | 2023-06-20 |
| EP3751254A4 (en) | 2021-10-13 |
| TW201942561A (zh) | 2019-11-01 |
| JPWO2019151374A1 (ja) | 2021-03-11 |
| JP7509544B2 (ja) | 2024-07-02 |
| EP3751254A1 (en) | 2020-12-16 |
| CN111684265A (zh) | 2020-09-18 |
| EP3751254B1 (en) | 2024-01-10 |
| US11474038B2 (en) | 2022-10-18 |
Similar Documents
| Publication | Publication Date | Title |
|---|---|---|
| JP2023085264A (ja) | 皮膚への外的ダメージに対する防御効果の評価方法 | |
| Sohn et al. | Film thickness frequency distribution of different vehicles determines sunscreen efficacy | |
| Singh et al. | Enhanced sun protection of nano‐sized metal oxide particles over conventional metal oxide particles: An in vitro comparative study | |
| Kollias et al. | An experimental study of the changes in pigmentation in human skin in vivo with visible and near infrared light | |
| Miura et al. | Influence of application amount on sunscreen photodegradation in in vitro sun protection factor evaluation: proposal of a skin‐mimicking substrate | |
| US20220240838A1 (en) | System and method for testing the effects of ultraviolet and visible light on skin | |
| JP6026203B2 (ja) | 紫外線防御化粧料の評価方法及び評価装置 | |
| Kohli et al. | Spectral characteristics of visible light‐induced pigmentation and visible light protection factor | |
| Isser et al. | High-energy visible light transparency and ultraviolet ray transmission of metallized rescue sheets | |
| AU2016223870B2 (en) | Method for examining sunscreens on the skin | |
| Cole | Multicenter evaluation of sunscreen UVA protectiveness with the protection factor test method | |
| Heerfordt | Sunscreen use at Danish beaches and how to improve coverage | |
| Bleasel et al. | In vitro evaluation of sun protection factors of sunscreen agents using a novel UV spectrophotometric technique | |
| Stokes et al. | A novel in vitro technique for measuring the water resistance of sunscreens | |
| CN106442331B (zh) | 防晒产品防水能力的测试方法 | |
| KR102309286B1 (ko) | 화장품 청색광 차단 효능 평가방법 | |
| Nishino et al. | Development of the multispectral UV polarization reflectance imaging system (MUPRIS) for in situ monitoring of the UV protection efficacy of sunscreen on human skin | |
| Hegyi et al. | An objective assessment of melanin in vitiligo skin treated with Balneo PUVA therapy | |
| Gálvez et al. | Sunscreens effectiveness are not altered by concomitant use of moisturizing creams: An ultraviolet reflectance photography study | |
| Wilczyński et al. | The use of directional reflectance measurement for in vivo assessment of protective properties of cosmetics in the infrared radiation range | |
| Weigmann et al. | Ex-vivo spectroscopic quantification of sunscreen efficacy: proposal of a universal sun protection factor | |
| Ruvolo Jr et al. | Diffuse reflectance spectroscopy for ultraviolet A protection factor measurement: correlation studies between in vitro and in vivo measurements | |
| JP3135158B2 (ja) | 人工皮膚膜を用いた紫外線透過防止効果の評価法 | |
| Krejci et al. | Assessment of the Blue Light Ocular Hazard by Solar Measurements and the Impact of Selected Sunglasses Based upon the Limits of the International Commission on Non-Ionizing Radiation Protection Guideline | |
| JP6451518B2 (ja) | 皮膚の紫外線に対する反応性の推定方法 |
Legal Events
| Date | Code | Title | Description |
|---|---|---|---|
| 121 | Ep: the epo has been informed by wipo that ep was designated in this application |
Ref document number: 19748439 Country of ref document: EP Kind code of ref document: A1 |
|
| ENP | Entry into the national phase |
Ref document number: 2019569210 Country of ref document: JP Kind code of ref document: A |
|
| NENP | Non-entry into the national phase |
Ref country code: DE |
|
| ENP | Entry into the national phase |
Ref document number: 2019748439 Country of ref document: EP Effective date: 20200907 |