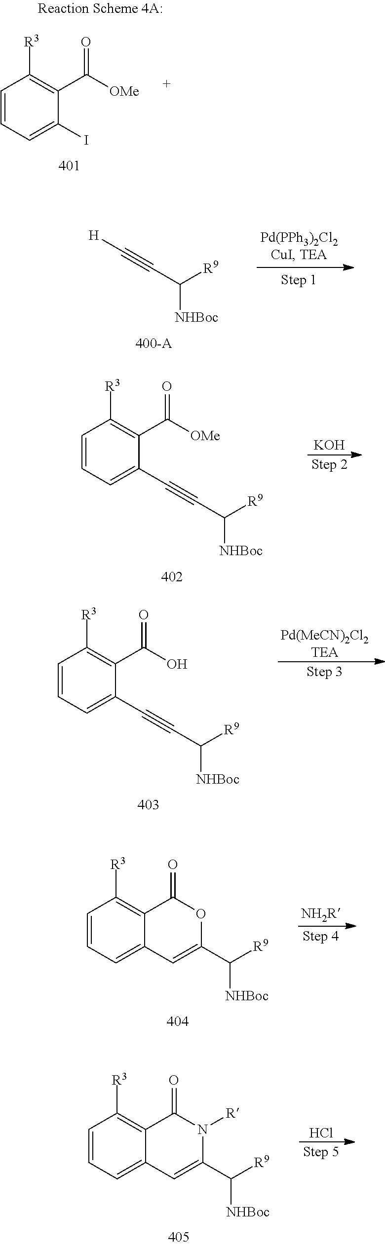
US20180098983A1 - Certain chemical entities, compositions and methods - Google Patents
Certain chemical entities, compositions and methods Download PDFInfo
- Publication number
- US20180098983A1 US20180098983A1 US15/599,378 US201715599378A US2018098983A1 US 20180098983 A1 US20180098983 A1 US 20180098983A1 US 201715599378 A US201715599378 A US 201715599378A US 2018098983 A1 US2018098983 A1 US 2018098983A1
- Authority
- US
- United States
- Prior art keywords
- formula
- substituted
- compound
- unsubstituted
- alkyl
- Prior art date
- Legal status (The legal status is an assumption and is not a legal conclusion. Google has not performed a legal analysis and makes no representation as to the accuracy of the status listed.)
- Abandoned
Links
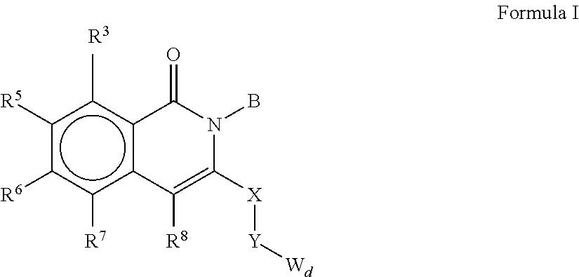
- 0 [3*].[5*]c1c([6*])c([7*])c2c(c1C)C(=O)N(B)C(C[Y]C)=C2[8*] Chemical compound [3*].[5*]c1c([6*])c([7*])c2c(c1C)C(=O)N(B)C(C[Y]C)=C2[8*] 0.000 description 86
- VHEYNDDRMQXDEO-UHFFFAOYSA-N CN1C=NC2=C1N=CN=C2C(C)(C)C Chemical compound CN1C=NC2=C1N=CN=C2C(C)(C)C VHEYNDDRMQXDEO-UHFFFAOYSA-N 0.000 description 4
- CNTHYZBTEPPHBC-UHFFFAOYSA-N CC1=CC=CC=C1N1C(=O)C2=C(C)C=CC=C2C=C1CN1N=C(C2=CC(O)=CC=C2)C2=C1N=CN=C2N Chemical compound CC1=CC=CC=C1N1C(=O)C2=C(C)C=CC=C2C=C1CN1N=C(C2=CC(O)=CC=C2)C2=C1N=CN=C2N CNTHYZBTEPPHBC-UHFFFAOYSA-N 0.000 description 3
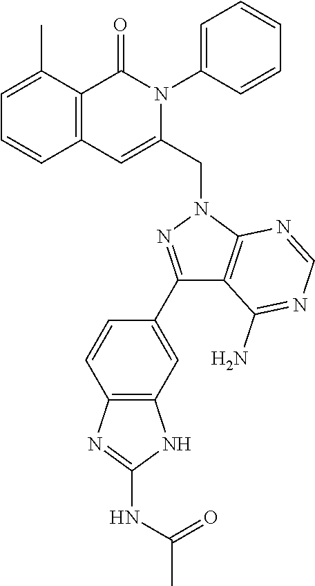
- JVIVEECKYNUVSB-UHFFFAOYSA-N CC(=O)NC1=NC2=C(C=C(C3=NN(CC4=CC5=CC=CC(C)=C5C(=O)N4C4=C(C)C=CC=C4)C4=C3C(N)=NC=N4)C=C2)O1 Chemical compound CC(=O)NC1=NC2=C(C=C(C3=NN(CC4=CC5=CC=CC(C)=C5C(=O)N4C4=C(C)C=CC=C4)C4=C3C(N)=NC=N4)C=C2)O1 JVIVEECKYNUVSB-UHFFFAOYSA-N 0.000 description 2
- VPJWIFAOPKDKPC-UHFFFAOYSA-N CC(=O)NC1=NC2=C(C=C(C3=NN(CC4=CC5=CC=CC(C)=C5C(=O)N4C4=CC=CC=C4)C4=C3C(N)=NC=N4)C=C2)S1 Chemical compound CC(=O)NC1=NC2=C(C=C(C3=NN(CC4=CC5=CC=CC(C)=C5C(=O)N4C4=CC=CC=C4)C4=C3C(N)=NC=N4)C=C2)S1 VPJWIFAOPKDKPC-UHFFFAOYSA-N 0.000 description 2
- JFNPWBGOJHCPLR-UHFFFAOYSA-N CC(=O)NC1=NC2=C(C=C(C3=NN(CC4=CC5=CC=CC(F)=C5C(=O)N4C(C)C)C4=C3C(N)=NC=N4)C=C2)S1 Chemical compound CC(=O)NC1=NC2=C(C=C(C3=NN(CC4=CC5=CC=CC(F)=C5C(=O)N4C(C)C)C4=C3C(N)=NC=N4)C=C2)S1 JFNPWBGOJHCPLR-UHFFFAOYSA-N 0.000 description 2
- ISXPXFQBHNIYCU-UHFFFAOYSA-N CC(C)(C)C1=CC=C(F)C=C1 Chemical compound CC(C)(C)C1=CC=C(F)C=C1 ISXPXFQBHNIYCU-UHFFFAOYSA-N 0.000 description 2
- ORLJSROIQHIMQM-UHFFFAOYSA-N CC(C)(C)C1=CC=C(O)C(F)=C1 Chemical compound CC(C)(C)C1=CC=C(O)C(F)=C1 ORLJSROIQHIMQM-UHFFFAOYSA-N 0.000 description 2
- QHPQWRBYOIRBIT-UHFFFAOYSA-N CC(C)(C)C1=CC=C(O)C=C1 Chemical compound CC(C)(C)C1=CC=C(O)C=C1 QHPQWRBYOIRBIT-UHFFFAOYSA-N 0.000 description 2
- SEYVXKNLOLHDRF-UHFFFAOYSA-N CC(C)(C)C1=CC=CC(F)=C1 Chemical compound CC(C)(C)C1=CC=CC(F)=C1 SEYVXKNLOLHDRF-UHFFFAOYSA-N 0.000 description 2
- YIDCITOHTLPMMZ-UHFFFAOYSA-N CC(C)(C)C1=NNC=C1 Chemical compound CC(C)(C)C1=NNC=C1 YIDCITOHTLPMMZ-UHFFFAOYSA-N 0.000 description 2
- ZEKBKTMMBLWNGK-UHFFFAOYSA-N CC(C)(C)C1=NNN=N1 Chemical compound CC(C)(C)C1=NNN=N1 ZEKBKTMMBLWNGK-UHFFFAOYSA-N 0.000 description 2
- CJKIVLPJDVFXJP-UHFFFAOYSA-N CC(C)(C)C1CC1 Chemical compound CC(C)(C)C1CC1 CJKIVLPJDVFXJP-UHFFFAOYSA-N 0.000 description 2
- UORYJNSOLMQVKM-UHFFFAOYSA-N CC(C)(C)C1CCN(CCO)CC1 Chemical compound CC(C)(C)C1CCN(CCO)CC1 UORYJNSOLMQVKM-UHFFFAOYSA-N 0.000 description 2
- BJUKOXTWVKPTNB-UHFFFAOYSA-N CC(C)(C)CCC(=O)N1CCOCC1 Chemical compound CC(C)(C)CCC(=O)N1CCOCC1 BJUKOXTWVKPTNB-UHFFFAOYSA-N 0.000 description 2
- XFSCXNBRZLVIJV-UHFFFAOYSA-N CC(C)C1=CC=C(F)C=N1 Chemical compound CC(C)C1=CC=C(F)C=N1 XFSCXNBRZLVIJV-UHFFFAOYSA-N 0.000 description 2
- FISXDNFVHBWJLD-UHFFFAOYSA-N CC(C)C1=CC=CC(Cl)=N1 Chemical compound CC(C)C1=CC=CC(Cl)=N1 FISXDNFVHBWJLD-UHFFFAOYSA-N 0.000 description 2
- HAHXPMFFMRTIJV-UHFFFAOYSA-N CC(C)C1=CC=CC(N)=N1 Chemical compound CC(C)C1=CC=CC(N)=N1 HAHXPMFFMRTIJV-UHFFFAOYSA-N 0.000 description 2
- AZRMJEMKFCDJFU-UHFFFAOYSA-N CC(C)C1=CN=C(N)C=N1 Chemical compound CC(C)C1=CN=C(N)C=N1 AZRMJEMKFCDJFU-UHFFFAOYSA-N 0.000 description 2
- GMELWCCRPSMEJU-UHFFFAOYSA-N CC(C)C1=CN=C(N2C=CN=C2)C=N1 Chemical compound CC(C)C1=CN=C(N2C=CN=C2)C=N1 GMELWCCRPSMEJU-UHFFFAOYSA-N 0.000 description 2
- XURXVIGPYCYFFN-UHFFFAOYSA-N CC(C)N1C(=O)C2=CC=CC=C2C=C1CN1N=C(C2=CC(O)=CC(F)=C2)C2=C1N=CN=C2N Chemical compound CC(C)N1C(=O)C2=CC=CC=C2C=C1CN1N=C(C2=CC(O)=CC(F)=C2)C2=C1N=CN=C2N XURXVIGPYCYFFN-UHFFFAOYSA-N 0.000 description 2
- FBNRPVIKSCEAPM-UHFFFAOYSA-N CC(C)N1C(=O)C2=CC=CC=C2C=C1CN1N=C(I)C2=C1N=CN=C2N Chemical compound CC(C)N1C(=O)C2=CC=CC=C2C=C1CN1N=C(I)C2=C1N=CN=C2N FBNRPVIKSCEAPM-UHFFFAOYSA-N 0.000 description 2
- SJVQHLPISAIATJ-UHFFFAOYSA-N CC(NC1=NC=NC2=C1N=CN2)C1=CC2=CC=CC(Cl)=C2C(=O)N1C1=CC=CC=C1 Chemical compound CC(NC1=NC=NC2=C1N=CN2)C1=CC2=CC=CC(Cl)=C2C(=O)N1C1=CC=CC=C1 SJVQHLPISAIATJ-UHFFFAOYSA-N 0.000 description 2
- AYNKQBHTSYXMAE-OAHLLOKOSA-N CC1=C2C(=O)N(C(C)C)C(CN3N=C(C#C[C@@H](C)O)C4=C3N=CN=C4N)=CC2=CC=C1 Chemical compound CC1=C2C(=O)N(C(C)C)C(CN3N=C(C#C[C@@H](C)O)C4=C3N=CN=C4N)=CC2=CC=C1 AYNKQBHTSYXMAE-OAHLLOKOSA-N 0.000 description 2
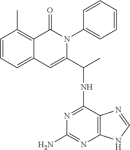
- UMBOVTDDENNROQ-UHFFFAOYSA-N CC1=C2C(=O)N(C3=CC=CC=C3)C(C(C)NC3=NC=NC4=C3N=CN4)=CC2=CC=C1 Chemical compound CC1=C2C(=O)N(C3=CC=CC=C3)C(C(C)NC3=NC=NC4=C3N=CN4)=CC2=CC=C1 UMBOVTDDENNROQ-UHFFFAOYSA-N 0.000 description 2
- ZGGRAOJSPDUVOI-UHFFFAOYSA-N CC1=C2C(=O)N(C3=CC=CC=C3)C(CN3N=C(C4=CC5=C(C=C4)N=C(N)O5)C4=C3N=CN=C4N)=CC2=CC=C1 Chemical compound CC1=C2C(=O)N(C3=CC=CC=C3)C(CN3N=C(C4=CC5=C(C=C4)N=C(N)O5)C4=C3N=CN=C4N)=CC2=CC=C1 ZGGRAOJSPDUVOI-UHFFFAOYSA-N 0.000 description 2
- WVMQKDOKTBOMEO-UHFFFAOYSA-N CC1=C2C(=O)N(C3=CC=CC=C3)C(CN3N=C(C4=CN5C=C(N)N=C5C=C4)C4=C3N=CN=C4N)=CC2=CC=C1 Chemical compound CC1=C2C(=O)N(C3=CC=CC=C3)C(CN3N=C(C4=CN5C=C(N)N=C5C=C4)C4=C3N=CN=C4N)=CC2=CC=C1 WVMQKDOKTBOMEO-UHFFFAOYSA-N 0.000 description 2
- DGXCZFNWOBRPQS-AWEZNQCLSA-N CC1=C2C(=O)N(C3=CC=CC=C3)C([C@H](C)NC3=NC(N)=C(C(F)(F)F)C=N3)=CC2=CC=C1 Chemical compound CC1=C2C(=O)N(C3=CC=CC=C3)C([C@H](C)NC3=NC(N)=C(C(F)(F)F)C=N3)=CC2=CC=C1 DGXCZFNWOBRPQS-AWEZNQCLSA-N 0.000 description 2
- HAUSBEKIYVEYGP-UHFFFAOYSA-N CC1=C2C(=O)N(C3=CC=CC=C3F)C(C(C)NC3=NC=NC4=C3N=CN4)=CC2=CC=C1 Chemical compound CC1=C2C(=O)N(C3=CC=CC=C3F)C(C(C)NC3=NC=NC4=C3N=CN4)=CC2=CC=C1 HAUSBEKIYVEYGP-UHFFFAOYSA-N 0.000 description 2
- NDFJVBPLFMIEOZ-UHFFFAOYSA-N CC1=C2C(=O)N(C3=CC=CC=C3F)C(CN3N=C(C4=CC=C(O)C=C4)C4=C3N=CN=C4N)=CC2=CC=C1 Chemical compound CC1=C2C(=O)N(C3=CC=CC=C3F)C(CN3N=C(C4=CC=C(O)C=C4)C4=C3N=CN=C4N)=CC2=CC=C1 NDFJVBPLFMIEOZ-UHFFFAOYSA-N 0.000 description 2
- KHNGNEXALFGUOY-UHFFFAOYSA-N CC1=C2C(=O)N(C3=CC=CC=C3F)C(CN3N=C(C4=CC=NN4)C4=C3N=CN=C4N)=CC2=CC=C1 Chemical compound CC1=C2C(=O)N(C3=CC=CC=C3F)C(CN3N=C(C4=CC=NN4)C4=C3N=CN=C4N)=CC2=CC=C1 KHNGNEXALFGUOY-UHFFFAOYSA-N 0.000 description 2
- XTXJVKSDDRPKHC-UHFFFAOYSA-N CC1=C2C(=O)N(C3=CC=CC=C3F)C(CN3N=C(C4=CN(C)N=C4)C4=C3N=CN=C4N)=CC2=CC=C1 Chemical compound CC1=C2C(=O)N(C3=CC=CC=C3F)C(CN3N=C(C4=CN(C)N=C4)C4=C3N=CN=C4N)=CC2=CC=C1 XTXJVKSDDRPKHC-UHFFFAOYSA-N 0.000 description 2
- XCCLVOOPFIZNBV-UHFFFAOYSA-N CC1=C2C(=O)N(C3=CC=CC=C3F)C(CN3N=C(C4=CNN=C4)C4=C3N=CN=C4N)=CC2=CC=C1 Chemical compound CC1=C2C(=O)N(C3=CC=CC=C3F)C(CN3N=C(C4=CNN=C4)C4=C3N=CN=C4N)=CC2=CC=C1 XCCLVOOPFIZNBV-UHFFFAOYSA-N 0.000 description 2
- WWPHWWOFUHMIHR-UHFFFAOYSA-N CC1=C2C(=O)N(C3CC3)C(CN3N=C(C4=C/C5=C(\C=C/4)OC(N)=N5)C4=C3N=CN=C4N)=CC2=CC=C1 Chemical compound CC1=C2C(=O)N(C3CC3)C(CN3N=C(C4=C/C5=C(\C=C/4)OC(N)=N5)C4=C3N=CN=C4N)=CC2=CC=C1 WWPHWWOFUHMIHR-UHFFFAOYSA-N 0.000 description 2
- QDKRCSPVHQRRLS-UHFFFAOYSA-N CC1=C2C(=O)N(C3CC3)C(CN3N=C(I)C4=C3N=CN=C4N)=CC2=CC=C1 Chemical compound CC1=C2C(=O)N(C3CC3)C(CN3N=C(I)C4=C3N=CN=C4N)=CC2=CC=C1 QDKRCSPVHQRRLS-UHFFFAOYSA-N 0.000 description 2
- OPJMSBVZOFMXQW-NSHDSACASA-N CC1=C2C(=O)N(C3CC3)C([C@H](C)NC3=NC(F)=NC4=C3N=CN4)=CC2=CC=C1 Chemical compound CC1=C2C(=O)N(C3CC3)C([C@H](C)NC3=NC(F)=NC4=C3N=CN4)=CC2=CC=C1 OPJMSBVZOFMXQW-NSHDSACASA-N 0.000 description 2
- XQBUHTFFVHPRHZ-ZDUSSCGKSA-N CC1=C2C(=O)N(C3CC3)C([C@H](C)NC3=NC=NC4=C3C=CN4)=CC2=CC=C1 Chemical compound CC1=C2C(=O)N(C3CC3)C([C@H](C)NC3=NC=NC4=C3C=CN4)=CC2=CC=C1 XQBUHTFFVHPRHZ-ZDUSSCGKSA-N 0.000 description 2
- XKHASMAALGBCSO-LBPRGKRZSA-N CC1=C2C(=O)N(C3CC3)C([C@H](C)NC3=NC=NC4=C3N=CN4)=CC2=CC=C1 Chemical compound CC1=C2C(=O)N(C3CC3)C([C@H](C)NC3=NC=NC4=C3N=CN4)=CC2=CC=C1 XKHASMAALGBCSO-LBPRGKRZSA-N 0.000 description 2
- FLBJHSOKPQRIRG-UHFFFAOYSA-N CC1=CC=CC2=C1C(=O)N(C1=C(C)C=CC=C1)C(CN1/N=C(/CF)C3=C1N=CN=C3N)=C2 Chemical compound CC1=CC=CC2=C1C(=O)N(C1=C(C)C=CC=C1)C(CN1/N=C(/CF)C3=C1N=CN=C3N)=C2 FLBJHSOKPQRIRG-UHFFFAOYSA-N 0.000 description 2
- LLOJBGUZWFEGFN-UHFFFAOYSA-N CC1=CC=CC2=C1C(=O)N(C1=CC=CC=C1)C(CN1N=C(C(C)(C)O)C3=C1N=CN=C3N)=C2 Chemical compound CC1=CC=CC2=C1C(=O)N(C1=CC=CC=C1)C(CN1N=C(C(C)(C)O)C3=C1N=CN=C3N)=C2 LLOJBGUZWFEGFN-UHFFFAOYSA-N 0.000 description 2
- MBEYHRHXYBGJAN-UHFFFAOYSA-N CC1=CC=CC=C1N1C(=O)C2=C(C)C=CC=C2C=C1CN1N=C(C2=CC(O)=C(Cl)C=C2)C2=C1N=CN=C2N Chemical compound CC1=CC=CC=C1N1C(=O)C2=C(C)C=CC=C2C=C1CN1N=C(C2=CC(O)=C(Cl)C=C2)C2=C1N=CN=C2N MBEYHRHXYBGJAN-UHFFFAOYSA-N 0.000 description 2
- TUFFOCQABTUJSW-UHFFFAOYSA-N CC1=CC=CC=C1N1C(=O)C2=C(C)C=CC=C2C=C1CN1N=C(C2=CC=C(CN)C=C2)C2=C1C=CN=C2N Chemical compound CC1=CC=CC=C1N1C(=O)C2=C(C)C=CC=C2C=C1CN1N=C(C2=CC=C(CN)C=C2)C2=C1C=CN=C2N TUFFOCQABTUJSW-UHFFFAOYSA-N 0.000 description 2
- ISKFTPLVPSNABN-UHFFFAOYSA-N CC1=CC=CC=C1N1C(=O)C2=C(C)C=CC=C2C=C1CN1N=C(C2=CN(CCO)N=C2)C2=C1N=CN=C2N Chemical compound CC1=CC=CC=C1N1C(=O)C2=C(C)C=CC=C2C=C1CN1N=C(C2=CN(CCO)N=C2)C2=C1N=CN=C2N ISKFTPLVPSNABN-UHFFFAOYSA-N 0.000 description 2
- NSQKTEVWTMBEKV-UHFFFAOYSA-N CC1=CC=CN=C1N1C(=O)C2=C(C)C=CC=C2C=C1CN1N=C(C2=CC3=C(C=C2)OC(N)=N3)C2=C1N=CN=C2N Chemical compound CC1=CC=CN=C1N1C(=O)C2=C(C)C=CC=C2C=C1CN1N=C(C2=CC3=C(C=C2)OC(N)=N3)C2=C1N=CN=C2N NSQKTEVWTMBEKV-UHFFFAOYSA-N 0.000 description 2
- QMJYFHMVZOBHFR-UHFFFAOYSA-N CC1=CC=CN=C1N1C(=O)C2=C(C)C=CC=C2C=C1CN1N=C(I)C2=C1N=CN=C2N Chemical compound CC1=CC=CN=C1N1C(=O)C2=C(C)C=CC=C2C=C1CN1N=C(I)C2=C1N=CN=C2N QMJYFHMVZOBHFR-UHFFFAOYSA-N 0.000 description 2
- IHKSKPOBJHOOTR-UHFFFAOYSA-N CC1=CC=CN=C1N1C(=O)C2=CC=CC=C2C=C1CN1N=C(C2=CC(O)=CC=C2)C2=C1N=CN=C2N Chemical compound CC1=CC=CN=C1N1C(=O)C2=CC=CC=C2C=C1CN1N=C(C2=CC(O)=CC=C2)C2=C1N=CN=C2N IHKSKPOBJHOOTR-UHFFFAOYSA-N 0.000 description 2
- OOOVYWZMEUEBLQ-UHFFFAOYSA-N CCC(NC1=NC=NC2=C1N=CN2)C1=CC2=CC=CC(C)=C2C(=O)N1C1=CC(F)=CC(F)=C1 Chemical compound CCC(NC1=NC=NC2=C1N=CN2)C1=CC2=CC=CC(C)=C2C(=O)N1C1=CC(F)=CC(F)=C1 OOOVYWZMEUEBLQ-UHFFFAOYSA-N 0.000 description 2
- TVVSRSDERKNKLW-UHFFFAOYSA-N CCC(NC1=NC=NC2=C1N=CN2)C1=CC2=CC=CC(C)=C2C(=O)N1C1=CC=CC=C1 Chemical compound CCC(NC1=NC=NC2=C1N=CN2)C1=CC2=CC=CC(C)=C2C(=O)N1C1=CC=CC=C1 TVVSRSDERKNKLW-UHFFFAOYSA-N 0.000 description 2
- XBYYIIIYXKVBPU-UHFFFAOYSA-N CCC1=CC=CC=C1N1C(=O)C2=C(C)C=CC=C2C=C1CN1N=C(C2=CC(O)=CC=C2)C2=C1N=CN=C2N Chemical compound CCC1=CC=CC=C1N1C(=O)C2=C(C)C=CC=C2C=C1CN1N=C(C2=CC(O)=CC=C2)C2=C1N=CN=C2N XBYYIIIYXKVBPU-UHFFFAOYSA-N 0.000 description 2
- RMFKLMYYMKWEOP-UHFFFAOYSA-N CCC1=CC=CC=C1N1C(=O)C2=C(C)C=CC=C2C=C1CN1N=C(C2=CNN=C2)C2=C1N=CN=C2N Chemical compound CCC1=CC=CC=C1N1C(=O)C2=C(C)C=CC=C2C=C1CN1N=C(C2=CNN=C2)C2=C1N=CN=C2N RMFKLMYYMKWEOP-UHFFFAOYSA-N 0.000 description 2
- PHMQSJPVTMNLRW-UHFFFAOYSA-N CCC1=CC=CC=C1N1C(=O)C2=C(C)C=CC=C2C=C1CN1N=C(I)C2=C1N=CN=C2N Chemical compound CCC1=CC=CC=C1N1C(=O)C2=C(C)C=CC=C2C=C1CN1N=C(I)C2=C1N=CN=C2N PHMQSJPVTMNLRW-UHFFFAOYSA-N 0.000 description 2
- HWQYWARMKZRDHI-UHFFFAOYSA-N COC1=CC(C2=NN(CC3=CC4=CC=CC(C)=C4C(=O)N3C3=CC=CC=C3C)C3=C2C(N)=NC=N3)=CC=C1Cl Chemical compound COC1=CC(C2=NN(CC3=CC4=CC=CC(C)=C4C(=O)N3C3=CC=CC=C3C)C3=C2C(N)=NC=N3)=CC=C1Cl HWQYWARMKZRDHI-UHFFFAOYSA-N 0.000 description 2
- IPGSPXKLIPOGON-UHFFFAOYSA-N COC1=CC=CC(C(C)(C)C)=C1 Chemical compound COC1=CC=CC(C(C)(C)C)=C1 IPGSPXKLIPOGON-UHFFFAOYSA-N 0.000 description 2
- SJVQHLPISAIATJ-ZDUSSCGKSA-N C[C@H](NC1=NC=NC2=C1N=CN2)C1=CC2=CC=CC(Cl)=C2C(=O)N1C1=CC=CC=C1 Chemical compound C[C@H](NC1=NC=NC2=C1N=CN2)C1=CC2=CC=CC(Cl)=C2C(=O)N1C1=CC=CC=C1 SJVQHLPISAIATJ-ZDUSSCGKSA-N 0.000 description 2
- IXKZSUCNHLIGKK-JTQLQIEISA-N C[C@H](NC1=NC=NC2=C1N=CN2)C1=CC2=CC=CC(Cl)=C2C(=O)N1C1CC1 Chemical compound C[C@H](NC1=NC=NC2=C1N=CN2)C1=CC2=CC=CC(Cl)=C2C(=O)N1C1CC1 IXKZSUCNHLIGKK-JTQLQIEISA-N 0.000 description 2
- FTQQMXQQDBJWHN-UHFFFAOYSA-N NC1=NC=NC2=C1C(C1=CC(O)=CC=C1)=NN2CC1=CC2=CC=CC(F)=C2C(=O)N1C1=CC=CC=C1F Chemical compound NC1=NC=NC2=C1C(C1=CC(O)=CC=C1)=NN2CC1=CC2=CC=CC(F)=C2C(=O)N1C1=CC=CC=C1F FTQQMXQQDBJWHN-UHFFFAOYSA-N 0.000 description 2
- XMJXJFBMNYHARZ-PKESPYBCSA-N C#CC1=NC2=C(N=CN2[C@H](C)C(C)(C)C)C(N)=N1.CC(C)(C)CN1C=NC2=C1N=C(C1CC1)N=C2N.CC1=NC2=C(N=CN2CC(C)(C)C)C(N)=N1.CC1=NC2=C(N=CN2[C@@H](C)C(C)(C)C)C(N)=N1.CC1=NC2=C(N=CN2[C@H](C)C(C)(C)C)C(N)=N1.C[C@@H](N1C=NC2=C1N=C(C1CC1)N=C2N)C(C)(C)C.C[C@H](N1C=NC2=C1N=C(C1CC1)N=C2N)C(C)(C)C.[H]C1=NC2=C(N=CN2CC(C)(C)C)C(N)=N1.[H]C1=NC2=C(N=CN2[C@@H](C)C(C)(C)C)C(N)=N1.[H]C1=NC2=C(N=CN2[C@H](C)C(C)(C)C)C(N)=N1 Chemical compound C#CC1=NC2=C(N=CN2[C@H](C)C(C)(C)C)C(N)=N1.CC(C)(C)CN1C=NC2=C1N=C(C1CC1)N=C2N.CC1=NC2=C(N=CN2CC(C)(C)C)C(N)=N1.CC1=NC2=C(N=CN2[C@@H](C)C(C)(C)C)C(N)=N1.CC1=NC2=C(N=CN2[C@H](C)C(C)(C)C)C(N)=N1.C[C@@H](N1C=NC2=C1N=C(C1CC1)N=C2N)C(C)(C)C.C[C@H](N1C=NC2=C1N=C(C1CC1)N=C2N)C(C)(C)C.[H]C1=NC2=C(N=CN2CC(C)(C)C)C(N)=N1.[H]C1=NC2=C(N=CN2[C@@H](C)C(C)(C)C)C(N)=N1.[H]C1=NC2=C(N=CN2[C@H](C)C(C)(C)C)C(N)=N1 XMJXJFBMNYHARZ-PKESPYBCSA-N 0.000 description 1
- BZEPMNICNGHYAY-UHFFFAOYSA-N C=C(C)C1=NN(CC2=CC3=C(C(=O)N2C2=CC=CC=C2)C(C)=CC=C3)C2=C1C(N)=NC=N2 Chemical compound C=C(C)C1=NN(CC2=CC3=C(C(=O)N2C2=CC=CC=C2)C(C)=CC=C3)C2=C1C(N)=NC=N2 BZEPMNICNGHYAY-UHFFFAOYSA-N 0.000 description 1
- SPFLXXIXWBEFQZ-UHFFFAOYSA-N C=C/C1=N/N(CC2=CC3=C(C(=O)N2C2=C(C)C=CC=C2)C(C)=CC=C3)C2=C1C(N)=NC=N2.CC1=CC=CC2=C1C(=O)N(C1=C(C)C=CC=C1)C(CN1/N=C(/C=O)C3=C1N=CN=C3N)=C2.CC1=CC=CC2=C1C(=O)N(C1=C(C)C=CC=C1)C(CN1/N=C(/CO)C3=C1N=CN=C3N)=C2.CC1=CC=CC2=C1C(=O)N(C1=C(C)C=CC=C1)C(CN1/N=C(/I)C3=C1N=CN=C3N)=C2 Chemical compound C=C/C1=N/N(CC2=CC3=C(C(=O)N2C2=C(C)C=CC=C2)C(C)=CC=C3)C2=C1C(N)=NC=N2.CC1=CC=CC2=C1C(=O)N(C1=C(C)C=CC=C1)C(CN1/N=C(/C=O)C3=C1N=CN=C3N)=C2.CC1=CC=CC2=C1C(=O)N(C1=C(C)C=CC=C1)C(CN1/N=C(/CO)C3=C1N=CN=C3N)=C2.CC1=CC=CC2=C1C(=O)N(C1=C(C)C=CC=C1)C(CN1/N=C(/I)C3=C1N=CN=C3N)=C2 SPFLXXIXWBEFQZ-UHFFFAOYSA-N 0.000 description 1
- UUOJKADQJJVWEP-UHFFFAOYSA-N C=CC1=CC=CC(C)=C1C(=O)Cl.C=CC1=CC=CC(C)=C1C(=O)Cl.C=CC1=CC=CC(C)=C1C(=O)N(CC(=O)OCC)C(C)C.C=CC1=CC=CC(C)=C1C(=O)O.CC(C)N.CC1=C(C(=O)O)C(I)=CC=C1.CCOC(=O)C1=CC2=CC=CC(C)=C2C(=O)N1C(C)C.CCOC(=O)CN(C(=O)C1=C(C)C=CC=C1C=O)C(C)C.CCOC(=O)CNC(C)C.CCOC(=O)CNC(C)C Chemical compound C=CC1=CC=CC(C)=C1C(=O)Cl.C=CC1=CC=CC(C)=C1C(=O)Cl.C=CC1=CC=CC(C)=C1C(=O)N(CC(=O)OCC)C(C)C.C=CC1=CC=CC(C)=C1C(=O)O.CC(C)N.CC1=C(C(=O)O)C(I)=CC=C1.CCOC(=O)C1=CC2=CC=CC(C)=C2C(=O)N1C(C)C.CCOC(=O)CN(C(=O)C1=C(C)C=CC=C1C=O)C(C)C.CCOC(=O)CNC(C)C.CCOC(=O)CNC(C)C UUOJKADQJJVWEP-UHFFFAOYSA-N 0.000 description 1
- LGMZXQRNLZRCNG-UHFFFAOYSA-N C=CC1=CC=CC(C)=C1C(=O)Cl.C=CC1=CC=CC(C)=C1C(=O)N(CC(=O)OCC)C1=CC=CC=C1C.C=CC1=CC=CC(C)=C1C(=O)NC1=CC=CC=C1C.C=CC1=CC=CC(C)=C1C(=O)O.CC1=C(C(=O)O)C(I)=CC=C1.CC1=C(C(=O)O)C(N)=CC=C1.CC1=C(N)C=CC=C1 Chemical compound C=CC1=CC=CC(C)=C1C(=O)Cl.C=CC1=CC=CC(C)=C1C(=O)N(CC(=O)OCC)C1=CC=CC=C1C.C=CC1=CC=CC(C)=C1C(=O)NC1=CC=CC=C1C.C=CC1=CC=CC(C)=C1C(=O)O.CC1=C(C(=O)O)C(I)=CC=C1.CC1=C(C(=O)O)C(N)=CC=C1.CC1=C(N)C=CC=C1 LGMZXQRNLZRCNG-UHFFFAOYSA-N 0.000 description 1
- ZGLVRJCQMFZMEK-UHFFFAOYSA-N C=CC1=NN(CC2=CC3=C(C(=O)N2C2=CC=CC=C2)C(C)=CC=C3)C2=C1C(N)=NC=N2 Chemical compound C=CC1=NN(CC2=CC3=C(C(=O)N2C2=CC=CC=C2)C(C)=CC=C3)C2=C1C(N)=NC=N2 ZGLVRJCQMFZMEK-UHFFFAOYSA-N 0.000 description 1
- KADYYOHTHLPXFC-UHFFFAOYSA-N C=CC1=NN(CC2=CC3=CC=CC(C)=C3C(=O)N2C2=C(C)C=CC=C2)C2=C1C(N)=NC=N2 Chemical compound C=CC1=NN(CC2=CC3=CC=CC(C)=C3C(=O)N2C2=C(C)C=CC=C2)C2=C1C(N)=NC=N2 KADYYOHTHLPXFC-UHFFFAOYSA-N 0.000 description 1
- ZACIWTVKAPXUHF-UHFFFAOYSA-N C=CC1=NN(CC2=CC3=CC=CC(C)=C3C(=O)N2C2=C(F)C=CC=C2)C2=C1C(N)=NC=N2 Chemical compound C=CC1=NN(CC2=CC3=CC=CC(C)=C3C(=O)N2C2=C(F)C=CC=C2)C2=C1C(N)=NC=N2 ZACIWTVKAPXUHF-UHFFFAOYSA-N 0.000 description 1
- KTDZPAIGLXXSHT-UHFFFAOYSA-N CC(=O)C1=NN(CC2=CC3=C(C(=O)N2C2=CC=CC=C2)C(C)=CC=C3)C2=C1C(N)=NC=N2 Chemical compound CC(=O)C1=NN(CC2=CC3=C(C(=O)N2C2=CC=CC=C2)C(C)=CC=C3)C2=C1C(N)=NC=N2 KTDZPAIGLXXSHT-UHFFFAOYSA-N 0.000 description 1
- DHARZJSXCNVOEV-UHFFFAOYSA-N CC(=O)N(O)CCC1=NN(CC2=CC3=CC=CC(C)=C3C(=O)N2C2=C(C)C=CC=C2)C2=C1C(N)=NC=N2.CC1=C2C(=O)N(C3=C(C)C=CC=C3)C(CN3N=C(CC(=O)N(C)O)C4=C3N=CN=C4N)=CC2=CC=C1.CC1=C2C(=O)N(C3=C(C)C=CC=C3)C(CN3N=C(CC(=O)N4CCOCC4)C4=C3N=CN=C4N)=CC2=CC=C1.CC1=CC=CC=C1N1C(=O)C2=C(C)C=CN=C2C=C1CN1N=CC2=C1N=CN=C2N Chemical compound CC(=O)N(O)CCC1=NN(CC2=CC3=CC=CC(C)=C3C(=O)N2C2=C(C)C=CC=C2)C2=C1C(N)=NC=N2.CC1=C2C(=O)N(C3=C(C)C=CC=C3)C(CN3N=C(CC(=O)N(C)O)C4=C3N=CN=C4N)=CC2=CC=C1.CC1=C2C(=O)N(C3=C(C)C=CC=C3)C(CN3N=C(CC(=O)N4CCOCC4)C4=C3N=CN=C4N)=CC2=CC=C1.CC1=CC=CC=C1N1C(=O)C2=C(C)C=CN=C2C=C1CN1N=CC2=C1N=CN=C2N DHARZJSXCNVOEV-UHFFFAOYSA-N 0.000 description 1
- VFWPPECLFVTUHI-UHFFFAOYSA-N CC(=O)N1CCC(C(C)(C)C)CC1 Chemical compound CC(=O)N1CCC(C(C)(C)C)CC1 VFWPPECLFVTUHI-UHFFFAOYSA-N 0.000 description 1
- YFXZKNMJXWKOMP-UHFFFAOYSA-N CC(=O)N1CCC(C(C)(C)C)CC1.CC(C)(C)C1=C(F)C=CC=C1F.CC(C)(C)C1=CC(F)=CC(F)=C1.CC(C)(C)C1CCN(CCC#N)CC1.CC(C)(C)C1CCN(CCO)CC1.CC(C)(C)CCN1CCCC1.CC1=C(C(C)(C)C)C=NC=C1.CC1=CC(C)=CC(C(C)(C)C)=C1.CC1=CC=CC(C)=C1C(C)(C)C.CCCN1CCC(C(C)(C)C)CC1.CCN1CCN(CCC(C)(C)C)CC1.CN1CCC(C(C)(C)C)CC1 Chemical compound CC(=O)N1CCC(C(C)(C)C)CC1.CC(C)(C)C1=C(F)C=CC=C1F.CC(C)(C)C1=CC(F)=CC(F)=C1.CC(C)(C)C1CCN(CCC#N)CC1.CC(C)(C)C1CCN(CCO)CC1.CC(C)(C)CCN1CCCC1.CC1=C(C(C)(C)C)C=NC=C1.CC1=CC(C)=CC(C(C)(C)C)=C1.CC1=CC=CC(C)=C1C(C)(C)C.CCCN1CCC(C(C)(C)C)CC1.CCN1CCN(CCC(C)(C)C)CC1.CN1CCC(C(C)(C)C)CC1 YFXZKNMJXWKOMP-UHFFFAOYSA-N 0.000 description 1
- SGRDQZPHPGSERE-GQSXLMTNSA-N CC(=O)N1CCN(CC2=NN(CC3=CC4=CC=CC(C)=C4C(=O)N3C3=C(C)C=CC=C3)C3=C2C(N)=NC=N3)CC1.CC1=C2C(=O)N(C3=C(C)C=CC=C3)C(CN3N=C(/C=C4/CCNC4=O)C4=C3N=CN=C4N)=CC2=CC=C1.CC1=C2C(=O)N(C3=C(C)C=CC=C3)C(CN3N=C(CN4CCN(S(C)(=O)=O)CC4)C4=C3N=CN=C4N)=CC2=CC=C1.CC1=C2C(=O)N(C3=C(C)C=CC=C3)C(CN3N=C(CN4CCOCC4)C4=C3N=CN=C4N)=CC2=CC=C1.CC1=C2C(=O)N(C3CCN(C)CC3)C(CN3N=C(C4=CC=C5OC(N)=NC5=C4)C4=C3N=CN=C4N)=CC2=CC=C1 Chemical compound CC(=O)N1CCN(CC2=NN(CC3=CC4=CC=CC(C)=C4C(=O)N3C3=C(C)C=CC=C3)C3=C2C(N)=NC=N3)CC1.CC1=C2C(=O)N(C3=C(C)C=CC=C3)C(CN3N=C(/C=C4/CCNC4=O)C4=C3N=CN=C4N)=CC2=CC=C1.CC1=C2C(=O)N(C3=C(C)C=CC=C3)C(CN3N=C(CN4CCN(S(C)(=O)=O)CC4)C4=C3N=CN=C4N)=CC2=CC=C1.CC1=C2C(=O)N(C3=C(C)C=CC=C3)C(CN3N=C(CN4CCOCC4)C4=C3N=CN=C4N)=CC2=CC=C1.CC1=C2C(=O)N(C3CCN(C)CC3)C(CN3N=C(C4=CC=C5OC(N)=NC5=C4)C4=C3N=CN=C4N)=CC2=CC=C1 SGRDQZPHPGSERE-GQSXLMTNSA-N 0.000 description 1
- MSVOYFAHJRFYKM-XSAFJJSNSA-N CC(=O)NC1=NC2=C(C=C(C(C)(C)C)C=C2)C1.CC(C)(C)C(N)=O.CC(C)(C)C1=CC(=O)NN1.CC(C)(C)C1=CC(=O)NO1.CC(C)(C)C1=CC(=O)NS1.CC(C)(C)C1=CC2=C(C=C1)N=C(N)C2.CC(C)(C)C1=CC2=C(C=C1)N=CN=C2N.CC(C)(C)C1=CC=C2N=C(N)OC2=C1.CC(C)(C)C1=CC=C2SC(N)=NC2=C1.CC(C)(C)C1=CN(CCO)N=C1.CC(C)(C)C1=NN=NN1.CC(C)(C)C1=NNC(F)=C1.CC(C)(C)C1=NNC=C1.CC(C)(C)C1=NNC=N1.CC(C)(C)C1=NNN=N1.CC1=CC(C(C)(C)C)=NN1.CC1=NC(C(C)(C)C)=CN1.CN1NC(=O)C=C1C(C)(C)C.CNC(=O)/C=C/C(C)(C)C.CNC(=O)C(C)(C)C.COC(=O)C(C)(C)C.[C-]#[N+]CC(C)(C)C.[H]OC(C)=O Chemical compound CC(=O)NC1=NC2=C(C=C(C(C)(C)C)C=C2)C1.CC(C)(C)C(N)=O.CC(C)(C)C1=CC(=O)NN1.CC(C)(C)C1=CC(=O)NO1.CC(C)(C)C1=CC(=O)NS1.CC(C)(C)C1=CC2=C(C=C1)N=C(N)C2.CC(C)(C)C1=CC2=C(C=C1)N=CN=C2N.CC(C)(C)C1=CC=C2N=C(N)OC2=C1.CC(C)(C)C1=CC=C2SC(N)=NC2=C1.CC(C)(C)C1=CN(CCO)N=C1.CC(C)(C)C1=NN=NN1.CC(C)(C)C1=NNC(F)=C1.CC(C)(C)C1=NNC=C1.CC(C)(C)C1=NNC=N1.CC(C)(C)C1=NNN=N1.CC1=CC(C(C)(C)C)=NN1.CC1=NC(C(C)(C)C)=CN1.CN1NC(=O)C=C1C(C)(C)C.CNC(=O)/C=C/C(C)(C)C.CNC(=O)C(C)(C)C.COC(=O)C(C)(C)C.[C-]#[N+]CC(C)(C)C.[H]OC(C)=O MSVOYFAHJRFYKM-XSAFJJSNSA-N 0.000 description 1
- FXEMZWLOTPQWRU-UHFFFAOYSA-N CC(=O)NC1=NC2=C(C=C(C(C)(C)C)C=C2)N1 Chemical compound CC(=O)NC1=NC2=C(C=C(C(C)(C)C)C=C2)N1 FXEMZWLOTPQWRU-UHFFFAOYSA-N 0.000 description 1
- FTKHUNHRECXFHK-UHFFFAOYSA-N CC(=O)NC1=NC2=C(C=C(C(C)(C)C)C=C2)S1 Chemical compound CC(=O)NC1=NC2=C(C=C(C(C)(C)C)C=C2)S1 FTKHUNHRECXFHK-UHFFFAOYSA-N 0.000 description 1
- OQYSYVSBWYPQPN-WVAIPHIGSA-N CC(=O)NC1=NC2=C(C=C(C(C)(C)C)C=C2)S1.CC(=O)NC1=NC=C(C(C)(C)C)S1.CC(C)(C)C#CC1CC1.CC(C)(C)C#CCO.CC(C)(C)C(C)(C)C.CC(C)(C)C1=C2C=CNC2=NC=C1.CC(C)(C)C1=CC(C(N)=O)=CC=C1.CC(C)(C)C1=CC(N)=NC(F)=C1.CC(C)(C)C1=CC(N)=NC=C1.CC(C)(C)C1=CC2=C(C=C1)C=NN2.CC(C)(C)C1=CC2=C(C=NN2)C(F)=C1.CC(C)(C)C1=CC2=C(N=C1)NC=C2.CC(C)(C)C1=CN=C(N)S1.CC(C)(C)C1=CN=CC=C1.CC(C)(C)C1=CNN=C1.CC(C)(C)C1=NC(N)=NC(F)=C1.CC(C)(C)C1=NC(N)=NC=C1.CC(C)(C)C1CC1.COC1=CC(C(C)(C)C)=CC=C1Cl.C[C@@H](O)C#CC(C)(C)C Chemical compound CC(=O)NC1=NC2=C(C=C(C(C)(C)C)C=C2)S1.CC(=O)NC1=NC=C(C(C)(C)C)S1.CC(C)(C)C#CC1CC1.CC(C)(C)C#CCO.CC(C)(C)C(C)(C)C.CC(C)(C)C1=C2C=CNC2=NC=C1.CC(C)(C)C1=CC(C(N)=O)=CC=C1.CC(C)(C)C1=CC(N)=NC(F)=C1.CC(C)(C)C1=CC(N)=NC=C1.CC(C)(C)C1=CC2=C(C=C1)C=NN2.CC(C)(C)C1=CC2=C(C=NN2)C(F)=C1.CC(C)(C)C1=CC2=C(N=C1)NC=C2.CC(C)(C)C1=CN=C(N)S1.CC(C)(C)C1=CN=CC=C1.CC(C)(C)C1=CNN=C1.CC(C)(C)C1=NC(N)=NC(F)=C1.CC(C)(C)C1=NC(N)=NC=C1.CC(C)(C)C1CC1.COC1=CC(C(C)(C)C)=CC=C1Cl.C[C@@H](O)C#CC(C)(C)C OQYSYVSBWYPQPN-WVAIPHIGSA-N 0.000 description 1
- NPGNEYKGHPDWDJ-UHFFFAOYSA-N CC(=O)NC1=NC2=C(C=C(C3=NN(CC4=CC5=C(C(=O)N4C4=C(C)C=CC=C4)C(C)=CC=C5)C4=C3C(N)=NC=N4)C=C2)N1 Chemical compound CC(=O)NC1=NC2=C(C=C(C3=NN(CC4=CC5=C(C(=O)N4C4=C(C)C=CC=C4)C(C)=CC=C5)C4=C3C(N)=NC=N4)C=C2)N1 NPGNEYKGHPDWDJ-UHFFFAOYSA-N 0.000 description 1
- DVTXCBMERZSXDE-UHFFFAOYSA-N CC(=O)NC1=NC2=C(C=C(C3=NN(CC4=CC5=C(C(=O)N4C4=CC=CC=C4)C(C)=CC=C5)C4=C3C(N)=NC=N4)C=C2)N1 Chemical compound CC(=O)NC1=NC2=C(C=C(C3=NN(CC4=CC5=C(C(=O)N4C4=CC=CC=C4)C(C)=CC=C5)C4=C3C(N)=NC=N4)C=C2)N1 DVTXCBMERZSXDE-UHFFFAOYSA-N 0.000 description 1
- ABPFKTABGJCISD-UHFFFAOYSA-N CC(=O)NC1=NC2=C(C=C(C3=NN(CC4=CC5=CC=CC(C)=C5C(=O)N4C(C)C)C4=C3C(N)=NC=N4)C=C2)S1 Chemical compound CC(=O)NC1=NC2=C(C=C(C3=NN(CC4=CC5=CC=CC(C)=C5C(=O)N4C(C)C)C4=C3C(N)=NC=N4)C=C2)S1 ABPFKTABGJCISD-UHFFFAOYSA-N 0.000 description 1
- YBKULJIEGVXBEZ-UHFFFAOYSA-N CC(=O)NC1=NC2=C(C=C(C3=NN(CC4=CC5=CC=CC(C)=C5C(=O)N4C)C4=C3C(N)=NC=N4)C=C2)S1 Chemical compound CC(=O)NC1=NC2=C(C=C(C3=NN(CC4=CC5=CC=CC(C)=C5C(=O)N4C)C4=C3C(N)=NC=N4)C=C2)S1 YBKULJIEGVXBEZ-UHFFFAOYSA-N 0.000 description 1
- HTDSBDCHLMUDHY-UHFFFAOYSA-N CC(=O)NC1=NC2=C(C=C(C3=NN(CC4=CC5=CC=CC(C)=C5C(=O)N4C4=CC(F)=CC=C4)C4=C3C(N)=NC=N4)C=C2)S1 Chemical compound CC(=O)NC1=NC2=C(C=C(C3=NN(CC4=CC5=CC=CC(C)=C5C(=O)N4C4=CC(F)=CC=C4)C4=C3C(N)=NC=N4)C=C2)S1 HTDSBDCHLMUDHY-UHFFFAOYSA-N 0.000 description 1
- CSFRBEJXBYYYAO-UHFFFAOYSA-N CC(=O)NC1=NC2=C(C=C(C3=NN(CC4=CC5=CC=CC(C)=C5C(=O)N4C4=CC=CC=C4)C4=C3C(N)=NC=N4)C=C2)O1 Chemical compound CC(=O)NC1=NC2=C(C=C(C3=NN(CC4=CC5=CC=CC(C)=C5C(=O)N4C4=CC=CC=C4)C4=C3C(N)=NC=N4)C=C2)O1 CSFRBEJXBYYYAO-UHFFFAOYSA-N 0.000 description 1
- RHARTZQJZKQTSU-UHFFFAOYSA-N CC(=O)NC1=NC2=C(C=C(C3=NN(CC4=CC5=CC=CC(C)=C5C(=O)N4C4CC4)C4=C3C(N)=NC=N4)C=C2)S1 Chemical compound CC(=O)NC1=NC2=C(C=C(C3=NN(CC4=CC5=CC=CC(C)=C5C(=O)N4C4CC4)C4=C3C(N)=NC=N4)C=C2)S1 RHARTZQJZKQTSU-UHFFFAOYSA-N 0.000 description 1
- DXLPZZZMFCRDMY-UHFFFAOYSA-N CC(=O)NC1=NC2=C(C=C(C3=NN(CC4=CC5=CC=CC(C)=C5C(=O)N4C4CCC4)C4=C3C(N)=NC=N4)C=C2)S1 Chemical compound CC(=O)NC1=NC2=C(C=C(C3=NN(CC4=CC5=CC=CC(C)=C5C(=O)N4C4CCC4)C4=C3C(N)=NC=N4)C=C2)S1 DXLPZZZMFCRDMY-UHFFFAOYSA-N 0.000 description 1
- QQNKXZDYMLIRPU-UHFFFAOYSA-N CC(=O)NC1=NC2=C(C=C(C3=NN(CC4=CC5=CC=CC(Cl)=C5C(=O)N4C(C)C)C4=C3C(N)=NC=N4)C=C2)S1 Chemical compound CC(=O)NC1=NC2=C(C=C(C3=NN(CC4=CC5=CC=CC(Cl)=C5C(=O)N4C(C)C)C4=C3C(N)=NC=N4)C=C2)S1 QQNKXZDYMLIRPU-UHFFFAOYSA-N 0.000 description 1
- UYAVZAVKJKRHPA-UHFFFAOYSA-N CC(=O)NC1=NC2=C(C=C(C3=NN(CC4=CC5=CC=CC(Cl)=C5C(=O)N4C4CC4)C4=C3C(N)=NC=N4)C=C2)S1 Chemical compound CC(=O)NC1=NC2=C(C=C(C3=NN(CC4=CC5=CC=CC(Cl)=C5C(=O)N4C4CC4)C4=C3C(N)=NC=N4)C=C2)S1 UYAVZAVKJKRHPA-UHFFFAOYSA-N 0.000 description 1
- OQPLXGHDFSRPSG-UHFFFAOYSA-N CC(=O)NC1=NC2=C(C=C(C3=NN(CC4=CC5=CC=CC=C5C(=O)N4C4=CC=CC=C4C)C4=C3C(N)=NC=N4)C=C2)S1 Chemical compound CC(=O)NC1=NC2=C(C=C(C3=NN(CC4=CC5=CC=CC=C5C(=O)N4C4=CC=CC=C4C)C4=C3C(N)=NC=N4)C=C2)S1 OQPLXGHDFSRPSG-UHFFFAOYSA-N 0.000 description 1
- BQTSJWHKNQZCRR-UHFFFAOYSA-N CC(=O)NC1=NC2=C(C=CC(C(C)(C)C)=C2)O1 Chemical compound CC(=O)NC1=NC2=C(C=CC(C(C)(C)C)=C2)O1 BQTSJWHKNQZCRR-UHFFFAOYSA-N 0.000 description 1
- DWMUGHLJOHZRBB-UHFFFAOYSA-N CC(=O)NC1=NC2=C(C=CC(C(C)(C)C)=C2)S1 Chemical compound CC(=O)NC1=NC2=C(C=CC(C(C)(C)C)=C2)S1 DWMUGHLJOHZRBB-UHFFFAOYSA-N 0.000 description 1
- AGZWRHMGHQGYHA-UHFFFAOYSA-N CC(=O)NC1=NC2=C(C=CC(C3=NN(CC4=CC5=CC=CC(C)=C5C(=O)N4C4=CC=CC=C4)C4=C3C(N)=NC=N4)=C2)O1 Chemical compound CC(=O)NC1=NC2=C(C=CC(C3=NN(CC4=CC5=CC=CC(C)=C5C(=O)N4C4=CC=CC=C4)C4=C3C(N)=NC=N4)=C2)O1 AGZWRHMGHQGYHA-UHFFFAOYSA-N 0.000 description 1
- BXXRPCNUDSKNRX-UHFFFAOYSA-N CC(=O)NC1=NC2=C(C=CC(C3=NN(CC4=CC5=CC=CC(C)=C5C(=O)N4C4=CC=CC=C4)C4=C3C(N)=NC=N4)=C2)S1 Chemical compound CC(=O)NC1=NC2=C(C=CC(C3=NN(CC4=CC5=CC=CC(C)=C5C(=O)N4C4=CC=CC=C4)C4=C3C(N)=NC=N4)=C2)S1 BXXRPCNUDSKNRX-UHFFFAOYSA-N 0.000 description 1
- GQSFFKVELSYJJZ-UHFFFAOYSA-N CC(=O)NC1=NC2=C(C=CC(C3=NN(CC4=CC5=CC=CC(C)=C5C(=O)N4C4=CC=CC=C4C)C4=C3C(N)=NC=N4)=C2)O1 Chemical compound CC(=O)NC1=NC2=C(C=CC(C3=NN(CC4=CC5=CC=CC(C)=C5C(=O)N4C4=CC=CC=C4C)C4=C3C(N)=NC=N4)=C2)O1 GQSFFKVELSYJJZ-UHFFFAOYSA-N 0.000 description 1
- ZFCAGXMAVDMRAN-UHFFFAOYSA-N CC(=O)NC1=NC2=C(C=CC(C3=NN(CC4=CC5=CC=CC(C)=C5C(=O)N4C4=CC=CC=C4C)C4=C3C(N)=NC=N4)=C2)S1 Chemical compound CC(=O)NC1=NC2=C(C=CC(C3=NN(CC4=CC5=CC=CC(C)=C5C(=O)N4C4=CC=CC=C4C)C4=C3C(N)=NC=N4)=C2)S1 ZFCAGXMAVDMRAN-UHFFFAOYSA-N 0.000 description 1
- KLKKQNWSGDKZOI-UHFFFAOYSA-N CC(=O)NC1=NC2=CC=C(C(C)(C)C)C=C2O1 Chemical compound CC(=O)NC1=NC2=CC=C(C(C)(C)C)C=C2O1 KLKKQNWSGDKZOI-UHFFFAOYSA-N 0.000 description 1
- MVKCFSNPZPHMME-UHFFFAOYSA-N CC(=O)NC1=NC=C(C(C)(C)C)S1 Chemical compound CC(=O)NC1=NC=C(C(C)(C)C)S1 MVKCFSNPZPHMME-UHFFFAOYSA-N 0.000 description 1
- VEQABRCLRBKTHF-SNAWJCMRSA-N CC(C)(C)/C=C/C(=O)N1CCOCC1 Chemical compound CC(C)(C)/C=C/C(=O)N1CCOCC1 VEQABRCLRBKTHF-SNAWJCMRSA-N 0.000 description 1
- QINKKWBWOHXHHL-SNAWJCMRSA-N CC(C)(C)/C=C/C(N)=O Chemical compound CC(C)(C)/C=C/C(N)=O QINKKWBWOHXHHL-SNAWJCMRSA-N 0.000 description 1
- WZNPSRRZYPXPNO-SREVYHEPSA-N CC(C)(C)/C=C1/CCNC1=O Chemical compound CC(C)(C)/C=C1/CCNC1=O WZNPSRRZYPXPNO-SREVYHEPSA-N 0.000 description 1
- CZYADMDFQVDRQA-SNAWJCMRSA-N CC(C)(C)/C=C1/SC(=O)NC1=O Chemical compound CC(C)(C)/C=C1/SC(=O)NC1=O CZYADMDFQVDRQA-SNAWJCMRSA-N 0.000 description 1
- FXVDWKZNFZMSOU-UHFFFAOYSA-N CC(C)(C)C#CC(C)(C)C Chemical compound CC(C)(C)C#CC(C)(C)C FXVDWKZNFZMSOU-UHFFFAOYSA-N 0.000 description 1
- AZUXLLXBHVVHSY-UHFFFAOYSA-N CC(C)(C)C#CC(C)(C)C.CC(C)(C)C#CC(C)(C)O.CC(C)(C)C1=C2C=CNC2=NC(F)=C1.CC(C)(C)C1=C2C=CNC2=NC=C1.CC(C)(C)C1=CC(Cl)=CC=C1.CC(C)(C)C1=CC(F)=CC(O)=C1.CC(C)(C)C1=CC(F)=CC=C1.CC(C)(C)C1=CC=C(Cl)C(O)=C1.CC(C)(C)C1=CC=C(F)C(O)=C1.CC(C)(C)C1=CC=C(F)C=C1.CC(C)(C)C1=CC=C(O)C(F)=C1.CC(C)(C)C1=CC=C(O)C=C1.CC(C)(C)C1=CC=CC(O)=C1.CC(C)C#CC(C)(C)C.CCC1=CC(C(C)(C)C)=NC=C1.CCN(CC)C1=CC=NC(C(C)(C)C)=C1.COC1=CC(C(C)(C)C)=CC(F)=C1.COC1=CC=C(C(C)(C)C)C=C1.COC1=CC=C(C(C)(C)C)C=C1OC.COC1=CC=CC(C(C)(C)C)=C1 Chemical compound CC(C)(C)C#CC(C)(C)C.CC(C)(C)C#CC(C)(C)O.CC(C)(C)C1=C2C=CNC2=NC(F)=C1.CC(C)(C)C1=C2C=CNC2=NC=C1.CC(C)(C)C1=CC(Cl)=CC=C1.CC(C)(C)C1=CC(F)=CC(O)=C1.CC(C)(C)C1=CC(F)=CC=C1.CC(C)(C)C1=CC=C(Cl)C(O)=C1.CC(C)(C)C1=CC=C(F)C(O)=C1.CC(C)(C)C1=CC=C(F)C=C1.CC(C)(C)C1=CC=C(O)C(F)=C1.CC(C)(C)C1=CC=C(O)C=C1.CC(C)(C)C1=CC=CC(O)=C1.CC(C)C#CC(C)(C)C.CCC1=CC(C(C)(C)C)=NC=C1.CCN(CC)C1=CC=NC(C(C)(C)C)=C1.COC1=CC(C(C)(C)C)=CC(F)=C1.COC1=CC=C(C(C)(C)C)C=C1.COC1=CC=C(C(C)(C)C)C=C1OC.COC1=CC=CC(C(C)(C)C)=C1 AZUXLLXBHVVHSY-UHFFFAOYSA-N 0.000 description 1
- DKUUKNHZNHMLIW-UHFFFAOYSA-N CC(C)(C)C#CC(C)(C)O Chemical compound CC(C)(C)C#CC(C)(C)O DKUUKNHZNHMLIW-UHFFFAOYSA-N 0.000 description 1
- NYJVODVIPVMHPD-UHFFFAOYSA-N CC(C)(C)C#CC1CC1 Chemical compound CC(C)(C)C#CC1CC1 NYJVODVIPVMHPD-UHFFFAOYSA-N 0.000 description 1
- NLLANJRMYBRPDY-UHFFFAOYSA-N CC(C)(C)C#CCO Chemical compound CC(C)(C)C#CCO NLLANJRMYBRPDY-UHFFFAOYSA-N 0.000 description 1
- ATDOYFPHCIRHKH-UHFFFAOYSA-N CC(C)(C)C(=O)NO Chemical compound CC(C)(C)C(=O)NO ATDOYFPHCIRHKH-UHFFFAOYSA-N 0.000 description 1
- LURFIWLSIVXCLL-UHFFFAOYSA-N CC(C)(C)C(=O)NO.CC(C)(C)C=C(F)F Chemical compound CC(C)(C)C(=O)NO.CC(C)(C)C=C(F)F LURFIWLSIVXCLL-UHFFFAOYSA-N 0.000 description 1
- OMMLUKLXGSRPHK-UHFFFAOYSA-N CC(C)(C)C(C)(C)C Chemical compound CC(C)(C)C(C)(C)C OMMLUKLXGSRPHK-UHFFFAOYSA-N 0.000 description 1
- XIPFMBOWZXULIA-UHFFFAOYSA-N CC(C)(C)C(N)=O Chemical compound CC(C)(C)C(N)=O XIPFMBOWZXULIA-UHFFFAOYSA-N 0.000 description 1
- RIDOCOLYIBIAKM-UHFFFAOYSA-N CC(C)(C)C1=C(C#N)C=CC=C1 Chemical compound CC(C)(C)C1=C(C#N)C=CC=C1 RIDOCOLYIBIAKM-UHFFFAOYSA-N 0.000 description 1
- HQKQRDBGGUFOFR-UHFFFAOYSA-N CC(C)(C)C1=C(CN)C=CC(F)=C1 Chemical compound CC(C)(C)C1=C(CN)C=CC(F)=C1 HQKQRDBGGUFOFR-UHFFFAOYSA-N 0.000 description 1
- BUXBTEAGMORKKV-UHFFFAOYSA-N CC(C)(C)C1=C(CN)C=CC=C1 Chemical compound CC(C)(C)C1=C(CN)C=CC=C1 BUXBTEAGMORKKV-UHFFFAOYSA-N 0.000 description 1
- SEOMMYGICIHJHP-UHFFFAOYSA-N CC(C)(C)C1=C(F)C=CC=C1 Chemical compound CC(C)(C)C1=C(F)C=CC=C1 SEOMMYGICIHJHP-UHFFFAOYSA-N 0.000 description 1
- SCJOZNVEWKEZAP-UHFFFAOYSA-N CC(C)(C)C1=C(F)C=CC=C1.CC(C)(C)C1=CC=C(F)C=C1.CC(C)(C)C1=CC=CC(F)=C1.CC(C)(C)C1=CC=CC=C1O.CC(C)(C)C1=CN=CC=N1.CC(C)C1=CC=CC=C1C(C)(C)C.CC(C)C1=CN=CC(Cl)=N1.CC(C)C1=CN=CC(N(C)C)=N1.CC(C)C1=CN=CC(N2C=CC=CC2=O)=N1.CC(C)C1=CN=CC(N2C=CN=C2)=N1.CC(C)C1=CN=CC(N2CCCC2)=N1.CC(C)C1=CN=CC(N2CCOCC2)=N1.CC(C)C1=CSC(C(C)C)=N1.CC(C)C1=CSC=N1.CC(C)N1CCC(C(C)(C)C)CC1.CC1=CC=CC=C1C(C)(C)C.CC1=NC(C(C)C)=CS1.CCC1=CC=CC=C1C(C)(C)C.CCN(CC)C1=NC(C(C)C)=CN=C1.CN1CCC(C(C)(C)C)CC1 Chemical compound CC(C)(C)C1=C(F)C=CC=C1.CC(C)(C)C1=CC=C(F)C=C1.CC(C)(C)C1=CC=CC(F)=C1.CC(C)(C)C1=CC=CC=C1O.CC(C)(C)C1=CN=CC=N1.CC(C)C1=CC=CC=C1C(C)(C)C.CC(C)C1=CN=CC(Cl)=N1.CC(C)C1=CN=CC(N(C)C)=N1.CC(C)C1=CN=CC(N2C=CC=CC2=O)=N1.CC(C)C1=CN=CC(N2C=CN=C2)=N1.CC(C)C1=CN=CC(N2CCCC2)=N1.CC(C)C1=CN=CC(N2CCOCC2)=N1.CC(C)C1=CSC(C(C)C)=N1.CC(C)C1=CSC=N1.CC(C)N1CCC(C(C)(C)C)CC1.CC1=CC=CC=C1C(C)(C)C.CC1=NC(C(C)C)=CS1.CCC1=CC=CC=C1C(C)(C)C.CCN(CC)C1=NC(C(C)C)=CN=C1.CN1CCC(C(C)(C)C)CC1 SCJOZNVEWKEZAP-UHFFFAOYSA-N 0.000 description 1
- YQJXBCTUBUMOFH-UHFFFAOYSA-N CC(C)(C)C1=C(F)C=CC=C1F Chemical compound CC(C)(C)C1=C(F)C=CC=C1F YQJXBCTUBUMOFH-UHFFFAOYSA-N 0.000 description 1
- PKBAVUHDSDSAQH-UHFFFAOYSA-N CC(C)(C)C1=C2C=CNC2=NC(F)=C1 Chemical compound CC(C)(C)C1=C2C=CNC2=NC(F)=C1 PKBAVUHDSDSAQH-UHFFFAOYSA-N 0.000 description 1
- CYWZUCFPMYCJJR-UHFFFAOYSA-N CC(C)(C)C1=C2C=CNC2=NC=C1 Chemical compound CC(C)(C)C1=C2C=CNC2=NC=C1 CYWZUCFPMYCJJR-UHFFFAOYSA-N 0.000 description 1
- UAHDLZGBBMTCBN-UHFFFAOYSA-N CC(C)(C)C1=CC(=O)NN1 Chemical compound CC(C)(C)C1=CC(=O)NN1 UAHDLZGBBMTCBN-UHFFFAOYSA-N 0.000 description 1
- NZLCEIYRRDWTEV-UHFFFAOYSA-N CC(C)(C)C1=CC(=O)NO1 Chemical compound CC(C)(C)C1=CC(=O)NO1 NZLCEIYRRDWTEV-UHFFFAOYSA-N 0.000 description 1
- UXKGLDRTDOSLGC-UHFFFAOYSA-N CC(C)(C)C1=CC(=O)NS1 Chemical compound CC(C)(C)C1=CC(=O)NS1 UXKGLDRTDOSLGC-UHFFFAOYSA-N 0.000 description 1
- YDWBCSZHGGMJAB-UHFFFAOYSA-N CC(C)(C)C1=CC(C#N)=CC=C1 Chemical compound CC(C)(C)C1=CC(C#N)=CC=C1 YDWBCSZHGGMJAB-UHFFFAOYSA-N 0.000 description 1
- PWEJHEZAHNQSHP-UHFFFAOYSA-N CC(C)(C)C1=CC(C(=O)O)=CC=C1 Chemical compound CC(C)(C)C1=CC(C(=O)O)=CC=C1 PWEJHEZAHNQSHP-UHFFFAOYSA-N 0.000 description 1
- VYZIRLYFWZFTRE-UHFFFAOYSA-N CC(C)(C)C1=CC(C(N)=O)=CC=C1 Chemical compound CC(C)(C)C1=CC(C(N)=O)=CC=C1 VYZIRLYFWZFTRE-UHFFFAOYSA-N 0.000 description 1
- KYXNATZCTBFSTH-UHFFFAOYSA-N CC(C)(C)C1=CC(Cl)=CC=C1 Chemical compound CC(C)(C)C1=CC(Cl)=CC=C1 KYXNATZCTBFSTH-UHFFFAOYSA-N 0.000 description 1
- HLJSXPYZNFMWFI-UHFFFAOYSA-N CC(C)(C)C1=CC(F)=CC(F)=C1 Chemical compound CC(C)(C)C1=CC(F)=CC(F)=C1 HLJSXPYZNFMWFI-UHFFFAOYSA-N 0.000 description 1
- DEELGUXNPLNDAN-UHFFFAOYSA-N CC(C)(C)C1=CC(F)=CC(O)=C1 Chemical compound CC(C)(C)C1=CC(F)=CC(O)=C1 DEELGUXNPLNDAN-UHFFFAOYSA-N 0.000 description 1
- IROOYWUXKBANQL-UHFFFAOYSA-N CC(C)(C)C1=CC(N)=NC(F)=C1 Chemical compound CC(C)(C)C1=CC(N)=NC(F)=C1 IROOYWUXKBANQL-UHFFFAOYSA-N 0.000 description 1
- LLQPELYFCPYKRR-UHFFFAOYSA-N CC(C)(C)C1=CC(N)=NC=C1 Chemical compound CC(C)(C)C1=CC(N)=NC=C1 LLQPELYFCPYKRR-UHFFFAOYSA-N 0.000 description 1
- ZKRDQLBHUZNPGZ-UHFFFAOYSA-N CC(C)(C)C1=CC([N+](=O)[O-])=CC=C1 Chemical compound CC(C)(C)C1=CC([N+](=O)[O-])=CC=C1 ZKRDQLBHUZNPGZ-UHFFFAOYSA-N 0.000 description 1
- USDLOQNSGBTYCH-UHFFFAOYSA-N CC(C)(C)C1=CC2=C(C=C1)C=NN2 Chemical compound CC(C)(C)C1=CC2=C(C=C1)C=NN2 USDLOQNSGBTYCH-UHFFFAOYSA-N 0.000 description 1
- NFWJMHZVKROVJN-UHFFFAOYSA-N CC(C)(C)C1=CC2=C(C=C1)N=C(N)C=C2 Chemical compound CC(C)(C)C1=CC2=C(C=C1)N=C(N)C=C2 NFWJMHZVKROVJN-UHFFFAOYSA-N 0.000 description 1
- BBOCBUIGVLEEMV-UHFFFAOYSA-N CC(C)(C)C1=CC2=C(C=C1)N=C(N)N2 Chemical compound CC(C)(C)C1=CC2=C(C=C1)N=C(N)N2 BBOCBUIGVLEEMV-UHFFFAOYSA-N 0.000 description 1
- QTDYUZWSYSNUSX-UHFFFAOYSA-N CC(C)(C)C1=CC2=C(C=C1)N=CN=C2N Chemical compound CC(C)(C)C1=CC2=C(C=C1)N=CN=C2N QTDYUZWSYSNUSX-UHFFFAOYSA-N 0.000 description 1
- XZQBYTDEFRBWFK-UHFFFAOYSA-N CC(C)(C)C1=CC2=C(C=NN2)C(F)=C1 Chemical compound CC(C)(C)C1=CC2=C(C=NN2)C(F)=C1 XZQBYTDEFRBWFK-UHFFFAOYSA-N 0.000 description 1
- XLZUCSDSUGNCER-UHFFFAOYSA-N CC(C)(C)C1=CC2=C(N=C1)NC=C2 Chemical compound CC(C)(C)C1=CC2=C(N=C1)NC=C2 XLZUCSDSUGNCER-UHFFFAOYSA-N 0.000 description 1
- IIZURLNRIMKEDL-UHFFFAOYSA-N CC(C)(C)C1=CC=C(C#N)C=C1 Chemical compound CC(C)(C)C1=CC=C(C#N)C=C1 IIZURLNRIMKEDL-UHFFFAOYSA-N 0.000 description 1
- MPWSRGAWRAYBJK-UHFFFAOYSA-N CC(C)(C)C1=CC=C(CN)C=C1 Chemical compound CC(C)(C)C1=CC=C(CN)C=C1 MPWSRGAWRAYBJK-UHFFFAOYSA-N 0.000 description 1
- VUXFBRWEYFXPNT-UHFFFAOYSA-N CC(C)(C)C1=CC=C(Cl)C(O)=C1 Chemical compound CC(C)(C)C1=CC=C(Cl)C(O)=C1 VUXFBRWEYFXPNT-UHFFFAOYSA-N 0.000 description 1
- ZCKYNPRJKXKLFR-UHFFFAOYSA-N CC(C)(C)C1=CC=C(F)C(O)=C1 Chemical compound CC(C)(C)C1=CC=C(F)C(O)=C1 ZCKYNPRJKXKLFR-UHFFFAOYSA-N 0.000 description 1
- IZCRGZHWKDZDPJ-UHFFFAOYSA-N CC(C)(C)C1=CC=C2N=C(N)N=CC2=C1 Chemical compound CC(C)(C)C1=CC=C2N=C(N)N=CC2=C1 IZCRGZHWKDZDPJ-UHFFFAOYSA-N 0.000 description 1
- FGVJQCBMVYXGBJ-UHFFFAOYSA-N CC(C)(C)C1=CC=C2N=C(N)OC2=C1 Chemical compound CC(C)(C)C1=CC=C2N=C(N)OC2=C1 FGVJQCBMVYXGBJ-UHFFFAOYSA-N 0.000 description 1
- HWJMDJWCGKTWQG-UHFFFAOYSA-N CC(C)(C)C1=CC=C2N=C(N)SC2=C1 Chemical compound CC(C)(C)C1=CC=C2N=C(N)SC2=C1 HWJMDJWCGKTWQG-UHFFFAOYSA-N 0.000 description 1
- DQUOOHJLHOWIHQ-UHFFFAOYSA-N CC(C)(C)C1=CC=C2OC(N)=NC2=C1 Chemical compound CC(C)(C)C1=CC=C2OC(N)=NC2=C1 DQUOOHJLHOWIHQ-UHFFFAOYSA-N 0.000 description 1
- XPSGSWDTMNDZOC-UHFFFAOYSA-N CC(C)(C)C1=CC=C2SC(N)=NC2=C1 Chemical compound CC(C)(C)C1=CC=C2SC(N)=NC2=C1 XPSGSWDTMNDZOC-UHFFFAOYSA-N 0.000 description 1
- CYEKUDPFXBLGHH-UHFFFAOYSA-N CC(C)(C)C1=CC=CC(O)=C1 Chemical compound CC(C)(C)C1=CC=CC(O)=C1 CYEKUDPFXBLGHH-UHFFFAOYSA-N 0.000 description 1
- YTZKOQUCBOVLHL-UHFFFAOYSA-N CC(C)(C)C1=CC=CC=C1 Chemical compound CC(C)(C)C1=CC=CC=C1 YTZKOQUCBOVLHL-UHFFFAOYSA-N 0.000 description 1
- JFTCNGBUEXGKNZ-UHFFFAOYSA-N CC(C)(C)C1=CC=CC=C1C(F)(F)F Chemical compound CC(C)(C)C1=CC=CC=C1C(F)(F)F JFTCNGBUEXGKNZ-UHFFFAOYSA-N 0.000 description 1
- HMRNLPCZVBVKLZ-UHFFFAOYSA-N CC(C)(C)C1=CC=CC=C1Cl Chemical compound CC(C)(C)C1=CC=CC=C1Cl HMRNLPCZVBVKLZ-UHFFFAOYSA-N 0.000 description 1
- WJQOZHYUIDYNHM-UHFFFAOYSA-N CC(C)(C)C1=CC=CC=C1O Chemical compound CC(C)(C)C1=CC=CC=C1O WJQOZHYUIDYNHM-UHFFFAOYSA-N 0.000 description 1
- HJKLHAWZBANUPZ-UHFFFAOYSA-N CC(C)(C)C1=CC=CC=C1OCCN1CCOCC1 Chemical compound CC(C)(C)C1=CC=CC=C1OCCN1CCOCC1 HJKLHAWZBANUPZ-UHFFFAOYSA-N 0.000 description 1
- HMTDNJJKPNAXQZ-UHFFFAOYSA-N CC(C)(C)C1=CN(CCO)N=C1 Chemical compound CC(C)(C)C1=CN(CCO)N=C1 HMTDNJJKPNAXQZ-UHFFFAOYSA-N 0.000 description 1
- YPVUVTIITAMAPQ-UHFFFAOYSA-N CC(C)(C)C1=CN=C(N)S1 Chemical compound CC(C)(C)C1=CN=C(N)S1 YPVUVTIITAMAPQ-UHFFFAOYSA-N 0.000 description 1
- FFACGXKCOAHYIN-UHFFFAOYSA-N CC(C)(C)C1=CN=CC(C#N)=N1 Chemical compound CC(C)(C)C1=CN=CC(C#N)=N1 FFACGXKCOAHYIN-UHFFFAOYSA-N 0.000 description 1
- FBUIIWHYTLCORM-UHFFFAOYSA-N CC(C)(C)C1=CN=CC=C1 Chemical compound CC(C)(C)C1=CN=CC=C1 FBUIIWHYTLCORM-UHFFFAOYSA-N 0.000 description 1
- YNQZVOWNJKASKQ-UHFFFAOYSA-N CC(C)(C)C1=CN=CC=N1 Chemical compound CC(C)(C)C1=CN=CC=N1 YNQZVOWNJKASKQ-UHFFFAOYSA-N 0.000 description 1
- SFRZJVGGJFNWHZ-UHFFFAOYSA-N CC(C)(C)C1=CNN=C1 Chemical compound CC(C)(C)C1=CNN=C1 SFRZJVGGJFNWHZ-UHFFFAOYSA-N 0.000 description 1
- KJIHSZFMTAKEHA-UHFFFAOYSA-N CC(C)(C)C1=NC(Cl)=NC(N)=C1.CC(C)(C)C1=NC(N)=NC=C1C#N.CC(C)(C)C1=NC(N)=NC=C1C(F)(F)F.CC(C)(C)C1=NC(N)=NC=C1C(N)=O.CC(C)(C)C1=NC(N)=NC=C1Cl.CC(C)(C)C1=NC(N)=NC=C1F.CC1=NC(C(C)(C)C)=NC=C1C(F)(F)F.CNC(=O)C1=CN=C(N)N=C1C(C)(C)C Chemical compound CC(C)(C)C1=NC(Cl)=NC(N)=C1.CC(C)(C)C1=NC(N)=NC=C1C#N.CC(C)(C)C1=NC(N)=NC=C1C(F)(F)F.CC(C)(C)C1=NC(N)=NC=C1C(N)=O.CC(C)(C)C1=NC(N)=NC=C1Cl.CC(C)(C)C1=NC(N)=NC=C1F.CC1=NC(C(C)(C)C)=NC=C1C(F)(F)F.CNC(=O)C1=CN=C(N)N=C1C(C)(C)C KJIHSZFMTAKEHA-UHFFFAOYSA-N 0.000 description 1
- NGAIAVSLFLRHAQ-UHFFFAOYSA-N CC(C)(C)C1=NC(N)=NC(F)=C1 Chemical compound CC(C)(C)C1=NC(N)=NC(F)=C1 NGAIAVSLFLRHAQ-UHFFFAOYSA-N 0.000 description 1
- OKLVXPSKPCTBGL-UHFFFAOYSA-N CC(C)(C)C1=NC(N)=NC=C1 Chemical compound CC(C)(C)C1=NC(N)=NC=C1 OKLVXPSKPCTBGL-UHFFFAOYSA-N 0.000 description 1
- GPKJFJZXRRWJRD-UHFFFAOYSA-N CC(C)(C)C1=NNC(F)=C1 Chemical compound CC(C)(C)C1=NNC(F)=C1 GPKJFJZXRRWJRD-UHFFFAOYSA-N 0.000 description 1
- OKQVUMMFRMUJMX-UHFFFAOYSA-N CC(C)(C)C1=NNC=N1 Chemical compound CC(C)(C)C1=NNC=N1 OKQVUMMFRMUJMX-UHFFFAOYSA-N 0.000 description 1
- BONXXHJNJLHEDZ-UHFFFAOYSA-N CC(C)(C)C1CCC1 Chemical compound CC(C)(C)C1CCC1 BONXXHJNJLHEDZ-UHFFFAOYSA-N 0.000 description 1
- BFWVYBVSRYIDHI-UHFFFAOYSA-N CC(C)(C)C1CCCC1 Chemical compound CC(C)(C)C1CCCC1 BFWVYBVSRYIDHI-UHFFFAOYSA-N 0.000 description 1
- XTVMZZBLCLWBPM-UHFFFAOYSA-N CC(C)(C)C1CCCCC1 Chemical compound CC(C)(C)C1CCCCC1 XTVMZZBLCLWBPM-UHFFFAOYSA-N 0.000 description 1
- IPCSBKXDFOIBFJ-UHFFFAOYSA-N CC(C)(C)C1CCN(CCC#N)CC1 Chemical compound CC(C)(C)C1CCN(CCC#N)CC1 IPCSBKXDFOIBFJ-UHFFFAOYSA-N 0.000 description 1
- DVUKAROOLHKKBC-UHFFFAOYSA-N CC(C)(C)C1CCOCC1 Chemical compound CC(C)(C)C1CCOCC1 DVUKAROOLHKKBC-UHFFFAOYSA-N 0.000 description 1
- INULZSMMLUZJAL-UHFFFAOYSA-N CC(C)(C)C=C(F)F Chemical compound CC(C)(C)C=C(F)F INULZSMMLUZJAL-UHFFFAOYSA-N 0.000 description 1
- XFOWYEKVIRMOBI-UHFFFAOYSA-N CC(C)(C)CC#N Chemical compound CC(C)(C)CC#N XFOWYEKVIRMOBI-UHFFFAOYSA-N 0.000 description 1
- GNIXIZIBODKFLK-UHFFFAOYSA-N CC(C)(C)CCC(N)=O Chemical compound CC(C)(C)CCC(N)=O GNIXIZIBODKFLK-UHFFFAOYSA-N 0.000 description 1
- OMFHHTCEJGFUNY-UHFFFAOYSA-N CC(C)(C)CCN1CCCC1 Chemical compound CC(C)(C)CCN1CCCC1 OMFHHTCEJGFUNY-UHFFFAOYSA-N 0.000 description 1
- PYOXIJHTSXVKMZ-UHFFFAOYSA-N CC(C)(C)CCN1CCOCC1 Chemical compound CC(C)(C)CCN1CCOCC1 PYOXIJHTSXVKMZ-UHFFFAOYSA-N 0.000 description 1
- VUUHIJIAWPMTNE-UHFFFAOYSA-N CC(C)(C)CN1CCOCC1 Chemical compound CC(C)(C)CN1CCOCC1 VUUHIJIAWPMTNE-UHFFFAOYSA-N 0.000 description 1
- BNFDZWRGQGATBD-UHFFFAOYSA-N CC(C)(C)N1CCOCC1.CC(C)C1=CN=C(N(C)C)C=N1.CC(C)C1=CN=C(N2C=CC=C2)C=N1.CC(C)C1=CN=C(N2C=CN=C2)C=N1.CC(C)C1=CN=C(N2CCCC2)C=N1.CC(C)C1=CN=C(N2CCCCC2)C=N1.CC(C)C1=CN=C(N2CCCCC2C)C=N1.CC(C)C1=CN=C(N2CCN(C)CC2)C=N1.CC(C)C1=CN=C(N2CCOCC2)C=N1.CC1=NC=C(C(C)C)N=C1.CC1CCN(C2=NC=C(C(C)C)N=C2)CC1.CCN(C)C1=NC=C(C)N=C1.CCN(CC)C1=NC=C(C)C=C1 Chemical compound CC(C)(C)N1CCOCC1.CC(C)C1=CN=C(N(C)C)C=N1.CC(C)C1=CN=C(N2C=CC=C2)C=N1.CC(C)C1=CN=C(N2C=CN=C2)C=N1.CC(C)C1=CN=C(N2CCCC2)C=N1.CC(C)C1=CN=C(N2CCCCC2)C=N1.CC(C)C1=CN=C(N2CCCCC2C)C=N1.CC(C)C1=CN=C(N2CCN(C)CC2)C=N1.CC(C)C1=CN=C(N2CCOCC2)C=N1.CC1=NC=C(C(C)C)N=C1.CC1CCN(C2=NC=C(C(C)C)N=C2)CC1.CCN(C)C1=NC=C(C)N=C1.CCN(CC)C1=NC=C(C)C=C1 BNFDZWRGQGATBD-UHFFFAOYSA-N 0.000 description 1
- FTNNVIOOUDNEEI-UHFFFAOYSA-N CC(C)(C)c1ncnc2c1nc[N]2 Chemical compound CC(C)(C)c1ncnc2c1nc[N]2 FTNNVIOOUDNEEI-UHFFFAOYSA-N 0.000 description 1
- DKFPMSNUJIRAMR-UHFFFAOYSA-N CC(C)C#CC(C)(C)C Chemical compound CC(C)C#CC(C)(C)C DKFPMSNUJIRAMR-UHFFFAOYSA-N 0.000 description 1
- ABOIUPULBQBRGV-OWUDSZESSA-N CC(C)C(=O)O.CC1=C(C(=O)NC2=CC=CC=C2)C(CC(=O)C(C)NC(=O)OC(C)(C)C)=CC=C1.CC1=C2C(=O)N(C3=CC=CC=C3)C([C@H](C)N)=CC2=CC=C1.CC1=CC=CC(C)=C1C(=O)NC1=CC=CC=C1.CON(C)C(=O)C(C)C Chemical compound CC(C)C(=O)O.CC1=C(C(=O)NC2=CC=CC=C2)C(CC(=O)C(C)NC(=O)OC(C)(C)C)=CC=C1.CC1=C2C(=O)N(C3=CC=CC=C3)C([C@H](C)N)=CC2=CC=C1.CC1=CC=CC(C)=C1C(=O)NC1=CC=CC=C1.CON(C)C(=O)C(C)C ABOIUPULBQBRGV-OWUDSZESSA-N 0.000 description 1
- AJMMFYZCFHCANB-IRJPFDLBSA-N CC(C)C(NC1=C2N=CNC2=NC(Cl)=N1)C(C)(C)C.CC(C)C(NC1=C2N=CNC2=NC(F)=N1)C(C)(C)C.CC(NC1=C2N=CNC2=NC(Cl)=N1)C(C)(C)C.CC(NC1=C2N=CNC2=NC(F)=N1)C(C)(C)C.CCC(NC1=C2N=CNC2=NC(Cl)=N1)C(C)(C)C.CCC(NC1=C2N=CNC2=NC(F)=N1)C(C)(C)C.CC[C@@H](NC1=C2N=CNC2=NC(F)=N1)C(C)(C)C.C[C@@H](NC1=C2N=CNC2=NC(F)=N1)C(C)(C)C.[H]C1=NC(N[C@@H](C(C)C)C(C)(C)C)=C2N=CNC2=N1.[H]C1=NC(N[C@@H](C)C(C)(C)C)=C2N=CNC2=N1.[H]C1=NC(N[C@@H](CC)C(C)(C)C)=C2N=CNC2=N1.[H]C1=NC(N[C@H](C(C)C)C(C)(C)C)=C2N=CNC2=N1.[H]C1=NC(N[C@H](C)C(C)(C)C)=C2N=CNC2=N1.[H]C1=NC(N[C@H](CC)C(C)(C)C)=C2N=CNC2=N1 Chemical compound CC(C)C(NC1=C2N=CNC2=NC(Cl)=N1)C(C)(C)C.CC(C)C(NC1=C2N=CNC2=NC(F)=N1)C(C)(C)C.CC(NC1=C2N=CNC2=NC(Cl)=N1)C(C)(C)C.CC(NC1=C2N=CNC2=NC(F)=N1)C(C)(C)C.CCC(NC1=C2N=CNC2=NC(Cl)=N1)C(C)(C)C.CCC(NC1=C2N=CNC2=NC(F)=N1)C(C)(C)C.CC[C@@H](NC1=C2N=CNC2=NC(F)=N1)C(C)(C)C.C[C@@H](NC1=C2N=CNC2=NC(F)=N1)C(C)(C)C.[H]C1=NC(N[C@@H](C(C)C)C(C)(C)C)=C2N=CNC2=N1.[H]C1=NC(N[C@@H](C)C(C)(C)C)=C2N=CNC2=N1.[H]C1=NC(N[C@@H](CC)C(C)(C)C)=C2N=CNC2=N1.[H]C1=NC(N[C@H](C(C)C)C(C)(C)C)=C2N=CNC2=N1.[H]C1=NC(N[C@H](C)C(C)(C)C)=C2N=CNC2=N1.[H]C1=NC(N[C@H](CC)C(C)(C)C)=C2N=CNC2=N1 AJMMFYZCFHCANB-IRJPFDLBSA-N 0.000 description 1
- AGYLUNYYFXEHQC-XNNWCDNESA-N CC(C)C(NC1=NC(Cl)=NC(N)=C1)C(C)(C)C.CC(C)C(NC1=NC=C(C(F)(F)F)C(N)=N1)C(C)(C)C.CC(C)NC1=NC(Cl)=NC(N)=C1.CC(C)[C@@H](NC1=NC(Cl)=NC(N)=C1)C(C)(C)C.CC(C)[C@H](NC1=NC(Cl)=NC(N)=C1)C(C)(C)C.CC(NC1=NC=C(C(F)(F)F)C(N)=N1)C(C)(C)C.CCC(NC1=NC=C(C(F)(F)F)C(N)=N1)C(C)(C)C.CC[C@@H](NC1=NC(Cl)=NC(N)=C1)C(C)(C)C.CC[C@@H](NC1=NC=C(C(F)(F)F)C(N)=N1)C(C)(C)C.CC[C@H](NC1=NC(Cl)=NC(N)=C1)C(C)(C)C.C[C@@H](NC1=NC=C(C(F)(F)F)C(N)=N1)C(C)(C)C.C[C@H](NC1=NC(Cl)=NC(N)=C1)C(C)(C)C Chemical compound CC(C)C(NC1=NC(Cl)=NC(N)=C1)C(C)(C)C.CC(C)C(NC1=NC=C(C(F)(F)F)C(N)=N1)C(C)(C)C.CC(C)NC1=NC(Cl)=NC(N)=C1.CC(C)[C@@H](NC1=NC(Cl)=NC(N)=C1)C(C)(C)C.CC(C)[C@H](NC1=NC(Cl)=NC(N)=C1)C(C)(C)C.CC(NC1=NC=C(C(F)(F)F)C(N)=N1)C(C)(C)C.CCC(NC1=NC=C(C(F)(F)F)C(N)=N1)C(C)(C)C.CC[C@@H](NC1=NC(Cl)=NC(N)=C1)C(C)(C)C.CC[C@@H](NC1=NC=C(C(F)(F)F)C(N)=N1)C(C)(C)C.CC[C@H](NC1=NC(Cl)=NC(N)=C1)C(C)(C)C.C[C@@H](NC1=NC=C(C(F)(F)F)C(N)=N1)C(C)(C)C.C[C@H](NC1=NC(Cl)=NC(N)=C1)C(C)(C)C AGYLUNYYFXEHQC-XNNWCDNESA-N 0.000 description 1
- WXPADKQYHOLVLC-UHFFFAOYSA-N CC(C)C1=CC2=C(C=C1)C=NN2 Chemical compound CC(C)C1=CC2=C(C=C1)C=NN2 WXPADKQYHOLVLC-UHFFFAOYSA-N 0.000 description 1
- MRDISPUVOMIUQW-UHFFFAOYSA-N CC(C)C1=CC2=C(C=C1)C=NN2.CC(C)C1=CC2=C(C=C1)NN=C2.CC(C)C1=CC=C(F)C=N1.CC(C)C1=CC=C(N)C=N1.CC(C)C1=CC=C(O)C=N1.CC(C)C1=CC=CC(=O)N1.CC(C)C1=CC=CC(C#N)=N1.CC(C)C1=CC=CC(N)=N1.CC(C)C1=CC=NC(C#N)=C1.CC(C)C1=CC=NC(C(F)(F)F)=C1.CC(C)C1=CC=NC(N)=C1.CC(C)C1=CN=C(Cl)C=N1.CC(C)C1=CN=C(N)C=N1.CC1=CC(C(C)C)=CC=N1.CC1=CC=C(C(C)C)N=C1.CC1=CC=NC(C(C)C)=C1.CC1=NC(C(C)C)=CC=C1.COC(=O)C1=CC(C(C)C)=CC=N1.COC(=O)C1=CC=C(C(C)C)N=C1.COC(=O)C1=NC(C(C)C)=CC=C1.COC1=NC(C(C)C)=CC=C1.COC1=NC=C(C(C)C)N=C1 Chemical compound CC(C)C1=CC2=C(C=C1)C=NN2.CC(C)C1=CC2=C(C=C1)NN=C2.CC(C)C1=CC=C(F)C=N1.CC(C)C1=CC=C(N)C=N1.CC(C)C1=CC=C(O)C=N1.CC(C)C1=CC=CC(=O)N1.CC(C)C1=CC=CC(C#N)=N1.CC(C)C1=CC=CC(N)=N1.CC(C)C1=CC=NC(C#N)=C1.CC(C)C1=CC=NC(C(F)(F)F)=C1.CC(C)C1=CC=NC(N)=C1.CC(C)C1=CN=C(Cl)C=N1.CC(C)C1=CN=C(N)C=N1.CC1=CC(C(C)C)=CC=N1.CC1=CC=C(C(C)C)N=C1.CC1=CC=NC(C(C)C)=C1.CC1=NC(C(C)C)=CC=C1.COC(=O)C1=CC(C(C)C)=CC=N1.COC(=O)C1=CC=C(C(C)C)N=C1.COC(=O)C1=NC(C(C)C)=CC=C1.COC1=NC(C(C)C)=CC=C1.COC1=NC=C(C(C)C)N=C1 MRDISPUVOMIUQW-UHFFFAOYSA-N 0.000 description 1
- XYEKVCDZBKLYKQ-UHFFFAOYSA-N CC(C)C1=CC2=C(C=C1)NN=C2 Chemical compound CC(C)C1=CC2=C(C=C1)NN=C2 XYEKVCDZBKLYKQ-UHFFFAOYSA-N 0.000 description 1
- XYGFISRAXLLACA-UHFFFAOYSA-N CC(C)C1=CC=C(N)C=N1 Chemical compound CC(C)C1=CC=C(N)C=N1 XYGFISRAXLLACA-UHFFFAOYSA-N 0.000 description 1
- XJTYVWSIHYOBHW-UHFFFAOYSA-N CC(C)C1=CC=C(O)C=N1 Chemical compound CC(C)C1=CC=C(O)C=N1 XJTYVWSIHYOBHW-UHFFFAOYSA-N 0.000 description 1
- XNDNTUOEUNAQAX-UHFFFAOYSA-N CC(C)C1=CC=CC(=O)N1 Chemical compound CC(C)C1=CC=CC(=O)N1 XNDNTUOEUNAQAX-UHFFFAOYSA-N 0.000 description 1
- FDFCKUYJJATYBF-UHFFFAOYSA-N CC(C)C1=CC=CC(C#N)=N1 Chemical compound CC(C)C1=CC=CC(C#N)=N1 FDFCKUYJJATYBF-UHFFFAOYSA-N 0.000 description 1
- KNCZPLRYWQLPQT-UHFFFAOYSA-N CC(C)C1=CC=CC=C1C(C)(C)C Chemical compound CC(C)C1=CC=CC=C1C(C)(C)C KNCZPLRYWQLPQT-UHFFFAOYSA-N 0.000 description 1
- PFYPDUUXDADWKC-UHFFFAOYSA-N CC(C)C1=CC=CC=N1 Chemical compound CC(C)C1=CC=CC=N1 PFYPDUUXDADWKC-UHFFFAOYSA-N 0.000 description 1
- HTPXWUAORWGONM-UHFFFAOYSA-N CC(C)C1=CC=NC(C#N)=C1 Chemical compound CC(C)C1=CC=NC(C#N)=C1 HTPXWUAORWGONM-UHFFFAOYSA-N 0.000 description 1
- AHQITEXXCYRTTO-UHFFFAOYSA-N CC(C)C1=CC=NC(C(F)(F)F)=C1 Chemical compound CC(C)C1=CC=NC(C(F)(F)F)=C1 AHQITEXXCYRTTO-UHFFFAOYSA-N 0.000 description 1
- GNZXIZXIMJXQIS-UHFFFAOYSA-N CC(C)C1=CC=NC(N)=C1 Chemical compound CC(C)C1=CC=NC(N)=C1 GNZXIZXIMJXQIS-UHFFFAOYSA-N 0.000 description 1
- XMZOJJZBMMEBQW-UHFFFAOYSA-N CC(C)C1=CN=C(Cl)C=N1 Chemical compound CC(C)C1=CN=C(Cl)C=N1 XMZOJJZBMMEBQW-UHFFFAOYSA-N 0.000 description 1
- RPEIJLMQWCXMST-UHFFFAOYSA-N CC(C)C1=CN=C(N(C)C)C=N1 Chemical compound CC(C)C1=CN=C(N(C)C)C=N1 RPEIJLMQWCXMST-UHFFFAOYSA-N 0.000 description 1
- LUTJOAFZCODTEA-UHFFFAOYSA-N CC(C)C1=CN=C(N2C=CC=C2)C=N1 Chemical compound CC(C)C1=CN=C(N2C=CC=C2)C=N1 LUTJOAFZCODTEA-UHFFFAOYSA-N 0.000 description 1
- CYHSMQAFNCZZKD-UHFFFAOYSA-N CC(C)C1=CN=C(N2C=CC=CC2=O)C=N1 Chemical compound CC(C)C1=CN=C(N2C=CC=CC2=O)C=N1 CYHSMQAFNCZZKD-UHFFFAOYSA-N 0.000 description 1
- MBGDNGSCUZVOMA-UHFFFAOYSA-N CC(C)C1=CN=C(N2C=CC=CC2=O)C=N1.CC(C)C1=CN=C(N2C=CC=N2)C=N1.CC(C)C1=CN=CC(C#N)=N1.CC(C)C1=CSC(N2C=CC=CC2=O)=N1.CC(C)C1=CSC(N2C=CN=C2)=N1.CC1=CN(C2=NC=C(C(C)C)N=C2)C=N1.CC1=CN(C2=NC=C(C(C)C)N=C2)N=C1.CC1=NC=CN1C1=NC=C(C(C)C)N=C1.CC1=NN(C2=NC=C(C(C)C)N=C2)C=C1.CCN(C)C1=NC(C(C)C)=CS1.CCN(CC)C1=NC(C(C)C)=CS1.COC1=NC(C(C)C)=CN=C1 Chemical compound CC(C)C1=CN=C(N2C=CC=CC2=O)C=N1.CC(C)C1=CN=C(N2C=CC=N2)C=N1.CC(C)C1=CN=CC(C#N)=N1.CC(C)C1=CSC(N2C=CC=CC2=O)=N1.CC(C)C1=CSC(N2C=CN=C2)=N1.CC1=CN(C2=NC=C(C(C)C)N=C2)C=N1.CC1=CN(C2=NC=C(C(C)C)N=C2)N=C1.CC1=NC=CN1C1=NC=C(C(C)C)N=C1.CC1=NN(C2=NC=C(C(C)C)N=C2)C=C1.CCN(C)C1=NC(C(C)C)=CS1.CCN(CC)C1=NC(C(C)C)=CS1.COC1=NC(C(C)C)=CN=C1 MBGDNGSCUZVOMA-UHFFFAOYSA-N 0.000 description 1
- FFGXBJMNWLLIBW-UHFFFAOYSA-N CC(C)C1=CN=C(N2C=CC=N2)C=N1 Chemical compound CC(C)C1=CN=C(N2C=CC=N2)C=N1 FFGXBJMNWLLIBW-UHFFFAOYSA-N 0.000 description 1
- NCLHHRNLRPXKMI-UHFFFAOYSA-N CC(C)C1=CN=C(N2CCCC2)C=N1 Chemical compound CC(C)C1=CN=C(N2CCCC2)C=N1 NCLHHRNLRPXKMI-UHFFFAOYSA-N 0.000 description 1
- VMESZMKLONFZPI-UHFFFAOYSA-N CC(C)C1=CN=C(N2CCCCC2)C=N1 Chemical compound CC(C)C1=CN=C(N2CCCCC2)C=N1 VMESZMKLONFZPI-UHFFFAOYSA-N 0.000 description 1
- ZKMXXZYQYGDKRX-UHFFFAOYSA-N CC(C)C1=CN=C(N2CCCCC2C)C=N1 Chemical compound CC(C)C1=CN=C(N2CCCCC2C)C=N1 ZKMXXZYQYGDKRX-UHFFFAOYSA-N 0.000 description 1
- LSILFWOIKHHKCA-UHFFFAOYSA-N CC(C)C1=CN=C(N2CCN(C)CC2)C=N1 Chemical compound CC(C)C1=CN=C(N2CCN(C)CC2)C=N1 LSILFWOIKHHKCA-UHFFFAOYSA-N 0.000 description 1
- LRRWLHHUBIYPPK-UHFFFAOYSA-N CC(C)C1=CN=C(N2CCOCC2)C=N1 Chemical compound CC(C)C1=CN=C(N2CCOCC2)C=N1 LRRWLHHUBIYPPK-UHFFFAOYSA-N 0.000 description 1
- ZZSFPTQQTDFPRH-UHFFFAOYSA-N CC(C)C1=CN=CC(Cl)=N1 Chemical compound CC(C)C1=CN=CC(Cl)=N1 ZZSFPTQQTDFPRH-UHFFFAOYSA-N 0.000 description 1
- MVMUTXJUBOWRKV-UHFFFAOYSA-N CC(C)C1=CN=CC(N(C)C)=N1 Chemical compound CC(C)C1=CN=CC(N(C)C)=N1 MVMUTXJUBOWRKV-UHFFFAOYSA-N 0.000 description 1
- UCPHANRTMNZMQB-UHFFFAOYSA-N CC(C)C1=CN=CC(N2C=CC=CC2=O)=N1 Chemical compound CC(C)C1=CN=CC(N2C=CC=CC2=O)=N1 UCPHANRTMNZMQB-UHFFFAOYSA-N 0.000 description 1
- IQMGAINXSJHVQB-UHFFFAOYSA-N CC(C)C1=CN=CC(N2C=CN=C2)=N1 Chemical compound CC(C)C1=CN=CC(N2C=CN=C2)=N1 IQMGAINXSJHVQB-UHFFFAOYSA-N 0.000 description 1
- XRFGNMPUQCHNIT-UHFFFAOYSA-N CC(C)C1=CN=CC(N2CCCC2)=N1 Chemical compound CC(C)C1=CN=CC(N2CCCC2)=N1 XRFGNMPUQCHNIT-UHFFFAOYSA-N 0.000 description 1
- COHXGKNAYGFNOQ-UHFFFAOYSA-N CC(C)C1=CN=CC(N2CCOCC2)=N1 Chemical compound CC(C)C1=CN=CC(N2CCOCC2)=N1 COHXGKNAYGFNOQ-UHFFFAOYSA-N 0.000 description 1
- WYZYZIGWXOYISR-UHFFFAOYSA-N CC(C)C1=CSC(C(C)C)=N1 Chemical compound CC(C)C1=CSC(C(C)C)=N1 WYZYZIGWXOYISR-UHFFFAOYSA-N 0.000 description 1
- IQQLKEMDJBJKHF-UHFFFAOYSA-N CC(C)C1=CSC(N2C=CC=CC2=O)=N1 Chemical compound CC(C)C1=CSC(N2C=CC=CC2=O)=N1 IQQLKEMDJBJKHF-UHFFFAOYSA-N 0.000 description 1
- ZJZHWCIVEHEKFA-UHFFFAOYSA-N CC(C)C1=CSC(N2C=CN=C2)=N1 Chemical compound CC(C)C1=CSC(N2C=CN=C2)=N1 ZJZHWCIVEHEKFA-UHFFFAOYSA-N 0.000 description 1
- IYERPWBBOZARFV-UHFFFAOYSA-N CC(C)C1=CSC=N1 Chemical compound CC(C)C1=CSC=N1 IYERPWBBOZARFV-UHFFFAOYSA-N 0.000 description 1
- QQLVFUIRJHKHMY-UHFFFAOYSA-N CC(C)N1C(=O)C2=C(Cl)C=CC=C2C=C1CN1N=C(C2=CC(O)=CC(F)=C2)C2=C1N=CN=C2N Chemical compound CC(C)N1C(=O)C2=C(Cl)C=CC=C2C=C1CN1N=C(C2=CC(O)=CC(F)=C2)C2=C1N=CN=C2N QQLVFUIRJHKHMY-UHFFFAOYSA-N 0.000 description 1
- MYHJEPVBOIEKTF-UHFFFAOYSA-N CC(C)N1C(=O)C2=C(Cl)C=CC=C2C=C1CN1N=C(C2=CC(O)=CC=C2)C2=C1N=CN=C2N Chemical compound CC(C)N1C(=O)C2=C(Cl)C=CC=C2C=C1CN1N=C(C2=CC(O)=CC=C2)C2=C1N=CN=C2N MYHJEPVBOIEKTF-UHFFFAOYSA-N 0.000 description 1
- RRFXZIQFALUDOV-UHFFFAOYSA-N CC(C)N1C(=O)C2=C(Cl)C=CC=C2C=C1CN1N=C(I)C2=C1N=CN=C2N Chemical compound CC(C)N1C(=O)C2=C(Cl)C=CC=C2C=C1CN1N=C(I)C2=C1N=CN=C2N RRFXZIQFALUDOV-UHFFFAOYSA-N 0.000 description 1
- QVCKZITXUCIMTF-UHFFFAOYSA-N CC(C)N1C(=O)C2=C(F)C=CC=C2C=C1CN1N=C(C2=CC(O)=CC(F)=C2)C2=C1N=CN=C2N Chemical compound CC(C)N1C(=O)C2=C(F)C=CC=C2C=C1CN1N=C(C2=CC(O)=CC(F)=C2)C2=C1N=CN=C2N QVCKZITXUCIMTF-UHFFFAOYSA-N 0.000 description 1
- AJAMJRGAZVPANV-UHFFFAOYSA-N CC(C)N1C(=O)C2=C(F)C=CC=C2C=C1CN1N=C(C2=CC(O)=CC=C2)C2=C1N=CN=C2N Chemical compound CC(C)N1C(=O)C2=C(F)C=CC=C2C=C1CN1N=C(C2=CC(O)=CC=C2)C2=C1N=CN=C2N AJAMJRGAZVPANV-UHFFFAOYSA-N 0.000 description 1
- PKYMNBUZZKCQER-UHFFFAOYSA-N CC(C)N1C(=O)C2=C(F)C=CC=C2C=C1CN1N=C(I)C2=C1N=CN=C2N Chemical compound CC(C)N1C(=O)C2=C(F)C=CC=C2C=C1CN1N=C(I)C2=C1N=CN=C2N PKYMNBUZZKCQER-UHFFFAOYSA-N 0.000 description 1
- PHTSYRPMHQTRAP-UHFFFAOYSA-N CC(C)N1C(=O)C2=CC=CC=C2C=C1CN1N=C(C2=CC(O)=CC=C2)C2=C1N=CN=C2N Chemical compound CC(C)N1C(=O)C2=CC=CC=C2C=C1CN1N=C(C2=CC(O)=CC=C2)C2=C1N=CN=C2N PHTSYRPMHQTRAP-UHFFFAOYSA-N 0.000 description 1
- ZBOWQFJNAVBQSJ-UHFFFAOYSA-N CC(C)N1CCC(C(C)(C)C)CC1 Chemical compound CC(C)N1CCC(C(C)(C)C)CC1 ZBOWQFJNAVBQSJ-UHFFFAOYSA-N 0.000 description 1
- SJMCLWCCNYAWRQ-UHFFFAOYSA-N CC(C)S(N)(=O)=O Chemical compound CC(C)S(N)(=O)=O SJMCLWCCNYAWRQ-UHFFFAOYSA-N 0.000 description 1
- XWFZIKFPISUSGB-RBNSCAEJSA-N CC(C)[C@@H](NC1=C2N=CNC2=NC(Cl)=N1)C(C)(C)C.CC(C)[C@@H](NC1=C2N=CNC2=NC(F)=N1)C(C)(C)C.CC(C)[C@H](NC1=C2N=CNC2=NC(Cl)=N1)C(C)(C)C.CC(C)[C@H](NC1=C2N=CNC2=NC(F)=N1)C(C)(C)C.CC(NC1=C2N=CNC2=NC(N)=N1)C(C)(C)C.CCC(NC1=C2N=CNC2=NC(N)=N1)C(C)(C)C.CC[C@@H](NC1=C2N=CNC2=NC(Cl)=N1)C(C)(C)C.CC[C@H](NC1=C2N=CNC2=NC(Cl)=N1)C(C)(C)C.CC[C@H](NC1=C2N=CNC2=NC(F)=N1)C(C)(C)C.C[C@@H](NC1=C2N=CNC2=NC(Cl)=N1)C(C)(C)C.C[C@H](NC1=C2N=CNC2=NC(Cl)=N1)C(C)(C)C.C[C@H](NC1=C2N=CNC2=NC(F)=N1)C(C)(C)C Chemical compound CC(C)[C@@H](NC1=C2N=CNC2=NC(Cl)=N1)C(C)(C)C.CC(C)[C@@H](NC1=C2N=CNC2=NC(F)=N1)C(C)(C)C.CC(C)[C@H](NC1=C2N=CNC2=NC(Cl)=N1)C(C)(C)C.CC(C)[C@H](NC1=C2N=CNC2=NC(F)=N1)C(C)(C)C.CC(NC1=C2N=CNC2=NC(N)=N1)C(C)(C)C.CCC(NC1=C2N=CNC2=NC(N)=N1)C(C)(C)C.CC[C@@H](NC1=C2N=CNC2=NC(Cl)=N1)C(C)(C)C.CC[C@H](NC1=C2N=CNC2=NC(Cl)=N1)C(C)(C)C.CC[C@H](NC1=C2N=CNC2=NC(F)=N1)C(C)(C)C.C[C@@H](NC1=C2N=CNC2=NC(Cl)=N1)C(C)(C)C.C[C@H](NC1=C2N=CNC2=NC(Cl)=N1)C(C)(C)C.C[C@H](NC1=C2N=CNC2=NC(F)=N1)C(C)(C)C XWFZIKFPISUSGB-RBNSCAEJSA-N 0.000 description 1
- GKOQRRMOJUOPTJ-FAZMIGIFSA-N CC(C)[C@@H](NC1=NC=C(C(F)(F)F)C(N)=N1)C(C)(C)C.CC(C)[C@H](NC1=NC=C(C(F)(F)F)C(N)=N1)C(C)(C)C.CC[C@H](NC1=NC=C(C(F)(F)F)C(N)=N1)C(C)(C)C.C[C@H](NC1=NC=C(C(F)(F)F)C(N)=N1)C(C)(C)C Chemical compound CC(C)[C@@H](NC1=NC=C(C(F)(F)F)C(N)=N1)C(C)(C)C.CC(C)[C@H](NC1=NC=C(C(F)(F)F)C(N)=N1)C(C)(C)C.CC[C@H](NC1=NC=C(C(F)(F)F)C(N)=N1)C(C)(C)C.C[C@H](NC1=NC=C(C(F)(F)F)C(N)=N1)C(C)(C)C GKOQRRMOJUOPTJ-FAZMIGIFSA-N 0.000 description 1
- XLJOXUDVRQNOMM-AHCDOPBVSA-N CC(NC(=O)OC(C)(C)C)C(=O)CC1=CC=CC(Cl)=C1C(=O)NC1CC1.CC1=CC=CC(Cl)=C1C(=O)Cl.CC1=CC=CC(Cl)=C1C(=O)NC1CC1.C[C@H](N)C1=CC2=CC=CC(Cl)=C2C(=O)N1C1CC1.C[C@H](NC1=NC=NC2=C1N=CN2C1CCCCO1)C1=CC2=CC=CC(Cl)=C2C(=O)N1C1CC1 Chemical compound CC(NC(=O)OC(C)(C)C)C(=O)CC1=CC=CC(Cl)=C1C(=O)NC1CC1.CC1=CC=CC(Cl)=C1C(=O)Cl.CC1=CC=CC(Cl)=C1C(=O)NC1CC1.C[C@H](N)C1=CC2=CC=CC(Cl)=C2C(=O)N1C1CC1.C[C@H](NC1=NC=NC2=C1N=CN2C1CCCCO1)C1=CC2=CC=CC(Cl)=C2C(=O)N1C1CC1 XLJOXUDVRQNOMM-AHCDOPBVSA-N 0.000 description 1
- WYEPLGDOUJEQQX-SLCIEPBLSA-N CC(NC1=NC(Cl)=NC(N)=C1)C(C)(C)C.CC1=NC=C(C(N)=O)C(N[C@H](C)C(C)(C)C)=N1.CCC(NC1=NC(Cl)=NC(N)=C1)C(C)(C)C.CC[C@@H](NC1=NC(C)=NC=C1C(N)=O)C(C)(C)C.CC[C@@H](NC1=NC(N)=NC=C1C#N)C(C)(C)C.CC[C@@H](NC1=NC(N)=NC=C1C(F)(F)F)C(C)(C)C.CC[C@@H](NC1=NC(N)=NC=C1C(N)=O)C(C)(C)C.CC[C@@H](NC1=NC(N)=NC=C1Cl)C(C)(C)C.CC[C@@H](NC1=NC(N)=NC=C1F)C(C)(C)C.C[C@@H](NC1=NC(N)=NC=C1C#N)C(C)(C)C.C[C@@H](NC1=NC(N)=NC=C1C(F)(F)F)C(C)(C)C.C[C@@H](NC1=NC(N)=NC=C1C(N)=O)C(C)(C)C.C[C@@H](NC1=NC(N)=NC=C1Cl)C(C)(C)C Chemical compound CC(NC1=NC(Cl)=NC(N)=C1)C(C)(C)C.CC1=NC=C(C(N)=O)C(N[C@H](C)C(C)(C)C)=N1.CCC(NC1=NC(Cl)=NC(N)=C1)C(C)(C)C.CC[C@@H](NC1=NC(C)=NC=C1C(N)=O)C(C)(C)C.CC[C@@H](NC1=NC(N)=NC=C1C#N)C(C)(C)C.CC[C@@H](NC1=NC(N)=NC=C1C(F)(F)F)C(C)(C)C.CC[C@@H](NC1=NC(N)=NC=C1C(N)=O)C(C)(C)C.CC[C@@H](NC1=NC(N)=NC=C1Cl)C(C)(C)C.CC[C@@H](NC1=NC(N)=NC=C1F)C(C)(C)C.C[C@@H](NC1=NC(N)=NC=C1C#N)C(C)(C)C.C[C@@H](NC1=NC(N)=NC=C1C(F)(F)F)C(C)(C)C.C[C@@H](NC1=NC(N)=NC=C1C(N)=O)C(C)(C)C.C[C@@H](NC1=NC(N)=NC=C1Cl)C(C)(C)C WYEPLGDOUJEQQX-SLCIEPBLSA-N 0.000 description 1
- COMRTFBDTCPYAT-UHFFFAOYSA-N CC(NC1=NC=NC2=C1N=CN2)C1=CC2=CC=CC=C2C(=O)N1C1CCN(C)CC1 Chemical compound CC(NC1=NC=NC2=C1N=CN2)C1=CC2=CC=CC=C2C(=O)N1C1CCN(C)CC1 COMRTFBDTCPYAT-UHFFFAOYSA-N 0.000 description 1
- YCGVLFUXTFAIBD-UHFFFAOYSA-N CC.CC(C)(C)C1=C(C#N)C=CC=C1.CC(C)(C)C1=C(F)C=CC=C1.CC(C)(C)C1=CC(C#N)=CC=C1.CC(C)(C)C1=CC([N+](=O)[O-])=CC=C1.CC(C)(C)C1=CC=C(C#N)C=C1.CC(C)(C)C1=CC=CC=C1.CC(C)(C)C1=CC=CC=C1Cl.CC(C)(C)C1=CC=CC=C1OCCN1CCOCC1.CC(C)(C)C1=NC=CC=C1Cl.CC(C)(C)C1CC1.CC(C)(C)C1CCC1.CC(C)(C)C1CCCC1.CC(C)(C)C1CCCCC1.CC(C)(C)C1CCOCC1.CC(C)(C)CCN1CCOCC1.CC(C)C.CC(C)C1=CC=CC(Cl)=N1.CC(C)C1=CC=CC=N1.CC1=CC=CC=C1C(C)(C)C.CC1=CC=CC=C1C(C)(C)C.CC1=CC=CN=C1C(C)(C)C.CC1=CC=NC=C1C(C)(C)C.CCC.CN1CCN(CCC(C)(C)C)CC1.COC1=CC=C(C)C(C)=C1 Chemical compound CC.CC(C)(C)C1=C(C#N)C=CC=C1.CC(C)(C)C1=C(F)C=CC=C1.CC(C)(C)C1=CC(C#N)=CC=C1.CC(C)(C)C1=CC([N+](=O)[O-])=CC=C1.CC(C)(C)C1=CC=C(C#N)C=C1.CC(C)(C)C1=CC=CC=C1.CC(C)(C)C1=CC=CC=C1Cl.CC(C)(C)C1=CC=CC=C1OCCN1CCOCC1.CC(C)(C)C1=NC=CC=C1Cl.CC(C)(C)C1CC1.CC(C)(C)C1CCC1.CC(C)(C)C1CCCC1.CC(C)(C)C1CCCCC1.CC(C)(C)C1CCOCC1.CC(C)(C)CCN1CCOCC1.CC(C)C.CC(C)C1=CC=CC(Cl)=N1.CC(C)C1=CC=CC=N1.CC1=CC=CC=C1C(C)(C)C.CC1=CC=CC=C1C(C)(C)C.CC1=CC=CN=C1C(C)(C)C.CC1=CC=NC=C1C(C)(C)C.CCC.CN1CCN(CCC(C)(C)C)CC1.COC1=CC=C(C)C(C)=C1 YCGVLFUXTFAIBD-UHFFFAOYSA-N 0.000 description 1
- XQCSPAWNDNBLEY-NJYHLSJBSA-N CC.CC.CC.CC.CC.CC.CC.CC.CC(=O)NC1=NC2=CC=C(C(C)(C)C)C=C2O1.CC(C)(C)/C=C1/CCNC1=O.CC(C)(C)/C=C1/SC(=O)NC1=O.CC(C)(C)C1=C(CN)C=CC(F)=C1.CC(C)(C)C1=C(CN)C=CC=C1.CC(C)(C)C1=CC(C(=O)O)=CC=C1.CC(C)(C)C1=CC2=C(C=C1)N=C(N)C=C2.CC(C)(C)C1=CC=C(CN)C=C1.CC(C)(C)C1=CC=C2N=C(N)N=CC2=C1.CC(C)(C)C1=CC=C2OC(N)=NC2=C1.CC(C)(C)C1=CC=C2SC(N)=NC2=C1.CN1C=C(C(C)(C)C)C=N1.CNC(=O)NC1=NC2=C(C=C(C(C)(C)C)C=C2)S1 Chemical compound CC.CC.CC.CC.CC.CC.CC.CC.CC(=O)NC1=NC2=CC=C(C(C)(C)C)C=C2O1.CC(C)(C)/C=C1/CCNC1=O.CC(C)(C)/C=C1/SC(=O)NC1=O.CC(C)(C)C1=C(CN)C=CC(F)=C1.CC(C)(C)C1=C(CN)C=CC=C1.CC(C)(C)C1=CC(C(=O)O)=CC=C1.CC(C)(C)C1=CC2=C(C=C1)N=C(N)C=C2.CC(C)(C)C1=CC=C(CN)C=C1.CC(C)(C)C1=CC=C2N=C(N)N=CC2=C1.CC(C)(C)C1=CC=C2OC(N)=NC2=C1.CC(C)(C)C1=CC=C2SC(N)=NC2=C1.CN1C=C(C(C)(C)C)C=N1.CNC(=O)NC1=NC2=C(C=C(C(C)(C)C)C=C2)S1 XQCSPAWNDNBLEY-NJYHLSJBSA-N 0.000 description 1
- WTZUDHKWQWPNLD-VURMDHGXSA-N CC/C(/C(C)C)=C/C(NC)=O Chemical compound CC/C(/C(C)C)=C/C(NC)=O WTZUDHKWQWPNLD-VURMDHGXSA-N 0.000 description 1
- BNECIWAJXIAKLH-UHFFFAOYSA-N CC1(C)OB(C2=CC=CC(O)=C2)OC1(C)C.CC1=CC=CC=C1N1C(=O)C2=C(C)C=CC=C2C=C1CBr.CC1=CC=CC=C1N1C(=O)C2=C(C)C=CC=C2C=C1CN1N=C(I)C2=C1N=CN=C2N.CC1=CC=CC=C1N1C(=O)C2=C(C)C=CC=C2C=C1CO.CCOC(=O)C1=CC2=CC=CC(C)=C2C(=O)N1C1=CC=CC=C1C.CCOC(=O)CN(C(=O)C1=C(C)C=CC=C1C=O)C1=CC=CC=C1C.NC1=NC=NC2=C1C(I)=NC2 Chemical compound CC1(C)OB(C2=CC=CC(O)=C2)OC1(C)C.CC1=CC=CC=C1N1C(=O)C2=C(C)C=CC=C2C=C1CBr.CC1=CC=CC=C1N1C(=O)C2=C(C)C=CC=C2C=C1CN1N=C(I)C2=C1N=CN=C2N.CC1=CC=CC=C1N1C(=O)C2=C(C)C=CC=C2C=C1CO.CCOC(=O)C1=CC2=CC=CC(C)=C2C(=O)N1C1=CC=CC=C1C.CCOC(=O)CN(C(=O)C1=C(C)C=CC=C1C=O)C1=CC=CC=C1C.NC1=NC=NC2=C1C(I)=NC2 BNECIWAJXIAKLH-UHFFFAOYSA-N 0.000 description 1
- BORUHFLJFBJHFS-ZIWYEEPISA-N CC1=C(C(=O)NC2=CC=CC=C2)C(CC(=O)C(C)NC(=O)OC(C)(C)C)=CC=C1.CC1=C2C(=O)N(C3=CC=CC=C3)C([C@H](C)N)=CC2=CC=C1.CC1=CC=CC(C)=C1C(=O)NC1=CC=CC=C1.COC(=O)C(C)C.COC(=O)[C@H](C)N.C[C@H](N)C(=O)O Chemical compound CC1=C(C(=O)NC2=CC=CC=C2)C(CC(=O)C(C)NC(=O)OC(C)(C)C)=CC=C1.CC1=C2C(=O)N(C3=CC=CC=C3)C([C@H](C)N)=CC2=CC=C1.CC1=CC=CC(C)=C1C(=O)NC1=CC=CC=C1.COC(=O)C(C)C.COC(=O)[C@H](C)N.C[C@H](N)C(=O)O BORUHFLJFBJHFS-ZIWYEEPISA-N 0.000 description 1
- WZXOSPHVFKLUGF-JIJGHSTLSA-N CC1=C(C(=O)NC2CC2)C(CC(=O)C(C)NC(=O)OC(C)(C)C)=CC=C1.CC1=C2C(=O)N(C3CC3)C([C@H](C)N)=CC2=CC=C1.CC1=C2C(=O)N(C3CC3)C([C@H](C)NC3=NC=NC4=C3N=CN4C3CCCCO3)=CC2=CC=C1.CC1=CC=CC(C)=C1C(=O)Cl.CC1=CC=CC(C)=C1C(=O)NC1CC1 Chemical compound CC1=C(C(=O)NC2CC2)C(CC(=O)C(C)NC(=O)OC(C)(C)C)=CC=C1.CC1=C2C(=O)N(C3CC3)C([C@H](C)N)=CC2=CC=C1.CC1=C2C(=O)N(C3CC3)C([C@H](C)NC3=NC=NC4=C3N=CN4C3CCCCO3)=CC2=CC=C1.CC1=CC=CC(C)=C1C(=O)Cl.CC1=CC=CC(C)=C1C(=O)NC1CC1 WZXOSPHVFKLUGF-JIJGHSTLSA-N 0.000 description 1
- CLMGLIYUNAKJFE-UHFFFAOYSA-N CC1=C(C(C)C)C=NC=C1 Chemical compound CC1=C(C(C)C)C=NC=C1 CLMGLIYUNAKJFE-UHFFFAOYSA-N 0.000 description 1
- NCOOLRRVEOHXRV-UHFFFAOYSA-N CC1=C2C(=O)N(C(C)C)C(C(C)NC3=NC=NC4=C3N=CN4)=CC2=CC=C1 Chemical compound CC1=C2C(=O)N(C(C)C)C(C(C)NC3=NC=NC4=C3N=CN4)=CC2=CC=C1 NCOOLRRVEOHXRV-UHFFFAOYSA-N 0.000 description 1
- OLVSPLGEEMQURV-UHFFFAOYSA-N CC1=C2C(=O)N(C(C)C)C(CBr)=CC2=CC=C1.CC1=C2C(=O)N(C(C)C)C(CN3N=C(C4=CC(O)=CC=C4)C4=C3N=CN=C4N)=CC2=CC=C1.CC1=C2C(=O)N(C(C)C)C(CN3N=C(I)C4=C3N=CN=C4N)=CC2=CC=C1.CC1=C2C(=O)N(C(C)C)C(CO)=CC2=CC=C1.NC1=NC=NC2=C1C(I)=NC2 Chemical compound CC1=C2C(=O)N(C(C)C)C(CBr)=CC2=CC=C1.CC1=C2C(=O)N(C(C)C)C(CN3N=C(C4=CC(O)=CC=C4)C4=C3N=CN=C4N)=CC2=CC=C1.CC1=C2C(=O)N(C(C)C)C(CN3N=C(I)C4=C3N=CN=C4N)=CC2=CC=C1.CC1=C2C(=O)N(C(C)C)C(CO)=CC2=CC=C1.NC1=NC=NC2=C1C(I)=NC2 OLVSPLGEEMQURV-UHFFFAOYSA-N 0.000 description 1
- WFRHAEJDTWASRD-UHFFFAOYSA-N CC1=C2C(=O)N(C(C)C)C(CN3N=C(C4=CC(O)=C(Cl)C=C4)C4=C3N=CN=C4N)=CC2=CC=C1 Chemical compound CC1=C2C(=O)N(C(C)C)C(CN3N=C(C4=CC(O)=C(Cl)C=C4)C4=C3N=CN=C4N)=CC2=CC=C1 WFRHAEJDTWASRD-UHFFFAOYSA-N 0.000 description 1
- VMJOSQBYRKXMKD-UHFFFAOYSA-N CC1=C2C(=O)N(C(C)C)C(CN3N=C(C4=CC(O)=C(F)C=C4)C4=C3N=CN=C4N)=CC2=CC=C1 Chemical compound CC1=C2C(=O)N(C(C)C)C(CN3N=C(C4=CC(O)=C(F)C=C4)C4=C3N=CN=C4N)=CC2=CC=C1 VMJOSQBYRKXMKD-UHFFFAOYSA-N 0.000 description 1
- MVSBJPLATZYDIR-UHFFFAOYSA-N CC1=C2C(=O)N(C(C)C)C(CN3N=C(C4=CC(O)=CC(F)=C4)C4=C3N=CN=C4N)=CC2=CC=C1 Chemical compound CC1=C2C(=O)N(C(C)C)C(CN3N=C(C4=CC(O)=CC(F)=C4)C4=C3N=CN=C4N)=CC2=CC=C1 MVSBJPLATZYDIR-UHFFFAOYSA-N 0.000 description 1
- VMULJYBGDRIPNF-UHFFFAOYSA-N CC1=C2C(=O)N(C(C)C)C(CN3N=C(C4=CC(O)=CC=C4)C4=C3N=CN=C4N)=CC2=CC=C1 Chemical compound CC1=C2C(=O)N(C(C)C)C(CN3N=C(C4=CC(O)=CC=C4)C4=C3N=CN=C4N)=CC2=CC=C1 VMULJYBGDRIPNF-UHFFFAOYSA-N 0.000 description 1
- IRINYVMOBLZBRN-UHFFFAOYSA-N CC1=C2C(=O)N(C(C)C)C(CN3N=C(I)C4=C3N=CN=C4N)=CC2=CC=C1 Chemical compound CC1=C2C(=O)N(C(C)C)C(CN3N=C(I)C4=C3N=CN=C4N)=CC2=CC=C1 IRINYVMOBLZBRN-UHFFFAOYSA-N 0.000 description 1
- LQGJJONKZVNRLJ-ZOWNYOTGSA-N CC1=C2C(=O)N(C(C)C)C([C@H](C)NC3=NC=NC4=C3N=CN4)=CC2=CC=C1.S Chemical compound CC1=C2C(=O)N(C(C)C)C([C@H](C)NC3=NC=NC4=C3N=CN4)=CC2=CC=C1.S LQGJJONKZVNRLJ-ZOWNYOTGSA-N 0.000 description 1
- AGRGWKOEUGLVFA-UHFFFAOYSA-N CC1=C2C(=O)N(C)C(CN3N=C(C4=CC(O)=CC(F)=C4)C4=C3N=CN=C4N)=CC2=CC=C1 Chemical compound CC1=C2C(=O)N(C)C(CN3N=C(C4=CC(O)=CC(F)=C4)C4=C3N=CN=C4N)=CC2=CC=C1 AGRGWKOEUGLVFA-UHFFFAOYSA-N 0.000 description 1
- IWMPEWUTZPNURX-UHFFFAOYSA-N CC1=C2C(=O)N(C)C(CN3N=C(C4=CC(O)=CC=C4)C4=C3N=CN=C4N)=CC2=CC=C1 Chemical compound CC1=C2C(=O)N(C)C(CN3N=C(C4=CC(O)=CC=C4)C4=C3N=CN=C4N)=CC2=CC=C1 IWMPEWUTZPNURX-UHFFFAOYSA-N 0.000 description 1
- LWGQEHBFBVUCMI-UHFFFAOYSA-N CC1=C2C(=O)N(C)C(CN3N=C(I)C4=C3N=CN=C4N)=CC2=CC=C1 Chemical compound CC1=C2C(=O)N(C)C(CN3N=C(I)C4=C3N=CN=C4N)=CC2=CC=C1 LWGQEHBFBVUCMI-UHFFFAOYSA-N 0.000 description 1
- WZEIBYHOKZVUHU-ZHACJKMWSA-N CC1=C2C(=O)N(C3=C(C)C=CC=C3)C(CN3N=C(/C=C/C(=O)N4CCOCC4)C4=C3N=CN=C4N)=CC2=CC=C1 Chemical compound CC1=C2C(=O)N(C3=C(C)C=CC=C3)C(CN3N=C(/C=C/C(=O)N4CCOCC4)C4=C3N=CN=C4N)=CC2=CC=C1 WZEIBYHOKZVUHU-ZHACJKMWSA-N 0.000 description 1
- GXGMIHAYJQXAAS-ZHACJKMWSA-N CC1=C2C(=O)N(C3=C(C)C=CC=C3)C(CN3N=C(/C=C/C(N)=O)C4=C3N=CN=C4N)=CC2=CC=C1 Chemical compound CC1=C2C(=O)N(C3=C(C)C=CC=C3)C(CN3N=C(/C=C/C(N)=O)C4=C3N=CN=C4N)=CC2=CC=C1 GXGMIHAYJQXAAS-ZHACJKMWSA-N 0.000 description 1
- WAGYRMSBBWWMBX-RGVLZGJSSA-N CC1=C2C(=O)N(C3=C(C)C=CC=C3)C(CN3N=C(/C=C4/SC(=O)NC4=O)C4=C3N=CN=C4N)=CC2=CC=C1 Chemical compound CC1=C2C(=O)N(C3=C(C)C=CC=C3)C(CN3N=C(/C=C4/SC(=O)NC4=O)C4=C3N=CN=C4N)=CC2=CC=C1 WAGYRMSBBWWMBX-RGVLZGJSSA-N 0.000 description 1
- FCUMOUJRZLRHCA-UHFFFAOYSA-N CC1=C2C(=O)N(C3=C(C)C=CC=C3)C(CN3N=C(C#N)C4=C3N=CN=C4N)=CC2=CC=C1 Chemical compound CC1=C2C(=O)N(C3=C(C)C=CC=C3)C(CN3N=C(C#N)C4=C3N=CN=C4N)=CC2=CC=C1 FCUMOUJRZLRHCA-UHFFFAOYSA-N 0.000 description 1
- KTBOUTQURAXFHW-UHFFFAOYSA-N CC1=C2C(=O)N(C3=C(C)C=CC=C3)C(CN3N=C(CCC(=O)N4CCOCC4)C4=C3N=CN=C4N)=CC2=CC=C1 Chemical compound CC1=C2C(=O)N(C3=C(C)C=CC=C3)C(CN3N=C(CCC(=O)N4CCOCC4)C4=C3N=CN=C4N)=CC2=CC=C1 KTBOUTQURAXFHW-UHFFFAOYSA-N 0.000 description 1
- LRHYXMKKPWPLDM-UHFFFAOYSA-N CC1=C2C(=O)N(C3=C(C)C=CC=C3)C(CN3N=C(CCC(N)=O)C4=C3N=CN=C4N)=CC2=CC=C1 Chemical compound CC1=C2C(=O)N(C3=C(C)C=CC=C3)C(CN3N=C(CCC(N)=O)C4=C3N=CN=C4N)=CC2=CC=C1 LRHYXMKKPWPLDM-UHFFFAOYSA-N 0.000 description 1
- MODQVRVNLINUQU-UHFFFAOYSA-N CC1=C2C(=O)N(C3=C(C)C=CC=C3)C(CN3N=C(CN4CCOCC4)C4=C3N=CN=C4N)=CC2=CC=C1 Chemical compound CC1=C2C(=O)N(C3=C(C)C=CC=C3)C(CN3N=C(CN4CCOCC4)C4=C3N=CN=C4N)=CC2=CC=C1 MODQVRVNLINUQU-UHFFFAOYSA-N 0.000 description 1
- AWMKMMUIWQVKMO-ATVHPVEESA-N CC1=C2C(=O)N(C3=C(F)C=CC=C3)C(CN3N=C(/C=C4/CCNC4=O)C4=C3N=CN=C4N)=CC2=CC=C1 Chemical compound CC1=C2C(=O)N(C3=C(F)C=CC=C3)C(CN3N=C(/C=C4/CCNC4=O)C4=C3N=CN=C4N)=CC2=CC=C1 AWMKMMUIWQVKMO-ATVHPVEESA-N 0.000 description 1
- UPAUUDAUVQHKKA-VXLYETTFSA-N CC1=C2C(=O)N(C3=C(F)C=CC=C3)C(CN3N=C(/C=C4/SC(=O)NC4=O)C4=C3N=CN=C4N)=CC2=CC=C1 Chemical compound CC1=C2C(=O)N(C3=C(F)C=CC=C3)C(CN3N=C(/C=C4/SC(=O)NC4=O)C4=C3N=CN=C4N)=CC2=CC=C1 UPAUUDAUVQHKKA-VXLYETTFSA-N 0.000 description 1
- MPLCQEUUJAOLFE-UHFFFAOYSA-N CC1=C2C(=O)N(C3=C(F)C=CC=C3)C(CN3N=C(C#N)C4=C3N=CN=C4N)=CC2=CC=C1 Chemical compound CC1=C2C(=O)N(C3=C(F)C=CC=C3)C(CN3N=C(C#N)C4=C3N=CN=C4N)=CC2=CC=C1 MPLCQEUUJAOLFE-UHFFFAOYSA-N 0.000 description 1
- LCLWNUJURJUANI-UHFFFAOYSA-N CC1=C2C(=O)N(C3=C(F)C=CC=C3F)C(C(C)NC3=NC=NC4=C3N=CN4)=CC2=CC=C1 Chemical compound CC1=C2C(=O)N(C3=C(F)C=CC=C3F)C(C(C)NC3=NC=NC4=C3N=CN4)=CC2=CC=C1 LCLWNUJURJUANI-UHFFFAOYSA-N 0.000 description 1
- CRVIXHQSIAJUJE-UHFFFAOYSA-N CC1=C2C(=O)N(C3=C(OCCN4CCOCC4)C=CC=C3)C(CN3N=C(C4=CC(O)=CC(F)=C4)C4=C3N=CN=C4N)=CC2=CC=C1 Chemical compound CC1=C2C(=O)N(C3=C(OCCN4CCOCC4)C=CC=C3)C(CN3N=C(C4=CC(O)=CC(F)=C4)C4=C3N=CN=C4N)=CC2=CC=C1 CRVIXHQSIAJUJE-UHFFFAOYSA-N 0.000 description 1
- OTIHXEJGGZQROI-UHFFFAOYSA-N CC1=C2C(=O)N(C3=C(OCCN4CCOCC4)C=CC=C3)C(CN3N=C(C4=CC(O)=CC=C4)C4=C3N=CN=C4N)=CC2=CC=C1 Chemical compound CC1=C2C(=O)N(C3=C(OCCN4CCOCC4)C=CC=C3)C(CN3N=C(C4=CC(O)=CC=C4)C4=C3N=CN=C4N)=CC2=CC=C1 OTIHXEJGGZQROI-UHFFFAOYSA-N 0.000 description 1
- VWRVDFBMQPMAJD-UHFFFAOYSA-N CC1=C2C(=O)N(C3=C(OCCN4CCOCC4)C=CC=C3)C(CN3N=C(I)C4=C3N=CN=C4N)=CC2=CC=C1 Chemical compound CC1=C2C(=O)N(C3=C(OCCN4CCOCC4)C=CC=C3)C(CN3N=C(I)C4=C3N=CN=C4N)=CC2=CC=C1 VWRVDFBMQPMAJD-UHFFFAOYSA-N 0.000 description 1
- SIQHNLCHDCIFNO-UHFFFAOYSA-N CC1=C2C(=O)N(C3=CC(F)=CC(F)=C3)C(C(C)NC3=NC=NC4=C3N=CN4)=CC2=CC=C1 Chemical compound CC1=C2C(=O)N(C3=CC(F)=CC(F)=C3)C(C(C)NC3=NC=NC4=C3N=CN4)=CC2=CC=C1 SIQHNLCHDCIFNO-UHFFFAOYSA-N 0.000 description 1
- VGOHZLCNLVUERR-UHFFFAOYSA-N CC1=C2C(=O)N(C3=CC(F)=CC=C3)C(C(C)NC3=NC=NC4=C3N=CN4)=CC2=CC=C1 Chemical compound CC1=C2C(=O)N(C3=CC(F)=CC=C3)C(C(C)NC3=NC=NC4=C3N=CN4)=CC2=CC=C1 VGOHZLCNLVUERR-UHFFFAOYSA-N 0.000 description 1
- ZCGSFTXYADUZTH-UHFFFAOYSA-N CC1=C2C(=O)N(C3=CC(F)=CC=C3)C(CN3N=C(C4=CNN=C4)C4=C3N=CN=C4N)=CC2=CC=C1 Chemical compound CC1=C2C(=O)N(C3=CC(F)=CC=C3)C(CN3N=C(C4=CNN=C4)C4=C3N=CN=C4N)=CC2=CC=C1 ZCGSFTXYADUZTH-UHFFFAOYSA-N 0.000 description 1
- VGOHZLCNLVUERR-AWEZNQCLSA-N CC1=C2C(=O)N(C3=CC(F)=CC=C3)C([C@H](C)NC3=NC=NC4=C3N=CN4)=CC2=CC=C1 Chemical compound CC1=C2C(=O)N(C3=CC(F)=CC=C3)C([C@H](C)NC3=NC=NC4=C3N=CN4)=CC2=CC=C1 VGOHZLCNLVUERR-AWEZNQCLSA-N 0.000 description 1
- FBNJVYHPGBICGI-UHFFFAOYSA-N CC1=C2C(=O)N(C3=CC=C(F)C=C3)C(C(C)NC3=NC=NC4=C3N=CN4)=CC2=CC=C1 Chemical compound CC1=C2C(=O)N(C3=CC=C(F)C=C3)C(C(C)NC3=NC=NC4=C3N=CN4)=CC2=CC=C1 FBNJVYHPGBICGI-UHFFFAOYSA-N 0.000 description 1
- FBNJVYHPGBICGI-AWEZNQCLSA-N CC1=C2C(=O)N(C3=CC=C(F)C=C3)C([C@H](C)NC3=NC=NC4=C3N=CN4)=CC2=CC=C1 Chemical compound CC1=C2C(=O)N(C3=CC=C(F)C=C3)C([C@H](C)NC3=NC=NC4=C3N=CN4)=CC2=CC=C1 FBNJVYHPGBICGI-AWEZNQCLSA-N 0.000 description 1
- GWCREWHOURAZGN-UHFFFAOYSA-N CC1=C2C(=O)N(C3=CC=CC=C3)C(C(C)NC3=C(N)C=NC(Cl)=N3)=CC2=CC=C1 Chemical compound CC1=C2C(=O)N(C3=CC=CC=C3)C(C(C)NC3=C(N)C=NC(Cl)=N3)=CC2=CC=C1 GWCREWHOURAZGN-UHFFFAOYSA-N 0.000 description 1
- BRHIZWRBMMHJEG-UHFFFAOYSA-N CC1=C2C(=O)N(C3=CC=CC=C3)C(C(C)NC3=C(N)C=NC(O)=N3)=CC2=CC=C1 Chemical compound CC1=C2C(=O)N(C3=CC=CC=C3)C(C(C)NC3=C(N)C=NC(O)=N3)=CC2=CC=C1 BRHIZWRBMMHJEG-UHFFFAOYSA-N 0.000 description 1
- ICRLCUMPFBTBRW-UHFFFAOYSA-N CC1=C2C(=O)N(C3=CC=CC=C3)C(C(C)NC3=NC(N)=NC4=C3N=CN4)=CC2=CC=C1 Chemical compound CC1=C2C(=O)N(C3=CC=CC=C3)C(C(C)NC3=NC(N)=NC4=C3N=CN4)=CC2=CC=C1 ICRLCUMPFBTBRW-UHFFFAOYSA-N 0.000 description 1
- OWLYXAGENLRSKD-UHFFFAOYSA-N CC1=C2C(=O)N(C3=CC=CC=C3)C(CN3N=C(C4=C/C5=C(\C=C/4)OC(N)=N5)C4=C3N=CN=C4N)=CC2=CC=C1 Chemical compound CC1=C2C(=O)N(C3=CC=CC=C3)C(CN3N=C(C4=C/C5=C(\C=C/4)OC(N)=N5)C4=C3N=CN=C4N)=CC2=CC=C1 OWLYXAGENLRSKD-UHFFFAOYSA-N 0.000 description 1
- QVMPQFBFQRGWDF-UHFFFAOYSA-N CC1=C2C(=O)N(C3=CC=CC=C3)C(CN3N=C(C4=CC(O)=CC(F)=C4)C4=C3N=CN=C4N)=CC2=CC=C1 Chemical compound CC1=C2C(=O)N(C3=CC=CC=C3)C(CN3N=C(C4=CC(O)=CC(F)=C4)C4=C3N=CN=C4N)=CC2=CC=C1 QVMPQFBFQRGWDF-UHFFFAOYSA-N 0.000 description 1
- BXHVIPLDESKLAG-UHFFFAOYSA-N CC1=C2C(=O)N(C3=CC=CC=C3)C(CN3N=C(C4=CC(O)=CC=C4)C4=C3N=CN=C4N)=CC2=CC=C1 Chemical compound CC1=C2C(=O)N(C3=CC=CC=C3)C(CN3N=C(C4=CC(O)=CC=C4)C4=C3N=CN=C4N)=CC2=CC=C1 BXHVIPLDESKLAG-UHFFFAOYSA-N 0.000 description 1
- KCDSSZDGQWKYFM-UHFFFAOYSA-N CC1=C2C(=O)N(C3=CC=CC=C3)C(CN3N=C(C4=CC5=C(C=C4)N=C(N)S5)C4=C3N=CN=C4N)=CC2=CC=C1 Chemical compound CC1=C2C(=O)N(C3=CC=CC=C3)C(CN3N=C(C4=CC5=C(C=C4)N=C(N)S5)C4=C3N=CN=C4N)=CC2=CC=C1 KCDSSZDGQWKYFM-UHFFFAOYSA-N 0.000 description 1
- UVMNXDMDSNOLEB-UHFFFAOYSA-N CC1=C2C(=O)N(C3=CC=CC=C3)C(CN3N=C(C4=CC5=C(C=C4)SC(N)=N5)C4=C3N=CN=C4N)=CC2=CC=C1 Chemical compound CC1=C2C(=O)N(C3=CC=CC=C3)C(CN3N=C(C4=CC5=C(C=C4)SC(N)=N5)C4=C3N=CN=C4N)=CC2=CC=C1 UVMNXDMDSNOLEB-UHFFFAOYSA-N 0.000 description 1
- MQMALDGDPPPVIW-UHFFFAOYSA-N CC1=C2C(=O)N(C3=CC=CC=C3)C(CN3N=C(C4=CC=C5OC(N)=NC5=C4)C4=C3N=CN=C4N)=CC2=CC=C1.CC1=C2C(=O)N(C3CCN(C(C)C)CC3)C(CN3N=C(C4=CC=C5OC(N)=NC5=C4)C4=C3N=CN=C4N)=CC2=CC=C1.CCN1CCC(N2C(=O)C3=C(C)C=CC=C3C=C2CN2N=C(C3=CC=C4OC(N)=NC4=C3)C3=C2N=CN=C3N)CC1 Chemical compound CC1=C2C(=O)N(C3=CC=CC=C3)C(CN3N=C(C4=CC=C5OC(N)=NC5=C4)C4=C3N=CN=C4N)=CC2=CC=C1.CC1=C2C(=O)N(C3CCN(C(C)C)CC3)C(CN3N=C(C4=CC=C5OC(N)=NC5=C4)C4=C3N=CN=C4N)=CC2=CC=C1.CCN1CCC(N2C(=O)C3=C(C)C=CC=C3C=C2CN2N=C(C3=CC=C4OC(N)=NC4=C3)C3=C2N=CN=C3N)CC1 MQMALDGDPPPVIW-UHFFFAOYSA-N 0.000 description 1
- HLNQSJIESOMOAR-UHFFFAOYSA-N CC1=C2C(=O)N(C3=CC=CC=C3)C(CN3N=C(C4=CNN=C4)C4=C3N=CN=C4N)=CC2=CC=C1 Chemical compound CC1=C2C(=O)N(C3=CC=CC=C3)C(CN3N=C(C4=CNN=C4)C4=C3N=CN=C4N)=CC2=CC=C1 HLNQSJIESOMOAR-UHFFFAOYSA-N 0.000 description 1
- ZFKREXRAKRFDIE-UEBXZMOVSA-N CC1=C2C(=O)N(C3=CC=CC=C3)C(CN3N=C(C4=CNN=C4)C4=C3N=CN=C4N)=CC2=CC=C1.CC1=C2C(=O)N(C3=CC=CC=C3)C([C@H](C)NC3=NC(N)=NC4=C3N=CN4)=CC2=CC=C1.C[C@H](NC1=NC(Cl)=NC2=C1N=CN2)C1=CC2=CC=CC(Cl)=C2C(=O)N1C1=CC=CC=C1.C[C@H](NC1=NC(F)=NC2=C1N=CN2)C1=CC2=CC=CC(Cl)=C2C(=O)N1C1=CC=CC=C1.C[C@H](NC1=NC=NC2=C1N=C(F)N2)C1=CC2=CC=CC(Cl)=C2C(=O)N1C1=CC=CC=C1 Chemical compound CC1=C2C(=O)N(C3=CC=CC=C3)C(CN3N=C(C4=CNN=C4)C4=C3N=CN=C4N)=CC2=CC=C1.CC1=C2C(=O)N(C3=CC=CC=C3)C([C@H](C)NC3=NC(N)=NC4=C3N=CN4)=CC2=CC=C1.C[C@H](NC1=NC(Cl)=NC2=C1N=CN2)C1=CC2=CC=CC(Cl)=C2C(=O)N1C1=CC=CC=C1.C[C@H](NC1=NC(F)=NC2=C1N=CN2)C1=CC2=CC=CC(Cl)=C2C(=O)N1C1=CC=CC=C1.C[C@H](NC1=NC=NC2=C1N=C(F)N2)C1=CC2=CC=CC(Cl)=C2C(=O)N1C1=CC=CC=C1 ZFKREXRAKRFDIE-UEBXZMOVSA-N 0.000 description 1
- KMNBIDZBILQJCP-CHNGVTQJSA-N CC1=C2C(=O)N(C3=CC=CC=C3)C([C@H](C)N)=CC2=CC=C1.CC1=C2C(=O)N(C3=CC=CC=C3)C([C@H](C)N)=CC2=CC=C1 Chemical compound CC1=C2C(=O)N(C3=CC=CC=C3)C([C@H](C)N)=CC2=CC=C1.CC1=C2C(=O)N(C3=CC=CC=C3)C([C@H](C)N)=CC2=CC=C1 KMNBIDZBILQJCP-CHNGVTQJSA-N 0.000 description 1
- YUZFILLEWZRJDY-KVEUZREOSA-N CC1=C2C(=O)N(C3=CC=CC=C3)C([C@H](C)N)=CC2=CC=C1.CC1=C2C(=O)N(C3=CC=CC=C3)C([C@H](C)NC3=C(Cl)C=NC(Cl)=N3)=CC2=CC=C1.CC1=C2C(=O)N(C3=CC=CC=C3)C([C@H](C)NC3=C(Cl)C=NC(N)=N3)=CC2=CC=C1 Chemical compound CC1=C2C(=O)N(C3=CC=CC=C3)C([C@H](C)N)=CC2=CC=C1.CC1=C2C(=O)N(C3=CC=CC=C3)C([C@H](C)NC3=C(Cl)C=NC(Cl)=N3)=CC2=CC=C1.CC1=C2C(=O)N(C3=CC=CC=C3)C([C@H](C)NC3=C(Cl)C=NC(N)=N3)=CC2=CC=C1 YUZFILLEWZRJDY-KVEUZREOSA-N 0.000 description 1
- DOEDUYMPNZEEAW-UDPLHJEOSA-N CC1=C2C(=O)N(C3=CC=CC=C3)C([C@H](C)N)=CC2=CC=C1.CC1=C2C(=O)N(C3=CC=CC=C3)C([C@H](C)NC3=C4N=CN(C5CCCCO5)C4=NC(F)=N3)=CC2=CC=C1.CC1=C2C(=O)N(C3=CC=CC=C3)C([C@H](C)NC3=C4N=CNC4=NC(F)=N3)=CC2=CC=C1.FC1=NC(Cl)=C2N=CN(C3CCCCO3)C2=N1.FC1=NC(Cl)=C2N=CNC2=N1 Chemical compound CC1=C2C(=O)N(C3=CC=CC=C3)C([C@H](C)N)=CC2=CC=C1.CC1=C2C(=O)N(C3=CC=CC=C3)C([C@H](C)NC3=C4N=CN(C5CCCCO5)C4=NC(F)=N3)=CC2=CC=C1.CC1=C2C(=O)N(C3=CC=CC=C3)C([C@H](C)NC3=C4N=CNC4=NC(F)=N3)=CC2=CC=C1.FC1=NC(Cl)=C2N=CN(C3CCCCO3)C2=N1.FC1=NC(Cl)=C2N=CNC2=N1 DOEDUYMPNZEEAW-UDPLHJEOSA-N 0.000 description 1
- PDCQGVSHLAMGCO-NOOBGOLHSA-N CC1=C2C(=O)N(C3=CC=CC=C3)C([C@H](C)N)=CC2=CC=C1.CC1=C2C(=O)N(C3=CC=CC=C3)C([C@H](C)NC3=NC=NC4=C3N=CN4)=CC2=CC=C1.CC1=C2C(=O)N(C3=CC=CC=C3)C([C@H](C)NC3=NC=NC4=C3N=CN4C3CCCCO3)=CC2=CC=C1 Chemical compound CC1=C2C(=O)N(C3=CC=CC=C3)C([C@H](C)N)=CC2=CC=C1.CC1=C2C(=O)N(C3=CC=CC=C3)C([C@H](C)NC3=NC=NC4=C3N=CN4)=CC2=CC=C1.CC1=C2C(=O)N(C3=CC=CC=C3)C([C@H](C)NC3=NC=NC4=C3N=CN4C3CCCCO3)=CC2=CC=C1 PDCQGVSHLAMGCO-NOOBGOLHSA-N 0.000 description 1
- GOFZDBLWMUEWRP-FERBBOLQSA-N CC1=C2C(=O)N(C3=CC=CC=C3)C([C@H](C)NC(=O)C3=C4C=CC=CN4N=C3)=CC2=CC=C1.S Chemical compound CC1=C2C(=O)N(C3=CC=CC=C3)C([C@H](C)NC(=O)C3=C4C=CC=CN4N=C3)=CC2=CC=C1.S GOFZDBLWMUEWRP-FERBBOLQSA-N 0.000 description 1
- OKDDHJYTXRGSNE-AWEZNQCLSA-N CC1=C2C(=O)N(C3=CC=CC=C3)C([C@H](C)NC3=C(C(F)(F)F)C=NC(N)=N3)=CC2=CC=C1 Chemical compound CC1=C2C(=O)N(C3=CC=CC=C3)C([C@H](C)NC3=C(C(F)(F)F)C=NC(N)=N3)=CC2=CC=C1 OKDDHJYTXRGSNE-AWEZNQCLSA-N 0.000 description 1
- DHPHFQYAEXCFQF-UQKRIMTDSA-N CC1=C2C(=O)N(C3=CC=CC=C3)C([C@H](C)NC3=C(Cl)C=NC(Cl)=N3)=CC2=CC=C1.S Chemical compound CC1=C2C(=O)N(C3=CC=CC=C3)C([C@H](C)NC3=C(Cl)C=NC(Cl)=N3)=CC2=CC=C1.S DHPHFQYAEXCFQF-UQKRIMTDSA-N 0.000 description 1
- KWPAIBJUVUYJOA-UQKRIMTDSA-N CC1=C2C(=O)N(C3=CC=CC=C3)C([C@H](C)NC3=C(Cl)C=NC(N)=N3)=CC2=CC=C1.S Chemical compound CC1=C2C(=O)N(C3=CC=CC=C3)C([C@H](C)NC3=C(Cl)C=NC(N)=N3)=CC2=CC=C1.S KWPAIBJUVUYJOA-UQKRIMTDSA-N 0.000 description 1
- KOBMOEJUFQHVKV-AWEZNQCLSA-N CC1=C2C(=O)N(C3=CC=CC=C3)C([C@H](C)NC3=C(F)C=NC(N)=N3)=CC2=CC=C1 Chemical compound CC1=C2C(=O)N(C3=CC=CC=C3)C([C@H](C)NC3=C(F)C=NC(N)=N3)=CC2=CC=C1 KOBMOEJUFQHVKV-AWEZNQCLSA-N 0.000 description 1
- DTFWTGRECPEJQJ-QYQWVJQXSA-N CC1=C2C(=O)N(C3=CC=CC=C3)C([C@H](C)NC3=C4C(C#N)=CNC4=NC=N3)=CC2=CC=C1.ClC1=C2C(Br)=CNC2=NC=N1.ClC1=C2C=CNC2=NC=N1.N#CC1=CNC2=NC=NC(Cl)=C12.O/N=C\C1=CNC2=NC=NC(Cl)=C12.O=CC1=CNC2=NC=NC(Cl)=C12 Chemical compound CC1=C2C(=O)N(C3=CC=CC=C3)C([C@H](C)NC3=C4C(C#N)=CNC4=NC=N3)=CC2=CC=C1.ClC1=C2C(Br)=CNC2=NC=N1.ClC1=C2C=CNC2=NC=N1.N#CC1=CNC2=NC=NC(Cl)=C12.O/N=C\C1=CNC2=NC=NC(Cl)=C12.O=CC1=CNC2=NC=NC(Cl)=C12 DTFWTGRECPEJQJ-QYQWVJQXSA-N 0.000 description 1
- RQTRXFGMCDEYQW-MEYFQRKOSA-N CC1=C2C(=O)N(C3=CC=CC=C3)C([C@H](C)NC3=C4N=CN(C5CCCCO5)C4=NC(Cl)=N3)=CC2=CC=C1.CC1=C2C(=O)N(C3=CC=CC=C3)C([C@H](C)NC3=C4N=CNC4=NC(Cl)=N3)=CC2=CC=C1.ClC1=NC(Cl)=C2N=CN(C3CCCCO3)C2=N1.ClC1=NC(Cl)=C2N=CNC2=N1 Chemical compound CC1=C2C(=O)N(C3=CC=CC=C3)C([C@H](C)NC3=C4N=CN(C5CCCCO5)C4=NC(Cl)=N3)=CC2=CC=C1.CC1=C2C(=O)N(C3=CC=CC=C3)C([C@H](C)NC3=C4N=CNC4=NC(Cl)=N3)=CC2=CC=C1.ClC1=NC(Cl)=C2N=CN(C3CCCCO3)C2=N1.ClC1=NC(Cl)=C2N=CNC2=N1 RQTRXFGMCDEYQW-MEYFQRKOSA-N 0.000 description 1
- FUGXOIKZLQQLKY-AWEZNQCLSA-N CC1=C2C(=O)N(C3=CC=CC=C3)C([C@H](C)NC3=CC(N)=NC(Cl)=N3)=CC2=CC=C1 Chemical compound CC1=C2C(=O)N(C3=CC=CC=C3)C([C@H](C)NC3=CC(N)=NC(Cl)=N3)=CC2=CC=C1 FUGXOIKZLQQLKY-AWEZNQCLSA-N 0.000 description 1
- YUSGUEIYZQKLLY-AWEZNQCLSA-N CC1=C2C(=O)N(C3=CC=CC=C3)C([C@H](C)NC3=CC(N)=NC(N)=N3)=CC2=CC=C1 Chemical compound CC1=C2C(=O)N(C3=CC=CC=C3)C([C@H](C)NC3=CC(N)=NC(N)=N3)=CC2=CC=C1 YUSGUEIYZQKLLY-AWEZNQCLSA-N 0.000 description 1
- BTTIZNMYXRDZFK-FYZYNONXSA-N CC1=C2C(=O)N(C3=CC=CC=C3)C([C@H](C)NC3=CC=CC4=NC=C(C#N)C=C34)=CC2=CC=C1.S Chemical compound CC1=C2C(=O)N(C3=CC=CC=C3)C([C@H](C)NC3=CC=CC4=NC=C(C#N)C=C34)=CC2=CC=C1.S BTTIZNMYXRDZFK-FYZYNONXSA-N 0.000 description 1
- ZDLDFOKJPTVXKD-UQKRIMTDSA-N CC1=C2C(=O)N(C3=CC=CC=C3)C([C@H](C)NC3=NC(Cl)=NC4=C3N=CN4)=CC2=CC=C1.S Chemical compound CC1=C2C(=O)N(C3=CC=CC=C3)C([C@H](C)NC3=NC(Cl)=NC4=C3N=CN4)=CC2=CC=C1.S ZDLDFOKJPTVXKD-UQKRIMTDSA-N 0.000 description 1
- KIFBFXQSOZHMKM-UQKRIMTDSA-N CC1=C2C(=O)N(C3=CC=CC=C3)C([C@H](C)NC3=NC(F)=NC4=C3N=CN4)=CC2=CC=C1.S Chemical compound CC1=C2C(=O)N(C3=CC=CC=C3)C([C@H](C)NC3=NC(F)=NC4=C3N=CN4)=CC2=CC=C1.S KIFBFXQSOZHMKM-UQKRIMTDSA-N 0.000 description 1
- ICRLCUMPFBTBRW-AWEZNQCLSA-N CC1=C2C(=O)N(C3=CC=CC=C3)C([C@H](C)NC3=NC(N)=NC4=C3N=CN4)=CC2=CC=C1 Chemical compound CC1=C2C(=O)N(C3=CC=CC=C3)C([C@H](C)NC3=NC(N)=NC4=C3N=CN4)=CC2=CC=C1 ICRLCUMPFBTBRW-AWEZNQCLSA-N 0.000 description 1
- JWXHFWWZSNPQDK-RSAXXLAASA-N CC1=C2C(=O)N(C3=CC=CC=C3)C([C@H](C)NC3=NC=NC4=C3C(Br)=CN4)=CC2=CC=C1.S Chemical compound CC1=C2C(=O)N(C3=CC=CC=C3)C([C@H](C)NC3=NC=NC4=C3C(Br)=CN4)=CC2=CC=C1.S JWXHFWWZSNPQDK-RSAXXLAASA-N 0.000 description 1
- WHTDAHRBXMCQQF-INIZCTEOSA-N CC1=C2C(=O)N(C3=CC=CC=C3)C([C@H](C)NC3=NC=NC4=C3C(C#N)=CN4)=CC2=CC=C1 Chemical compound CC1=C2C(=O)N(C3=CC=CC=C3)C([C@H](C)NC3=NC=NC4=C3C(C#N)=CN4)=CC2=CC=C1 WHTDAHRBXMCQQF-INIZCTEOSA-N 0.000 description 1
- SWOSGEYMWVZVEY-RSAXXLAASA-N CC1=C2C(=O)N(C3=CC=CC=C3)C([C@H](C)NC3=NC=NC4=C3C(C#N)=NN4)=CC2=CC=C1.S Chemical compound CC1=C2C(=O)N(C3=CC=CC=C3)C([C@H](C)NC3=NC=NC4=C3C(C#N)=NN4)=CC2=CC=C1.S SWOSGEYMWVZVEY-RSAXXLAASA-N 0.000 description 1
- FXFZDASKFVWOAW-HNNXBMFYSA-N CC1=C2C(=O)N(C3=CC=CC=C3)C([C@H](C)NC3=NC=NC4=C3C(C(N)=O)=CN4)=CC2=CC=C1 Chemical compound CC1=C2C(=O)N(C3=CC=CC=C3)C([C@H](C)NC3=NC=NC4=C3C(C(N)=O)=CN4)=CC2=CC=C1 FXFZDASKFVWOAW-HNNXBMFYSA-N 0.000 description 1
- SRRAHQLFUPYECU-UQKRIMTDSA-N CC1=C2C(=O)N(C3=CC=CC=C3)C([C@H](C)NC3=NC=NC4=C3C(C(N)=O)=NN4)=CC2=CC=C1.S Chemical compound CC1=C2C(=O)N(C3=CC=CC=C3)C([C@H](C)NC3=NC=NC4=C3C(C(N)=O)=NN4)=CC2=CC=C1.S SRRAHQLFUPYECU-UQKRIMTDSA-N 0.000 description 1
- HSOJFTMWENNQOS-HNNXBMFYSA-N CC1=C2C(=O)N(C3=CC=CC=C3)C([C@H](C)NC3=NC=NC4=C3C(Cl)=CN4)=CC2=CC=C1 Chemical compound CC1=C2C(=O)N(C3=CC=CC=C3)C([C@H](C)NC3=NC=NC4=C3C(Cl)=CN4)=CC2=CC=C1 HSOJFTMWENNQOS-HNNXBMFYSA-N 0.000 description 1
- YUVLRUBUIUGEEP-AWEZNQCLSA-N CC1=C2C(=O)N(C3=CC=CC=C3)C([C@H](C)NC3=NC=NC4=C3C(Cl)=NN4)=CC2=CC=C1 Chemical compound CC1=C2C(=O)N(C3=CC=CC=C3)C([C@H](C)NC3=NC=NC4=C3C(Cl)=NN4)=CC2=CC=C1 YUVLRUBUIUGEEP-AWEZNQCLSA-N 0.000 description 1
- ZEBJHCNRYDQLRN-RSAXXLAASA-N CC1=C2C(=O)N(C3=CC=CC=C3)C([C@H](C)NC3=NC=NC4=C3C(F)=CN4)=CC2=CC=C1.S Chemical compound CC1=C2C(=O)N(C3=CC=CC=C3)C([C@H](C)NC3=NC=NC4=C3C(F)=CN4)=CC2=CC=C1.S ZEBJHCNRYDQLRN-RSAXXLAASA-N 0.000 description 1
- IIXOCCNFIWRWNE-FERBBOLQSA-N CC1=C2C(=O)N(C3=CC=CC=C3)C([C@H](C)NC3=NC=NC4=C3C=CC=C4)=CC2=CC=C1.S Chemical compound CC1=C2C(=O)N(C3=CC=CC=C3)C([C@H](C)NC3=NC=NC4=C3C=CC=C4)=CC2=CC=C1.S IIXOCCNFIWRWNE-FERBBOLQSA-N 0.000 description 1
- MFRGBKKAVMNTDD-NTISSMGPSA-N CC1=C2C(=O)N(C3=CC=CC=C3)C([C@H](C)NC3=NC=NC4=C3C=CN4)=CC2=CC=C1.S Chemical compound CC1=C2C(=O)N(C3=CC=CC=C3)C([C@H](C)NC3=NC=NC4=C3C=CN4)=CC2=CC=C1.S MFRGBKKAVMNTDD-NTISSMGPSA-N 0.000 description 1
- GFTXWUWQZQETEW-RSAXXLAASA-N CC1=C2C(=O)N(C3=CC=CC=C3)C([C@H](C)NC3=NC=NC4=C3C=NN4)=CC2=CC=C1.S Chemical compound CC1=C2C(=O)N(C3=CC=CC=C3)C([C@H](C)NC3=NC=NC4=C3C=NN4)=CC2=CC=C1.S GFTXWUWQZQETEW-RSAXXLAASA-N 0.000 description 1
- CVXMSDSLWRSIBG-AWEZNQCLSA-N CC1=C2C(=O)N(C3=CC=CC=C3)C([C@H](C)NC3=NC=NC4=C3N=C(Cl)N4)=CC2=CC=C1 Chemical compound CC1=C2C(=O)N(C3=CC=CC=C3)C([C@H](C)NC3=NC=NC4=C3N=C(Cl)N4)=CC2=CC=C1 CVXMSDSLWRSIBG-AWEZNQCLSA-N 0.000 description 1
- PLBICAZKZLHGFS-AWEZNQCLSA-N CC1=C2C(=O)N(C3=CC=CC=C3)C([C@H](C)NC3=NC=NC4=C3N=C(O)N4)=CC2=CC=C1 Chemical compound CC1=C2C(=O)N(C3=CC=CC=C3)C([C@H](C)NC3=NC=NC4=C3N=C(O)N4)=CC2=CC=C1 PLBICAZKZLHGFS-AWEZNQCLSA-N 0.000 description 1
- OCMJJODTNGPDCS-LMOVPXPDSA-N CC1=C2C(=O)N(C3=CC=CC=C3)C([C@H](C)NC3CCOCC3)=CC2=CC=C1.S Chemical compound CC1=C2C(=O)N(C3=CC=CC=C3)C([C@H](C)NC3CCOCC3)=CC2=CC=C1.S OCMJJODTNGPDCS-LMOVPXPDSA-N 0.000 description 1
- DMNNYMLHSCDMIE-LJQANCHMSA-N CC1=C2C(=O)N(C3=CC=CC=C3C(C)C)C(CN3N=C(C#C[C@@H](C)O)C4=C3N=CN=C4N)=CC2=CC=C1 Chemical compound CC1=C2C(=O)N(C3=CC=CC=C3C(C)C)C(CN3N=C(C#C[C@@H](C)O)C4=C3N=CN=C4N)=CC2=CC=C1 DMNNYMLHSCDMIE-LJQANCHMSA-N 0.000 description 1
- LCEDQBSKNUXZND-UHFFFAOYSA-N CC1=C2C(=O)N(C3=CC=CC=C3C(C)C)C(CN3N=C(C4=CC(O)=CC(F)=C4)C4=C3N=CN=C4N)=CC2=CC=C1 Chemical compound CC1=C2C(=O)N(C3=CC=CC=C3C(C)C)C(CN3N=C(C4=CC(O)=CC(F)=C4)C4=C3N=CN=C4N)=CC2=CC=C1 LCEDQBSKNUXZND-UHFFFAOYSA-N 0.000 description 1
- RKLGNXMPYTTYRU-UHFFFAOYSA-N CC1=C2C(=O)N(C3=CC=CC=C3C(C)C)C(CN3N=C(C4=CC(O)=CC=C4)C4=C3N=CN=C4N)=CC2=CC=C1 Chemical compound CC1=C2C(=O)N(C3=CC=CC=C3C(C)C)C(CN3N=C(C4=CC(O)=CC=C4)C4=C3N=CN=C4N)=CC2=CC=C1 RKLGNXMPYTTYRU-UHFFFAOYSA-N 0.000 description 1
- ZHCWBCQEFXSCLA-UHFFFAOYSA-N CC1=C2C(=O)N(C3=CC=CC=C3C(C)C)C(CN3N=C(C4=CNN=C4)C4=C3N=CN=C4N)=CC2=CC=C1 Chemical compound CC1=C2C(=O)N(C3=CC=CC=C3C(C)C)C(CN3N=C(C4=CNN=C4)C4=C3N=CN=C4N)=CC2=CC=C1 ZHCWBCQEFXSCLA-UHFFFAOYSA-N 0.000 description 1
- BLDSSOYUHSYANK-UHFFFAOYSA-N CC1=C2C(=O)N(C3=CC=CC=C3C(C)C)C(CN3N=C(I)C4=C3N=CN=C4N)=CC2=CC=C1 Chemical compound CC1=C2C(=O)N(C3=CC=CC=C3C(C)C)C(CN3N=C(I)C4=C3N=CN=C4N)=CC2=CC=C1 BLDSSOYUHSYANK-UHFFFAOYSA-N 0.000 description 1
- PFJNZGKJQBZJQB-UHFFFAOYSA-N CC1=C2C(=O)N(C3=CC=CC=C3C(F)(F)F)C(CN3N=C(C4=CNN=C4)C4=C3N=CN=C4N)=CC2=CC=C1 Chemical compound CC1=C2C(=O)N(C3=CC=CC=C3C(F)(F)F)C(CN3N=C(C4=CNN=C4)C4=C3N=CN=C4N)=CC2=CC=C1 PFJNZGKJQBZJQB-UHFFFAOYSA-N 0.000 description 1
- MVLVWYIBYUMIEQ-MRXNPFEDSA-N CC1=C2C(=O)N(C3=CC=CC=C3Cl)C(CN3N=C(C#C[C@@H](C)O)C4=C3N=CN=C4N)=CC2=CC=C1 Chemical compound CC1=C2C(=O)N(C3=CC=CC=C3Cl)C(CN3N=C(C#C[C@@H](C)O)C4=C3N=CN=C4N)=CC2=CC=C1 MVLVWYIBYUMIEQ-MRXNPFEDSA-N 0.000 description 1
- YNTNBHLOAHPKNE-UHFFFAOYSA-N CC1=C2C(=O)N(C3=CC=CC=C3Cl)C(CN3N=C(C4=CC(O)=CC(F)=C4)C4=C3N=CN=C4N)=CC2=CC=C1 Chemical compound CC1=C2C(=O)N(C3=CC=CC=C3Cl)C(CN3N=C(C4=CC(O)=CC(F)=C4)C4=C3N=CN=C4N)=CC2=CC=C1 YNTNBHLOAHPKNE-UHFFFAOYSA-N 0.000 description 1
- BNRVXTZYQOBIKY-UHFFFAOYSA-N CC1=C2C(=O)N(C3=CC=CC=C3Cl)C(CN3N=C(C4=CC(O)=CC=C4)C4=C3N=CN=C4N)=CC2=CC=C1 Chemical compound CC1=C2C(=O)N(C3=CC=CC=C3Cl)C(CN3N=C(C4=CC(O)=CC=C4)C4=C3N=CN=C4N)=CC2=CC=C1 BNRVXTZYQOBIKY-UHFFFAOYSA-N 0.000 description 1
- WUMGKAVWTFXBSH-UHFFFAOYSA-N CC1=C2C(=O)N(C3=CC=CC=C3Cl)C(CN3N=C(C4=CNN=C4)C4=C3N=CN=C4N)=CC2=CC=C1 Chemical compound CC1=C2C(=O)N(C3=CC=CC=C3Cl)C(CN3N=C(C4=CNN=C4)C4=C3N=CN=C4N)=CC2=CC=C1 WUMGKAVWTFXBSH-UHFFFAOYSA-N 0.000 description 1
- MLINGYDIVFWDJY-UHFFFAOYSA-N CC1=C2C(=O)N(C3=CC=CC=C3Cl)C(CN3N=C(I)C4=C3N=CN=C4N)=CC2=CC=C1 Chemical compound CC1=C2C(=O)N(C3=CC=CC=C3Cl)C(CN3N=C(I)C4=C3N=CN=C4N)=CC2=CC=C1 MLINGYDIVFWDJY-UHFFFAOYSA-N 0.000 description 1
- OBOCRNYEDXEQID-UHFFFAOYSA-N CC1=C2C(=O)N(C3=CC=CC=C3F)C(CN3C=NC4=C3N=CN=C4N)=CC2=CC=C1 Chemical compound CC1=C2C(=O)N(C3=CC=CC=C3F)C(CN3C=NC4=C3N=CN=C4N)=CC2=CC=C1 OBOCRNYEDXEQID-UHFFFAOYSA-N 0.000 description 1
- ANJIVPIBXYRVPE-UHFFFAOYSA-N CC1=C2C(=O)N(C3=CC=CC=C3F)C(CN3N=C(Br)C4=C3N=CN=C4N)=CC2=CC=C1 Chemical compound CC1=C2C(=O)N(C3=CC=CC=C3F)C(CN3N=C(Br)C4=C3N=CN=C4N)=CC2=CC=C1 ANJIVPIBXYRVPE-UHFFFAOYSA-N 0.000 description 1
- ZQJXAEHYCHTIFF-UHFFFAOYSA-N CC1=C2C(=O)N(C3=CC=CC=C3F)C(CN3N=C(C#CC4CC4)C4=C3N=CN=C4N)=CC2=CC=C1 Chemical compound CC1=C2C(=O)N(C3=CC=CC=C3F)C(CN3N=C(C#CC4CC4)C4=C3N=CN=C4N)=CC2=CC=C1 ZQJXAEHYCHTIFF-UHFFFAOYSA-N 0.000 description 1
- OVIAKYKLZHEINE-UHFFFAOYSA-N CC1=C2C(=O)N(C3=CC=CC=C3F)C(CN3N=C(C#CCO)C4=C3N=CN=C4N)=CC2=CC=C1 Chemical compound CC1=C2C(=O)N(C3=CC=CC=C3F)C(CN3N=C(C#CCO)C4=C3N=CN=C4N)=CC2=CC=C1 OVIAKYKLZHEINE-UHFFFAOYSA-N 0.000 description 1
- HOFBMBGHDGRXNA-MRXNPFEDSA-N CC1=C2C(=O)N(C3=CC=CC=C3F)C(CN3N=C(C#C[C@@H](C)O)C4=C3N=CN=C4N)=CC2=CC=C1 Chemical compound CC1=C2C(=O)N(C3=CC=CC=C3F)C(CN3N=C(C#C[C@@H](C)O)C4=C3N=CN=C4N)=CC2=CC=C1 HOFBMBGHDGRXNA-MRXNPFEDSA-N 0.000 description 1
- BCQFTISAGAGHRM-UHFFFAOYSA-N CC1=C2C(=O)N(C3=CC=CC=C3F)C(CN3N=C(C4=CC(Cl)=C(O)C=C4)C4=C3N=CN=C4N)=CC2=CC=C1 Chemical compound CC1=C2C(=O)N(C3=CC=CC=C3F)C(CN3N=C(C4=CC(Cl)=C(O)C=C4)C4=C3N=CN=C4N)=CC2=CC=C1 BCQFTISAGAGHRM-UHFFFAOYSA-N 0.000 description 1
- PYKOOVIJONGULF-UHFFFAOYSA-N CC1=C2C(=O)N(C3=CC=CC=C3F)C(CN3N=C(C4=CC(Cl)=CC=C4)C4=C3N=CN=C4N)=CC2=CC=C1 Chemical compound CC1=C2C(=O)N(C3=CC=CC=C3F)C(CN3N=C(C4=CC(Cl)=CC=C4)C4=C3N=CN=C4N)=CC2=CC=C1 PYKOOVIJONGULF-UHFFFAOYSA-N 0.000 description 1
- OTTASAKAVHIAGP-UHFFFAOYSA-N CC1=C2C(=O)N(C3=CC=CC=C3F)C(CN3N=C(C4=CC(F)=C(O)C=C4)C4=C3N=CN=C4N)=CC2=CC=C1 Chemical compound CC1=C2C(=O)N(C3=CC=CC=C3F)C(CN3N=C(C4=CC(F)=C(O)C=C4)C4=C3N=CN=C4N)=CC2=CC=C1 OTTASAKAVHIAGP-UHFFFAOYSA-N 0.000 description 1
- UIVAQXQYOPYYNT-UHFFFAOYSA-N CC1=C2C(=O)N(C3=CC=CC=C3F)C(CN3N=C(C4=CC(F)=CC=C4)C4=C3N=CN=C4N)=CC2=CC=C1 Chemical compound CC1=C2C(=O)N(C3=CC=CC=C3F)C(CN3N=C(C4=CC(F)=CC=C4)C4=C3N=CN=C4N)=CC2=CC=C1 UIVAQXQYOPYYNT-UHFFFAOYSA-N 0.000 description 1
- VPPYYNPIWLJMTC-UHFFFAOYSA-N CC1=C2C(=O)N(C3=CC=CC=C3F)C(CN3N=C(C4=CC(O)=C(Cl)C=C4)C4=C3N=CN=C4N)=CC2=CC=C1 Chemical compound CC1=C2C(=O)N(C3=CC=CC=C3F)C(CN3N=C(C4=CC(O)=C(Cl)C=C4)C4=C3N=CN=C4N)=CC2=CC=C1 VPPYYNPIWLJMTC-UHFFFAOYSA-N 0.000 description 1
- JLENMLHXWDWHJI-UHFFFAOYSA-N CC1=C2C(=O)N(C3=CC=CC=C3F)C(CN3N=C(C4=CC(O)=C(F)C=C4)C4=C3N=CN=C4N)=CC2=CC=C1 Chemical compound CC1=C2C(=O)N(C3=CC=CC=C3F)C(CN3N=C(C4=CC(O)=C(F)C=C4)C4=C3N=CN=C4N)=CC2=CC=C1 JLENMLHXWDWHJI-UHFFFAOYSA-N 0.000 description 1
- LAYNQKZCFROFGL-UHFFFAOYSA-N CC1=C2C(=O)N(C3=CC=CC=C3F)C(CN3N=C(C4=CC(O)=CC(F)=C4)C4=C3N=CN=C4N)=CC2=CC=C1 Chemical compound CC1=C2C(=O)N(C3=CC=CC=C3F)C(CN3N=C(C4=CC(O)=CC(F)=C4)C4=C3N=CN=C4N)=CC2=CC=C1 LAYNQKZCFROFGL-UHFFFAOYSA-N 0.000 description 1
- ABHYRAOZUATJPX-UHFFFAOYSA-N CC1=C2C(=O)N(C3=CC=CC=C3F)C(CN3N=C(C4=CC(O)=CC=C4)C4=C3N=CN=C4N)=CC2=CC=C1 Chemical compound CC1=C2C(=O)N(C3=CC=CC=C3F)C(CN3N=C(C4=CC(O)=CC=C4)C4=C3N=CN=C4N)=CC2=CC=C1 ABHYRAOZUATJPX-UHFFFAOYSA-N 0.000 description 1
- PFRLTIZDNKOVEF-UHFFFAOYSA-N CC1=C2C(=O)N(C3=CC=CC=C3F)C(CN3N=C(C4=CN(CCO)N=C4)C4=C3N=CN=C4N)=CC2=CC=C1 Chemical compound CC1=C2C(=O)N(C3=CC=CC=C3F)C(CN3N=C(C4=CN(CCO)N=C4)C4=C3N=CN=C4N)=CC2=CC=C1 PFRLTIZDNKOVEF-UHFFFAOYSA-N 0.000 description 1
- UAFSATSBMZSOOD-UHFFFAOYSA-N CC1=C2C(=O)N(C3=CC=CC=C3F)C(CN3N=C(Cl)C4=C3N=CN=C4N)=CC2=CC=C1 Chemical compound CC1=C2C(=O)N(C3=CC=CC=C3F)C(CN3N=C(Cl)C4=C3N=CN=C4N)=CC2=CC=C1 UAFSATSBMZSOOD-UHFFFAOYSA-N 0.000 description 1
- WRUZUACCMTZECI-UHFFFAOYSA-N CC1=C2C(=O)N(C3=CC=CC=C3F)C(CN3N=C(I)C4=C3N=CN=C4N)=CC2=CC=C1 Chemical compound CC1=C2C(=O)N(C3=CC=CC=C3F)C(CN3N=C(I)C4=C3N=CN=C4N)=CC2=CC=C1 WRUZUACCMTZECI-UHFFFAOYSA-N 0.000 description 1
- NMDJSKSXBHJZIM-MRXNPFEDSA-N CC1=C2C(=O)N(C3=CC=CC=C3O)C(CN3N=C(C#C[C@@H](C)O)C4=C3N=CN=C4N)=CC2=CC=C1 Chemical compound CC1=C2C(=O)N(C3=CC=CC=C3O)C(CN3N=C(C#C[C@@H](C)O)C4=C3N=CN=C4N)=CC2=CC=C1 NMDJSKSXBHJZIM-MRXNPFEDSA-N 0.000 description 1
- XOZCRBUNRWGVCR-UHFFFAOYSA-N CC1=C2C(=O)N(C3=CC=CC=C3O)C(CN3N=C(C4=CC(O)=CC(F)=C4)C4=C3N=CN=C4N)=CC2=CC=C1 Chemical compound CC1=C2C(=O)N(C3=CC=CC=C3O)C(CN3N=C(C4=CC(O)=CC(F)=C4)C4=C3N=CN=C4N)=CC2=CC=C1 XOZCRBUNRWGVCR-UHFFFAOYSA-N 0.000 description 1
- QNFOVYNDSJRVNO-UHFFFAOYSA-N CC1=C2C(=O)N(C3=CC=CC=C3O)C(CN3N=C(C4=CC(O)=CC=C4)C4=C3N=CN=C4N)=CC2=CC=C1 Chemical compound CC1=C2C(=O)N(C3=CC=CC=C3O)C(CN3N=C(C4=CC(O)=CC=C4)C4=C3N=CN=C4N)=CC2=CC=C1 QNFOVYNDSJRVNO-UHFFFAOYSA-N 0.000 description 1
- NRFTWOHKIFMRFR-UHFFFAOYSA-N CC1=C2C(=O)N(C3=CC=CC=C3O)C(CN3N=C(I)C4=C3N=CN=C4N)=CC2=CC=C1 Chemical compound CC1=C2C(=O)N(C3=CC=CC=C3O)C(CN3N=C(I)C4=C3N=CN=C4N)=CC2=CC=C1 NRFTWOHKIFMRFR-UHFFFAOYSA-N 0.000 description 1
- XKHASMAALGBCSO-UHFFFAOYSA-N CC1=C2C(=O)N(C3CC3)C(C(C)NC3=NC=NC4=C3N=CN4)=CC2=CC=C1 Chemical compound CC1=C2C(=O)N(C3CC3)C(C(C)NC3=NC=NC4=C3N=CN4)=CC2=CC=C1 XKHASMAALGBCSO-UHFFFAOYSA-N 0.000 description 1
- GULHFVJPEHJZAY-CQSZACIVSA-N CC1=C2C(=O)N(C3CC3)C(CN3N=C(C#C[C@@H](C)O)C4=C3N=CN=C4N)=CC2=CC=C1 Chemical compound CC1=C2C(=O)N(C3CC3)C(CN3N=C(C#C[C@@H](C)O)C4=C3N=CN=C4N)=CC2=CC=C1 GULHFVJPEHJZAY-CQSZACIVSA-N 0.000 description 1
- KWCRGGWPJJAKMM-UHFFFAOYSA-N CC1=C2C(=O)N(C3CC3)C(CN3N=C(C4=CC(O)=CC(F)=C4)C4=C3N=CN=C4N)=CC2=CC=C1 Chemical compound CC1=C2C(=O)N(C3CC3)C(CN3N=C(C4=CC(O)=CC(F)=C4)C4=C3N=CN=C4N)=CC2=CC=C1 KWCRGGWPJJAKMM-UHFFFAOYSA-N 0.000 description 1
- FUFLATDMLLEZJE-UHFFFAOYSA-N CC1=C2C(=O)N(C3CC3)C(CN3N=C(C4=CC(O)=CC=C4)C4=C3N=CN=C4N)=CC2=CC=C1 Chemical compound CC1=C2C(=O)N(C3CC3)C(CN3N=C(C4=CC(O)=CC=C4)C4=C3N=CN=C4N)=CC2=CC=C1 FUFLATDMLLEZJE-UHFFFAOYSA-N 0.000 description 1
- OVYLGEWOJMLPBA-UHFFFAOYSA-N CC1=C2C(=O)N(C3CC3)C(CN3N=C(C4=CC=C5OC(N)=NC5=C4)C4=C3N=CN=C4N)=CC2=CC=C1.CC1=C2C(=O)N(C3CCN(C(C)C)CC3)C(CN(C)C3=NC=NC4=C3N=CN4)=CC2=CC=C1.CC1=C2C(=O)N(C3CCN(C(C)C)CC3)C(CNC3=NC=NC4=C3N=CN4)=CC2=CC=C1.CCN(CC1=CC2=CC=CC(C)=C2C(=O)N1C1CCN(C(C)C)CC1)C1=NC=NC2=C1N=CN2 Chemical compound CC1=C2C(=O)N(C3CC3)C(CN3N=C(C4=CC=C5OC(N)=NC5=C4)C4=C3N=CN=C4N)=CC2=CC=C1.CC1=C2C(=O)N(C3CCN(C(C)C)CC3)C(CN(C)C3=NC=NC4=C3N=CN4)=CC2=CC=C1.CC1=C2C(=O)N(C3CCN(C(C)C)CC3)C(CNC3=NC=NC4=C3N=CN4)=CC2=CC=C1.CCN(CC1=CC2=CC=CC(C)=C2C(=O)N1C1CCN(C(C)C)CC1)C1=NC=NC2=C1N=CN2 OVYLGEWOJMLPBA-UHFFFAOYSA-N 0.000 description 1
- QMOWCUGZRMHVPS-RCWTXCDDSA-N CC1=C2C(=O)N(C3CC3)C([C@H](C)N)=CC2=CC=C1.CC1=C2C(=O)N(C3CC3)C([C@H](C)N)=CC2=CC=C1.S Chemical compound CC1=C2C(=O)N(C3CC3)C([C@H](C)N)=CC2=CC=C1.CC1=C2C(=O)N(C3CC3)C([C@H](C)N)=CC2=CC=C1.S QMOWCUGZRMHVPS-RCWTXCDDSA-N 0.000 description 1
- GHOPKRYTACQYAM-MERQFXBCSA-N CC1=C2C(=O)N(C3CC3)C([C@H](C)NC3=C(C(N)=O)C=NC(N)=N3)=CC2=CC=C1.S Chemical compound CC1=C2C(=O)N(C3CC3)C([C@H](C)NC3=C(C(N)=O)C=NC(N)=N3)=CC2=CC=C1.S GHOPKRYTACQYAM-MERQFXBCSA-N 0.000 description 1
- TYVGISKTCXDLHM-NSHDSACASA-N CC1=C2C(=O)N(C3CC3)C([C@H](C)NC3=C(Cl)C=NC(N)=N3)=CC2=CC=C1 Chemical compound CC1=C2C(=O)N(C3CC3)C([C@H](C)NC3=C(Cl)C=NC(N)=N3)=CC2=CC=C1 TYVGISKTCXDLHM-NSHDSACASA-N 0.000 description 1
- RNMQTIXMUZUZOE-NSHDSACASA-N CC1=C2C(=O)N(C3CC3)C([C@H](C)NC3=C(F)C=NC(N)=N3)=CC2=CC=C1 Chemical compound CC1=C2C(=O)N(C3CC3)C([C@H](C)NC3=C(F)C=NC(N)=N3)=CC2=CC=C1 RNMQTIXMUZUZOE-NSHDSACASA-N 0.000 description 1
- UUELZCFCUBQVLU-NSHDSACASA-N CC1=C2C(=O)N(C3CC3)C([C@H](C)NC3=CC(N)=NC(Cl)=N3)=CC2=CC=C1 Chemical compound CC1=C2C(=O)N(C3CC3)C([C@H](C)NC3=CC(N)=NC(Cl)=N3)=CC2=CC=C1 UUELZCFCUBQVLU-NSHDSACASA-N 0.000 description 1
- ISBNADRWBMFNJS-NSHDSACASA-N CC1=C2C(=O)N(C3CC3)C([C@H](C)NC3=CC(N)=NC(N)=N3)=CC2=CC=C1 Chemical compound CC1=C2C(=O)N(C3CC3)C([C@H](C)NC3=CC(N)=NC(N)=N3)=CC2=CC=C1 ISBNADRWBMFNJS-NSHDSACASA-N 0.000 description 1
- QERPBXNHDSQCFW-NSHDSACASA-N CC1=C2C(=O)N(C3CC3)C([C@H](C)NC3=NC(Cl)=NC4=C3N=CN4)=CC2=CC=C1 Chemical compound CC1=C2C(=O)N(C3CC3)C([C@H](C)NC3=NC(Cl)=NC4=C3N=CN4)=CC2=CC=C1 QERPBXNHDSQCFW-NSHDSACASA-N 0.000 description 1
- RHAFIPJCZAUEQH-LBPRGKRZSA-N CC1=C2C(=O)N(C3CC3)C([C@H](C)NC3=NC=NC4=C3C(Br)=CN4)=CC2=CC=C1 Chemical compound CC1=C2C(=O)N(C3CC3)C([C@H](C)NC3=NC=NC4=C3C(Br)=CN4)=CC2=CC=C1 RHAFIPJCZAUEQH-LBPRGKRZSA-N 0.000 description 1
- TYBLOSDTILERIQ-ZDUSSCGKSA-N CC1=C2C(=O)N(C3CC3)C([C@H](C)NC3=NC=NC4=C3C(C#N)=CN4)=CC2=CC=C1 Chemical compound CC1=C2C(=O)N(C3CC3)C([C@H](C)NC3=NC=NC4=C3C(C#N)=CN4)=CC2=CC=C1 TYBLOSDTILERIQ-ZDUSSCGKSA-N 0.000 description 1
- WKESEHZLEFTZOK-LBPRGKRZSA-N CC1=C2C(=O)N(C3CC3)C([C@H](C)NC3=NC=NC4=C3C(C(N)=O)=CN4)=CC2=CC=C1 Chemical compound CC1=C2C(=O)N(C3CC3)C([C@H](C)NC3=NC=NC4=C3C(C(N)=O)=CN4)=CC2=CC=C1 WKESEHZLEFTZOK-LBPRGKRZSA-N 0.000 description 1
- MGLYNEZGHJLIBT-NSHDSACASA-N CC1=C2C(=O)N(C3CC3)C([C@H](C)NC3=NC=NC4=C3C(C(N)=O)=NN4)=CC2=CC=C1 Chemical compound CC1=C2C(=O)N(C3CC3)C([C@H](C)NC3=NC=NC4=C3C(C(N)=O)=NN4)=CC2=CC=C1 MGLYNEZGHJLIBT-NSHDSACASA-N 0.000 description 1
- GWRXJSIAEKYOIY-NSHDSACASA-N CC1=C2C(=O)N(C3CC3)C([C@H](C)NC3=NC=NC4=C3C(Cl)=NN4)=CC2=CC=C1 Chemical compound CC1=C2C(=O)N(C3CC3)C([C@H](C)NC3=NC=NC4=C3C(Cl)=NN4)=CC2=CC=C1 GWRXJSIAEKYOIY-NSHDSACASA-N 0.000 description 1
- NAAAAYROSUIJQP-LBPRGKRZSA-N CC1=C2C(=O)N(C3CC3)C([C@H](C)NC3=NC=NC4=C3C(F)=CN4)=CC2=CC=C1 Chemical compound CC1=C2C(=O)N(C3CC3)C([C@H](C)NC3=NC=NC4=C3C(F)=CN4)=CC2=CC=C1 NAAAAYROSUIJQP-LBPRGKRZSA-N 0.000 description 1
- ZYCRCLGCVUXALL-NSHDSACASA-N CC1=C2C(=O)N(C3CC3)C([C@H](C)NC3=NC=NC4=C3N=C(Cl)N4)=CC2=CC=C1 Chemical compound CC1=C2C(=O)N(C3CC3)C([C@H](C)NC3=NC=NC4=C3N=C(Cl)N4)=CC2=CC=C1 ZYCRCLGCVUXALL-NSHDSACASA-N 0.000 description 1
- OVBKKAQIDXMNIF-UHFFFAOYSA-N CC1=C2C(=O)N(C3CCC3)C(C(C)NC3=NC=NC4=C3N=CN4)=CC2=CC=C1 Chemical compound CC1=C2C(=O)N(C3CCC3)C(C(C)NC3=NC=NC4=C3N=CN4)=CC2=CC=C1 OVBKKAQIDXMNIF-UHFFFAOYSA-N 0.000 description 1
- LTFXZXWIMFYBHO-UHFFFAOYSA-N CC1=C2C(=O)N(C3CCC3)C(CN3N=C(C4=C/C5=C(\C=C/4)OC(N)=N5)C4=C3N=CN=C4N)=CC2=CC=C1 Chemical compound CC1=C2C(=O)N(C3CCC3)C(CN3N=C(C4=C/C5=C(\C=C/4)OC(N)=N5)C4=C3N=CN=C4N)=CC2=CC=C1 LTFXZXWIMFYBHO-UHFFFAOYSA-N 0.000 description 1
- JJILQPUQVCMGTM-UHFFFAOYSA-N CC1=C2C(=O)N(C3CCC3)C(CN3N=C(C4=CC(O)=CC(F)=C4)C4=C3N=CN=C4N)=CC2=CC=C1 Chemical compound CC1=C2C(=O)N(C3CCC3)C(CN3N=C(C4=CC(O)=CC(F)=C4)C4=C3N=CN=C4N)=CC2=CC=C1 JJILQPUQVCMGTM-UHFFFAOYSA-N 0.000 description 1
- SWXLTVRELZZXQX-UHFFFAOYSA-N CC1=C2C(=O)N(C3CCC3)C(CN3N=C(C4=CC(O)=CC=C4)C4=C3N=CN=C4N)=CC2=CC=C1 Chemical compound CC1=C2C(=O)N(C3CCC3)C(CN3N=C(C4=CC(O)=CC=C4)C4=C3N=CN=C4N)=CC2=CC=C1 SWXLTVRELZZXQX-UHFFFAOYSA-N 0.000 description 1
- LFVSQTDLQVSKRO-UHFFFAOYSA-N CC1=C2C(=O)N(C3CCC3)C(CN3N=C(C4=CC=C5OC(N)=NC5=C4)C4=C3N=CN=C4N)=CC2=CC=C1.CC1=C2C(=O)N(C3CCN(C(C)C)CC3)C(CN3N=C(C4=CNN=C4)C4=C3N=CN=C4N)=CC2=CC=C1.CC1=C2C(=O)N(C3CCN(C)CC3)C(CN3N=C(C4=CNN=C4)C4=C3N=CN=C4N)=CC2=CC=C1.CCN1CCC(N2C(=O)C3=C(C)C=CC=C3C=C2CN2N=C(C3=CNN=C3)C3=C2N=CN=C3N)CC1 Chemical compound CC1=C2C(=O)N(C3CCC3)C(CN3N=C(C4=CC=C5OC(N)=NC5=C4)C4=C3N=CN=C4N)=CC2=CC=C1.CC1=C2C(=O)N(C3CCN(C(C)C)CC3)C(CN3N=C(C4=CNN=C4)C4=C3N=CN=C4N)=CC2=CC=C1.CC1=C2C(=O)N(C3CCN(C)CC3)C(CN3N=C(C4=CNN=C4)C4=C3N=CN=C4N)=CC2=CC=C1.CCN1CCC(N2C(=O)C3=C(C)C=CC=C3C=C2CN2N=C(C3=CNN=C3)C3=C2N=CN=C3N)CC1 LFVSQTDLQVSKRO-UHFFFAOYSA-N 0.000 description 1
- VTKFJEPWTIAHLO-UHFFFAOYSA-N CC1=C2C(=O)N(C3CCC3)C(CN3N=C(I)C4=C3N=CN=C4N)=CC2=CC=C1 Chemical compound CC1=C2C(=O)N(C3CCC3)C(CN3N=C(I)C4=C3N=CN=C4N)=CC2=CC=C1 VTKFJEPWTIAHLO-UHFFFAOYSA-N 0.000 description 1
- WZCZROOJBMBWTN-UHFFFAOYSA-N CC1=C2C(=O)N(C3CCCC3)C(C(C)NC3=NC=NC4=C3N=CN4)=CC2=CC=C1 Chemical compound CC1=C2C(=O)N(C3CCCC3)C(C(C)NC3=NC=NC4=C3N=CN4)=CC2=CC=C1 WZCZROOJBMBWTN-UHFFFAOYSA-N 0.000 description 1
- HISYYNTVMOSYII-MRXNPFEDSA-N CC1=C2C(=O)N(C3CCCC3)C(CN3N=C(C#C[C@@H](C)O)C4=C3N=CN=C4N)=CC2=CC=C1 Chemical compound CC1=C2C(=O)N(C3CCCC3)C(CN3N=C(C#C[C@@H](C)O)C4=C3N=CN=C4N)=CC2=CC=C1 HISYYNTVMOSYII-MRXNPFEDSA-N 0.000 description 1
- XGIWYKBEVMDJTH-UHFFFAOYSA-N CC1=C2C(=O)N(C3CCCC3)C(CN3N=C(C4=CC(O)=C(Cl)C=C4)C4=C3N=CN=C4N)=CC2=CC=C1 Chemical compound CC1=C2C(=O)N(C3CCCC3)C(CN3N=C(C4=CC(O)=C(Cl)C=C4)C4=C3N=CN=C4N)=CC2=CC=C1 XGIWYKBEVMDJTH-UHFFFAOYSA-N 0.000 description 1
- WVEJQTWCILMLIC-UHFFFAOYSA-N CC1=C2C(=O)N(C3CCCC3)C(CN3N=C(C4=CC(O)=C(F)C=C4)C4=C3N=CN=C4N)=CC2=CC=C1 Chemical compound CC1=C2C(=O)N(C3CCCC3)C(CN3N=C(C4=CC(O)=C(F)C=C4)C4=C3N=CN=C4N)=CC2=CC=C1 WVEJQTWCILMLIC-UHFFFAOYSA-N 0.000 description 1
- ZHLZDJGPLNSNOV-UHFFFAOYSA-N CC1=C2C(=O)N(C3CCCC3)C(CN3N=C(C4=CC(O)=CC(F)=C4)C4=C3N=CN=C4N)=CC2=CC=C1 Chemical compound CC1=C2C(=O)N(C3CCCC3)C(CN3N=C(C4=CC(O)=CC(F)=C4)C4=C3N=CN=C4N)=CC2=CC=C1 ZHLZDJGPLNSNOV-UHFFFAOYSA-N 0.000 description 1
- RMEDOSQWURLDQP-UHFFFAOYSA-N CC1=C2C(=O)N(C3CCCC3)C(CN3N=C(C4=CC(O)=CC=C4)C4=C3N=CN=C4N)=CC2=CC=C1 Chemical compound CC1=C2C(=O)N(C3CCCC3)C(CN3N=C(C4=CC(O)=CC=C4)C4=C3N=CN=C4N)=CC2=CC=C1 RMEDOSQWURLDQP-UHFFFAOYSA-N 0.000 description 1
- JPSXBOWEWQAXJD-UHFFFAOYSA-N CC1=C2C(=O)N(C3CCCC3)C(CN3N=C(I)C4=C3N=CN=C4N)=CC2=CC=C1 Chemical compound CC1=C2C(=O)N(C3CCCC3)C(CN3N=C(I)C4=C3N=CN=C4N)=CC2=CC=C1 JPSXBOWEWQAXJD-UHFFFAOYSA-N 0.000 description 1
- HZMWDVGQVIICMK-QGZVFWFLSA-N CC1=C2C(=O)N(C3CCCCC3)C(CN3N=C(C#C[C@@H](C)O)C4=C3N=CN=C4N)=CC2=CC=C1 Chemical compound CC1=C2C(=O)N(C3CCCCC3)C(CN3N=C(C#C[C@@H](C)O)C4=C3N=CN=C4N)=CC2=CC=C1 HZMWDVGQVIICMK-QGZVFWFLSA-N 0.000 description 1
- YQQRRFCSHPVUGH-UHFFFAOYSA-N CC1=C2C(=O)N(C3CCCCC3)C(CN3N=C(C4=CC(O)=CC(F)=C4)C4=C3N=CN=C4N)=CC2=CC=C1 Chemical compound CC1=C2C(=O)N(C3CCCCC3)C(CN3N=C(C4=CC(O)=CC(F)=C4)C4=C3N=CN=C4N)=CC2=CC=C1 YQQRRFCSHPVUGH-UHFFFAOYSA-N 0.000 description 1
- KJURAXOPBFNIBP-UHFFFAOYSA-N CC1=C2C(=O)N(C3CCCCC3)C(CN3N=C(C4=CC(O)=CC=C4)C4=C3N=CN=C4N)=CC2=CC=C1 Chemical compound CC1=C2C(=O)N(C3CCCCC3)C(CN3N=C(C4=CC(O)=CC=C4)C4=C3N=CN=C4N)=CC2=CC=C1 KJURAXOPBFNIBP-UHFFFAOYSA-N 0.000 description 1
- LCFWFYBHCAWEBQ-UHFFFAOYSA-N CC1=C2C(=O)N(C3CCCCC3)C(CN3N=C(I)C4=C3N=CN=C4N)=CC2=CC=C1 Chemical compound CC1=C2C(=O)N(C3CCCCC3)C(CN3N=C(I)C4=C3N=CN=C4N)=CC2=CC=C1 LCFWFYBHCAWEBQ-UHFFFAOYSA-N 0.000 description 1
- UTJDPDXPXQNQJY-UHFFFAOYSA-N CC1=C2C(=O)N(C3CCN(C)CC3)C(C(C)NC3=NC=NC4=C3N=CN4)=CC2=CC=C1 Chemical compound CC1=C2C(=O)N(C3CCN(C)CC3)C(C(C)NC3=NC=NC4=C3N=CN4)=CC2=CC=C1 UTJDPDXPXQNQJY-UHFFFAOYSA-N 0.000 description 1
- NMYPMUUHYJXSQP-UHFFFAOYSA-N CC1=C2C(=O)N(C3CCN(C)CC3)C(CN3N=C(C4=CNN=C4)C4=C3N=CN=C4N)=CC2=CC=C1 Chemical compound CC1=C2C(=O)N(C3CCN(C)CC3)C(CN3N=C(C4=CNN=C4)C4=C3N=CN=C4N)=CC2=CC=C1 NMYPMUUHYJXSQP-UHFFFAOYSA-N 0.000 description 1
- RVCWJSKUGLHUEL-UHFFFAOYSA-N CC1=C2C(=O)N(C3CCOCC3)C(C(C)NC3=NC=NC4=C3N=CN4)=CC2=CC=C1 Chemical compound CC1=C2C(=O)N(C3CCOCC3)C(C(C)NC3=NC=NC4=C3N=CN4)=CC2=CC=C1 RVCWJSKUGLHUEL-UHFFFAOYSA-N 0.000 description 1
- IVMXUWQNWPMPGL-UHFFFAOYSA-N CC1=C2C(=O)N(C3CCOCC3)C(CN3N=C(C4=CC(O)=CC(F)=C4)C4=C3N=CN=C4N)=CC2=CC=C1 Chemical compound CC1=C2C(=O)N(C3CCOCC3)C(CN3N=C(C4=CC(O)=CC(F)=C4)C4=C3N=CN=C4N)=CC2=CC=C1 IVMXUWQNWPMPGL-UHFFFAOYSA-N 0.000 description 1
- HPAOEMLWJMGBGC-UHFFFAOYSA-N CC1=C2C(=O)N(C3CCOCC3)C(CN3N=C(C4=CC(O)=CC=C4)C4=C3N=CN=C4N)=CC2=CC=C1 Chemical compound CC1=C2C(=O)N(C3CCOCC3)C(CN3N=C(C4=CC(O)=CC=C4)C4=C3N=CN=C4N)=CC2=CC=C1 HPAOEMLWJMGBGC-UHFFFAOYSA-N 0.000 description 1
- FUKGIBSJIVYZHP-UHFFFAOYSA-N CC1=C2C(=O)N(C3CCOCC3)C(CN3N=C(I)C4=C3N=CN=C4N)=CC2=CC=C1 Chemical compound CC1=C2C(=O)N(C3CCOCC3)C(CN3N=C(I)C4=C3N=CN=C4N)=CC2=CC=C1 FUKGIBSJIVYZHP-UHFFFAOYSA-N 0.000 description 1
- ZWKUHBIHXNJQKQ-UHFFFAOYSA-N CC1=C2C(=O)N(CCN3CCCC3)C(C(C)NC3=NC=NC4=C3N=CN4)=CC2=CC=C1 Chemical compound CC1=C2C(=O)N(CCN3CCCC3)C(C(C)NC3=NC=NC4=C3N=CN4)=CC2=CC=C1 ZWKUHBIHXNJQKQ-UHFFFAOYSA-N 0.000 description 1
- CYQTVDMRYDCRGC-UHFFFAOYSA-N CC1=C2C(=O)N(CCN3CCOCC3)C(C(C)NC3=NC=NC4=C3N=CN4)=CC2=CC=C1 Chemical compound CC1=C2C(=O)N(CCN3CCOCC3)C(C(C)NC3=NC=NC4=C3N=CN4)=CC2=CC=C1 CYQTVDMRYDCRGC-UHFFFAOYSA-N 0.000 description 1
- CUJNZTKYZLLKBY-UHFFFAOYSA-N CC1=CC(C(C)(C)C)=NN1 Chemical compound CC1=CC(C(C)(C)C)=NN1 CUJNZTKYZLLKBY-UHFFFAOYSA-N 0.000 description 1
- YWVVIBOXHWIQMY-UHFFFAOYSA-N CC1=CC(C(C)C)=CC=N1 Chemical compound CC1=CC(C(C)C)=CC=N1 YWVVIBOXHWIQMY-UHFFFAOYSA-N 0.000 description 1
- FZSPYHREEHYLCB-UHFFFAOYSA-N CC1=CC(C)=CC(C(C)(C)C)=C1 Chemical compound CC1=CC(C)=CC(C(C)(C)C)=C1 FZSPYHREEHYLCB-UHFFFAOYSA-N 0.000 description 1
- VXTGRTCJPGCZEY-UHFFFAOYSA-N CC1=CC=C(C(C)C)N=C1 Chemical compound CC1=CC=C(C(C)C)N=C1 VXTGRTCJPGCZEY-UHFFFAOYSA-N 0.000 description 1
- WZOMSUJNKWOUGK-UHFFFAOYSA-N CC1=CC=CC(C)=C1C(=O)Cl.CC1=CC=CC(C)=C1C(=O)O.CC1=CC=CC=C1N1C(=O)C2=C(C)C=CC=C2C=C1CBr.CC1=CC=CC=C1N1C(=O)C2=C(C)C=CC=C2C=C1CN1/N=C(/I)C2=C1N=CN=C2N.CC1=CC=CC=C1N1C(=O)C2=C(C)C=CC=C2C=C1CO.CC1=CC=CC=C1NC(=O)C1=C(C)C=CC=C1C.CCOC(=O)C(=O)CC1=CC=CC(C)=C1C(=O)NC1=CC=CC=C1C.CCOC(=O)C1=CC2=CC=CC(C)=C2C(=O)N1C1=CC=CC=C1C Chemical compound CC1=CC=CC(C)=C1C(=O)Cl.CC1=CC=CC(C)=C1C(=O)O.CC1=CC=CC=C1N1C(=O)C2=C(C)C=CC=C2C=C1CBr.CC1=CC=CC=C1N1C(=O)C2=C(C)C=CC=C2C=C1CN1/N=C(/I)C2=C1N=CN=C2N.CC1=CC=CC=C1N1C(=O)C2=C(C)C=CC=C2C=C1CO.CC1=CC=CC=C1NC(=O)C1=C(C)C=CC=C1C.CCOC(=O)C(=O)CC1=CC=CC(C)=C1C(=O)NC1=CC=CC=C1C.CCOC(=O)C1=CC2=CC=CC(C)=C2C(=O)N1C1=CC=CC=C1C WZOMSUJNKWOUGK-UHFFFAOYSA-N 0.000 description 1
- KSHRLMQTTISAEL-UHFFFAOYSA-N CC1=CC=CC(C)=C1C(C)(C)C Chemical compound CC1=CC=CC(C)=C1C(C)(C)C KSHRLMQTTISAEL-UHFFFAOYSA-N 0.000 description 1
- PYLZWFHIABCXBD-UHFFFAOYSA-N CC1=CC=CC(C)=C1N1C(=O)C2=C(C)C=CC=C2C=C1CNC1=NC=NC2=C1N=CN2 Chemical compound CC1=CC=CC(C)=C1N1C(=O)C2=C(C)C=CC=C2C=C1CNC1=NC=NC2=C1N=CN2 PYLZWFHIABCXBD-UHFFFAOYSA-N 0.000 description 1
- MANVGMLFWUAOTH-UHFFFAOYSA-N CC1=CC=CC(C2=NN(CC3=CC4=CC=CC(C)=C4C(=O)N3C3=CC=CC=C3C)C3=C2C(N)=NC=N3)=C1.CC1=CC=CC=C1N1C(=O)C2=C(C)C=CC=C2C=C1CN1N=C(C2=C(CN)C=CC(F)=C2)C2=C1N=CN=C2N.CC1=CC=CC=C1N1C(=O)C2=C(C)C=CC=C2C=C1CN1N=C(C2=C(CN)C=CC=C2)C2=C1N=CN=C2N.CC1=CC=CC=C1N1C(=O)C2=C(C)C=CC=C2C=C1CN1N=C(C2=CC(CN)=CC=C2)C2=C1N=CN=C2N Chemical compound CC1=CC=CC(C2=NN(CC3=CC4=CC=CC(C)=C4C(=O)N3C3=CC=CC=C3C)C3=C2C(N)=NC=N3)=C1.CC1=CC=CC=C1N1C(=O)C2=C(C)C=CC=C2C=C1CN1N=C(C2=C(CN)C=CC(F)=C2)C2=C1N=CN=C2N.CC1=CC=CC=C1N1C(=O)C2=C(C)C=CC=C2C=C1CN1N=C(C2=C(CN)C=CC=C2)C2=C1N=CN=C2N.CC1=CC=CC=C1N1C(=O)C2=C(C)C=CC=C2C=C1CN1N=C(C2=CC(CN)=CC=C2)C2=C1N=CN=C2N MANVGMLFWUAOTH-UHFFFAOYSA-N 0.000 description 1
- IRTLXYZENRVWFE-ZOWNYOTGSA-N CC1=CC=CC(Cl)=C1C(=O)NC1=CC=CC=C1.C[C@H](NC1=NC=NC2=C1N=CN2)C1=CC2=CC=CC(Cl)=C2C(=O)N1C1=CC=CC=C1 Chemical compound CC1=CC=CC(Cl)=C1C(=O)NC1=CC=CC=C1.C[C@H](NC1=NC=NC2=C1N=CN2)C1=CC2=CC=CC(Cl)=C2C(=O)N1C1=CC=CC=C1 IRTLXYZENRVWFE-ZOWNYOTGSA-N 0.000 description 1
- XRDVRSXFNDKPJC-UHFFFAOYSA-N CC1=CC=CC2=C1C(=O)N(C1=C(C)C=CC=C1)C(CN1/N=C(/C(=O)O)C3=C1N=CN=C3N)=C2.CC1=CC=CC2=C1C(=O)N(C1=C(C)C=CC=C1)C(CN1/N=C(/C(=O)O)C3=C1N=CN=C3N)=C2.CC1=CC=CC2=C1C(=O)N(C1=C(C)C=CC=C1)C(CN1/N=C(/C=O)C3=C1N=CN=C3N)=C2 Chemical compound CC1=CC=CC2=C1C(=O)N(C1=C(C)C=CC=C1)C(CN1/N=C(/C(=O)O)C3=C1N=CN=C3N)=C2.CC1=CC=CC2=C1C(=O)N(C1=C(C)C=CC=C1)C(CN1/N=C(/C(=O)O)C3=C1N=CN=C3N)=C2.CC1=CC=CC2=C1C(=O)N(C1=C(C)C=CC=C1)C(CN1/N=C(/C=O)C3=C1N=CN=C3N)=C2 XRDVRSXFNDKPJC-UHFFFAOYSA-N 0.000 description 1
- KNGLOLXXGAVHDV-UHFFFAOYSA-N CC1=CC=CC2=C1C(=O)N(C1=C(C)C=CC=C1)C(CN1N=C(C(=O)NO)C3=C1N=CN=C3N)=C2 Chemical compound CC1=CC=CC2=C1C(=O)N(C1=C(C)C=CC=C1)C(CN1N=C(C(=O)NO)C3=C1N=CN=C3N)=C2 KNGLOLXXGAVHDV-UHFFFAOYSA-N 0.000 description 1
- JSCRMDCFJURRJF-UHFFFAOYSA-N CC1=CC=CC2=C1C(=O)N(C1=C(C)C=CC=C1)C(CN1N=C(C(=O)O)C3=C1N=CN=C3N)=C2 Chemical compound CC1=CC=CC2=C1C(=O)N(C1=C(C)C=CC=C1)C(CN1N=C(C(=O)O)C3=C1N=CN=C3N)=C2 JSCRMDCFJURRJF-UHFFFAOYSA-N 0.000 description 1
- COZQDFZKQSFBEE-UHFFFAOYSA-N CC1=CC=CC2=C1C(=O)N(C1=C(C)C=CC=C1)C(CN1N=C(C(F)F)C3=C1N=CN=C3N)=C2 Chemical compound CC1=CC=CC2=C1C(=O)N(C1=C(C)C=CC=C1)C(CN1N=C(C(F)F)C3=C1N=CN=C3N)=C2 COZQDFZKQSFBEE-UHFFFAOYSA-N 0.000 description 1
- ZBMSILUYNLJEMN-UHFFFAOYSA-N CC1=CC=CC2=C1C(=O)N(C1=C(C)C=CC=C1)C(CN1N=C(C(N)=O)C3=C1N=CN=C3N)=C2 Chemical compound CC1=CC=CC2=C1C(=O)N(C1=C(C)C=CC=C1)C(CN1N=C(C(N)=O)C3=C1N=CN=C3N)=C2 ZBMSILUYNLJEMN-UHFFFAOYSA-N 0.000 description 1
- DMQFCUWVLLDEMY-UHFFFAOYSA-N CC1=CC=CC2=C1C(=O)N(C1=C(C)C=CC=C1)C(CN1N=C(C3=CC4=C(C=C3)N=C(N)N4)C3=C1N=CN=C3N)=C2 Chemical compound CC1=CC=CC2=C1C(=O)N(C1=C(C)C=CC=C1)C(CN1N=C(C3=CC4=C(C=C3)N=C(N)N4)C3=C1N=CN=C3N)=C2 DMQFCUWVLLDEMY-UHFFFAOYSA-N 0.000 description 1
- YYBJRVIFVYEBHE-UHFFFAOYSA-N CC1=CC=CC2=C1C(=O)N(C1=CC=CC=C1)C(CN1N=C(C(C)C)C3=C1N=CN=C3N)=C2 Chemical compound CC1=CC=CC2=C1C(=O)N(C1=CC=CC=C1)C(CN1N=C(C(C)C)C3=C1N=CN=C3N)=C2 YYBJRVIFVYEBHE-UHFFFAOYSA-N 0.000 description 1
- MXAZUAQWHGXGSU-UHFFFAOYSA-N CC1=CC=CC2=C1C(=O)N(C1=CC=CC=C1)C(CN1N=C(C(F)F)C3=C1N=CN=C3N)=C2 Chemical compound CC1=CC=CC2=C1C(=O)N(C1=CC=CC=C1)C(CN1N=C(C(F)F)C3=C1N=CN=C3N)=C2 MXAZUAQWHGXGSU-UHFFFAOYSA-N 0.000 description 1
- DBXZJNHWJCEVEU-UHFFFAOYSA-N CC1=CC=CC2=C1C(=O)N(C1=CC=CC=C1)C(CN1N=C(C(N)=O)C3=C1N=CN=C3N)=C2 Chemical compound CC1=CC=CC2=C1C(=O)N(C1=CC=CC=C1)C(CN1N=C(C(N)=O)C3=C1N=CN=C3N)=C2 DBXZJNHWJCEVEU-UHFFFAOYSA-N 0.000 description 1
- CBAAULVJODEODP-UHFFFAOYSA-N CC1=CC=CC2=C1C(=O)N(C1=CC=CC=C1)C(CN1N=C(C3=CC4=C(C=C3)N=C(N)N4)C3=C1N=CN=C3N)=C2 Chemical compound CC1=CC=CC2=C1C(=O)N(C1=CC=CC=C1)C(CN1N=C(C3=CC4=C(C=C3)N=C(N)N4)C3=C1N=CN=C3N)=C2 CBAAULVJODEODP-UHFFFAOYSA-N 0.000 description 1
- KJDQWYKQMWVIEC-UHFFFAOYSA-N CC1=CC=CC2=C1C(=O)N(C1=CC=CC=C1)C(CN1N=C(C3=CCOCC3)C3=C1N=CN=C3N)=C2 Chemical compound CC1=CC=CC2=C1C(=O)N(C1=CC=CC=C1)C(CN1N=C(C3=CCOCC3)C3=C1N=CN=C3N)=C2 KJDQWYKQMWVIEC-UHFFFAOYSA-N 0.000 description 1
- FZCQILRZFQOOHZ-UHFFFAOYSA-N CC1=CC=CC2=C1C(=O)N(C1=CC=CC=C1)C(CN1N=C(CF)C3=C1N=CN=C3N)=C2 Chemical compound CC1=CC=CC2=C1C(=O)N(C1=CC=CC=C1)C(CN1N=C(CF)C3=C1N=CN=C3N)=C2 FZCQILRZFQOOHZ-UHFFFAOYSA-N 0.000 description 1
- UMBOVTDDENNROQ-OAHLLOKOSA-N CC1=CC=CC2=C1C(=O)N(C1=CC=CC=C1)C([C@@H](C)NC1=NC=NC3=C1N=CN3)=C2 Chemical compound CC1=CC=CC2=C1C(=O)N(C1=CC=CC=C1)C([C@@H](C)NC1=NC=NC3=C1N=CN3)=C2 UMBOVTDDENNROQ-OAHLLOKOSA-N 0.000 description 1
- LPSCJWMLENINBG-MKWOVLMJSA-N CC1=CC=CC2=C1C(=O)N(C1=CC=CC=C1)C([C@H](C)N)=C2.CC1=CC=CC2=C1C(=O)N(C1=CC=CC=C1)C([C@H](C)NC1=NC(Cl)=NC3=C1N=CN3)=C2.NC1=NC2=C(N=CN2)C(Cl)=N1 Chemical compound CC1=CC=CC2=C1C(=O)N(C1=CC=CC=C1)C([C@H](C)N)=C2.CC1=CC=CC2=C1C(=O)N(C1=CC=CC=C1)C([C@H](C)NC1=NC(Cl)=NC3=C1N=CN3)=C2.NC1=NC2=C(N=CN2)C(Cl)=N1 LPSCJWMLENINBG-MKWOVLMJSA-N 0.000 description 1
- UMBOVTDDENNROQ-HNNXBMFYSA-N CC1=CC=CC2=C1C(=O)N(C1=CC=CC=C1)C([C@H](C)NC1=NC=NC3=C1N=CN3)=C2 Chemical compound CC1=CC=CC2=C1C(=O)N(C1=CC=CC=C1)C([C@H](C)NC1=NC=NC3=C1N=CN3)=C2 UMBOVTDDENNROQ-HNNXBMFYSA-N 0.000 description 1
- XKHASMAALGBCSO-GFCCVEGCSA-N CC1=CC=CC2=C1C(=O)N(C1CC1)C([C@@H](C)NC1=NC=NC3=C1N=CN3)=C2 Chemical compound CC1=CC=CC2=C1C(=O)N(C1CC1)C([C@@H](C)NC1=NC=NC3=C1N=CN3)=C2 XKHASMAALGBCSO-GFCCVEGCSA-N 0.000 description 1
- OVBKKAQIDXMNIF-CYBMUJFWSA-N CC1=CC=CC2=C1C(=O)N(C1CCC1)C([C@@H](C)NC1=NC=NC3=C1N=CN3)=C2 Chemical compound CC1=CC=CC2=C1C(=O)N(C1CCC1)C([C@@H](C)NC1=NC=NC3=C1N=CN3)=C2 OVBKKAQIDXMNIF-CYBMUJFWSA-N 0.000 description 1
- OVBKKAQIDXMNIF-ZDUSSCGKSA-N CC1=CC=CC2=C1C(=O)N(C1CCC1)C([C@H](C)NC1=NC=NC3=C1N=CN3)=C2 Chemical compound CC1=CC=CC2=C1C(=O)N(C1CCC1)C([C@H](C)NC1=NC=NC3=C1N=CN3)=C2 OVBKKAQIDXMNIF-ZDUSSCGKSA-N 0.000 description 1
- AXHVNJGQOJFMHT-UHFFFAOYSA-N CC1=CC=CC=C1C(C)(C)C Chemical compound CC1=CC=CC=C1C(C)(C)C AXHVNJGQOJFMHT-UHFFFAOYSA-N 0.000 description 1
- ABSYWRCPUZZHLV-UHFFFAOYSA-M CC1=CC=CC=C1N1C(=O)C2=C(C)C=CC=C2C=C1C(C)Br.CC1=CC=CC=C1N1C(=O)C2=C(C)C=CC=C2C=C1C(C)O.CC1=CC=CC=C1N1C(=O)C2=C(C)C=CC=C2C=C1C=O.CC1=CC=CC=C1N1C(=O)C2=C(C)C=CC=C2C=C1CO.C[Mg]Br.NC1=NC=NC2=C1N=CN2C1CCCCO1.O=[Mn]=O.[NaH] Chemical compound CC1=CC=CC=C1N1C(=O)C2=C(C)C=CC=C2C=C1C(C)Br.CC1=CC=CC=C1N1C(=O)C2=C(C)C=CC=C2C=C1C(C)O.CC1=CC=CC=C1N1C(=O)C2=C(C)C=CC=C2C=C1C=O.CC1=CC=CC=C1N1C(=O)C2=C(C)C=CC=C2C=C1CO.C[Mg]Br.NC1=NC=NC2=C1N=CN2C1CCCCO1.O=[Mn]=O.[NaH] ABSYWRCPUZZHLV-UHFFFAOYSA-M 0.000 description 1
- ROLCEJORSNBVLQ-UHFFFAOYSA-N CC1=CC=CC=C1N1C(=O)C2=C(C)C=CC=C2C=C1C(C)NC1=NC=NC2=C1N=CN2 Chemical compound CC1=CC=CC=C1N1C(=O)C2=C(C)C=CC=C2C=C1C(C)NC1=NC=NC2=C1N=CN2 ROLCEJORSNBVLQ-UHFFFAOYSA-N 0.000 description 1
- XCHCCEMOIFWIDN-UHFFFAOYSA-N CC1=CC=CC=C1N1C(=O)C2=C(C)C=CC=C2C=C1C(C)NC1=NC=NC2=C1N=CN2.CC1=CC=CC=C1N1C(=O)C2=C(C)C=CC=C2C=C1C(C)NC1=NC=NC2=C1N=CN2C1CCCCO1.Cl Chemical compound CC1=CC=CC=C1N1C(=O)C2=C(C)C=CC=C2C=C1C(C)NC1=NC=NC2=C1N=CN2.CC1=CC=CC=C1N1C(=O)C2=C(C)C=CC=C2C=C1C(C)NC1=NC=NC2=C1N=CN2C1CCCCO1.Cl XCHCCEMOIFWIDN-UHFFFAOYSA-N 0.000 description 1
- IEQGFRVYUBPVDZ-UHFFFAOYSA-N CC1=CC=CC=C1N1C(=O)C2=C(C)C=CC=C2C=C1CBr.CC1=CC=CC=C1N1C(=O)C2=C(C)C=CC=C2C=C1CN(C)C1=NC=NC2=C1N=CN2.CC1=CC=CC=C1N1C(=O)C2=C(C)C=CC=C2C=C1CN(C)C1=NC=NC2=C1N=CN2C1CCCCO1.CN.CNCC1=CC2=CC=CC(C)=C2C(=O)N1C1=CC=CC=C1C.ClC1=NC=NC2=C1N=CN2C1CCCCO1 Chemical compound CC1=CC=CC=C1N1C(=O)C2=C(C)C=CC=C2C=C1CBr.CC1=CC=CC=C1N1C(=O)C2=C(C)C=CC=C2C=C1CN(C)C1=NC=NC2=C1N=CN2.CC1=CC=CC=C1N1C(=O)C2=C(C)C=CC=C2C=C1CN(C)C1=NC=NC2=C1N=CN2C1CCCCO1.CN.CNCC1=CC2=CC=CC(C)=C2C(=O)N1C1=CC=CC=C1C.ClC1=NC=NC2=C1N=CN2C1CCCCO1 IEQGFRVYUBPVDZ-UHFFFAOYSA-N 0.000 description 1
- RMDNGXHLPVQSMV-UHFFFAOYSA-N CC1=CC=CC=C1N1C(=O)C2=C(C)C=CC=C2C=C1CBr.CC1=CC=CC=C1N1C(=O)C2=C(C)C=CC=C2C=C1CN1/C=N\C2=C1N=CN=C2N.NC1=NC=NC2=C1N=CC2 Chemical compound CC1=CC=CC=C1N1C(=O)C2=C(C)C=CC=C2C=C1CBr.CC1=CC=CC=C1N1C(=O)C2=C(C)C=CC=C2C=C1CN1/C=N\C2=C1N=CN=C2N.NC1=NC=NC2=C1N=CC2 RMDNGXHLPVQSMV-UHFFFAOYSA-N 0.000 description 1
- BDASDIIDTGLICR-UHFFFAOYSA-N CC1=CC=CC=C1N1C(=O)C2=C(C)C=CC=C2C=C1CBr.CC1=CC=CC=C1N1C(=O)C2=C(C)C=CC=C2C=C1CN1N=C(C2=CC(O)=CC=C2)C2=C1N=CN=C2N.COC1=CC(C2=NCC3=C2C(N)=NC=N3)=CC=C1.COC1=CC(C2=NN(CC3=CC4=CC=CC(C)=C4C(=O)N3C3=CC=CC=C3C)C3=C2C(N)=NC=N3)=CC=C1 Chemical compound CC1=CC=CC=C1N1C(=O)C2=C(C)C=CC=C2C=C1CBr.CC1=CC=CC=C1N1C(=O)C2=C(C)C=CC=C2C=C1CN1N=C(C2=CC(O)=CC=C2)C2=C1N=CN=C2N.COC1=CC(C2=NCC3=C2C(N)=NC=N3)=CC=C1.COC1=CC(C2=NN(CC3=CC4=CC=CC(C)=C4C(=O)N3C3=CC=CC=C3C)C3=C2C(N)=NC=N3)=CC=C1 BDASDIIDTGLICR-UHFFFAOYSA-N 0.000 description 1
- BIMRMHFTBASJJP-UHFFFAOYSA-N CC1=CC=CC=C1N1C(=O)C2=C(C)C=CC=C2C=C1CN(C)C1=NC=NC2=C1N=CN2 Chemical compound CC1=CC=CC=C1N1C(=O)C2=C(C)C=CC=C2C=C1CN(C)C1=NC=NC2=C1N=CN2 BIMRMHFTBASJJP-UHFFFAOYSA-N 0.000 description 1
- XEJTYGQRSVAXKK-UHFFFAOYSA-N CC1=CC=CC=C1N1C(=O)C2=C(C)C=CC=C2C=C1CN1C=NC2=C1N=CN=C2N Chemical compound CC1=CC=CC=C1N1C(=O)C2=C(C)C=CC=C2C=C1CN1C=NC2=C1N=CN=C2N XEJTYGQRSVAXKK-UHFFFAOYSA-N 0.000 description 1
- VBXHOCIRRABFDD-UHFFFAOYSA-N CC1=CC=CC=C1N1C(=O)C2=C(C)C=CC=C2C=C1CN1N=C(Br)C2=C1N=CN=C2N Chemical compound CC1=CC=CC=C1N1C(=O)C2=C(C)C=CC=C2C=C1CN1N=C(Br)C2=C1N=CN=C2N VBXHOCIRRABFDD-UHFFFAOYSA-N 0.000 description 1
- BVZRDCPNICTPGQ-UHFFFAOYSA-N CC1=CC=CC=C1N1C(=O)C2=C(C)C=CC=C2C=C1CN1N=C(C#CC2CC2)C2=C1N=CN=C2N Chemical compound CC1=CC=CC=C1N1C(=O)C2=C(C)C=CC=C2C=C1CN1N=C(C#CC2CC2)C2=C1N=CN=C2N BVZRDCPNICTPGQ-UHFFFAOYSA-N 0.000 description 1
- DIZNSMNZOQAXRV-UHFFFAOYSA-N CC1=CC=CC=C1N1C(=O)C2=C(C)C=CC=C2C=C1CN1N=C(C#CCO)C2=C1N=CN=C2N Chemical compound CC1=CC=CC=C1N1C(=O)C2=C(C)C=CC=C2C=C1CN1N=C(C#CCO)C2=C1N=CN=C2N DIZNSMNZOQAXRV-UHFFFAOYSA-N 0.000 description 1
- MTSIDIMIRBATAB-GOSISDBHSA-N CC1=CC=CC=C1N1C(=O)C2=C(C)C=CC=C2C=C1CN1N=C(C#C[C@@H](C)O)C2=C1N=CN=C2N Chemical compound CC1=CC=CC=C1N1C(=O)C2=C(C)C=CC=C2C=C1CN1N=C(C#C[C@@H](C)O)C2=C1N=CN=C2N MTSIDIMIRBATAB-GOSISDBHSA-N 0.000 description 1
- ONHVVTNYYXCUPW-FMWIJXDMSA-N CC1=CC=CC=C1N1C(=O)C2=C(C)C=CC=C2C=C1CN1N=C(C#C[C@@H](C)O)C2=C1N=CN=C2N.CC1=CC=CC=C1N1C(=O)C2=C(C)C=CC=C2C=C1CN1N=C(I)C2=C1N=CN=C2N.[H]C#C[C@@H](C)O Chemical compound CC1=CC=CC=C1N1C(=O)C2=C(C)C=CC=C2C=C1CN1N=C(C#C[C@@H](C)O)C2=C1N=CN=C2N.CC1=CC=CC=C1N1C(=O)C2=C(C)C=CC=C2C=C1CN1N=C(I)C2=C1N=CN=C2N.[H]C#C[C@@H](C)O ONHVVTNYYXCUPW-FMWIJXDMSA-N 0.000 description 1
- MTSIDIMIRBATAB-SFHVURJKSA-N CC1=CC=CC=C1N1C(=O)C2=C(C)C=CC=C2C=C1CN1N=C(C#C[C@H](C)O)C2=C1N=CN=C2N Chemical compound CC1=CC=CC=C1N1C(=O)C2=C(C)C=CC=C2C=C1CN1N=C(C#C[C@H](C)O)C2=C1N=CN=C2N MTSIDIMIRBATAB-SFHVURJKSA-N 0.000 description 1
- ZVRHOOOIINXHAP-UHFFFAOYSA-N CC1=CC=CC=C1N1C(=O)C2=C(C)C=CC=C2C=C1CN1N=C(C2=CC(C(=O)O)=CC=C2)C2=C1N=CN=C2N Chemical compound CC1=CC=CC=C1N1C(=O)C2=C(C)C=CC=C2C=C1CN1N=C(C2=CC(C(=O)O)=CC=C2)C2=C1N=CN=C2N ZVRHOOOIINXHAP-UHFFFAOYSA-N 0.000 description 1
- PHTQMSCUGVSUIW-UHFFFAOYSA-N CC1=CC=CC=C1N1C(=O)C2=C(C)C=CC=C2C=C1CN1N=C(C2=CC(C(N)=O)=CC=C2)C2=C1N=CN=C2N Chemical compound CC1=CC=CC=C1N1C(=O)C2=C(C)C=CC=C2C=C1CN1N=C(C2=CC(C(N)=O)=CC=C2)C2=C1N=CN=C2N PHTQMSCUGVSUIW-UHFFFAOYSA-N 0.000 description 1
- GFOYBQMPWPBWIV-UHFFFAOYSA-N CC1=CC=CC=C1N1C(=O)C2=C(C)C=CC=C2C=C1CN1N=C(C2=CC(Cl)=C(O)C=C2)C2=C1N=CN=C2N Chemical compound CC1=CC=CC=C1N1C(=O)C2=C(C)C=CC=C2C=C1CN1N=C(C2=CC(Cl)=C(O)C=C2)C2=C1N=CN=C2N GFOYBQMPWPBWIV-UHFFFAOYSA-N 0.000 description 1
- QFVCJCFTEZUZGZ-UHFFFAOYSA-N CC1=CC=CC=C1N1C(=O)C2=C(C)C=CC=C2C=C1CN1N=C(C2=CC(Cl)=CC=C2)C2=C1N=CN=C2N Chemical compound CC1=CC=CC=C1N1C(=O)C2=C(C)C=CC=C2C=C1CN1N=C(C2=CC(Cl)=CC=C2)C2=C1N=CN=C2N QFVCJCFTEZUZGZ-UHFFFAOYSA-N 0.000 description 1
- MTIPJDDLMBTIGG-UHFFFAOYSA-N CC1=CC=CC=C1N1C(=O)C2=C(C)C=CC=C2C=C1CN1N=C(C2=CC(F)=C(O)C=C2)C2=C1N=CN=C2N Chemical compound CC1=CC=CC=C1N1C(=O)C2=C(C)C=CC=C2C=C1CN1N=C(C2=CC(F)=C(O)C=C2)C2=C1N=CN=C2N MTIPJDDLMBTIGG-UHFFFAOYSA-N 0.000 description 1
- XQUBUHLUYWBTIM-UHFFFAOYSA-N CC1=CC=CC=C1N1C(=O)C2=C(C)C=CC=C2C=C1CN1N=C(C2=CC(F)=CC=C2)C2=C1N=CN=C2N Chemical compound CC1=CC=CC=C1N1C(=O)C2=C(C)C=CC=C2C=C1CN1N=C(C2=CC(F)=CC=C2)C2=C1N=CN=C2N XQUBUHLUYWBTIM-UHFFFAOYSA-N 0.000 description 1
- SHVGRMFEMNTSGR-UHFFFAOYSA-N CC1=CC=CC=C1N1C(=O)C2=C(C)C=CC=C2C=C1CN1N=C(C2=CC(O)=C(F)C=C2)C2=C1N=CN=C2N Chemical compound CC1=CC=CC=C1N1C(=O)C2=C(C)C=CC=C2C=C1CN1N=C(C2=CC(O)=C(F)C=C2)C2=C1N=CN=C2N SHVGRMFEMNTSGR-UHFFFAOYSA-N 0.000 description 1
- JGYBKEQGRURMHQ-UHFFFAOYSA-N CC1=CC=CC=C1N1C(=O)C2=C(C)C=CC=C2C=C1CN1N=C(C2=CC(O)=CC(F)=C2)C2=C1C=CN=C2N Chemical compound CC1=CC=CC=C1N1C(=O)C2=C(C)C=CC=C2C=C1CN1N=C(C2=CC(O)=CC(F)=C2)C2=C1C=CN=C2N JGYBKEQGRURMHQ-UHFFFAOYSA-N 0.000 description 1
- XWHQPBKSJATHQB-UHFFFAOYSA-N CC1=CC=CC=C1N1C(=O)C2=C(C)C=CC=C2C=C1CN1N=C(C2=CC(O)=CC(F)=C2)C2=C1N=CN=C2N Chemical compound CC1=CC=CC=C1N1C(=O)C2=C(C)C=CC=C2C=C1CN1N=C(C2=CC(O)=CC(F)=C2)C2=C1N=CN=C2N XWHQPBKSJATHQB-UHFFFAOYSA-N 0.000 description 1
- CSWISJUOUPJXOZ-UHFFFAOYSA-N CC1=CC=CC=C1N1C(=O)C2=C(C)C=CC=C2C=C1CN1N=C(C2=CC(O)=CC(F)=C2)C2=C1N=CN=C2N.CC1=CC=CC=C1N1C(=O)C2=C(C)C=CC=C2C=C1CN1N=C(C2=CC(OP(=O)(O)O)=CC(F)=C2)C2=C1N=CN=C2N.CC1=CC=CC=C1N1C(=O)C2=C(C)C=CC=C2C=C1CN1N=C(C2=CC(OP(C)(C)=O)=CC(F)=C2)C2=C1N=CN=C2N.C[Si](C)(C)Br Chemical compound CC1=CC=CC=C1N1C(=O)C2=C(C)C=CC=C2C=C1CN1N=C(C2=CC(O)=CC(F)=C2)C2=C1N=CN=C2N.CC1=CC=CC=C1N1C(=O)C2=C(C)C=CC=C2C=C1CN1N=C(C2=CC(OP(=O)(O)O)=CC(F)=C2)C2=C1N=CN=C2N.CC1=CC=CC=C1N1C(=O)C2=C(C)C=CC=C2C=C1CN1N=C(C2=CC(OP(C)(C)=O)=CC(F)=C2)C2=C1N=CN=C2N.C[Si](C)(C)Br CSWISJUOUPJXOZ-UHFFFAOYSA-N 0.000 description 1
- MFZWHOXYPHSNKE-UHFFFAOYSA-N CC1=CC=CC=C1N1C(=O)C2=C(C)C=CC=C2C=C1CN1N=C(C2=CC(O)=CC=C2)C2=C1C=CN=C2N Chemical compound CC1=CC=CC=C1N1C(=O)C2=C(C)C=CC=C2C=C1CN1N=C(C2=CC(O)=CC=C2)C2=C1C=CN=C2N MFZWHOXYPHSNKE-UHFFFAOYSA-N 0.000 description 1
- JQWXQTVENNRBFY-UHFFFAOYSA-N CC1=CC=CC=C1N1C(=O)C2=C(C)C=CC=C2C=C1CN1N=C(C2=CC3=C(C=C2)N=C(N)C=C3)C2=C1N=CN=C2N Chemical compound CC1=CC=CC=C1N1C(=O)C2=C(C)C=CC=C2C=C1CN1N=C(C2=CC3=C(C=C2)N=C(N)C=C3)C2=C1N=CN=C2N JQWXQTVENNRBFY-UHFFFAOYSA-N 0.000 description 1
- URSUAGXBXQQFKV-UHFFFAOYSA-N CC1=CC=CC=C1N1C(=O)C2=C(C)C=CC=C2C=C1CN1N=C(C2=CC3=C(C=C2)N=C(N)O3)C2=C1N=CN=C2N Chemical compound CC1=CC=CC=C1N1C(=O)C2=C(C)C=CC=C2C=C1CN1N=C(C2=CC3=C(C=C2)N=C(N)O3)C2=C1N=CN=C2N URSUAGXBXQQFKV-UHFFFAOYSA-N 0.000 description 1
- AWSSFOKLVIRUTK-UHFFFAOYSA-N CC1=CC=CC=C1N1C(=O)C2=C(C)C=CC=C2C=C1CN1N=C(C2=CC3=C(C=C2)SC(N)=N3)C2=C1N=CN=C2N Chemical compound CC1=CC=CC=C1N1C(=O)C2=C(C)C=CC=C2C=C1CN1N=C(C2=CC3=C(C=C2)SC(N)=N3)C2=C1N=CN=C2N AWSSFOKLVIRUTK-UHFFFAOYSA-N 0.000 description 1
- GJIISJOBQSYKCH-UHFFFAOYSA-N CC1=CC=CC=C1N1C(=O)C2=C(C)C=CC=C2C=C1CN1N=C(C2=CC3=C(N=C2)NC=C3)C2=C1N=CN=C2N Chemical compound CC1=CC=CC=C1N1C(=O)C2=C(C)C=CC=C2C=C1CN1N=C(C2=CC3=C(N=C2)NC=C3)C2=C1N=CN=C2N GJIISJOBQSYKCH-UHFFFAOYSA-N 0.000 description 1
- RZNHCPVPLNLKLM-UHFFFAOYSA-N CC1=CC=CC=C1N1C(=O)C2=C(C)C=CC=C2C=C1CN1N=C(C2=CC=C(Cl)C=C2)C2=C1N=CN=C2N Chemical compound CC1=CC=CC=C1N1C(=O)C2=C(C)C=CC=C2C=C1CN1N=C(C2=CC=C(Cl)C=C2)C2=C1N=CN=C2N RZNHCPVPLNLKLM-UHFFFAOYSA-N 0.000 description 1
- FVYGSAMVDJALCD-UHFFFAOYSA-N CC1=CC=CC=C1N1C(=O)C2=C(C)C=CC=C2C=C1CN1N=C(C2=CC=C(F)C=C2)C2=C1N=CN=C2N Chemical compound CC1=CC=CC=C1N1C(=O)C2=C(C)C=CC=C2C=C1CN1N=C(C2=CC=C(F)C=C2)C2=C1N=CN=C2N FVYGSAMVDJALCD-UHFFFAOYSA-N 0.000 description 1
- LDYHWJYPYDCMNK-UHFFFAOYSA-N CC1=CC=CC=C1N1C(=O)C2=C(C)C=CC=C2C=C1CN1N=C(C2=CC=C(O)C=C2)C2=C1N=CN=C2N Chemical compound CC1=CC=CC=C1N1C(=O)C2=C(C)C=CC=C2C=C1CN1N=C(C2=CC=C(O)C=C2)C2=C1N=CN=C2N LDYHWJYPYDCMNK-UHFFFAOYSA-N 0.000 description 1
- VGAJKHFCGZSKTP-UHFFFAOYSA-N CC1=CC=CC=C1N1C(=O)C2=C(C)C=CC=C2C=C1CN1N=C(C2=CC=C3C=CNC3=C2)C2=C1N=CN=C2N Chemical compound CC1=CC=CC=C1N1C(=O)C2=C(C)C=CC=C2C=C1CN1N=C(C2=CC=C3C=CNC3=C2)C2=C1N=CN=C2N VGAJKHFCGZSKTP-UHFFFAOYSA-N 0.000 description 1
- VVRVKRALLNXYLJ-UHFFFAOYSA-N CC1=CC=CC=C1N1C(=O)C2=C(C)C=CC=C2C=C1CN1N=C(C2=CC=C3N=C(C)SC3=C2)C2=C1N=CN=C2N Chemical compound CC1=CC=CC=C1N1C(=O)C2=C(C)C=CC=C2C=C1CN1N=C(C2=CC=C3N=C(C)SC3=C2)C2=C1N=CN=C2N VVRVKRALLNXYLJ-UHFFFAOYSA-N 0.000 description 1
- OPEZEOQJCNOKCL-UHFFFAOYSA-N CC1=CC=CC=C1N1C(=O)C2=C(C)C=CC=C2C=C1CN1N=C(C2=CC=C3N=C(N)N=CC3=C2)C2=C1N=CN=C2N Chemical compound CC1=CC=CC=C1N1C(=O)C2=C(C)C=CC=C2C=C1CN1N=C(C2=CC=C3N=C(N)N=CC3=C2)C2=C1N=CN=C2N OPEZEOQJCNOKCL-UHFFFAOYSA-N 0.000 description 1
- FHXVEMGLXJPKKI-UHFFFAOYSA-N CC1=CC=CC=C1N1C(=O)C2=C(C)C=CC=C2C=C1CN1N=C(C2=CC=C3N=C(N)SC3=C2)C2=C1N=CN=C2N Chemical compound CC1=CC=CC=C1N1C(=O)C2=C(C)C=CC=C2C=C1CN1N=C(C2=CC=C3N=C(N)SC3=C2)C2=C1N=CN=C2N FHXVEMGLXJPKKI-UHFFFAOYSA-N 0.000 description 1
- XKKHQLUQSIPLAZ-UHFFFAOYSA-N CC1=CC=CC=C1N1C(=O)C2=C(C)C=CC=C2C=C1CN1N=C(C2=CC=C3N=CN=C(N)C3=C2)C2=C1N=CN=C2N Chemical compound CC1=CC=CC=C1N1C(=O)C2=C(C)C=CC=C2C=C1CN1N=C(C2=CC=C3N=CN=C(N)C3=C2)C2=C1N=CN=C2N XKKHQLUQSIPLAZ-UHFFFAOYSA-N 0.000 description 1
- NAFFBOIJDJRKKK-UHFFFAOYSA-N CC1=CC=CC=C1N1C(=O)C2=C(C)C=CC=C2C=C1CN1N=C(C2=CC=C3OC(N)=NC3=C2)C2=C1N=CN=C2N Chemical compound CC1=CC=CC=C1N1C(=O)C2=C(C)C=CC=C2C=C1CN1N=C(C2=CC=C3OC(N)=NC3=C2)C2=C1N=CN=C2N NAFFBOIJDJRKKK-UHFFFAOYSA-N 0.000 description 1
- MVRRILMCOGDYKT-UHFFFAOYSA-N CC1=CC=CC=C1N1C(=O)C2=C(C)C=CC=C2C=C1CN1N=C(C2=CC=NN2)C2=C1N=CN=C2N Chemical compound CC1=CC=CC=C1N1C(=O)C2=C(C)C=CC=C2C=C1CN1N=C(C2=CC=NN2)C2=C1N=CN=C2N MVRRILMCOGDYKT-UHFFFAOYSA-N 0.000 description 1
- JVSKAORNPFJUFF-UHFFFAOYSA-N CC1=CC=CC=C1N1C(=O)C2=C(C)C=CC=C2C=C1CN1N=C(C2=CN(C)N=C2)C2=C1N=CN=C2N Chemical compound CC1=CC=CC=C1N1C(=O)C2=C(C)C=CC=C2C=C1CN1N=C(C2=CN(C)N=C2)C2=C1N=CN=C2N JVSKAORNPFJUFF-UHFFFAOYSA-N 0.000 description 1
- HVCMZEHRZHHFMA-UHFFFAOYSA-N CC1=CC=CC=C1N1C(=O)C2=C(C)C=CC=C2C=C1CN1N=C(C2=CNN=C2)C2=C1N=CN=C2N Chemical compound CC1=CC=CC=C1N1C(=O)C2=C(C)C=CC=C2C=C1CN1N=C(C2=CNN=C2)C2=C1N=CN=C2N HVCMZEHRZHHFMA-UHFFFAOYSA-N 0.000 description 1
- PCRNHKWMERBFRU-UHFFFAOYSA-N CC1=CC=CC=C1N1C(=O)C2=C(C)C=CC=C2C=C1CN1N=C(C2=NNN=N2)C2=C1N=CN=C2N Chemical compound CC1=CC=CC=C1N1C(=O)C2=C(C)C=CC=C2C=C1CN1N=C(C2=NNN=N2)C2=C1N=CN=C2N PCRNHKWMERBFRU-UHFFFAOYSA-N 0.000 description 1
- MYCGXQZHEHMVGO-UHFFFAOYSA-N CC1=CC=CC=C1N1C(=O)C2=C(C)C=CC=C2C=C1CN1N=C(Cl)C2=C1N=CN=C2N Chemical compound CC1=CC=CC=C1N1C(=O)C2=C(C)C=CC=C2C=C1CN1N=C(Cl)C2=C1N=CN=C2N MYCGXQZHEHMVGO-UHFFFAOYSA-N 0.000 description 1
- VKFNBQZRLKDCED-UHFFFAOYSA-N CC1=CC=CC=C1N1C(=O)C2=C(C)C=CC=C2C=C1CN1N=C(I)C2=C1N=CN=C2N Chemical compound CC1=CC=CC=C1N1C(=O)C2=C(C)C=CC=C2C=C1CN1N=C(I)C2=C1N=CN=C2N VKFNBQZRLKDCED-UHFFFAOYSA-N 0.000 description 1
- ANILQKJMIFEDSP-UHFFFAOYSA-N CC1=CC=CC=C1N1C(=O)C2=C(C=CC=C2C)C=C1CN1N=C(CC#N)C2=C1N=CN=C2N Chemical compound CC1=CC=CC=C1N1C(=O)C2=C(C=CC=C2C)C=C1CN1N=C(CC#N)C2=C1N=CN=C2N ANILQKJMIFEDSP-UHFFFAOYSA-N 0.000 description 1
- CBOQOFDHFUZVKP-UHFFFAOYSA-N CC1=CC=CC=C1N1C(=O)C2=C(C=CC=C2C)C=C1CN1N=C(CO)C2=C1N=CN=C2N Chemical compound CC1=CC=CC=C1N1C(=O)C2=C(C=CC=C2C)C=C1CN1N=C(CO)C2=C1N=CN=C2N CBOQOFDHFUZVKP-UHFFFAOYSA-N 0.000 description 1
- LOTKJZCODNRXED-MRXNPFEDSA-N CC1=CC=CC=C1N1C(=O)C2=C(F)C=CC=C2C=C1CN1N=C(C#C[C@@H](C)O)C2=C1N=CN=C2N Chemical compound CC1=CC=CC=C1N1C(=O)C2=C(F)C=CC=C2C=C1CN1N=C(C#C[C@@H](C)O)C2=C1N=CN=C2N LOTKJZCODNRXED-MRXNPFEDSA-N 0.000 description 1
- HWVIKLPUVJPIGT-UHFFFAOYSA-N CC1=CC=CC=C1N1C(=O)C2=C(F)C=CC=C2C=C1CN1N=C(C2=CC(O)=C(F)C=C2)C2=C1N=CN=C2N Chemical compound CC1=CC=CC=C1N1C(=O)C2=C(F)C=CC=C2C=C1CN1N=C(C2=CC(O)=C(F)C=C2)C2=C1N=CN=C2N HWVIKLPUVJPIGT-UHFFFAOYSA-N 0.000 description 1
- AKNUDIQGVGKWKC-UHFFFAOYSA-N CC1=CC=CC=C1N1C(=O)C2=C(F)C=CC=C2C=C1CN1N=C(C2=CC(O)=CC(F)=C2)C2=C1N=CN=C2N Chemical compound CC1=CC=CC=C1N1C(=O)C2=C(F)C=CC=C2C=C1CN1N=C(C2=CC(O)=CC(F)=C2)C2=C1N=CN=C2N AKNUDIQGVGKWKC-UHFFFAOYSA-N 0.000 description 1
- JDRCCHYIRIYYTG-UHFFFAOYSA-N CC1=CC=CC=C1N1C(=O)C2=C(F)C=CC=C2C=C1CN1N=C(C2=CC(O)=CC=C2)C2=C1N=CN=C2N Chemical compound CC1=CC=CC=C1N1C(=O)C2=C(F)C=CC=C2C=C1CN1N=C(C2=CC(O)=CC=C2)C2=C1N=CN=C2N JDRCCHYIRIYYTG-UHFFFAOYSA-N 0.000 description 1
- WXSSIYMIGMSYTG-UHFFFAOYSA-N CC1=CC=CC=C1N1C(=O)C2=C(F)C=CC=C2C=C1CN1N=C(I)C2=C1N=CN=C2N Chemical compound CC1=CC=CC=C1N1C(=O)C2=C(F)C=CC=C2C=C1CN1N=C(I)C2=C1N=CN=C2N WXSSIYMIGMSYTG-UHFFFAOYSA-N 0.000 description 1
- LEIIHUNEPVQKQZ-QGZVFWFLSA-N CC1=CC=CC=C1N1C(=O)C2=CC=CC=C2C=C1CN1N=C(C#C[C@@H](C)O)C2=C1N=CN=C2N Chemical compound CC1=CC=CC=C1N1C(=O)C2=CC=CC=C2C=C1CN1N=C(C#C[C@@H](C)O)C2=C1N=CN=C2N LEIIHUNEPVQKQZ-QGZVFWFLSA-N 0.000 description 1
- FKDXMQANGGTKMN-UHFFFAOYSA-N CC1=CC=CC=C1N1C(=O)C2=CC=CC=C2C=C1CN1N=C(C2=CC(O)=C(Cl)C=C2)C2=C1N=CN=C2N Chemical compound CC1=CC=CC=C1N1C(=O)C2=CC=CC=C2C=C1CN1N=C(C2=CC(O)=C(Cl)C=C2)C2=C1N=CN=C2N FKDXMQANGGTKMN-UHFFFAOYSA-N 0.000 description 1
- ZDNDMXZISNGKHC-UHFFFAOYSA-N CC1=CC=CC=C1N1C(=O)C2=CC=CC=C2C=C1CN1N=C(C2=CC(O)=C(F)C=C2)C2=C1N=CN=C2N Chemical compound CC1=CC=CC=C1N1C(=O)C2=CC=CC=C2C=C1CN1N=C(C2=CC(O)=C(F)C=C2)C2=C1N=CN=C2N ZDNDMXZISNGKHC-UHFFFAOYSA-N 0.000 description 1
- DAHWSMJJHKOVRX-UHFFFAOYSA-N CC1=CC=CC=C1N1C(=O)C2=CC=CC=C2C=C1CN1N=C(C2=CC(O)=CC(F)=C2)C2=C1N=CN=C2N Chemical compound CC1=CC=CC=C1N1C(=O)C2=CC=CC=C2C=C1CN1N=C(C2=CC(O)=CC(F)=C2)C2=C1N=CN=C2N DAHWSMJJHKOVRX-UHFFFAOYSA-N 0.000 description 1
- QMTNQTYZKQMCGI-UHFFFAOYSA-N CC1=CC=CC=C1N1C(=O)C2=CC=CC=C2C=C1CN1N=C(C2=CC(O)=CC=C2)C2=C1N=CN=C2N Chemical compound CC1=CC=CC=C1N1C(=O)C2=CC=CC=C2C=C1CN1N=C(C2=CC(O)=CC=C2)C2=C1N=CN=C2N QMTNQTYZKQMCGI-UHFFFAOYSA-N 0.000 description 1
- PGWINMDSIFCGOA-UHFFFAOYSA-N CC1=CC=CC=C1N1C(=O)C2=CC=CC=C2C=C1CN1N=C(C2=CNN=C2)C2=C1N=CN=C2N Chemical compound CC1=CC=CC=C1N1C(=O)C2=CC=CC=C2C=C1CN1N=C(C2=CNN=C2)C2=C1N=CN=C2N PGWINMDSIFCGOA-UHFFFAOYSA-N 0.000 description 1
- YJWHOWMURBKKPB-UHFFFAOYSA-N CC1=CC=CC=C1N1C(=O)C2=CC=CC=C2C=C1CN1N=C(I)C2=C1N=CN=C2N Chemical compound CC1=CC=CC=C1N1C(=O)C2=CC=CC=C2C=C1CN1N=C(I)C2=C1N=CN=C2N YJWHOWMURBKKPB-UHFFFAOYSA-N 0.000 description 1
- AKYPGAVECVYLET-UHFFFAOYSA-N CC1=CC=CN=C1C(C)(C)C Chemical compound CC1=CC=CN=C1C(C)(C)C AKYPGAVECVYLET-UHFFFAOYSA-N 0.000 description 1
- ULUQEOPDLGDPII-UHFFFAOYSA-N CC1=CC=CN=C1N1C(=O)C2=C(C)C=CC=C2C=C1CN1N=C(Br)C2=C1N=CN=C2N Chemical compound CC1=CC=CN=C1N1C(=O)C2=C(C)C=CC=C2C=C1CN1N=C(Br)C2=C1N=CN=C2N ULUQEOPDLGDPII-UHFFFAOYSA-N 0.000 description 1
- YGRWGOVLXXOGIR-QGZVFWFLSA-N CC1=CC=CN=C1N1C(=O)C2=C(C)C=CC=C2C=C1CN1N=C(C#C[C@@H](C)O)C2=C1N=CN=C2N Chemical compound CC1=CC=CN=C1N1C(=O)C2=C(C)C=CC=C2C=C1CN1N=C(C#C[C@@H](C)O)C2=C1N=CN=C2N YGRWGOVLXXOGIR-QGZVFWFLSA-N 0.000 description 1
- CCLCQKWJVPVSIQ-UHFFFAOYSA-N CC1=CC=CN=C1N1C(=O)C2=C(C)C=CC=C2C=C1CN1N=C(C2=CC(O)=C(Cl)C=C2)C2=C1N=CN=C2N Chemical compound CC1=CC=CN=C1N1C(=O)C2=C(C)C=CC=C2C=C1CN1N=C(C2=CC(O)=C(Cl)C=C2)C2=C1N=CN=C2N CCLCQKWJVPVSIQ-UHFFFAOYSA-N 0.000 description 1
- SUUXMFWZOJXEIH-UHFFFAOYSA-N CC1=CC=CN=C1N1C(=O)C2=C(C)C=CC=C2C=C1CN1N=C(C2=CC(O)=C(F)C=C2)C2=C1N=CN=C2N Chemical compound CC1=CC=CN=C1N1C(=O)C2=C(C)C=CC=C2C=C1CN1N=C(C2=CC(O)=C(F)C=C2)C2=C1N=CN=C2N SUUXMFWZOJXEIH-UHFFFAOYSA-N 0.000 description 1
- WOPSTNILCJBWJM-UHFFFAOYSA-N CC1=CC=CN=C1N1C(=O)C2=C(C)C=CC=C2C=C1CN1N=C(C2=CC(O)=CC(F)=C2)C2=C1N=CN=C2N Chemical compound CC1=CC=CN=C1N1C(=O)C2=C(C)C=CC=C2C=C1CN1N=C(C2=CC(O)=CC(F)=C2)C2=C1N=CN=C2N WOPSTNILCJBWJM-UHFFFAOYSA-N 0.000 description 1
- BRSRSKXSHBPVTQ-UHFFFAOYSA-N CC1=CC=CN=C1N1C(=O)C2=C(C)C=CC=C2C=C1CN1N=C(C2=CC(O)=CC=C2)C2=C1N=CN=C2N Chemical compound CC1=CC=CN=C1N1C(=O)C2=C(C)C=CC=C2C=C1CN1N=C(C2=CC(O)=CC=C2)C2=C1N=CN=C2N BRSRSKXSHBPVTQ-UHFFFAOYSA-N 0.000 description 1
- CAHNEOMDIHMTRQ-UHFFFAOYSA-N CC1=CC=CN=C1N1C(=O)C2=C(C)C=CC=C2C=C1CN1N=C(Cl)C2=C1N=CN=C2N Chemical compound CC1=CC=CN=C1N1C(=O)C2=C(C)C=CC=C2C=C1CN1N=C(Cl)C2=C1N=CN=C2N CAHNEOMDIHMTRQ-UHFFFAOYSA-N 0.000 description 1
- QETHHICCNIOIJS-UHFFFAOYSA-N CC1=CC=CN=C1N1C(=O)C2=C(C)C=CC=C2C=C1CN1N=C(I)C2=C1C=CN=C2N Chemical compound CC1=CC=CN=C1N1C(=O)C2=C(C)C=CC=C2C=C1CN1N=C(I)C2=C1C=CN=C2N QETHHICCNIOIJS-UHFFFAOYSA-N 0.000 description 1
- JOWSQZZQBWNGOC-UHFFFAOYSA-N CC1=CC=CN=C1N1C(=O)C2=CC=CC=C2C=C1CN1N=C(C2=CC(O)=CC(F)=C2)C2=C1N=CN=C2N Chemical compound CC1=CC=CN=C1N1C(=O)C2=CC=CC=C2C=C1CN1N=C(C2=CC(O)=CC(F)=C2)C2=C1N=CN=C2N JOWSQZZQBWNGOC-UHFFFAOYSA-N 0.000 description 1
- IQTHCDAGRCAFJT-UHFFFAOYSA-N CC1=CC=NC(C(C)C)=C1 Chemical compound CC1=CC=NC(C(C)C)=C1 IQTHCDAGRCAFJT-UHFFFAOYSA-N 0.000 description 1
- HKEAMRLYHZZXIG-UHFFFAOYSA-N CC1=CC=NC=C1C(C)(C)C Chemical compound CC1=CC=NC=C1C(C)(C)C HKEAMRLYHZZXIG-UHFFFAOYSA-N 0.000 description 1
- SWCFQSIUSVQEOV-UHFFFAOYSA-N CC1=CC=NC=C1N1C(=O)C2=C(C)C=CC=C2C=C1CN1N=C(I)C2=C1N=CN=C2N Chemical compound CC1=CC=NC=C1N1C(=O)C2=C(C)C=CC=C2C=C1CN1N=C(I)C2=C1N=CN=C2N SWCFQSIUSVQEOV-UHFFFAOYSA-N 0.000 description 1
- CYTGCAZUPFIUSF-UHFFFAOYSA-N CC1=CN(C2=NC=C(C(C)C)N=C2)C=N1 Chemical compound CC1=CN(C2=NC=C(C(C)C)N=C2)C=N1 CYTGCAZUPFIUSF-UHFFFAOYSA-N 0.000 description 1
- SFSDXLPFCGRUBE-UHFFFAOYSA-N CC1=CN(C2=NC=C(C(C)C)N=C2)N=C1 Chemical compound CC1=CN(C2=NC=C(C(C)C)N=C2)N=C1 SFSDXLPFCGRUBE-UHFFFAOYSA-N 0.000 description 1
- IZIAUIRLQYCNAM-UHFFFAOYSA-N CC1=NC(C(C)(C)C)=CN1 Chemical compound CC1=NC(C(C)(C)C)=CN1 IZIAUIRLQYCNAM-UHFFFAOYSA-N 0.000 description 1
- UWLWJASBYKVUJR-UHFFFAOYSA-N CC1=NC(C(C)C)=CC=C1 Chemical compound CC1=NC(C(C)C)=CC=C1 UWLWJASBYKVUJR-UHFFFAOYSA-N 0.000 description 1
- SRTOJEUVLKLAGK-UHFFFAOYSA-N CC1=NC(C(C)C)=CS1 Chemical compound CC1=NC(C(C)C)=CS1 SRTOJEUVLKLAGK-UHFFFAOYSA-N 0.000 description 1
- DCLFQRJGFVOULR-RSAXXLAASA-N CC1=NC2=C(N=CN=C2N[C@@H](C)C2=CC3=CC=CC(C)=C3C(=O)N2C2=CC=CC=C2)N1.S Chemical compound CC1=NC2=C(N=CN=C2N[C@@H](C)C2=CC3=CC=CC(C)=C3C(=O)N2C2=CC=CC=C2)N1.S DCLFQRJGFVOULR-RSAXXLAASA-N 0.000 description 1
- PGTQKVQDZHXLOP-UHFFFAOYSA-N CC1=NC=C(C(C)C)N=C1 Chemical compound CC1=NC=C(C(C)C)N=C1 PGTQKVQDZHXLOP-UHFFFAOYSA-N 0.000 description 1
- WVPHEKFRSRXGHA-UHFFFAOYSA-N CC1=NC=CN1C1=NC=C(C(C)C)N=C1 Chemical compound CC1=NC=CN1C1=NC=C(C(C)C)N=C1 WVPHEKFRSRXGHA-UHFFFAOYSA-N 0.000 description 1
- XXKZMBXAZOQNTP-UHFFFAOYSA-N CC1=NN(C2=NC=C(C(C)C)N=C2)C=C1 Chemical compound CC1=NN(C2=NC=C(C(C)C)N=C2)C=C1 XXKZMBXAZOQNTP-UHFFFAOYSA-N 0.000 description 1
- NMTIZGLCUXLQKN-UHFFFAOYSA-N CC1CCN(C2=NC=C(C(C)C)N=C2)CC1 Chemical compound CC1CCN(C2=NC=C(C(C)C)N=C2)CC1 NMTIZGLCUXLQKN-UHFFFAOYSA-N 0.000 description 1
- AOJZTYVPUSZVEO-UHFFFAOYSA-N CCC(=O)C1=NN(CC2=CC3=C(C(=O)N2C2=CC=CC=C2)C(C)=CC=C3)C2=C1C(N)=NC=N2 Chemical compound CCC(=O)C1=NN(CC2=CC3=C(C(=O)N2C2=CC=CC=C2)C(C)=CC=C3)C2=C1C(N)=NC=N2 AOJZTYVPUSZVEO-UHFFFAOYSA-N 0.000 description 1
- MVQKUCQRWWTQBB-UHFFFAOYSA-N CCC(=O)C1=NN(CC2=CC3=C(C(=O)N2C2=CC=CC=C2C)C(C)=CC=C3)C2=C1C(N)=NC=N2 Chemical compound CCC(=O)C1=NN(CC2=CC3=C(C(=O)N2C2=CC=CC=C2C)C(C)=CC=C3)C2=C1C(N)=NC=N2 MVQKUCQRWWTQBB-UHFFFAOYSA-N 0.000 description 1
- BAYKVNCPHPGUFB-UHFFFAOYSA-N CCC(NC1=NC=NC2=C1N=CN2)C1=CC2=CC=CC(C)=C2C(=O)N1C(C)C Chemical compound CCC(NC1=NC=NC2=C1N=CN2)C1=CC2=CC=CC(C)=C2C(=O)N1C(C)C BAYKVNCPHPGUFB-UHFFFAOYSA-N 0.000 description 1
- YTQXASSUPKUNMF-UHFFFAOYSA-N CCC(NC1=NC=NC2=C1N=CN2)C1=CC2=CC=CC(C)=C2C(=O)N1C1=C(F)C=CC=C1F Chemical compound CCC(NC1=NC=NC2=C1N=CN2)C1=CC2=CC=CC(C)=C2C(=O)N1C1=C(F)C=CC=C1F YTQXASSUPKUNMF-UHFFFAOYSA-N 0.000 description 1
- OSPMBYVOTOOSBW-UHFFFAOYSA-N CCC(NC1=NC=NC2=C1N=CN2)C1=CC2=CC=CC(C)=C2C(=O)N1C1=CC=C(F)C=C1 Chemical compound CCC(NC1=NC=NC2=C1N=CN2)C1=CC2=CC=CC(C)=C2C(=O)N1C1=CC=C(F)C=C1 OSPMBYVOTOOSBW-UHFFFAOYSA-N 0.000 description 1
- SFUBQGSYRFAFQY-UHFFFAOYSA-N CCC(NC1=NC=NC2=C1N=CN2)C1=CC2=CC=CC(C)=C2C(=O)N1C1=CC=CC=C1C Chemical compound CCC(NC1=NC=NC2=C1N=CN2)C1=CC2=CC=CC(C)=C2C(=O)N1C1=CC=CC=C1C SFUBQGSYRFAFQY-UHFFFAOYSA-N 0.000 description 1
- KFMQGNZMAPLSFW-UHFFFAOYSA-N CCC(NC1=NC=NC2=C1N=CN2)C1=CC2=CC=CC(C)=C2C(=O)N1C1CCC1 Chemical compound CCC(NC1=NC=NC2=C1N=CN2)C1=CC2=CC=CC(C)=C2C(=O)N1C1CCC1 KFMQGNZMAPLSFW-UHFFFAOYSA-N 0.000 description 1
- GBEHAXIZDMYNCN-UHFFFAOYSA-N CCC(NC1=NC=NC2=C1N=CN2)C1=CC2=CC=CC(C)=C2C(=O)N1C1CCN(C)CC1 Chemical compound CCC(NC1=NC=NC2=C1N=CN2)C1=CC2=CC=CC(C)=C2C(=O)N1C1CCN(C)CC1 GBEHAXIZDMYNCN-UHFFFAOYSA-N 0.000 description 1
- ZMZRPIQWTSAHJN-UHFFFAOYSA-N CCC(NC1=NC=NC2=C1N=CN2)C1=CC2=CC=CC=C2C(=O)N1C1=CC=CC=C1 Chemical compound CCC(NC1=NC=NC2=C1N=CN2)C1=CC2=CC=CC=C2C(=O)N1C1=CC=CC=C1 ZMZRPIQWTSAHJN-UHFFFAOYSA-N 0.000 description 1
- YGIOVMCFWONYNJ-UHFFFAOYSA-N CCC.CN1C=CC=N1 Chemical compound CCC.CN1C=CC=N1 YGIOVMCFWONYNJ-UHFFFAOYSA-N 0.000 description 1
- XLXBVNWYEGIJHW-UHFFFAOYSA-N CCC1=CC(C(C)(C)C)=NC=C1 Chemical compound CCC1=CC(C(C)(C)C)=NC=C1 XLXBVNWYEGIJHW-UHFFFAOYSA-N 0.000 description 1
- NKRAJTUTWBTQFT-UHFFFAOYSA-N CCC1=CC=CC=C1C(C)(C)C Chemical compound CCC1=CC=CC=C1C(C)(C)C NKRAJTUTWBTQFT-UHFFFAOYSA-N 0.000 description 1
- PCTDSOBOJRUNDT-GOSISDBHSA-N CCC1=CC=CC=C1N1C(=O)C2=C(C)C=CC=C2C=C1CN1N=C(C#C[C@@H](C)O)C2=C1N=CN=C2N Chemical compound CCC1=CC=CC=C1N1C(=O)C2=C(C)C=CC=C2C=C1CN1N=C(C#C[C@@H](C)O)C2=C1N=CN=C2N PCTDSOBOJRUNDT-GOSISDBHSA-N 0.000 description 1
- XMBGXEUSSOESCL-UHFFFAOYSA-N CCC1=CC=CC=C1N1C(=O)C2=C(C)C=CC=C2C=C1CN1N=C(C2=CC(O)=CC(F)=C2)C2=C1N=CN=C2N Chemical compound CCC1=CC=CC=C1N1C(=O)C2=C(C)C=CC=C2C=C1CN1N=C(C2=CC(O)=CC(F)=C2)C2=C1N=CN=C2N XMBGXEUSSOESCL-UHFFFAOYSA-N 0.000 description 1
- FOCBHADBMOWBDG-UHFFFAOYSA-N CCC1=NN(CC2=CC3=C(C(=O)N2C2=C(C)C=CC=C2)C(C)=CC=C3)C2=C1C(N)=NC=N2 Chemical compound CCC1=NN(CC2=CC3=C(C(=O)N2C2=C(C)C=CC=C2)C(C)=CC=C3)C2=C1C(N)=NC=N2 FOCBHADBMOWBDG-UHFFFAOYSA-N 0.000 description 1
- AVZKYEAQRGSTAW-UHFFFAOYSA-N CCC1=NN(CC2=CC3=C(C(=O)N2C2=CC=CC=C2)C(C)=CC=C3)C2=C1C(N)=NC=N2 Chemical compound CCC1=NN(CC2=CC3=C(C(=O)N2C2=CC=CC=C2)C(C)=CC=C3)C2=C1C(N)=NC=N2 AVZKYEAQRGSTAW-UHFFFAOYSA-N 0.000 description 1
- XNZYJDQNZGXTHO-UHFFFAOYSA-N CCCN1CCC(C(C)(C)C)CC1 Chemical compound CCCN1CCC(C(C)(C)C)CC1 XNZYJDQNZGXTHO-UHFFFAOYSA-N 0.000 description 1
- SBSKTMDPGZICLS-UHFFFAOYSA-N CCN(C)C1=NC(C(C)C)=CS1 Chemical compound CCN(C)C1=NC(C(C)C)=CS1 SBSKTMDPGZICLS-UHFFFAOYSA-N 0.000 description 1
- WLLHPZCWJRMGKD-UHFFFAOYSA-N CCN(C)C1=NC=C(C(C)C)N=C1 Chemical compound CCN(C)C1=NC=C(C(C)C)N=C1 WLLHPZCWJRMGKD-UHFFFAOYSA-N 0.000 description 1
- FSOQKOVBENDVKM-UHFFFAOYSA-N CCN(CC)C1=CC=NC(C(C)(C)C)=C1 Chemical compound CCN(CC)C1=CC=NC(C(C)(C)C)=C1 FSOQKOVBENDVKM-UHFFFAOYSA-N 0.000 description 1
- APXHQMBXRGIJOR-UHFFFAOYSA-N CCN(CC)C1=NC(C(C)C)=CN=C1 Chemical compound CCN(CC)C1=NC(C(C)C)=CN=C1 APXHQMBXRGIJOR-UHFFFAOYSA-N 0.000 description 1
- DLOMEMQEDJCVBB-UHFFFAOYSA-N CCN(CC)C1=NC(C(C)C)=CS1 Chemical compound CCN(CC)C1=NC(C(C)C)=CS1 DLOMEMQEDJCVBB-UHFFFAOYSA-N 0.000 description 1
- YGNIYOONNBTHMU-UHFFFAOYSA-N CCN(CC)C1=NC=C(C(C)C)N=C1 Chemical compound CCN(CC)C1=NC=C(C(C)C)N=C1 YGNIYOONNBTHMU-UHFFFAOYSA-N 0.000 description 1
- TWSKQJRCGISATC-UHFFFAOYSA-N CCN(CC1=CC2=CC=CC(C)=C2C(=O)N1C1=CC=CC=C1C)C1=NC=NC2=C1N=CN2 Chemical compound CCN(CC1=CC2=CC=CC(C)=C2C(=O)N1C1=CC=CC=C1C)C1=NC=NC2=C1N=CN2 TWSKQJRCGISATC-UHFFFAOYSA-N 0.000 description 1
- GNXOMEGQZKOXMN-UHFFFAOYSA-N CCN1C(=O)C2=C(C)C=CC=C2C=C1CN1N=C(C2=CC(O)=CC=C2)C2=C1N=CN=C2N Chemical compound CCN1C(=O)C2=C(C)C=CC=C2C=C1CN1N=C(C2=CC(O)=CC=C2)C2=C1N=CN=C2N GNXOMEGQZKOXMN-UHFFFAOYSA-N 0.000 description 1
- NSYSGNDISDECIU-UHFFFAOYSA-N CCN1C(=O)C2=C(C)C=CC=C2C=C1CN1N=C(C2=CC3=C(C=C2)N=C(NC(C)=O)S3)C2=C1N=CN=C2N Chemical compound CCN1C(=O)C2=C(C)C=CC=C2C=C1CN1N=C(C2=CC3=C(C=C2)N=C(NC(C)=O)S3)C2=C1N=CN=C2N NSYSGNDISDECIU-UHFFFAOYSA-N 0.000 description 1
- MOFXFRPVHAAPIS-UHFFFAOYSA-N CCN1C(=O)C2=C(C)C=CC=C2C=C1CN1N=C(I)C2=C1N=CN=C2N Chemical compound CCN1C(=O)C2=C(C)C=CC=C2C=C1CN1N=C(I)C2=C1N=CN=C2N MOFXFRPVHAAPIS-UHFFFAOYSA-N 0.000 description 1
- PSOVDDLEVPAMCH-UHFFFAOYSA-N CCN1CCN(CCC(C)(C)C)CC1 Chemical compound CCN1CCN(CCC(C)(C)C)CC1 PSOVDDLEVPAMCH-UHFFFAOYSA-N 0.000 description 1
- QSPPRYLTQFCUCH-UHFFFAOYSA-N CCS(NC)(=O)=O Chemical compound CCS(NC)(=O)=O QSPPRYLTQFCUCH-UHFFFAOYSA-N 0.000 description 1
- FCWGIFCVCCHGTK-BYPYZUCNSA-N CC[C@H](C)S(N)(=O)=O Chemical compound CC[C@H](C)S(N)(=O)=O FCWGIFCVCCHGTK-BYPYZUCNSA-N 0.000 description 1
- IQQDHAWQMQYIHN-UHFFFAOYSA-N CCc1cc([nH]nc2)c2cc1 Chemical compound CCc1cc([nH]nc2)c2cc1 IQQDHAWQMQYIHN-UHFFFAOYSA-N 0.000 description 1
- WCFDSGHAIGTEKL-UHFFFAOYSA-N CN(C)S(C)(=O)=O Chemical compound CN(C)S(C)(=O)=O WCFDSGHAIGTEKL-UHFFFAOYSA-N 0.000 description 1
- JLVLTMGMNOWYKX-UHFFFAOYSA-N CN1C=C(C(C)(C)C)C=N1 Chemical compound CN1C=C(C(C)(C)C)C=N1 JLVLTMGMNOWYKX-UHFFFAOYSA-N 0.000 description 1
- OAQVMNQONZQCLR-UHFFFAOYSA-N CN1CCC(C(C)(C)C)CC1 Chemical compound CN1CCC(C(C)(C)C)CC1 OAQVMNQONZQCLR-UHFFFAOYSA-N 0.000 description 1
- NXYNSDKFNWBJKA-UHFFFAOYSA-N CN1CCN(CCC(C)(C)C)CC1 Chemical compound CN1CCN(CCC(C)(C)C)CC1 NXYNSDKFNWBJKA-UHFFFAOYSA-N 0.000 description 1
- NZMSOQFNCYMXDU-UHFFFAOYSA-N CN1NC(=O)C=C1C(C)(C)C Chemical compound CN1NC(=O)C=C1C(C)(C)C NZMSOQFNCYMXDU-UHFFFAOYSA-N 0.000 description 1
- ZCOSFRHJMDLMTN-AATRIKPKSA-N CNC(=O)/C=C/C(C)(C)C Chemical compound CNC(=O)/C=C/C(C)(C)C ZCOSFRHJMDLMTN-AATRIKPKSA-N 0.000 description 1
- QMKKJBRRKIKWFK-UHFFFAOYSA-N CNC(=O)C(C)(C)C Chemical compound CNC(=O)C(C)(C)C QMKKJBRRKIKWFK-UHFFFAOYSA-N 0.000 description 1
- OYDYLWFXCPXJQS-UHFFFAOYSA-N CNC(=O)C1=CC=CC(C2=NN(CC3=CC4=CC=CC(C)=C4C(=O)N3C3=CC=CC=C3C)C3=C2C(N)=NC=N3)=C1 Chemical compound CNC(=O)C1=CC=CC(C2=NN(CC3=CC4=CC=CC(C)=C4C(=O)N3C3=CC=CC=C3C)C3=C2C(N)=NC=N3)=C1 OYDYLWFXCPXJQS-UHFFFAOYSA-N 0.000 description 1
- VETMKTBBEUIWIH-FYDUJNOWSA-N CNC(=O)C1=CN=C(N)N=C1N[C@@H](C)C1=CC2=CC=CC(Cl)=C2C(=O)N1C1=CC=CC=C1.C[C@H](NC1=NC(Cl)=NC(N)=C1)C1=CC2=CC=CC(Cl)=C2C(=O)N1C1=CC=CC=C1.C[C@H](NC1=NC(N)=NC=C1C(N)=O)C1=CC2=CC=CC(Cl)=C2C(=O)N1C1=CC=CC=C1.C[C@H](NC1=NC(N)=NC=C1Cl)C1=CC2=CC=CC(Cl)=C2C(=O)N1C1=CC=CC=C1.C[C@H](NC1=NC=C(C(F)(F)F)C(N)=N1)C1=CC2=CC=CC(Cl)=C2C(=O)N1C1=CC=CC=C1 Chemical compound CNC(=O)C1=CN=C(N)N=C1N[C@@H](C)C1=CC2=CC=CC(Cl)=C2C(=O)N1C1=CC=CC=C1.C[C@H](NC1=NC(Cl)=NC(N)=C1)C1=CC2=CC=CC(Cl)=C2C(=O)N1C1=CC=CC=C1.C[C@H](NC1=NC(N)=NC=C1C(N)=O)C1=CC2=CC=CC(Cl)=C2C(=O)N1C1=CC=CC=C1.C[C@H](NC1=NC(N)=NC=C1Cl)C1=CC2=CC=CC(Cl)=C2C(=O)N1C1=CC=CC=C1.C[C@H](NC1=NC=C(C(F)(F)F)C(N)=N1)C1=CC2=CC=CC(Cl)=C2C(=O)N1C1=CC=CC=C1 VETMKTBBEUIWIH-FYDUJNOWSA-N 0.000 description 1
- TYJFJIUSTXGZOZ-CQXBALMQSA-N CNC(=O)C1=CN=C(N)N=C1N[C@@H](C)C1=CC2=CC=CC(Cl)=C2C(=O)N1C1CC1.C[C@H](NC1=NC(Cl)=NC(N)=C1)C1=CC2=CC=CC(Cl)=C2C(=O)N1C1CC1.C[C@H](NC1=NC(N)=NC=C1C#N)C1=CC2=CC=CC(Cl)=C2C(=O)N1C1CC1.C[C@H](NC1=NC(N)=NC=C1C(F)(F)F)C1=CC2=CC=CC(Cl)=C2C(=O)N1C1CC1.C[C@H](NC1=NC(N)=NC=C1C(N)=O)C1=CC2=CC=CC(Cl)=C2C(=O)N1C1CC1 Chemical compound CNC(=O)C1=CN=C(N)N=C1N[C@@H](C)C1=CC2=CC=CC(Cl)=C2C(=O)N1C1CC1.C[C@H](NC1=NC(Cl)=NC(N)=C1)C1=CC2=CC=CC(Cl)=C2C(=O)N1C1CC1.C[C@H](NC1=NC(N)=NC=C1C#N)C1=CC2=CC=CC(Cl)=C2C(=O)N1C1CC1.C[C@H](NC1=NC(N)=NC=C1C(F)(F)F)C1=CC2=CC=CC(Cl)=C2C(=O)N1C1CC1.C[C@H](NC1=NC(N)=NC=C1C(N)=O)C1=CC2=CC=CC(Cl)=C2C(=O)N1C1CC1 TYJFJIUSTXGZOZ-CQXBALMQSA-N 0.000 description 1
- HDNPWPWFACCZRA-UEJZBCBOSA-N CNC(=O)C1=CNC2=C1C(N[C@@H](C)C1=CC3=CC=CC(Cl)=C3C(=O)N1C1=CC=CC=C1)=NC=N2.C[C@H](NC1=NC=NC2=C1C(C#N)=NN2)C1=CC2=CC=CC(Cl)=C2C(=O)N1C1=CC=CC=C1.C[C@H](NC1=NC=NC2=C1C(C(N)=O)=CN2)C1=CC2=CC=CC(Cl)=C2C(=O)N1C1=CC=CC=C1.C[C@H](NC1=NC=NC2=C1C(C(N)=O)=NN2)C1=CC2=CC=CC(Cl)=C2C(=O)N1C1=CC=CC=C1.C[C@H](NC1=NC=NC2=C1C(Cl)=NN2)C1=CC2=CC=CC(Cl)=C2C(=O)N1C1=CC=CC=C1 Chemical compound CNC(=O)C1=CNC2=C1C(N[C@@H](C)C1=CC3=CC=CC(Cl)=C3C(=O)N1C1=CC=CC=C1)=NC=N2.C[C@H](NC1=NC=NC2=C1C(C#N)=NN2)C1=CC2=CC=CC(Cl)=C2C(=O)N1C1=CC=CC=C1.C[C@H](NC1=NC=NC2=C1C(C(N)=O)=CN2)C1=CC2=CC=CC(Cl)=C2C(=O)N1C1=CC=CC=C1.C[C@H](NC1=NC=NC2=C1C(C(N)=O)=NN2)C1=CC2=CC=CC(Cl)=C2C(=O)N1C1=CC=CC=C1.C[C@H](NC1=NC=NC2=C1C(Cl)=NN2)C1=CC2=CC=CC(Cl)=C2C(=O)N1C1=CC=CC=C1 HDNPWPWFACCZRA-UEJZBCBOSA-N 0.000 description 1
- GPQRNLGGBDMPSW-OHLGCLAESA-N CNC(=O)C1=CNC2=C1C(N[C@@H](C)C1=CC3=CC=CC(Cl)=C3C(=O)N1C1CC1)=NC=N2.C[C@H](NC1=NC=NC2=C1C(C#N)=CN2)C1=CC2=CC=CC(Cl)=C2C(=O)N1C1CC1.C[C@H](NC1=NC=NC2=C1C(C(N)=O)=CN2)C1=CC2=CC=CC(Cl)=C2C(=O)N1C1CC1.C[C@H](NC1=NC=NC2=C1C(Cl)=CN2)C1=CC2=CC=CC(Cl)=C2C(=O)N1C1CC1.C[C@H](NC1=NC=NC2=C1C(F)=CN2)C1=CC2=CC=CC(Cl)=C2C(=O)N1C1CC1 Chemical compound CNC(=O)C1=CNC2=C1C(N[C@@H](C)C1=CC3=CC=CC(Cl)=C3C(=O)N1C1CC1)=NC=N2.C[C@H](NC1=NC=NC2=C1C(C#N)=CN2)C1=CC2=CC=CC(Cl)=C2C(=O)N1C1CC1.C[C@H](NC1=NC=NC2=C1C(C(N)=O)=CN2)C1=CC2=CC=CC(Cl)=C2C(=O)N1C1CC1.C[C@H](NC1=NC=NC2=C1C(Cl)=CN2)C1=CC2=CC=CC(Cl)=C2C(=O)N1C1CC1.C[C@H](NC1=NC=NC2=C1C(F)=CN2)C1=CC2=CC=CC(Cl)=C2C(=O)N1C1CC1 GPQRNLGGBDMPSW-OHLGCLAESA-N 0.000 description 1
- FZMMZAFHXGASHA-JJQJACECSA-N CNC(=O)C1=NNC2=C1C(N[C@@H](C)C1=CC3=CC=CC(Cl)=C3C(=O)N1C1=CC=CC=C1)=NC=N2.C[C@H](NC1=NC(N)=NC=C1C#N)C1=CC2=CC=CC(Cl)=C2C(=O)N1C1=CC=CC=C1.C[C@H](NC1=NC(N)=NC=C1C(F)(F)F)C1=CC2=CC=CC(Cl)=C2C(=O)N1C1=CC=CC=C1.C[C@H](NC1=NC(N)=NC=C1F)C1=CC2=CC=CC(Cl)=C2C(=O)N1C1=CC=CC=C1 Chemical compound CNC(=O)C1=NNC2=C1C(N[C@@H](C)C1=CC3=CC=CC(Cl)=C3C(=O)N1C1=CC=CC=C1)=NC=N2.C[C@H](NC1=NC(N)=NC=C1C#N)C1=CC2=CC=CC(Cl)=C2C(=O)N1C1=CC=CC=C1.C[C@H](NC1=NC(N)=NC=C1C(F)(F)F)C1=CC2=CC=CC(Cl)=C2C(=O)N1C1=CC=CC=C1.C[C@H](NC1=NC(N)=NC=C1F)C1=CC2=CC=CC(Cl)=C2C(=O)N1C1=CC=CC=C1 FZMMZAFHXGASHA-JJQJACECSA-N 0.000 description 1
- CQHKWPNNAOBQDQ-XFHYUFAMSA-N CNC(=O)C1=NNC2=C1C(N[C@@H](C)C1=CC3=CC=CC(Cl)=C3C(=O)N1C1CC1)=NC=N2.C[C@H](NC1=NC(N)=NC=C1F)C1=CC2=CC=CC(Cl)=C2C(=O)N1C1CC1.C[C@H](NC1=NC=NC2=C1C(C#N)=NN2)C1=CC2=CC=CC(Cl)=C2C(=O)N1C1CC1.C[C@H](NC1=NC=NC2=C1C(C(N)=O)=NN2)C1=CC2=CC=CC(Cl)=C2C(=O)N1C1CC1.C[C@H](NC1=NC=NC2=C1C(Cl)=NN2)C1=CC2=CC=CC(Cl)=C2C(=O)N1C1CC1 Chemical compound CNC(=O)C1=NNC2=C1C(N[C@@H](C)C1=CC3=CC=CC(Cl)=C3C(=O)N1C1CC1)=NC=N2.C[C@H](NC1=NC(N)=NC=C1F)C1=CC2=CC=CC(Cl)=C2C(=O)N1C1CC1.C[C@H](NC1=NC=NC2=C1C(C#N)=NN2)C1=CC2=CC=CC(Cl)=C2C(=O)N1C1CC1.C[C@H](NC1=NC=NC2=C1C(C(N)=O)=NN2)C1=CC2=CC=CC(Cl)=C2C(=O)N1C1CC1.C[C@H](NC1=NC=NC2=C1C(Cl)=NN2)C1=CC2=CC=CC(Cl)=C2C(=O)N1C1CC1 CQHKWPNNAOBQDQ-XFHYUFAMSA-N 0.000 description 1
- JOSJGABISXUCDV-UHFFFAOYSA-N CNC(=O)NC1=NC2=C(C=C(C(C)(C)C)C=C2)S1 Chemical compound CNC(=O)NC1=NC2=C(C=C(C(C)(C)C)C=C2)S1 JOSJGABISXUCDV-UHFFFAOYSA-N 0.000 description 1
- YMMURXNDAHCPFJ-UHFFFAOYSA-N CNC(=O)NC1=NC2=C(C=C(C3=NN(CC4=CC5=CC=CC(C)=C5C(=O)N4C4=CC=CC=C4C)C4=C3C(N)=NC=N4)C=C2)S1 Chemical compound CNC(=O)NC1=NC2=C(C=C(C3=NN(CC4=CC5=CC=CC(C)=C5C(=O)N4C4=CC=CC=C4C)C4=C3C(N)=NC=N4)C=C2)S1 YMMURXNDAHCPFJ-UHFFFAOYSA-N 0.000 description 1
- RZVJZJZXZPAVJR-RSAXXLAASA-N CNC1=NC(N[C@@H](C)C2=CC3=CC=CC(C)=C3C(=O)N2C2=CC=CC=C2)=C(Cl)C=N1.S Chemical compound CNC1=NC(N[C@@H](C)C2=CC3=CC=CC(C)=C3C(=O)N2C2=CC=CC=C2)=C(Cl)C=N1.S RZVJZJZXZPAVJR-RSAXXLAASA-N 0.000 description 1
- SLZVNMYAQGDTPL-UHFFFAOYSA-N CNS(=O)(=O)C(C)C Chemical compound CNS(=O)(=O)C(C)C SLZVNMYAQGDTPL-UHFFFAOYSA-N 0.000 description 1
- CNMFHDIDIMZHKY-UHFFFAOYSA-N COC(=O)C(C)(C)C Chemical compound COC(=O)C(C)(C)C CNMFHDIDIMZHKY-UHFFFAOYSA-N 0.000 description 1
- MVWUIXBHGWQGQY-UHFFFAOYSA-N COC(=O)C1=CC(C(C)C)=CC=N1 Chemical compound COC(=O)C1=CC(C(C)C)=CC=N1 MVWUIXBHGWQGQY-UHFFFAOYSA-N 0.000 description 1
- IAPDOIWRTJTAJZ-UHFFFAOYSA-N COC(=O)C1=CC=C(C(C)C)N=C1 Chemical compound COC(=O)C1=CC=C(C(C)C)N=C1 IAPDOIWRTJTAJZ-UHFFFAOYSA-N 0.000 description 1
- TZPRYUFMLBAGFK-UHFFFAOYSA-N COC(=O)C1=NC(C(C)C)=CC=C1 Chemical compound COC(=O)C1=NC(C(C)C)=CC=C1 TZPRYUFMLBAGFK-UHFFFAOYSA-N 0.000 description 1
- WMZKSKFCJZZJSL-UHFFFAOYSA-N COC(=O)C1=NN(CC2=CC3=C(C(=O)N2C2=C(C)C=CC=C2)C(C)=CC=C3)C2=C1C(N)=NC=N2 Chemical compound COC(=O)C1=NN(CC2=CC3=C(C(=O)N2C2=C(C)C=CC=C2)C(C)=CC=C3)C2=C1C(N)=NC=N2 WMZKSKFCJZZJSL-UHFFFAOYSA-N 0.000 description 1
- KAYCYCXZPUBOGW-UHFFFAOYSA-N COC1=C(OC)C=C(C2=NN(CC3=CC4=CC=CC(C)=C4C(=O)N3C3=CC=CC=C3C)C3=C2C(N)=NC=N3)C=C1 Chemical compound COC1=C(OC)C=C(C2=NN(CC3=CC4=CC=CC(C)=C4C(=O)N3C3=CC=CC=C3C)C3=C2C(N)=NC=N3)C=C1 KAYCYCXZPUBOGW-UHFFFAOYSA-N 0.000 description 1
- LVARKOGQCOZIFA-UHFFFAOYSA-N COC1=C(OC)C=C(C2=NN(CC3=CC4=CC=CC(C)=C4C(=O)N3C3=CC=CC=C3F)C3=C2C(N)=NC=N3)C=C1 Chemical compound COC1=C(OC)C=C(C2=NN(CC3=CC4=CC=CC(C)=C4C(=O)N3C3=CC=CC=C3F)C3=C2C(N)=NC=N3)C=C1 LVARKOGQCOZIFA-UHFFFAOYSA-N 0.000 description 1
- ODLGHEXXKZDXMP-UHFFFAOYSA-N COC1=CC(C(C)(C)C)=CC(F)=C1 Chemical compound COC1=CC(C(C)(C)C)=CC(F)=C1 ODLGHEXXKZDXMP-UHFFFAOYSA-N 0.000 description 1
- ZCNKXUBCQHNANT-UHFFFAOYSA-N COC1=CC(C(C)(C)C)=CC=C1Cl Chemical compound COC1=CC(C(C)(C)C)=CC=C1Cl ZCNKXUBCQHNANT-UHFFFAOYSA-N 0.000 description 1
- QCWQFNBGKLOKTB-UHFFFAOYSA-N COC1=CC(C2=NN(CC3=CC4=CC=CC(C)=C4C(=O)N3C3=CC=CC=C3F)C3=C2C(N)=NC=N3)=CC=C1Cl Chemical compound COC1=CC(C2=NN(CC3=CC4=CC=CC(C)=C4C(=O)N3C3=CC=CC=C3F)C3=C2C(N)=NC=N3)=CC=C1Cl QCWQFNBGKLOKTB-UHFFFAOYSA-N 0.000 description 1
- FQLIKSAJKYJLGL-UHFFFAOYSA-N COC1=CC(F)=CC(C2=NN(CC3=CC4=CC=CC(C)=C4C(=O)N3C3=CC=CC=C3C)C3=C2C(N)=NC=N3)=C1 Chemical compound COC1=CC(F)=CC(C2=NN(CC3=CC4=CC=CC(C)=C4C(=O)N3C3=CC=CC=C3C)C3=C2C(N)=NC=N3)=C1 FQLIKSAJKYJLGL-UHFFFAOYSA-N 0.000 description 1
- ZNQXIHJPCUGNJF-UHFFFAOYSA-N COC1=CC=C(C(C)(C)C)C(C)=C1 Chemical compound COC1=CC=C(C(C)(C)C)C(C)=C1 ZNQXIHJPCUGNJF-UHFFFAOYSA-N 0.000 description 1
- MCUPBIBNSTXCPQ-UHFFFAOYSA-N COC1=CC=C(C(C)(C)C)C=C1 Chemical compound COC1=CC=C(C(C)(C)C)C=C1 MCUPBIBNSTXCPQ-UHFFFAOYSA-N 0.000 description 1
- FSWSUKGIUZLXKK-UHFFFAOYSA-N COC1=CC=C(C(C)(C)C)C=C1OC Chemical compound COC1=CC=C(C(C)(C)C)C=C1OC FSWSUKGIUZLXKK-UHFFFAOYSA-N 0.000 description 1
- KVHHTTUJVGUOTA-UHFFFAOYSA-N COC1=CC=C(C2=NN(CC3=CC4=CC=CC(C)=C4C(=O)N3C3=CC=CC=C3C)C3=C2C(N)=NC=N3)C=C1 Chemical compound COC1=CC=C(C2=NN(CC3=CC4=CC=CC(C)=C4C(=O)N3C3=CC=CC=C3C)C3=C2C(N)=NC=N3)C=C1 KVHHTTUJVGUOTA-UHFFFAOYSA-N 0.000 description 1
- WGQAPBLHNWQZDE-UHFFFAOYSA-N COC1=CC=CC(C2=NN(CC3=CC4=CC=CC(C)=C4C(=O)N3C3=NC=CC=C3C)C3=C2C(N)=NC=N3)=C1 Chemical compound COC1=CC=CC(C2=NN(CC3=CC4=CC=CC(C)=C4C(=O)N3C3=NC=CC=C3C)C3=C2C(N)=NC=N3)=C1 WGQAPBLHNWQZDE-UHFFFAOYSA-N 0.000 description 1
- YIQUTYFGUKCQCY-UHFFFAOYSA-N COC1=CC=CC=C1C(C)(C)C Chemical compound COC1=CC=CC=C1C(C)(C)C YIQUTYFGUKCQCY-UHFFFAOYSA-N 0.000 description 1
- DUCDYUKLPFHWMS-QGZVFWFLSA-N COC1=CC=CC=C1N1C(=O)C2=C(C)C=CC=C2C=C1CN1N=C(C#C[C@@H](C)O)C2=C1N=CN=C2N Chemical compound COC1=CC=CC=C1N1C(=O)C2=C(C)C=CC=C2C=C1CN1N=C(C#C[C@@H](C)O)C2=C1N=CN=C2N DUCDYUKLPFHWMS-QGZVFWFLSA-N 0.000 description 1
- LIWBWRJYFSMOMK-UHFFFAOYSA-N COC1=CC=CC=C1N1C(=O)C2=C(C)C=CC=C2C=C1CN1N=C(C2=CC(O)=CC(F)=C2)C2=C1N=CN=C2N Chemical compound COC1=CC=CC=C1N1C(=O)C2=C(C)C=CC=C2C=C1CN1N=C(C2=CC(O)=CC(F)=C2)C2=C1N=CN=C2N LIWBWRJYFSMOMK-UHFFFAOYSA-N 0.000 description 1
- DUWVUBDYLJMBQS-UHFFFAOYSA-N COC1=CC=CC=C1N1C(=O)C2=C(C)C=CC=C2C=C1CN1N=C(I)C2=C1N=CN=C2N Chemical compound COC1=CC=CC=C1N1C(=O)C2=C(C)C=CC=C2C=C1CN1N=C(I)C2=C1N=CN=C2N DUWVUBDYLJMBQS-UHFFFAOYSA-N 0.000 description 1
- HQICJWQYENTCBG-UHFFFAOYSA-N COC1=CC=CN=C1N1C(=O)C2=C(C)C=CC=C2C=C1CN1N=C(C2=CC(O)=CC=C2)C2=C1N=CN=C2N Chemical compound COC1=CC=CN=C1N1C(=O)C2=C(C)C=CC=C2C=C1CN1N=C(C2=CC(O)=CC=C2)C2=C1N=CN=C2N HQICJWQYENTCBG-UHFFFAOYSA-N 0.000 description 1
- PPYRIPJLBOJUNH-UHFFFAOYSA-N COC1=NC(C(C)C)=CC=C1 Chemical compound COC1=NC(C(C)C)=CC=C1 PPYRIPJLBOJUNH-UHFFFAOYSA-N 0.000 description 1
- QFGMXPJWRJAIMB-UHFFFAOYSA-N COC1=NC(C(C)C)=CN=C1 Chemical compound COC1=NC(C(C)C)=CN=C1 QFGMXPJWRJAIMB-UHFFFAOYSA-N 0.000 description 1
- GSVQZEKWEURMLP-UHFFFAOYSA-N COC1=NC=C(C(C)C)N=C1 Chemical compound COC1=NC=C(C(C)C)N=C1 GSVQZEKWEURMLP-UHFFFAOYSA-N 0.000 description 1
- VYDGDFMNTBRXEJ-UHFFFAOYSA-N COCC1=NN(CC2=CC3=C(C(=O)N2C2=CC=CC=C2C)C(C)=CC=C3)C2=C1C(N)=NC=N2 Chemical compound COCC1=NN(CC2=CC3=C(C(=O)N2C2=CC=CC=C2C)C(C)=CC=C3)C2=C1C(N)=NC=N2 VYDGDFMNTBRXEJ-UHFFFAOYSA-N 0.000 description 1
- LXJTVAJEVGIAMA-SSDOTTSWSA-N C[C@@H](O)C#CC(C)(C)C Chemical compound C[C@@H](O)C#CC(C)(C)C LXJTVAJEVGIAMA-SSDOTTSWSA-N 0.000 description 1
- SMTJKZVJSIFFAS-QWFSZEKTSA-N C[C@H](NC1=NC(Cl)=NC2=C1N=CN2)C1=CC2=CC=CC(Cl)=C2C(=O)N1C1CC1.C[C@H](NC1=NC(F)=NC2=C1N=CN2)C1=CC2=CC=CC(Cl)=C2C(=O)N1C1CC1.C[C@H](NC1=NC(N)=NC2=C1N=CN2)C1=CC2=CC=CC(Cl)=C2C(=O)N1C1CC1.C[C@H](NC1=NC=NC2=C1C=CN2)C1=CC2=CC=CC(Cl)=C2C(=O)N1C1CC1.C[C@H](NC1=NC=NC2=C1N=C(F)N2)C1=CC2=CC=CC(Cl)=C2C(=O)N1C1CC1 Chemical compound C[C@H](NC1=NC(Cl)=NC2=C1N=CN2)C1=CC2=CC=CC(Cl)=C2C(=O)N1C1CC1.C[C@H](NC1=NC(F)=NC2=C1N=CN2)C1=CC2=CC=CC(Cl)=C2C(=O)N1C1CC1.C[C@H](NC1=NC(N)=NC2=C1N=CN2)C1=CC2=CC=CC(Cl)=C2C(=O)N1C1CC1.C[C@H](NC1=NC=NC2=C1C=CN2)C1=CC2=CC=CC(Cl)=C2C(=O)N1C1CC1.C[C@H](NC1=NC=NC2=C1N=C(F)N2)C1=CC2=CC=CC(Cl)=C2C(=O)N1C1CC1 SMTJKZVJSIFFAS-QWFSZEKTSA-N 0.000 description 1
- BXOPNYQTAUXMTF-YXJDAMFPSA-N C[C@H](NC1=NC(N)=NC2=C1N=CN2)C1=CC2=CC=CC(Cl)=C2C(=O)N1C1=CC=CC=C1.C[C@H](NC1=NC=NC2=C1C(C#N)=CN2)C1=CC2=CC=CC(Cl)=C2C(=O)N1C1=CC=CC=C1.C[C@H](NC1=NC=NC2=C1C(Cl)=CN2)C1=CC2=CC=CC(Cl)=C2C(=O)N1C1=CC=CC=C1.C[C@H](NC1=NC=NC2=C1C(F)=CN2)C1=CC2=CC=CC(Cl)=C2C(=O)N1C1=CC=CC=C1.C[C@H](NC1=NC=NC2=C1C=CN2)C1=CC2=CC=CC(Cl)=C2C(=O)N1C1=CC=CC=C1 Chemical compound C[C@H](NC1=NC(N)=NC2=C1N=CN2)C1=CC2=CC=CC(Cl)=C2C(=O)N1C1=CC=CC=C1.C[C@H](NC1=NC=NC2=C1C(C#N)=CN2)C1=CC2=CC=CC(Cl)=C2C(=O)N1C1=CC=CC=C1.C[C@H](NC1=NC=NC2=C1C(Cl)=CN2)C1=CC2=CC=CC(Cl)=C2C(=O)N1C1=CC=CC=C1.C[C@H](NC1=NC=NC2=C1C(F)=CN2)C1=CC2=CC=CC(Cl)=C2C(=O)N1C1=CC=CC=C1.C[C@H](NC1=NC=NC2=C1C=CN2)C1=CC2=CC=CC(Cl)=C2C(=O)N1C1=CC=CC=C1 BXOPNYQTAUXMTF-YXJDAMFPSA-N 0.000 description 1
- YCXZLUVHPPHKNS-XFNAGHOKSA-N C[C@H](NC1=NC(N)=NC=C1Cl)C1=CC2=CC=CC(Cl)=C2C(=O)N1C1CC1.C[C@H](NC1=NC=C(C(F)(F)F)C(N)=N1)C1=CC2=CC=CC(Cl)=C2C(=O)N1C1CC1 Chemical compound C[C@H](NC1=NC(N)=NC=C1Cl)C1=CC2=CC=CC(Cl)=C2C(=O)N1C1CC1.C[C@H](NC1=NC=C(C(F)(F)F)C(N)=N1)C1=CC2=CC=CC(Cl)=C2C(=O)N1C1CC1 YCXZLUVHPPHKNS-XFNAGHOKSA-N 0.000 description 1
- FYRFQDDTCVZFTB-UHFFFAOYSA-N NC1=NC=NC2=C1C(C1=CC(O)=CC(F)=C1)=NN2CC1=CC2=CC=CC(Cl)=C2C(=O)N1C1CC1 Chemical compound NC1=NC=NC2=C1C(C1=CC(O)=CC(F)=C1)=NN2CC1=CC2=CC=CC(Cl)=C2C(=O)N1C1CC1 FYRFQDDTCVZFTB-UHFFFAOYSA-N 0.000 description 1
- VQOPKHOJWMOZOG-UHFFFAOYSA-N NC1=NC=NC2=C1C(C1=CC(O)=CC(F)=C1)=NN2CC1=CC2=CC=CC(F)=C2C(=O)N1C1=CC=CC=C1F Chemical compound NC1=NC=NC2=C1C(C1=CC(O)=CC(F)=C1)=NN2CC1=CC2=CC=CC(F)=C2C(=O)N1C1=CC=CC=C1F VQOPKHOJWMOZOG-UHFFFAOYSA-N 0.000 description 1
- IHFBFGKMHZJUIQ-UHFFFAOYSA-N NC1=NC=NC2=C1C(C1=CC(O)=CC=C1)=NN2CC1=CC2=CC=CC(Cl)=C2C(=O)N1C1CC1 Chemical compound NC1=NC=NC2=C1C(C1=CC(O)=CC=C1)=NN2CC1=CC2=CC=CC(Cl)=C2C(=O)N1C1CC1 IHFBFGKMHZJUIQ-UHFFFAOYSA-N 0.000 description 1
- OFNGHKFVSVIRLT-UHFFFAOYSA-N NC1=NC=NC2=C1C(C1=CNN=C1)=NN2CC1=CC2=CC=CC(F)=C2C(=O)N1C1=CC=CC=C1F Chemical compound NC1=NC=NC2=C1C(C1=CNN=C1)=NN2CC1=CC2=CC=CC(F)=C2C(=O)N1C1=CC=CC=C1F OFNGHKFVSVIRLT-UHFFFAOYSA-N 0.000 description 1
- KONDPISCYGNXRE-UHFFFAOYSA-N NC1=NC=NC2=C1C(I)=NN2CC1=CC2=CC=CC(Cl)=C2C(=O)N1C1CC1 Chemical compound NC1=NC=NC2=C1C(I)=NN2CC1=CC2=CC=CC(Cl)=C2C(=O)N1C1CC1 KONDPISCYGNXRE-UHFFFAOYSA-N 0.000 description 1
- ONYMPRSMSAYSTL-UHFFFAOYSA-N NC1=NC=NC2=C1C(I)=NN2CC1=CC2=CC=CC(F)=C2C(=O)N1C1=CC=CC=C1F Chemical compound NC1=NC=NC2=C1C(I)=NN2CC1=CC2=CC=CC(F)=C2C(=O)N1C1=CC=CC=C1F ONYMPRSMSAYSTL-UHFFFAOYSA-N 0.000 description 1
- PPFIWLVDYIQPJJ-UHFFFAOYSA-N [3*].[H]C1=C(C[Y]C)N(B)C(=O)c2c(C)c([H])c([H])c([H])c21 Chemical compound [3*].[H]C1=C(C[Y]C)N(B)C(=O)c2c(C)c([H])c([H])c([H])c21 PPFIWLVDYIQPJJ-UHFFFAOYSA-N 0.000 description 1
- WYQISCAPPCJVFA-UHFFFAOYSA-N [H]N1C=NC2=C1N=CN=C2C(C)(C)C Chemical compound [H]N1C=NC2=C1N=CN=C2C(C)(C)C WYQISCAPPCJVFA-UHFFFAOYSA-N 0.000 description 1
- HAKKTZOUPCDMCN-UHFFFAOYSA-N [H]N1CCC(C(C)(C)C)CC1 Chemical compound [H]N1CCC(C(C)(C)C)CC1 HAKKTZOUPCDMCN-UHFFFAOYSA-N 0.000 description 1
- QTBSBXVTEAMEQO-UHFFFAOYSA-N [H]OC(C)=O Chemical compound [H]OC(C)=O QTBSBXVTEAMEQO-UHFFFAOYSA-N 0.000 description 1
Images
Classifications
-
- A—HUMAN NECESSITIES
- A61—MEDICAL OR VETERINARY SCIENCE; HYGIENE
- A61K—PREPARATIONS FOR MEDICAL, DENTAL OR TOILETRY PURPOSES
- A61K31/00—Medicinal preparations containing organic active ingredients
- A61K31/33—Heterocyclic compounds
- A61K31/395—Heterocyclic compounds having nitrogen as a ring hetero atom, e.g. guanethidine or rifamycins
- A61K31/435—Heterocyclic compounds having nitrogen as a ring hetero atom, e.g. guanethidine or rifamycins having six-membered rings with one nitrogen as the only ring hetero atom
- A61K31/47—Quinolines; Isoquinolines
- A61K31/472—Non-condensed isoquinolines, e.g. papaverine
- A61K31/4725—Non-condensed isoquinolines, e.g. papaverine containing further heterocyclic rings
-
- C—CHEMISTRY; METALLURGY
- C07—ORGANIC CHEMISTRY
- C07D—HETEROCYCLIC COMPOUNDS
- C07D473/00—Heterocyclic compounds containing purine ring systems
- C07D473/02—Heterocyclic compounds containing purine ring systems with oxygen, sulphur, or nitrogen atoms directly attached in positions 2 and 6
- C07D473/04—Heterocyclic compounds containing purine ring systems with oxygen, sulphur, or nitrogen atoms directly attached in positions 2 and 6 two oxygen atoms
-
- C—CHEMISTRY; METALLURGY
- C07—ORGANIC CHEMISTRY
- C07D—HETEROCYCLIC COMPOUNDS
- C07D473/00—Heterocyclic compounds containing purine ring systems
- C07D473/26—Heterocyclic compounds containing purine ring systems with an oxygen, sulphur, or nitrogen atom directly attached in position 2 or 6, but not in both
- C07D473/36—Sulfur atom
- C07D473/38—Sulfur atom attached in position 6
-
- A—HUMAN NECESSITIES
- A61—MEDICAL OR VETERINARY SCIENCE; HYGIENE
- A61K—PREPARATIONS FOR MEDICAL, DENTAL OR TOILETRY PURPOSES
- A61K31/00—Medicinal preparations containing organic active ingredients
- A61K31/13—Amines
- A61K31/131—Amines acyclic
-
- A—HUMAN NECESSITIES
- A61—MEDICAL OR VETERINARY SCIENCE; HYGIENE
- A61K—PREPARATIONS FOR MEDICAL, DENTAL OR TOILETRY PURPOSES
- A61K31/00—Medicinal preparations containing organic active ingredients
- A61K31/185—Acids; Anhydrides, halides or salts thereof, e.g. sulfur acids, imidic, hydrazonic or hydroximic acids
- A61K31/19—Carboxylic acids, e.g. valproic acid
- A61K31/195—Carboxylic acids, e.g. valproic acid having an amino group
- A61K31/196—Carboxylic acids, e.g. valproic acid having an amino group the amino group being directly attached to a ring, e.g. anthranilic acid, mefenamic acid, diclofenac, chlorambucil
-
- A—HUMAN NECESSITIES
- A61—MEDICAL OR VETERINARY SCIENCE; HYGIENE
- A61K—PREPARATIONS FOR MEDICAL, DENTAL OR TOILETRY PURPOSES
- A61K31/00—Medicinal preparations containing organic active ingredients
- A61K31/33—Heterocyclic compounds
- A61K31/395—Heterocyclic compounds having nitrogen as a ring hetero atom, e.g. guanethidine or rifamycins
- A61K31/495—Heterocyclic compounds having nitrogen as a ring hetero atom, e.g. guanethidine or rifamycins having six-membered rings with two or more nitrogen atoms as the only ring heteroatoms, e.g. piperazine or tetrazines
- A61K31/4985—Pyrazines or piperazines ortho- or peri-condensed with heterocyclic ring systems
-
- A—HUMAN NECESSITIES
- A61—MEDICAL OR VETERINARY SCIENCE; HYGIENE
- A61K—PREPARATIONS FOR MEDICAL, DENTAL OR TOILETRY PURPOSES
- A61K31/00—Medicinal preparations containing organic active ingredients
- A61K31/33—Heterocyclic compounds
- A61K31/395—Heterocyclic compounds having nitrogen as a ring hetero atom, e.g. guanethidine or rifamycins
- A61K31/495—Heterocyclic compounds having nitrogen as a ring hetero atom, e.g. guanethidine or rifamycins having six-membered rings with two or more nitrogen atoms as the only ring heteroatoms, e.g. piperazine or tetrazines
- A61K31/505—Pyrimidines; Hydrogenated pyrimidines, e.g. trimethoprim
- A61K31/506—Pyrimidines; Hydrogenated pyrimidines, e.g. trimethoprim not condensed and containing further heterocyclic rings
-
- A—HUMAN NECESSITIES
- A61—MEDICAL OR VETERINARY SCIENCE; HYGIENE
- A61K—PREPARATIONS FOR MEDICAL, DENTAL OR TOILETRY PURPOSES
- A61K31/00—Medicinal preparations containing organic active ingredients
- A61K31/33—Heterocyclic compounds
- A61K31/395—Heterocyclic compounds having nitrogen as a ring hetero atom, e.g. guanethidine or rifamycins
- A61K31/495—Heterocyclic compounds having nitrogen as a ring hetero atom, e.g. guanethidine or rifamycins having six-membered rings with two or more nitrogen atoms as the only ring heteroatoms, e.g. piperazine or tetrazines
- A61K31/505—Pyrimidines; Hydrogenated pyrimidines, e.g. trimethoprim
- A61K31/519—Pyrimidines; Hydrogenated pyrimidines, e.g. trimethoprim ortho- or peri-condensed with heterocyclic rings
- A61K31/52—Purines, e.g. adenine
-
- A—HUMAN NECESSITIES
- A61—MEDICAL OR VETERINARY SCIENCE; HYGIENE
- A61K—PREPARATIONS FOR MEDICAL, DENTAL OR TOILETRY PURPOSES
- A61K31/00—Medicinal preparations containing organic active ingredients
- A61K31/33—Heterocyclic compounds
- A61K31/395—Heterocyclic compounds having nitrogen as a ring hetero atom, e.g. guanethidine or rifamycins
- A61K31/535—Heterocyclic compounds having nitrogen as a ring hetero atom, e.g. guanethidine or rifamycins having six-membered rings with at least one nitrogen and one oxygen as the ring hetero atoms, e.g. 1,2-oxazines
- A61K31/5375—1,4-Oxazines, e.g. morpholine
- A61K31/5377—1,4-Oxazines, e.g. morpholine not condensed and containing further heterocyclic rings, e.g. timolol
-
- A—HUMAN NECESSITIES
- A61—MEDICAL OR VETERINARY SCIENCE; HYGIENE
- A61K—PREPARATIONS FOR MEDICAL, DENTAL OR TOILETRY PURPOSES
- A61K39/00—Medicinal preparations containing antigens or antibodies
- A61K39/395—Antibodies; Immunoglobulins; Immune serum, e.g. antilymphocytic serum
- A61K39/39533—Antibodies; Immunoglobulins; Immune serum, e.g. antilymphocytic serum against materials from animals
- A61K39/3955—Antibodies; Immunoglobulins; Immune serum, e.g. antilymphocytic serum against materials from animals against proteinaceous materials, e.g. enzymes, hormones, lymphokines
-
- A—HUMAN NECESSITIES
- A61—MEDICAL OR VETERINARY SCIENCE; HYGIENE
- A61K—PREPARATIONS FOR MEDICAL, DENTAL OR TOILETRY PURPOSES
- A61K39/00—Medicinal preparations containing antigens or antibodies
- A61K39/395—Antibodies; Immunoglobulins; Immune serum, e.g. antilymphocytic serum
- A61K39/39533—Antibodies; Immunoglobulins; Immune serum, e.g. antilymphocytic serum against materials from animals
- A61K39/39558—Antibodies; Immunoglobulins; Immune serum, e.g. antilymphocytic serum against materials from animals against tumor tissues, cells, antigens
-
- A—HUMAN NECESSITIES
- A61—MEDICAL OR VETERINARY SCIENCE; HYGIENE
- A61K—PREPARATIONS FOR MEDICAL, DENTAL OR TOILETRY PURPOSES
- A61K45/00—Medicinal preparations containing active ingredients not provided for in groups A61K31/00 - A61K41/00
- A61K45/06—Mixtures of active ingredients without chemical characterisation, e.g. antiphlogistics and cardiaca
-
- A—HUMAN NECESSITIES
- A61—MEDICAL OR VETERINARY SCIENCE; HYGIENE
- A61N—ELECTROTHERAPY; MAGNETOTHERAPY; RADIATION THERAPY; ULTRASOUND THERAPY
- A61N5/00—Radiation therapy
- A61N5/10—X-ray therapy; Gamma-ray therapy; Particle-irradiation therapy
-
- A—HUMAN NECESSITIES
- A61—MEDICAL OR VETERINARY SCIENCE; HYGIENE
- A61P—SPECIFIC THERAPEUTIC ACTIVITY OF CHEMICAL COMPOUNDS OR MEDICINAL PREPARATIONS
- A61P1/00—Drugs for disorders of the alimentary tract or the digestive system
-
- A—HUMAN NECESSITIES
- A61—MEDICAL OR VETERINARY SCIENCE; HYGIENE
- A61P—SPECIFIC THERAPEUTIC ACTIVITY OF CHEMICAL COMPOUNDS OR MEDICINAL PREPARATIONS
- A61P11/00—Drugs for disorders of the respiratory system
-
- A—HUMAN NECESSITIES
- A61—MEDICAL OR VETERINARY SCIENCE; HYGIENE
- A61P—SPECIFIC THERAPEUTIC ACTIVITY OF CHEMICAL COMPOUNDS OR MEDICINAL PREPARATIONS
- A61P11/00—Drugs for disorders of the respiratory system
- A61P11/06—Antiasthmatics
-
- A—HUMAN NECESSITIES
- A61—MEDICAL OR VETERINARY SCIENCE; HYGIENE
- A61P—SPECIFIC THERAPEUTIC ACTIVITY OF CHEMICAL COMPOUNDS OR MEDICINAL PREPARATIONS
- A61P13/00—Drugs for disorders of the urinary system
-
- A—HUMAN NECESSITIES
- A61—MEDICAL OR VETERINARY SCIENCE; HYGIENE
- A61P—SPECIFIC THERAPEUTIC ACTIVITY OF CHEMICAL COMPOUNDS OR MEDICINAL PREPARATIONS
- A61P17/00—Drugs for dermatological disorders
-
- A—HUMAN NECESSITIES
- A61—MEDICAL OR VETERINARY SCIENCE; HYGIENE
- A61P—SPECIFIC THERAPEUTIC ACTIVITY OF CHEMICAL COMPOUNDS OR MEDICINAL PREPARATIONS
- A61P17/00—Drugs for dermatological disorders
- A61P17/06—Antipsoriatics
-
- A—HUMAN NECESSITIES
- A61—MEDICAL OR VETERINARY SCIENCE; HYGIENE
- A61P—SPECIFIC THERAPEUTIC ACTIVITY OF CHEMICAL COMPOUNDS OR MEDICINAL PREPARATIONS
- A61P19/00—Drugs for skeletal disorders
-
- A—HUMAN NECESSITIES
- A61—MEDICAL OR VETERINARY SCIENCE; HYGIENE
- A61P—SPECIFIC THERAPEUTIC ACTIVITY OF CHEMICAL COMPOUNDS OR MEDICINAL PREPARATIONS
- A61P19/00—Drugs for skeletal disorders
- A61P19/02—Drugs for skeletal disorders for joint disorders, e.g. arthritis, arthrosis
-
- A—HUMAN NECESSITIES
- A61—MEDICAL OR VETERINARY SCIENCE; HYGIENE
- A61P—SPECIFIC THERAPEUTIC ACTIVITY OF CHEMICAL COMPOUNDS OR MEDICINAL PREPARATIONS
- A61P19/00—Drugs for skeletal disorders
- A61P19/08—Drugs for skeletal disorders for bone diseases, e.g. rachitism, Paget's disease
-
- A—HUMAN NECESSITIES
- A61—MEDICAL OR VETERINARY SCIENCE; HYGIENE
- A61P—SPECIFIC THERAPEUTIC ACTIVITY OF CHEMICAL COMPOUNDS OR MEDICINAL PREPARATIONS
- A61P25/00—Drugs for disorders of the nervous system
-
- A—HUMAN NECESSITIES
- A61—MEDICAL OR VETERINARY SCIENCE; HYGIENE
- A61P—SPECIFIC THERAPEUTIC ACTIVITY OF CHEMICAL COMPOUNDS OR MEDICINAL PREPARATIONS
- A61P27/00—Drugs for disorders of the senses
-
- A—HUMAN NECESSITIES
- A61—MEDICAL OR VETERINARY SCIENCE; HYGIENE
- A61P—SPECIFIC THERAPEUTIC ACTIVITY OF CHEMICAL COMPOUNDS OR MEDICINAL PREPARATIONS
- A61P29/00—Non-central analgesic, antipyretic or antiinflammatory agents, e.g. antirheumatic agents; Non-steroidal antiinflammatory drugs [NSAID]
-
- A—HUMAN NECESSITIES
- A61—MEDICAL OR VETERINARY SCIENCE; HYGIENE
- A61P—SPECIFIC THERAPEUTIC ACTIVITY OF CHEMICAL COMPOUNDS OR MEDICINAL PREPARATIONS
- A61P3/00—Drugs for disorders of the metabolism
-
- A—HUMAN NECESSITIES
- A61—MEDICAL OR VETERINARY SCIENCE; HYGIENE
- A61P—SPECIFIC THERAPEUTIC ACTIVITY OF CHEMICAL COMPOUNDS OR MEDICINAL PREPARATIONS
- A61P3/00—Drugs for disorders of the metabolism
- A61P3/08—Drugs for disorders of the metabolism for glucose homeostasis
- A61P3/10—Drugs for disorders of the metabolism for glucose homeostasis for hyperglycaemia, e.g. antidiabetics
-
- A—HUMAN NECESSITIES
- A61—MEDICAL OR VETERINARY SCIENCE; HYGIENE
- A61P—SPECIFIC THERAPEUTIC ACTIVITY OF CHEMICAL COMPOUNDS OR MEDICINAL PREPARATIONS
- A61P35/00—Antineoplastic agents
-
- A—HUMAN NECESSITIES
- A61—MEDICAL OR VETERINARY SCIENCE; HYGIENE
- A61P—SPECIFIC THERAPEUTIC ACTIVITY OF CHEMICAL COMPOUNDS OR MEDICINAL PREPARATIONS
- A61P35/00—Antineoplastic agents
- A61P35/02—Antineoplastic agents specific for leukemia
-
- A—HUMAN NECESSITIES
- A61—MEDICAL OR VETERINARY SCIENCE; HYGIENE
- A61P—SPECIFIC THERAPEUTIC ACTIVITY OF CHEMICAL COMPOUNDS OR MEDICINAL PREPARATIONS
- A61P37/00—Drugs for immunological or allergic disorders
-
- A—HUMAN NECESSITIES
- A61—MEDICAL OR VETERINARY SCIENCE; HYGIENE
- A61P—SPECIFIC THERAPEUTIC ACTIVITY OF CHEMICAL COMPOUNDS OR MEDICINAL PREPARATIONS
- A61P37/00—Drugs for immunological or allergic disorders
- A61P37/02—Immunomodulators
-
- A—HUMAN NECESSITIES
- A61—MEDICAL OR VETERINARY SCIENCE; HYGIENE
- A61P—SPECIFIC THERAPEUTIC ACTIVITY OF CHEMICAL COMPOUNDS OR MEDICINAL PREPARATIONS
- A61P37/00—Drugs for immunological or allergic disorders
- A61P37/02—Immunomodulators
- A61P37/06—Immunosuppressants, e.g. drugs for graft rejection
-
- A—HUMAN NECESSITIES
- A61—MEDICAL OR VETERINARY SCIENCE; HYGIENE
- A61P—SPECIFIC THERAPEUTIC ACTIVITY OF CHEMICAL COMPOUNDS OR MEDICINAL PREPARATIONS
- A61P37/00—Drugs for immunological or allergic disorders
- A61P37/08—Antiallergic agents
-
- A—HUMAN NECESSITIES
- A61—MEDICAL OR VETERINARY SCIENCE; HYGIENE
- A61P—SPECIFIC THERAPEUTIC ACTIVITY OF CHEMICAL COMPOUNDS OR MEDICINAL PREPARATIONS
- A61P43/00—Drugs for specific purposes, not provided for in groups A61P1/00-A61P41/00
-
- A—HUMAN NECESSITIES
- A61—MEDICAL OR VETERINARY SCIENCE; HYGIENE
- A61P—SPECIFIC THERAPEUTIC ACTIVITY OF CHEMICAL COMPOUNDS OR MEDICINAL PREPARATIONS
- A61P5/00—Drugs for disorders of the endocrine system
-
- A—HUMAN NECESSITIES
- A61—MEDICAL OR VETERINARY SCIENCE; HYGIENE
- A61P—SPECIFIC THERAPEUTIC ACTIVITY OF CHEMICAL COMPOUNDS OR MEDICINAL PREPARATIONS
- A61P7/00—Drugs for disorders of the blood or the extracellular fluid
-
- A—HUMAN NECESSITIES
- A61—MEDICAL OR VETERINARY SCIENCE; HYGIENE
- A61P—SPECIFIC THERAPEUTIC ACTIVITY OF CHEMICAL COMPOUNDS OR MEDICINAL PREPARATIONS
- A61P7/00—Drugs for disorders of the blood or the extracellular fluid
- A61P7/02—Antithrombotic agents; Anticoagulants; Platelet aggregation inhibitors
-
- A—HUMAN NECESSITIES
- A61—MEDICAL OR VETERINARY SCIENCE; HYGIENE
- A61P—SPECIFIC THERAPEUTIC ACTIVITY OF CHEMICAL COMPOUNDS OR MEDICINAL PREPARATIONS
- A61P9/00—Drugs for disorders of the cardiovascular system
-
- C—CHEMISTRY; METALLURGY
- C07—ORGANIC CHEMISTRY
- C07D—HETEROCYCLIC COMPOUNDS
- C07D401/00—Heterocyclic compounds containing two or more hetero rings, having nitrogen atoms as the only ring hetero atoms, at least one ring being a six-membered ring with only one nitrogen atom
- C07D401/02—Heterocyclic compounds containing two or more hetero rings, having nitrogen atoms as the only ring hetero atoms, at least one ring being a six-membered ring with only one nitrogen atom containing two hetero rings
- C07D401/06—Heterocyclic compounds containing two or more hetero rings, having nitrogen atoms as the only ring hetero atoms, at least one ring being a six-membered ring with only one nitrogen atom containing two hetero rings linked by a carbon chain containing only aliphatic carbon atoms
-
- C—CHEMISTRY; METALLURGY
- C07—ORGANIC CHEMISTRY
- C07D—HETEROCYCLIC COMPOUNDS
- C07D473/00—Heterocyclic compounds containing purine ring systems
- C07D473/26—Heterocyclic compounds containing purine ring systems with an oxygen, sulphur, or nitrogen atom directly attached in position 2 or 6, but not in both
- C07D473/32—Nitrogen atom
- C07D473/34—Nitrogen atom attached in position 6, e.g. adenine
-
- C—CHEMISTRY; METALLURGY
- C07—ORGANIC CHEMISTRY
- C07D—HETEROCYCLIC COMPOUNDS
- C07D487/00—Heterocyclic compounds containing nitrogen atoms as the only ring hetero atoms in the condensed system, not provided for by groups C07D451/00 - C07D477/00
- C07D487/02—Heterocyclic compounds containing nitrogen atoms as the only ring hetero atoms in the condensed system, not provided for by groups C07D451/00 - C07D477/00 in which the condensed system contains two hetero rings
- C07D487/04—Ortho-condensed systems
-
- A—HUMAN NECESSITIES
- A61—MEDICAL OR VETERINARY SCIENCE; HYGIENE
- A61N—ELECTROTHERAPY; MAGNETOTHERAPY; RADIATION THERAPY; ULTRASOUND THERAPY
- A61N5/00—Radiation therapy
- A61N5/10—X-ray therapy; Gamma-ray therapy; Particle-irradiation therapy
- A61N2005/1085—X-ray therapy; Gamma-ray therapy; Particle-irradiation therapy characterised by the type of particles applied to the patient
- A61N2005/109—Neutrons
-
- A—HUMAN NECESSITIES
- A61—MEDICAL OR VETERINARY SCIENCE; HYGIENE
- A61N—ELECTROTHERAPY; MAGNETOTHERAPY; RADIATION THERAPY; ULTRASOUND THERAPY
- A61N5/00—Radiation therapy
- A61N5/10—X-ray therapy; Gamma-ray therapy; Particle-irradiation therapy
- A61N5/1001—X-ray therapy; Gamma-ray therapy; Particle-irradiation therapy using radiation sources introduced into or applied onto the body; brachytherapy
- A61N5/1007—Arrangements or means for the introduction of sources into the body
-
- Y—GENERAL TAGGING OF NEW TECHNOLOGICAL DEVELOPMENTS; GENERAL TAGGING OF CROSS-SECTIONAL TECHNOLOGIES SPANNING OVER SEVERAL SECTIONS OF THE IPC; TECHNICAL SUBJECTS COVERED BY FORMER USPC CROSS-REFERENCE ART COLLECTIONS [XRACs] AND DIGESTS
- Y02—TECHNOLOGIES OR APPLICATIONS FOR MITIGATION OR ADAPTATION AGAINST CLIMATE CHANGE
- Y02A—TECHNOLOGIES FOR ADAPTATION TO CLIMATE CHANGE
- Y02A50/00—TECHNOLOGIES FOR ADAPTATION TO CLIMATE CHANGE in human health protection, e.g. against extreme weather
- Y02A50/30—Against vector-borne diseases, e.g. mosquito-borne, fly-borne, tick-borne or waterborne diseases whose impact is exacerbated by climate change
-
- Y—GENERAL TAGGING OF NEW TECHNOLOGICAL DEVELOPMENTS; GENERAL TAGGING OF CROSS-SECTIONAL TECHNOLOGIES SPANNING OVER SEVERAL SECTIONS OF THE IPC; TECHNICAL SUBJECTS COVERED BY FORMER USPC CROSS-REFERENCE ART COLLECTIONS [XRACs] AND DIGESTS
- Y02—TECHNOLOGIES OR APPLICATIONS FOR MITIGATION OR ADAPTATION AGAINST CLIMATE CHANGE
- Y02P—CLIMATE CHANGE MITIGATION TECHNOLOGIES IN THE PRODUCTION OR PROCESSING OF GOODS
- Y02P20/00—Technologies relating to chemical industry
- Y02P20/50—Improvements relating to the production of bulk chemicals
- Y02P20/55—Design of synthesis routes, e.g. reducing the use of auxiliary or protecting groups
Definitions
- the activity of cells can be regulated by external signals that stimulate or inhibit intracellular events.
- the process by which stimulatory or inhibitory signals are transmitted into and within a cell to elicit an intracellular response is referred to as signal transduction.
- cascades of signal transduction events have been elucidated and found to play a central role in a variety of biological responses. Defects in various components of signal transduction pathways have been found to account for a vast number of diseases, including numerous forms of cancer, inflammatory disorders, metabolic disorders, vascular and neuronal diseases (Gaestel et al. Current Medicinal Chemistry (2007) 14:2214-2234).
- Kinases represent a class of important signaling molecules
- Kinases can generally be classified into protein kinases and lipid kinases, and certain kinases exhibit dual specificities.
- Protein kinases are enzymes that phosphorylate other proteins and/or themselves (i.e., autophosphorylation).
- Protein kinases can be generally classified into three major groups based upon their substrate utilization: tyrosine kinases which predominantly phosphorylate substrates on tyrosine residues (e.g., erb2, PDGF receptor, EGF receptor, VEGF receptor, src, abl), serine/threonine kinases which predominantly phosphorylate substrates on serine and/or threonine residues (e.g., mTorC1, mTorC2, ATM, ATR, DNA-PK, Akt), and dual-specificity kinases which phosphorylate substrates on tyrosine, serine and/or threonine residues.
- tyrosine kinases which predominantly phosphorylate substrates on tyrosine residues (e.g., erb2, PDGF receptor, EGF receptor, VEGF receptor, src, abl), serine/threonine kinases which predominantly phosphorylate substrates on
- Lipid kinases are enzymes that catalyze the phosphorylation of lipids. These enzymes, and the resulting phosphorylated lipids and lipid-derived biologically active organic molecules, play a role in many different physiological processes, including cell proliferation, migration, adhesion, and differentiation. Certain lipid kinases are membrane associated and they catalyze the phosphorylation of lipids contained in or associated with cell membranes. Examples of such enzymes include phosphoinositide(s) kinases (such as PI3-kinases, PI4-Kinases), diacylglycerol kinases, and sphingosine kinases.
- PI3Ks phosphoinositide 3-kinases
- the phosphoinositide 3-kinases (PI3Ks) signaling pathway is one of the most highly mutated systems in human cancers.
- PI3K signaling is also a key factor in many other diseases in humans
- PI3K signaling is involved in many disease states including allergic contact dermatitis, rheumatoid arthritis, osteoarthritis, inflammatory bowel diseases, chronic obstructive pulmonary disorder, psoriasis, multiple sclerosis, asthma, disorders related to diabetic complications, and inflammatory complications of the cardiovascular system such as acute coronary syndrome.
- PI3Ks are members of a unique and conserved family of intracellular lipid kinases that phosphorylate the 3′-OH group on phosphatidylinositols or phosphoinositides.
- the PI3K family comprises 15 kinases with distinct substrate specificities, expression patterns, and modes of regulation (Katso et al., 2001).
- the class I PI3Ks (p110 ⁇ , p110 ⁇ , p110 ⁇ , and p110 ⁇ ) are typically activated by tyrosine kinases or G-protein coupled receptors to generate PIP3, which engages downstream effectors such as those in the Akt/PDK1 pathway, mTOR, the Tec family kinases, and the Rho family GTPases.
- the class II and III PI3-Ks play a key role in intracellular trafficking through the synthesis of PI(3)P and PI(3,4)P2.
- the PIKKs are protein kinases that control cell growth (mTORC1) or monitor genomic integrity (ATM, ATR, DNA-PK, and hSmg-1).
- the delta ( ⁇ ) isoform of class I PI3K has been implicated, in particular, in a number of diseases and biological processes.
- PI3K ⁇ is expressed primarily in hematopoietic cells including leukocytes such as T-cells, dendritic cells, neutrophils, mast cells, B-cells, and macrophages.
- PI3K ⁇ is integrally involved in mammalian immune system functions such as T-cell function, B-cell activation, mast cell activation, dendritic cell function, and neutrophil activity.
- PI3K ⁇ Due to its integral role in immune system function, PI3K ⁇ is also involved in a number of diseases related to undesirable immune response such as allergic reactions, inflammatory diseases, inflammation mediated angiogenesis, rheumatoid arthritis, auto-immune diseases such as lupus, asthma, emphysema and other respiratory diseases.
- Other class I PI3K involved in immune system function includes PI3K ⁇ , which plays a role in leukocyte signaling and has been implicated in inflammation, rheumatoid arthritis, and autoimmune diseases such as lupus.
- Downstream mediators of the PI3K signal transduction pathway include Akt and mammalian target of rapamycin (mTOR).
- Akt possesses a plckstrin homology (PH) domain that binds PIP3, leading to Akt kinase activation.
- Akt phosphorylates many substrates and is a central downstream effector of PI3K for diverse cellular responses.
- One important function of Akt is to augment the activity of mTOR, through phosphorylation of TSC2 and other mechanisms.
- mTOR is a serine-threonine kinase related to the lipid kinases of the PI3K family. mTOR has been implicated in a wide range of biological processes including cell growth, cell proliferation, cell motility and survival. Disregulation of the mTOR pathway has been reported in various types of cancer.
- mTOR is a multifunctional kinase that integrates growth factor and nutrient signals to regulate protein translation, nutrient uptake, autophagy, and
- kinases particularly PI3Ks are prime targets for drug development.
- PI3K inhibitors suitable for drug development.
- the present invention addresses this need and provides related advantages as well by providing new classes of kinase inhibitors.
- the present invention provides compounds of Formula I below or pharmaceutically acceptable salts thereof, wherein
- W d is heterocycloalkyl, aryl or heteroaryl
- B is alkyl or a moiety of Formula II
- W c is aryl, heteroaryl, heterocycloalkyl, or cycloalkyl, and q is an integer of 0, 1, 2, 3, or 4;
- X is absent or —(CH(R 9 )) z —, and z is an integer of 1;
- Y is absent, or —N(R 9 )—;
- R 1 is hydrogen, alkyl, alkenyl, alkynyl, alkoxy, amido, alkoxycarbonyl, sulfonamido, halo, cyano, or nitro;
- R 2 is alkyl, alkenyl, alkynyl, cycloalkyl, heterocycloalkyl, aryl, heteroaryl, heteroarylalkyl, alkoxy, amino, halo, cyano, hydroxy or nitro;
- R 3 is hydrogen, alkyl, alkenyl, alkynyl, cycloalkyl, heterocycloalkyl, alkoxy, amido, amino, alkoxycarbonyl sulfonamido, halo, cyano, hydroxy or nitro;
- R 5 , R 6 , R 7 , and R 8 are independently hydrogen, alkyl, alkenyl, alkynyl, cycloalkyl, hetercycloalkyl, alkoxy, amido, amino, acyl, acyloxy, sulfonamido, halo, cyano, hydroxy or nitro; and
- each instance of R 9 is independently hydrogen, alkyl, cycloalkyl, or heterocycloalkyl.
- X is absent or is —(CH(R 9 )) z —, and z is independently an integer of 1, 2, 3, or 4; and Y is absent, —O—, —S—, —S( ⁇ O)—, —S( ⁇ O) 2 —, —N(R 9 )—, —C( ⁇ O)—(CHR 9 ) z —, —C( ⁇ O)—, —N(R 9 )(C ⁇ O)—, —N(R 9 )(C ⁇ O)NH—, or —N(R 9 )C(R 9 ) 2 —.
- X is —CH 2 —, —CH(CH 2 CH 3 ), or —CH(CH 3 )—.
- X—Y is —CH 2 —N(CH 3 ), —CH 2 —N(CH 2 CH 3 ), —CH(CH 2 CH 3 )—NH— or —CH(CH 3 )—NH—.
- W d is a pyrazolopyrimidine of Formula III(a), or purine of Formula III(b), Formula III(c) or Formula III(d) below:
- R a ′ if Formula III(d) is hydrogen, halo, phosphate, urea, a carbonate, amino, alkyl, alkenyl, alkynyl, cycloalkyl, heteroalkyl, or heterocycloalkyl;
- R 11 of Formula III(a) is H, alkyl, halo, amino, amido, hydroxy, or alkoxy, and
- R 12 of Formula III(a), Formula III(c) or Formula III(d) is H, alkyl, alkynyl, alkenyl, halo, aryl, heteroaryl, heterocycloalkyl, or cycloalkyl.
- W d is a pyrazolopyrimidine of Formula III(a), wherein R 11 is H, alkyl, halo, amino, amido, hydroxy, or alkoxy, and R 12 is cyano, amino, carboxylic acid, or amido.
- the compound of Formula I has the structure of Formula IV:
- R 11 is H, alkyl, halo, amino, amido, hydroxy, or alkoxy
- R 12 is H, alkyl, alkynyl, alkenyl, halo, aryl, heteroaryl, heterocycloalkyl, or cycloalkyl.
- the compound of Formula I has the structure of Formula IV wherein R 11 is H, alkyl, halo, amino, amido, hydroxy, or alkoxy, and R 12 is cyano, amino, carboxylic acid, or amido.
- R 11 is amino.
- R 12 is alkyl, alkenyl, alkynyl, heteroaryl, aryl, or heterocycloalkyl.
- R 12 is cyano, amino, carboxylic acid, amido, monocyclic heteroaryl, or bicyclic heteroaryl.
- the compound has the structure of Formula V:
- NR 9 is —N(CH 2 CH 3 )CH 2 — or N(CH 3 )CH 2 —.
- the compound has a structure of Formula VI:
- R 3 is —H, —CH 3 , —Cl, or —F, and R 5 , R 6 , R 7 , and R 8 are independently hydrogen.
- B is a moiety of Formula II
- W c is aryl, heteroaryl, heterocycloalkyl, or cycloalkyl, and q is an integer of 0, 1, 2, 3, or 4.
- W c in B is aryl, heteroaryl, heterocycloalkyl, or cycloalkyl, and q is an integer of 0, 1, 2, 3, or 4;
- X is absent or —(CH(R 9 )) z —, and z is an integer of 1;
- Y is absent, or —N(R 9 )—;
- Wd is:
- R 1 is hydrogen, alkyl, alkenyl, alkynyl, alkoxy, amido, alkoxycarbonyl, sulfonamido, halo, cyano, or nitro;
- R 2 is alkyl, alkenyl, alkynyl, cycloalkyl, heterocycloalkyl, aryl, heteroaryl, heteroarylalkyl, alkoxy, amino, halo, cyano, hydroxy or nitro;
- R 3 is hydrogen, alkyl, alkenyl, alkynyl, cycloalkyl, heterocycloalkyl, alkoxy, amido, amino, alkoxycarbonyl sulfonamido, halo, cyano, hydroxy or nitro;
- each instance of R 9 is independently hydrogen, C 1 -C 10 alkyl, cycloalkyl, or hetercyclooalkyl; and R 12 is H, alkyl, alkynyl, alkenyl, halo, aryl, heteroaryl, heterocycloalkyl, or cycloalkyl.
- a compound of Formula I or Formula I-I has the structure of Formula IV-A:
- R 12 is substituted benzoxazole.
- a compound of Formula I or Formula I-I has the structure of Formula V-A:
- a compound of Formula I or Formula I-I has the structure of Formula IV-A or Formula V-A.
- a compound of Formula I or Formula I-I has the structure of Formula V-B:
- a compound of Formula I or Formula I-I has the structure of Formula VI-A:
- a compound of Formula I or Formula I-I is the compound wherein B is a moiety of Formula II;
- W c is aryl, heteroaryl, heterocycloalkyl, or cycloalkyl; q is an integer of 0 or 1; R 1 is hydrogen, alkyl, or halo; R 2 is alkyl or halo; andR 3 is hydrogen, alkyl, or halo.
- R 3 is —H, —CH 3 , —CH 2 CH 3 , —CF 3 , —Cl or —F.
- R 3 is methyl or chloro.
- the compound of Formula I or Formula I-I is predominately in an (S)-stereochemical configuration.
- the compound of Formula I or Formula I-I has a structure of Formula V-A2:
- R 12 is a monocyclic heteroaryl, bicyclic heteroaryl, or heterocycloalkyl.
- B is a moiety of Formula II:
- W c is aryl or cycloalkyl.
- a pharmaceutical composition which comprises a pharmaceutically acceptable excipient and one or more compounds of any formulae provided herein, including but not limited to Formula I, I-I, IV, IV-A, V, V-A, V-A2, V-B, VI, and VI-A.
- the composition is a liquid, solid, semi-solid, gel, or an aerosol form.
- a method of inhibiting a phosphatidyl inositol-3 kinase comprising: contacting the PI3 kinase with an effective amount of one or more compounds disclosed herein.
- the step of contacting involves the use of one or more compounds of any formulae provided herien including but not limited to Formula I, I-I, IV, IV-A, V, V-A, V-A2, V-B, VI, and VI-A.
- the step of contacting comprises contacting a cell that contains said PI3 kinase.
- the inhibition takes place in a subject suffering from a disorder associated with malfunctioning of one or more types of PI3 kinase.
- Some exemplary diseases involving malfunctioning of one or more types of PI3 kinases are selected from the group consisting of autoimmune diseases, rheumatoid arthritis, respiratory disease, allergic reactions, and various types of cancers.
- the compound used in the method has the structure of Formula IV, wherein R 11 is amino and R 12 is substituted phenyl.
- the inhibition takes place in a subject suffering from rheumatoid arthritis or a respiratory disease, and wherein the compound has the structure of Formula IV, and wherein R 11 is amino and R 12 is bicyclic heteroaryl.
- the method comprises administering a second therapeutic agent to the subject.
- the present invention provides a method of treating a disease manifesting an undesired immune response.
- the method comprises the step of administering to a subject in need thereof, one or more compounds disclosed herein including compounds of Formula I, I-I, IV, IV-A, V, V-A, V-B, VI, and/or VI-A, in an amount that is effective in ameliorating said undesired immune response.
- the one or more compounds inhibit T-cell independent B-cell activation as evidenced by a reduction in production of anti-TNP IgG3 by at least about five folds when administered in an amount less than about 30 mg/kg BID dose to a test animal
- the disease treated is associated with swelling or pain of a joint of a subject.
- the method can be effective in ameliorating one or more rheumatoid arthritis symptoms as evidenced by reduction in mean joint diameter by at least about 10% after 17 days and/or reduction in ankle diameter by at least 5-10% or more after several days to weeks of treatment, including for example reduction in ankle diameter by at least 5% after 7 days of treatment.
- the undesired immune response is evidenced by enhanced production of anti-type II collagen antibodies, and the use of one or more subject compounds reduces the serum anti-type II collagen level at an ED50 of less than about 10 mg/kg.
- FIG. 1 depicts an exemplary protocol for measuring T-cell independent production of TNP specific antibodies in vivo.
- FIG. 2 depicts the fold reduction in TNP specific IgG3 response to antigens provided by compounds 7 and 53 of formula IV as compared to a vehicle control, when administered orally.
- FIG. 3 depicts the dose-dependent effect of twice daily oral administration of compound 53 of formula IV in reducing the increase in ankle diameter over time in a collagen-induced developing arthritis model in rats. Also depicted are the results from non-arthritic control rats, arthritic control rats administered with a negative control vehicle, and arthritic control rats treated twice daily with methotrexate.
- FIG. 4 depicts the dose-dependent effect of compounds 7 and 53 of formula IV in improving ankle histopathology when administered in a collagen-induced developing arthritis model in rats. Also depicted are the results from arthritic control rats administered with negative control vehicle or methotrexate.
- FIG. 5 depicts the dose-dependent effect of compounds 7 and 53 of formula IV in improving knee histopathology when administered in a collagen-induced developing arthritis model in rats. Also depicted are the results from arthritic control rats administered with negative control vehicle or positive control methotrexate.
- FIG. 6 depicts the dose-dependent effect of compounds 7 and 53 of formula IV in reducing the level of anti-type II collagen antibodies in vivo when administered to a collagen-induced developing arthritis rat model. Also depicted are the results from arthritic rats administered with negative control vehicle or methotrexate.
- FIG. 7 depicts the dose-dependent effect of compound 7 of formula IV on improving ankle histopathology when administered in collagen-induced developing arthritis model in rats. Also depicted are the results from arthritic vehicle control rats and methotrexate-treated arthritic rats.
- FIG. 8 depicts the dose-dependent effect of compound 53 of formula IV administered daily on ankle histopathology in a collagen-induced established arthritis model in rats. Also depicted are the results from arthritic arthritic vehicle control rats and Enbrel-treated arthritic rats.
- FIG. 9 depicts the dose-dependent effect of compound 53 of formula IV administered twice daily on ankle histopathology in a collagen-induced established arthritis model in rats. Also depicted are the results from arthritic vehicle control rats and Enbrel-treated arthritic rats.
- FIG. 10 depicts the dose-dependent effect of compound 53 of formula IV on the increase in average paw volume in an adjuvant induced arthritis model.
- FIG. 11 depicts the effect of compound 53 of formula IV on the average weight over time of rats in an adjuvant induced arthritis model in rats.
- agent refers to a biological, pharmaceutical, or chemical compound or other moiety.
- Non-limiting examples include simple or complex organic or inorganic molecule, a peptide, a protein, an oligonucleotide, an antibody, an antibody derivative, antibody fragment, a vitamin derivative, a carbohydrate, a toxin, or a chemotherapeutic compound.
- Various compounds can be synthesized, for example, small molecules and oligomers (e.g., oligopeptides and oligonucleotides), and synthetic organic compounds based on various core structures.
- various natural sources can provide compounds for screening, such as plant or animal extracts, and the like. A skilled artisan can readily recognize that there is no limit as to the structural nature of the agents of the present invention.
- agonist refers to a compound having the ability to initiate or enhance a biological function of a target protein, whether by inhibiting the activity or expression of the target protein. Accordingly, the term “agonist” is defined in the context of the biological role of the target polypeptide. While preferred agonists herein specifically interact with (e.g. bind to) the target, compounds that initiate or enhance a biological activity of the target polypeptide by interacting with other members of the signal transduction pathway of which the target polypeptide is a member are also specifically included within this definition.
- antagonists are used interchangeably, and they refer to a compound having the ability to inhibit a biological function of a target protein, whether by inhibiting the activity or expression of the target protein. Accordingly, the terms “antagonist” and “inhibitors” are defined in the context of the biological role of the target protein. While preferred antagonists herein specifically interact with (e.g. bind to) the target, compounds that inhibit a biological activity of the target protein by interacting with other members of the signal transduction pathway of which the target protein is a member are also specifically included within this definition.
- a preferred biological activity inhibited by an antagonist is associated with the development, growth, or spread of a tumor, or an undesired immune response as manifested in autoimmune disease.
- an “anti-cancer agent”, “anti-tumor agent” or “chemotherapeutic agent” refers to any agent useful in the treatment of a neoplastic condition.
- One class of anti-cancer agents comprises chemotherapeutic agents.
- “Chemotherapy” means the administration of one or more chemotherapeutic drugs and/or other agents to a cancer patient by various methods, including intravenous, oral, intramuscular, intraperitoneal, intravesical, subcutaneous, transdermal, buccal, or inhalation or in the form of a suppository.
- cell proliferation refers to a phenomenon by which the cell number has changed as a result of division. This term also encompasses cell growth by which the cell morphology has changed (e.g., increased in size) consistent with a proliferative signal.
- co-administration encompass administration of two or more agents to an animal so that both agents and/or their metabolites are present in the animal at the same time.
- Co-administration includes simultaneous administration in separate compositions, administration at different times in separate compositions, or administration in a composition in which both agents are present.
- the term “effective amount” or “therapeutically effective amount” refers to that amount of a compound described herein that is sufficient to effect the intended application including but not limited to disease treatment, as defined below.
- the therapeutically effective amount may vary depending upon the intended application (in vitro or in vivo), or the subject and disease condition being treated, e.g., the weight and age of the subject, the severity of the disease condition, the manner of administration and the like, which can readily be determined by one of ordinary skill in the art.
- the term also applies to a dose that will induce a particular response in target cells, e.g. reduction of platelet adhesion and/or cell migration.
- the specific dose will vary depending on the particular compounds chosen, the dosing regimen to be followed, whether it is administered in combination with other compounds, timing of administration, the tissue to which it is administered, and the physical delivery system in which it is carried.
- treatment or “treating,” or “palliating” or “ameliorating” is used interchangeably herein. These terms refer to an approach for obtaining beneficial or desired results including but not limited to therapeutic benefit and/or a prophylactic benefit.
- therapeutic benefit is meant eradication or amelioration of the underlying disorder being treated.
- a therapeutic benefit is achieved with the eradication or amelioration of one or more of the physiological symptoms associated with the underlying disorder such that an improvement is observed in the patient, notwithstanding that the patient may still be afflicted with the underlying disorder.
- the compositions may be administered to a patient at risk of developing a particular disease, or to a patient reporting one or more of the physiological symptoms of a disease, even though a diagnosis of this disease may not have been made.
- a prophylactic effect includes delaying or eliminating the appearance of a disease or condition, delaying or eliminating the onset of symptoms of a disease or condition, slowing, halting, or reversing the progression of a disease or condition, or any combination thereof.
- pharmaceutically acceptable salt refers to salts derived from a variety of organic and inorganic counter ions well known in the art.
- Pharmaceutically acceptable acid addition salts can be formed with inorganic acids and organic acids.
- Inorganic acids from which salts can be derived include, for example, hydrochloric acid, hydrobromic acid, sulfuric acid, nitric acid, phosphoric acid, and the like.
- Organic acids from which salts can be derived include, for example, acetic acid, propionic acid, glycolic acid, pyruvic acid, oxalic acid, maleic acid, malonic acid, succinic acid, fumaric acid, tartaric acid, citric acid, benzoic acid, cinnamic acid, mandelic acid, methanesulfonic acid, ethanesulfonic acid, p-toluenesulfonic acid, salicylic acid, and the like.
- Pharmaceutically acceptable base addition salts can be formed with inorganic and organic bases.
- Inorganic bases from which salts can be derived include, for example, sodium, potassium, lithium, ammonium, calcium, magnesium, iron, zinc, copper, manganese, aluminum, and the like.
- Organic bases from which salts can be derived include, for example, primary, secondary, and tertiary amines, substituted amines including naturally occurring substituted amines, cyclic amines, basic ion exchange resins, and the like, specifically such as isopropylamine, trimethylamine, diethylamine, triethylamine, tripropylamine, and ethanolamine.
- the pharmaceutically acceptable base addition salt is chosen from ammonium, potassium, sodium, calcium, and magnesium salts.
- “Pharmaceutically acceptable carrier” or “pharmaceutically acceptable excipient” includes any and all solvents, dispersion media, coatings, antibacterial and antifungal agents, isotonic and absorption delaying agents and the like. The use of such media and agents for pharmaceutically active substances is well known in the art. Except insofar as any conventional media or agent is incompatible with the active ingredient, its use in the therapeutic compositions of the invention is contemplated. Supplementary active ingredients can also be incorporated into the compositions.
- Signal transduction is a process during which stimulatory or inhibitory signals are transmitted into and within a cell to elicit an intracellular response.
- a modulator of a signal transduction pathway refers to a compound which modulates the activity of one or more cellular proteins mapped to the same specific signal transduction pathway.
- a modulator may augment (agonist) or suppress (antagonist) the activity of a signaling molecule.
- selective inhibition or “selectively inhibit” as applied to a biologically active agent refers to the agent's ability to selectively reduce the target signaling activity as compared to off-target signaling activity, via direct or interact interaction with the target.
- B-ALL refers to B-cell Acute Lymphoblastic Leukemia.
- Subject refers to an animal, such as a mammal, for example a human The methods described herein can be useful in both human therapeutics and veterinary applications.
- the patient is a mammal, and in some embodiments, the patient is human
- Radionucleotides e.g., actinium and thorium radionuclides
- LET low linear energy transfer
- beta emitters conversion electron emitters
- high-energy radiation including without limitation x-rays, gamma rays, and neutrons.
- Prodrug is meant to indicate a compound that may be converted under physiological conditions or by solvolysis to a biologically active compound described herein.
- prodrug refers to a precursor of a biologically active compound that is pharmaceutically acceptable.
- a prodrug may be inactive when administered to a subject, but is converted in vivo to an active compound, for example, by hydrolysis.
- the prodrug compound often offers advantages of solubility, tissue compatibility or delayed release in a mammalian organism (see, e.g., Bundgard, H., Design of Prodrugs (1985), pp. 7-9, 21-24 (Elsevier, Amsterdam).
- prodrugs are also meant to include any covalently bonded carriers, which release the active compound in vivo when such prodrug is administered to a mammalian subject.
- Prodrugs of an active compound, as described herein may be prepared by modifying functional groups present in the active compound in such a way that the modifications are cleaved, either in routine manipulation or in vivo, to the parent active compound.
- Prodrugs include compounds wherein a hydroxy, amino or mercapto group is bonded to any group that, when the prodrug of the active compound is administered to a mammalian subject, cleaves to form a free hydroxy, free amino or free mercapto group, respectively.
- Examples of prodrugs include, but are not limited to, acetate, formate and benzoate derivatives of an alcohol or acetamide, formamide and benzamide derivatives of an amine functional group in the active compound and the like.
- in vivo refers to an event that takes place in a subject's body.
- in vitro refers to an event that takes places outside of a subject's body.
- an in vitro assay encompasses any assay run outside of a subject assay.
- in vitro assays encompass cell-based assays in which cells alive or dead are employed.
- In vitro assays also encompass a cell-free assay in which no intact cells are employed.
- structures depicted herein are also meant to include compounds which differ only in the presence of one or more isotopically enriched atoms.
- compounds having the present structures wherein hydrogen is replaced by deuterium or tritium, or wherein carbon atom is replaced by 13 C- or 14 C-enriched carbon are within the scope of this invention.
- the compounds of the present invention may also contain unnatural proportions of atomic isotopes at one or more of atoms that constitute such compounds.
- the compounds may be radiolabeled with radioactive isotopes, such as for example tritium ( 3 H), iodine-125 ( 125 I) or carbon-14 ( 14 C). All isotopic variations of the compounds of the present invention, whether radioactive or not, are encompassed within the scope of the present invention.
- PI3-K Phosphoinositide 3-kinase
- PI phosphatidylinositol
- PDK Phosphoinositide Dependent Kinase
- DNA-PK Deoxyribose Nucleic Acid Dependent Protein Kinase
- PTEN Phosphatase and Tensin homolog deleted on chromosome Ten
- PIKK Phosphoinositide Kinase Like Kinase
- AIDS Acquired Immuno Deficiency Syndrome
- HIV Human Immunodeficiency Virus
- MeI Methyl Iodide
- POCl 3 Phosphorous Oxychloride
- KCNS Potassium IsoThiocyanate
- TLC Thin Layer Chromatography
- MeOH Methanol
- CHCl 3 Chloroform.
- Alkyl refers to a straight or branched hydrocarbon chain radical consisting solely of carbon and hydrogen atoms, containing no unsaturation, having from one to ten carbon atoms (e.g., C 1 -C 10 alkyl). Whenever it appears herein, a numerical range such as “1 to 10” refers to each integer in the given range; e.g., “1 to 10 carbon atoms” means that the alkyl group may consist of 1 carbon atom, 2 carbon atoms, 3 carbon atoms, etc., up to and including 10 carbon atoms, although the present definition also covers the occurrence of the term “alkyl” where no numerical range is designated. In some embodiments, it is a C 1 -C 4 alkyl group.
- Typical alkyl groups include, but are in no way limited to, methyl, ethyl, propyl, isopropyl, n-butyl, iso-butyl, sec-butyl isobutyl, tertiary butyl, pentyl, isopentyl, neopentyl, hexyl, septyl, octyl, nonyl, decyl, and the like.
- the alkyl is attached to the rest of the molecule by a single bond, for example, methyl (Me), ethyl (Et), n-propyl, 1-methylethyl (iso-propyl), n-butyl, n-pentyl, 1,1-dimethylethyl (t-butyl), 3-methylhexyl, 2-methylhexyl, and the like.
- an alkyl group is optionally substituted by one or more of substituents which independently are: alkyl, heteroalkyl, alkenyl, alkynyl, cycloalkyl, heterocycloalkyl, aryl, arylalkyl, heteroaryl, heteroarylalkyl, hydroxy, halo, cyano, trifluoromethyl, trifluoromethoxy, nitro, trimethylsilanyl, —OR a , —SR a , —OC(O)—R a , —N(R a ) 2 , —C(O)R a , —C(O)OR a , —OC(O)N(R a ) 2 , —C(O)N(R a ) 2 , —N(R a )C(O)OR a , —N(R a )C(O)OR a , —N(R a )C(O)R
- Alkylaryl refers to an -(alkyl)aryl radical where aryl and alkyl are as disclosed herein and which are optionally substituted by one or more of the subsituents described as suitable substituents for aryl and alkyl respectively.
- Alkylhetaryl refers to an -(alkyl)hetaryl radical where hetaryl and alkyl are as disclosed herein and which are optionally substituted by one or more of the subsituents described as suitable substituents for aryl and alkyl respectively.
- Alkylheterocycloalkyl refers to an -(alkyl) heterocycyl radical where alkyl and heterocycloalkyl are as disclosed herein and which are optionally substituted by one or more of the subsituents described as suitable substituents for heterocycloalkyl and alkyl respectively.
- alkene refers to a group consisting of at least two carbon atoms and at least one carbon-carbon double bond
- an “alkyne” moiety refers to a group consisting of at least two carbon atoms and at least one carbon-carbon triple bond.
- the alkyl moiety, whether saturated or unsaturated, may be branched, straight chain, or cyclic.
- Alkenyl refers to a straight or branched hydrocarbon chain radical group consisting solely of carbon and hydrogen atoms, containing at least one double bond, and having from two to ten carbon atoms (ie. C 2 -C 10 alkenyl). Whenever it appears herein, a numerical range such as “2 to 10” refers to each integer in the given range; e.g., “2 to 10 carbon atoms” means that the alkenyl group may consist of 2 carbon atoms, 3 carbon atoms, etc., up to and including 10 carbon atoms. In certain embodiments, an alkenyl comprises two to eight carbon atoms.
- an alkenyl comprises two to five carbon atoms (e.g., C 2 -C 5 alkenyl).
- the alkenyl is attached to the rest of the molecule by a single bond, for example, ethenyl (i.e., vinyl), prop-1-enyl (i.e., allyl), but-1-enyl, pent-1-enyl, penta-1,4-dienyl, and the like.
- an alkenyl group is optionally substituted by one or more substituents which independently are: alkyl, heteroalkyl, alkenyl, alkynyl, cycloalkyl, heterocycloalkyl, aryl, arylalkyl, heteroaryl, heteroarylalkyl, hydroxy, halo, cyano, trifluoromethyl, trifluoromethoxy, nitro, trimethylsilanyl, —OR a , —SR a , —OC(O)—R a , —N(R a ) 2 , —C(O)R a , —C(O)OR a , —OC(O)N(R a ) 2 , —C(O)N(R a ) 2 , —N(R a )C(O)OR a , —N(R a )C(O)OR a , —N(R a )C(O)R
- Alkenyl-cycloalkyl refers to an -(alkenyl)cycloalkyl radical where alkenyl and cyclo alkyl are as disclosed herein and which are optionally substituted by one or more of the subsituents described as suitable substituents for alkenyl and cycloalkyl respectively.
- Alkynyl refers to a straight or branched hydrocarbon chain radical group consisting solely of carbon and hydrogen atoms, containing at least one triple bond, having from two to ten carbon atoms (ie. C 2 -C 10 alkynyl). Whenever it appears herein, a numerical range such as “2 to 10” refers to each integer in the given range; e.g., “2 to 10 carbon atoms” means that the alkynyl group may consist of 2 carbon atoms, 3 carbon atoms, etc., up to and including 10 carbon atoms. In certain embodiments, an alkynyl comprises two to eight carbon atoms.
- an alkynyl has two to five carbon atoms (e.g., C 2 -C 5 alkynyl).
- the alkynyl is attached to the rest of the molecule by a single bond, for example, ethynyl, propynyl, butynyl, pentynyl, hexynyl, and the like.
- an alkynyl group is optionally substituted by one or more substituents which independently are: alkyl, heteroalkyl, alkenyl, alkynyl, cycloalkyl, heterocycloalkyl, aryl, arylalkyl, heteroaryl, heteroarylalkyl, hydroxy, halo, cyano, trifluoromethyl, trifluoromethoxy, nitro, trimethylsilanyl, —OR a , —SR a , —OC(O)-R a , —N(R a ) 2 , —C(O)R a , —C(O)OR a , —OC(O)N(R a ) 2 , —C(O)N(R a ) 2 , —N(R a )C(O)OR a , —N(R a )C(O)OR a , —N(R a )C(O)
- Alkynyl-cycloalkyl refers to an -(alkynyl)cycloalkyl radical where alkynyl and cyclo alkyl are as disclosed herein and which are optionally substituted by one or more of the subsituents described as suitable substituents for alkynyl and cycloalkyl respectively.
- Carboxaldehyde refers to a —(C ⁇ O)H radical.
- Carboxyl refers to a —(C ⁇ O)OH radical.
- Cyano refers to a —CN radical.
- Cycloalkyl refers to a monocyclic or polycyclic radical that contains only carbon and hydrogen, and may be saturated, or partially unsaturated. Cycloalkyl groups include groups having from 3 to 10 ring atoms (ie. C 2 -C 10 cycloalkyl). Whenever it appears herein, a numerical range such as “3 to 10” refers to each integer in the given range; e.g., “3 to 10 carbon atoms” means that the cycloalkyl group may consist of 3 carbon atoms, etc., up to and including 10 carbon atoms. In some embodiments, it is a C 3 -C 8 cycloalkyl radical.
- cycloalkyl groups include, but are not limited to the following moieties: cyclopropyl, cyclobutyl, cyclopentyl, cyclopentenyl, cyclohexyl,cyclohexenyl, cycloseptyl, cyclooctyl, cyclononyl, cyclodecyl, norbornyl, and the like.
- a cycloalkyl group is optionally substituted by one or more substituents which independently are: alkyl, heteroalkyl, alkenyl, alkynyl, cycloalkyl, heterocycloalkyl, aryl, arylalkyl, heteroaryl, heteroarylalkyl, hydroxy, halo, cyano, trifluoromethyl, trifluoromethoxy, nitro, trimethylsilanyl, —OR a , —SR a , —OC(O)-R a , —N(R a ) 2 , —C(O)R a , —C(O)OR a , —OC(O)N(R a ) 2 , —C(O)N(R a ) 2 , —N(R a )C(O)OR a , —N(R a )C(O)OR a , —N(R a )C(
- Cycloalkyl-alkenyl refers to a -(cycloalkyl) alkenyl radical where cycloalkyl and heterocycloalkyl are as disclosed herein and which are optionally substituted by one or more of the subsituents described as suitable substituents for heterocycloalkyl and cycloalkyl respectively.
- Cycloalkyl-heterocycloalkyl refers to a -(cycloalkyl) heterocycyl radical where cycloalkyl and heterocycloalkyl are as disclosed herein and which are optionally substituted by one or more of the subsituents described as suitable substituents for heterocycloalkyl and cycloalkyl respectively.
- Cycloalkyl-heteroaryl refers to a -(cycloalkyl) heteroaryl radical where cycloalkyl and heterocycloalkyl are as disclosed herein and which are optionally substituted by one or more of the subsituents described as suitable substituents for heterocycloalkyl and cycloalkyl respectively.
- alkoxy refers to the group —O—alkyl, including from 1 to 8 carbon atoms of a straight, branched, cyclic configuration and combinations thereof attached to the parent structure through an oxygen. Examples include methoxy, ethoxy, propoxy, isopropoxy, cyclopropyloxy, cyclohexyloxy and the like. “Lower alkoxy” refers to alkoxy groups containing one to six carbons. In some embodiments, C 1 -C 4 alkyl, is an alkyl group which encompasses both straight and branched chain alkyls of from 1 to 4 carbon atoms.
- substituted alkoxy refers to alkoxy wherein the alkyl constituent is substituted (i.e., —O—(substituted alkyl)).
- the alkyl moiety of an alkoxy group is optionally substituted by one or more substituents which independently are: alkyl, heteroalkyl, alkenyl, alkynyl, cycloalkyl, heterocycloalkyl, aryl, arylalkyl, heteroaryl, heteroarylalkyl, hydroxy, halo, cyano, trifluoromethyl, trifluoromethoxy, nitro, trimethylsilanyl, —OR a , SR a , —OC(O)—R a , —N(R a ) 2 , —C(O)R a , —C(O)OR a , —OC(O)N(R a ) 2 , —C(O) 2 , —C(O)OR
- alkoxycarbonyl refers to a group of the formula (alkoxy)(C ⁇ O)— attached through the carbonyl carbon wherein the alkoxy group has the indicated number of carbon atoms.
- a C 1 -C 6 alkoxycarbonyl group is an alkoxy group having from 1 to 6 carbon atoms attached through its oxygen to a carbonyl linker.
- Lower alkoxycarbonyl refers to an alkoxycarbonyl group wherein the alkoxy group is a lower alkoxy group.
- C 1 -C 4 alkoxy is an alkoxy group which encompasses both straight and branched chain alkoxy groups of from 1 to 4 carbon atoms.
- substituted alkoxycarbonyl refers to the group (substituted alkyl)—O—C(O)— wherein the group is attached to the parent structure through the carbonyl functionality.
- the alkyl moiety of an alkoxycarbonyl group is optionally substituted by one or more substituents which independently are: alkyl, heteroalkyl, alkenyl, alkynyl, cycloalkyl, heterocycloalkyl, aryl, arylalkyl, heteroaryl, heteroarylalkyl, hydroxy, halo, cyano, trifluoromethyl, trifluoromethoxy, nitro, trimethylsilanyl, —OR a , SR a , —OC(O)—R a , —N(R a ) 2 , —C(O)R a , —C(O)OR a , —OC(O)N(R a
- “Acyl” refers to the groups (alkyl)—C(O)—, (aryl)—C(O)—, (heteroaryl)—C(O)—, (heteroalkyl)—C(O)—, and (heterocycloalkyl)—C(O)—, wherein the group is attached to the parent structure through the carbonyl functionality.
- it is a C 1 -C 10 acyl radical which refers to the total number of chain or ring atoms of the alkyl, aryl, heteroaryl or heterocycloalkyl portion of the acyloxy group plus the carbonyl carbon of acyl, i.e three other ring or chain atoms plus carbonyl.
- R radical is heteroaryl or heterocycloalkyl
- the hetero ring or chain atoms contribute to the total number of chain or ring atoms.
- the “R” of an acyloxy group is optionally substituted by one or more substituents which independently are: alkyl, heteroalkyl, alkenyl, alkynyl, cycloalkyl, heterocycloalkyl, aryl, arylalkyl, heteroaryl, heteroarylalkyl, hydroxy, halo, cyano, trifluoromethyl, trifluoromethoxy, nitro, trimethylsilanyl, —OR a , SR a , —OC(O)—R a , —N(R a ) 2 , —C(O)R a , —C(O)OR a , —OC(O)N(R a ) 2 , —C(O)N(R a ) 2 , —C(O)
- “Acyloxy” refers to a R(C ⁇ O)O— radical wherein “R” is alkyl, aryl, heteroaryl, heteroalkyl, or heterocycloalkyl, which are as described herein. In some embodiments, it is a C 1 -C 4 acyloxy radical which refers to the total number of chain or ring atoms of the alkyl, aryl, heteroaryl or heterocycloalkyl portion of the acyloxy group plus the carbonyl carbon of acyl, i.e three other ring or chain atoms plus carbonyl. If the R radical is heteroaryl or heterocycloalkyl, the hetero ring or chain atoms contribute to the total number of chain or ring atoms.
- R of an acyloxy group is optionally substituted by one or more substituents which independently are: alkyl, heteroalkyl, alkenyl, alkynyl, cycloalkyl, heterocycloalkyl, aryl, arylalkyl, heteroaryl, heteroarylalkyl, hydroxy, halo, cyano, trifluoromethyl, trifluoromethoxy, nitro, trimethylsilanyl, —OR a , —SR a , —OC(O)—R a , —N(R a ) 2 , —C(O)R a , —C(O)OR a , —OC(O)N(R a ) 2 , —C(O)N(R a ) 2 , —N(R a )C(O)OR a , —N(R a )C(O)R a , —N(R a )C(O
- Amino or “amine” refers to a —N(R a ) 2 radical group, where each R a is independently hydrogen, alkyl, fluoroalkyl, carbocyclyl, carbocyclylalkyl, aryl, aralkyl, heterocycloalkyl, heterocycloalkylalkyl, heteroaryl or heteroarylalkyl, unless stated otherwise specifically in the specification.
- R a is independently hydrogen, alkyl, fluoroalkyl, carbocyclyl, carbocyclylalkyl, aryl, aralkyl, heterocycloalkyl, heterocycloalkylalkyl, heteroaryl or heteroarylalkyl, unless stated otherwise specifically in the specification.
- a —N(R a ) 2 group has two Ra other than hydrogen they can be combined with the nitrogen atom to form a 4-, 5-, 6-, or 7-membered ring.
- —N(R a ) 2 is meant to include, but not be limited to, 1-pyrrolidinyl and 4-morpholinyl.
- an amino group is optionally substituted by one or more substituents which independently are: alkyl, heteroalkyl, alkenyl, alkynyl, cycloalkyl, heterocycloalkyl, aryl, arylalkyl, heteroaryl, heteroarylalkyl, hydroxy, halo, cyano, trifluoromethyl, trifluoromethoxy, nitro, trimethylsilanyl, —OR a , —SR a , —OC(O)—R a , —N(R a ) 2 , —C(O)R a , —C(O)OR a , —OC(O)N(R a ) 2 , —C(O)N(R a ) 2 , —N(R a ) 2 , —N(
- substituted amino also refers to N-oxides of the groups —NHR d , and NR d R d each as described above.
- N-oxides can be prepared by treatment of the corresponding amino group with, for example, hydrogen peroxide or m-chloroperoxybenzoic acid. The person skilled in the art is familiar with reaction conditions for carrying out the N-oxidation.
- “Amide” or “amido” refers to a chemical moiety with formula —C(O)N(R) 2 or —NHC(O)R, where R is selected from the group consisting of hydrogen, alkyl, cycloalkyl, aryl, heteroaryl (bonded through a ring carbon) and heteroalicyclic (bonded through a ring carbon), each of which moiety may itself be optionally substituted. In some embodiments it is a C 1 -C 4 amido or amide radical, which includes the amide carbonyl in the total number of carbons in the radical.
- the R 2 of —N(R) 2 of the amide may optionally be taken together with the nitrogen to which it is attached to form a 4-, 5-, 6-, or 7-membered ring.
- an amido group is optionally substituted independently by one or more of the substituents as described herein for alkyl, cycloalkyl, aryl, heteroaryl, or heterocycloalkyl.
- An amide may be an amino acid or a peptide molecule attached to a compound of Formula (I), thereby forming a prodrug. Any amine, hydroxy, or carboxyl side chain on the compounds described herein can be amidified.
- “Aromatic” or “aryl” refers to an aromatic radical with six to ten ring atoms (e.g., C 6 -C 10 aromatic or C 6 -C 10 aryl) which has at least one ring having a conjugated pi electron system which is carbocyclic (e.g., phenyl, fluorenyl, and naphthyl).
- Bivalent radicals formed from substituted benzene derivatives and having the free valences at ring atoms are named as substituted phenylene radicals.
- Bivalent radicals derived from univalent polycyclic hydrocarbon radicals whose names end in “-yl” by removal of one hydrogen atom from the carbon atom with the free valence are named by adding “-idene” to the name of the corresponding univalent radical, e.g., a naphthyl group with two points of attachment is termed naphthylidene.
- a numerical range such as “6 to 10” refers to each integer in the given range; e.g., “6 to 10 ring atoms” means that the aryl group may consist of 6 ring atoms, 7 ring atoms, etc., up to and including 10 ring atoms.
- an aryl moiety is optionally substituted by one or more substituents which are independently: alkyl, heteroalkyl, alkenyl, alkynyl, cycloalkyl, heterocycloalkyl, aryl, arylalkyl, heteroaryl, heteroarylalkyl, hydroxy, halo, cyano, trifluoromethyl, trifluoromethoxy, nitro, trimethylsilanyl, —OR a , —SR a , —OC(O)—R a , —N(R a ) 2 , —C(O)R a , —C(O)OR a , —OC(O)N(R a ) 2 , —C(O)N(R a ) 2 , —N(R a )
- Alkyl or “arylalkyl” refers to an (aryl)alkyl—radical where aryl and alkyl are as disclosed herein and which are optionally substituted by one or more of the subsituents described as suitable substituents for aryl and alkyl respectively.
- Ester refers to a chemical radical of formula —COOR, where R is selected from the group consisting of alkyl, cycloalkyl, aryl, heteroaryl (bonded through a ring carbon) and heteroalicyclic (bonded through a ring carbon). Any amine, hydroxy, or carboxyl side chain on the compounds described herein can be esterified. The procedures and specific groups to make such esters are known to those of skill in the art and can readily be found in reference sources such as Greene and Wuts, Protective Groups in Organic Synthesis, 3.sup.rd Ed., John Wiley & Sons, New York, N.Y., 1999, which is incorporated herein by reference in its entirety.
- an ester group is optionally substituted by one or more substituents which independently are: alkyl, heteroalkyl, alkenyl, alkynyl, cycloalkyl, heterocycloalkyl, aryl, arylalkyl, heteroaryl, heteroarylalkyl, hydroxy, halo, cyano, trifluoromethyl, trifluoromethoxy, nitro, trimethylsilanyl, —OR a , —SR a , —OC(O)—R a , —N(R a ) 2 , —C(O)R a , —C(O)OR a , —OC(O)N(R a ) 2 , —C(O)N(R a ) 2 , —N(R a )C(O)OR a , —N(R a )C(O)OR a , —N(R a )C(O)R a
- Fluoroalkyl refers to an alkyl radical, as defined above, that is substituted by one or more fluoro radicals, as defined above, for example, trifluoromethyl, difluoromethyl, 2,2,2-trifluoroethyl, 1-fluoromethyl-2-fluoroethyl, and the like.
- the alkyl part of the fluoroalkyl radical may be optionally substituted as defined above for an alkyl group.
- Halo means fluoro, chloro, bromo or iodo.
- haloalkyl means fluoro, chloro, bromo or iodo.
- haloalkenyl means fluoro, chloro, bromo or iodo.
- haloalkynyl means alkyl, alkenyl, alkynyl and alkoxy structures that are substituted with one or more halo groups or with combinations thereof.
- fluoroalkyl and fluoroalkoxy include haloalkyl and haloalkoxy groups, respectively, in which the halo is fluorine.
- Heteroalkyl “heteroalkenyl” and “heteroalkynyl” include optionally substituted alkyl, alkenyl and alkynyl radicals and which have one or more skeletal chain atoms selected from an atom other than carbon, e.g., oxygen, nitrogen, sulfur, phosphorus or combinations thereof.
- a numerical range may be given, e.g. C 1 -C 4 heteroalkyl which refers to the chain length in total, which in this example is 4 atoms long.
- a —CH 2 OCH 2 CH 3 radical is referred to as a “C 4 ” heteroalkyl, which includes the heteroatom center in the atom chain length description.
- a heteroalkyl group may be substituted with one or more substituents which independently are: alkyl, heteroalkyl, alkenyl, alkynyl, cycloalkyl, heterocycloalkyl, aryl, arylalkyl, heteroaryl, heteroarylalkyl, hydroxy, halo, cyano, nitro, oxo, thioxo, trimethylsilanyl, —OR a , —SR a , —OC(O)—R a , —N(R a ) 2 , —C(O)R a , —C(O)OR a , —C(O)N(R a ) 2 , —N(R a )C(O)OR a , —N(R a )C(O)OR a , —N(R a )C(O)R a , —N(R a )C(O)OR
- Heteroalkylaryl refers to an -(heteroalkyl)aryl radical where heteroalkyl and aryl are as disclosed herein and which are optionally substituted by one or more of the subsituents described as suitable substituents for heteroalkyl and aryl respectively.
- Heteroalkylheteroaryl refers to an -(heteroalkyl)heteroaryl radical where heteroalkyl and heteroaryl are as disclosed herein and which are optionally substituted by one or more of the subsituents described as suitable substituents for heteroalkyl and heteroaryl respectively.
- Heteroalkylheterocycloalkyl refers to an -(heteroalkyl)heterocycloalkyl radical where heteroalkyl and heteroaryl are as disclosed herein and which are optionally substituted by one or more of the subsituents described as suitable substituents for heteroalkyl and heterocycloalkyl respectively
- Heteroalkylcycloalkyl refers to an -(heteroalkyl) cycloalkyl radical where heteroalkyl and cycloalkyl are as disclosed herein and which are optionally substituted by one or more of the subsituents described as suitable substituents for heteroalkyl and cycloalkyl respectively.
- Heteroaryl or, alternatively, “heteroaromatic” refers to a 5- to 18-membered aromatic radical (e.g., C 5 -C 13 heteroaryl) that includes one or more ring heteroatoms selected from nitrogen, oxygen and sulfur, and which may be a monocyclic, bicyclic, tricyclic or tetracyclic ring system.
- a numerical range such as “5 to 18” refers to each integer in the given range; e.g., “5 to 18 ring atoms” means that the heteroaryl group may consist of 5 ring atoms, 6 ring atoms, etc., up to and including 18 ring atoms.
- Bivalent radicals derived from univalent heteroaryl radicals whose names end in “-yl” by removal of one hydrogen atom from the atom with the free valence are named by adding “-idene” to the name of the corresponding univalent radical, e.g., a pyridyl group with two points of attachment is a pyridylidene.
- An N-containing “heteroaromatic” or “heteroaryl” moiety refers to an aromatic group in which at least one of the skeletal atoms of the ring is a nitrogen atom.
- the polycyclic heteroaryl group may be fused or non-fused.
- the heteroatom(s) in the heteroaryl radical is optionally oxidized.
- heteroaryl is attached to the rest of the molecule through any atom of the ring(s).
- heteroaryls include, but are not limited to, azepinyl, acridinyl, benzimidazolyl, benzindolyl, 1,3-benzodioxolyl, benzopyranyl, benzooxazolyl, benzo[d]thiazolyl, benzothiadiazolyl, benzo[b][1,4]dioxepinyl, benzo [b][1,4]oxazinyl, 1,4-benzodioxanyl, benzonaphthofuranyl, benzoxazolyl, benzodioxolyl, benzodioxinyl, benzoxazolyl, benzopyranyl, benzopyranonyl, benzofuranyl, benzofuranonyl, benzof
- a heteraryl moiety is optionally substituted by one or more substituents which are independently: alkyl, heteroalkyl, alkenyl, alkynyl, cycloalkyl, heterocycloalkyl, aryl, arylalkyl, heteroaryl, heteroarylalkyl, hydroxy, halo, cyano, nitro, oxo, thioxo, trimethylsilanyl, —OR a , —SR a , —OC(O)—R a , —N(R a ) 2 , —C(O)R a , —C(O)OR a , —C(O)N(R a ) 2 , —N(R a )C(O)OR a , —N(R a )C(O)OR a , —N(R a )C(O)R a , —N(R a )S(
- Substituted heteroaryl also includes ring systems substituted with one or more oxide (—O-) substituents, such as pyridinyl N-oxides.
- Heteroarylalkyl refers to a moiety having an aryl moiety, as described herein, connected to an alkylene moiety, as described herein, wherein the connection to the remainder of the molecule is through the alkylene group.
- Heterocycloalkyl refers to a stable 3- to 18-membered non-aromatic ring radical that comprises two to twelve carbon atoms and from one to six heteroatoms selected from nitrogen, oxygen and sulfur. Whenever it appears herein, a numerical range such as “3 to 18” refers to each integer in the given range; e.g., “3 to 18 ring atoms” means that the heterocycloalkyl group may consist of 3 ring atoms, 4 ring atoms, etc., up to and including 18 ring atoms. In some embodiments, it is a C 5 -C 10 heterocycloalkyl. In some embodiments, it is a C 4 -C 10 heterocycloalkyl.
- the heterocycloalkyl radical is a monocyclic, bicyclic, tricyclic or tetracyclic ring system, which may include fused or bridged ring systems.
- the heteroatoms in the heterocycloalkyl radical may be optionally oxidized.
- One or more nitrogen atoms, if present, are optionally quaternized.
- the heterocycloalkyl radical is partially or fully saturated.
- the heterocycloalkyl may be attached to the rest of the molecule through any atom of the ring(s).
- heterocycloalkyl radicals include, but are not limited to, dioxolanyl, thienyl[1,3]dithianyl, decahydroisoquinolyl, imidazolinyl, imidazolidinyl, isothiazolidinyl, isoxazolidinyl, morpholinyl, octahydroindolyl, octahydroisoindolyl, 2-oxopiperazinyl, 2-oxopiperidinyl, 2-oxopyrrolidinyl, oxazolidinyl, piperidinyl, piperazinyl, 4-piperidonyl, pyrrolidinyl, pyrazolidinyl, quinuclidinyl, thiazolidinyl, tetrahydrofuryl, trithianyl, tetrahydropyranyl, thiomorpholinyl, thiamorpholinyl, 1-oxo-o-
- a heterocycloalkyl moiety is optionally substituted by one or more substituents which independently are: alkyl, heteroalkyl, alkenyl, alkynyl, cycloalkyl, heterocycloalkyl, aryl, arylalkyl, heteroaryl, heteroarylalkyl, hydroxy, halo, cyano, nitro, oxo, thioxo, trimethylsilanyl, —OR a , —SR a , —OC(O)—R a , —N(R a ) 2 , —C(O)R a , —C(O)OR a , —C(O)N(R a ) 2 , —N(R a )C(O)OR a , —N(R a )C(O)OR a , —N(R a )C(O)R a , —N(R a )S
- Heterocycloalkyl also includes bicyclic ring systems wherein one non-aromatic ring, usually with 3 to 7 ring atoms, contains at least 2 carbon atoms in addition to 1-3 heteroatoms independently selected from oxygen, sulfur, and nitrogen, as well as combinations comprising at least one of the foregoing heteroatoms; and the other ring, usually with 3 to 7 ring atoms, optionally contains 1-3 heteroatoms independently selected from oxygen, sulfur, and nitrogen and is not aromatic.
- “Isomers” are different compounds that have the same molecular formula. “Stereoisomers” are isomers that differ only in the way the atoms are arranged in space, i.e. having a different stereochemical configuration. “Enantiomers” are a pair of stereoisomers that are non-superimposable mirror images of each other. A 1:1 mixture of a pair of enantiomers is a “racemic” mixture. The term “(. ⁇ .)” is used to designate a racemic mixture where appropriate. “Diastereoisomers” are stereoisomers that have at least two asymmetric atoms, but which are not mirror-images of each other. The absolute stereochemistry is specified according to the Cahn-Ingold-Prelog R—S system.
- stereochemistry at each chiral carbon can be specified by either R or S.
- Resolved compounds whose absolute configuration is unknown can be designated (+) or ( ⁇ ) depending on the direction (dextro- or levorotatory) which they rotate plane polarized light at the wavelength of the sodium D line.
- Certain of the compounds described herein contain one or more asymmetric centers and can thus give rise to enantiomers, diastereomers, and other stereoisomeric forms that can be defined, in terms of absolute stereochemistry, as (R)- or (S)-.
- the present chemical entities, pharmaceutical compositions and methods are meant to include all such possible isomers, including racemic mixtures, optically pure forms and intermediate mixtures.
- Optically active (R)- and (S)- isomers can be prepared using chiral synthons or chiral reagents, or resolved using conventional techniques.
- the compounds described herein contain olefinic double bonds or other centers of geometric asymmetry, and unless specified otherwise, it is intended that the compounds include both E and Z geometric isomers.
- Enantiomeric purity refers to the relative amounts, expressed as a percentage, of the presence of a specific enantiomer relative to the other enantiomer. For example, if a compound, which may potentially have an (R)- or an (S)- isomeric configuration, is present as a racemic mixture, the enantiomeric purity is about 50% with respect to either the (R)- or (S)- isomer. If that compound has one isomeric form predominant over the other, for example, 80% (S)- and 20% (R)-, the enantiomeric purity of the compound with respect to the (5)-isomeric form is 80%.
- the enantiomeric purity of a compound can be determined in a number of ways known in the art, including but not limited to chromatography using a chiral support, polarimetric measurement of the rotation of polarized light, nuclear magnetic resonance spectroscopy using chiral shift reagents which include but are not limited to lanthanide containing chiral complexes or the Pirkle alcohol, or derivatization of a compounds using a chiral compound such as Mosher's acid followed by chromatography or nuclear magnetic resonance spectroscopy.
- “Moiety” refers to a specific segment or functional group of a molecule. Chemical moieties are often recognized chemical entities embedded in or appended to a molecule.
- Niro refers to the —NO 2 radical.
- Oxa refers to the —O— radical.
- Oxo refers to the ⁇ O radical.
- “Tautomers” are structurally distinct isomers that interconvert by tautomerization. “Tautomerization” is a form of isomerization and includes prototropic or proton-shift tautomerization, which is considered a subset of acid-base chemistry. “Prototropic tautomerization” or “proton-shift tautomerization” involves the migration of a proton accompanied by changes in bond order, often the interchange of a single bond with an adjacent double bond. Where tautomerization is possible (e.g. in solution), a chemical equilibrium of tautomers can be reached. An example of tautomerization is keto-enol tautomerization.
- keto-enol tautomerization is the interconversion of pentane-2,4-dione and 4-hydroxypent-3-en-2-one tautomers.
- tautomerization is phenol-keto tautomerization.
- phenol-keto tautomerization is the interconversion of pyridin-4-ol and pyridin-4(1H)-one tautomers.
- the compounds of the present invention may also contain unnatural proportions of atomic isotopes at one or more of atoms that constitute such compounds.
- the compounds may be radiolabeled with radioactive isotopes, such as for example tritium ( 3 H), iodine-125 ( 125 I) or carbon-14 ( 14 C). All isotopic variations of the compounds of the present invention, whether radioactive or not, are encompassed within the scope of the present invention.
- a “leaving group or atom” is any group or atom that will, under the reaction conditions, cleave from the starting material, thus promoting reaction at a specified site. Suitable examples of such groups unless otherwise specified are halogen atoms, mesyloxy, p-nitrobenzensulphonyloxy and tosyloxy groups.
- Protecting group has the meaning conventionally associated with it in organic synthesis, i.e. a group that selectively blocks one or more reactive sites in a multifunctional compound such that a chemical reaction can be carried out selectively on another unprotected reactive site and such that the group can readily be removed after the selective reaction is complete.
- a variety of protecting groups are disclosed, for example, in T. H. Greene and P. G. M. Wuts, Protective Groups in Organic Synthesis, Third Edition, John Wiley & Sons, N.Y. (1999).
- a hydroxy protected form is where at least one of the hydroxy groups present in a compound is protected with a hydroxy protecting group.
- amines and other reactive groups may similarly be protected.
- Solvate refers to a compound (e.g., a compound selected from Formula I or a pharmaceutically acceptable salt thereof) in physical association with one or more molecules of a pharmaceutically acceptable solvent. It will be understood that “a compound of Formula I” encompass the compound of Formula I and solvates of the compound, as well as mixtures thereof.
- “Substituted” means that the referenced group may be substituted with one or more additional group(s) individually and independently selected from acyl, alkyl, alkylaryl, cycloalkyl, aralkyl, aryl, carbohydrate, carbonate, heteroaryl, heterocycloalkyl, hydroxy, alkoxy, aryloxy, mercapto, alkylthio, arylthio, cyano, halo, carbonyl, ester, thiocarbonyl, isocyanato, thiocyanato, isothiocyanato, nitro, oxo, perhaloalkyl, peffluoroalkyl, phosphate, silyl, sulfinyl, sulfonyl, sulfonamidyl, sulfoxyl, sulfonate, urea, and amino, including mono- and di-substituted amino groups, and the protected derivatives thereof.
- Di-substituted amino groups encompass those which form a ring together with the nitrogen of the amino group, such as for instance, morpholino.
- the substituents themselves may be substituted, for example, a cycloakyl substituent may have a halide substituted at one or more ring carbons, and the like.
- the protecting groups that may form the protective derivatives of the above substituents are known to those of skill in the art and may be found in references such as Greene and Wuts, above.
- “Sulfanyl” refers to the groups: —S—(optionally substituted alkyl), —S—(optionally substituted aryl), —S—(optionally substituted heteroaryl), and —S—(optionally substituted heterocycloalkyl).
- “Sulfinyl” refers to the groups: —S(O)—H, —S(O)—(optionally substituted alkyl), —S(O)—(optionally substituted amino), —S(O)—(optionally substituted aryl), —S(O)—(optionally substituted heteroaryl), and —S(O)—(optionally substituted heterocycloalkyl).
- “Sulfonyl” refers to the groups: —S(O 2 ) ⁇ H, —S(O 2 )-(optionally substituted alkyl), —S(O 2 )—(optionally substituted amino), —S(O 2 )—(optionally substituted aryl), —S(O 2 )—(optionally substituted heteroaryl), and —S(O 2 )—(optionally substituted heterocycloalkyl).
- “Sulfonamidyl” or “sulfonamido” refers to a —S( ⁇ O) 2 —NRR radical, where each R is selected independently from the group consisting of hydrogen, alkyl, cycloalkyl, aryl, heteroaryl (bonded through a ring carbon) and heteroalicyclic (bonded through a ring carbon).
- the R groups in ⁇ NRR of the —S( ⁇ O) 2 —NRR radical may be taken together with the nitrogen to which it is attached to form a 4-, 5-, 6-, or 7-membered ring.
- each R in sulfonamido contains 1 carbon, 2 carbons, 3 carbons, or 4 carbons total.
- a sulfonamido group is optionally substituted by one or more of the subsituents described for alkyl, cycloalkyl, aryl, heteroaryl respectively
- “Sulfoxyl” refers to a —S( ⁇ O) 2 OH radical.
- “Sulfonate” refers to a —S( ⁇ O) 2 —OR radical, where R is selected from the group consisting of alkyl, cycloalkyl, aryl, heteroaryl (bonded through a ring carbon) and heteroalicyclic (bonded through a ring carbon). A sulfonate group is optionally substituted on R by one or more of the substituents described for alkyl, cycloalkyl, aryl, heteroaryl respectively.
- substituent groups are specified by their conventional chemical formulae, written from left to right, they equally encompass the chemically identical substituents that would result from writing the structure from right to left, e.g., —CH 2 O— is equivalent to —OCH 2 —.
- Compounds of the present invention also include crystalline and amorphous forms of those compounds, including, for example, polymorphs, pseudopolymorphs, solvates, hydrates, unsolvated polymorphs (including anhydrates), conformational polymorphs, and amorphous forms of the compounds, as well as mixtures thereof.
- Crystal form “Crystalline form,” “polymorph,” and “novel form” may be used interchangeably herein, and are meant to include all crystalline and amorphous forms of the compound, including, for example, polymorphs, pseudopolymorphs, solvates, hydrates, unsolvated polymorphs (including anhydrates), conformational polymorphs, and amorphous forms, as well as mixtures thereof, unless a particular crystalline or amorphous form is referred to.
- Chemical entities include, but are not limited to, compounds of Formula I, I-I, IV, IV-A, V, V-A, V-A2, V-B, VI or VI-A, and all pharmaceutically acceptable forms thereof.
- Pharmaceutically acceptable forms of the compounds recited herein include pharmaceutically acceptable salts, chelates, non-covalent complexes, prodrugs, and mixtures thereof.
- the compounds described herein are in the form of pharmaceutically acceptable salts.
- the terms “chemical entity” and “chemical entities” also encompass pharmaceutically acceptable salts, chelates, non-covalent complexes, prodrugs, and mixtures.
- the free base can be obtained by basifying a solution of the acid salt.
- an addition salt particularly a pharmaceutically acceptable addition salt, may be produced by dissolving the free base in a suitable organic solvent and treating the solution with an acid, in accordance with conventional procedures for preparing acid addition salts from base compounds.
- Those skilled in the art will recognize various synthetic methodologies that may be used to prepare non-toxic pharmaceutically acceptable addition salts.
- the present invention provides a compound of Formula I:
- W d is heterocycloalkyl, aryl or heteroaryl
- B is alkyl, amino, heteroalkyl, or a moiety of Formula II;
- W c is aryl, heteroaryl, heterocycloalkyl, or cycloalkyl
- q is an integer of 0, 1, 2, 3, or 4;
- X is absent or is —(CH(R 9 )) z — and z is an integer of 1, 2, 3, or 4;
- Y is absent, —O—, —S—, —S( ⁇ O)—, —S( ⁇ O) 2 —, —N(R 9 )—, —C( ⁇ O)—(CHR 9 ) z —, —C( ⁇ O)—, —N(R 9 )—C( ⁇ O)—, or —N(R 9 )—C( ⁇ O)NH—,—N(R 9 )C(R 9 ) 2 —, or —C( ⁇ O)—(CHR 9 ) z —;
- R 1 is hydrogen, alkyl, heteroalkyl, alkenyl, alkynyl, cycloalkyl, heterocycloalkyl, aryl, arylalkyl, heteroaryl, heteroarylalkyl, alkoxy, amido, amino, acyl, acyloxy, alkoxycarbonyl, sulfonamido, halo, cyano, hydroxy, nitro, phosphate, urea, or carbonate;
- R 2 is alkyl, heteroalkyl, alkenyl, alkynyl, cycloalkyl, heterocycloalkyl, aryl, arylalkyl, heteroaryl, heteroarylalkyl, alkoxy, amido, amino, acyl, acyloxy, alkoxycarbonyl, sulfonamido, halo, cyano, hydroxy, nitro, phosphate, urea, or carbonate;
- R 3 is hydrogen, alkyl, alkenyl, alkynyl, cycloalkyl, heterocycloalkyl, alkoxy, amido, amino, acyl, acyloxy, alkoxycarbonyl, sulfonamido, halo, cyano, hydroxy, nitro, aryl, or heteroaryl;
- R 5 , R 6 , R 7 , and R 8 are independently hydrogen, C 1 -C 4 alkyl, C 2 -C 5 alkenyl, C 2 -C 5 alkynyl, C 3 -C 5 cycloalkyl, C 4 heteroalkyl, C 1 -C 4 alkoxy, C 1 -C 4 amido, amino, acyl, C 1 -C 4 acyloxy, C 1 -C 4 sulfonamido, halo, cyano, hydroxy or nitro; and
- each instance of R 9 is independently hydrogen, C 1 -C 10 alkyl, C 3 -C 7 cycloalkyl, heterocycloalkyl, or C 2 -C 1o heteroalkyl.
- B is unsubstituted or substituted alkyl, including but not limited to —(CH 2 ) 2 —NR a R a ,wherein each R a is independently hydrogen, alkyl, fluoroalkyl, carbocyclyl, carbocyclylalkyl, aryl, aralkyl, heterocycloalkyl, heterocycloalkylalkyl, heteroaryl or heteroarylalkyl, or NR a R a are combined together to form a cyclic moiety, which includes but is not limited to piperidinyl, piperazinyl, and morpholinyl.
- B is unsubstituted or substituted amino.
- B is unsubstituted or substituted heteroalkyl.
- B is a moiety of Formula II and wherein W, is a member selected from the group consisting of unsubstituted or substituted aryl, substituted phenyl, unsubstituted or substituted heteroaryl including but not limited to pyridin-2-yl, pyridin-3-yl, pyridin-4-yl, pyrimidin-4-yl, pyrimidin-2-yl, pyrimidin-5-yl, or pyrazin-2-yl, unsubstituted or substituted monocyclic heteroaryl, unsubstituted or substituted bicyclic heteroaryl, a heteroaryl comprising two heteroatoms as ring atoms, unsubstituted or substituted heteroaryl comprising a nitrogen ring atom, heteroaryl comprising two nitrogen ring atoms, heteroaryl comprising a nitrogen and a sulfur as ring atoms, unsubstituted or substituted heterocycloalkyl including but not limited to
- B is one of the following moieties:
- B is substituted by one or more of alkyl, heteroalkyl, alkenyl, alkynyl, cycloalkyl, heterocycloalkyl, aryl, heteroaryl alkoxy, amido, amino, acyl, acyloxy, alkoxycarbonyl, sulfonamido, halo, cyano, hydroxy or nitro, each of which alkyl, heteroalkyl, alkenyl, alkynyl, cycloalkyl, heterocycloalkyl, aryl, heteroaryl, alkoxy, amido, amino, acyl, acyloxy,or sulfonamido, may itself be substituted.
- le is a member selected from the group consisting of hydrogen, unsubstituted or substituted alkyl, unsubstituted or substituted heteroalkyl, unsubstituted or substituted alkenyl, unsubstituted or substituted alkynyl, unsubstituted or substituted cycloalkyl, or unsubstituted or substituted heterocycloalkyl.
- R 1 is unsubstituted or substituted aryl, unsubstituted or substituted arylalkyl, unsubstituted or substituted heteroaryl, or unsubstituted or substituted heteroarylalkyl.
- R 1 is unsubstituted or substituted alkoxy, unsubstituted or substituted amido, unsubstituted or substituted amino. In some embodiments, R 1 is unsubstituted or substituted acyl, unsubstituted or substituted acyloxy, unsubstituted or substituted alkoxycarbonyl, or unsubstituted or substituted sulfonamido. In some embodiments, R 1 is halo which includes —Cl, —F, —I, and —Br. In some embodiments, R 1 is selected from the group consisting of cyano, hydroxy, nitro, unsubstituted or substituted phosphate, unsubstituted or substituted urea, and carbonate.
- R 1 when R 1 is alkyl, R 1 is methyl, ethyl, propyl, isopropyl, n- butyl, tert- butyl, sec-butyl, pentyl, hexyl or heptyl.
- R 1 when R 1 is alkyl, heteroalkyl, alkenyl, alkynyl, cycloalkyl, heterocycloalkyl, aryl, arylalkyl, heteroaryl, heteroarylalkyl, alkoxy, amido, amino, acyl, acyloxy, alkoxycarbonyl, sulfonamido, or hydroxy, R 1 is substituted by phosphate, or unsubstituted urea, or substituted urea, or carbonic acid, or carbonate.
- R 1 when R 1 is alkyl, heteroalkyl, alkenyl, alkynyl, cycloalkyl, heterocycloalkyl, aryl, arylalkyl, heteroaryl, heteroarylalkyl, alkoxy, amido, amino, acyl, acyloxy, alkoxycarbonyl, or sulfonamido, R 1 is substituted by one or more of alkyl, heteroalkyl, alkenyl, alkynyl, cycloalkyl, heterocycloalkyl, aryl, arylalkyl, heteroaryl, heteroarylalkyl, alkoxy, amido, amino, acyl, acyloxy, alkoxycarbonyl, sulfonamido, halo, cyano, hydroxy or nitro, each of which alkyl, heteroalkyl, alkenyl, alkynyl, cycloalkyl, heterocycloalkyl, aryl,
- R 2 is a member selected from the group consisting of unsubstituted or substituted alkyl, unsubstituted or substituted heteroalkyl, unsubstituted or substituted alkenyl, unsubstituted or substituted alkynyl, unsubstituted or substituted cycloalkyl, and unsubstituted or substituted heterocycloalkyl.
- R 2 is unsubstituted or substituted aryl, unsubstituted or substituted arylalkyl, unsubstituted or substituted heteroaryl, or unsubstituted or substituted heteroarylalkyl.
- R 2 is unsubstituted or substituted alkoxy, unsubstituted or substituted amido, unsubstituted or substituted amino.
- R 2 is unsubstituted or substituted acyl, unsubstituted or substituted acyloxy, unsubstituted or substituted alkoxycarbonyl, or unsubstituted or substituted sulfonamido.
- R 2 is halo, which is —I, —F, —Cl, or —Br.
- R 2 is selected from the group consisting of cyano, hydroxy, nitro, a carbonic acid, and a carbonate.
- R 2 is unsubstituted or substituted phosphate. In some embodiments, R 2 is unsubstituted or substituted urea. In some embodiments, when R 2 is alkyl, R 2 is methyl, ethyl, propyl, isopropyl, n- butyl, tert- butyl, sec-butyl, pentyl, hexyl or heptyl.
- R 2 when R 2 is alkyl, heteroalkyl, alkenyl, alkynyl, cycloalkyl, heterocycloalkyl, aryl, arylalkyl, heteroaryl, heteroarylalkyl, alkoxy, amido, amino, acyl, acyloxy, alkoxycarbonyl, sulfonamido, or hydroxy, it is substituted by phosphate, substituted by urea, or substituted by carbonate.
- R 2 is alkyl, heteroalkyl, alkenyl, alkynyl, cycloalkyl, heterocycloalkyl, aryl, arylalkyl, heteroaryl, heteroarylalkyl, alkoxy, amido, amino, acyl, acyloxy, alkoxycarbonyl, or sulfonamido
- it is substituted by one or more of alkyl, heteroalkyl, alkenyl, alkynyl, cycloalkyl, heterocycloalkyl, aryl, heteroaryl, alkoxy, amido, amino, acyl, acyloxy, alkoxycarbonyl, sulfonamido, halo, cyano, hydroxy or nitro, each of which alkyl, heteroalkyl, alkenyl, alkynyl, cycloalkyl, heterocycloalkyl, aryl, heteroaryl, alkoxy, amido, amino, acyl, acy
- q is an integer of 0. In some embodiments, q is an integer of 1. In some embodiments, q is an integer of 2. In some embodiments, q is an integer of 3. In some embodiments, q is an integer of 4.
- R 3 is a member selected from the group consisting of hydrogen, unsubstituted or substituted alkyl, unsubstituted or substituted alkenyl, and unsubstituted or substituted alkynyl.
- R 3 is unsubstituted or substituted aryl, unsubstituted or substituted heteroaryl, unsubstituted or substituted cycloalkyl, or unsubstituted or substituted heterocycloalkyl.
- R 3 is unsubstituted or substituted alkoxy, unsubstituted or substituted amido, unsubstituted or substituted amino.
- R 3 is unsubstituted or substituted acyl, unsubstituted or substituted acyloxy, unsubstituted or substituted alkoxycarbonyl, or unsubstituted or substituted sulfonamido.
- R 3 is halo, which is is —I, —F, —Cl, or —Br.
- R 3 is selected from the group consisting of cyano, hydroxy, and nitro. In some embodiments, when R 3 is alkyl, R 3 is methyl, ethyl, propyl, isopropyl, n- butyl, tent- butyl, sec-butyl, pentyl, hexyl or heptyl. In some embodiments, R 3 is —CF 3 .
- R 3 when R 3 is alkyl, alkenyl, alkynyl, aryl, heteroaryl, cycloalkyl, heterocycloalkyl, alkoxy, amido, amino, acyl, acyloxy, alkoxycarbonyl,or sulfonamido, it is substituted with one or more of alkyl, heteroalkyl, alkenyl, alkynyl, cycloalkyl, heterocycloalkyl, aryl, heteroaryl, alkoxy, amido, amino, acyl, acyloxy, alkoxycarbonyl, sulfonamido, halo, cyano, hydroxy or nitro, each of which alkyl, heteroalkyl, alkenyl, alkynyl, cycloalkyl, heterocycloalkyl, aryl, heteroaryl, alkoxy, amido, amino, acyl, acyloxy, alkoxycarbonyl, or sulf
- R 5 is hydrogen, unsubstituted or substituted alkyl (including but not limited to unsubstituted or substituted C 1 -C 4 alkyl). In some embodiments, R 5 is unsubstituted or substituted alkenyl including but not limited to unsubstituted or substituted C 2 -C 5 alkenyl. In some embodiments, R 5 is unsubstituted or substituted alkynyl including but not limited to unsubstituted or substituted C 2 -C 5 alkynyl.
- R 5 is unsubstituted or substituted cycloalkyl including but not limited to unsubstituted or substituted C 3 -C 5 cycloalkyl. In some embodiments, R 5 is unsubstituted or substituted heterocycloalkyl. In some embodiments, R 5 is unsubstituted or substituted heteroalkyl including but not limited to unsubstituted or substituted C 1 -C 4 heteroalkyl. In some embodiments, R 5 is unsubstituted or substituted alkoxy including but not limited to unsubstituted or substituted C 1 -C 4 alkoxy.
- R 5 is unsubstituted or substituted amido including but not limited to unsubstituted or substituted C 1 -C 4 amido. In some embodiments, R 5 is unsubstituted or substituted amino. In some embodiments, R 5 is unsubstituted or substituted acyl, unsubstituted or substituted acyloxy, unsubstituted or substituted C 1 -C 4 acyloxy, unsubstituted or substituted alkoxycarbonyl, unsubstituted or substituted sulfonamido, or unsubstituted or substituted C 1 -C 4 sulfonamido.
- R 5 is halo, which is is —I, —F, —Cl, or —Br. In some embodiments, R 5 is selected from the group consisting of cyano, hydroxy, and nitro. In some other embodiments, R 5 is —CH 3 , —CH 2 CH 3 , n-propyl, isopropyl, —OCH 3 , —OCH 2 CH 3 , or —CF 3 .
- R 5 when R 5 is alkyl, alkenyl, alkynyl, cycloalkyl, heteroalkyl, acyl, alkoxy, amido, amino, acyloxy, alkoxycarbonyl, or sulfonamido, R 5 is optionally substituted with one or more of alkyl, heteroalkyl, alkenyl, alkynyl, cycloalkyl, heterocycloalkyl, aryl, heteroaryl, alkoxy, amido, amino, acyl, acyloxy, alkoxycarbonyl, sulfonamido, halo, cyano, hydroxy or nitro, each of which alkyl, heteroalkyl, alkenyl, alkynyl, cycloalkyl, heterocycloalkyl, aryl, heteroaryl, alkoxy, amido, amino, acyl, acyloxy, alkoxycarbonyl, or sulfonamido may itself be
- R 6 is hydrogen, unsubstituted or substituted alkyl (including but not limited to unsubstituted or substituted C 1 -C 4 alkyl). In some embodiments, R 6 is unsubstituted or substituted alkenyl including but not limited to unsubstituted or substituted C 2 -C 5 alkenyl. In some embodiments, R 6 is unsubstituted or substituted alkynyl including but not limited to unsubstituted or substituted C 2 -C 5 alkynyl.
- R 6 is unsubstituted or substituted cycloalkyl including but not limited to unsubstituted or substituted C 3 -C 5 cycloalkyl. In some embodiments, R 6 is unsubstituted or substituted heterocycloalkyl. In some embodiments, R 6 is unsubstituted or substituted heteroalkyl including but not limited to unsubstituted or substituted C 1 -C 4 heteroalkyl. In some embodiments, R 6 is unsubstituted or substituted alkoxy including but not limited to unsubstituted or substituted C 1 -C 4 alkoxy.
- R 6 is unsubstituted or substituted amido including but not limited to unsubstituted or substituted C 1 -C 4 amido. In some embodiments, R 6 is unsubstituted or substituted amino. In some embodiments, R 6 is unsubstituted or substituted acyl, unsubstituted or substituted acyloxy, unsubstituted or substituted C 1 -C 4 acyloxy, unsubstituted or substituted alkoxycarbonyl, unsubstituted or substituted sulfonamido, or unsubstituted or substituted C 1 -C 4 sulfonamido.
- R 6 is halo, which is is —I, —F, —Cl, or —Br. In some embodiments, R 6 is selected from the group consisting of cyano, hydroxy, and nitro. In some other embodiments, R 6 is —CH 3 , —CH 2 CH 3 , n-propyl, isopropyl, —OCH 3 , —OCH 2 CH 3 , or —CF 3 .
- R 6 when R 6 is alkyl, alkenyl, alkynyl, cycloalkyl, heteroalkyl, acyl, alkoxy, amido, amino, acyloxy, alkoxycarbonyl, or sulfonamido, R 6 is optionally substituted with one or more of alkyl, heteroalkyl, alkenyl, alkynyl, cycloalkyl, heterocycloalkyl, aryl, heteroaryl, alkoxy, amido, amino, acyl, acyloxy, alkoxycarbonyl, sulfonamido, halo, cyano, hydroxy or nitro, each of which alkyl, heteroalkyl, alkenyl, alkynyl, cycloalkyl, heterocycloalkyl, aryl, heteroaryl, alkoxy, amido, amino, acyl, acyloxy, alkoxycarbonyl, or sulfonamido may itself be
- R 7 is hydrogen, unsubstituted or substituted alkyl (including but not limited to unsubstituted or substituted C 1 -C 4 alkyl). In some embodiments, R 7 is unsubstituted or substituted alkenyl including but not limited to unsubstituted or substituted C 2 -C 5 alkenyl. In some embodiments, R 7 is unsubstituted or substituted alkynyl including but not limited to unsubstituted or substituted C 2 -C 5 alkynyl.
- R 7 is unsubstituted or substituted cycloalkyl including but not limited to unsubstituted or substituted C 3 -C 5 cycloalkyl. In some embodiments, R 7 is unsubstituted or substituted heterocycloalkyl. In some embodiments, R 7 is unsubstituted or substituted heteroalkyl including but not limited to unsubstituted or substituted C 1 -C 4 heteroalkyl. In some embodiments, R 7 is unsubstituted or substituted alkoxy including but not limited to unsubstituted or substituted C 1 -C 4 alkoxy.
- R 7 is unsubstituted or substituted amido including but not limited to unsubstituted or substituted C 1 -C 4 amido. In some embodiments, R 7 is unsubstituted or substituted amino. In some embodiments, R 7 is unsubstituted or substituted acyl, unsubstituted or substituted acyloxy, unsubstituted or substituted C 1 -C 4 acyloxy, unsubstituted or substituted alkoxycarbonyl, unsubstituted or substituted sulfonamido, or unsubstituted or substituted C 1 -C 4 sulfonamido.
- R 7 is halo, which is is —I, —F, —Cl, or —Br. In some embodiments, R 7 is selected from the group consisting of cyano, hydroxy, and nitro. In some other embodiments, R 7 is —CH 3 , —CH 2 CH 3 , n-propyl, isopropyl, —OCH 3 , —OCH 2 CH 3 , or —CF 3 .
- R 7 when R 7 is alkyl, alkenyl, alkynyl, cycloalkyl, heteroalkyl, acyl, alkoxy, amido, amino, acyloxy, alkoxycarbonyl, or sulfonamido, R 7 is optionally substituted with one or more of alkyl, heteroalkyl, alkenyl, alkynyl, cycloalkyl, heterocycloalkyl, aryl, heteroaryl, alkoxy, amido, amino, acyl, acyloxy, alkoxycarbonyl, sulfonamido, halo, cyano, hydroxy or nitro, each of which alkyl, heteroalkyl, alkenyl, alkynyl, cycloalkyl, heterocycloalkyl, aryl, heteroaryl, alkoxy, amido, amino, acyl, acyloxy, alkoxycarbonyl, or sulfonamido may itself be
- R 8 is hydrogen, unsubstituted or substituted alkyl (including but not limited to unsubstituted or substituted C 1 -C 4 alkyl). In some embodiments, R 8 is unsubstituted or substituted alkenyl including but not limited to unsubstituted or substituted C 2 -C 5 alkenyl. In some embodiments, R 8 is unsubstituted or substituted alkynyl including but not limited to unsubstituted or substituted C 2 -C 5 alkynyl.
- R 8 is unsubstituted or substituted cycloalkyl including but not limited to unsubstituted or substituted C 3 -C 5 cycloalkyl. In some embodiments, R 8 is unsubstituted or substituted heterocycloalkyl. In some embodiments, R 8 is unsubstituted or substituted heteroalkyl including but not limited to unsubstituted or substituted C 1 -C 4 heteroalkyl. In some embodiments, R 8 is unsubstituted or substituted alkoxy including but not limited to unsubstituted or substituted C 1 -C 4 alkoxy.
- R 8 is unsubstituted or substituted amido including but not limited to unsubstituted or substituted C 1 -C 4 amido. In some embodiments, R 8 is unsubstituted or substituted amino. In some embodiments, R 8 is unsubstituted or substituted acyl, unsubstituted or substituted acyloxy, unsubstituted or substituted C 1 -C 4 acyloxy, unsubstituted or substituted alkoxycarbonyl, unsubstituted or substituted sulfonamido, or unsubstituted or substituted C 1 -C 4 sulfonamido.
- R 8 is halo, which is is —I, —F, —Cl, or —Br. In some embodiments, R 8 is selected from the group consisting of cyano, hydroxy, and nitro. In some other embodiments, R 8 is —CH 3 , —CH 2 CH 3 , n-propyl, isopropyl, —OCH 3 , —OCH 2 CH 3 , or —CF 3 .
- R 8 when R 8 is alkyl, alkenyl, alkynyl, cycloalkyl, heteroalkyl, acyl, alkoxy, amido, amino, acyloxy, alkoxycarbonyl, or sulfonamido, R 8 is optionally substituted with one or more of alkyl, heteroalkyl, alkenyl, alkynyl, cycloalkyl, heterocycloalkyl, aryl, heteroaryl, alkoxy, amido, amino, acyl, acyloxy, alkoxycarbonyl, sulfonamido, halo, cyano, hydroxy or nitro, each of which alkyl, heteroalkyl, alkenyl, alkynyl, cycloalkyl, heterocycloalkyl, aryl, heteroaryl, alkoxy, amido, amino, acyl, acyloxy, alkoxycarbonyl, or sulfonamido may itself be
- R 5 , R 6 , R 7 , and R 8 are H and the compound has a structure of Formula I-I:
- X is absent. In some embodiments, X is —(CH(R 9 )) z , and z is an integer of 1, 2, 3 or 4.
- R 9 is unsubstituted or substituted alkyl including but not limited to unsubstituted or substituted C 1 -C 10 alkyl. In some embodiments, R 9 is unsubstituted or substituted cycloalkyl including but not limited to unsubstituted or substituted C 3 -C 7 cycloalkyl. In some embodiments, R 9 is ethyl, methyl or hydrogen. In some embodiments, R 9 is unsubstituted or substituted heterocycloalkyl including but not limited to unsubstituted or substituted C 2 -C 10 heteroalkyl. In some embodiments, R 9 is unsubstituted or substituted heteroalkyl including but not limited to unsubstituted or substituted C 2 -C 10 heteroalkyl.
- the invention also provides a compound of Formula I wherein R 9 is hydrogen, and X is —CH 2 —, —CH 2 CH 2 —, —CH 2 CH 2 CH 2 —, —CH(CH 3 )—, or —CH(CH 2 CH 3 )—.
- X is —(CH(R 9 )) z
- R 9 is not hydrogen
- z is an integer of 1.
- the compound can adopt either an (S)- or (R)-stereochemical configuration with respect to carbon X.
- the compound is a racemic mixture of (S)- and (R) isomers with respect to carbon X.
- the present invention provides a mixture of compounds of Formula I wherein individual compounds of the mixture exist predominately in an (S)- or (R)- isomeric configuration.
- the compound mixture has an (S)-enantiomeric purity of greater than about 55%, about 60%, about 65%, about 70%, about 75%, about 80%, about 85%, about 90%, about 95%, about 96%, about 97%, about 98%, about 99%, about 99.5%, or more at the X carbon.
- the compound mixture has an (S)-enantiomeric purity of greater than about 55% to about 99.5%, greater than about about 60% to about 99.5%, greater than about 65% to about 99.5%, greater than about 70% to about 99.5%, greater than about 75% to about 99.5%, greater than about 80% to about 99.5%, greater than about 85% to about 99.5%, greater than about 90% to about 99.5%, greater than about 95% to about 99.5%, greater than about 96% to about 99.5%, greater than about 97% to about 99.5%, greater than about 98% to greater than about 99.5%, greater than about 99% to about 99.5%, or more.
- the compound mixture has an (R)-enantiomeric purity of greater than about 55%, about 60%, about 65%, about 70%, about 75%, about 80%, about 85%, about 90%, about 95%, about 96%, about 97%, about 98%, about 99%, about 99.5%, or more at the X carbon.
- the compound mixture has an (R)-enantiomeric purity of greater than about 55% to about 99.5%, greater than about about 60% to about 99.5%, greater than about 65% to about 99.5%, greater than about 70% to about 99.5%, greater than about 75% to about 99.5%, greater than about 80% to about 99.5%, greater than about 85% to about 99.5%, greater than about 90% to about 99.5%, greater than about 95% to about 99.5%, greater than about 96% to about 99.5%, greater than about 97% to about 99.5%, greater than about 98% to greater than about 99.5%, greater than about 99% to about 99.5%, or more.
- the compound mixture contains identical chemical entities except for their stereochemical orientations, namely (S)- or (R)- isomers.
- the compounds of Formula I when X is —CH(R 9 )—, and R 9 is not hydrogen, then the —CH(R 9 )— is in an (S)- or (R)- sterochemical orientation for each of the identical chemical entities.
- the mixture of identical chemical entities of Formula I is a racemic mixture of (S)- and (R)- isomers at the carbon represented by X.
- the mixture of the identical chemical entities (except for their stereochemical orientations),contain predominately (S)-isomers or predominately (R)- isomers.
- the (S)- isomers in the mixture of identical chemical entities are present at about 55%, about 60%, about 65%, about 70%, about 75%, about 80%, about 85%, about 90%, about 95%, about 96%, about 97%, about 98%, about 99%, about 99.5% ,or more, relative to the (R)- isomers.
- the (S)- isomers in the mixture of identical chemical entities are present at an (S)-enantiomeric purity of greater than about 55% to about 99.5%, greater than about about 60% to about 99.5%, greater than about 65% to about 99.5%, greater than about 70% to about 99.5%, greater than about 75% to about 99.5%, greater than about 80% to about 99.5%, greater than about 85% to about 99.5%, greater than about 90% to about 99.5%, greater than about 95% to about 99.5%, greater than about 96% to about 99.5%, greater than about 97% to about 99.5%, greater than about 98% to greater than about 99.5%, greater than about 99% to about 99.5%, or more.
- the (R)- isomers in the mixture of identical chemical entities are present at about 55%, about 60%, about 65%, about 70%, about 75%, about 80%, about 85%, about 90%, about 95%, about 96%, about 97%, about 98%, about 99%, about 99.5%, or more, relative to the (S)- isomers.
- the (R)- isomers in the mixture of identical chemical entities are present at a (R)- enantiomeric purity greater than about 55% to about 99.5%, greater than about about 60% to about 99.5%, greater than about 65% to about 99.5%, greater than about 70% to about 99.5%, greater than about 75% to about 99.5%, greater than about 80% to about 99.5%, greater than about 85% to about 99.5%, greater than about 90% to about 99.5%, greater than about 95% to about 99.5%, greater than about 96% to about 99.5%, greater than about 97% to about 99.5%, greater than about 98% to greater than about 99.5%, greater than about 99% to about 99.5%, or more.
- the compound of Formula I is —CH(R 9 )—, R 9 is methyl or ethyl, and the compound is the (S)-isomer.
- Y is absent.
- Y is —O—, —S—, —S( ⁇ O)—, —S( ⁇ O) 2 —, —C( ⁇ O)—, —N(R 9 )(C ⁇ O)—, —N(R 9 )(C ⁇ O)NH—, —N(R 9 )C(R 9 ) 2 — (such as —N(R 9 )CH 2 —, specifically —N(CH 3 )CH 2 —, N(CH(CH 3 ) 2 )CH 2 — or N(CH 2 CH 3 )CH 2 —), —N(R 9 )—, —N(CH 3 )—, —N(CH 2 CH 3 )—, or —N(CH(CH 3 ) 2 )—.
- Y is —C( ⁇ O)—(CHR 9 ) z — and z is an integer of 1,
- X and Y are present.
- —XY— is —CH 2 —, —CH 2 —N(CH 3 ), —CH 2 —N(CH 2 CH 3 ), —CH(CH 3 )—NH—, (S) —CH(CH 3 )—NH—, or (R) —CH(CH 3 )—NH—.
- X—Y is —N(CH 3 )_CH 2 —, N(CH 2 CH 3 ) CH 2 —, —N(CH(CH 3 ) 2 )CH 2 —, or —NHCH 2 —.
- the invention provides other compounds of Formula I wherein when X—Y is X is —(CH(R 9 )) z N(R 9 )—, z is an integer of 1, 2, 3 or 4, and —N(R 9 )— is not —NH—, then —XY— is not connected to purinyl.
- W d in a formula disclosed herein is a member selected from the group consisting of unsubstituted or substituted heterocycloalkyl, unsubstituted or substituted aryl, and unsubstituted or substituted heteroaryl.
- W d is unsubstituted or substituted monocyclic heteroaryl (including but not limited to pyrimidinyl, pyrrolyl, pyrazinyl, triazinyl, or pyridazinyl) or unsubstituted or substituted bicyclic heteroaryl.
- W d is a monocyclic heteroaryl of the following formula:
- W d in a formula disclosed herein is a bicyclic heteroaryl having at least one heteroatom, e.g., a bicyclic heteroaryl having at least one nitrogen ring atom.
- W d is a bicyclic heteroaryl having at least two heteroatoms, e.g., a bicyclic heteroaryl having at least two nitrogen ring atoms.
- W d is a bicyclic heteroaryl having two heteroatoms in the ring which is connected to XY.
- W d is a bicyclic heteroaryl having two nitrogen ring atoms in the ring to which XY is connected. In some embodiments, W d is a bicyclic heteroaryl having four heteroatoms, e.g, a bicyclic heteroaryl having four nitrogen ring atoms. In some embodiments, W d is unsubstituted or substituted 4-amino-1H-pyrazolo[3,4-d]pyrimidin-1-yl, unsubstituted or substituted 7-amino-2-methyl-2H-pyrazolo[4,3-d]pyrimidin-3-yl. unsubstituted or substituted 6-methylenyl-9H-purin-6-yl, or unsubstituted or substituted 6-amino-9H-purin-9-yl.
- W d of the compounds of Formula I when R a ′ is alkyl, alkynyl, cycloalkyl, heteroalkyl, or heterocycloalkyl, it is substituted by phosphate, urea, or carbonate.
- W d of the compounds of Formula I when R 11 is alkyl, amino, amido, hydroxy, or alkoxy, it is substituted by phosphate, urea, or carbonate.
- —X—Y—W d is one of the following moieties:
- R 12 is a member of the group consisting of hydrogen, cyano, halo, unsubstituted or substituted alkyl, unsubstituted or substituted alkynyl, and unsubstituted or substituted alkenyl. In some embodiments, R 12 is unsubstituted or substituted aryl.
- R 12 is unsubstituted or substituted heteroaryl, which includes but is not limited to heteroaryl having a 5 membered ring, heteroaryl having a six membered ring, heteroaryl with at least one nitrogen ring atom, heteroaryl with two nitrogen ring atoms, monocylic heteroaryl, and bicylic heteroaryl.
- R 12 is unsubstituted or substituted heterocycloalkyl, which includes but is not limited to heterocycloalkyl with one nitrogen ring atom, heterocycloalkyl with one oxygen ring atom, R 12 is heterocycloalkyl with one sulfur ring atom, 5 membered heterocycloalkyl, 6 membered heterocycloalkyl, saturated heterocycloalkyl, unsaturated heterocycloalkyl, heterocycloalkyl having an unsaturated moiety connected to the heterocycloalkyl ring, heterocycloalkyl substituted by oxo, and heterocycloalkyl substituted by two oxo.
- R 12 is unsubstituted or substituted cycloalkyl, including but not limited to cyclopropyl, cyclobutyl, cyclopentyl, cyclohexyl, cycloalkyl substituted by one oxo, cycloalkyl having an unsaturated moiety connected to the cycloalkyl ring.
- R 12 is unsubstituted or substituted amido, carboxylic acid, unsubstituted or substituted acyloxy, unsubstituted or substituted alkoxycarbonyl, unsubstituted or substituted acyl, or unsubstituted or substituted sulfonamido.
- R 12 when R 12 is alkyl, alkynyl, alkenyl, aryl, heteroaryl, heterocycloalkyl, or cycloalkyl, it is substituted with phosphate. In some embodiments, when R 12 is alkyl, alkynyl, alkenyl, aryl, heteroaryl, heterocycloalkyl, or cycloalkyl, it is substituted with urea. In some embodiments, when R 12 is alkyl, alkynyl, alkenyl, aryl, heteroaryl, heterocycloalkyl, or cycloalkyl, it is substituted with carbonate.
- R 12 when R 12 is alkyl, alkynyl, alkenyl, aryl, heteroaryl, heterocycloalkyl, cycloalkyl, alkoxycarbonyl, amido, acyloxy, acyl, or sulfonamido, it is substituted with one or more of alkyl, heteroalkyl, alkenyl, alkynyl, cycloalkyl, heterocycloalkyl, aryl, heteroaryl, alkoxy, amido, amino, acyl, acyloxy, alkoxycarbonyl, sulfonamido, halo, cyano, hydroxy or nitro, each of which alkyl, heteroalkyl, alkenyl, alkynyl, cycloalkyl, heterocycloalkyl, aryl, heteroaryl, alkoxy, amido, amino, acyl, acyloxy, aloxycarbonyl, or sulfonamido may itself be
- R 12 of W d is one of the following moieties:
- W d is a pyrazolopyrimidine of Formula III:
- R 11 is H, alkyl, halo, amino, amido, hydroxy, or alkoxy
- R 12 is H, alkyl, alkynyl, alkenyl, halo, aryl, heteroaryl, heterocycloalkyl, or cycloalkyl.
- R 11 is amino and R 12 is H, alkyl, alkynyl, alkenyl, halo, aryl, heteroaryl, heterocycloalkyl, or cycloalkyl.
- R 11 is amino and R 12 is alkyl, halo, aryl, heteroaryl, heterocycloalkyl, or cycloalkyl.
- R 11 is amino and R 12 is monocyclic heteroaryl. In some embodiments, R 11 is amino and R 12 is bicyclic heteroaryl. In some embodiments, R 11 is amino and and R 12 is cyano, amino, carboxylic acid, acyloxy, alkoxycarbonyl,or amido.
- the compound of Formula I is a compound having a structure of Formula IV:
- the invention also provides compounds of Formula I having a structure of any of Formulae V, V-A1, V-A2, V-B, VI, VI-A, VII-A1, VII-A2, VIII-A1, VIII-A2, IX-A1, IX-A2, X-A1, X-A2, XI-A1, XI-A2, XII-A, XII-A1, XII-A2, XIII-A, XIII-A1, XIII-A2, XIV-A, XIV-A1, XIV-A2, XV-A, XV-A1, XV-A2, XVI-A, XVI-A1, XVI-A2, XVII-A, XVII-A1, XVII-A2, XVIII-A, XVIII-A1, or XVIII-A2:
- R 3 is H, CH 3 , CF 3 , Cl, or F; and B is a moiety of Formula II:
- W c is aryl, heteroaryl, heterocycloalkyl, or cycloalkyl;
- R 1 is H, —F, —Cl, ⁇ CN, —CH 3 , isopropyl, —CF 3 , —OCH 3 , nitro, or phosphate;
- R 2 is halo, hydroxy, cyano, or nitro;
- q is an integer of 0, 1, 2, 3, or 4;
- R 5 , R 6 , R 7 , and R 8 are H;
- X is absent or (CH 2 ) z ;
- z is 1;
- Y is absent or —N(R 9 )—;
- R 9 is hydrogen, C 1 -C 10 alkyl, C 3 -C 7 cycloalkyl, or C 2 -C 10 heteroalkyl; at least one of X and Y is present; and
- W d is pyrazolopyrimidine or purine. In some embodiments, when
- R 3 is H, CH 3 , CF 3 , Cl, or F;
- B is a moiety of Formula II which is aryl, heteroaryl, heterocycloalkyl, or cycloalkyl,
- R 1 is H, —F, —Cl, —CN, —CH 3 , isopropyl, —CF 3 , —OCH 3 , nitro, or phosphate;
- R 2 is halo, hydroxy, cyano, or nitro;
- q is 0, 1 or 2;
- R 5 , R 6 , R 7 , and R 8 are H;
- X is absent or (CH 2 ) z ;
- z is 1;
- Y is absent or —N(R 9 )—;
- R 9 is hydrogen, methyl, or ethyl; at least one of X and Y is present;
- W d is:
- R 11 is amino; and R 12 is H, alkyl, alkynyl, alkenyl, halo, aryl, heteroaryl, heterocycloalkyl, or cycloalkyl.
- R 12 is H, alkyl, alkynyl, alkenyl, halo, aryl, heteroaryl, heterocycloalkyl, or cycloalkyl.
- R 3 is H, CH 3 , CF 3 , Cl, or F;
- B is a moiety of Formula II, which is aryl, heteroaryl, heterocycloalkyl, or cycloalkyl,
- R 1 is H, —F, —Cl, —CN, —CH 3 , isopropyl, —CF 3 , —OCH 3 , nitro, or phosphate;
- R 2 is halo, hydroxy, cyano, or nitro;
- q is 0, 1 or 2;
- X is (CH 2 ) z ;
- z is 1;
- R 5 , R 6 , R 7 , and R 8 are H;
- Y is absent and W d is:
- R 11 is amino; and R 12 is H, alkyl, alkynyl, alkenyl, halo, aryl, heteroaryl, heterocycloalkyl, or cycloalkyl.
- R 3 is H, CH 3 , CF 3 , Cl, or F;
- B is aryl, heteroaryl, heterocycloalkyl, or cycloalkyl,
- R 1 is H, —F, —Cl, —CN, —CH 3 , isopropyl, —CF 3 , —OCH 3 , nitro, or phosphate;
- R 2 is halo, hydroxy, cyano, or nitro; q is 0, 1 or 2;
- R 5 , R 6 , R 7 , and R 8 are H;
- X is (CH 2 ) z ;
- z is 1;
- X is (CH 2 ) z ;
- z is 1;
- Y is—N(R 9 )—;
- R 9 is hydrogen, methyl, or ethyl; and
- W d is
- Y is —NH—.
- R 3 is aryl, heteroaryl, H, CH 3 , CF 3 , Cl, or F;
- B is alkyl or a moiety of Formula II;
- W is aryl, heteroaryl, heterocycloalkyl, or cycloalkyl, and q is an integer of 0, 1, 2, 3, or 4;
- R 1 is H, —F, —Cl, —CN, —CH 3 , isopropyl, —CF 3 , —OCH 3 , nitro, or phosphate;
- R 2 is halo, hydroxy, cyano, nitro, or phosphate; q is 0, 1 or 2;
- R 5 , R 6 , R 7 , and R 8 are H;
- X is absent or (CH(R 9 )) z ;
- z is an integer of 1, 2, 3, or 4;
- Y is absent, —N(R 9 )—, or —N(R 9 ) CH(R 9 )—;
- R 3 is aryl, heteroaryl, H, CH 3 , CF 3 , Cl, or F;
- B is alkyl or a moiety of Formula II which is aryl, heteroaryl, heterocycloalkyl, or cycloalkyl,
- R 1 is H, —F, —Cl, —CN, —CH 3 , isopropyl, —CF 3 , —OCH 3 , nitro, or phosphate;
- R 2 is halo, hydroxy, cyano, nitro, or phosphate;
- q is 0, 1 or 2;
- R 5 , R 6 , R 7 , and R 8 are H;
- X is absent or (CH(R 9 )) z ;
- z is an integer of 1, 2, 3, or 4;
- Y is absent, —N(R 9 )—, or —N(R 9 ) CH(R 9 )—;
- R 9 is hydrogen, methyl, or e
- R 11 is amino; and R 12 is H, alkyl, alkynyl, alkenyl, halo, aryl, heteroaryl, heterocycloalkyl, cycloalkyl, cyano, amino, carboxylic acid, aloxycarbonyl, or amido .
- Y is —N(R 9 )—, and W d is purine, then Y is —NH—.
- R 3 is H, CH 3 , CF 3 , Cl, or F;
- B is alkyl or a moiety of Formula II which is aryl, heteroaryl, heterocycloalkyl, or cycloalkyl,
- R 1 is H, —F, —Cl, —CN, —CH 3 , isopropyl, —CF 3 , —OCH 3 , nitro, or phosphate;
- R 2 is halo, hydroxy, cyano, nitro, or phosphate;
- q is 0, 1 or 2;
- R 5 , R 6 , R 7 , and R 8 are H;
- X is (CH(R 9 )) z ;
- z is an integer of 1;
- Y is absent-;
- R 9 is hydrogen, methyl, or ethyl;
- W d is:
- R 11 is amino; and R 12 is H, alkyl, alkynyl, alkenyl, halo, aryl, heteroaryl, heterocycloalkyl, cycloalkyl, cyano, amino, carboxylic acid, alkoxycarbonyl, or amido.
- R 3 is aryl, heteroaryl, H, CH 3 , CF 3 , Cl, or F;
- B is a moiety of Formula II which is aryl, heteroaryl, heterocycloalkyl, or cycloalkyl,
- R 1 is H, —F, —Cl, —CN, —CH 3 , isopropyl, —CF 3 , —OCH 3 , nitro, or phosphate
- R 2 is halo, hydroxy, cyano, nitro, or phosphate;
- q is 0, 1 or 2;
- R 5 , R 6 , R 7 , and R 8 are H;
- X is absent or (CH(R 9 )) z ;
- z is an integer of 1:
- Y is absent —N(R 9 )—, or —N(R 9 ) CH(R 9 )—;
- R 9 is hydrogen, methyl, or ethyl; at least one of X
- Y when X is present, Y is —N(R 9 )—, and W d is purine, then Y is —NH—.
- R 3 is aryl, heteroaryl, H, CH 3 , CF 3 , Cl, or F;
- B is a moiety of Formula II which is aryl, heteroaryl, heterocycloalkyl, or cycloalkyl,
- R 1 is H, —F, —Cl, —CN, —CH 3 , isopropyl, —CF 3 , —OCH 3 , nitro, or phosphate;
- R 2 is halo, hydroxy, cyano, nitro, or phosphate;
- q is 0, 1 or 2;
- R 5 , R 6 , R 7 , and R 8 are H;
- X is absent;
- Y is—N(R 9 ) CH(R 9 )—;
- R 9 is hydrogen, methyl, or ethyl; and
- W d is:
- R 3 is aryl, heteroaryl, H, CH 3 , CF 3 , Cl, or F;
- B is alkyl or a moiety of Formula II which is aryl, heteroaryl, heterocycloalkyl, or cycloalkyl,
- R 1 is H, —F, —Cl, —CN, —CH 3 , isopropyl, —CF 3 , —OCH 3 , nitro, or phosphate;
- R 2 is halo, hydroxy, cyano, nitro, or phosphate;
- q is 0, 1 or 2;
- R 5 , R 6 , R 7 , and R 8 are H;
- X is absent or (CH(R 9 )) z ;
- z is an integer of 1, 2, 3, or 4;
- Y is absent, —N(R 9 )—, or —N(R 9 ) CH(R 9 )—;
- R 9 is hydrogen, methyl, or e
- R a ′ is hydrogen, halo, or amino; and R 12 is H, alkyl, alkynyl, alkenyl, halo, aryl, heteroaryl, heterocycloalkyl, cycloalkyl, cyano, amino, carboxylic acid, aloxycarbonyl, or amido .
- Y is —N(R 9 )—, and W d is purine, then Y is —NH—.
- Additional exemplary compounds of the present invention are disclosed having a sub-structure of Formula IV-A.
- Some illustrative compounds of the present invention having a structure of Formula IV-A include those in which R 3 is —H, —Cl, —F, or —CH 3 in combination with any B moiety described in Table 1, and any R 12 as described in Table 2.
- a compound of Formula IV-A includes any combination of R 3 , B, and R 12 . Additional exemplary compounds of Formula IV-A are illustrated in Table 4.
- R 12 of compounds of Formula I Sub- class # R 12 12-1 —CN 12-2 —Br 12-3 —Cl 12-4 —CH 2 CH 3 12-5 —CH 3 12-6 —CH(CH 3 ) 2 12-7 12-8 12-9 12-10 12-11 12-12 12-13 12-14 12-15 12-16 12-17 12-18 12-19 12-20 12-21 12-22 12-23 12-24 12-25 12-26 12-27 12-28 12-29 12-30 12-31 12-32 12-33 12-34 12-35 —H 12-36 12-37 12-38 12-39 12-40 12-41 12-42 12-43 12-44 12-45 12-46 12-47 12-48 12-49 12-50 12-51 12-52 12-53 12-54 12-55 12-56 12-57 12-58 12-59 12-60 12-61 —I 12-62 12-63 12-64 12-65 12-66 12-67 12-68 12-69 12-70 12-71 12-72 12-73 12-74 12-75 12-76 12-77 12-78 12-79 12-80 12-81 12-82 12-83 12-84 12-85 12-86 12-87 12-88 12-89 12-90 12-91 12-92 12-93 12-94 12-95 12-96 12-97 —F 12-
- illustrative compounds of the present invention have a structure of Formula V-A, V-A1, or V-A2, wherein B is a moiety described in Table 1, in combination with R 3 , which is —H, —Cl, —F, or CH 3 ,and R 9 , which is —H, —CH 3 , or —CH 2 CH 3 .
- a compound of Formula V-A, V-A1, or V-A2 includes any combination of R 3 , B, and R 9 .
- Yet other illustrative compounds of the present invention have a structure of Formula V-B, wherein B is a moiety described in Table 1, in combination with R 3 , which is —H, —Cl, —F, or CH 3 ,and R 9 , which is —H, —CH 3 , or —CH 2 CH 3 .
- a compound of Formula V-B includes any combination of R 3 , B, and R 9 .
- Some other illustrative compounds of the present invention have a structure of Formula VI-A, wherein B is a moiety described in Table 1, in combination with R 3 , which is —H, —Cl, —F, or CH 3 ,and R 9 , which is —H, —CH 3 , or —CH 2 CH 3 .
- a compound of Formula VI-A includes any combination of R 3 , B, and R 9 .
- Further illustrative compounds of the invention have a structure of one of Formulae VII-A1, VII-A2, VIII-A1, VIII-A2, IX-A1, IX-A2, X-A1, X-A2, XI-A1, XI-A2, XII-A, XII-A1, XII-A2, XIII-A, XIII-A1, XIII-A2, XIV-A, XIV-A1, or XIV-A2: wherein B is a moiety described in Table 1, any R 12 as described in Table 2, in combination with R 3 , which is —H, —Cl, —F, or CH 3 , R 9 which is —H, —CH 3 , or —CH 2 CH 3 , and R a ′ which is —H, —Cl, —F, or —NH 2 .
- Additional exemplary compounds of the present invention include but are not limited to the following:
- reaction times and conditions are intended to be approximate, e.g., taking place at about atmospheric pressure within a temperature range of about -10° C. to about 110° C. over a period of about 1 to about 24 hours; reactions left to run overnight average a period of about 16 hours.
- solvent each mean a solvent inert under the conditions of the reaction being described in conjunction therewith including, for example, benzene, toluene, acetonitrile, tetrahydrofuran (“THF”), dimethylformamide (“DMF”), chloroform, methylene chloride (or dichloromethane), diethyl ether, methanol, N-methylpyrrolidone (“NMP”), pyridine and the like.
- solvents used in the reactions described herein are inert organic solvents.
- one cc (or mL) of solvent constitutes a volume equivalent.
- Isolation and purification of the chemical entities and intermediates described herein can be effected, if desired, by any suitable separation or purification procedure such as, for example, filtration, extraction, crystallization, column chromatography, thin-layer chromatography or thick-layer chromatography, or a combination of these procedures.
- suitable separation and isolation procedures can be had by reference to the examples hereinbelow. However, other equivalent separation or isolation procedures can also be used.
- the (R)- and (S)-isomers of the compounds of the present invention may be resolved by methods known to those skilled in the art, for example by formation of diastereoisomeric salts or complexes which may be separated, for example, by crystallization; via formation of diastereoisomeric derivatives which may be separated, for example, by crystallization, gas-liquid or liquid chromatography; selective reaction of one enantiomer with an enantiomer-specific reagent, for example enzymatic oxidation or reduction, followed by separation of the modified and unmodified enantiomers; or gas-liquid or liquid chromatography in a chiral environment, for example on a chiral support, such as silica with a bound chiral ligand or in the presence of a chiral solvent.
- a specific enantiomer may be synthesized by asymmetric synthesis using optically active reagents, substrates, catalysts or solvents, or by converting one
- the compounds described herein can be optionally contacted with a pharmaceutically acceptable acid to form the corresponding acid addition salts.
- the compounds of the invention can generally be synthesized by an appropriate combination of generally well known synthetic methods. Techniques useful in synthesizing these chemical entities are both readily apparent and accessible to those of skill in the relevant art, based on the instant disclosure.
- the compounds of the invention can be synthesized by an appropriate combination of known synthetic methods in the art.
- the discussion below is offered to illustrate certain of the diverse methods available for use in making the compounds of the invention and is not intended to limit the scope of reactions or reaction sequences that can be used in preparing the compounds of the present invention.
- Step 1 a compound of Formula 101, wherein X is N or CR 7 , is converted to a compound of Formula 103, for example, via a two step process of Heck coupling with a compound of Formula 102, followed by acid catalyzed cyclization in methanol.
- the product, a compound of Formula 103 is isolated.
- Step 2 a compound of Formula 103 is converted to a compound of Formula 404, for example, via reaction with an appropriately substituted aniline.
- the product, a compound of Formula 104 is isolated.
- Step 3 a compound of Formula 104 is converted to a compound of Formula 105, for example, though reduction with lithium aluminum hydride.
- the product, a compound of Formula 105 is isolated.
- Step 4 a compound of Formula 105 is converted to a compound of Formula 106, for example, via reaction with thionyl chloride. The product, a compound of Formula 106, is isolated.
- Step 5 a compound of Formula 106 is converted to a compound of Formula 107, for example, via alkylation with a pyrrazolopyrimidine using a base such as potassium carbonate. The product, a compound of Formula 107, is isolated.
- Step 6 a compound of Formula 107 is converted to a compound of Formula 108, for example, via a Suzuki reaction.
- the product, a compound of Formula 108 is isolated and optionally purified.
- Step 1 a compound of Formula 201, wherein X is N or CR 7 , is converted to a compound of Formula 202, for example, with a reagent suitable for introduction of an acid chloride, for example, oxalyl chloride.
- the product, a compound of Formula 202 is optionally isolated.
- Step 2 a compound of Formula 202 is converted to a compound of Formula 503 for example, reaction with, for example, an an aryl amine .
- the product, a compound of Formula 203 is isolated.
- Step 3 a compound of Formula 203 is converted to a compound of Formula 204, for example, via a Stille coupling using an appropriate vinyl-stannane
- the product, a compound of Formula 204 is isolated.
- Step 4 a compound of Formula 204 is converted to a tertiary amide, a compoundof Formula 205, via reaction with chloroethyl acetate and sodium hydride base.
- the compound of Formula 205 is isolated.
- Step 5 a compound of Formula 205 is oxidized to an aldehyde, using, for example, osmonium tetraoxide and sodium periodinate.
- the product, a compound of Formula 206 is isolated.
- Step 6 a compound of Formula 206 is converted to a compound of Formula 104, for example, though aldol reaction in ethanol with a base, such as cesium carbonate. The product, a compound of Formula 104, is isolated.
- Step 7 a compound of Formula 104 is reduced to a primary alcohol via reduction with, for example, lithium aluminum hydride, to produce a compound of Formula 105, which is isolated.
- Step 8 a compound of Formula 105 is converted to a compound of Formula 207 via reaction with carbon tetrabromide and triphenylphosphine.
- the compound of Formula 207 is isolated. This compound can be a central intermediate in the synthesis of the compounds of the invention.
- Step 9 a compound of Formula 207, wherein X is N or CR 7 , is synthesized as described in Reaction Scheme 2 and is converted to a compound of Formula 107 via coupling with the compound of Formula 208 in the presence of base, for example, potassium t- butoxide.
- the compound of Formula 107 is isolated.
- Step 10 a compound of Formula 107 is converted to a compound of Formula 108 via coupling with, for example, an aryl boronic acid, in the presence of coupling catalysts and base, for example, palladium acetate, triphenylphosphine and sodium carbonate, for example.
- the compound of Formula 108 is isolated.
- Step 1 iodo ester 401, is reacted with an alkyne of Formula 400-A in the presence of a palladium catalyst, copper iodide and triethylamine (TEA) to couple the alkyne to the aryl core of compound 401 to produce a compound of Formula 402.
- the compound of Formula 402 is optionally isolated.
- Step 2 a compound of Formula 402 is treated with potassium hydroxide base to obtain the carboxylic acid, a compound of Formula 403, if the reaction product is acidified, or its salt.
- the compound of Formula 403 is optionally isolated.
- Step 3 a compound of Formula 403 is treated with bis (acetonitrile)dichoropalladium (II) and TEA to effect intramolecular ring closure to produce a compound of Formula 404.
- the compound of Formula 404 is isolated.
- Step 4 a compound of Formula 404 is reacted with a primary amine to produce a compound of Formula 405.
- the compound of Formula 405 is optionally isolated.
- Step 5 a compound of Formula 405 is treated with hydrochoric acid, removing the protecting group on nitrogen, and to obtain a compound of Formula 406.
- the compound of Formula 406 is optionally isolated.
- Step 6 a compound of Formula 406 is reacted with a compound of Formula 407, to produce a compound of Formula 408.
- the compound of Formula 408 is isolated.
- Reaction Scheme 4B the synthesis of one subset of purinyl substituted isoquinolones, wherein R 9 is methyl and R a is hydrogen, is illustrated using the synthetic transformations described for Reaction Scheme 4A.
- Step 1 iodo ester 401 is reacted with alkyne 501 in the presence of palladium coupling catalyst, copper iodide, and TEA, to obtain a compound of Formula 502.
- the compound of Formula 502 is optionally isolated.
- Step 2 the compound of Formula 502 is treated with potassium hydroxide base to obtain the carboxylate or free acid of a compound of Formula 503.
- Step 3 the compound of Formula 503 is treated with bis (acetonitrile)dichoropalladium (II) and TEA to effect intramolecular ring closure to produce a compound of Formula 504.
- the compound of Formula 504 is optionally isolated.
- Step 4 the compound of Formula 504 is treated with a primary amine to produce a compound of Formula 505.
- the compound of Formula 505 is isolated.
- Step 1 iodo ester 401 is reacted with alkyne 601 in the presence of palladium coupling catalyst, copper iodide, and TEA, to obtain a compound of Formula 602.
- the compound of Formula 602 is optionally isolated.
- Step 2 the compound of Formula 602 is treated with potassium hydroxide base to obtain the carboxylate or free acid of a compound of Formula 603.
- the compound of Formula 603 is treated with bis (acetonitrile)dichloropalladium (II) and TEA to effect intramolecular ring closure to produce a compound of Formula 604.
- the compound of Formula 604 is optionally isolated.
- the compound of Formula 604 is treated with a primary amine to produce a compound of Formula 605.
- the compound of Formula 605 is isolated.
- the compound of Formula 605 is treated with acid to remove the THP protecting group to obtain a compound of Formula 606.
- the compound of Formula 606 is isolated.
- Reaction Scheme 6B the synthesis of purinyl substituted isoquinolones, wherein R 9 is methyl and R a is hydrogen, is illustrated using the synthetic transformations described for Reaction Scheme 6A.
- Step 1 the compound of Formula 701 is synthesized by a variety of synthetic routes, including variations of Schemes 1 or 2 where, for example, a benzyl amine is used in the step of converting a compound of Formula 103 to a compound of Formula 104.
- the benzyl protecting group of the amine may be removed by standard deprotection chemistry to produce a compound of 701.
- Another example of a conversion of a compound of Formula 103 to a compoound of Formula 701 treatment of the compound of Formula 103 with ammonia produces the compound of Formula 701.
- the compound of Formula 701 is converted to a compound of Formula 702 by alkylation of the amide nitrogen with a number of 2-carbon containing synthons which can be deprotected, oxidized and reprotected as the respective ketal, the compound of Formula 702.
- the compound of Formula 702 is transformed by, for example, reductive amination of the ester moiety to introduce the purinyl moiety of a compound of Formula 703, or alternatively, is alkylated to so introduce a purinyl moiety and obtain a compound of Formula 703.
- the compound of Formula 703 is treated with acid to remove the ketal protecting group to produce a compound of Formula 704.
- the compound of Formula 704 is isolated.
- the compound of Formula 704 is reductively aminated with an amine to produce a compound of Formula 705.
- the compound of Formula 705 is isolated.
- the compound of Formula 702 is transformed by, steps 7 and 8 of Scheme 2 and step 9 of Scheme 3 to introduce the pyrazolopyrimidine moiety of a compound of Formula 706.
- the compound of Formula 706 is isolated.
- the compound of Formula 706 is treated with acid to remove the ketal protecting group to produce a compound of Formula 707.
- the compound of Formula 707 is isolated.
- Step 4-2 the compound of Formula 707 is reductively aminated with an amine to produce a compound of Formula 708.
- the compound of Formula 708 is isolated.
- Step 1 the compound of Formula 701 is synthesized as described in Scheme 7 or any other generally known chemistry.
- the compound of Formula 701 is tranformed by alkylation of the amide nitrogen with a number of 2-carbon containing synthons which can be deprotected, and converted to the alkoxy protected species as shown in the compond of Formula 801, which can be isolated.
- Step 2 the compound of Formula 801 is converted via chemistry described in Step 2-1 of Scheme 7 to introduce a purinyl moiety, and that resultant compound is transformed by deprotection, activation and amination with an amine to produce a compound of Formula 802, which is isolated.
- Step 3 the compound of Formula 801 is converted via chemistry described in Step 2-2 of Scheme 7 to introduce a pyrazolopyrimidine moiety, and that resultant compound is transformed by deprotection, activation and amination with an amine to produce a compound of Formula 803, which is isolated.
- the compound of Formula 901 is treated with an amine to produce a compound of Formula 902.
- the compound of Formula 902 is isolated.
- the compound of Formula 902 is treated with phosphorus oxychloride to generate a compound of Formula 903.
- the compound of Formula 903 is isolated.
- the compound of Formula 903 is reacted with an amino purine of Formula 904 to obtain a compound of Formula 905.
- the compound of Formula 905 is isolated.
- the compound of Formula 905 is treated with hydrochloric acid to remove the protecting group at nitrogen on the purine moiety to produce a compound of Formula 906.
- the compound of 906 is isolated.
- Step 1 the compound of Formula 1001 is treated with vinylogous ester 1002 using, for example a Heck reaction with subsequent cyclization, to produce a compound of Formula 1003.
- the compound of Formula 1003 is isolated.
- Step 2 the compound of Formula 1003 is reacted with 4- amino N-Boc piperidine to produce a compound of Formula 1004.
- the compound of Formula 1004 is isolated.
- the compound of Formula 1004 can be used as an intermediate in the synthesis of the compounds of the invention.
- Step 1 the compound of Formula 1101 is treated with an alkynyl alcohol, for example, of Formula 1102, in the presence of copper iodide and palladium on carbon catalyst, to produce a compound of Formula 1103.
- the compound of Formula 1103 is isolated.
- Step 1 the compound of Formula 1102 is reacted with 4-amino N-Boc piperidine to produce a compound of Formula 1103.
- the compound of Formula 1103 is isolated.
- the compound of Formula 1103 can be used as an intermediate in the synthesis of the compounds of the invention.
- Step 1 the compound of Formula 1201 is treated with a chlorinating agent such as oxalyl chloride to produce an acid chloride of Formula 1202.
- Step 2 the compound of Formula 1202 is reacted with a compound of Formula R′NH 2 in the presence of a base such as triethylamine, to produce a compound of Formula 1203.
- Step 3 the compound of Formula 1203 is treated with n-butyllithium and then reacted with an dialkyl oxalate such as diethyl oxalate to produce a compound of Formula 1204.
- Step 4 the compound of Formula 1204 is refluxed in an acidic solution, for example, hydrochloric acid in methanol to produce a compound of Formula 1205.
- Step 5 the compound of Formula 1205 is treated with a reducing agent such as lithium aluminum hydride to produce a compound of Formula 1206.
- Step 6 the compound of Formula 1206 is reacted with a brominating agent such as phosphorus tribromide, in the presence of dimethylformamide in acetonitrile to produce a bromo compound of Formula 1207.
- a reducing agent such as lithium aluminum hydride
- Step 6 the compound of Formula 1206 is reacted with a brominating agent such as phosphorus tribromide, in the presence of dimethylformamide in acetonitrile to produce a bromo compound of Formula 1207.
- Step 7 the compound of Formula 1207 is reacted with a heteroaryl compound, for example 3-iodo 1H-pyrazolo[3,4-d]pyrimidin-4-amine, in the presence of a base such as potasssium tert-butoxide in dimethylformamide to produce a compound of Formula 1208.
- a heteroaryl compound for example 3-iodo 1H-pyrazolo[3,4-d]pyrimidin-4-amine
- a base such as potasssium tert-butoxide in dimethylformamide
- Step 1 of Scheme 13 the compound of Formula 1301, (the S-isomer) is coupled to N, O-dimethylhydroxylamine using hydroxybenzotriazole (HOBt) and 1-ethyl-3-(3′-dimethylaminopropyl)carbodiimide (EDCI) in the presence of triethylamine to produce a compound of Formula 1302.
- a compound of Formula 1203 which may be synthesized as described in Scheme 12, is deprotonated with n-butyllithium in THF and hexamethylphosphommide at ⁇ 78° C. under an argon atmosphere.
- the compound of Formula 1302 is added and the reaction mixture is allowed to warm to ⁇ 50° C., quenched with the addition of water and a compound of Formula 1303 is isolated.
- Step 3 the compound of Formula 1303 is treated with hydrochloric acid in methanol at reflux, and then the reaction mixture is basified with the addition of sodium carbonate solution to a pH of about 7- about 8, to produce a compound of Formula 1304.
- the compound of formula 1304 may be partly epimerized as a result of the preceding reaction steps. Highly enantiopure 1304 may be isolated by preparing the tartaric acid salt by dissolving the compound of Formula 1304 in methanol and adding D-tartaric acid.
- the resulting reaction mixture is refluxed for one hour, then stirred at room temperature for 16 hours, and permits isolation of the salt of the compound of Formula 1304 wherein the enantiomeric purity is greater than 90% of the (S)- isomer.
- the free amine of the compound of Formula 1304 is regenerated before its use in the next synthesis step.
- the compound of Formula 1304, which is substantially the (S)-enantiomer is coupled to a chloro substituted heteroaryl W d , a compound of Formula 1305, including but not limited to 6-chloro-9(tetrahydro-2H-pyran-2-yl)-9H-purine, 2, 4, 5,-trichloropyrimidine, 4-chloro -7H-pyrrolo [2, 3-d] primidine, and 4-chloro-1H-pyrazolo[3,4-d]pyrimidine in the presence of base such as diisopropylethylamine or ammonia, to produce a compound of Formula 1306, and where the compound of Formula 1306 is the (S)-isomer.
- a compound of Formula 1305 including but not limited to 6-chloro-9(tetrahydro-2H-pyran-2-yl)-9H-purine, 2, 4, 5,-trichloropyrimidine, 4-chloro -7H-pyrrolo [2, 3-d] primidine, and 4-chloro-1H
- R 3 is chloro
- the compounds of the present invention exhibits one or more functional characteristics disclosed herein.
- one or more subject compounds bind specifically to a PI3 kinase.
- the IC50 of a subject compound for p110 ⁇ , p110 ⁇ , p110 ⁇ , or p110 ⁇ is less than about 1 uM, less than about 100 nM, less than about 50 nM, less than about 10 nM, less than about 1 nM, less than about 0.5 nM, less than about 100pM, or less than about 50 pM.
- one or more of the subject compounds may selectively inhibit one or more members of type I or class I phosphatidylinositol 3-kinases (PI3-kinase) with an IC50 value of about 100 nM, 50 nM, 10 nM, 5 nM, 100 pM, 10 pM or 1 pM, or less as measured in an in vitro kinase assay.
- PI3-kinase phosphatidylinositol 3-kinases
- a compound of Formula having an (S)-isomeric configuration with respect to carbon X may exhibit greater potency against one or more target PI3-kinases than the corresponding compound having an (R)-isomeric configuration with respect to carbon X.
- the compound of Formula I having an (S)-isomeric configuration with respect to carbon X may have a PI3-kinase IC50 value which is 1, 2, 3, or 4 orders of magnitude lower than the PI3-kinase IC50 value of the corresponding compound having an (R)-configuration.
- one or more of the subject compound may selectively inhibit one or two members of type I or class I phosphatidylinositol 3-kinases (PI3-kinase) consisting of PI3-kinase ⁇ , PI3-kinase PI3-kinase ⁇ , and PI3-kinase ⁇ .
- PI3-kinase phosphatidylinositol 3-kinases
- some of the subject compounds selectively inhibit PI3-kinase ⁇ as compared to all other type I PI3-kinases.
- some of the subject compounds selectively inhibit PI3-kinase ⁇ and PI3-kinase ⁇ as compared to the rest of the type I PI3-kinases.
- some of the subject compounds selectively inhibit PI3-kinase ⁇ and PI3-kinase ⁇ as compared to the rest of the type I PI3-kinases. In still yet some other aspects, some of the subject compounds selectively inhibit PI3-kinase ⁇ and PI3-kinase ⁇ as compared to the rest of the type I PI3-kinases.
- some of the subject compounds selectively inhibit PI3-kinase ⁇ and PI3-kinase ⁇ as compared to the rest of the type I PI3-kinases, or selectively inhibit PI3-kinase ⁇ and PI3-kinase ⁇ as compared to the rest of the type I PI3-kinases, or selectively inhibit PI3-kinase ⁇ and PI3-kinase ⁇ as compared to the rest of the type I PI3-kinases, or selectively inhibit PI3-kinase ⁇ and PI3-kinase ⁇ as compared to the rest of the type I PI3-kinases.
- an inhibitor that selectively inhibits one or more members of type I PI3-kinases or an inhibitor that selectively inhibits one or more type I PI3-kinase mediated signaling pathways, alternatively can be understood to refer to a compound that exhibits a 50% inhibitory concentration (IC50) with respect to a given type I PI3-kinase, that is at least at least 10-fold, at least 20-fold, at least 50-fold, at least 100-fold, at least 1000-fold, at least 10,100-fold, or lower, than the inhibitor's IC50 with respect to the rest of the other type I PI3-kinases.
- IC50 50% inhibitory concentration
- the invention provides pharmaceutical compositions comprising one or more compounds of the present invention.
- the invention provides pharmaceutical compositions for treating diseases or conditions related to an undesirable, over-active, harmful or deleterious immune response in a mammal.
- Such undesirable immune response can be associated with or result in, e.g., asthma, emphysema, bronchitis, psoriasis, allergy, anaphylaxsis, auto-immune diseases, rhuematoid arthritis, graft versus host disease, and lupus erythematosus.
- the pharmaceutical compositions of the present invention can be used to treat other respiratory diseases including but not limited to diseases affecting the lobes of lung, pleural cavity, bronchial tubes, trachea, upper respiratory tract, or the nerves and muscle for breathing.
- the invention provides pharmaceutical compositions for the treatment of disorders such as hyperproliferative disorder including but not limited to cancer such as acute myeloid leukemia, thymus, brain, lung, squamous cell, skin, eye, retinoblastoma, intraocular melanoma, oral cavity and oropharyngeal, bladder, gastric, stomach, pancreatic, bladder, breast, cervical, head, neck, renal, kidney, liver, ovarian, prostate, colorectal, esophageal, testicular, gynecological, thyroid, CNS, PNS, AIDS related AIDS-Related (e.g. Lymphoma and Kaposi's Sarcoma) or Viral-Induced cancer.
- cancer such as acute myeloid leukemia, thymus, brain, lung, squamous cell, skin, eye, retinoblastoma, intraocular melanoma, oral cavity and oropharyngeal, bladder, gastric, stomach, pancre
- said pharmaceutical composition is for the treatment of a non-cancerous hyperproliferative disorder such as benign hyperplasia of the skin (e. g., psoriasis), restenosis, or prostate (e. g., benign prostatic hypertrophy (BPH)).
- a non-cancerous hyperproliferative disorder such as benign hyperplasia of the skin (e. g., psoriasis), restenosis, or prostate (e. g., benign prostatic hypertrophy (BPH)).
- the invention also provides compositions for the treatment of liver diseases (including diabetes), pancreatitis or kidney disease (including proliferative glomerulonephritis and diabetes-induced renal disease) or pain in a mammal.
- liver diseases including diabetes
- pancreatitis or kidney disease including proliferative glomerulonephritis and diabetes-induced renal disease
- the invention further provides a composition for the prevention of blastocyte implantation in a mammal.
- the invention also relates to a composition for treating a disease related to vasculogenesis or angiogenesis in a mammal which can manifest as tumor angiogenesis, chronic inflammatory disease such as rheumatoid arthritis, inflammatory bowel disease, atherosclerosis, skin diseases such as psoriasis, eczema, and scleroderma, diabetes, diabetic retinopathy, retinopathy of prematurity, age-related macular degeneration, hemangioma, glioma, melanoma, Kaposi's sarcoma and ovarian, breast, lung, pancreatic, prostate, colon and epidermoid cancer.
- chronic inflammatory disease such as rheumatoid arthritis, inflammatory bowel disease, atherosclerosis, skin diseases such as psoriasis, eczema, and scleroderma
- diabetes diabetic retinopathy, retinopathy of prematurity
- compositions are typically formulated to provide a therapeutically effective amount of a compound of the present invention as the active ingredient, or a pharmaceutically acceptable salt, ester, prodrug, solvate, hydrate or derivative thereof.
- the pharmaceutical compositions contain pharmaceutically acceptable salt and/or coordination complex thereof, and one or more pharmaceutically acceptable excipients, carriers, including inert solid diluents and fillers, diluents, including sterile aqueous solution and various organic solvents, permeation enhancers, solubilizers and adjuvants.
- the subject pharmaceutical compositions can be administered alone or in combination with one or more other agents, which are also typically administered in the form of pharmaceutical compositions.
- the subject compounds and other agent(s) may be mixed into a preparation or both components may be formulated into separate preparations to use them in combination separately or at the same time.
- the concentration of one or more of the compounds provided in the pharmaceutical compositions of the present invention is less than 100%, 90%, 80%, 70%, 60%, 50%, 40%, 30%, 20%, 19%, 18%, 17%, 16%, 15%,14%, 13%, 12%, 11%, 10%, 9%, 8%, 7%, 6%, 5%, 4%, 3%, 2%, 1%, 0.5%, 0.4%, 0.3%, 0.2%, 0.1%, 0.09%, 0.08%, 0.07%, 0.06%, 0.05%, 0.04%, 0.03%, 0.02%, 0.01%, 0.009%, 0.008%, 0.007%, 0.006%, 0.005%, 0.004%, 0.003%, 0.002%, 0.001%, 0.0009%, 0.0008%, 0.0007%, 0.0006%, 0.0005%, 0.0004%, 0.0003%, 0.0002%, or 0.0001% w/w, w/v or v/v.
- the concentration of one or more of the compounds of the present invention is greater than 90%, 80%, 70%, 60%, 50%, 40%, 30%, 20%, 19.75%, 19.50%, 19.25% 19%, 18.75%, 18.50%, 18.25% 18%, 17.75%, 17.50%, 17.25% 17%, 16.75%, 16.50%, 16.25% 16%, 15.75%, 15.50%, 15.25% 15%, 14.75%, 14.50%, 14.25% 14%, 13.75%, 13.50%, 13.25% 13%, 12.75%, 12.50%, 12.25% 12%, 11.75%, 11.50%, 11.25% 11%, 10.75%, 10.50%, 10.25% 10%, 9.75%, 9.50%, 9.25% 9%, 8.75%, 8.50%, 8.25% 8%, 7.75%, 7.50%, 7.25% 7%, 6.75%, 6.50%, 6.25% 6%, 5.75%, 5.50%, 5.25% 5%, 4.75%, 4.50%,
- the concentration of one or more of the compounds of the present invention is in the range from approximately 0.0001% to approximately 50%, approximately 0.001% to approximately 40%, approximately 0.01% to approximately 30%, approximately 0.02% to approximately 29%, approximately 0.03% to approximately 28%, approximately 0.04% to approximately 27%, approximately 0.05% to approximately 26%, approximately 0.06% to approximately 25%, approximately 0.07% to approximately 24%, approximately 0.08% to approximately 23%, approximately 0.09% to approximately 22%, approximately 0.1% to approximately 21%, approximately 0.2% to approximately 20%, approximately 0.3% to approximately 19%, approximately 0.4% to approximately 18%, approximately 0.5% to approximately 17%, approximately 0.6% to approximately 16%, approximately 0.7% to approximately 15%, approximately 0.8% to approximately 14%, approximately 0.9% to approximately 12%, approximately 1% to approximately 10% w/w, w/v or v/v. v/v.
- the concentration of one or more of the compounds of the present invention is in the range from approximately 0.001% to approximately 10%, approximately 0.01% to approximately 5%, approximately 0.02% to approximately 4.5%, approximately 0.03% to approximately 4%, approximately 0.04% to approximately 3.5%, approximately 0.05% to approximately 3%, approximately 0.06% to approximately 2.5%, approximately 0.07% to approximately 2%, approximately 0.08% to approximately 1.5%, approximately 0.09% to approximately 1%, approximately 0.1% to approximately 0.9% w/w, w/v or v/v.
- the amount of one or more of the compounds of the present invention is equal to or less than 10 g, 9.5 g, 9.0 g, 8.5 g, 8.0 g, 7.5 g, 7.0 g, 6.5 g, 6.0 g, 5.5 g, 5.0 g, 4.5 g, 4.0 g, 3.5 g, 3.0 g, 2.5 g, 2.0 g, 1.5 g, 1.0 g, 0.95 g, 0.9 g, 0.85 g, 0.8 g, 0.75 g, 0.7 g, 0.65 g, 0.6 g, 0.55 g, 0.5 g, 0.45 g, 0.4 g, 0.35 g, 0.3 g, 0.25 g, 0.2 g, 0.15 g, 0.1 g, 0.09 g, 0.08 g, 0.07 g, 0.06 g, 0.05 g, 0.04 g, 0.03 g, 0.02 g, 0.01 g, 0.009 g
- the amount of one or more of the compounds of the present invention is more than 0.0001 g, 0.0002 g, 0.0003 g, 0.0004 g, 0.0005 g, 0.0006 g, 0.0007 g, 0.0008 g, 0.0009 g, 0.001 g, 0.0015 g, 0.002 g, 0.0025 g, 0.003 g, 0.0035 g, 0.004 g, 0.0045 g, 0.005 g, 0.0055 g, 0.006 g, 0.0065 g, 0.007 g, 0.0075 g, 0.008 g, 0.0085 g, 0.009 g, 0.0095 g, 0.01 g, 0.015 g, 0.02 g, 0.025 g, 0.03 g, 0.035 g, 0.04 g, 0.045 g, 0.05 g, 0.055 g, 0.06 g, 0.065 g, 0.07 g,
- the amount of one or more of the compounds of the present invention is in the range of 0.0001-10 g, 0.0005-9 g, 0.001-8 g, 0.005-7 g, 0.01-6 g, 0.05-5 g, 0.1-4 g, 0.5-4 g, or 1-3 g.
- the compounds according to the invention are effective over a wide dosage range.
- dosages from 0.01 to 1000 mg, from 0.5 to 100 mg, from 1 to 50 mg per day, and from 5 to 40 mg per day are examples of dosages that may be used.
- An exemplary dosage is 10 to 30 mg per day. The exact dosage will depend upon the route of administration, the form in which the compound is administered, the subject to be treated, the body weight of the subject to be treated, and the preference and experience of the attending physician.
- compositions and methods for preparing the same are non-limiting exemplary pharmaceutical compositions and methods for preparing the same.
- compositions for oral administration in some embodiments, the invention provides a pharmaceutical composition for oral administration containing a compound of the present invention, and a pharmaceutical excipient suitable for oral administration.
- the invention provides a solid pharmaceutical composition for oral administration containing: (i) an effective amount of a compound of the present invention; optionally (ii) an effective amount of a second agent; and (iii) a pharmaceutical excipient suitable for oral administration.
- the composition further contains . (iv) an effective amount of a third agent.
- the pharmaceutical composition may be a liquid pharmaceutical composition suitable for oral consumption.
- Pharmaceutical compositions of the invention suitable for oral administration can be presented as discrete dosage forms, such as capsules, cachets, or tablets, or liquids or aerosol sprays each containing a predetermined amount of an active ingredient as a powder or in granules, a solution, or a suspension in an aqueous or non-aqueous liquid, an oil-in-water emulsion, or a water-in-oil liquid emulsion.
- Such dosage forms can be prepared by any of the methods of pharmacy, but all methods include the step of bringing the active ingredient into association with the carrier, which constitutes one or more necessary ingredients.
- compositions are prepared by uniformly and intimately admixing the active ingredient with liquid carriers or finely divided solid carriers or both, and then, if necessary, shaping the product into the desired presentation.
- a tablet can be prepared by compression or molding, optionally with one or more accessory ingredients.
- Compressed tablets can be prepared by compressing in a suitable machine the active ingredient in a free-flowing form such as powder or granules, optionally mixed with an excipient such as, but not limited to, a binder, a lubricant, an inert diluent, and/or a surface active or dispersing agent.
- Molded tablets can be made by molding in a suitable machine a mixture of the powdered compound moistened with an inert liquid diluent.
- This invention further encompasses anhydrous pharmaceutical compositions and dosage forms comprising an active ingredient, since water can facilitate the degradation of some compounds.
- water may be added (e.g., 5%) in the pharmaceutical arts as a means of simulating long-term storage in order to determine characteristics such as shelf-life or the stability of formulations over time.
- Anhydrous pharmaceutical compositions and dosage forms of the invention can be prepared using anhydrous or low moisture containing ingredients and low moisture or low humidity conditions.
- Pharmaceutical compositions and dosage forms of the invention which contain lactose can be made anhydrous if substantial contact with moisture and/or humidity during manufacturing, packaging, and/or storage is expected.
- An anhydrous pharmaceutical composition may be prepared and stored such that its anhydrous nature is maintained.
- anhydrous compositions may be packaged using materials known to prevent exposure to water such that they can be included in suitable formulary kits.
- suitable packaging include, but are not limited to, hermetically sealed foils, plastic or the like, unit dose containers, blister packs, and strip packs.
- An active ingredient can be combined in an intimate admixture with a pharmaceutical carrier according to conventional pharmaceutical compounding techniques.
- the carrier can take a wide variety of forms depending on the form of preparation desired for administration.
- any of the usual pharmaceutical media can be employed as carriers, such as, for example, water, glycols, oils, alcohols, flavoring agents, preservatives, coloring agents, and the like in the case of oral liquid preparations (such as suspensions, solutions, and elixirs) or aerosols; or carriers such as starches, sugars, micro-crystalline cellulose, diluents, granulating agents, lubricants, binders, and disintegrating agents can be used in the case of oral solid preparations, in some embodiments without employing the use of lactose.
- suitable carriers include powders, capsules, and tablets, with the solid oral preparations. If desired, tablets can be coated by standard aqueous or nonaqueous techniques.
- Binders suitable for use in pharmaceutical compositions and dosage forms include, but are not limited to, corn starch, potato starch, or other starches, gelatin, natural and synthetic gums such as acacia, sodium alginate, alginic acid, other alginates, powdered tragacanth, guar gum, cellulose and its derivatives (e.g., ethyl cellulose, cellulose acetate, carboxymethyl cellulose calcium, sodium carboxymethyl cellulose), polyvinyl pyrrolidone, methyl cellulose, pre-gelatinized starch, hydroxypropyl methyl cellulose, microcrystalline cellulose, and mixtures thereof.
- natural and synthetic gums such as acacia, sodium alginate, alginic acid, other alginates, powdered tragacanth, guar gum, cellulose and its derivatives (e.g., ethyl cellulose, cellulose acetate, carboxymethyl cellulose calcium, sodium carboxymethyl cellulose), polyvinyl pyrrol
- suitable fillers for use in the pharmaceutical compositions and dosage forms disclosed herein include, but are not limited to, talc, calcium carbonate (e.g., granules or powder), microcrystalline cellulose, powdered cellulose, dextrates, kaolin, mannitol, silicic acid, sorbitol, starch, pre-gelatinized starch, and mixtures thereof.
- talc calcium carbonate
- microcrystalline cellulose e.g., powdere., powdered cellulose, dextrates, kaolin, mannitol, silicic acid, sorbitol, starch, pre-gelatinized starch, and mixtures thereof.
- Disintegrants may be used in the compositions of the invention to provide tablets that disintegrate when exposed to an aqueous environment. Too much of a disintegrant may produce tablets which may disintegrate in the bottle. Too little may be insufficient for disintegration to occur and may thus alter the rate and extent of release of the active ingredient(s) from the dosage form. Thus, a sufficient amount of disintegrant that is neither too little nor too much to detrimentally alter the release of the active ingredient(s) may be used to form the dosage forms of the compounds disclosed herein. The amount of disintegrant used may vary based upon the type of formulation and mode of administration, and may be readily discernible to those of ordinary skill in the art.
- Disintegrants that can be used to form pharmaceutical compositions and dosage forms of the invention include, but are not limited to, agar-agar, alginic acid, calcium carbonate, microcrystalline cellulose, croscarmellose sodium, crospovidone, polacrilin potassium, sodium starch glycolate, potato or tapioca starch, other starches, pre-gelatinized starch, other starches, clays, other algins, other celluloses, gums or mixtures thereof.
- Lubricants which can be used to form pharmaceutical compositions and dosage forms of the invention include, but are not limited to, calcium stearate, magnesium stearate, mineral oil, light mineral oil, glycerin, sorbitol, mannitol, polyethylene glycol, other glycols, stearic acid, sodium lauryl sulfate, talc, hydrogenated vegetable oil (e.g., peanut oil, cottonseed oil, sunflower oil, sesame oil, olive oil, corn oil, and soybean oil), zinc stearate, ethyl oleate, ethylaureate, agar, or mixtures thereof.
- Additional lubricants include, for example, a syloid silica gel, a coagulated aerosol of synthetic silica, or mixtures thereof
- a lubricant can optionally be added, in an amount of less than about 1 weight percent of the pharmaceutical composition.
- the essential active ingredient therein may be combined with various sweetening or flavoring agents, coloring matter or dyes and, if so desired, emulsifying and/or suspending agents, together with such diluents as water, ethanol, propylene glycol, glycerin and various combinations thereof.
- the tablets can be uncoated or coated by known techniques to delay disintegration and absorption in the gastrointestinal tract and thereby provide a sustained action over a longer period.
- a time delay material such as glyceryl monostearate or glyceryl distearate can be employed.
- Formulations for oral use can also be presented as hard gelatin capsules wherein the active ingredient is mixed with an inert solid diluent, for example, calcium carbonate, calcium phosphate or kaolin, or as soft gelatin capsules wherein the active ingredient is mixed with water or an oil medium, for example, peanut oil, liquid paraffin or olive oil.
- Surfactant which can be used to form pharmaceutical compositions and dosage forms of the invention include, but are not limited to, hydrophilic surfactants, lipophilic surfactants, and mixtures thereof. That is, a mixture of hydrophilic surfactants may be employed, a mixture of lipophilic surfactants may be employed, or a mixture of at least one hydrophilic surfactant and at least one lipophilic surfactant may be employed.
- a suitable hydrophilic surfactant may generally have an HLB value of at least 10, while suitable lipophilic surfactants may generally have an HLB value of or less than about 10.
- An empirical parameter used to characterize the relative hydrophilicity and hydrophobicity of non-ionic amphiphilic compounds is the hydrophilic-lipophilic balance (“HLB” value).
- HLB hydrophilic-lipophilic balance
- Surfactants with lower HLB values are more lipophilic or hydrophobic, and have greater solubility in oils, while surfactants with higher HLB values are more hydrophilic, and have greater solubility in aqueous solutions.
- Hydrophilic surfactants are generally considered to be those compounds having an HLB value greater than about 10, as well as anionic, cationic, or zwitterionic compounds for which the HLB scale is not generally applicable.
- lipophilic (i.e., hydrophobic) surfactants are compounds having an HLB value equal to or less than about 10.
- HLB value of a surfactant is merely a rough guide generally used to enable formulation of industrial, pharmaceutical and cosmetic emulsions.
- Hydrophilic surfactants may be either ionic or non-ionic. Suitable ionic surfactants include, but are not limited to, alkylammonium salts; fusidic acid salts; fatty acid derivatives of amino acids, oligopeptides, and polypeptides; glyceride derivatives of amino acids, oligopeptides, and polypeptides; lecithins and hydrogenated lecithins; lysolecithins and hydrogenated lysolecithins; phospholipids and derivatives thereof; lysophospholipids and derivatives thereof; carnitine fatty acid ester salts; salts of alkylsulfates; fatty acid salts; sodium docusate; acylactylates; mono- and di-acetylated tartaric acid esters of mono- and di-glycerides; succinylated mono- and di-glycerides; citric acid esters of mono- and di-glycerides; and mixtures
- ionic surfactants include, by way of example: lecithins, lysolecithin, phospholipids, lysophospholipids and derivatives thereof; carnitine fatty acid ester salts; salts of alkylsulfates; fatty acid salts; sodium docusate; acylactylates; mono- and di-acetylated tartaric acid esters of mono- and di-glycerides; succinylated mono- and di-glycerides; citric acid esters of mono- and di-glycerides; and mixtures thereof.
- Ionic surfactants may be the ionized forms of lecithin, lysolecithin, phosphatidylcholine, phosphatidylethanolamine, phosphatidylglycerol, phosphatidic acid, phosphatidylserine, lysophosphatidylcholine, lysophosphatidylethanolamine, lysophosphatidylglycerol, lysophosphatidic acid, lysophosphatidylserine, PEG-phosphatidylethanolamine, PVP-phosphatidylethanolamine, lactylic esters of fatty acids, stearoyl-2-lactylate, stearoyl lactylate, succinylated monoglycerides, mono/diacetylated tartaric acid esters of mono/diglycerides, citric acid esters of mono/diglycerides, cholylsarcosine, caproate, caprylate, caprate,
- Hydrophilic non-ionic surfactants may include, but not limited to, alkylglucosides; alkylmaltosides; alkylthioglucosides; lamylmacrogolglycerides; polyoxyalkylene alkyl ethers such as polyethylene glycol alkyl ethers; polyoxyalkylene alkylphenols such as polyethylene glycol alkyl phenols; polyoxyalkylene alkyl phenol fatty acid esters such as polyethylene glycol fatty acids monoesters and polyethylene glycol fatty acids diesters; polyethylene glycol glycerol fatty acid esters; polyglycerol fatty acid esters; polyoxyalkylene sorbitan fatty acid esters such as polyethylene glycol sorbitan fatty acid esters; hydrophilic transesterification products of a polyol with at least one member of the group consisting of glycerides, vegetable oils, hydrogenated vegetable oils, fatty acids, and sterols; polyoxyethylene sterols
- hydrophilic-non-ionic surfactants include, without limitation, PEG-10 laurate, PEG-12 laurate, PEG-20 laurate, PEG-32 laurate, PEG-32 dilaurate, PEG-12 oleate, PEG-15 oleate, PEG-20 oleate, PEG-20 dioleate, PEG-32 oleate, PEG-200 oleate, PEG-400 oleate, PEG-15 stearate, PEG-32 distearate, PEG-40 stearate, PEG-100 stearate, PEG-20 dilaurate, PEG-25 glyceryl trioleate, PEG-32 dioleate, PEG-20 glyceryl laurate, PEG-30 glyceryl laurate, PEG-20 glyceryl stearate, PEG-20 glyceryl oleate, PEG-30 glyceryl oleate, PEG-30 glyceryl oleate
- Suitable lipophilic surfactants include, by way of example only: fatty alcohols; glycerol fatty acid esters; acetylated glycerol fatty acid esters; lower alcohol fatty acids esters; propylene glycol fatty acid esters; sorbitan fatty acid esters; polyethylene glycol sorbitan fatty acid esters; sterols and sterol derivatives; polyoxyethylated sterols and sterol derivatives; polyethylene glycol alkyl ethers; sugar esters; sugar ethers; lactic acid derivatives of mono- and di-glycerides; hydrophobic transesterification products of a polyol with at least one member of the group consisting of glycerides, vegetable oils, hydrogenated vegetable oils, fatty acids and sterols; oil-soluble vitamins/vitamin derivatives; and mixtures thereof.
- preferred lipophilic surfactants include glycerol fatty acid esters, propylene glycol fatty acid esters, and mixtures thereof, or are hydrophobic transesterification products of a polyol with at least one member of the group consisting of vegetable oils, hydrogenated vegetable oils, and triglycerides.
- the composition may include a solubilizer to ensure good solubilization and/or dissolution of the compound of the present invention and to minimize precipitation of the compound of the present invention. This can be especially important for compositions for non-oral use, e.g., compositions for injection.
- a solubilizer may also be added to increase the solubility of the hydrophilic drug and/or other components, such as surfactants, or to maintain the composition as a stable or homogeneous solution or dispersion.
- solubilizers include, but are not limited to, the following: alcohols and polyols, such as ethanol, isopropanol, butanol, benzyl alcohol, ethylene glycol, propylene glycol, butanediols and isomers thereof, glycerol, pentaerythritol, sorbitol, mannitol, transcutol, dimethyl isosorbide, polyethylene glycol, polypropylene glycol, polyvinylalcohol, hydroxypropyl methylcellulose and other cellulose derivatives, cyclodextrins and cyclodextrin derivatives; ethers of polyethylene glycols having an average molecular weight of about 200 to about 6000, such as tetrahydrofurfuryl alcohol PEG ether (glycofurol) or methoxy PEG; amides and other nitrogen-containing compounds such as 2-pyrrolidone, 2-piperidone, .epsilon
- solubilizers may also be used. Examples include, but not limited to, triacetin, triethylcitrate, ethyl oleate, ethyl caprylate, dimethylacetamide, N-methylpyrrolidone, N-hydroxyethylpyrrolidone, polyvinylpyrrolidone, hydroxypropyl methylcellulose, hydroxypropyl cyclodextrins, ethanol, polyethylene glycol 200-100, glycofurol, transcutol, propylene glycol, and dimethyl isosorbide.
- Particularly preferred solubilizers include sorbitol, glycerol, triacetin, ethyl alcohol, PEG-400, glycofurol and propylene glycol.
- the amount of solubilizer that can be included is not particularly limited.
- the amount of a given solubilizer may be limited to a bioacceptable amount, which may be readily determined by one of skill in the art.
- the solubilizer can be in a weight ratio of 10%, 25%, 50%, 100%, or up to about 200% by weight, based on the combined weight of the drug, and other excipients.
- very small amounts of solubilizer may also be used, such as 5%, 2%, 1% or even less.
- the solubilizer may be present in an amount of about 1% to about 100%, more typically about 5% to about 25% by weight.
- the composition can further include one or more pharmaceutically acceptable additives and excipients.
- additives and excipients include, without limitation, detackifiers, anti-foaming agents, buffering agents, polymers, antioxidants, preservatives, chelating agents, viscomodulators, tonicifiers, flavorants, colorants, odorants, opacifiers, suspending agents, binders, fillers, plasticizers, lubricants, and mixtures thereof.
- an acid or a base may be incorporated into the composition to facilitate processing, to enhance stability, or for other reasons.
- pharmaceutically acceptable bases include amino acids, amino acid esters, ammonium hydroxide, potassium hydroxide, sodium hydroxide, sodium hydrogen carbonate, aluminum hydroxide, calcium carbonate, magnesium hydroxide, magnesium aluminum silicate, synthetic aluminum silicate, synthetic hydrocalcite, magnesium aluminum hydroxide, diisopropylethylamine, ethanolamine, ethylenediamine, triethanolamine, triethylamine, triisopropanolamine, trimethylamine, tris(hydroxymethyl)aminomethane (TRIS) and the like.
- bases that are salts of a pharmaceutically acceptable acid, such as acetic acid, acrylic acid, adipic acid, alginic acid, alkanesulfonic acid, amino acids, ascorbic acid, benzoic acid, boric acid, butyric acid, carbonic acid, citric acid, fatty acids, formic acid, fumaric acid, gluconic acid, hydroquinosulfonic acid, isoascorbic acid, lactic acid, maleic acid, oxalic acid, para-bromophenylsulfonic acid, propionic acid, p-toluenesulfonic acid, salicylic acid, stearic acid, succinic acid, tannic acid, tartaric acid, thioglycolic acid, toluenesulfonic acid, uric acid, and the like.
- a pharmaceutically acceptable acid such as acetic acid, acrylic acid, adipic acid, alginic acid, alkanesulfonic acid, amino acids
- Salts of polyprotic acids such as sodium phosphate, disodium hydrogen phosphate, and sodium dihydrogen phosphate can also be used.
- the cation can be any convenient and pharmaceutically acceptable cation, such as ammonium, alkali metals, alkaline earth metals, and the like.
- Example may include, but not limited to, sodium, potassium, lithium, magnesium, calcium and ammonium.
- Suitable acids are pharmaceutically acceptable organic or inorganic acids.
- suitable inorganic acids include hydrochloric acid, hydrobromic acid, hydriodic acid, sulfuric acid, nitric acid, boric acid, phosphoric acid, and the like.
- suitable organic acids include acetic acid, acrylic acid, adipic acid, alginic acid, alkanesulfonic acids, amino acids, ascorbic acid, benzoic acid, boric acid, butyric acid, carbonic acid, citric acid, fatty acids, formic acid, fumaric acid, gluconic acid, hydroquinosulfonic acid, isoascorbic acid, lactic acid, maleic acid, methanesulfonic acid, oxalic acid, para-bromophenylsulfonic acid, propionic acid, p-toluenesulfonic acid, salicylic acid, stearic acid, succinic acid, tannic acid, tartaric acid, thioglycolic
- compositions for injection In some embodiments, the invention provides a pharmaceutical composition for injection containing a compound of the present invention and a pharmaceutical excipient suitable for injection. Components and amounts of agents in the compositions are as described herein.
- Aqueous solutions in saline are also conventionally used for injection.
- Ethanol, glycerol, propylene glycol, liquid polyethylene glycol, and the like (and suitable mixtures thereof), cyclodextrin derivatives, and vegetable oils may also be employed.
- the proper fluidity can be maintained, for example, by the use of a coating, such as lecithin, for the maintenance of the required particle size in the case of dispersion and by the use of surfactants.
- the prevention of the action of microorganisms can be brought about by various antibacterial and antifungal agents, for example, parabens, chlorobutanol, phenol, sorbic acid, thimerosal, and the like.
- Sterile injectable solutions are prepared by incorporating the compound of the present invention in the required amount in the appropriate solvent with various other ingredients as enumerated above, as required, followed by filtered sterilization.
- dispersions are prepared by incorporating the various sterilized active ingredients into a sterile vehicle which contains the basic dispersion medium and the required other ingredients from those enumerated above.
- certain desirable methods of preparation are vacuum-drying and freeze-drying techniques which yield a powder of the active ingredient plus any additional desired ingredient from a previously sterile-filtered solution thereof.
- compositions for topical (e.g., transdermal) delivery are provided.
- the invention provides a pharmaceutical composition for transdermal delivery containing a compound of the present invention and a pharmaceutical excipient suitable for transdermal delivery.
- compositions of the present invention can be formulated into preparations in solid, semi-solid, or liquid forms suitable for local or topical administration, such as gels, water soluble jellies, creams, lotions, suspensions, foams, powders, slurries, ointments, solutions, oils, pastes, suppositories, sprays, emulsions, saline solutions, dimethylsulfoxide (DMSO)-based solutions.
- DMSO dimethylsulfoxide
- carriers with higher densities are capable of providing an area with a prolonged exposure to the active ingredients.
- a solution formulation may provide more immediate exposure of the active ingredient to the chosen area.
- compositions also may comprise suitable solid or gel phase carriers or excipients, which are compounds that allow increased penetration of, or assist in the delivery of, therapeutic molecules across the stratum corneum permeability barrier of the skin.
- suitable solid or gel phase carriers or excipients which are compounds that allow increased penetration of, or assist in the delivery of, therapeutic molecules across the stratum corneum permeability barrier of the skin.
- humectants e.g., urea
- glycols e.g., propylene glycol
- alcohols e.g., ethanol
- fatty acids e.g., oleic acid
- surfactants e.g., isopropyl myristate and sodium lauryl sulfate
- pyrrolidones e.g., isopropyl myristate and sodium lauryl sulfate
- pyrrolidones e.glycerol monolaurate, sulfoxides, terpenes (e.g., menthol)
- amines amides, alkanes, alkanols, water, calcium carbonate, calcium phosphate, various sugars, starches, cellulose derivatives, gelatin, and polymers such as polyethylene glycols.
- transdermal delivery devices Such transdermal patches may be used to provide continuous or discontinuous infusion of a compound of the present invention in controlled amounts, either with or without another agent.
- transdermal patches for the delivery of pharmaceutical agents is well known in the art. See, e.g., U.S. Pat. Nos. 5,023,252, 4,992,445 and U.S. Pat. No. 5,001,139. Such patches may be constructed for continuous, pulsatile, or on demand delivery of pharmaceutical agents.
- compositions for inhalation include solutions and suspensions in pharmaceutically acceptable, aqueous or organic solvents, or mixtures thereof, and powders.
- the liquid or solid compositions may contain suitable pharmaceutically acceptable excipients as described supra.
- the compositions are administered by the oral or nasal respiratory route for local or systemic effect.
- Compositions in preferably pharmaceutically acceptable solvents may be nebulized by use of inert gases. Nebulized solutions may be inhaled directly from the nebulizing device or the nebulizing device may be attached to a face mask tent, or intermittent positive pressure breathing machine. Solution, suspension, or powder compositions may be administered, preferably orally or nasally, from devices that deliver the formulation in an appropriate manner.
- compositions may also be prepared from compositions described herein and one or more pharmaceutically acceptable excipients suitable for sublingual, buccal, rectal, intraosseous, intraocular, intranasal, epidural, or intraspinal administration. Preparations for such pharmaceutical compositions are well-known in the art.
- Administration of the compounds or pharmaceutical composition of the present invention can be effected by any method that enables delivery of the compounds to the site of action. These methods include oral routes, intraduodenal routes, parenteral injection (including intravenous, intraarterial, subcutaneous, intramuscular, intravascular, intraperitoneal or infusion), topical (e.g. transdermal application), rectal administration, via local delivery by catheter or stent or through inhalation. Compounds can also abe administered intraadiposally or intrathecally.
- an effective dosage is in the range of about 0.001 to about 100 mg per kg body weight per day, preferably about 1 to about 35 mg/kg/day, in single or divided doses. For a 70 kg human, this would amount to about 0.05 to 7 g/day, preferably about 0.05 to about 2.5 g/day. In some instances, dosage levels below the lower limit of the aforesaid range may be more than adequate, while in other cases still larger doses may be employed without causing any harmful side effect, e.g. bydividing such larger doses into several small doses for administration throughout the day.
- a compound of the invention is administered in a single dose.
- administration will be by injection, e.g., intravenous injection, in order to introduce the agent quickly.
- other routes may be used as appropriate.
- a single dose of a compound of the invention may also be used for treatment of an acute condition.
- a compound of the invention is administered in multiple doses. Dosing may be about once, twice, three times, four times, five times, six times, or more than six times per day. Dosing may be about once a month, once every two weeks, once a week, or once every other day. In another embodiment a compound of the invention and another agent are administered together about once per day to about 6 times per day. In another embodiment the administration of a compound of the invention and an agent continues for less than about 7 days. In yet another embodiment the administration continues for more than about 6, 10, 14, 28 days, two months, six months, or one year. In some cases, continuous dosing is achieved and maintained as long as necessary.
- an agent of the invention is administered for more than 1, 2, 3, 4, 5, 6, 7, 14, or 28 days. In some embodiments, an agent of the invention is administered for less than 28, 14, 7, 6, 5, 4, 3, 2, or 1 day. In some embodiments, an agent of the invention is administered chronically on an ongoing basis, e.g., for the treatment of chronic effects.
- An effective amount of a compound of the invention may be administered in either single or multiple doses by any of the accepted modes of administration of agents having similar utilities, including rectal, buccal, intranasal and transdermal routes, by intra-arterial injection, intravenously, intraperitoneally, parenterally, intramuscularly, subcutaneously, orally, topically, or as an inhalant.
- compositions of the invention may also be delivered via an impregnated or coated device such as a stent, for example, or an artery-inserted cylindrical polymer.
- a method of administration may, for example, aid in the prevention or amelioration of restenosis following procedures such as balloon angioplasty.
- compounds of the invention may slow or inhibit the migration and proliferation of smooth muscle cells in the arterial wall which contribute to restenosis.
- a compound of the invention may be administered, for example, by local delivery from the struts of a stent, from a stent graft, from grafts, or from the cover or sheath of a stent.
- a compound of the invention is admixed with a matrix.
- Such a matrix may be a polymeric matrix, and may serve to bond the compound to the stent.
- Polymeric matrices suitable for such use include, for eample, lactone-based polyesters or copolyesters such as polylactide, polycaprolactonglycolide, polyorthoesters, polyanhydrides, polyaminoacids, polysaccharides, polyphosphazenes, poly (ether-ester) copolymers (e.g. PEO-PLLA); polydimethylsiloxane, poly(ethylene-vinylacetate), acrylate-based polymers or copolymers (e.g.
- Compounds of the invention may be applied to the surface of the stent by various methods such as dip/spin coating, spray coating, dip-coating, and/or brush-coating.
- the compounds may be applied in a solvent and the solvent may be allowed to evaporate, thus forming a layer of compound onto the stent.
- the compound may be located in the body of the stent or graft, for example in microchannels or micropores.
- stents When implanted, the compound diffuses out of the body of the stent to contact the arterial wall.
- stents may be prepared by dipping a stent manufactured to contain such micropores or microchannels into a solution of the compound of the invention in a suitable solvent, followed by evaporation of the solvent. Excess drug on the surface of the stent may be removed via an additional brief solvent wash.
- compounds of the invention may be covalently linked to a stent or graft.
- a covalent linker may be used which degrades in vivo, leading to the release of the compound of the invention. Any bio-labile linkage may be used for such a purpose, such as ester, amide or anhydride linkages.
- Compounds of the invention may additionally be administered intravascularly from a balloon used during angioplasty. Extravascular administration of the compounds via the pericard or via advential application of formulations of the invention may also be performed to decrease restenosis.
- the compounds of the invention may be administered in dosages. It is known in the art that due to intersubject variability in compound pharmacokinetics, individualization of dosing regimen is necessary for optimal therapy. Dosing for a compound of the invention may be found by routine experimentation in light of the instant disclosure.
- a compound of the invention When a compound of the invention, is administered in a composition that comprises one or more agents, and the agent has a shorter half-life than the compound of the invention unit dose forms of the agent and the compound of the invention may be adjusted accordingly.
- the subject pharmaceutical composition may, for example, be in a form suitable for oral administration as a tablet, capsule, pill, powder, sustained release formulations, solution, suspension, for parenteral injection as a sterile solution, suspension or emulsion, for topical administration as an ointment or cream or for rectal administration as a suppository.
- the pharmaceutical composition may be in unit dosage forms suitable for single administration of precise dosages.
- the pharmaceutical composition will include a conventional pharmaceutical carrier or excipient and a compound according to the invention as an active ingredient. In addition, it may include other medicinal or pharmaceutical agents, carriers, adjuvants, etc.
- Exemplary parenteral administration forms include solutions or suspensions of active compound in sterile aqueous solutions, for example, aqueous propylene glycol or dextrose solutions. Such dosage forms can be suitably buffered, if desired.
- the activity of the compounds of the present invention may be determined by the following procedure, as well as the procedure described in the examples below.
- the activity of the kinase is assessed by measuring the incorporation of ⁇ - 33 P-phosphate from ⁇ - 33 P-ATP onto N-terminal His tagged substrate, which is expressed in E. coli and is purified by conventional methods, in the presence of the kinase.
- the assay is carried out in 96-well polypropylene plate.
- the incubation mixture (100, ⁇ L) comprises of 25 mM Hepes, pH 7.4, 10 mM MgCl 2 , 5 mM ⁇ -glycerolphosphate, 100 ⁇ M Na-orthovanadate, 5 mM DTT, 5 nM kinase, and 1 ⁇ M substrate.
- Inhibitors are suspended in DMSO, and all reactions, including controls are performed at a final concentration of 1% DMSO. Reactions are initiated by the addition of 10 ⁇ M ATP (with 0.5 ⁇ Ci ⁇ - 33 P- ATP/well) and incubated at ambient temperature for 45 minutes. Equal volume of 25% TCA is added to stop the reaction and precipitate the proteins.
- Precipitated proteins are trapped onto glass fiber B filterplates, and excess labeled ATP washed off using a Tomtec MACH III harvestor. Plates are allowed to air-dry prior to adding 30 ⁇ L/well of Packard Microscint 20, and plates are counted using a Packard TopCount.
- kits include a compound or compounds of the present invention as described herein, in suitable packaging, and written material that can include instructions for use, discussion of clinical studies, listing of side effects, and the like.
- kits may also include information, such as scientific literature references, package insert materials, clinical trial results, and/or summaries of these and the like, which indicate or establish the activities and/or advantages of the composition, and/or which describe dosing, administration, side effects, drug interactions, or other information useful to the health care provider.
- Such information may be based on the results of various studies, for example, studies using experimental animals involving in vivo models and studies based on human clinical trials.
- the kit may further contain another agent.
- the compound of the present invention and the agent are provided as separate compositions in separate containers within the kit. In some embodiments, the compound of the present invention and the agent are provided as a single composition within a container in the kit. Suitable packaging and additional articles for use (e.g., measuring cup for liquid preparations, foil wrapping to minimize exposure to air, and the like) are known in the art and may be included in the kit. Kits described herein can be provided, marketed and/or promoted to health providers, including physicians, nurses, pharmacists, formulary officials, and the like. Kits may also, in some embodiments, be marketed directly to the consumer.
- the invention also provides methods of using the compounds or pharmaceutical compositions of the present invention to treat disease conditions, including but not limited to diseases associated with malfunctioning of one or more types of PI3 kinase.
- diseases associated with malfunctioning of one or more types of PI3 kinase include p110 ⁇ kinase activity, and WO 01/81346, which is incorporated herein by reference in its entirety for all purposes.
- the treatment methods provided herein comprise administering to the subject a therapeutically effective amount of a compound of the invention.
- the present invention provides a method of treating an inflammation disorder, including autoimmune diseases in a mammal. The method comprises administering to said mammal a therapeutically effective amount of a compound of the present invention, or a pharmaceutically acceptable salt, ester, prodrug, solvate, hydrate or derivative thereof.
- autoimmune diseases includes but is not limited to acute disseminated encephalomyelitis (ADEM), Addison's disease, antiphospholipid antibody syndrome (APS), aplastic anemia, autoimmune hepatitis, coeliac disease, Crohn's disease, Diabetes mellitus (type 1), Goodpasture's syndrome, Graves' disease, Guillain-Barré syndrome (GBS), Hashimoto's disease, lupus erythematosus, multiple sclerosis, myasthenia gravis, opsoclonus myoclonus syndrome (OMS), optic neuritis, Ord's thyroiditis, oemphigus, polyarthritis, primary biliary cirrhosis, psoriasis, rheumatoid arthritis, Reiter's syndrome, Takayasu's arteritis, temporal arteritis (also known as “giant cell arteritis”), warm autoimmune hemolytic anemia, Wegener'
- the method of treating inflammatory or autoimmune diseases comprises administering to a subject (e.g. a mammal) a therapeutically effective amount of one or more compounds of the present invention that selectively inhibit PI3K- ⁇ and/or PI3K- ⁇ as compared to all other type I PI3 kinases.
- a subject e.g. a mammal
- Such selective inhibition of PI3K- ⁇ and/or PI3K- ⁇ may be advantageous for treating any of the diseases or conditions described herein.
- selective inhibition of PI3K- ⁇ may inhibit inflammatory responses associated with inflammatory diseases, autoimmune disease, or diseases related to an undesirable immune response including but not limited to asthma, emphysema, allergy, dermatitis, rhuematoid arthritis, psoriasis, lupus erythematosus, or graft versus host disease.
- Selective inhibition of PI3K- ⁇ may further provide for a reduction in the inflammatory or undesirable immune response without a concomittant reduction in the ability to reduce a bacterial, viral, and/or fungal infection.
- one or more of the subject methods are effective in reducing antigen specific antibody production in vivo by about 2-fold, 3-fold, 4-fold, 5-fold, 7.5-fold, 10-fold, 25-fold, 50-fold, 100-fold, 250-fold, 500-fold, 750-fold, or about 1000-fold or more.
- one or more of the subject methods are effective in reducing antigen specific IgG3 and/or IgGM production in vivo by about 2-fold, 3-fold, 4-fold, 5-fold, 7.5-fold, 10-fold, 25-fold, 50-fold, 100-fold, 250-fold, 500-fold, 750-fold, or about 1000-fold or more.
- one of more of the subject methods are effective in ameliorating symptoms assoicated with rhuematoid arthritis including but not limited to a reduction in the swelling of joints, a reduction in serum anti-collagen levels, and/or a reduction in joint pathology such as bone resorption, cartilage damage, pannus, and/or inflammation.
- the subject methods are effective in reducing ankle inflammation by at least about 2%, 5%, 10%, 15%, 20%, 25%, 30%, 50%, 60%, or about 75% to 90%.
- the subject methods are effective in reducing knee inflammation by at least about 2%, 5%, 10%, 15%, 20%, 25%, 30%, 50%, 60%, or about 75% to 90% or more.
- the subject methods are effective in reducing serum anti-type II collagen levels by at least about 10%, 12%, 15%, 20%, 24%, 25%, 30%, 35%, 50%, 60%, 75%, 80%, 86%, 87%, or about 90% or more.
- the subject methods are effective in reducing ankle histopathology scores by about 5%, 10%, 15%, 20%, 25%, 30%, 40%, 50%, 60%, 75%, 80%, 90% or more.
- the subject methods are effective in reducing knee histopathology scores by about 5%, 10%, 15%, 20%, 25%, 30%, 40%, 50%, 60%, 75%, 80%, 90% or more.
- the present invention provides methods of using the compounds or pharmaceutical compositions to treat respiratory diseases including but not limited to diseases affecting the lobes of lung, pleural cavity, bronchial tubes, trachea, upper respiratory tract, or the nerves and muscle for breathing.
- respiratory diseases including but not limited to diseases affecting the lobes of lung, pleural cavity, bronchial tubes, trachea, upper respiratory tract, or the nerves and muscle for breathing.
- methods are provided to treat obstructive pulmonary disease.
- COPD chronic obstructive pulmonary disease
- COPD chronic obstructive pulmonary disease
- Conditions included in this umbrella term are: chronic bronchitis, emphysema, and bronchiectasis.
- the compounds described herein are used for the treatment of asthma.
- the compounds or pharmaceutical compositions described herein may be used for the treatment of endotoxemia and sepsis.
- the compounds or pharmaceutical compositions described herein are used to for the treatment of rheumatoid arthritis (RA).
- the compounds or pharmaceutical compositions described herein is used for the treatment of contact or atopic dermatitis.
- Contact dermatitis includes irritant dermatitis, phototoxic dermatitis, allergic dermatitis, photoallergic dermatitis, contact urticaria, systemic contact-type dermatitis and the like.
- Irritant dermatitis can occur when too much of a substance is used on the skin of when the skin is sensitive to certain substance.
- Atopic dermatitis sometimes called eczema, is a kind of dermatitis, an atopic skin disease.
- the invention also relates to a method of treating a hyperproliferative disorder in a mammal that comprises administering to said mammal a therapeutically effective amount of a compound of the present invention, or a pharmaceutically acceptable salt, ester, prodrug, solvate, hydrate or derivative thereof.
- said method relates to the treatment of cancer such as acute myeloid leukemia, thymus, brain, lung, squamous cell, skin, eye, retinoblastoma, intraocular melanoma, oral cavity and oropharyngeal, bladder, gastric, stomach, pancreatic, bladder, breast, cervical, head, neck, renal, kidney, liver, ovarian, prostate, colorectal, esophageal, testicular, gynecological, thyroid, CNS, PNS, AIDS-related (e.g. Lymphoma and Kaposi's Sarcoma) or viral-induced cancer.
- cancer such as acute myeloid leukemia, thymus, brain, lung, squamous cell, skin, eye, retinoblastoma, intraocular melanoma, oral cavity and oropharyngeal, bladder, gastric, stomach, pancreatic, bladder, breast, cervical, head, neck, renal, kidney, liver, ovarian, prostate,
- said method relates to the treatment of a non-cancerous hyperproliferative disorder such as benign hyperplasia of the skin (e.g., psoriasis), restenosis, or prostate (e.g., benign prostatic hypertrophy (BPH)).
- a non-cancerous hyperproliferative disorder such as benign hyperplasia of the skin (e.g., psoriasis), restenosis, or prostate (e.g., benign prostatic hypertrophy (BPH)).
- the invention also relates to a method of treating diseases related to vasculogenesis or angiogenesis in a mammal that comprises administering to said mammal a therapeutically effective amount of a compound of the present invention, or a pharmaceutically acceptable salt, ester, prodrug, solvate, hydrate or derivative thereof.
- said method is for treating a disease selected from the group consisting of tumor angiogenesis, chronic inflammatory disease such as rheumatoid arthritis, atherosclerosis, inflammatory bowel disease, skin diseases such as psoriasis, eczema, and scleroderma, diabetes, diabetic retinopathy, retinopathy of prematurity, age-related macular degeneration, hemangioma, glioma, melanoma, Kaposi's sarcoma and ovarian, breast, lung, pancreatic, prostate, colon and epidermoid cancer.
- a disease selected from the group consisting of tumor angiogenesis, chronic inflammatory disease such as rheumatoid arthritis, atherosclerosis, inflammatory bowel disease, skin diseases such as psoriasis, eczema, and scleroderma
- diabetes diabetic retinopathy, retinopathy of prematurity
- age-related macular degeneration hemangio
- Patients that can be treated with compounds of the present invention, or pharmaceutically acceptable salt, ester, prodrug, solvate, hydrate or derivative of said compounds, according to the methods of this invention include, for example, patients that have been diagnosed as having psoriasis; restenosis; atherosclerosis; BPH; breast cancer such as a ductal carcinoma in duct tissue in a mammary gland, medullary carcinomas, colloid carcinomas, tubular carcinomas, and inflammatory breast cancer; ovarian cancer, including epithelial ovarian tumors such as adenocarcinoma in the ovary and an adenocarcinoma that has migrated from the ovary into the abdominal cavity; uterine cancer; cervical cancer such as adenocarcinoma in the cervix epithelial including squamous cell carcinoma and adenocarcinomas; prostate cancer, such as a prostate cancer selected from the following: an adenocarcinoma or an adenocarinoma that has
- the invention also relates to a method of treating diabetes in a mammal that comprises administering to said mammal a therapeutically effective amount of a compound of the present invention, or a pharmaceutically acceptable salt, ester, prodrug, solvate, hydrate or derivative thereof.
- the compounds described herein may be used to treat acne.
- arteriosclerosis is a general term describing any hardening of medium or large arteries.
- Atherosclerosis is a hardening of an artery specifically due to an atheromatous plaque.
- Glomerulonephritis is a primary or secondary autoimmune renal disease characterized by inflammation of the glomeruli. It may be asymptomatic, or present with hematuria and/or proteinuria. There are many recognized types, divided in acute, subacute or chronic glomerulonephritis. Causes are infectious (bacterial, viral or parasitic pathogens), autoimmune or paraneoplastic.
- the compounds described herein may be used for the treatment of bursitis, lupus, acute disseminated encephalomyelitis (ADEM), addison's disease, antiphospholipid antibody syndrome (APS), aplastic anemia, autoimmune hepatitis, coeliac disease, crohn's disease, diabetes mellitus (type 1), goodpasture's syndrome, graves' disease, guillain-barre syndrome (GBS), hashimoto's disease, inflammatory bowel disease, lupus erythematosus, myasthenia gravis, opsoclonus myoclonus syndrome (OMS), optic neuritis, ord's thyroiditis,ostheoarthritis, uveoretinitis, pemphigus, polyarthritis, primary biliary cirrhosis, reiter's syndrome, takayasu's arteritis, temporal arteritis, warm autoimmune hemolytic anemia, adore
- the invention also relates to a method of treating a cardiovascular disease in a mammal that comprises administering to said mammal a therapeutically effective amount of a compound of the present invention, or a pharmaceutically acceptable salt, ester, prodrug, solvate, hydrate or derivative thereof.
- cardiovascular conditions include, but are not limited to, atherosclerosis, restenosis, vascular occlusion and carotid obstructive disease.
- the present invention provides methods of disrupting the function of a leukocyte or disrupting a function of an osteoclast.
- the method includes contacting the leukocyte or the osteoclast with a function disrupting amount of a compound of the invention.
- methods are provided for treating ophthalmic disease by administering one or more of the subject compounds or pharmaceutical compositions to the eye of a subject.
- Methods are further provided for administering the compounds of the present invention via eye drop, intraocular injection, intravitreal injection, topically, or through the use of a drug eluting device, microcapsule, implant, or microfluidic device.
- the compounds of the present invention are administered with a carrier or excipient that increases the intraocular penetrance of the compound such as an oil and water emulsion with colloid particles having an oily core surrounded by an interfacial film.
- the colloid particles include at least one cationic agent and at least one non-ionic sufactant such as a poloxamer, tyloxapol, a polysorbate, a polyoxyethylene castor oil derivative, a sorbitan ester, or a polyoxyl stearate.
- the cationic agent is an alkylamine, a tertiary alkyl amine, a quarternary ammonium compound, a cationic lipid, an amino alcohol, a biguanidine salt, a cationic compound or a mixture thereof.
- the cationic agent is a biguanidine salt such as chlorhexidine, polyaminopropyl biguanidine, phenformin, alkylbiguanidine, or a mixture thereof.
- the quaternary ammonium compound is a benzalkonium halide, lauralkonium halide, cetrimide, hexadecyltrimethylammonium halide, tetradecyltrimethylammonium halide, dodecyltrimethylammonium halide, cetrimonium halide, benzethonium halide, behenalkonium halide, cetalkonium halide, cetethyldimonium halide, cetylpyridinium halide, benzododecinium halide, chlorallyl methenamine halide, rnyristylalkonium halide, stearalkonium halide or a mixture of two or more thereof.
- cationic agent is a benzalkonium chloride, lauralkonium chloride, benzododecinium bromide, benzethenium chloride, hexadecyltrimethylammonium bromide, tetradecyltrimethylammonium bromide, dodecyltrimethylammonium bromide or a mixture of two or more thereof.
- the oil phase is mineral oil and light mineral oil, medium chain triglycerides (MCT), coconut oil; hydrogenated oils comprising hydrogenated cottonseed oil, hydrogenated palm oil, hydrogenate castor oil or hydrogenated soybean oil; polyoxyethylene hydrogenated castor oil derivatives comprising poluoxyl-40 hydrogenated castor oil, polyoxyl-60 hydrogenated castor oil or polyoxyl-100 hydrogenated castor oil.
- MCT medium chain triglycerides
- coconut oil hydrogenated oils comprising hydrogenated cottonseed oil, hydrogenated palm oil, hydrogenate castor oil or hydrogenated soybean oil
- polyoxyethylene hydrogenated castor oil derivatives comprising poluoxyl-40 hydrogenated castor oil, polyoxyl-60 hydrogenated castor oil or polyoxyl-100 hydrogenated castor oil.
- the invention further provides methods of modulating kinase activity by contacting a kinase with an amount of a compound of the invention sufficient to modulate the activity of the kinase. Modulate can be inhibiting or activating kinase activity. In some embodiments, the invention provides methods of inhibiting kinase activity by contacting a kinase with an amount of a compound of the invention sufficient to inhibit the activity of the kinase. In some embodiments, the invention provides methods of inhibiting kinase activity in a solution by contacting said solution with an amount of a compound of the invention sufficient to inhibit the activity of the kinase in said solution.
- the invention provides methods of inhibiting kinase activity in a cell by contacting said cell with an amount of a compound of the invention sufficient to inhibit the activity of the kinase in said cell. In some embodiments, the invention provides methods of inhibiting kinase activity in a tissue by contacting said tissue with an amount of a compound of the invention sufficient to inhibit the activity of the kinase in said tissue. In some embodiments, the invention provides methods of inhibiting kinase activity in an organism by contacting said organism with an amount of a compound of the invention sufficient to inhibit the activity of the kinase in said organism.
- the invention provides methods of inhibiting kinase activity in an animal by contacting said animal with an amount of a compound of the invention sufficient to inhibit the activity of the kinase in said animal. In some embodiments, the invention provides methods of inhibiting kinase activity in a mammal by contacting said mammal with an amount of a compound of the invention sufficient to inhibit the activity of the kinase in said mammal. In some embodiments, the invention provides methods of inhibiting kinase activity in a human by contacting said human with an amount of a compound of the invention sufficient to inhibit the activity of the kinase in said human.
- the % of kinase activity after contacting a kinase with a compound of the invention is less than 1, 5, 10, 20, 30, 40, 50, 60, 70, 80 90, 95, or 99% of the kinase activity in the absence of said contacting step.
- the kinase is a lipid kinase or a protein kinase.
- the kinase is selected from the group consisting of PI3 kinase including different isorforms such as PI3 kinase ⁇ , PI3 kinase ⁇ , PI3 kinase ⁇ , PI3 kinase ⁇ ; DNA-PK; mTor; Abl, VEGFR, Ephrin receptor B4 (EphB4); TEK receptor tyrosine kinase (TIE2); FMS-related tyrosine kinase 3 (FLT-3); Platelet derived growth factor receptor (PDGFR); RET; ATM; ATR; hSmg-1; Hck; Src; Epidermal growth factor receptor (EGFR); KIT; Inulsin Receptor (IR) and IGFR.
- PI3 kinase including different isorforms such as PI3
- the invention further provides methods of modulating PI3 kinase activity by contacting a PI3 kinase with an amount of a compound of the invention sufficient to modulate the activity of the PI3 kinase. Modulate can be inhibiting or activating PI3 kinase activity. In some embodiments, the invention provides methods of inhibiting PI3 kinase activity by contacting a PI3 kinase with an amount of a compound of the invention sufficient to inhibit the activity of the PI3 kinase. In some embodiments, the invention provides methods of inhibiting PI3 kinase activity.
- Such inhibition can take place in solution, in a cell expressing one or more PI3 kinases, in a tissue comprising a cell expressing one or more PI3 kinases, or in an organism expressing one or more PI3 kinases.
- the invention provides methods of inhibiting PI3 kinase activity in an animal (including mammal such as humans) by contacting said animal with an amount of a compound of the invention sufficient to inhibit the activity of the PI3 kinase in said animal.
- the present invention also provides methods for combination therapies in which an agent known to modulate other pathways, or other components of the same pathway, or even overlapping sets of target enzymes are used in combination with a compound of the present invention, or a pharmaceutically acceptable salt, ester, prodrug, solvate, hydrate or derivative thereof.
- such therapy includes but is not limited to the combination of the subject compound with chemotherapeutic agents, therapeutic antibodies, and radiation treatment, to provide a synergistic or additive therapeutic effect.
- the compounds or pharmaceutical compositions of the present invention may present synergistic or additive efficacy when administered in combination with agents that inhibit IgE production or activity. Such combination can reduce the undesired effect of high level of IgE associated with the use of one or more PI3K ⁇ inhibitors, if such effect occurs. This may be particularly useful in treatment of autoimmune and inflammatory disorders (AIID) such as rheumatoid arthritis. Additionally, the administration of PI3K ⁇ or PI3K ⁇ / ⁇ inhibitors of the present invention in combination with inhibitors of mTOR may also exhibit synergy through enhanced inhibition of the PI3K pathway.
- AIID autoimmune and inflammatory disorders
- the present invention provides a combination treatment of a disease associated with PI3K ⁇ comprising administering to a PI3K ⁇ inhibitor and an agent that inhibits IgE production or activity.
- a PI3K ⁇ inhibitor is applicable and they are described, e.g., U.S. Pat. No. 6,800,620.
- Such combination treatment is particularly useful for treating autoimmune and inflammatory diseases (AIID) including but not limited to rheumatoid arthritis.
- AIID autoimmune and inflammatory diseases
- Agents that inhibit IgE production include but are not limited to one or more of TEI-9874, 2-(4-(6-cyclohexyloxy-2-naphtyloxy)phenylacetamide)benzoic acid, rapamycin, rapamycin analogs (i.e. rapalogs), TORC1 inhibitors, TORC2 inhibitors, and any other compounds that inhibit mTORC1 and mTORC2.
- Agents that inhibit IgE activity include, for example, anti-IgE antibodies such as for example Omalizumab and TNX-901.
- the subject compounds or pharmaceutical compositions can be used in combination with commonly prescribed drugs including but not limited to Enbrel®, Remicade®, Humira®, Avonex®, and Rebif®.
- the subject compounds or pharmaceutical compositions can be administered in combination with commonly prescribed drugs including but not limited to Xolair®, Advair®, Singulair®, and Spiriva®.
- the compounds of the invention may be formulated or administered in conjunction with other agents that act to relieve the symptoms of inflammatory conditions such as encephalomyelitis, asthma, and the other diseases described herein.
- agents include non-steroidal anti-inflammatory drugs (NSAIDs), e.g. acetylsalicylic acid; ibuprofen; naproxen; indomethacin; nabumetone; tolmetin; etc.
- NSAIDs non-steroidal anti-inflammatory drugs
- Corticosteroids are used to reduce inflammation and suppress activity of the immune system.
- the most commonly prescribed drug of this type is Prednisone.
- Chloroquine (Aralen) or hydroxychloroquine (Plaquenil) may also be very useful in some individuals with lupus.
- Azathioprine Imuran
- Cytoxan cyclophosphamide
- Other agents e.g. methotrexate and cyclosporin are used to control the symptoms of lupus.
- Anticoagulants are employed to prevent blood from clotting rapidly. They range from aspirin at very low dose which prevents platelets from sticking, to heparin/coumadin.
- this invention also relates to a pharmaceutical composition for inhibiting abnormal cell growth in a mammal which comprises an amount of a compound of the present invention, or a pharmaceutically acceptable salt, ester, prodrug, solvate, hydrate or derivative thereof, in combination with an amount of an anti-cancer agent (e.g. a chemotherapeutic agent).
- an anti-cancer agent e.g. a chemotherapeutic agent.
- Many chemotherapeutics are presently known in the art and can be used in combination with the compounds of the invention.
- the chemotherapeutic is selected from the group consisting of mitotic inhibitors, alkylating agents, anti-metabolites, intercalating antibiotics, growth factor inhibitors, cell cycle inhibitors, enzymes, topoisomerase inhibitors, biological response modifiers, anti-hormones, angiogenesis inhibitors, and anti-androgens.
- chemotherapeutic agents include cytotoxic agents, and non-peptide small molecules such as Gleevec (Imatinib Mesylate), Velcade (bortezomib), Casodex (bicalutamide), Iressa (gefitinib), and Adriamycin as well as a host of chemotherapeutic agents.
- Non-limiting examples of chemotherapeutic agents include alkylating agents such as thiotepa and cyclosphosphamide (CYTOXANTM); alkyl sulfonates such as busulfan, improsulfan and piposulfan; aziridines such as benzodopa, carboquone, meturedopa, and uredopa; ethylenimines and methylamelamines including altretamine, triethylenemelamine, trietylenephosphoramide, triethylenethiophosphaoramide and trimethylolomelamine; nitrogen mustards such as chlorambucil, chlornaphazine, cholophosphamide, estramustine, ifosfamide, mechlorethamine, mechlorethamine oxide hydrochloride, melphalan, novembichin, phenesterine, prednimustine, trofosfamide, uracil mustard; nitrosureas such as car
- paclitaxel TAXOLTM, Bristol-Myers Squibb Oncology, Princeton, N.J.
- docetaxel TAXOTERETM, Rhone-Poulenc Rorer, Antony, France
- retinoic acid esperamicins
- capecitabine ecitabine
- pharmaceutically acceptable salts, acids or derivatives of any of the above TAXOLTM, Bristol-Myers Squibb Oncology, Princeton, N.J.
- anti-hormonal agents that act to regulate or inhibit hormone action on tumors
- anti-estrogens including for example tamoxifen (NolvadexTM), raloxifene, aromatase inhibiting 4(5)-imidazoles, 4-hydroxytamoxifen, trioxifene, keoxifene, LY 117018, onapristone, and toremifene (Fareston); and anti-androgens such as flutamide, nilutamide, bicalutamide, leuprolide, and goserelin; chlorambucil; gemcitabine; 6-thioguanine; mercaptopurine; methotrexate; platinum analogs such as cisplatin and carboplatin; vinblastine; platinum; etoposide (VP-16); ifosfamide; mitomycin C; mitoxantrone; vincristine; vinorelbine; navelbine; no
- the compounds or pharmaceutical composition of the present invention can be used in combination with commonly prescribed anti-cancer drugs such as Herceptin®, Avastin®, Erbitux®, Rituxan®, Taxol®, Arimidex®, Taxotere®, and Velcade®.
- anti-cancer drugs such as Herceptin®, Avastin®, Erbitux®, Rituxan®, Taxol®, Arimidex®, Taxotere®, and Velcade®.
- This invention further relates to a method for using the compounds or pharmaceutical composition in combination with radiation therapy in inhibiting abnormal cell growth or treating the hyperproliferative disorder in the mammal.
- Techniques for administering radiation therapy are known in the art, and these techniques can be used in the combination therapy described herein.
- the administration of the compound of the invention in this combination therapy can be determined as described herein.
- Radiation therapy can be administered through one of several methods, or a combination of methods, including without limitation external-beam therapy, internal radiation therapy, implant radiation, stereotactic radiosurgery, systemic radiation therapy, radiotherapy and permanent or temporary interstitial brachytherapy.
- brachytherapy refers to radiation therapy delivered by a spatially confined radioactive material inserted into the body at or near a tumor or other proliferative tissue disease site.
- the term is intended without limitation to include exposure to radioactive isotopes (e.g. At-211, I-131, I-125, Y-90, Re-186, Re-188, Sm-153, Bi-212, P-32, and radioactive isotopes of Lu).
- Suitable radiation sources for use as a cell conditioner of the present invention include both solids and liquids.
- the radiation source can be a radionuclide, such as I-125, I-131, Yb-169, Ir-192 as a solid source, I-125 as a solid source, or other radionuclides that emit photons, beta particles, gamma radiation, or other therapeutic rays.
- the radioactive material can also be a fluid made from any solution of radionuclide(s), e.g., a solution of I-125 or I-131, or a radioactive fluid can be produced using a slurry of a suitable fluid containing small particles of solid radionuclides, such as Au-198, Y-90.
- the radionuclide(s) can be embodied in a gel or radioactive micro spheres.
- this invention further relates to a method for sensitizing abnormal cells in a mammal to treatment with radiation which comprises administering to the mammal an amount of a compound of the present invention or pharmaceutically acceptable salt, ester, prodrug, solvate, hydrate or derivative thereof, which amount is effective is sensitizing abnormal cells to treatment with radiation.
- the amount of the compound, salt, or solvate in this method can be determined according to the means for ascertaining effective amounts of such compounds described herein.
- the compounds or pharmaceutical compositions of the present invention can be used in combination with an amount of one or more substances selected from anti-angiogenesis agents, signal transduction inhibitors, and antiproliferative agents.
- Anti-angiogenesis agents such as MMP-2 (matrix-metalloprotienase 2) inhibitors, MMP-9 (matrix-metalloprotienase 9) inhibitors, and COX-11 (cyclooxygenase 11) inhibitors, can be used in conjunction with a compound of the present invention and pharmaceutical compositions described herein.
- MMP-2 matrix-metalloprotienase 2
- MMP-9 matrix-metalloprotienase 9
- COX-11 cyclooxygenase 11
- useful COX-II inhibitors include CELEBREXTM (alecoxib), valdecoxib, and rofecoxib.
- Examples of useful matrix metalloproteinase inhibitors are described in WO 96/33172 (published Oct. 24, 1996), WO 96/27583 (published Mar. 7, 1996), European Patent Application No. 97304971.1 (filed Jul.
- MMP-2 and MMP-9 inhibitors are those that have little or no activity inhibiting MMP-1. More preferred, are those that selectively inhibit MMP-2 and/or AMP-9 relative to the other matrix-metalloproteinases (i. e., MAP-1, MMP-3, MMP-4, MMP-5, MMP-6, MMP- 7, MMP-8, MMP-10, MMP-11, MMP-12, andMMP-13).
- MMP inhibitors useful in the present invention are AG-3340, RO 32-3555, and RS 13-0830.
- the invention also relates to a method of and to a pharmaceutical composition of treating a cardiovascular disease in a mammal which comprises an amount of a compound of the present invention, or a pharmaceutically acceptable salt, ester, prodrug, solvate, hydrate or derivative thereof, or an isotopically-labeled derivative thereof, and an amount of one or more therapeutic agents use for the treatment of cardiovascular diseases.
- anti-thrombotic agents e.g., prostacyclin and salicylates
- thrombolytic agents e.g., streptokinase, urokinase, tissue plasminogen activator (TPA) and anisoylated plasminogen-streptokinase activator complex (APSAC)
- anti-platelets agents e.g., acetyl-salicylic acid (ASA) and clopidrogel
- vasodilating agents e.g., nitrates
- calcium channel blocking drugs anti-proliferative agents, e.g., colchicine and alkylating agents, intercalating agents, growth modulating factors such as interleukins, transformation growth factor-beta and congeners of platelet derived growth factor, monoclonal antibodies directed against growth factors, anti-inflammatory agents, both steroidal and non-steroidal, and other agents that can modulate vessel tone, function, arterios
- Antibiotics can also be included in combinations or coatings comprised by the invention. Moreover, a coating can be used to effect therapeutic delivery focally within the vessel wall. By incorporation of the active agent in a swellable polymer, the active agent will be released upon swelling of the polymer.
- tissue barriers also known as lubricants.
- tissue barriers include, but are not limited to, polysaccharides, polyglycans, seprafilm, interceed and hyaluronic acid.
- Medicaments which may be administered in conjunction with the compounds described herein include any suitable drugs usefully delivered by inhalation for example, analgesics, e.g. codeine, dihydromorphine, ergotamine, fentanyl or morphine; anginal preparations, e.g. diltiazem; antiallergics, e.g. cromoglycate, ketotifen or nedocromil; anti-infectives, e.g. cephalosporins, penicillins, streptomycin, sulphonamides, tetracyclines or pentamidine; antihistamines, e.g. methapyrilene; anti-inflammatories, e.g.
- analgesics e.g. codeine, dihydromorphine, ergotamine, fentanyl or morphine
- anginal preparations e.g. diltiazem
- antiallergics e.g
- ephedrine adrenaline, fenoterol, formoterol, isoprenaline, metaproterenol, phenylephrine, phenylpropanolamine, pirbuterol, reproterol, rimiterol, salbutamol, salmeterol, terbutalin, isoetharine, tulobuterol, orciprenaline or ( ⁇ )-4-amino-3,5-dichloro- ⁇ -[[[6-[2-(2-pyridinypethoxy]hexyl]-amino]methyl]benzenemethanol; diuretics, e.g. amiloride; anticholinergics e.g.
- the medicaments may be used in the form of salts (e.g. as alkali metal or amine salts or as acid addition salts) or as esters (e.g. lower alkyl esters) or as solvates (e.g. hydrates) to optimize the activity and/or stability of the medicament.
- salts e.g. as alkali metal or amine salts or as acid addition salts
- esters e.g. lower alkyl esters
- solvates e.g. hydrates
- exemplary therapeutic agents useful for a combination therapy include but are not limited to agents as described above, radiation therapy, hormone antagonists, hormones and their releasing factors, thyroid and antithyroid drugs, estrogens and progestins, androgens, adrenocorticotropic hormone; adrenocortical steroids and their synthetic analogs; inhibitors of the synthesis and actions of adrenocortical hormones, insulin, oral hypoglycemic agents, and the pharmacology of the endocrine pancreas, agents affecting calcification and bone turnover: calcium, phosphate, parathyroid hormone, vitamin D, calcitonin, vitamins such as water-soluble vitamins, vitamin B complex, ascorbic acid, fat-soluble vitamins, vitamins A, K, and E, growth factors, cytokines, chemokines, muscarinic receptor agonists and antagonists; anticholinesterase agents; agents acting at the neuromuscular junction and/or autonomic ganglia; catecholamines, sympathomimetic drugs,
- Therapeutic agents can also include agents for pain and inflammation such as histamine and histamine antagonists, bradykinin and bradykinin antagonists, 5-hydroxytryptamine (serotonin), lipid substances that are generated by biotransformation of the products of the selective hydrolysis of membrane phospholipids, eicosanoids, prostaglandins, thromboxanes, leukotrienes, aspirin, nonsteroidal anti-inflammatory agents, analgesic-antipyretic agents, agents that inhibit the synthesis of prostaglandins and thromboxanes, selective inhibitors of the inducible cyclooxygenase, selective inhibitors of the inducible cyclooxygenase-2, autacoids, paracrine hormones, somatostatin, gastrin, cytokines that mediate interactions involved in humoral and cellular immune responses, lipid-derived autacoids, eicosanoids, ⁇ -adrenergic agonists, ipratropium,
- Additional therapeutic agents contemplated herein include diuretics, vasopressin, agents affecting the renal conservation of water, rennin, angiotensin, agents useful in the treatment of myocardial ischemia, anti-hypertensive agents, angiotensin converting enzyme inhibitors, ⁇ -adrenergic receptor antagonists, agents for the treatment of hypercholesterolemia, and agents for the treatment of dyslipidemia.
- Other therapeutic agents contemplated include drugs used for control of gastric acidity, agents for the treatment of peptic ulcers, agents for the treatment of gastroesophageal reflux disease, prokinetic agents, antiemetics, agents used in irritable bowel syndrome, agents used for diarrhea, agents used for constipation, agents used for inflammatory bowel disease, agents used for biliary disease, agents used for pancreatic disease.
- Therapeutic agents used to treat protozoan infections drugs used to treat Malaria, Amebiasis, Giardiasis, Trichomoniasis, Trypanosomiasis, and/or Leishmaniasis, and/or drugs used in the chemotherapy of helminthiasis
- Other therapeutic agents include antimicrobial agents, sulfonamides, trimethoprim-sulfamethoxazole quinolones, and agents for urinary tract infections, penicillins, cephalosporins, and other, ⁇ -Lactam antibiotics, an agent comprising an aminoglycoside, protein synthesis inhibitors, drugs used in the chemotherapy of tuberculosis, mycobacterium avium complex disease, and leprosy, antifungal agents, antiviral agents including nonretroviml agents and antiretroviral agents.
- anti-receptor tyrosine kinase antibodies cetuximab, panitumumab, trastuzumab
- anti CD20 antibodies rituximab, tositumomab
- other antibodies such as alemtuzumab, bevacizumab, and gemtuzumab.
- therapeutic agents used for immunomodulation such as immunomodulators, immunosuppressive agents, tolerogens, and immunostimulants are contemplated by the methods herein.
- therapeutic agents acting on the blood and the blood-forming organs hematopoietic agents, growth factors, minerals, and vitamins, anticoagulant, thrombolytic, and antiplatelet drugs.
- the compounds described herein can be used in combination with the agents disclosed herein or other suitable agents, depending on the condition being treated. Hence, in some embodiments the compounds of the invention will be co-administer with other agents as described above.
- the compounds described herein may be administered with the second agent simultaneously or separately.
- This administration in combination can include simultaneous administration of the two agents in the same dosage form, simultaneous administration in separate dosage forms, and separate administration. That is, a compound described herein and any of the agents described above can be formulated together in the same dosage form and administered simultaneously. Alternatively, a compound of the present invention and any of the agents described above can be simultaneously administered, wherein both the agents are present in separate formulations.
- a compound of the present invention can be administered just followed by and any of the agents described above, or vice versa.
- a compound of the present invention and any of the agents described above may be administered a few minutes apart, or a few hours apart, or a few days apart.
- the mixture was allowed to warm to RT, filtered through silica gel (10 g), and the filtrate was concentrated in vacuo.
- the crude product was poured into H 2 O (200 mL) and extracted with ethyl acetate (3 ⁇ 200 mL). The combined organic layer was washed with brine (50 mL), dried over Na 2 SO 4 and filtered. The filtrate was concentrated in vacuo.
- the crude product was suspended in ethyl acetate (30 mL) and stirred for 10 min.
- PBr 3 (25.6 g, 95 mmol) was slowly added to a stirred solution of DMF (11.5 g, 158 mol) in acetonitrile (200 mL) at 0° C., and the resulting mixture was stirred at OC for 30 min.
- 3-(Hydroxymethyl)-8-methyl-2-o-tolylisoquinolin -1-(2H)-one (1609) (22 g, 78.8 mmol) was slowly added. Then the reaction mixture was allowed to warm to RTand stirred for 30 min. Saturated aqueous NaHCO 3 solution (50 mL) was slowly added and extracted with ethyl acetate (3 ⁇ 200 mL).
- Propan-2-amine (2001)(59 g, 1.0 mol) and ethyl chloroacetate (122 g, 1.0 mol) were dissolved in toluene (200 mL) and the mixture was stirred at reflux for 2 h.
- the reaction mixture was allowed to cool to RT, poured into ice-water (500 mL) and extracted with ethyl acetate (3 ⁇ 250 mL). The combined organic layer was washed with brine (50 mL), dried over Na 2 SO 4 and filtered.
- the mixture was allowed to warm to RT, filtered through silica gel (10 g), and the filtrate was concentrated in vacuo.
- the crude product was poured into H 2 O (200 mL) and extracted with ethyl acetate (3 ⁇ 200 mL). The combined organic layer was washed with brine (50 mL), dried over Na 2 SO 4 and filtered. The filtrate was concentrated in vacuo.
- the crude product was suspended in ethyl acetate (30 mL) and stirred for 10 min.
- the mixture was allowed to warm to room temperature, filtered through silica gel (10 g), and the filtrate was concentrated in vacuo.
- the crude product was poured into H 2 O (200 mL) and extracted with ethyl acetate (3 ⁇ 200 mL). The combined organic layer was washed with brine (50 mL), dried over Na 2 SO 4 and filtered. The filtrate was concentrated in vacuo.
- the crude product was suspended in ethyl acetate (30 mL) and stirred for 10 min.
- tert-butyl 1-(methoxy(methyl)amino)-1-oxopropan-2-yl carbamate (compound 4702) (40 g, 0.173 mol, 1.3 eq) was quickly added (the reaction temperature rose to ⁇ 50° C. upon addition).
- the mixture was stirred at ⁇ 50° C. for 10 min, quenched with water (300 mL) and extracted with ethyl acetate (2 ⁇ 100 mL).
- the combined organic layer was washed with water (500 mL ⁇ 2) and brine (50 mL), dried over anhydrous MgSO 4 and filtered. The filtrate was concentrated in vacuo to give the crude product as a semi-solid oil.
- reaction mixture was concentrated in vacuo and purified by flash column chromatography on silica gel (eluting with 30% to 50% Hex/EA) to afford the desired product, 8-methyl-2-phenyl-3-((1S)-1-(9-(tetrahydro-2H-pyran-2-yl)-9H-purin-6-ylamino)ethyl)isoquinolin-1(2H)-one (compound 4901) (207 mg, 60% yield) as a white solid.
- the compound of Formula 4904 was synthesized using the synthetic transformations as described in Examples 13 and 14a, but 2-chloro-6-methyl benzoic acid (compound 4903) was used instead of 2, 6 ,dimethyl benzoic acid (compound 4403).
- the compound of Formula 5011 was synthesized using the synthetic transformations as desribed in Example 15a, but 2-chloro-6-methyl benzoyl chloride (compound 5006) was used instead of 2, 6 ,dimethyl benzoyl chloride (compound 4402).
- Compound No. Compound No. Compound No. Compound No. proliferation 38, 162, 199 1, 2, 5, 22, 26, 27, 39, 4, 8, 9, 10, 11, 14, 15, 3, 6, 7, 12, 13, 16, 17, EC 50 (nM) 40, 43, 49, 57, 71, 87, 18, 19, 20, 21, 24, 25, 23, 33, 37, 44, 48, 53, 112, 197, 207, 235 28, 29, 30, 31, 32, 34, 54, 55, 62, 63, 66, 67, 35, 36, 41, 42, 45, 46, 68, 72, 73, 74, 75, 81, 47, 50, 51, 61, 69, 70, 82, 83, 84, 88, 89, 90, 76, 77, 78, 79, 80, 85, 93, 95, 96, 97, 99, 86, 91, 98, 100, 103, 101, 102, 108, 109, 104, 105, 106, 107, 113, 115, 123, 125
- Class I PI3-Ks can be either purchased (p110 ⁇ /p85 ⁇ , p110 ⁇ /p85 ⁇ , p110 ⁇ /p85 ⁇ from Upstate, and p110 ⁇ from Sigma) or expressed as previously described (Knight et al., 2004).
- IC50 values are measured using either a standard TLC assay for lipid kinase activity (described below) or a high-throughput membrane capture assay.
- Kinase reactions are performed by preparing a reaction mixture containing kinase, inhibitor (2% DMSO final concentration), buffer (25 mM HEPES, pH 7.4, 10 mM MgCl2), and freshly sonicated phosphatidylinositol (100 ⁇ g/ml).
- Reactions are initiated by the addition of ATP containing 10 ⁇ Ci of ⁇ -32P-ATP to a final concentration 10 or 100 ⁇ M and allowed to proceed for 5 minutes at room temperature.
- ATP containing 10 ⁇ Ci of ⁇ -32P-ATP
- reactions are then terminated by the addition of 105 ⁇ l 1N HCl followed by 160 ⁇ l CHCl3:MeOH (1:1).
- the biphasic mixture is vortexed, briefly centrifuged, and the organic phase is transferred to a new tube using a gel loading pipette tip precoated with CHCl 3 .
- This extract is spotted on TLC plates and developed for 3-4 hours in a 65:35 solution of n-propanol:1M acetic acid.
- TLC plates are then dried, exposed to a phosphorimager screen (Storm, Amersham), and quantitated.
- kinase activity is measured at 10-12 inhibitor concentrations representing two-fold dilutions from the highest concentration tested (typically, 200 ⁇ M).
- IC50 determinations are repeated two to four times, and the reported value is the average of these independent measurements.
- kits or systems for assaying PI3-K activities are avaiable.
- the commercially available kits or systems can be used to screen for inhibitors and/or agonists of PI3-Ks including but not limited to PI 3-Kinase ⁇ , ⁇ , ⁇ , and ⁇ .
- Anr exemplary system is PI 3-Kinase (human) HTRFTM Assay from Upstate.
- the assay can be carried out according to the procedures suggested by the manufacturer. Briefly, the assay is a time resolved FRET assay that indirectly measures PIP3 product formed by the activity of a PI3-K.
- the kinase reaction is performed in a microtitre plate (e.g., a 384 well microtitre plate).
- the total reaction volume is approximately 20 ul per well.
- each well receives 2 ul of test compound in 20% dimethylsulphoxide resulting in a 2% DMSO final concentration.
- approximately 14.5 ul of a kinase/PIP2 mixture (diluted in 1 ⁇ reaction buffer) is added per well for a final concentration of 0.25-0.3 ug/ml kinase and 10 uM PIP2.
- the plate is sealed and incubated for 15 minutes at room temperature.
- 3.5 ul of ATP (diluted in 1 ⁇ reaction buffer) is added per well for a final concentration of 10 uM ATP.
- the plate is sealed and incubated for 1 hour at room temperature.
- the reaction is stopped by adding 5 ul of Stop Solution per well and then 5 ul of Detection Mix is added per well.
- the plate is sealed, incubated for 1 hour at room temperature, and then read on an appropriate plate reader. Data is analyzed and IC50s are generated using GraphPad Prism 5.
- the cross-activity or lack thereof of one or more compounds of the present invention against Abl kinase can be measured according to any procedures known in the art or methods disclosed below.
- the compounds described herein can be assayed in triplicate against recombinant full-length Abl or Abl (T315I) (Upstate) in an assay containing 25 mM HEPES, pH 7.4, 10 mM MgCl2, 200 ⁇ M ATP (2.5 ⁇ Ci of ⁇ -32P-ATP), and 0.5 mg/mL BSA.
- the optimized Abl peptide substrate EAIYAAPFAKKK is used as phosphoacceptor (200 ⁇ M).
- Reactions are terminated by spotting onto phosphocellulose sheets, which are washed with 0.5% phosphoric acid (approximately 6 times, 5-10 minutes each). Sheets are dried and the transferred mdioactivity quantitated by phosphorimaging.
- the cross-activity or lack thereof of one or more compounds of the present invention against Hck kinase can be measured according to any procedures known in the art or methods disclosed below.
- the compounds described herein can be assayed in triplicate against recombinant full-length Hck in an assay containing 25 mM HEPES, pH 7.4, 10 mM MgCl2, 200 ⁇ M ATP (2.5 ⁇ Ci of ⁇ -32P-ATP), and 0.5 mg/mL BSA.
- the optimized Src family kinase peptide substrate EIYGEFKKK is used as phosphoacceptor (200 ⁇ M). Reactions are terminated by spotting onto phosphocellulose sheets, which are washed with 0.5% phosphoric acid (approximately 6 times, 5-10 minutes each). Sheets are dried and the transferred radioactivity quantitated by phosphorimaging.
- the cross-activity or lack thereof of one or more compounds of the present invention against IR receptor kinase can be measured according to any procedures known in the art or methods disclosed below.
- the compounds described herein can be assayed in triplicate against recombinant insulin receptor kinase domain (Upstate) in an assay containing 25 mM HEPES, pH 7.4, 10 mM MgCl2, 10 mM MnCl2, 200 ⁇ M ATP (2.5 ⁇ Ci of ⁇ -32P-ATP), and 0.5 mg/mL BSA.
- Poly E-Y Sigma; 2 mg/mL is used as a substrate.
- Reactions are terminated by spotting onto nitrocellulose, which is washed with 1M NaCl/1% phosphoric acid (approximately 6 times, 5-10 minutes each). Sheets are dried and the transferred radioactivity quantitated by phosphorimaging.
- the cross-activity or lack thereof of one or more compounds of the present invention against Src kinase can be measured according to any procedures known in the art or methods disclosed below.
- the compounds described herein can be assayed in triplicate against recombinant full-length Src or Src (T3381) in an assay containing 25 mM HEPES, pH 7.4, 10 mM MgCl2, 200 ⁇ M ATP (2.5 ⁇ Ci of ⁇ -32P-ATP), and 0.5 mg/mL BSA.
- the optimized Src family kinase peptide substrate EIYGEFKKK is used as phosphoacceptor (200 ⁇ M).
- Reactions are terminated by spotting onto phosphocellulose sheets, which are washed with 0.5% phosphoric acid (approximately 6 times, 5-10 minutes each). Sheets were dried and the transferred mdioactivity quantitated by phosphorimaging.
- DNA-PK DNA-PK
- DNA-PK can be purchased from Promega and assayed using the DNA-PK Assay System (Promega) according to the manufacturer's instructions.
- the cross-activity or lack thereof of one or more compounds of the present invention against mTor can be measured according to any procedures known in the art or methods disclosed below.
- the compounds described herein can be tested against recombinant mTOR (Invitrogen) in an assay containing 50 mM HEPES, pH 7.5, 1 mM EGTA, 10 mM MgCl2, 2.5 mM, 0.01% Tween, 10 ⁇ M ATP (2.5 ⁇ Ci of ⁇ -32P-ATP), and 3 ⁇ g/mL BSA.
- Rat recombinant PHAS-1/4EBP1 (Calbiochem; 2 mg/mL) is used as a substrate.
- Reactions are terminated by spotting onto nitrocellulose, which is washed with 1M NaCl/1% phosphoric acid (approximately 6 times, 5-10 minutes each). Sheets are dried and the transferred radioactivity quantitated by phosphorimaging.
- kits or systems for assaying mTOR activity are commercially avaiable. For instance, one can use Invitrogen's LanthaScreenTM Kinase assay to test the inhibitors of mTOR disclosed herein.
- This assay is a time resolved FRET platform that measures the phosphorylation of GFP labeled 4EBP1 by mTOR kinase.
- the kinase reaction is performed in a white 384 well microtitre plate. The total reaction volume is 20 ul per well and the reaction buffer composition is 50 mM HEPES pH7.5, 0.01% Polysorbate 20, 1 mM EGTA, 10 mM MnCl2, and 2 mM DTT.
- each well receives 2 ul of test compound in 20% dimethylsulphoxide resulting in a 2% DMSO final concentration.
- 8 ul of mTOR diluted in reaction buffer is added per well for a 60 ng/ml final concentration.
- 10 ul of an ATP/GFP-4EBP1 mixture (diluted in reaction buffer) is added per well for a final concentration of 10 uM ATP and 0.5 uM GFP-4EBP1. The plate is sealed and incubated for 1 hour at room temperature.
- the reaction is stopped by adding 10 ul per well of a Tb-anti-pT46 4EBP1 antibody/EDTA mixture (diluted in TR-FRET buffer) for a final concentration of 1.3 nM antibody and 6.7 mM EDTA.
- the plate is sealed, incubated for 1 hour at room temperature, and then read on a plate reader set up for LanthaScreenTM TR-FRET. Data is analyzed and IC50s are generated using GraphPad Prism 5.
- the cross-activity or lack thereof of one or more compounds of the present invention against VEGF receptor can be measured according to any procedures known in the art or methods disclosed below.
- the compounds described herein can be tested against recombinant KDR receptor kinase domain (Invitrogen) in an assay containing 25 mM HEPES, pH 7.4, 10 mM MgCl2, 0.1% BME, 10 ⁇ M ATP (2.5 ⁇ Ci of ⁇ -32P-ATP), and 3 ⁇ g/mL BSA.
- Poly E-Y Sigma; 2 mg/mL is used as a substrate.
- Reactions are terminated by spotting onto nitrocellulose, which is washed with 1M NaCl/1% phosphoric acid (approximately 6 times, 5-10 minutes each). Sheets are dried and the transferred radioactivity quantitated by phosphorimaging.
- the cross-activity or lack thereof of one or more compounds of the present invention against EphB4 can be measured according to any procedures known in the art or methods disclosed below.
- the compounds described herein can be tested against recombinant Ephrin receptor B4 kinase domain (Invitrogen) in an assay containing 25 mM HEPES, pH 7.4, 10 mM MgCl2, 0.1% BME, 10 ⁇ M ATP (2.5 ⁇ Ci of ⁇ -32P-ATP), and 3 ⁇ g/mL BSA.
- Poly E-Y Sigma; 2 mg/mL is used as a substrate.
- Reactions are terminated by spotting onto nitrocellulose, which is washed with 1M NaCl/1% phosphoric acid (approximately 6 times, 5-10 minutes each). Sheets are dried and the transferred radioactivity quantitated by phosphorimaging.
- the cross-activity or lack thereof of one or more compounds of the present invention against EGFR kinase can be measured according to any procedures known in the art or methods disclosed below.
- the compounds described herein can be tested against recombinant EGF receptor kinase domain (Invitrogen) in an assay containing 25 mM HEPES, pH 7.4, 10 mM MgCl2, 0.1% BME, 10 ⁇ M ATP (2.5 ⁇ Ci of ⁇ -32P-ATP), and 3 ⁇ g/mL BSA.
- Poly E-Y Sigma; 2 mg/mL is used as a substrate.
- Reactions are terminated by spotting onto nitrocellulose, which is washed with 1M NaCl/1% phosphoric acid (approximately 6 times, 5-10 minutes each). Sheets are dried and the transferred radioactivity quantitated by phosphorimaging.
- the cross-activity or lack thereof of one or more compounds of the present invention against KIT kinase can be measured according to any procedures known in the art or methods disclosed below.
- the compounds described herein can be tested against recombinant KIT kinase domain (Invitrogen) in an assay containing 25 mM HEPES, pH 7.4, 10 mM MgCl2, 1 mM DTT, 10 mM MnCl2, 10 ⁇ M ATP (2.5 ⁇ Ci of ⁇ -32P-ATP), and 3 ⁇ g/mL BSA.
- Poly E-Y Sigma; 2 mg/mL is used as a substrate.
- Reactions are terminated by spotting onto nitrocellulose, which is washed with 1M NaCl/1% phosphoric acid (approximately 6 times, 5-10 minutes each). Sheets are dried and the transferred radioactivity quantitated by phosphorimaging.
- the cross-activity or lack thereof of one or more compounds of the present invention against RET kinase can be measured according to any procedures known in the art or methods disclosed below.
- the compounds described herein can be tested against recombinant RET kinase domain (Invitrogen) in an assay containing 25 mM HEPES, pH 7.4, 10 mM MgCl2, 2.5 mM DTT,10 ⁇ M ATP (2.5 ⁇ Ci of ⁇ -32P-ATP), and 3 ⁇ g,/mL BSA.
- the optimized Abl peptide substrate EAIYAAPFAKKK is used as phosphoacceptor (200 ⁇ M). Reactions are terminated by spotting onto phosphocellulose sheets, which are washed with 0.5% phosphoric acid (approximately 6 times, 5-10 minutes each). Sheets are dried and the transferred radioactivity quantitated by phosphorimaging.
- the cross-activity or lack thereof of one or more compounds of the present invention against PDGFR kinase can be measured according to any procedures known in the art or methods disclosed below.
- the compounds described herein can be tested against recombinant PDG receptor kinase domain (Invitrogen) in an assay containing 25 mM HEPES, pH 7.4, 10 mM MgCl2, 2.5 mM DTT,10 ⁇ M ATP (2.5 ⁇ Ci of ⁇ -32P-ATP), and 3 ⁇ g/mL BSA.
- the optimized Abl peptide substrate EAIYAAPFAKKK is used as phosphoacceptor (200 ⁇ M). Reactions are terminated by spotting onto phosphocellulose sheets, which are washed with 0.5% phosphoric acid (approximately 6 times, 5-10 minutes each). Sheets are dried and the transferred radioactivity quantitated by phosphorimaging.
- the cross-activity or lack thereof of one or more compounds of the present invention against FLT-3 kinase can be measured according to any procedures known in the art or methods disclosed below.
- the compounds described herein can be tested against recombinant FLT-3 kinase domain (Invitrogen) in an assay containing 25 mM HEPES, pH 7.4, 10 mM MgCl2, 2.5 mM DTT,10 ⁇ M ATP (2.5 ⁇ Ci of ⁇ -32P-ATP), and 3 ⁇ g,/mL BSA.
- the optimized Abl peptide substrate EAIYAAPFAKKK is used as phosphoacceptor (200 ⁇ M). Reactions are terminated by spotting onto phosphocellulose sheets, which are washed with 0.5% phosphoric acid (approximately 6 times, 5-10 minutes each). Sheets are dried and the transferred radioactivity quantitated by phosphorimaging.
- TIE2 TEK receptor tyrosine kinase
- the cross-activity or lack thereof of one or more compounds of the present invention against TIE2 kinase can be measured according to any procedures known in the art or methods disclosed below.
- the compounds described herein can be tested against recombinant TIE2 kinase domain (Invitrogen) in an assay containing 25 mM HEPES, pH 7.4, 10 mM MgCl2, 2 mM DTT, 10 mM MnCl2, 10 ⁇ M ATP (2.5 ⁇ Ci of ⁇ -32P-ATP), and 3 ⁇ g/mL BSA.
- Poly E-Y Sigma; 2 mg/mL is used as a substrate.
- Reactions are terminated by spotting onto nitrocellulose, which is washed with 1M NaCl/1% phosphoric acid (approximately 6 times, 5-10 minutes each). Sheets are dried and the transferred radioactivity quantitated by phosphorimaging.
- an in vitro cellular proliferation assay is established that measures the metabolic activity of live cells.
- the assay is performed in a 96 well microtiter plate using Alamar Blue reduction.
- Balb/c splenic B cells are purified over a Ficoll-PaqueTM PLUS gradient followed by magnetic cell separation using a MACS B cell Isolation Kit (Miletenyi).
- Cells are plated in 90 ul at 50,000 cells/well in B Cell Media (RPMI+10% FBS+Penn/Strep+50 uM bME+5 mM HEPES).
- a compound disclosed herein is diluted in B Cell Media and added in a 10 ul volume. Plates are incubated for 30 min at 37C and 5% CO 2 (0.2% DMSO final concentration). A 50 ul B cell stimulation cocktail is then added containing either 10 ug/ml LPS or 5 ug/ml F(ab′)2 Donkey anti-mouse IgM plus 2 ng/ml recombinant mouse IL4 in B Cell Media. Plates are incubated for 72 hours at 37° C. and 5% CO 2 . A volume of 15 uL of Alamar Blue reagent is added to each well and plates are incubated for 5 hours at 37C and 5% CO 2 . Alamar Blue fluoresce is read at 560Ex/590Em, and IC50 or EC50 values are calculated using GraphPad Prism 5.
- an in vitro cellular proliferation assay can be performed to measure the metabolic activity of live cells.
- the assay is performed in a 96 well microtiter plate using Alamar Blue reduction Human tumor cell lines are obtained from ATCC (e.g., MCF7, U-87 MG, MDA-MB-468, PC-3), grown to confluency in T75 flasks, trypsinized with 0.25% trypsin, washed one time with Tumor Cell Media (DMEM+10% FBS), and plated in 90 ul at 5,000 cells/well in Tumor Cell Media.
- ATCC e.g., MCF7, U-87 MG, MDA-MB-468, PC-3
- DMEM+10% FBS Tumor Cell Media
- a compound disclosed herein is diluted in Tumor Cell Media and added in a 10 ul volume. Plates are incubated for 72 hours at 37C and 5% CO 2 . A volume of 10 uL of Alamar Blue reagent is added to each well and plates are incubated for 3 hours at 37C and 5% CO 2 . Alamar Blue fluoresce is read at 560Ex/590Em, and IC50 values are calculated using GraphPad Prism 5.
- the compounds described herein can be evaluated in a panel of human and murine tumor models.
- This tumor model is established from a tumor biopsy of an ovarian cancer patient. Tumor biopsy is taken from the patient.
- the compounds described herein are administered to nude mice bearing staged tumors using an every 2 days ⁇ 5 schedule.
- A2780Tax is a paclitaxel-resistant human ovarian carcinoma model. It is derived from the sensitive parent A2780 line by co-incubation of cells with paclitaxel and verapamil, an MDR-reversal agent. Its resistance mechanism has been shown to be non-MDR related and is attributed to a mutation in the gene encoding the beta-tubulin protein.
- the compounds described herein can be administered to mice bearing staged tumors on an every 2 days ⁇ 5 schedule.
- HCT116/VM46 is an MDR-resistant colon carcinoma developed from the sensitive HCT116 parent line. In vivo, grown in nude mice, HCT116/VM46 has consistently demonstrated high resistance to paclitaxel.
- the compounds described herein can be administered to mice bearing staged tumors on an every 2 days x 5 schedule.
- M5076 is a mouse fibrosarcoma that is inherently refractory to paclitaxel in vivo.
- the compounds described herein can be administered to mice bearing staged tumors on an every 2 days ⁇ 5 schedule.
- One or more compounds of the invention can be used in combination other therapeutic agents in vivo in the multidrug resistant human colon carcinoma xenografts HCT/VM46 or any other model known in the art including those described herein.
- the stability of one or more subject compounds is determined according to standard procedures known in the art. For example, stability of one or more subject compounds is established by an in vitro assay. In particular, an in vitro microsome stability assay is established that measures stability of one or more subject compounds when reacting with mouse, rat or human microsomes from liver. The microsome reaction with compounds is performed in 1.5 mL Eppendorf tube. Each tube contains 0.1 ⁇ L of 10.0 mg/ml NADPH; 75 ⁇ L of 20.0 mg/ml mouse, rat or human liver microsome; 0.4 ⁇ L of 0.2 M phosphate buffer, and 425 ⁇ L of ddH 2 O.
- Negative control (without NADPH) tube contains 75 ⁇ L of 20.0 mg/ml mouse, rat or human liver microsome; 0.4 ⁇ L of 0.2 M phosphate buffer, and 525 ⁇ L of ddH 2 O.
- the reaction is started by adding 1.0 ⁇ L of 10.0 mM tested compound.
- the reaction tubes are incubated at 37° C. 100 ⁇ L sample is collected into new Eppendorf tube containing 300 ⁇ L cold Methanol at 0, 5, 10, 15, 30 and 60 minutes of reaction. Samples are centrifuged at 15,000 rpm to remove protein. Supernatant of centrifuged sample is transferred to new tube. Concentration of stable compound after reaction with microsome in the supernatant is measured by Liquid Chromatography/Mass Spectrometry (LC-MS).
- LC-MS Liquid Chromatography/Mass Spectrometry
- the stability of one or more subject compounds in plasma is determined according to standard procedures known in the art. See, e.g., Rapid Commun. Mass Spectrom., 10: 1019-1026. The following procedure is an HPLC-MS/MS assay using human plasma; other species including monkey, dog, rat, and mouse are also available. Frozen, heparinized human plasma is thawed in a cold water bath and spun for 10 minutes at 2000 rpm at 4° C. prior to use. A subject compound is added from a 400 ⁇ M stock solution to an aliquot of pre-warmed plasma to give a final assay volume of 400 ⁇ L (or 800 ⁇ L for half-life determination), containing 5 ⁇ M test compound and 0.5% DMSO.
- Reactions are incubated, with shaking, for 0 minutes and 60 minutes at 37° C., or for 0, 15, 30, 45 and 60 minutes at 37 C for half life determination. Reactions are stopped by transferring 50 ⁇ L of the incubation mixture to 200 ⁇ L of ice-cold acetonitrile and mixed by shaking for 5 minutes. The samples are centrifuged at 6000 ⁇ g for 15 minutes at 4° C. and 120 ⁇ L of supernatant removed into clean tubes. The samples are then evaporated to dryness and submitted for analysis by HPLC-MS/MS.
- one or more control or reference compounds (5 ⁇ M) are tested simultaneously with the test compounds: one compound, propoxycaine, with low plasma stability and another compound, propantheline, with intermediate plasma stability.
- Samples are reconstituted in acetonitrile/methanol/water (1/1/2, v/v/v) and analyzed via (RP)HPLC-MS/MS using selected reaction monitoring (SRM).
- the HPLC conditions consist of a binary LC pump with autosampler, a mixed-mode, C12, 2 ⁇ 20 mm column, and a gradient program. Peak areas corresponding to the analytes are recorded by HPLC-MS/MS. The ratio of the parent compound remaining after 60 minutes relative to the amount remaining at time zero, expressed as percent, is reported as plasma stability. In case of half-life determination, the half-life is estimated from the slope of the initial linear range of the logarithmic curve of compound remaining (%) vs. time, assuming first order kinetics.
- the chemical stability of one or more subject compounds is determined according to standard procedures known in the art. The following details an exemplary procedure for ascertaining chemical stability of a subject compound.
- the default buffer used for the chemical stability assay is phosphate-buffered saline (PBS) at pH 7.4; other suitable buffers can be used.
- PBS phosphate-buffered saline
- a subject compound is added from a 100 ⁇ M stock solution to an aliquot of PBS (in duplicate) to give a final assay volume of 400 ⁇ L, containing 5 ⁇ M test compound and 1% DMSO (for half-life determination a total sample volume of 700 ⁇ L is prepared).
- Reactions are incubated, with shaking, for 0 minutes and 24 hours at 37° C.; for half-life determination samples are incubated for 0, 2, 4, 6, and 24 hours. Reactions are stopped by adding immediately 100 ⁇ L of the incubation mixture to 100 ⁇ L of acetonitrile and vortexing for 5 minutes. The samples are then stored at ⁇ 20° C. until analysis by HPLC-MS/MS. Where desired, a control compound or a reference compound such as chlorambucil (5 ⁇ M) is tested simultaneously with a subject compound of interest, as this compound is largely hydrolyzed over the course of 24 hours. Samples are analyzed via (RP)HPLC-MS/MS using selected reaction monitoring (SRM).
- SRM selected reaction monitoring
- the HPLC conditions consist of a binary LC pump with autosampler, a mixed-mode, C12, 2 ⁇ 20 mm column, and a gradient program. Peak areas corresponding to the analytes are recorded by HPLC-MS/MS. The ratio of the parent compound remaining after 24 hours relative to the amount remaining at time zero, expressed as percent, is reported as chemical stability. In case of half-life determination, the half-life is estimated from the slope of the initial linear range of the logarithmic curve of compound remaining (%) vs. time, assuming first order kinetics.
- Cells comprising components of the Akt/mTOR pathway including but not limited to L6 myoblasts, B-ALL cells, B-cells, T-cells, leukemia cells, bone marrow cells, p190 transduced cells, philladelphia chromosome positive cells (Ph+), and mouse embryonic fibroblasts, are typically grown in cell growth media such as DMEM supplemented with fetal bovine serum and/or antibiotics, and grown to confluency.
- cell growth media such as DMEM supplemented with fetal bovine serum and/or antibiotics
- said cells are serum starved overnight and incubated with one or more compounds disclosed herein or about 0.1% DMSO for approximately 1 minute to about 1 hour prior to stimulation with insulin (e.g. 100 nM) for about 1 minutes to about 1 hour.
- insulin e.g. 100 nM
- Cells are lysed by scraping into ice cold lysis buffer containing detergents such as sodium dodecyl sulfate and protease inhibitors (e.g., PMSF).
- the solution After contacting cells with lysis buffer, the solution is briefly sonicated, cleared by centrifugation, resolved by SDS-PAGE, transferred to nitrocellulose or PVDF and immunoblotted using antibodies to phospho-Akt 5473, phospho-Akt T308, Akt, and ⁇ -actin (Cell Signaling Technologies).
- some compounds disclosed herein additionally inhibit insulin stimulated phosphorylation of Akt at T308.
- Such class of compounds can inhibit Akt more effectively than rapamycin and may be indicative of mTORC2 inhibitors or inhibitors of upstream kinases such as PI3K or Akt.
- PI3K/Akt/mTor signaling is measured in blood cells using the phosflow method (Methods Enzymol. 2007;434:131-54).
- the advantage of this method is that it is by nature a single cell assay so that cellular heterogeneity can be detected rather than population averages. This allows concurrent dinstinction of signaling states in different populations defined by other markers. Phosflow is also highly quantitative.
- unfractionated splenocytes, or peripheral blood mononuclear cells are stimulated with anti-CD3 to initiate T-cell receptor signaling. The cells are then fixed and stained for surface markers and intracellular phosphoproteins. It is expected that inhibitors disclosed herein inhibit anti-CD3 mediated phosphorylation of Akt -S473 and S6, whereas rapamycin inhibits S6 phosphorylation and enhances Akt phosphorylation under the conditions tested.
- T cell receptor anti-CD3 with secondary antibody
- BCR B cell receptor
- Fab′2 fragments anti-kappa light chain antibody
- the level of phosphrylation of kinase substrates such as Akt and S6 are then measured by incubating the fixed cells with labeled antibodies specific to the phosphorylated isoforms of these proteins. The population of cells are then analyzed by flow cytometry.
- Murine bone marrow cells freshly transformed with a p190 BCR-Abl retrovirus (herein referred to as p190 transduced cells) are plated in the presence of various drug combinations in M3630 methylcellulose media for about 7 days with recombinant human IL-7 in about 30% serum, and the number of colonies formed is counted by visual examination under a microscope.
- human peripheral blood mononuclear cells are obtained from Philadelphia chromosome positive (Ph+) and negative (Ph ⁇ ) patients upon initial diagnosis or relapse.
- Live cells are isolated and enriched for CD19+ CD34+ B cell progenitors.
- cells are plated in methocult GF+H4435, Stem Cell Tehcnologies) suplemented with cytokines (IL-3, IL-6, IL-7, G-CSF, GM-CSF, CF, Flt3 ligand, and erythropoietin) and various concentrations of known chemotherapeutic agents in combination with either compounds of the present disclosure. Colonies are counted by microscopy 12-14 days later. This method can be used to test for evidence of additive or synergistic activity.
- mice Female recipient mice are lethally irradiated from a y source in two doses about 4 hr apart, with approximately 5Gy each. About lhr after the second radiation dose, mice are injected i.v. with about 1 ⁇ 10 6 leukemic cells (e.g. Ph+ human or murine cells, or p190 transduced bone marrow cells). These cells are administered together with a radioprotective dose of about 5 ⁇ 10 6 normal bone marrow cells from 3-5 week old donor mice. Recipients are given antibiotics in the water and monitored daily. Mice who become sick after about 14 days are euthanized and lymphoid organs are harvested for analysis. Kinase inhibitor treatment begins about 10 days after leukemic cell injection and continues daily until the mice become sick or a maximum of approximately 35 days post-transplant. Inhibitors are given by oral lavage.
- leukemic cells e.g. Ph+ human or murine cells, or p190 transduced bone marrow cells.
- Peripheral blood cells are collected approximately on day 10 (pre-treatment) and upon euthanization (post treatment), contacted with labled anti-hCD4 antibodies and counted by flow cytometry.
- This method can be used to demonstrate that the synergistic effect of one or more compounds disclosed herein in combination with known chemotherapeutic agents significantly reduce leukemic blood cell counts as compared to treatment with known chemotherapeutic agents (e.g. Gleevec) alone under the conditions tested.
- Fc ⁇ RIIb knockout mice R2KO, Jackson Labs
- Fc ⁇ RIIb knockout mice R2KO, Jackson Labs
- Fc ⁇ RIIb knockout mice S. Bolland and J. V. Ravtech 2000. Immunity 12:277-285.
- the R2KO mice develop lupus-like disease with anti-nuclear antibodies, glomerulonephritis and proteinurea within about 4-6 months of age.
- the rapamycin analogue RAD001 available from LC Laboratories
- This compound has been shown to ameliorate lupus symptoms in the B6.Slelz.Sle3z model (T. Wu et al. J. Clin Invest. 117:2186-2196).
- Lupus disease model mice such as R2KO, BXSB or MLR/lpr are treated at about 2 months old, approximately for about two months. Mice are given doses of: vehicle, RAD001 at about 10 mg/kg, or compounds disclosed herein at approximately 1 mg/kg to about 500 mg/kg. Blood and urine samples are obtained at approximately throughout the testing period, and tested for antinuclear antibodies (in dilutions of serum) or protein concentration (in urine). Serum is also tested for anti-ssDNA and anti-dsDNA antibodies by ELISA. Animals are euthanized at day 60 and tissues harvested for measuring spleen weight and kidney disease. Glomerulonephritis is assessed in kidney sections stained with H&E. Other animals are studied for about two months after cessation of treatment, using the same endpoints.
- This model established in the art can be employed to demonstrate that the kinase inhibitors disclosed herein can suppress or delay the onset of lupus symptoms in lupus disease model mice.
- mice Female recipient mice are lethally irradiated from a ⁇ ray source. About 1 hr after the radiation dose, mice are injected with about 1 ⁇ 106 leukemic cells from early passage p190 transduced cultures (e.g. as described in Cancer Genet Cytogenet. 2005 August; 161(1):51-6). These cells are administered together with a radioprotective dose of approximately 5 ⁇ 106 normal bone marrow cells from 3-5 wk old donor mice. Recipients are given antibiotics in the water and monitored daily. Mice who become sick after about 14 days are euthanized and lymphoid organs harvested for flow cytometry and/or magnetic enrichment.
- Treatment begins on approximately day 10 and continues daily until mice become sick, or after a maximum of about 35 days post-transplant. Drugs are given by oral gavage (p.o.).
- chemotherapeutic that is not curative but delays leukemia onset by about one week or less is identified; controls are vehicle-treated or treated with chemotherapeutic agent, previously shown to delay but not cure leukemogenesis in this model (e.g. imatinib at about 70 mg/kg twice daily).
- chemotherapeutic agent e.g. imatinib at about 70 mg/kg twice daily.
- For the first phase p190 cells that express eGFP are used, and postmortem analysis is limited to enumeration of the percentage of leukemic cells in bone marrow, spleen and lymph node (LN) by flow cytometry.
- p190 cells that express a tailless form of human CD4 are used and the postmortem analysis includes magnetic sorting of hCD4+ cells from spleen followed by immunoblot analysis of key signaling endpoints: p Akt -T308 and S473; pS6 and p4EBP-1.
- sorted cells are incubated in the presence or absence of kinase inhibitors of the present disclosure inhibitors before lysis.
- “phosflow” is used to detect p Akt -S473 and pS6-S235/236 in hCD4-gated cells without prior sorting.
- Plasma samples of peripheral blood are obtained weekly from all mice, starting on day 10 immediately prior to commencing treatment. Plasma is used for measuring drug concentrations, and cells are analyzed for leukemia markers (eGFP or hCD4) and signaling biomarkers as described herein.
- eGFP or hCD4 leukemia markers
- This general assay known in the art may be used to demonstrate that effective therapeutic doses of the compounds disclosed herein can be used for inhibiting the proliferation of leukemic cells.
- TNP-Ficoll B-cell activation assay was used as described herein.
- Compounds of the present invention were dissolved in an appropriate vehicle (e.g. 5% 1-methyl-2-pyrrolidinone, 85% polyethylene glycol 400, 10% Solutor).
- Compounds were administered orally approximately 1 hr before TNP-Ficoll treatment to 4-10 week old mice.
- an appropriate vehicle e.g. 5% 1-methyl-2-pyrrolidinone, 85% polyethylene glycol 400, 10% Solutor
- Serum samples were analyzed for anti-TNP antibody titers by ELISA as described herein.
- TNP-B SA was coated onto a Nunc Maxisorb microtiter plate with 100 ⁇ l/well at a concentration of 10 ⁇ g/ml in phosphate buffered saline (PBS). The Maxisorb plate was incubated for 1.5 hours at room temperature and the solution was removed. 200 ⁇ l/well of blocking buffer (e.g. 1% BSA in PBS) was added to each well and incubated 1 hr at room temperature. The plate was washed once with 200 ⁇ l/well of PBS 0.05% Tween-20 (wash buffer).
- blocking buffer e.g. 1% BSA in PBS
- a 1:2 dilution of serum from each mouse in blocking buffer was added to each well in the first column (1) of the microtiter plate.
- the serum in each well of column 1 was then diluted 3-fold in blocking buffer and added to column 2.
- the serum in each well of column 2 was diluted 3-fold in blocking buffer and added to column 3.
- the procedure was repeated across the twelve columns of the microtiter plate.
- the microtiter plate was incubated 1 hr at room temperature. Serum was removed from the plate and the plate was washed three times with wash buffer. 100 ⁇ l/well of goat anti-mouse IgG3-HRP diluted 1:250 in blocking buffer was added to each well and incubated lhr at room temperature.
- anti-mouse IgG3-HRP was removed from the microtiter plate and the plate was washed six times with wash buffer.
- HRP substrate 200 ⁇ l ABTS solution+30% H 2 O 2 +10 ml citrate buffer
- anti-TNP IgG3 was determined spectrophotometrically at 405 nm.
- anti-TNP IgM and total anti-TNP Ab were determined using anti-mouse IgM-HRP and anti-mouse Ig-HRP respectively.
- results as shown in FIG. 2 futher show that under the conditions tested compounds #7 and #53 exhibit 3.4 and 6.5-fold reductions respectively in IgG3 levels relative to vehicle control mice at a 30 mg/kg dose level.
- FIG. 2 further shows that compound #53 exhibits 29.9-fold reduction in IgG3 levels relative to vehicle control mice at a 60 mg/kg dose level under the conditions tested.
- a collagen induced developing arthritis model was used.
- Female Lewis rats were given collagen injections at day 0.
- Bovine type II collagen was prepared as a 4 mg/ml solution in 0.01N acetic acid.
- Equal volumes of collagen and Freund's incomplete adjuvant were emulsified by hand mixing until a bead of the emulsified material held its form in water.
- Each rodent received a 300 ⁇ l injection of the mixture at each injection time spread over three subcutaneous sites on the back.
- Oral compound administration began on day 0 and continued through day 16 with vehicle (5% NMP, 85% PEG 400, 10% Solutol) or compounds of the present invention in vehicle or control (e.g. methotrexate) at 12 hour intervals daily. Rats were weighed on days 0, 3, 6, 9-17 and caliper measurements of ankles taken on days 9-17. Final body weights were taken, and then the animals were euthanized on day 17. After euthanization, blood was drawn and hind paws and knees were removed. Blood was further processed for pharmacokinetics experiments as well as an anti-type II collagen antibody ELISA assay. Hind paws were weighed and then with the knees preserved in 10% formalin. The paws and knees were subsequently processed for microcopy. Livers, spleen and thymus were also weighed. Sciatic nerves were prepared for histopathology.
- Knee and ankle joints were fixed for 1-2 days and decalcified for 4-5 days. Ankle joints were cut in half longitudinally, knees were cut in half along the frontal plane. Joints were then processed, embedded, sectioned and stained with toluidine blue. Scoring of the joints was done according to the following criteria:
- results as shown in FIG. 3 demonstrate the effect of compound #53 at 10, 30, and 60 mg/kg dosages at 12 hour intervals on mean ankle diameter over time in a rat developing type II collagen induced arthritis model under the conditions tested.
- the compounds of the present invention exhibited a siginificant reduction in arthritis induced ankle diameter increase over time.
- results as shown in FIG. 4 demonstrate the effect of compounds #7 and #53 on ankle histopathology in the categories of inflammation, pannus, cartilage damage, and bone resporption as previously described under the conditions tested.
- the results show a significant reduction in one or more categories by one of the compounds of the present invention (i.e. compound #53) under the conditions tested.
- FIG. 4 further shows that at 60 mg/kg, there is a statistically significant reduction in all categories of ankle histopathology for one of the compounds of the present invention (i.e. compound #53) under the conditions tested. This suggests that one or more compounds of the present invention may be useful for the treatment and reduction of arthritis disease symptoms.
- results as shown in FIG. 5 demonstrate the effect of compounds #7 and #53 on knee histopathology under the conditions tested.
- the results demonstrate a dose dependent reduction in knee histopathology. This suggests that one or more compounds of the present invention may be useful for the treatment and reduction of arthritis disease symptoms.
- results as shown in FIG. 6 demonstrate the effect of the compounds #7 and #53 on serum anti-type II collagen levels under the conditions tested.
- the results further show a singificant reduction at 10, 20, and 60 mg/kg dosage levels of serum anti-type II collagen levels for compound #53, suggesting that one or more compounds of the present invention may not only be useful for the treatment and reduction of arthritis disease symptoms, but may also be useful for the inhibition of the autoimmune reaction itself.
- results as shown in FIG. 7 demonstrate the effect of compound #7 at 10, 30, and 60 mg/kg dosages at 12 hour intervals on mean ankle diameter over time under the conditions tested. Relative to the vehicle alone control or to the methotrexate control, the compound exhibited a reduction in arthritis induced ankle diameter increase over time under the conditions tested. When tested in the same model, at least five other compounds of the present invention exhibit comparable or even higher efficacy.
Landscapes
- Health & Medical Sciences (AREA)
- Chemical & Material Sciences (AREA)
- Organic Chemistry (AREA)
- Life Sciences & Earth Sciences (AREA)
- Medicinal Chemistry (AREA)
- General Health & Medical Sciences (AREA)
- Veterinary Medicine (AREA)
- Public Health (AREA)
- Animal Behavior & Ethology (AREA)
- Pharmacology & Pharmacy (AREA)
- Engineering & Computer Science (AREA)
- Bioinformatics & Cheminformatics (AREA)
- Nuclear Medicine, Radiotherapy & Molecular Imaging (AREA)
- General Chemical & Material Sciences (AREA)
- Chemical Kinetics & Catalysis (AREA)
- Epidemiology (AREA)
- Immunology (AREA)
- Diabetes (AREA)
- Biomedical Technology (AREA)
- Hematology (AREA)
- Physical Education & Sports Medicine (AREA)
- Pulmonology (AREA)
- Microbiology (AREA)
- Mycology (AREA)
- Oncology (AREA)
- Endocrinology (AREA)
- Rheumatology (AREA)
- Dermatology (AREA)
- Obesity (AREA)
- Orthopedic Medicine & Surgery (AREA)
- Radiology & Medical Imaging (AREA)
- Pathology (AREA)
- Pain & Pain Management (AREA)
- Transplantation (AREA)
- Neurology (AREA)
- Neurosurgery (AREA)
- Heart & Thoracic Surgery (AREA)
- Cardiology (AREA)
- Emergency Medicine (AREA)
- Urology & Nephrology (AREA)
Abstract
Description
- This application is a continuation application of U.S. patent application Ser. No. 14/938,647, filed on Nov. 11, 2015, which is a continuation application of U.S. patent application Ser. No. 14/296,953, filed on Jun. 5, 2014, now U.S. Pat. No. 9,216,982, which is a continuation application of U.S. patent application Ser. No. 13/403,394, filed on Feb. 23, 2012, now U.S. Pat. No. 8,785,456, which is a divisional application of U.S. patent application Ser. No. 12/503,776, filed on Jul. 15, 2009, now U.S. Pat. No. 8,193,182, which is a continuation in part of International Application No. PCT/US09/00038, filed on January 5, 2009 and International Application No. PCT/US09/00042, filed on Jan. 5, 2009, each of which claims the benefit of U.S. Provisional Application Nos. 61/009,971 filed on Jan. 4, 2008, 61/194,294 filed on Sep. 26, 2008, and 61/201,146 filed on Dec. 5, 2008. All of the above-referenced patent applications are hereby incorporated by reference in their entirety for all purposes.
- The activity of cells can be regulated by external signals that stimulate or inhibit intracellular events. The process by which stimulatory or inhibitory signals are transmitted into and within a cell to elicit an intracellular response is referred to as signal transduction. Over the past decades, cascades of signal transduction events have been elucidated and found to play a central role in a variety of biological responses. Defects in various components of signal transduction pathways have been found to account for a vast number of diseases, including numerous forms of cancer, inflammatory disorders, metabolic disorders, vascular and neuronal diseases (Gaestel et al. Current Medicinal Chemistry (2007) 14:2214-2234).
- Kinases represent a class of important signaling molecules Kinases can generally be classified into protein kinases and lipid kinases, and certain kinases exhibit dual specificities. Protein kinases are enzymes that phosphorylate other proteins and/or themselves (i.e., autophosphorylation). Protein kinases can be generally classified into three major groups based upon their substrate utilization: tyrosine kinases which predominantly phosphorylate substrates on tyrosine residues (e.g., erb2, PDGF receptor, EGF receptor, VEGF receptor, src, abl), serine/threonine kinases which predominantly phosphorylate substrates on serine and/or threonine residues (e.g., mTorC1, mTorC2, ATM, ATR, DNA-PK, Akt), and dual-specificity kinases which phosphorylate substrates on tyrosine, serine and/or threonine residues.
- Lipid kinases are enzymes that catalyze the phosphorylation of lipids. These enzymes, and the resulting phosphorylated lipids and lipid-derived biologically active organic molecules, play a role in many different physiological processes, including cell proliferation, migration, adhesion, and differentiation. Certain lipid kinases are membrane associated and they catalyze the phosphorylation of lipids contained in or associated with cell membranes. Examples of such enzymes include phosphoinositide(s) kinases (such as PI3-kinases, PI4-Kinases), diacylglycerol kinases, and sphingosine kinases.
- The phosphoinositide 3-kinases (PI3Ks) signaling pathway is one of the most highly mutated systems in human cancers. PI3K signaling is also a key factor in many other diseases in humans PI3K signaling is involved in many disease states including allergic contact dermatitis, rheumatoid arthritis, osteoarthritis, inflammatory bowel diseases, chronic obstructive pulmonary disorder, psoriasis, multiple sclerosis, asthma, disorders related to diabetic complications, and inflammatory complications of the cardiovascular system such as acute coronary syndrome.
- PI3Ks are members of a unique and conserved family of intracellular lipid kinases that phosphorylate the 3′-OH group on phosphatidylinositols or phosphoinositides. The PI3K family comprises 15 kinases with distinct substrate specificities, expression patterns, and modes of regulation (Katso et al., 2001). The class I PI3Ks (p110α, p110β, p110δ, and p110γ) are typically activated by tyrosine kinases or G-protein coupled receptors to generate PIP3, which engages downstream effectors such as those in the Akt/PDK1 pathway, mTOR, the Tec family kinases, and the Rho family GTPases. The class II and III PI3-Ks play a key role in intracellular trafficking through the synthesis of PI(3)P and PI(3,4)P2. The PIKKs are protein kinases that control cell growth (mTORC1) or monitor genomic integrity (ATM, ATR, DNA-PK, and hSmg-1).
- The delta (δ) isoform of class I PI3K has been implicated, in particular, in a number of diseases and biological processes. PI3K δ is expressed primarily in hematopoietic cells including leukocytes such as T-cells, dendritic cells, neutrophils, mast cells, B-cells, and macrophages. PI3K δ is integrally involved in mammalian immune system functions such as T-cell function, B-cell activation, mast cell activation, dendritic cell function, and neutrophil activity. Due to its integral role in immune system function, PI3K δ is also involved in a number of diseases related to undesirable immune response such as allergic reactions, inflammatory diseases, inflammation mediated angiogenesis, rheumatoid arthritis, auto-immune diseases such as lupus, asthma, emphysema and other respiratory diseases. Other class I PI3K involved in immune system function includes PI3K γ, which plays a role in leukocyte signaling and has been implicated in inflammation, rheumatoid arthritis, and autoimmune diseases such as lupus.
- Downstream mediators of the PI3K signal transduction pathway include Akt and mammalian target of rapamycin (mTOR). Akt possesses a plckstrin homology (PH) domain that binds PIP3, leading to Akt kinase activation. Akt phosphorylates many substrates and is a central downstream effector of PI3K for diverse cellular responses. One important function of Akt is to augment the activity of mTOR, through phosphorylation of TSC2 and other mechanisms. mTOR is a serine-threonine kinase related to the lipid kinases of the PI3K family. mTOR has been implicated in a wide range of biological processes including cell growth, cell proliferation, cell motility and survival. Disregulation of the mTOR pathway has been reported in various types of cancer. mTOR is a multifunctional kinase that integrates growth factor and nutrient signals to regulate protein translation, nutrient uptake, autophagy, and mitochondrial function.
- As such, kinases, particularly PI3Ks are prime targets for drug development. There remains a need for PI3K inhibitors suitable for drug development. The present invention addresses this need and provides related advantages as well by providing new classes of kinase inhibitors.
- In one aspect, the present invention provides compounds of Formula I below or pharmaceutically acceptable salts thereof, wherein
- Wd is heterocycloalkyl, aryl or heteroaryl;
- B is alkyl or a moiety of Formula II;
- wherein Wc is aryl, heteroaryl, heterocycloalkyl, or cycloalkyl, and q is an integer of 0, 1, 2, 3, or 4;
- X is absent or —(CH(R9))z—, and z is an integer of 1;
- Y is absent, or —N(R9)—;
- R1 is hydrogen, alkyl, alkenyl, alkynyl, alkoxy, amido, alkoxycarbonyl, sulfonamido, halo, cyano, or nitro;
- R2 is alkyl, alkenyl, alkynyl, cycloalkyl, heterocycloalkyl, aryl, heteroaryl, heteroarylalkyl, alkoxy, amino, halo, cyano, hydroxy or nitro;
- R3 is hydrogen, alkyl, alkenyl, alkynyl, cycloalkyl, heterocycloalkyl, alkoxy, amido, amino, alkoxycarbonyl sulfonamido, halo, cyano, hydroxy or nitro;
- R5, R6, R7, and R8 are independently hydrogen, alkyl, alkenyl, alkynyl, cycloalkyl, hetercycloalkyl, alkoxy, amido, amino, acyl, acyloxy, sulfonamido, halo, cyano, hydroxy or nitro; and
- each instance of R9 is independently hydrogen, alkyl, cycloalkyl, or heterocycloalkyl.
- In some embodiments of the compounds of Formula I, when both X and Y are present then Y is —NH—.
- In some embodiments of the compounds of Formula I, X is absent or is —(CH(R9))z—, and z is independently an integer of 1, 2, 3, or 4; and Y is absent, —O—, —S—, —S(═O)—, —S(═O)2—, —N(R9)—, —C(═O)—(CHR9)z—, —C(═O)—, —N(R9)(C═O)—, —N(R9)(C═O)NH—, or —N(R9)C(R9)2—.
- In some of the embodiments, X is —CH2—, —CH(CH2CH3), or —CH(CH3)—.
- In some embodiments, X—Y is —CH2—N(CH3), —CH2—N(CH2CH3), —CH(CH2CH3)—NH— or —CH(CH3)—NH—.
- In some embodiments, Wd is a pyrazolopyrimidine of Formula III(a), or purine of Formula III(b), Formula III(c) or Formula III(d) below:
- wherein Ra
′ if Formula III(d) is hydrogen, halo, phosphate, urea, a carbonate, amino, alkyl, alkenyl, alkynyl, cycloalkyl, heteroalkyl, or heterocycloalkyl; R11 of Formula III(a) is H, alkyl, halo, amino, amido, hydroxy, or alkoxy, and R12 of Formula III(a), Formula III(c) or Formula III(d) is H, alkyl, alkynyl, alkenyl, halo, aryl, heteroaryl, heterocycloalkyl, or cycloalkyl. In some embodiments, Wd is a pyrazolopyrimidine of Formula III(a), wherein R11 is H, alkyl, halo, amino, amido, hydroxy, or alkoxy, and R12 is cyano, amino, carboxylic acid, or amido. - In some embodiments, the compound of Formula I has the structure of Formula IV:
- wherein R11 is H, alkyl, halo, amino, amido, hydroxy, or alkoxy, and R12 is H, alkyl, alkynyl, alkenyl, halo, aryl, heteroaryl, heterocycloalkyl, or cycloalkyl. In some embodiments, the compound of Formula I has the structure of Formula IV wherein R11 is H, alkyl, halo, amino, amido, hydroxy, or alkoxy, and R12 is cyano, amino, carboxylic acid, or amido.
- In some embodiments of the compound of Formula IV, R11 is amino. In some embodiments of the compound of Formula IV, R12 is alkyl, alkenyl, alkynyl, heteroaryl, aryl, or heterocycloalkyl. In some embodiments of the compound of Formula IV, R12 is cyano, amino, carboxylic acid, amido, monocyclic heteroaryl, or bicyclic heteroaryl.
- In some embodiments of the compound of Formula I, the compound has the structure of Formula V:
- In some of the embodiments of Formula V, NR9 is —N(CH2CH3)CH2— or N(CH3)CH2—.
- In some of the embodiments of Formula I, the compound has a structure of Formula VI:
- In some of the embodiments of the compound of Formula VI, R3 is —H, —CH3, —Cl, or —F, and R5, R6, R7, and R8 are independently hydrogen.
- In some of the embodiments of Formula VI, B is a moiety of Formula II;
- wherein Wc is aryl, heteroaryl, heterocycloalkyl, or cycloalkyl, and q is an integer of 0, 1, 2, 3, or 4.
- In another aspect of the invention a compound and its pharmaceutically acceptable salts having the structure of Formula I-I is provided, wherein:
- B is a moiety of Formula II;
- wherein Wc in B is aryl, heteroaryl, heterocycloalkyl, or cycloalkyl, and q is an integer of 0, 1, 2, 3, or 4;
- X is absent or —(CH(R9))z—, and z is an integer of 1;
- Y is absent, or —N(R9)—;
- when Y is absent, Wd is:
- or when Y is present, Wd is:
- R1 is hydrogen, alkyl, alkenyl, alkynyl, alkoxy, amido, alkoxycarbonyl, sulfonamido, halo, cyano, or nitro;
- R2 is alkyl, alkenyl, alkynyl, cycloalkyl, heterocycloalkyl, aryl, heteroaryl, heteroarylalkyl, alkoxy, amino, halo, cyano, hydroxy or nitro;
- R3 is hydrogen, alkyl, alkenyl, alkynyl, cycloalkyl, heterocycloalkyl, alkoxy, amido, amino, alkoxycarbonyl sulfonamido, halo, cyano, hydroxy or nitro;
- each instance of R9 is independently hydrogen, C1-C10alkyl, cycloalkyl, or hetercyclooalkyl; and R12 is H, alkyl, alkynyl, alkenyl, halo, aryl, heteroaryl, heterocycloalkyl, or cycloalkyl.
- In some embodiments, a compound of Formula I or Formula I-I has the structure of Formula IV-A:
- In some embodiments of the compound of Formula IV-A, R12 is substituted benzoxazole.
- In some embodiments, a compound of Formula I or Formula I-I has the structure of Formula V-A:
- In some embodiments, a compound of Formula I or Formula I-I has the structure of Formula IV-A or Formula V-A.
- In some embodiments, a compound of Formula I or Formula I-I has the structure of Formula V-B:
- In some embodiments, a compound of Formula I or Formula I-I has the structure of Formula VI-A:
- In some embodiments, a compound of Formula I or Formula I-I is the compound wherein B is a moiety of Formula II;
- wherein Wc is aryl, heteroaryl, heterocycloalkyl, or cycloalkyl; q is an integer of 0 or 1; R1 is hydrogen, alkyl, or halo; R2 is alkyl or halo; andR3 is hydrogen, alkyl, or halo. In some embodiments, when both X and Y are present then Y is —NH—. In other embodiments, R3 is —H, —CH3, —CH2CH3, —CF3, —Cl or —F. In further embodiments, R3 is methyl or chloro.
- In some embodiments of the compound of Formula I or Formula I-I, X is —(CH(R9))z—, wherein R9 is methyl and z =1; and
- Wd is
- In other embodiments of the compound of Formula I or Formula I-I, the compound is predominately in an (S)-stereochemical configuration.
- In further embodiments of the compound of Formula I or Formula I-I, the compound has a structure of Formula V-A2:
- In some other embodiments of the compound of Formula I or Formula I-I, R12 is a monocyclic heteroaryl, bicyclic heteroaryl, or heterocycloalkyl.
- In some other embodiments of the compound of Formula I or Formula I-I, B is a moiety of Formula II:
- wherein Wc is aryl or cycloalkyl.
- In another aspect of the invention, a pharmaceutical composition is provided which comprises a pharmaceutically acceptable excipient and one or more compounds of any formulae provided herein, including but not limited to Formula I, I-I, IV, IV-A, V, V-A, V-A2, V-B, VI, and VI-A. In some embodiments, the composition is a liquid, solid, semi-solid, gel, or an aerosol form.
- In another aspect of the invention, a method of inhibiting a phosphatidyl inositol-3 kinase (PI3 kinase), is provided comprising: contacting the PI3 kinase with an effective amount of one or more compounds disclosed herein. For instance, the step of contacting involves the use of one or more compounds of any formulae provided herien including but not limited to Formula I, I-I, IV, IV-A, V, V-A, V-A2, V-B, VI, and VI-A. In some embodiments, the step of contacting comprises contacting a cell that contains said PI3 kinase. In some embodiments of the method, the inhibition takes place in a subject suffering from a disorder associated with malfunctioning of one or more types of PI3 kinase. Some exemplary diseases involving malfunctioning of one or more types of PI3 kinases are selected from the group consisting of autoimmune diseases, rheumatoid arthritis, respiratory disease, allergic reactions, and various types of cancers. Where desired, the compound used in the method has the structure of Formula IV, wherein R11 is amino and R12 is substituted phenyl.
- In some embodiments of the method, the inhibition takes place in a subject suffering from rheumatoid arthritis or a respiratory disease, and wherein the compound has the structure of Formula IV, and wherein R11 is amino and R12 is bicyclic heteroaryl.
- In some embodiments, the method comprises administering a second therapeutic agent to the subject.
- In yet another aspect, the present invention provides a method of treating a disease manifesting an undesired immune response. The method comprises the step of administering to a subject in need thereof, one or more compounds disclosed herein including compounds of Formula I, I-I, IV, IV-A, V, V-A, V-B, VI, and/or VI-A, in an amount that is effective in ameliorating said undesired immune response. In some embodiments, the one or more compounds inhibit T-cell independent B-cell activation as evidenced by a reduction in production of anti-TNP IgG3 by at least about five folds when administered in an amount less than about 30 mg/kg BID dose to a test animal
- In some embodiments, the disease treated is associated with swelling or pain of a joint of a subject. The method can be effective in ameliorating one or more rheumatoid arthritis symptoms as evidenced by reduction in mean joint diameter by at least about 10% after 17 days and/or reduction in ankle diameter by at least 5-10% or more after several days to weeks of treatment, including for example reduction in ankle diameter by at least 5% after 7 days of treatment. In another embodiment, the undesired immune response is evidenced by enhanced production of anti-type II collagen antibodies, and the use of one or more subject compounds reduces the serum anti-type II collagen level at an ED50 of less than about 10 mg/kg.
- All publications, patents, and patent applications mentioned in this specification are herein incorporated by reference to the same extent as if each individual publication, patent, or patent application was specifically and individually indicated to be incorporated by reference.
- The novel features of the invention are set forth with particularity in the appended claims A better understanding of the features and advantages of the present invention will be obtained by reference to the following detailed description that sets forth illustrative embodiments, in which the principles of the invention are utilized, and the accompanying drawings of which:
-
FIG. 1 depicts an exemplary protocol for measuring T-cell independent production of TNP specific antibodies in vivo. -
FIG. 2 depicts the fold reduction in TNP specific IgG3 response to antigens provided by 7 and 53 of formula IV as compared to a vehicle control, when administered orally.compounds -
FIG. 3 depicts the dose-dependent effect of twice daily oral administration ofcompound 53 of formula IV in reducing the increase in ankle diameter over time in a collagen-induced developing arthritis model in rats. Also depicted are the results from non-arthritic control rats, arthritic control rats administered with a negative control vehicle, and arthritic control rats treated twice daily with methotrexate. -
FIG. 4 depicts the dose-dependent effect of 7 and 53 of formula IV in improving ankle histopathology when administered in a collagen-induced developing arthritis model in rats. Also depicted are the results from arthritic control rats administered with negative control vehicle or methotrexate.compounds -
FIG. 5 depicts the dose-dependent effect of 7 and 53 of formula IV in improving knee histopathology when administered in a collagen-induced developing arthritis model in rats. Also depicted are the results from arthritic control rats administered with negative control vehicle or positive control methotrexate.compounds -
FIG. 6 depicts the dose-dependent effect of 7 and 53 of formula IV in reducing the level of anti-type II collagen antibodies in vivo when administered to a collagen-induced developing arthritis rat model. Also depicted are the results from arthritic rats administered with negative control vehicle or methotrexate.compounds -
FIG. 7 depicts the dose-dependent effect ofcompound 7 of formula IV on improving ankle histopathology when administered in collagen-induced developing arthritis model in rats. Also depicted are the results from arthritic vehicle control rats and methotrexate-treated arthritic rats. -
FIG. 8 depicts the dose-dependent effect ofcompound 53 of formula IV administered daily on ankle histopathology in a collagen-induced established arthritis model in rats. Also depicted are the results from arthritic arthritic vehicle control rats and Enbrel-treated arthritic rats. -
FIG. 9 depicts the dose-dependent effect ofcompound 53 of formula IV administered twice daily on ankle histopathology in a collagen-induced established arthritis model in rats. Also depicted are the results from arthritic vehicle control rats and Enbrel-treated arthritic rats. -
FIG. 10 depicts the dose-dependent effect ofcompound 53 of formula IV on the increase in average paw volume in an adjuvant induced arthritis model. -
FIG. 11 depicts the effect ofcompound 53 of formula IV on the average weight over time of rats in an adjuvant induced arthritis model in rats. - While preferred embodiments of the present invention have been shown and described herein, it will be obvious to those skilled in the art that such embodiments are provided by way of example only. Numerous variations, changes, and substitutions will now occur to those skilled in the art without departing from the invention. It should be understood that various alternatives to the embodiments of the invention described herein may be employed in practicing the invention. It is intended that the appended claims define the scope of the invention and that methods and structures within the scope of these claims and their equivalents be covered thereby.
- Unless defined otherwise, all technical and scientific terms used herein have the same meaning as is commonly understood by one of skill in the art to which this invention belongs. All patents and publications referred to herein are incorporated by reference.
- As used in the specification and claims, the singular form “a”, “an” and “the” includes plural references unless the context clearly dictates otherwise.
- As used herein, “agent” or “biologically active agent” refers to a biological, pharmaceutical, or chemical compound or other moiety. Non-limiting examples include simple or complex organic or inorganic molecule, a peptide, a protein, an oligonucleotide, an antibody, an antibody derivative, antibody fragment, a vitamin derivative, a carbohydrate, a toxin, or a chemotherapeutic compound. Various compounds can be synthesized, for example, small molecules and oligomers (e.g., oligopeptides and oligonucleotides), and synthetic organic compounds based on various core structures. In addition, various natural sources can provide compounds for screening, such as plant or animal extracts, and the like. A skilled artisan can readily recognize that there is no limit as to the structural nature of the agents of the present invention.
- The term “agonist” as used herein refers to a compound having the ability to initiate or enhance a biological function of a target protein, whether by inhibiting the activity or expression of the target protein. Accordingly, the term “agonist” is defined in the context of the biological role of the target polypeptide. While preferred agonists herein specifically interact with (e.g. bind to) the target, compounds that initiate or enhance a biological activity of the target polypeptide by interacting with other members of the signal transduction pathway of which the target polypeptide is a member are also specifically included within this definition.
- The terms “antagonist” and “inhibitor” are used interchangeably, and they refer to a compound having the ability to inhibit a biological function of a target protein, whether by inhibiting the activity or expression of the target protein. Accordingly, the terms “antagonist” and “inhibitors” are defined in the context of the biological role of the target protein. While preferred antagonists herein specifically interact with (e.g. bind to) the target, compounds that inhibit a biological activity of the target protein by interacting with other members of the signal transduction pathway of which the target protein is a member are also specifically included within this definition. A preferred biological activity inhibited by an antagonist is associated with the development, growth, or spread of a tumor, or an undesired immune response as manifested in autoimmune disease.
- An “anti-cancer agent”, “anti-tumor agent” or “chemotherapeutic agent” refers to any agent useful in the treatment of a neoplastic condition. One class of anti-cancer agents comprises chemotherapeutic agents. “Chemotherapy” means the administration of one or more chemotherapeutic drugs and/or other agents to a cancer patient by various methods, including intravenous, oral, intramuscular, intraperitoneal, intravesical, subcutaneous, transdermal, buccal, or inhalation or in the form of a suppository.
- The term “cell proliferation” refers to a phenomenon by which the cell number has changed as a result of division. This term also encompasses cell growth by which the cell morphology has changed (e.g., increased in size) consistent with a proliferative signal.
- The term “co-administration,” “administered in combination with,” and their grammatical equivalents, as used herein, encompass administration of two or more agents to an animal so that both agents and/or their metabolites are present in the animal at the same time. Co-administration includes simultaneous administration in separate compositions, administration at different times in separate compositions, or administration in a composition in which both agents are present.
- The term “effective amount” or “therapeutically effective amount” refers to that amount of a compound described herein that is sufficient to effect the intended application including but not limited to disease treatment, as defined below. The therapeutically effective amount may vary depending upon the intended application (in vitro or in vivo), or the subject and disease condition being treated, e.g., the weight and age of the subject, the severity of the disease condition, the manner of administration and the like, which can readily be determined by one of ordinary skill in the art. The term also applies to a dose that will induce a particular response in target cells, e.g. reduction of platelet adhesion and/or cell migration. The specific dose will vary depending on the particular compounds chosen, the dosing regimen to be followed, whether it is administered in combination with other compounds, timing of administration, the tissue to which it is administered, and the physical delivery system in which it is carried.
- As used herein, “treatment” or “treating,” or “palliating” or “ameliorating” is used interchangeably herein. These terms refer to an approach for obtaining beneficial or desired results including but not limited to therapeutic benefit and/or a prophylactic benefit. By therapeutic benefit is meant eradication or amelioration of the underlying disorder being treated. Also, a therapeutic benefit is achieved with the eradication or amelioration of one or more of the physiological symptoms associated with the underlying disorder such that an improvement is observed in the patient, notwithstanding that the patient may still be afflicted with the underlying disorder. For prophylactic benefit, the compositions may be administered to a patient at risk of developing a particular disease, or to a patient reporting one or more of the physiological symptoms of a disease, even though a diagnosis of this disease may not have been made.
- A “therapeutic effect,” as that term is used herein, encompasses a therapeutic benefit and/or a prophylactic benefit as described above. A prophylactic effect includes delaying or eliminating the appearance of a disease or condition, delaying or eliminating the onset of symptoms of a disease or condition, slowing, halting, or reversing the progression of a disease or condition, or any combination thereof.
- The term “pharmaceutically acceptable salt” refers to salts derived from a variety of organic and inorganic counter ions well known in the art. Pharmaceutically acceptable acid addition salts can be formed with inorganic acids and organic acids. Inorganic acids from which salts can be derived include, for example, hydrochloric acid, hydrobromic acid, sulfuric acid, nitric acid, phosphoric acid, and the like. Organic acids from which salts can be derived include, for example, acetic acid, propionic acid, glycolic acid, pyruvic acid, oxalic acid, maleic acid, malonic acid, succinic acid, fumaric acid, tartaric acid, citric acid, benzoic acid, cinnamic acid, mandelic acid, methanesulfonic acid, ethanesulfonic acid, p-toluenesulfonic acid, salicylic acid, and the like. Pharmaceutically acceptable base addition salts can be formed with inorganic and organic bases. Inorganic bases from which salts can be derived include, for example, sodium, potassium, lithium, ammonium, calcium, magnesium, iron, zinc, copper, manganese, aluminum, and the like. Organic bases from which salts can be derived include, for example, primary, secondary, and tertiary amines, substituted amines including naturally occurring substituted amines, cyclic amines, basic ion exchange resins, and the like, specifically such as isopropylamine, trimethylamine, diethylamine, triethylamine, tripropylamine, and ethanolamine. In some embodiments, the pharmaceutically acceptable base addition salt is chosen from ammonium, potassium, sodium, calcium, and magnesium salts.
- “Pharmaceutically acceptable carrier” or “pharmaceutically acceptable excipient” includes any and all solvents, dispersion media, coatings, antibacterial and antifungal agents, isotonic and absorption delaying agents and the like. The use of such media and agents for pharmaceutically active substances is well known in the art. Except insofar as any conventional media or agent is incompatible with the active ingredient, its use in the therapeutic compositions of the invention is contemplated. Supplementary active ingredients can also be incorporated into the compositions.
- “Signal transduction” is a process during which stimulatory or inhibitory signals are transmitted into and within a cell to elicit an intracellular response. A modulator of a signal transduction pathway refers to a compound which modulates the activity of one or more cellular proteins mapped to the same specific signal transduction pathway. A modulator may augment (agonist) or suppress (antagonist) the activity of a signaling molecule.
- The term “selective inhibition” or “selectively inhibit” as applied to a biologically active agent refers to the agent's ability to selectively reduce the target signaling activity as compared to off-target signaling activity, via direct or interact interaction with the target.
- The term “B-ALL” as used herein refers to B-cell Acute Lymphoblastic Leukemia.
- “Subject” refers to an animal, such as a mammal, for example a human The methods described herein can be useful in both human therapeutics and veterinary applications. In some embodiments, the patient is a mammal, and in some embodiments, the patient is human
- “Radiation therapy” means exposing a patient, using routine methods and compositions known to the practitioner, to radiation emitters such as alpha-particle emitting radionucleotides (e.g., actinium and thorium radionuclides), low linear energy transfer (LET) radiation emitters (i.e. beta emitters), conversion electron emitters (e.g. strontium-89 and samarium-153-EDTMP, or high-energy radiation, including without limitation x-rays, gamma rays, and neutrons.
- “Prodrug” is meant to indicate a compound that may be converted under physiological conditions or by solvolysis to a biologically active compound described herein. Thus, the term “prodrug” refers to a precursor of a biologically active compound that is pharmaceutically acceptable. A prodrug may be inactive when administered to a subject, but is converted in vivo to an active compound, for example, by hydrolysis. The prodrug compound often offers advantages of solubility, tissue compatibility or delayed release in a mammalian organism (see, e.g., Bundgard, H., Design of Prodrugs (1985), pp. 7-9, 21-24 (Elsevier, Amsterdam). A discussion of prodrugs is provided in Higuchi, T., et al., “Pro-drugs as Novel Delivery Systems,” A.C.S. Symposium Series, Vol. 14, and in Bioreversible Carriers in Drug Design, ed. Edward B. Roche, American Pharmaceutical Association and Pergamon Press, 1987, both of which are incorporated in full by reference herein. The term “prodrug” is also meant to include any covalently bonded carriers, which release the active compound in vivo when such prodrug is administered to a mammalian subject. Prodrugs of an active compound, as described herein, may be prepared by modifying functional groups present in the active compound in such a way that the modifications are cleaved, either in routine manipulation or in vivo, to the parent active compound. Prodrugs include compounds wherein a hydroxy, amino or mercapto group is bonded to any group that, when the prodrug of the active compound is administered to a mammalian subject, cleaves to form a free hydroxy, free amino or free mercapto group, respectively. Examples of prodrugs include, but are not limited to, acetate, formate and benzoate derivatives of an alcohol or acetamide, formamide and benzamide derivatives of an amine functional group in the active compound and the like.
- The term “in vivo” refers to an event that takes place in a subject's body.
- The term “in vitro” refers to an event that takes places outside of a subject's body. For example, an in vitro assay encompasses any assay run outside of a subject assay. In vitro assays encompass cell-based assays in which cells alive or dead are employed. In vitro assays also encompass a cell-free assay in which no intact cells are employed.
- Unless otherwise stated, structures depicted herein are also meant to include compounds which differ only in the presence of one or more isotopically enriched atoms. For example, compounds having the present structures wherein hydrogen is replaced by deuterium or tritium, or wherein carbon atom is replaced by 13C- or 14C-enriched carbon, are within the scope of this invention.
- The compounds of the present invention may also contain unnatural proportions of atomic isotopes at one or more of atoms that constitute such compounds. For example, the compounds may be radiolabeled with radioactive isotopes, such as for example tritium (3H), iodine-125 (125I) or carbon-14 (14C). All isotopic variations of the compounds of the present invention, whether radioactive or not, are encompassed within the scope of the present invention.
- When ranges are used herein for physical properties, such as molecular weight, or chemical properties, such as chemical formulae, all combinations and subcombinations of ranges and specific embodiments therein are intended to be included. The term “about” when referring to a number or a numerical range means that the number or numerical range referred to is an approximation within experimental variability (or within statistical experimental error), and thus the number or numerical range may vary from, for example, between 1% and 15% of the stated number or numerical range. The term “comprising” (and related terms such as “comprise” or “comprises” or “having” or “including”) includes those embodiments, for example, an embodiment of any composition of matter, composition, method, or process, or the like, that “consist of” or “consist essentially of” the described features.
- The following abbreviations and terms have the indicated meanings throughout PI3-K=Phosphoinositide 3-kinase; PI=phosphatidylinositol; PDK=Phosphoinositide Dependent Kinase; DNA-PK=Deoxyribose Nucleic Acid Dependent Protein Kinase; PTEN=Phosphatase and Tensin homolog deleted on chromosome Ten; PIKK=Phosphoinositide Kinase Like Kinase; AIDS=Acquired Immuno Deficiency Syndrome; HIV=Human Immunodeficiency Virus; MeI=Methyl Iodide; POCl3=Phosphorous Oxychloride; KCNS=Potassium IsoThiocyanate; TLC =Thin Layer Chromatography; MeOH=Methanol; and CHCl3=Chloroform.
- Abbreviations used herein have their conventional meaning within the chemical and biological arts.
- “Alkyl” refers to a straight or branched hydrocarbon chain radical consisting solely of carbon and hydrogen atoms, containing no unsaturation, having from one to ten carbon atoms (e.g., C1-C10 alkyl). Whenever it appears herein, a numerical range such as “1 to 10” refers to each integer in the given range; e.g., “1 to 10 carbon atoms” means that the alkyl group may consist of 1 carbon atom, 2 carbon atoms, 3 carbon atoms, etc., up to and including 10 carbon atoms, although the present definition also covers the occurrence of the term “alkyl” where no numerical range is designated. In some embodiments, it is a C1-C4 alkyl group. Typical alkyl groups include, but are in no way limited to, methyl, ethyl, propyl, isopropyl, n-butyl, iso-butyl, sec-butyl isobutyl, tertiary butyl, pentyl, isopentyl, neopentyl, hexyl, septyl, octyl, nonyl, decyl, and the like. The alkyl is attached to the rest of the molecule by a single bond, for example, methyl (Me), ethyl (Et), n-propyl, 1-methylethyl (iso-propyl), n-butyl, n-pentyl, 1,1-dimethylethyl (t-butyl), 3-methylhexyl, 2-methylhexyl, and the like. Unless stated otherwise specifically in the specification, an alkyl group is optionally substituted by one or more of substituents which independently are: alkyl, heteroalkyl, alkenyl, alkynyl, cycloalkyl, heterocycloalkyl, aryl, arylalkyl, heteroaryl, heteroarylalkyl, hydroxy, halo, cyano, trifluoromethyl, trifluoromethoxy, nitro, trimethylsilanyl, —ORa, —SRa, —OC(O)—Ra, —N(Ra)2, —C(O)Ra, —C(O)ORa, —OC(O)N(Ra)2, —C(O)N(Ra)2, —N(Ra)C(O)ORa, —N(Ra)C(O)Ra, —N(Ra)C(O)N(Ra)2, N(Ra)C(NRa)N(Ra)2, —N(Ra)S(O)tRa (where t is 1 or 2), —S(O)tORa (where t is 1 or 2), —S(O)tN(Ra)2 (where t is 1 or 2), or PO3(Ra)2 where each Ra is independently hydrogen, alkyl, fluoroalkyl, carbocyclyl, carbocyclylalkyl, aryl, aralkyl, heterocycloalkyl, heterocycloalkylalkyl, heteroaryl or heteroarylalkyl.
- “Alkylaryl” refers to an -(alkyl)aryl radical where aryl and alkyl are as disclosed herein and which are optionally substituted by one or more of the subsituents described as suitable substituents for aryl and alkyl respectively.
- “Alkylhetaryl” refers to an -(alkyl)hetaryl radical where hetaryl and alkyl are as disclosed herein and which are optionally substituted by one or more of the subsituents described as suitable substituents for aryl and alkyl respectively.
- “Alkylheterocycloalkyl” refers to an -(alkyl) heterocycyl radical where alkyl and heterocycloalkyl are as disclosed herein and which are optionally substituted by one or more of the subsituents described as suitable substituents for heterocycloalkyl and alkyl respectively.
- An “alkene” moiety refers to a group consisting of at least two carbon atoms and at least one carbon-carbon double bond, and an “alkyne” moiety refers to a group consisting of at least two carbon atoms and at least one carbon-carbon triple bond. The alkyl moiety, whether saturated or unsaturated, may be branched, straight chain, or cyclic.
- “Alkenyl” refers to a straight or branched hydrocarbon chain radical group consisting solely of carbon and hydrogen atoms, containing at least one double bond, and having from two to ten carbon atoms (ie. C2-C10 alkenyl). Whenever it appears herein, a numerical range such as “2 to 10” refers to each integer in the given range; e.g., “2 to 10 carbon atoms” means that the alkenyl group may consist of 2 carbon atoms, 3 carbon atoms, etc., up to and including 10 carbon atoms. In certain embodiments, an alkenyl comprises two to eight carbon atoms. In other embodiments, an alkenyl comprises two to five carbon atoms (e.g., C2-C5 alkenyl). The alkenyl is attached to the rest of the molecule by a single bond, for example, ethenyl (i.e., vinyl), prop-1-enyl (i.e., allyl), but-1-enyl, pent-1-enyl, penta-1,4-dienyl, and the like. Unless stated otherwise specifically in the specification, an alkenyl group is optionally substituted by one or more substituents which independently are: alkyl, heteroalkyl, alkenyl, alkynyl, cycloalkyl, heterocycloalkyl, aryl, arylalkyl, heteroaryl, heteroarylalkyl, hydroxy, halo, cyano, trifluoromethyl, trifluoromethoxy, nitro, trimethylsilanyl, —ORa, —SRa, —OC(O)—Ra, —N(Ra)2, —C(O)Ra, —C(O)ORa, —OC(O)N(Ra)2, —C(O)N(Ra)2, —N(Ra)C(O)ORa, —N(Ra)C(O)Ra, —N(Ra)C(O)N(Ra)2, N(Ra)C(NRa)N(Ra)2, —N(Ra)S(O)tRa (where t is 1 or 2), —S(O)tORa (where t is 1 or 2), —S(O)tN(Ra)2 (where t is 1 or 2), or PO3(Ra)2, where each Ra is independently hydrogen, alkyl, fluoroalkyl, carbocyclyl, carbocyclylalkyl, aryl, aralkyl, heterocycloalkyl, heterocycloalkylalkyl, heteroaryl or heteroarylalkyl.
- “Alkenyl-cycloalkyl” refers to an -(alkenyl)cycloalkyl radical where alkenyl and cyclo alkyl are as disclosed herein and which are optionally substituted by one or more of the subsituents described as suitable substituents for alkenyl and cycloalkyl respectively.
- “Alkynyl” refers to a straight or branched hydrocarbon chain radical group consisting solely of carbon and hydrogen atoms, containing at least one triple bond, having from two to ten carbon atoms (ie. C2-C10 alkynyl). Whenever it appears herein, a numerical range such as “2 to 10” refers to each integer in the given range; e.g., “2 to 10 carbon atoms” means that the alkynyl group may consist of 2 carbon atoms, 3 carbon atoms, etc., up to and including 10 carbon atoms. In certain embodiments, an alkynyl comprises two to eight carbon atoms. In other embodiments, an alkynyl has two to five carbon atoms (e.g., C2-C5 alkynyl). The alkynyl is attached to the rest of the molecule by a single bond, for example, ethynyl, propynyl, butynyl, pentynyl, hexynyl, and the like. Unless stated otherwise specifically in the specification, an alkynyl group is optionally substituted by one or more substituents which independently are: alkyl, heteroalkyl, alkenyl, alkynyl, cycloalkyl, heterocycloalkyl, aryl, arylalkyl, heteroaryl, heteroarylalkyl, hydroxy, halo, cyano, trifluoromethyl, trifluoromethoxy, nitro, trimethylsilanyl, —ORa, —SRa, —OC(O)-Ra, —N(Ra)2, —C(O)Ra, —C(O)ORa, —OC(O)N(Ra)2, —C(O)N(Ra)2, —N(Ra)C(O)ORa, —N(Ra)C(O)Ra, —N(Ra)C(O)N(Ra)2, N(Ra)C(NRa)N(Ra)2, —N(Ra)S(O)tRa (where t is 1 or 2), —S(O)tORa (where t is 1 or 2), —S(O)tN(Ra)2 (where t is 1 or 2), or PO3(Ra)2, where each Ra is independently hydrogen, alkyl, fluoroalkyl, carbocyclyl, carbocyclylalkyl, aryl, aralkyl, heterocycloalkyl, heterocycloalkylalkyl, heteroaryl or heteroarylalkyl.
- “Alkynyl-cycloalkyl” refers to an -(alkynyl)cycloalkyl radical where alkynyl and cyclo alkyl are as disclosed herein and which are optionally substituted by one or more of the subsituents described as suitable substituents for alkynyl and cycloalkyl respectively.
- “Carboxaldehyde” refers to a —(C═O)H radical.
- “Carboxyl” refers to a —(C═O)OH radical.
- “Cyano” refers to a —CN radical.
- “Cycloalkyl” refers to a monocyclic or polycyclic radical that contains only carbon and hydrogen, and may be saturated, or partially unsaturated. Cycloalkyl groups include groups having from 3 to 10 ring atoms (ie. C2-C10 cycloalkyl). Whenever it appears herein, a numerical range such as “3 to 10” refers to each integer in the given range; e.g., “3 to 10 carbon atoms” means that the cycloalkyl group may consist of 3 carbon atoms, etc., up to and including 10 carbon atoms. In some embodiments, it is a C3-C8 cycloalkyl radical. In some embodiments, it is a C3-C5 cycloalkyl radical. Illustrative examples of cycloalkyl groups include, but are not limited to the following moieties: cyclopropyl, cyclobutyl, cyclopentyl, cyclopentenyl, cyclohexyl,cyclohexenyl, cycloseptyl, cyclooctyl, cyclononyl, cyclodecyl, norbornyl, and the like. Unless stated otherwise specifically in the specification, a cycloalkyl group is optionally substituted by one or more substituents which independently are: alkyl, heteroalkyl, alkenyl, alkynyl, cycloalkyl, heterocycloalkyl, aryl, arylalkyl, heteroaryl, heteroarylalkyl, hydroxy, halo, cyano, trifluoromethyl, trifluoromethoxy, nitro, trimethylsilanyl, —ORa, —SRa, —OC(O)-Ra, —N(Ra)2, —C(O)Ra, —C(O)ORa, —OC(O)N(Ra)2, —C(O)N(Ra)2, —N(Ra)C(O)ORa, —N(Ra)C(O)Ra, —N(Ra)C(O)N(Ra)2, N(Ra)C(NRa)N(Ra)2, —N(Ra)S(O)tRa (where t is 1 or 2), —S(O)tORa (where t is 1 or 2), —S(O)tN(Ra)2 (where t is 1 or 2), or PO3(Ra)2, where each Ra is independently hydrogen, alkyl, fluoroalkyl, carbocyclyl, carbocyclylalkyl, aryl, aralkyl, heterocycloalkyl, heterocycloalkylalkyl, heteroaryl or heteroarylalkyl.
- “Cycloalkyl-alkenyl” refers to a -(cycloalkyl) alkenyl radical where cycloalkyl and heterocycloalkyl are as disclosed herein and which are optionally substituted by one or more of the subsituents described as suitable substituents for heterocycloalkyl and cycloalkyl respectively.
- “Cycloalkyl-heterocycloalkyl” refers to a -(cycloalkyl) heterocycyl radical where cycloalkyl and heterocycloalkyl are as disclosed herein and which are optionally substituted by one or more of the subsituents described as suitable substituents for heterocycloalkyl and cycloalkyl respectively.
- “Cycloalkyl-heteroaryl” refers to a -(cycloalkyl) heteroaryl radical where cycloalkyl and heterocycloalkyl are as disclosed herein and which are optionally substituted by one or more of the subsituents described as suitable substituents for heterocycloalkyl and cycloalkyl respectively.
- The term “alkoxy” refers to the group —O—alkyl, including from 1 to 8 carbon atoms of a straight, branched, cyclic configuration and combinations thereof attached to the parent structure through an oxygen. Examples include methoxy, ethoxy, propoxy, isopropoxy, cyclopropyloxy, cyclohexyloxy and the like. “Lower alkoxy” refers to alkoxy groups containing one to six carbons. In some embodiments, C1-C4 alkyl, is an alkyl group which encompasses both straight and branched chain alkyls of from 1 to 4 carbon atoms.
- The term “substituted alkoxy” refers to alkoxy wherein the alkyl constituent is substituted (i.e., —O—(substituted alkyl)). Unless stated otherwise specifically in the specification, the alkyl moiety of an alkoxy group is optionally substituted by one or more substituents which independently are: alkyl, heteroalkyl, alkenyl, alkynyl, cycloalkyl, heterocycloalkyl, aryl, arylalkyl, heteroaryl, heteroarylalkyl, hydroxy, halo, cyano, trifluoromethyl, trifluoromethoxy, nitro, trimethylsilanyl, —ORa, SRa, —OC(O)—Ra, —N(Ra)2, —C(O)Ra, —C(O)ORa, —OC(O)N(Ra)2, —C(O)N(Ra)2, —N(Ra)C(O)ORa, —N(Ra)C(O)Ra, —N(Ra)C(O)N(Ra)2, N(Ra)C(NRa)N(Ra)2, —N(Ra)S(O)tRa (where t is 1 or 2), —S(O)tORa (where t is 1 or 2), —S(O)tN(Ra)2 (where t is 1 or 2), or PO3(Ra)2, where each Ra is independently hydrogen, alkyl, fluoroalkyl, carbocyclyl, carbocyclylalkyl, aryl, aralkyl, heterocycloalkyl, heterocycloalkylalkyl, heteroaryl or heteroarylalkyl.
- The term “alkoxycarbonyl” refers to a group of the formula (alkoxy)(C═O)— attached through the carbonyl carbon wherein the alkoxy group has the indicated number of carbon atoms. Thus a C1-C6 alkoxycarbonyl group is an alkoxy group having from 1 to 6 carbon atoms attached through its oxygen to a carbonyl linker. “Lower alkoxycarbonyl” refers to an alkoxycarbonyl group wherein the alkoxy group is a lower alkoxy group. In some embodiments, C1-C4 alkoxy, is an alkoxy group which encompasses both straight and branched chain alkoxy groups of from 1 to 4 carbon atoms.
- The term “substituted alkoxycarbonyl” refers to the group (substituted alkyl)—O—C(O)— wherein the group is attached to the parent structure through the carbonyl functionality. Unless stated otherwise specifically in the specification, the alkyl moiety of an alkoxycarbonyl group is optionally substituted by one or more substituents which independently are: alkyl, heteroalkyl, alkenyl, alkynyl, cycloalkyl, heterocycloalkyl, aryl, arylalkyl, heteroaryl, heteroarylalkyl, hydroxy, halo, cyano, trifluoromethyl, trifluoromethoxy, nitro, trimethylsilanyl, —ORa, SRa, —OC(O)—Ra, —N(Ra)2, —C(O)Ra, —C(O)ORa, —OC(O)N(Ra)2, —C(O)N(Ra)2, —N(Ra)C(O)ORa, —N(Ra)C(O)Ra, —N(Ra)C(O)N(Ra)2, N(Ra)C(NRa)N(Ra)2, —N(Ra)S(O)tRa (where t is 1 or 2), —S(O)tORa (where t is 1 or 2), —S(O)tN(Ra)2 (where t is 1 or 2), or PO3(Ra)2, where each Ra is independently hydrogen, alkyl, fluoroalkyl, carbocyclyl, carbocyclylalkyl, aryl, aralkyl, heterocycloalkyl, heterocycloalkylalkyl, heteroaryl or heteroarylalkyl.
- “Acyl” refers to the groups (alkyl)—C(O)—, (aryl)—C(O)—, (heteroaryl)—C(O)—, (heteroalkyl)—C(O)—, and (heterocycloalkyl)—C(O)—, wherein the group is attached to the parent structure through the carbonyl functionality. In some embodiments, it is a C1-C10 acyl radical which refers to the total number of chain or ring atoms of the alkyl, aryl, heteroaryl or heterocycloalkyl portion of the acyloxy group plus the carbonyl carbon of acyl, i.e three other ring or chain atoms plus carbonyl. If the R radical is heteroaryl or heterocycloalkyl, the hetero ring or chain atoms contribute to the total number of chain or ring atoms. Unless stated otherwise specifically in the specification, the “R” of an acyloxy group is optionally substituted by one or more substituents which independently are: alkyl, heteroalkyl, alkenyl, alkynyl, cycloalkyl, heterocycloalkyl, aryl, arylalkyl, heteroaryl, heteroarylalkyl, hydroxy, halo, cyano, trifluoromethyl, trifluoromethoxy, nitro, trimethylsilanyl, —ORa, SRa, —OC(O)—Ra, —N(Ra)2, —C(O)Ra, —C(O)ORa, —OC(O)N(Ra)2, —C(O)N(Ra)2, —N(Ra)C(O)ORa, —N(Ra)C(O)Ra, —N(Ra)C(O)N(Ra)2, N(Ra)C(NRa)N(Ra)2, —N(Ra)S(O)tRa (where t is 1 or 2), —S(O)tORa (where t is 1 or 2), —S(O)tN(Ra)2 (where t is 1 or 2), or PO3(Ra)2, where each Ra is independently hydrogen, alkyl, fluoroalkyl, carbocyclyl, carbocyclylalkyl, aryl, aralkyl, heterocycloalkyl, heterocycloalkylalkyl, heteroaryl or heteroarylalkyl.
- “Acyloxy” refers to a R(C═O)O— radical wherein “R” is alkyl, aryl, heteroaryl, heteroalkyl, or heterocycloalkyl, which are as described herein. In some embodiments, it is a C1-C4 acyloxy radical which refers to the total number of chain or ring atoms of the alkyl, aryl, heteroaryl or heterocycloalkyl portion of the acyloxy group plus the carbonyl carbon of acyl, i.e three other ring or chain atoms plus carbonyl. If the R radical is heteroaryl or heterocycloalkyl, the hetero ring or chain atoms contribute to the total number of chain or ring atoms. Unless stated otherwise specifically in the specification, the “R” of an acyloxy group is optionally substituted by one or more substituents which independently are: alkyl, heteroalkyl, alkenyl, alkynyl, cycloalkyl, heterocycloalkyl, aryl, arylalkyl, heteroaryl, heteroarylalkyl, hydroxy, halo, cyano, trifluoromethyl, trifluoromethoxy, nitro, trimethylsilanyl, —ORa, —SRa, —OC(O)—Ra, —N(Ra)2, —C(O)Ra, —C(O)ORa, —OC(O)N(Ra)2, —C(O)N(Ra)2, —N(Ra)C(O)ORa, —N(Ra)C(O)Ra, —N(Ra)C(O)N(Ra)2, N(Ra)C(NRa)N(Ra)2, —N(Ra)S(O)tRa (where t is 1 or 2—S(O)tORa (where t is 1 or 2), —S(O)tN(Ra)2 (where t is 1 or 2), or PO3(Ra)2, where each Ra is independently hydrogen, alkyl, fluoroalkyl, carbocyclyl, carbocyclylalkyl, aryl, aralkyl, heterocycloalkyl, heterocycloalkylalkyl, heteroaryl or heteroarylalkyl.
- “Amino” or “amine” refers to a —N(Ra)2 radical group, where each Ra is independently hydrogen, alkyl, fluoroalkyl, carbocyclyl, carbocyclylalkyl, aryl, aralkyl, heterocycloalkyl, heterocycloalkylalkyl, heteroaryl or heteroarylalkyl, unless stated otherwise specifically in the specification. When a —N(Ra)2 group has two Ra other than hydrogen they can be combined with the nitrogen atom to form a 4-, 5-, 6-, or 7-membered ring. For example, —N(Ra)2 is meant to include, but not be limited to, 1-pyrrolidinyl and 4-morpholinyl. Unless stated otherwise specifically in the specification, an amino group is optionally substituted by one or more substituents which independently are: alkyl, heteroalkyl, alkenyl, alkynyl, cycloalkyl, heterocycloalkyl, aryl, arylalkyl, heteroaryl, heteroarylalkyl, hydroxy, halo, cyano, trifluoromethyl, trifluoromethoxy, nitro, trimethylsilanyl, —ORa, —SRa, —OC(O)—Ra, —N(Ra)2, —C(O)Ra, —C(O)ORa, —OC(O)N(Ra)2, —C(O)N(Ra)2, —N(Ra)C(O)ORa, —N(Ra)C(O)Ra, —N(Ra)C(O)N(Ra)2, N(Ra)C(NRa)N(Ra)2, —N(Ra)S(O)tRa (where t is 1 or 2), —S(O)tORa (where t is 1 or 2), —S(O)tN(Ra)2 (where t is 1 or 2), or PO3(Ra)2, where each Ra is independently hydrogen, alkyl, fluoroalkyl, carbocyclyl, carbocyclylalkyl, aryl, aralkyl, heterocycloalkyl, heterocycloalkylalkyl, heteroaryl or heteroarylalkyl and each of these moieties may be optionally substituted as defined herein.
- The term “substituted amino” also refers to N-oxides of the groups —NHRd, and NRdRd each as described above. N-oxides can be prepared by treatment of the corresponding amino group with, for example, hydrogen peroxide or m-chloroperoxybenzoic acid. The person skilled in the art is familiar with reaction conditions for carrying out the N-oxidation.
- “Amide” or “amido” refers to a chemical moiety with formula —C(O)N(R)2 or —NHC(O)R, where R is selected from the group consisting of hydrogen, alkyl, cycloalkyl, aryl, heteroaryl (bonded through a ring carbon) and heteroalicyclic (bonded through a ring carbon), each of which moiety may itself be optionally substituted. In some embodiments it is a C1-C4 amido or amide radical, which includes the amide carbonyl in the total number of carbons in the radical. The R2 of —N(R)2 of the amide may optionally be taken together with the nitrogen to which it is attached to form a 4-, 5-, 6-, or 7-membered ring. Unless stated otherwise specifically in the specification, an amido group is optionally substituted independently by one or more of the substituents as described herein for alkyl, cycloalkyl, aryl, heteroaryl, or heterocycloalkyl. An amide may be an amino acid or a peptide molecule attached to a compound of Formula (I), thereby forming a prodrug. Any amine, hydroxy, or carboxyl side chain on the compounds described herein can be amidified. The procedures and specific groups to make such amides are known to those of skill in the art and can readily be found in reference sources such as Greene and Wuts, Protective Groups in Organic Synthesis, 3.sup.rd Ed., John Wiley & Sons, New York, N.Y., 1999, which is incorporated herein by reference in its entirety.
- “Aromatic” or “aryl” refers to an aromatic radical with six to ten ring atoms (e.g., C6-C10 aromatic or C6-C10 aryl) which has at least one ring having a conjugated pi electron system which is carbocyclic (e.g., phenyl, fluorenyl, and naphthyl). Bivalent radicals formed from substituted benzene derivatives and having the free valences at ring atoms are named as substituted phenylene radicals. Bivalent radicals derived from univalent polycyclic hydrocarbon radicals whose names end in “-yl” by removal of one hydrogen atom from the carbon atom with the free valence are named by adding “-idene” to the name of the corresponding univalent radical, e.g., a naphthyl group with two points of attachment is termed naphthylidene. Whenever it appears herein, a numerical range such as “6 to 10” refers to each integer in the given range; e.g., “6 to 10 ring atoms” means that the aryl group may consist of 6 ring atoms, 7 ring atoms, etc., up to and including 10 ring atoms. The term includes monocyclic or fused-ring polycyclic (i.e., rings which share adjacent pairs of ring atoms) groups. Unless stated otherwise specifically in the specification, an aryl moiety is optionally substituted by one or more substituents which are independently: alkyl, heteroalkyl, alkenyl, alkynyl, cycloalkyl, heterocycloalkyl, aryl, arylalkyl, heteroaryl, heteroarylalkyl, hydroxy, halo, cyano, trifluoromethyl, trifluoromethoxy, nitro, trimethylsilanyl, —ORa, —SRa, —OC(O)—Ra, —N(Ra)2, —C(O)Ra, —C(O)ORa, —OC(O)N(Ra)2, —C(O)N(Ra)2, —N(Ra)C(O)ORa, —N(Ra)C(O)Ra, —N(Ra)C(O)N(Ra)2, N(Ra)C(NRa)N(Ra)2, —N(Ra)S(O)tRa (where t is 1 or 2), —S(O)tORa (where t is 1 or 2), —S(O)tN(Ra)2 (where t is 1 or 2), or PO3(Ra)2, where each Ra is independently hydrogen, alkyl, fluoroalkyl, carbocyclyl, carbocyclylalkyl, aryl, aralkyl, heterocycloalkyl, heterocycloalkylalkyl, heteroaryl or heteroarylalkyl.
- “Aralkyl” or “arylalkyl” refers to an (aryl)alkyl—radical where aryl and alkyl are as disclosed herein and which are optionally substituted by one or more of the subsituents described as suitable substituents for aryl and alkyl respectively.
- “Ester” refers to a chemical radical of formula —COOR, where R is selected from the group consisting of alkyl, cycloalkyl, aryl, heteroaryl (bonded through a ring carbon) and heteroalicyclic (bonded through a ring carbon). Any amine, hydroxy, or carboxyl side chain on the compounds described herein can be esterified. The procedures and specific groups to make such esters are known to those of skill in the art and can readily be found in reference sources such as Greene and Wuts, Protective Groups in Organic Synthesis, 3.sup.rd Ed., John Wiley & Sons, New York, N.Y., 1999, which is incorporated herein by reference in its entirety. Unless stated otherwise specifically in the specification, an ester group is optionally substituted by one or more substituents which independently are: alkyl, heteroalkyl, alkenyl, alkynyl, cycloalkyl, heterocycloalkyl, aryl, arylalkyl, heteroaryl, heteroarylalkyl, hydroxy, halo, cyano, trifluoromethyl, trifluoromethoxy, nitro, trimethylsilanyl, —ORa, —SRa, —OC(O)—Ra, —N(Ra)2, —C(O)Ra, —C(O)ORa, —OC(O)N(Ra)2, —C(O)N(Ra)2, —N(Ra)C(O)ORa, —N(Ra)C(O)Ra, —N(Ra)C(O)N(Ra)2, N(Ra)C(NRa)N(Ra)2, —N(Ra)S(O)tRa (where t is 1 or 2), —S(O)tORa (where t is 1 or 2), —S(O)tN(Ra)2 (where t is 1 or 2), or PO3(Ra)2, where each Ra is independently hydrogen, alkyl, fluoroalkyl, carbocyclyl, carbocyclylalkyl, aryl, aralkyl, heterocycloalkyl, heterocycloalkylalkyl, heteroaryl or heteroarylalkyl.
- “Fluoroalkyl” refers to an alkyl radical, as defined above, that is substituted by one or more fluoro radicals, as defined above, for example, trifluoromethyl, difluoromethyl, 2,2,2-trifluoroethyl, 1-fluoromethyl-2-fluoroethyl, and the like. The alkyl part of the fluoroalkyl radical may be optionally substituted as defined above for an alkyl group.
- “Halo”, “halide”, or, alternatively, “halogen” means fluoro, chloro, bromo or iodo. The terms “haloalkyl,” “haloalkenyl,” “haloalkynyl” and “haloalkoxy” include alkyl, alkenyl, alkynyl and alkoxy structures that are substituted with one or more halo groups or with combinations thereof. For example, the terms “fluoroalkyl” and “fluoroalkoxy” include haloalkyl and haloalkoxy groups, respectively, in which the halo is fluorine.
- “Heteroalkyl” “heteroalkenyl” and “heteroalkynyl” include optionally substituted alkyl, alkenyl and alkynyl radicals and which have one or more skeletal chain atoms selected from an atom other than carbon, e.g., oxygen, nitrogen, sulfur, phosphorus or combinations thereof. A numerical range may be given, e.g. C1-C4 heteroalkyl which refers to the chain length in total, which in this example is 4 atoms long. For example, a —CH2OCH2CH3 radical is referred to as a “C4” heteroalkyl, which includes the heteroatom center in the atom chain length description. Connection to the rest of the molecule may be through either a heteroatom or a carbon in the heteroalkyl chain A heteroalkyl group may be substituted with one or more substituents which independently are: alkyl, heteroalkyl, alkenyl, alkynyl, cycloalkyl, heterocycloalkyl, aryl, arylalkyl, heteroaryl, heteroarylalkyl, hydroxy, halo, cyano, nitro, oxo, thioxo, trimethylsilanyl, —ORa, —SRa, —OC(O)—Ra, —N(Ra)2, —C(O)Ra, —C(O)ORa, —C(O)N(Ra)2, —N(Ra)C(O)ORa, —N(Ra)C(O)Ra, —N(Ra)S(O)tRa (where t is 1 or 2), —S(O)tORa (where t is 1 or 2), —S(O)tN(Ra)2 (where t is 1 or 2), or PO3(Ra)2, where each Ra is independently hydrogen, alkyl, fluoroalkyl, cathocyclyl, carbocyclylalkyl, aryl, aralkyl, heterocycloalkyl, heterocycloalkylalkyl, heteroaryl or heteroarylalkyl.
- “Heteroalkylaryl” refers to an -(heteroalkyl)aryl radical where heteroalkyl and aryl are as disclosed herein and which are optionally substituted by one or more of the subsituents described as suitable substituents for heteroalkyl and aryl respectively.
- “Heteroalkylheteroaryl” refers to an -(heteroalkyl)heteroaryl radical where heteroalkyl and heteroaryl are as disclosed herein and which are optionally substituted by one or more of the subsituents described as suitable substituents for heteroalkyl and heteroaryl respectively.
- “Heteroalkylheterocycloalkyl” refers to an -(heteroalkyl)heterocycloalkyl radical where heteroalkyl and heteroaryl are as disclosed herein and which are optionally substituted by one or more of the subsituents described as suitable substituents for heteroalkyl and heterocycloalkyl respectively
- “Heteroalkylcycloalkyl” refers to an -(heteroalkyl) cycloalkyl radical where heteroalkyl and cycloalkyl are as disclosed herein and which are optionally substituted by one or more of the subsituents described as suitable substituents for heteroalkyl and cycloalkyl respectively.
- “Heteroaryl” or, alternatively, “heteroaromatic” refers to a 5- to 18-membered aromatic radical (e.g., C5-C13 heteroaryl) that includes one or more ring heteroatoms selected from nitrogen, oxygen and sulfur, and which may be a monocyclic, bicyclic, tricyclic or tetracyclic ring system. Whenever it appears herein, a numerical range such as “5 to 18” refers to each integer in the given range; e.g., “5 to 18 ring atoms” means that the heteroaryl group may consist of 5 ring atoms, 6 ring atoms, etc., up to and including 18 ring atoms. Bivalent radicals derived from univalent heteroaryl radicals whose names end in “-yl” by removal of one hydrogen atom from the atom with the free valence are named by adding “-idene” to the name of the corresponding univalent radical, e.g., a pyridyl group with two points of attachment is a pyridylidene. An N-containing “heteroaromatic” or “heteroaryl” moiety refers to an aromatic group in which at least one of the skeletal atoms of the ring is a nitrogen atom. The polycyclic heteroaryl group may be fused or non-fused. The heteroatom(s) in the heteroaryl radical is optionally oxidized. One or more nitrogen atoms, if present, are optionally quaternized. The heteroaryl is attached to the rest of the molecule through any atom of the ring(s). Examples of heteroaryls include, but are not limited to, azepinyl, acridinyl, benzimidazolyl, benzindolyl, 1,3-benzodioxolyl, benzopyranyl, benzooxazolyl, benzo[d]thiazolyl, benzothiadiazolyl, benzo[b][1,4]dioxepinyl, benzo [b][1,4]oxazinyl, 1,4-benzodioxanyl, benzonaphthofuranyl, benzoxazolyl, benzodioxolyl, benzodioxinyl, benzoxazolyl, benzopyranyl, benzopyranonyl, benzofuranyl, benzofuranonyl, benzofurazanyl, benzothiazolyl, benzothienyl (benzothiophenyl), benzothieno[3,2-d]pyrimidinyl, benzotriazolyl, benzo[4,6]imidazo[1,2-a]pyridinyl, carbazolyl, cinnolinyl, cyclopenta[d]pyrimidinyl, 6,7-dihydro-5H-cyclopenta[4,5]thieno[2,3-d]pyrimidinyl, 5,6-dihydrobenzo[h]quinazolinyl, 5,6-dihydrobenzo[h]cinnolinyl, 6,7-dihydro-5H-benzo[6,7]cyclohepta[1,2-c]pyridazinyl, dibenzofumnyl, dibenzothiophenyl, furanyl, furazanyl, furanonyl, furo[3,2-c]pyridinyl, 5,6,7,8,9,10-hexahydrocycloocta[d]pyrimidinyl, 5,6,7,8,9,10-hexahydrocycloocta[d]pyridazinyl, 5,6,7,8,9,10-hexahydrocycloocta[d]pyridinyl,isothiazolyl, imidazolyl, indazolyl, indolyl, indazolyl, isoindolyl, indolinyl, isoindolinyl, isoquinolyl, indolizinyl, isoxazolyl, 5,8-methano-5,6,7,8-tetrahydroquinazolinyl, naphthyridinyl, 1,6-naphthyridinonyl, oxadiazolyl, 2-oxoazepinyl, oxazolyl, oxiranyl, 5,6,6a,7,8,9,10,10a-octahydrobenzo[h]quinazolinyl, 1-phenyl-1H-pyrrolyl, phenazinyl, phenothiazinyl, phenoxazinyl, phthalazinyl, pteridinyl, purinyl, pyranyl, pyrrolyl, pyrazolyl, pyrazolo[3,4-d]pyrimidinyl, pyridinyl, pyrido[3,2-d]pyrimidinyl, pyrido[3,4-d]pyrimidinyl, pyrazinyl, pyrimidinyl, pyridazinyl, pyrrolyl, quinazolinyl, quinoxalinyl, quinolinyl, isoquinolinyl, tetrahydroquinolinyl, 5,6,7,8-tetrahydroquinazolinyl, 5,6,7,8-tetrahydrobenzo[4,5]thieno[2,3-d]pyrimidinyl, 6,7,8,9-tetrahydro-5H-cyclohepta[4,5]thieno[2,3-d]pyrimidinyl, 5,6,7,8-tetrahydropyrido[4,5-c]pyridazinyl, thiazolyl, thiadiazolyl, thiapyranyl, triazolyl, tetrazolyl, triazinyl, thieno[2,3-d]pyrimidinyl, thieno[3,2-d]pyrimidinyl, thieno[2,3-c]pridinyl, and thiophenyl (i.e. thienyl). Unless stated otherwise specifically in the specification, a heteraryl moiety is optionally substituted by one or more substituents which are independently: alkyl, heteroalkyl, alkenyl, alkynyl, cycloalkyl, heterocycloalkyl, aryl, arylalkyl, heteroaryl, heteroarylalkyl, hydroxy, halo, cyano, nitro, oxo, thioxo, trimethylsilanyl, —ORa, —SRa, —OC(O)—Ra, —N(Ra)2, —C(O)Ra, —C(O)ORa, —C(O)N(Ra)2, —N(Ra)C(O)ORa, —N(Ra)C(O)Ra, —N(Ra)S(O)tRa (where t is 1 or 2), —S(O)tORa (where t is 1 or 2), —S(O)tN(Ra)2 (where t is 1 or 2), or PO3(Ra)2, where each Ra is independently hydrogen, alkyl, fluoroalkyl, cathocyclyl, carbocyclylalkyl, aryl, aralkyl, heterocycloalkyl, heterocycloalkylalkyl, heteroaryl or heteroarylalkyl.
- Substituted heteroaryl also includes ring systems substituted with one or more oxide (—O-) substituents, such as pyridinyl N-oxides.
- “Heteroarylalkyl” refers to a moiety having an aryl moiety, as described herein, connected to an alkylene moiety, as described herein, wherein the connection to the remainder of the molecule is through the alkylene group.
- “Heterocycloalkyl” refers to a stable 3- to 18-membered non-aromatic ring radical that comprises two to twelve carbon atoms and from one to six heteroatoms selected from nitrogen, oxygen and sulfur. Whenever it appears herein, a numerical range such as “3 to 18” refers to each integer in the given range; e.g., “3 to 18 ring atoms” means that the heterocycloalkyl group may consist of 3 ring atoms, 4 ring atoms, etc., up to and including 18 ring atoms. In some embodiments, it is a C5-C10 heterocycloalkyl. In some embodiments, it is a C4-C10 heterocycloalkyl. In some embodiments, it is a C3-C10 heterocycloalkyl. Unless stated otherwise specifically in the specification, the heterocycloalkyl radical is a monocyclic, bicyclic, tricyclic or tetracyclic ring system, which may include fused or bridged ring systems. The heteroatoms in the heterocycloalkyl radical may be optionally oxidized. One or more nitrogen atoms, if present, are optionally quaternized. The heterocycloalkyl radical is partially or fully saturated. The heterocycloalkyl may be attached to the rest of the molecule through any atom of the ring(s). Examples of such heterocycloalkyl radicals include, but are not limited to, dioxolanyl, thienyl[1,3]dithianyl, decahydroisoquinolyl, imidazolinyl, imidazolidinyl, isothiazolidinyl, isoxazolidinyl, morpholinyl, octahydroindolyl, octahydroisoindolyl, 2-oxopiperazinyl, 2-oxopiperidinyl, 2-oxopyrrolidinyl, oxazolidinyl, piperidinyl, piperazinyl, 4-piperidonyl, pyrrolidinyl, pyrazolidinyl, quinuclidinyl, thiazolidinyl, tetrahydrofuryl, trithianyl, tetrahydropyranyl, thiomorpholinyl, thiamorpholinyl, 1-oxo-thiomorpholinyl, and 1,1-dioxo-thiomorpholinyl. Unless stated otherwise specifically in the specification, a heterocycloalkyl moiety is optionally substituted by one or more substituents which independently are: alkyl, heteroalkyl, alkenyl, alkynyl, cycloalkyl, heterocycloalkyl, aryl, arylalkyl, heteroaryl, heteroarylalkyl, hydroxy, halo, cyano, nitro, oxo, thioxo, trimethylsilanyl, —ORa, —SRa, —OC(O)—Ra, —N(Ra)2, —C(O)Ra, —C(O)ORa, —C(O)N(Ra)2, —N(Ra)C(O)ORa, —N(Ra)C(O)Ra, —N(Ra)S(O)tRa (where t is 1 or 2), —S(O)tORa (where t is 1 or 2), —S(O)tN(Ra)2 (where t is 1 or 2), or PO3(Ra)2, where each Ra is independently hydrogen, alkyl, fluoroalkyl, carbocyclyl, carbocyclylalkyl, aryl, aralkyl, heterocycloalkyl, heteroaryl or heteroarylalkyl.
- “Heterocycloalkyl” also includes bicyclic ring systems wherein one non-aromatic ring, usually with 3 to 7 ring atoms, contains at least 2 carbon atoms in addition to 1-3 heteroatoms independently selected from oxygen, sulfur, and nitrogen, as well as combinations comprising at least one of the foregoing heteroatoms; and the other ring, usually with 3 to 7 ring atoms, optionally contains 1-3 heteroatoms independently selected from oxygen, sulfur, and nitrogen and is not aromatic.
- “Isomers” are different compounds that have the same molecular formula. “Stereoisomers” are isomers that differ only in the way the atoms are arranged in space, i.e. having a different stereochemical configuration. “Enantiomers” are a pair of stereoisomers that are non-superimposable mirror images of each other. A 1:1 mixture of a pair of enantiomers is a “racemic” mixture. The term “(.±.)” is used to designate a racemic mixture where appropriate. “Diastereoisomers” are stereoisomers that have at least two asymmetric atoms, but which are not mirror-images of each other. The absolute stereochemistry is specified according to the Cahn-Ingold-Prelog R—S system. When a compound is a pure enantiomer the stereochemistry at each chiral carbon can be specified by either R or S. Resolved compounds whose absolute configuration is unknown can be designated (+) or (−) depending on the direction (dextro- or levorotatory) which they rotate plane polarized light at the wavelength of the sodium D line. Certain of the compounds described herein contain one or more asymmetric centers and can thus give rise to enantiomers, diastereomers, and other stereoisomeric forms that can be defined, in terms of absolute stereochemistry, as (R)- or (S)-. The present chemical entities, pharmaceutical compositions and methods are meant to include all such possible isomers, including racemic mixtures, optically pure forms and intermediate mixtures. Optically active (R)- and (S)- isomers can be prepared using chiral synthons or chiral reagents, or resolved using conventional techniques. When the compounds described herein contain olefinic double bonds or other centers of geometric asymmetry, and unless specified otherwise, it is intended that the compounds include both E and Z geometric isomers.
- “Enantiomeric purity” as used herein refers to the relative amounts, expressed as a percentage, of the presence of a specific enantiomer relative to the other enantiomer. For example, if a compound, which may potentially have an (R)- or an (S)- isomeric configuration, is present as a racemic mixture, the enantiomeric purity is about 50% with respect to either the (R)- or (S)- isomer. If that compound has one isomeric form predominant over the other, for example, 80% (S)- and 20% (R)-, the enantiomeric purity of the compound with respect to the (5)-isomeric form is 80%. The enantiomeric purity of a compound can be determined in a number of ways known in the art, including but not limited to chromatography using a chiral support, polarimetric measurement of the rotation of polarized light, nuclear magnetic resonance spectroscopy using chiral shift reagents which include but are not limited to lanthanide containing chiral complexes or the Pirkle alcohol, or derivatization of a compounds using a chiral compound such as Mosher's acid followed by chromatography or nuclear magnetic resonance spectroscopy.
- “Moiety” refers to a specific segment or functional group of a molecule. Chemical moieties are often recognized chemical entities embedded in or appended to a molecule.
- “Nitro” refers to the —NO2 radical.
- “Oxa” refers to the —O— radical.
- “Oxo” refers to the ═O radical.
- “Tautomers” are structurally distinct isomers that interconvert by tautomerization. “Tautomerization” is a form of isomerization and includes prototropic or proton-shift tautomerization, which is considered a subset of acid-base chemistry. “Prototropic tautomerization” or “proton-shift tautomerization” involves the migration of a proton accompanied by changes in bond order, often the interchange of a single bond with an adjacent double bond. Where tautomerization is possible (e.g. in solution), a chemical equilibrium of tautomers can be reached. An example of tautomerization is keto-enol tautomerization. A specific example of keto-enol tautomerization is the interconversion of pentane-2,4-dione and 4-hydroxypent-3-en-2-one tautomers. Another example of tautomerization is phenol-keto tautomerization. A specific example of phenol-keto tautomerization is the interconversion of pyridin-4-ol and pyridin-4(1H)-one tautomers.
- The compounds of the present invention may also contain unnatural proportions of atomic isotopes at one or more of atoms that constitute such compounds. For example, the compounds may be radiolabeled with radioactive isotopes, such as for example tritium (3H), iodine-125 (125I) or carbon-14 (14C). All isotopic variations of the compounds of the present invention, whether radioactive or not, are encompassed within the scope of the present invention.
- A “leaving group or atom” is any group or atom that will, under the reaction conditions, cleave from the starting material, thus promoting reaction at a specified site. Suitable examples of such groups unless otherwise specified are halogen atoms, mesyloxy, p-nitrobenzensulphonyloxy and tosyloxy groups.
- “Protecting group” has the meaning conventionally associated with it in organic synthesis, i.e. a group that selectively blocks one or more reactive sites in a multifunctional compound such that a chemical reaction can be carried out selectively on another unprotected reactive site and such that the group can readily be removed after the selective reaction is complete. A variety of protecting groups are disclosed, for example, in T. H. Greene and P. G. M. Wuts, Protective Groups in Organic Synthesis, Third Edition, John Wiley & Sons, N.Y. (1999). For example, a hydroxy protected form is where at least one of the hydroxy groups present in a compound is protected with a hydroxy protecting group. Likewise, amines and other reactive groups may similarly be protected.
- “Solvate” refers to a compound (e.g., a compound selected from Formula I or a pharmaceutically acceptable salt thereof) in physical association with one or more molecules of a pharmaceutically acceptable solvent. It will be understood that “a compound of Formula I” encompass the compound of Formula I and solvates of the compound, as well as mixtures thereof.
- “Substituted” means that the referenced group may be substituted with one or more additional group(s) individually and independently selected from acyl, alkyl, alkylaryl, cycloalkyl, aralkyl, aryl, carbohydrate, carbonate, heteroaryl, heterocycloalkyl, hydroxy, alkoxy, aryloxy, mercapto, alkylthio, arylthio, cyano, halo, carbonyl, ester, thiocarbonyl, isocyanato, thiocyanato, isothiocyanato, nitro, oxo, perhaloalkyl, peffluoroalkyl, phosphate, silyl, sulfinyl, sulfonyl, sulfonamidyl, sulfoxyl, sulfonate, urea, and amino, including mono- and di-substituted amino groups, and the protected derivatives thereof. Di-substituted amino groups encompass those which form a ring together with the nitrogen of the amino group, such as for instance, morpholino. The substituents themselves may be substituted, for example, a cycloakyl substituent may have a halide substituted at one or more ring carbons, and the like.The protecting groups that may form the protective derivatives of the above substituents are known to those of skill in the art and may be found in references such as Greene and Wuts, above.
- “Sulfanyl” refers to the groups: —S—(optionally substituted alkyl), —S—(optionally substituted aryl), —S—(optionally substituted heteroaryl), and —S—(optionally substituted heterocycloalkyl).
- “Sulfinyl” refers to the groups: —S(O)—H, —S(O)—(optionally substituted alkyl), —S(O)—(optionally substituted amino), —S(O)—(optionally substituted aryl), —S(O)—(optionally substituted heteroaryl), and —S(O)—(optionally substituted heterocycloalkyl).
- “Sulfonyl” refers to the groups: —S(O2)−H, —S(O2)-(optionally substituted alkyl), —S(O2)—(optionally substituted amino), —S(O2)—(optionally substituted aryl), —S(O2)—(optionally substituted heteroaryl), and —S(O2)—(optionally substituted heterocycloalkyl).
- “Sulfonamidyl” or “sulfonamido” refers to a —S(═O)2—NRR radical, where each R is selected independently from the group consisting of hydrogen, alkyl, cycloalkyl, aryl, heteroaryl (bonded through a ring carbon) and heteroalicyclic (bonded through a ring carbon). The R groups in −NRR of the —S(═O)2—NRR radical may be taken together with the nitrogen to which it is attached to form a 4-, 5-, 6-, or 7-membered ring. In some embodiments, it is a C1-C10 sulfonamido, wherein each R in sulfonamido contains 1 carbon, 2 carbons, 3 carbons, or 4 carbons total. A sulfonamido group is optionally substituted by one or more of the subsituents described for alkyl, cycloalkyl, aryl, heteroaryl respectively
- “Sulfoxyl” refers to a —S(═O)2OH radical.
- “Sulfonate” refers to a —S(═O)2—OR radical, where R is selected from the group consisting of alkyl, cycloalkyl, aryl, heteroaryl (bonded through a ring carbon) and heteroalicyclic (bonded through a ring carbon). A sulfonate group is optionally substituted on R by one or more of the substituents described for alkyl, cycloalkyl, aryl, heteroaryl respectively.
- Where substituent groups are specified by their conventional chemical formulae, written from left to right, they equally encompass the chemically identical substituents that would result from writing the structure from right to left, e.g., —CH2O— is equivalent to —OCH2—.
- Compounds of the present invention also include crystalline and amorphous forms of those compounds, including, for example, polymorphs, pseudopolymorphs, solvates, hydrates, unsolvated polymorphs (including anhydrates), conformational polymorphs, and amorphous forms of the compounds, as well as mixtures thereof. “Crystalline form,” “polymorph,” and “novel form” may be used interchangeably herein, and are meant to include all crystalline and amorphous forms of the compound, including, for example, polymorphs, pseudopolymorphs, solvates, hydrates, unsolvated polymorphs (including anhydrates), conformational polymorphs, and amorphous forms, as well as mixtures thereof, unless a particular crystalline or amorphous form is referred to.
- Chemical entities include, but are not limited to, compounds of Formula I, I-I, IV, IV-A, V, V-A, V-A2, V-B, VI or VI-A, and all pharmaceutically acceptable forms thereof. Pharmaceutically acceptable forms of the compounds recited herein include pharmaceutically acceptable salts, chelates, non-covalent complexes, prodrugs, and mixtures thereof. In certain embodiments, the compounds described herein are in the form of pharmaceutically acceptable salts. Hence, the terms “chemical entity” and “chemical entities” also encompass pharmaceutically acceptable salts, chelates, non-covalent complexes, prodrugs, and mixtures.
- In addition, if the compound of Formula I is obtained as an acid addition salt, the free base can be obtained by basifying a solution of the acid salt. Conversely, if the product is a free base, an addition salt, particularly a pharmaceutically acceptable addition salt, may be produced by dissolving the free base in a suitable organic solvent and treating the solution with an acid, in accordance with conventional procedures for preparing acid addition salts from base compounds. Those skilled in the art will recognize various synthetic methodologies that may be used to prepare non-toxic pharmaceutically acceptable addition salts.
- In one aspect, the present invention provides a compound of Formula I:
- or its pharmaceutically acceptable salt thereof, wherein
- Wd is heterocycloalkyl, aryl or heteroaryl;
- B is alkyl, amino, heteroalkyl, or a moiety of Formula II;
- wherein Wc is aryl, heteroaryl, heterocycloalkyl, or cycloalkyl, and
- q is an integer of 0, 1, 2, 3, or 4;
- X is absent or is —(CH(R9))z— and z is an integer of 1, 2, 3, or 4;
- Y is absent, —O—, —S—, —S(═O)—, —S(═O)2—, —N(R9)—, —C(═O)—(CHR9)z—, —C(═O)—, —N(R9)—C(═O)—, or —N(R9)—C(═O)NH—,—N(R9)C(R9)2—, or —C(═O)—(CHR9)z—;
- R1 is hydrogen, alkyl, heteroalkyl, alkenyl, alkynyl, cycloalkyl, heterocycloalkyl, aryl, arylalkyl, heteroaryl, heteroarylalkyl, alkoxy, amido, amino, acyl, acyloxy, alkoxycarbonyl, sulfonamido, halo, cyano, hydroxy, nitro, phosphate, urea, or carbonate;
- R2 is alkyl, heteroalkyl, alkenyl, alkynyl, cycloalkyl, heterocycloalkyl, aryl, arylalkyl, heteroaryl, heteroarylalkyl, alkoxy, amido, amino, acyl, acyloxy, alkoxycarbonyl, sulfonamido, halo, cyano, hydroxy, nitro, phosphate, urea, or carbonate;
- R3 is hydrogen, alkyl, alkenyl, alkynyl, cycloalkyl, heterocycloalkyl, alkoxy, amido, amino, acyl, acyloxy, alkoxycarbonyl, sulfonamido, halo, cyano, hydroxy, nitro, aryl, or heteroaryl;
- R5, R6, R7, and R8 are independently hydrogen, C1-C4alkyl, C2-C5alkenyl, C2-C5alkynyl, C3-C5cycloalkyl, C4 heteroalkyl, C1-C4alkoxy, C1-C4amido, amino, acyl, C1-C4acyloxy, C1-C4sulfonamido, halo, cyano, hydroxy or nitro; and
- each instance of R9 is independently hydrogen, C1-C10alkyl, C3-C7cycloalkyl, heterocycloalkyl, or C2-C1o heteroalkyl.
- In some embodiments, B is unsubstituted or substituted alkyl, including but not limited to —(CH2)2—NRaRa ,wherein each Ra is independently hydrogen, alkyl, fluoroalkyl, carbocyclyl, carbocyclylalkyl, aryl, aralkyl, heterocycloalkyl, heterocycloalkylalkyl, heteroaryl or heteroarylalkyl, or NRaRa are combined together to form a cyclic moiety, which includes but is not limited to piperidinyl, piperazinyl, and morpholinyl. In some embodiments, B is unsubstituted or substituted amino. In some embodiments, B is unsubstituted or substituted heteroalkyl.
- In some embodiments, B is a moiety of Formula II and wherein W, is a member selected from the group consisting of unsubstituted or substituted aryl, substituted phenyl, unsubstituted or substituted heteroaryl including but not limited to pyridin-2-yl, pyridin-3-yl, pyridin-4-yl, pyrimidin-4-yl, pyrimidin-2-yl, pyrimidin-5-yl, or pyrazin-2-yl, unsubstituted or substituted monocyclic heteroaryl, unsubstituted or substituted bicyclic heteroaryl, a heteroaryl comprising two heteroatoms as ring atoms, unsubstituted or substituted heteroaryl comprising a nitrogen ring atom, heteroaryl comprising two nitrogen ring atoms, heteroaryl comprising a nitrogen and a sulfur as ring atoms, unsubstituted or substituted heterocycloalkyl including but not limited to morpholinyl, tetrahydropyranyl, piperazinyl, and piperidinyl, unsubstituted or substituted cycloalkyl including but not limted to cyclopentyl and cyclohexyl.
- In some embodiments, B is one of the following moieties:
- In some embodiments, B is substituted by one or more of alkyl, heteroalkyl, alkenyl, alkynyl, cycloalkyl, heterocycloalkyl, aryl, heteroaryl alkoxy, amido, amino, acyl, acyloxy, alkoxycarbonyl, sulfonamido, halo, cyano, hydroxy or nitro, each of which alkyl, heteroalkyl, alkenyl, alkynyl, cycloalkyl, heterocycloalkyl, aryl, heteroaryl, alkoxy, amido, amino, acyl, acyloxy,or sulfonamido, may itself be substituted.
- In some embodiments, le is a member selected from the group consisting of hydrogen, unsubstituted or substituted alkyl, unsubstituted or substituted heteroalkyl, unsubstituted or substituted alkenyl, unsubstituted or substituted alkynyl, unsubstituted or substituted cycloalkyl, or unsubstituted or substituted heterocycloalkyl. In some embodiments, R1 is unsubstituted or substituted aryl, unsubstituted or substituted arylalkyl, unsubstituted or substituted heteroaryl, or unsubstituted or substituted heteroarylalkyl. In some embodiments, R1 is unsubstituted or substituted alkoxy, unsubstituted or substituted amido, unsubstituted or substituted amino. In some embodiments, R1 is unsubstituted or substituted acyl, unsubstituted or substituted acyloxy, unsubstituted or substituted alkoxycarbonyl, or unsubstituted or substituted sulfonamido. In some embodiments, R1 is halo which includes —Cl, —F, —I, and —Br. In some embodiments, R1 is selected from the group consisting of cyano, hydroxy, nitro, unsubstituted or substituted phosphate, unsubstituted or substituted urea, and carbonate.
- In some embodiments, when R1 is alkyl, R1 is methyl, ethyl, propyl, isopropyl, n- butyl, tert- butyl, sec-butyl, pentyl, hexyl or heptyl.
- In some embodiments, when R1 is alkyl, heteroalkyl, alkenyl, alkynyl, cycloalkyl, heterocycloalkyl, aryl, arylalkyl, heteroaryl, heteroarylalkyl, alkoxy, amido, amino, acyl, acyloxy, alkoxycarbonyl, sulfonamido, or hydroxy, R1 is substituted by phosphate, or unsubstituted urea, or substituted urea, or carbonic acid, or carbonate.
- In some embodiments, when R1 is alkyl, heteroalkyl, alkenyl, alkynyl, cycloalkyl, heterocycloalkyl, aryl, arylalkyl, heteroaryl, heteroarylalkyl, alkoxy, amido, amino, acyl, acyloxy, alkoxycarbonyl, or sulfonamido, R1 is substituted by one or more of alkyl, heteroalkyl, alkenyl, alkynyl, cycloalkyl, heterocycloalkyl, aryl, arylalkyl, heteroaryl, heteroarylalkyl, alkoxy, amido, amino, acyl, acyloxy, alkoxycarbonyl, sulfonamido, halo, cyano, hydroxy or nitro, each of which alkyl, heteroalkyl, alkenyl, alkynyl, cycloalkyl, heterocycloalkyl, aryl, arylalkyl, heteroaryl, heteroarylalkyl, alkoxy, amido, amino, acyl, acyloxy, alkoxycarbonyl, or sulfonamido may itself be substituted.
- In some embodiments, R2 is a member selected from the group consisting of unsubstituted or substituted alkyl, unsubstituted or substituted heteroalkyl, unsubstituted or substituted alkenyl, unsubstituted or substituted alkynyl, unsubstituted or substituted cycloalkyl, and unsubstituted or substituted heterocycloalkyl. In some embodiments, R2 is unsubstituted or substituted aryl, unsubstituted or substituted arylalkyl, unsubstituted or substituted heteroaryl, or unsubstituted or substituted heteroarylalkyl. In some embodiments, R2 is unsubstituted or substituted alkoxy, unsubstituted or substituted amido, unsubstituted or substituted amino. In some embodiments, R2 is unsubstituted or substituted acyl, unsubstituted or substituted acyloxy, unsubstituted or substituted alkoxycarbonyl, or unsubstituted or substituted sulfonamido. In some embodiments, R2 is halo, which is —I, —F, —Cl, or —Br. In some embodiments, R2 is selected from the group consisting of cyano, hydroxy, nitro, a carbonic acid, and a carbonate. In some embodiments, R2 is unsubstituted or substituted phosphate. In some embodiments, R2 is unsubstituted or substituted urea. In some embodiments, when R2 is alkyl, R2 is methyl, ethyl, propyl, isopropyl, n- butyl, tert- butyl, sec-butyl, pentyl, hexyl or heptyl.
- In some embodiments, when R2 is alkyl, heteroalkyl, alkenyl, alkynyl, cycloalkyl, heterocycloalkyl, aryl, arylalkyl, heteroaryl, heteroarylalkyl, alkoxy, amido, amino, acyl, acyloxy, alkoxycarbonyl, sulfonamido, or hydroxy, it is substituted by phosphate, substituted by urea, or substituted by carbonate.
- In some embodiments, when R2 is alkyl, heteroalkyl, alkenyl, alkynyl, cycloalkyl, heterocycloalkyl, aryl, arylalkyl, heteroaryl, heteroarylalkyl, alkoxy, amido, amino, acyl, acyloxy, alkoxycarbonyl, or sulfonamido, it is substituted by one or more of alkyl, heteroalkyl, alkenyl, alkynyl, cycloalkyl, heterocycloalkyl, aryl, heteroaryl, alkoxy, amido, amino, acyl, acyloxy, alkoxycarbonyl, sulfonamido, halo, cyano, hydroxy or nitro, each of which alkyl, heteroalkyl, alkenyl, alkynyl, cycloalkyl, heterocycloalkyl, aryl, heteroaryl, alkoxy, amido, amino, acyl, acyloxy, alkoxycarbonyl, or sulfonamido may itself be substituted.
- In some embodiments, q is an integer of 0. In some embodiments, q is an integer of 1. In some embodiments, q is an integer of 2. In some embodiments, q is an integer of 3. In some embodiments, q is an integer of 4.
- In some embodiments of the compound of Formula I, R3 is a member selected from the group consisting of hydrogen, unsubstituted or substituted alkyl, unsubstituted or substituted alkenyl, and unsubstituted or substituted alkynyl. In some embodiments, R3 is unsubstituted or substituted aryl, unsubstituted or substituted heteroaryl, unsubstituted or substituted cycloalkyl, or unsubstituted or substituted heterocycloalkyl. In some embodiments, R3 is unsubstituted or substituted alkoxy, unsubstituted or substituted amido, unsubstituted or substituted amino. In some embodiments, R3 is unsubstituted or substituted acyl, unsubstituted or substituted acyloxy, unsubstituted or substituted alkoxycarbonyl, or unsubstituted or substituted sulfonamido. In some embodiments, R3 is halo, which is is —I, —F, —Cl, or —Br.
- In some embodiments, R3 is selected from the group consisting of cyano, hydroxy, and nitro. In some embodiments, when R3 is alkyl, R3 is methyl, ethyl, propyl, isopropyl, n- butyl, tent- butyl, sec-butyl, pentyl, hexyl or heptyl. In some embodiments, R3 is —CF3.
- In some embodiments, when R3 is alkyl, alkenyl, alkynyl, aryl, heteroaryl, cycloalkyl, heterocycloalkyl, alkoxy, amido, amino, acyl, acyloxy, alkoxycarbonyl,or sulfonamido, it is substituted with one or more of alkyl, heteroalkyl, alkenyl, alkynyl, cycloalkyl, heterocycloalkyl, aryl, heteroaryl, alkoxy, amido, amino, acyl, acyloxy, alkoxycarbonyl, sulfonamido, halo, cyano, hydroxy or nitro, each of which alkyl, heteroalkyl, alkenyl, alkynyl, cycloalkyl, heterocycloalkyl, aryl, heteroaryl, alkoxy, amido, amino, acyl, acyloxy, alkoxycarbonyl, or sulfonamido may itself be substituted.
- In some embodiments of the compound of Formula I, R5 is hydrogen, unsubstituted or substituted alkyl (including but not limited to unsubstituted or substituted C1-C4alkyl). In some embodiments, R5 is unsubstituted or substituted alkenyl including but not limited to unsubstituted or substituted C2-C5alkenyl. In some embodiments, R5 is unsubstituted or substituted alkynyl including but not limited to unsubstituted or substituted C2-C5alkynyl. In some embodiments, R5 is unsubstituted or substituted cycloalkyl including but not limited to unsubstituted or substituted C3-C5cycloalkyl. In some embodiments, R5 is unsubstituted or substituted heterocycloalkyl. In some embodiments, R5 is unsubstituted or substituted heteroalkyl including but not limited to unsubstituted or substituted C1-C4 heteroalkyl. In some embodiments, R5 is unsubstituted or substituted alkoxy including but not limited to unsubstituted or substituted C1-C4alkoxy. In some embodiments, R5 is unsubstituted or substituted amido including but not limited to unsubstituted or substituted C1-C4amido. In some embodiments, R5 is unsubstituted or substituted amino. In some embodiments, R5 is unsubstituted or substituted acyl, unsubstituted or substituted acyloxy, unsubstituted or substituted C1-C4acyloxy, unsubstituted or substituted alkoxycarbonyl, unsubstituted or substituted sulfonamido, or unsubstituted or substituted C1-C4sulfonamido. In some embodiments, R5 is halo, which is is —I, —F, —Cl, or —Br. In some embodiments, R5 is selected from the group consisting of cyano, hydroxy, and nitro. In some other embodiments, R5 is —CH3, —CH2CH3, n-propyl, isopropyl, —OCH3, —OCH2CH3, or —CF3.
- In some embodiments, when R5 is alkyl, alkenyl, alkynyl, cycloalkyl, heteroalkyl, acyl, alkoxy, amido, amino, acyloxy, alkoxycarbonyl, or sulfonamido, R5 is optionally substituted with one or more of alkyl, heteroalkyl, alkenyl, alkynyl, cycloalkyl, heterocycloalkyl, aryl, heteroaryl, alkoxy, amido, amino, acyl, acyloxy, alkoxycarbonyl, sulfonamido, halo, cyano, hydroxy or nitro, each of which alkyl, heteroalkyl, alkenyl, alkynyl, cycloalkyl, heterocycloalkyl, aryl, heteroaryl, alkoxy, amido, amino, acyl, acyloxy, alkoxycarbonyl, or sulfonamido may itself be substituted.
- In some embodiments of the compound of Formula I, R6 is hydrogen, unsubstituted or substituted alkyl (including but not limited to unsubstituted or substituted C1-C4alkyl). In some embodiments, R6 is unsubstituted or substituted alkenyl including but not limited to unsubstituted or substituted C2-C5alkenyl. In some embodiments, R6 is unsubstituted or substituted alkynyl including but not limited to unsubstituted or substituted C2-C5alkynyl. In some embodiments, R6 is unsubstituted or substituted cycloalkyl including but not limited to unsubstituted or substituted C3-C5cycloalkyl. In some embodiments, R6 is unsubstituted or substituted heterocycloalkyl. In some embodiments, R6 is unsubstituted or substituted heteroalkyl including but not limited to unsubstituted or substituted C1-C4 heteroalkyl. In some embodiments, R6 is unsubstituted or substituted alkoxy including but not limited to unsubstituted or substituted C1-C4alkoxy. In some embodiments, R6 is unsubstituted or substituted amido including but not limited to unsubstituted or substituted C1-C4amido. In some embodiments, R6 is unsubstituted or substituted amino. In some embodiments, R6 is unsubstituted or substituted acyl, unsubstituted or substituted acyloxy, unsubstituted or substituted C1-C4acyloxy, unsubstituted or substituted alkoxycarbonyl, unsubstituted or substituted sulfonamido, or unsubstituted or substituted C1-C4sulfonamido. In some embodiments, R6 is halo, which is is —I, —F, —Cl, or —Br. In some embodiments, R6 is selected from the group consisting of cyano, hydroxy, and nitro. In some other embodiments, R6 is —CH3, —CH2CH3, n-propyl, isopropyl, —OCH3, —OCH2CH3, or —CF3.
- In some embodiments, when R6 is alkyl, alkenyl, alkynyl, cycloalkyl, heteroalkyl, acyl, alkoxy, amido, amino, acyloxy, alkoxycarbonyl, or sulfonamido, R6 is optionally substituted with one or more of alkyl, heteroalkyl, alkenyl, alkynyl, cycloalkyl, heterocycloalkyl, aryl, heteroaryl, alkoxy, amido, amino, acyl, acyloxy, alkoxycarbonyl, sulfonamido, halo, cyano, hydroxy or nitro, each of which alkyl, heteroalkyl, alkenyl, alkynyl, cycloalkyl, heterocycloalkyl, aryl, heteroaryl, alkoxy, amido, amino, acyl, acyloxy, alkoxycarbonyl, or sulfonamido may itself be substituted.
- In some embodiments of the compound of Formula I, R7 is hydrogen, unsubstituted or substituted alkyl (including but not limited to unsubstituted or substituted C1-C4alkyl). In some embodiments, R7 is unsubstituted or substituted alkenyl including but not limited to unsubstituted or substituted C2-C5alkenyl. In some embodiments, R7 is unsubstituted or substituted alkynyl including but not limited to unsubstituted or substituted C2-C5alkynyl. In some embodiments, R7 is unsubstituted or substituted cycloalkyl including but not limited to unsubstituted or substituted C3-C5cycloalkyl. In some embodiments, R7 is unsubstituted or substituted heterocycloalkyl. In some embodiments, R7 is unsubstituted or substituted heteroalkyl including but not limited to unsubstituted or substituted C1-C4 heteroalkyl. In some embodiments, R7 is unsubstituted or substituted alkoxy including but not limited to unsubstituted or substituted C1-C4alkoxy. In some embodiments, R7 is unsubstituted or substituted amido including but not limited to unsubstituted or substituted C1-C4amido. In some embodiments, R7 is unsubstituted or substituted amino. In some embodiments, R7 is unsubstituted or substituted acyl, unsubstituted or substituted acyloxy, unsubstituted or substituted C1-C4acyloxy, unsubstituted or substituted alkoxycarbonyl, unsubstituted or substituted sulfonamido, or unsubstituted or substituted C1-C4sulfonamido. In some embodiments, R7 is halo, which is is —I, —F, —Cl, or —Br. In some embodiments, R7 is selected from the group consisting of cyano, hydroxy, and nitro. In some other embodiments, R7 is —CH3, —CH2CH3, n-propyl, isopropyl, —OCH3, —OCH2CH3, or —CF3.
- In some embodiments, when R7 is alkyl, alkenyl, alkynyl, cycloalkyl, heteroalkyl, acyl, alkoxy, amido, amino, acyloxy, alkoxycarbonyl, or sulfonamido, R7 is optionally substituted with one or more of alkyl, heteroalkyl, alkenyl, alkynyl, cycloalkyl, heterocycloalkyl, aryl, heteroaryl, alkoxy, amido, amino, acyl, acyloxy, alkoxycarbonyl, sulfonamido, halo, cyano, hydroxy or nitro, each of which alkyl, heteroalkyl, alkenyl, alkynyl, cycloalkyl, heterocycloalkyl, aryl, heteroaryl, alkoxy, amido, amino, acyl, acyloxy, alkoxycarbonyl, or sulfonamido may itself be substituted.
- In some embodiments of the compound of Formula I, R8 is hydrogen, unsubstituted or substituted alkyl (including but not limited to unsubstituted or substituted C1-C4alkyl). In some embodiments, R8 is unsubstituted or substituted alkenyl including but not limited to unsubstituted or substituted C2-C5alkenyl. In some embodiments, R8 is unsubstituted or substituted alkynyl including but not limited to unsubstituted or substituted C2-C5alkynyl. In some embodiments, R8 is unsubstituted or substituted cycloalkyl including but not limited to unsubstituted or substituted C3-C5cycloalkyl. In some embodiments, R8 is unsubstituted or substituted heterocycloalkyl. In some embodiments, R8 is unsubstituted or substituted heteroalkyl including but not limited to unsubstituted or substituted C1-C4 heteroalkyl. In some embodiments, R8 is unsubstituted or substituted alkoxy including but not limited to unsubstituted or substituted C1-C4alkoxy. In some embodiments, R8 is unsubstituted or substituted amido including but not limited to unsubstituted or substituted C1-C4amido. In some embodiments, R8 is unsubstituted or substituted amino. In some embodiments, R8 is unsubstituted or substituted acyl, unsubstituted or substituted acyloxy, unsubstituted or substituted C1-C4acyloxy, unsubstituted or substituted alkoxycarbonyl, unsubstituted or substituted sulfonamido, or unsubstituted or substituted C1-C4sulfonamido. In some embodiments, R8 is halo, which is is —I, —F, —Cl, or —Br. In some embodiments, R8 is selected from the group consisting of cyano, hydroxy, and nitro. In some other embodiments, R8 is —CH3, —CH2CH3, n-propyl, isopropyl, —OCH3, —OCH2CH3, or —CF3.
- In some embodiments, when R8 is alkyl, alkenyl, alkynyl, cycloalkyl, heteroalkyl, acyl, alkoxy, amido, amino, acyloxy, alkoxycarbonyl, or sulfonamido, R8 is optionally substituted with one or more of alkyl, heteroalkyl, alkenyl, alkynyl, cycloalkyl, heterocycloalkyl, aryl, heteroaryl, alkoxy, amido, amino, acyl, acyloxy, alkoxycarbonyl, sulfonamido, halo, cyano, hydroxy or nitro, each of which alkyl, heteroalkyl, alkenyl, alkynyl, cycloalkyl, heterocycloalkyl, aryl, heteroaryl, alkoxy, amido, amino, acyl, acyloxy, alkoxycarbonyl, or sulfonamido may itself be substituted.
- In some embodiments of the compound of Formula I, R5, R6, R7, and R8 are H and the compound has a structure of Formula I-I:
- In some embodiments of the compound of Formula I, X is absent. In some embodiments, X is —(CH(R9))z, and z is an integer of 1, 2, 3 or 4.
- In some embodiments, R9 is unsubstituted or substituted alkyl including but not limited to unsubstituted or substituted C1-C10alkyl. In some embodiments, R9 is unsubstituted or substituted cycloalkyl including but not limited to unsubstituted or substituted C3-C7cycloalkyl. In some embodiments, R9 is ethyl, methyl or hydrogen. In some embodiments, R9 is unsubstituted or substituted heterocycloalkyl including but not limited to unsubstituted or substituted C2-C10heteroalkyl. In some embodiments, R9 is unsubstituted or substituted heteroalkyl including but not limited to unsubstituted or substituted C2-C10heteroalkyl.
- The invention also provides a compound of Formula I wherein R9 is hydrogen, and X is —CH2—, —CH2CH2—, —CH2CH2CH2—, —CH(CH3)—, or —CH(CH2CH3)—. In other embodiments, X is —(CH(R9))z, R9 is not hydrogen, and z is an integer of 1. When X is—CH(R9)— and R9 is not hydrogen, then the compound can adopt either an (S)- or (R)-stereochemical configuration with respect to carbon X. In some embodiments, the compound is a racemic mixture of (S)- and (R) isomers with respect to carbon X. In other embodiments, the present invention provides a mixture of compounds of Formula I wherein individual compounds of the mixture exist predominately in an (S)- or (R)- isomeric configuration. For example, the compound mixture has an (S)-enantiomeric purity of greater than about 55%, about 60%, about 65%, about 70%, about 75%, about 80%, about 85%, about 90%, about 95%, about 96%, about 97%, about 98%, about 99%, about 99.5%, or more at the X carbon. In other embodiments, the compound mixture has an (S)-enantiomeric purity of greater than about 55% to about 99.5%, greater than about about 60% to about 99.5%, greater than about 65% to about 99.5%, greater than about 70% to about 99.5%, greater than about 75% to about 99.5%, greater than about 80% to about 99.5%, greater than about 85% to about 99.5%, greater than about 90% to about 99.5%, greater than about 95% to about 99.5%, greater than about 96% to about 99.5%, greater than about 97% to about 99.5%, greater than about 98% to greater than about 99.5%, greater than about 99% to about 99.5%, or more.
- In other embodiments, the compound mixture has an (R)-enantiomeric purity of greater than about 55%, about 60%, about 65%, about 70%, about 75%, about 80%, about 85%, about 90%, about 95%, about 96%, about 97%, about 98%, about 99%, about 99.5%, or more at the X carbon. In some other embodiments, the compound mixture has an (R)-enantiomeric purity of greater than about 55% to about 99.5%, greater than about about 60% to about 99.5%, greater than about 65% to about 99.5%, greater than about 70% to about 99.5%, greater than about 75% to about 99.5%, greater than about 80% to about 99.5%, greater than about 85% to about 99.5%, greater than about 90% to about 99.5%, greater than about 95% to about 99.5%, greater than about 96% to about 99.5%, greater than about 97% to about 99.5%, greater than about 98% to greater than about 99.5%, greater than about 99% to about 99.5%, or more.
- In other embodiments, the compound mixture contains identical chemical entities except for their stereochemical orientations, namely (S)- or (R)- isomers. For instance, in the compounds of Formula I, when X is —CH(R9)—, and R9 is not hydrogen, then the —CH(R9)— is in an (S)- or (R)- sterochemical orientation for each of the identical chemical entities. In some embodiments, the mixture of identical chemical entities of Formula I is a racemic mixture of (S)- and (R)- isomers at the carbon represented by X. In another embodiment, the mixture of the identical chemical entities (except for their stereochemical orientations),contain predominately (S)-isomers or predominately (R)- isomers. For example, the (S)- isomers in the mixture of identical chemical entities are present at about 55%, about 60%, about 65%, about 70%, about 75%, about 80%, about 85%, about 90%, about 95%, about 96%, about 97%, about 98%, about 99%, about 99.5% ,or more, relative to the (R)- isomers. In some embodiments, the (S)- isomers in the mixture of identical chemical entities are present at an (S)-enantiomeric purity of greater than about 55% to about 99.5%, greater than about about 60% to about 99.5%, greater than about 65% to about 99.5%, greater than about 70% to about 99.5%, greater than about 75% to about 99.5%, greater than about 80% to about 99.5%, greater than about 85% to about 99.5%, greater than about 90% to about 99.5%, greater than about 95% to about 99.5%, greater than about 96% to about 99.5%, greater than about 97% to about 99.5%, greater than about 98% to greater than about 99.5%, greater than about 99% to about 99.5%, or more.
- In another embodiment, the (R)- isomers in the mixture of identical chemical entities (except for their stereochemical orientations),are present at about 55%, about 60%, about 65%, about 70%, about 75%, about 80%, about 85%, about 90%, about 95%, about 96%, about 97%, about 98%, about 99%, about 99.5%, or more, relative to the (S)- isomers. In some embodiments, the (R)- isomers in the mixture of identical chemical entities (except for their stereochemical orientations), are present at a (R)- enantiomeric purity greater than about 55% to about 99.5%, greater than about about 60% to about 99.5%, greater than about 65% to about 99.5%, greater than about 70% to about 99.5%, greater than about 75% to about 99.5%, greater than about 80% to about 99.5%, greater than about 85% to about 99.5%, greater than about 90% to about 99.5%, greater than about 95% to about 99.5%, greater than about 96% to about 99.5%, greater than about 97% to about 99.5%, greater than about 98% to greater than about 99.5%, greater than about 99% to about 99.5%, or more.
- In some embodiments, the compound of Formula I, X is —CH(R9)—, R9 is methyl or ethyl, and the compound is the (S)-isomer.
- In some embodiments of the compound of Fornula I, Y is absent. In some embodiments, Y is —O—, —S—, —S(═O)—, —S(═O)2—, —C(═O)—, —N(R9)(C═O)—, —N(R9)(C═O)NH—, —N(R9)C(R9)2— (such as —N(R9)CH2—, specifically —N(CH3)CH2—, N(CH(CH3)2)CH2 — or N(CH2CH3)CH2—), —N(R9)—, —N(CH3)—, —N(CH2CH3)—, or —N(CH(CH3)2)—. In some embodiments, Y is —C(═O)—(CHR9)z— and z is an integer of 1, 2, 3, or 4.
- In some embodiments, at least one of X and Y is present. In some embodiments of the compound of Formula I, —XY— is —CH2—, —CH2—N(CH3), —CH2—N(CH2CH3), —CH(CH3)—NH—, (S) —CH(CH3)—NH—, or (R) —CH(CH3)—NH—. In other embodiments, X—Y is —N(CH3)_CH2—, N(CH2CH3) CH2—, —N(CH(CH3)2)CH2—, or —NHCH2—. The invention provides other compounds of Formula I wherein when X—Y is X is —(CH(R9))zN(R9)—, z is an integer of 1, 2, 3 or 4, and —N(R9)— is not —NH—, then —XY— is not connected to purinyl.
- In some embodiments, Wd in a formula disclosed herein (including but not limited to I, I-I, IV, IV-A, V, V-A, V-A2, V-B, VI and VI-A), is a member selected from the group consisting of unsubstituted or substituted heterocycloalkyl, unsubstituted or substituted aryl, and unsubstituted or substituted heteroaryl.
- In various embodiments, Wd is unsubstituted or substituted monocyclic heteroaryl (including but not limited to pyrimidinyl, pyrrolyl, pyrazinyl, triazinyl, or pyridazinyl) or unsubstituted or substituted bicyclic heteroaryl.
- In some embodiments, Wd is a monocyclic heteroaryl of the following formula:
- wherein Ra
′ is hydrogen, halo, phosphate, urea, a carbonate, unsubstituted or substituted amino, unsubstituted or substituted alkyl, unsubstituted or substituted alkenyl, unsubstituted or substituted alkynyl, unsubstituted or substituted cycloalkyl, unsubstituted or substituted heteroalkyl, or unsubstituted or substituted heterocycloalkyl; and - R12 is H, unsubstituted or substituted alkyl, unsubstituted or substituted cyano, unsubstituted or substituted alkynyl, unsubstituted or substituted alkenyl, halo, unsubstituted or substituted aryl, unsubstituted or substituted heteroaryl, unsubstituted or substituted heterocycloalkyl, unsubstituted or substituted cycloalkyl, unsubstituted or substituted amino, carboxylic acid, unsubstituted or substituted alkoxycarbonyl, unsubstituted or substituted amido, unsubstituted or substituted acyl, or unsubstituted or substituted sulfonamido.
The invention provides monocyclic heteroaryl Wd including but not limited to one of the following formulae: - In some embodiments, Wd in a formula disclosed herein (including but not limited to I, I-I, IV, IV-A, V, V-A, V-A2, V-B, VI and VI-A), is a bicyclic heteroaryl having at least one heteroatom, e.g., a bicyclic heteroaryl having at least one nitrogen ring atom. In some embodiments, Wd is a bicyclic heteroaryl having at least two heteroatoms, e.g., a bicyclic heteroaryl having at least two nitrogen ring atoms. In some embodiments, Wd is a bicyclic heteroaryl having two heteroatoms in the ring which is connected to XY. In some embodiments, Wd is a bicyclic heteroaryl having two nitrogen ring atoms in the ring to which XY is connected. In some embodiments, Wd is a bicyclic heteroaryl having four heteroatoms, e.g, a bicyclic heteroaryl having four nitrogen ring atoms. In some embodiments, Wd is unsubstituted or substituted 4-amino-1H-pyrazolo[3,4-d]pyrimidin-1-yl, unsubstituted or substituted 7-amino-2-methyl-2H-pyrazolo[4,3-d]pyrimidin-3-yl. unsubstituted or substituted 6-methylenyl-9H-purin-6-yl, or unsubstituted or substituted 6-amino-9H-purin-9-yl.
- In some embodiments Wd is one of the following:
- wherein Ra
′ is hydrogen, halo, phosphate, urea, a carbonate, unsubstituted or substituted amino, unsubstituted or substituted alkyl, unsubstituted or substituted alkenyl, unsubstituted or substituted alkynyl, unsubstituted or substituted cycloalkyl, unsubstituted or substituted heteroalkyl, or unsubstituted or substituted heterocycloalkyl; - R11 is hydrogen, unsubstituted or substituted alkyl, halo (which includes —I, —F, —Cl, or —Br), unsubstituted or substituted amino, unsubstituted or substituted amido, hydroxy, or unsubstituted or substituted alkoxy, phosphate, unsubstituted or substituted urea, or carbonate; and
- R12 is H, unsubstituted or substituted alkyl, unsubstituted or substituted cyano, unsubstituted or substituted alkynyl, unsubstituted or substituted alkenyl, halo, unsubstituted or substituted aryl, unsubstituted or substituted heteroaryl, unsubstituted or substituted heterocycloalkyl, unsubstituted or substituted cycloalkyl, unsubstituted or substituted amino, carboxylic acid, unsubstituted or substituted alkoxycarbonyl, unsubstituted or substituted amido, unsubstituted or substituted acyl, or unsubstituted or substituted sulfonamido.
- In some embodiments of Wd of the compounds of Formula I, when Ra
′ is alkyl, alkynyl, cycloalkyl, heteroalkyl, or heterocycloalkyl, it is substituted by phosphate, urea, or carbonate. - In some embodiments of Wd of the compounds of Formula I, when R11 is alkyl, amino, amido, hydroxy, or alkoxy, it is substituted by phosphate, urea, or carbonate.
- In some embodiments of the compound of Formula I,—X—Y—Wd is one of the following moieties:
- In some embodiments of the compound of Formula I, R12 is a member of the group consisting of hydrogen, cyano, halo, unsubstituted or substituted alkyl, unsubstituted or substituted alkynyl, and unsubstituted or substituted alkenyl. In some embodiments, R12 is unsubstituted or substituted aryl. In some embodiments, R12 is unsubstituted or substituted heteroaryl, which includes but is not limited to heteroaryl having a 5 membered ring, heteroaryl having a six membered ring, heteroaryl with at least one nitrogen ring atom, heteroaryl with two nitrogen ring atoms, monocylic heteroaryl, and bicylic heteroaryl. In some embodiments, R12 is unsubstituted or substituted heterocycloalkyl, which includes but is not limited to heterocycloalkyl with one nitrogen ring atom, heterocycloalkyl with one oxygen ring atom, R12 is heterocycloalkyl with one sulfur ring atom, 5 membered heterocycloalkyl, 6 membered heterocycloalkyl, saturated heterocycloalkyl, unsaturated heterocycloalkyl, heterocycloalkyl having an unsaturated moiety connected to the heterocycloalkyl ring, heterocycloalkyl substituted by oxo, and heterocycloalkyl substituted by two oxo. In some embodiments, R12 is unsubstituted or substituted cycloalkyl, including but not limited to cyclopropyl, cyclobutyl, cyclopentyl, cyclohexyl, cycloalkyl substituted by one oxo, cycloalkyl having an unsaturated moiety connected to the cycloalkyl ring. In some embodiments, R12 is unsubstituted or substituted amido, carboxylic acid, unsubstituted or substituted acyloxy, unsubstituted or substituted alkoxycarbonyl, unsubstituted or substituted acyl, or unsubstituted or substituted sulfonamido.
- In some embodiments, when R12 is alkyl, alkynyl, alkenyl, aryl, heteroaryl, heterocycloalkyl, or cycloalkyl, it is substituted with phosphate. In some embodiments, when R12 is alkyl, alkynyl, alkenyl, aryl, heteroaryl, heterocycloalkyl, or cycloalkyl, it is substituted with urea. In some embodiments, when R12 is alkyl, alkynyl, alkenyl, aryl, heteroaryl, heterocycloalkyl, or cycloalkyl, it is substituted with carbonate.
- In some embodiments, when R12 is alkyl, alkynyl, alkenyl, aryl, heteroaryl, heterocycloalkyl, cycloalkyl, alkoxycarbonyl, amido, acyloxy, acyl, or sulfonamido, it is substituted with one or more of alkyl, heteroalkyl, alkenyl, alkynyl, cycloalkyl, heterocycloalkyl, aryl, heteroaryl, alkoxy, amido, amino, acyl, acyloxy, alkoxycarbonyl, sulfonamido, halo, cyano, hydroxy or nitro, each of which alkyl, heteroalkyl, alkenyl, alkynyl, cycloalkyl, heterocycloalkyl, aryl, heteroaryl, alkoxy, amido, amino, acyl, acyloxy, aloxycarbonyl, or sulfonamido may itself be substituted.
- In some embodiments of the compound of Formula I, R12 of Wd is one of the following moieties:
- In some embodiments of the compound of Formula I, Wd is a pyrazolopyrimidine of Formula III:
- wherein R11 is H, alkyl, halo, amino, amido, hydroxy, or alkoxy, and R12 is H, alkyl, alkynyl, alkenyl, halo, aryl, heteroaryl, heterocycloalkyl, or cycloalkyl. In some embodiments, R11 is amino and R12 is H, alkyl, alkynyl, alkenyl, halo, aryl, heteroaryl, heterocycloalkyl, or cycloalkyl. In some embodiments, R11 is amino and R12 is alkyl, halo, aryl, heteroaryl, heterocycloalkyl, or cycloalkyl. In some embodiments, R11 is amino and R12 is monocyclic heteroaryl. In some embodiments, R11 is amino and R12 is bicyclic heteroaryl. In some embodiments, R11 is amino and and R12 is cyano, amino, carboxylic acid, acyloxy, alkoxycarbonyl,or amido.
- In some embodiments of the invention, the compound of Formula I is a compound having a structure of Formula IV:
- In some embodiments of the compound of Formula IV, R11 is H, alkyl, halo, amino, amido, hydroxy, or alkoxy, and R12 is H, alkyl, alkynyl, alkenyl, halo, aryl, heteroaryl, heterocycloalkyl, or cycloalkyl. In another embodiment, R11 is amino and R12 is alkyl, alkenyl, heteroaryl, aryl, or heterocycloalkyl. In some embodiments, R11 is amino and and R12 is cyano, amino, carboxylic acid, alkoxycarbonyl, or amido.
- In some embodiments, the compound of Formula IV is a compound of Formula IV-A:
- The invention also provides compounds of Formula I having a structure of any of Formulae V, V-A1, V-A2, V-B, VI, VI-A, VII-A1, VII-A2, VIII-A1, VIII-A2, IX-A1, IX-A2, X-A1, X-A2, XI-A1, XI-A2, XII-A, XII-A1, XII-A2, XIII-A, XIII-A1, XIII-A2, XIV-A, XIV-A1, XIV-A2, XV-A, XV-A1, XV-A2, XVI-A, XVI-A1, XVI-A2, XVII-A, XVII-A1, XVII-A2, XVIII-A, XVIII-A1, or XVIII-A2:
- Any of the disclosed elements and their substituents for the compounds of Formula I can be used in any combination.
- In one aspect, for the compounds of Formula I, R3 is H, CH3, CF3, Cl, or F; and B is a moiety of Formula II:
- wherein Wc is aryl, heteroaryl, heterocycloalkyl, or cycloalkyl; R1 is H, —F, —Cl, −CN, —CH3, isopropyl, —CF3, —OCH3, nitro, or phosphate; R2 is halo, hydroxy, cyano, or nitro; q is an integer of 0, 1, 2, 3, or 4; R5, R6, R7, and R8 are H; X is absent or (CH2)z; z is 1; Y is absent or —N(R9)—; R9 is hydrogen, C1-C10alkyl, C3-C7cycloalkyl, or C2-C10heteroalkyl; at least one of X and Y is present; and Wd is pyrazolopyrimidine or purine. In some embodiments, when X and Y are present and Wd is purine, then —N(R9)— is —NH—.
- In another aspect, for the compounds of Formula I, R3 is H, CH3, CF3, Cl, or F; B is a moiety of Formula II which is aryl, heteroaryl, heterocycloalkyl, or cycloalkyl, R1 is H, —F, —Cl, —CN, —CH3, isopropyl, —CF3, —OCH3, nitro, or phosphate; R2 is halo, hydroxy, cyano, or nitro; q is 0, 1 or 2; R5, R6, R7, and R8 are H; X is absent or (CH2)z; z is 1; Y is absent or —N(R9)—; R9 is hydrogen, methyl, or ethyl; at least one of X and Y is present; Wd is:
- R11 is amino; and R12 is H, alkyl, alkynyl, alkenyl, halo, aryl, heteroaryl, heterocycloalkyl, or cycloalkyl. In some embodiments, when X and Y are present and Wd is purine, then —N(R9)— is —NH—.
- In another aspect, for the compounds of Formula I, R3 is H, CH3, CF3, Cl, or F; B is a moiety of Formula II, which is aryl, heteroaryl, heterocycloalkyl, or cycloalkyl, R1 is H, —F, —Cl, —CN, —CH3, isopropyl, —CF3, —OCH3, nitro, or phosphate; R2 is halo, hydroxy, cyano, or nitro; q is 0, 1 or 2; X is (CH2)z; z is 1; R5, R6, R7, and R8 are H; Y is absent and Wd is:
- R11 is amino; and R12 is H, alkyl, alkynyl, alkenyl, halo, aryl, heteroaryl, heterocycloalkyl, or cycloalkyl.
- In another aspect, R3 is H, CH3, CF3, Cl, or F; B is aryl, heteroaryl, heterocycloalkyl, or cycloalkyl, R1 is H, —F, —Cl, —CN, —CH3, isopropyl, —CF3, —OCH3, nitro, or phosphate; R2 is halo, hydroxy, cyano, or nitro; q is 0, 1 or 2; R5, R6, R7, and R8 are H; X is (CH2)z; z is 1; X is (CH2)z; z is 1; Y is—N(R9)—; R9 is hydrogen, methyl, or ethyl; and Wd is
- In some embodiments, Y is —NH—.
- In another aspect, for the compounds of Formula I R3 is aryl, heteroaryl, H, CH3, CF3, Cl, or F; B is alkyl or a moiety of Formula II;
- wherein W, is aryl, heteroaryl, heterocycloalkyl, or cycloalkyl, and q is an integer of 0, 1, 2, 3, or 4; R1 is H, —F, —Cl, —CN, —CH3, isopropyl, —CF3, —OCH3, nitro, or phosphate; R2 is halo, hydroxy, cyano, nitro, or phosphate; q is 0, 1 or 2; R5, R6, R7, and R8 are H; X is absent or (CH(R9))z; z is an integer of 1, 2, 3, or 4; Y is absent, —N(R9)—, or —N(R9) CH(R9)—; R9 is hydrogen, alkyl, cycloalkyl, or heteroalkyl; at least one of X and Y is present; and Wd is pyrazolopyrimidine or purine. In some embodiments, when X is present, Y is —N(R9)—, and Wd is purine, then Y is —NH—.
- In another aspect, for the compounds of Formula I, R3 is aryl, heteroaryl, H, CH3, CF3, Cl, or F; B is alkyl or a moiety of Formula II which is aryl, heteroaryl, heterocycloalkyl, or cycloalkyl, R1 is H, —F, —Cl, —CN, —CH3, isopropyl, —CF3, —OCH3, nitro, or phosphate; R2 is halo, hydroxy, cyano, nitro, or phosphate; q is 0, 1 or 2; R5, R6, R7, and R8 are H; X is absent or (CH(R9))z; z is an integer of 1, 2, 3, or 4; Y is absent, —N(R9)—, or —N(R9) CH(R9)—; R9 is hydrogen, methyl, or ethyl; at least one of X and Y is present; Wd is:
- R11 is amino; and R12 is H, alkyl, alkynyl, alkenyl, halo, aryl, heteroaryl, heterocycloalkyl, cycloalkyl, cyano, amino, carboxylic acid, aloxycarbonyl, or amido . In some embodiments, when X is present, Y is —N(R9)—, and Wd is purine, then Y is —NH—.
- In another aspect, for the compounds of Formula I, R3 is H, CH3, CF3, Cl, or F; B is alkyl or a moiety of Formula II which is aryl, heteroaryl, heterocycloalkyl, or cycloalkyl, R1 is H, —F, —Cl, —CN, —CH3, isopropyl, —CF3, —OCH3, nitro, or phosphate; R2 is halo, hydroxy, cyano, nitro, or phosphate; q is 0, 1 or 2; R5, R6, R7, and R8 are H; X is (CH(R9))z; z is an integer of 1; Y is absent-; R9 is hydrogen, methyl, or ethyl; Wd is:
- R11 is amino; and R12 is H, alkyl, alkynyl, alkenyl, halo, aryl, heteroaryl, heterocycloalkyl, cycloalkyl, cyano, amino, carboxylic acid, alkoxycarbonyl, or amido.
- In another aspect, for the compounds of Formula I, R3 is aryl, heteroaryl, H, CH3, CF3, Cl, or F; B is a moiety of Formula II which is aryl, heteroaryl, heterocycloalkyl, or cycloalkyl, R1 is H, —F, —Cl, —CN, —CH3, isopropyl, —CF3, —OCH3, nitro, or phosphate; R2 is halo, hydroxy, cyano, nitro, or phosphate; q is 0, 1 or 2; R5, R6, R7, and R8 are H; X is absent or (CH(R9))z; z is an integer of 1: Y is absent —N(R9)—, or —N(R9) CH(R9)—; R9 is hydrogen, methyl, or ethyl; at least one of X and Y is present, and Wd is:
- In some embodiments, when X is present, Y is —N(R9)—, and Wd is purine, then Y is —NH—.
- In another aspect, for the compounds of Formula I, R3 is aryl, heteroaryl, H, CH3, CF3, Cl, or F; B is a moiety of Formula II which is aryl, heteroaryl, heterocycloalkyl, or cycloalkyl, R1 is H, —F, —Cl, —CN, —CH3, isopropyl, —CF3, —OCH3, nitro, or phosphate; R2 is halo, hydroxy, cyano, nitro, or phosphate; q is 0, 1 or 2; R5, R6, R7, and R8 are H; X is absent; Y is—N(R9) CH(R9)—; R9 is hydrogen, methyl, or ethyl; and Wd is:
- In another aspect, for the compounds of Formula I, R3 is aryl, heteroaryl, H, CH3, CF3, Cl, or F; B is alkyl or a moiety of Formula II which is aryl, heteroaryl, heterocycloalkyl, or cycloalkyl, R1 is H, —F, —Cl, —CN, —CH3, isopropyl, —CF3, —OCH3, nitro, or phosphate; R2 is halo, hydroxy, cyano, nitro, or phosphate; q is 0, 1 or 2; R5, R6, R7, and R8 are H; X is absent or (CH(R9))z; z is an integer of 1, 2, 3, or 4; Y is absent, —N(R9)—, or —N(R9) CH(R9)—; R9 is hydrogen, methyl, or ethyl; at least one of X and Y is present; Wd is:
- Ra
′ is hydrogen, halo, or amino; and R12 is H, alkyl, alkynyl, alkenyl, halo, aryl, heteroaryl, heterocycloalkyl, cycloalkyl, cyano, amino, carboxylic acid, aloxycarbonyl, or amido . In some embodiments, when X is present, Y is —N(R9)—, and Wd is purine, then Y is —NH—. - Additional exemplary compounds of the present invention are disclosed having a sub-structure of Formula IV-A.
- Some illustrative compounds of the present invention having a structure of Formula IV-A include those in which R3 is —H, —Cl, —F, or —CH3 in combination with any B moiety described in Table 1, and any R12 as described in Table 2. A compound of Formula IV-A includes any combination of R3, B, and R12. Additional exemplary compounds of Formula IV-A are illustrated in Table 4.
-
TABLE 1 Illustrative B moieties of the compounds of Formula I. Sub- class # B B-1 B-2 B-3 —CH(CH3)2 B-4 B-5 B-6 B-7 B-8 B-9 B-10 B-11 B-12 B-13 B-14 B-15 B-16 B-17 B-18 B-19 B-20 B-21 B-22 B-23 B-24 B-25 B-26 B-27 B-28 B-29 B-30 B-31 B-32 B-33 B-34 B-35 B-36 B-37 B-38 B-39 B-40 B-41 B-42 B-43 B-44 B-45 B-46 B-47 B-48 B-49 B-50 B-51 B-52 B-53 B-54 B-55 B-56 B-57 B-58 B-59 B-60 B-61 B-62 B-63 B-64 B-65 B-66 B-67 B-68 B-69 B-70 B-71 B-72 B-73 B-74 B-75 B-76 B-77 B-78 B-79 B-80 B-81 B-82 B-83 B-84 B-85 B-86 B-87 —CH3 B-88 —CH2CH3 B-89 B-90 B-91 B-92 B-93 B-94 B-95 B-96 B-97 B-98 B-99 B-100 B-101 B-102 -
TABLE 2 Illustrative R12 of compounds of Formula I. Sub- class # R12 12-1 —CN 12-2 —Br 12-3 —Cl 12-4 —CH2CH3 12-5 —CH3 12-6 —CH(CH3)2 12-7 12-8 12-9 12-10 12-11 12-12 12-13 12-14 12-15 12-16 12-17 12-18 12-19 12-20 12-21 12-22 12-23 12-24 12-25 12-26 12-27 12-28 12-29 12-30 12-31 12-32 12-33 12-34 12-35 —H 12-36 12-37 12-38 12-39 12-40 12-41 12-42 12-43 12-44 12-45 12-46 12-47 12-48 12-49 12-50 12-51 12-52 12-53 12-54 12-55 12-56 12-57 12-58 12-59 12-60 12-61 —I 12-62 12-63 12-64 12-65 12-66 12-67 12-68 12-69 12-70 12-71 12-72 12-73 12-74 12-75 12-76 12-77 12-78 12-79 12-80 12-81 12-82 12-83 12-84 12-85 12-86 12-87 12-88 12-89 12-90 12-91 12-92 12-93 12-94 12-95 12-96 12-97 —F 12-98 12-99 12-100 12-101 12-102 - Other illustrative compounds of the present invention have a structure of Formula V-A, V-A1, or V-A2, wherein B is a moiety described in Table 1, in combination with R3, which is —H, —Cl, —F, or CH3,and R9 , which is —H, —CH3, or —CH2CH3. A compound of Formula V-A, V-A1, or V-A2 includes any combination of R3, B, and R9.
- Yet other illustrative compounds of the present invention have a structure of Formula V-B, wherein B is a moiety described in Table 1, in combination with R3, which is —H, —Cl, —F, or CH3,and R9 , which is —H, —CH3, or —CH2CH3. A compound of Formula V-B includes any combination of R3, B, and R9.
- Some other illustrative compounds of the present invention have a structure of Formula VI-A, wherein B is a moiety described in Table 1, in combination with R3, which is —H, —Cl, —F, or CH3,and R9 , which is —H, —CH3, or —CH2CH3. A compound of Formula VI-A includes any combination of R3, B, and R9.
- Further illustrative compounds of the invention have a structure of one of Formulae VII-A1, VII-A2, VIII-A1, VIII-A2, IX-A1, IX-A2, X-A1, X-A2, XI-A1, XI-A2, XII-A, XII-A1, XII-A2, XIII-A, XIII-A1, XIII-A2, XIV-A, XIV-A1, or XIV-A2: wherein B is a moiety described in Table 1, any R12 as described in Table 2, in combination with R3, which is —H, —Cl, —F, or CH3, R9 which is —H, —CH3, or —CH2CH3, and Ra
′ which is —H, —Cl, —F, or —NH2. A compound of Formulae VII-A1, VII-A2, VIII-A1, VIII-A2, IX-A1, IX-A2, X-A1, X-A2, XI-A1, XI-A2, XII-A, XII-A1, XII-A2, XIII-A, XIII-A1, XIII-A2, XIV-A, XIV-A1, or XIV-A2: includes any combination of Ra, R3, B, R9and R12. - Additional exemplary compounds of the present invention include but are not limited to the following:
- The chemical entities described herein can be synthesized according to one or more illustrative schemes herein and/ or techniques well known in the art.
- Unless specified to the contrary, the reactions described herein take place at atmospheric pressure, generally within a temperature range from −10° C. to 200° C. Further, except as otherwise specified, reaction times and conditions are intended to be approximate, e.g., taking place at about atmospheric pressure within a temperature range of about -10° C. to about 110° C. over a period of about 1 to about 24 hours; reactions left to run overnight average a period of about 16 hours.
- The terms “solvent,” “organic solvent,” and “inert solvent” each mean a solvent inert under the conditions of the reaction being described in conjunction therewith including, for example, benzene, toluene, acetonitrile, tetrahydrofuran (“THF”), dimethylformamide (“DMF”), chloroform, methylene chloride (or dichloromethane), diethyl ether, methanol, N-methylpyrrolidone (“NMP”), pyridine and the like. Unless specified to the contrary, the solvents used in the reactions described herein are inert organic solvents. Unless specified to the contrary, for each gram of the limiting reagent, one cc (or mL) of solvent constitutes a volume equivalent.
- Isolation and purification of the chemical entities and intermediates described herein can be effected, if desired, by any suitable separation or purification procedure such as, for example, filtration, extraction, crystallization, column chromatography, thin-layer chromatography or thick-layer chromatography, or a combination of these procedures. Specific illustrations of suitable separation and isolation procedures can be had by reference to the examples hereinbelow. However, other equivalent separation or isolation procedures can also be used.
- When desired, the (R)- and (S)-isomers of the compounds of the present invention, if present, may be resolved by methods known to those skilled in the art, for example by formation of diastereoisomeric salts or complexes which may be separated, for example, by crystallization; via formation of diastereoisomeric derivatives which may be separated, for example, by crystallization, gas-liquid or liquid chromatography; selective reaction of one enantiomer with an enantiomer-specific reagent, for example enzymatic oxidation or reduction, followed by separation of the modified and unmodified enantiomers; or gas-liquid or liquid chromatography in a chiral environment, for example on a chiral support, such as silica with a bound chiral ligand or in the presence of a chiral solvent. Alternatively, a specific enantiomer may be synthesized by asymmetric synthesis using optically active reagents, substrates, catalysts or solvents, or by converting one enantiomer to the other by asymmetric transformation.
- The compounds described herein can be optionally contacted with a pharmaceutically acceptable acid to form the corresponding acid addition salts.
- Many of the optionally substituted starting compounds and other reactants are commercially available, e.g., from Aldrich Chemical Company (Milwaukee, Wis.) or can be readily prepared by those skilled in the art using commonly employed synthetic methodology.
- The compounds of the invention can generally be synthesized by an appropriate combination of generally well known synthetic methods. Techniques useful in synthesizing these chemical entities are both readily apparent and accessible to those of skill in the relevant art, based on the instant disclosure.
- The compounds of the invention can be synthesized by an appropriate combination of known synthetic methods in the art. The discussion below is offered to illustrate certain of the diverse methods available for use in making the compounds of the invention and is not intended to limit the scope of reactions or reaction sequences that can be used in preparing the compounds of the present invention.
- Referring to
Scheme 1,Step 1, a compound of Formula 101, wherein X is N or CR7, is converted to a compound of Formula 103, for example, via a two step process of Heck coupling with a compound of Formula 102, followed by acid catalyzed cyclization in methanol. The product, a compound of Formula 103, is isolated. Referring toScheme 1,Step 2, a compound of Formula 103 is converted to a compound of Formula 404, for example, via reaction with an appropriately substituted aniline. The product, a compound of Formula 104, is isolated. Referring toScheme 1,Step 3, a compound of Formula 104 is converted to a compound of Formula 105, for example, though reduction with lithium aluminum hydride. The product, a compound of Formula 105, is isolated. Referring toScheme 1,Step 4, a compound of Formula 105 is converted to a compound of Formula 106, for example, via reaction with thionyl chloride. The product, a compound of Formula 106, is isolated. Referring toScheme 1,Step 5, a compound of Formula 106 is converted to a compound of Formula 107, for example, via alkylation with a pyrrazolopyrimidine using a base such as potassium carbonate. The product, a compound of Formula 107, is isolated. Referring toScheme 1,Step 6, a compound of Formula 107 is converted to a compound of Formula 108, for example, via a Suzuki reaction. The product, a compound of Formula 108, is isolated and optionally purified. - Referring to
Scheme 2,Step 1, a compound of Formula 201, wherein X is N or CR7, is converted to a compound of Formula 202, for example, with a reagent suitable for introduction of an acid chloride, for example, oxalyl chloride. The product, a compound of Formula 202, is optionally isolated. Referring toScheme 2,Step 2, a compound of Formula 202 is converted to a compound of Formula 503 for example, reaction with, for example, an an aryl amine . The product, a compound of Formula 203, is isolated. Referring toScheme 2,Step 3, a compound of Formula 203 is converted to a compound of Formula 204, for example, via a Stille coupling using an appropriate vinyl-stannane The product, a compound of Formula 204, is isolated. Referring toScheme 2,Step 4, a compound of Formula 204 is converted to a tertiary amide, a compoundof Formula 205, via reaction with chloroethyl acetate and sodium hydride base. The compound of Formula 205 is isolated. Referring toScheme 2,Step 5, a compound of Formula 205 is oxidized to an aldehyde, using, for example, osmonium tetraoxide and sodium periodinate. The product, a compound of Formula 206, is isolated. Referring toScheme 2,Step 6, a compound of Formula 206 is converted to a compound of Formula 104, for example, though aldol reaction in ethanol with a base, such as cesium carbonate. The product, a compound of Formula 104, is isolated. Referring toScheme 2,Step 7, a compound of Formula 104 is reduced to a primary alcohol via reduction with, for example, lithium aluminum hydride, to produce a compound of Formula 105, which is isolated. Referring toScheme 2,Step 8, a compound of Formula 105 is converted to a compound of Formula 207 via reaction with carbon tetrabromide and triphenylphosphine. The compound of Formula 207 is isolated. This compound can be a central intermediate in the synthesis of the compounds of the invention. - Referring to
Scheme 3, Step 9, a compound of Formula 207, wherein X is N or CR7, is synthesized as described inReaction Scheme 2 and is converted to a compound of Formula 107 via coupling with the compound of Formula 208 in the presence of base, for example, potassium t- butoxide. The compound of Formula 107 is isolated. Referring toScheme 3,Step 10, a compound of Formula 107 is converted to a compound of Formula 108 via coupling with, for example, an aryl boronic acid, in the presence of coupling catalysts and base, for example, palladium acetate, triphenylphosphine and sodium carbonate, for example. The compound of Formula 108 is isolated. - Referring to Reaction Scheme 4A, which illustrates synthesis of a general class of purinyl substituted isoquinolones,
Step 1, iodo ester 401, is reacted with an alkyne of Formula 400-A in the presence of a palladium catalyst, copper iodide and triethylamine (TEA) to couple the alkyne to the aryl core of compound 401 to produce a compound of Formula 402. The compound of Formula 402 is optionally isolated. Referring toReaction Scheme 4,Step 2, a compound of Formula 402 is treated with potassium hydroxide base to obtain the carboxylic acid, a compound of Formula 403, if the reaction product is acidified, or its salt. The compound of Formula 403 is optionally isolated. Referring toReaction Scheme 4,Step 3, a compound of Formula 403 is treated with bis (acetonitrile)dichoropalladium (II) and TEA to effect intramolecular ring closure to produce a compound of Formula 404. The compound of Formula 404 is isolated. Referring toReaction Scheme 4,Step 4, a compound of Formula 404 is reacted with a primary amine to produce a compound of Formula 405. The compound of Formula 405 is optionally isolated. Referring toReaction Scheme 4,Step 5, a compound of Formula 405 is treated with hydrochoric acid, removing the protecting group on nitrogen, and to obtain a compound of Formula 406. The compound of Formula 406 is optionally isolated. Referring toReaction Scheme 4,Step 6, a compound of Formula 406 is reacted with a compound of Formula 407, to produce a compound of Formula 408. The compound of Formula 408 is isolated. - In Reaction Scheme 4B, the synthesis of one subset of purinyl substituted isoquinolones, wherein R9 is methyl and Ra is hydrogen, is illustrated using the synthetic transformations described for Reaction Scheme 4A.
- Referring to
Reaction Scheme 5,Step 1, iodo ester 401 is reacted with alkyne 501 in the presence of palladium coupling catalyst, copper iodide, and TEA, to obtain a compound of Formula 502. The compound of Formula 502 is optionally isolated. Referring toReaction Scheme 5,Step 2, the compound of Formula 502 is treated with potassium hydroxide base to obtain the carboxylate or free acid of a compound of Formula 503. Referring toReaction Scheme 5,Step 3, the compound of Formula 503 is treated with bis (acetonitrile)dichoropalladium (II) and TEA to effect intramolecular ring closure to produce a compound of Formula 504. The compound of Formula 504 is optionally isolated. Referring toReaction Scheme 5,Step 4, the compound of Formula 504 is treated with a primary amine to produce a compound of Formula 505. The compound of Formula 505 is isolated. - Referring to Reaction Scheme 6A, which illustrates synthesis of a general class of purinyl substituted isoquinolones,
Step 1, iodo ester 401 is reacted with alkyne 601 in the presence of palladium coupling catalyst, copper iodide, and TEA, to obtain a compound of Formula 602. The compound of Formula 602 is optionally isolated. Referring toReaction Scheme 6,Step 2, the compound of Formula 602 is treated with potassium hydroxide base to obtain the carboxylate or free acid of a compound of Formula 603. Referring toReaction Scheme 6,Step 3, the compound of Formula 603 is treated with bis (acetonitrile)dichloropalladium (II) and TEA to effect intramolecular ring closure to produce a compound of Formula 604. The compound of Formula 604 is optionally isolated. Referring toReaction Scheme 6,Step 4, the compound of Formula 604 is treated with a primary amine to produce a compound of Formula 605. The compound of Formula 605 is isolated. Referring toReaction Scheme 6,Step 5, the compound of Formula 605 is treated with acid to remove the THP protecting group to obtain a compound of Formula 606. The compound of Formula 606 is isolated. - In Reaction Scheme 6B, the synthesis of purinyl substituted isoquinolones, wherein R9 is methyl and Ra is hydrogen, is illustrated using the synthetic transformations described for Reaction Scheme 6A.
- Referring to Reaction Scheme 7A, which illustrates the synthesis of purinyl or pyrazolopyrimidinyl substituted isoquinoliones comprising an alkyl amine subsituent at the position represented by B in Formula I,
Step 1 the compound of Formula 701 is synthesized by a variety of synthetic routes, including variations of 1 or 2 where, for example, a benzyl amine is used in the step of converting a compound of Formula 103 to a compound of Formula 104. The benzyl protecting group of the amine may be removed by standard deprotection chemistry to produce a compound of 701. Another example of a conversion of a compound of Formula 103 to a compoound of Formula 701, treatment of the compound of Formula 103 with ammonia produces the compound of Formula 701. The compound of Formula 701 is converted to a compound of Formula 702 by alkylation of the amide nitrogen with a number of 2-carbon containing synthons which can be deprotected, oxidized and reprotected as the respective ketal, the compound of Formula 702. Referring toSchemes Reaction Scheme 7, Step 2-1, the compound of Formula 702 is transformed by, for example, reductive amination of the ester moiety to introduce the purinyl moiety of a compound of Formula 703, or alternatively, is alkylated to so introduce a purinyl moiety and obtain a compound of Formula 703. Referring toReaction Scheme 7, Step 3-1, the compound of Formula 703 is treated with acid to remove the ketal protecting group to produce a compound of Formula 704. The compound of Formula 704 is isolated. Referring toReaction Scheme 7, Step 4-1, the compound of Formula 704 is reductively aminated with an amine to produce a compound of Formula 705. The compound of Formula 705 is isolated. Referring toReaction Scheme 7, Step 2-2, the compound of Formula 702 is transformed by, 7 and 8 ofsteps Scheme 2 and step 9 ofScheme 3 to introduce the pyrazolopyrimidine moiety of a compound of Formula 706. The compound of Formula 706 is isolated. Referring toReaction Scheme 7, Step 3-2, the compound of Formula 706 is treated with acid to remove the ketal protecting group to produce a compound of Formula 707. The compound of Formula 707 is isolated. - Referring to
Reaction Scheme 7, Step 4-2, the compound of Formula 707 is reductively aminated with an amine to produce a compound of Formula 708. The compound of Formula 708 is isolated. - In Reaction Scheme 7B, the synthesis of compounds wherein R9 is methyl and Ra is hydrogen is illustrated, using the steps described in Scheme 7A.
- Referring to
Reaction Scheme 8,Step 1, the compound of Formula 701 is synthesized as described inScheme 7 or any other generally known chemistry. The compound of Formula 701 is tranformed by alkylation of the amide nitrogen with a number of 2-carbon containing synthons which can be deprotected, and converted to the alkoxy protected species as shown in the compond of Formula 801, which can be isolated. Referring toReaction Scheme 8,Step 2, the compound of Formula 801 is converted via chemistry described in Step 2-1 ofScheme 7 to introduce a purinyl moiety, and that resultant compound is transformed by deprotection, activation and amination with an amine to produce a compound of Formula 802, which is isolated. - Referring to
Reaction Scheme 8,Step 3, the compound of Formula 801 is converted via chemistry described in Step 2-2 ofScheme 7 to introduce a pyrazolopyrimidine moiety, and that resultant compound is transformed by deprotection, activation and amination with an amine to produce a compound of Formula 803, which is isolated. - Referring to Reaction Scheme 9,
Step 1, the compound of Formula 901 is treated with an amine to produce a compound of Formula 902. The compound of Formula 902 is isolated. Referring to Reaction Scheme 9,Step 2, the compound of Formula 902 is treated with phosphorus oxychloride to generate a compound of Formula 903. The compound of Formula 903 is isolated. Referring to Reaction Scheme 9,Step 3, the compound of Formula 903 is reacted with an amino purine of Formula 904 to obtain a compound of Formula 905. The compound of Formula 905 is isolated. Referring to Reaction Scheme 9,Step 4, the compound of Formula 905 is treated with hydrochloric acid to remove the protecting group at nitrogen on the purine moiety to produce a compound of Formula 906. The compound of 906 is isolated. - Referring to
Reaction Scheme 10,Step 1, the compound of Formula 1001 is treated with vinylogous ester 1002 using, for example a Heck reaction with subsequent cyclization, to produce a compound of Formula 1003. The compound of Formula 1003 is isolated. Referring toReaction Scheme 10,Step 2, the compound of Formula 1003 is reacted with 4- amino N-Boc piperidine to produce a compound of Formula 1004. The compound of Formula 1004 is isolated. The compound of Formula 1004 can be used as an intermediate in the synthesis of the compounds of the invention. - Referring to Reaction Scheme 11,
Step 1, the compound of Formula 1101 is treated with an alkynyl alcohol, for example, of Formula 1102, in the presence of copper iodide and palladium on carbon catalyst, to produce a compound of Formula 1103. The compound of Formula 1103 is isolated. Referring to Reaction Scheme 11,Step 1, the compound of Formula 1102 is reacted with 4-amino N-Boc piperidine to produce a compound of Formula 1103. The compound of Formula 1103 is isolated. The compound of Formula 1103 can be used as an intermediate in the synthesis of the compounds of the invention. - Another approach to synthesis of compounds of Formula I is illustrated in
Scheme 12. Referring toStep 1, the compound of Formula 1201 is treated with a chlorinating agent such as oxalyl chloride to produce an acid chloride of Formula 1202. InStep 2, the compound of Formula 1202 is reacted with a compound of Formula R′NH2 in the presence of a base such as triethylamine, to produce a compound of Formula 1203. InStep 3, the compound of Formula 1203 is treated with n-butyllithium and then reacted with an dialkyl oxalate such as diethyl oxalate to produce a compound of Formula 1204. InStep 4, the compound of Formula 1204 is refluxed in an acidic solution, for example, hydrochloric acid in methanol to produce a compound of Formula 1205. InStep 5, the compound of Formula 1205 is treated with a reducing agent such as lithium aluminum hydride to produce a compound of Formula 1206. InStep 6, the compound of Formula 1206 is reacted with a brominating agent such as phosphorus tribromide, in the presence of dimethylformamide in acetonitrile to produce a bromo compound of Formula 1207. InStep 7, the compound of Formula 1207 is reacted with a heteroaryl compound, for example 3-iodo 1H-pyrazolo[3,4-d]pyrimidin-4-amine, in the presence of a base such as potasssium tert-butoxide in dimethylformamide to produce a compound of Formula 1208. - In Scheme 13, an approach is described for synthesizing compounds of Formula I having a XY linker wherein X is predominately or solely (S)—C(CH3)H— and Y is —NH—. Wd is a monocyclic or bicyclic heteroaryl, including but not limited to purinyl, pyrimidinyl, pyrrolopyrimidinyl, or pyrazolopyrimidinyl. Referring to
Step 1 of Scheme 13, the compound of Formula 1301, (the S-isomer) is coupled to N, O-dimethylhydroxylamine using hydroxybenzotriazole (HOBt) and 1-ethyl-3-(3′-dimethylaminopropyl)carbodiimide (EDCI) in the presence of triethylamine to produce a compound of Formula 1302. InStep 2, a compound of Formula 1203, which may be synthesized as described inScheme 12, is deprotonated with n-butyllithium in THF and hexamethylphosphommide at −78° C. under an argon atmosphere. The compound of Formula 1302 is added and the reaction mixture is allowed to warm to −50° C., quenched with the addition of water and a compound of Formula 1303 is isolated. InStep 3 the compound of Formula 1303 is treated with hydrochloric acid in methanol at reflux, and then the reaction mixture is basified with the addition of sodium carbonate solution to a pH of about 7- about 8, to produce a compound of Formula 1304. The compound of formula 1304 may be partly epimerized as a result of the preceding reaction steps. Highly enantiopure 1304 may be isolated by preparing the tartaric acid salt by dissolving the compound of Formula 1304 in methanol and adding D-tartaric acid. The resulting reaction mixture is refluxed for one hour, then stirred at room temperature for 16 hours, and permits isolation of the salt of the compound of Formula 1304 wherein the enantiomeric purity is greater than 90% of the (S)- isomer. The free amine of the compound of Formula 1304 is regenerated before its use in the next synthesis step. The compound of Formula 1304, which is substantially the (S)-enantiomer is coupled to a chloro substituted heteroaryl Wd, a compound of Formula 1305, including but not limited to 6-chloro-9(tetrahydro-2H-pyran-2-yl)-9H-purine, 2, 4, 5,-trichloropyrimidine, 4-chloro -7H-pyrrolo [2, 3-d] primidine, and 4-chloro-1H-pyrazolo[3,4-d]pyrimidine in the presence of base such as diisopropylethylamine or ammonia, to produce a compound of Formula 1306, and where the compound of Formula 1306 is the (S)-isomer. - Synthesis of R3—halo analogs, e.g. chloro substituted isoquinolone analogs. The same reaction scheme 13 applies to the generation of a compound having the formula:
- wherein R3 is chloro.
- Compounds disclosed herein can be synthesized using the reaction schemes as disclosed herein, variants thereof, or other synthetic methods known in the art.
- In some embodiments, the compounds of the present invention exhibits one or more functional characteristics disclosed herein. For example, one or more subject compounds bind specifically to a PI3 kinase. In some embodiments, the IC50 of a subject compound for p110α, p110β, p110γ, or p110δ is less than about 1 uM, less than about 100 nM, less than about 50 nM, less than about 10 nM, less than about 1 nM, less than about 0.5 nM, less than about 100pM, or less than about 50 pM.
- In some embodiments, one or more of the subject compounds may selectively inhibit one or more members of type I or class I phosphatidylinositol 3-kinases (PI3-kinase) with an IC50 value of about 100 nM, 50 nM, 10 nM, 5 nM, 100 pM, 10 pM or 1 pM, or less as measured in an in vitro kinase assay.
- Additionally, a compound of Formula having an (S)-isomeric configuration with respect to carbon X may exhibit greater potency against one or more target PI3-kinases than the corresponding compound having an (R)-isomeric configuration with respect to carbon X. For example, the compound of Formula I having an (S)-isomeric configuration with respect to carbon X may have a PI3-kinase IC50 value which is 1, 2, 3, or 4 orders of magnitude lower than the PI3-kinase IC50 value of the corresponding compound having an (R)-configuration.
- In some embodiments, one or more of the subject compound may selectively inhibit one or two members of type I or class I phosphatidylinositol 3-kinases (PI3-kinase) consisting of PI3-kinase α, PI3-kinase PI3-kinase γ, and PI3-kinase δ. In some aspects, some of the subject compounds selectively inhibit PI3-kinase δ as compared to all other type I PI3-kinases. In other aspects, some of the subject compounds selectively inhibit PI3-kinase δ and PI3-kinase γ as compared to the rest of the type I PI3-kinases. In yet other aspects, some of the subject compounds selectively inhibit PI3-kinase α and PI3-kinase β as compared to the rest of the type I PI3-kinases. In still yet some other aspects, some of the subject compounds selectively inhibit PI3-kinase δ and PI3-kinase α as compared to the rest of the type I PI3-kinases. In still yet some other aspects, some of the subject compounds selectively inhibit PI3-kinase δ and PI3-kinase β as compared to the rest of the type I PI3-kinases, or selectively inhibit PI3-kinase δ and PI3-kinase α as compared to the rest of the type I PI3-kinases, or selectively inhibit PI3-kinase α and PI3-kinase γ as compared to the rest of the type I PI3-kinases, or selectively inhibit PI3-kinase γ and PI3-kinase β as compared to the rest of the type I PI3-kinases.
- In yet another aspect, an inhibitor that selectively inhibits one or more members of type I PI3-kinases, or an inhibitor that selectively inhibits one or more type I PI3-kinase mediated signaling pathways, alternatively can be understood to refer to a compound that exhibits a 50% inhibitory concentration (IC50) with respect to a given type I PI3-kinase, that is at least at least 10-fold, at least 20-fold, at least 50-fold, at least 100-fold, at least 1000-fold, at least 10,100-fold, or lower, than the inhibitor's IC50 with respect to the rest of the other type I PI3-kinases.
- The invention provides pharmaceutical compositions comprising one or more compounds of the present invention.
- In some embodiments, the invention provides pharmaceutical compositions for treating diseases or conditions related to an undesirable, over-active, harmful or deleterious immune response in a mammal. Such undesirable immune response can be associated with or result in, e.g., asthma, emphysema, bronchitis, psoriasis, allergy, anaphylaxsis, auto-immune diseases, rhuematoid arthritis, graft versus host disease, and lupus erythematosus. The pharmaceutical compositions of the present invention can be used to treat other respiratory diseases including but not limited to diseases affecting the lobes of lung, pleural cavity, bronchial tubes, trachea, upper respiratory tract, or the nerves and muscle for breathing.
- In some embodiments, the invention provides pharmaceutical compositions for the treatment of disorders such as hyperproliferative disorder including but not limited to cancer such as acute myeloid leukemia, thymus, brain, lung, squamous cell, skin, eye, retinoblastoma, intraocular melanoma, oral cavity and oropharyngeal, bladder, gastric, stomach, pancreatic, bladder, breast, cervical, head, neck, renal, kidney, liver, ovarian, prostate, colorectal, esophageal, testicular, gynecological, thyroid, CNS, PNS, AIDS related AIDS-Related (e.g. Lymphoma and Kaposi's Sarcoma) or Viral-Induced cancer. In some embodiments, said pharmaceutical composition is for the treatment of a non-cancerous hyperproliferative disorder such as benign hyperplasia of the skin (e. g., psoriasis), restenosis, or prostate (e. g., benign prostatic hypertrophy (BPH)).
- The invention also provides compositions for the treatment of liver diseases (including diabetes), pancreatitis or kidney disease (including proliferative glomerulonephritis and diabetes-induced renal disease) or pain in a mammal.
- The invention further provides a composition for the prevention of blastocyte implantation in a mammal.
- The invention also relates to a composition for treating a disease related to vasculogenesis or angiogenesis in a mammal which can manifest as tumor angiogenesis, chronic inflammatory disease such as rheumatoid arthritis, inflammatory bowel disease, atherosclerosis, skin diseases such as psoriasis, eczema, and scleroderma, diabetes, diabetic retinopathy, retinopathy of prematurity, age-related macular degeneration, hemangioma, glioma, melanoma, Kaposi's sarcoma and ovarian, breast, lung, pancreatic, prostate, colon and epidermoid cancer.
- The subject pharmaceutical compositions are typically formulated to provide a therapeutically effective amount of a compound of the present invention as the active ingredient, or a pharmaceutically acceptable salt, ester, prodrug, solvate, hydrate or derivative thereof. Where desired, the pharmaceutical compositions contain pharmaceutically acceptable salt and/or coordination complex thereof, and one or more pharmaceutically acceptable excipients, carriers, including inert solid diluents and fillers, diluents, including sterile aqueous solution and various organic solvents, permeation enhancers, solubilizers and adjuvants.
- The subject pharmaceutical compositions can be administered alone or in combination with one or more other agents, which are also typically administered in the form of pharmaceutical compositions. Where desired, the subject compounds and other agent(s) may be mixed into a preparation or both components may be formulated into separate preparations to use them in combination separately or at the same time.
- In some embodiments, the concentration of one or more of the compounds provided in the pharmaceutical compositions of the present invention is less than 100%, 90%, 80%, 70%, 60%, 50%, 40%, 30%, 20%, 19%, 18%, 17%, 16%, 15%,14%, 13%, 12%, 11%, 10%, 9%, 8%, 7%, 6%, 5%, 4%, 3%, 2%, 1%, 0.5%, 0.4%, 0.3%, 0.2%, 0.1%, 0.09%, 0.08%, 0.07%, 0.06%, 0.05%, 0.04%, 0.03%, 0.02%, 0.01%, 0.009%, 0.008%, 0.007%, 0.006%, 0.005%, 0.004%, 0.003%, 0.002%, 0.001%, 0.0009%, 0.0008%, 0.0007%, 0.0006%, 0.0005%, 0.0004%, 0.0003%, 0.0002%, or 0.0001% w/w, w/v or v/v.
- In some embodiments, the concentration of one or more of the compounds of the present invention is greater than 90%, 80%, 70%, 60%, 50%, 40%, 30%, 20%, 19.75%, 19.50%, 19.25% 19%, 18.75%, 18.50%, 18.25% 18%, 17.75%, 17.50%, 17.25% 17%, 16.75%, 16.50%, 16.25% 16%, 15.75%, 15.50%, 15.25% 15%, 14.75%, 14.50%, 14.25% 14%, 13.75%, 13.50%, 13.25% 13%, 12.75%, 12.50%, 12.25% 12%, 11.75%, 11.50%, 11.25% 11%, 10.75%, 10.50%, 10.25% 10%, 9.75%, 9.50%, 9.25% 9%, 8.75%, 8.50%, 8.25% 8%, 7.75%, 7.50%, 7.25% 7%, 6.75%, 6.50%, 6.25% 6%, 5.75%, 5.50%, 5.25% 5%, 4.75%, 4.50%, 4.25%, 4%, 3.75%, 3.50%, 3.25%, 3%, 2.75%, 2.50%, 2.25%, 2%, 1.75%, 1.50%, 125%, 1%, 0.5%, 0.4%, 0.3%, 0.2%, 0.1%, 0.09%, 0.08%, 0.07%, 0.06%, 0.05%, 0.04%, 0.03%, 0.02%, 0.01%, 0.009%, 0.008%, 0.007%, 0.006%, 0.005%, 0.004%, 0.003%, 0.002%, 0.001%, 0.0009%, 0.0008%, 0.0007%, 0.0006%, 0.0005%, 0.0004%, 0.0003%, 0.0002%, or 0.0001% w/w, w/v, or v/v.
- In some embodiments, the concentration of one or more of the compounds of the present invention is in the range from approximately 0.0001% to approximately 50%, approximately 0.001% to approximately 40%, approximately 0.01% to approximately 30%, approximately 0.02% to approximately 29%, approximately 0.03% to approximately 28%, approximately 0.04% to approximately 27%, approximately 0.05% to approximately 26%, approximately 0.06% to approximately 25%, approximately 0.07% to approximately 24%, approximately 0.08% to approximately 23%, approximately 0.09% to approximately 22%, approximately 0.1% to approximately 21%, approximately 0.2% to approximately 20%, approximately 0.3% to approximately 19%, approximately 0.4% to approximately 18%, approximately 0.5% to approximately 17%, approximately 0.6% to approximately 16%, approximately 0.7% to approximately 15%, approximately 0.8% to approximately 14%, approximately 0.9% to approximately 12%, approximately 1% to approximately 10% w/w, w/v or v/v. v/v.
- In some embodiments, the concentration of one or more of the compounds of the present invention is in the range from approximately 0.001% to approximately 10%, approximately 0.01% to approximately 5%, approximately 0.02% to approximately 4.5%, approximately 0.03% to approximately 4%, approximately 0.04% to approximately 3.5%, approximately 0.05% to approximately 3%, approximately 0.06% to approximately 2.5%, approximately 0.07% to approximately 2%, approximately 0.08% to approximately 1.5%, approximately 0.09% to approximately 1%, approximately 0.1% to approximately 0.9% w/w, w/v or v/v.
- In some embodiments, the amount of one or more of the compounds of the present invention is equal to or less than 10 g, 9.5 g, 9.0 g, 8.5 g, 8.0 g, 7.5 g, 7.0 g, 6.5 g, 6.0 g, 5.5 g, 5.0 g, 4.5 g, 4.0 g, 3.5 g, 3.0 g, 2.5 g, 2.0 g, 1.5 g, 1.0 g, 0.95 g, 0.9 g, 0.85 g, 0.8 g, 0.75 g, 0.7 g, 0.65 g, 0.6 g, 0.55 g, 0.5 g, 0.45 g, 0.4 g, 0.35 g, 0.3 g, 0.25 g, 0.2 g, 0.15 g, 0.1 g, 0.09 g, 0.08 g, 0.07 g, 0.06 g, 0.05 g, 0.04 g, 0.03 g, 0.02 g, 0.01 g, 0.009 g, 0.008 g, 0.007 g, 0.006 g, 0.005 g, 0.004 g, 0.003 g, 0.002 g, 0.001 g, 0.0009 g, 0.0008 g, 0.0007 g, 0.0006 g, 0.0005 g, 0.0004 g, 0.0003 g, 0.0002 g, or 0.0001 g.
- In some embodiments, the amount of one or more of the compounds of the present invention is more than 0.0001 g, 0.0002 g, 0.0003 g, 0.0004 g, 0.0005 g, 0.0006 g, 0.0007 g, 0.0008 g, 0.0009 g, 0.001 g, 0.0015 g, 0.002 g, 0.0025 g, 0.003 g, 0.0035 g, 0.004 g, 0.0045 g, 0.005 g, 0.0055 g, 0.006 g, 0.0065 g, 0.007 g, 0.0075 g, 0.008 g, 0.0085 g, 0.009 g, 0.0095 g, 0.01 g, 0.015 g, 0.02 g, 0.025 g, 0.03 g, 0.035 g, 0.04 g, 0.045 g, 0.05 g, 0.055 g, 0.06 g, 0.065 g, 0.07 g, 0.075 g, 0.08 g, 0.085 g, 0.09 g, 0.095 g, 0.1 g, 0.15 g, 0.2 g, 0.25 g, 0.3 g, 0.35 g, 0.4 g, 0.45 g, 0.5 g, 0.55 g, 0.6 g, 0.65 g, 0.7 g, 0.75 g, 0.8 g, 0.85 g, 0.9 g, 0.95 g, 1 g, 1.5 g, 2 g, 2.5, 3 g, 3.5, 4 g, 4.5 g, 5 g, 5.5 g, 6 g, 6.5 g, 7 g, 7.5 g, 8 g, 8.5 g, 9 g, 9.5 g, or 10 g.
- In some embodiments, the amount of one or more of the compounds of the present invention is in the range of 0.0001-10 g, 0.0005-9 g, 0.001-8 g, 0.005-7 g, 0.01-6 g, 0.05-5 g, 0.1-4 g, 0.5-4 g, or 1-3 g.
- The compounds according to the invention are effective over a wide dosage range. For example, in the treatment of adult humans, dosages from 0.01 to 1000 mg, from 0.5 to 100 mg, from 1 to 50 mg per day, and from 5 to 40 mg per day are examples of dosages that may be used. An exemplary dosage is 10 to 30 mg per day. The exact dosage will depend upon the route of administration, the form in which the compound is administered, the subject to be treated, the body weight of the subject to be treated, and the preference and experience of the attending physician.
- Described below are non-limiting exemplary pharmaceutical compositions and methods for preparing the same.
- Pharmaceutical compositions for oral administration In some embodiments, the invention provides a pharmaceutical composition for oral administration containing a compound of the present invention, and a pharmaceutical excipient suitable for oral administration.
- In some embodiments, the invention provides a solid pharmaceutical composition for oral administration containing: (i) an effective amount of a compound of the present invention; optionally (ii) an effective amount of a second agent; and (iii) a pharmaceutical excipient suitable for oral administration. In some embodiments, the composition further contains. (iv) an effective amount of a third agent.
- In some embodiments, the pharmaceutical composition may be a liquid pharmaceutical composition suitable for oral consumption. Pharmaceutical compositions of the invention suitable for oral administration can be presented as discrete dosage forms, such as capsules, cachets, or tablets, or liquids or aerosol sprays each containing a predetermined amount of an active ingredient as a powder or in granules, a solution, or a suspension in an aqueous or non-aqueous liquid, an oil-in-water emulsion, or a water-in-oil liquid emulsion. Such dosage forms can be prepared by any of the methods of pharmacy, but all methods include the step of bringing the active ingredient into association with the carrier, which constitutes one or more necessary ingredients. In general, the compositions are prepared by uniformly and intimately admixing the active ingredient with liquid carriers or finely divided solid carriers or both, and then, if necessary, shaping the product into the desired presentation. For example, a tablet can be prepared by compression or molding, optionally with one or more accessory ingredients. Compressed tablets can be prepared by compressing in a suitable machine the active ingredient in a free-flowing form such as powder or granules, optionally mixed with an excipient such as, but not limited to, a binder, a lubricant, an inert diluent, and/or a surface active or dispersing agent. Molded tablets can be made by molding in a suitable machine a mixture of the powdered compound moistened with an inert liquid diluent.
- This invention further encompasses anhydrous pharmaceutical compositions and dosage forms comprising an active ingredient, since water can facilitate the degradation of some compounds. For example, water may be added (e.g., 5%) in the pharmaceutical arts as a means of simulating long-term storage in order to determine characteristics such as shelf-life or the stability of formulations over time. Anhydrous pharmaceutical compositions and dosage forms of the invention can be prepared using anhydrous or low moisture containing ingredients and low moisture or low humidity conditions. Pharmaceutical compositions and dosage forms of the invention which contain lactose can be made anhydrous if substantial contact with moisture and/or humidity during manufacturing, packaging, and/or storage is expected. An anhydrous pharmaceutical composition may be prepared and stored such that its anhydrous nature is maintained. Accordingly, anhydrous compositions may be packaged using materials known to prevent exposure to water such that they can be included in suitable formulary kits. Examples of suitable packaging include, but are not limited to, hermetically sealed foils, plastic or the like, unit dose containers, blister packs, and strip packs.
- An active ingredient can be combined in an intimate admixture with a pharmaceutical carrier according to conventional pharmaceutical compounding techniques. The carrier can take a wide variety of forms depending on the form of preparation desired for administration. In preparing the compositions for an oral dosage form, any of the usual pharmaceutical media can be employed as carriers, such as, for example, water, glycols, oils, alcohols, flavoring agents, preservatives, coloring agents, and the like in the case of oral liquid preparations (such as suspensions, solutions, and elixirs) or aerosols; or carriers such as starches, sugars, micro-crystalline cellulose, diluents, granulating agents, lubricants, binders, and disintegrating agents can be used in the case of oral solid preparations, in some embodiments without employing the use of lactose. For example, suitable carriers include powders, capsules, and tablets, with the solid oral preparations. If desired, tablets can be coated by standard aqueous or nonaqueous techniques.
- Binders suitable for use in pharmaceutical compositions and dosage forms include, but are not limited to, corn starch, potato starch, or other starches, gelatin, natural and synthetic gums such as acacia, sodium alginate, alginic acid, other alginates, powdered tragacanth, guar gum, cellulose and its derivatives (e.g., ethyl cellulose, cellulose acetate, carboxymethyl cellulose calcium, sodium carboxymethyl cellulose), polyvinyl pyrrolidone, methyl cellulose, pre-gelatinized starch, hydroxypropyl methyl cellulose, microcrystalline cellulose, and mixtures thereof.
- Examples of suitable fillers for use in the pharmaceutical compositions and dosage forms disclosed herein include, but are not limited to, talc, calcium carbonate (e.g., granules or powder), microcrystalline cellulose, powdered cellulose, dextrates, kaolin, mannitol, silicic acid, sorbitol, starch, pre-gelatinized starch, and mixtures thereof.
- Disintegrants may be used in the compositions of the invention to provide tablets that disintegrate when exposed to an aqueous environment. Too much of a disintegrant may produce tablets which may disintegrate in the bottle. Too little may be insufficient for disintegration to occur and may thus alter the rate and extent of release of the active ingredient(s) from the dosage form. Thus, a sufficient amount of disintegrant that is neither too little nor too much to detrimentally alter the release of the active ingredient(s) may be used to form the dosage forms of the compounds disclosed herein. The amount of disintegrant used may vary based upon the type of formulation and mode of administration, and may be readily discernible to those of ordinary skill in the art. About 0.5 to about 15 weight percent of disintegrant, or about 1 to about 5 weight percent of disintegrant, may be used in the pharmaceutical composition. Disintegrants that can be used to form pharmaceutical compositions and dosage forms of the invention include, but are not limited to, agar-agar, alginic acid, calcium carbonate, microcrystalline cellulose, croscarmellose sodium, crospovidone, polacrilin potassium, sodium starch glycolate, potato or tapioca starch, other starches, pre-gelatinized starch, other starches, clays, other algins, other celluloses, gums or mixtures thereof.
- Lubricants which can be used to form pharmaceutical compositions and dosage forms of the invention include, but are not limited to, calcium stearate, magnesium stearate, mineral oil, light mineral oil, glycerin, sorbitol, mannitol, polyethylene glycol, other glycols, stearic acid, sodium lauryl sulfate, talc, hydrogenated vegetable oil (e.g., peanut oil, cottonseed oil, sunflower oil, sesame oil, olive oil, corn oil, and soybean oil), zinc stearate, ethyl oleate, ethylaureate, agar, or mixtures thereof. Additional lubricants include, for example, a syloid silica gel, a coagulated aerosol of synthetic silica, or mixtures thereof A lubricant can optionally be added, in an amount of less than about 1 weight percent of the pharmaceutical composition.
- When aqueous suspensions and/or elixirs are desired for oral administration, the essential active ingredient therein may be combined with various sweetening or flavoring agents, coloring matter or dyes and, if so desired, emulsifying and/or suspending agents, together with such diluents as water, ethanol, propylene glycol, glycerin and various combinations thereof.
- The tablets can be uncoated or coated by known techniques to delay disintegration and absorption in the gastrointestinal tract and thereby provide a sustained action over a longer period. For example, a time delay material such as glyceryl monostearate or glyceryl distearate can be employed. Formulations for oral use can also be presented as hard gelatin capsules wherein the active ingredient is mixed with an inert solid diluent, for example, calcium carbonate, calcium phosphate or kaolin, or as soft gelatin capsules wherein the active ingredient is mixed with water or an oil medium, for example, peanut oil, liquid paraffin or olive oil.
- Surfactant which can be used to form pharmaceutical compositions and dosage forms of the invention include, but are not limited to, hydrophilic surfactants, lipophilic surfactants, and mixtures thereof. That is, a mixture of hydrophilic surfactants may be employed, a mixture of lipophilic surfactants may be employed, or a mixture of at least one hydrophilic surfactant and at least one lipophilic surfactant may be employed.
- A suitable hydrophilic surfactant may generally have an HLB value of at least 10, while suitable lipophilic surfactants may generally have an HLB value of or less than about 10. An empirical parameter used to characterize the relative hydrophilicity and hydrophobicity of non-ionic amphiphilic compounds is the hydrophilic-lipophilic balance (“HLB” value). Surfactants with lower HLB values are more lipophilic or hydrophobic, and have greater solubility in oils, while surfactants with higher HLB values are more hydrophilic, and have greater solubility in aqueous solutions. Hydrophilic surfactants are generally considered to be those compounds having an HLB value greater than about 10, as well as anionic, cationic, or zwitterionic compounds for which the HLB scale is not generally applicable. Similarly, lipophilic (i.e., hydrophobic) surfactants are compounds having an HLB value equal to or less than about 10. However, HLB value of a surfactant is merely a rough guide generally used to enable formulation of industrial, pharmaceutical and cosmetic emulsions.
- Hydrophilic surfactants may be either ionic or non-ionic. Suitable ionic surfactants include, but are not limited to, alkylammonium salts; fusidic acid salts; fatty acid derivatives of amino acids, oligopeptides, and polypeptides; glyceride derivatives of amino acids, oligopeptides, and polypeptides; lecithins and hydrogenated lecithins; lysolecithins and hydrogenated lysolecithins; phospholipids and derivatives thereof; lysophospholipids and derivatives thereof; carnitine fatty acid ester salts; salts of alkylsulfates; fatty acid salts; sodium docusate; acylactylates; mono- and di-acetylated tartaric acid esters of mono- and di-glycerides; succinylated mono- and di-glycerides; citric acid esters of mono- and di-glycerides; and mixtures thereof.
- Within the aforementioned group, ionic surfactants include, by way of example: lecithins, lysolecithin, phospholipids, lysophospholipids and derivatives thereof; carnitine fatty acid ester salts; salts of alkylsulfates; fatty acid salts; sodium docusate; acylactylates; mono- and di-acetylated tartaric acid esters of mono- and di-glycerides; succinylated mono- and di-glycerides; citric acid esters of mono- and di-glycerides; and mixtures thereof.
- Ionic surfactants may be the ionized forms of lecithin, lysolecithin, phosphatidylcholine, phosphatidylethanolamine, phosphatidylglycerol, phosphatidic acid, phosphatidylserine, lysophosphatidylcholine, lysophosphatidylethanolamine, lysophosphatidylglycerol, lysophosphatidic acid, lysophosphatidylserine, PEG-phosphatidylethanolamine, PVP-phosphatidylethanolamine, lactylic esters of fatty acids, stearoyl-2-lactylate, stearoyl lactylate, succinylated monoglycerides, mono/diacetylated tartaric acid esters of mono/diglycerides, citric acid esters of mono/diglycerides, cholylsarcosine, caproate, caprylate, caprate, laurate, myristate, palmitate, oleate, ricinoleate, linoleate, linolenate, stearate, lauryl sulfate, teracecyl sulfate, docusate, lauroyl carnitines, palmitoyl carnitines, myristoyl carnitines, and salts and mixtures thereof.
- Hydrophilic non-ionic surfactants may include, but not limited to, alkylglucosides; alkylmaltosides; alkylthioglucosides; lamylmacrogolglycerides; polyoxyalkylene alkyl ethers such as polyethylene glycol alkyl ethers; polyoxyalkylene alkylphenols such as polyethylene glycol alkyl phenols; polyoxyalkylene alkyl phenol fatty acid esters such as polyethylene glycol fatty acids monoesters and polyethylene glycol fatty acids diesters; polyethylene glycol glycerol fatty acid esters; polyglycerol fatty acid esters; polyoxyalkylene sorbitan fatty acid esters such as polyethylene glycol sorbitan fatty acid esters; hydrophilic transesterification products of a polyol with at least one member of the group consisting of glycerides, vegetable oils, hydrogenated vegetable oils, fatty acids, and sterols; polyoxyethylene sterols, derivatives, and analogues thereof; polyoxyethylated vitamins and derivatives thereof; polyoxyethylene-polyoxypropylene block copolymers; and mixtures thereof; polyethylene glycol sorbitan fatty acid esters and hydrophilic transesterification products of a polyol with at least one member of the group consisting of triglycerides, vegetable oils, and hydrogenated vegetable oils. The polyol may be glycerol, ethylene glycol, polyethylene glycol, sorbitol, propylene glycol, pentaerythritol, or a saccharide.
- Other hydrophilic-non-ionic surfactants include, without limitation, PEG-10 laurate, PEG-12 laurate, PEG-20 laurate, PEG-32 laurate, PEG-32 dilaurate, PEG-12 oleate, PEG-15 oleate, PEG-20 oleate, PEG-20 dioleate, PEG-32 oleate, PEG-200 oleate, PEG-400 oleate, PEG-15 stearate, PEG-32 distearate, PEG-40 stearate, PEG-100 stearate, PEG-20 dilaurate, PEG-25 glyceryl trioleate, PEG-32 dioleate, PEG-20 glyceryl laurate, PEG-30 glyceryl laurate, PEG-20 glyceryl stearate, PEG-20 glyceryl oleate, PEG-30 glyceryl oleate, PEG-30 glyceryl laurate, PEG-40 glyceryl laurate, PEG-40 palm kernel oil, PEG-50 hydrogenated castor oil, PEG-40 castor oil, PEG-35 castor oil, PEG-60 castor oil, PEG-40 hydrogenated castor oil, PEG-60 hydrogenated castor oil, PEG-60 corn oil, PEG-6 caprate/caprylate glycerides, PEG-8 caprate/caprylate glycerides, polyglyceryl-10 laurate, PEG-30 cholesterol, PEG-25 phyto sterol, PEG-30 soya sterol, PEG-20 trioleate, PEG-40 sorbitan oleate, PEG-80 sorbitan laurate, polysorbate 20, polysorbate 80, POE-9 lauryl ether, POE-23 lauryl ether, POE-10 oleyl ether, POE-20 oleyl ether, POE-20 stearyl ether, tocopheryl PEG-100 succinate, PEG-24 cholesterol, polyglyceryl-10oleate, Tween 40, Tween 60, sucrose monostearate, sucrose monolaurate, sucrose monopalmitate, PEG 10-100 nonyl phenol series, PEG 15-100 octyl phenol series, and poloxamers.
- Suitable lipophilic surfactants include, by way of example only: fatty alcohols; glycerol fatty acid esters; acetylated glycerol fatty acid esters; lower alcohol fatty acids esters; propylene glycol fatty acid esters; sorbitan fatty acid esters; polyethylene glycol sorbitan fatty acid esters; sterols and sterol derivatives; polyoxyethylated sterols and sterol derivatives; polyethylene glycol alkyl ethers; sugar esters; sugar ethers; lactic acid derivatives of mono- and di-glycerides; hydrophobic transesterification products of a polyol with at least one member of the group consisting of glycerides, vegetable oils, hydrogenated vegetable oils, fatty acids and sterols; oil-soluble vitamins/vitamin derivatives; and mixtures thereof. Within this group, preferred lipophilic surfactants include glycerol fatty acid esters, propylene glycol fatty acid esters, and mixtures thereof, or are hydrophobic transesterification products of a polyol with at least one member of the group consisting of vegetable oils, hydrogenated vegetable oils, and triglycerides.
- In one embodiment, the composition may include a solubilizer to ensure good solubilization and/or dissolution of the compound of the present invention and to minimize precipitation of the compound of the present invention. This can be especially important for compositions for non-oral use, e.g., compositions for injection. A solubilizer may also be added to increase the solubility of the hydrophilic drug and/or other components, such as surfactants, or to maintain the composition as a stable or homogeneous solution or dispersion.
- Examples of suitable solubilizers include, but are not limited to, the following: alcohols and polyols, such as ethanol, isopropanol, butanol, benzyl alcohol, ethylene glycol, propylene glycol, butanediols and isomers thereof, glycerol, pentaerythritol, sorbitol, mannitol, transcutol, dimethyl isosorbide, polyethylene glycol, polypropylene glycol, polyvinylalcohol, hydroxypropyl methylcellulose and other cellulose derivatives, cyclodextrins and cyclodextrin derivatives; ethers of polyethylene glycols having an average molecular weight of about 200 to about 6000, such as tetrahydrofurfuryl alcohol PEG ether (glycofurol) or methoxy PEG; amides and other nitrogen-containing compounds such as 2-pyrrolidone, 2-piperidone, .epsilon.-caprolactam, N-alkylpyrrolidone, N-hydroxyalkylpyrrolidone, N-alkylpiperidone, N-alkylcaprolactam, dimethylacetamide and polyvinylpyrrolidone; esters such as ethyl propionate, tributylcitrate, acetyl triethylcitrate, acetyl tributyl citrate, triethylcitrate, ethyl oleate, ethyl caprylate, ethyl butyrate, triacetin, propylene glycol monoacetate, propylene glycol diacetate, ε-caprolactone and isomers thereof, δ-valerolactone and isomers thereof, β-butyrolactone and isomers thereof; and other solubilizers known in the art, such as dimethyl acetamide, dimethyl isosorbide, N-methyl pyrrolidones, monooctanoin, diethylene glycol monoethyl ether, and water.
- Mixtures of solubilizers may also be used. Examples include, but not limited to, triacetin, triethylcitrate, ethyl oleate, ethyl caprylate, dimethylacetamide, N-methylpyrrolidone, N-hydroxyethylpyrrolidone, polyvinylpyrrolidone, hydroxypropyl methylcellulose, hydroxypropyl cyclodextrins, ethanol, polyethylene glycol 200-100, glycofurol, transcutol, propylene glycol, and dimethyl isosorbide. Particularly preferred solubilizers include sorbitol, glycerol, triacetin, ethyl alcohol, PEG-400, glycofurol and propylene glycol.
- The amount of solubilizer that can be included is not particularly limited. The amount of a given solubilizer may be limited to a bioacceptable amount, which may be readily determined by one of skill in the art. In some circumstances, it may be advantageous to include amounts of solubilizers far in excess of bioacceptable amounts, for example to maximize the concentration of the drug, with excess solubilizer removed prior to providing the composition to a patient using conventional techniques, such as distillation or evaporation. Thus, if present, the solubilizer can be in a weight ratio of 10%, 25%, 50%, 100%, or up to about 200% by weight, based on the combined weight of the drug, and other excipients. If desired, very small amounts of solubilizer may also be used, such as 5%, 2%, 1% or even less. Typically, the solubilizer may be present in an amount of about 1% to about 100%, more typically about 5% to about 25% by weight.
- The composition can further include one or more pharmaceutically acceptable additives and excipients. Such additives and excipients include, without limitation, detackifiers, anti-foaming agents, buffering agents, polymers, antioxidants, preservatives, chelating agents, viscomodulators, tonicifiers, flavorants, colorants, odorants, opacifiers, suspending agents, binders, fillers, plasticizers, lubricants, and mixtures thereof.
- In addition, an acid or a base may be incorporated into the composition to facilitate processing, to enhance stability, or for other reasons. Examples of pharmaceutically acceptable bases include amino acids, amino acid esters, ammonium hydroxide, potassium hydroxide, sodium hydroxide, sodium hydrogen carbonate, aluminum hydroxide, calcium carbonate, magnesium hydroxide, magnesium aluminum silicate, synthetic aluminum silicate, synthetic hydrocalcite, magnesium aluminum hydroxide, diisopropylethylamine, ethanolamine, ethylenediamine, triethanolamine, triethylamine, triisopropanolamine, trimethylamine, tris(hydroxymethyl)aminomethane (TRIS) and the like. Also suitable are bases that are salts of a pharmaceutically acceptable acid, such as acetic acid, acrylic acid, adipic acid, alginic acid, alkanesulfonic acid, amino acids, ascorbic acid, benzoic acid, boric acid, butyric acid, carbonic acid, citric acid, fatty acids, formic acid, fumaric acid, gluconic acid, hydroquinosulfonic acid, isoascorbic acid, lactic acid, maleic acid, oxalic acid, para-bromophenylsulfonic acid, propionic acid, p-toluenesulfonic acid, salicylic acid, stearic acid, succinic acid, tannic acid, tartaric acid, thioglycolic acid, toluenesulfonic acid, uric acid, and the like. Salts of polyprotic acids, such as sodium phosphate, disodium hydrogen phosphate, and sodium dihydrogen phosphate can also be used. When the base is a salt, the cation can be any convenient and pharmaceutically acceptable cation, such as ammonium, alkali metals, alkaline earth metals, and the like. Example may include, but not limited to, sodium, potassium, lithium, magnesium, calcium and ammonium.
- Suitable acids are pharmaceutically acceptable organic or inorganic acids. Examples of suitable inorganic acids include hydrochloric acid, hydrobromic acid, hydriodic acid, sulfuric acid, nitric acid, boric acid, phosphoric acid, and the like. Examples of suitable organic acids include acetic acid, acrylic acid, adipic acid, alginic acid, alkanesulfonic acids, amino acids, ascorbic acid, benzoic acid, boric acid, butyric acid, carbonic acid, citric acid, fatty acids, formic acid, fumaric acid, gluconic acid, hydroquinosulfonic acid, isoascorbic acid, lactic acid, maleic acid, methanesulfonic acid, oxalic acid, para-bromophenylsulfonic acid, propionic acid, p-toluenesulfonic acid, salicylic acid, stearic acid, succinic acid, tannic acid, tartaric acid, thioglycolic acid, toluenesulfonic acid, uric acid and the like.
- Pharmaceutical compositions for injection. In some embodiments, the invention provides a pharmaceutical composition for injection containing a compound of the present invention and a pharmaceutical excipient suitable for injection. Components and amounts of agents in the compositions are as described herein.
- The forms in which the novel compositions of the present invention may be incorporated for administration by injection include aqueous or oil suspensions, or emulsions, with sesame oil, corn oil, cottonseed oil, or peanut oil, as well as elixirs, mannitol, dextrose, or a sterile aqueous solution, and similar pharmaceutical vehicles.
- Aqueous solutions in saline are also conventionally used for injection. Ethanol, glycerol, propylene glycol, liquid polyethylene glycol, and the like (and suitable mixtures thereof), cyclodextrin derivatives, and vegetable oils may also be employed. The proper fluidity can be maintained, for example, by the use of a coating, such as lecithin, for the maintenance of the required particle size in the case of dispersion and by the use of surfactants. The prevention of the action of microorganisms can be brought about by various antibacterial and antifungal agents, for example, parabens, chlorobutanol, phenol, sorbic acid, thimerosal, and the like.
- Sterile injectable solutions are prepared by incorporating the compound of the present invention in the required amount in the appropriate solvent with various other ingredients as enumerated above, as required, followed by filtered sterilization. Generally, dispersions are prepared by incorporating the various sterilized active ingredients into a sterile vehicle which contains the basic dispersion medium and the required other ingredients from those enumerated above. In the case of sterile powders for the preparation of sterile injectable solutions, certain desirable methods of preparation are vacuum-drying and freeze-drying techniques which yield a powder of the active ingredient plus any additional desired ingredient from a previously sterile-filtered solution thereof.
- Pharmaceutical compositions for topical (e.g., transdermal) delivery. In some embodiments, the invention provides a pharmaceutical composition for transdermal delivery containing a compound of the present invention and a pharmaceutical excipient suitable for transdermal delivery.
- Compositions of the present invention can be formulated into preparations in solid, semi-solid, or liquid forms suitable for local or topical administration, such as gels, water soluble jellies, creams, lotions, suspensions, foams, powders, slurries, ointments, solutions, oils, pastes, suppositories, sprays, emulsions, saline solutions, dimethylsulfoxide (DMSO)-based solutions. In general, carriers with higher densities are capable of providing an area with a prolonged exposure to the active ingredients. In contrast, a solution formulation may provide more immediate exposure of the active ingredient to the chosen area.
- The pharmaceutical compositions also may comprise suitable solid or gel phase carriers or excipients, which are compounds that allow increased penetration of, or assist in the delivery of, therapeutic molecules across the stratum corneum permeability barrier of the skin. There are many of these penetration-enhancing molecules known to those trained in the art of topical formulation. Examples of such carriers and excipients include, but are not limited to, humectants (e.g., urea), glycols (e.g., propylene glycol), alcohols (e.g., ethanol), fatty acids (e.g., oleic acid), surfactants (e.g., isopropyl myristate and sodium lauryl sulfate), pyrrolidones, glycerol monolaurate, sulfoxides, terpenes (e.g., menthol), amines, amides, alkanes, alkanols, water, calcium carbonate, calcium phosphate, various sugars, starches, cellulose derivatives, gelatin, and polymers such as polyethylene glycols.
- Another exemplary formulation for use in the methods of the present invention employs transdermal delivery devices (“patches”). Such transdermal patches may be used to provide continuous or discontinuous infusion of a compound of the present invention in controlled amounts, either with or without another agent.
- The construction and use of transdermal patches for the delivery of pharmaceutical agents is well known in the art. See, e.g., U.S. Pat. Nos. 5,023,252, 4,992,445 and U.S. Pat. No. 5,001,139. Such patches may be constructed for continuous, pulsatile, or on demand delivery of pharmaceutical agents.
- Pharmaceutical compositions for inhalation. Compositions for inhalation or insufflation include solutions and suspensions in pharmaceutically acceptable, aqueous or organic solvents, or mixtures thereof, and powders. The liquid or solid compositions may contain suitable pharmaceutically acceptable excipients as described supra. Preferably the compositions are administered by the oral or nasal respiratory route for local or systemic effect. Compositions in preferably pharmaceutically acceptable solvents may be nebulized by use of inert gases. Nebulized solutions may be inhaled directly from the nebulizing device or the nebulizing device may be attached to a face mask tent, or intermittent positive pressure breathing machine. Solution, suspension, or powder compositions may be administered, preferably orally or nasally, from devices that deliver the formulation in an appropriate manner.
- Other pharmaceutical compositions. Pharmaceutical compositions may also be prepared from compositions described herein and one or more pharmaceutically acceptable excipients suitable for sublingual, buccal, rectal, intraosseous, intraocular, intranasal, epidural, or intraspinal administration. Preparations for such pharmaceutical compositions are well-known in the art. See, e.g., See, e.g., Anderson, Philip O.; Knoben, James E.; Troutman, William G, eds., Handbook of Clinical Drug Data, Tenth Edition, McGraw-Hill, 2002; Pratt and Taylor, eds., Principles of Drug Action, Third Edition, Churchill Livingston, N.Y., 1990; Katzung, ed., Basic and Clinical Pharmacology, Ninth Edition, McGraw Hill, 20037ybg; Goodman and Gilman, eds., The Pharmacological Basis of Therapeutics, Tenth Edition, McGraw Hill, 2001; Remingtons Pharmaceutical Sciences, 20th Ed., Lippincott Williams & Wilkins , 2000; Martindale, The Extra Pharmacopoeia, Thirty-Second Edition (The Pharmaceutical Press, London, 1999); all of which are incorporated by reference herein in their entirety.
- Administration of the compounds or pharmaceutical composition of the present invention can be effected by any method that enables delivery of the compounds to the site of action. These methods include oral routes, intraduodenal routes, parenteral injection (including intravenous, intraarterial, subcutaneous, intramuscular, intravascular, intraperitoneal or infusion), topical (e.g. transdermal application), rectal administration, via local delivery by catheter or stent or through inhalation. Compounds can also abe administered intraadiposally or intrathecally.
- The amount of the compound administered will be dependent on the mammal being treated, the severity of the disorder or condition, the rate of administration, the disposition of the compound and the discretion of the prescribing physician. However, an effective dosage is in the range of about 0.001 to about 100 mg per kg body weight per day, preferably about 1 to about 35 mg/kg/day, in single or divided doses. For a 70 kg human, this would amount to about 0.05 to 7 g/day, preferably about 0.05 to about 2.5 g/day. In some instances, dosage levels below the lower limit of the aforesaid range may be more than adequate, while in other cases still larger doses may be employed without causing any harmful side effect, e.g. bydividing such larger doses into several small doses for administration throughout the day.
- In some embodiments, a compound of the invention is administered in a single dose. Typically, such administration will be by injection, e.g., intravenous injection, in order to introduce the agent quickly. However, other routes may be used as appropriate. A single dose of a compound of the invention may also be used for treatment of an acute condition.
- In some embodiments, a compound of the invention is administered in multiple doses. Dosing may be about once, twice, three times, four times, five times, six times, or more than six times per day. Dosing may be about once a month, once every two weeks, once a week, or once every other day. In another embodiment a compound of the invention and another agent are administered together about once per day to about 6 times per day. In another embodiment the administration of a compound of the invention and an agent continues for less than about 7 days. In yet another embodiment the administration continues for more than about 6, 10, 14, 28 days, two months, six months, or one year. In some cases, continuous dosing is achieved and maintained as long as necessary.
- Administration of the agents of the invention may continue as long as necessary. In some embodiments, an agent of the invention is administered for more than 1, 2, 3, 4, 5, 6, 7, 14, or 28 days. In some embodiments, an agent of the invention is administered for less than 28, 14, 7, 6, 5, 4, 3, 2, or 1 day. In some embodiments, an agent of the invention is administered chronically on an ongoing basis, e.g., for the treatment of chronic effects.
- An effective amount of a compound of the invention may be administered in either single or multiple doses by any of the accepted modes of administration of agents having similar utilities, including rectal, buccal, intranasal and transdermal routes, by intra-arterial injection, intravenously, intraperitoneally, parenterally, intramuscularly, subcutaneously, orally, topically, or as an inhalant.
- The compositions of the invention may also be delivered via an impregnated or coated device such as a stent, for example, or an artery-inserted cylindrical polymer. Such a method of administration may, for example, aid in the prevention or amelioration of restenosis following procedures such as balloon angioplasty. Without being bound by theory, compounds of the invention may slow or inhibit the migration and proliferation of smooth muscle cells in the arterial wall which contribute to restenosis. A compound of the invention may be administered, for example, by local delivery from the struts of a stent, from a stent graft, from grafts, or from the cover or sheath of a stent. In some embodiments, a compound of the invention is admixed with a matrix. Such a matrix may be a polymeric matrix, and may serve to bond the compound to the stent. Polymeric matrices suitable for such use, include, for eample, lactone-based polyesters or copolyesters such as polylactide, polycaprolactonglycolide, polyorthoesters, polyanhydrides, polyaminoacids, polysaccharides, polyphosphazenes, poly (ether-ester) copolymers (e.g. PEO-PLLA); polydimethylsiloxane, poly(ethylene-vinylacetate), acrylate-based polymers or copolymers (e.g. polyhydroxyethyl methylmethacrylate, polyvinyl pyrrolidinone), fluorinated polymers such as polytetrafluoroethylene and cellulose esters. Suitable matrices may be nondegrading or may degrade with time, releasing the compound or compounds. Compounds of the invention may be applied to the surface of the stent by various methods such as dip/spin coating, spray coating, dip-coating, and/or brush-coating. The compounds may be applied in a solvent and the solvent may be allowed to evaporate, thus forming a layer of compound onto the stent. Alternatively, the compound may be located in the body of the stent or graft, for example in microchannels or micropores. When implanted, the compound diffuses out of the body of the stent to contact the arterial wall. Such stents may be prepared by dipping a stent manufactured to contain such micropores or microchannels into a solution of the compound of the invention in a suitable solvent, followed by evaporation of the solvent. Excess drug on the surface of the stent may be removed via an additional brief solvent wash. In yet other embodiments, compounds of the invention may be covalently linked to a stent or graft. A covalent linker may be used which degrades in vivo, leading to the release of the compound of the invention. Any bio-labile linkage may be used for such a purpose, such as ester, amide or anhydride linkages. Compounds of the invention may additionally be administered intravascularly from a balloon used during angioplasty. Extravascular administration of the compounds via the pericard or via advential application of formulations of the invention may also be performed to decrease restenosis.
- A variety of stent devices which may be used as described are disclosed, for example, in the following references, all of which are hereby incorporated by reference: U.S. Pat. No. 5,451,233; U.S. Pat. No. 5,040,548; U.S. Pat. No. 5,061,273; U.S. Pat. No. 5,496,346; U.S. Pat. No. 5,292,331; U.S. Pat. No. 5,674,278; U.S. Pat. No. 3,657,744; U.S. Pat. No. 4,739,762; U.S. Pat. No. 5,195,984; U.S. Pat. No. 5,292,331; U.S. Pat. No. 5,674,278; U.S. Pat. No. 5,879,382; U.S. Pat. No. 6,344,053.
- The compounds of the invention may be administered in dosages. It is known in the art that due to intersubject variability in compound pharmacokinetics, individualization of dosing regimen is necessary for optimal therapy. Dosing for a compound of the invention may be found by routine experimentation in light of the instant disclosure.
- When a compound of the invention, is administered in a composition that comprises one or more agents, and the agent has a shorter half-life than the compound of the invention unit dose forms of the agent and the compound of the invention may be adjusted accordingly.
- The subject pharmaceutical composition may, for example, be in a form suitable for oral administration as a tablet, capsule, pill, powder, sustained release formulations, solution, suspension, for parenteral injection as a sterile solution, suspension or emulsion, for topical administration as an ointment or cream or for rectal administration as a suppository. The pharmaceutical composition may be in unit dosage forms suitable for single administration of precise dosages. The pharmaceutical composition will include a conventional pharmaceutical carrier or excipient and a compound according to the invention as an active ingredient. In addition, it may include other medicinal or pharmaceutical agents, carriers, adjuvants, etc.
- Exemplary parenteral administration forms include solutions or suspensions of active compound in sterile aqueous solutions, for example, aqueous propylene glycol or dextrose solutions. Such dosage forms can be suitably buffered, if desired.
- The activity of the compounds of the present invention may be determined by the following procedure, as well as the procedure described in the examples below. The activity of the kinase is assessed by measuring the incorporation of γ-33P-phosphate from γ-33P-ATP onto N-terminal His tagged substrate, which is expressed in E. coli and is purified by conventional methods, in the presence of the kinase. The assay is carried out in 96-well polypropylene plate. The incubation mixture (100, μL) comprises of 25 mM Hepes, pH 7.4, 10 mM MgCl2, 5 mM β-glycerolphosphate, 100 μM Na-orthovanadate, 5 mM DTT, 5 nM kinase, and 1 μM substrate. Inhibitors are suspended in DMSO, and all reactions, including controls are performed at a final concentration of 1% DMSO. Reactions are initiated by the addition of 10 μM ATP (with 0.5 μCi γ-33P- ATP/well) and incubated at ambient temperature for 45 minutes. Equal volume of 25% TCA is added to stop the reaction and precipitate the proteins. Precipitated proteins are trapped onto glass fiber B filterplates, and excess labeled ATP washed off using a Tomtec MACH III harvestor. Plates are allowed to air-dry prior to adding 30 μL/well of Packard Microscint 20, and plates are counted using a Packard TopCount.
- The invention also provides kits. The kits include a compound or compounds of the present invention as described herein, in suitable packaging, and written material that can include instructions for use, discussion of clinical studies, listing of side effects, and the like. Such kits may also include information, such as scientific literature references, package insert materials, clinical trial results, and/or summaries of these and the like, which indicate or establish the activities and/or advantages of the composition, and/or which describe dosing, administration, side effects, drug interactions, or other information useful to the health care provider. Such information may be based on the results of various studies, for example, studies using experimental animals involving in vivo models and studies based on human clinical trials. The kit may further contain another agent. In some embodiments, the compound of the present invention and the agent are provided as separate compositions in separate containers within the kit. In some embodiments, the compound of the present invention and the agent are provided as a single composition within a container in the kit. Suitable packaging and additional articles for use (e.g., measuring cup for liquid preparations, foil wrapping to minimize exposure to air, and the like) are known in the art and may be included in the kit. Kits described herein can be provided, marketed and/or promoted to health providers, including physicians, nurses, pharmacists, formulary officials, and the like. Kits may also, in some embodiments, be marketed directly to the consumer.
- The invention also provides methods of using the compounds or pharmaceutical compositions of the present invention to treat disease conditions, including but not limited to diseases associated with malfunctioning of one or more types of PI3 kinase. A detailed description of conditions and disorders mediated by p110δ kinase activity is set forth in Sadu et al., WO 01/81346, which is incorporated herein by reference in its entirety for all purposes.
- The treatment methods provided herein comprise administering to the subject a therapeutically effective amount of a compound of the invention. In one embodiment, the present invention provides a method of treating an inflammation disorder, including autoimmune diseases in a mammal. The method comprises administering to said mammal a therapeutically effective amount of a compound of the present invention, or a pharmaceutically acceptable salt, ester, prodrug, solvate, hydrate or derivative thereof. Examples of autoimmune diseases includes but is not limited to acute disseminated encephalomyelitis (ADEM), Addison's disease, antiphospholipid antibody syndrome (APS), aplastic anemia, autoimmune hepatitis, coeliac disease, Crohn's disease, Diabetes mellitus (type 1), Goodpasture's syndrome, Graves' disease, Guillain-Barré syndrome (GBS), Hashimoto's disease, lupus erythematosus, multiple sclerosis, myasthenia gravis, opsoclonus myoclonus syndrome (OMS), optic neuritis, Ord's thyroiditis, oemphigus, polyarthritis, primary biliary cirrhosis, psoriasis, rheumatoid arthritis, Reiter's syndrome, Takayasu's arteritis, temporal arteritis (also known as “giant cell arteritis”), warm autoimmune hemolytic anemia, Wegener's granulomatosis, alopecia universalis, Chagas' disease, chronic fatigue syndrome, dysautonomia, endometriosis, hidradenitis suppurativa, interstitial cystitis, neuromyotonia, sarcoidosis, scleroderma, ulcerative colitis, vitiligo, and vulvodynia. Other disorders include bone-resorption disorders and thromobsis.
- In some embodiments, the method of treating inflammatory or autoimmune diseases comprises administering to a subject (e.g. a mammal) a therapeutically effective amount of one or more compounds of the present invention that selectively inhibit PI3K-δ and/or PI3K-γ as compared to all other type I PI3 kinases. Such selective inhibition of PI3K-δ and/or PI3K-γ may be advantageous for treating any of the diseases or conditions described herein. For example, selective inhibition of PI3K-δ may inhibit inflammatory responses associated with inflammatory diseases, autoimmune disease, or diseases related to an undesirable immune response including but not limited to asthma, emphysema, allergy, dermatitis, rhuematoid arthritis, psoriasis, lupus erythematosus, or graft versus host disease. Selective inhibition of PI3K-δ may further provide for a reduction in the inflammatory or undesirable immune response without a concomittant reduction in the ability to reduce a bacterial, viral, and/or fungal infection. Selective inhibition of both PI3K-δ and PI3K-γ may be advantageous for inhibiting the inflammatory response in the subject to a greater degree than that would be provided for by inhibitors that selectively inhibit PI3K -δ or PI3K-γ alone. In one aspect, one or more of the subject methods are effective in reducing antigen specific antibody production in vivo by about 2-fold, 3-fold, 4-fold, 5-fold, 7.5-fold, 10-fold, 25-fold, 50-fold, 100-fold, 250-fold, 500-fold, 750-fold, or about 1000-fold or more. In another aspect, one or more of the subject methods are effective in reducing antigen specific IgG3 and/or IgGM production in vivo by about 2-fold, 3-fold, 4-fold, 5-fold, 7.5-fold, 10-fold, 25-fold, 50-fold, 100-fold, 250-fold, 500-fold, 750-fold, or about 1000-fold or more.
- In one aspect, one of more of the subject methods are effective in ameliorating symptoms assoicated with rhuematoid arthritis including but not limited to a reduction in the swelling of joints, a reduction in serum anti-collagen levels, and/or a reduction in joint pathology such as bone resorption, cartilage damage, pannus, and/or inflammation. In another aspect, the subject methods are effective in reducing ankle inflammation by at least about 2%, 5%, 10%, 15%, 20%, 25%, 30%, 50%, 60%, or about 75% to 90%. In another aspect, the subject methods are effective in reducing knee inflammation by at least about 2%, 5%, 10%, 15%, 20%, 25%, 30%, 50%, 60%, or about 75% to 90% or more. In still another aspect, the subject methods are effective in reducing serum anti-type II collagen levels by at least about 10%, 12%, 15%, 20%, 24%, 25%, 30%, 35%, 50%, 60%, 75%, 80%, 86%, 87%, or about 90% or more. In another aspect, the subject methods are effective in reducing ankle histopathology scores by about 5%, 10%, 15%, 20%, 25%, 30%, 40%, 50%, 60%, 75%, 80%, 90% or more. In still another aspect, the subject methods are effective in reducing knee histopathology scores by about 5%, 10%, 15%, 20%, 25%, 30%, 40%, 50%, 60%, 75%, 80%, 90% or more.
- In other embodiments, the present invention provides methods of using the compounds or pharmaceutical compositions to treat respiratory diseases including but not limited to diseases affecting the lobes of lung, pleural cavity, bronchial tubes, trachea, upper respiratory tract, or the nerves and muscle for breathing. For example, methods are provided to treat obstructive pulmonary disease. Chronic obstructive pulmonary disease (COPD) is an umbrella term for a group of respiratory tract diseases that are characterized by airflow obstruction or limitation Conditions included in this umbrella term are: chronic bronchitis, emphysema, and bronchiectasis.
- In another embodiment, the compounds described herein are used for the treatment of asthma. Also, the compounds or pharmaceutical compositions described herein may be used for the treatment of endotoxemia and sepsis. In one embodiment, the compounds or pharmaceutical compositions described herein are used to for the treatment of rheumatoid arthritis (RA). In yet another embodiment, the compounds or pharmaceutical compositions described herein is used for the treatment of contact or atopic dermatitis. Contact dermatitis includes irritant dermatitis, phototoxic dermatitis, allergic dermatitis, photoallergic dermatitis, contact urticaria, systemic contact-type dermatitis and the like. Irritant dermatitis can occur when too much of a substance is used on the skin of when the skin is sensitive to certain substance. Atopic dermatitis, sometimes called eczema, is a kind of dermatitis, an atopic skin disease.
- The invention also relates to a method of treating a hyperproliferative disorder in a mammal that comprises administering to said mammal a therapeutically effective amount of a compound of the present invention, or a pharmaceutically acceptable salt, ester, prodrug, solvate, hydrate or derivative thereof. In some embodiments, said method relates to the treatment of cancer such as acute myeloid leukemia, thymus, brain, lung, squamous cell, skin, eye, retinoblastoma, intraocular melanoma, oral cavity and oropharyngeal, bladder, gastric, stomach, pancreatic, bladder, breast, cervical, head, neck, renal, kidney, liver, ovarian, prostate, colorectal, esophageal, testicular, gynecological, thyroid, CNS, PNS, AIDS-related (e.g. Lymphoma and Kaposi's Sarcoma) or viral-induced cancer. In some embodiments, said method relates to the treatment of a non-cancerous hyperproliferative disorder such as benign hyperplasia of the skin (e.g., psoriasis), restenosis, or prostate (e.g., benign prostatic hypertrophy (BPH)).
- The invention also relates to a method of treating diseases related to vasculogenesis or angiogenesis in a mammal that comprises administering to said mammal a therapeutically effective amount of a compound of the present invention, or a pharmaceutically acceptable salt, ester, prodrug, solvate, hydrate or derivative thereof. In some embodiments, said method is for treating a disease selected from the group consisting of tumor angiogenesis, chronic inflammatory disease such as rheumatoid arthritis, atherosclerosis, inflammatory bowel disease, skin diseases such as psoriasis, eczema, and scleroderma, diabetes, diabetic retinopathy, retinopathy of prematurity, age-related macular degeneration, hemangioma, glioma, melanoma, Kaposi's sarcoma and ovarian, breast, lung, pancreatic, prostate, colon and epidermoid cancer.
- Patients that can be treated with compounds of the present invention, or pharmaceutically acceptable salt, ester, prodrug, solvate, hydrate or derivative of said compounds, according to the methods of this invention include, for example, patients that have been diagnosed as having psoriasis; restenosis; atherosclerosis; BPH; breast cancer such as a ductal carcinoma in duct tissue in a mammary gland, medullary carcinomas, colloid carcinomas, tubular carcinomas, and inflammatory breast cancer; ovarian cancer, including epithelial ovarian tumors such as adenocarcinoma in the ovary and an adenocarcinoma that has migrated from the ovary into the abdominal cavity; uterine cancer; cervical cancer such as adenocarcinoma in the cervix epithelial including squamous cell carcinoma and adenocarcinomas; prostate cancer, such as a prostate cancer selected from the following: an adenocarcinoma or an adenocarinoma that has migrated to the bone; pancreatic cancer such as epitheliod carcinoma in the pancreatic duct tissue and an adenocarcinoma in a pancreatic duct; bladder cancer such as a transitional cell carcinoma in urinary bladder, urothelial carcinomas (transitional cell carcinomas), tumors in the urothelial cells that line the bladder, squamous cell carcinomas, adenocarcinomas, and small cell cancers; leukemia such as acute myeloid leukemia (AML), acute lymphocytic leukemia, chronic lymphocytic leukemia, chronic myeloid leukemia, hairy cell leukemia, myelodysplasia, myeloproliferative disorders, acute myelogenous leukemia (AML), chronic myelogenous leukemia (CML), mastocytosis, chronic lymphocytic leukemia (CLL), multiple myeloma (MM), and myelodysplastic syndrome (MDS); bone cancer; lung cancer such as non-small cell lung cancer (NSCLC), which is divided into squamous cell carcinomas, adenocarcinomas, and large cell undifferentiated carcinomas, and small cell lung cancer; skin cancer such as basal cell carcinoma, melanoma, squamous cell carcinoma and actinic keratosis, which is a skin condition that sometimes develops into squamous cell carcinoma; eye retinoblastoma; cutaneous or intraocular (eye) melanoma; primary liver cancer (cancer that begins in the liver); kidney cancer; thyroid cancer such as papillary, follicular, medullary and anaplastic; AIDS-related lymphoma such as diffuse large B-cell lymphoma, B-cell immunoblastic lymphoma and small non-cleaved cell lymphoma; Kaposi's Sarcoma; viral-induced cancers including hepatitis B virus (HBV), hepatitis C virus (HCV), and hepatocellular carcinoma; human lymphotropic virus-type 1 (HTLV-1) and adult T-cell leukemia/lymphoma; and human papilloma virus (HPV) and cervical cancer; central nervous system cancers (CNS) such as primary brain tumor, which includes gliomas (astrocytoma, anaplastic astrocytoma, or glioblastoma multiforme), Oligodendroglioma, Ependymoma, Meningioma, Lymphoma, Schwannoma, and Medulloblastoma; peripheral nervous system (PNS) cancers such as acoustic neuromas and malignant peripheral nerve sheath tumor (MPNST) including neurofibromas and schwannomas, malignant fibrous cytoma, malignant fibrous histiocytoma, malignant meningioma, malignant mesothelioma, and malignant mixed Müllerian tumor; oral cavity and oropharyngeal cancer such as, hypopharyngeal cancer, laryngeal cancer, nasopharyngeal cancer, and oropharyngeal cancer; stomach cancer such as lymphomas, gastric stromal tumors, and carcinoid tumors; testicular cancer such as germ cell tumors (GCTs), which include seminomas and nonseminomas, and gonadal stromal tumors, which include Leydig cell tumors and Sertoli cell tumors; thymus cancer such as to thymomas, thymic carcinomas, Hodgkin disease, non-Hodgkin lymphomas carcinoids or carcinoid tumors; rectal cancer; and colon cancer.
- The invention also relates to a method of treating diabetes in a mammal that comprises administering to said mammal a therapeutically effective amount of a compound of the present invention, or a pharmaceutically acceptable salt, ester, prodrug, solvate, hydrate or derivative thereof.
- In addition, the compounds described herein may be used to treat acne.
- In addition, the compounds described herein may be used for the treatment of arteriosclerosis, including atherosclerosis. Arteriosclerosis is a general term describing any hardening of medium or large arteries. Atherosclerosis is a hardening of an artery specifically due to an atheromatous plaque.
- Further the compounds described herein may be used for the treatment of glomerulonephritis. Glomerulonephritis is a primary or secondary autoimmune renal disease characterized by inflammation of the glomeruli. It may be asymptomatic, or present with hematuria and/or proteinuria. There are many recognized types, divided in acute, subacute or chronic glomerulonephritis. Causes are infectious (bacterial, viral or parasitic pathogens), autoimmune or paraneoplastic.
- Additionally, the compounds described herein may be used for the treatment of bursitis, lupus, acute disseminated encephalomyelitis (ADEM), addison's disease, antiphospholipid antibody syndrome (APS), aplastic anemia, autoimmune hepatitis, coeliac disease, crohn's disease, diabetes mellitus (type 1), goodpasture's syndrome, graves' disease, guillain-barre syndrome (GBS), hashimoto's disease, inflammatory bowel disease, lupus erythematosus, myasthenia gravis, opsoclonus myoclonus syndrome (OMS), optic neuritis, ord's thyroiditis,ostheoarthritis, uveoretinitis, pemphigus, polyarthritis, primary biliary cirrhosis, reiter's syndrome, takayasu's arteritis, temporal arteritis, warm autoimmune hemolytic anemia, wegener's granulomatosis, alopecia universalis, chagas' disease, chronic fatigue syndrome, dysautonomia, endometriosis, hidradenitis suppurativa, interstitial cystitis, neuromyotonia, sarcoidosis, scleroderma, ulcerative colitis, vitiligo, vulvodynia, appendicitis, arteritis, arthritis, blepharitis, bronchiolitis, bronchitis, cervicitis, cholangitis, cholecystitis, chorioamnionitis, colitis, conjunctivitis, cystitis, dacryoadenitis, dermatomyositis, endocarditis, endometritis, enteritis, enterocolitis, epicondylitis, epididymitis, fasciitis, fibrositis, gastritis, gastroenteritis, gingivitis, hepatitis, hidradenitis, ileitis, iritis, laryngitis, mastitis, meningitis, myelitis, myocarditis, myositis, nephritis, omphalitis, oophoritis, orchitis, osteitis, otitis, pancreatitis, parotitis, pericarditis, peritonitis, pharyngitis, pleuritis, phlebitis, pneumonitis, proctitis, prostatitis, pyelonephritis, rhinitis, salpingitis, sinusitis, stomatitis, synovitis, tendonitis, tonsillitis, uveitis, vaginitis, vasculitis, or vulvitis.
- The invention also relates to a method of treating a cardiovascular disease in a mammal that comprises administering to said mammal a therapeutically effective amount of a compound of the present invention, or a pharmaceutically acceptable salt, ester, prodrug, solvate, hydrate or derivative thereof. Examples of cardiovascular conditions include, but are not limited to, atherosclerosis, restenosis, vascular occlusion and carotid obstructive disease.
- In another aspect, the present invention provides methods of disrupting the function of a leukocyte or disrupting a function of an osteoclast. The method includes contacting the leukocyte or the osteoclast with a function disrupting amount of a compound of the invention.
- In another aspect of the present invention, methods are provided for treating ophthalmic disease by administering one or more of the subject compounds or pharmaceutical compositions to the eye of a subject.
- Methods are further provided for administering the compounds of the present invention via eye drop, intraocular injection, intravitreal injection, topically, or through the use of a drug eluting device, microcapsule, implant, or microfluidic device. In some cases, the compounds of the present invention are administered with a carrier or excipient that increases the intraocular penetrance of the compound such as an oil and water emulsion with colloid particles having an oily core surrounded by an interfacial film.
- In some cases, the colloid particles include at least one cationic agent and at least one non-ionic sufactant such as a poloxamer, tyloxapol, a polysorbate, a polyoxyethylene castor oil derivative, a sorbitan ester, or a polyoxyl stearate. In some cases, the cationic agent is an alkylamine, a tertiary alkyl amine, a quarternary ammonium compound, a cationic lipid, an amino alcohol, a biguanidine salt, a cationic compound or a mixture thereof. In some cases the cationic agent is a biguanidine salt such as chlorhexidine, polyaminopropyl biguanidine, phenformin, alkylbiguanidine, or a mixture thereof. In some cases, the quaternary ammonium compound is a benzalkonium halide, lauralkonium halide, cetrimide, hexadecyltrimethylammonium halide, tetradecyltrimethylammonium halide, dodecyltrimethylammonium halide, cetrimonium halide, benzethonium halide, behenalkonium halide, cetalkonium halide, cetethyldimonium halide, cetylpyridinium halide, benzododecinium halide, chlorallyl methenamine halide, rnyristylalkonium halide, stearalkonium halide or a mixture of two or more thereof. In some cases, cationic agent is a benzalkonium chloride, lauralkonium chloride, benzododecinium bromide, benzethenium chloride, hexadecyltrimethylammonium bromide, tetradecyltrimethylammonium bromide, dodecyltrimethylammonium bromide or a mixture of two or more thereof. In some cases, the oil phase is mineral oil and light mineral oil, medium chain triglycerides (MCT), coconut oil; hydrogenated oils comprising hydrogenated cottonseed oil, hydrogenated palm oil, hydrogenate castor oil or hydrogenated soybean oil; polyoxyethylene hydrogenated castor oil derivatives comprising poluoxyl-40 hydrogenated castor oil, polyoxyl-60 hydrogenated castor oil or polyoxyl-100 hydrogenated castor oil.
- The invention further provides methods of modulating kinase activity by contacting a kinase with an amount of a compound of the invention sufficient to modulate the activity of the kinase. Modulate can be inhibiting or activating kinase activity. In some embodiments, the invention provides methods of inhibiting kinase activity by contacting a kinase with an amount of a compound of the invention sufficient to inhibit the activity of the kinase. In some embodiments, the invention provides methods of inhibiting kinase activity in a solution by contacting said solution with an amount of a compound of the invention sufficient to inhibit the activity of the kinase in said solution. In some embodiments, the invention provides methods of inhibiting kinase activity in a cell by contacting said cell with an amount of a compound of the invention sufficient to inhibit the activity of the kinase in said cell. In some embodiments, the invention provides methods of inhibiting kinase activity in a tissue by contacting said tissue with an amount of a compound of the invention sufficient to inhibit the activity of the kinase in said tissue. In some embodiments, the invention provides methods of inhibiting kinase activity in an organism by contacting said organism with an amount of a compound of the invention sufficient to inhibit the activity of the kinase in said organism. In some embodiments, the invention provides methods of inhibiting kinase activity in an animal by contacting said animal with an amount of a compound of the invention sufficient to inhibit the activity of the kinase in said animal. In some embodiments, the invention provides methods of inhibiting kinase activity in a mammal by contacting said mammal with an amount of a compound of the invention sufficient to inhibit the activity of the kinase in said mammal. In some embodiments, the invention provides methods of inhibiting kinase activity in a human by contacting said human with an amount of a compound of the invention sufficient to inhibit the activity of the kinase in said human. In some embodiments, the % of kinase activity after contacting a kinase with a compound of the invention is less than 1, 5, 10, 20, 30, 40, 50, 60, 70, 80 90, 95, or 99% of the kinase activity in the absence of said contacting step.
- In some embodiments, the kinase is a lipid kinase or a protein kinase. In some embodiments, the kinase is selected from the group consisting of PI3 kinase including different isorforms such as PI3 kinase α, PI3 kinase β, PI3 kinase γ, PI3 kinase δ; DNA-PK; mTor; Abl, VEGFR, Ephrin receptor B4 (EphB4); TEK receptor tyrosine kinase (TIE2); FMS-related tyrosine kinase 3 (FLT-3); Platelet derived growth factor receptor (PDGFR); RET; ATM; ATR; hSmg-1; Hck; Src; Epidermal growth factor receptor (EGFR); KIT; Inulsin Receptor (IR) and IGFR.
- The invention further provides methods of modulating PI3 kinase activity by contacting a PI3 kinase with an amount of a compound of the invention sufficient to modulate the activity of the PI3 kinase. Modulate can be inhibiting or activating PI3 kinase activity. In some embodiments, the invention provides methods of inhibiting PI3 kinase activity by contacting a PI3 kinase with an amount of a compound of the invention sufficient to inhibit the activity of the PI3 kinase. In some embodiments, the invention provides methods of inhibiting PI3 kinase activity. Such inhibition can take place in solution, in a cell expressing one or more PI3 kinases, in a tissue comprising a cell expressing one or more PI3 kinases, or in an organism expressing one or more PI3 kinases. In some embodiments, the invention provides methods of inhibiting PI3 kinase activity in an animal (including mammal such as humans) by contacting said animal with an amount of a compound of the invention sufficient to inhibit the activity of the PI3 kinase in said animal.
- The present invention also provides methods for combination therapies in which an agent known to modulate other pathways, or other components of the same pathway, or even overlapping sets of target enzymes are used in combination with a compound of the present invention, or a pharmaceutically acceptable salt, ester, prodrug, solvate, hydrate or derivative thereof. In one aspect, such therapy includes but is not limited to the combination of the subject compound with chemotherapeutic agents, therapeutic antibodies, and radiation treatment, to provide a synergistic or additive therapeutic effect.
- In one aspect, the compounds or pharmaceutical compositions of the present invention may present synergistic or additive efficacy when administered in combination with agents that inhibit IgE production or activity. Such combination can reduce the undesired effect of high level of IgE associated with the use of one or more PI3Kδ inhibitors, if such effect occurs. This may be particularly useful in treatment of autoimmune and inflammatory disorders (AIID) such as rheumatoid arthritis. Additionally, the administration of PI3Kδ or PI3Kδ/γ inhibitors of the present invention in combination with inhibitors of mTOR may also exhibit synergy through enhanced inhibition of the PI3K pathway.
- In a separate but related aspect, the present invention provides a combination treatment of a disease associated with PI3Kδ comprising administering to a PI3Kδ inhibitor and an agent that inhibits IgE production or activity. Other exemplary PI3Kδ inhibitors are applicable and they are described, e.g., U.S. Pat. No. 6,800,620. Such combination treatment is particularly useful for treating autoimmune and inflammatory diseases (AIID) including but not limited to rheumatoid arthritis.
- Agents that inhibit IgE production are known in the art and they include but are not limited to one or more of TEI-9874, 2-(4-(6-cyclohexyloxy-2-naphtyloxy)phenylacetamide)benzoic acid, rapamycin, rapamycin analogs (i.e. rapalogs), TORC1 inhibitors, TORC2 inhibitors, and any other compounds that inhibit mTORC1 and mTORC2. Agents that inhibit IgE activity include, for example, anti-IgE antibodies such as for example Omalizumab and TNX-901.
- For treatment of autoimmune diseases, the subject compounds or pharmaceutical compositions can be used in combination with commonly prescribed drugs including but not limited to Enbrel®, Remicade®, Humira®, Avonex®, and Rebif®. For treatment of respiratory diseaseses, the subject compounds or pharmaceutical compositions can be administered in combination with commonly prescribed drugs including but not limited to Xolair®, Advair®, Singulair®, and Spiriva®.
- The compounds of the invention may be formulated or administered in conjunction with other agents that act to relieve the symptoms of inflammatory conditions such as encephalomyelitis, asthma, and the other diseases described herein. These agents include non-steroidal anti-inflammatory drugs (NSAIDs), e.g. acetylsalicylic acid; ibuprofen; naproxen; indomethacin; nabumetone; tolmetin; etc. Corticosteroids are used to reduce inflammation and suppress activity of the immune system. The most commonly prescribed drug of this type is Prednisone. Chloroquine (Aralen) or hydroxychloroquine (Plaquenil) may also be very useful in some individuals with lupus. They are most often prescribed for skin and joint symptoms of lupus. Azathioprine (Imuran) and cyclophosphamide (Cytoxan) suppress inflammation and tend to suppress the immune system. Other agents, e.g. methotrexate and cyclosporin are used to control the symptoms of lupus. Anticoagulants are employed to prevent blood from clotting rapidly. They range from aspirin at very low dose which prevents platelets from sticking, to heparin/coumadin.
- In another one aspect, this invention also relates to a pharmaceutical composition for inhibiting abnormal cell growth in a mammal which comprises an amount of a compound of the present invention, or a pharmaceutically acceptable salt, ester, prodrug, solvate, hydrate or derivative thereof, in combination with an amount of an anti-cancer agent (e.g. a chemotherapeutic agent). Many chemotherapeutics are presently known in the art and can be used in combination with the compounds of the invention.
- In some embodiments, the chemotherapeutic is selected from the group consisting of mitotic inhibitors, alkylating agents, anti-metabolites, intercalating antibiotics, growth factor inhibitors, cell cycle inhibitors, enzymes, topoisomerase inhibitors, biological response modifiers, anti-hormones, angiogenesis inhibitors, and anti-androgens. Non-limiting examples are chemotherapeutic agents, cytotoxic agents, and non-peptide small molecules such as Gleevec (Imatinib Mesylate), Velcade (bortezomib), Casodex (bicalutamide), Iressa (gefitinib), and Adriamycin as well as a host of chemotherapeutic agents. Non-limiting examples of chemotherapeutic agents include alkylating agents such as thiotepa and cyclosphosphamide (CYTOXAN™); alkyl sulfonates such as busulfan, improsulfan and piposulfan; aziridines such as benzodopa, carboquone, meturedopa, and uredopa; ethylenimines and methylamelamines including altretamine, triethylenemelamine, trietylenephosphoramide, triethylenethiophosphaoramide and trimethylolomelamine; nitrogen mustards such as chlorambucil, chlornaphazine, cholophosphamide, estramustine, ifosfamide, mechlorethamine, mechlorethamine oxide hydrochloride, melphalan, novembichin, phenesterine, prednimustine, trofosfamide, uracil mustard; nitrosureas such as carmustine, chlorozotocin, fotemustine, lomustine, nimustine, ranimustine; antibiotics such as aclacinomysins, actinomycin, authramycin, azaserine, bleomycins, cactinomycin, calicheamicin, carabicin, carminomycin, carzinophilin, Casodex™, chromomycins, dactinomycin, daunorubicin, detorubicin, 6-diazo-5-oxo-L-norleucine, doxorubicin, epirubicin, esorubicin, idarubicin, marcellomycin, mitomycins, mycophenolic acid, nogalamycin, olivomycins, peplomycin, potfiromycin, puromycin, quelamycin, rodorubicin, streptonigrin, streptozocin, tubercidin, ubenimex, zinostatin, zorubicin; anti-metabolites such as methotrexate and 5-fluorouracil (5-FU); folic acid analogues such as denopterin, methotrexate, pteropterin, trimetrexate; purine analogs such as fludarabine, 6-mercaptopurine, thiamiprine, thioguanine; pyrimidine analogs such as ancitabine, azacitidine, 6-azauridine, carmofur, cytarabine, dideoxyuridine, doxifluridine, enocitabine, floxuridine, androgens such as calusterone, dromostanolone propionate, epitiostanol, mepitiostane, testolactone; anti-adrenals such as aminoglutethimide, mitotane, trilostane; folic acid replenisher such as frolinic acid; aceglatone; aldophosphamide glycoside; aminolevulinic acid; amsacrine; bestrabucil; bisantrene; edatraxate; defofamine; demecolcine; diaziquone; elfomithine; elliptinium acetate; etoglucid; gallium nitrate; hydroxyurea; lentinan; lonidamine; mitoguazone; mitoxantrone; mopidamol; nitracrine; pentostatin; phenamet; pirarubicin; podophyllinic acid; 2-ethylhydrazide; procarbazine; PSK.R™; razoxane; sizofiran; spirogermanium; tenuazonic acid; triaziquone; 2,2′,2″-trichlorotriethyla-mine; urethan; vindesine; dacarbazine; mannomustine; mitobronitol; mitolactol; pipobroman; gacytosine; arabinoside (“Ara-C”); cyclophosphamide; thiotepa; taxanes, e.g. paclitaxel (TAXOL™, Bristol-Myers Squibb Oncology, Princeton, N.J.) and docetaxel (TAXOTERE™, Rhone-Poulenc Rorer, Antony, France); retinoic acid; esperamicins; capecitabine; and pharmaceutically acceptable salts, acids or derivatives of any of the above. Also included as suitable chemotherapeutic cell conditioners are anti-hormonal agents that act to regulate or inhibit hormone action on tumors such as anti-estrogens including for example tamoxifen (Nolvadex™), raloxifene, aromatase inhibiting 4(5)-imidazoles, 4-hydroxytamoxifen, trioxifene, keoxifene, LY 117018, onapristone, and toremifene (Fareston); and anti-androgens such as flutamide, nilutamide, bicalutamide, leuprolide, and goserelin; chlorambucil; gemcitabine; 6-thioguanine; mercaptopurine; methotrexate; platinum analogs such as cisplatin and carboplatin; vinblastine; platinum; etoposide (VP-16); ifosfamide; mitomycin C; mitoxantrone; vincristine; vinorelbine; navelbine; novantrone; teniposide; daunomycin; aminopterin; xeloda; ibandronate; camptothecin-11 (CPT-11); topoisomerase inhibitor RFS 2000; difluoromethylornithine (DMFO). Where desired, the compounds or pharmaceutical composition of the present invention can be used in combination with commonly prescribed anti-cancer drugs such as Herceptin®, Avastin®, Erbitux®, Rituxan®, Taxol®, Arimidex®, Taxotere®, and Velcade®.
- This invention further relates to a method for using the compounds or pharmaceutical composition in combination with radiation therapy in inhibiting abnormal cell growth or treating the hyperproliferative disorder in the mammal. Techniques for administering radiation therapy are known in the art, and these techniques can be used in the combination therapy described herein. The administration of the compound of the invention in this combination therapy can be determined as described herein.
- Radiation therapy can be administered through one of several methods, or a combination of methods, including without limitation external-beam therapy, internal radiation therapy, implant radiation, stereotactic radiosurgery, systemic radiation therapy, radiotherapy and permanent or temporary interstitial brachytherapy. The term “brachytherapy,” as used herein, refers to radiation therapy delivered by a spatially confined radioactive material inserted into the body at or near a tumor or other proliferative tissue disease site. The term is intended without limitation to include exposure to radioactive isotopes (e.g. At-211, I-131, I-125, Y-90, Re-186, Re-188, Sm-153, Bi-212, P-32, and radioactive isotopes of Lu). Suitable radiation sources for use as a cell conditioner of the present invention include both solids and liquids. By way of non-limiting example, the radiation source can be a radionuclide, such as I-125, I-131, Yb-169, Ir-192 as a solid source, I-125 as a solid source, or other radionuclides that emit photons, beta particles, gamma radiation, or other therapeutic rays. The radioactive material can also be a fluid made from any solution of radionuclide(s), e.g., a solution of I-125 or I-131, or a radioactive fluid can be produced using a slurry of a suitable fluid containing small particles of solid radionuclides, such as Au-198, Y-90. Moreover, the radionuclide(s) can be embodied in a gel or radioactive micro spheres.
- Without being limited by any theory, the compounds of the present invention can render abnormal cells more sensitive to treatment with radiation for purposes of killing and/or inhibiting the growth of such cells. Accordingly, this invention further relates to a method for sensitizing abnormal cells in a mammal to treatment with radiation which comprises administering to the mammal an amount of a compound of the present invention or pharmaceutically acceptable salt, ester, prodrug, solvate, hydrate or derivative thereof, which amount is effective is sensitizing abnormal cells to treatment with radiation. The amount of the compound, salt, or solvate in this method can be determined according to the means for ascertaining effective amounts of such compounds described herein.
- The compounds or pharmaceutical compositions of the present invention can be used in combination with an amount of one or more substances selected from anti-angiogenesis agents, signal transduction inhibitors, and antiproliferative agents.
- Anti-angiogenesis agents, such as MMP-2 (matrix-metalloprotienase 2) inhibitors, MMP-9 (matrix-metalloprotienase 9) inhibitors, and COX-11 (cyclooxygenase 11) inhibitors, can be used in conjunction with a compound of the present invention and pharmaceutical compositions described herein. Examples of useful COX-II inhibitors include CELEBREX™ (alecoxib), valdecoxib, and rofecoxib. Examples of useful matrix metalloproteinase inhibitors are described in WO 96/33172 (published Oct. 24, 1996), WO 96/27583 (published Mar. 7, 1996), European Patent Application No. 97304971.1 (filed Jul. 8, 1997), European Patent Application No. 99308617.2 (filed Oct. 29, 1999), WO 98/07697 (published Feb. 26, 1998), WO 98/03516 (published Jan. 29, 1998), WO 98/34918 (published Aug. 13, 1998), WO 98/34915 (published Aug. 13, 1998), WO 98/33768 (published Aug. 6, 1998), WO 98/30566 (published Jul. 16, 1998), European Patent Publication 606,046 (published Jul. 13, 1994), European Patent Publication 931, 788 (published Jul. 28, 1999), WO 90/05719 (published May 31, 1990), WO 99/52910 (published Oct. 21, 1999), WO 99/52889 (published Oct. 21, 1999), WO 99/29667 (published Jun. 17, 1999), PCT International Application No. PCT/IB98/01113 (filed Jul. 21, 1998), European Patent Application No. 99302232.1 (filed Mar. 25, 1999), Great Britain Patent Application No. 9912961.1 (filed Jun. 3, 1999), U.S. Provisional Application No. 60/148,464 (filed Aug. 12, 1999), U.S. Pat. No. 5,863,949 (issued Jan. 26, 1999), U.S. Pat. No. 5,861,510 (issued Jan. 19, 1999), and European Patent Publication 780,386 (published Jun. 25, 1997), all of which are incorporated herein in their entireties by reference. Preferred MMP-2 and MMP-9 inhibitors are those that have little or no activity inhibiting MMP-1. More preferred, are those that selectively inhibit MMP-2 and/or AMP-9 relative to the other matrix-metalloproteinases (i. e., MAP-1, MMP-3, MMP-4, MMP-5, MMP-6, MMP- 7, MMP-8, MMP-10, MMP-11, MMP-12, andMMP-13). Some specific examples of MMP inhibitors useful in the present invention are AG-3340, RO 32-3555, and RS 13-0830.
- The invention also relates to a method of and to a pharmaceutical composition of treating a cardiovascular disease in a mammal which comprises an amount of a compound of the present invention, or a pharmaceutically acceptable salt, ester, prodrug, solvate, hydrate or derivative thereof, or an isotopically-labeled derivative thereof, and an amount of one or more therapeutic agents use for the treatment of cardiovascular diseases.
- Examples for use in cardiovascular disease applications are anti-thrombotic agents, e.g., prostacyclin and salicylates, thrombolytic agents, e.g., streptokinase, urokinase, tissue plasminogen activator (TPA) and anisoylated plasminogen-streptokinase activator complex (APSAC), anti-platelets agents, e.g., acetyl-salicylic acid (ASA) and clopidrogel, vasodilating agents, e.g., nitrates, calcium channel blocking drugs, anti-proliferative agents, e.g., colchicine and alkylating agents, intercalating agents, growth modulating factors such as interleukins, transformation growth factor-beta and congeners of platelet derived growth factor, monoclonal antibodies directed against growth factors, anti-inflammatory agents, both steroidal and non-steroidal, and other agents that can modulate vessel tone, function, arteriosclerosis, and the healing response to vessel or organ injury post intervention. Antibiotics can also be included in combinations or coatings comprised by the invention. Moreover, a coating can be used to effect therapeutic delivery focally within the vessel wall. By incorporation of the active agent in a swellable polymer, the active agent will be released upon swelling of the polymer.
- The compounds describe herein may be formulated or administered in conjunction with liquid or solid tissue barriers also known as lubricants. Examples of tissue barriers include, but are not limited to, polysaccharides, polyglycans, seprafilm, interceed and hyaluronic acid.
- Medicaments which may be administered in conjunction with the compounds described herein include any suitable drugs usefully delivered by inhalation for example, analgesics, e.g. codeine, dihydromorphine, ergotamine, fentanyl or morphine; anginal preparations, e.g. diltiazem; antiallergics, e.g. cromoglycate, ketotifen or nedocromil; anti-infectives, e.g. cephalosporins, penicillins, streptomycin, sulphonamides, tetracyclines or pentamidine; antihistamines, e.g. methapyrilene; anti-inflammatories, e.g. beclomethasone, flunisolide, budesonide, tipredane, triamcinolone acetonide or fluticasone; antitussives, e.g. noscapine; bronchodilators, e.g. ephedrine, adrenaline, fenoterol, formoterol, isoprenaline, metaproterenol, phenylephrine, phenylpropanolamine, pirbuterol, reproterol, rimiterol, salbutamol, salmeterol, terbutalin, isoetharine, tulobuterol, orciprenaline or (−)-4-amino-3,5-dichloro-α-[[[6-[2-(2-pyridinypethoxy]hexyl]-amino]methyl]benzenemethanol; diuretics, e.g. amiloride; anticholinergics e.g. ipratropium, atropine or oxitropium; hormones, e.g. cortisone, hydrocortisone or prednisolone; xanthines e.g. aminophylline, choline theophyllinate, lysine theophyllinate or theophylline; and therapeutic proteins and peptides, e.g. insulin or glucagon. It will be clear to a person skilled in the art that, where appropriate, the medicaments may be used in the form of salts (e.g. as alkali metal or amine salts or as acid addition salts) or as esters (e.g. lower alkyl esters) or as solvates (e.g. hydrates) to optimize the activity and/or stability of the medicament.
- Other exemplary therapeutic agents useful for a combination therapy include but are not limited to agents as described above, radiation therapy, hormone antagonists, hormones and their releasing factors, thyroid and antithyroid drugs, estrogens and progestins, androgens, adrenocorticotropic hormone; adrenocortical steroids and their synthetic analogs; inhibitors of the synthesis and actions of adrenocortical hormones, insulin, oral hypoglycemic agents, and the pharmacology of the endocrine pancreas, agents affecting calcification and bone turnover: calcium, phosphate, parathyroid hormone, vitamin D, calcitonin, vitamins such as water-soluble vitamins, vitamin B complex, ascorbic acid, fat-soluble vitamins, vitamins A, K, and E, growth factors, cytokines, chemokines, muscarinic receptor agonists and antagonists; anticholinesterase agents; agents acting at the neuromuscular junction and/or autonomic ganglia; catecholamines, sympathomimetic drugs, and adrenergic receptor agonists or antagonists; and 5-hydroxytryptamine (5-HT, serotonin) receptor agonists and antagonists.
- Therapeutic agents can also include agents for pain and inflammation such as histamine and histamine antagonists, bradykinin and bradykinin antagonists, 5-hydroxytryptamine (serotonin), lipid substances that are generated by biotransformation of the products of the selective hydrolysis of membrane phospholipids, eicosanoids, prostaglandins, thromboxanes, leukotrienes, aspirin, nonsteroidal anti-inflammatory agents, analgesic-antipyretic agents, agents that inhibit the synthesis of prostaglandins and thromboxanes, selective inhibitors of the inducible cyclooxygenase, selective inhibitors of the inducible cyclooxygenase-2, autacoids, paracrine hormones, somatostatin, gastrin, cytokines that mediate interactions involved in humoral and cellular immune responses, lipid-derived autacoids, eicosanoids, β-adrenergic agonists, ipratropium, glucocorticoids, methylxanthines, sodium channel blockers, opioid receptor agonists, calcium channel blockers, membrane stabilizers and leukotriene inhibitors.
- Additional therapeutic agents contemplated herein include diuretics, vasopressin, agents affecting the renal conservation of water, rennin, angiotensin, agents useful in the treatment of myocardial ischemia, anti-hypertensive agents, angiotensin converting enzyme inhibitors, β-adrenergic receptor antagonists, agents for the treatment of hypercholesterolemia, and agents for the treatment of dyslipidemia.
- Other therapeutic agents contemplated include drugs used for control of gastric acidity, agents for the treatment of peptic ulcers, agents for the treatment of gastroesophageal reflux disease, prokinetic agents, antiemetics, agents used in irritable bowel syndrome, agents used for diarrhea, agents used for constipation, agents used for inflammatory bowel disease, agents used for biliary disease, agents used for pancreatic disease. Therapeutic agents used to treat protozoan infections, drugs used to treat Malaria, Amebiasis, Giardiasis, Trichomoniasis, Trypanosomiasis, and/or Leishmaniasis, and/or drugs used in the chemotherapy of helminthiasis Other therapeutic agents include antimicrobial agents, sulfonamides, trimethoprim-sulfamethoxazole quinolones, and agents for urinary tract infections, penicillins, cephalosporins, and other, β-Lactam antibiotics, an agent comprising an aminoglycoside, protein synthesis inhibitors, drugs used in the chemotherapy of tuberculosis, mycobacterium avium complex disease, and leprosy, antifungal agents, antiviral agents including nonretroviml agents and antiretroviral agents.
- Examples of therapeutic antibodies that can be combined with a subject compound include but are not limited to anti-receptor tyrosine kinase antibodies (cetuximab, panitumumab, trastuzumab), anti CD20 antibodies (rituximab, tositumomab), and other antibodies such as alemtuzumab, bevacizumab, and gemtuzumab.
- Moreover, therapeutic agents used for immunomodulation, such as immunomodulators, immunosuppressive agents, tolerogens, and immunostimulants are contemplated by the methods herein. In addition, therapeutic agents acting on the blood and the blood-forming organs, hematopoietic agents, growth factors, minerals, and vitamins, anticoagulant, thrombolytic, and antiplatelet drugs.
- Further therapeutic agents that can be combined with a subject compound may be found in Goodman and Gilman's “The Pharmacological Basis of Therapeutics” Tenth Edition edited by Hardman, Limbird and Gilman or the Physician's Desk Reference, both of which are incorporated herein by reference in their entirety.
- The compounds described herein can be used in combination with the agents disclosed herein or other suitable agents, depending on the condition being treated. Hence, in some embodiments the compounds of the invention will be co-administer with other agents as described above. When used in combination therapy, the compounds described herein may be administered with the second agent simultaneously or separately. This administration in combination can include simultaneous administration of the two agents in the same dosage form, simultaneous administration in separate dosage forms, and separate administration. That is, a compound described herein and any of the agents described above can be formulated together in the same dosage form and administered simultaneously. Alternatively, a compound of the present invention and any of the agents described above can be simultaneously administered, wherein both the agents are present in separate formulations. In another alternative, a compound of the present invention can be administered just followed by and any of the agents described above, or vice versa. In the separate administration protocol, a compound of the present invention and any of the agents described above may be administered a few minutes apart, or a few hours apart, or a few days apart.
- The examples and preparations provided below further illustrate and exemplify the compounds of the present invention and methods of preparing such compounds. It is to be understood that the scope of the present invention is not limited in any way by the scope of the following examples and preparations. In the following examples molecules with a single chiral center, unless otherwise noted, exist as a racemic mixture. Those molecules with two or more chiral centers, unless otherwise noted, exist as a racemic mixture of diastereomers. Single enantiomers/diastereomers may be obtained by methods known to those skilled in the art.
-
- A solution of 2-amino-6-methylbenzoic acid (1601) (106.5 g, 705 mmol) in H2O (200 mL) was cooled to 0-5° C., con. HCl (250 mL) was added slowly. The solution was stirred for 15 min at 0-5° C. A solution of sodium nitrite (58.4 g, 6.85 mol) in H2O (120 mL) was added dropwise at 0-5° C., and the resulting mixture was stirred for 30 min. Then above solution was added to a solution of KI (351 g, 2.11 mol) in H2O (200 mL), and the resulting mixture was stirred at RT for 16 h. The solution was poured into ice water (2000 mL) and extracted with ethyl acetate (3×1000 mL). The combined organic layer was washed with aqueous NaOH (15%, 3×200 mL). The aqueous layer was acidified to PH=1, and extracted with ethyl acetate (3×1000 mL). The combined organic layer was dried over Na2SO4 and filtered. The filtrate was concentrated in vacuo to afford the desired product, 2-iodo-6-methylbenzoic acid (1602) (145 g, 79% yield) as a yellow solid
- To a stirred mixture of 2-iodo-6-methylbenzoic acid (1602) (105 g, 400 mmol), Pd(OAc)2 (27 g, 120 mmol) and PPh3 (63 g 240 mol) in THF (1000 mL) at RT, tributyl(vinyl)tin (152 g, 480 mmol) was added. The resulting mixture was heated to reflux overnight. The mixture was allowed to cool to RT, filtered through silica gel (10 g), and then concentrated in vacuo. The residue was poured into ice water (1000 mL) and extracted with ethyl acetate (3×1000 mL). The combined organic layer was washed with aqueous NaOH (15%, 5×200 mL). The combined aqueous layer was acidified to PH=1, extracted with ethyl acetate (3×1000 mL). The combined organic layer was dried over Na2SO4 and filtered. The filtrate was concentrated in vacuo to afford the desired product, 2-methyl-6-vinylbenzoic acid (1603) (61 g, 95% yield) as a yellow solid.
- A mixture of 2-methyl-6-vinylbenzoic acid (1603) (56 g, 350 mmol) and thionyl chloride (208 g, 1750 mmol) in toluene (400 mL) was stirred at reflux for 2 h. The mixture was concentrated in vacuo to afford the desired product, 2-methyl-6-vinylbenzoyl chloride (1604) (63 g, 95% yield) as a yellow oil. The product obtained was used directly in the next step without purification.
- A mixture of o-toluidine (45 g, 420 mmol) and Triethylamine (71 g, 70 mmol) in CH2Cl2 (300 mL) was stirred for 10 min at RT. To this mixture, 2-methyl-6-vinylbenzoyl chloride (1604) (63 g, 35 mmol) was added, and the resulting mixture was stirred at RT for 30 min. The solution was poured into water (300 mL) and extracted with CH2Cl2 (3×200 mL), dried over Na2SO4 and filtered. The filtrate was concentrated in vacuo to afford the crude product. The crude product was suspended in IPE (isopropyl ether) (300 mL), stirred at reflux for 30 min, and then cooled to 0-5° C. The precipitate was collected by filtration and further dried in vacuo to afford the desired product, 2-methyl-N-o-tolyl-6-vinylbenzamide (1605) (81 g, 80% yield) as a yellow solid.
- To a solution of 2-methyl-N-o-tolyl-6-vinylbenzamide (1605) (80 g, 320 mmol) in DMF (250 mL) at RT, NaH (60% in mineral oil, 25.6 g, 640 mmol) was slowly added and the resulting mixture was stirred at RT for 30 min. To this mixture, ethyl chloroacetate (78 g, 640 mmol) was added and the resulting mixture was stirred at RT for 2 h. The solution was poured into water (500 mL) and extracted with ethyl acetate (3×200 mL), dried over Na2SO4 and filtered. The filtrate was concentrated in vacuo. The crude product was suspended in MeOH (160 mL), stirred at reflux for 10 min, and then cooled to 0-5° C. The precipitate was collected by filtration and further dried in vacuo to afford the desired product, ethyl 2-(2-methyl-N-o-tolyl-6-vinylbenzamido) acetate (1606) (67 g, 62% yield) as a white solid.
- To a stirred mixture of ethyl 2-(2-methyl-N-o-tolyl-6-vinylbenzamido) acetate (1606) (67 g, 200 mmol) in 1, 4-dioxane (300 mL) and H2O (100 mL) at RT, Osmium tetroxide (20 mg) was added was and stirred at RT for 30 min. To this mixture, sodium periodate (86 g, 400 mmol) was added and the resulting mixture was stirred at RT for 16 h. The reaction mixture was filtered through silica gel (10 g), the filtrate was extracted with ethyl acetate (3×200 mL). The combined organic layers were washed with brine (100 mL), dried over Na2SO4 and filtered. The filtrate was concentrated in vacuo and the residue was further dried in vacuo to afford the desired product, ethyl 2-(2-formyl-6-methyl-N-o-tolylbenzamido) acetate (1607) (38 g, 57% yield) as a yellow solid.
- To a stirred solution of ethyl 2-(2-formyl-6-methyl-N-o-tolylbenzamido) acetate (1607) (38 g, 112 mmol) in EtOH (200 mL) and ethyl acetate (100 mL) at RT, cesium carbonate (22 g, 112 mmol) was added. The resulting mixture was degassed and back-filled with argon three times and then stirred at 50° C. for 5 h. The mixture was allowed to cool to RT, filtered through silica gel (10 g), and the filtrate was concentrated in vacuo. The residue was poured into H2O (200 mL), extracted with ethyl acetate (3×200 mL). The combined organic layer was washed with brine (50 mL), dried over Na2SO4 and filtered. The filtrate was concentrated in vacuo. The crude product was suspended in IPE (120 mL), heated to reflux for 10 min, and then cooled to 0-5° C. The precipitate was collected by filtration and further dried in vacuo to afford the desired product, ethyl 8-methyl-1-oxo-2-o-tolyl-1,2-dihydroisoquinoline-3- carboxylate (1608) (28 g, 77% yield) as a white solid.
- To a stirred solution of lithium aluminum hydride (8.28 g, 218 mol) in anhydrous THF (500 mL) at −78° C. under a nitrogen atmosphere, ethyl 8-methyl-1-oxo-2-o-tolyl-1,2-dihydroisoquinoline-3-carboxylate (1608) (28 g, 87 mmol) was slowly added over a 10 min period of time. The resulting mixture was allowed to warm to −30° C., stirred for 30 min and TLC showed the completion of the reaction. Then the mixture was cooled to −78° C., and water (50 mL) was slowly added. The mixture was allowed to warm to RT, filtered through silica gel (10 g), and the filtrate was concentrated in vacuo. The crude product was poured into H2O (200 mL) and extracted with ethyl acetate (3×200 mL). The combined organic layer was washed with brine (50 mL), dried over Na2SO4 and filtered. The filtrate was concentrated in vacuo. The crude product was suspended in ethyl acetate (30 mL) and stirred for 10 min. The solid was collected by filtration and further dried in vacuo to afford the desired product, 3-(hydroxymethyl)-8-methyl-2-o-tolylisoquinolin-1(2H)-one (1609) (22 g, 92% yield) as a white solid.
- PBr3 (25.6 g, 95 mmol) was slowly added to a stirred solution of DMF (11.5 g, 158 mol) in acetonitrile (200 mL) at 0° C., and the resulting mixture was stirred at OC for 30 min. 3-(Hydroxymethyl)-8-methyl-2-o-tolylisoquinolin -1-(2H)-one (1609) (22 g, 78.8 mmol) was slowly added. Then the reaction mixture was allowed to warm to RTand stirred for 30 min. Saturated aqueous NaHCO3 solution (50 mL) was slowly added and extracted with ethyl acetate (3×200 mL). The combined organic layer was washed with brine, dried over Na2SO4 and filtered. The filtrate was concentrated in vacuo. The crude product was suspended in IPE (50 mL) and then stirred for 10 min. The precipitate was collected by filtration and further dried in vacuo to afford the desired product, 3-(bromomethyl)-8-methyl-2-o-tolylisoquinolin-1(2H)-one (1610) (21 g, 80% yield) as a white solid.
- 3-Iodo-1H-pymzolo[3,4-d]pyrimidin-4-amine (108) (10.8 g, 41.4 mmol) and potassium tert -butoxide (4.4 g, 40 mmol) were dissolved in anhydrous DMF (150 mL) and stirred at RT for 30 min. 3-(Bromomethyl)-8-methyl-2-o-tolylisoquinolin-1(2H)-one (1610) (13.7 g, 40 mmol) was added. The resulting mixture was stirred at RT for 30 min, poured into ice water (300 mL) and then extracted with ethyl acetate (3×200 mL). The combined organic layer was washed with brine (50 mL), dried over Na2SO4 and filtered. The filtrate was concentrated to about 100 ml in vacuo, the precipitate was collected by filtration to afford the first batch of desired product, 3-((4-amino-3-iodo-1H- pyrazolo[3,4-d]pyrimidin-1-yl)methyl)-8-methyl-2-o-tolylisoquinolin-1(2H)-one (1611) (12 g, 60% yield) as a white solid. The filtrate was concentrated in vacuo and the residue was purified by flash column chromatography on silica gel (2-20% MeOH/DCM) to afford the second batch of desired product, 3-((4-amino-3-iodo-1H-pyrazolo[3,4-d]pyrimidin-1-yl)methyl)-8-methyl-2-o-tolylisoquinolin-1(2H)-one (1611) (6 g, 30% yield) as a white solid.
- 3-((4-amino-3-iodo-1H-pyrazolo[3,4-d]pyrimidin-1-yl)methyl)-8-methyl-2-o- tolylisoquinolin-1(2H)-one (1611) (13 g, 24.9 mmol) and 3-(4,4,5,5-tetramethyl-1,3,2-dioxaborolan-2-yl)phenol (1612)(6.6 g, 30 mmol) were dissolved in DNIF-EtOH-H2O (120 mL, 40 mL, 40 mL). Pd(OAc)2 (1.684 g, 7.5 mmol), PPh3 (3.935
g 15 mmol) and Na2CO3 (13.25 g 125 mmol) were added sequentially The resulting mixture was degassed and back-filled with argon three times and then stirred at 100° C. for 1 h. The mixture was allowed to cool to RT, filtered through silica gel (10 g) and concentrated in vacuo. The residue was purified by flash column chromatography on silica gel (2-20% MeOH/DCM) to afford the product (1613) (9 g, 76% yield) as a slight yellow solid. Then above product was suspended in EtOH (100 mL) and heated to reflux for 30 min. The mixture was allowed to cool to RT, and the solid was collected by filtration. The solid was then suspended in EA (100 mL) and stirred overnight. The precipitate was collected by filtration and further dried in vacuo to afford the desired product , 34(4-amino-3-(3-hydroxyphenyl)-1H-pyrazolo[3,4-d]pyrimidin-1- yl)methyl)-8-methyl-2-o-tolylisoquinolin-1(2H)-one (1613)(8.4 g, 69% yield) as a white solid. -
- 3-(3-Methoxyphenyl)-1H-pymzolo[3,4-d]pyrimidin-4-amine (1701)(964 mg, 4 mmol) and potassium tert-butoxide (0.44 g, 4 mmol) were dissolved in anhydrous DMF (150 mL) and stirred at RT for 30 min. 3-(Bromomethyl)-8-methyl-2-o-tolylisoquinolin-1(2H)-one (1610) (1.37 g, 4.0 mmol) was added. The resulting mixture was stirred at RT for 30 min, poured into ice water (30 mL) and then extracted with ethyl acetate (3×50 mL). The combined organic layer was washed with brine (25 mL), dried over Na2SO4 and filtered. The filtrate was concentrated in vacuo and the residue was purified by flash column chromatography on silica gel (2-20% MeOH/DCM) to afford the desired product, 3-((4-amino-3-(3-methoxyphenyl)-1H-pyrazolo[3,4-d]pyrimidin-1-yl)methyl)-8-methyl-2-o-tolylisoquinolin-1(2H)-one (1702) (1.4 g, 70% yield) as a white solid.
- To a solution of 34(4-amino-3-(3-methoxyphenyl)-1H-pyrazolo[3,4-d]pyrimidin-1-yl)methyl)-8-methyl-2-o-tolylisoquinolin-1(2H)-one (1702)(100 mg, 0.2 mmol) in CH2Cl2 (20 mL) at −78° C. under a nitrogen atmosphere, BBr3 (1 mL) was added and the resulting mixture was stirred at −78° C. fro 3 h. The mixture was allowed to warm to RT, poured into ice-water (200 mL) and extracted with ethyl acetate (3×50 mL). The combined organic layer was washed with brine (20 mL), dried over Na2SO4 and filtered. The filtrate was concentrated in vacuo and the residue was purified by flash column chromatography on silica gel (10-50% MeOH/CH2Cl2) to afford the desired product, 3-((4-amino-3-(3-hydroxyphenyl)-1H-pyrazolo[3,4-d]pyrimidin-1-yl)methyl)-8-methyl-2-o-tolylisoquinolin-1(2H)-one (1613)(87 mg, 91% yield) as a white solid.
-
- 3-((4-amino-3-iodo-1H-pyrazolo[3,4-d]pyrimidin-1-yl)methyl)-8-methyl-2-o-tolylisoquinolin-1(2H)-one (1611) (522 mg, 1 mmol) and (R)-but-3-yn-2-ol (84 mg, 1.2 mmol) were dissolved in anhydrous THF (40 mL). The mixture was degassed and back-filled with nitrogen three times. Pd(PPh3)2Cl2 (12 mg, 0.1 mmol), CuI (47 mg 0.25 mmol) and (i-Pr)2NH (505 mg, 5 mmol) were added sequentially. The resulting mixture was degassed and back-filled with argon three times and then stirred at reflux for 4 h. The mixture was allowed to cool to RT, filtered through silica gel (10 g) and concentrated in vacuo. The residue was purified by flash column chromatography on silica gel (2-20% MeOH/DCM) to afford the product, 3 (R)-3-((4-amino-3-(3-hydroxybut-1-ynyl)-1H-pyrazolo[3,4-d]pyrimidin-1-yl)methyl)-8-methyl-2-o-tolylisoquinolin-1(2H)-one (1802) (324 mg, 70% yield) as a slightly yellow solid.
-
- 9H-Purin-6-amine (1901)(540 mg, 4.0 mmol) was dissolved in anhydrous DMF (20 mL). NaH (60% in mineral oil, 160 mg, 4.0 mmol) was added and the resulting mixture was stirred at RT for 30 min. 3-(Bromomethyl)-8-methyl-2-o-tolylisoquinolin-1(2H)-one (1610)(1.37 g, 4.0 mmol) was added. The reaction mixture was stirred at RT for 30 min, poured into ice-water (30 mL) and then extracted with ethyl acetate (3×50 mL). The combined organic layer was washed with brine (25 mL), dried over Na2SO4 and filtered. The filtrate was concentrated in vacuo and the residue was purified by flash column chromatography on silica gel (2-20% MeOH/DCM) to afford the desired product, 3-((6-amino-9H-purin-9-yl)methyl)-8-methyl-2-o-tolylisoquinolin-1(2H)-one (1902)(1.1 g, 70% yield) as a white solid.
-
- To a stirred mixture of 2-iodo-6-methylbenzoic acid (1602) (105 g, 400 mmol), Pd(OAc)2 (27 g, 120 mmol) and PPh3 (63 g 240 mol) in THF (1000 mL) at RT, tributyl(vinyl)tin (152 g, 480 mmol) was added. The resulting mixture was heated to reflux overnight. The mixture was allowed to cool to RT, filtered through silica gel (10 g), and then concentrated in vacuo. The residue was poured into ice water (1000 mL) and extracted with ethyl acetate (3×1000 mL). The combined organic layer was washed with aqueous NaOH (15%, 5×200 mL). The combined aqueous layer was acidified to PH=1, extracted with ethyl acetate (3×1000 mL). The combined organic layer was dried over Na2SO4 and filtered. The filtrate was concentrated in vacuo to afford the desired product, 2-methyl-6-vinylbenzoic acid (1603) (61 g, 95% yield) as a yellow solid.
- A mixture of 2-methyl-6-vinylbenzoic acid (1603) (56 g, 350 mmol) and thionyl chloride (208 g, 1750 mmol) in toluene (400 mL) was stirred at reflux for 2 h. The mixture was concentrated in vacuo to afford the desired product, 2-methyl-6-vinylbenzoyl chloride (1604) (63 g, 95% yield) as a yellow oil. The product obtained was used directly in the next step without purification.
- Propan-2-amine (2001)(59 g, 1.0 mol) and ethyl chloroacetate (122 g, 1.0 mol) were dissolved in toluene (200 mL) and the mixture was stirred at reflux for 2 h. The reaction mixture was allowed to cool to RT, poured into ice-water (500 mL) and extracted with ethyl acetate (3×250 mL). The combined organic layer was washed with brine (50 mL), dried over Na2SO4 and filtered. The filtrate was concentrated in vacuo and the residue was purified by flash column chromatography on silica gel (10-50% EA/PE) to afford the product, ethyl 2-(isopropylamino)acetate (2002) (70 g, 51% yield) as an oil.
- Ethyl 2-(isopropylamino)acetate (2002) (14.5 g, 100 mmol) and triethylamine (200 g, 200 mmol) were dissolved in CH2Cl2 (300mL) and the mixture was stirred for 10 min at RT. 2-Methyl-6-vinylbenzoyl chloride (1604) (18 g, 100 mmol) was added, and the resulting mixture was stirred at RT for 30 min. The reaction mixture was poured into water (300 mL) and extracted with CH2Cl2 (3×200 mL). The combined organic layer was washed with brine (50 mL), dried over Na2SO4 and filtered. The filtrate was concentrated in vacuo to afford the crude product. The crude product was suspended in IPE (isopropyl ether) (300 mL), stirred at reflux for 30 min, and then cooled to 0-5° C. The precipitate was collected by filtration and further dried in vacuo to afford the desired product, ethyl 2-(N-isopropyl-2-methyl-6-vinylbenzamido)acetate (2003) (14.5 g, 50% yield) as a yellow solid.
- To a stirred solution of ethyl 2-(N-isopropyl-2-methyl-6-vinylbenzamido)acetate (2003) (14.0 g, 48.0 mmol) in 1,4-dioxane (100 mL) and H2O (30 mL), Osmium tetroxide (20 mg) was added and the resulting mixture was stirred at RT for 30 min. To this mixture, sodium periodate (22 g, 100 mmol) was added and then stirred at RT for 16 h. The reaction mixture was filtered through silica gel (10 g), the filtrate was extracted with ethyl acetate (3×200 mL). The combined organic layer was washed with brine (50 mL), dried over Na2SO4 and filtered. The filtrate was concentrated in vacuo and the residue was further dried in vacuo to afford the desired product, ethyl 2-(2-formyl-N-isopropyl-6-methylbenzamido)acetate (2004) (8.33 g, 57% yield) as a yellow solid.
- To a stirred solution of ethyl 2-(2-formyl-N-isopropyl-6-methylbenzamido)acetate (2004) (8.3 g, 28.0 mmol) in EtOH (100 mL) and ethyl acetate (50 mL) at RT, cesium carbonate (5.9 g, 30 mmol) was added. The resulting mixture was degassed and back-filled with argon three times and then stirred at 50° C. for 5 h. The mixture was allowed to cool to RT, filtered through silica gel (10 g), and the filtrate was concentrated in vacuo. The residue was poured into H2O (200 mL), extracted with ethyl acetate (3×200 mL). The combined organic layer was washed with brine (50 mL), dried over Na2SO4 and filtered. The filtrate was concentrated in vacuo. The crude product was suspended in IPE (120 mL), stirred at reflux for 10 min, and then cooled to 0-5° C. The precipitate was collected by filtration and further dried in vacuo to afford the desired product, ethyl 2-isopropyl-8-methyl-1-oxo-1,2-dihydroisoquinoline-3-carboxylate (2005) (5.35 g, 70% yield) as a white solid.
- To a stirred solution of lithium aluminum hydride (2.88 g, 76 mol) in anhydrous THF (200 mL) at −78° C. under a nitrogen atmosphere, ethyl 2-isopropyl-8-methyl-1-oxo-1,2-dihydroisoquinoline-3-carboxylate (2005) (5.2 g, 19 mmol) was slowly added over a 10 min period of time. The resulting mixture was allowed to warm to −30° C., stirred for 30 min and TLC showed the completion of the reaction. Then the mixture was cooled to −78° C., and water (50 mL) was slowly added. The mixture was allowed to warm to RT, filtered through silica gel (10 g), and the filtrate was concentrated in vacuo. The crude product was poured into H2O (200 mL) and extracted with ethyl acetate (3×200 mL). The combined organic layer was washed with brine (50 mL), dried over Na2SO4 and filtered. The filtrate was concentrated in vacuo. The crude product was suspended in ethyl acetate (30 mL) and stirred for 10 min. The solid was collected by filtration and further dried in vacuo to afford the desired product, 3-(hydroxymethyl)-2-isopropyl-8-methylisoquinolin-1(2H)-one (2006) (3.51 g, 80% yield) as a white solid.
- To a solution of 3-(hydroxymethyl)-2-isopropyl-8-methylisoquinolin-1(2H)-one (2006) (1.61 g, 7.0 mmol) in CH2Cl2, PPh3 (3.67 g, 14.0 mmol) was added and the mixture was stirred at RT for 30 min. The mixture was cooled to 0° C., and CBr4 (4.64 g, 14.0 mmol) was added in portions. The resulting mixture was stirred from 0° C. to RT for 30 min, and then concentrated in vacuo. The crude product was purified by flash column chromatography on silica gel (30-50% EA/PE) to afford the desired product, 3-(bromomethyl)-2-isopropyl-8-methylisoquinolin-1(2H)-one (2007) (1.65 g, 80% yield) as a white solid.
- A mixture of 3-iodo-1H-pyrazolo[3,4-d]pyrimidin-4-amine (108) (1.3 g, 5 mmol) and potassium tert-butoxide (0.55 g, 5 mmol) in anhydrous DMF (20 mL) was stirred at RT for 30 min and then 3-(bromomethyl)-2-isopropyl-8-methylisoquinolin-1(2H)-one (2007) (1.47 g, 5 mmol) was added. The resulting mixture was stirred at RT for 30 min, poured into ice-water (30 mL) and then extracted with ethyl acetate (3×50 mL). The combined organic layer was washed with brine (25 mL), dried over Na2SO4 and filtered. The filtrate was concentrated in vacuo, and the residue was purified by flash column chromatography on silica gel (2-20% MeOH/DCM) to afford the desired product, 34(4-amino-3-iodo-1H-pyrazolo[3,4-d]pyrimidin-1-yl)methyl)-2-isopropyl-8-methylisoquinolin-1(2H)-one (2008) (1.66 g, 70% yield) as a white solid.
- To a stirred mixture of 3-((4-Amino-3-iodo-1H-pyrazolo[3,4-d]pyrimidin-1-yl)methyl)-2-isopropyl-8-methylisoquinolin-1(2H)-one (2008) (95 mg, 0.2 mmol) and 3-(4,4,5,5-tetramethyl-1,3,2-dioxaborolan-2-yl)phenol (66 mg, 0.3 mmol) in DMF-EtOH-H2O (3:1:1, 20 mL), Pd(OAc)2 (16 mg, 0.075 mmol), PPh3 (39.3 mg 0.15 mmol) and Na2CO3 (132 mg, 1.25 mmol) were added sequentially The resulting mixture was degassed and back-filled with argon three times and then stirred at 100° C. for 1 h. The mixture was allowed to cool to RT, filtered through silica gel (10 g) and concentrated in vacuo. The residue was purified by flash column chromatography on silica gel (2-20% MeOH/DCM) to afford the product, 34(4-amino-3-(3-hydroxyphenyl)-1H-pyrazolo [3,4-d]pyrimidin-1-yl)methyl)-2-isopropyl-8-methylisoquinolin-1(2H)-one (2009) (53 mg, 61% yield) as a slightly yellow solid.
-
- 3-(Bromomethyl)-8-methyl-2-o-tolylisoquinolin-1(2H)-one (342 mg, 1.0 mmol) 1610 was dissolved in methylamine solution (100 mL) and stirred for 2 h. The mixturen was poured into ice-water (200 mL) and extracted with ethyl acetate (3×50 mL). The combined organic layer was washed with brine (20 mL), dried over Na2SO4 and filtered. The filtrate was concentrated in vacuo to afford the desired product, 8-methyl-3-((methylamino)methyl)-2-o-tolylisoquinolin-1(2H)-one (4001) (250 mg, 86% yield) as a yellow solid. The product obtained was used directly in the next step without purification.
- 8-Methyl-3-((methylamino)methyl)-2-o-tolylisoquinolin-1(2H)-one (233 mg, 0.8 mmol) (4001) and 6-chloro-9-(tetrahydro-2H-pyran-2-yl)-9H-purine (4002) (238 mg, 1.0 mmol) were dissolved in EtOH (50 mL) and the resulting mixture was stirred at reflux for 2 h. The mixture was allowed to cool to RT, and concentrated in vacuo. The residue was purified by flash column chromatography on silica gel (2-20% MeOH/DCM) to afford the product, 8-Methyl-3-((methyl(9-(tetrahydro-2H-pyran-2-yl)-9H-purin-6-yl)amino)methyl)-2-o-tolylisoquinolin-1(2H)-one (4003) (200 mg, 51% yield) as a slight yellow solid.
- 8-Methyl-3-((methyl(9-(tetrahydro-2H-pyran-2-yl)-9H-purin-6-yl)amino)methyl)-2-o-tolylisoquinolin-1(2H)-one (4003) (180 mg 0.36 mmol) was dissolved in MeOH (HCl) (50 mL) and the mixture was stirred at RT for 2 h. Aqueous NaHCO3 solution was added to the reaction mixture and the pH value was adjusted to 9. The mixture was filtered and the filtrate was concentrated in vacuo to afford the desired product, 8-methyl-3-((methyl(9H-purin-6-yl)amino)methyl)-2-o-tolylisoquinolin-1(2H)-one (4004) (80 mg, 54% yield) as a yellow solid.
-
- To a stirred solution of 3-(hydroxymethyl)-8-methyl-2-o-tolylisoquinolin-1(2H)-one 1609 (2.79 g, 10 mmol) in CH2Cl2 (200 mL), MnO2 (5 g) was added and the resulting mixture was stirred at reflux for 3 h. The mixture was allowed to cool to RT, and concentrated in vacuo. The residue was purified by flash column chromatography on silica gel (10-50% EA/PE) to afford the product, 8-methyl-1-oxo-2-o-tolyl-1,2-dihydroisoquinoline-3-carbaldehyde 4101 (2.5 g, 90% yield) as a white solid.
- 8-Methyl-1-oxo-2-o-tolyl-1,2-dihydroisoquinoline-3-carbaldehyde 4101 (2.4 g, 8.6 mmol) was dissolved in anhydrous THF (280 mL) and cooled to −78° C. under a nitrogen atmosphere. Methyl MgBr (2 M, 5 mL, 10 mmol) was added slowly, and the resulting mixture was stirred at −78° C. for 2 h. H2O (5 mL) was added and then the solution was poured into ice-water (200 mL) and extracted with ethyl acetate (3×50 mL). The combined organic layer was washed with brine, dried over Na2SO4 and filtered. The filtrate was concentrated in vacuo, and the residue product was purified by flash column chromatography on silica gel (10-50% EA/PE) to afford the product, 3-(1-hydroxyethyl)-8-methyl-2-o-tolylisoquinolin-1(2H)-one 4102 (1.8 g, 71% yield) as a white solid.
- To a solution of 3-(1-hydroxyethyl)-8-methyl-2-o-tolylisoquinolin-1(2H)-one 4102 (1.6 g, 5.5 mmol) in CH2Cl2, PPh3 (2.88 g, 11.0 mmol) was added and the resulting mixture was stirred at RT for 30 min. Then CBr4 (3.64 g, 11.0 mmol) was added in portions to the mixture at 0° C. The resulting mixture was allowed to warm to RT, stirred for 30 min, and concentrated in vacuo. The crude product was purified by flash column chromatography on silica gel (30-50% EA/PE) to afford the desired product, 3-(1-bromoethyl)-8-methyl-2-o-tolylisoquinolin-1(2H)-one 4103 (1.8 g, 91% yield) as a white solid.
- To a stirred solution of 9-(tetrahydro-2H-pyran-2-yl)-9H-purin-6-amine 4103 (436
mg 2 mmol) in anhydrous DMF (10 mL), NaH (60% in mineral oil, 77 mg, 2 mmol) was added and the mixture was stirred for 30 min. 3-(1-Bromoethyl)-8-methyl-2-o-tolylisoquinolin-1(2H)-one 4104 (700 mg, 2 mmol) was added. The mixture was stirred for 2 h, poured into ice-water (200 mL) and extracted with ethyl acetate (3×50 mL). The combined organic layer was washed with brine (20 mL), dried over Na2SO4 and filtered. The filtrate was concentrated in vacuo and the residue was purified by flash column chromatography on silica gel (10-50% MeOH/DCM) to afford the product, 8-methyl-3-(1-(9-(tetrahydro-2H-pyran-2-yl)-9H-purin-6-ylamino)ethyl)-2-o-tolylisoquinolin-1(2H)-one 4105 (500 mg, 51% yield) as a white solid. - 8-Methyl-3-(1-(9-(tetrahydro-2H-pyran-2-yl)-9H-purin-6-ylamino)ethyl)-2-o-tolylisoquinolin-1(2H)-one 4105 (180 mg, 0.36 mmol) was dissolved in MeOH (HCl) (50 mL) and stirred for 2 h. Aqueous NaHCO3 solution was added to the reaction mixture and the pH value was adjusted to 9. The mixture was then filtered and the filtrate was concentrated in vacuo to afford the desired product, 3-(1-(9H-purin-6-ylamino)ethyl)-8-methyl-2-o-tolylisoquinolin-1(2H)-one 4106 (80 mg, 54% yield) as a yellow solid.
-
- 3-((4-Amino -3-(3-fluoro -5-hydroxyphenyl)-1H-pyrazolo [3,4-d] pyrimidin-1-yl)methyl)-8-methyl-2-o -tolylisoquinolin-1(2H)-one 4301 (250 mg, 0.5 mmol) was dissolved in anhydrous THF (15 mL) in a round bottom flask in dark (covered by aluminum foil) and cooled to 0° C. under an argon atmosphere. CBr4 (498 mg, 1.5 mmol) was added followed by diethylphosphite (129 μL, 1.0 mmol) and triethylamine (417 μL, 1.5 mmol). The resulting mixture was stirred in dark from 0° C. to RT for 16 h. The mixture was then partitioned between ethyl acetate and brine. The organic layer was dried over Na2SO4, filtered and concentrated in vacuo. The residue was purified by column chromatography on silica gel eluting with methanol and dichloromethane to afford the desired product, 3-(4-amino-14(8-methyl-1-oxo-2-o-tolyl-1,2-dihydroisoquinolin-3-yl)methyl)-1H-pyrazolo[3,4-d]pyrimidin-3-yl)-5-fluorophenyl diethyl phosphate 4302 (200 mg, 62% yield) as an off-white solid.
- 3-(4-Amino -14(8-methyl-1-oxo-2-o-tolyl-1,2-dihydroisoquinolin-3-yl)methyl)-1H-pyrazolo[3,4-d]pyrimidin-3-yl)-5-fluorophenyl diethyl phosphate 4302 (170 mg, 0.26 mmol) was dissolved in anhydrous CH3CN (5 mL) and cooled to 0° C. under an argon atmosphere. TMSBr (0.34 mL, 2.64 mmol) was slowly added via a syringe and the resulting mixture was stirred from 0° C. to RT for 16 h. LC-MS showed small amount of staRT ing material left, additional amount of TMSBr (0.1 mL) was added and stirred at RT for 5 h. LC-MS showed the complete conversion. The mixture was concentrated in vacuo, and the residue was dissolved in Et2O (10 mL) and H2O (0.5 mL) and stirred for 30 min. The mixture was concentrated in vacuo to affords the desired product, 3-(4-amino -1-((8-methyl-1-oxo-2-o-tolyl-1,2-dihydroisoquinolin-3-yl)methyl)-1H-pyrazolo[3,4-d]pyrimidin-3-yl)-5-fluorophenyl dihydrogen phosphate 4303 (140 mg, 91% yield).
-
- A mixture of 2,6-dimethylbenzoic acid (compound 4401) (60 g, 400 mmol) and oxalyl chloride (101 g, 800 mmol) in CH2Cl2 (400 mL) was stirred at room temperature for 2 h. The mixture was concentrated in vacuo to afford the desired product, 2,6-dimethylbenzoyl chloride (compound 4402) (64 g, 95% yield) as a yellow oil. The material obtained was used directly in the next step without purification.
- A mixture of o-toluidine (45 g, 420 mmol) and triethylamine (71 g, 700 mmol) in CH2Cl2 (300 mL) was stirred at room temperature for 10 min. To this mixture, 2,6-dimethylbenzoyl chloride (compound 4402) (64 g, 400 mmol) was added dropwise and the resulting mixture was stirred at room temperature for 30 min. The reaction mixture was poured into water (300 mL), extracted with CH2Cl2 (3×200 mL), dried over anhydrous Na2SO4 and filtered. The filtrate was concentrated in vacuo to afford the crude product. The crude product was suspended in isopropyl ether (300 mL), stirred at reflux for 30 min and then was cooled to 0-5° C. The solid was collected by filtration and further dried in vacuo to afford the desired product, 2,6-dimethyl-N-o-tolylbenzamide (compound 4403) (81 g, 80% yield) as a yellow solid.
- To a stirred solution of 2,6-dimethyl-N-o-tolylbenzamide (compound 4403) (23.9 g, 0.1 mol, leq) and HMPA (17.9 g, 0.1 mol, 1 eq) in anhydrous THF (250 mL) at -78° C. under an argon atmosphere, n-butyllithium (100 mL, 2.5 M, 0.25 mol, 2.5 eq) was carefully added over 1 h and the reaction temperature was kept below −60° C. during the addition. The resulting mixture was stirred at −78° C. for 1 h, and then diethyl oxalate (17.6 g, 0.12 mol, 1.2 eq) was quickly added (the reaction temperature rose to −20° C. upon addition). The mixture was stirred at −50° C. for 10 min, and then quenched with water (100 mL). The inorganic salt was removed by filtration, and the filtrate was extracted with ethyl acetate (2×100 mL). The combined organic layer was washed with brine (100 mL), dried over MgSO4 and filtered. The filtrate was concentrated in vacuo to afford the crude product as a semi-solid oil. The crude product was slurried in isopropyl ether (100 mL) at room temperature for 10 min. The solid was collected by filtration and further dried in vacuo to afford the desired product, ethyl 3-(3-methyl-2-(o-tolylcathamoyl)phenyl)-2-oxopropanoate (compound 4404) (16.1 g, 47.4% yield) as a white solid.
- 3-(3-Methyl-2-(o-tolylcarbamoyl)phenyl)-2-oxopropanoate (compound 4404) (11.0 g, 32.4 mmol, 1 eq) was dissolved in HCl/MeOH (10 M, 100 mL, 10 mL/1 g of 4404) and stirred at reflux for 1 h. The reaction mixture was concentrated in vacuo, and the residue was slurried in ethyl acetate (10 mL) at room temperature for 30 min. The solid was collected by filtration and further dried in vacuo to afford the desired product, ethyl 8-methyl-1-oxo-2-o-tolyl-1,2-dihydroisoquinoline-3-carboxylate (compound 4405) (7.52 g, 72.5% yield) as a white solid.
- To a stirred solution of lithium aluminum hydride (8.28 g, 218 mol) in anhydrous THF (500 mL) at -78° C. under a nitrogen atmosphere, ethyl 8-methyl-1-oxo-2-o-tolyl-1,2-dihydroisoquinoline-3-carboxylate (compound 4405) (28 g, 87 mmol) was slowly added over a 10 min period of time. The resulting mixture was allowed to warm to −30° C., stirred for 30 min and analysis by thin layer chromatography showed completion of the reaction. Then the mixture was cooled to −78° C., and water (50 mL) was slowly added. The mixture was allowed to warm to room temperature, filtered through silica gel (10 g), and the filtrate was concentrated in vacuo. The crude product was poured into H2O (200 mL) and extracted with ethyl acetate (3×200 mL). The combined organic layer was washed with brine (50 mL), dried over Na2SO4 and filtered. The filtrate was concentrated in vacuo. The crude product was suspended in ethyl acetate (30 mL) and stirred for 10 min. The solid was collected by filtration and further dried in vacuo to afford the desired product, 3-(hydroxymethyl)-8-methyl-2-o-tolylisoquinolin-1(2H)-one (compound 4406) (22 g, 92% yield) as a white solid.
- Phosphorus tribromide (25.6 g, 95 mmol) was slowly added to a stirred solution of DMF (11.5 g, 158 mol) in acetonitrile (200 mL) at 0° C., and the resulting mixture was stirred at 0° C. for 30 min. 3-(Hydroxymethyl)-8-methyl-2-o-tolylisoquinolin-1-(2H)-one (compound 4406) (22 g, 78.8 mmol) was slowly added. Then the reaction mixture was allowed to warm to room temperature and stirred for 30 min. saturated aqueous NaHCO3 solution (50 mL) was slowly added and extracted with ethyl acetate (3×200 mL). The combined organic layer was washed with brine, dried over Na2SO4 and filtered. The filtrate was concentrated in vacuo. The crude product was suspended in isopropyl ether (50 mL) and then stirred for 10 min. The precipitate was collected by filtration and further dried in vacuo to afford the desired product, 3-(bromomethyl)-8-methyl-2-o-tolylisoquinolin-1(2H)-one (compound 4407) (21 g, 80% yield) as a white solid.
- 3-Iodo-1H-pymzolo[3,4-d]pyrimidin-4-amine (10.8 g, 41.4 mmol) and potassium tert-butoxide (4.4 g, 40 mmol) were dissolved in anhydrous DMF (150 mL) and stirred at room temperature for 30 min. 3-(Bromomethyl)-8-methyl-2-o-tolylisoquinolin-1(2H)-one (compound 4407) (13.7 g, 40 mmol) was added. The resulting mixture was stirred at room temperature for 30 min, poured into ice water (300 mL) and then extracted with ethyl acetate (3×200 mL). The combined organic layer was washed with brine (50 mL), dried over Na2SO4 and filtered. The filtrate was concentrated to about 100 ml in vacuo, the precipitate was collected by filtration to afford the first batch of desired product, 3-((4-amino-3-iodo-1H-pyrazolo[3,4-d]pyrimidin-1-yl)methyl)-8-methyl-2-o-tolylisoquinolin-1(2H)-one (compound 1611) (12 g, 60% yield) as a white solid. The filtrate was concentrated in vacuo and the residue was purified by flash column chromatography on silica gel (2-20% MeOH/DCM) to afford the second batch of desired product, 34(4-amino-3-iodo-1H-pyrazolo[3,4-d]pyrimidin-1-yl)methyl)-8-methyl-2-o-tolylisoquinolin-1(2H)-one (compound 1611) (6 g, 30% yield) as a white solid.
-
- To a stirred mixture of 3-((4-amino-3-iodo-1H-pyrazolo [3,4-d]pyrimidin-1-yl)methyl)-8-methyl-2-o-tolylisoquinolin-1(2H)-one (compound 1611) (1.50 g, 2.87 mmol) and tetrakis(triphenylphosphine)palladium (166 mg, 0.14 mmol) in anhydrous DMF (15 mL) under an argon atmosphere, tributyl vinyl tin (1.26 mL, 4.31 mmol) was added and the resulting mixture was stirred at 80° C. for 3 h. The reaction mixture was allowed to cool to room temperature, and then partitioned between water and ethyl acetate. The organic layer was washed with brine, dried over Na2SO4 and filtered. The filtrate was concentrated in vacuo and the residue was triturated with a minimal amount of anhydrous ethyl ether and filtered to afford the desired product, 3-((4-amino-3-vinyl-1H-pyrazolo[3,4-d]pyrimidin-1-yl)methyl)-8-methyl-2-o-tolylisoquinolin-1(2H)-one (compound 4501) (853 mg, 70% yield) as an off-white solid.
- To a stirred solution of 3-((4-amino-3-vinyl-1H-pyrazolo[3,4-d]pyrimidin-1-yl)methyl)-8-methyl-2-o-tolylisoquinolin-1(2H)-one (compound 4501) (853 mg, 2.0 mmol) in 1,4-dioxane-H2O (3:1, 30 mL) under an argon atmosphere, osmium tetroxide (2.5 wt % in t-BuOH, 252 μL, 0.020 mmol) was added and the resulting mixture was stirred at RT for 30 min. To this mixture, sodium periodate (863 mg, 4.0 mmol) was added and the resulting mixture was stirred for 3 h. The reaction mixture partitioned between water and ethyl acetate. The organic layer was washed with brine, dried over Na2SO4 and filtered. The filtrate was concentrated in vacuo to afford the desired product, 4-amino-14(8-methyl-1-oxo-2-o-tolyl-1,2-dihydroisoquinolin-3-yl)methyl)-1H-pyrazolo[3,4-d]pyrimidine-3-carbaldehyde as a tan/brown solid (compound 4502) (716 mg, 84% yield).
- To a stirred mixture of 4-amino-14(8-methyl-1-oxo-2-o-tolyl-1,2-dihydroisoquinolin-3-yl)methyl)-1H-pyrazolo [3,4-d]pyrimidine-3-cathaldehyde as a tan/brown solid (compound 4502) (841 mg, 1.98 mmol) in anhydrous MeOH (35 mL) at 0° C. under an argon atmosphere, NaBH4 (89 mg, 2.38 mmol) was added in portions. The mixture was stirred from 0° C. to RT for 2 h, and then was partitioned between water and ethyl acetate. The organic layer was washed with brine, dried over Na2SO4 and filtered. The filtrate was concentrated in vacuo to afford the desired product, 3-((4-amino-3-(hydroxymethyl)-1H-pyrazolo[3,4-d]pyrimidin-1-yl)methyl)-8-methyl-2-o-tolylisoquinolin-1(2H)-one (compound 4503) (626 mg, 74% yield) as dark brown solid.
- To a stirred suspension of 3-((4-amino-3-(hydroxymethyl)-1H-pyrazolo[3,4-d]pyrimidin-1-yl)methyl)-8-methyl-2-o-tolylisoquinolin-1(2H)-one (compound 4503) (50 mg, 0.12 mmol) in anhydrous DCM (2 mL) at 0° C. under an argon atmosphere, diethylaminosulfur trifluoride (DAST, 77 μL, 0.59 mmol) was slowly added and the resulting mixture was stirred from 0° C. to room termperature for 5 h. The reaction was quenched with water and extracted with ethyl acetate. The combined organic layer was washed with brine, dried over Na2SO4 and filtered. The filtrate was concentrated in vacuo and the residue was purified by prep-TLC plate (7% MeOH/DCM) to afford the desired product, 3-((4-amino-3-(fluoromethyl)-1H-pyrazolo[3,4-d]pyrimidin-1-yl)methyl)-8-methyl-2-o-tolylisoquinolin-1(2H)-one (compound 4504) (10.3 mg, 20% yield) as a white solid.
-
- To a stirred solution of 4-amino-1-((8-methyl-1-oxo-2-o-tolyl-1,2-dihydroisoquinolin-3-yl)methyl)-1H-pyrazolo[3,4-d]pyrimidine-3-cathaldehyde (compound 4502) (400 mg, 0.94 mmol) in t-BuOH (1.8 mL), a solution of NaH2PO4 (3.90 g, 28.27 mmol) in water (4.8 mL), methyl-2-butene (1.0 mL) and (dropwise) a solution of NaClO2 (767 mg, 6.78 mmol) in water (4.8 mL) were added sequentially. The mixture was stirred at RT for 3 h under an argon atmosphere. The pale yellow solution was acidified with aqueous HCl solution (2 M, 4 mL) to PH=2 and extracted with ethyl acetate. The combined organic layer was washed with brine, dried over anhydrous Na2SO4 and filtered. The filtrate was concentrated in vacuo, and the residue was triturated with anhydrous ethyl ether and ethyl acetate. The solid was collected by filtration to afford the desired product, 4-amino-1-((8-methyl-1-oxo-2-o-tolyl-1,2-dihydroisoquinolin-3-yl)methyl)-1H-pyrazolo[3,4-d]pyrimidine -3-carboxylic acid (compound 4601) (200 mg, 47% yield) as a yellow solid.
- To a stirred solution of 4-amino-1-((8-methyl-1-oxo-2-o-tolyl-1,2-dihydroisoquinolin-3-yl)methyl)-1H-pyrazolo[3,4-d]pyrimidine-3-carboxylic acid (compound 4601) (150 mg, 0.34 mmol) in anhydrous DCM (10 mL), oxalyl chloride (2.0 M in DCM, 0.22 mL) was slowly added followed by a catalytic amount of anhydrous DMF (1 drop). The resulting mixture was stirred at room temperature for 30 min and then concentrated in vacuo. The residue was re-dissolved in DCM (6 mL) and an excess amount of ammonium hydroxide was added (0.35 mL). The mixture was stirred at room temperature for 2 h, and then partitioned between ethyl acetate and water. The organic layer was washed with brine, dried over anhydrous Na2SO4 and filtered. The filtrate was concentrated in vacuo, and the residue was purified by flash column chromatography on silica gel (eluting with 5% MeOH/DCM) to afford the desired product, 4-amino-14(8-methyl-1-oxo-2-o-tolyl-1,2-dihydroisoquinolin-3-yl)methyl)-1H-pyrazolo[3,4-d]pyrimidine-3-carboxamide (compound 4602) (22 mg, 15% yield) as a white solid.
-
- To a stirred mixture of (S)-2-(tert-butoxycarbonylamino)propanoic acid (compound 4701) (189.1 g, 1 mol, 1 eq), triethylamine (404.8 g, 4 mol, 4 eq) and HOBt (135 g, 1.0 mol, 1 eq) in anhydrous dichloromethane (1.8 L) at 0° C., EDCI (384.3 g, 2 mol, 2 eq) was added in portions over 30 min. The resulting mixture was stirred at RT for 30 min, and then N,O-dimethylhydroxylamine hydrochloride (107.3 g, 1.1 mol, 1.1 eq) was added. The reaction mixture was stirred at RT for 20 h, and then quenched with water (1 L). The organic layer was washed with water (2×1 L) and brine (500 mL), dried over anhydrous MgSO4 and filtered. The filtrate was concentrated in vacuo. The crude product was slurried in petroleum ether (1 L) and stirred at RT for 10 min. The solid was collected by filtration and further dried in vacuo to afford the desired product, (S)-tert-butyl 1-(methoxy(methyl)amino)-1-oxopropan-2-ylcathamate (compound 4702) (218 g, 93.9% yield) as a white solid.
- To a stirred mixture of 2,6-dimethyl-N-phenylbenzamide (compound 4403, which may be synthesized as described in Example 9) (30 g, 0.13 mol, 1 eq) and HMPA (26 g, 0.16 mol, 1.2 eq) in anhydrous THF (300 mL) at −78° C. under an argon atmosphere, n-butyllithium (2.5 M, 100 mL, 0.25 mol, 2.5 eq) was carefully added (dropwise) over a lh and the reaction temperature was kept below −60° C. during the addition. The resulting mixture was stirred at −78° C. for 1 h. To this mixture, tert-butyl 1-(methoxy(methyl)amino)-1-oxopropan-2-yl carbamate (compound 4702) (40 g, 0.173 mol, 1.3 eq) was quickly added (the reaction temperature rose to −50° C. upon addition). The mixture was stirred at −50° C. for 10 min, quenched with water (300 mL) and extracted with ethyl acetate (2×100 mL). The combined organic layer was washed with water (500 mL×2) and brine (50 mL), dried over anhydrous MgSO4 and filtered. The filtrate was concentrated in vacuo to give the crude product as a semi-solid oil. The crude product was slurried in EA and stirred for 10 min. The white solid was removed by filtration. The filtrate was concentrated in vacuo, and the residue was stirred in a mixture of ethyl acetate (30 mL) and isopropyl alcohol (200 mL) at RT for 10 min. The solid was collected by filtration and further dried in vacuo to afford the desired product, tert-butyl4-(3-methyl-2-(phenylcarbamoyl)pheny)-3-oxobutan-2-yl carbamate (compound 4703) (9.23 g, 17.5% yield) as a white solid.
- Tert-Butyl-4-(3-methyl-2-(phenylcarbamoyl) pheny)-3-oxobutan-2-yl carbamate (compound 4703) (9.23 g, 23 mmol) was dissolved in HCl/MeOH (100 mL) and stirred at reflux for 30 min. The mixture was allowed to cool to RT, concentrated in vacuo, and then saturated Na2CO3 solution was added to adjust the PH to 7-8. The solid was collected by filtration and further dried in vacuo to afford the desired product, 3-(1-aminoethyl)-8-methyl-2-phenylisoquinolin-1(2H)-one (compound 4704) (5.8 g, 90% yield, S:R isomers=7:1) as a white solid.
- Resolution of isomers to increase the enantiomeric purity: 3-(1-Aminoethyl)-8-methyl-2-phenylisoquinolin-1(2H)-one (compound 4704) (where the ratio of isomers is S:R=7:1) (5 g, 18 mmol) was dissoved in MeOH (100 mL), (D)-tartaric-acid (2.7 g, 18 mmol) was added. The mixture was stirred at RT for 30 min and the solid was precipitated. The resulting mixture was stirred at reflux for 1 h, and then stirred at RT for 16 h. The solid was collected by filtration and rinsed with methanol (10 mL). The solid was then dissolved in H2O (15 mL) and saturated NaHCO3 (5 mL) was added to adjust the PH to 8. The solid was collected by filtration , rinsed with water (5 mL), and then dried in vacuo to afford the enantiomerically enriched product (compound 4704) (2.7 g, 58% yield,) where the ratio of isomers, S:R>41:1.This is an enantiomeric purity of greater than about 97.6% of the (S)-enantiomer. The ratio of two enantiomers was confirmed by coupling with (R)-(−)-alpha-methoxyphenylacetic acid and detection of the resultant diastereomers by Nuclear Magnetic Resonance Spectroscopy.
-
- Thionyl chloride (320.8 g, 2.7 mol, 1.2 eq) was added dropwise to stirred anhydrous MeOH (2 L) at 0° C. over 50 min and the reaction temperature was kept below 25° C. during the addition. The mixture was allowed to warm to room temperature and then (S)-2-aminopropanoic acid (compound 4801) (200 g, 2.24 mol, 1 eq) was added. The resulting mixture was stirred at room temperature for 20 h, and concentrated in vacuo to afford the desired product, (S)-methyl 2-aminopropanoate hydrochloride (compound 4802) as a white solid.
- To a stirred solution of above obtained (S)-methyl 2-aminopropanoate hydrochloride (compound 4802) in water (1.6 L) at room temperature, NaHCO3 (566.2 g, 6.741 mol, 3 eq) and a solution of di-tert-butyl dicarbonate (490.4 g, 2.247 g, 1 eq) in THF (1.6 L) were added sequentially. The resulting mixture was stirred at room temperature for 20 h. The inorganic salt was removed by filtration, and the filtrate was extracted with ethyl acetate (2×500 mL). The combined organic layer was washed with brine (500 mL), dried over anhydrous MgSO4 and filtered. The filtrate was concentrated in vacuo to afford the desired product, (S)-methyl 2-(tert-butoxycathonylamino)propanoate (compound 4803) (448 g, 98.2% yield) as a colorless crystal.
- To a stirred solution of 2,6-dimethyl-N-phenylbenzamide (compound 4403), which may be synthesized as described in Example 9) (30 g, 0.13 mol, 1 eq) and HMPA (26 g, 0.16 mol, 1.2 eq) in anhydrous THF (300 mL) at −78° C. under an argon atmosphere, n-butyllithium (100 mL, 2.5 M, 0.25 mol, 2.5 eq) was added carefully over 1 h and the reaction temperature was kept below −60° C. during addition. The resulting mixture was stirred at −78° C. for 1 h, and then (S)-methyl 2-(tert-butoxycarbonylamino)-propanoate (compound 4803) (35 g, 0.173 mol, 1.3 eq) was quickly added (the reaction temperature rose to −50° C. during addition). The mixture was stirred at −50° C. for 10 min, quenched with water (300 mL) and extracted with ethyl acetate (2×100 mL). The organic layer was washed with water (500 mL×2), dried over anhydrous MgSO4 and filtered. The filtrate was concentrated in vacuo to afford the crude product as a semi-solid oil. The crude product was slurried in ethyl acetate (500 mL) and stirred for 10 min. The solid was removed by filtration, and the filtrate was concentrated in vacuo. The oil residue was stirred in a mixture of ethyl acetate (30 mL) and isopropyl alcohol (200 mL) at room temperature for 10 min. The solid was collected by filtration and further dried in vacuo to afford the desired product, tert-butyl4-(3-methyl-2-(phenylcarbamoyl)pheny)-3-oxobutan-2-ylcarbamate (compound 4703) (4.61 g, 9% yield) as a white solid.
- Tert-Butyl 4-(3-methyl-2-(phenylcarbamoyl)phenyl)-3-oxobutan-2-ylcarbamate (compound 4703) (4.61 g, 0.012 mol) was dissolved in HCl/MeOH (50 mL) and stirred at reflux for 30 min. The mixture was concentrated in vacuo and then saturated Na2CO3 solution was added to adjust PH to about 7-8. The resulting solid was collected by filtration and further dried in vacuo to afford the desired product, 3-(1-aminoethyl)-8-methyl-2-phenylisoquinolin-1(2H)-one (compound 4704) (2.9 g, 90% yield, where the ratio of isomers is S:R=5:1) as a white solid.
-
- 3-(1-Aminoethyl)-8-methyl-2-phenylisoquinolin-1(2H)-one (compound 4704) (200 mg, 0.72 mmol), 6-chloro-9-(tetrahydro-2H-pyran-2-yl)-9H-purine (344 mg, 1.44 mmol) and DIPEA (279 mg, 2.16 mmol) were dissolved in n-BuOH (20 ml) , and the resulting mixture was stirred at reflux for 16 h. The reaction mixture was concentrated in vacuo and purified by flash column chromatography on silica gel (eluting with 30% to 50% Hex/EA) to afford the desired product, 8-methyl-2-phenyl-3-((1S)-1-(9-(tetrahydro-2H-pyran-2-yl)-9H-purin-6-ylamino)ethyl)isoquinolin-1(2H)-one (compound 4901) (207 mg, 60% yield) as a white solid.
- 8-Methyl-2-phenyl-3-((1S)-1-(9-(tetrahydro-2H-pyran-2-yl)-9H-purin-6-ylamino)ethyl)-isoquinolin-1(2H)-one (compound 4901) (200 mg, 0.42 mmol) was dissolved in HCl/EtOH (3 M, 5 mL) and the resulting mixture was stirred at room temperature for 1 h. The reaction mixture was quenched with saturated NaHCO3 aqueous solution and the PH was adjusted to about 7-8. The mixture was extracted with CH2Cl2 (50 mL×3), dried over anhydrous Na2SO4 and filtered. The filtrate was concentrated in vacuo, and the residue was recrystallized from ethyl acetate and hexanes (1:1). The solid was collected by filtration and dried in vacuo to afford the desired product, (S)-3-(1-(9H-purin-6-ylamino) ethyl)-8-methyl-2-phenylisoquinolin-1(2H)-one (compound 4902) (150 mg, 90% yield) as a white solid.
-
- The compound of Formula 4904 was synthesized using the synthetic transformations as described in Examples 13 and 14a, but 2-chloro-6-methyl benzoic acid (compound 4903) was used instead of 2, 6 ,dimethyl benzoic acid (compound 4403).
-
- A mixture of cyclopropanamine (24 g, 420 mmol) and triethylamine (71 g, 700 mmol) in CH2Cl2 (300 mL) was stirred at RT for 10 min. To this mixture, 2,6-dimethylbenzoyl chloride (compound 4402) (64 g, 400 mmol) was added dropwise, and the resulting mixture was stirred at room temperature for 30 min. The raction mixture was poured into water (300 mL) and extracted with CH2Cl2 (3×200 mL). The combined organic layer was dried over anhydrous Na2SO4 and filtered. The filtrate was concentrated in vacuo to afford the crude product. The crude product was suspended in isopropyl ether (IPE) (300 mL), stirred at reflux for 30 min and then was allowed to cool to 0-5° C. The precipitate was collected by filtration and further dried in vacuo to afford the desired product, N-cyclopropyl-2,6-dimethylbenzamide (compound 5001) (61 g, 80% yield) as a yellow solid.
- To a stirred solution of N-cyclopropyl-2,6-dimethylbenzamide (compound 5001) (25 g, 0.13 mol, 1 eq) and HMPA (26 g, 0.16 mol, 1.2 eq) in anhydrous THF (300 mL) at −78° C. under an argon atmosphere, n-butyllithium (2.5M, 100 mL, 0.25 mol, 2.5 eq) was added carefully over 1 h and the temperature was kept below -60° C. during addition. The resulting mixture was stirred at −78° C. for 1 h, and then tert-butyl 1-(methoxy(methyl)amino)-1-oxopropan-2-ylcarbamate (40 g, 0.173 mol, 1.3 eq) was quickly added (the reaction temperature rose to −50° C. during addition). The mixture was stirred at −50° C. for 10 min, quenched with water (300 mL) and extracted with ethyl acetate (2×100 mL). The combined organic layer was washed with water (500mL×2) and brine (100 mL), dried over anhydrous MgSO4 and filtered. The filtrate was concentrated in vacuo to afford the desired product, tert-butyl 4-(2-(cyclopropylcarbamoyl)-3-methylphenyl)-3-oxobutan-2-ylcarbamate (compound 5002) (32 g, 70% yield) as a yellow oil.
- Tert-Butyl 4-(2-(cyclopropylcarbamoyl)-3-methylphenyl)-3-oxobutan-2-ylcarbamate (compound 5002) (32 g, 88 mmol) was dissolved in HCl/MeOH (300 mL) and stirred at room temperature for 16 h. The mixture was concentrated in vacuo, and then saturated Na2CO3 aqueous solution was added to adjust the pH to about 7-8. The resulting solid was collected by filtration and further dried in vacuo to afford the desired product, 3-(1-aminoethyl)-8-methyl-2-phenylisoquinolin-1(2H)-one (compound 5003) (17 g, 80% yield, S:R=7:1) as a white solid.
- To a stirred solution of 3-(1-aminoethyl)-2-cyclopropyl-8-methylisoquinolin-1(2H)-one (S:R=7:1) (4.84 g, 20 mmol) (compound 5003) in MeOH (96.8 mL), (L) tartaric-acid (3.0 g, 20 mmol) was added and the resulting mixture was stirred at room temperature for 16 h. The precipitate was collected by filtration and rinsed with MeOH (10 mL). The solid was dissolved in H2O (15 mL) and statured NaHCO3 (5 mL) was added to adjust the pH to about 8. The resulting solid was collected by filtration, rinsed with water (5 mL), and dried in vacuo to afford the desired product (compound 5003) (1.94 g. 40% yield) as a single enantiomer (S configuration). The enantiomeric purity was confirmed by coupling with (R)-(−)-alpha-methoxyphenylacetic acid and performing Nuclear Magnetic Resonance Spectroscopy on the resulting diastereomeric mixture.
- (S)-3-(1-Aminoethyl)-2-cyclopropyl-8-methylisoquinolin-1(2H)-one (242 mg, 1 mmol) (compound 5003), 6-chloro-9-(tetrahydro-2H-pyran-2-yl)-9H-purine (344 mg, 1.44 mmol) and DIPEA (279 mg, 2.16 mmol) were dissolved in n-BuOH (20 mL), and the resulting mixture was stirred at reflux for 16 h. The reaction mixture was concentrated in vacuo and the residue was purified by flash column chromatography on silica gel (eluting with 30% to 50% Hex/EA) to afford the desired product, 2-cyclopropyl-8-methyl-3-((1 S)-1-(9-(tetrahydro-2H-Pyran-2-yl)-9H-purin-6-ylamino)ethypisoquinolin-1(2H)-one (compound 5004) (288 mg, 65% yield) as a white solid.
- 2-Cyclopropyl-8-methyl-3-((1S)-1-(9-(tetrahydro-2H-pyran-2-yl)-9H-purin-6-ylamino)ethypisoquinolin-1(2H)-one (compound 5004) (222 mg, 0.5 mmol) was dissolved in HCl/EtOH (3 M, 5 mL) and the resulting mixture was stirred at room temperature for 1 h. The reaction mixture was neutralized with saturated NaHCO3 solution to pH=7-8, and then extracted with CH2Cl2 (50 mL×3). The combined organic layer was washed with brine, dried over anhydrous Na2SO4 and filtered. The filtrate was concentrated in vacuo and the residue was recrystallized from ethyl acetate and hexanes (1:1). The solid was collected by filtration and dried in vacuo to afford the desired product, (S)-3-(1-(9H-purin-6-ylamino)ethyl)-2-cyclopropyl-8-methylisoquinolin-1(2H)-one (compound 5005) (150 mg, 83% yield) as a white solid.
-
- The compound of Formula 5011 was synthesized using the synthetic transformations as desribed in Example 15a, but 2-chloro-6-methyl benzoyl chloride (compound 5006) was used instead of 2, 6 ,dimethyl benzoyl chloride (compound 4402).
-
- A mixture of 3-(1-aminoethyl)-8-methyl-2-phenylisoquinolin- 1(2H)-one (compound 4704) (150 mg, 0.54 mmol), 2,4,5-trichloropyrimidine (119 mg, 0.65 mmol) and triethylamine (137 mg,1.35 mmol) in n-BuOH (10 mL) was stirred at reflux for 2 h. The mixture was allowed to cool to room temperature and then concentrated in vacuo. The residue was purified by flash column chromatography on silica gel (MeOH:CH2Cl2=1:100) to afford the desired product, (S)-3-(1-(2,5-dichloropyrimidin-4-ylamino)ethyl)-8-methyl-2-phenylisoquinolin-1(2H)-one (2H)-one (compound 5101) (170 mg, 74% yield) as a white solid.
- A mixture of (S)-3-(1-(2,5-dichloropyrimidin-4-ylamino)ethyl)-8-methyl-2-phenylisoquinolin-1(2H)-one (compound 5101) (85 mg, 0.20 mmol) in ammonia water (15 mL) in a sealed tube was stirred at 150° C. for 16 h. The solution was allowed to cool to room temperature and then partitioned between water (30 mL) and ethyl acetate (3×30mL). The combined organic layer was washed with brine (2×20 mL), dried over anhydrous Na2SO4 and filtered. The filtrate was concentrated in vacuo to afford the desired product, (S)-3-(1-(2-amino-5-chloropyrimidin-4-ylamino)ethyl)-8-methyl-2-phenylisoquinolin-1(2H)-one (compound 5102) (40 mg, 49.6% yield) as a white solid.
-
- To a stirred mixture of 6-chloro-2-fluoro-9H-purine (compound 5201) (2.07 g, 12.0 mmol) and p-toluenesulfonic acid monohydrate (34 mg, 0.18 mmol) in ethyl acetate (50 mL) under an argon atmosphere, 3,4-dihydropyran (3.03 g, 36.0 mmol) was added and the resulting mixture was stirred at reflux for 16 h. The reaction mixture was concentrated in vacuo and the residue was purified by flash column chromatography on silica gel (eluting with 10% Hex/EA) to afford the desired product, 6-chloro-2-fluoro-9-(tetrahydro-2H-pyran-2-yl)-9H-purine (compound 5202) (1.82 g, 59% yield) as a white solid.
- 3-(1-Aminoethyl)-8-methyl-2-phenylisoquinolin-1(2H)-one (200 mg, 0.72 mol), 6-chloro-2-fluoro-9-(tetrahydro-2H-pyran-2-yl)-9H-purine (compound 5202) (369 mg, 1.44 mmol) and DIPEA (279 mg, 2.16 mmol) were dissolved in n-BuOH (20 mL) in a sealed tube, and the resulting mixture was stirred at 120° C. for 16 h. The reaction mixture was concentrated in vacuo and the residue was purified by flash column chromatography on silica gel (eluting with 30% to 50% Hex/EA) to afford the desired product, 3-(1-(2-fluoro-9-(tetrahydro-2H-pyran-2-yl)-9H-purin-ylamino)ethyl)-8-methyl-2-phenylisoquinolin-1(2H)-one (compound 5203) (167 mg, 47% yield) as a white solid.
- 3-(1-(2-Fluoro-9-(tetrahydro -2H-pyran-2-yl)-9H-purin-6-ylamino)ethyl)-8-methyl-2-phenylisoquinolin-1 (2H)-one (compound 5203) (160 mg, 0.32 mmol) was dissolved in HCl/EtOH (3 M, 5 mL) and the resulting mixture was stirred at room temperature for 1 h. The mixture was neutralized with saturated NaHCO3 aqueous solution to pH=7-8, and extracted with CH2Cl2 (50 mL×3). The combined organic layer was washed with brine, dried over anhydrous Na2SO4 and filtered. The filtrate was concentrated in vacuo and the residue was recrystallized from ethyl acetate and hexanes. The solid was collected by filtration and dried in vacuo to afford the desired product, 3-(1-(2-fluoro-9H-purin-6- ylamino)ethyl)-8-methyl-2-phenylisoquinolin -1(2H)-one (compound 5204) (125 mg, 94% yield) as a white solid.
-
- To a stirred mixture of 2,6-dichloro-9H-purine (compound 5301) (2.27 g, 12.0 mmol) and p-toluenesulfonic acid monohydrate (34 mg, 0.18 mmol) in ethyl acetate (50 mL) under an argon atmosphere, 3,4-dihydropyran (3.03 g, 36.0 mmol) was added and the resulting mixture was stirred at reflux for 16 h. The reaction mixture was concentrated in vacuo and the residue was purified by flash column chromatography on silica gel (eluting with 10% Hex/EA) to afford the desired product, 2,6-dichloro-9-(tetrahydro-2H-pyran-2-yl)-9H-purine (compound 5302) (2.04 g, 62% yield) as a white solid.
- 3-(1-Aminoethyl)-8-methyl-2-phenylisoquinolin-1(2H)-one (compound 4704) (200 mg, 0.72 mol), 2,6-dichloro-9-(tetrahydro-2H-pyran-2-yl)-9H-purine (compound 5302) (393 mg, 1.44 mmol) and DIPEA (279 mg, 2.16 mmol) were dissolved in n-BuOH (20 mL) in a sealed tube, and the resulting mixture was stirred at 120° C. for 16 h. The reaction mixture was concentrated in vacuo and the residue was purified by flash column chromatography on silica gel (eluting with 30% to 50% Hex/EA) to afford the desired product, 3-(1-(2-chloro-9-(tetrahydro-2H-pyran-2-yl)-9H-purin-6-ylamino)ethyl)-8-methyl-2-phenylisoquinolin-1(2H)-one (compound 5303) (172 mg, 46% yield) as a white solid.
- 3-(1-(2-Chloro -9-(tetrahydro -2H-pyran-2-yl)-9H-purin-6-ylamino)ethyl)-8-methyl-2-phenylisoquinolin-1(2H)-one (compound 5303) (172 mg, 0.33 mmol) was dissolved in HCl/EtOH (3 M, 5 mL) and the resulting mixture was stirred at room temperature for 1 h. The mixture was neutralized with saturated NaHCO3 aqueous solution to pH =7-8, and then extracted with CH2Cl2 (50 mL×3). The combined organic layer was washed with brine, dried over Na2SO4 and filtered. The filtrate was concentrated in vacuo and recrystallized from ethyl acetate and hexanes. The solid was collected by filtration and dried in vacuo to afford the desired product, 3-(1-(2-chloro-9H- purin-6-ylamino)ethyl)-8-methyl-2-phenylisoquinolin-1(2H)-one (compound 5304) (128 mg, 90% yield) as a white solid.
-
- (S)-3-(1-Aminoethyl)-8-methyl-2-phenylisoquinolin-1(2H)-one (compound 4704) (100 mg, 0.36 mmol), 2-Amino-6-chloropurine (compound 5401) (60.9 mg, 0.36 mmol) and N,N-diisopropylethyl amine (69 μL, 0.40 mmol) were suspended in n-BuOH (4 mL) in a sealed tube, and the resulting mixture was stirred at 100° C. for 48 h and then at 120° C. for 24 h. The mixture was allowed to cool to room temperature and concentrate in vacuo to remove n-BuOH. The residue was partitioned between ethyl acetate and water. The organic layer was washed with brine, dried over Na2SO4 and filtered. The filtrate was concentrated in vacuo. The residue was triturated with anhydrous ethyl ether and further purified by flash column chromatography on silica gel (eluting with 0-8% MeOH/DCM) to afford the desired product, (S)-3-(1-(2-amino-9H-purin-6-ylamino)ethyl)-8-methyl-2-phenylisoquinolin-1(2H)-one as a off white/yellow solid (compound 5402), (28 mg, 20%).
-
- To a stirred mixture of 4-chloro-7H-pyrrolo[2,3-d]pyrimidine (compound 5501) (3.99 g, 26.0 mmol) in dry CH2Cl2 (150 mL) under an argon atmosphere, N-bromosuccinimide (6.02 g, 33.8 mmol) was added. The reaction mixture was stirred at room temperature for 3 h, diluted with MeOH (30 mL), and then concentrated in vacuo to yield a slight brown solid. The residue was triturated with H2O (150 mL) and then recrystallized from MeOH (120 mL). The solid was collected by filtration and dried in vacuo to afford the desired product, 5-bromo-4-chloro-7H-pyrrolo[2,3-d]pyrimidine (compound 5502) (4.0 g, 66% yield) as a white solid.
- To a stirred solution of 5-bromo-4-chloro-7H-pyrrolo[2,3-d]pyrimidine (compound 5502) (2.33 g, 10.0 mmol) in anhydrous THF (100 mL) at −78° C. under an argon atmosphere, a solution of n-BuLi (8.8 mL, 22.0 mmol) in THF (50 mL) was added dropwise over 10 min. The reaction mixture was stirred at −78° C. for 1 h and then DMF (2.00 g, 11.0 mmol) was added dropwise over 10 min. The reaction mixture was stirred at −78° C. for 30 min, and then was allowed to slowly warm to room temperature and stirred at room temperature for 16 h. The mixture was diluted with H2O (50 mL), and then concentrated in vacuo to remove THF. The resulting slurry was treated with saturated NH4Cl aqueous solution (50 mL), filtered, washed with ethyl acetate (100 mL), and dried in vacuo to afford the desired product, 4-chloro-7H-pyrrolo[2,3-d]pyrimidine-5-carbaldehyde (compound 5503) (1.17 g, 65% yield) as a white solid.
- To a stirred mixture of 4-chloro-7H-pyrrolo[2,3-d]pyrimidine-5-carbaldehyde (compound 5503) (1.17 g, 6.47 mmol) in EtOH (25 mL), hydroxylamine hydrochloride solid (0.54 g, 7.77 mmol) and a solution of NaOH (0.311 g, 7.77 mmol) in H2O (4 mL) were added sequentially The reaction mixture was stirred at room temperature for 30 min and diluted with a sufficient amount of EtOH (30 mL) and stirring was continued for 30 min. The solid was collected by filtration, rinsed with H2O (100 mL) and dried in vacuo to afford the desired product, 4-chloro-7H-pyrrolo[2,3-d]pyrimidine-5-carbaldehyde oxime (compound 5504) (0.89 g, 70% yield) as a mixture of isomers.
- To a stirred mixture of 4-chloro-7H-pyrrolo[2,3-d]pyrimidine-5-carbaldehyde oxime (compound 5504) (865 mg, 4.40 mmol) in CH2Cl2 (20 mL), SOCl2 (3.1 mL, 43.7 mmol) was added and the resulting mixture was stirred at room temperature for 16 h. The reaction mixture was concentrated in vacuo. The residue was treated with ethyl acetate (20 mL), H2O (20 mL) and then saturated NaHCO3 aqueous solution (50 mL) to adjust pH to about 3-4. The mixture was stirred at room temperature for 15 min and the solid was collected by filtration. The filtrate was extracted with ethyl acetate (80 mL×3), dried over Na2SO4 and filtered. The filtrate was concentrated in vacuo to afford the second batch of product. The combined solid was recrystallized from ethyl acetate and hexanes (1:1, 20 mL). The solid was collected by filtration and dried in vacuo to afford the desired product, 4-chloro-7H-pyrrolo[2,3-d]pyrimidine-5-carbonitrile (compound 5505) (763 mg, 97% yield).
- (S)-3-(1-Aminoethyl)-8-methyl-2-phenylisoquinolin-1(2H)-one (compound 4704) (208 mg, 0.75 mol), 4-chloro-7H-pyrrolo[2,3-d]pyrimidine-5-carbonitrile (compound 5505) (160 mg, 0.90 mmol) and Et3N (228 mg, 2.25 mmol) were dissolved in n-BuOH (20 mL) in a sealed tube, and the resulting mixture stirred at 150° C. for 16 h. The reaction mixture was concentrated in vacuo, and the residue was purified by flash column chromatography on silica gel (eluting with 50% Hex/EA) to afford the desired product, (S)-4-(1-(8-methyl-1-oxo-2-phenyl-1,2-dihydroisoquinolin-3-ypethylamino)-7H-pyrrolo[2,3-d]pyrimidine -5-carbonitrile (compound 5506) (90 mg, 28% yield) as a white solid.
-
-
TABLE 3 In Vitro IC50 data for selected compounds + (greater than 10 ++ (less than 10 +++ (less than 1 IC50 (nM) microMolar) microMolar) microMolar ++++ (less than 100 nM) PI3K δ Compound No. Compound No. Compound No. Compound No. 197, 199, 241, 259, 1, 5, 22, 27, 38, 39, 4, 14, 15, 17, 18, 21, 2, 3, 6, 7, 8, 9, 10, 11, 261, 263, 280, 282, 40, 41, 46, 92, 117, 26, 29, 31, 32, 34, 35, 12, 13, 16, 19, 20, 23, 283, 314, 315, 318, 118, 120, 129, 132, 36, 42, 43, 44, 45, 47, 24, 25, 28, 30, 33, 37, 321, 322 164, 165, 172, 188, 49, 57, 69, 71, 85, 87, 48, 50, 51, 52, 53, 54, 186, 193, 194, 195, 94, 106, 107, 143, 55, 56, 58, 59, 60, 61, 217, 242, 246, 281, 175, 179, 181, 182, 62, 63, 64, 65, 66, 67, 284, 305, 317, 325 183, 187, 189, 192, 68, 70, 72, 73, 74, 75, 225, 226, 228, 235, 76, 77, 78, 79, 80, 81, 236, 239, 248, 250, 82, 83, 84, 86, 88, 89, 258, 269, 274, 275, 90, 91, 93, 95, 96, 97, 285, 286, 297, 298, 98, 99, 100, 101, 102, 299, 300, 307, 309, 103, 104, 105, 108, 313, 319, 109, 110, 111, 112, 113, 114, 115, 119, 123, 124, 125, 126, 128, 134, 135, 136, 137, 138, 139, 141, 142, 144, 145, 146, 147, 148, 149, 150, 151. 152, 153, 154, 155, 156, 157, 158, 159, 160, 161, 162, 166, 167, 168, 169, 170, 171, 173, 174, 176, 177, 178, 180, 185, 188, 190, 191, 196, 198, 200, 201, 202, 203, 204, 205, 206, 207, 208, 209, 210, 211, 212, 213, 214, 215, 216, 218, 219, 220, 221, 222, 223, 224, 227, 229, 230, 231, 232, 233, 234, 237, 238, 240, 243, 244, 245, 247, 249, 251, 252, 253, 254, 255, 256, 257, 260, 262, 264, 265, 266, 267, 268, 270, 271, 272, 273, 276, 277, 278, 279, 287, 288, 289, 290, 291, 292, 293, 294, 295, 296, 301, 302, 303, 306, 308, 310, 311, 312, 316, 320, 323, 324 PI3K γ Compound No. Compound No. Compound No. Compound No. 1, 4, 5, 18, 38, 43, 60, 17, 34, 35, 37, 38, 40, 2, 8, 9, 10, 11, 14, 15, 3, 6, 7, 12, 13, 16, 19, 69, 169, 172, 192, 42, 57, 61, 65, 91, 92, 20, 22, 27, 28, 39, 41, 21, 23, 24, 25, 26, 29, 193, 194, 199, 227, 94, 105, 107, 164, 46, 47, 49, 51, 55, 58, 30, 31, 33, 36, 44, 45, 228, 233, 259, 263, 170, 175, 179, 181, 66, 70, 71, 73, 76, 78, 48, 50, 52, 53, 54, 56, 280, 281, 282, 283, 183, 184, 186, 187, 80, 93, 98, 99, 100, 59, 62, 63, 64, 67, 68, 314, 315, 317, 318, 189, 195, 197, 219, 103, 104, 106, 108, 72, 74, 75, 77, 79, 81, 321, 322, 325 221, 224, 232, 239, 109, 161, 162, 163, 82, 83, 84, 86, 87, 88, 241, 242, 246, 248, 165, 166, 180, 188, 89, 90, 95, 96, 97, 258, 261, 274, 284, 202, 206, 209, 212, 101, 102, 142, 145, 285, 294, 299, 303, 214, 216, 218, 220, 146, 147, 148, 149, 305, 307, 309, 312, 222, 229, 234, 236, 150, 151, 152, 160, 313, 319 238, 250, 267, 268, 167, 168, 171, 173, 269, 271, 275, 279, 174, 176, 177, 178. 286, 293, 298, 300, 182, 185, 190, 191, 301, 308, 316 196, 198, 200, 201, 203, 204, 205, 207, 208, 210, 211, 213, 215, 223, 230, 231, 235, 237, 240, 243, 244, 245, 247, 249, 251, 252, 253, 254, 255, 256, 257, 260, 262, 264, 265, 266, 270, 272, 273, 276, 277, 278, 287, 288, 289, 290, 291, 292, 295, 296, 302, 304, 306, 310, 311, 320, 323, 324 PI3K α Compound No. Compound No. Compound No. Compound No. 6, 8, 9, 10, 11, 12, 13, 3, 7, 63, 66, 84, 86, 53, 95, 101, 102, 145, 142, 148, 150, 153, 14, 15, 16, 17, 18, 19, 89, 90, 97, 108, 113, 147, 149, 151, 177, 154, 155, 156, 157, 20, 21, 22, 23, 24, 25, 115, 152, 168, 171, 208, 257, 260, 262, 158, 159, 176, 201, 26, 27, 28, 29, 30, 31, 173, 185, 190, 198, 264, 270, 272, 276, 252 32, 33, 34, 35, 36, 37, 203, 204, 205, 206, 277, 278, 287, 288, 39, 40, 41, 42, 43, 44, 207, 209, 210, 213, 289, 320, 323 45, 46, 47, 48, 49, 50, 223, 235, 237, 240, 51, 52, 54, 55, 56, 57, 243, 244, 245, 251, 58, 59, 60, 61, 62, 64, 253, 254, 255, 256, 65, 67, 68, 69, 70, 71, 269, 273, 279, 291, 72, 73, 74, 79, 80, 81, 292, 295, 296 82, 83, 85, 87, 88, 91, 93, 96, 98, 99, 100, 103, 104, 105, 106, 107, 109, 110, 111, 112, 114, 146, 160, 161, 162, 163, 164, 165, 166, 167, 169, 170, 172, 174, 175, 179, 180, 181, 182, 183, 184, 186, 187, 188, 189, 191, 192, 193, 194, 197, 202, 211, 212, 214, 215, 216, 218, 219, 220, 221, 222, 224, 227, 228, 238, 239, 241, 242, 246, 247, 248, 249, 250, 258, 259, 261, 263, 265, 266, 267, 268, 271, 274, 275, 280, 281, 282, 283, 284, 285, 286, 290, 293, 294, 298, 299, 300, 304, 308, 309, 313, 314, 315, 316, 317, 318, 319, 321, 322, 324, 325 PI3K β Compound No. Compound No. Compound No. Compound No. 8, 9, 10, 11, 14, 21, 3, 12, 13, 23, 25, 53, 7, 62, 66, 82, 89, 90, 101, 142, 155, 156, 22, 24, 26, 27, 28, 29, 55, 58, 61, 63, 65, 67, 95, 97, 100, 102, 150, 157, 200, 253, 254, 34, 35, 36, 37, 38, 39, 71, 72, 74, 75, 77, 81, 153, 159, 176, 185, 255, 256, 257, 260, 40, 41, 42, 43, 44, 46, 82, 83, 84, 85, 86, 96, 201, 204, 208, 213, 262, 264, 268, 270, 52, 54, 56, 57, 59, 60, 99, 106, 108, 110, 227, 237, 251, 252, 272, 273, 278, 279, 64, 68, 69, 70, 73, 76, 111, 113, 114, 115, 267, 276, 277, 290, 287, 288, 289, 291, 78, 79, 80, 87, 88, 91, 145, 147, 149, 151, 292, 293 320, 323, 93, 98, 103, 104, 105, 154, 158, 160, 161, 107, 109, 112, 146, 167, 168, 171, 173, 152, 162, 163, 164, 174, 177, 178, 190, 165, 166, 169, 170, 191, 198, 202, 203, 172, 175, 179, 180, 205, 206, 207, 209, 181, 182, 183, 184, 210, 211, 212, 214, 186, 187, 188, 189, 215, 219, 220, 223, 192, 193, 194, 197, 228, 235, 240, 243, 216, 217, 218, 221, 244, 247, 249, 265, 222, 224, 238, 248, 269, 274, 281, 295, 259, 261, 263, 266, 296, 298, 300, 308, 271, 275, 280, 282, 316, 324 283, 284, 285, 286, 294, 299, 304, 310, 311, 312, 315, 317, 321, 322, 325 B cell Compound No. Compound No. Compound No. Compound No. proliferation 38, 162, 199 1, 2, 5, 22, 26, 27, 39, 4, 8, 9, 10, 11, 14, 15, 3, 6, 7, 12, 13, 16, 17, EC50 (nM) 40, 43, 49, 57, 71, 87, 18, 19, 20, 21, 24, 25, 23, 33, 37, 44, 48, 53, 112, 197, 207, 235 28, 29, 30, 31, 32, 34, 54, 55, 62, 63, 66, 67, 35, 36, 41, 42, 45, 46, 68, 72, 73, 74, 75, 81, 47, 50, 51, 61, 69, 70, 82, 83, 84, 88, 89, 90, 76, 77, 78, 79, 80, 85, 93, 95, 96, 97, 99, 86, 91, 98, 100, 103, 101, 102, 108, 109, 104, 105, 106, 107, 113, 115, 123, 125, 110, 111, 114, 119, 126, 128, 134, 136, 124, 133, 135, 145, 137, 138, 139, 141, 152, 161, 162, 163, 142, 144, 146, 147, 169, 195, 212, 243, 148, 149, 150, 151, 294, 312 153, 154, 155, 156, 157, 158, 159, 160, 166, 167, 168, 170, 171, 173, 174, 176, 177, 178, 180, 187, 185, 188, 190, 191. 196, 198, 200, 201, 202, 203, 204, 205, 206, 208, 209, 210, 211, 213, 214, 215, 216, 219, 220, 221, 222, 223, 224, 227, 228, 229, 230, 231, 232, 233, 234, 237, 244, 245, 247, 248, 249, 251, 252, 253, 254, 255, 256, 257, 270, 276, 277, 278, 289, 290, 292, 295, 296, 298, 300, 301, 302, 303, 306, 308, 310, 311 -
TABLE 4 Structures of the Compounds for the IC50 results described in Table 3. Structure Compound 1Compound 2Compound 3Compound 4Compound 5Compound 6Compound 7Compound 8Compound 9 Compound 10Compound 11 Compound 13 Compound 12Compound 13 Compound 14Compound 15Compound 16Compound 17 Compound 18Compound 19 Compound 20 Compound 21Compound 22 Compound 23 Compound 24Compound 25 Compound 26 Compound 27 Compound 28 Compound 29 Compound 30Compound 31 Compound 32 Compound 33 Compound 34 Compound 35 Compound 36 Compound 37 Compound 38 Compound 39 Compound 40 Compound 41 Compound 42 Compound 43 Compound 44 Compound 45 Compound 46 Compound 47 Compound 48 Compound 49 Compound 50 Compound 51 Compound 52 Compound 53Compound 54 Compound 55 Compound 56 Compound 57 Compound 58 Compound 59 Compound 60Compound 61 Compound 62 Compound 63 Compound 64 Compound 65 Compound 66 Compound 67 Compound 68 Compound 69 Compound 70 Compound 71 Compound 72 Compound 73 Compound 74 Compound 75Compound 76 Compound 77 Compound 78 Compound 79 Compound 80 Compound 81 Compound 82 Compound 83 Compound 84 Compound 85 Compound 86Comppund 87Compound 88 Compound 89 Compound 90 Compound 91 Compound 92 Compound 93 Compound 94 Compound 95 Compound 96 Compound 97 Compound 98 Compound 99 Compound 100 Compound 101 Compound 102 Compound 103 Compound 104 Compound 105 Compound 106 Compound 107 Compound 108 Compound 109 Compound 110 Compound 111 Compound 112 Compound 113 Compound 114 Compound 115 Compound 116 Compound 117 Compound 118 Compound 119 Compound 120 Compound 121 Compound 122 Compound 123 Compound 124 Compound 125 Compound 126 Compound 127 Compound 128 Compound 129 Compound 130 Compound 131 Compound 132 Compound 133 Compound 134 Compound 135 Compound 136 Compound 137 Compound 138 Compound 139 Compound 141 Compound 142 Compound 143 Compound 144 Compound 145 Compound 146 Compound 147 Compound 148 Compound 149 Compound 150 Compound 151 Compound 152 Compound 153 Compound 154 Compound 155 Compound 156 Compound 157 Compound 158 Compound 159 Compound 160 Compound 161 Compound 162 Compound 163 Compound 164 Compound 165 Compound 166 Compound 167 Compound 168 Compound 169 Compound 170 Compound 171 Compound 172 Compound 173 Compound 174 Compound 175 Compound 176 Compound 177 Compound 178 Compound 179 Compound 180 Compound 181 Compound 182 Compound 183 Compound 184 Compound 185 Compound 186 Compound 187 Compound 188 Compound 189 Compound 190 Compound 191 Compound 192 Compound 193 Compound 194 Compound 195 Compound 196 Compound 197 Compound 198 Compound 199 Compound 200 Compound 201 Compound 202 Compound 203 Compound 204 Compound 205 Compound 206 Compound 207 Compound 208 Compound 209 Compound 210 Compound 211 Compound 212 Compound 213 Compound 214 Compound 215 Compound 216 Compound 217 Compound 218 Compound 219 Compound 220 Compound 221 Compound 222 Compound 223 Compound 224 Compound 225 Compound 226 Compound 227 Compound 228 Compound 229 Compound 230 Compound 231 Compound 232 Compound 233 Compound 234 Compound 235 Compound 236 Compound 237 Compound 238 Compound 239 Compound 240 Compound 241 Compound 242 Compound 243 Compound 244 Compound 245 Compound 246 Compound 247 Compound 248 Compound 249 Compound 250 Compound 251 Compound 252 Compound 253 Compound 254 Compound 255 Compound 256 Compound 257 Compound 258 Compound 259 Compound 260 Compound 261 Compound 262 Compound 263 Compound 264 Compound 265 Compound 266 Compound 267 Compound 268 Compound 269 Compound 270 Compound 271 Compound 272 Compound 273 Compound 274 Compound 275 Compound 276 Compound 277 Compound 278 Compound 279 Compound 280 Compound 281 Compound 282 Compound 283 Compound 284 Compound 285 Compound 286 Compound 287 Compound 288 Compound 289 Compound 290 Compound 291 Compound 292 Compound 293 Compound 294 Compound 295 Compound 296 Compound 297 Compound 298 Compound 299 Compound 300 Compound 301 Compound 302 Compound 303 Compound 304 Compound 305 Compound 306 Compound 307 Compound 308 Compound 309 Compound 310 Compound 311 Compound 312 Compound 313 Compound 314 Compound 315 Compound 316 Compound 317 Compound 318 Compound 319 Compound 320 Compound 321 Compound 322 Compound 323 Compound 324 Compound 325 - Class I PI3-Ks can be either purchased (p110α/p85α, p110β/p85α, p110δ/p85α from Upstate, and p110γ from Sigma) or expressed as previously described (Knight et al., 2004). IC50 values are measured using either a standard TLC assay for lipid kinase activity (described below) or a high-throughput membrane capture assay. Kinase reactions are performed by preparing a reaction mixture containing kinase, inhibitor (2% DMSO final concentration), buffer (25 mM HEPES, pH 7.4, 10 mM MgCl2), and freshly sonicated phosphatidylinositol (100 μg/ml). Reactions are initiated by the addition of ATP containing 10 μCi of γ-32P-ATP to a
final concentration 10 or 100 μM and allowed to proceed for 5 minutes at room temperature. For TLC analysis, reactions are then terminated by the addition of 105 μl 1N HCl followed by 160 μl CHCl3:MeOH (1:1). The biphasic mixture is vortexed, briefly centrifuged, and the organic phase is transferred to a new tube using a gel loading pipette tip precoated with CHCl3. This extract is spotted on TLC plates and developed for 3-4 hours in a 65:35 solution of n-propanol:1M acetic acid. The TLC plates are then dried, exposed to a phosphorimager screen (Storm, Amersham), and quantitated. For each compound, kinase activity is measured at 10-12 inhibitor concentrations representing two-fold dilutions from the highest concentration tested (typically, 200 μM). For compounds showing significant activity, IC50 determinations are repeated two to four times, and the reported value is the average of these independent measurements. - Other commercial kits or systems for assaying PI3-K activities are avaiable. The commercially available kits or systems can be used to screen for inhibitors and/or agonists of PI3-Ks including but not limited to PI 3-Kinase α, β, δ, and γ. Anr exemplary system is PI 3-Kinase (human) HTRF™ Assay from Upstate. The assay can be carried out according to the procedures suggested by the manufacturer. Briefly, the assay is a time resolved FRET assay that indirectly measures PIP3 product formed by the activity of a PI3-K. The kinase reaction is performed in a microtitre plate (e.g., a 384 well microtitre plate). The total reaction volume is approximately 20 ul per well. In the first step, each well receives 2 ul of test compound in 20% dimethylsulphoxide resulting in a 2% DMSO final concentration. Next, approximately 14.5 ul of a kinase/PIP2 mixture (diluted in 1× reaction buffer) is added per well for a final concentration of 0.25-0.3 ug/ml kinase and 10 uM PIP2. The plate is sealed and incubated for 15 minutes at room temperature. To start the reaction, 3.5 ul of ATP (diluted in 1× reaction buffer) is added per well for a final concentration of 10 uM ATP. The plate is sealed and incubated for 1 hour at room temperature. The reaction is stopped by adding 5 ul of Stop Solution per well and then 5 ul of Detection Mix is added per well. The plate is sealed, incubated for 1 hour at room temperature, and then read on an appropriate plate reader. Data is analyzed and IC50s are generated using
GraphPad Prism 5. - The cross-activity or lack thereof of one or more compounds of the present invention against Abl kinase can be measured according to any procedures known in the art or methods disclosed below. For example, the compounds described herein can be assayed in triplicate against recombinant full-length Abl or Abl (T315I) (Upstate) in an assay containing 25 mM HEPES, pH 7.4, 10 mM MgCl2, 200 μM ATP (2.5 μCi of γ-32P-ATP), and 0.5 mg/mL BSA. The optimized Abl peptide substrate EAIYAAPFAKKK is used as phosphoacceptor (200 μM). Reactions are terminated by spotting onto phosphocellulose sheets, which are washed with 0.5% phosphoric acid (approximately 6 times, 5-10 minutes each). Sheets are dried and the transferred mdioactivity quantitated by phosphorimaging.
- The cross-activity or lack thereof of one or more compounds of the present invention against Hck kinase can be measured according to any procedures known in the art or methods disclosed below. The compounds described herein can be assayed in triplicate against recombinant full-length Hck in an assay containing 25 mM HEPES, pH 7.4, 10 mM MgCl2, 200 μM ATP (2.5 μCi of γ-32P-ATP), and 0.5 mg/mL BSA. The optimized Src family kinase peptide substrate EIYGEFKKK is used as phosphoacceptor (200 μM). Reactions are terminated by spotting onto phosphocellulose sheets, which are washed with 0.5% phosphoric acid (approximately 6 times, 5-10 minutes each). Sheets are dried and the transferred radioactivity quantitated by phosphorimaging.
- The cross-activity or lack thereof of one or more compounds of the present invention against IR receptor kinase can be measured according to any procedures known in the art or methods disclosed below. The compounds described herein can be assayed in triplicate against recombinant insulin receptor kinase domain (Upstate) in an assay containing 25 mM HEPES, pH 7.4, 10 mM MgCl2, 10 mM MnCl2, 200 μM ATP (2.5 μCi of γ-32P-ATP), and 0.5 mg/mL BSA. Poly E-Y (Sigma; 2 mg/mL) is used as a substrate. Reactions are terminated by spotting onto nitrocellulose, which is washed with 1M NaCl/1% phosphoric acid (approximately 6 times, 5-10 minutes each). Sheets are dried and the transferred radioactivity quantitated by phosphorimaging.
- The cross-activity or lack thereof of one or more compounds of the present invention against Src kinase can be measured according to any procedures known in the art or methods disclosed below. The compounds described herein can be assayed in triplicate against recombinant full-length Src or Src (T3381) in an assay containing 25 mM HEPES, pH 7.4, 10 mM MgCl2, 200 μM ATP (2.5 μCi of γ-32P-ATP), and 0.5 mg/mL BSA. The optimized Src family kinase peptide substrate EIYGEFKKK is used as phosphoacceptor (200 μM). Reactions are terminated by spotting onto phosphocellulose sheets, which are washed with 0.5% phosphoric acid (approximately 6 times, 5-10 minutes each). Sheets were dried and the transferred mdioactivity quantitated by phosphorimaging.
- The cross-activity or lack thereof of one or more compounds of the present invention against DNAK kinase can be measured according to any procedures known in the art. DNA-PK can be purchased from Promega and assayed using the DNA-PK Assay System (Promega) according to the manufacturer's instructions.
- The cross-activity or lack thereof of one or more compounds of the present invention against mTor can be measured according to any procedures known in the art or methods disclosed below. The compounds described herein can be tested against recombinant mTOR (Invitrogen) in an assay containing 50 mM HEPES, pH 7.5, 1 mM EGTA, 10 mM MgCl2, 2.5 mM, 0.01% Tween, 10 μM ATP (2.5 μCi of μ-32P-ATP), and 3 μg/mL BSA. Rat recombinant PHAS-1/4EBP1 (Calbiochem; 2 mg/mL) is used as a substrate. Reactions are terminated by spotting onto nitrocellulose, which is washed with 1M NaCl/1% phosphoric acid (approximately 6 times, 5-10 minutes each). Sheets are dried and the transferred radioactivity quantitated by phosphorimaging.
- Other kits or systems for assaying mTOR activity are commercially avaiable. For instance, one can use Invitrogen's LanthaScreen™ Kinase assay to test the inhibitors of mTOR disclosed herein. This assay is a time resolved FRET platform that measures the phosphorylation of GFP labeled 4EBP1 by mTOR kinase. The kinase reaction is performed in a white 384 well microtitre plate. The total reaction volume is 20 ul per well and the reaction buffer composition is 50 mM HEPES pH7.5, 0.01
% Polysorbate 20, 1 mM EGTA, 10 mM MnCl2, and 2 mM DTT. In the first step, each well receives 2 ul of test compound in 20% dimethylsulphoxide resulting in a 2% DMSO final concentration. Next, 8 ul of mTOR diluted in reaction buffer is added per well for a 60 ng/ml final concentration. To start the reaction, 10 ul of an ATP/GFP-4EBP1 mixture (diluted in reaction buffer) is added per well for a final concentration of 10 uM ATP and 0.5 uM GFP-4EBP1. The plate is sealed and incubated for 1 hour at room temperature. The reaction is stopped by adding 10 ul per well of a Tb-anti-pT46 4EBP1 antibody/EDTA mixture (diluted in TR-FRET buffer) for a final concentration of 1.3 nM antibody and 6.7 mM EDTA. The plate is sealed, incubated for 1 hour at room temperature, and then read on a plate reader set up for LanthaScreen™ TR-FRET. Data is analyzed and IC50s are generated usingGraphPad Prism 5. - The cross-activity or lack thereof of one or more compounds of the present invention against VEGF receptor can be measured according to any procedures known in the art or methods disclosed below. The compounds described herein can be tested against recombinant KDR receptor kinase domain (Invitrogen) in an assay containing 25 mM HEPES, pH 7.4, 10 mM MgCl2, 0.1% BME, 10 μM ATP (2.5 μCi of μ-32P-ATP), and 3 μg/mL BSA. Poly E-Y (Sigma; 2 mg/mL) is used as a substrate. Reactions are terminated by spotting onto nitrocellulose, which is washed with 1M NaCl/1% phosphoric acid (approximately 6 times, 5-10 minutes each). Sheets are dried and the transferred radioactivity quantitated by phosphorimaging.
- The cross-activity or lack thereof of one or more compounds of the present invention against EphB4 can be measured according to any procedures known in the art or methods disclosed below. The compounds described herein can be tested against recombinant Ephrin receptor B4 kinase domain (Invitrogen) in an assay containing 25 mM HEPES, pH 7.4, 10 mM MgCl2, 0.1% BME, 10 μM ATP (2.5 μCi of μ-32P-ATP), and 3 μg/mL BSA. Poly E-Y (Sigma; 2 mg/mL) is used as a substrate. Reactions are terminated by spotting onto nitrocellulose, which is washed with 1M NaCl/1% phosphoric acid (approximately 6 times, 5-10 minutes each). Sheets are dried and the transferred radioactivity quantitated by phosphorimaging.
- The cross-activity or lack thereof of one or more compounds of the present invention against EGFR kinase can be measured according to any procedures known in the art or methods disclosed below. The compounds described herein can be tested against recombinant EGF receptor kinase domain (Invitrogen) in an assay containing 25 mM HEPES, pH 7.4, 10 mM MgCl2, 0.1% BME, 10 μM ATP (2.5 μCi of μ-32P-ATP), and 3 μg/mL BSA. Poly E-Y (Sigma; 2 mg/mL) is used as a substrate. Reactions are terminated by spotting onto nitrocellulose, which is washed with 1M NaCl/1% phosphoric acid (approximately 6 times, 5-10 minutes each). Sheets are dried and the transferred radioactivity quantitated by phosphorimaging.
- The cross-activity or lack thereof of one or more compounds of the present invention against KIT kinase can be measured according to any procedures known in the art or methods disclosed below. The compounds described herein can be tested against recombinant KIT kinase domain (Invitrogen) in an assay containing 25 mM HEPES, pH 7.4, 10 mM MgCl2, 1 mM DTT, 10 mM MnCl2, 10 μM ATP (2.5 μCi of μ-32P-ATP), and 3 μg/mL BSA. Poly E-Y (Sigma; 2 mg/mL) is used as a substrate. Reactions are terminated by spotting onto nitrocellulose, which is washed with 1M NaCl/1% phosphoric acid (approximately 6 times, 5-10 minutes each). Sheets are dried and the transferred radioactivity quantitated by phosphorimaging.
- The cross-activity or lack thereof of one or more compounds of the present invention against RET kinase can be measured according to any procedures known in the art or methods disclosed below. The compounds described herein can be tested against recombinant RET kinase domain (Invitrogen) in an assay containing 25 mM HEPES, pH 7.4, 10 mM MgCl2, 2.5 mM DTT,10 μM ATP (2.5 μCi of μ-32P-ATP), and 3 μg,/mL BSA. The optimized Abl peptide substrate EAIYAAPFAKKK is used as phosphoacceptor (200 μM). Reactions are terminated by spotting onto phosphocellulose sheets, which are washed with 0.5% phosphoric acid (approximately 6 times, 5-10 minutes each). Sheets are dried and the transferred radioactivity quantitated by phosphorimaging.
- The cross-activity or lack thereof of one or more compounds of the present invention against PDGFR kinase can be measured according to any procedures known in the art or methods disclosed below. The compounds described herein can be tested against recombinant PDG receptor kinase domain (Invitrogen) in an assay containing 25 mM HEPES, pH 7.4, 10 mM MgCl2, 2.5 mM DTT,10 μM ATP (2.5 μCi of μ-32P-ATP), and 3 μg/mL BSA. The optimized Abl peptide substrate EAIYAAPFAKKK is used as phosphoacceptor (200 μM). Reactions are terminated by spotting onto phosphocellulose sheets, which are washed with 0.5% phosphoric acid (approximately 6 times, 5-10 minutes each). Sheets are dried and the transferred radioactivity quantitated by phosphorimaging.
- The cross-activity or lack thereof of one or more compounds of the present invention against FLT-3 kinase can be measured according to any procedures known in the art or methods disclosed below. The compounds described herein can be tested against recombinant FLT-3 kinase domain (Invitrogen) in an assay containing 25 mM HEPES, pH 7.4, 10 mM MgCl2, 2.5 mM DTT,10 μM ATP (2.5 μCi of μ-32P-ATP), and 3 μg,/mL BSA. The optimized Abl peptide substrate EAIYAAPFAKKK is used as phosphoacceptor (200 μM). Reactions are terminated by spotting onto phosphocellulose sheets, which are washed with 0.5% phosphoric acid (approximately 6 times, 5-10 minutes each). Sheets are dried and the transferred radioactivity quantitated by phosphorimaging.
- The cross-activity or lack thereof of one or more compounds of the present invention against TIE2 kinase can be measured according to any procedures known in the art or methods disclosed below. The compounds described herein can be tested against recombinant TIE2 kinase domain (Invitrogen) in an assay containing 25 mM HEPES, pH 7.4, 10 mM MgCl2, 2 mM DTT, 10 mM MnCl2, 10 μM ATP (2.5 μCi of μ-32P-ATP), and 3 μg/mL BSA. Poly E-Y (Sigma; 2 mg/mL) is used as a substrate. Reactions are terminated by spotting onto nitrocellulose, which is washed with 1M NaCl/1% phosphoric acid (approximately 6 times, 5-10 minutes each). Sheets are dried and the transferred radioactivity quantitated by phosphorimaging.
- The ability of one or more subject compounds to inhibit B cell activitation and proliferation is determined according to standard procedures known in the art. For example, an in vitro cellular proliferation assay is established that measures the metabolic activity of live cells. The assay is performed in a 96 well microtiter plate using Alamar Blue reduction. Balb/c splenic B cells are purified over a Ficoll-Paque™ PLUS gradient followed by magnetic cell separation using a MACS B cell Isolation Kit (Miletenyi). Cells are plated in 90 ul at 50,000 cells/well in B Cell Media (RPMI+10% FBS+Penn/Strep+50 uM bME+5 mM HEPES). A compound disclosed herein is diluted in B Cell Media and added in a 10 ul volume. Plates are incubated for 30 min at 37C and 5% CO2 (0.2% DMSO final concentration). A 50 ul B cell stimulation cocktail is then added containing either 10 ug/ml LPS or 5 ug/ml F(ab′)2 Donkey anti-mouse IgM plus 2 ng/ml recombinant mouse IL4 in B Cell Media. Plates are incubated for 72 hours at 37° C. and 5% CO2. A volume of 15 uL of Alamar Blue reagent is added to each well and plates are incubated for 5 hours at 37C and 5% CO2. Alamar Blue fluoresce is read at 560Ex/590Em, and IC50 or EC50 values are calculated using
GraphPad Prism 5. - The ability of one or more subject compounds to inhibit tumor cell line proliferation is determined according to standard procedures known in the art. For instance, an in vitro cellular proliferation assay can be performed to measure the metabolic activity of live cells. The assay is performed in a 96 well microtiter plate using Alamar Blue reduction Human tumor cell lines are obtained from ATCC (e.g., MCF7, U-87 MG, MDA-MB-468, PC-3), grown to confluency in T75 flasks, trypsinized with 0.25% trypsin, washed one time with Tumor Cell Media (DMEM+10% FBS), and plated in 90 ul at 5,000 cells/well in Tumor Cell Media. A compound disclosed herein is diluted in Tumor Cell Media and added in a 10 ul volume. Plates are incubated for 72 hours at 37C and 5% CO2. A volume of 10 uL of Alamar Blue reagent is added to each well and plates are incubated for 3 hours at 37C and 5% CO2. Alamar Blue fluoresce is read at 560Ex/590Em, and IC50 values are calculated using
GraphPad Prism 5. - The compounds described herein can be evaluated in a panel of human and murine tumor models.
- Paclitaxel-Refractory Tumor Models
- 1. Clinically-Derived Ovarian Carcinoma Model.
- This tumor model is established from a tumor biopsy of an ovarian cancer patient. Tumor biopsy is taken from the patient.
- The compounds described herein are administered to nude mice bearing staged tumors using an every 2 days×5 schedule.
- 2. A2780Tax Human Ovarian Carcinoma Xenograft (Mutated Tubulin).
- A2780Tax is a paclitaxel-resistant human ovarian carcinoma model. It is derived from the sensitive parent A2780 line by co-incubation of cells with paclitaxel and verapamil, an MDR-reversal agent. Its resistance mechanism has been shown to be non-MDR related and is attributed to a mutation in the gene encoding the beta-tubulin protein.
- The compounds described herein can be administered to mice bearing staged tumors on an every 2 days×5 schedule.
- 3. HCT116/M46 Human Colon Carcinoma Xenograft (Multi-Drug Resistant).
- HCT116/VM46 is an MDR-resistant colon carcinoma developed from the sensitive HCT116 parent line. In vivo, grown in nude mice, HCT116/VM46 has consistently demonstrated high resistance to paclitaxel.
- The compounds described herein can be administered to mice bearing staged tumors on an every 2 days x 5 schedule.
- 5. M5076 Murine Sarcoma Model
- M5076 is a mouse fibrosarcoma that is inherently refractory to paclitaxel in vivo.
- The compounds described herein can be administered to mice bearing staged tumors on an every 2 days×5 schedule.
- One or more compounds of the invention can be used in combination other therapeutic agents in vivo in the multidrug resistant human colon carcinoma xenografts HCT/VM46 or any other model known in the art including those described herein.
- The stability of one or more subject compounds is determined according to standard procedures known in the art. For example, stability of one or more subject compounds is established by an in vitro assay. In particular, an in vitro microsome stability assay is established that measures stability of one or more subject compounds when reacting with mouse, rat or human microsomes from liver. The microsome reaction with compounds is performed in 1.5 mL Eppendorf tube. Each tube contains 0.1 μL of 10.0 mg/ml NADPH; 75 μL of 20.0 mg/ml mouse, rat or human liver microsome; 0.4 μL of 0.2 M phosphate buffer, and 425 μL of ddH2O. Negative control (without NADPH) tube contains 75 μL of 20.0 mg/ml mouse, rat or human liver microsome; 0.4 μL of 0.2 M phosphate buffer, and 525 μL of ddH2O. The reaction is started by adding 1.0 μL of 10.0 mM tested compound. The reaction tubes are incubated at 37° C. 100 μL sample is collected into new Eppendorf tube containing 300 μL cold Methanol at 0, 5, 10, 15, 30 and 60 minutes of reaction. Samples are centrifuged at 15,000 rpm to remove protein. Supernatant of centrifuged sample is transferred to new tube. Concentration of stable compound after reaction with microsome in the supernatant is measured by Liquid Chromatography/Mass Spectrometry (LC-MS).
- The stability of one or more subject compounds in plasma is determined according to standard procedures known in the art. See, e.g., Rapid Commun. Mass Spectrom., 10: 1019-1026. The following procedure is an HPLC-MS/MS assay using human plasma; other species including monkey, dog, rat, and mouse are also available. Frozen, heparinized human plasma is thawed in a cold water bath and spun for 10 minutes at 2000 rpm at 4° C. prior to use. A subject compound is added from a 400 μM stock solution to an aliquot of pre-warmed plasma to give a final assay volume of 400 μL (or 800 μL for half-life determination), containing 5 μM test compound and 0.5% DMSO. Reactions are incubated, with shaking, for 0 minutes and 60 minutes at 37° C., or for 0, 15, 30, 45 and 60 minutes at 37 C for half life determination. Reactions are stopped by transferring 50 μL of the incubation mixture to 200 μL of ice-cold acetonitrile and mixed by shaking for 5 minutes. The samples are centrifuged at 6000×g for 15 minutes at 4° C. and 120 μL of supernatant removed into clean tubes. The samples are then evaporated to dryness and submitted for analysis by HPLC-MS/MS.
- Where desired, one or more control or reference compounds (5 μM) are tested simultaneously with the test compounds: one compound, propoxycaine, with low plasma stability and another compound, propantheline, with intermediate plasma stability.
- Samples are reconstituted in acetonitrile/methanol/water (1/1/2, v/v/v) and analyzed via (RP)HPLC-MS/MS using selected reaction monitoring (SRM). The HPLC conditions consist of a binary LC pump with autosampler, a mixed-mode, C12, 2×20 mm column, and a gradient program. Peak areas corresponding to the analytes are recorded by HPLC-MS/MS. The ratio of the parent compound remaining after 60 minutes relative to the amount remaining at time zero, expressed as percent, is reported as plasma stability. In case of half-life determination, the half-life is estimated from the slope of the initial linear range of the logarithmic curve of compound remaining (%) vs. time, assuming first order kinetics.
- The chemical stability of one or more subject compounds is determined according to standard procedures known in the art. The following details an exemplary procedure for ascertaining chemical stability of a subject compound. The default buffer used for the chemical stability assay is phosphate-buffered saline (PBS) at pH 7.4; other suitable buffers can be used. A subject compound is added from a 100 μM stock solution to an aliquot of PBS (in duplicate) to give a final assay volume of 400 μL, containing 5 μM test compound and 1% DMSO (for half-life determination a total sample volume of 700 μL is prepared). Reactions are incubated, with shaking, for 0 minutes and 24 hours at 37° C.; for half-life determination samples are incubated for 0, 2, 4, 6, and 24 hours. Reactions are stopped by adding immediately 100 μL of the incubation mixture to 100 μL of acetonitrile and vortexing for 5 minutes. The samples are then stored at −20° C. until analysis by HPLC-MS/MS. Where desired, a control compound or a reference compound such as chlorambucil (5 μM) is tested simultaneously with a subject compound of interest, as this compound is largely hydrolyzed over the course of 24 hours. Samples are analyzed via (RP)HPLC-MS/MS using selected reaction monitoring (SRM). The HPLC conditions consist of a binary LC pump with autosampler, a mixed-mode, C12, 2×20 mm column, and a gradient program. Peak areas corresponding to the analytes are recorded by HPLC-MS/MS. The ratio of the parent compound remaining after 24 hours relative to the amount remaining at time zero, expressed as percent, is reported as chemical stability. In case of half-life determination, the half-life is estimated from the slope of the initial linear range of the logarithmic curve of compound remaining (%) vs. time, assuming first order kinetics.
- Cells comprising components of the Akt/mTOR pathway, including but not limited to L6 myoblasts, B-ALL cells, B-cells, T-cells, leukemia cells, bone marrow cells, p190 transduced cells, philladelphia chromosome positive cells (Ph+), and mouse embryonic fibroblasts, are typically grown in cell growth media such as DMEM supplemented with fetal bovine serum and/or antibiotics, and grown to confluency.
- In order to compare the effect of one or more compounds disclosed herein on Akt activation, said cells are serum starved overnight and incubated with one or more compounds disclosed herein or about 0.1% DMSO for approximately 1 minute to about 1 hour prior to stimulation with insulin (e.g. 100 nM) for about 1 minutes to about 1 hour. Cells are lysed by scraping into ice cold lysis buffer containing detergents such as sodium dodecyl sulfate and protease inhibitors (e.g., PMSF). After contacting cells with lysis buffer, the solution is briefly sonicated, cleared by centrifugation, resolved by SDS-PAGE, transferred to nitrocellulose or PVDF and immunoblotted using antibodies to phospho-Akt 5473, phospho-Akt T308, Akt, and β-actin (Cell Signaling Technologies).
- The results demonstrate that one or more compounds of the present disclosure inhibit insulin stimulated phosphorylation of Akt at S473. Alternatively, some compounds disclosed herein additionally inhibit insulin stimulated phosphorylation of Akt at T308. Such class of compounds can inhibit Akt more effectively than rapamycin and may be indicative of mTORC2 inhibitors or inhibitors of upstream kinases such as PI3K or Akt.
- PI3K/Akt/mTor signaling is measured in blood cells using the phosflow method (Methods Enzymol. 2007;434:131-54). The advantage of this method is that it is by nature a single cell assay so that cellular heterogeneity can be detected rather than population averages. This allows concurrent dinstinction of signaling states in different populations defined by other markers. Phosflow is also highly quantitative. To test the effects of one or more compounds disclosed herein, unfractionated splenocytes, or peripheral blood mononuclear cells are stimulated with anti-CD3 to initiate T-cell receptor signaling. The cells are then fixed and stained for surface markers and intracellular phosphoproteins. It is expected that inhibitors disclosed herein inhibit anti-CD3 mediated phosphorylation of Akt -S473 and S6, whereas rapamycin inhibits S6 phosphorylation and enhances Akt phosphorylation under the conditions tested.
- Similarly, aliquots of whole blood are incubated for 15 minutes with vehicle (e.g. 0.1% DMSO) or kinase inhibitors at various concentrations, before addition of stimuli to crosslink the T cell receptor (TCR) (anti-CD3 with secondary antibody) or the B cell receptor (BCR) using anti-kappa light chain antibody (Fab′2 fragments). After approximately 5 and 15 minutes, samples are fixed (e.g. with cold 4% paraformaldehyde) and used for phosflow. Surface staining is used to distinguish T and B cells using antibodies directed to cell surface markers that are known to the art. The level of phosphrylation of kinase substrates such as Akt and S6 are then measured by incubating the fixed cells with labeled antibodies specific to the phosphorylated isoforms of these proteins. The population of cells are then analyzed by flow cytometry.
- Murine bone marrow cells freshly transformed with a p190 BCR-Abl retrovirus (herein referred to as p190 transduced cells) are plated in the presence of various drug combinations in M3630 methylcellulose media for about 7 days with recombinant human IL-7 in about 30% serum, and the number of colonies formed is counted by visual examination under a microscope.
- Alternatively, human peripheral blood mononuclear cells are obtained from Philadelphia chromosome positive (Ph+) and negative (Ph−) patients upon initial diagnosis or relapse. Live cells are isolated and enriched for CD19+ CD34+ B cell progenitors. After overnight liquid culture, cells are plated in methocult GF+H4435, Stem Cell Tehcnologies) suplemented with cytokines (IL-3, IL-6, IL-7, G-CSF, GM-CSF, CF, Flt3 ligand, and erythropoietin) and various concentrations of known chemotherapeutic agents in combination with either compounds of the present disclosure. Colonies are counted by microscopy 12-14 days later. This method can be used to test for evidence of additive or synergistic activity.
- Female recipient mice are lethally irradiated from a y source in two doses about 4 hr apart, with approximately 5Gy each. About lhr after the second radiation dose, mice are injected i.v. with about 1×106 leukemic cells (e.g. Ph+ human or murine cells, or p190 transduced bone marrow cells). These cells are administered together with a radioprotective dose of about 5×106 normal bone marrow cells from 3-5 week old donor mice. Recipients are given antibiotics in the water and monitored daily. Mice who become sick after about 14 days are euthanized and lymphoid organs are harvested for analysis. Kinase inhibitor treatment begins about 10 days after leukemic cell injection and continues daily until the mice become sick or a maximum of approximately 35 days post-transplant. Inhibitors are given by oral lavage.
- Peripheral blood cells are collected approximately on day 10 (pre-treatment) and upon euthanization (post treatment), contacted with labled anti-hCD4 antibodies and counted by flow cytometry. This method can be used to demonstrate that the synergistic effect of one or more compounds disclosed herein in combination with known chemotherapeutic agents significantly reduce leukemic blood cell counts as compared to treatment with known chemotherapeutic agents (e.g. Gleevec) alone under the conditions tested.
- Mice lacking the inhibitory receptor FcγRIIb that opposes PI3K signaling in B cells develop lupus with high penetrance. FcγRIIb knockout mice (R2KO, Jackson Labs) are considered a valid model of the human disease as some lupus patients show decreased expression or function of FcγRIIb (S. Bolland and J. V. Ravtech 2000. Immunity 12:277-285).
- The R2KO mice develop lupus-like disease with anti-nuclear antibodies, glomerulonephritis and proteinurea within about 4-6 months of age. For these experiments, the rapamycin analogue RAD001 (available from LC Laboratories) is used as a benchmark compound, and administered orally. This compound has been shown to ameliorate lupus symptoms in the B6.Slelz.Sle3z model (T. Wu et al. J. Clin Invest. 117:2186-2196).
- Lupus disease model mice such as R2KO, BXSB or MLR/lpr are treated at about 2 months old, approximately for about two months. Mice are given doses of: vehicle, RAD001 at about 10 mg/kg, or compounds disclosed herein at approximately 1 mg/kg to about 500 mg/kg. Blood and urine samples are obtained at approximately throughout the testing period, and tested for antinuclear antibodies (in dilutions of serum) or protein concentration (in urine). Serum is also tested for anti-ssDNA and anti-dsDNA antibodies by ELISA. Animals are euthanized at
day 60 and tissues harvested for measuring spleen weight and kidney disease. Glomerulonephritis is assessed in kidney sections stained with H&E. Other animals are studied for about two months after cessation of treatment, using the same endpoints. - This model established in the art can be employed to demonstrate that the kinase inhibitors disclosed herein can suppress or delay the onset of lupus symptoms in lupus disease model mice.
- Female recipient mice are lethally irradiated from a γ ray source. About 1 hr after the radiation dose, mice are injected with about 1×106 leukemic cells from early passage p190 transduced cultures (e.g. as described in Cancer Genet Cytogenet. 2005 August; 161(1):51-6). These cells are administered together with a radioprotective dose of approximately 5×106 normal bone marrow cells from 3-5 wk old donor mice. Recipients are given antibiotics in the water and monitored daily. Mice who become sick after about 14 days are euthanized and lymphoid organs harvested for flow cytometry and/or magnetic enrichment. Treatment begins on approximately
day 10 and continues daily until mice become sick, or after a maximum of about 35 days post-transplant. Drugs are given by oral gavage (p.o.). In a pilot experiment a dose of chemotherapeutic that is not curative but delays leukemia onset by about one week or less is identified; controls are vehicle-treated or treated with chemotherapeutic agent, previously shown to delay but not cure leukemogenesis in this model (e.g. imatinib at about 70 mg/kg twice daily). For the first phase p190 cells that express eGFP are used, and postmortem analysis is limited to enumeration of the percentage of leukemic cells in bone marrow, spleen and lymph node (LN) by flow cytometry. In the second phase, p190 cells that express a tailless form of human CD4 are used and the postmortem analysis includes magnetic sorting of hCD4+ cells from spleen followed by immunoblot analysis of key signaling endpoints: p Akt -T308 and S473; pS6 and p4EBP-1. As controls for immunoblot detection, sorted cells are incubated in the presence or absence of kinase inhibitors of the present disclosure inhibitors before lysis. Optionally, “phosflow” is used to detect p Akt -S473 and pS6-S235/236 in hCD4-gated cells without prior sorting. These signaling studies are particularly useful if, for example, drug-treated mice have not developed clinical leukemia at the 35 day time point. Kaplan-Meier plots of survival are generated and statistical analysis done according to methods known in the art. Results from p190 cells are analyzed separated as well as cumulatively. - Samples of peripheral blood (100-200 μl) are obtained weekly from all mice, starting on
day 10 immediately prior to commencing treatment. Plasma is used for measuring drug concentrations, and cells are analyzed for leukemia markers (eGFP or hCD4) and signaling biomarkers as described herein. - This general assay known in the art may be used to demonstrate that effective therapeutic doses of the compounds disclosed herein can be used for inhibiting the proliferation of leukemic cells.
- To test the effects of the compounds of the present invention in suppressing T cell independent antibody production, the TNP-Ficoll B-cell activation assay was used as described herein. Compounds of the present invention were dissolved in an appropriate vehicle (e.g. 5% 1-methyl-2-pyrrolidinone, 85
% polyethylene glycol 400, 10% Solutor). Compounds were administered orally approximately 1 hr before TNP-Ficoll treatment to 4-10 week old mice. To study the effects of the compounds on B-cell activation, one set of mice were grouped according to the following table: -
Antigen injection Compound Administration Mice/ Comp at day-1 from day-1 to day-7 Group# group treated Group TNP-F Route (mg/kg) Route Regimen 1 4 Vehicle Antigen only 200 uL ip 0 Po BID for 7 2 8 — Antigen only (0.5 mg/ml) 0 days 3 8 Compound reference 30 #7 4 8 Compound Antigen + cmp 1 5 8 #53 3 6 8 10 7 8 30 8 8 60 - Four animals in
group 1, and eight animals ingroups 2 to 7 were euthanized inCO 2 2 hours after the last compound administration onday 7. Blood was immediately collected by cadio-puncture and kept at 37° C. for 1 hr to clot followed by overnight incubation at 4° C. to allow the clot to contract. The following day, serum was collected by decanting and centrifugation at 3000 rpm for 10 min. The collected serum was then frozen at −80° C. for future analysis. - Serum samples were analyzed for anti-TNP antibody titers by ELISA as described herein. TNP-B SA was coated onto a Nunc Maxisorb microtiter plate with 100 μl/well at a concentration of 10 μg/ml in phosphate buffered saline (PBS). The Maxisorb plate was incubated for 1.5 hours at room temperature and the solution was removed. 200 μl/well of blocking buffer (e.g. 1% BSA in PBS) was added to each well and incubated 1 hr at room temperature. The plate was washed once with 200 μl/well of PBS 0.05% Tween-20 (wash buffer). A 1:2 dilution of serum from each mouse in blocking buffer was added to each well in the first column (1) of the microtiter plate. The serum in each well of
column 1 was then diluted 3-fold in blocking buffer and added tocolumn 2. The serum in each well ofcolumn 2 was diluted 3-fold in blocking buffer and added tocolumn 3. The procedure was repeated across the twelve columns of the microtiter plate. The microtiter plate was incubated 1 hr at room temperature. Serum was removed from the plate and the plate was washed three times with wash buffer. 100 μl/well of goat anti-mouse IgG3-HRP diluted 1:250 in blocking buffer was added to each well and incubated lhr at room temperature. The anti-mouse IgG3-HRP was removed from the microtiter plate and the plate was washed six times with wash buffer. HRP substrate (200 μl ABTS solution+30% H2O2+10 ml citrate buffer) was added to each well at 100 μl/well, incubated 2-20 minutes in the dark and the amount of anti-TNP IgG3 was determined spectrophotometrically at 405 nm. Similarly, anti-TNP IgM and total anti-TNP Ab were determined using anti-mouse IgM-HRP and anti-mouse Ig-HRP respectively. - The results as shown in
FIG. 2 futher show that under the conditions testedcompounds # 7 and #53 exhibit 3.4 and 6.5-fold reductions respectively in IgG3 levels relative to vehicle control mice at a 30 mg/kg dose level.FIG. 2 further shows thatcompound # 53 exhibits 29.9-fold reduction in IgG3 levels relative to vehicle control mice at a 60 mg/kg dose level under the conditions tested. - In order to study the effects of the compounds of the present invention on the autoimmune disease arthritis, a collagen induced developing arthritis model was used. Female Lewis rats were given collagen injections at
day 0. Bovine type II collagen was prepared as a 4 mg/ml solution in 0.01N acetic acid. Equal volumes of collagen and Freund's incomplete adjuvant were emulsified by hand mixing until a bead of the emulsified material held its form in water. Each rodent received a 300 μl injection of the mixture at each injection time spread over three subcutaneous sites on the back. - Oral compound administration began on
day 0 and continued throughday 16 with vehicle (5% NMP, 85% PEG 400, 10% Solutol) or compounds of the present invention in vehicle or control (e.g. methotrexate) at 12 hour intervals daily. Rats were weighed on 0, 3, 6, 9-17 and caliper measurements of ankles taken on days 9-17. Final body weights were taken, and then the animals were euthanized on day 17. After euthanization, blood was drawn and hind paws and knees were removed. Blood was further processed for pharmacokinetics experiments as well as an anti-type II collagen antibody ELISA assay. Hind paws were weighed and then with the knees preserved in 10% formalin. The paws and knees were subsequently processed for microcopy. Livers, spleen and thymus were also weighed. Sciatic nerves were prepared for histopathology.days - Knee and ankle joints were fixed for 1-2 days and decalcified for 4-5 days. Ankle joints were cut in half longitudinally, knees were cut in half along the frontal plane. Joints were then processed, embedded, sectioned and stained with toluidine blue. Scoring of the joints was done according to the following criteria:
-
- 0=Normal
- 1=Minimal infiltration of inflammatory cells in synovium/periarticular tissue
- 2=Mild infiltration
- 3=Moderate infiltration with moderate edema
- 4=Marked infiltration with marked edema
- 5=Severe infiltration with severe edema
-
- 0=Normal
- 1=Minimal infiltration of pannus in cartilage and subchondral bone
- 2=Mild infiltration (<¼ of tibia or tarsals at marginal zones)
- 3=Moderate infiltration (¼ to ⅓ of tibia or small tarsals affected at marginal zones)
- 4=Marked infiltration (½-¾ of tibia or tarsals affected at marginal zones)
- 5=Severe infiltration (>¾ of tibia or tarsals affected at marginal zones, severe distortion of overall architecture)
-
- 0=Normal
- 1=Minimal infiltration of pannus in cartilage and subchondral bone
- 2=Mild infiltration (extends over up to¼ of surface or subchondral area of tibia or femur)
- 3=Moderate infiltration (extends over >¼ but <½ of surface or subchondral area of tibia or femur)
- 4=Marked infiltration (extends over ½ to ¾ of tibial or femoral surface)
- 5=Severe infiltration (covers >¾ of surface)
Cartilage Damage (Ankle, Emphasis on Small tarsals) - 0=Normal
- 1=Minimal=minimal to mild loss of toluidine blue staining with no obvious chondrocyte loss or collagen disruption
- 2=Mild=mild loss of toluidine blue staining with focal mild (superficial) chondrocyte loss and/or collagen disruption
- 3=Moderate=moderate loss of toluidine blue staining with multifocal moderate (depth to middle zone) chondrocyte loss and/or collagen disruption, smaller tarsals affected to ½-¾ depth
- 4=Marked=marked loss of toluidine blue staining with multifocal marked (depth to deep zone) chondrocyte loss and/or collagen disruption, 1 or more small tarsals have full thickness loss of cartilage
- 5=Sever=severe diffuse loss of toluidine blue staining with multifocal severe (depth to tide mark) chondrocyte loss and/or collagen disruption
Cartilage Damage (Knee, Emphasis on femoral condyles) - 0=Normal
- 1=Minimal=minimal to mild loss of toluidine blue staining with no obvious chondrocyte loss or collagen disruption
- 2=Mild=mild loss of toluidine blue staining with focal mild (superficial) chondrocyte loss and/or collagen disruption
- 3=Moderate=moderate loss of toluidine blue staining with multifocal to diffuse moderate (depth to middle zone) chondrocyte loss and/or collagen disruption
- 4=Marked=marked loss of toluidine blue staining with multifocal to diffuse marked (depth to deep zone) chondrocyte loss and/or collagen disruption or single femoral surface with total or near total loss
- 5=Severe=severe diffuse loss of toluidine blue staining with multifocal severe (depth to tide mark) chondrocyte loss and/or collagen disruption on both femurs and/or tibias
-
- 0=Normal
- 1=Minimal=small areas of resorption, not readily apparent on low magnification, rare osteoclasts
- 2=Mild=more numerous areas of resorption, not readily apparent on low magnification, osteoclasts more numerous, <¼ of tibia or tarsals at marginal zones resorbed
- 3=Moderate=obvious resorption of medullary trabecular and cortical bone without full thickness defects in cortex, loss of some medullary trabeculae, lesion apparent on low magnification, osteoclasts more numerous, ¼ to ⅓ of tibia or tarsals affected at marginal zones
- 4=Marked=Full thickness defects in cortical bone, often with distortion of profile of remaining cortical surface, marked loss of medullary bone, numerous osteoclasts, ½-¾ of tibia or tarsals affected at marginal zones
- 5=Severe=Full thickness defects in cortical bone, often with distortion of profile of remaining cortical surface, marked loss of medullary bone, numerous osteoclasts, >¾ of tibia or tarsals affected at marginal zones, severe distortion of overall architecture
-
- 0=Normal
- 1=Minimal=small areas of resorption, not readily apparent on low magnification, rare osteoclasts
- 2=Mild=more numerous areas of resorption, definite loss of subchondral bone involving ¼ of tibial or femoral surface (medial or lateral)
- 3=Moderate=obvious resorption of subchondral bone involving >¼ but <½ of tibial or femoral surface (medial or lateral)
- 4=Marked=obvious resorption of subchondral bone involving ≥½ but <¾ of tibial or femoral surface (medial or lateral)
- 5=Severe=distortion of entire joint due to destruction involving >¾ of tibial or femoral surface (medial or lateral)
- Statistical analysis of body/paw weights, paw AUC parameters and histopathologic parameters were evaluated using a Student's t-test or other appropriate (ANOVA with post-test) with significance set at the 5% significance level. Percent inhibition of paw weight and AUC was calculated using the following formula:
-
% Inhibition=A−B/A×100 -
A=Mean Disease Control−Mean Normal -
B=Mean Treated−Mean Normal - The results as shown in
FIG. 3 demonstrate the effect ofcompound # 53 at 10, 30, and 60 mg/kg dosages at 12 hour intervals on mean ankle diameter over time in a rat developing type II collagen induced arthritis model under the conditions tested. Relative to the vehicle alone control or to the methotrexate control, the compounds of the present invention exhibited a siginificant reduction in arthritis induced ankle diameter increase over time. - The results as shown in
FIG. 4 demonstrate the effect ofcompounds # 7 and #53 on ankle histopathology in the categories of inflammation, pannus, cartilage damage, and bone resporption as previously described under the conditions tested. The results show a significant reduction in one or more categories by one of the compounds of the present invention (i.e. compound #53) under the conditions tested.FIG. 4 further shows that at 60 mg/kg, there is a statistically significant reduction in all categories of ankle histopathology for one of the compounds of the present invention (i.e. compound #53) under the conditions tested. This suggests that one or more compounds of the present invention may be useful for the treatment and reduction of arthritis disease symptoms. - The results as shown in
FIG. 5 demonstrate the effect ofcompounds # 7 and #53 on knee histopathology under the conditions tested. The results demonstrate a dose dependent reduction in knee histopathology. This suggests that one or more compounds of the present invention may be useful for the treatment and reduction of arthritis disease symptoms. - The results as shown in
FIG. 6 demonstrate the effect of thecompounds # 7 and #53 on serum anti-type II collagen levels under the conditions tested. The results further show a singificant reduction at 10, 20, and 60 mg/kg dosage levels of serum anti-type II collagen levels forcompound # 53, suggesting that one or more compounds of the present invention may not only be useful for the treatment and reduction of arthritis disease symptoms, but may also be useful for the inhibition of the autoimmune reaction itself. - The results as shown in
FIG. 7 demonstrate the effect ofcompound # 7 at 10, 30, and 60 mg/kg dosages at 12 hour intervals on mean ankle diameter over time under the conditions tested. Relative to the vehicle alone control or to the methotrexate control, the compound exhibited a reduction in arthritis induced ankle diameter increase over time under the conditions tested. When tested in the same model, at least five other compounds of the present invention exhibit comparable or even higher efficacy. - In order to examine the dose responsive efficacy of the compounds of the present invention in inhibiting the inflammation, cartilage destruction and bone resporption of 10 day established type II collagen induced arthritis in rats, compounds were administered orally daily or twice daily for 6 days.
- Female Lewis rats were anesthetized and given collagen injections prepared and administered as described previously on
day 0. Onday 6, animals were anesthetized and given a second collagen injection. Caliper measurements of normal (pre-disease) right and left ankle joints were performed on day 9. On days 10-11, arthritis typically occured and rats were randomized into treatment groups. Randomization was performed after ankle joint swelling was obviously established and there was good evidence of bilateral disease. - After an animal was selected for enrollment in the study, treatment was initiated by the oral route. Animals were given vehicle, control (Enbrel) or compound doses, twice daily or once daily (BID or QD respectively). Dosing was administered on days 1-6 using a volume of 2.5 ml/kg (BID) or 5 ml/kg (QD) for oral solutions. Rats were weighed on days 1-7 following establishment of arthritis and caliper measurements f ankles taken every day. Final body weights were taken on
day 7 and animals were euthanized. - The results as shown in
FIG. 8 shows a significant reduction in mean ankle diamter increase over time forcompound # 53 with a once daily dosage under the conditions tested. The results inFIG. 9 futher demonstrate a significant reduction in mean ankle diamter increase over time forcompound # 53 with a twice daily dosage under the conditions tested. This suggests that the compounds of the present invention can be useful for the treatment of autoimmune diseases such as arthritis. When tested in the same model, at least five other compounds of the present invention exhibit comparable or even higher efficacy as compared tocompound # 53. - Isoflurane-anesthetized Lewis rats (200-250 g) were implanted with an intrathecal (IT) catheter. After a 6 d recovery period, all animals except those that appeared to have sensory or motor abnormalities (fewer than 5% of the total number) were used for experiments. For IT administration, 10 μl of drug or saline followed by 10 μl of isotonic saline was injected through the catheter.
- Lewis rats were immunized at the base of the tail with 0.1 ml of complete Freund's adjuvant (CFA) on
day 0 several days after catheter implantation (n=6/ group). Drug (e.g. one or more compounds of the present invention or or vehicle) treatment was generally started onday 8 and continued daily until day 20. Clinical signs of arthritis generally begin onday 10, and paw swelling was determined every second day by water displacement plethysmometry. - The results as depicted in
FIG. 10 by the average change in paw volume under the dosage regimes indicated show that under the conditions tested,compound # 53 shows a dose dependent reduction in the average paw volume increase as measured in this adjuvant induced arthritis model system. These results suggest that one or more of the compounds of the present invention may be useful for the treatment of one or more of the diseases or conditions described herein. - The results as depicted in
FIG. 11 show thatcompound # 53 does not exhibit toxicity or other adverse reaction under the conditions tested as measured by a lack of weight loss. - In order to study the pharmacokinetics of the compounds of the present invention a set of 4-10 week old mice are grouped according to the following table:
-
Compound Administration Mice/ from day-1 to day-7 Group# group (mg/kg) Route Regimen 1 3 1 Po BID for 7 2 3 3 days 3 3 10 4 3 30 5 3 60 - Compounds of the present invention are dissolved in an appropriate vehicle (e.g. 5% 1-methyl-2-pyrrolidinone, 85
% polyethylene glycol 400, 10% Solutor) and administered orally at 12 hour intervals daily. All animals are euthanized inCO 2 2 hours after the final compound is administered. Blood is collected immediately and kept on ice for plasma isolation. Plasma is isolated by centrifuging at 5000 rpm for 10 minutes. Harvested plasma is frozen for pharmacokinetic detection. - The results are expected to demonstrate the pharmacokinetic parameters such as absorption, distribution, metabolism, excretion, and toxicity for the compounds of the present invention.
- The baseotest assay is performed using Orpegen Pharma Basotest reagent kit. Heparinized whole blood is pre-incubated with test compound or solvent at 37C for 20 min. Blood is then incubated with assay kit stimulation buffer (to prime cells for response) followed by allergen (dust mite extract or grass extract) for 20 min. The degranulation process is stopped by incubating the blood samples on ice. The cells are then labeled with anti-IgE-PE to detect basophilic granulocytes, and anti-gp53-FITC to detect gp53 (a glycoprotein expressed on activated basophils). After staining red blood cells are lysed by addition of Lysing Solution. Cells are washed, and analyzed by flow cytometry.
7 and 53 when tested in this assay inhibit allergen induced activation of basophilic granulocytes at sub micromolar range.Compounds - The compounds of the present invention may present synergistic or additive efficacy when administered in combination with agents that inhibit IgE production or activity. Agents that inhibit IgE production include, for example, one or more of TEI-9874, 2-(4-(6-cyclohexyloxy-2-naphtyloxy)phenylacetamide)benzoic acid, rapamycin, rapamycin analogs (i.e. rapalogs), TORC1 inhibitors, TORC2 inhibitors, and any other compounds that inhibit mTORC1 and mTORC2. Agents that inhibit IgE activity include, for example, anti-IgE antibodies such as Omalizumab and TNX-901.
- One or more of the subject compounds capable of inhibiting PI3Kδ are efficacious in treatment of autoimmune and inflammatory disorders (AIID) for example rheumatoid arthritis. If any of the compounds causes an undesired level of IgE production, one may choose to administer it in combination with an agent that inhibits IgE production or IgE activity. Additionally, the administration of PI3Kδ or PI3Kδ/γ inhibitors of the present invention in combination with inhibitors of mTOR may also exhibit synergy through enhanced inhibition of the PI3K pathway. Various in vivo and in vitro models may be used to establish the effect of such combination treatment on AIID including but not limited to (a) in vitro B-cell antibody production assay, (b) in vivo TNP assay, and (c) rodent collagen induced arthritis model.
- (a) B-Cell Assay
- Mice are euthanized, and the spleens are removed and dispersed through a nylon mesh to generate a single-cell suspension. The splenocytes are washed (following removal of erythrocytes by osmotic shock) and incubated with anti-CD43 and anti-Mac-1 antibody-conjugated microbeads (Miltenyi Biotec). The bead-bound cells are separated from unbound cells using a magnetic cell sorter. The magnetized column retains the unwanted cells and the resting B cells are collected in the flow-through. Purified B-cells are stimulated with lipopolysaccharide or an anti-CD40 antibody and
interleukin 4. Stimulated B-cells are treated with vehicle alone or with PI3Kδ inhibitors of the present invention such ascompound 53 with and without mTOR inhibitors such as rapamycin, rapalogs, or mTORC1/C2 inhibitors. The results are expected to show that in the presence of mTOR inhibitors (e.g., rapamycin) alone, there is little to no substantial effect on IgG and IgE response. However, in the presence of PI3Kδ and mTOR inhibitors, the B-cells are expected to exhibit a decreased IgG response as compared to the B-cells treated with vehicle alone, and the B-cells are expected to exhibit a decreased IgE response as compared to the response from B-cells treated with PI3Kδ inhibitors alone. - (b) TNP Assay
- Mice are immunized with TNP-Ficoll or TNP-KHL and treated with: vehicle, a PI3Kδ inhibitor, for example,
compound 53 of the present invention, an mTOR inhibitor, for example rapamycin, or a PI3Kδ inhibitor in combination with an mTOR inhibitor such as rapamycin. Antigen-specific serum IgE is measured by ELISA using TNP-BSA coated plates and isotype specific labeled antibodies. It is expected that mice treated with an mTOR inhibitor alone exhibit little or no substantial effect on antigen specific IgG3 response and no statistically significant elevation in IgE response as compared to the vehicle control. It is also expected that mice treated with both PI3Kδ inhibitor and mTOR inhibitor exhibit a reduction in antigen specific IgG3 response as compared to the mice treated with vehicle alone. Additionally, the mice treated with both PI3Kδ inhibitor and mTOR inhibitor exhibit a decrease in IgE response as compared to the mice treated with PI3Kδ inhibitor alone. - (c) Rat Collagen Induced Arthritis Model
- Female Lewis rats are anesthetized and given collagen injections prepared and administered as described previously on
day 0. Onday 6, animals are anesthetized and given a second collagen injection. Caliper measurements of normal (pre-disease) right and left ankle joints are performed on day 9. On days 10-11, arthritis typically occurs and rats are randomized into treatment groups. Randomization is performed after ankle joint swelling is obviously established and there is good evidence of bilateral disease. - After an animal is selected for enrollment in the study, treatment is initiated Animals are given vehicle, PI3Kδ inhibitor, or PI3Kδ inhibitor in combination with rapamycin. Dosing is administered on days 1-6. Rats are weighed on days 1-7 following establishment of arthritis and caliper measurements of ankles taken every day. Final body weights are taken on
day 7 and animals are euthanized. - It is expected that the combination treatment using PI3Kδ inhibitor and rapamycin provides greater efficacy than treatment with PI3Kδ inhibitor alone.
- While preferred embodiments of the present invention have been shown and described herein, it will be obvious to those skilled in the art that such embodiments are provided by way of example only. Numerous variations, changes, and substitutions will now occur to those skilled in the art without departing from the invention. It should be understood that various alternatives to the embodiments of the invention described herein may be employed in practicing the invention. It is intended that the following claims define the scope of the invention and that methods and structures within the scope of these claims and their equivalents be covered thereby.
Claims (18)
Priority Applications (2)
| Application Number | Priority Date | Filing Date | Title |
|---|---|---|---|
| US15/599,378 US20180098983A1 (en) | 2008-01-04 | 2017-05-18 | Certain chemical entities, compositions and methods |
| US16/556,048 US11433065B2 (en) | 2008-01-04 | 2019-08-29 | Certain chemical entities, compositions and methods |
Applications Claiming Priority (10)
| Application Number | Priority Date | Filing Date | Title |
|---|---|---|---|
| US997108P | 2008-01-04 | 2008-01-04 | |
| US19429408P | 2008-09-26 | 2008-09-26 | |
| US20114608P | 2008-12-05 | 2008-12-05 | |
| PCT/US2009/000042 WO2009088990A1 (en) | 2008-01-04 | 2009-01-05 | Certain chemical entities, compositions and methods |
| PCT/US2009/000038 WO2009088986A1 (en) | 2008-01-04 | 2009-01-05 | Certain chemical entities, compositions and methods |
| US12/503,776 US8193182B2 (en) | 2008-01-04 | 2009-07-15 | Substituted isoquinolin-1(2H)-ones, and methods of use thereof |
| US13/403,394 US8785456B2 (en) | 2008-01-04 | 2012-02-23 | Substituted isoquinolin-1(2H)-ones, and methods of use thereof |
| US14/296,953 US9216982B2 (en) | 2008-01-04 | 2014-06-05 | Certain chemical entities, compositions and methods |
| US14/938,647 US9655892B2 (en) | 2008-01-04 | 2015-11-11 | Certain chemical entities, compositions and methods |
| US15/599,378 US20180098983A1 (en) | 2008-01-04 | 2017-05-18 | Certain chemical entities, compositions and methods |
Related Parent Applications (1)
| Application Number | Title | Priority Date | Filing Date |
|---|---|---|---|
| US14/938,647 Continuation US9655892B2 (en) | 2008-01-04 | 2015-11-11 | Certain chemical entities, compositions and methods |
Related Child Applications (1)
| Application Number | Title | Priority Date | Filing Date |
|---|---|---|---|
| US16/556,048 Continuation US11433065B2 (en) | 2008-01-04 | 2019-08-29 | Certain chemical entities, compositions and methods |
Publications (1)
| Publication Number | Publication Date |
|---|---|
| US20180098983A1 true US20180098983A1 (en) | 2018-04-12 |
Family
ID=43450336
Family Applications (13)
| Application Number | Title | Priority Date | Filing Date |
|---|---|---|---|
| US12/503,776 Active 2030-02-13 US8193182B2 (en) | 2008-01-04 | 2009-07-15 | Substituted isoquinolin-1(2H)-ones, and methods of use thereof |
| US13/350,444 Active US8569323B2 (en) | 2009-07-15 | 2012-01-13 | Substituted isoquinolin-1(2H)-one compounds, compositions, and methods thereof |
| US13/403,394 Active US8785456B2 (en) | 2008-01-04 | 2012-02-23 | Substituted isoquinolin-1(2H)-ones, and methods of use thereof |
| US13/971,793 Active 2029-07-20 US9206182B2 (en) | 2009-07-15 | 2013-08-20 | Substituted isoquinolin-1(2H)-one compounds, compositions, and methods thereof |
| US14/296,953 Active US9216982B2 (en) | 2008-01-04 | 2014-06-05 | Certain chemical entities, compositions and methods |
| US14/884,612 Active US9522146B2 (en) | 2009-07-15 | 2015-10-15 | Substituted Isoquinolin-1(2H)-one compounds, compositions, and methods thereof |
| US14/938,647 Active US9655892B2 (en) | 2008-01-04 | 2015-11-11 | Certain chemical entities, compositions and methods |
| US15/347,489 Abandoned US20170281614A1 (en) | 2009-07-15 | 2016-11-09 | Certain chemical entities, compositions and methods |
| US15/599,378 Abandoned US20180098983A1 (en) | 2008-01-04 | 2017-05-18 | Certain chemical entities, compositions and methods |
| US16/172,539 Abandoned US20190290636A1 (en) | 2009-07-15 | 2018-10-26 | Certain chemical entities, compositions and methods |
| US16/556,048 Active US11433065B2 (en) | 2008-01-04 | 2019-08-29 | Certain chemical entities, compositions and methods |
| US17/504,762 Abandoned US20220265637A1 (en) | 2009-07-15 | 2021-10-19 | Certain chemical entities, compositions and methods |
| US19/033,054 Pending US20250170122A1 (en) | 2009-07-15 | 2025-01-21 | Certain chemical entities, compositions and methods |
Family Applications Before (8)
| Application Number | Title | Priority Date | Filing Date |
|---|---|---|---|
| US12/503,776 Active 2030-02-13 US8193182B2 (en) | 2008-01-04 | 2009-07-15 | Substituted isoquinolin-1(2H)-ones, and methods of use thereof |
| US13/350,444 Active US8569323B2 (en) | 2009-07-15 | 2012-01-13 | Substituted isoquinolin-1(2H)-one compounds, compositions, and methods thereof |
| US13/403,394 Active US8785456B2 (en) | 2008-01-04 | 2012-02-23 | Substituted isoquinolin-1(2H)-ones, and methods of use thereof |
| US13/971,793 Active 2029-07-20 US9206182B2 (en) | 2009-07-15 | 2013-08-20 | Substituted isoquinolin-1(2H)-one compounds, compositions, and methods thereof |
| US14/296,953 Active US9216982B2 (en) | 2008-01-04 | 2014-06-05 | Certain chemical entities, compositions and methods |
| US14/884,612 Active US9522146B2 (en) | 2009-07-15 | 2015-10-15 | Substituted Isoquinolin-1(2H)-one compounds, compositions, and methods thereof |
| US14/938,647 Active US9655892B2 (en) | 2008-01-04 | 2015-11-11 | Certain chemical entities, compositions and methods |
| US15/347,489 Abandoned US20170281614A1 (en) | 2009-07-15 | 2016-11-09 | Certain chemical entities, compositions and methods |
Family Applications After (4)
| Application Number | Title | Priority Date | Filing Date |
|---|---|---|---|
| US16/172,539 Abandoned US20190290636A1 (en) | 2009-07-15 | 2018-10-26 | Certain chemical entities, compositions and methods |
| US16/556,048 Active US11433065B2 (en) | 2008-01-04 | 2019-08-29 | Certain chemical entities, compositions and methods |
| US17/504,762 Abandoned US20220265637A1 (en) | 2009-07-15 | 2021-10-19 | Certain chemical entities, compositions and methods |
| US19/033,054 Pending US20250170122A1 (en) | 2009-07-15 | 2025-01-21 | Certain chemical entities, compositions and methods |
Country Status (33)
| Country | Link |
|---|---|
| US (13) | US8193182B2 (en) |
| EP (4) | EP3441392B1 (en) |
| JP (2) | JP5944313B2 (en) |
| KR (1) | KR101680406B1 (en) |
| CN (3) | CN109912599B (en) |
| AU (1) | AU2010274075B2 (en) |
| BR (1) | BR112012000968B8 (en) |
| CA (1) | CA2768307C (en) |
| CY (2) | CY1116424T1 (en) |
| DK (1) | DK2456444T3 (en) |
| ES (1) | ES2538853T3 (en) |
| FI (1) | FIC20210039I1 (en) |
| HR (1) | HRP20150586T1 (en) |
| HU (1) | HUS2100048I1 (en) |
| IL (2) | IL217181A (en) |
| IN (1) | IN2012DN00943A (en) |
| LT (1) | LTC2456444I2 (en) |
| LU (1) | LUC00237I2 (en) |
| MX (3) | MX2012000626A (en) |
| MY (2) | MY175979A (en) |
| NL (1) | NL301140I2 (en) |
| NO (1) | NO2021047I1 (en) |
| NZ (3) | NZ706506A (en) |
| PH (2) | PH12015502432A1 (en) |
| PL (1) | PL2456444T3 (en) |
| PT (1) | PT2456444E (en) |
| RU (2) | RU2746319C2 (en) |
| SG (2) | SG10201503886WA (en) |
| SI (1) | SI2456444T1 (en) |
| SM (1) | SMT201500141B (en) |
| UA (2) | UA109878C2 (en) |
| WO (1) | WO2011008302A1 (en) |
| ZA (1) | ZA201200254B (en) |
Cited By (1)
| Publication number | Priority date | Publication date | Assignee | Title |
|---|---|---|---|---|
| US11433065B2 (en) | 2008-01-04 | 2022-09-06 | Intellikine Llc | Certain chemical entities, compositions and methods |
Families Citing this family (177)
| Publication number | Priority date | Publication date | Assignee | Title |
|---|---|---|---|---|
| WO2004060403A2 (en) * | 2003-01-06 | 2004-07-22 | Angiochem Inc. | Aprotinin and anglos as carriers across the blood-brain barrier |
| EP1831225A2 (en) | 2004-11-19 | 2007-09-12 | The Regents of the University of California | Anti-inflammatory pyrazolopyrimidines |
| US9403828B2 (en) | 2005-02-01 | 2016-08-02 | Sloan-Kettering Institute For Cancer Research | Small-molecule Hsp90 inhibitors |
| US7834181B2 (en) | 2005-02-01 | 2010-11-16 | Slaon-Kettering Institute For Cancer Research | Small-molecule Hsp90 inhibitors |
| GB0509573D0 (en) * | 2005-05-11 | 2005-06-15 | Merck Sharp & Dohme | Therapeutic compounds |
| ES2744225T3 (en) | 2005-07-15 | 2020-02-24 | Angiochem Inc | Use of aprotinin polypeptides as carriers in pharmaceutical conjugates |
| WO2007114926A2 (en) | 2006-04-04 | 2007-10-11 | The Regents Of The University Of California | Kinase antagonists |
| US9365634B2 (en) * | 2007-05-29 | 2016-06-14 | Angiochem Inc. | Aprotinin-like polypeptides for delivering agents conjugated thereto to tissues |
| GB2467670B (en) | 2007-10-04 | 2012-08-01 | Intellikine Inc | Chemical entities and therapeutic uses thereof |
| MX2010007419A (en) | 2008-01-04 | 2010-11-12 | Intellikine Inc | CERTAIN CHEMICAL ENTITIES, COMPOSITIONS AND METHODS. |
| US8993580B2 (en) * | 2008-03-14 | 2015-03-31 | Intellikine Llc | Benzothiazole kinase inhibitors and methods of use |
| EP2252293B1 (en) | 2008-03-14 | 2018-06-27 | Intellikine, LLC | Kinase inhibitors and methods of use |
| MX355683B (en) | 2008-04-18 | 2018-04-26 | Angiochem Inc | Pharmaceutical compositions of paclitaxel, paclitaxel analogs or paclitaxel conjugates and related methods of preparation and use. |
| BRPI0915231A2 (en) | 2008-07-08 | 2018-06-12 | Intellikine Inc | kinase inhibitor compounds and methods of use |
| US20110224223A1 (en) | 2008-07-08 | 2011-09-15 | The Regents Of The University Of California, A California Corporation | MTOR Modulators and Uses Thereof |
| CA2738429C (en) | 2008-09-26 | 2016-10-25 | Intellikine, Inc. | Heterocyclic kinase inhibitors |
| WO2010043049A1 (en) | 2008-10-15 | 2010-04-22 | Angiochem Inc. | Etoposide and doxorubicin conjugates for drug delivery |
| CA2740316A1 (en) | 2008-10-15 | 2010-04-22 | Angiochem Inc. | Conjugates of glp-1 agonists and uses thereof |
| EP2358720B1 (en) | 2008-10-16 | 2016-03-02 | The Regents of The University of California | Fused ring heteroaryl kinase inhibitors |
| MY169791A (en) | 2008-10-22 | 2019-05-15 | Array Biopharma Inc | Substituted pyrazolo [1,5-a] pyrimidine compounds as trk kinase inhibitors |
| US8476431B2 (en) | 2008-11-03 | 2013-07-02 | Itellikine LLC | Benzoxazole kinase inhibitors and methods of use |
| CA2745524C (en) | 2008-12-05 | 2020-06-09 | Angiochem Inc. | Conjugates of neurotensin or neurotensin analogs and uses thereof |
| US8853353B2 (en) | 2008-12-17 | 2014-10-07 | Angiochem, Inc. | Membrane type-1 matrix metalloprotein inhibitors and uses thereof |
| US20110135655A1 (en) * | 2009-01-13 | 2011-06-09 | PHILADELPHIA HEALTH AND EDUCATION CORPORATION d/b/a Drexel University College of Medicine; | Role of PI3K p110 delta Signaling in Retroviral Infection and Replication |
| US8741917B2 (en) | 2009-01-15 | 2014-06-03 | Rutgers, The State University Of New Jersey | Benzo [C] phenanthridines as antimicrobial agents |
| MX2011011023A (en) | 2009-04-20 | 2012-01-20 | Angiochem Inc | Treatment of ovarian cancer using an anticancer agent conjugated to an angiopep-2 analog. |
| US20120059026A1 (en) | 2009-04-30 | 2012-03-08 | University Of Medicine And Dentistry Of New Jersey | Antimicrobial agents |
| JP5789252B2 (en) | 2009-05-07 | 2015-10-07 | インテリカイン, エルエルシー | Heterocyclic compounds and uses thereof |
| KR101763656B1 (en) | 2009-06-29 | 2017-08-01 | 인사이트 홀딩스 코포레이션 | Pyrimidinones as pi3k inhibitors |
| RU2012103240A (en) | 2009-07-02 | 2013-08-10 | Ангиокем Инк. | MULTI-DIMENSIONAL PEPTIDE CONJUGATES AND THEIR APPLICATION |
| JP2011232320A (en) * | 2009-10-01 | 2011-11-17 | Sony Corp | In-vivo substance detection probe and in-vivo substance detector using the same |
| WO2011047384A2 (en) | 2009-10-16 | 2011-04-21 | The Regents Of The University Of California | Methods of inhibiting ire1 |
| US8759359B2 (en) | 2009-12-18 | 2014-06-24 | Incyte Corporation | Substituted heteroaryl fused derivatives as PI3K inhibitors |
| EP2544672A1 (en) | 2010-03-09 | 2013-01-16 | OSI Pharmaceuticals, LLC | Combination anti-cancer therapy |
| EP2558463A1 (en) | 2010-04-14 | 2013-02-20 | Incyte Corporation | Fused derivatives as i3 inhibitors |
| CA2799579A1 (en) * | 2010-05-21 | 2011-11-24 | Intellikine, Inc. | Chemical compounds, compositions and methods for kinase modulation |
| WO2011156626A1 (en) | 2010-06-09 | 2011-12-15 | Rutgers, The State University Of New Jersey | Antimicrobial agents |
| WO2011159926A1 (en) * | 2010-06-16 | 2011-12-22 | Rutgers, The State University Of New Jersey | Antimicrobial agents |
| WO2011163195A1 (en) | 2010-06-21 | 2011-12-29 | Incyte Corporation | Fused pyrrole derivatives as pi3k inhibitors |
| CA2803890A1 (en) | 2010-06-25 | 2011-12-29 | Rutgers, The State University Of New Jersey | Antimicrobial agents |
| JP2013545749A (en) | 2010-11-10 | 2013-12-26 | インフィニティー ファーマシューティカルズ, インコーポレイテッド | Heterocyclic compounds and uses thereof |
| EP3660016A1 (en) | 2010-12-20 | 2020-06-03 | Incyte Holdings Corporation | N-(1-(substituted-phenyl)ethyl)-9h-purin-6-amines as pi3k inhibitors |
| AU2015258280B2 (en) * | 2011-01-10 | 2017-07-20 | Infinity Pharmaceuticals Inc. | Processes for preparing isoquinolinones and solid forms of isoquinolinones |
| ES2637113T3 (en) * | 2011-01-10 | 2017-10-10 | Infinity Pharmaceuticals, Inc. | Procedures for preparing isoquinolinones and solid forms of isoquinolinones |
| US9295673B2 (en) | 2011-02-23 | 2016-03-29 | Intellikine Llc | Combination of mTOR inhibitors and P13-kinase inhibitors, and uses thereof |
| US20140213630A1 (en) | 2011-03-08 | 2014-07-31 | Thomas Diacovo | Methods and pharmaceutical compositions for treating lymphoid malignancy |
| US9108984B2 (en) | 2011-03-14 | 2015-08-18 | Incyte Corporation | Substituted diamino-pyrimidine and diamino-pyridine derivatives as PI3K inhibitors |
| US8653299B2 (en) * | 2011-03-17 | 2014-02-18 | Allergan, Inc. | Dihydronaphthalene and naphthalene derivatives as N-formyl peptide receptor like-1 (FPRL-1) receptor modulators |
| WO2012135009A1 (en) | 2011-03-25 | 2012-10-04 | Incyte Corporation | Pyrimidine-4,6-diamine derivatives as pi3k inhibitors |
| TWI572599B (en) | 2011-03-28 | 2017-03-01 | Mei製藥公司 | (alpha-substituted aralkylamino and heteroarylalkylamino) pyrimidinyl and 1,3,5-triazinyl benzimidazoles, pharmaceutical compositions thereof, and their use in treating proliferative diseases |
| HK1198443A1 (en) * | 2011-07-19 | 2015-04-24 | 无限药品股份有限公司 | Heterocyclic compounds and uses thereof |
| AR088218A1 (en) | 2011-07-19 | 2014-05-21 | Infinity Pharmaceuticals Inc | USEFUL HETEROCICLICAL COMPOUNDS AS PI3K INHIBITORS |
| MX2014002542A (en) * | 2011-08-29 | 2014-07-09 | Infinity Pharmaceuticals Inc | Heterocyclic compounds and uses thereof. |
| WO2013030368A1 (en) * | 2011-09-01 | 2013-03-07 | Novartis Ag | Pi3k inhibitor for use in the treatment of bone cancer or for preventing metastatic dissemination primary cancer cells into the bone |
| PT3513793T (en) | 2011-09-02 | 2021-05-10 | Incyte Holdings Corp | Heterocyclylamines as pi3k inhibitors |
| CA2846496C (en) | 2011-09-02 | 2020-07-14 | The Regents Of The University Of California | Substituted pyrazolo[3,4-d]pyrimidines and uses thereof |
| US20130072506A1 (en) * | 2011-09-16 | 2013-03-21 | Lenka ZAHAJSKA | 6,8-disubstituted purine compositions |
| WO2013049332A1 (en) | 2011-09-29 | 2013-04-04 | Infinity Pharmaceuticals, Inc. | Inhibitors of monoacylglycerol lipase and methods of their use |
| US9403820B2 (en) | 2011-11-11 | 2016-08-02 | Intellikine Llc | Kinase inhibitor polymorphs |
| US9039898B2 (en) * | 2011-11-15 | 2015-05-26 | Engineering Research Associates, Inc. | Method for separating components in natural oil |
| EP2790705B1 (en) | 2011-12-15 | 2017-12-06 | Novartis AG | Use of inhibitors of the activity or function of pi3k |
| US9822108B2 (en) | 2012-01-13 | 2017-11-21 | Rutgers, The State University Of New Jersey | Antimicrobial agents |
| US9475783B2 (en) | 2012-03-21 | 2016-10-25 | Rutgers, The State University Of New Jersey | Antimicrobial agents |
| AR090548A1 (en) | 2012-04-02 | 2014-11-19 | Incyte Corp | BICYCLIC AZAHETEROCICLOBENCILAMINS AS PI3K INHIBITORS |
| WO2013152342A1 (en) | 2012-04-06 | 2013-10-10 | OSI Pharmaceuticals, LLC | Anti-cancer mtor inhibitor and anti-androgen combination |
| US8940742B2 (en) * | 2012-04-10 | 2015-01-27 | Infinity Pharmaceuticals, Inc. | Heterocyclic compounds and uses thereof |
| KR20160027219A (en) | 2012-05-23 | 2016-03-09 | 에프. 호프만-라 로슈 아게 | Compositions and methods of obtaining and using endoderm and hepatocyte cells |
| US8828998B2 (en) | 2012-06-25 | 2014-09-09 | Infinity Pharmaceuticals, Inc. | Treatment of lupus, fibrotic conditions, and inflammatory myopathies and other disorders using PI3 kinase inhibitors |
| JP6280546B2 (en) | 2012-06-26 | 2018-02-14 | デル マー ファーマシューティカルズ | Treating tyrosine kinase inhibitor resistant malignancies in patients with genetic polymorphisms or dysregulation or mutation of AHI1 using dianhydrogalactitol, diacetyldianhydrogalactitol, dibromodulucitol, or analogs or derivatives thereof How to |
| JP2015532287A (en) | 2012-09-26 | 2015-11-09 | ザ・リージエンツ・オブ・ザ・ユニバーシテイー・オブ・カリフオルニア | IRE1 regulation |
| US20140120060A1 (en) | 2012-11-01 | 2014-05-01 | Infinity Pharmaceuticals, Inc. | Treatment of rheumatoid arthritis and asthma using pi3 kinase inhibitors |
| AU2013337717B2 (en) | 2012-11-01 | 2018-10-25 | Infinity Pharmaceuticals, Inc. | Treatment of cancers using PI3 kinase isoform modulators |
| US20140120083A1 (en) * | 2012-11-01 | 2014-05-01 | Infinity Pharmaceuticals, Inc. | Treatment of cancers using pi3 kinase isoform modulators |
| US20150283142A1 (en) * | 2013-03-15 | 2015-10-08 | Infinity Pharmaceuticals, Inc. | Treatment of cancers using pi3 kinase isoform modulators |
| WO2014072937A1 (en) * | 2012-11-08 | 2014-05-15 | Rhizen Pharmaceuticals Sa | Pharmaceutical compositions containing a pde4 inhibitor and a pi3 delta or dual pi3 delta-gamma kinase inhibitor |
| JP6207100B2 (en) | 2012-12-21 | 2017-10-04 | ギリアード カリストガ エルエルシー | Isoquinolinone or quinazolinone phosphatidylinositol 3-kinase inhibitor |
| AU2013364068B2 (en) | 2012-12-21 | 2016-10-20 | Gilead Calistoga Llc | Substituted pyrimidine aminoalkyl-quinazolones as phosphatidylinositol 3-kinase inhibitors |
| AU2014209141B2 (en) | 2013-01-24 | 2018-05-10 | Palvella Therapeutics, Inc. | Compositions for transdermal delivery of mTOR inhibitors |
| US9481667B2 (en) * | 2013-03-15 | 2016-11-01 | Infinity Pharmaceuticals, Inc. | Salts and solid forms of isoquinolinones and composition comprising and methods of using the same |
| WO2014151386A1 (en) | 2013-03-15 | 2014-09-25 | Infinity Pharmaceuticals, Inc. | Salts and solid forms of isoquinolinones and composition comprising and methods of using the same |
| KR20160061911A (en) | 2013-04-08 | 2016-06-01 | 데니스 엠. 브라운 | Therapeutic benefit of suboptimally administered chemical compounds |
| CA2914284A1 (en) * | 2013-05-30 | 2014-12-04 | Infinity Pharmaceuticals, Inc. | Treatment of cancers using pi3 kinase isoform modulators |
| PL3008053T3 (en) | 2013-06-14 | 2018-08-31 | Gilead Calistoga Llc | Phosphatidylinositol 3-kinase inhibitors |
| CN105431437B (en) | 2013-07-02 | 2020-03-10 | 理森制药股份公司 | PI3K protein kinase inhibitors, in particular delta inhibitors and/or gamma inhibitors |
| KR20160060100A (en) | 2013-09-22 | 2016-05-27 | 칼리토르 사이언시즈, 엘엘씨 | Substituted aminopyrimidine compounds and methods of use |
| PT3052485T (en) | 2013-10-04 | 2021-10-22 | Infinity Pharmaceuticals Inc | HETEROCYCLIC COMPOUNDS AND THEIR USES |
| US9751888B2 (en) | 2013-10-04 | 2017-09-05 | Infinity Pharmaceuticals, Inc. | Heterocyclic compounds and uses thereof |
| US20160244452A1 (en) | 2013-10-21 | 2016-08-25 | Infinity Pharmaceuticals, Inc. | Heterocyclic compounds and uses thereof |
| US9458150B2 (en) | 2013-11-08 | 2016-10-04 | Rutgers, The State University Of New Jersey | Antimicrobial agents |
| WO2015081127A2 (en) | 2013-11-26 | 2015-06-04 | Gilead Sciences, Inc. | Therapies for treating myeloproliferative disorders |
| CN105979948A (en) | 2013-12-05 | 2016-09-28 | 安塞塔制药公司 | Therapeutic combination of a pi3k inhibitor and a btk inhibitor |
| KR102320190B1 (en) | 2014-01-24 | 2021-11-03 | 에이아이 테라퓨틱스, 인코포레이티드 | Apilimod Compositions and Methods for Using Same |
| CN104817559B (en) | 2014-01-30 | 2021-05-25 | 苏州泽璟生物制药股份有限公司 | Deuterated quinazolinone compound and pharmaceutical composition comprising the same |
| MX382033B (en) | 2014-03-19 | 2025-03-13 | Infinity Pharmaceuticals Inc | HETEROCYCLIC COMPOUNDS FOR USE IN THE TREATMENT OF PI3K-GAMMA-MEDIATED DISORDERS. |
| WO2015185998A2 (en) | 2014-04-11 | 2015-12-10 | Acerta Pharma B.V. | Methods of blocking the cxcr-4/sdf-1 signaling pathway with inhibitors of bone marrow x kinase |
| US9937171B2 (en) | 2014-04-11 | 2018-04-10 | Acerta Pharma B.V. | Methods of blocking the CXCR-4/SDF-1 signaling pathway with inhibitors of bruton's tyrosine kinase |
| WO2015160975A2 (en) * | 2014-04-16 | 2015-10-22 | Infinity Pharmaceuticals, Inc. | Combination therapies |
| US20150320754A1 (en) | 2014-04-16 | 2015-11-12 | Infinity Pharmaceuticals, Inc. | Combination therapies |
| WO2015168079A1 (en) | 2014-04-29 | 2015-11-05 | Infinity Pharmaceuticals, Inc. | Pyrimidine or pyridine derivatives useful as pi3k inhibitors |
| WO2015179772A1 (en) | 2014-05-23 | 2015-11-26 | Concert Pharmaceuticals, Inc. | Deuterated phenylquinazolinone and phenylisoquinolinone compounds |
| WO2015191677A1 (en) | 2014-06-11 | 2015-12-17 | Incyte Corporation | Bicyclic heteroarylaminoalkyl phenyl derivatives as pi3k inhibitors |
| US10221197B2 (en) | 2014-06-13 | 2019-03-05 | Gilead Sciences, Inc. | Phosphatidylinositol 3-kinase inhibitors |
| AU2015274626C1 (en) | 2014-06-13 | 2018-08-09 | Gilead Sciences, Inc. | Quinazolinone derivatives as phosphatidylinositol 3-kinase inhibitors |
| AU2015274635B2 (en) | 2014-06-13 | 2018-04-19 | Gilead Sciences, Inc. | Phosphatidylinositol 3-kinase inhibitors |
| MA40059A (en) | 2014-06-13 | 2015-12-17 | Gilead Sciences Inc | Phosphatidylinositol 3-kinase inhibitors |
| US9949971B2 (en) | 2014-06-17 | 2018-04-24 | Acerta Pharma B.V. | Therapeutic combinations of a BTK inhibitor, a PI3K inhibitor and/or a JAK-2 inhibitor |
| EP3778584A1 (en) | 2014-06-19 | 2021-02-17 | ARIAD Pharmaceuticals, Inc. | Production process of 2-chloro-4-heteroaryl-pyrimidine derivatives |
| NZ727185A (en) * | 2014-06-24 | 2018-04-27 | Gilead Sciences Inc | Phosphatidylinositol 3-kinase inhibitors |
| HK1232227A1 (en) | 2014-07-04 | 2018-01-05 | Lupin Limited | Quinolizinone derivatives as pi3k inhibitors |
| TW201618783A (en) | 2014-08-07 | 2016-06-01 | 艾森塔製藥公司 | Method for treating cancer, immune and autoimmune diseases and inflammatory diseases based on Bruton's tyrosine kinase (BTK) occupancy and BTK resynthesis rate |
| CN104211663B (en) * | 2014-08-11 | 2017-01-11 | 杭州偶联医药科技有限公司 | (S)-N-methoxy-methyl-2-(pyrrolidine) propionamide and preparation method and application thereof |
| AR101504A1 (en) | 2014-08-11 | 2016-12-21 | Acerta Pharma Bv | THERAPEUTIC COMBINATIONS OF A BTK INHIBITOR, A PI3K INHIBITOR, A JAK-2 INHIBITOR, AND / OR A CDK4 / 6 INHIBITOR |
| PL3179991T3 (en) | 2014-08-11 | 2022-02-14 | Acerta Pharma B.V. | THERAPEUTIC COMBINATIONS OF BTK INHIBITOR AND BCL-2 INHIBITOR |
| TW201618774A (en) | 2014-08-11 | 2016-06-01 | 艾森塔製藥公司 | Methods of using BTK inhibitors to treat solid tumors and other diseases through modulation of the tumor microenvironment |
| TW201618775A (en) | 2014-08-11 | 2016-06-01 | 艾森塔製藥公司 | Therapeutic composition of BTK inhibitor, PI3K inhibitor, JAK-2 inhibitor, PD-1 inhibitor and/or PD-L1 inhibitor |
| ES2802202T3 (en) | 2014-09-03 | 2021-01-15 | Rhizen Pharmaceuticals S A | Treatment method and compositions comprising a dual PI3K delta-gamma kinase inhibitor and a corticosteroid |
| US9950194B2 (en) | 2014-09-09 | 2018-04-24 | Mevion Medical Systems, Inc. | Patient positioning system |
| CN113620978A (en) | 2014-09-11 | 2021-11-09 | 加利福尼亚大学董事会 | mTORC1 inhibitors |
| CN105503877A (en) | 2014-09-24 | 2016-04-20 | 和记黄埔医药(上海)有限公司 | Imidazopyridazine compound and application thereof |
| WO2016054491A1 (en) | 2014-10-03 | 2016-04-07 | Infinity Pharmaceuticals, Inc. | Heterocyclic compounds and uses thereof |
| WO2016055982A1 (en) | 2014-10-10 | 2016-04-14 | Acerta Pharma B.V. | Quinoline and quinazoline compounds |
| CA2966359A1 (en) | 2014-11-07 | 2016-05-12 | Lam Therapeutics, Inc. | Apilimod for use in the treatment of renal cancer |
| WO2016087994A1 (en) | 2014-12-05 | 2016-06-09 | Acerta Pharma B.V. | Btk inhibitors to treat solid tumors through modulation of the tumor microenvironment |
| SG10201907576SA (en) | 2015-02-27 | 2019-09-27 | Incyte Corp | Salts of pi3k inhibitor and processes for their preparation |
| US9732097B2 (en) | 2015-05-11 | 2017-08-15 | Incyte Corporation | Process for the synthesis of a phosphoinositide 3-kinase inhibitor |
| US9988401B2 (en) | 2015-05-11 | 2018-06-05 | Incyte Corporation | Crystalline forms of a PI3K inhibitor |
| EP3307326B9 (en) | 2015-06-15 | 2021-02-24 | Angiochem Inc. | Methods for the treatment of leptomeningeal carcinomatosis |
| WO2017027883A1 (en) * | 2015-08-13 | 2017-02-16 | San Diego State University Research Foundation | Atropisomerism for increased kinase inhibitor selectivity |
| WO2017033113A1 (en) | 2015-08-21 | 2017-03-02 | Acerta Pharma B.V. | Therapeutic combinations of a mek inhibitor and a btk inhibitor |
| WO2017048702A1 (en) | 2015-09-14 | 2017-03-23 | Infinity Pharmaceuticals, Inc. | Solid forms of isoquinolinone derivatives, process of making, compositions comprising, and methods of using the same |
| EP3747472B1 (en) | 2015-09-15 | 2024-04-03 | Acerta Pharma B.V. | Therapeutic combinations of a cd19 inhibitor and a btk inhibitor |
| WO2017046746A1 (en) | 2015-09-15 | 2017-03-23 | Acerta Pharma B.V. | Therapeutic combinations of a btk inhibitor and a gitr binding molecule, a 4-1bb agonist, or an ox40 agonist |
| US10736893B2 (en) | 2015-11-06 | 2020-08-11 | Acerta Pharma B.V. | Imidazopyrazine inhibitors of Bruton's tyrosine kinase |
| CN108699061B (en) * | 2015-11-16 | 2022-07-05 | 纽弗姆制药有限公司 | Deuterated compounds for the treatment of hematological malignancies, inflammation and autoimmune diseases |
| KR101767260B1 (en) * | 2015-12-22 | 2017-08-10 | 한국화학연구원 | Pyrimido oxazine derivatives or pharmaceutically acceptable salts thereof, preparation method thereof and pharmaceutical composition for use in preventing or treating PI3 kinase related diseases |
| DK3402503T3 (en) | 2016-01-13 | 2020-12-21 | Acerta Pharma Bv | THERAPEUTIC COMBINATIONS OF AN ANTIFOLATE AND A BTK INHIBITOR |
| WO2017147316A1 (en) | 2016-02-25 | 2017-08-31 | Taxis Pharmaceuticals, Inc. | Synthetic processes and intermediates |
| WO2017161116A1 (en) | 2016-03-17 | 2017-09-21 | Infinity Pharmaceuticals, Inc. | Isotopologues of isoquinolinone and quinazolinone compounds and uses thereof as pi3k kinase inhibitors |
| FI3439662T3 (en) | 2016-04-04 | 2024-09-04 | Loxo Oncology Inc | Liquid formulations of (s)-n-(5-((r)-2-(2,5-difluorophenyl)-pyrrolidin-1-yl)-pyrazolo[1,5-a]pyrimidin-3-yl)-3-hydroxypyrrolidine-1-carboxamide |
| US10045991B2 (en) | 2016-04-04 | 2018-08-14 | Loxo Oncology, Inc. | Methods of treating pediatric cancers |
| SI3442535T1 (en) | 2016-04-15 | 2023-01-31 | Cancer Research Technology Limited | Heterocyclic compounds as ret kinase inhibitors |
| WO2017178844A1 (en) | 2016-04-15 | 2017-10-19 | Cancer Research Technology Limited | Heterocyclic compounds as ret kinase inhibitors |
| WO2017214269A1 (en) * | 2016-06-08 | 2017-12-14 | Infinity Pharmaceuticals, Inc. | Heterocyclic compounds and uses thereof |
| SG11201811237WA (en) | 2016-06-24 | 2019-01-30 | Infinity Pharmaceuticals Inc | Combination therapies |
| CA3030408A1 (en) * | 2016-07-11 | 2018-01-18 | Hennepin Life Sciences, Llc | Compositions for sexually transmitted diseases |
| TW201813963A (en) | 2016-09-23 | 2018-04-16 | 美商基利科學股份有限公司 | Phosphatidylinositol 3-kinase inhibitors |
| TW201815787A (en) | 2016-09-23 | 2018-05-01 | 美商基利科學股份有限公司 | Phosphatidylinositol 3-kinase inhibitors |
| TW201825465A (en) | 2016-09-23 | 2018-07-16 | 美商基利科學股份有限公司 | Phosphatidylinositol 3-kinase inhibitors |
| EP3565520B1 (en) | 2017-01-06 | 2026-02-25 | Palvella Therapeutics, Inc. | Anhydrous compositions of mtor inhibitors and methods of use |
| WO2018172250A1 (en) * | 2017-03-21 | 2018-09-27 | Bayer Pharma Aktiengesellschaft | 2-methyl-quinazolines |
| US10774093B2 (en) | 2017-03-30 | 2020-09-15 | Taxis Pharmaceuticals, Inc. | Synthetic processes and synthetic intermediates |
| RU2640579C1 (en) * | 2017-04-10 | 2018-01-10 | Феркат Адельзянович Халиуллин | HYDROCHLORIDES OF 1-ALKYL-3-METHYL-8-PIPERAZINO-7-(TIETHANYL-3)XANTHINE SHOWING ANTITHROMBOTIC EFFECT BY BLOCKING GP IIb-IIIa PLATELETS RECEPTORS |
| GB201705971D0 (en) * | 2017-04-13 | 2017-05-31 | Cancer Res Tech Ltd | Inhibitor compounds |
| US11304953B2 (en) | 2017-05-23 | 2022-04-19 | Mei Pharma, Inc. | Combination therapy |
| RU2020108454A (en) * | 2017-07-31 | 2021-09-02 | Дзе Трастиз Оф Коламбия Юниверсити Ин Дзе Сити Оф Нью Йорк | COMPOUNDS, COMPOSITIONS AND METHODS FOR T-CELL T-CELL ACUTE LYMPHOBLASTIC LEUKEMIA |
| KR20200041358A (en) | 2017-08-14 | 2020-04-21 | 메이 파마, 아이엔씨. | Combination therapy |
| KR102737185B1 (en) | 2018-01-20 | 2024-12-05 | 선샤인 레이크 파르마 컴퍼니 리미티드 | Substituted aminopyrimidine compounds and methods of use thereof |
| MX2020011565A (en) | 2018-05-01 | 2021-01-29 | Revolution Medicines Inc | C40-, c28-, and c-32-linked rapamycin analogs as mtor inhibitors. |
| IL312291A (en) | 2018-05-01 | 2024-06-01 | Revolution Medicines Inc | C26-linked rapamycin analogs as mtor inhibitors |
| US12030867B2 (en) | 2018-05-30 | 2024-07-09 | University Of Notre Dame Du Lac | Hsp90β selective inhibitors |
| SG11202011680YA (en) | 2018-06-01 | 2020-12-30 | Incyte Corp | Dosing regimen for the treatment of pi3k related disorders |
| WO2019239374A1 (en) | 2018-06-13 | 2019-12-19 | Acerta Pharma B.V. | Imidazopyrazine inhibitors of interleukin-2-inducible t-cell kinase |
| US11000513B2 (en) | 2018-07-02 | 2021-05-11 | Palvella Therapeutics, Inc. | Anhydrous compositions of mTOR inhibitors and methods of use |
| CN110833549B (en) * | 2018-08-15 | 2023-05-02 | 广西梧州制药(集团)股份有限公司 | Use of pyrazolopyrimidine derivative for the treatment of chronic pelvic inflammatory disease |
| US20220040324A1 (en) | 2018-12-21 | 2022-02-10 | Daiichi Sankyo Company, Limited | Combination of antibody-drug conjugate and kinase inhibitor |
| CN112194659A (en) | 2019-07-08 | 2021-01-08 | 浙江海正药业股份有限公司 | Alkyne derivatives and preparation methods and uses thereof |
| US12441707B2 (en) | 2019-12-30 | 2025-10-14 | Tyra Biosciences, Inc. | Indazole compounds |
| WO2021201574A1 (en) * | 2020-03-31 | 2021-10-07 | 보령제약 주식회사 | Method for producing compound as pi3k inhibitor, and intermediate compound for production thereof |
| EP4146228A4 (en) * | 2020-05-07 | 2024-10-30 | Shanghai Huayu Biotechnology Co., Ltd. | ANTICANCER COMBINATION THERAPY USING PURINE DERIVATIVES SUBSTITUTED BY N2-QUINOLINE OR ISOQUINOLINE |
| RU2739125C1 (en) * | 2020-06-07 | 2020-12-21 | Государственное бюджетное учреждение здравоохранения города Москвы «Научно-исследовательский институт скорой помощи им. Н.В. Склифосовского Департамента здравоохранения города Москвы» (ГБУЗ "НИИ СП ИМ. Н.В.СКЛИФОСОВСКОГО ДЗМ") | Method of treating nephrotransplant lymphocele after allogenic renal transplantation |
| WO2022019920A1 (en) | 2020-07-24 | 2022-01-27 | Verastem, Inc. | Treatment of cancers using pi3 kinase isoform modulators |
| WO2022044040A1 (en) * | 2020-08-25 | 2022-03-03 | Msn Laboratories Private Limited, R&D Center | Novel polymorphs of (s)-3-(1-(9h-purin-6-yl-amino)ethyl)-8-chloro-2-phenylisoquinolin-1(2h)-one |
| JP2024511277A (en) | 2021-02-19 | 2024-03-13 | メビオン・メディカル・システムズ・インコーポレーテッド | Gantry for particle beam therapy system |
| US20250032499A1 (en) * | 2021-11-22 | 2025-01-30 | Secura Bio, Inc. | Methods of treating peripheral t-cell lymphoma |
| CA3256390A1 (en) | 2022-05-25 | 2023-11-30 | Revolution Medicines, Inc. | Methods of treating cancer with an mtor inhibitor |
| WO2024086789A2 (en) * | 2022-10-20 | 2024-04-25 | Prelude Therapeutics Incorporated | Mutant pi3k-alpha inhibitors and their use as pharmaceuticals |
| WO2024163039A1 (en) | 2023-01-30 | 2024-08-08 | The Trustees Of Princeton University | Cancer treatment using pi3k inhibitors in combination with antibiotics or purified diets |
Family Cites Families (666)
| Publication number | Priority date | Publication date | Assignee | Title |
|---|---|---|---|---|
| GB812366A (en) | 1955-08-18 | 1959-04-22 | Wellcome Found | Improvements in and relating to derivatives of pyrimidine and the preparation thereof |
| GB937725A (en) | 1960-05-11 | 1963-09-25 | Ciba Ltd | Pyrazolo[3:4-d]pyrimidines |
| JPS4834699B1 (en) | 1968-07-03 | 1973-10-23 | ||
| US3536809A (en) | 1969-02-17 | 1970-10-27 | Alza Corp | Medication method |
| US3598123A (en) | 1969-04-01 | 1971-08-10 | Alza Corp | Bandage for administering drugs |
| US3657744A (en) | 1970-05-08 | 1972-04-25 | Univ Minnesota | Method for fixing prosthetic implants in a living body |
| DE2139107A1 (en) | 1971-08-04 | 1973-02-15 | Merck Patent Gmbh | N(6)-subst adenosine derivs - with coronary circulatory etc activity |
| US3845770A (en) | 1972-06-05 | 1974-11-05 | Alza Corp | Osmatic dispensing device for releasing beneficial agent |
| US3916899A (en) | 1973-04-25 | 1975-11-04 | Alza Corp | Osmotic dispensing device with maximum and minimum sizes for the passageway |
| US3939161A (en) | 1973-10-29 | 1976-02-17 | Abbott Laboratories | 1,3-Dimethyl- 1H-pyrazolo(4,3-D) pyrimidine-7 (6H)-ones |
| US4008719A (en) | 1976-02-02 | 1977-02-22 | Alza Corporation | Osmotic system having laminar arrangement for programming delivery of active agent |
| US4270537A (en) | 1979-11-19 | 1981-06-02 | Romaine Richard A | Automatic hypodermic syringe |
| IT1153216B (en) | 1981-10-16 | 1987-01-14 | Schering Ag | PROCEDURE FOR THE PREPARATION OF CYANETHEROCYCLIC COMPOUNDS |
| DE3244594A1 (en) | 1982-12-02 | 1984-06-07 | Hoechst Ag, 6230 Frankfurt | 1-PHENYLISOCHINOLINE DERIVATIVES AND METHOD FOR THE PRODUCTION THEREOF, PHARMACEUTICAL PREPARATIONS CONTAINING THIS COMPOUND AND THE USE THEREOF |
| DE3406533A1 (en) * | 1984-02-23 | 1985-08-29 | Boehringer Mannheim Gmbh, 6800 Mannheim | USE OF ADENOSINE DERIVATIVES AS ANTIALLERGICA AND MEDICINAL PRODUCTS CONTAINING THEM |
| US5310731A (en) * | 1984-06-28 | 1994-05-10 | Whitby Research, Inc. | N-6 substituted-5'-(N-substitutedcarboxamido)adenosines as cardiac vasodilators and antihypertensive agents |
| HU196714B (en) | 1984-10-04 | 1989-01-30 | Monsanto Co | Process for producing non-aqueous composition comprising somatotropin |
| US4795627A (en) | 1984-10-18 | 1989-01-03 | University Of Pittsburgh | Tritium labelled N-mustard type compounds and a process for their production |
| IE58110B1 (en) | 1984-10-30 | 1993-07-14 | Elan Corp Plc | Controlled release powder and process for its preparation |
| US4656159A (en) | 1984-10-31 | 1987-04-07 | Georgetown University | Galactose-C-6 nitrogen mustard compounds and their uses |
| JPS61109797A (en) | 1984-11-01 | 1986-05-28 | Yuki Gosei Yakuhin Kogyo Kk | Labeled nucleotide and labeled polynucleotide |
| US4596556A (en) | 1985-03-25 | 1986-06-24 | Bioject, Inc. | Hypodermic injection apparatus |
| US4733665C2 (en) | 1985-11-07 | 2002-01-29 | Expandable Grafts Partnership | Expandable intraluminal graft and method and apparatus for implanting an expandable intraluminal graft |
| US5023252A (en) | 1985-12-04 | 1991-06-11 | Conrex Pharmaceutical Corporation | Transdermal and trans-membrane delivery of drugs |
| US5061273A (en) | 1989-06-01 | 1991-10-29 | Yock Paul G | Angioplasty apparatus facilitating rapid exchanges |
| US5350395A (en) | 1986-04-15 | 1994-09-27 | Yock Paul G | Angioplasty apparatus facilitating rapid exchanges |
| US5040548A (en) | 1989-06-01 | 1991-08-20 | Yock Paul G | Angioplasty mehtod |
| CA1283827C (en) | 1986-12-18 | 1991-05-07 | Giorgio Cirelli | Appliance for injection of liquid formulations |
| US4748982A (en) | 1987-01-06 | 1988-06-07 | Advanced Cardiovascular Systems, Inc. | Reinforced balloon dilatation catheter with slitted exchange sleeve and method |
| GB8704027D0 (en) | 1987-02-20 | 1987-03-25 | Owen Mumford Ltd | Syringe needle combination |
| US4992445A (en) | 1987-06-12 | 1991-02-12 | American Cyanamid Co. | Transdermal delivery of pharmaceuticals |
| US5001139A (en) | 1987-06-12 | 1991-03-19 | American Cyanamid Company | Enchancers for the transdermal flux of nivadipine |
| US4941880A (en) | 1987-06-19 | 1990-07-17 | Bioject, Inc. | Pre-filled ampule and non-invasive hypodermic injection device assembly |
| US4790824A (en) | 1987-06-19 | 1988-12-13 | Bioject, Inc. | Non-invasive hypodermic injection device |
| US4940460A (en) | 1987-06-19 | 1990-07-10 | Bioject, Inc. | Patient-fillable and non-invasive hypodermic injection device assembly |
| US5339163A (en) | 1988-03-16 | 1994-08-16 | Canon Kabushiki Kaisha | Automatic exposure control device using plural image plane detection areas |
| US5073543A (en) | 1988-07-21 | 1991-12-17 | G. D. Searle & Co. | Controlled release formulations of trophic factors in ganglioside-lipsome vehicle |
| WO1990003370A1 (en) | 1988-09-28 | 1990-04-05 | Microprobe Corporation | DERIVATIVES OF PYRAZOLO[3,4-d]PYRIMIDINE |
| CA1322628C (en) | 1988-10-04 | 1993-10-05 | Richard A. Schatz | Expandable intraluminal graft |
| FR2638359A1 (en) | 1988-11-03 | 1990-05-04 | Tino Dalto | SYRINGE GUIDE WITH ADJUSTMENT OF DEPTH DEPTH OF NEEDLE IN SKIN |
| GB8827305D0 (en) | 1988-11-23 | 1988-12-29 | British Bio Technology | Compounds |
| IT1229203B (en) | 1989-03-22 | 1991-07-25 | Bioresearch Spa | USE OF 5 METHYLTHETRAHYDROPHOLIC ACID, 5 FORMYLTHETRAHYDROPHOLIC ACID AND THEIR PHARMACEUTICALLY ACCEPTABLE SALTS FOR THE PREPARATION OF PHARMACEUTICAL COMPOSITIONS IN THE FORM OF CONTROLLED RELEASE ACTIVE IN THE THERAPY OF MENTAL AND ORGANIC DISORDERS. |
| PH30995A (en) | 1989-07-07 | 1997-12-23 | Novartis Inc | Sustained release formulations of water soluble peptides. |
| US5428125A (en) * | 1989-07-17 | 1995-06-27 | The Dow Chemical Company | Mesogenic polycyanates and thermosets thereof |
| US5442039A (en) * | 1989-07-17 | 1995-08-15 | The Dow Chemical Company | Mesogenic polycyanates and thermosets thereof |
| US5292331A (en) | 1989-08-24 | 1994-03-08 | Applied Vascular Engineering, Inc. | Endovascular support device |
| US5674278A (en) | 1989-08-24 | 1997-10-07 | Arterial Vascular Engineering, Inc. | Endovascular support device |
| US6344053B1 (en) | 1993-12-22 | 2002-02-05 | Medtronic Ave, Inc. | Endovascular support device and method |
| US5646128A (en) | 1989-09-15 | 1997-07-08 | Gensia, Inc. | Methods for treating adenosine kinase related conditions |
| US5721356A (en) | 1989-09-15 | 1998-02-24 | Gensia, Inc. | Orally active adenosine kinase inhibitors |
| US5795977A (en) | 1989-09-15 | 1998-08-18 | Metabasis Therapeutics, Inc. | Water soluble adenosine kinase inhibitors |
| US5674998A (en) * | 1989-09-15 | 1997-10-07 | Gensia Inc. | C-4' modified adenosine kinase inhibitors |
| US5763596A (en) * | 1989-09-15 | 1998-06-09 | Metabasis Therapeutics, Inc. | C-4' modified adenosine kinase inhibitors |
| US5763597A (en) | 1989-09-15 | 1998-06-09 | Metabasis Therapeutics, Inc. | Orally active adenosine kinase inhibitors |
| US5120548A (en) | 1989-11-07 | 1992-06-09 | Merck & Co., Inc. | Swelling modulated polymeric drug delivery device |
| US5312335A (en) | 1989-11-09 | 1994-05-17 | Bioject Inc. | Needleless hypodermic injection device |
| US5064413A (en) | 1989-11-09 | 1991-11-12 | Bioject, Inc. | Needleless hypodermic injection device |
| CA2071897A1 (en) | 1989-12-28 | 1991-06-29 | Richard A. Glennon | Sigma receptor ligands and the use thereof |
| JPH04211063A (en) | 1990-03-05 | 1992-08-03 | Takeda Chem Ind Ltd | Condensed tricyclic heterocyclic compound, its production, use and intermediate |
| GB9009542D0 (en) | 1990-04-27 | 1990-06-20 | Beecham Group Plc | Novel compounds |
| US5733566A (en) | 1990-05-15 | 1998-03-31 | Alkermes Controlled Therapeutics Inc. Ii | Controlled release of antiparasitic agents in animals |
| GB9113137D0 (en) * | 1990-07-13 | 1991-08-07 | Ici Plc | Thioxo heterocycles |
| DE4026265A1 (en) * | 1990-08-20 | 1992-02-27 | Boehringer Mannheim Gmbh | NEW PHOSPHOLIPID DERIVATIVES OF NUCLEOSIDES, THEIR PRODUCTION AND THEIR USE AS ANTIVIRAL MEDICINAL PRODUCTS |
| US5563257A (en) * | 1990-08-20 | 1996-10-08 | Boehringer Mannheim Gmbh | Phospholipid derivatives of nucleosides |
| US5190521A (en) | 1990-08-22 | 1993-03-02 | Tecnol Medical Products, Inc. | Apparatus and method for raising a skin wheal and anesthetizing skin |
| AU654507B2 (en) * | 1990-09-25 | 1994-11-10 | Rhone-Poulenc Rorer International (Holdings) Inc. | Compounds having antihypertensive and anti-ischemic properties |
| US5561134A (en) * | 1990-09-25 | 1996-10-01 | Rhone-Poulenc Rorer Pharmaceuticals Inc. | Compounds having antihypertensive, cardioprotective, anti-ischemic and antilipolytic properties |
| US5652366A (en) * | 1990-09-25 | 1997-07-29 | Rhone-Poulenc Rorer Pharmaceuticals Inc. | DI (1R)-(-)camphosulfonic acid) salt, preparation thereof and use thereof |
| US5527288A (en) | 1990-12-13 | 1996-06-18 | Elan Medical Technologies Limited | Intradermal drug delivery device and method for intradermal delivery of drugs |
| GB9103839D0 (en) | 1991-02-23 | 1991-04-10 | Smithkline Beecham Plc | Pharmaceuticals |
| US6645969B1 (en) | 1991-05-10 | 2003-11-11 | Aventis Pharmaceuticals Inc. | Aryl and heteroaryl quinazoline compounds which inhibit CSF-1R receptor tyrosine kinase |
| US5710158A (en) | 1991-05-10 | 1998-01-20 | Rhone-Poulenc Rorer Pharmaceuticals Inc. | Aryl and heteroaryl quinazoline compounds which inhibit EGF and/or PDGF receptor tyrosine kinase |
| US5480883A (en) | 1991-05-10 | 1996-01-02 | Rhone-Poulenc Rorer Pharmaceuticals Inc. | Bis mono- and bicyclic aryl and heteroaryl compounds which inhibit EGF and/or PDGF receptor tyrosine kinase |
| US5714493A (en) | 1991-05-10 | 1998-02-03 | Rhone-Poulenc Rorer Pharmaceuticals, Inc. | Aryl and heteroaryl quinazoline compounds which inhibit CSF-1R receptor tyrosine kinase |
| US5721237A (en) | 1991-05-10 | 1998-02-24 | Rhone-Poulenc Rorer Pharmaceuticals Inc. | Protein tyrosine kinase aryl and heteroaryl quinazoline compounds having selective inhibition of HER-2 autophosphorylation properties |
| USRE37650E1 (en) | 1991-05-10 | 2002-04-09 | Aventis Pharmacetical Products, Inc. | Aryl and heteroaryl quinazoline compounds which inhibit CSF-1R receptor tyrosine kinase |
| SG64322A1 (en) | 1991-05-10 | 1999-04-27 | Rhone Poulenc Rorer Int | Bis mono and bicyclic aryl and heteroaryl compounds which inhibit egf and/or pdgf receptor tyrosine kinase |
| GB9118204D0 (en) | 1991-08-23 | 1991-10-09 | Weston Terence E | Needle-less injector |
| SE9102652D0 (en) | 1991-09-13 | 1991-09-13 | Kabi Pharmacia Ab | INJECTION NEEDLE ARRANGEMENT |
| US5580578A (en) | 1992-01-27 | 1996-12-03 | Euro-Celtique, S.A. | Controlled release formulations coated with aqueous dispersions of acrylic polymers |
| MX9300141A (en) * | 1992-01-13 | 1994-07-29 | Smithkline Beecham Corp | NOVEL IMIDAZOLE COMPOUNDS, PROCEDURE FOR THE PREPARATION AND PHARMACEUTICAL COMPOSITIONS CONTAINING IT. |
| US5916891A (en) * | 1992-01-13 | 1999-06-29 | Smithkline Beecham Corporation | Pyrimidinyl imidazoles |
| DE4204031A1 (en) | 1992-02-12 | 1993-08-19 | Boehringer Mannheim Gmbh | NEW LIPID PHOSPHONIC ACID-NUCLEOSIDE CONJUGATES AND THEIR USE AS ANTIVIRAL MEDICINAL PRODUCTS |
| DE4204032A1 (en) | 1992-02-12 | 1993-08-19 | Boehringer Mannheim Gmbh | NEW LIPONUCLEOTIDES, THEIR PRODUCTION AND THEIR USE AS ANTIVIRAL MEDICINAL PRODUCTS |
| US5328483A (en) | 1992-02-27 | 1994-07-12 | Jacoby Richard M | Intradermal injection device with medication and needle guard |
| WO1993018035A1 (en) | 1992-03-04 | 1993-09-16 | Abbott Laboratories | Angiotensin ii receptor antagonists |
| JP2737518B2 (en) | 1992-03-16 | 1998-04-08 | 富士通株式会社 | Cooling structure of infrared detector |
| US5294612A (en) | 1992-03-30 | 1994-03-15 | Sterling Winthrop Inc. | 6-heterocyclyl pyrazolo [3,4-d]pyrimidin-4-ones and compositions and method of use thereof |
| EP1488805A2 (en) | 1992-04-07 | 2004-12-22 | The Regents of the University of Michigan | CD28 pathway immunoregulation |
| GB9208135D0 (en) | 1992-04-13 | 1992-05-27 | Ludwig Inst Cancer Res | Polypeptides having kinase activity,their preparation and use |
| AU4115693A (en) | 1992-04-24 | 1993-11-29 | Sri International | In vivo homologous sequence targeting in eukaryotic cells |
| WO1994000950A1 (en) | 1992-06-19 | 1994-01-06 | Honeywell Inc. | Infrared camera with thermoelectric temperature stabilization |
| US5383851A (en) | 1992-07-24 | 1995-01-24 | Bioject Inc. | Needleless hypodermic injection device |
| US6057305A (en) * | 1992-08-05 | 2000-05-02 | Institute Of Organic Chemistry And Biochemistry Of The Academy Of Sciences Of The Czech Republic | Antiretroviral enantiomeric nucleotide analogs |
| US5569189A (en) | 1992-09-28 | 1996-10-29 | Equidyne Systems, Inc. | hypodermic jet injector |
| US5334144A (en) | 1992-10-30 | 1994-08-02 | Becton, Dickinson And Company | Single use disposable needleless injector |
| TW333456B (en) | 1992-12-07 | 1998-06-11 | Takeda Pharm Ind Co Ltd | A pharmaceutical composition of sustained-release preparation the invention relates to a pharmaceutical composition of sustained-release preparation which comprises a physiologically active peptide. |
| TW370529B (en) | 1992-12-17 | 1999-09-21 | Pfizer | Pyrazolopyrimidines |
| US5455258A (en) | 1993-01-06 | 1995-10-03 | Ciba-Geigy Corporation | Arylsulfonamido-substituted hydroxamic acids |
| US5591767A (en) | 1993-01-25 | 1997-01-07 | Pharmetrix Corporation | Liquid reservoir transdermal patch for the administration of ketorolac |
| WO1994018215A1 (en) * | 1993-02-03 | 1994-08-18 | Gensia, Inc. | Adenosine kinase inhibitors comprising lyxofuranosyl derivatives |
| IL108523A0 (en) | 1993-02-03 | 1994-05-30 | Gensia Inc | Pharmaceutical compositions containing adenosine kinase inhibitors for preventing or treating conditions involving inflammatory responses and pain |
| GB9308957D0 (en) | 1993-04-30 | 1993-06-16 | Cancer Res Campaign Tech | Novel produgs |
| ATE293686T1 (en) | 1993-06-04 | 2005-05-15 | Us Navy | METHOD FOR SELECTIVELY STIMULATING T-CELL PROLIFERATION. |
| US6087324A (en) | 1993-06-24 | 2000-07-11 | Takeda Chemical Industries, Ltd. | Sustained-release preparation |
| US5504103A (en) | 1993-08-25 | 1996-04-02 | Eli Lilly And Company | Inhibition of phosphatidylinositol 3-kinase with 17 β-hydroxywortmannin and analogs thereof |
| US5525503A (en) * | 1993-09-28 | 1996-06-11 | Dana-Farber Cancer Institute, Inc. | Signal transduction via CD28 |
| WO1995012588A1 (en) | 1993-11-05 | 1995-05-11 | Biochem Pharma Inc. | Antineoplastic heteronaphthoquinones |
| US5656643A (en) | 1993-11-08 | 1997-08-12 | Rhone-Poulenc Rorer Pharmaceuticals Inc. | Bis mono-and bicyclic aryl and heteroaryl compounds which inhibit EGF and/or PDGF receptor tyrosine kinase |
| IL112249A (en) * | 1994-01-25 | 2001-11-25 | Warner Lambert Co | Pharmaceutical compositions containing di and tricyclic pyrimidine derivatives for inhibiting tyrosine kinases of the epidermal growth factor receptor family and some new such compounds |
| US5654307A (en) * | 1994-01-25 | 1997-08-05 | Warner-Lambert Company | Bicyclic compounds capable of inhibiting tyrosine kinases of the epidermal growth factor receptor family |
| WO1995024176A1 (en) | 1994-03-07 | 1995-09-14 | Bioject, Inc. | Ampule filling device |
| US5466220A (en) | 1994-03-08 | 1995-11-14 | Bioject, Inc. | Drug vial mixing and transfer device |
| US6632789B1 (en) * | 1994-04-29 | 2003-10-14 | The United States Of America As Represented By The Secretary Of The Navy | Methods for modulating T cell responses by manipulating intracellular signal transduction |
| DE4418690A1 (en) | 1994-05-28 | 1996-01-11 | Boehringer Mannheim Gmbh | Nucleoside 5'-mono-phosphate ester(s) of glyceryl di:ether derivs. |
| IT1270594B (en) | 1994-07-07 | 1997-05-07 | Recordati Chem Pharm | CONTROLLED RELEASE PHARMACEUTICAL COMPOSITION OF LIQUID SUSPENSION MOGUISTEIN |
| US6323201B1 (en) | 1994-12-29 | 2001-11-27 | The Regents Of The University Of California | Compounds for inhibition of ceramide-mediated signal transduction |
| US5599302A (en) | 1995-01-09 | 1997-02-04 | Medi-Ject Corporation | Medical injection system and method, gas spring thereof and launching device using gas spring |
| US5863949A (en) | 1995-03-08 | 1999-01-26 | Pfizer Inc | Arylsulfonylamino hydroxamic acid derivatives |
| CA2214086C (en) | 1995-04-03 | 2008-07-29 | Novartis Ag | Pyrazole derivatives and processes for the preparation thereof |
| US6312894B1 (en) | 1995-04-03 | 2001-11-06 | Epoch Pharmaceuticals, Inc. | Hybridization and mismatch discrimination using oligonucleotides conjugated to minor groove binders |
| ES2153031T4 (en) | 1995-04-20 | 2001-05-16 | Pfizer | ARILSULFONIL HYDROXAMIC ACID DERIVATIVES AS INHIBITORS OF MMP AND TNF. |
| US5977061A (en) * | 1995-04-21 | 1999-11-02 | Institute Of Organic Chemistry And Biochemistry Of The Academy Of Sciences Of The Czech Republic | N6 - substituted nucleotide analagues and their use |
| JPH08295667A (en) | 1995-04-27 | 1996-11-12 | Takeda Chem Ind Ltd | Heterocyclic compound, its production and pharmaceutical preparation |
| US5593997A (en) | 1995-05-23 | 1997-01-14 | Pfizer Inc. | 4-aminopyrazolo(3-,4-D)pyrimidine and 4-aminopyrazolo-(3,4-D)pyridine tyrosine kinase inhibitors |
| WO1996037777A1 (en) | 1995-05-23 | 1996-11-28 | Nelson Randall W | Mass spectrometric immunoassay |
| US5730723A (en) | 1995-10-10 | 1998-03-24 | Visionary Medical Products Corporation, Inc. | Gas pressured needle-less injection device and method |
| US6403599B1 (en) | 1995-11-08 | 2002-06-11 | Pfizer Inc | Corticotropin releasing factor antagonists |
| WO1996040256A1 (en) * | 1995-06-07 | 1996-12-19 | G.D. Searle & Co. | Method to treat cardiofibrosis with a combination of an angiotensin ii antagonist and spironolactone |
| AU725689B2 (en) * | 1995-06-07 | 2000-10-19 | G.D. Searle & Co. | Epoxy-steroidal aldosterone antagonist and angiotensin II antagonist combination therapy for treatment of congestive heart failure |
| US5665721A (en) | 1995-06-07 | 1997-09-09 | Abbott Laboratories | Heterocyclic substituted cyclopentane compounds |
| KR19990022723A (en) * | 1995-06-07 | 1999-03-25 | 윌리암스 로저 에이 | Spironolactone and angiotensin II antagonist combination therapy for the treatment of congestive heart failure |
| AU6242096A (en) | 1995-06-27 | 1997-01-30 | Takeda Chemical Industries Ltd. | Method of producing sustained-release preparation |
| TW448055B (en) | 1995-09-04 | 2001-08-01 | Takeda Chemical Industries Ltd | Method of production of sustained-release preparation |
| JP2909418B2 (en) | 1995-09-18 | 1999-06-23 | 株式会社資生堂 | Delayed release microsphere of drug |
| US5763885A (en) | 1995-12-19 | 1998-06-09 | Loral Infrared & Imaging Systems, Inc. | Method and apparatus for thermal gradient stabilization of microbolometer focal plane arrays |
| JPH09143163A (en) | 1995-11-29 | 1997-06-03 | Fuji Photo Film Co Ltd | Production of nitrogen-containing heteroaromatic amides |
| ATE225343T1 (en) | 1995-12-20 | 2002-10-15 | Hoffmann La Roche | MATRIX METALLOPROTEASE INHIBITORS |
| US5893397A (en) | 1996-01-12 | 1999-04-13 | Bioject Inc. | Medication vial/syringe liquid-transfer apparatus |
| US5980945A (en) | 1996-01-16 | 1999-11-09 | Societe De Conseils De Recherches Et D'applications Scientifique S.A. | Sustained release drug formulations |
| US5747235A (en) * | 1996-01-26 | 1998-05-05 | Eastman Kodak Company | Silver halide light sensitive emulsion layer having enhanced photographic sensitivity |
| CH690773A5 (en) | 1996-02-01 | 2001-01-15 | Novartis Ag | Pyrrolo (2,3-d) pyrimides and their use. |
| DE19603576A1 (en) | 1996-02-01 | 1997-08-07 | Bayer Ag | Acylated 4-amino and 4-hydrazinopyrimidines |
| US5914488A (en) | 1996-03-05 | 1999-06-22 | Mitsubishi Denki Kabushiki Kaisha | Infrared detector |
| GB9607549D0 (en) | 1996-04-11 | 1996-06-12 | Weston Medical Ltd | Spring-powered dispensing device |
| EP0807633B1 (en) | 1996-05-15 | 2002-11-06 | Pfizer Inc. | Novel 2,3-disubstituted-(5,6)- heteroarylfused-pyrimidine-4-ones |
| GB9611460D0 (en) | 1996-06-01 | 1996-08-07 | Ludwig Inst Cancer Res | Novel lipid kinase |
| WO1997048694A1 (en) * | 1996-06-20 | 1997-12-24 | Board Of Regents, The University Of Texas System | Compounds and methods for providing pharmacologically active preparations and uses thereof |
| US6264970B1 (en) | 1996-06-26 | 2001-07-24 | Takeda Chemical Industries, Ltd. | Sustained-release preparation |
| EP0818442A3 (en) | 1996-07-12 | 1998-12-30 | Pfizer Inc. | Cyclic sulphone derivatives as inhibitors of metalloproteinases and of the production of tumour necrosis factor |
| KR20000067904A (en) | 1996-07-18 | 2000-11-25 | 디. 제이. 우드, 스피겔 알렌 제이 | Phosphinate Based Inhibitors of Matrix Metalloproteases |
| KR20000068248A (en) | 1996-08-23 | 2000-11-25 | 디. 제이. 우드, 스피겔 알렌 제이 | Arylsulfonylamino Hydroxamic Acid Derivatives |
| US6419961B1 (en) | 1996-08-29 | 2002-07-16 | Takeda Chemical Industries, Ltd. | Sustained release microcapsules of a bioactive substance and a biodegradable polymer |
| CA2217134A1 (en) | 1996-10-09 | 1998-04-09 | Sumitomo Pharmaceuticals Co., Ltd. | Sustained release formulation |
| US5922753A (en) * | 1996-10-23 | 1999-07-13 | Zymogenetics, Inc. | Methods for treating bone deficit conditions with benzothiazole |
| US5919808A (en) * | 1996-10-23 | 1999-07-06 | Zymogenetics, Inc. | Compositions and methods for treating bone deficit conditions |
| US5948776A (en) * | 1996-10-23 | 1999-09-07 | Zymogenetic, Inc. | Compositions and methods for treating bone deficit conditions |
| US5994358A (en) * | 1996-10-23 | 1999-11-30 | Zymogenetics, Inc. | Compositions and methods for treating bone deficit conditions |
| US6153631A (en) * | 1996-10-23 | 2000-11-28 | Zymogenetics, Inc. | Compositions and methods for treating bone deficit conditions |
| US6342514B1 (en) * | 1996-10-23 | 2002-01-29 | Zymogenetics, Inc. | Compositions and methods for treating bone deficit conditions |
| US6251901B1 (en) * | 1996-10-23 | 2001-06-26 | Zymogenetics, Inc. | Compositions and methods for treating bone deficit conditions |
| US5990169A (en) * | 1996-10-23 | 1999-11-23 | Zymogenetics, Inc. | Compositions and methods for treating bone deficit conditions |
| US5965573A (en) * | 1996-10-23 | 1999-10-12 | Zymogenetics, Inc. | Compositions and methods for treating bone deficit conditions |
| PT839525E (en) | 1996-10-31 | 2004-10-29 | Takeda Chemical Industries Ltd | PROLONGED LIBERATION PREPARATION |
| US5858753A (en) | 1996-11-25 | 1999-01-12 | Icos Corporation | Lipid kinase |
| ATE346085T1 (en) * | 1996-12-06 | 2006-12-15 | Vertex Pharma | INHIBITORS OF THE INTERLEUKIN-1 BETA CONVERTING ENZYME |
| WO1998027980A2 (en) | 1996-12-20 | 1998-07-02 | Takeda Chemical Industries, Ltd. | Method of producing a sustained-release preparation |
| US6093737A (en) * | 1996-12-30 | 2000-07-25 | Merck & Co., Inc. | Inhibitors of farnesyl-protein transferase |
| JP3338064B2 (en) | 1997-01-06 | 2002-10-28 | ファイザー・インク | Cyclic sulfone derivative |
| JPH10206995A (en) | 1997-01-21 | 1998-08-07 | Konica Corp | Silver halide photographic sensitive material |
| US5891474A (en) | 1997-01-29 | 1999-04-06 | Poli Industria Chimica, S.P.A. | Time-specific controlled release dosage formulations and method of preparing same |
| NZ336840A (en) | 1997-02-03 | 2001-01-26 | Pfizer Prod Inc | Arylsulfonylamino hydroxamic acid derivatives useful in the treatment of tumor necrosis factor and matrix metalloproteinase mediated diseases |
| JP2000507975A (en) | 1997-02-07 | 2000-06-27 | ファイザー・インク | N-hydroxy-β-sulfonylpropionamide derivatives and their use as matrix metalloproteinase inhibitors |
| US6390821B1 (en) | 1997-02-07 | 2002-05-21 | Princeton University | Engineered protein kinases which can utilize modified nucleotide triphosphate substrates |
| EP0960098A1 (en) | 1997-02-11 | 1999-12-01 | Pfizer Inc. | Arylsulfonyl hydroxamic acid derivatives |
| TR199902301T2 (en) | 1997-03-19 | 1999-12-21 | Basf Aktiengesellschaft | Pyrilo $2,3D]pyrimidines and their use. |
| US7863444B2 (en) | 1997-03-19 | 2011-01-04 | Abbott Laboratories | 4-aminopyrrolopyrimidines as kinase inhibitors |
| US5993412A (en) | 1997-05-19 | 1999-11-30 | Bioject, Inc. | Injection apparatus |
| AU7449598A (en) | 1997-05-23 | 1998-12-11 | Nippon Shinyaku Co. Ltd. | Medicinal composition for prevention or treatment of hepatopathy |
| US6207679B1 (en) | 1997-06-19 | 2001-03-27 | Sepracor, Inc. | Antimicrobial agents uses and compositions related thereto |
| CA2299355C (en) | 1997-08-08 | 2005-09-27 | Pfizer Products Inc. | Aryloxyarylsulfonylamino hydroxamic acid derivatives |
| ATE404539T1 (en) * | 1997-10-02 | 2008-08-15 | Eisai R&D Man Co Ltd | CONDENSED PYRIDINE DERIVATIVES |
| US6649631B1 (en) * | 1997-10-23 | 2003-11-18 | The Board Of Regents Of The University Of Texas System | Compositions and methods for treating bone deficit conditions |
| CN1130363C (en) * | 1997-11-12 | 2003-12-10 | 三菱化学株式会社 | Purine derivatives and medicaments containing them as active ingredients |
| GB9725782D0 (en) | 1997-12-05 | 1998-02-04 | Pfizer Ltd | Therapeutic agents |
| IT1298087B1 (en) | 1998-01-08 | 1999-12-20 | Fiderm S R L | DEVICE FOR CHECKING THE PENETRATION DEPTH OF A NEEDLE, IN PARTICULAR APPLICABLE TO A SYRINGE FOR INJECTIONS |
| US6191170B1 (en) * | 1998-01-13 | 2001-02-20 | Tularik Inc. | Benzenesulfonamides and benzamides as therapeutic agents |
| GB9801690D0 (en) | 1998-01-27 | 1998-03-25 | Pfizer Ltd | Therapeutic agents |
| CA2322311C (en) | 1998-03-04 | 2009-10-13 | Bristol-Myers Squibb Company | Heterocyclo-substituted imidazopyrazine protein tyrosine kinase inhibitors |
| US6613358B2 (en) | 1998-03-18 | 2003-09-02 | Theodore W. Randolph | Sustained-release composition including amorphous polymer |
| JP4462654B2 (en) | 1998-03-26 | 2010-05-12 | ソニー株式会社 | Video material selection device and video material selection method |
| US6127121A (en) | 1998-04-03 | 2000-10-03 | Epoch Pharmaceuticals, Inc. | Oligonucleotides containing pyrazolo[3,4-D]pyrimidines for hybridization and mismatch discrimination |
| US7715989B2 (en) | 1998-04-03 | 2010-05-11 | Elitech Holding B.V. | Systems and methods for predicting oligonucleotide melting temperature (TmS) |
| US6432970B2 (en) | 1998-04-09 | 2002-08-13 | Johns Hopkins University School Of Medicine | Inhibitors of hedgehog signaling pathways, compositions and uses related thereto |
| PA8469501A1 (en) | 1998-04-10 | 2000-09-29 | Pfizer Prod Inc | HYDROXAMIDES OF THE ACID (4-ARILSULFONILAMINO) -TETRAHIDROPIRAN-4-CARBOXILICO |
| PA8469401A1 (en) | 1998-04-10 | 2000-05-24 | Pfizer Prod Inc | BICYCLE DERIVATIVES OF HYDROXAMIC ACID |
| KR19990085365A (en) | 1998-05-16 | 1999-12-06 | 허영섭 | Biodegradable polymer microspheres capable of continuously controlled controlled release and preparation method thereof |
| JP2000072773A (en) | 1998-08-28 | 2000-03-07 | Zeria Pharmaceut Co Ltd | Purine derivatives |
| ES2253930T3 (en) | 1998-09-18 | 2006-06-01 | ABBOTT GMBH & CO. KG | 4-AMINOPIRROLOPIRIMIDINAS AS QUINASA INHIBITORS. |
| US6362216B1 (en) | 1998-10-27 | 2002-03-26 | Array Biopharma Inc. | Compounds which inhibit tryptase activity |
| EP1004578B1 (en) | 1998-11-05 | 2004-02-25 | Pfizer Products Inc. | 5-oxo-pyrrolidine-2-carboxylic acid hydroxamide derivatives |
| US6383790B1 (en) | 1999-01-11 | 2002-05-07 | Princeton University | High affinity protein kinase inhibitors |
| CZ27399A3 (en) | 1999-01-26 | 2000-08-16 | Ústav Experimentální Botaniky Av Čr | Substituted nitrogen heterocyclic derivatives process of their preparation, the derivatives employed as medicaments, pharmaceutical composition and a compound pharmaceutical preparation in which these derivatives are comprised as well as use of these derivatives for preparing medicaments |
| CA2360934A1 (en) | 1999-02-22 | 2000-08-31 | Lin-Hua Zhang | Polycyclo heterocyclic derivatives as antiinflammatory agents |
| US6248363B1 (en) | 1999-11-23 | 2001-06-19 | Lipocine, Inc. | Solid carriers for improved delivery of active ingredients in pharmaceutical compositions |
| ATE278674T1 (en) | 1999-03-12 | 2004-10-15 | Boehringer Ingelheim Pharma | HETEROCYCLIC UREA AND RELATED COMPOUNDS AS ANTI-INFLAMMATORY AGENTS |
| EP1040831A3 (en) * | 1999-04-02 | 2003-05-02 | Pfizer Products Inc. | Use of corticotropin releasing factor (CRF) antagonists to prevent sudden death |
| SE515856C2 (en) | 1999-05-19 | 2001-10-22 | Ericsson Telefon Ab L M | Carrier for electronic components |
| AU5179000A (en) | 1999-06-03 | 2000-12-28 | Basf Aktiengesellschaft | Benzothiazinone and benzoxazinone compounds |
| US6387894B1 (en) * | 1999-06-11 | 2002-05-14 | Pfizer Inc. | Use of CRF antagonists and renin-angiotensin system inhibitors |
| PE20010306A1 (en) | 1999-07-02 | 2001-03-29 | Agouron Pharma | INDAZOLE COMPOUNDS AND PHARMACEUTICAL COMPOSITIONS CONTAINING THEM USEFUL FOR THE INHIBITION OF PROTEIN KINASE |
| TWI262914B (en) | 1999-07-02 | 2006-10-01 | Agouron Pharma | Compounds and pharmaceutical compositions for inhibiting protein kinases |
| EP1081137A1 (en) | 1999-08-12 | 2001-03-07 | Pfizer Products Inc. | Selective inhibitors of aggrecanase in osteoarthritis treatment |
| GB9919588D0 (en) * | 1999-08-18 | 1999-10-20 | Hoechst Schering Agrevo Gmbh | Fungicidal compounds |
| WO2001016114A2 (en) | 1999-08-27 | 2001-03-08 | Chemocentryx, Inc. | Heterocyclic compounds and methods for modulating cxcr3 function |
| JP4994552B2 (en) | 1999-09-16 | 2012-08-08 | キュリス,インコーポレイテッド | Hedgehog signaling pathway mediators, compositions and related uses |
| US20070021493A1 (en) | 1999-09-16 | 2007-01-25 | Curis, Inc. | Mediators of hedgehog signaling pathways, compositions and uses related thereto |
| US6921763B2 (en) | 1999-09-17 | 2005-07-26 | Abbott Laboratories | Pyrazolopyrimidines as therapeutic agents |
| JP2003509428A (en) | 1999-09-17 | 2003-03-11 | アボツト・ゲー・エム・ベー・ハー・ウント・コンパニー・カーゲー | Pyrazolopyrimidines as therapeutics |
| WO2001021160A2 (en) | 1999-09-23 | 2001-03-29 | Axxima Pharmaceuticals Aktiengesellschaft | Carboxymide and aniline derivatives as selective inhibitors of pathogens |
| US6506769B2 (en) * | 1999-10-06 | 2003-01-14 | Boehringer Ingelheim Pharmaceuticals, Inc. | Heterocyclic compounds useful as inhibitors of tyrosine kinases |
| CA2384378C (en) | 1999-10-06 | 2011-05-24 | Boehringer Ingelheim Pharmaceuticals, Inc. | Heterocyclic compounds useful as inhibitors of tyrosine kinases |
| WO2001027105A1 (en) | 1999-10-12 | 2001-04-19 | Takeda Chemical Industries, Ltd. | Pyrimidine-5-carboxamide compounds, process for producing the same and use thereof |
| EP1235851B1 (en) | 1999-10-13 | 2006-05-31 | Johns Hopkins University School of Medicine | Regulators of the hedgehog pathway, compositions and uses related thereto |
| CA2286451A1 (en) | 1999-10-14 | 2001-04-14 | Grant A. Mitchell | Hormone-sensitive lipase mediated male infertility |
| US6472153B1 (en) | 1999-10-26 | 2002-10-29 | Epoch Biosciences, Inc. | Hybridization-triggered fluorescent detection of nucleic acids |
| EP1095933A1 (en) | 1999-10-30 | 2001-05-02 | Aventis Pharma Deutschland GmbH | Novel N-guanidinoalkylamides, their preparation, their use, and pharmaceutical preparations comprising them |
| US6660845B1 (en) | 1999-11-23 | 2003-12-09 | Epoch Biosciences, Inc. | Non-aggregating, non-quenching oligomers comprising nucleotide analogues; methods of synthesis and use thereof |
| IL133809A0 (en) | 1999-12-30 | 2001-04-30 | Yeda Res & Dev | Steroidal alkaloids and pharmaceutical compositions comprising them |
| GB0002032D0 (en) | 2000-01-28 | 2000-03-22 | Zeneca Ltd | Chemical compounds |
| US7217722B2 (en) | 2000-02-01 | 2007-05-15 | Kirin Beer Kabushiki Kaisha | Nitrogen-containing compounds having kinase inhibitory activity and drugs containing the same |
| FR2804958B1 (en) | 2000-02-15 | 2005-07-08 | Hoechst Marion Roussel Inc | XANTHINE DERIVATIVES, PREPARATION METHOD AND INTERMEDIATES THEREOF, THEIR APPLICATION AS MEDICAMENT AND PHARMACEUTICAL COMPOSITIONS COMPRISING THE SAME |
| US6613798B1 (en) | 2000-03-30 | 2003-09-02 | Curis, Inc. | Small organic molecule regulators of cell proliferation |
| US7115653B2 (en) | 2000-03-30 | 2006-10-03 | Curis, Inc. | Small organic molecule regulators of cell proliferation |
| WO2001074344A2 (en) | 2000-03-30 | 2001-10-11 | Curis, Inc. | Small organic molecule regulators of cell proliferation |
| US20020127625A1 (en) | 2000-03-31 | 2002-09-12 | Forskarpatent Is Syd Ab | Methods of diagnosing immune related diseases |
| GEP20084317B (en) * | 2000-04-25 | 2008-02-25 | Icos Corp | Inhibitors of human phosphatidyl-inositol 3-kinase delta |
| US6667300B2 (en) * | 2000-04-25 | 2003-12-23 | Icos Corporation | Inhibitors of human phosphatidylinositol 3-kinase delta |
| US6777439B2 (en) * | 2000-05-30 | 2004-08-17 | Advanced Research & Technology Institute, Inc. | Compositions and methods for identifying agents which modulate PTEN function and PI-3 kinase pathways |
| US6667398B2 (en) | 2000-06-22 | 2003-12-23 | Pfizer Inc | Process for the preparation of pyrazolopyrimidinones |
| KR20030011371A (en) * | 2000-06-27 | 2003-02-07 | 진랩스 테크놀러지스, 인크. | Novel compounds possessing antibacterial, antifungal or antitumor activity |
| US6534691B2 (en) | 2000-07-18 | 2003-03-18 | E. I. Du Pont De Nemours And Company | Manufacturing process for α-olefins |
| AU2001292320A1 (en) * | 2000-10-02 | 2002-04-15 | Tanabe Seiyaku Co., Ltd. | Benzylamine compound, process for producing the same, and intermediate therefor |
| AU2002213467A8 (en) * | 2000-10-11 | 2009-07-30 | Chemocentryx Inc | Modulation of ccr4 function |
| EP1317464B1 (en) | 2000-10-11 | 2009-05-13 | Applera Corporation | Fluorescent nucleobase conjugates having anionic linkers |
| FR2815346B1 (en) | 2000-10-13 | 2004-02-20 | Servier Lab | NOVEL AMINOTRIAZOLONE COMPOUNDS, PROCESS FOR THEIR PREPARATION AND THE PHARMACEUTICAL COMPOSITIONS CONTAINING THE SAME |
| JP2002131859A (en) | 2000-10-19 | 2002-05-09 | Konica Corp | Infrared sensitive silver halide photographic sensitive material for photographing and infrared sensitive silver halide emulsion |
| US6890747B2 (en) | 2000-10-23 | 2005-05-10 | Warner-Lambert Company | Phosphoinositide 3-kinases |
| NZ526622A (en) | 2000-12-11 | 2006-07-28 | Amgen Sf Llc | CXCR3 antagonists |
| JP4212358B2 (en) * | 2000-12-28 | 2009-01-21 | 第一三共株式会社 | VLA-4 inhibitor |
| AU2002232919A1 (en) | 2000-12-29 | 2002-07-16 | Alteon, Inc. | Method for treating fibrotic diseases or other indications |
| WO2002053160A1 (en) | 2000-12-29 | 2002-07-11 | Alteon, Inc. | Method for treating glaucoma ivb |
| SK286630B6 (en) | 2001-01-22 | 2009-02-05 | Merck & Co., Inc. | Nucleoside derivatives as inhibitors of RNA-dependent RNA viral polymerase, pharmaceutical composition containing said compounds and the use thereof |
| US7105499B2 (en) | 2001-01-22 | 2006-09-12 | Merck & Co., Inc. | Nucleoside derivatives as inhibitors of RNA-dependent RNA viral polymerase |
| GB0102239D0 (en) | 2001-01-29 | 2001-03-14 | Cancer Res Ventures Ltd | Methods of chemical synthisis |
| PA8539501A1 (en) | 2001-02-14 | 2002-09-30 | Warner Lambert Co | TRIAZOLO COMPOUNDS AS MMP INHIBITORS |
| PA8539401A1 (en) | 2001-02-14 | 2002-10-28 | Warner Lambert Co | QUINAZOLINAS AS INHIBITORS OF MMP-13 |
| MXPA03008560A (en) | 2001-03-22 | 2004-06-30 | Abbot Gmbh & Co Kg | Single-stage pfc + ballast control circuit/general purpose power converter. |
| WO2002088025A1 (en) | 2001-04-26 | 2002-11-07 | New York University | Method for dissolving carbon nanotubes |
| WO2002090334A1 (en) | 2001-05-08 | 2002-11-14 | Kudos Pharmaceuticals Limited | Isoquinolinone derivatives as parp inhibitors |
| IL149462A0 (en) | 2001-05-09 | 2002-11-10 | Warner Lambert Co | Method of treating or inhibiting neutrophil chemotaxis by administering a mek inhibitor |
| US7144903B2 (en) * | 2001-05-23 | 2006-12-05 | Amgen Inc. | CCR4 antagonists |
| EP1470119A4 (en) | 2001-06-13 | 2005-10-19 | Genesoft Pharmaceuticals Inc | Benzothiophene compounds having antiinfective activity |
| CA2450625A1 (en) * | 2001-06-13 | 2002-12-19 | Genesoft Pharmaceuticals, Inc. | Isoquinoline compounds having antiinfective activity |
| US20030236198A1 (en) | 2001-06-13 | 2003-12-25 | Genesoft, Inc. | Antipathogenic benzamide compounds |
| WO2003000187A2 (en) | 2001-06-21 | 2003-01-03 | Ariad Pharmaceuticals, Inc. | Novel pyrazolo-and pyrrolo-pyrimidines and uses thereof |
| DE10134721A1 (en) | 2001-07-17 | 2003-02-06 | Bayer Ag | tetrahydroquinoxalines |
| BR0211513A (en) | 2001-07-27 | 2005-08-30 | Curis Inc | Hedgehog signaling pathway mediators, compositions and related uses |
| EP1414443B1 (en) * | 2001-08-01 | 2006-11-15 | Merck & Co., Inc. | BENZIMIDAZO 4,5-f|ISOQUINOLINONE DERIVATIVES |
| WO2003020880A2 (en) | 2001-08-03 | 2003-03-13 | Abbott Laboratories | Method of identifying inhibitors of lck |
| ES2572030T3 (en) | 2001-08-10 | 2017-07-19 | Shionogi & Co., Ltd. | Antiviral agent |
| JP2003073357A (en) | 2001-09-03 | 2003-03-12 | Mitsubishi Pharma Corp | Rho kinase inhibitors containing amide compounds |
| WO2003024969A1 (en) | 2001-09-14 | 2003-03-27 | Merck & Co., Inc. | Tyrosine kinase inhibitors |
| WO2004043335A2 (en) * | 2001-09-13 | 2004-05-27 | Genesoft, Inc. | Methods of treating infection by drug resistant bacteria |
| US8124625B2 (en) | 2001-09-14 | 2012-02-28 | Shionogi & Co., Ltd. | Method of enhancing the expression of apolipoprotein AI using olefin derivatives |
| AUPR769501A0 (en) | 2001-09-14 | 2001-10-11 | Biomolecular Research Institute Limited | Cytokine receptor 1 |
| US7269663B2 (en) | 2001-09-28 | 2007-09-11 | Intel Corporation | Tagging packets with a lookup key to facilitate usage of a unified packet forwarding cache |
| TWI330183B (en) | 2001-10-22 | 2010-09-11 | Eisai R&D Man Co Ltd | |
| HUP0402106A3 (en) | 2001-11-01 | 2009-07-28 | Janssen Pharmaceutica Nv | Heteroaryl amines as glycogen synthase kinase 3 beta inhibitors, process for their preparation and pharmaceutical compositions containing them |
| JP2005509003A (en) | 2001-11-09 | 2005-04-07 | ベーリンガー インゲルハイム ファーマシューティカルズ インコーポレイテッド | Benzimidazole compounds useful as protein kinase inhibitors |
| DE10159270A1 (en) | 2001-12-03 | 2003-06-12 | Bayer Ag | Process for the arylation of olefins |
| DE10159269A1 (en) | 2001-12-03 | 2003-06-18 | Bayer Ag | Arylation of olefins |
| WO2003048081A2 (en) | 2001-12-04 | 2003-06-12 | Bristol-Myers Squibb Company | Glycinamides as factor xa inhibitors |
| JP4085237B2 (en) * | 2001-12-21 | 2008-05-14 | 日本電気株式会社 | Mobile phone usage contract system and communication method |
| EP1465869B1 (en) | 2001-12-21 | 2013-05-15 | Exelixis Patent Company LLC | Modulators of lxr |
| BR0207583A (en) * | 2001-12-26 | 2004-04-27 | Genelabs Tech Inc | Polyamide derivatives having antibacterial, antifungal or antitumor activity |
| US7414036B2 (en) | 2002-01-25 | 2008-08-19 | Muscagen Limited | Compounds useful as A3 adenosine receptor agonists |
| US20040043959A1 (en) | 2002-03-04 | 2004-03-04 | Bloom Laura A. | Combination therapies for treating methylthioadenosine phosphorylase deficient cells |
| AU2003225933A1 (en) | 2002-03-22 | 2003-10-13 | Cellular Genomics, Inc. | AN IMPROVED FORMULATION OF CERTAIN PYRAZOLO(3,4-d) PYRIMIDINES AS KINASE MODULATORS |
| CA2480468C (en) | 2002-03-26 | 2012-03-13 | Biofrontera Discovery Gmbh | Fredericamycin derivatives |
| US7166293B2 (en) | 2002-03-29 | 2007-01-23 | Carlsbad Technology, Inc. | Angiogenesis inhibitors |
| DE10217046A1 (en) | 2002-04-17 | 2003-11-06 | Bioleads Gmbh | Fredericamycin derivatives |
| EP1496905B1 (en) | 2002-04-22 | 2008-08-13 | Johns Hopkins University School of Medicine | Modulators of hedgehog signaling pathways, compositions and uses related thereto |
| JP2005529889A (en) * | 2002-04-26 | 2005-10-06 | ファイザー・プロダクツ・インク | Pyrimidine-2,4,6-trione metallo-proteinase inhibitor |
| US6794562B2 (en) | 2002-05-01 | 2004-09-21 | Stine Seed Farm, Inc. | Soybean cultivar 0332143 |
| EP1517904A4 (en) | 2002-05-23 | 2007-02-21 | Merck & Co Inc | INHIBITORS OF MITOTIC KINESIN |
| CA2489367A1 (en) * | 2002-06-14 | 2003-12-24 | Cytokinetics, Inc. | Compounds, compositions, and methods |
| AU2003243921B2 (en) | 2002-06-27 | 2009-05-07 | Novo Nordisk A/S | Aryl carbonyl derivatives as therapeutic agents |
| US7265111B2 (en) * | 2002-06-27 | 2007-09-04 | Sanofi-Aventis Deutschland Gmbh | Adenosine analogues and their use as pharmaceutical agents |
| RU2340605C2 (en) | 2002-06-27 | 2008-12-10 | Ново Нордиск А/С | Arylcarbonyl derivatives as therapeutic agents |
| DE10230917A1 (en) | 2002-07-09 | 2004-02-05 | Bioleads Gmbh | Fredericamycin derivatives |
| AU2003249244A1 (en) | 2002-07-15 | 2004-02-02 | Combinatorx, Incorporated | Methods for the treatment of neoplasms |
| EP1394159A1 (en) | 2002-08-13 | 2004-03-03 | Warner-Lambert Company LLC | New thiophene derivatives, process for their preparation and pharmaceutical compositions containing them |
| WO2004014377A1 (en) * | 2002-08-13 | 2004-02-19 | Warner-Lambert Company Llc | 4-hydroxyquinoline derivatives as matrix metalloproteinase inhibitors |
| US7598377B2 (en) * | 2002-08-16 | 2009-10-06 | Astrazeneca Ab | Inhibition of phosphoinositide 3-kinase β |
| CN100430389C (en) * | 2002-08-16 | 2008-11-05 | 阿斯利康(瑞典)有限公司 | Inhibition of phosphoinositide 3-kinase beta |
| WO2004018058A2 (en) | 2002-08-21 | 2004-03-04 | Cytokinetics, Inc. | Compounds, compositions, and methods |
| US20030139427A1 (en) | 2002-08-23 | 2003-07-24 | Osi Pharmaceuticals Inc. | Bicyclic pyrimidinyl derivatives and methods of use thereof |
| WO2004020599A2 (en) | 2002-08-29 | 2004-03-11 | Curis, Inc. | Hedgehog antagonists, methods and uses related thereto |
| GB0220319D0 (en) | 2002-09-02 | 2002-10-09 | Cancer Res Campaign Tech | Enzyme activated self-immolative nitrogen mustard drugs |
| WO2004031177A1 (en) | 2002-09-30 | 2004-04-15 | Banyu Pharmaceutical Co., Ltd. | 2-aminobenzimidazole derivative |
| AU2003282726B2 (en) | 2002-10-03 | 2010-10-07 | Targegen, Inc. | Vasculostatic agents and methods of use thereof |
| US20050282814A1 (en) | 2002-10-03 | 2005-12-22 | Targegen, Inc. | Vasculostatic agents and methods of use thereof |
| US20040146941A1 (en) | 2002-11-04 | 2004-07-29 | Biliang Zhang | Chemical encoding technology for combinatorial synthesis |
| JP2004161716A (en) | 2002-11-15 | 2004-06-10 | Takeda Chem Ind Ltd | Jnk inhibitor |
| AU2003286251A1 (en) | 2002-11-21 | 2004-06-15 | Vicore Pharma Ab | New bicyclic angiotensin ii agonists |
| WO2004058717A1 (en) | 2002-12-20 | 2004-07-15 | X-Ceptor Therapeutics, Inc. | Isoquinolinone derivatives and their use as therapeutic agents |
| US7365094B2 (en) * | 2002-12-23 | 2008-04-29 | 4Sc Ag | Compounds as anti-inflammatory, immunomodulatory and anti-proliferatory agents |
| US7247736B2 (en) | 2002-12-23 | 2007-07-24 | 4Sc Ag | Method of identifying inhibitors of DHODH |
| WO2004056746A1 (en) * | 2002-12-23 | 2004-07-08 | 4Sc Ag | Cycloalkene dicarboxylic acid compounds as anti-inflammatory, immunomodulatory and anti-proliferatory agents |
| FR2850022B1 (en) | 2003-01-22 | 2006-09-08 | Centre Nat Rech Scient | NOVEL USE OF MIFEPRISTONE AND ITS DERIVATIVES AS MODULATORS OF THE HEDGEHOG PROTEIN SIGNALING PATH AND ITS APPLICATIONS |
| WO2004075917A1 (en) | 2003-02-28 | 2004-09-10 | Toudai Tlo, Ltd. | Organ or tissue fibrosis inhibitor |
| WO2004078702A1 (en) | 2003-03-06 | 2004-09-16 | Dsm Ip Assets B.V. | PROCESS FOR THE PREPARATION OF AN α-AMINO CARBONYL COMPOUND |
| TW200505902A (en) | 2003-03-20 | 2005-02-16 | Schering Corp | Cannabinoid receptor ligands |
| CA2518465A1 (en) | 2003-03-25 | 2004-10-14 | Takeda San Diego, Inc. | Dipeptidyl peptidase inhibitors |
| GB0306907D0 (en) | 2003-03-26 | 2003-04-30 | Angiogene Pharm Ltd | Boireductively-activated prodrugs |
| EP1644338A1 (en) | 2003-04-01 | 2006-04-12 | Aponetics AG | 2, 4, 6-trisubstituted pyrimidine derivatives useful for the treatment of neoplastic and autoimmune diseases |
| US7217794B2 (en) | 2003-04-02 | 2007-05-15 | Daiamed, Inc. | Compounds and methods for treatment of thrombosis |
| WO2004089881A1 (en) | 2003-04-14 | 2004-10-21 | Astrazeneca Ab | New sulfonyl derivatives of aminonaphtols |
| EP1479675A1 (en) | 2003-05-19 | 2004-11-24 | Aventis Pharma Deutschland GmbH | Indazole-derivatives as factor Xa inhibitors |
| US7317027B2 (en) | 2003-05-19 | 2008-01-08 | Sanofi-Aventis Deutschland Gmbh | Azaindole-derivatives as factor Xa inhibitors |
| US7223780B2 (en) | 2003-05-19 | 2007-05-29 | Sanofi-Aventis Deutschland Gmbh | Triazole-derivatives as blood clotting enzyme factor Xa inhibitors |
| EP1646615B1 (en) | 2003-06-06 | 2009-08-26 | Vertex Pharmaceuticals Incorporated | Pyrimidine derivatives as modulators of atp-binding cassette transporters |
| US7429596B2 (en) | 2003-06-20 | 2008-09-30 | The Regents Of The University Of California | 1H-pyrrolo [2,3-D] pyrimidine derivatives and methods of use thereof |
| WO2005002585A1 (en) | 2003-07-02 | 2005-01-13 | Warner-Lambert Company Llc | Combination of an allosteric inhibitor of matrix metalloproteinase-13 and a ligand to an alpha-2-delta receptor |
| US20080118493A1 (en) | 2003-07-15 | 2008-05-22 | Beachy Philip A | Elevated Hedgehog Pathway Activity In Digestive System Tumors, And Methods Of Treating Digestive Sytem Tumors Having Elevated Hedgehog Pathway Activity |
| GB0317951D0 (en) | 2003-07-31 | 2003-09-03 | Trigen Ltd | Compounds |
| US7208601B2 (en) | 2003-08-08 | 2007-04-24 | Mjalli Adnan M M | Aryl and heteroaryl compounds, compositions, and methods of use |
| US7501538B2 (en) | 2003-08-08 | 2009-03-10 | Transtech Pharma, Inc. | Aryl and heteroaryl compounds, compositions and methods of use |
| US20050054614A1 (en) | 2003-08-14 | 2005-03-10 | Diacovo Thomas G. | Methods of inhibiting leukocyte accumulation |
| WO2005016348A1 (en) | 2003-08-14 | 2005-02-24 | Icos Corporation | Method of inhibiting immune responses stimulated by an endogenous factor |
| MXPA06001758A (en) | 2003-08-15 | 2006-08-11 | Irm Llc | 6-substituted anilino purines as rtk inhibitors. |
| US7390820B2 (en) | 2003-08-25 | 2008-06-24 | Amgen Inc. | Substituted quinolinone derivatives and methods of use |
| WO2005044181A2 (en) | 2003-09-09 | 2005-05-19 | Temple University-Of The Commonwealth System Of Higher Education | Protection of tissues and cells from cytotoxic effects of ionizing radiation by abl inhibitors |
| GB0322409D0 (en) | 2003-09-25 | 2003-10-29 | Astrazeneca Ab | Quinazoline derivatives |
| WO2005033288A2 (en) | 2003-09-29 | 2005-04-14 | The Johns Hopkins University | Hedgehog pathway antagonists |
| WO2005032343A2 (en) | 2003-10-01 | 2005-04-14 | The Johns Hopkins University | Hedgehog signaling in prostate regeneration neoplasia and metastasis |
| WO2005042700A2 (en) | 2003-10-20 | 2005-05-12 | The Johns Hopkins University | Use of hedgehog pathway inhibitors in small-cell lung cancer |
| AU2004289303A1 (en) | 2003-11-10 | 2005-05-26 | Synta Pharmaceuticals, Corp. | Fused heterocyclic compounds |
| CA2546192C (en) | 2003-11-17 | 2010-04-06 | Pfizer Products Inc. | Pyrrolopyrimidine compounds useful in treatment of cancer |
| US7449477B2 (en) | 2003-11-25 | 2008-11-11 | Eli Lilly And Company | 7-phenyl-isoquinoline-5-sulfonylamino derivatives as inhibitors of akt (protein kinase B) |
| EP1692112A4 (en) | 2003-12-08 | 2008-09-24 | Cytokinetics Inc | Compounds, compositions, and methods |
| WO2005063258A1 (en) | 2003-12-22 | 2005-07-14 | Gilead Sciences, Inc. | Kinase inhibitor phosphonate conjugates |
| AU2004309420B2 (en) | 2003-12-23 | 2008-10-30 | Novartis Ag | Bicyclic heterocyclic p-38 kinase inhibitors |
| CA2552664A1 (en) | 2004-01-08 | 2005-07-28 | Michigan State University | Methods for treating and preventing hypertension and hypertension-related disorders |
| WO2005070457A1 (en) | 2004-01-23 | 2005-08-04 | Seattle Genetics, Inc. | Melphalan prodrugs |
| JP2007520893A (en) | 2004-02-03 | 2007-07-26 | ロチェスター インスティテュート オブ テクノロジー | Photolithographic method and system using fluid |
| JP2007520559A (en) | 2004-02-03 | 2007-07-26 | アボット・ラボラトリーズ | Aminobenzoxazoles as therapeutic agents |
| RU2358969C2 (en) * | 2004-02-13 | 2009-06-20 | Баниу Фармасьютикал Ко., Лтд. | Condensed 4-oxopyrimidine derivative |
| US20050187418A1 (en) | 2004-02-19 | 2005-08-25 | Small Brooke L. | Olefin oligomerization |
| CA2556589A1 (en) | 2004-02-24 | 2005-09-01 | Bioaxone Therapeutique Inc. | 4-substituted piperidine derivatives |
| EP1568698A1 (en) | 2004-02-27 | 2005-08-31 | Aventis Pharma Deutschland GmbH | Pyrrole-derivatives as factor Xa inhibitors |
| WO2005085249A1 (en) * | 2004-02-27 | 2005-09-15 | F. Hoffmann-La Roche Ag | Fused derivatives of pyrazole |
| EP1571154A1 (en) | 2004-03-03 | 2005-09-07 | Aventis Pharma Deutschland GmbH | Beta-aminoacid-derivatives as factor Xa inhibitors |
| EP2168968B1 (en) | 2004-04-02 | 2017-08-23 | OSI Pharmaceuticals, LLC | 6,6-bicyclic ring substituted heterobicyclic protein kinase inhibitors |
| ZA200609259B (en) | 2004-04-30 | 2008-07-30 | Takeda Pharmaceutical | Heterocyclic amide compound and use thereof as an mmp-13 inhibitor |
| PL1745041T3 (en) | 2004-04-30 | 2012-11-30 | Genentech Inc | Quinoxaline inhibitors of the hedgehog signalling pathway |
| DE102004022897A1 (en) | 2004-05-10 | 2005-12-08 | Bayer Cropscience Ag | Azinyl-imidazoazines |
| WO2005113556A1 (en) * | 2004-05-13 | 2005-12-01 | Icos Corporation | Quinazolinones as inhibitors of human phosphatidylinositol 3-kinase delta |
| CA2566436C (en) | 2004-05-13 | 2011-05-10 | Vanderbilt University | Phosphoinositide 3-kinase delta selective inhibitors for inhibiting angiogenesis |
| WO2005117889A1 (en) | 2004-05-25 | 2005-12-15 | Icos Corporation | Methods for treating and/or preventing aberrant proliferation of hematopoietic |
| EP1750715A1 (en) | 2004-06-04 | 2007-02-14 | Icos Corporation | Methods for treating mast cell disorders |
| GB0413605D0 (en) | 2004-06-17 | 2004-07-21 | Addex Pharmaceuticals Sa | Novel compounds |
| AU2005262383A1 (en) | 2004-07-01 | 2006-01-19 | Merck Sharp & Dohme Corp. | Mitotic kinesin inhibitors |
| US20060019967A1 (en) | 2004-07-21 | 2006-01-26 | Su-Ying Wu | SARS CoV main protease inhibitors |
| WO2006015279A1 (en) | 2004-07-28 | 2006-02-09 | Neurogen Corporation | Heterocyclic diamine compounds as ligands of the melanin concentrating hormone receptor useful for the treatment of obesity, diabetes, eating and sexual disorders |
| AU2005280112B2 (en) | 2004-08-27 | 2012-07-19 | Infinity Pharmaceuticals, Inc. | Cyclopamine analogues and methods of use thereof |
| ES2377430T3 (en) | 2004-09-02 | 2012-03-27 | Genentech, Inc. | Hedgehog signaling pyridyl inhibitors |
| GB0420722D0 (en) | 2004-09-17 | 2004-10-20 | Addex Pharmaceuticals Sa | Novel allosteric modulators |
| WO2006038865A1 (en) | 2004-10-01 | 2006-04-13 | Betagenon Ab | Nucleotide derivatives for the treatment of type 2 diabetes and other disorders |
| CA2583812A1 (en) | 2004-10-28 | 2006-05-11 | Irm Llc | Compounds and compositions as hedgehog pathway modulators |
| US8212012B2 (en) | 2004-11-03 | 2012-07-03 | University Of Kansas | Novobiocin analogues having modified sugar moieties |
| US8212011B2 (en) | 2004-11-03 | 2012-07-03 | University Of Kansas | Novobiocin analogues |
| WO2006050501A2 (en) | 2004-11-03 | 2006-05-11 | University Of Kansas | Novobiocin analogues as anticancer agents |
| US7622451B2 (en) | 2004-11-03 | 2009-11-24 | University Of Kansas | Novobiocin analogues as neuroprotective agents and in the treatment of autoimmune disorders |
| GB0425035D0 (en) | 2004-11-12 | 2004-12-15 | Novartis Ag | Organic compounds |
| EP1831225A2 (en) | 2004-11-19 | 2007-09-12 | The Regents of the University of California | Anti-inflammatory pyrazolopyrimidines |
| WO2006058088A2 (en) | 2004-11-23 | 2006-06-01 | Ptc Therapeutics, Inc. | Carbazole, carboline and indole derivatives useful in the inhibition of vegf production |
| KR20070094754A (en) | 2004-12-01 | 2007-09-21 | 데브젠 엔브이 | 5-carboxamido substituted thiazole derivatives that interact with ion channels, particularly ion channels from the VIII family |
| US20060156485A1 (en) | 2005-01-14 | 2006-07-20 | The Procter & Gamble Company | Keratin dyeing compounds, keratin dyeing compositions containing them, and use thereof |
| GB0501999D0 (en) | 2005-02-01 | 2005-03-09 | Sentinel Oncology Ltd | Pharmaceutical compounds |
| WO2006089106A2 (en) | 2005-02-17 | 2006-08-24 | Icos Corporation | Phosphoinositide 3-kinase inhibitors for inhibiting leukocyte accumulation |
| US7579348B2 (en) | 2005-02-25 | 2009-08-25 | Pgxhealth, Llc | Derivatives of 8-substituted xanthines |
| US20090124654A1 (en) | 2005-03-01 | 2009-05-14 | Mjalli Adnan M M | Aryl and Heteroaryl Compounds, Compositions, Methods of Use |
| US7872050B2 (en) | 2005-03-14 | 2011-01-18 | Yaupon Therapeutics Inc. | Stabilized compositions of volatile alkylating agents and methods of using thereof |
| RU2007140733A (en) | 2005-04-06 | 2009-05-20 | Айрм Ллк (Bm) | DIARYLAMINE-CONTAINING COMPOUNDS AND COMPOSITIONS, AND THEIR APPLICATION AS MODULATORS OF NUCLEAR RECEPTORS OF STEROID HORMONE |
| KR100781704B1 (en) | 2005-04-20 | 2007-12-03 | 에스케이케미칼주식회사 | Novel pyridine derivatives, process for preparing thereof and pharmaceutical compositions containing them |
| WO2006114065A2 (en) | 2005-04-25 | 2006-11-02 | Institute Of Organic Chemistry And Biochemistry A Cademy Of Sciences Of The Czech Republic | Use of compounds to inhibit neoplasia |
| CN100526315C (en) | 2005-06-16 | 2009-08-12 | 浙江医药股份有限公司新昌制药厂 | N2-quinoline or isoquinoline substituted purine derivative and its preparation method and uses |
| PT1906965E (en) | 2005-06-22 | 2015-09-03 | Chemocentryx Inc | Azaindazole compounds and methods of use |
| JP2008546843A (en) | 2005-06-27 | 2008-12-25 | アムゲン インコーポレイティッド | Anti-inflammatory aryl nitrile compounds |
| US20100168102A9 (en) | 2005-07-11 | 2010-07-01 | Devgen Nv | Amide Derivatives as Kinase Inhibitors |
| BRPI0615522A2 (en) | 2005-07-11 | 2012-04-10 | Devgen Nv | amide derivatives as kinase inhibitors |
| WO2007029121A2 (en) | 2005-07-21 | 2007-03-15 | Galderma Research & Development | Novel cyclopent-2-en-1-one derivatives which are ppar receptor modulators, and use thereof in pharmaceutical or cosmetic compositions |
| US20070017915A1 (en) | 2005-07-22 | 2007-01-25 | Weder Donald E | Collapsible and/or erectable substantially egg-shaped container |
| US7700552B2 (en) | 2005-07-29 | 2010-04-20 | Medivir Ab | Macrocyclic inhibitors of hepatitis C virus |
| GB0516723D0 (en) | 2005-08-15 | 2005-09-21 | Novartis Ag | Organic compounds |
| US20070049591A1 (en) | 2005-08-25 | 2007-03-01 | Kalypsys, Inc. | Inhibitors of MAPK/Erk Kinase |
| BRPI0614884A2 (en) | 2005-08-25 | 2011-04-19 | Hoffmann La Roche | p38 map kinase inhibitors and methods for using them |
| EP1919873A1 (en) | 2005-09-01 | 2008-05-14 | BioAgency AG | Fredericamycin derivatives |
| US20100022531A1 (en) | 2005-09-01 | 2010-01-28 | Renovis, Inc. | Novel compounds as p2x7 modulators and uses thereof |
| BRPI0616459A2 (en) | 2005-09-29 | 2011-06-21 | Wyeth Corp | compounds of formulas i, ii, and iii; processes for the treatment or prevention of: improved health due to monoamine reuptake; at least one vasomotor symptom; at least one depressive disorder; at least one sexual dysfunction; for pain prevention; gastrointestinal or genitourinary disorder; of chronic fatigue syndrome; of fibromyalgia syndrome; of schizophrenia; and use of a compound |
| FR2892859B1 (en) | 2005-10-27 | 2008-06-06 | Commissariat Energie Atomique | METHOD OF GRAFTING MOLECULES OF INTEREST ON INORGANIC SURFACES, SURFACES OBTAINED AND APPLICATIONS |
| WO2007054623A2 (en) | 2005-11-11 | 2007-05-18 | Licentia Oy | Mammalian hedgehog signaling inhiabitors |
| ES2604539T3 (en) | 2005-11-14 | 2017-03-07 | Genentech, Inc. | Bisamide type inhibitors of hedgehog signaling |
| ES2365869T3 (en) | 2005-11-17 | 2011-10-11 | OSI Pharmaceuticals, LLC | MTOR INHIBITING FUSED BICYCLIC COMPOUNDS. |
| WO2007061763A2 (en) | 2005-11-22 | 2007-05-31 | Merck & Co., Inc. | Indole orexin receptor antagonists |
| CA2630920A1 (en) | 2005-11-22 | 2007-05-31 | University Of South Florida | Inhibition of cell proliferation |
| US7572809B2 (en) | 2005-12-19 | 2009-08-11 | Hoffmann-La Roche Inc. | Isoquinoline aminopyrazole derivatives |
| JP2009520028A (en) | 2005-12-19 | 2009-05-21 | オーエスアイ・ファーマスーティカルズ・インコーポレーテッド | Concomitant use of IGFR inhibitors and anticancer agents |
| ES2545907T3 (en) | 2005-12-29 | 2015-09-16 | Abbvie Inc. | Protein kinase inhibitors |
| NZ569608A (en) | 2006-01-06 | 2011-09-30 | Sepracor Inc | Tetralone-based monoamine reuptake inhibitors |
| US9540327B2 (en) | 2006-01-13 | 2017-01-10 | University Of Kentucky Research Foundation | Bis-quaternary ammonium salts and methods for modulating neuronal nicotinic acetylcholine receptors |
| WO2007089669A2 (en) | 2006-01-26 | 2007-08-09 | Wyeth | Processes for the preparation of compounds which modulate cell proliferation |
| UY30118A1 (en) | 2006-01-31 | 2007-06-29 | Tanabe Seiyaku Co | AMIS TRISUSTITUDE COMPUTER |
| WO2007103308A2 (en) | 2006-03-07 | 2007-09-13 | Array Biopharma Inc. | Heterobicyclic pyrazole compounds and methods of use |
| TWI428448B (en) | 2006-03-24 | 2014-03-01 | Syntonix Pharmaceuticals Inc | Pc5 as a factor ix propeptide processing enzyme |
| US20100273776A1 (en) | 2006-03-29 | 2010-10-28 | FOLDRx PHARMACEUTICALS, INC | Inhibition of alpha-synuclein toxicity |
| WO2007114926A2 (en) | 2006-04-04 | 2007-10-11 | The Regents Of The University Of California | Kinase antagonists |
| WO2007120760A2 (en) | 2006-04-13 | 2007-10-25 | Vertex Pharmaceuticals Incorporated | Thiophene-carboxamides useful as inhibitors of protein kinases |
| BRPI0710723A2 (en) | 2006-04-14 | 2012-01-31 | Novartis Ag | use of biarylcarboxamides in the treatment of disorders related to the hedgehog reaction series |
| WO2007121453A2 (en) | 2006-04-17 | 2007-10-25 | The Regents Of The University Of California | 2-hydroxy-1-oxo 1,2 dihydro isoquinoline chelating agents |
| PT2322525E (en) | 2006-04-21 | 2013-12-26 | Novartis Ag | Purine derivatives for use as adenosin a2a receptor agonists |
| GB0607948D0 (en) | 2006-04-21 | 2006-05-31 | Novartis Ag | Organic compounds |
| GB0607950D0 (en) | 2006-04-21 | 2006-05-31 | Novartis Ag | Organic compounds |
| WO2007125315A2 (en) | 2006-04-25 | 2007-11-08 | Astex Therapeutics Limited | Pharmaceutical compounds |
| EP2037931A2 (en) | 2006-04-25 | 2009-03-25 | Astex Therapeutics Limited | Pharmaceutical combinations of pk inhibitors and other active agents |
| DE102006020327A1 (en) | 2006-04-27 | 2007-12-27 | Bayer Healthcare Ag | Heterocyclic substituted, fused pyrazole derivatives and their use |
| UA93548C2 (en) | 2006-05-05 | 2011-02-25 | Айерем Елелсі | Compounds and compositions as hedgehog pathway modulators |
| WO2007135398A1 (en) | 2006-05-22 | 2007-11-29 | Astrazeneca Ab | Indole derivatives |
| GB0610242D0 (en) | 2006-05-23 | 2006-07-05 | Novartis Ag | Organic compounds |
| ATE491428T1 (en) | 2006-05-24 | 2011-01-15 | Guardant S R L | ALKALIZED LOCAL AESTHETIC IN BAG |
| GB0610317D0 (en) | 2006-05-24 | 2006-07-05 | Medical Res Council | Antiparasitic compounds and compositions |
| DE602007006835D1 (en) | 2006-07-20 | 2010-07-08 | Amgen Inc | SUBSTITUTED PYRIDONE COMPOUNDS AND APPLICATION METHODS |
| RU2009106722A (en) | 2006-07-28 | 2010-09-10 | Новартис АГ (CH) | 2,4-SUBSTITUTED QUINAZOLES AS LIPID KINASE INHIBITORS |
| US20100216791A1 (en) | 2006-08-17 | 2010-08-26 | Astrazeneca | Pyridinylquinazolinamine derivatives and their use as b-raf inhibitors |
| WO2008023357A1 (en) | 2006-08-22 | 2008-02-28 | Technion Research And Development Foundation Ltd. | Heterocyclic derivatives binding to the peripheral-type benzodiazepine receptor (pbr) |
| CA2661436A1 (en) | 2006-08-24 | 2008-02-28 | Serenex, Inc. | Isoquinoline, quinazoline and phthalazine derivatives |
| WO2008025755A1 (en) | 2006-09-01 | 2008-03-06 | Basf Se | Use of n-containing heterocycles in dermocosmetics |
| BRPI0719123A2 (en) | 2006-09-01 | 2013-12-17 | Cylene Pharmaceuticals Inc | SERINA-TREONINE PROTEIN KINASE AND PARP MODULATORS |
| EP1903044A1 (en) | 2006-09-14 | 2008-03-26 | Novartis AG | Adenosine Derivatives as A2A Receptor Agonists |
| JP5502480B2 (en) | 2006-09-18 | 2014-05-28 | コンピュゲン エルティーディー. | Biologically active peptides and methods of use thereof |
| US8492405B2 (en) | 2006-10-18 | 2013-07-23 | Takeda Pharmaceutical Company Limited | Glucokinase-activating fused heterocyclic compounds and methods of treating diabetes and obesity |
| AU2007329678A1 (en) | 2006-10-31 | 2008-06-12 | Government Of The United States Of America, Represented By The Secretary, Department Of Health And Human Services | Smoothened polypeptides and methods of use |
| US7772180B2 (en) | 2006-11-09 | 2010-08-10 | Bristol-Myers Squibb Company | Hepatitis C virus inhibitors |
| KR20090087027A (en) | 2006-11-13 | 2009-08-14 | 일라이 릴리 앤드 캄파니 | Thienopyrimidinone for the treatment of inflammatory diseases and cancer |
| WO2008063625A2 (en) | 2006-11-20 | 2008-05-29 | Adolor Corporation | Pyridine compounds and methods of their use |
| KR20140091718A (en) | 2006-11-20 | 2014-07-22 | 노파르티스 아게 | Salts and crystal forms of 2-methyl-2-[4-(3-methyl-2-oxo-8-quinolin-3-yl-2,3-dihydro-imidazo[4,5-c]quinolin-1-yl)-phenyl]-propionitrile |
| AU2007329548A1 (en) | 2006-12-06 | 2008-06-12 | Boehringer Ingelheim International Gmbh | Glucocorticoid mimetics, methods of making them, pharmaceutical compositions, and uses thereof |
| AU2007332493A1 (en) | 2006-12-14 | 2008-06-19 | Daiichi Sankyo Company, Limited | Imidazothiazole derivatives |
| CN101611007A (en) | 2006-12-20 | 2009-12-23 | 先灵公司 | Novel JNK Inhibitors |
| WO2008079028A1 (en) | 2006-12-22 | 2008-07-03 | Industrial Research Limited | Azetidine analogues of nucleosidase and phosphorylase inhibitors |
| TWI433674B (en) | 2006-12-28 | 2014-04-11 | Infinity Discovery Inc | Cyclopamine analogs |
| KR20090112732A (en) | 2007-01-26 | 2009-10-28 | 아이알엠 엘엘씨 | Purine Compounds and Compositions as Kinase Inhibitors for the Treatment of Plasmodium-Related Diseases |
| WO2008103354A2 (en) | 2007-02-20 | 2008-08-28 | Cropsolution, Inc. | Modulators of acetyl-coenzyme a carboxylase and methods of use thereof |
| JP2010520295A (en) | 2007-03-07 | 2010-06-10 | インフィニティ・ディスカバリー・インコーポレイテッド | Heterocyclic cyclopamine analogues and methods of use |
| RU2009137012A (en) | 2007-03-07 | 2011-04-20 | Инфинити Дискавери, Инк. (Us) | ANALOGUES OF CYCLOPAMINLACTAM AND WAYS OF THEIR APPLICATION |
| US8586619B2 (en) | 2007-03-12 | 2013-11-19 | Vm Therapeutics Llc | Agents of calcium ion channel modulators |
| SG179418A1 (en) | 2007-03-14 | 2012-04-27 | Exelixis Patent Co Llc | Inhibitors of the hedgehog pathway |
| CA2681162C (en) | 2007-03-15 | 2015-11-24 | Novartis Ag | Benzyl and pyridine derivatives as modulators of hedgehog pathway |
| DK2137186T3 (en) | 2007-03-23 | 2016-04-18 | Amgen Inc | Heterocyclic compounds and their uses |
| EP2132207A2 (en) | 2007-03-23 | 2009-12-16 | Amgen Inc. | Heterocyclic compounds and their uses |
| EP2139882B1 (en) * | 2007-03-23 | 2013-12-25 | Amgen Inc. | 3- substituted quinoline or quinoxaline derivatives and their use as phosphatidylinositol 3-kinase (pi3k) inhibitors |
| WO2008117050A1 (en) | 2007-03-27 | 2008-10-02 | Astrazeneca Ab | Pyrazolyl-amino-substituted pyrazines and their use for the treatment of cancer |
| US7867983B2 (en) | 2007-03-29 | 2011-01-11 | The University Of Connecticut | Methods to protect skeletal muscle against injury |
| WO2008125014A1 (en) | 2007-04-13 | 2008-10-23 | Institute Of Pharmacology And Toxicology Academy Of Military Medical Sciences P.L.A. | Urea compounds, preparation methods and pharmaceutical uses thereof |
| KR20100015546A (en) | 2007-04-13 | 2010-02-12 | 사노피-아벤티스 | A transition metal catalyzed synthesis of n-aminoindoles |
| US20090054517A1 (en) | 2007-04-20 | 2009-02-26 | Lubahn Dennis B | Phytoestrogens As Regulators Of Hedgehog Signaling And Methods Of Their Use In Cancer Treatment |
| JP2010163361A (en) | 2007-04-27 | 2010-07-29 | Dainippon Sumitomo Pharma Co Ltd | Quinoline derivatives |
| US7960353B2 (en) | 2007-05-10 | 2011-06-14 | University Of Kansas | Novobiocin analogues as neuroprotective agents and in the treatment of autoimmune disorders |
| WO2008147852A1 (en) * | 2007-05-22 | 2008-12-04 | Taigen Biotechnology Co., Ltd. | Kinesin inhibitors |
| US9603848B2 (en) | 2007-06-08 | 2017-03-28 | Senomyx, Inc. | Modulation of chemosensory receptors and ligands associated therewith |
| US7928111B2 (en) | 2007-06-08 | 2011-04-19 | Senomyx, Inc. | Compounds including substituted thienopyrimidinone derivatives as ligands for modulating chemosensory receptors |
| US8557823B2 (en) | 2007-06-18 | 2013-10-15 | Advanced Cancer Therapeutics, Llc | Family of PFKFB3 inhibitors with anti-neoplastic activities |
| AU2008266856A1 (en) | 2007-06-18 | 2008-12-24 | University Of Louisville Research Foundation, Inc. | Family of PFKFB3 inhibitors with anti-neoplastic activities |
| CA2692128A1 (en) | 2007-06-21 | 2008-12-31 | Amgen Inc. | Process for making substituted 2-amino-thiazolones |
| NZ599870A (en) | 2007-06-22 | 2013-11-29 | Univ North Carolina State | Methods of inhibiting ethylene responses in plants using dicyclopropene compounds |
| KR20100033484A (en) | 2007-06-26 | 2010-03-30 | 사노피-아벤티스 | A regioselective metal catalyzed synthesis of annelated benzimidazoles and azabenzimidazoles |
| EP2170274A1 (en) | 2007-07-02 | 2010-04-07 | Technion Research and Development Foundation, Ltd. | Compositions, articles and methods comprising tspo ligands for preventing or reducing tobacco-associated damage |
| RU2345996C1 (en) | 2007-07-17 | 2009-02-10 | Андрей Александрович Иващенко | Annelated azaheterocyclic amides, which include pyrimidine fragment, method of obtaining and their application |
| JP4834699B2 (en) | 2007-07-30 | 2011-12-14 | 田辺三菱製薬株式会社 | Pharmaceutical composition |
| JP4846769B2 (en) | 2007-07-30 | 2011-12-28 | 田辺三菱製薬株式会社 | Pharmaceutical composition |
| WO2009042294A2 (en) | 2007-08-10 | 2009-04-02 | Burnham Institute For Medical Research | Tissue-nonspecific alkaline phosphatase (tnap) activators and uses thereof |
| CN101821276B (en) | 2007-08-13 | 2016-08-31 | 症变治疗公司 | Novel glucokinase activators |
| WO2009029617A1 (en) | 2007-08-27 | 2009-03-05 | Kalypsys, Inc. | Diarylamine-substituted quinolones useful as inducible nitric oxide synthase inhibitors |
| JP5227965B2 (en) | 2007-10-03 | 2013-07-03 | 独立行政法人理化学研究所 | Nitrotriazole derivative and method for producing compound using the same |
| MX2010004074A (en) | 2007-10-15 | 2010-07-02 | Astrazeneca Ab | Combination 059. |
| CN101952292A (en) | 2007-11-13 | 2011-01-19 | 艾科斯有限公司 | Inhibitors of human phosphatidyl-inositol 3-kinase delta |
| AU2008338963A1 (en) | 2007-12-13 | 2009-06-25 | Sri International | PPAR-delta ligands and methods of their use |
| CA2709203A1 (en) | 2007-12-13 | 2009-06-18 | Siena Biotech S.P.A. | Hedgehog pathway antagonists and therapeutic applications thereof |
| EP2231641B1 (en) | 2007-12-21 | 2016-06-01 | UCB Biopharma SPRL | Quinoxaline and quinoline derivatives as kinase inhibitors |
| US7960397B2 (en) | 2007-12-28 | 2011-06-14 | Institute Of Experimental Botany, Academy Of Sciences Of The Czech Republic | 6,9-disubstituted purine derivatives and their use as cosmetics and cosmetic compositions |
| US8193182B2 (en) * | 2008-01-04 | 2012-06-05 | Intellikine, Inc. | Substituted isoquinolin-1(2H)-ones, and methods of use thereof |
| MX2010007419A (en) * | 2008-01-04 | 2010-11-12 | Intellikine Inc | CERTAIN CHEMICAL ENTITIES, COMPOSITIONS AND METHODS. |
| CN101938904A (en) | 2008-01-09 | 2011-01-05 | PGx健康有限责任公司 | Intrathecal treatment of neuropathic pain with A2AR agonists |
| WO2009100406A2 (en) | 2008-02-07 | 2009-08-13 | Synta Pharmaceuticals Corp. | Topical formulations for the treatment of psoriasis |
| US20090203689A1 (en) | 2008-02-07 | 2009-08-13 | Arvinder Dhalla | Abca-1 elevating compounds and methods |
| WO2009103022A1 (en) | 2008-02-13 | 2009-08-20 | Itherx Pharmaceuticals, Inc. | Derivatives of substituted fused ring cycloindoles and methods of their use |
| TWI444384B (en) | 2008-02-20 | 2014-07-11 | Gilead Sciences Inc | Nucleotide analogues and their use in the treatment of malignancies |
| US8673970B2 (en) | 2008-02-21 | 2014-03-18 | Sequoia Pharmaceuticals, Inc. | HIV protease inhibitor and cytochrome p450 inhibitor combinations |
| US8993580B2 (en) | 2008-03-14 | 2015-03-31 | Intellikine Llc | Benzothiazole kinase inhibitors and methods of use |
| EP2252293B1 (en) | 2008-03-14 | 2018-06-27 | Intellikine, LLC | Kinase inhibitors and methods of use |
| CA2716856C (en) | 2008-03-20 | 2013-02-19 | Amgen Inc. | Aurora kinase modulators and method of use |
| WO2009118765A2 (en) | 2008-03-28 | 2009-10-01 | Panacea Biotec Limited | Novel monoamine re-uptake inhibitor |
| CA2721851A1 (en) | 2008-05-30 | 2009-12-03 | Genentech, Inc. | Purine pi3k inhibitor compounds and methods of use |
| US20090312406A1 (en) | 2008-06-12 | 2009-12-17 | Hsing-Pang Hsieh | Coumarin compounds and their use for treating viral infection |
| EP2303854A2 (en) | 2008-06-20 | 2011-04-06 | Amgen, Inc | Process for making substituted 2-amino-thiazolones |
| BRPI0915231A2 (en) | 2008-07-08 | 2018-06-12 | Intellikine Inc | kinase inhibitor compounds and methods of use |
| US20110224223A1 (en) | 2008-07-08 | 2011-09-15 | The Regents Of The University Of California, A California Corporation | MTOR Modulators and Uses Thereof |
| JP2011528368A (en) | 2008-07-16 | 2011-11-17 | シェーリング コーポレイション | Bicyclic heterocyclic derivatives and their use as GPCR modulators |
| US8450344B2 (en) | 2008-07-25 | 2013-05-28 | Aerie Pharmaceuticals, Inc. | Beta- and gamma-amino-isoquinoline amide compounds and substituted benzamide compounds |
| AU2009282480B2 (en) | 2008-08-11 | 2015-05-07 | Children's Medical Center Corporation | Halofuginone analogs for inhibition of tRNA synthetases and uses thereof |
| WO2010019921A2 (en) | 2008-08-15 | 2010-02-18 | The Regents Of The University Of California | Biomarkers for diagnosis and treatment of chronic lymphocytic leukemia |
| CN102186479A (en) | 2008-09-10 | 2011-09-14 | 凯利普西斯公司 | Aminopyrimidine inhibitors of histamine receptors for the treatment of disease |
| CA2738313A1 (en) | 2008-09-23 | 2010-04-08 | Georgetown University | Viral and fungal inhibitors |
| CA2738429C (en) | 2008-09-26 | 2016-10-25 | Intellikine, Inc. | Heterocyclic kinase inhibitors |
| EP2177510A1 (en) | 2008-10-17 | 2010-04-21 | Universität des Saarlandes | Allosteric protein kinase modulators |
| US8476431B2 (en) | 2008-11-03 | 2013-07-02 | Itellikine LLC | Benzoxazole kinase inhibitors and methods of use |
| WO2010053998A1 (en) | 2008-11-05 | 2010-05-14 | Xenon Pharmaceuticals, Inc. | Spiro-condensed indole derivatives as sodium channel inhibitors |
| KR20160091440A (en) | 2008-11-13 | 2016-08-02 | 길리아드 칼리스토가 엘엘씨 | Therapies for hematologic malignancies |
| WO2010059593A1 (en) | 2008-11-18 | 2010-05-27 | Intellikine, Inc. | Methods and compositions for treatment of ophthalmic conditions |
| WO2010065923A2 (en) | 2008-12-04 | 2010-06-10 | The United States Of America, As Represented By The Secretary, Department Of Health And Human Services | Phosphatidylinositol-3-kinase p110 delta-targeted drugs in the treatment of cns disorders |
| CN102256963B (en) | 2008-12-19 | 2014-06-11 | 贝林格尔.英格海姆国际有限公司 | Cyclic pyrimidine-4-carboxamides as CCR2 receptor antagonists for the treatment of inflammation, asthma and COPD |
| US20110135655A1 (en) | 2009-01-13 | 2011-06-09 | PHILADELPHIA HEALTH AND EDUCATION CORPORATION d/b/a Drexel University College of Medicine; | Role of PI3K p110 delta Signaling in Retroviral Infection and Replication |
| CN102361640B (en) | 2009-01-13 | 2016-10-19 | 范安德尔研究所 | Isoxazole pyridone is in the purposes prepared in the medicine of the symptom alleviating or alleviating warm-blooded mammals arthritis and asthma |
| EP2396315B1 (en) | 2009-02-13 | 2016-08-31 | UCB Biopharma SPRL | Quinoline derivatives as pi3k kinase inhibitors |
| TW201038569A (en) | 2009-02-16 | 2010-11-01 | Abbott Gmbh & Co Kg | Heterocyclic compounds, pharmaceutical compositions containing them, and their use in therapy |
| US20100280067A1 (en) | 2009-04-30 | 2010-11-04 | Pakala Kumara Savithru Sarma | Inhibitors of acetyl-coa carboxylase |
| JP5789252B2 (en) | 2009-05-07 | 2015-10-07 | インテリカイン, エルエルシー | Heterocyclic compounds and uses thereof |
| GB0908957D0 (en) | 2009-05-22 | 2009-07-01 | Ucb Pharma Sa | Therapeutic agents |
| BRPI1010974A2 (en) | 2009-05-22 | 2019-09-24 | Exelixis Inc | benzoxazepines based on p13k / m inhibitors against proliferative diseases |
| CN102459248A (en) | 2009-05-26 | 2012-05-16 | 埃克塞里艾克西斯公司 | Benzoxepins as PI3K/mTOR inhibitors and methods of their use and manufacture |
| BRPI1009022A2 (en) | 2009-05-27 | 2016-03-08 | Hoffmann La Roche | "compound, pharmaceutical composition, process for producing a pharmaceutical composition, use of a compound, method for treating a disease or disorder and kit" |
| US8158625B2 (en) | 2009-05-27 | 2012-04-17 | Genentech, Inc. | Bicyclic indole-pyrimidine PI3K inhibitor compounds selective for P110 delta, and methods of use |
| CN101602768B (en) | 2009-07-17 | 2012-05-30 | 河南省农科院农副产品加工研究所 | Method for purifying sesamin and sesamolin |
| US8969636B2 (en) | 2009-07-29 | 2015-03-03 | The United States Of America As Represented By The Secretary Of The Navy | Homogeneous metallocene ziegler-natta catalysts for the oligomerization of olefins in aliphatic-hydrocarbon solvents |
| US9212177B2 (en) | 2009-08-05 | 2015-12-15 | Versitech Limited | Antiviral compounds and methods of making and using thereof |
| JP2013505965A (en) | 2009-09-29 | 2013-02-21 | エックスカバリー ホールディング カンパニー エルエルシー | PI3K (delta) selective inhibitor |
| US8106146B2 (en) | 2009-10-06 | 2012-01-31 | Medtronic, Inc. | Therapeutic polymers and methods of generation |
| US8653105B2 (en) | 2009-11-12 | 2014-02-18 | Ucb Pharma S.A. | Quinoline derivatives as kinase inhibitors |
| WO2011058109A1 (en) | 2009-11-12 | 2011-05-19 | Ucb Pharma S.A. | Fused bicyclic pyrrole and imidazole derivatives as kinase inhibitors |
| US8637543B2 (en) | 2009-11-12 | 2014-01-28 | Ucb Pharma S.A. | Quinoline derivatives as kinase inhibitors |
| AU2010319298B2 (en) | 2009-11-13 | 2015-11-05 | Plastipak Packaging, Inc. | Oxygen scavengers, compositions comprising the scavengers, and articles made from the compositions |
| WO2011067364A1 (en) | 2009-12-03 | 2011-06-09 | Glaxo Group Limited | Novel compounds |
| CA2781888C (en) | 2009-12-11 | 2019-06-18 | Nono Inc. | Agents and methods for treating ischemic and other diseases |
| MX2012006953A (en) | 2009-12-18 | 2012-10-09 | Amgen Inc | Heterocyclic compounds and their uses. |
| KR101758046B1 (en) | 2009-12-22 | 2017-07-14 | 버텍스 파마슈티칼스 인코포레이티드 | Isoindolinone inhibitors of phosphatidylinositol 3-kinase |
| WO2011094890A1 (en) | 2010-02-02 | 2011-08-11 | Argusina Inc. | Phenylalanine derivatives and their use as non-peptide glp-1 receptor modulators |
| WO2011103189A1 (en) | 2010-02-16 | 2011-08-25 | Uwm Research Foundation, Inc. | Methods of reducing virulence in bacteria |
| WO2011111880A1 (en) | 2010-03-08 | 2011-09-15 | 주식회사 메디젠텍 | Pharmaceutical composition for treating or preventing diseases caused by the nuclear export of gsk3, including a compound for inhibiting the nuclear export of gsk3 |
| CN102206172B (en) | 2010-03-30 | 2015-02-25 | 中国医学科学院医药生物技术研究所 | Substituted diaryl compound and preparation method and antiviral application thereof |
| JP2013525368A (en) | 2010-04-23 | 2013-06-20 | キネタ・インコーポレイテツド | Antiviral compounds |
| KR20130069640A (en) | 2010-04-23 | 2013-06-26 | 키네타, 인크. | Anti-viral compounds |
| ES2834973T3 (en) | 2010-05-04 | 2021-06-21 | Alkermes Pharma Ireland Ltd | Process for the synthesis of oxidized lactam compounds |
| CA2799579A1 (en) * | 2010-05-21 | 2011-11-24 | Intellikine, Inc. | Chemical compounds, compositions and methods for kinase modulation |
| US8969349B2 (en) | 2010-05-26 | 2015-03-03 | Sunovion Pharmaceuticals Inc. | Substituted quinoxalines and quinoxalinones as PDE-10 inhibitors |
| US20120142701A1 (en) | 2010-05-28 | 2012-06-07 | The University Of Hong Kong | Compounds and methods for the treatment of proliferative diseases |
| CA3007787C (en) | 2010-06-03 | 2020-03-10 | Pharmacyclics Llc | The use of inhibitors of bruton's tyrosine kinase (btk) |
| US20110306622A1 (en) | 2010-06-11 | 2011-12-15 | Calitoga Pharmaceuticals, Inc. | Methods of treating hematological disorders with quinazolinone compounds in selected subjects |
| CA2803890A1 (en) | 2010-06-25 | 2011-12-29 | Rutgers, The State University Of New Jersey | Antimicrobial agents |
| US8846931B2 (en) | 2010-07-05 | 2014-09-30 | Merck Patent Gmbh | Bipyridyl derivatives |
| US8906943B2 (en) | 2010-08-05 | 2014-12-09 | John R. Cashman | Synthetic compounds and methods to decrease nicotine self-administration |
| AR082799A1 (en) | 2010-09-08 | 2013-01-09 | Ucb Pharma Sa | DERIVATIVES OF QUINOLINE AND QUINOXALINE AS QUINASE INHIBITORS |
| EP2616442B8 (en) | 2010-09-14 | 2018-10-17 | Exelixis, Inc. | Inhibitors of pi3k-delta and methods of their use and manufacture |
| US8765773B2 (en) | 2010-10-18 | 2014-07-01 | Millennium Pharmaceuticals, Inc. | Substituted hydroxamic acids and uses thereof |
| US9394290B2 (en) | 2010-10-21 | 2016-07-19 | Universitaet Des Saarlandes Campus Saarbruecken | Selective CYP11B1 inhibitors for the treatment of cortisol dependent diseases |
| JP2013541591A (en) | 2010-11-04 | 2013-11-14 | アムジエン・インコーポレーテツド | Heterocyclic compounds and their use |
| JP2013545749A (en) | 2010-11-10 | 2013-12-26 | インフィニティー ファーマシューティカルズ, インコーポレイテッド | Heterocyclic compounds and uses thereof |
| US20140080810A1 (en) | 2010-11-15 | 2014-03-20 | Exelixis, Inc. | Benzoxazepines as Inhibitors of PI3K/mTOR and Methods of Their Use and Manufacture |
| WO2012068106A2 (en) | 2010-11-15 | 2012-05-24 | Exelixis, Inc. | Benzoxazepines as inhibitors of pi3k/mtor and methods of their use and manufacture |
| EP2643316A2 (en) | 2010-11-24 | 2013-10-02 | Exelixis, Inc. | Benzoxazepines as inhibitors of p13k/mtor and methods of their use and manufacture |
| CA2818889A1 (en) | 2010-11-24 | 2012-05-31 | Exelixis, Inc. | Benzoxazepines as inhibitors of p13k/mtor and methods of their use and manufacture |
| WO2012080729A2 (en) | 2010-12-14 | 2012-06-21 | Electrophoretics Limited | CASEIN KINASE 1δ (CK1δ) INHIBITORS |
| US8765978B2 (en) | 2010-12-16 | 2014-07-01 | Transitions Optical, Inc. | Method of making indeno-fused naphthol materials |
| US8987271B2 (en) | 2010-12-22 | 2015-03-24 | Eutropics Pharmaceuticals, Inc. | 2,2′-biphenazine compounds and methods useful for treating disease |
| ES2637113T3 (en) | 2011-01-10 | 2017-10-10 | Infinity Pharmaceuticals, Inc. | Procedures for preparing isoquinolinones and solid forms of isoquinolinones |
| US8791107B2 (en) | 2011-02-25 | 2014-07-29 | Takeda Pharmaceutical Company Limited | N-substituted oxazinopteridines and oxazinopteridinones |
| US20140213630A1 (en) | 2011-03-08 | 2014-07-31 | Thomas Diacovo | Methods and pharmaceutical compositions for treating lymphoid malignancy |
| SG10201601909TA (en) | 2011-03-11 | 2016-04-28 | Gilead Calistoga Llc | Combination Therapies For Hematologic Malignancies |
| WO2012125797A1 (en) | 2011-03-15 | 2012-09-20 | Abbott Laboratories | Nuclear hormone receptor modulators |
| US9464065B2 (en) | 2011-03-24 | 2016-10-11 | The Scripps Research Institute | Compounds and methods for inducing chondrogenesis |
| CN102731492B (en) | 2011-03-30 | 2016-06-29 | 江苏恒瑞医药股份有限公司 | Cyclohexanes derivant, its preparation method and in application pharmaceutically |
| WO2012135781A1 (en) | 2011-04-01 | 2012-10-04 | Genentech, Inc. | Combinations of akt inhibitor compounds and chemotherapeutic agents, and methods of use |
| JO3733B1 (en) | 2011-04-05 | 2021-01-31 | Bayer Ip Gmbh | Use of substituted 2,3-dihydroimidazo[1,2-c] quinazolines |
| KR101644051B1 (en) | 2011-05-20 | 2016-08-01 | 삼성전자 주식회사 | Optoelectronic device and laminated structure |
| EP2726074B1 (en) | 2011-07-01 | 2018-04-04 | Novartis AG | Combination therapy comprising a cdk4/6 inhibitor and a pi3k inhibitor for use in the treatment of cancer |
| HK1198443A1 (en) | 2011-07-19 | 2015-04-24 | 无限药品股份有限公司 | Heterocyclic compounds and uses thereof |
| AR088218A1 (en) | 2011-07-19 | 2014-05-21 | Infinity Pharmaceuticals Inc | USEFUL HETEROCICLICAL COMPOUNDS AS PI3K INHIBITORS |
| WO2013013504A1 (en) | 2011-07-26 | 2013-01-31 | 山东亨利医药科技有限责任公司 | Tigecycline derivative |
| CA2842838C (en) | 2011-07-26 | 2017-04-25 | Kbp Biosciences Co., Ltd. | 9-aminomethyl substituted tetracycline compounds |
| JP2014524426A (en) | 2011-08-12 | 2014-09-22 | ソーク インスティテュート フォー バイオロジカル スタディーズ | Neuroprotective polyphenol analog |
| MX2014002542A (en) | 2011-08-29 | 2014-07-09 | Infinity Pharmaceuticals Inc | Heterocyclic compounds and uses thereof. |
| KR20140072028A (en) | 2011-08-31 | 2014-06-12 | 노파르티스 아게 | Synergistic combinations of pi3k- and mek-inhibitors |
| WO2013044169A1 (en) | 2011-09-21 | 2013-03-28 | Nestec S.A. | Methods for determining combination therapy with il-2 for the treatment of cancer |
| MX391121B (en) | 2011-10-19 | 2025-03-19 | Pharmacyclics Llc | USE OF BRUTON TYROSINE KINASE (BTK) INHIBITORS. |
| WO2013074583A1 (en) | 2011-11-14 | 2013-05-23 | The Broad Institute, Inc. | Treatment and prognosis of lymphangioleiomyomatosis |
| WO2013086131A1 (en) | 2011-12-06 | 2013-06-13 | The Trustees Of The University Of Pennsylvania | Inhibitors targeting drug-resistant influenza a |
| US8772541B2 (en) | 2011-12-15 | 2014-07-08 | University of Pittsburgh—of the Commonwealth System of Higher Education | Cannabinoid receptor 2 (CB2) inverse agonists and therapeutic potential for multiple myeloma and osteoporosis bone diseases |
| US20150011569A1 (en) | 2011-12-15 | 2015-01-08 | Philadelphia Health & Education Corporation D/B/A Drexel University College Of Medicine | NOVEL P13K p110 INHIBITORS AND METHODS OF USE THEREOF |
| TWI573792B (en) | 2012-02-01 | 2017-03-11 | 歐陸斯迪公司 | Novel therapeutic agent |
| US8940742B2 (en) | 2012-04-10 | 2015-01-27 | Infinity Pharmaceuticals, Inc. | Heterocyclic compounds and uses thereof |
| EP2861256B1 (en) | 2012-06-15 | 2019-10-23 | The Brigham and Women's Hospital, Inc. | Compositions for treating cancer and methods for making the same |
| US8828998B2 (en) | 2012-06-25 | 2014-09-09 | Infinity Pharmaceuticals, Inc. | Treatment of lupus, fibrotic conditions, and inflammatory myopathies and other disorders using PI3 kinase inhibitors |
| CN104704129A (en) | 2012-07-24 | 2015-06-10 | 药品循环公司 | Mutations associated with resistance to inhibitors of bruton's tyrosine kinase (BTK) |
| AU2013296237B2 (en) | 2012-08-03 | 2019-05-16 | Foundation Medicine, Inc. | Human papilloma virus as predictor of cancer prognosis |
| WO2014046617A1 (en) | 2012-09-19 | 2014-03-27 | Agency For Science, Technology And Research | Compositions and methods for treating cancer |
| US20150283142A1 (en) | 2013-03-15 | 2015-10-08 | Infinity Pharmaceuticals, Inc. | Treatment of cancers using pi3 kinase isoform modulators |
| AU2013337717B2 (en) | 2012-11-01 | 2018-10-25 | Infinity Pharmaceuticals, Inc. | Treatment of cancers using PI3 kinase isoform modulators |
| US20140120083A1 (en) | 2012-11-01 | 2014-05-01 | Infinity Pharmaceuticals, Inc. | Treatment of cancers using pi3 kinase isoform modulators |
| US20140120060A1 (en) | 2012-11-01 | 2014-05-01 | Infinity Pharmaceuticals, Inc. | Treatment of rheumatoid arthritis and asthma using pi3 kinase inhibitors |
| EP3756686A1 (en) | 2012-11-02 | 2020-12-30 | TG Therapeutics Inc. | Combination of anti-cd20 antibody and pi3 kinase selective inhibitor |
| WO2014072937A1 (en) | 2012-11-08 | 2014-05-15 | Rhizen Pharmaceuticals Sa | Pharmaceutical compositions containing a pde4 inhibitor and a pi3 delta or dual pi3 delta-gamma kinase inhibitor |
| BR112015011147A8 (en) | 2012-11-16 | 2019-10-01 | Merck Sharp & Dohme | compound, pharmaceutical composition, and use of said compound |
| WO2014124458A1 (en) | 2013-02-11 | 2014-08-14 | The Regents Of The University Of California | Compositions and methods for treating neurodegenerative diseases |
| WO2014151386A1 (en) | 2013-03-15 | 2014-09-25 | Infinity Pharmaceuticals, Inc. | Salts and solid forms of isoquinolinones and composition comprising and methods of using the same |
| US9481667B2 (en) | 2013-03-15 | 2016-11-01 | Infinity Pharmaceuticals, Inc. | Salts and solid forms of isoquinolinones and composition comprising and methods of using the same |
| US20160067212A1 (en) | 2013-03-15 | 2016-03-10 | Universite De Geneve | Use of insulin signaling antagonists, optionally in combination of transfection of non-beta cells, for inducing insulin production |
| EP2983670A4 (en) | 2013-04-08 | 2017-03-08 | Pharmacyclics LLC | Ibrutinib combination therapy |
| JP6227889B2 (en) | 2013-04-23 | 2017-11-08 | 関東化學株式会社 | Novel organometallic complex and method for producing amine compound |
| CA2914284A1 (en) | 2013-05-30 | 2014-12-04 | Infinity Pharmaceuticals, Inc. | Treatment of cancers using pi3 kinase isoform modulators |
| WO2015002729A2 (en) | 2013-06-13 | 2015-01-08 | Biomatrica, Inc. | Cell stabilization |
| PL3008053T3 (en) | 2013-06-14 | 2018-08-31 | Gilead Calistoga Llc | Phosphatidylinositol 3-kinase inhibitors |
| JP6289459B2 (en) | 2013-06-20 | 2018-03-07 | 大鵬薬品工業株式会社 | Method for predicting therapeutic effect of PI3K / AKT / mTOR inhibitor based on expression of PHLDA1 or PIK3C2B |
| UY35675A (en) | 2013-07-24 | 2015-02-27 | Novartis Ag | SUBSTITUTED DERIVATIVES OF QUINAZOLIN-4-ONA |
| US20150065431A1 (en) | 2013-08-27 | 2015-03-05 | Northwestern University | Reducing cutaneous scar formation and treating skin conditions |
| AU2014319921A1 (en) | 2013-09-11 | 2016-03-17 | Compugen Ltd. | Anti-VSTM5 antibodies and the use thereof in therapy and diagnosis |
| WO2015051252A1 (en) | 2013-10-03 | 2015-04-09 | Duke University | Compositions and methods for treating cancer with jak2 activity |
| US9751888B2 (en) | 2013-10-04 | 2017-09-05 | Infinity Pharmaceuticals, Inc. | Heterocyclic compounds and uses thereof |
| PT3052485T (en) | 2013-10-04 | 2021-10-22 | Infinity Pharmaceuticals Inc | HETEROCYCLIC COMPOUNDS AND THEIR USES |
| WO2015054099A1 (en) | 2013-10-08 | 2015-04-16 | Acetylon Pharmaceuticals, Inc. | Combinations of histone deacetylase inhibitors and either her2 inhibitors or pi3k inhibitors |
| ES2818933T3 (en) | 2013-10-10 | 2021-04-14 | Acetylon Pharmaceuticals Inc | HDAC inhibitors in combination with pi3k inhibitors, for the treatment of non-Hodgkin lymphoma |
| US20160244452A1 (en) | 2013-10-21 | 2016-08-25 | Infinity Pharmaceuticals, Inc. | Heterocyclic compounds and uses thereof |
| WO2015081127A2 (en) | 2013-11-26 | 2015-06-04 | Gilead Sciences, Inc. | Therapies for treating myeloproliferative disorders |
| CN105979948A (en) | 2013-12-05 | 2016-09-28 | 安塞塔制药公司 | Therapeutic combination of a pi3k inhibitor and a btk inhibitor |
| WO2015095840A1 (en) | 2013-12-20 | 2015-06-25 | Biomed Valley Discoveries, Inc. | Cancer treatments using combinations of cdk and erk inhibitors |
| EP4389225A3 (en) | 2013-12-20 | 2024-10-09 | Biomed Valley Discoveries, Inc. | Cancer treatments using combinations of type 2 mek and erk inhibitors |
| WO2015095807A1 (en) | 2013-12-20 | 2015-06-25 | Biomed Valley Discoveries, Inc. | Cancer treatments using combinations of egfr and erk inhibitors |
| US10668055B2 (en) | 2013-12-20 | 2020-06-02 | Biomed Valley Discoveries, Inc. | Cancer treatment using combinations of ERK and RAF inhibitors |
| AU2014368925A1 (en) | 2013-12-20 | 2016-07-21 | Biomed Valley Discoveries, Inc. | Cancer treatments using combinations of MEK type I and ERK inhibitors |
| WO2015095834A2 (en) | 2013-12-20 | 2015-06-25 | Biomed Valley Discoveries, Inc. | Cancer treatments using erk1/2 and bcl-2 family inhibitors |
| WO2015095842A2 (en) | 2013-12-20 | 2015-06-25 | Biomed Valley Discoveries, Inc. | Methods and compositions for treating non-erk mapk pathway inhibitor-resistant cancers |
| WO2015095831A1 (en) | 2013-12-20 | 2015-06-25 | Biomed Valley Discoveries, Inc. | Cancer treatments using combinations of mtor and erk inhibitors |
| US11007183B2 (en) | 2013-12-20 | 2021-05-18 | Biomed Valley Discoveries, Inc. | Cancer treatments using combinations of PI3K/Akt pathway and ERK inhibitors |
| CA2937320A1 (en) | 2014-01-20 | 2015-07-23 | Gilead Sciences, Inc. | Therapies for treating cancers |
| MX382033B (en) | 2014-03-19 | 2025-03-13 | Infinity Pharmaceuticals Inc | HETEROCYCLIC COMPOUNDS FOR USE IN THE TREATMENT OF PI3K-GAMMA-MEDIATED DISORDERS. |
| AR099812A1 (en) | 2014-03-21 | 2016-08-17 | Abbvie Inc | ANTI-EGFR ANTIBODY AND DRUG ANTIBODIES AND CONJUGATES |
| WO2015160975A2 (en) | 2014-04-16 | 2015-10-22 | Infinity Pharmaceuticals, Inc. | Combination therapies |
| US20150320754A1 (en) | 2014-04-16 | 2015-11-12 | Infinity Pharmaceuticals, Inc. | Combination therapies |
| WO2015175966A1 (en) | 2014-05-16 | 2015-11-19 | Memorial Sloan Kettering Cancer Center | Platelet-derived growth factor receptor mutations and compositions and methods relating thereto |
| WO2015179772A1 (en) | 2014-05-23 | 2015-11-26 | Concert Pharmaceuticals, Inc. | Deuterated phenylquinazolinone and phenylisoquinolinone compounds |
| CN106414449A (en) | 2014-05-27 | 2017-02-15 | 阿尔米雷尔有限公司 | Medical use |
| SI3151672T1 (en) | 2014-06-06 | 2021-03-31 | Bluebird Bio, Inc. | Improved t cell compositions |
| WO2016054491A1 (en) | 2014-10-03 | 2016-04-07 | Infinity Pharmaceuticals, Inc. | Heterocyclic compounds and uses thereof |
| KR20170066546A (en) | 2014-10-03 | 2017-06-14 | 노파르티스 아게 | Combination therapies |
| WO2017048702A1 (en) | 2015-09-14 | 2017-03-23 | Infinity Pharmaceuticals, Inc. | Solid forms of isoquinolinone derivatives, process of making, compositions comprising, and methods of using the same |
| WO2017161116A1 (en) | 2016-03-17 | 2017-09-21 | Infinity Pharmaceuticals, Inc. | Isotopologues of isoquinolinone and quinazolinone compounds and uses thereof as pi3k kinase inhibitors |
-
2009
- 2009-07-15 US US12/503,776 patent/US8193182B2/en active Active
-
2010
- 2010-07-15 BR BR112012000968A patent/BR112012000968B8/en active IP Right Grant
- 2010-07-15 NZ NZ706506A patent/NZ706506A/en unknown
- 2010-07-15 RU RU2016110024A patent/RU2746319C2/en active
- 2010-07-15 JP JP2012520630A patent/JP5944313B2/en active Active
- 2010-07-15 CN CN201910011941.8A patent/CN109912599B/en active Active
- 2010-07-15 MX MX2012000626A patent/MX2012000626A/en active IP Right Grant
- 2010-07-15 MY MYPI2016000048A patent/MY175979A/en unknown
- 2010-07-15 MX MX2017012418A patent/MX379814B/en unknown
- 2010-07-15 UA UAA201115546A patent/UA109878C2/en unknown
- 2010-07-15 DK DK10800175.1T patent/DK2456444T3/en active
- 2010-07-15 EP EP18193879.6A patent/EP3441392B1/en active Active
- 2010-07-15 EP EP15156983.7A patent/EP2918589B1/en active Active
- 2010-07-15 WO PCT/US2010/002020 patent/WO2011008302A1/en not_active Ceased
- 2010-07-15 SG SG10201503886WA patent/SG10201503886WA/en unknown
- 2010-07-15 SI SI201030945T patent/SI2456444T1/en unknown
- 2010-07-15 HR HRP20150586TT patent/HRP20150586T1/en unknown
- 2010-07-15 ES ES10800175.1T patent/ES2538853T3/en active Active
- 2010-07-15 CA CA2768307A patent/CA2768307C/en active Active
- 2010-07-15 EP EP16196758.3A patent/EP3150609B1/en active Active
- 2010-07-15 PL PL10800175T patent/PL2456444T3/en unknown
- 2010-07-15 SG SG2012002440A patent/SG177641A1/en unknown
- 2010-07-15 PT PT108001751T patent/PT2456444E/en unknown
- 2010-07-15 NZ NZ619727A patent/NZ619727A/en unknown
- 2010-07-15 AU AU2010274075A patent/AU2010274075B2/en active Active
- 2010-07-15 RU RU2012105071A patent/RU2582676C3/en active Protection Beyond IP Right Term
- 2010-07-15 MY MYPI2012000141A patent/MY168762A/en unknown
- 2010-07-15 NZ NZ597595A patent/NZ597595A/en unknown
- 2010-07-15 UA UAA201504678A patent/UA121192C2/en unknown
- 2010-07-15 CN CN201080041050.4A patent/CN102711767B/en active Active
- 2010-07-15 KR KR1020127003875A patent/KR101680406B1/en active Active
- 2010-07-15 EP EP10800175.1A patent/EP2456444B1/en active Active
- 2010-07-15 CN CN201610428857.2A patent/CN106188059B/en active Active
- 2010-07-28 IN IN943DEN2012 patent/IN2012DN00943A/en unknown
-
2011
- 2011-12-25 IL IL217181A patent/IL217181A/en active IP Right Grant
-
2012
- 2012-01-12 ZA ZA2012/00254A patent/ZA201200254B/en unknown
- 2012-01-12 MX MX2013010738A patent/MX351028B/en unknown
- 2012-01-13 US US13/350,444 patent/US8569323B2/en active Active
- 2012-02-23 US US13/403,394 patent/US8785456B2/en active Active
-
2013
- 2013-08-20 US US13/971,793 patent/US9206182B2/en active Active
-
2014
- 2014-06-05 US US14/296,953 patent/US9216982B2/en active Active
-
2015
- 2015-05-22 CY CY20151100458T patent/CY1116424T1/en unknown
- 2015-06-18 SM SM201500141T patent/SMT201500141B/en unknown
- 2015-10-15 US US14/884,612 patent/US9522146B2/en active Active
- 2015-10-22 PH PH12015502432A patent/PH12015502432A1/en unknown
- 2015-11-11 US US14/938,647 patent/US9655892B2/en active Active
-
2016
- 2016-02-03 IL IL243932A patent/IL243932A/en active IP Right Grant
- 2016-05-25 JP JP2016103832A patent/JP6158395B2/en active Active
- 2016-11-09 US US15/347,489 patent/US20170281614A1/en not_active Abandoned
-
2017
- 2017-05-18 US US15/599,378 patent/US20180098983A1/en not_active Abandoned
-
2018
- 2018-10-26 US US16/172,539 patent/US20190290636A1/en not_active Abandoned
-
2019
- 2019-08-29 US US16/556,048 patent/US11433065B2/en active Active
-
2020
- 2020-04-20 PH PH12020550450A patent/PH12020550450A1/en unknown
-
2021
- 2021-10-19 US US17/504,762 patent/US20220265637A1/en not_active Abandoned
- 2021-10-28 NL NL301140C patent/NL301140I2/en unknown
- 2021-11-03 FI FIC20210039C patent/FIC20210039I1/en unknown
- 2021-11-03 LU LU00237C patent/LUC00237I2/fr unknown
- 2021-11-10 NO NO2021047C patent/NO2021047I1/en unknown
- 2021-11-11 LT LTPA2021526C patent/LTC2456444I2/lt unknown
- 2021-11-11 HU HUS2100048C patent/HUS2100048I1/en unknown
- 2021-11-11 CY CY2021034C patent/CY2021034I2/en unknown
-
2025
- 2025-01-21 US US19/033,054 patent/US20250170122A1/en active Pending
Cited By (1)
| Publication number | Priority date | Publication date | Assignee | Title |
|---|---|---|---|---|
| US11433065B2 (en) | 2008-01-04 | 2022-09-06 | Intellikine Llc | Certain chemical entities, compositions and methods |
Also Published As
Similar Documents
| Publication | Publication Date | Title |
|---|---|---|
| US11433065B2 (en) | Certain chemical entities, compositions and methods | |
| US20260042780A1 (en) | Certain chemical entities, compositions and methods | |
| US9315505B2 (en) | Heterocyclic compounds and uses thereof | |
| HK40023688B (en) | Processes for the preparation of 1h-pyrazolo[3,4-d]pyrimidin-4-amine derivatives | |
| HK40023688A (en) | Processes for the preparation of 1h-pyrazolo[3,4-d]pyrimidin-4-amine derivatives | |
| HK1149558B (en) | Isoquinolinone derivatives substituted with a purine useful as pi3k inhibitors | |
| HK1149558A (en) | Isoquinolinone derivatives substituted with a purine useful as pi3k inhibitors | |
| HK1149557A (en) | 1h-pyrazolo[3,4-d]pyrimidin-4-amine derivatives as pi3 kinase modulators, their compositions and uses | |
| HK1149557B (en) | 1h-pyrazolo[3,4-d]pyrimidin-4-amine derivatives as pi3 kinase modulators, their compositions and uses | |
| HK1236032A (en) | Process for preparing certain chemical entities | |
| HK1236032A1 (en) | Process for preparing certain chemical entities | |
| HK1236032B (en) | Process for preparing certain chemical entities |
Legal Events
| Date | Code | Title | Description |
|---|---|---|---|
| AS | Assignment |
Owner name: INTELLIKINE, INC., CALIFORNIA Free format text: ASSIGNMENT OF ASSIGNORS INTEREST;ASSIGNORS:REN, PINGDA;LIU, YI;CHAN, KATRINA;AND OTHERS;REEL/FRAME:044508/0046 Effective date: 20090720 Owner name: INTELLIKINE LLC, CALIFORNIA Free format text: CHANGE OF NAME;ASSIGNOR:INTELLIKINE, INC.;REEL/FRAME:044758/0748 Effective date: 20120202 |
|
| STCV | Information on status: appeal procedure |
Free format text: NOTICE OF APPEAL FILED |
|
| STCB | Information on status: application discontinuation |
Free format text: ABANDONED -- FAILURE TO RESPOND TO AN OFFICE ACTION |
















































































































































































































































































































































































































































































































































































































































































