US20120249797A1 - Head-worn adaptive display - Google Patents
Head-worn adaptive display Download PDFInfo
- Publication number
- US20120249797A1 US20120249797A1 US13/429,721 US201213429721A US2012249797A1 US 20120249797 A1 US20120249797 A1 US 20120249797A1 US 201213429721 A US201213429721 A US 201213429721A US 2012249797 A1 US2012249797 A1 US 2012249797A1
- Authority
- US
- United States
- Prior art keywords
- eyepiece
- user
- light
- optical
- image
- Prior art date
- Legal status (The legal status is an assumption and is not a legal conclusion. Google has not performed a legal analysis and makes no representation as to the accuracy of the status listed.)
- Abandoned
Links
Images
Classifications
-
- G—PHYSICS
- G02—OPTICS
- G02B—OPTICAL ELEMENTS, SYSTEMS OR APPARATUS
- G02B27/00—Optical systems or apparatus not provided for by any of the groups G02B1/00 - G02B26/00, G02B30/00
- G02B27/0093—Optical systems or apparatus not provided for by any of the groups G02B1/00 - G02B26/00, G02B30/00 with means for monitoring data relating to the user, e.g. head-tracking, eye-tracking
-
- G—PHYSICS
- G01—MEASURING; TESTING
- G01C—MEASURING DISTANCES, LEVELS OR BEARINGS; SURVEYING; NAVIGATION; GYROSCOPIC INSTRUMENTS; PHOTOGRAMMETRY OR VIDEOGRAMMETRY
- G01C21/00—Navigation; Navigational instruments not provided for in groups G01C1/00 - G01C19/00
- G01C21/26—Navigation; Navigational instruments not provided for in groups G01C1/00 - G01C19/00 specially adapted for navigation in a road network
- G01C21/34—Route searching; Route guidance
- G01C21/36—Input/output arrangements for on-board computers
- G01C21/3626—Details of the output of route guidance instructions
- G01C21/3629—Guidance using speech or audio output, e.g. text-to-speech
-
- G—PHYSICS
- G02—OPTICS
- G02B—OPTICAL ELEMENTS, SYSTEMS OR APPARATUS
- G02B27/00—Optical systems or apparatus not provided for by any of the groups G02B1/00 - G02B26/00, G02B30/00
- G02B27/01—Head-up displays
- G02B27/017—Head mounted
-
- G—PHYSICS
- G02—OPTICS
- G02B—OPTICAL ELEMENTS, SYSTEMS OR APPARATUS
- G02B27/00—Optical systems or apparatus not provided for by any of the groups G02B1/00 - G02B26/00, G02B30/00
- G02B27/01—Head-up displays
- G02B27/017—Head mounted
- G02B27/0172—Head mounted characterised by optical features
-
- G—PHYSICS
- G04—HOROLOGY
- G04G—ELECTRONIC TIME-PIECES
- G04G21/00—Input or output devices integrated in time-pieces
- G04G21/02—Detectors of external physical values, e.g. temperature
- G04G21/025—Detectors of external physical values, e.g. temperature for measuring physiological data
-
- G—PHYSICS
- G04—HOROLOGY
- G04G—ELECTRONIC TIME-PIECES
- G04G21/00—Input or output devices integrated in time-pieces
- G04G21/04—Input or output devices integrated in time-pieces using radio waves
-
- G—PHYSICS
- G04—HOROLOGY
- G04G—ELECTRONIC TIME-PIECES
- G04G21/00—Input or output devices integrated in time-pieces
- G04G21/08—Touch switches specially adapted for time-pieces
-
- G—PHYSICS
- G06—COMPUTING OR CALCULATING; COUNTING
- G06F—ELECTRIC DIGITAL DATA PROCESSING
- G06F1/00—Details not covered by groups G06F3/00 - G06F13/00 and G06F21/00
- G06F1/16—Constructional details or arrangements
- G06F1/1613—Constructional details or arrangements for portable computers
- G06F1/163—Wearable computers, e.g. on a belt
-
- G—PHYSICS
- G06—COMPUTING OR CALCULATING; COUNTING
- G06F—ELECTRIC DIGITAL DATA PROCESSING
- G06F3/00—Input arrangements for transferring data to be processed into a form capable of being handled by the computer; Output arrangements for transferring data from processing unit to output unit, e.g. interface arrangements
- G06F3/002—Specific input/output arrangements not covered by G06F3/01 - G06F3/16
- G06F3/005—Input arrangements through a video camera
-
- G—PHYSICS
- G06—COMPUTING OR CALCULATING; COUNTING
- G06F—ELECTRIC DIGITAL DATA PROCESSING
- G06F3/00—Input arrangements for transferring data to be processed into a form capable of being handled by the computer; Output arrangements for transferring data from processing unit to output unit, e.g. interface arrangements
- G06F3/01—Input arrangements or combined input and output arrangements for interaction between user and computer
- G06F3/011—Arrangements for interaction with the human body, e.g. for user immersion in virtual reality
-
- G—PHYSICS
- G06—COMPUTING OR CALCULATING; COUNTING
- G06F—ELECTRIC DIGITAL DATA PROCESSING
- G06F3/00—Input arrangements for transferring data to be processed into a form capable of being handled by the computer; Output arrangements for transferring data from processing unit to output unit, e.g. interface arrangements
- G06F3/01—Input arrangements or combined input and output arrangements for interaction between user and computer
- G06F3/011—Arrangements for interaction with the human body, e.g. for user immersion in virtual reality
- G06F3/013—Eye tracking input arrangements
-
- G—PHYSICS
- G06—COMPUTING OR CALCULATING; COUNTING
- G06F—ELECTRIC DIGITAL DATA PROCESSING
- G06F3/00—Input arrangements for transferring data to be processed into a form capable of being handled by the computer; Output arrangements for transferring data from processing unit to output unit, e.g. interface arrangements
- G06F3/01—Input arrangements or combined input and output arrangements for interaction between user and computer
- G06F3/016—Input arrangements with force or tactile feedback as computer generated output to the user
-
- G—PHYSICS
- G06—COMPUTING OR CALCULATING; COUNTING
- G06F—ELECTRIC DIGITAL DATA PROCESSING
- G06F3/00—Input arrangements for transferring data to be processed into a form capable of being handled by the computer; Output arrangements for transferring data from processing unit to output unit, e.g. interface arrangements
- G06F3/01—Input arrangements or combined input and output arrangements for interaction between user and computer
- G06F3/017—Gesture based interaction, e.g. based on a set of recognized hand gestures
-
- G—PHYSICS
- G06—COMPUTING OR CALCULATING; COUNTING
- G06F—ELECTRIC DIGITAL DATA PROCESSING
- G06F3/00—Input arrangements for transferring data to be processed into a form capable of being handled by the computer; Output arrangements for transferring data from processing unit to output unit, e.g. interface arrangements
- G06F3/01—Input arrangements or combined input and output arrangements for interaction between user and computer
- G06F3/03—Arrangements for converting the position or the displacement of a member into a coded form
- G06F3/0304—Detection arrangements using opto-electronic means
-
- G—PHYSICS
- G06—COMPUTING OR CALCULATING; COUNTING
- G06F—ELECTRIC DIGITAL DATA PROCESSING
- G06F3/00—Input arrangements for transferring data to be processed into a form capable of being handled by the computer; Output arrangements for transferring data from processing unit to output unit, e.g. interface arrangements
- G06F3/01—Input arrangements or combined input and output arrangements for interaction between user and computer
- G06F3/03—Arrangements for converting the position or the displacement of a member into a coded form
- G06F3/033—Pointing devices displaced or positioned by the user, e.g. mice, trackballs, pens or joysticks; Accessories therefor
- G06F3/0354—Pointing devices displaced or positioned by the user, e.g. mice, trackballs, pens or joysticks; Accessories therefor with detection of two-dimensional [2D] relative movements between the device, or an operating part thereof, and a plane or surface, e.g. 2D mice, trackballs, pens or pucks
- G06F3/03547—Touch pads, in which fingers can move on a surface
-
- G—PHYSICS
- G06—COMPUTING OR CALCULATING; COUNTING
- G06F—ELECTRIC DIGITAL DATA PROCESSING
- G06F3/00—Input arrangements for transferring data to be processed into a form capable of being handled by the computer; Output arrangements for transferring data from processing unit to output unit, e.g. interface arrangements
- G06F3/01—Input arrangements or combined input and output arrangements for interaction between user and computer
- G06F3/03—Arrangements for converting the position or the displacement of a member into a coded form
- G06F3/041—Digitisers, e.g. for touch screens or touch pads, characterised by the transducing means
- G06F3/042—Digitisers, e.g. for touch screens or touch pads, characterised by the transducing means by opto-electronic means
- G06F3/0428—Digitisers, e.g. for touch screens or touch pads, characterised by the transducing means by opto-electronic means by sensing at the edges of the touch surface the interruption of optical paths, e.g. an illumination plane, parallel to the touch surface which may be virtual
-
- G—PHYSICS
- G06—COMPUTING OR CALCULATING; COUNTING
- G06Q—INFORMATION AND COMMUNICATION TECHNOLOGY [ICT] SPECIALLY ADAPTED FOR ADMINISTRATIVE, COMMERCIAL, FINANCIAL, MANAGERIAL OR SUPERVISORY PURPOSES; SYSTEMS OR METHODS SPECIALLY ADAPTED FOR ADMINISTRATIVE, COMMERCIAL, FINANCIAL, MANAGERIAL OR SUPERVISORY PURPOSES, NOT OTHERWISE PROVIDED FOR
- G06Q30/00—Commerce
- G06Q30/02—Marketing; Price estimation or determination; Fundraising
-
- G—PHYSICS
- G02—OPTICS
- G02B—OPTICAL ELEMENTS, SYSTEMS OR APPARATUS
- G02B27/00—Optical systems or apparatus not provided for by any of the groups G02B1/00 - G02B26/00, G02B30/00
- G02B27/01—Head-up displays
- G02B27/0101—Head-up displays characterised by optical features
- G02B2027/0138—Head-up displays characterised by optical features comprising image capture systems, e.g. camera
-
- G—PHYSICS
- G02—OPTICS
- G02B—OPTICAL ELEMENTS, SYSTEMS OR APPARATUS
- G02B27/00—Optical systems or apparatus not provided for by any of the groups G02B1/00 - G02B26/00, G02B30/00
- G02B27/01—Head-up displays
- G02B27/0101—Head-up displays characterised by optical features
- G02B2027/014—Head-up displays characterised by optical features comprising information/image processing systems
-
- G—PHYSICS
- G02—OPTICS
- G02B—OPTICAL ELEMENTS, SYSTEMS OR APPARATUS
- G02B27/00—Optical systems or apparatus not provided for by any of the groups G02B1/00 - G02B26/00, G02B30/00
- G02B27/01—Head-up displays
- G02B27/017—Head mounted
- G02B2027/0178—Eyeglass type
-
- G—PHYSICS
- G02—OPTICS
- G02B—OPTICAL ELEMENTS, SYSTEMS OR APPARATUS
- G02B27/00—Optical systems or apparatus not provided for by any of the groups G02B1/00 - G02B26/00, G02B30/00
- G02B27/01—Head-up displays
- G02B27/0179—Display position adjusting means not related to the information to be displayed
- G02B2027/0187—Display position adjusting means not related to the information to be displayed slaved to motion of at least a part of the body of the user, e.g. head, eye
-
- G—PHYSICS
- G02—OPTICS
- G02C—SPECTACLES; SUNGLASSES OR GOGGLES INSOFAR AS THEY HAVE THE SAME FEATURES AS SPECTACLES; CONTACT LENSES
- G02C7/00—Optical parts
- G02C7/02—Lenses; Lens systems ; Methods of designing lenses
- G02C7/08—Auxiliary lenses; Arrangements for varying focal length
-
- G—PHYSICS
- G02—OPTICS
- G02C—SPECTACLES; SUNGLASSES OR GOGGLES INSOFAR AS THEY HAVE THE SAME FEATURES AS SPECTACLES; CONTACT LENSES
- G02C7/00—Optical parts
- G02C7/02—Lenses; Lens systems ; Methods of designing lenses
- G02C7/08—Auxiliary lenses; Arrangements for varying focal length
- G02C7/086—Auxiliary lenses located directly on a main spectacle lens or in the immediate vicinity of main spectacles
-
- G—PHYSICS
- G02—OPTICS
- G02C—SPECTACLES; SUNGLASSES OR GOGGLES INSOFAR AS THEY HAVE THE SAME FEATURES AS SPECTACLES; CONTACT LENSES
- G02C9/00—Attaching auxiliary optical parts
-
- G—PHYSICS
- G06—COMPUTING OR CALCULATING; COUNTING
- G06F—ELECTRIC DIGITAL DATA PROCESSING
- G06F2203/00—Indexing scheme relating to G06F3/00 - G06F3/048
- G06F2203/033—Indexing scheme relating to G06F3/033
- G06F2203/0331—Finger worn pointing device
-
- G—PHYSICS
- G06—COMPUTING OR CALCULATING; COUNTING
- G06F—ELECTRIC DIGITAL DATA PROCESSING
- G06F2203/00—Indexing scheme relating to G06F3/00 - G06F3/048
- G06F2203/033—Indexing scheme relating to G06F3/033
- G06F2203/0338—Fingerprint track pad, i.e. fingerprint sensor used as pointing device tracking the fingertip image
-
- G—PHYSICS
- G06—COMPUTING OR CALCULATING; COUNTING
- G06V—IMAGE OR VIDEO RECOGNITION OR UNDERSTANDING
- G06V20/00—Scenes; Scene-specific elements
- G06V20/20—Scenes; Scene-specific elements in augmented reality scenes
-
- G—PHYSICS
- G06—COMPUTING OR CALCULATING; COUNTING
- G06V—IMAGE OR VIDEO RECOGNITION OR UNDERSTANDING
- G06V40/00—Recognition of biometric, human-related or animal-related patterns in image or video data
- G06V40/10—Human or animal bodies, e.g. vehicle occupants or pedestrians; Body parts, e.g. hands
- G06V40/16—Human faces, e.g. facial parts, sketches or expressions
- G06V40/161—Detection; Localisation; Normalisation
- G06V40/166—Detection; Localisation; Normalisation using acquisition arrangements
Definitions
- the present disclosure relates to an augmented reality eyepiece, associated control technologies, and applications for use, and more specifically to software applications running on the eyepiece.
- the eyepiece may include an internal software application running on an integrated multimedia computing facility that has been adapted for 3D augmented reality (AR) content display and interaction with the eyepiece.
- 3D AR software applications may be developed in conjunction with mobile applications and provided through application store(s), or as stand-alone applications specifically targeting the eyepiece as the end-use platform and through a dedicated 3D AR eyepiece store.
- Internal software applications may interface with inputs and output facilities provided by the eyepiece through facilities internal and external to the eyepiece, such as initiated from the surrounding environment, sensing devices, user action capture devices, internal processing facilities, internal multimedia processing facilities, other internal applications, camera, sensors, microphone, through a transceiver, through a tactile interface, from external computing facilities, external applications, event and/or data feeds, external devices, third parties, and the like.
- Command and control modes operating in conjunction with the eyepiece may be initiated by sensing inputs through input devices, user action, external device interaction, reception of events and/or data feeds, internal application execution, external application execution, and the like.
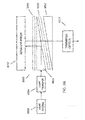
- FIG. 1 depicts an illustrative embodiment of the optical arrangement.
- FIG. 2 depicts an RGB LED projector.
- FIG. 3 depicts the projector in use.
- FIG. 4 depicts an embodiment of the waveguide and correction lens disposed in a frame.
- FIG. 5 depicts a design for a waveguide eyepiece.
- FIG. 6 depicts an embodiment of the eyepiece with a see-through lens.
- FIG. 7 depicts an embodiment of the eyepiece with a see-through lens.
- FIG. 8A-C depicts embodiments of the eyepiece arranged in a flip-up/flip-down configuration.
- FIG. 8D-E depicts embodiments of snap-fit elements of a secondary optic.
- FIG. 8F depicts embodiments of flip-up/flip-down electro-optics modules.
- FIG. 9 depicts an electrochromic layer of the eyepiece.
- FIG. 10 depicts the advantages of the eyepiece in real-time image enhancement, keystone correction, and virtual perspective correction.
- FIG. 11 depicts a plot of responsivity versus wavelength for three substrates.
- FIG. 12 illustrates the performance of the black silicon sensor.
- FIG. 13A depicts an incumbent night vision system
- FIG. 13B depicts the night vision system of the present disclosure
- FIG. 13C illustrates the difference in responsivity between the two.
- FIG. 14 depicts a tactile interface of the eyepiece.
- FIG. 14A depicts motions in an embodiment of the eyepiece featuring nod control.
- FIG. 15 depicts a ring that controls the eyepiece.
- FIG. 15 AA depicts a ring that controls the eyepiece with an integrated camera, where in an embodiment may allow the user to provide a video image of themselves as part of a videoconference.
- FIG. 15A depicts hand mounted sensors in an embodiment of a virtual mouse.
- FIG. 15B depicts a facial actuation sensor as mounted on the eyepiece.
- FIG. 15C depicts a hand pointing control of the eyepiece.
- FIG. 15D depicts a hand pointing control of the eyepiece.
- FIG. 15E depicts an example of eye tracking control.
- FIG. 15F depicts a hand positioning control of the eyepiece.
- FIG. 16 depicts a location-based application mode of the eyepiece.
- FIG. 17 shows the difference in image quality between A) a flexible platform of uncooled CMOS image sensors capable of VIS/NIR/SWIR imaging and B) an image intensified night vision system
- FIG. 18 depicts an augmented reality-enabled custom billboard.
- FIG. 19 depicts an augmented reality-enabled custom advertisement.
- FIG. 20 an augmented reality-enabled custom artwork.
- FIG. 20A depicts a method for posting messages to be transmitted when a viewer reaches a certain location.
- FIG. 21 depicts an alternative arrangement of the eyepiece optics and electronics.
- FIG. 22 depicts an alternative arrangement of the eyepiece optics and electronics.
- FIG. 22A depicts the eyepiece with an example of eyeglow.
- FIG. 22B depicts a cross-section of the eyepiece with a light control element for reducing eyeglow.
- FIG. 23 depicts an alternative arrangement of the eyepiece optics and electronics.
- FIG. 24 depicts a lock position of a virtual keyboard.
- FIG. 24A depicts an embodiment of a virtually projected image on a part of the human body.
- FIG. 25 depicts a detailed view of the projector.
- FIG. 26 depicts a detailed view of the RGB LED module.
- FIG. 27 depicts a gaming network.
- FIG. 28 depicts a method for gaming using augmented reality glasses.
- FIG. 29 depicts an exemplary electronic circuit diagram for an augmented reality eyepiece.
- FIG. 29A depicts a control circuit for eye-tracking control of an external device.
- FIG. 29B depicts a communication network among users of augmented reality eyepieces.
- FIG. 30 depicts partial image removal by the eyepiece.
- FIG. 31 depicts a flowchart for a method of identifying a person based on speech of the person as captured by microphones of the augmented reality device.
- FIG. 32 depicts a typical camera for use in video calling or conferencing.
- FIG. 33 illustrates an embodiment of a block diagram of a video calling camera.
- FIG. 34 depicts embodiments of the eyepiece for optical or digital stabilization.
- FIG. 35 depicts an embodiment of a classic cassegrain configuration.
- FIG. 36 depicts the configuration of the micro-cassegrain telescoping folded optic camera.
- FIG. 37 depicts a swipe process with a virtual keyboard.
- FIG. 38 depicts a target marker process for a virtual keyboard.
- FIG. 38A depicts an embodiment of a visual word translator.
- FIG. 39 illustrates glasses for biometric data capture according to an embodiment.
- FIG. 40 illustrates iris recognition using the biometric data capture glasses according to an embodiment.
- FIG. 41 depicts face and iris recognition according to an embodiment.
- FIG. 42 illustrates use of dual omni-microphones according to an embodiment.
- FIG. 43 depicts the directionality improvements with multiple microphones.
- FIG. 44 shows the use of adaptive arrays to steer the audio capture facility according to an embodiment.
- FIG. 45 shows the mosaic finger and palm enrollment system according to an embodiment.
- FIG. 46 illustrates the traditional optical approach used by other finger and palm print systems.
- FIG. 47 shows the approach used by the mosaic sensor according to an embodiment.
- FIG. 48 depicts the device layout of the mosaic sensor according to an embodiment.
- FIG. 49 illustrates the camera field of view and number of cameras used in a mosaic sensor according to another embodiment.
- FIG. 50 shows the bio-phone and tactical computer according to an embodiment.
- FIG. 51 shows the use of the bio-phone and tactical computer in capturing latent fingerprints and palm prints according to an embodiment.
- FIG. 52 illustrates a typical DOMEX collection.
- FIG. 53 shows the relationship between the biometric images captured using the bio-phone and tactical computer and a biometric watch list according to an embodiment.
- FIG. 54 illustrates a pocket bio-kit according to an embodiment.
- FIG. 55 shows the components of the pocket bio-kit according to an embodiment.
- FIG. 56 depicts the fingerprint, palm print, geo-location and POI enrollment device according to an embodiment.
- FIG. 57 shows a system for multi-modal biometric collection, identification, geo-location, and POI enrollment according to an embodiment.
- FIG. 58 illustrates a fingerprint, palm print, geo-location, and POI enrollment forearm wearable device according to an embodiment.
- FIG. 59 shows a mobile folding biometric enrollment kit according to an embodiment.
- FIG. 60 is a high level system diagram of a biometric enrollment kit according to an embodiment.
- FIG. 61 is a system diagram of a folding biometric enrollment device according to an embodiment.
- FIG. 62 shows a thin-film finger and palm print sensor according to an embodiment.
- FIG. 63 shows a biometric collection device for finger, palm, and enrollment data collection according to an embodiment.
- FIG. 64 illustrates capture of a two stage palm print according to an embodiment.
- FIG. 65 illustrates capture of a fingertip tap according to an embodiment.
- FIG. 66 illustrates capture of a slap and roll print according to an embodiment.
- FIG. 67 depicts a system for taking contactless fingerprints, palmprints or other biometric prints.
- FIG. 68 depicts a process for taking contactless fingerprints, palmprints or other biometric prints.
- FIG. 69 depicts an embodiment of a watch controller.
- FIG. 70A-D depicts embodiment cases for the eyepiece, including capabilities for charging and integrated display.
- FIG. 71 depicts an embodiment of a ground stake data system.
- FIG. 72 depicts a block diagram of a control mapping system including the eyepiece.
- FIG. 73 depicts a biometric flashlight.
- FIG. 74 depicts a helmet-mounted version of the eyepiece.
- FIG. 75 depicts an embodiment of situational awareness glasses.
- FIG. 76A depicts an assembled 360° imager and FIG. 76B depicts a cutaway view of the 360° imager.
- FIG. 77 depicts an exploded view of the multi-coincident view camera.
- FIG. 78 depicts a flight eye.
- FIG. 79 depicts an exploded top view of the eyepiece.
- FIG. 80 depicts an exploded electro-optic assembly.
- FIG. 81 depicts an exploded view of the shaft of the electro-optic assembly.
- FIG. 82 depicts an embodiment of an optical display system utilizing a planar illumination facility with a reflective display.
- FIG. 83 depicts a structural embodiment of a planar illumination optical system.
- FIG. 84 depicts an embodiment assembly of a planar illumination facility and a reflective display with laser speckle suppression components.
- FIG. 85 depicts an embodiment of a planar illumination facility with grooved features for redirecting light.
- FIG. 86 depicts an embodiment of a planar illumination facility with grooved features and ‘anti-grooved’ features paired to reduce image aberrations.
- FIG. 87 depicts an embodiment of a planar illumination facility fabricated from a laminate structure.
- FIG. 88 depicts an embodiment of a planar illumination facility with a wedged optic assembly for redirecting light.
- FIG. 89 depicts a block diagram of an illumination module, according to an embodiment of the invention.
- FIG. 90 depicts a block diagram of an optical frequency converter, according to an embodiment of the invention.
- FIG. 91 depicts a block diagram of a laser illumination module, according to an embodiment of the invention.
- FIG. 92 depicts a block diagram of a laser illumination system, according to another embodiment of the invention.
- FIG. 93 depicts a block diagram of an imaging system, according to an embodiment of the invention.
- FIGS. 94A & B depict a lens with a photochromic element and a heater element in a top down and side view, respectively.
- FIG. 95 depicts an embodiment of an LCoS front light design.
- FIG. 96 depicts optically bonded prisms with a polarizer.
- FIG. 97 depicts optically bonded prisms with a polarizer.
- FIG. 98 depicts multiple embodiments of an LCoS front light design.
- FIG. 99 depicts a wedge plus OBS overlaid on an LCoS.
- FIG. 100 depicts two versions of a wedge.
- FIG. 101 depicts a curved PBS film over the LCoS chip.
- FIG. 102 depicts an embodiment of an optical assembly.
- FIG. 103 depicts an embodiment of an image source.
- FIG. 104 depicts an embodiment of an image source.
- FIG. 105 depicts embodiments of image sources.
- FIG. 106 depicts a top-level block diagram showing software application facilities and markets in conjunction with functional and control aspects of the eyepiece in an embodiment of the present invention.
- FIG. 107 depicts a functional block diagram of the eyepiece application development environment in an embodiment of the present invention.
- FIG. 108 depicts a platform elements development stack in relation to software applications for the eyepiece in an embodiment of the present invention.
- FIG. 109 is an illustration of a head mounted display with see-through capability according to an embodiment of the present invention.
- FIG. 110 is an illustration of a view of an unlabeled scene as viewed through the head mounted display depicted in FIG. 109 .
- FIG. 111 is an illustration of a view of the scene of FIG. 110 with 2D overlaid labels.
- FIG. 112 is an illustration of 3D labels of FIG. 111 as displayed to the viewer's left eye.
- FIG. 113 is an illustration of 3D labels of FIG. 111 as displayed to the viewer's right eye.
- FIG. 114 is an illustration of the left and right 3D labels of FIG. 111 overlaid on one another to show the disparity.
- FIG. 115 is an illustration of the view of a scene of FIG. 110 with the 3D labels.
- FIG. 116 is an illustration of stereo images captured of the scene of FIG. 110 .
- FIG. 118 is an illustration of the scene of FIG. 110 showing the overlaid 3D labels.
- FIG. 119 is a flowchart for a depth cue method embodiment of the present invention for providing 3D labels.
- FIG. 120 is a flowchart for another depth cue method embodiment of the present invention for providing 3D labels.
- FIG. 121 is a flowchart for yet another depth cue method embodiment of the present invention for providing 3D labels.
- FIG. 122 is a flowchart for a still another depth cue method embodiment of the present invention for providing 3D labels.
- the present disclosure relates to eyepiece electro-optics.
- the eyepiece may include projection optics suitable to project an image onto a see-through or translucent lens, enabling the wearer of the eyepiece to view the surrounding environment as well as the displayed image.
- the projection optics also known as a projector, may include an RGB LED module that uses field sequential color. With field sequential color, a single full color image may be broken down into color fields based on the primary colors of red, green, and blue and imaged by an LCoS (liquid crystal on silicon) optical display 210 individually. As each color field is imaged by the optical display 210 , the corresponding LED color is turned on. When these color fields are displayed in rapid sequence, a full color image may be seen.
- LCoS liquid crystal on silicon
- the resulting projected image in the eyepiece can be adjusted for any chromatic aberrations by shifting the red image relative to the blue and/or green image and so on.
- the image may thereafter be reflected into a two surface freeform waveguide where the image light engages in total internal reflections (TIR) until reaching the active viewing area of the lens where the user sees the image.
- a processor which may include a memory and an operating system, may control the LED light source and the optical display.
- the projector may also include or be optically coupled to a display coupling lens, a condenser lens, a polarizing beam splitter, and a field lens.
- an illustrative embodiment of the augmented reality eyepiece 100 may be depicted. It will be understood that embodiments of the eyepiece 100 may not include all of the elements depicted in FIG. 1 while other embodiments may include additional or different elements.
- the optical elements may be embedded in the arm portions 122 of the frame 102 of the eyepiece. Images may be projected with a projector 108 onto at least one lens 104 disposed in an opening of the frame 102 .
- One or more projectors 108 such as a nanoprojector, picoprojector, microprojector, femtoprojector, LASER-based projector, holographic projector, and the like may be disposed in an arm portion of the eyepiece frame 102 . In embodiments, both lenses 104 are see-through or translucent while in other embodiments only one lens 104 is translucent while the other is opaque or missing. In embodiments, more than one projector 108 may be included in the eyepiece 100 .
- the eyepiece 100 may also include at least one articulating ear bud 120 , a radio transceiver 118 and a heat sink 114 to absorb heat from the LED light engine, to keep it cool and to allow it to operate at full brightness.
- a radio transceiver 118 and a heat sink 114 to absorb heat from the LED light engine, to keep it cool and to allow it to operate at full brightness.
- TI OMAP4 open multimedia applications processors
- the projector 200 may be an RGB projector.
- the projector 200 may include a housing 202 , a heatsink 204 and an RGB LED engine or module 206 .
- the RGB LED engine 206 may include LEDs, dichroics, concentrators, and the like.
- a digital signal processor (DSP) (not shown) may convert the images or video stream into control signals, such as voltage drops/current modifications, pulse width modulation (PWM) signals, and the like to control the intensity, duration, and mixing of the LED light.
- PWM pulse width modulation
- the DSP may control the duty cycle of each PWM signal to control the average current flowing through each LED generating a plurality of colors.
- a still image co-processor of the eyepiece may employ noise-filtering, image/video stabilization, and face detection, and be able to make image enhancements.
- An audio back-end processor of the eyepiece may employ buffering, SRC, equalization and the like.
- the projector 200 may include an optical display 210 , such as an LCoS display, and a number of components as shown.
- the projector 200 may be designed with a single panel LCoS display 210 ; however, a three panel display may be possible as well.
- the display 210 is illuminated with red, blue, and green sequentially (aka field sequential color).
- the projector 200 may make use of alternative optical display technologies, such as a back-lit liquid crystal display (LCD), a front-lit LCD, a transflective LCD, an organic light emitting diode (OLED), a field emission display (FED), a ferroelectric LCoS (FLCoS), liquid crystal technologies mounted on Sapphire, transparent liquid-crystal micro-displays, quantum-dot displays, and the like.
- LCD liquid crystal display
- front-lit LCD a front-lit LCD
- a transflective LCD an organic light emitting diode
- OLED organic light emitting diode
- FED field emission display
- FLCoS ferroelectric LCoS
- the eyepiece may be powered by any power supply, such as battery power, solar power, line power, and the like.
- the power may be integrated in the frame 102 or disposed external to the eyepiece 100 and in electrical communication with the powered elements of the eyepiece 100 .
- a solar energy collector may be placed on the frame 102 , on a belt clip, and the like.
- Battery charging may occur using a wall charger, car charger, on a belt clip, in an eyepiece case, and the like.
- the projector 200 may include the LED light engine 206 , which may be mounted on heat sink 204 and holder 208 , for ensuring vibration-free mounting for the LED light engine, hollow tapered light tunnel 220 , diffuser 212 and condenser lens 214 .
- Hollow tunnel 220 helps to homogenize the rapidly-varying light from the RGB LED light engine.
- hollow light tunnel 220 includes a silvered coating.
- the diffuser lens 212 further homogenizes and mixes the light before the light is led to the condenser lens 214 .
- the light leaves the condenser lens 214 and then enters the polarizing beam splitter (PBS) 218 .
- PBS polarizing beam splitter
- the LED light is propagated and split into polarization components before it is refracted to a field lens 216 and the LCoS display 210 .
- the LCoS display provides the image for the microprojector.
- the image is then reflected from the LCoS display and back through the polarizing beam splitter, and then reflected ninety degrees.
- the image leaves microprojector 200 in about the middle of the microprojector.
- the light then is led to the coupling lens 504 , described below.
- FIG. 2 depicts an embodiment of the projector assembly along with other supporting figures as described herein, but one skilled in the art will appreciate that other configurations and optical technologies may be employed.
- transparent structures such as with substrates of Sapphire, may be utilized to implement the optical path of the projector system rather than with reflective optics, thus potentially altering and/or eliminating optical components, such as the beam splitter, redirecting mirror, and the like.
- the system may have a backlit system, where the LED RGB triplet may be the light source directed to pass light through the display. As a result the back light and the display may be mounted either adjacent to the wave guide, or there may be collumnizing/directing optics after the display to get the light to properly enter the optic.
- the display may be mounted on the top, the side, and the like, of the waveguide.
- a small transparent display may be implemented with a silicon active backplane on a transparent substrate (e.g. sapphire), transparent electrodes controlled by the silicon active backplane, a liquid crystal material, a polarizer, and the like.
- the function of the polarizer may be to correct for depolarization of light passing through the system to improve the contrast of the display.
- the system may utilize a spatial light modulator that imposes some form of spatially-varying modulation on the light path, such as a micro-channel spatial light modulator where a membrane-mirror light shutters based on micro-electromechanical systems (MEMS).
- MEMS micro-electromechanical systems
- the system may also utilize other optical components, such as a tunable optical filter (e.g. with a deformable membrane actuator), a high angular deflection micro-mirror system, a discrete phase optical element, and the like.
- the eyepiece may utilize OLED displays, quantum-dot displays, and the like, that provide higher power efficiency, brighter displays, less costly components, and the like.
- display technologies such as OLED and quantum-dot displays may allow for flexible displays, and so allowing greater packaging efficiency that may reduce the overall size of the eyepiece.
- OLED and quantum-dot display materials may be printed through stamping techniques onto plastic substrates, thus creating a flexible display component.
- the OLED (organic LED) display may be a flexible, low-power display that does not require backlighting. It can be curved, as in standard eyeglass lenses.
- the OLED display may be or provide for a transparent display.
- the eyepiece may utilize a planar illumination facility 8208 in association with a reflective display 8210 , where light source(s) 8202 are coupled 8204 with an edge of the planar illumination facility 8208 , and where the planar side of the planar illumination facility 8208 illuminates the reflective display 8210 that provides imaging of content to be presented to the eye 8222 of the wearer through transfer optics 8212 .
- the reflective display 8210 may be an LCD, an LCD on silicon (LCoS), cholesteric liquid crystal, guest-host liquid crystal, polymer dispersed liquid crystal, phase retardation liquid crystal, and the like, or other liquid crystal technology know in the art.
- the reflective display 8210 may be a bi-stable display, such as electrophoretic, electrofluidic, electrowetting, electrokinetic, cholesteric liquid crystal, and the like, or any other bi-stable display known to the art.
- the reflective display 8210 may also be a combination of an LCD technology and a bi-stable display technology.
- the coupling 8204 between a light source 8202 and the ‘edge’ of the planar illumination facility 8208 may be made through other surfaces of the planar illumination facility 8208 and then directed into the plane of the planar illumination facility 8208 , such as initially through the top surface, bottom surface, an angled surface, and the like. For example, light may enter the planar illumination facility from the top surface, but into a 45° facet such that the light is bent into the direction of the plane. In an alternate embodiment, this bending of direction of the light may be implemented with optical coatings.
- the light source 8202 may be an RGB LED source (e.g. an LED array) coupled 8204 directly to the edge of the planar illumination facility.
- the light entering the edge of the planar illumination facility may then be directed to the reflective display for imaging, such as described herein.
- Light may enter the reflective display to be imaged, and then redirected back through the planar illumination facility, such as with a reflecting surface at the backside of the reflective display.
- Light may then enter the transfer optics 8212 for directing the image to the eye 8222 of the wearer, such as through a lens 8214 , reflected by a beam splitter 8218 to a reflective surface 8220 , back through the beam splitter 8218 , and the like, to the eye 8222 .
- the transfer optics 8212 have been described in terms of the 8214 , 8218 , and 8220 , it will be appreciated by one skilled in the art that the transfer optics 8212 may include any transfer optics configuration known, including more complex or simpler configurations than describe herein. For instance, with a different focal length in the field lens 8214 , the beam splitter 8218 could bend the image directly towards the eye, thus eliminating the curved mirror 8220 , and achieving a simpler design implementation.
- the light source 8202 may be an LED light source, a laser light source, a white light source, and the like, or any other light source known in the art.
- the light coupling mechanism 8204 may be direct coupling between the light source 8202 and the planar illumination facility 8208 , or through coupling medium or mechanism, such as a waveguide, fiber optic, light pipe, lens, and the like.
- the planar illumination facility 8208 may receive and redirect the light to a planar side of its structure through an interference grating, optical imperfections, scattering features, reflective surfaces, refractive elements, and the like.
- the planar illumination facility 8208 may be a cover glass over the reflective display 8210 , such as to reduce the combined thickness of the reflective display 8210 and the planar illumination facility 8208 .
- the planar illumination facility 8208 may further include a diffuser located on the side nearest the transfer optics 8212 , to expand the cone angle of the image light as it passes through the planar illumination facility 8208 to the transfer optics 8212 .
- the transfer optics 8212 may include a plurality of optical elements, such as lenses, mirrors, beam splitters, and the like, or any other optical transfer element known to the art.
- FIG. 83 presents an embodiment of an optical system 8302 for the eyepiece 8300 , where a planar illumination facility 8310 and reflective display 8308 mounted on substrate 8304 are shown interfacing through transfer optics 8212 including an initial diverging lens 8312 , a beam splitter 8314 , and a spherical mirror 8318 , which present the image to the eyebox 8320 where the wearer's eye receives the image.
- the flat beam splitter 8314 may be a wire-grid polarizer, a metal partially transmitting mirror coating, and the like
- the spherical reflector 8318 may be a series of dielectric coatings to give a partial mirror on the surface.
- the coating on the spherical mirror 8318 may be a thin metal coating to provide a partially transmitting mirror.
- FIG. 84 shows a planar illumination facility 8408 as part of a ferroelectric light-wave circuit (FLC) 8404 , including a configuration that utilizes laser light sources 8402 coupling to the planar illumination facility 8408 through a waveguide wavelength converter 8420 8422 , where the planar illumination facility 8408 utilizes a grating technology to present the incoming light from the edge of the planar illumination facility to the planar surface facing the reflective display 8410 . The image light from the reflective display 8410 is then redirected back though the planar illumination facility 8408 though a hole 8412 in the supporting structure 8414 to the transfer optics.
- FLC ferroelectric light-wave circuit
- the FLC also utilizes optical feedback to reduce speckle from the lasers, by broadening the laser spectrum as described in U.S. Pat. No. 7,265,896.
- the laser source 8402 is an IR laser source, where the FLC combines the beams to RGB, with back reflection that causes the laser light to hop and produce a broadened bandwidth to provide the speckle suppression.
- the speckle suppression occurs in the wave-guides 8420 .
- the laser light from laser sources 8402 is coupled to the planar illumination facility 8408 through a multi-mode interference combiner (MMI) 8422 .
- MMI multi-mode interference combiner
- Each laser source port is positioned such that the light traversing the MMI combiner superimposes on one output port to the planar illumination facility 8408 .
- the grating of the planar illumination facility 8408 produces uniform illumination for the reflective display.
- the grating elements may use a very fine pitch (e.g. interferometric) to produce the illumination to the reflective display, which is reflected back with very low scatter off the grating as the light passes through the planar illumination facility to the transfer optics. That is, light comes out aligned such that the grating is nearly fully transparent.
- the optical feedback utilized in this embodiment is due to the use of laser light sources, and when LEDs are utilized, speckle suppression may not be required because the LEDs are already broadband enough.
- FIG. 85 In an embodiment of an optics system utilizing a planar illumination facility 8502 that includes a configuration with optical imperfections, in this case a ‘grooved’ configuration, is shown in FIG. 85 .
- the light source(s) 8202 are coupled 8204 directly to the edge of the planar illumination facility 8502 .
- Light then travels through the planar illumination facility 8502 and encounters small grooves 8504 A-D in the planar illumination facility material, such as grooves in a piece of Poly-methyl methacrylate (PMMA).
- the grooves 8504 A-D may vary in spacing as they progress away from the input port (e.g. less ‘aggressive’ as they progress from 8504 A to 8504 D), vary in heights, vary in pitch, and the like.
- the light is then redirected by the grooves 8504 A-D to the reflective display 8210 as an incoherent array of light sources, producing fans of rays traveling to the reflective display 8210 , where the reflective display 8210 is far enough away from the grooves 8504 A-D to produce illumination patterns from each groove that overlap to provide uniform illumination of the area of the reflective display 8210 .
- there may be an optimum spacing for the grooves where the number of grooves per pixel on the reflective display 8210 may be increased to make the light more incoherent (more fill), but where in turn this produces lower contrast in the image provided to the wearer with more grooves to interfere within the provided image. While this embodiment has been discussed with respect to grooves, other optical imperfections, such as dots, are also possible.
- counter ridges 8604 may be applied into the grooves of the planar illumination facility, such as in a ‘snap-on’ ridge assembly 8602 .
- the counter ridges 8604 are positioned in the grooves 8504 A-D such that there is an air gap between the groove sidewalls and the counter ridge sidewalls. This air gap provides a defined change in refractive index as perceived by the light as it travels through the planar illumination facility that promotes a reflection of the light at the groove sidewall.
- the application of counter ridges 8604 reduces aberrations and deflections of the image light caused by the grooves.
- image light reflected from reflective display 8210 is refracted by the groove sidewall and as such it changes direction because of Snell's law.
- the refraction of the image light is compensated for and the image light is redirected toward the transfer optics 8214 .
- the planar illumination facility 8702 may be a laminate structure created out of a plurality of laminating layers 8704 wherein the laminating layers 8704 have alternating different refractive indices.
- the planar illumination facility 8702 may be cut across two diagonal planes 8708 of the laminated sheet. In this way, the grooved structure shown in FIGS. 85 and 86 is replaced with the laminate structure 8702 .
- the laminating sheet may be made of similar materials (PMMA 1 versus PMMA 2 —where the difference is in the molecular weight of the PMMA). As long as the layers are fairly thick, there may be no interference effects, and act as a clear sheet of plastic. In the configuration shown, the diagonal laminations will redirect a small percentage of light source 8202 to the reflective display, where the pitch of the lamination is selected to minimize aberration.
- FIG. 88 shows a planar illumination facility 8802 utilizing a ‘wedge’ configuration.
- the light source(s) are coupled 8204 directly to the edge of the planar illumination facility 8802 .
- Light then travels through the planar illumination facility 8802 and encounters the slanted surface of the first wedge 8804 , where the light is redirected to the reflective display 8210 , and then back to the illumination facility 8802 and through both the first wedge 8804 and the second wedge 8812 and on to the transfer optics.
- multi-layer coatings 8808 8810 may be applied to the wedges to improve transfer properties.
- the wedge may be made from PMMA, with dimensions of 1 ⁇ 2 mm high-10 mm width, and spanning the entire reflective display, have 1 to 1.5 degrees angle, and the like.
- the light may go through multiple reflections within the wedge 8804 before passing through the wedge 8804 to illuminate the reflective display 8210 .
- the wedge 8804 is coated with a highly reflecting coating 8808 and 8810 , the ray may make many reflections inside wedge 8804 before turning around and coming back out to the light source 8202 again.
- multi-layer coatings 8808 and 8810 on the wedge 8804 such as with SiO2, Niobium Pentoxide, and the like, light may be directed to illuminate the reflective display 8210 .
- the coatings 8808 and 8810 may be designed to reflect light at a specified wavelength over a wide range of angles, but transmit light within a certain range of angles (e.g. theta out angles). In embodiments, the design may allow the light to reflect within the wedge until it reaches a transmission window for presentation to the reflective display 8210 , where the coating is then configured to enable transmission.
- the angle of the wedge directs light from an LED lighting system to uniformly irradiate a reflective image display to produce an image that is reflected through the illumination system.
- the image provided to the wearer's eye has uniform brightness as determined by the image content in the image.
- the see-through optics system including a planar illumination facility 8208 and reflective display 8210 as described herein may be applied to any head-worn device known to the art, such as including the eyepiece as described herein, but also to helmets (e.g. military helmets, pilot helmets, bike helmets, motorcycle helmets, deep sea helmets, space helmets, and the like) ski goggles, eyewear, water diving masks, dusk masks, respirators, Hazuiat head gear, virtual reality headgear, simulation devices, and the like.
- helmets e.g. military helmets, pilot helmets, bike helmets, motorcycle helmets, deep sea helmets, space helmets, and the like
- goggles e.g. military helmets, pilot helmets, bike helmets, motorcycle helmets, deep sea helmets, space helmets, and the like
- eyewear e.g. military helmets, pilot helmets, bike helmets, motorcycle helmets, deep sea helmets, space helmets, and the like
- goggles e.g. military
- the optics system and protective covering associated with the head-worn device may incorporate the optics system in a plurality of ways, including inserting the optics system into the head-worn device in addition to optics and covering traditionally associated with the head-worn device.
- the optics system may be included in a ski goggle as a separate unit, providing the user with projected content, but where the optics system doesn't replace any component of the ski goggle, such as the see-through covering of the ski goggle (e.g. the clear or colored plastic covering that is exposed to the outside environment, keeping the wind and snow from the user's eyes).
- the optics system may replace, at least in part, certain optics traditionally associated with the head-worn gear.
- certain optical elements of the transfer optics 8212 may replace the outer lens of an eyewear application.
- a beam splitter, lens, or mirror of the transfer optics 8212 could replace the front lens for an eyewear application (e.g. sunglasses), thus eliminating the need for the front lens of the glasses, such as if the curved reflection mirror 8220 is extended to cover the glasses, eliminating the need for the cover lens.
- the see-through optics system including a planar illumination facility 8208 and reflective display 8210 may be located in the head-worn gear so as to be unobtrusive to the function and aesthetic of the head-worn gear.
- the optics system may be located in proximity with an upper portion of the lens, such as in the upper portion of the frame.
- a planar illumination facility may provide light in a plurality of colors including Red-Green-Blue (RGB) light and/or white light.
- the light from the illumination module may be directed to a 3LCD system, a Digital Light Processing (DLP®) system, a Liquid Crystal on Silicon (LCoS) system, or other micro-display or micro-projection systems.
- the illumination module may use wavelength combining and nonlinear frequency conversion with nonlinear feedback to the source to provide a source of high-brightness, long-life, speckle-reduced or speckle-free light.
- Various embodiments of the invention may provide light in a plurality of colors including Red-Green-Blue (RGB) light and/or white light.
- the light from the illumination module may be directed to a 3LCD system, a Digital Light Processing (DLP) system, a Liquid Crystal on Silicon (LCoS) system, or other micro-display or micro-projection systems.
- the illumination modules described herein may be used in the optical assembly for the eyepiece 100 .
- One embodiment of the invention includes a system comprising a laser, LED or other light source configured to produce an optical beam at a first wavelength, a planar lightwave circuit coupled to the laser and configured to guide the optical beam, and a waveguide optical frequency converter coupled to the planar lightwave circuit, and configured to receive the optical beam at the first wavelength, convert the optical beam at the first wavelength into an output optical beam at a second wavelength.
- the system may provide optically coupled feedback which is nonlinearly dependent on the power of the optical beam at the first wavelength to the laser.
- Another embodiment of the invention includes a system comprising a substrate, a light source, such as a laser diode array or one or more LEDs disposed on the substrate and configured to emit a plurality of optical beams at a first wavelength, a planar lightwave circuit disposed on the substrate and coupled to the light source, and configured to combine the plurality of optical beams and produce a combined optical beam at the first wavelength, and a nonlinear optical element disposed on the substrate and coupled to the planar lightwave circuit, and configured to convert the combined optical beam at the first wavelength into an optical beam at a second wavelength using nonlinear frequency conversion.
- the system may provide optically coupled feedback which is nonlinearly dependent on a power of the combined optical beam at the first wavelength to the laser diode array.
- Another embodiment of the invention includes a system comprising a light source, such as a semiconductor laser array or one or more LEDs configured to produce a plurality of optical beams at a first wavelength, an arrayed waveguide grating coupled to the light source and configured to combine the plurality of optical beams and output a combined optical beam at the first wavelength, a quasi-phase matching wavelength-converting waveguide coupled to the arrayed waveguide grating and configured to use second harmonic generation to produce an output optical beam at a second wavelength based on the combined optical beam at the first wavelength.
- a light source such as a semiconductor laser array or one or more LEDs configured to produce a plurality of optical beams at a first wavelength
- an arrayed waveguide grating coupled to the light source and configured to combine the plurality of optical beams and output a combined optical beam at the first wavelength
- a quasi-phase matching wavelength-converting waveguide coupled to the arrayed waveguide grating and configured to use second harmonic generation to produce an output optical beam at a second wavelength based on the
- Nonlinear Feedback may reduce the sensitivity of the output power from the wavelength conversion device to variations in the nonlinear coefficients of the device because the feedback power increases if a nonlinear coefficient decreases.
- the increased feedback tends to increase the power supplied to the wavelength conversion device, thus mitigating the effect of the reduced nonlinear coefficient.
- a processor 10902 may provide display sequential frames 10924 for image display through a display component 10928 (e.g. an LCoS display component) of the eyepiece 100 .
- the sequential frames 10924 may be produced with or without a display driver 10912 as an intermediate component between the processor 10902 and the display component 10928 .
- the processor 10902 may include a frame buffer 10904 and a display interface 10908 (e.g. a mobile industry processor interface (MIPI), with a display serial interface (DSI)).
- MIPI mobile industry processor interface
- DSI display serial interface
- the display interface 10908 may provide per-pixel RGB data 10910 to the display driver 10912 as an intermediate component between the processor 10902 and the display component 10928 , where the display driver 10912 accepts the per-pixel RGB data 10910 and generates individual full frame display data for red 10918 , green 10920 , and blue 10922 , thus providing the display sequential frames 10924 to the display component 10928 .
- the display driver 10912 may provide timing signals, such as to synchronize the delivery of the full frames 10918 10920 10922 as display sequential frames 10924 to the display component 10928 .
- the display interface 10930 may be configured to eliminate the display driver 10912 by providing full frame display data for red 10934 , green 10938 , and blue 10940 directly to the display component 10928 as display sequential frames 10924 .
- timing signals 10932 may be provided directly from the display interface 10930 to the display components. This configuration may provide significantly lower power consumption by removing the need for a display driver. Not only may this direct panel information remove the need for a driver, but also may simplify the overall logic of the configuration, and remove redundant memory required to reform panel information from pixels, to generate pixel information from frame, and the like.
- FIG. 89 is a block diagram of an illumination module, according to an embodiment of the invention.
- Illumination module 8900 comprises an optical source, a combiner, and an optical frequency converter, according to an embodiment of the invention.
- An optical source 8902 , 8904 emits optical radiation 8910 , 8914 toward an input port 8922 , 8924 of a combiner 8906 .
- Combiner 8906 has a combiner output port 8926 , which emits combined radiation 8918 .
- Combined radiation 8918 is received by an optical frequency converter 8908 , which provides output optical radiation 8928 .
- Optical frequency converter 8908 may also provide feedback radiation 8920 to combiner output port 8926 .
- Combiner 8906 splits feedback radiation 8920 to provide source feedback radiation 8912 emitted from input port 8922 and source feedback radiation 8916 emitted from input port 8924 .
- Source feedback radiation 8912 is received by optical source 8902
- source feedback radiation 8916 is received by optical source 8904 .
- Optical radiation 8910 and source feedback radiation 8912 between optical source 8902 and combiner 8906 may propagate in any combination of free space and/or guiding structure (e.g., an optical fiber or any other optical waveguide).
- Optical radiation 8914 , source feedback radiation 8916 , combined radiation 8918 and feedback radiation 8920 may also propagate in any combination of free space and/or guiding structure.
- Suitable optical sources 8902 and 8904 include one or more LEDs or any source of optical radiation having an emission wavelength that is influenced by optical feedback.
- sources include lasers, and may be semiconductor diode lasers.
- optical sources 8902 and 8904 may be elements of an array of semiconductor lasers. Sources other than lasers may also be employed (e.g., an optical frequency converter may be used as a source). Although two sources are shown on FIG. 89 , the invention may also be practiced with more than two sources.
- Combiner 8906 is shown in general terms as a three port device having ports 8922 , 8924 , and 8926 . Although ports 8922 and 8924 are referred to as input ports, and port 8926 is referred to as a combiner output port, these ports may be bidirectional and may both receive and emit optical radiation as indicated above.
- Combiner 8906 may include a wavelength dispersive element and optical elements to define the ports. Suitable wavelength dispersive elements include arrayed waveguide gratings, reflective diffraction gratings, transmissive diffraction gratings, holographic optical elements, assemblies of wavelength-selective filters, and photonic band-gap structures. Thus, combiner 8906 may be a wavelength combiner, where each of the input ports i has a corresponding, non-overlapping input port wavelength range for efficient coupling to the combiner output port.
- optical frequency converter 8908 Various optical processes may occur within optical frequency converter 8908 , including but not limited to harmonic generation, sum frequency generation (SFG), second harmonic generation (SHG), difference frequency generation, parametric generation, parametric amplification, parametric oscillation, three-wave mixing, four-wave mixing, stimulated Raman scattering, stimulated Brillouin scattering, stimulated emission, acousto-optic frequency shifting and/or electro-optic frequency shifting.
- optical frequency converter 8908 accepts optical inputs at an input set of optical wavelengths and provides an optical output at an output set of optical wavelengths, where the output set differs from the input set.
- Optical frequency converter 8908 may include nonlinear optical materials such as lithium niobate, lithium tantalate, potassium titanyl phosphate, potassium niobate, quartz, silica, silicon oxynitride, gallium arsenide, lithium borate, and/or beta-barium borate.
- Optical interactions in optical frequency converter 8908 may occur in various structures including bulk structures, waveguides, quantum well structures, quantum wire structures, quantum dot structures, photonic bandgap structures, and/or multi-component waveguide structures.
- this nonlinear optical process is preferably phase-matched.
- phase-matching may be birefringent phase-matching or quasi-phase-matching.
- Quasi-phase matching may include methods disclosed in U.S. Pat. No. 7,116,468 to Miller, the disclosure of which is hereby incorporated by reference.
- Optical frequency converter 8908 may also include various elements to improve its operation, such as a wavelength selective reflector for wavelength selective output coupling, a wavelength selective reflector for wavelength selective resonance, and/or a wavelength selective loss element for controlling the spectral response of the converter.
- multiple illumination modules as described in FIG. 89 may be associated to form a compound illumination module.
- FIG. 90 is a block diagram of an optical frequency converter, according to an embodiment of the invention.
- FIG. 90 illustrates how feedback radiation 8920 is provided by an exemplary optical frequency converter 8908 which provides parametric frequency conversion.
- Combined radiation 8918 provides forward radiation 9002 within optical frequency converter 8908 that propagates to the right on FIG. 90
- parametric radiation 9004 also propagating to the right on FIG. 90
- there is a net power transfer from forward radiation 9002 to parametric radiation 9004 as the interaction proceeds i.e., as the radiation propagates to the right in this example).
- a reflector 9008 which may have wavelength-dependent transmittance, is disposed in optical frequency converter 8908 to reflect (or partially reflect) forward radiation 9002 to provide backward radiation 9006 or may be disposed externally to optical frequency converter 8908 after endface 9010 .
- Reflector 9008 may be a grating, an internal interface, a coated or uncoated endface, or any combination thereof. The preferred level of reflectivity for reflector 9008 is greater than 90%.
- a reflector located at an input interface 9012 provides purely linear feedback (i.e., feedback that does not depend on the process efficiency).
- a reflector located at an endface 9010 provides a maximum degree of nonlinear feedback, since the dependence of forward power on process efficiency is maximized at the output interface (assuming a phase-matched parametric interaction).
- FIG. 91 is a block diagram of a laser illumination module, according to an embodiment of the invention. While lasers are used in this embodiment, it is understood that other light sources, such as LEDs, may also be used.
- Laser illumination module 9100 comprises an array of diode lasers 9102 , waveguides 9104 and 9106 , star couplers 9108 and 9110 and optical frequency converter 9114 .
- An array of diode lasers 9102 has lasing elements coupled to waveguides 9104 acting as input ports (such as ports 8922 and 8924 on FIG. 89 ) to a planar waveguide star coupler 9108 .
- Star coupler 9108 is coupled to another planar waveguide star coupler 9110 by waveguides 9106 which have different lengths.
- the combination of star couplers 9108 and 9110 with waveguides 9106 may be an arrayed waveguide grating, and acts as a wavelength combiner (e.g., combiner 8906 on FIG. 89 ) providing combined radiation 8918 to waveguide 9112 .
- Waveguide 9112 provides combined radiation 8918 to optical frequency converter 9114 .
- an optional reflector 9116 provides a back reflection of combined radiation 8918 . As indicated above in connection with FIG. 90 , this back reflection provides nonlinear feedback according to embodiments of the invention.
- One or more of the elements described with reference to FIG. 91 may be fabricated on a common substrate using planar coating methods and/or lithography methods to reduce cost, parts count and alignment requirements.
- a second waveguide may be disposed such that its core is in close proximity with the core of the waveguide in optical frequency converter 8908 .
- this arrangement of waveguides functions as a directional coupler, such that radiation in waveguide may provide additional radiation in optical frequency converter 8908 .
- Significant coupling may be avoided by providing radiation at wavelengths other than the wavelengths of forward radiation 9002 or additional radiation may be coupled into optical frequency converter 8908 at a location where forward radiation 9002 is depleted.
- traveling wave feedback configurations may also be used.
- the feedback re-enters the gain medium at a location different from the location at which the input power is emitted from.
- FIG. 92 is a block diagram of a compound laser illumination module, according to another embodiment of the invention.
- Compound laser illumination module 9200 comprises one or more laser illumination modules 9100 described with reference to FIG. 91 .
- FIG. 92 illustrates compound laser illumination module 9200 including three laser illumination modules 9100 for simplicity, compound laser illumination module 9200 may include more or fewer laser illumination modules 9100 .
- An array of diode lasers 9210 may include one or more arrays of diode lasers 9102 which may be an array of laser diodes, a diode laser array, and/or a semiconductor laser array configured to emit optical radiation within the infrared spectrum, i.e., with a wavelength shorter than radio waves and longer than visible light.
- Laser array output waveguides 9220 couple to the diode lasers in the array of diode lasers 9210 and directs the outputs of the array of diode lasers 9210 to star couplers 9108 A-C.
- the laser array output waveguides 9220 , the arrayed waveguide gratings 9230 , and the optical frequency converters 9114 A-C may be fabricated on a single substrate using a planar lightwave circuit, and may comprise silicon oxynitride waveguides and/or lithium tantalate waveguides.
- Arrayed waveguide gratings 9230 comprise the star couplers 9108 A-C, waveguides 9106 A-C, and star couplers 9110 A-C.
- Waveguides 9112 A-C provide combined radiation to optical frequency converters 9114 A-C and feedback radiation to star couplers 9110 A-C, respectively.
- Optical frequency converters 9114 A-C may comprise nonlinear optical (NLO) elements, for example optical parametric oscillator elements and/or quasi-phase matched optical elements.
- NLO nonlinear optical
- Compound laser illumination module 9200 may produce output optical radiation at a plurality of wavelengths.
- the plurality of wavelengths may be within a visible spectrum, i.e., with a wavelength shorter than infrared and longer than ultraviolet light.
- waveguide 9240 A may similarly provide output optical radiation between about 450 nm and about 470 nm
- waveguide 9240 B may provide output optical radiation between about 525 nm and about 545 nm
- waveguide 9240 C may provide output optical radiation between about 615 nm and about 660 nm.
- These ranges of output optical radiation may again be selected to provide visible wavelengths (for example, blue, green and red wavelengths, respectively) that are pleasing to a human viewer, and may again be combined to produce a white light output.
- the waveguides 9240 A-C may be fabricated on the same planar lightwave circuit as the laser array output waveguides 9220 , the arrayed waveguide gratings 9230 , and the optical frequency converters 9114 A-C.
- the output optical radiation provided by each of the waveguides 9240 A-C may provide an optical power in a range between approximately 1 watts and approximately 20 watts.
- the optical frequency converter 9114 may comprise a quasi-phase matching wavelength-converting waveguide configured to perform second harmonic generation (SHG) on the combined radiation at a first wavelength, and generate radiation at a second wavelength.
- a quasi-phase matching wavelength-converting waveguide may be configured to use the radiation at the second wavelength to pump an optical parametric oscillator integrated into the quasi-phase matching wavelength-converting waveguide to produce radiation at a third wavelength, the third wavelength optionally different from the second wavelength.
- the quasi-phase matching wavelength-converting waveguide may also produce feedback radiation propagated via waveguide 9112 through the arrayed waveguide grating 9230 to the array of diode lasers 9210 , thereby enabling each laser disposed within the array of diode lasers 9210 to operate at a distinct wavelength determined by a corresponding port on the arrayed waveguide grating.
- compound laser illumination module 9200 may be configured using an array of diode lasers 9210 nominally operating at a wavelength of approximately 830 nm to generate output optical radiation in a visible spectrum corresponding to any of the colors red, green, or blue.
- Compound laser illumination module 9200 may be optionally configured to directly illuminate spatial light modulators without intervening optics.
- compound laser illumination module 9200 may be configured using an array of diode lasers 9210 nominally operating at a single first wavelength to simultaneously produce output optical radiation at multiple second wavelengths, such as wavelengths corresponding to the colors red, green, and blue. Each different second wavelength may be produced by an instance of laser illumination module 9100 .
- the compound laser illumination module 9200 may be configured to produce diffraction-limited white light by combining output optical radiation at multiple second wavelengths into a single waveguide using, for example, waveguide-selective taps (not shown).
- the array of diode lasers 9210 , laser array output waveguides 9220 , arrayed waveguide gratings 9230 , waveguides 9112 , optical frequency converters 9114 , and frequency converter output waveguides 9240 may be fabricated on a common substrate using fabrication processes such as coating and lithography.
- the beam shaping element 9250 is coupled to the compound laser illumination module 9200 by waveguides 9240 A-C, described with reference to FIG. 92 .
- Beam shaping element 9250 may be disposed on a same substrate as the compound laser illumination module 9200 .
- the substrate may, for example, comprise a thermally conductive material, a semiconductor material, or a ceramic material.
- the substrate may comprise copper-tungsten, silicon, gallium arsenide, lithium tantalate, silicon oxynitride, and/or gallium nitride, and may be processed using semiconductor manufacturing processes including coating, lithography, etching, deposition, and implantation.
- Some of the described elements such as the array of diode lasers 9210 , laser array output waveguides 9220 , arrayed waveguide gratings 9230 , waveguides 9112 , optical frequency converters 9114 , waveguides 9240 , beam shaping element 9250 , and various related planar lightwave circuits may be passively coupled and/or aligned, and in some embodiments, passively aligned by height on a common substrate.
- Each of the waveguides 9240 A-C may couple to a different instance of beam shaping element 9250 , rather than to a single element as shown.
- Beam shaping element 9250 may be configured to shape the output optical radiation from waveguides 9240 A-C into an approximately rectangular diffraction-limited optical beam, and may further configure the output optical radiation from waveguides 9240 A-C to have a brightness uniformity greater than approximately 95% across the approximately rectangular beam shape.
- the beam shaping element 9250 may comprise an aspheric lens, such as a “top-hat” microlens, a holographic element, or an optical grating.
- the diffraction-limited optical beam output by the beam shaping element 9250 produces substantially reduced or no speckle.
- the optical beam output by the beam shaping element 9250 may provide an optical power in a range between approximately 1 watt and approximately 20 watts, and a substantially flat phase front.
- FIG. 93 is a block diagram of an imaging system, according to an embodiment of the invention.
- Imaging system 9300 comprises light engine 9310 , optical beams 9320 , spatial light modulator 9330 , modulated optical beams 9340 , and projection lens 9350 .
- the light engine 9310 may be a compound optical illumination module, such as multiple illumination modules described in FIG. 89 , a compound laser illumination module 9200 , described with reference to FIG. 92 , or a laser illumination system 9300 , described with reference to FIG. 93 .
- Spatial light modulator 9330 may be a 3LCD system, a DLP system, a LCoS system, a transmissive liquid crystal display (e.g. transmissive LCoS), a liquid-crystal-on-silicon array, a grating-based light valve, or other micro-display or micro-projection system or reflective display.
- the spatial light modulator 9330 may be configured to spatially modulate the optical beam 9320 .
- the spatial light modulator 9330 may be coupled to electronic circuitry configured to cause the spatial light modulator 9330 to modulate a video image, such as may be displayed by a television or a computer monitor, onto the optical beam 9320 to produce a modulated optical beam 9340 .
- modulated optical beam 9340 may be output from the spatial light modulator on a same side as the spatial light modulator receives the optical beam 9320 , using optical principles of reflection.
- modulated optical beam 9340 may be output from the spatial light modulator on an opposite side as the spatial light modulator receives the optical beam 9320 , using optical principles of transmission.
- the modulated optical beam 9340 may optionally be coupled into a projection lens 9350 .
- the projection lens 9350 is typically configured to project the modulated optical beam 9340 onto a display, such as a video display screen.
- a method of illuminating a video display may be performed using a compound illumination module such as one comprising multiple illumination modules 8900 , a compound laser illumination module 9100 , a laser illumination system 9200 , or an imaging system 9300 .
- a diffraction-limited output optical beam is generated using a compound illumination module, compound laser illumination module 9100 , laser illumination system 9200 or light engine 9310 .
- the output optical beam is directed using a spatial light modulator, such as spatial light modulator 9330 , and optionally projection lens 9350 .
- the spatial light modulator may project an image onto a display, such as a video display screen.
- the illumination module may be configured to emit any number of wavelengths including one, two, three, four, five, six, or more, the wavelengths spaced apart by varying amounts, and having equal or unequal power levels.
- An illumination module may be configured to emit a single wavelength per optical beam, or multiple wavelengths per optical beam.
- An illumination module may also comprise additional components and functionality including polarization controller, polarization rotator, power supply, power circuitry such as power FETs, electronic control circuitry, thermal management system, heat pipe, and safety interlock.
- an illumination module may be coupled to an optical fiber or a lightguide, such as glass (e.g. BK7).
- LCoS front light design Some options include: 1) Wedge with MultiLayer Coating (MLC). This concept uses MLC to define specific reflected and transmitted angles; 2) Wedge with polarized beamsplitter coating. This concept works like a regular PBS Cube, but at a much shallower angle. This can be PBS coating or a wire grid film; 3) PBS Prism bars (these are similar to Option #2) but have a seam down the center of the panel; and 4) Wire Grid Polarizer plate beamsplitter (similar to the PBS wedge, but just a plate, so that it is mostly air instead of solid glass).
- MLC MultiLayer Coating
- FIG. 95 depicts an embodiment of an LCoS front light design.
- light from an RGB LED 9508 illuminates a front light 9504 , which can be a wedge, PBS, and the like.
- the light strikes a polarizer 9510 and is transmitted in its S state to an LCoS 9502 where it gets reflected as image light in its P state back through an asphere 9512 .
- An inline polarizer 9514 may polarize the image light again and/or cause a 1 ⁇ 2 wave rotation to the S state.
- the image light hits a wire grid polarizer 9520 and reflects to a curved (spherical) partial mirror 9524 , passing through a 1 ⁇ 2 wave retarder 9522 on its way.
- the image light reflects from the mirror to the user's eye 9518 , once more traversing the 1 ⁇ 2 wave retarder 9522 and wire grid polarizer 9520 .
- Various examples of the front light 9504 will now be described.
- the optical assembly includes a partially reflective, partially transmitting optical element that reflects respective portions of image light from the image source and transmits scene light from a see-through view of the surrounding environment, so that a combined image comprised of portions of the reflected image light and the transmitted scene light is provided to a user's eye.
- FIG. 96 depicts an embodiment of a front light 9504 comprising optically bonded prisms with a polarizer.
- the prisms appear as two rectangular solids with a substantially transparent interface 9602 between the two. Each rectangular is diagonally bisected and a polarizing coating 9604 is disposed along the interface of the bisection.
- the lower triangle formed by the bisected portion of the rectangular solid may optionally be made as a single piece 9608 .
- the prisms may be made from BK-7 or the equivalent.
- the rectangular solids have square ends that measure 2 mm by 2 mm.
- the length of the solids in this embodiment is 10 mm.
- the bisection comprises a 50% mirror 9704 surface and the interface between the two rectangular solids comprises a polarizer 9702 that may pass light in the P state.
- FIG. 98 depicts three versions of an LCoS front light design.
- FIG. 98A depicts a wedge with MultiLayer Coating (MLC). This concept uses MLC to define specific reflected and transmitted angles.
- image light of either P or S polarization state is observed by the user's eye.
- FIG. 98B depicts a PBS with a polarizer coating. Here, only S-polarized image light is transmitted to the user's eye.
- FIG. 98C depicts a right angle prism, eliminating much of the material of the prism enabling the image light to be transmitted through air as S-polarized light.
- FIG. 99 depicts a wedge plus PBS with a polarizing coating 9902 layered on an LCoS 9904 .
- FIG. 100 depicts two embodiments of prisms with light entering the short end (A) and light entering along the long end (B).
- a wedge is formed by offset bisecting a rectangular solid to form at least one 8.6 degree angle at the bisect interface.
- the offset bisection results in a segment that is 0.5 mm high and another that is 1.5 mm on the side through which the RGB LEDs 10002 are transmitting light.
- a polarizing coating 10004 is disposed.
- FIG. 100B a wedge is formed by offset bisecting a rectangular solid to form at least one 14.3 degree angle at the bisect interface.
- the offset bisection results in a segment that is 0.5 mm high and another that is 1.5 mm on the side through which the RGB LEDs 10008 are transmitting light.
- a polarizing coating 10010 is disposed.
- FIG. 101 depicts a curved PBS film 10104 illuminated by an RGB LED 10102 disposed over an LCoS chip 10108 .
- the PBS film 10104 reflects the RGB light from the LED array 10102 onto the LCOS chip's surface 10108 , but lets the light reflected from the imaging chip pass through unobstructed to the optical assembly and eventually to the user's eye.
- Films used in this system include Asahi Film, which is a Tri-Acetate Cellulose or cellulose acetate substrate (TAC).
- the film may have UV embossed corrugations at 100 nm and a calendared coating built up on ridges that can be angled for incidence angle of light.
- the Asahi film may come in rolls that are 20 cm wide by 30 m long and has BEF properties when used in LCD illumination.
- the Asahi film may support wavelengths from visible through IR and may be stable up to 100° C.
- FIGS. 21 and 22 depict an alternate arrangement of the waveguide and projector in exploded view.
- the projector is placed just behind the hinge of the arm of the eyepiece and it is vertically oriented such that the initial travel of the RGB LED signals is vertical until the direction is changed by a reflecting prism in order to enter the waveguide lens.
- the vertically arranged projection engine may have a PBS 218 at the center, the RGB LED array at the bottom, a hollow, tapered tunnel with thin film diffuser to mix the colors for collection in an optic, and a condenser lens.
- the PBS may have a pre-polarizer on an entrance face.
- the pre-polarizer may be aligned to transmit light of a certain polarization, such as p-polarized light and reflect (or absorb) light of the opposite polarization, such as s-polarized light.
- the polarized light may then pass through the PBS to the field lens 216 .
- the purpose of the field lens 216 may be to create near telecentric illumination of the LCoS panel.
- the LCoS display may be truly reflective, reflecting colors sequentially with correct timing so the image is displayed properly. Light may reflect from the LCoS panel and, for bright areas of the image, may be rotated to s-polarization. The light then may refract through the field lens 216 and may be reflected at the internal interface of the PBS and exit the projector, heading toward the coupling lens.
- the hollow, tapered tunnel 220 may replace the homogenizing lenslet from other embodiments.
- Eyeglow Light reflected or scattered from the image source or associated optics of the eyepiece may pass outward into the environment. These light losses are perceived by external viewers as ‘eyeglow’ or ‘night glow’ where portions of the lenses or the areas surrounding the eyepiece appear to be glowing when viewed in a dimly lit environment. In certain cases of eyeglow as shown in FIG. 22A , the displayed image can be seen as an observable image 2202 A in the display areas when viewed externally by external viewers. To maintain privacy of the viewing experience for the user both in terms of maintaining privacy of the images being viewed and in terms of making the user less noticeable when using the eyepiece in a dimly lit environment, it is preferable to reduce eyeglow.
- Methods and apparatus may reduce eyeglow through a light control element, such as with a partially reflective mirror in the optics associated with the image source, with polarizing optics, and the like.
- a light control element such as with a partially reflective mirror in the optics associated with the image source, with polarizing optics, and the like.
- light entering the waveguide may be polarized, such as s-polarized.
- the light control element may include a linear polarizer. Wherein the linear polarizer in the light control element is oriented relative to the linearly polarized image light so that the second portion of the linearly polarized image light that passes through the partially reflecting mirror is blocked and eyeglow is reduced.
- eyeglow may be minimized or eliminated by attaching lenses to the waveguide or frame, such as the snap-fit optics described herein, that are oppositely polarized from the light reflecting from the user's eye, such as p-polarized in this case.
- the light control element may include a second quarter wave film and a linear polarizer.
- the second quarter wave film converts a second portion of a circularly polarized image light into linearly polarized image light with a polarization state that is blocked by the linear polarizer in the light control element so that eyeglow is reduced.
- the light control element includes a linear polarizer and a quarter wave film
- incoming unpolarized scene light from the external environment in front of the user is converted to linearly polarized light while 50% of the light is blocked.
- the first portion of scene light that passes through the linear polarizer is linearly polarized light which is converted by the quarter wave film to circularly polarized light.
- FIG. 22B shows an example of a see-through display assembly with a light control element in a glasses frame.
- the glasses cross-section 2200 B shows the components of see-through display assembly in a glasses frame 2202 B.
- the light control element covers the entire see-through view seen by the user.
- Supporting members 2204 B and 2208 B are shown supporting the partially reflecting mirror 2210 B and the beam splitter layer 2212 B respectively in the field of view of the user's eye 2214 B.
- the supporting members 2204 B and 2208 B along with the light control element 2218 B are connected to the glasses frame 2202 B.
- the other components such as the folding mirror 2220 B and the first quarter wave film 2222 B are also connected to the supporting members 2204 B and 2208 B so that the combined assembly is structurally sound.
- an absorptive polarizer in the optical assembly is used to reduce stray light.
- the absorptive polarizer may include an anti-reflective coating.
- the absorptive polarizer may be disposed after a focusing lens of the optical assembly to reduce light passing through an optically flat film of the optical assembly.
- the light from the image source may be polarized to increase contrast.
- an anti-reflective coating in the optical assembly may be used to reduce stray light.
- the anti-reflective coating may be disposed on a polarizer of the optical assembly or a retarding film of the optical assembly.
- the retarding film may be a quarter wave film or a half wave film.
- the anti-reflective coating may be disposed on an outer surface of a partially reflecting mirror. The light from the image source may be polarized to increase contrast.
- an image source 10228 directs image light to a beam splitter layer of the optical assembly.
- FIG. 103 depicts a blow-up of the image source 10228 .
- the image source 10228 is shown containing a light source (LED Bar 10302 ) that directs light through a diffuser 10304 and prepolarizer 10308 to a curved wire grid polarizer 10310 where the light is reflected to an LCoS display 10312 .
- Image light from the LCoS is then reflected back through the curved wire grid polarizer 10310 and a half wave film 10312 to the beam splitter layer of the optical assembly 10200 .
- LEDs provide unpolarized light.
- the diffuser spreads and homogenizes the light from the LEDs.
- the absorptive prepolarizer converts the light to S polarization.
- the S polarized light is then reflected toward the LCOS by the curved wire grid polarizer.
- the LCOS reflects the S polarized light and converts it to P polarized light depending on local image content.
- the P polarized light passes through the curved wire grid polarizer becoming P polarized image light.
- the half wave film converts the P polarized image light to S polarized image light.
- the beam splitter layer 10204 is a polarizing beam splitter, or the image source provides polarized image light 10208 and the beam splitter layer 10204 is a polarizing beam splitter, so that the reflected image light 10208 is linearly polarized light, this embodiment and the associated polarization control is shown in FIG. 102 .
- the polarization state of the image light is aligned to the polarizing beam splitter so that the image light 10208 is reflected by the polarizing beam splitter.
- FIG. 102 shows the reflected image light as having S state polarization.
- a first quarter wave film 10210 is provided between the beam splitter layer 10204 and the partially reflecting mirror 10212 .
- the first quarter wave film 10210 converts the linearly polarized image light to circularly polarized image light (shown as S being converted to CR in FIG. 102 ).
- the reflected first portion of image light 10208 is then also circularly polarized where the circular polarization state is reversed (shown as CL in FIG. 102 ) so that after passing back through the quarter wave film, the polarization state of the reflected first portion of image light 10208 is reversed (to P polarization) compared to the polarization state of the image light 10208 provided by the image source (shown as S).
- the reflected first portion of the image light 10208 passes through the polarizing beam splitter without reflection losses.
- the beam splitter layer 10204 is a polarizing beam splitter and the see-through display assembly 10200 includes a first quarter wave film 10210
- the light control element 10230 is a second quarter wave film and a linear polarizer 10220 .
- the light control element 10230 includes a controllable darkening layer 10214 .
- the second quarter wave film 10218 converts the second portion of the circularly polarized image light 10208 into linearly polarized image light 10208 (shown as CR being converted to S) with a polarization state that is blocked by the linear polarizer 10220 in the light control element 10230 so that eyeglow is reduced.
- the light control element 10230 includes a linear polarizer 10220 and a quarter wave film 10218 , incoming unpolarized scene light 10222 from the external environment in front of the user is converted to linearly polarized light (shown as P polarization state in FIG. 102 ) while 50% of the light is blocked.
- the first portion of scene light 10222 that passes through the linear polarizer 10220 is linearly polarized light which is converted by the quarter wave film to circularly polarized light (shown as P being converted to CL in FIG. 102 ).
- the third portion of scene light that is reflected from the partially reflecting mirror 10212 has reversed circular polarization (shown as converting from CL to CR in FIG.
- the linear polarizer 10220 then blocks the reflected third portion of the scene light thereby reducing escaping light and reducing eyeglow.
- the reflected first portion of image light 10208 and the transmitted second portion of scene light have the same circular polarization state (shown as CL) so that they combine and are converted by the first quarter wave film 10210 into linearly polarized light (shown as P) which passes through the beam splitter when the beam splitter layer 10204 is a polarizing beam splitter.
- the linearly polarized combined light 10224 then provides a combined image to the user's eye 10202 located at the back of the see-through display assembly 10200 , where the combined image is comprised of overlaid portions of the displayed image from the image source and the see-through view of the external environment in front of the user.
- the beamsplitter layer 10204 includes an optically flat film, such as the Asahi TAC film discussed herein.
- the beamsplitter layer 10204 may be disposed at an angle in front of a user's eye so that it reflects and transmits respective portions of image light and transmits scene light from a see-through view of the surrounding environment, so that a combined image comprised of portions of the image light and the transmitted scene light is provided to a user's eye.
- the optically flat film may be a wire grid polarizer.
- the optically flat film may be laminated to a transparent substrate.
- the optically flat film may be molded into a surface of the eyepiece.
- the optically flat film may be positioned at less then 40 degrees from vertical.
- the components in FIG. 102 collectively form an electro-optic module.
- the angle of the optical axis associated with the display may be 10 degrees or more forward of vertical. This degree of tilt refers to how the upper part of the optics module leans forward. This allows the beamsplitter angle to be reduced which makes the optics module thinner.
- the ratio of the height of the curved polarizing film to the width of the reflective image display is less than 1:1.
- the curve on the polarizing film determines the width of the illuminated area on the reflective display, and the tilt of the curved area determines the positioning of the illuminated area on the reflective display.
- the curved polarizing film reflects illumination light of a first polarization state onto the reflective display, which changes the polarization of the illumination light and generates image light, and the curved polarizing film passes reflected image light.
- the curved polarizing film includes a portion that is parallel to the reflective display over the light source.
- the height of the image source may be at least 80% of the display active area width, at least 3.5 mm, or less than 4 mm.
- the angle of the curved wire grid polarizer controls the direction of the image light.
- the curve of the curved wire grid polarizer controls the width of the image light. The curve enables use of a narrow light source because it spreads the light when the light strikes it and then folds it/reflects it to uniformly illuminate an image display. Image light passing back through the wire grid polarizer is unperturbed. Thus, the curve also enables the miniaturization of the optical assembly.
- augmented reality eyepiece 2100 includes a frame 2102 and left and right earpieces or temple pieces 2104 .
- Protective lenses 2106 such as ballistic lenses, are mounted on the front of the frame 2102 to protect the eyes of the user or to correct the user's view of the surrounding environment if they are prescription lenses.
- the front portion of the frame may also be used to mount a camera or image sensor 2130 and one or more microphones 2132 .
- waveguides are mounted in the frame 2102 behind the protective lenses 2106 , one on each side of the center or adjustable nose bridge 2138 .
- the front cover 2106 may be interchangeable, so that tints or prescriptions may be changed readily for the particular user of the augmented reality device.
- each lens is quickly interchangeable, allowing for a different prescription for each eye.
- the lenses are quickly interchangeable with snap-fits as discussed elsewhere herein.
- Certain embodiments may only have a projector and waveguide combination on one side of the eyepiece while the other side may be filled with a regular lens, reading lens, prescription lens, or the like.
- the left and right ear pieces 2104 may each vertically mount a projector or microprojector 2114 or other image source atop a spring-loaded hinge 2128 for easier assembly and vibration/shock protection.
- Each temple piece also includes a temple housing 2116 for mounting associated electronics for the eyepiece, and each may also include an elastomeric head grip pad 2120 , for better retention on the user.
- Each temple piece also includes extending, wrap-around ear buds 2112 and an orifice 2126 for mounting a headstrap 2142 .
- the temple housing 2116 contains electronics associated with the augmented reality eyepiece.
- the electronics may include several circuit boards, as shown, such as for the microprocessor and radios 2122 , the communications system on a chip (SOC) 2124 , and the open multimedia applications processor (OMAP) processor board 2140 .
- the communications system on a chip (SOC) may include electronics for one or more communications capabilities, including a wide local area network (WLAN), BlueToothTM communications, frequency modulation (FM) radio, a global positioning system (GPS), a 3-axis accelerometer, one or more gyroscopes, and the like.
- the right temple piece may include an optical trackpad (not shown) on the outside of the temple piece for user control of the eyepiece and one or more applications.
- a digital signal processor may be programmed and/or configured to receive video feed information and configure the video feed to drive whatever type of image source is being used with the optical display.
- the DSP may include a bus or other communication mechanism for communicating information, and an internal processor coupled with the bus for processing the information.
- the DSP may include a memory, such as a random access memory (RAM) or other dynamic storage device (e.g., dynamic RAM (DRAM), static RAM (SRAM), and synchronous DRAM (SDRAM)), coupled to the bus for storing information and instructions to be executed.
- RAM random access memory
- DRAM dynamic RAM
- SRAM static RAM
- SDRAM synchronous DRAM
- the DSP can include a non-volatile memory such as for example a read only memory (ROM) or other static storage device (e.g., programmable ROM (PROM), erasable PROM (EPROM), and electrically erasable PROM (EEPROM)) coupled to the bus for storing static information and instructions for the internal processor.
- ROM read only memory
- PROM programmable ROM
- EPROM erasable PROM
- EEPROM electrically erasable PROM
- the DSP may include special purpose logic devices (e.g., application specific integrated circuits (ASICs)) or configurable logic devices (e.g., simple programmable logic devices (SPLDs), complex programmable logic devices (CPLDs), and field programmable gate arrays (FPGAs)).
- SPLDs simple programmable logic devices
- CPLDs complex programmable logic devices
- FPGAs field programmable gate arrays
- the DSP may include at least one computer readable medium or memory for holding instructions programmed and for containing data structures, tables, records, or other data necessary to drive the optical display.
- Examples of computer readable media suitable for applications of the present disclosure may be compact discs, hard disks, floppy disks, tape, magneto-optical disks, PROMs (EPROM, EEPROM, flash EPROM), DRAM, SRAM, SDRAM, or any other magnetic medium, compact discs (e.g., CD-ROM), or any other optical medium, punch cards, paper tape, or other physical medium with patterns of holes, a carrier wave (described below), or any other medium from which a computer can read.
- the DSP may also include a communication interface to provide a data communication coupling to a network link that can be connected to, for example, a local area network (LAN), or to another communications network such as the Internet. Wireless links may also be implemented.
- LAN local area network
- Wireless links may also be implemented.
- an appropriate communication interface can send and receive electrical, electromagnetic or optical signals that carry digital data streams representing various types of information (such as the video information) to the optical display.
- the eyepiece may provide an external interface to computer peripheral devices, such as a monitor, display, TV, keyboards, mice, memory storage (e.g. external hard drive, optical drive, solid state memory), network interface (e.g. to the Internet), and the like.
- computer peripheral devices such as a monitor, display, TV, keyboards, mice, memory storage (e.g. external hard drive, optical drive, solid state memory), network interface (e.g. to the Internet), and the like.
- the external interface may provide direct connectivity to external computer peripheral devices (e.g. connect directly to a monitor), indirect connectivity to external computer peripheral devices (e.g. through a central external peripheral interface device), through a wired connection, though a wireless connection, and the like.
- the eyepiece may be able to connect to a central external peripheral interface device that provides connectivity to external peripheral devices, where the external peripheral interface device may include computer interface facilities, such as a computer processor, memory, operating system, peripheral drivers and interfaces, USB port, external display interface, network port, speaker interface, microphone interface, and the like.
- the eyepiece may be connected to the central external peripheral interface by a wired connection, wireless connection, directly in a cradle, and the like, and when connected may provide the eyepiece with computational facilities similar to or identical to a personal computer.
- the frame 2102 is in a general shape of a pair of wrap-around sunglasses.
- the sides of the glasses include shape-memory alloy straps 2134 , such as nitinol straps.
- the nitinol or other shape-memory alloy straps are fitted for the user of the augmented reality eyepiece.
- the straps are tailored so that they assume their trained or preferred shape when worn by the user and warmed to near body temperature.
- the fit of the eyepiece may provide user eye width alignment techniques and measurements.
- the position and/or alignment of the projected display to the wearer of the eyepiece may be adjustable in position to accommodate the various eye widths of the different wearers.
- the positioning and/or alignment may be automatic, such as though detection of the position of the wearer's eyes through the optical system (e.g. iris or pupil detection), or manual, such as by the wearer, and the like.
- the earbuds are intended for connection to the controls of the augmented reality eyepiece for delivering sounds to ears of the user.
- the sounds may include inputs from the wireless internet or telecommunications capability of the augmented reality eyepiece.
- the earbuds also include soft, deformable plastic or foam portions, so that the inner ears of the user are protected in a manner similar to earplugs.
- the earbuds limit inputs to the user's ears to about 85 dB. This allows for normal hearing by the wearer, while providing protection from gunshot noise or other explosive noises and listening in high background noise environments.
- the controls of the noise-cancelling earbuds have an automatic gain control for very fast adjustment of the cancelling feature in protecting the wearer's ears.
- FIG. 23 depicts a layout of the vertically arranged projector 2114 in an eyepiece 2300 , where the illumination light passes from bottom to top through one side of the PBS on its way to the display and imager board, which may be silicon backed, and being refracted as image light where it hits the internal interfaces of the triangular prisms which constitute the polarizing beam splitter, and is reflected out of the projector and into the waveguide lens.
- the dimensions of the projector are shown with the width of the imager board being 11 mm, the distance from the end of the imager board to the image centerline being 10.6 mm, and the distance from the image centerline to the end of the LED board being about 11.8 mm.
- FIG. 25 A detailed and assembled view of the components of the projector discussed above may be seen in FIG. 25 .
- This view depicts how compact the micro-projector 2500 is when assembled, for example, near a hinge of the augmented reality eyepiece.
- Microprojector 2500 includes a housing and a holder 2508 for mounting certain of the optical pieces. As each color field is imaged by the optical display 2510 , the corresponding LED color is turned on.
- the RGB LED light engine 2502 is depicted near the bottom, mounted on heat sink 2504 .
- the holder 2508 is mounted atop the LED light engine 2502 , the holder mounting light tunnel 2520 , diffuser lens 2512 (to eliminate hotspots) and condenser lens 2514 .
- Light passes from the condenser lens into the polarizing beam splitter 2518 and then to the field lens 2516 .
- the light then refracts onto the LCoS (liquid crystal on silicon) chip 2510 , where an image is formed.
- the light for the image then reflects back through the field lens 2516 and is polarized and reflected 90° through the polarizing beam splitter 2518 .
- the light then leaves the microprojector for transmission to the optical display of the glasses.
- FIG. 26 depicts an exemplary RGB LED module 2600 .
- the LED is a 2 ⁇ 2 array with 1 red, 1 blue and 2 green die and the LED array has 4 cathodes and a common anode.
- the maximum current may be 0.5 A per die and the maximum voltage ( ⁇ 4V) may be needed for the green and blue die.
- the system may utilize an optical system that is able to generate a monochrome display to the wearer, which may provide advantages to image clarity, image resolution, frame rate, and the like.
- the frame rate may triple (over an RGB system) and this may be useful in a night vision and the like situation where the camera is imaging the surroundings, where those images may be processed and displayed as content.
- the image may be brighter, such as be three times brighter if three LEDs are used, or provide a space savings with only one LED. If multiple LEDs are used, they may be the same color or they could be different (RGB).
- the system may be a switchable monochrome/color system where RGB is used but when the wearer wants monochrome they could either choose an individual LED or a number of them.
- All three LEDs may be used at the same time, as opposed to sequencing, to create white light. Using three LEDs without sequencing may be like any other white light where the frame rate goes up by a factor of three.
- the “switching” between monochrome and color may be done “manually” (e.g. a physical button, a GUI interface selection) or it may be done automatically depending on the application that is running. For instance, a wearer may go into a night vision mode or fog clearing mode, and the processing portion of the system automatically determines that the eyepiece needs to go into a monochrome high refresh rate mode.
- FIG. 3 depicts an embodiment of a horizontally disposed projector in use.
- the projector 300 may be disposed in an arm portion of an eyepiece frame.
- the LED module 302 under processor control 304 , may emit a single color at a time in rapid sequence.
- the emitted light may travel down a light tunnel 308 and through at least one homogenizing lenslet 310 before encountering a polarizing beam splitter 312 and being deflected towards an LCoS display 314 where a full color image is displayed.
- the LCoS display may have a resolution of 1280 ⁇ 720p.
- the image may then be reflected back up through the polarizing beam splitter, reflected off a fold mirror 318 and travel through a collimator on its way out of the projector and into a waveguide.
- the projector may include a diffractive element to eliminate aberrations.
- the interactive head-mounted eyepiece includes an optical assembly through which a user views a surrounding environment and displayed content, wherein the optical assembly includes a corrective element that corrects the user's view of the surrounding environment, a freeform optical waveguide enabling internal reflections, and a coupling lens positioned to direct an image from an optical display, such as an LCoS display, to the optical waveguide.
- the eyepiece further includes one or more integrated processors for handling content for display to the user and an integrated image source, such as a projector facility, for introducing the content to the optical assembly.
- the image source is a projector
- the projector facility includes a light source and the optical display.
- Light from the light source is emitted under control of the processor and traverses a polarizing beam splitter where it is polarized before being reflected off the optical display, such as the LCoS display or LCD display in certain other embodiments, and into the optical waveguide.
- a surface of the polarizing beam splitter may reflect the color image from the optical display into the optical waveguide.
- the RGB LED module may emit light sequentially to form a color image that is reflected off the optical display.
- the corrective element may be a see-through correction lens that is attached to the optical waveguide to enable proper viewing of the surrounding environment whether the image source is on or off. This corrective element may be a wedge-shaped correction lens, and may be prescription, tinted, coated, or the like.
- the freeform optical waveguide which may be described by a higher order polynomial, may include dual freeform surfaces that enable a curvature and a sizing of the waveguide.
- the curvature and the sizing of the waveguide enable its placement in a frame of the interactive head-mounted eyepiece. This frame may be sized to fit a user's head in a similar fashion to sunglasses or eyeglasses.
- Other elements of the optical assembly of the eyepiece include a homogenizer through which light from the light source is propagated to ensure that the beam of light is uniform and a collimator that improves the resolution of the light entering the optical waveguide.
- the prescription lens may be mounted on the inside of the eyepiece lens or on the outside.
- the prescription power may be divided into prescription lenses mounted on the outside and inside of the eyepiece lens.
- the prescription correction is provided by corrective optics that cling to eyepiece lens or a component of the optical assembly, such as the beamsplitter, such as through surface tension. Suitable optics may be provided by 3M's Press-On Optics, which are available at least as Prisms (a.k.a. Fresnel Prisms), Aspheric Minus Lenses, Aspheric Plus Lenses, and Bifocal Lenses.
- the corrective optics may be a user removable and replaceable diopter correction facility adapted to be removably attached in a position between the user's eye and the displayed content such that the diopter correction facility corrects the users eyesight with respect to the displayed content and the surrounding environment.
- the diopter correction facility may be adapted to mount to the optical assembly.
- the diopter correction facility may be adapted to mount to the head-mounted eyepiece.
- the diopter correction facility may mount using a friction fit.
- the diopter correction facility may mount using a magnetic attachment facility. The user may select from a plurality of different diopter correction facilities depending on the user's eyesight.
- the image light may optionally traverse a display coupling lens 412 , which may or may not be the collimator itself or in addition to the collimator, and enter the waveguide 414 .
- the waveguide 414 may be a freeform waveguide, where the surfaces of the waveguide are described by a polynomial equation.
- the waveguide may be rectilinear.
- the waveguide 414 may include two reflective surfaces. When the image light enters the waveguide 414 , it may strike a first surface with an angle of incidence greater than the critical angle above which total internal reflection (TIR) occurs.
- TIR total internal reflection
- the image light may engage in TIR bounces between the first surface and a second facing surface, eventually reaching the active viewing area 418 of the composite lens.
- light may engage in at least three TIR bounces. Since the waveguide 414 tapers to enable the TIR bounces to eventually exit the waveguide, the thickness of the composite lens 420 may not be uniform. Distortion through the viewing area of the composite lens 420 may be minimized by disposing a wedge-shaped correction lens 410 along a length of the freeform waveguide 414 in order to provide a uniform thickness across at least the viewing area of the lens 420 .
- the correction lens 410 may be a prescription lens, a tinted lens, a polarized lens, a ballistic lens, and the like, mounted on the inside or outside of the eyepiece lense, or in some embodiments, mounted on both the inside and outside of the eyepiece lens.
- the optical waveguide may have a first surface and a second surface enabling total internal reflections of the light entering the waveguide, the light may not actually enter the waveguide at an internal angle of incidence that would result in total internal reflection.
- the eyepiece may include a mirrored surface on the first surface of the optical waveguide to reflect the displayed content towards the second surface of the optical waveguide.
- the mirrored surface enables a total reflection of the light entering the optical waveguide or a reflection of at least a portion of the light entering the optical waveguide.
- the surface may be 100% mirrored or mirrored to a lower percentage.
- an air gap between the waveguide and the corrective element may cause a reflection of the light that enters the waveguide at an angle of incidence that would not result in TIR.
- the eyepiece includes an integrated image source, such as a projector, that introduces content for display to the optical assembly from a side of the optical waveguide adjacent to an arm of the eyepiece.
- an integrated image source such as a projector
- the present disclosure provides image injection to the waveguide from a side of the waveguide.
- the displayed content aspect ratio is between approximately square to approximately rectangular with the long axis approximately horizontal. In embodiments, the displayed content aspect ratio is 16:9. In embodiments, achieving a rectangular aspect ratio for the displayed content where the long axis is approximately horizontal may be done via rotation of the injected image. In other embodiments, it may be done by stretching the image until it reaches the desired aspect ratio.
- FIG. 5 depicts a design for a waveguide eyepiece showing sample dimensions.
- the width of the coupling lens 504 may be 13 ⁇ 15 mm, with the optical display 502 optically coupled in series. These elements may be disposed in an arm or redundantly in both arms of an eyepiece. Image light from the optical display 502 is projected through the coupling lens 504 into the freeform waveguide 508 .
- the thickness of the composite lens 520 including waveguide 508 and correction lens 510 , may be 9 mm.
- the waveguide 502 enables an exit pupil diameter of 8 mm with an eye clearance of 20 mm.
- the resultant see-through view 512 may be about 60-70 mm.
- the distance from the pupil to the image light path as it enters the waveguide 502 may be about 50-60 mm, which can accommodate a large % of human head breadths.
- the field of view may be larger than the pupil. In embodiments, the field of view may not fill the lens. It should be understood that these dimensions are for a particular illustrative embodiment and should not be construed as limiting.
- the waveguide, snap-on optics, and/or the corrective lens may comprise optical plastic.
- the waveguide snap-on optics, and/or the corrective lens may comprise glass, marginal glass, bulk glass, metallic glass, palladium-enriched glass, or other suitable glass.
- the waveguide 508 and correction lens 510 may be made from different materials selected to result in little to no chromatic aberrations. The materials may include a diffraction grating, a holographic grating, and the like.
- the projected image may be a stereo image when two projectors 108 are used for the left and right images.
- the projectors 108 may be disposed at an adjustable distance from one another that enables adjustment based on the interpupillary distance for individual wearers of the eyepiece.
- a single optical assembly may include two independent electro-optic modules with individual adjustments for horizontal, vertical and tilt positioning.
- the optical assembly may include only a single electro-optic module.
- FIG. 6 depicts an embodiment of the eyepiece 600 with a see-through or translucent lens 602 .
- a projected image 618 can be seen on the lens 602 .
- the image 618 that is being projected onto the lens 602 happens to be an augmented reality version of the scene that the wearer is seeing, wherein tagged points of interest (POI) in the field of view are displayed to the wearer.
- the augmented reality version may be enabled by a forward facing camera embedded in the eyepiece (not shown in FIG. 6 ) that images what the wearer is looking and identifies the location/POI.
- the output of the camera or optical transmitter may be sent to the eyepiece controller or memory for storage, for transmission to a remote location, or for viewing by the person wearing the eyepiece or glasses.
- the video output may be streamed to the virtual screen seen by the user.
- the video output may thus be used to help determine the user's location, or may be sent remotely to others to assist in helping to locate the location of the wearer, or for any other purpose.
- Other detection technologies such as GPS, RFID, manual input, and the like, may be used to determine a wearer's location.
- a database may be accessed by the eyepiece for information that may be overlaid, projected or otherwise displayed with what is being seen. Augmented reality applications and technology will be further described herein.
- an embodiment of the eyepiece 700 is depicted with a translucent lens 702 on which is being displayed streaming media (an e-mail application) and an incoming call notification 704 .
- the media obscures a portion of the viewing area, however, it should be understood that the displayed image may be positioned anywhere in the field of view. In embodiments, the media may be made to be more or less transparent.
- the eyepiece may receive input from any external source, such as an external converter box.
- the source may be depicted in the lens of eyepiece.
- the eyepiece may use the phone's location capabilities to display location-based augmented reality, including marker overlay from marker-based AR applications.
- a VNC client running on the eyepiece's processor or an associated device may be used to connect to and control a computer, where the computer's display is seen in the eyepiece by the wearer.
- content from any source may be streamed to the eyepiece, such as a display from a panoramic camera riding atop a vehicle, a user interface for a device, imagery from a drone or helicopter, and the like.
- a gun-mounted camera may enable shooting a target not in direct line of sight when the camera feed is directed to the eyepiece.
- the lenses may be chromic, such as photochromic or electrochromic.
- the electrochromic lens may include integral chromic material or a chromic coating which changes the opacity of at least a portion of the lens in response to a burst of charge applied by the processor across the chromic material.
- a chromic portion 902 of the lens 904 is shown darkened, such as for providing greater viewability by the wearer of the eyepiece when that portion is showing displayed content to the wearer.
- chromic areas on the lens may be controlled independently, such as large portions of the lens, sub-portions of the projected area, programmable areas of the lens and/or projected area, controlled to the pixel level, and the like.
- Activation of the chromic material may be controlled via the control techniques further described herein or automatically enabled with certain applications (e.g. a streaming video application, a sun tracking application, an ambient brightness sensor, a camera tracking brightness in the field of view) or in response to a frame-embedded UV sensor.
- an electrochromic layer may be located between optical elements and/or on the surface of an optical element on the eyepiece, such as on a corrective lens, on a ballistic lens, and the like.
- the electrochromic layer may consist of a stack, such as an Indium Tin Oxide (ITO) coated PET/PC film with two layers of electrochromic (EC) between, which may eliminate another layer of PET/PC, thereby reducing reflections (e.g. a layer stack may comprise a PET/PC-EC-PET/PC-EC-PET/PC).
- the electrically controllable optical layer may be provided as a liquid crystal based solution with a binary state of tint.
- multiple layers of liquid crystal or an alternative e-tint forming the optical layer may be used to provide variable tint such that certain layers or segments of the optical layer may be turned on or off in stages.
- Electrochromic layers may be used generically for any of the electrically controlled transparencies in the eyepiece, including SPD, LCD, electrowetting, and the like.
- the lens may have an angular sensitive coating which enables transmitting light-waves with low incident angles and reflecting light, such as s-polarized light, with high incident angles.
- the chromic coating may be controlled in portions or in its entirety, such as by the control technologies described herein.
- the lenses may be variable contrast and the contrast may be under the control of a push button or any other control technique described herein.
- the user may wear the interactive head-mounted eyepiece, where the eyepiece includes an optical assembly through which the user views a surrounding environment and displayed content.
- the optical assembly may include a corrective element that corrects the user's view of the surrounding environment, an integrated processor for handling content for display to the user, and an integrated image source for introducing the content to the optical assembly.
- the optical assembly may include an electrochromic layer that provides a display characteristic adjustment that is dependent on displayed content requirements and surrounding environmental conditions.
- the display characteristic may be brightness, contrast, and the like.
- the surrounding environmental condition may be a level of brightness that without the display characteristic adjustment would make the displayed content difficult to visualize by the wearer of the eyepiece, where the display characteristic adjustment may be applied to an area of the optical assembly where content is being displayed.
- the eyepiece may have brightness, contrast, spatial, resolution, and the like control over the eyepiece projected area, such as to alter and improve the user's view of the projected content against a bright or dark surrounding environment.
- a user may be using the eyepiece under bright daylight conditions, and in order for the user to clearly see the displayed content the display area my need to be altered in brightness and/or contrast.
- the viewing area surrounding the display area may be altered.
- the area altered, whether within the display area or not, may be spatially oriented or controlled per the application being implemented. For instance, only a small portion of the display area may need to be altered, such as when that portion of the display area deviates from some determined or predetermined contrast ratio between the display portion of the display area and the surrounding environment.
- portions of the lens may be altered in brightness, contrast, spatial extent, resolution, and the like, such as fixed to include the entire display area, adjusted to only a portion of the lens, adaptable and dynamic to changes in lighting conditions of the surrounding environment and/or the brightness-contrast of the displayed content, and the like.
- Spatial extent e.g. the area affected by the alteration
- resolution e.g. display optical resolution
- technologies for implementing alterations of brightness, contrast, spatial extent, resolution, and the like may include electrochromic materials, LCD technologies, embedded beads in the optics, flexible displays, suspension particle device (SPD) technologies, colloid technologies, and the like.
- the user may enter sunglass mode where the composite lenses appear only somewhat darkened or the user may enter “Blackout” mode, where the composite lenses appear completely blackened.
- Electrochromic materials may be electrochromic materials, films, inks, and the like. Electrochromism is the phenomenon displayed by some materials of reversibly changing appearance when electric charge is applied. Various types of materials and structures can be used to construct electrochromic devices, depending on the specific applications. For instance, electrochromic materials include tungsten oxide (WO 3 ), which is the main chemical used in the production of electrochromic windows or smart glass. In embodiments, electrochromic coatings may be used on the lens of the eyepiece in implementing alterations.
- WO 3 tungsten oxide
- electrochromic coatings may be used on the lens of the eyepiece in implementing alterations.
- electrochromic displays may be used in implementing ‘electronic paper’, which is designed to mimic the appearance of ordinary paper, where the electronic paper displays reflected light like ordinary paper.
- electrochromism may be implemented in a wide variety of applications and materials, including gyricon (consisting of polyethylene spheres embedded in a transparent silicone sheet, with each sphere suspended in a bubble of oil so that they can rotate freely), electro-phoretic displays (forming images by rearranging charged pigment particles using an applied electric field), E-Ink technology, electro-wetting, electro-fluidic, interferometric modulator, organic transistors embedded into flexible substrates, nano-chromics displays (NCD), and the like.
- gyricon consisting of polyethylene spheres embedded in a transparent silicone sheet, with each sphere suspended in a bubble of oil so that they can rotate freely
- electro-phoretic displays forming images by rearranging charged pigment particles using an applied electric field
- E-Ink technology electro-wetting
- electro-fluidic electro-flu
- SPD suspended particle devices
- SPD technology may be an emulsion applied on a plastic substrate creating the active film. This plastic film may be laminated (as a single glass pane), suspended between two sheets of glass, plastic or other transparent materials, and the like.
- the electro-optics may be mounted in a monocular or binocular flip-up/flip-down arrangement in two parts: 1) electro-optics; and 2) correction lens.
- FIG. 8A depicts a two part eyepiece where the electro-optics are contained within a module 802 that may be electrically connected to the eyepiece 804 via an electrical connector 810 , such as a plug, pin, socket, wiring, and the like.
- the lens 818 in the frame 814 may be a correction lens entirely.
- the interpupillary distance (IPD) between the two halves of the electro-optic module 802 may be adjusted at the bridge 808 to accommodate various IPDs.
- FIG. 8B depicts the binocular electro-optics module 802 where one half is flipped up and the other half is flipped down.
- the nose bridge may be fully adjustable and elastomeric. This enables 3-point mounting on nose bridge and ears with a head strap to assure the stability of images in the user's eyes, unlike the instability of helmet-mounted optics, that shift on the scalp.
- the lens 818 may be ANSI-compliant, hard-coat scratch-resistant polycarbonate ballistic lenses, may be chromic, may have an angular sensitive coating, may include a UV-sensitive material, and the like.
- the electro-optics module may include a CMOS-based VIS/NIR/SWIR black silicon sensor for night vision capability.
- the electro-optics module 802 may feature quick disconnect capability for user flexibility, field replacement and upgrade.
- the electro-optics module 802 may feature an integrated power dock.
- the flip-up/flip-down lens 7910 may include a light block 7908 .
- Removable, elastomeric night adapters/light dams/light blocks 7908 may be used to shield the flip-up/flip-down lens 7910 , such as for night operations.
- the exploded top view of the eyepiece also depicts a headstrap 7900 , frame 7904 , and adjustable nose bridge 7902 .
- FIG. 80 depicts an exploded view of the electro-optic assembly in a front (A) and side angle (B) view.
- a holder 8012 holds the see-through optic with corrective lens 7910 .
- An O-ring 8020 and screw 8022 secures the holder to the shaft 8024 .
- a spring 8028 provides a spring-loaded connection between the holder 8012 and shaft 8024 .
- the shaft 8024 connects to the attachment bracket 8014 , which secures to the eyepiece using the thumbscrew 8018 .
- the shaft 8024 serves as a pivot and an IPD adjustment tool using the IPD adjustment knob 8030 . As seen in FIG. 81 , the knob 8030 rotates along adjustment threads 8134 .
- the shaft 8024 also features two set screw grooves 8132 .
- a photochromic layer may be included as part of the optics of the eyepiece.
- Photochromism is the reversible transformation of a chemical species between two forms by the absorption of electromagnetic radiation, where the two forms have different absorption spectra, such as a reversible change of color, darkness, and the like, upon exposure to a given frequency of light.
- a photochromic layer may be included between the waveguide and corrective optics of the eyepiece, on the outside of the corrective optic, and the like.
- a photochromic layer (such as used as a darkening layer) may be activated with a UV diode, or other photochromic responsive wavelength known in the art.
- the eyepiece optics may also include a UV coating outside the photochromic layer to prevent UV light from the Sun from accidentally activating it.
- Photochromics are presently fast to change from light to dark and slow to change from dark to light. This due to the molecular changes that are involved with the photochromic material changing from clear to dark. Photochromic molecules are vibrating back to clear after the UV light, such as UV light from the sun, is removed. By increasing the vibration of the molecules, such as by exposure to heat, the optic will clear quicker. The speed at which the photochromic layer goes from dark to light may be temperature-dependent. Rapid changing from dark to light is particularly important for military applications where users of sunglasses often go from a bright outside environment to a dark inside environment and it is important to be able to see quickly in the inside environment.
- This disclosure provides a photochromic film device with an attached heater that is used to accelerate the transition from dark to clear in the photochromic material.
- This method relies on the relationship between the speed of transition of photochromic materials from dark to clear wherein the transition is faster at higher temperatures.
- the photochromic material is provided as a thin layer with a thin heater.
- the heater only has to provide a small amount of heat to rapidly produce a large temperature change in the photochromic material. Since the photochromic material only needs to be at a higher temperature during the transition from dark to clear, the heater only needs to be used for short periods of time so the power requirement is low.
- the heater may be a thin and transparent heater element, such as an ITO heater or any other transparent and electrically conductive film material.
- ITO heater any other transparent and electrically conductive film material.
- the heater element may be used to calibrate the photochromic element to compensate for cold ambient conditions when the lenses might go dark on their own.
- a thin coat of photochromic material may be deposited on a thick substrate with the heater element layered on top.
- the cover sunglass lens may comprise an accelerated photochromic solution and still have a separate electrochromic patch over the display area that may optionally be controlled with or without UV light.
- FIG. 94A depicts a photochromic film device with a serpentine heater pattern and FIG. 94B depicts a side view of a photochromic film device wherein the device is a lens for sunglasses.
- the photochromic film device is shown above and not contacting a protective cover lens to reduce the thermal mass of the device.
- U.S. Pat. No. 3,152,215 describes a heater layer combined with a photochromic layer to heat the photochromic material for the purpose of reducing the time to transition from dark to clear.
- the photochromic layer is positioned in a wedge which would greatly increase the thermal mass of the device and thereby decrease the rate that the heater could change the temperature of the photochromic material or alternately greatly increase the power required to change the temperature of the photochromic material.
- the carrier layer can be glass or plastic.
- the photochromic material can be applied by vacuum coating, by dipping or by thermal diffusion into the carrier layer as is well known in the art.
- the thickness of the carrier layer can be 150 microns or less. The selection of the thickness of the carrier layer is selected based on the desired darkness of the photochromic film device in the dark state and the desired speed of transition between the dark state and the clear state. Thicker carrier layers can be darker in the dark state while being slower to heat to an elevated temperature due to having more thermal mass. Conversely, thinner carrier layers can be less dark in the dark state while being faster to heat to an elevated temperature due to having less thermal mass.
- the protective layer shown in FIG. 94 is separated from the photochromic film device to keep the thermal mass of the photochromic film device low. In this way, the protective layer can be made thicker to provide higher impact strength.
- the protective layer can be glass or plastic, for example the protective layer can be polycarbonate.
- the heater can be a transparent conductor that is patterned into a conductive path that is relatively uniform so that the heat generated over the length of the patterned heater is relatively uniform.
- An example of a transparent conductor that can be patterned is titanium dioxide.
- a larger area is provided at the ends of the heater pattern for electrical contacts such as is shown in FIG. 94 .
- the augmented reality glasses may include a lens 818 for each eye of the wearer.
- the lenses 818 may be made to fit readily into the frame 814 , so that each lens may be tailored for the person for whom the glasses are intended.
- the lenses may be corrective lenses, and may also be tinted for use as sunglasses, or have other qualities suitable for the intended environment.
- the lenses may be tinted yellow, dark or other suitable color, or may be photochromic, so that the transparency of the lens decreases when exposed to brighter light.
- the lenses may also be designed for snap fitting into or onto the frames, i.e., snap on lenses are one embodiment.
- the lenses may be made from high-quality Schott optical glass and may include a polarizing filter.
- the lenses need not be corrective lenses; they may simply serve as sunglasses or as protection for the optical system within the frame.
- the outer lenses are important for helping to protect the rather expensive waveguides, viewing systems and electronics within the augmented reality glasses.
- the outer lenses offer protection from scratching by the environment of the user, whether sand, brambles, thorns and the like, in one environment, and flying debris, bullets and shrapnel, in another environment.
- the outer lenses may be decorative, acting to change a look of the composite lens, perhaps to appeal to the individuality or fashion sense of a user.
- the outer lenses may also help one individual user to distinguish his or her glasses from others, for example, when many users are gathered together.
- the lenses and the frames meet ANSI Standard Z87.1-2010 for ballistic resistance.
- the lenses also meet ballistic standard CE EN166B.
- the lenses and frames may meet the standards of MIL-PRF-31013, standards 3.5.1.1 or 4.4.1.1. Each of these standards has slightly different requirements for ballistic resistance and each is intended to protect the eyes of the user from impact by high-speed projectiles or debris. While no particular material is specified, polycarbonate, such as certain Lexan® grades, usually is sufficient to pass tests specified in the appropriate standard.
- replaceable lens 819 has a plurality of snap-fit arms 819 a which fit into recesses 820 a of frame 820 .
- the engagement angle 819 b of the arm is greater than 90°, while the engagement angle 820 b of the recess is also greater than 90°. Making the angles greater than right angles has the practical effect of allowing removal of lens 819 from the frame 820 .
- the lens 819 may need to be removed if the person's vision has changed or if a different lens is desired for any reason.
- the design of the snap fit is such that there is a slight compression or bearing load between the lens and the frame. That is, the lens may be held firmly within the frame, such as by a slight interference fit of the lens within the frame.
- the cantilever snap fit of FIG. 8D is not the only possible way to removably snap-fit the lenses and the frame.
- an annular snap fit may be used, in which a continuous sealing lip of the frame engages an enlarged edge of the lens, which then snap-fits into the lip, or possibly over the lip.
- Such a snap fit is typically used to join a cap to an ink pen.
- This configuration may have an advantage of a sturdier joint with fewer chances for admission of very small dust and dirt particles.
- Possible disadvantages include the fairly tight tolerances required around the entire periphery of both the lens and frame, and the requirement for dimensional integrity in all three dimensions over time.
- a groove may be molded into an outer surface of the frame, with the lens having a protruding surface, which may be considered a tongue that fits into the groove. If the groove is semi-cylindrical, such as from about 270° to about 300°, the tongue will snap into the groove and be firmly retained, with removal still possible through the gap that remains in the groove.
- a lens or replacement lens or cover 826 with a tongue 828 may be inserted into a groove 827 in a frame 825 , even though the lens or cover is not snap-fit into the frame. Because the fit is a close one, it will act as a snap-fit and securely retain the lens in the frame.
- the frame may be made in two pieces, such as a lower portion and an upper portion, with a conventional tongue-and-groove fit.
- this design may also use standard fasteners to ensure a tight grip of the lens by the frame.
- the design should not require disassembly of anything on the inside of the frame.
- the snap-on or other lens or cover should be assembled onto the frame, or removed from the frame, without having to go inside the frame.
- the augmented reality glasses have many component parts. Some of the assemblies and subassemblies may require careful alignment. Moving and jarring these assemblies may be detrimental to their function, as will moving and jarring the frame and the outer or snap-on lens or cover.
- the flip-up/flip-down arrangement enables a modular design for the eyepiece.
- the eyepiece be equipped with a monocular or binocular module 802 , but the lens 818 may also be swapped.
- additional features may be included with the module 802 , either associated with one or both displays 812 .
- either monocular or binocular versions of the module 802 may be display only 852 (monocular), 854 (binocular) or may be equipped with a forward-looking camera 858 (monocular), and 860 & 862 (binocular).
- the module may have additional integrated electronics, such as a GPS, a laser range finder, and the like.
- a binocular electro-optic module 862 is equipped with stereo forward-looking cameras 870 , GPS, and a laser range finder 868 . These features may enable the Ultra-Vis embodiment to have panoramic night vision, and panoramic night vision with laser range finder and geo location.
- the electro-optics characteristics may be, but not limited to, as follows:
- the Projector Characteristics may be as follows:
- an augmented reality eyepiece may include electrically-controlled lenses as part of the microprojector or as part of the optics between the microprojector and the waveguide.
- FIG. 21 depicts an embodiment with such liquid lenses 2152 .
- the glasses may also include at least one camera or optical sensor 2130 that may furnish an image or images for viewing by the user.
- the images are formed by a microprojector 2114 on each side of the glasses for conveyance to the waveguide 2108 on that side.
- an additional optical element, a variable focus lens 2152 may also be furnished.
- the lens may be electrically adjustable by the user so that the image seen in the waveguides 2108 are focused for the user.
- the camera may be a multi-lens camera, such as an ‘array camera’, where the eyepiece processor may combine the data from the multiple lenses and multiple viewpoints of the lenses to build a single high-quality image. This technology may be referred to as computational imaging, since software is used to process the image.
- Computational imaging may provide image-processing advantages, such as allowing processing of the composite image as a function of individual lens images.
- the processor may provide image processing to create images with special focusing, such as foveal imaging, where the focus from one of the lens images is clear, higher resolution, and the like, and where the rest of the image is defocused, lower resolution, and the like.
- the processor may also select portions of the composite image to store in memory, while deleting the rest, such as when memory storage is limited and only portions of the composite image are critical to save.
- use of the array camera may provide the ability to alter the focus of an image after the image has been taken.
- the array camera may provide a thinner mechanical profile than a traditional single-lens assembly, thus making it easier to integrate into the eyepiece.
- Variable lenses may include the so-called liquid lenses furnished by Varioptic, S.A., Lyons, France, or by LensVector, Inc., Mountain View, Calif., U.S.A. Such lenses may include a central portion with two immiscible liquids. Typically, in these lenses, the path of light through the lens, i.e., the focal length of the lens is altered or focused by applying an electric potential between electrodes immersed in the liquids. At least one of the liquids is affected by the resulting electric or magnetic field potential. Thus, electrowetting may occur, as described in U.S. Pat. Appl. Publ. 2010/0007807, assigned to LensVector, Inc. Other techniques are described in LensVector Pat. Appl. Pubis. 2009/021331 and 2009/0316097. All three of these disclosures are incorporated herein by reference, as though each page and figures were set forth verbatim herein.
- the electrically-adjustable lenses may be controlled by the controls of the glasses.
- a focus adjustment is made by calling up a menu from the controls and adjusting the focus of the lens.
- the lenses may be controlled separately or may be controlled together.
- the adjustment is made by physically turning a control knob, by indicating with a gesture, or by voice command.
- the augmented reality glasses may also include a rangefinder, and focus of the electrically-adjustable lenses may be controlled automatically by pointing the rangefinder, such as a laser rangefinder, to a target or object a desired distance away from the user.
- variable lenses may also be applied to the outer lenses of the augmented reality glasses or eyepiece.
- the lenses may simply take the place of a corrective lens.
- the variable lenses with their electric-adjustable control may be used instead of or in addition to the image source- or projector-mounted lenses.
- the corrective lens inserts provide corrective optics for the user's environment, the outside world, whether the waveguide displays are active or not.
- the view or images presented travel from one or two digital cameras or sensors mounted on the eyepiece, to digital circuitry, where the images are processed and, if desired, stored as digital data before they appear in the display of the glasses.
- the digital data is then used to form an image, such as by using an LCOS display and a series of RGB light emitting diodes.
- the light images are processed using a series of lenses, a polarizing beam splitter, an electrically-powered liquid corrective lens and at least one transition lens from the projector to the waveguide.
- the process of gathering and presenting images includes several mechanical and optical linkages between components of the augmented reality glasses. It seems clear, therefore, that some form of stabilization will be required. This may include optical stabilization of the most immediate cause, the camera itself, since it is mounted on a mobile platform, the glasses, which themselves are movably mounted on a mobile user. Accordingly, camera stabilization or correction may be required. In addition, at least some stabilization or correction should be used for the liquid variable lens. Ideally, a stabilization circuit at that point could correct not only for the liquid lens, but also for any aberration and vibration from many parts of the circuit upstream from the liquid lens, including the image source.
- One advantage of the present system is that many commercial off-the-shelf cameras are very advanced and typically have at least one image-stabilization feature or option. Thus, there may be many embodiments of the present disclosure, each with a same or a different method of stabilizing an image or a very fast stream of images, as discussed below.
- optical stabilization is typically used herein with the meaning of physically stabilizing the camera, camera platform, or other physical object, while image stabilization refers to data manipulation and processing.
- One technique of image stabilization is performed on digital images as they are formed. This technique may use pixels outside the border of the visible frame as a buffer for the undesired motion. Alternatively, the technique may use another relatively steady area or basis in succeeding frames. This technique is applicable to video cameras, shifting the electronic image from frame to frame of the video in a manner sufficient to counteract the motion. This technique does not depend on sensors and directly stabilizes the images by reducing vibrations and other distracting motion from the moving camera. In some techniques, the speed of the images may be slowed in order to add the stabilization process to the remainder of the digital process, and requiring more time per image. These techniques may use a global motion vector calculated from frame-to-frame motion differences to determine the direction of the stabilization.
- Optical stabilization for images uses a gravity- or electronically-driven mechanism to move or adjust an optical element or imaging sensor such that it counteracts the ambient vibrations.
- Another way to optically stabilize the displayed content is to provide gyroscopic correction or sensing of the platform housing the augmented reality glasses, e.g., the user.
- the sensors available and used on the augmented reality glasses or eyepiece include MEMS gyroscopic sensors. These sensors capture movement and motion in three dimensions in very small increments and can be used as feedback to correct the images sent from the camera in real time. It is clear that at least a large part of the undesired and undesirable movement probably is caused by movement of the user and the camera itself.
- These larger movements may include gross movements of the user, e.g., walking or running, riding in a vehicle. Smaller vibrations may also result within the augmented reality eyeglasses, that is, vibrations in the components in the electrical and mechanical linkages that form the path from the camera (input) to the image in the waveguide (output). These gross movements may be more important to correct or to account for, rather than, for instance, independent and small movements in the linkages of components downstream from the projector.
- the gyroscopic stabilization may stabilize the image when it is subject to a periodic motion. For such periodic motion, the gyroscope may determine the periodicity of the user's motion and transmit the information to a processor to correct for the placement of content in the user's view.
- the gyroscope may utilize a rolling average of two or three or more cycles of periodic motion in determining the periodicity.
- Other sensors may also be used to stabilize the image or correctly place the image in the user's field of view, such as an accelerometer, a position sensor, a distance sensor, a rangefinder, a biological sensor, a geodetic sensor, an optical sensor, a video sensor, a camera, an infrared sensor, a light sensor, a photocell sensor, or an RF sensor.
- a sensor detects user head or eye movement, the sensor provides an output to a processor which may determine the direction, speed, amount, and rate of the user's head or eye movement.
- the processor may convert this information into a suitable data structure for further processing by the processor controlling the optical assembly (which may be the same processor).
- the data structure may be one or more vector quantities.
- the direction of the vector may define the orientation of the movement, and the length of the vector may define the rate of the movement.
- the display of content is adjusted accordingly.
- Motion sensing may thus be used to sense the motion and correct for it, as in optical stabilization, or to sense the motion and then correct the images that are being taken and processed, as in image stabilization.
- An apparatus for sensing motion and correcting the images or the data is depicted in FIG. 34A .
- one or more kinds of motion sensors may be used, including accelerometers, angular position sensors or gyroscopes, such as MEMS gyroscopes. Data from the sensors is fed back to the appropriate sensor interfaces, such as analog to digital converters (ADCs) or other suitable interface, such as digital signal processors (DSPs).
- a microprocessor then processes this information, as discussed above, and sends image-stabilized frames to the display driver and then to the see-through display or waveguide discussed above.
- the display begins with the RGB display in the microprojector of the augmented reality eyepiece.
- a video sensor or augmented reality glasses, or other device with a video sensor may be mounted on a vehicle.
- the video stream may be communicated through a telecommunication capability or an Internet capability to personnel in the vehicle.
- One application could be sightseeing or touring of an area.
- Another embodiment could be exploring or reconnaissance, or even patrolling, of an area.
- gyroscopic stabilization of the image sensor would be helpful, rather than applying a gyroscopic correction to the images or digital data representing the images.
- FIG. 34B An embodiment of this technique is depicted in FIG. 34B .
- a camera or image sensor 3407 is mounted on a vehicle 3401 .
- One or more motion sensors 3406 are mounted in the camera assembly 3405 .
- a stabilizing platform 3403 receives information from the motion sensors and stabilizes the camera assembly 3405 , so that jitter and wobble are minimized while the camera operates. This is true optical stabilization.
- the motion sensors or gyroscopes may be mounted on or within the stabilizing platform itself. This technique would actually provide optical stabilization, stabilizing the camera or image sensor, in contrast to digital stabilization, correcting the image afterwards by computer processing of the data taken by the camera.
- the key to optical stabilization is to apply the stabilization or correction before an image sensor converts the image into digital information.
- feedback from sensors such as gyroscopes or angular velocity sensors, is encoded and sent to an actuator that moves the image sensor, much as an autofocus mechanism adjusts a focus of a lens.
- the image sensor is moved in such a way as to maintain the projection of the image onto the image plane, which is a function of the focal length of the lens being used.
- Autoranging and focal length information perhaps from a range finder of the interactive head-mounted eyepiece, may be acquired through the lens itself.
- angular velocity sensors sometimes also called gyroscopic sensors, can be used to detect, respectively, horizontal and vertical movements. The motion detected may then be fed back to electromagnets to move a floating lens of the camera.
- This optical stabilization technique would have to be applied to each lens contemplated, making the result rather expensive.
- control of a liquid lens is relatively simple, since there is only one variable to control: the level of voltage applied to the electrodes in the conducting and non-conducting liquids of the lens, using, for examples, the lens housing and the cap as electrodes. Applying a voltage causes a change or tilt in the liquid-liquid interface via the electrowetting effect. This change or tilt adjusts the focus or output of the lens.
- a control scheme with feedback would then apply a voltage and determine the effect of the applied voltage on the result, i.e., a focus or an astigmatism of the image.
- the voltages may be applied in patterns, for example, equal and opposite + and ⁇ voltages, both positive voltages of differing magnitude, both negative voltages of differing magnitude, and so forth.
- Such lenses are known as electrically variable optic lenses or electro-optic lenses.
- Voltages may be applied to the electrodes in patterns for a short period of time and a check on the focus or astigmatism made. The check may be made, for instance, by an image sensor.
- sensors on the camera or in this case the lens may detect motion of the camera or lens. Motion sensors would include accelerometers, gyroscopes, angular velocity sensors or piezoelectric sensors mounted on the liquid lens or a portion of the optic train very near the liquid lens.
- a table such as a calibration table, is then constructed of voltages applied and the degree of correction or voltages needed for given levels of movement. More sophistication may also be added, for example, by using segmented electrodes in different portions of the liquid so that four voltages may be applied rather than two.
- FIG. 34C An example is depicted in FIG. 34C .
- Four electrodes 3409 are mounted within a liquid lens housing (not shown). Two electrodes are mounted in or near the non-conducting liquid and two are mounted in or near the conducting liquid. Each electrode is independent in terms of the possible voltage that may be applied.
- Look-up or calibration tables may be constructed and placed in the memory of the augmented reality glasses.
- the accelerometer or other motion sensor will sense the motion of the glasses, i.e., the camera on the glasses or the lens itself.
- a motion sensor such as an accelerometer will sense in particular, small vibration-type motions that interfere with smooth delivery of images to the waveguide.
- the image stabilization techniques described here can be applied to the electrically-controllable liquid lens so that the image from the projector is corrected immediately. This will stabilize the output of the projector, at least partially correcting for the vibration and movement of the augmented reality eyepiece, as well as at least some movement by the user.
- a liquid crystal material is contained within a transparent cell, preferably with a matching index of refraction.
- the cell includes transparent electrodes, such as those made from indium tin oxide (ITO).
- ITO indium tin oxide
- the shape of the magnetic field determines the rotation of molecules in the liquid crystal cell to achieve a change in refractive index and thus a focus of the lens.
- the liquid crystals can thus be electromagnetically manipulated to change their index of refraction, making the tunable liquid crystal cell act as a lens.
- a tunable liquid crystal cell 3420 is depicted in FIG. 34D .
- the cell includes an inner layer of liquid crystal 3421 and thin layers 3423 of orienting material such as polyimide. This material helps to orient the liquid crystals in a preferred direction.
- Transparent electrodes 3425 are on each side of the orienting material.
- An electrode may be planar, or may be spiral shaped as shown on the right in FIG. 34D .
- Transparent glass substrates 3427 contain the materials within the cell. The electrodes are formed so that they will lend shape to the magnetic field. As noted, a spiral shaped electrode on one or both sides, such that the two are not symmetrical, is used in one embodiment.
- a second embodiment is depicted in FIG. 34E .
- Tunable liquid crystal cell 3430 includes central liquid crystal material 3431 , transparent glass substrate walls 3433 , and transparent electrodes.
- Bottom electrode 3435 is planar, while top electrode 3437 is in the shape of a spiral.
- Transparent electrodes may be made of indium tin oxide (ITO).
- Additional electrodes may be used for quick reversion of the liquid crystal to a non-shaped or natural state.
- a small control voltage is thus used to dynamically change the refractive index of the material the light passes through.
- the voltage generates a spatially non-uniform magnetic field of a desired shape, allowing the liquid crystal to function as a lens.
- the camera includes the black silicon, short wave infrared (SWIR) CMOS sensor described elsewhere in this patent. In another embodiment, the camera is a 5 megapixel (MP) optically-stabilized video sensor.
- the controls include a 3 GHz microprocessor or microcontroller, and may also include a 633 MHz digital signal processor with a 30 M polygon/second graphic accelerator for real-time image processing for images from the camera or video sensor.
- the augmented reality glasses may include a wireless internet, radio or telecommunications capability for wideband, personal area network (PAN), local area network (LAN), a wide local area network, WLAN, conforming to IEEE 802.11, or reach-back communications.
- the equipment furnished in one embodiment includes a Bluetooth capability, conforming to IEEE 802.15.
- the augmented reality glasses include an encryption system, such as a 256-bit Advanced Encryption System (AES) encryption system or other suitable encryption program, for secure communications.
- AES Advanced Encryption System
- the wireless telecommunications may include a capability for a 3G or 4G network and may also include a wireless internet capability.
- the augmented reality eyepiece or glasses may also include at least one lithium-ion battery, and as discussed above, a recharging capability.
- the recharging plug may comprise an AC/DC power converter and may be capable of using multiple input voltages, such as 120 or 240 VAC.
- the controls for adjusting the focus of the adjustable focus lenses in one embodiment comprises a 2D or 3D wireless air mouse or other non-contact control responsive to gestures or movements of the user.
- a 2D mouse is available from Logitech, Fremont, Calif., USA.
- a 3D mouse is described herein, or others such as the Cideko AVK05 available from Cideko, Taiwan, R.O.C, may be used.
- the eyepiece may comprise electronics suitable for controlling the optics, and associated systems, including a central processing unit, non-volatile memory, digital signal processors, 3-D graphics accelerators, and the like.
- the eyepiece may provide additional electronic elements or features, including inertial navigation systems, cameras, microphones, audio output, power, communication systems, sensors, stopwatch or chronometer functions, thermometer, vibratory temple motors, motion sensor, a microphone to enable audio control of the system, a UV sensor to enable contrast and dimming with photochromic materials, and the like.
- the central processing unit (CPU) of the eyepiece may be an OMAP 4 , with dual 1 GHz processor cores.
- the CPU may include a 633 MHz DSP, giving a capability for the CPU of 30 million polygons/second.
- the system may also provide dual micro-SD (secure digital) slots for provisioning of additional removable non-volatile memory.
- An on-board camera may provide 1.3 MP color and record up to 60 minutes of video footage.
- the recorded video may be transferred wirelessly or using a mini-USB transfer device to off-load footage.
- the communications system-on-a-chip may be capable of operating with wide local area networks (WLAN), Bluetooth version 3.0, a GPS receiver, an FM radio, and the like.
- WLAN wide local area networks
- Bluetooth version 3.0 Bluetooth version 3.0
- GPS receiver GPS receiver
- FM radio FM radio
- the eyepiece may operate on a 3.6 VDC lithium-ion rechargeable battery for long battery life and ease of use.
- An additional power source may be provided through solar cells on the exterior of the frame of the system. These solar cells may supply power and may also be capable of recharging the lithium-ion battery.
- the total power consumption of the eyepiece may be approximately 400 mW, but is variable depending on features and applications used. For example, processor-intensive applications with significant video graphics demand more power, and will be closer to 400 mW. Simpler, less video-intensive applications will use less power.
- the operation time on a charge also may vary with application and feature usage.
- the micro-projector illumination engine also known herein as the projector, may include multiple light emitting diodes (LEDs).
- LEDs light emitting diodes
- Osram red, Cree green, and Cree blue LEDs are used. These are die-based LEDs.
- the RGB engine may provide an adjustable color output, allowing a user to optimize viewing for various programs and applications.
- illumination may be added to the glasses or controlled through various means.
- LED lights or other lights may be embedded in the frame of the eyepiece, such as in the nose bridge, around the composite lens, or at the temples.
- the intensity of the illumination and or the color of illumination may be modulated. Modulation may be accomplished through the various control technologies described herein, through various applications, filtering and magnification.
- illumination may be modulated through various control technologies described herein such as through the adjustment of a control knob, a gesture, eye movement, or voice command.
- a user desires to increase the intensity of illumination, the user may adjust a control knob on the glasses or he may adjust a control knob in the user interface displayed on the lens or by other means.
- the user may use eye movements to control the knob displayed on the lens or he may control the knob by other means.
- the user may adjust illumination through a movement of the hand or other body movement such that the intensity or color of illumination changes based on the movement made by the user.
- the user may adjust the illumination through a voice command such as by speaking a phrase requesting increased or decreased illumination or requesting other colors to be displayed.
- illumination modulation may be achieved through any control technology described herein or by other means.
- the illumination may be modulated per the particular application being executed.
- an application may automatically adjust the intensity of illumination or color of illumination based on the optimal settings for that application. If the current levels of illumination are not at the optimal levels for the application being executed, a message or command may be sent to provide for illumination adjustment.
- illumination modulation may be accomplished through filtering and or through magnification.
- filtering techniques may be employed that allow the intensity and or color of the light to be changed such that the optimal or desired illumination is achieved.
- the intensity of the illumination may be modulated by applying greater or less magnification to reach the desired illumination intensity.
- the projector may be connected to the display to output the video and other display elements to the user.
- the display used may be an SVGA 800 ⁇ 600 dots/inch SYNDIANT liquid crystal on silicon (LCoS) display.
- the target MPE dimensions for the system may be 24 mm ⁇ 12 mm ⁇ 6 mm
- the focus may be adjustable, allowing a user to refine the projector output to suit their needs.
- the optics system may be contained within a housing fabricated for 6061-T6 aluminum and glass-filled ABS/PC.
- the weight of the system in an embodiment, is estimated to be 3.75 ounces, or 95 grams.
- the eyepiece and associated electronics provide night vision capability.
- This night vision capability may be enabled by a black silicon SWIR sensor.
- Black silicon is a complementary metal-oxide silicon (CMOS) processing technique that enhances the photo response of silicon over 100 times.
- the spectral range is expanded deep into the short wave infra-red (SWIR) wavelength range.
- SWIR short wave infra-red
- CMOS complementary metal-oxide silicon
- This layer offers improved responsivity as shown in FIG. 11 , where the responsivity of black silicon is much greater than silicon's over the visible and NIR ranges and extends well into the SWIR range.
- This technology is an improvement over current technology, which suffers from extremely high cost, performance issues, as well as high volume manufacturability problems. Incorporating this technology into night vision optics brings the economic advantages of CMOS technology into the design.
- SWIR sensors pick up individual photons and convert light in the SWIR spectrum to electrical signals, similar to digital photography.
- the photons can be produced from the natural recombination of oxygen and hydrogen atoms in the atmosphere at night, also referred to as “Night Glow.”
- Shortwave infrared devices see objects at night by detecting the invisible, shortwave infrared radiation within reflected star light, city lights or the moon. They also work in daylight, or through fog, haze or smoke, whereas the current NVG Image Intensifier infrared sensors would be overwhelmed by heat or brightness.
- SWIR images look like the images produced by visible light with the same shadows and contrast and facial details, only in black and white, dramatically enhancing recognition so people look like people; they don't look like blobs often seen with thermal Imagers.
- One of the important SWIR capabilities is of providing views of targeting lasers on the battlefield. Targeting lasers (1.064 um) are not visible with current night-vision goggles. With SWIR Electro-optics, soldiers will be able to view every targeting laser in use, including those used by the enemy. Unlike Thermal Imagers, which do not penetrate windows on vehicles or buildings, the Visible/Near Infrared/Short Wave Infrared Sensor can see through them—day or night, giving users an important tactical advantage.
- Certain advantages include using active illumination only when needed. In some instances there may be sufficient natural illumination at night, such as during a full moon. When such is the case, artificial night vision using active illumination may not be necessary. With black silicon CMOS-based SWIR sensors, active illumination may not be needed during these conditions, and is not provided, thus improving battery life.
- a black silicon image sensor may have over eight times the signal to noise ratio found in costly indium-gallium arsenide image sensors under night sky conditions. Better resolution is also provided by this technology, offering much higher resolution than available using current technology for night vision.
- CMOS-based SWIR have been difficult to interpret, having good heat detection, but poor resolution.
- This problem is solved with a black image silicon SWIR sensor, which relies on much shorter wavelengths. SWIR is highly desirable for battlefield night vision glasses for these reasons.
- FIG. 12 illustrates the effectiveness of black silicon night vision technology, providing both before and after images of seeing through a) dust; b) fog, and c) smoke.
- the images in FIG. 12 demonstrate the performance of the new VIS/NIR/SWIR black silicon sensor.
- the image sensor may be able to distinguish between changes in the natural environment, such as disturbed vegetation, disturbed ground, and the like.
- an enemy combatant may have recently placed an explosive device in the ground, and so the ground over the explosive will be ‘disturbed ground’, and the image sensor (along with processing facilities internal or external to the eyepiece) may be able to distinguish the recently disturbed ground from the surrounding ground.
- an underground explosive device e.g. an improvised explosive device (IED)
- FIG. 17 shows the difference in image quality between A) a flexible platform of uncooled CMOS image sensors capable of VIS/NIR/SWIR imaging and B) an image intensified night vision system.
- FIG. 13 depicts the difference in structure between current or incumbent vision enhancement technology 1300 and uncooled CMOS image sensors 1307 .
- the incumbent platform ( FIG. 13A ) limits deployment because of cost, weight, power consumption, spectral range, and reliability issues.
- Incumbent systems are typically comprised of a front lens 1301 , photocathode 1302 , micro channel plate 1303 , high voltage power supply 1304 , phosphorous screen 1305 , and eyepiece 1306 .
- This is in contrast to a flexible platform ( FIG. 13B ) of uncooled CMOS image sensors 1307 capable of VIS/NIR/SWIR imaging at a fraction of the cost, power consumption, and weight.
- These much simpler sensors include a front lens 1308 and an image sensor 1309 with a digital image output.
- CMOS compatible processing technique that enhances the photo response of silicon over 100 times and extends the spectral range deep into the short wave infrared region.
- the difference in responsivity is illustrated in FIG. 13C . While typical night vision goggles are limited to the UV, visible and near infrared (NIR) ranges, to about 1100 nm (1.1 micrometers) the newer CMOS image sensor ranges also include the short wave infrared (SWIR) spectrum, out to as much as 2000 nm (2 micrometers).
- NIR visible and near infrared
- SWIR short wave infrared
- the black silicon core technology may offer significant improvement over current night vision glasses. Femtosecond laser doping may enhance the light detection properties of silicon across a broad spectrum. Additionally, optical response may be improved by a factor of 100 to 10,000.
- the black silicon technology is a fast, scalable, and CMOS compatible technology at a very low cost, compared to current night vision systems. Black silicon technology may also provide a low operation bias, with 3.3 V typical. In addition, uncooled performance may be possible up to 50° C. Cooling requirements of current technology increase both weight and power consumption, and also create discomfort in users.
- the black silicon core technology offers a high-resolution replacement for current image intensifier technology. Black silicon core technology may provide high speed electronic shuttering at speeds up to 1000 frames/second with minimal cross talk. In certain embodiments of the night vision eyepiece, an OLED display may be preferred over other optical displays, such as the LCoS display.
- the eyepiece incorporating the VIS/NIR/SWIR black silicon sensor may provide for better situational awareness (SAAS) surveillance and real-time image enhancement.
- SAAS situational awareness
- the VIS/NIR/SWIR black silicon sensor may be incorporated into a form factor suitable for night vision only, such as a night vision goggle or a night vision helmet.
- the night vision goggle may include features that make it suitable for the military market, such as ruggedization and alternative power supplies, while other form factors may be suitable for the consumer or toy market.
- the night vision goggles may have extended range, such as 500-1200 nm, and may also useable as a camera.
- the VIS/NIR/SWIR black silicon sensor as well as other outboard sensors may be incorporated into a mounted camera that may be mounted on transport or combat vehicles so that the real-time feed can be sent to the driver or other occupants of the vehicle by superimposing the video on the forward view without obstructing it.
- the driver can better see where he or she is going, the gunner can better see threats or targets of opportunity, and the navigator can better sense situational awareness (SAAS) while also looking for threats.
- SAAS situational awareness
- the feed could also be sent to off-site locations as desired, such as higher headquarters of memory/storage locations for later use in targeting, navigation, surveillance, data mining, and the like.
- the eyepiece may include robust connectivity.
- This connectivity enables download and transmission using Bluetooth, Wi-Fi/Internet, cellular, satellite, 3G, FM/AM, TV, and UVB transceiver for sending/receiving vast amounts of data quickly.
- the UWB transceiver may be used to create a very high data rate, low-probability-of-intercept/low-probability-of-detection (LPI/LPD), Wireless Personal Area Network (WPAN) to connect weapons sights, weapons-mounted mouse/controller, E/O sensors, medical sensors, audio/video displays, and the like.
- the WPAN may be created using other communications protocols.
- a WPAN transceiver may be a COTS-compliant module front end to make the power management of a combat radio highly responsive and to avoid jeopardizing the robustness of the radio.
- UWB ultra wideband
- the WPAN transceivers create a low power, encrypted, wireless personal area network (WPAN) between soldier worn devices.
- the WPAN transceivers can be attached or embedded into nearly any fielded military device with a network interface (handheld computers, combat displays, etc).
- the system is capable of supporting many users, AES encryption, robust against jamming and RF interference as well as being ideal for combat providing low probabilities of interception and detection (LPI/LPD).
- the WPAN transceivers eliminate the bulk, weight and “snagability” of data cables on the soldier.
- Interfaces include USB 1.1, USB 2.0 OTG, Ethernet 10-, 100 Base-T and RS232 9-pin D-Sub.
- the power output may be ⁇ 10, ⁇ 20 dBm outputs for a variable range of up to 2 meters.
- the data capacity may be 768 Mbps and greater.
- the bandwidth may be 1.7 GHz.
- Encryption may be 128-bit, 192-bit or 256-bit AES.
- the WPAN transceiver may include Optimized Message Authentication Code (MAC) generation.
- the WPAN transceiver may comply to MIL-STD-461F.
- the WPAN transceiver may be in the form of a connector dust cap and may attach to any fielded military device.
- the WPAN transceiver allows simultaneous video, voice, stills, text and chat, eliminates the need for data cables between electronic devices, allows hands-free control of multiple devices without distraction, features an adjustable connectivity range, interfaces with Ethernet and USB 2.0, features an adjustable frequency 3.1 to 10.6 GHz and 200 mw peak draw and nominal standby.
- the WPAN transceiver may enable creating a WPAN between the eyepiece 100 in the form of a GSE stereo heads-up combat display glasses, a computer, a remote computer controller, and biometric enrollment devices like that seen in FIG. 58 .
- the WPAN transceiver may enable creating a WPAN between the eyepiece in the form of flip-up/-down heads-up display combat glasses, the HUD CPU (if it is external), a weapon fore-grip controller, and a forearm computer similar to that seen in FIG. 58 .
- the eyepiece may provide its own cellular connectivity, such as though a personal wireless connection with a cellular system.
- the personal wireless connection may be available for only the wearer of the eyepiece, or it may be available to a plurality of proximate users, such as in a Wi-Fi hot spot (e.g. MiFi), where the eyepiece provides a local hotspot for others to utilize.
- proximate users may be other wearers of an eyepiece, or users of some other wireless computing device, such as a mobile communications facility (e.g. mobile phone).
- a mobile communications facility e.g. mobile phone
- the wearer may have to find a WiFi connection point or tether to their mobile communications facility in order to establish a wireless connection.
- the eyepiece may be able to replace the need for having a separate mobile communications device, such as a mobile phone, mobile computer, and the like, by integrating these functions and user interfaces into the eyepiece.
- the eyepiece may have an integrated WiFi connection or hotspot, a real or virtual keyboard interface, a USB hub, speakers (e.g. to stream music to) or speaker input connections, integrated camera, external camera, and the like.
- an external device in connectivity with the eyepiece, may provide a single unit with a personal network connection (e.g. WiFi, cellular connection), keyboard, control pad (e.g. a touch pad), and the like.
- Communications from the eyepiece may include communication links for special purposes.
- an ultra-wide bandwidth communications link may be utilized when sending and/or receiving large volumes of data in a short amount of time.
- a near-field communications (NFC) link may be used with very limited transmission range in order to post information to transmit to personnel when they are very near, such as for tactical reasons, for local directions, for warnings, and the like.
- NFC near-field communications
- a soldier may be able to post/hold information securely, and transmit only to people very near by with a need-to-know or need-to-use the information.
- PAN personal area network
- PAN personal area network
- the eyepiece may include MEMS-based inertial navigation systems, such as a GPS processor, an accelerometer (e.g. for enabling head control of the system and other functions), a gyroscope, an altimeter, an inclinometer, a speedometer/odometer, a laser rangefinder, and a magnetometer, which also enables image stabilization.
- MEMS-based inertial navigation systems such as a GPS processor, an accelerometer (e.g. for enabling head control of the system and other functions), a gyroscope, an altimeter, an inclinometer, a speedometer/odometer, a laser rangefinder, and a magnetometer, which also enables image stabilization.
- the eyepiece may include integrated headphones, such as the articulating earbud 120 , that provide audio output to the user or wearer.
- a forward facing camera integrated with the eyepiece may enable basic augmented reality.
- augmented reality a viewer can image what is being viewed and then layer an augmented, edited, tagged, or analyzed version on top of the basic view.
- associated data may be displayed with or over the basic image. If two cameras are provided and are mounted at the correct interpupillary distance for the user, stereo video imagery may be created. This capability may be useful for persons requiring vision assistance. Many people suffer from deficiencies in their vision, such as near-sightedness, far-sightedness, and so forth.
- a camera and a very close, virtual screen as described herein provides a “video” for such persons, the video adjustable in terms of focal point, nearer or farther, and fully in control by the person via voice or other command.
- This capability may also be useful for persons suffering diseases of the eye, such as cataracts, retinitis pigmentosa, and the like. So long as some organic vision capability remains, an augmented reality eyepiece can help a person see more clearly.
- Embodiments of the eyepiece may feature one or more of magnification, increased brightness, and ability to map content to the areas of the eye that are still healthy.
- Embodiments of the eyepiece may be used as bifocals or a magnifying glass.
- the wearer may be able to increase zoom in the field of view or increase zoom within a partial field of view.
- an associated camera may make an image of the object and then present the user with a zoomed picture.
- a user interface may allow a wearer to point at the area that he wants zoomed, such as with the control techniques described herein, so the image processing can stay on task as opposed to just zooming in on everything in the camera's field of view.
- a rear-facing camera (not shown) may also be incorporated into the eyepiece in a further embodiment.
- the rear-facing camera may enable eye control of the eyepiece, with the user making application or feature selection by directing his or her eyes to a specific item displayed on the eyepiece.
- a further embodiment of a device for capturing biometric data about individuals may incorporate a microcassegrain telescoping folded optic camera into the device.
- the microcassegrain telescoping folded optic camera may be mounted on a handheld device, such as the bio-print device, the bio-phone, and could also be mounted on glasses used as part of a bio-kit to collect biometric data.
- a cassegrain reflector is a combination of a primary concave mirror and a secondary convex mirror. These reflectors are often used in optical telescopes and radio antennas because they deliver good light (or sound) collecting capability in a shorter, smaller package.
- both mirrors are aligned about the optical axis, and the primary mirror usually has a hole in the center, allowing light to reach the eyepiece or a camera chip or light detection device, such as a CCD chip.
- An alternate design often used in radio telescopes, places the final focus in front of the primary reflector.
- a further alternate design may tilt the mirrors to avoid obstructing the primary or secondary mirror and may eliminate the need for a hole in the primary mirror or secondary mirror.
- the microcassegrain telescoping folded optic camera may use any of the above variations, with the final selection determined by the desired size of the optic device.
- the classic cassegrain configuration 3500 uses a parabolic reflector as the primary mirror and a hyperbolic mirror as the secondary mirror. Further embodiments of the microcassegrain telescoping folded optic camera may use a hyperbolic primary mirror and/or a spherical or elliptical secondary mirror. In operation the classic cassegrain with a parabolic primary mirror and a hyperbolic secondary mirror reflects the light back down through a hole in the primary, as shown in FIG. 35 . Folding the optical path makes the design more compact, and in a “micro” size, suitable for use with the bio-print sensor and bio-print kit described herein. In a folded optic system, the beam is bent to make the optical path much longer than the physical length of the system.
- folded optics is prismatic binoculars.
- the secondary mirror may be mounted on an optically flat, optically clear glass plate that closes the lens tube. This support eliminates “star-shaped” diffraction effects that are caused by a straight-vaned support spider. This allows for a sealed closed tube and protects the primary mirror, albeit at some loss of light collecting power.
- the cassegrain design also makes use of the special properties of parabolic and hyperbolic reflectors.
- a concave parabolic reflector will reflect all incoming light rays parallel to its axis of symmetry to a single focus point.
- a convex hyperbolic reflector has two foci and reflects all light rays directed at one focus point toward the other focus point.
- Mirrors in this type of lens are designed and positioned to share one focus, placing the second focus of the hyperbolic mirror at the same point as where the image is observed, usually just outside the eyepiece.
- the parabolic mirror reflects parallel light rays entering the lens to its focus, which is coincident with the focus of the hyperbolic mirror.
- the hyperbolic mirror then reflects those light rays to the other focus point, where the camera records the image.
- FIG. 36 shows the configuration of the microcassegrain telescoping folded optic camera.
- the camera may be mounted on augmented reality glasses, a bio-phone, or other biometric collection device.
- the assembly, 3600 has multiple telescoping segments that allow the camera to extend with cassegrain optics providing for a longer optical path.
- Threads 3602 allow the camera to be mounted on a device, such as augmented reality glasses or other biometric collection device. While the embodiment depicted in FIG. 36 uses threads, other mounting schemes such as bayonet mount, knobs, or press-fit, may also be used.
- a first telescoping section 3604 also acts as an external housing when the lens is in the fully retracted position.
- the camera may also incorporate a motor to drive the extension and retraction of the camera.
- a second telescoping section 3606 may also be included. Other embodiments may incorporate varying numbers of telescoping sections, depending on the length of optical path needed for the selected task or data to be collected.
- a third telescoping section 3608 includes the lens and a reflecting mirror. The reflecting mirror may be a primary reflector if the camera is designed following classic cassegrain design. The secondary mirror may be contained in first telescoping section 3604 .
- Lens 3610 provides optics for use in conjunction with the folded optics of the cassegrain design.
- the lens 3610 may be selected from a variety of types, and may vary depending on the application.
- the threads 3602 permit a variety of cameras to be interchanged depending on the needs of the user.
- Eye control of feature and option selection may be controlled and activated by object recognition software loaded on the system processor.
- Object recognition software may enable augmented reality, combine the recognition output with querying a database, combine the recognition output with a computational tool to determine dependencies/likelihoods, and the like.
- Three-dimensional viewing is also possible in an additional embodiment that incorporates a 3D projector.
- Two stacked picoprojectors may be used to create the three dimensional image output.
- a plurality of digital CMOS Sensors with redundant micros and DSPs for each sensor array and projector detect visible, near infrared, and short wave infrared light to enable passive day and night operations, such as real-time image enhancement 1002 , real-time keystone correction 1004 , and real-time virtual perspective correction 1008 .
- the eyepiece may utilize digital CMOS image sensors and directional microphones (e.g. microphone arrays) as described herein, such as for visible imaging for monitoring the visible scene (e.g. for biometric recognition, gesture control, coordinated imaging with 2D/3D projected maps), IR/UV imaging for scene enhancement (e.g. seeing through haze, smoke, in the dark), sound direction sensing (e.g.
- each of these sensor inputs may be fed to a digital signal processor (DSP) for processing, such as internal to the eyepiece or as interfaced to external processing facilities.
- DSP digital signal processor
- the outputs of the DSP processing of each sensor input stream may then be algorithmically combined in a manner to generate useful intelligence data.
- this system may be useful for a combination of real-time facial recognition, real time voice detection, and analysis through links to a database, especially with distortion corrections and contemporaneous GPS location for soldiers, service personnel, and the like, such as in monitoring remote areas of interest, e.g., known paths or trails, or high-security areas.
- the augmented reality eyepiece or glasses may be powered by any stored energy system, such as battery power, solar power, line power, and the like.
- a solar energy collector may be placed on the frame, on a belt clip, and the like. Battery charging may occur using a wall charger, car charger, on a belt clip, in a glasses case, and the like.
- the eyepiece may be rechargeable and be equipped with a mini-USB connector for recharging.
- the eyepiece may be equipped for remote inductive recharging by one or more remote inductive power conversion technologies, such as those provided by Powercast, Ligonier, Pa., USA; and Fulton Int'l. Inc., Ada, Mich., USA, which also owns another provider, Splashpower, Inc., Cambridge, UK.
- the augmented reality eyepiece also includes a camera and any interface necessary to connect the camera to the circuit.
- the output of the camera may be stored in memory and may also be displayed on the display available to the wearer of the glasses.
- a display driver may also be used to control the display.
- the augmented reality device also includes a power supply, such as a battery, as shown, power management circuits and a circuit for recharging the power supply. As noted elsewhere, recharging may take place via a hard connection, e.g., a mini-USB connector, or by means of an inductor, a solar panel input, and so forth.
- the control system for the eyepiece or glasses may include a control algorithm for conserving power when the power source, such as a battery, indicates low power.
- This conservation algorithm may include shutting power down to applications that are energy intensive, such as lighting, a camera, or sensors that require high levels of energy, such as any sensor requiring a heater, for example.
- Other conservation steps may include slowing down the power used for a sensor or for a camera, e.g., slowing the sampling or frame rates, going to a slower sampling or frame rate when the power is low; or shutting down the sensor or camera at an even lower level.
- Applications of the present disclosure may be controlled through movements and direct actions of the wearer, such as movement of his or her hand, finger, feet, head, eyes, and the like, enabled through facilities of the eyepiece (e.g. accelerometers, gyros, cameras, optical sensors, GPS sensors, and the like) and/or through facilities worn or mounted on the wearer (e.g. body mounted sensor control facilities).
- the wearer may directly control the eyepiece through movements and/or actions of their body without the use of a traditional hand-held remote controller.
- the wearer may have a sense device, such as a position sense device, mounted on one or both hands, such as on at least one finger, on the palm, on the back of the hand, and the like, where the position sense device provides position data of the hand, and provides wireless communications of position data as command information to the eyepiece.
- the sense device of the present disclosure may include a gyroscopic device (e.g.
- a wearer may have a position sense device mounted on their right index finger, where the device is able to sense motion of the finger.
- the user may activate the eyepiece either through some switching mechanism on the eyepiece or through some predetermined motion sequence of the finger, such as moving the finger quickly, tapping the finger against a hard surface, and the like.
- tapping against a hard surface may be interpreted through sensing by accelerometers, force sensors, pressure sensors, and the like.
- the position sense device may then transmit motions of the finger as command information, such as moving the finger in the air to move a cursor across the displayed or projected image, moving in quick motion to indicate a selection, and the like.
- the position sense device may send sensed command information directly to the eyepiece for command processing, or the command processing circuitry may be co-located with the position sense device, such as in this example, mounted on the finger as part of an assembly including the sensors of the position sense device.
- the wearer may have a plurality of position sense devices mounted on their body.
- the wearer may have position sense devices mounted on a plurality of points on the hand, such as with individual sensors on different fingers, or as a collection of devices, such as in a glove.
- the aggregate sense command information from the collection of sensors at different locations on the hand may be used to provide more complex command information.
- the wearer may use a sensor device glove to play a game, where the glove senses the grasp and motion of the user's hands on a ball, bat, racket, and the like, in the use of the present disclosure in the simulation and play of a simulated game.
- the plurality of position sense devices may be mounted on different parts of the body, allowing the wearer to transmit complex motions of the body to the eyepiece for use by an application.
- the sense device may have a force sensor, pressure sensor, and the like, such as for detecting when the sense device comes in contact with an object.
- a sense device may include a force sensor at the tip of a wearer's finger.
- the wearer may tap, multiple tap, sequence taps, swipe, touch, and the like to generate a command to the eyepiece.
- Force sensors may also be used to indicate degrees of touch, grip, push, and the like, where predetermined or learned thresholds determine different command information. In this way, commands may be delivered as a series of continuous commands that constantly update the command information being used in an application through the eyepiece.
- a wearer may be running a simulation, such as a game application, military application, commercial application, and the like, where the movements and contact with objects, such as through at least one of a plurality of sense devices, are fed to the eyepiece as commands that influence the simulation displayed through the eyepiece.
- a sense device may be included in a pen controller, where the pen controller may have a force sensor, pressure sensor, inertial measurement unit, and the like, and where the pen controller may be used to produce virtual writing, control a cursor associated with the eyepiece's display, act as a computer mouse, provide control commands though physical motion and/or contact, and the like.
- the sense device may include an optical sensor or optical transmitter as a way for movement to be interpreted as a command.
- a sense device may include an optical sensor mounted on the hand of the wearer, and the eyepiece housing may include an optical transmitter, such that when a user moves their hand past the optical transmitter on the eyepiece, the motions may be interpreted as commands.
- a motion detected through an optical sensor may include swiping past at different speeds, with repeated motions, combinations of dwelling and movement, and the like.
- optical sensors and/or transmitters may be located on the eyepiece, mounted on the wearer (e.g. on the hand, foot, in a glove, piece of clothing), or used in combinations between different areas on the wearer and the eyepiece, and the like.
- a number of sensors useful for monitoring the condition of the wearer or a person in proximity to the wearer are mounted within the augmented reality glasses. Sensors have become much smaller, thanks to advances in electronics technology. Signal transducing and signal processing technologies have also made great progress in the direction of size reduction and digitization. Accordingly, it is possible to have not merely a temperature sensor in the AR glasses, but an entire sensor array.
- These sensors may include, as noted, a temperature sensor, and also sensor to detect: pulse rate; beat-to-beat heart variability; EKG or ECG; respiration rate; core body temperature; heat flow from the body; galvanic skin response or GSR; EMG; EEG; EOG; blood pressure; body fat; hydration level; activity level; oxygen consumption; glucose or blood sugar level; body position; and UV radiation exposure or absorption.
- a retinal sensor and a blood oxygenation sensor such as an Sp0 2 sensor
- Such sensors are available from a variety of manufacturers, including Vermed, Bellows Falls, Vt., USA; VTI, Ventaa, Finland; and ServoFlow, Lexington, Mass., USA.
- sensors mounted on the person or on equipment of the person rather than on the glasses themselves.
- accelerometers, motion sensors and vibration sensors may be usefully mounted on the person, on clothing of the person, or on equipment worn by the person. These sensors may maintain continuous or periodic contact with the controller of the AR glasses through a Bluetooth® radio transmitter or other radio device adhering to IEEE 802.11 specifications.
- the sensors may be more useful if they are mounted directly on the person's skin, or even on a T-shirt worn by the person, rather than mounted on the glasses. In these cases, a more accurate reading may be obtained by a sensor placed on the person or on the clothing rather than on the glasses.
- Such sensors need not be as tiny as the sensors which would be suitable for mounting on the glasses themselves, and be more useful, as seen.
- the AR glasses or goggles may also include environmental sensors or sensor arrays. These sensors are mounted on the glasses and sample the atmosphere or air in the vicinity of the wearer. These sensors or sensor array may be sensitive to certain substances or concentrations of substances. For example, sensors and arrays are available to measure concentrations of carbon monoxide, oxides of nitrogen (“NO x ”), temperature, relative humidity, noise level, volatile organic chemicals (VOC), ozone, particulates, hydrogen sulfide, barometric pressure and ultraviolet light and its intensity.
- OOC volatile organic chemicals
- Vendors and manufacturers include: Sensares, Crolles, FR; Cairpol, Ales, FR; Critical Environmental Technologies of Canada, Delta, B.C., Canada; Apollo Electronics Co., Shenzhen, China; and AV Technology Ltd., Stockport, Cheshire, UK.
- Many other sensors are well known. If such sensors are mounted on the person or on clothing or equipment of the person, they may also be useful. These environmental sensors may include radiation sensors, chemical sensors, poisonous gas sensors, and the like.
- environmental sensors, health monitoring sensors, or both are mounted on the frames of the augmented reality glasses.
- the sensors may be mounted on the person or on clothing or equipment of the person.
- a sensor for measuring electrical activity of a heart of the wearer may be implanted, with suitable accessories for transducing and transmitting a signal indicative of the person's heart activity.
- the signal may be transmitted a very short distance via a Bluetooth® radio transmitter or other radio device adhering to IEEE 802.15.1 specifications. Other frequencies or protocols may be used instead.
- the signal may then be processed by the signal-monitoring and processing equipment of the augmented reality glasses, and recorded and displayed on the virtual screen available to the wearer.
- the signal may also be sent via the AR glasses to a friend or squad leader of the wearer.
- the health and well-being of the person may be monitored by the person and by others, and may also be tracked over time.
- environmental sensors may be mounted on the person or on equipment of the person.
- radiation or chemical sensors may be more useful if worn on outer clothing or a web-belt of the person, rather than mounted directly on the glasses.
- signals from the sensors may be monitored locally by the person through the AR glasses.
- the sensor readings may also be transmitted elsewhere, either on demand or automatically, perhaps at set intervals, such as every quarter-hour or half-hour.
- a history of sensor readings whether of the person's body readings or of the environment, may be made for tracking or trending purposes.
- an RF/micropower impulse radio (MIR) sensor may be associated with the eyepiece and serve as a short-range medical radar.
- the sensor may operate on an ultra-wide band.
- the sensor may include an RF/impulse generator, receiver, and signal processor, and may be useful for detecting and measuring cardiac signals by measuring ion flow in cardiac cells within 3 mm of the skin.
- the receiver may be a phased array antenna to enable determining a location of the signal in a region of space.
- the sensor may be used to detect and identify cardiac signals through blockages, such as walls, water, concrete, dirt, metal, wood, and the like. For example, a user may be able to use the sensor to determine how many people are located in a concrete structure by how many heart rates are detected.
- a detected heart rate may serve as a unique identifier for a person so that they may be recognized in the future.
- the RF/impulse generator may be embedded in one device, such as the eyepiece or some other device, while the receiver is embedded in a different device, such as another eyepiece or device. In this way, a virtual “tripwire” may be created when a heart rate is detected between the transmitter and receiver.
- the sensor may be used as an in-field diagnostic or self-diagnosis tool. EKG's may be analyzed and stored for future use as a biometric identifier. A user may receive alerts of sensed heart rate signals and how many heart rates are present as displayed content in the eyepiece.
- FIG. 29 depicts an embodiment 2900 of an augmented reality eyepiece or glasses with a variety of sensors and communication equipment.
- One or more than one environmental or health sensors are connected to a sensor interface locally or remotely through a short range radio circuit and an antenna, as shown.
- the sensor interface circuit includes all devices for detecting, amplifying, processing and sending on or transmitting the signals detected by the sensor(s).
- the remote sensors may include, for example, an implanted heart rate monitor or other body sensor (not shown).
- the other sensors may include an accelerometer, an inclinometer, a temperature sensor, a sensor suitable for detecting one or more chemicals or gasses, or any of the other health or environmental sensors discussed in this disclosure.
- the sensor interface is connected to the microprocessor or microcontroller of the augmented reality device, from which point the information gathered may be recorded in memory, such as random access memory (RAM) or permanent memory, read only memory (ROM), as shown.
- RAM random access memory
- ROM read only memory
- a sense device enables simultaneous electric field sensing through the eyepiece.
- Electric field (EF) sensing is a method of proximity sensing that allows computers to detect, evaluate and work with objects in their vicinity. Physical contact with the skin, such as a handshake with another person or some other physical contact with a conductive or a non-conductive device or object, may be sensed as a change in an electric field and either enable data transfer to or from the eyepiece or terminate data transfer.
- videos captured by the eyepiece may be stored on the eyepiece until a wearer of the eyepiece with an embedded electric field sensing transceiver touches an object and initiates data transfer from the eyepiece to a receiver.
- the transceiver may include a transmitter that includes a transmitter circuit that induces electric fields toward the body and a data sense circuit, which distinguishes transmitting and receiving modes by detecting both transmission and reception data and outputs control signals corresponding to the two modes to enable two-way communication.
- An instantaneous private network between two people may be generated with a contact, such as a handshake.
- Data may be transferred between an eyepiece of a user and a data receiver or eyepiece of the second user. Additional security measures may be used to enhance the private network, such as facial or audio recognition, detection of eye contact, fingerprint detection, biometric entry, and the like.
- an authentication facility associated with accessing functionality of the eyepiece, such as access to displayed or projected content, access to restricted projected content, enabling functionality of the eyepiece itself (e.g. as through a login to access functionality of the eyepiece) either in whole or in part, and the like.
- Authentication may be provided through recognition of the wearer's voice, iris, retina, fingerprint, and the like, or other biometric identifier.
- the eyepiece or an associated controller may have an IR, ultrasonic or capacitive tactile sensor for receiving control input related to authentication or other eyepiece functions.
- a capacitance sensor can detect a fingerprint and launch an application or otherwise control an eyepiece function.
- Each finger has a different fingerprint so each finger can be used to control different eyepiece functions or quick launch different applications or provide various levels of authentication. Capacitance does not work with gloves but an ultrasonic sensor does and can be used in the same way to provide biometric authentication or control. Ultrasonic sensors useful in the eyepiece or associated controller include Sonavation's SonicTouchTM technology used in Sonavation's SonicSlideTM sensors, which works by acoustically measuring the ridges and valleys of the fingerprint to image the fingerprint in 256 shades of gray in order to discern the slightest fingerprint detail.
- the key imaging component of the SonicSlideTM sensor is the ceramic Micro-Electro Mechanical System (MEMS) piezoelectric transducer array that is made from a ceramic composite material.
- MEMS Micro-Electro Mechanical System
- the authentication system may provide for a database of biometric inputs for a plurality of users such that access control may be provided for use of the eyepiece based on policies and associated access privileges for each of the users entered into the database.
- the eyepiece may provide for an authentication process. For instance, the authentication facility may sense when a user has taken the eyepiece off, and require re-authentication when the user puts it back on. This better ensures that the eyepiece only provides access to those users that are authorized, and for only those privileges that the wearer is authorized for.
- the authentication facility may be able to detect the presence of a user's eye or head as the eyepiece is put on. In a first level of access, the user may only be able to access low-sensitivity items until authentication is complete.
- the authentication facility may identify the user, and look up their access privileges. Once these privileges have been determined, the authentication facility may then provide the appropriate access to the user. In the case of an unauthorized user being detected, the eyepiece may maintain access to low-sensitivity items, further restrict access, deny access entirely, and the like.
- a receiver may be associated with an object to enable control of that object via touch by a wearer of the eyepiece, wherein touch enables transmission or execution of a command signal in the object.
- a receiver may be associated with a car door lock. When a wearer of the eyepiece touches the car, the car door may unlock.
- a receiver may be embedded in a medicine bottle. When the wearer of the eyepiece touches the medicine bottle, an alarm signal may be initiated.
- a receiver may be associated with a wall along a sidewalk. As the wearer of the eyepiece passes the wall or touches the wall, advertising may be launched either in the eyepiece or on a video panel of the wall.
- a WiFi exchange of information with a receiver may provide an indication that the wearer is connected to an online activity such as a game or may provide verification of identity in an online environment.
- a representation of the person could change color or undergo some other visual indication in response to the contact.
- the eyepiece may include a tactile interface as in FIG. 14 , such as to enable haptic control of the eyepiece, such as with a swipe, tap, touch, press, click, roll of a rollerball, and the like.
- the tactile interface 1402 may be mounted on the frame of the eyepiece 1400 , such as on an arm, both arms, the nosepiece, the top of the frame, the bottom of the frame, and the like.
- the tactile interface 1402 may include controls and functionality similar to a computer mouse, with left and right buttons, a 2D position control pad such as described herein, and the like.
- the tactile interface may be mounted on the eyepiece near the user's temple and act as a ‘temple mouse’ controller for the eyepiece projected content to the user and may include a temple-mounted rotary selector and enter button.
- the tactile interface may be one or more vibratory temple motors which may vibrate to alert or notify the user, such as to danger left, danger right, a medical condition, and the like.
- the tactile interface may be mounted on a controller separate from the eyepiece, such as a worn controller hand-carried controller, and the like. If there is an accelerometer in the controller then it may sense the user tapping, such as on a keyboard, on their hand (either on the hand with the controller or tapping with the hand that has the controller), and the like.
- the wearer may then touch the tactile interface in a plurality of ways to be interpreted by the eyepiece as commands, such as by tapping one or multiple times on the interface, by brushing a finger across the interface, by pressing and holding, by pressing more than one interface at a time, and the like.
- the tactile interface may be attached to the wearer's body (e.g. their hand, arm, leg, torso, neck), their clothing, as an attachment to their clothing, as a ring 1500 , as a bracelet, as a necklace, and the like.
- the interface may be attached on the body, such as on the back of the wrist, where touching different parts of the interface provides different command information (e.g.
- the tactile interface may incorporate resistive touch technologies, capacitive touch technologies, proportional pressure touch technologies, and the like.
- the tactile interface may utilize discrete resistive touch technologies where the application requires the interface to be simple, rugged, low power, and the like.
- the tactile interface may utilize capacitive tough technologies where more functionality is required through the interface, such as though movement, swiping, multi-point contacts, and the like.
- the tactile interface may utilize pressure touch technologies, such as when variable pressure commanding is required. In embodiments, any of these, or like touch technologies, may be used in any tactile interface as described herein.
- the wearer may have an interface mounted in a ring as shown in FIG. 15 , a hand piece, and the like, where the interface may have at least one of a plurality of command interface types, such as a tactile interface, a position sensor device, and the like with wireless command connection to the eyepiece.
- the ring 1500 may have controls that mirror a computer mouse, such as buttons 1504 (e.g. functioning as a one-button, multi-button, and like mouse functions), a 2D position control 1502 , scroll wheel, and the like.
- the buttons 1504 and 2D position control 1502 may be as shown in FIG. 15 , where the buttons are on the side facing the thumb and the 2D position controller is on the top.
- buttons and 2D position control may be in other configurations, such as all facing the thumb side, all on the top surface, or any other combination.
- the 2D position control 1502 may be a 2D button position controller (e.g. such as the TrackPoint pointing device embedded in some laptop keyboards to control the position of the mouse), a pointing stick, joystick, an optical track pad, an opto touch wheel, a touch screen, touch pad, track pad, scrolling track pad, trackball, any other position or pointing controller, and the like.
- control signals from the tactile interface may be provided with a wired or wireless interface to the eyepiece, where the user is able to conveniently supply control inputs, such as with their hand, thumb, finger, and the like.
- control inputs such as with their hand, thumb, finger, and the like.
- the user may be able to articulate the controls with their thumb, where the ring is worn on the user's index finger.
- a method or system may provide an interactive head-mounted eyepiece worn by a user, wherein the eyepiece includes an optical assembly through which the user views a surrounding environment and displayed content, a processor for handling content for display to the user, and an integrated projector facility for projecting the content to the optical assembly, and a control device worn on the body of the user, such as a hand of the user, including at least one control component actuated by the user, and providing a control command from the actuation of the at least one control component to the processor as a command instruction.
- the command instruction may be directed to the manipulation of content for display to the user.
- the control device may be worn on a first digit of the hand of the user, and the at least one control component may be actuated by a second digit of a hand of the user.
- the first digit may be the index finger, the second digit the thumb, and the first and second digit on the same hand of the user.
- the control device may have at least one control component mounted on the index finger side facing the thumb.
- the at least one control component may be a button.
- the at least one control component may be a 2D position controller.
- the control device may have at least one button actuated control component mounted on the index finger side facing the thumb, and a 2D position controller actuated control component mounted on the top facing side of the index finger.
- the control components may be mounted on at least two digits of the user's hand.
- the control device may be worn as a glove on the hand of the user.
- the control device may be worn on the wrist of the user.
- the at least one control component may be worn on at least one digit of the hand, and a transmission facility may be worn separately on the hand.
- the transmission facility may be worn on the wrist.
- the transmission facility may be worn on the back of the hand.
- the control component may be at least one of a plurality of buttons.
- the at least one button may provide a function substantially similar to a conventional computer mouse button. Two of the plurality of buttons may function substantially similar to primary buttons of a conventional two-button computer mouse.
- the control component may be a scrolling wheel.
- the control component may be a 2D position control component.
- the 2D position control component may be a button position controller, pointing stick, joystick, optical track pad, opto-touch wheel, touch screen, touch pad, track pad, scrolling track pad, trackball, capacitive touch screen, and the like.
- the 2D position control component may be controlled with the user's thumb.
- the control component may be a touch-screen capable of implementing touch controls including button-like functions and 2D manipulation functions. The control component may be actuated when the user puts on the projected processor content pointing and control device.
- the wearer may have an interface mounted in a ring 1500 AA that includes a camera 1502 AA, such as shown in FIG. 15 AA.
- the ring controller 1502 AA may have control interface types as described herein, such as through buttons 1504 , 2D position control 1502 , 3D position control (e.g. utilizing accelerometers, gyros), and the like.
- the ring controller 1500 AA may then be used to control functions within the eyepiece, such as controlling the manipulation of the projected display content to the wearer.
- the control interfaces 1502 , 1504 may provide control aspects to the embedded camera 1502 AA, such as on/off, zoom, pan, focus, recording a still image picture, recording a video, and the like.
- the functions may be controlled through other control aspects of the eyepiece, such as through voice control, other tactile control interfaces, eye gaze detection as described herein, and the like.
- the camera may also have automatic control functions enabled, such as auto-focus, timed functions, face detection and/or tracking, auto-zoom, and the like.
- the ring controller 1500 AA with integrated camera 1502 AA may be used to view the wearer 1508 AA during a videoconference enabled through the eyepiece, where the wearer 1508 AA may hold the ring controller (e.g. as mounted on their finger) out in order to allow the camera 1502 AA a view of their face for transmission to at least one other participant on the videoconference.
- the wearer may take the ring controller 1500 AA off and place it down on a surface 1510 AA (e.g. a table top) such that the camera 1502 AA has a view of the wearer.
- An image of the wearer 1512 AA may then be displayed on the display area 1518 AA of the eyepiece and transmitted to others on the videoconference, such as along with the images 1514 AA of other participants on the videoconference call.
- the camera 1502 AA may provide for manual or automatic FOV 1504 AA adjustment.
- the wearer may set the ring controller 1500 AA down on a surface 1510 AA for use in a video conference call, and the FOV 1504 AA may be controlled either manually (e.g.
- the FOV 1504 AA may be enabled to change as the wearer moves, such as by tracking by face recognition.
- the FOV 1504 AA may also zoomed in/out to adjust to changes in the position of the wearer's face.
- the camera 1502 AA may be used for a plurality of still and/or video applications, where the view of the camera is provided to the wearer on the display area 1518 AA of the eyepiece, and where storage may be available in the eyepiece for storing the images/videos, which may be transferred, communicated, and the like, from the eyepiece to some external storage facility, user, web-application, and the like.
- a camera may be incorporated in a plurality of different mobile devices, such as worn on the arm, hand, wrist, finger, and the like, such as the watch 3202 with embedded camera 3200 as shown in FIGS. 32-33 .
- any of these mobile devices may include manual and/or automatic functions as described for the ring controller 1502 AA.
- the ring controller 1502 AA may have additional sensors, embedded functions, control features, and the like, such as a fingerprint scanner, tactile feedback, and LCD screen, an accelerometer, Bluetooth, and the like.
- the ring controller may provide for synchronized monitoring between the eyepiece and other control components, such as described herein.
- the eyepiece may provide a system and method for providing an image of the wearer to videoconference participants through the use of an external mirror, where the wearer views themselves in the mirror and an image of themselves is captured through an integrated camera of the eyepiece.
- the captured image may be used directly, or the image may be flipped to correct for the image reversal of the mirror.
- the wearer may enter into a videoconference with a plurality of other people, where the wearer may be able to view live video images of the others though the eyepiece.
- the user may be able to view themselves in the mirror, have the image captured by the integrated camera, and provide the other people with a image of themselves for purposes of the videoconference.
- This image may also be available to the wearer as a projected image to the eyepiece, such as in addition to the images of the other people involved in the videoconference.
- a control component may provide a surface-sensing component in the control device for detecting motion across a surface may also be provided.
- the surface sensing component may be disposed on the palmar side of the user's hand.
- the surface may be at least one of a hard surface, a soft surface, surface of the user's skin, surface of the user's clothing, and the like.
- Providing control commands may be transmitted wirelessly, through a wired connection, and the like.
- the control device may control a pointing function associated with the displayed processor content.
- the pointing function may be control of a cursor position; selection of displayed content, selecting and moving displayed content; control of zoom, pan, field of view, size, position of displayed content; and the like.
- the control device may control a pointing function associated with the viewed surrounding environment.
- the pointing function may be placing a cursor on a viewed object in the surrounding environment.
- the viewed object's location position may be determined by the processor in association with a camera integrated with the eyepiece.
- the viewed object's identification may be determined by the processor in association with a camera integrated with the eyepiece.
- the control device may control a function of the eyepiece.
- the function may be associated with the displayed content.
- the function may be a mode control of the eyepiece.
- the control device may be foldable for ease of storage when not worn by the user.
- the control device may be used with external devices, such as to control the external device in association with the eyepiece. External devices may be entertainment equipment, audio equipment, portable electronic devices, navigation devices, weapons, automotive controls, and the like.
- a body worn control device may provide 3D position sensor information to the eyepiece.
- the control device may act as an ‘air mouse’, where 3D position sensors (e.g. accelerometers, gyros, and the like) provide position information when a user commands so, such as with the click of a button, a voice command, a visually detected gesture, and the like.
- 3D position sensors e.g. accelerometers, gyros, and the like
- the user may be able to use this feature to navigate either a 2D or 3D image being projected to the user via the eyepiece projection system.
- the eyepiece may provide an external relay of the image for display or projection to others, such as in the case of a presentation.
- the user may be able to change the mode of the control device between 2D and 3D, in order to accommodate different functions, applications, user interfaces, and the like.
- multiple 3D control devices may be utilized for certain applications, such as in simulation applications.
- a system may comprise an interactive head-mounted eyepiece worn by a user, wherein the eyepiece includes an optical assembly through which the user views a surrounding environment and displayed content, wherein the optical assembly comprises a corrective element that corrects the user's view of the surrounding environment, an integrated processor for handling content for display to the user, and an integrated image source for introducing the content to the optical assembly; and a tactile control interface mounted on the eyepiece that accepts control inputs from the user through at least one of a user touching the interface and the user being proximate to the interface.
- control of the eyepiece, and especially control of a cursor associated with displayed content to the user may be enabled through hand control, such as with a worn device 1500 as in FIG. 15 , as a virtual computer mouse 1500 A as in FIG. 15A , and the like.
- the worn device 1500 may transmit commands through physical interfaces (e.g. a button 1502 , scroll wheel 1504 ), and the virtual computer mouse 1500 A may be able interpret commands though detecting motion and actions of the user's thumb, fist, hand, and the like.
- a physical mouse is a pointing device that functions by detecting two-dimensional motion relative to its supporting surface.
- a physical mouse traditionally consists of an object held under one of the user's hands, with one or more buttons.
- a virtual mouse may involve one or more sensors attached to the user's hand, such as on the thumb 1502 A, finger 1504 A, palm 1508 A, wrist 1510 A, and the like, where the eyepiece receives signals from the sensors and translates the received signals into motion of a cursor on the eyepiece display to the user.
- the signals may be received through an exterior interface, such as the tactile interface 1402 , through a receiver on the interior of the eyepiece, at a secondary communications interface, on an associated physical mouse or worn interface, and the like.
- the virtual mouse may also include actuators or other output type elements attached to the user's hand, such as for haptic feedback to the user through vibration, force, pressure, electrical impulse, temperature, and the like. Sensors and actuators may be attached to the user's hand by way of a wrap, ring, pad, glove, and the like.
- the eyepiece virtual mouse may allow the user to translate motions of the hand into motion of the cursor on the eyepiece display, where ‘motions’ may include slow movements, rapid motions, jerky motions, position, change in position, and the like, and may allow users to work in three dimensions, without the need for a physical surface, and including some or all of the six degrees of freedom.
- the ‘virtual mouse’ may be associated with multiple portions of the hand, the virtual mouse may be implemented as multiple ‘virtual mouse’ controllers, or as a distributed controller across multiple control members of the hand.
- the eyepiece may provide for the use of a plurality of virtual mice, such as for one on each of the user's hands, one or more of the user's feet, and the like.
- the eyepiece virtual mouse may need no physical surface to operate, and detect motion such as through sensors, such as one of a plurality of accelerometer types (e.g. tuning fork, piezoelectric, shear mode, strain mode, capacitive, thermal, resistive, electromechanical, resonant, magnetic, optical, acoustic, laser, three dimensional, and the like), and through the output signals of the sensor(s) determine the translational and angular displacement of the hand, or some portion of the hand.
- accelerometers may produce output signals of magnitudes proportional to the translational acceleration of the hand in the three directions. Pairs of accelerometers may be configured to detect rotational accelerations of the hand or portions of the hand.
- Translational velocity and displacement of the hand or portions of the hand may be determined by integrating the accelerometer output signals and the rotational velocity and displacement of the hand may be determined by integrating the difference between the output signals of the accelerometer pairs.
- other sensors may be utilized, such as ultrasound sensors, imagers, IR/RF, magnetometer, gyro magnetometer, and the like.
- accelerometers, or other sensors may be mounted on various portions of the hand, the eyepiece may be able to detect a plurality of movements of the hand, ranging from simple motions normally associated with computer mouse motion, to more highly complex motion, such as interpretation of complex hand motions in a simulation application.
- the user may require only a small translational or rotational action to have these actions translated to motions associated with user intended actions on the eyepiece projection to the user.
- the virtual mouse may have physical switches associated with it to control the device, such as an on/off switch mounted on the hand, the eyepiece, or other part of the body.
- the virtual mouse may also have on/off control and the like through pre-defined motions or actions of the hand.
- the operation of the virtual mouse may be enabled through a rapid back and forth motion of the hand.
- the virtual mouse may be disabled through a motion of the hand past the eyepiece, such as in front of the eyepiece.
- the virtual mouse for the eyepiece may provide for the interpretation of a plurality of motions to operations normally associated with physical mouse control, and as such, familiar to the user without training, such as single clicking with a finger, double clicking, triple clicking, right clicking, left clicking, click and drag, combination clicking, roller wheel motion, and the like.
- the eyepiece may provide for gesture recognition, such as in interpreting hand gestures via mathematical algorithms.
- gesture control recognition may be provided through technologies that utilize capacitive changes resulting from changes in the distance of a user's hand from a conductor element as part of the eyepiece's control system, and so would require no devices mounted on the user's hand.
- the conductor may be mounted as part of the eyepiece, such as on the arm or other portion of the frame, or as some external interface mounted on the user's body or clothing.
- the conductor may be an antenna, where the control system behaves in a similar fashion to the touch-less musical instrument known as the theremin.
- the theremin uses the heterodyne principle to generate an audio signal, but in the case of the eyepiece, the signal may be used to generate a control input signal.
- the control circuitry may include a number of radio frequency oscillators, such as where one oscillator operates at a fixed frequency and another controlled by the user's hand, where the distance from the hand varies the input at the control antenna.
- the user's hand acts as a grounded plate (the user's body being the connection to ground) of a variable capacitor in an L-C (inductance-capacitance) circuit, which is part of the oscillator and determines its frequency.
- the circuit may use a single oscillator, two pairs of heterodyne oscillators, and the like.
- this type of control interface may be ideal for control inputs that vary across a range, such as a volume control, a zoom control, and the like. However, this type of control interface may also be used for more discrete control signals (e.g. on/off control) where a predetermined threshold determines the state change of the control input.
- the eyepiece may interface with a physical remote control device, such as a wireless track pad mouse, hand held remote control, body mounted remote control, remote control mounted on the eyepiece, and the like.
- the remote control device may be mounted on an external piece of equipment, such as for personal use, gaming, professional use, military use, and the like.
- the remote control may be mounted on a weapon for a soldier, such as mounted on a pistol grip, on a muzzle shroud, on a fore grip, and the like, providing remote control to the soldier without the need to remove their hands from the weapon.
- the remote control may be removably mounted to the eyepiece.
- a remote control for the eyepiece may be activated and/or controlled through a proximity sensor.
- a proximity sensor may be a sensor able to detect the presence of nearby objects without any physical contact.
- a proximity sensor may emit an electromagnetic or electrostatic field, or a beam of electromagnetic radiation (infrared, for instance), and look for changes in the field or return signal.
- the object being sensed is often referred to as the proximity sensor's target.
- Different proximity sensor targets may demand different sensors. For example, a capacitive or photoelectric sensor might be suitable for a plastic target; an inductive proximity sensor requires a metal target.
- proximity sensor technologies include capacitive displacement sensors, eddy-current, magnetic, photocell (reflective), laser, passive thermal infrared, passive optical, CCD, reflection of ionizing radiation, and the like.
- the proximity sensor may be integral to any of the control embodiments described herein, including physical remote controls, virtual mouse, interfaces mounted on the eyepiece, controls mounted on an external piece of equipment (e.g. a game controller, a weapon), and the like.
- sensors for measuring a user's body motion may be used to control the eyepiece, or as an external input, such as using an inertial measurement unit (IMU), a 3-axis magnetometer, a 3-axis gyro, a 3-axis accelerometer, and the like.
- IMU inertial measurement unit
- sensors for measuring a user's body motion may be used to control the eyepiece, or as an external input, such as using an inertial measurement unit (IMU), a 3-axis magnetometer, a 3-axis gyro, a 3-axis accelerometer, and the like.
- IMU inertial measurement unit
- sensors mounted on the hand(s) of the user thereby enabling the use of the signals from the sensor for control the eyepiece, as described herein.
- sensor signals may be received and interpreted by the eyepiece to assess and/or utilize the body motions of the user for purposes other than control.
- sensors mounted on each leg and each arm of the user may provide signals to the eyepiece that allow the eyepiece to measure
- the gait of the user may then in turn be used to monitor the gait of the user over time, such as to monitor changes in physical behavior, improvement during physical therapy, changes due to a head trauma, and the like.
- the eyepiece may initially determine a baseline gait profile for the user, and then monitor the user over time, such as before and after a physical event (e.g. a sports-related collision, an explosion, an vehicle accident, and the like).
- a physical event e.g. a sports-related collision, an explosion, an vehicle accident, and the like.
- the eyepiece may be used periodically to measure the gait of the user, and maintain the measurements in a database for analysis.
- a running gait time profile may be produced, such as to monitor the user's gait for indications of physical traumas, physical improvements, and the like.
- control of the eyepiece may be enabled through the sensing of the motion of a facial feature, the tensing of a facial muscle, the clicking of the teeth, the motion of the jaw, and the like, of the user wearing the eyepiece through a facial actuation sensor 1502 B.
- the eyepiece may have a facial actuation sensor as an extension from the eyepiece earphone assembly 1504 B, from the arm 1508 B of the eyepiece, and the like, where the facial actuation sensor may sense a force, a vibration, and the like associated with the motion of a facial feature.
- the facial actuation sensor may also be mounted separate from the eyepiece assembly, such as part of a standalone earpiece, where the sensor output of the earpiece and the facial actuation sensor may be either transferred to the eyepiece by either wired or wireless communication (e.g. Bluetooth or other communications protocol known to the art).
- the facial actuation sensor may also be attached to around the ear, in the mouth, on the face, on the neck, and the like.
- the facial actuation sensor may also be comprised of a plurality of sensors, such as to optimize the sensed motion of different facial or interior motions or actions. In embodiments, the facial actuation sensor may detect motions and interpret them as commands, or the raw signals may be sent to the eyepiece for interpretation.
- Commands may be commands for the control of eyepiece functions, controls associated with a cursor or pointer as provided as part of the display of content to the user, and the like. For example, a user may click their teeth once or twice to indicate a single or double click, such as normally associated with the click of a computer mouse. In another example, the user may tense a facial muscle to indicate a command, such as a selection associated with the projected image.
- the facial actuation sensor may utilize noise reduction processing to minimize the background motions of the face, the head, and the like, such as through adaptive signal processing technologies.
- a voice activity sensor may also be utilized to reduce interference, such as from the user, from other individuals nearby, from surrounding environmental noise, and the like.
- the facial actuation sensor may also improve communications and eliminate noise by detecting vibrations in the cheek of the user during speech, such as with multiple microphones to identify the background noise and eliminate it through noise cancellation, volume augmentation, and the like.
- the user of the eyepiece may be able to obtain information on some environmental feature, location, object, and the like, viewed through the eyepiece by raising their hand into the field of view of the eyepiece and pointing at the object or position.
- the pointing finger of the user may indicate an environmental feature, where the finger is not only in the view of the eyepiece but also in the view of an embedded camera.
- the system may now be able to correlate the position of the pointing finger with the location of the environmental feature as seen by the camera.
- the eyepiece may have position and orientation sensors, such as GPS and a magnetometer, to allow the system to know the location and line of sight of the user.
- the system may be able to extrapolate the position information of the environmental feature, such as to provide the location information to the user, to overlay the position of the environmental information onto a 2D or 3D map, to further associate the established position information to correlate that position information to secondary information about that location (e.g. address, names of individuals at the address, name of a business at that location, coordinates of the location), and the like.
- the user is looking though the eyepiece 1502 C and pointing with their hand 1504 C at a house 1508 C in their field of view, where an embedded camera 1510 C has both the pointed hand 1504 C and the house 1508 C in its field of view.
- the system is able to determine the location of the house 1508 C and provide location information 1514 C and a 3D map superimposed onto the user's view of the environment.
- the information associated with an environmental feature may be provided by an external facility, such as communicated with through a wireless communication connection, stored internal to the eyepiece, such as downloaded to the eyepiece for the current location, and the like.
- information provided to the wearer of the eyepiece may include any of a plurality of information related to the scene as viewed by the wearer, such as geographic information, point of interest information, social networking information (e.g.
- Twitter, Facebook, and the like information related to a person standing in front of the wearer augmented around the person, such as ‘floating’ around the person), profile information (e.g. such as stored in the wearer's contact list), historical information, consumer information, product information, retail information, safety information, advertisements, commerce information, security information, game related information, humorous annotations, news related information, and the like.
- the user may be able to control their view perspective relative to a 3D projected image, such as a 3D projected image associated with the external environment, a 3D projected image that has been stored and retrieved, a 3D displayed movie (such as downloaded for viewing), and the like.
- a 3D projected image such as a 3D projected image associated with the external environment, a 3D projected image that has been stored and retrieved, a 3D displayed movie (such as downloaded for viewing), and the like.
- the user may be able to change the view perspective of the 3D displayed image 1512 C, such as by turning their head, and where the live external environment and the 3D displayed image stay together even as the user turns their head, moves their position, and the like.
- the eyepiece may be able to provide an augmented reality by overlaying information onto the user's viewed external environment, such as the overlaid 3D displayed map 1512 C, the location information 1514 C, and the like, where the displayed map, information, and the like, may change as the user's view changes.
- the perspective of the viewer may be changed to put the viewer ‘into’ the movie environment with some control of the viewing perspective, where the user may be able to move their head around and have the view change in correspondence to the changed head position, where the user may be able to ‘walk into’ the image when they physically walk forward, have the perspective change as the user moves the gazing view of their eyes, and the like.
- additional image information may be provided, such as at the sides of the user's view that could be accessed by turning the head.
- the user of one eyepiece may be able to synchronize their view of a projected image with at least the view of a second user of an eyepiece.
- two separate eyepiece users may wish to view the same 3D map, game projection, point-of-interest projection, and the like, where the two viewers are not only seeing the same projected content, but where the projected content's view is synchronized between them.
- two users may want to jointly view a 3D map of a region, and the image is synchronized such that the one user may be able to point at a position on the 3D map that the other user is able to see and interact with.
- the two users may be able to move around the 3D map and share a virtual-physical interaction between the two users and the 3D map, and the like. Further, a group of eyepiece wearers may be able to jointly interact with a projection as a group. In this way, two or more users may be able to have a unified augmented reality experience through the coordination-synchronization of their eyepieces. Synchronization of two or more eyepieces may be provided by communication of position information between the eyepieces, such as absolute position information, relative position information, translation and rotational position information, and the like, such as from position sensors as described herein (e.g. gyroscopes, IMU, GPS, and the like).
- position information between the eyepieces such as absolute position information, relative position information, translation and rotational position information, and the like, such as from position sensors as described herein (e.g. gyroscopes, IMU, GPS, and the like).
- Communications between the eyepieces may be direct, through an Internet network, through the cell-network, through a satellite network, and the like.
- Processing of position information contributing to the synchronization may be executed in a master processor in a single eyepiece, collectively amongst a group of eyepieces, in remote server system, and the like, or any combination thereof.
- the coordinated, synchronized view of projected content between multiple eyepieces may provide an extended augmented reality experience from the individual to a plurality of individuals, where the plurality of individuals benefit from the group augmented reality experience.
- a group of concertgoers may synchronize their eyepieces with a feed from the concert producers such that visual effects or audio may be pushed to people with eyepieces by the concert producer, performers, other audience members, and the like.
- the performer may have a master eyepiece and may control sending content to audience members.
- the content may be the performer's view of the surrounding environment.
- the performer may be using the master eyepiece for applications as well, such as controlling an external lighting system, interacting with an augmented reality drum kit or sampling board, calling up song lyrics, and the like.
- the eyepiece may utilize sound projection techniques to realize a direction of sound for the wearer of the eyepiece, such as with surround sound techniques.
- Realization of a direction of sound for a wearer may include the reproduction of the sound from the direction of origin, either in real-time or as a playback. It may include a visual or audible indicator to provide a direction for the source of sound.
- Sound projection techniques may be useful to an individual that has their hearing impaired or blocked, such as due to the user experiencing hearing loss, a user wearing headphones, a user wearing hearing protection, and the like.
- the eyepiece may provide enhanced 3D audible reproduction.
- the wearer may have headphones on, and a gunshot has been fired.
- the eyepiece may be able to reproduce the 3D sound profile for the sound of the gunshot, thus allowing the wearer to respond to the gunshot knowing where the sound came from.
- a wearer with headphones, hearing loss, in a loud environment, and the like may not otherwise be able to tell what's being said and/or the direction of the person speaking, but is provided with a 3D sound enhancement from the eyepiece (e.g. the wearer is listening to other proximate individuals through headphones and so does not have directionality information).
- a wearer may be in a loud ambient environment, or in an environment where periodic loud noises can occur.
- the eyepiece may have the ability to cut off the loud sound to protect the wearer's hearing, or the sound could be so loud that the wearer can't tell where the sound came from, and further, now their ears could be ringing so loud they can't hear anything.
- the eyepiece may provide visible, auditory, vibration, and the like queues to the wearer to indicate the direction of the sound source.
- the eyepiece may provide “augmented” hearing where the wearer's ears are plugged to protect their ears from loud noises, but using the ear buds to generate a reproduction of sound to replace what's missing form the natural world. This artificial sound may then be used to give directionality to wirelessly transmitted communication that the operator could't hear naturally.
- an example of a configuration for establishing directionality of a source sound may be point different microphones in different directions.
- at least one microphone may be used for the voice of the wearer, at least one microphone for the surrounding environment, at least one pointing down at the ground, and potentially in a plurality of different discrete directions.
- the microphone pointing down may be subtracted to isolate other sounds, which may be combined with 3D sound surround, and augmented hearing techniques, as described herein.
- a sound augmented system as part of the eyepiece, there are a number of users with eyepieces, such as in a noisy environment where all the users have ‘plugged ears’ as implemented through artificial noise blockage through the eyepiece ear buds.
- One of wearers may yell out that they need some piece of equipment. Because of all the ambient noise and the hearing protection the eyepiece creates, no one can hear the request for equipment.
- the wearer making the verbal request has a filtered microphone close to their mouth, and they could wirelessly transmit the request to the others, where their eyepiece could relay a sound signal to the other user's eyepieces, and to the ear on the correct side, and the others would know to look to the right or left to see who has made the request.
- This system could be further enhanced with geo-locations of all the wearers, and a “virtual” surround sound system that uses the two ear buds to give the perception of 3D space (such as the SRS True Surround Technology).
- auditory queues could also be computer generated so the communicating user doesn't need to verbalize their communication but can select it from a list of common commands, the computer generates the communication based on preconfigured conditions, and the like.
- the wearers may be in a situation where they don't want a display in front of their eyes but want to have ear buds in their ears. In this case, if they wanted to notify someone in a group to get up and follow them, they could just click a controller a certain number of times, or provide a visual hand gesturer with a camera, an IMU, and the like.
- the system may choose the ‘follow me’ command and transmit it to the other users with the communicating user's location for the 3D system to trick them into hearing from where they are actually sitting out of sight of them.
- directional information may be determined and/or provided through position information from the users of eyepieces.
- the eyepiece may provide aspects of signals intelligence (SIGINT), such as in the use of existing WiFi, 3G, Bluetooth, and the like communications signals to gather signals intelligence for devices and users in proximity to the wearer of the eyepiece.
- SIGINT signals intelligence
- These signals may be from other eyepieces, such as to gather information about other known friendly users; other eyepieces that have been picked up by an unauthorized individual, such as through a signal that is generated when an unauthorized user tries to use the eyepiece; other communications devices (e.g. radios, cell phones, pagers, walky-talkies, and the like); electronic signals emanating from devices that may not be directly used for communications; and the like.
- Information gathered by the eyepiece may be direction information, position information, motion information, number of and/or rate of communications, and the like. Further, information may be gathered through the coordinated operations of multiple eyepieces, such as in the triangulation of a signal for determination of the signal's location.
- the user of the eyepiece 1502 D may be able to use multiple hand/finger points from their hand 1504 D to define the field of view (FOV) 1508 D of the camera 1510 D relative to the see-thru view, such as for augmented reality applications.
- FOV field of view
- the user is utilizing their first finger and thumb to adjust the FOV 1508 D of the camera 1510 D of the eyepiece 1502 D.
- the user may utilize other combinations to adjust the FOV 1508 D, such as with combinations of fingers, fingers and thumb, combinations of fingers and thumbs from both hands, use of the palm(s), cupped hand(s), and the like.
- the use of multiple hand/finger points may enable the user to alter the FOV 1508 of the camera 1510 D in much the same way as users of touch screens, where different points of the hand/finger establish points of the FOV to establish the desired view. In this instance however, there is no physical contact made between the user's hand(s) and the eyepiece.
- the camera may be commanded to associate portions of the user's hand(s) to the establishing or changing of the FOV of the camera.
- the command may be any command type described herein, including and not limited to hand motions in the FOV of the camera, commands associated with physical interfaces on the eyepiece, commands associated with sensed motions near the eyepiece, commands received from a command interface on some portion of the user, and the like.
- the eyepiece may be able to recognize the finger/hand motions as the command, such as in some repetitive motion.
- the user may also utilize this technique to adjust some portion of the projected image, where the eyepiece relates the viewed image by the camera to some aspect of the projected image, such as the hand/finger points in view to the projected image of the user.
- the user may be simultaneously viewing the external environment and a projected image, and the user utilizes this technique to change the projected viewing area, region, magnification, and the like.
- the user may perform a change of FOV for a plurality of reasons, including zooming in or out from a viewed scene in the live environment, zoom in or out from a viewed portion of the projected image, to change the viewing area allocated to the projected image, to change the perspective view of the environment or projected image, and the like.
- the eyepiece may enable simultaneous FOVs.
- simultaneous wide, medium, and narrow camera FOVs may be used, where the user can have different FOVs up simultaneously in view (i.e. wide to show the entire field, perhaps static, and narrow to focus on a particular target, perhaps moving with the eye or with a cursor).
- the eyepiece may be able to determine where the user is gazing, or the motion of the user's eye, by tracking the eye through reflected light off the user's eye. This information may then be used to help correlate the user's line of sight with respect to the projected image, a camera view, the external environment, and the like, and used in control techniques as described herein. For instance, the user may gaze at a location on the projected image and make a selection, such as with an external remote control or with some detected eye movement (e.g. blinking).
- transmitted light 1508 E such as infrared light, may be reflected 1510 E from the eye 1504 E and sensed at the optical display 502 (e.g.
- an eye tracking facility may use the corneal reflection and the center of the pupil as features to track over time; use reflections from the front of the cornea and the back of the lens as features to track; image features from inside the eye, such as the retinal blood vessels, and follow these features as the eye rotates; and the like.
- the eyepiece may use other techniques to track the motions of the eye, such as with components surrounding the eye, mounted in contact lenses on the eye, and the like.
- a special contact lens may be provided to the user with an embedded optical component, such as a mirror, magnetic field sensor, and the like, for measuring the motion of the eye.
- electric potentials may be measured and monitored with electrodes placed around the eyes, utilizing the steady electric potential field from the eye as a dipole, such as with its positive pole at the cornea and its negative pole at the retina.
- the electric signal may be derived using contact electrodes placed on the skin around the eye, on the frame of the eyepiece, and the like. If the eye moves from the centre position towards the periphery, the retina approaches one electrode while the cornea approaches the opposing one. This change in the orientation of the dipole and consequently the electric potential field results in a change in the measured signal. By analyzing these changes eye movement may be tracked.
- eye gaze direction of the user and associated control involves placement (by the eyepiece) and optional selection (by the user) of a visual indicator in the user's peripheral vision, such as in order to reduce clutter in the narrow portion of the user's visual field around the gaze direction where the eye's highest visual input resides.
- the eyepiece may provide projected visual indicators in the periphery of vision as cues to the user. This way the brain may only have to process the detection of the indicator, and not the information associated with the indicator, thus decrease the potential for overloading the user with information.
- the indicator may be an icon, a picture, a color, symbol, a blinking object, and the like, and indicate an alert, an email arriving, an incoming phone call, a calendar event, an internal or external processing facility that requires attention from the user, and the like.
- the visual indicator With the visual indicator in the periphery, the user may become aware of it without being distracted by it. The user may then optionally decide to elevate the content associated with the visual cue in order to see more information, such as gazing over to the visual indicator, and by doing so, opening up it's content. For example, an icon representing an incoming email may indicate an email being received.
- the user may notice the icon, and choose to ignore it (such as the icon disappearing after a period of time if not activated, such as by a gaze or some other control facility).
- the user may notice the visual indicator and choose to ‘active’ it by gazing in the direction of the visual indicator.
- the eyepiece may open up the email and reveal it's content. In this way the user maintains control over what information is being paid attention to, and as a result, minimize distractions and maximize content usage efficiency.
- the eyepiece may utilize sub-conscious control aspects, such as images in the wearer's periphery, images presented to the user at rates below conscious perception, sub-conscious perceptions to a viewed scene by the viewer, and the like.
- sub-conscious control aspects such as images in the wearer's periphery, images presented to the user at rates below conscious perception, sub-conscious perceptions to a viewed scene by the viewer, and the like.
- a wearer may be presented images through the eyepiece that are at a rate the wearer is unaware of, but is subconsciously made aware of as presented content, such as a reminder, an alert (e.g. an alert that calls on the wearer to increase a level of attention to something, but not so much so that the user needs a full conscious reminder), an indication related to the wearer's immediate environment (e.g.
- the eyepiece has detected something in the wearer's field of view that may have some interest to the wearer, and to which the indication draws the wearer's attention), and the like.
- the eyepiece may provide indicators to the wearer through a brain activity monitoring interface, where electrical signals within the brain fire before a person realizes they've recognized an image.
- the brain activity-monitoring interface may include electroencephalogram (EEG) sensors (or the like) to monitor brain activity as the wearer is viewing the current environment.
- EEG electroencephalogram
- the eyepiece may provide conscious level feedback to the wearer to make the wearer more aware of the element.
- a wearer may unconsciously become aware of seeing a familiar face in a crowd (e.g. a friend, a suspect, a celebrity), and the eyepiece provides a visual or audio indication to the wearer to bring the person more consciously to the attention of the wearer.
- the wearer may view a product that arouses their attention at a subconscious level, and the eyepiece provides a conscious indication to the wearer, more information about the product, an enhanced view of the product, a link to more information about the product, and the like.
- the ability for the eyepiece to extend the wearer's reality to a subconscious level may enable the eyepiece to provide the wearer with an augmented reality beyond their normal conscious experience with the world around them.
- the eyepiece may have a plurality of modes of operation where control of the eyepiece is controlled at least in part by positions, shapes, motions of the hand, and the like.
- the eyepiece may utilize hand recognition algorithms to detect the shape of the hand/fingers, and to then associate those hand configurations, possibly in combination with motions of the hand, as commands.
- hand recognition algorithms to detect the shape of the hand/fingers, and to then associate those hand configurations, possibly in combination with motions of the hand, as commands.
- these hand configurations may need to be reused depending upon the mode of operation of the eyepiece.
- certain hand configurations or motions may be assigned for transitioning the eyepiece from one mode to the next, thereby allowing for the reuse of hand motions. For instance, and referring to FIG.
- the user's hand 1504 F may be moved in view of a camera on the eyepiece, and the movement may then be interpreted as a different command depending upon the mode, such as a circular motion 1508 F, a motion across the field of view 1510 F, a back and forth motion 1512 F, and the like.
- mode one for panning a view from the projected image
- mode two for zooming the projected image.
- the user may want to use a left-to-right finger-pointed hand motion to command a panning motion to the right.
- the user may also want to use a left-to-right finger-pointed hand motion to command a zooming of the image to greater magnification.
- the eyepiece may be configured to interpret the hand motion differently depending upon the mode the eyepiece is currently in, and where specific hand motions have been assigned for mode transitions. For instance, a clockwise rotational motion may indicate a transition from pan to zoom mode, and a counter-clockwise rotational motion may indicate a transition from zoom to pan mode.
- a clockwise rotational motion may indicate a transition from pan to zoom mode
- a counter-clockwise rotational motion may indicate a transition from zoom to pan mode.
- a system may comprise an interactive head-mounted eyepiece worn by a user, wherein the eyepiece includes an optical assembly through which the user views a surrounding environment and displayed content, wherein the optical assembly comprises a corrective element that corrects the user's view of the surrounding environment, an integrated processor for handling content for display to the user, and an integrated image source for introducing the content to the optical assembly; and an integrated camera facility that images a gesture, wherein the integrated processor identifies and interprets the gesture as a command instruction.
- the control instruction may provide manipulation of the content for display, a command communicated to an external device, and the like.
- control of the eyepiece may be enabled through eye movement, an action of the eye, and the like.
- eye movements or actions may be interpreted as command information, such as through blinking, repetitive blinking, blink count, blink rate, eye open-closed, gaze tracking, eye movements to the side, up and down, side to side, through a sequence of positions, to a specific position, dwell time in a position, gazing toward a fixed object (e.g. the corner of the lens of the eyepiece), through a certain portion of the lens, at a real-world object, and the like.
- a fixed object e.g. the corner of the lens of the eyepiece
- eye control may enable the viewer to focus on a certain point on the displayed image from the eyepiece, and because the camera may be able to correlate the viewing direction of the eye to a point on the display, the eyepiece may be able to interpret commands through a combination of where the wearer is looking and an action by the wearer (e.g. blinking, touching an interface device, movement of a position sense device, and the like). For example, the viewer may be able to look at an object on the display, and select that object through the motion of a finger enabled through a position sense device.
- commands through a combination of where the wearer is looking and an action by the wearer (e.g. blinking, touching an interface device, movement of a position sense device, and the like).
- the viewer may be able to look at an object on the display, and select that object through the motion of a finger enabled through a position sense device.
- the glasses may be equipped with eye tracking devices for tracking movement of the user's eye, or preferably both eyes; alternatively, the glasses may be equipped with sensors for six-degree freedom of movement tracking, i.e., head movement tracking.
- eye tracking devices for tracking movement of the user's eye, or preferably both eyes; alternatively, the glasses may be equipped with sensors for six-degree freedom of movement tracking, i.e., head movement tracking.
- sensors for six-degree freedom of movement tracking, i.e., head movement tracking.
- These devices or sensors are available, for example, from Chronos Vision GmbH, Berlin, Germany and ISCAN, Woburn, Mass.
- Retinal scanners are also available for tracking eye movement. Retinal scanners may also be mounted in the augmented reality glasses and are available from a variety of companies, such as Tobii, Sweden, and SMI, Teltow, Germany, and ISCAN.
- the augmented reality eyepiece also includes a user input interface, as shown, to allow a user to control the device.
- Inputs used to control the device may include any of the sensors discussed above, and may also include a trackpad, one or more function keys and any other suitable local or remote device.
- an eye tracking device may be used to control another device, such as a video game or external tracking device.
- FIG. 29A depicts a user with an augmented reality eyepiece equipped with an eye tracking device 2900 A, discussed elsewhere in this document.
- the eye tracking device allows the eyepiece to track the direction of the user's eye or preferably, eyes, and send the movements to the controller of the eyepiece.
- Control system includes the augmented reality eyepiece and a control device for the weapon.
- the movements may then be transmitted to the control device for a weapon controlled by the control device, which may be within sight of the user.
- the movement of the user's eyes is then converted by suitable software to signals for controlling movement in the weapon, such as quadrant (range) and azimuth (direction). Additional controls may be used in conjunction with eye tracking, such as with the user's trackpad or function keys.
- the weapon may be large caliber, such as a howitzer or mortar, or may small caliber, such as a machine gun.
- the movement of the user's eyes is then converted by suitable software to signals for controlling movement of the weapon, such as quadrant (range) and azimuth (direction) of the weapon.
- Additional controls may be used for single or continuous discharges of the weapon, such as with the user's trackpad or function keys.
- the weapon may be stationary and non-directional, such as an implanted mine or shape-charge, and may be protected by safety devices, such as by requiring specific encoded commands.
- the user of the augmented reality device may activate the weapon by transmitting the appropriate codes and commands, without using eye-tracking features.
- control of the eyepiece may be enabled though gestures by the wearer.
- the eyepiece may have a camera that views outward (e.g. forward, to the side, down) and interprets gestures or movements of the hand of the wearer as control signals.
- Hand signals may include passing the hand past the camera, hand positions or sign language in front of the camera, pointing to a real-world object (such as to activate augmentation of the object), and the like.
- Hand motions may also be used to manipulate objects displayed on the inside of the translucent lens, such as moving an object, rotating an object, deleting an object, opening-closing a screen or window in the image, and the like.
- head motion control may be used to send commands to the eyepiece, where motion sensors such as accelerometers, gyros, or any other sensor described herein, may be mounted on the wearer's head, on the eyepiece, in a hat, in a helmet, and the like.
- head motions may include quick motions of the head, such as jerking the head in a forward and/or backward motion 1412 , in an up and/or down motion 1410 , in a side to side motion as a nod, dwelling in a position, such as to the side, moving and holding in position, and the like.
- Motion sensors may be integrated into the eyepiece, mounted on the user's head or in a head covering (e.g.
- the user may wear the interactive head-mounted eyepiece, where the eyepiece includes an optical assembly through which the user views a surrounding environment and displayed content.
- the optical assembly may include a corrective element that corrects the user's view of the surrounding environment, an integrated processor for handling content for display to the user, and an integrated image source for introducing the content to the optical assembly.
- At least one of a plurality of head motion sensing control devices may be integrated or in association with the eyepiece that provide control commands to the processor as command instructions based upon sensing a predefined head motion characteristic.
- the head motion characteristic may be a nod of the user's head such that the nod is an overt motion dissimilar from ordinary head motions.
- the overt motion may be a jerking motion of the head.
- the control instructions may provide manipulation of the content for display, be communicated to control an external device, and the like.
- Head motion control may be used in combination with other control mechanisms, such as using another control mechanism as discussed herein to activate a command and for the head motion to execute it. For example, a wearer may want to move an object to the right, and through eye control, as discussed herein, select the object and activate head motion control. Then, by tipping their head to the right, the object may be commanded to move to the right, and the command terminated through eye control.
- the eyepiece may be controlled through audio, such as through a microphone.
- Audio signals may include speech recognition, voice recognition, sound recognition, sound detection, and the like. Audio may be detected though a microphone on the eyepiece, a throat microphone, a jaw bone microphone, a boom microphone, a headphone, ear bud with microphone, and the like.
- command inputs may provide for a plurality of control functions, such as turning on/off the eyepiece projector, turn on/off audio, turn on/off a camera, turn on/off augmented reality projection, turn on/off GPS, interaction with display (e.g. select/accept function displayed, replay of captured image or video, and the like), interaction with the real-world (e.g. capture image or video, turn a page of a displayed book, and the like), perform actions with an embedded or external mobile device (e.g. mobile phone, navigation device, music device, VoIP, and the like), browser controls for the Internet (e.g. submit, next result, and the like), email controls (e.g. read email, display text, text-to-speech, compose, select, and the like), GPS and navigation controls (e.g. save position, recall saved position, show directions, view location on map), and the like.
- control functions such as turning on/off the eyepiece projector, turn on/off audio, turn on/off a camera, turn on/off augmented reality projection,
- the eyepiece may provide 3D display imaging to the user, such as through conveying a stereoscopic, auto-stereoscopic, computer-generated holography, volumetric display image, stereograms/stereoscopes, view-sequential displays, electro-holographic displays, parallax “two view” displays and parallax panoramagrams, re-imaging systems, and the like, creating the perception of 3D depth to the viewer.
- Display of 3D images to the user may employ different images presented to the user's left and right eyes, such as where the left and right optical paths have some optical component that differentiates the image, where the projector facility is projecting different images to the user's left and right eye's, and the like.
- the optical path including from the projector facility through the optical path to the user's eye, may include a graphical display device that forms a visual representation of an object in three physical dimensions.
- a processor such as the integrated processor in the eyepiece or one in an external facility, may provide 3D image processing as at least a step in the generation of the 3D image to the user.
- holographic projection technologies may be employed in the presentation of a 3D imaging effect to the user, such as computer-generated holography (CGH), a method of digitally generating holographic interference patterns.
- CGH computer-generated holography
- a holographic image may be projected by a holographic 3D display, such as a display that operates on the basis of interference of coherent light.
- Computer generated holograms have the advantage that the objects which one wants to show do not have to possess any physical reality at all, that is, they may be completely generated as a ‘synthetic hologram’.
- There are a plurality of different methods for calculating the interference pattern for a CGH including from the fields of holographic information and computational reduction as well as in computational and quantization techniques.
- the Fourier transform method and point source holograms are two examples of computational techniques.
- the Fourier transformation method may be used to simulate the propagation of each plane of depth of the object to the hologram plane, where the reconstruction of the image may occur in the far field.
- there may be two steps where first the light field in the far observer plane is calculated, and then the field is Fourier transformed back to the lens plane, where the wavefront to be reconstructed by the hologram is the superposition of the Fourier transforms of each object plane in depth.
- a target image may be multiplied by a phase pattern to which an inverse Fourier transform is applied.
- Intermediate holograms may then be generated by shifting this image product, and combined to create a final set.
- the final set of holograms may then be approximated to form kinoforms for sequential display to the user, where the kinoform is a phase hologram in which the phase modulation of the object wavefront is recorded as a surface-relief profile.
- the kinoform is a phase hologram in which the phase modulation of the object wavefront is recorded as a surface-relief profile.
- the object is broken down in self-luminous points, where an elementary hologram is calculated for every point source and the final hologram is synthesized by superimposing all the elementary holograms.
- 3-D or holographic imagery may be enabled by a dual projector system where two projectors are stacked on top of each other for a 3D image output.
- Holographic projection mode may be entered by a control mechanism described herein or by capture of an image or signal, such as an outstretched hand with palm up, an SKU, an RFID reading, and the like.
- a wearer of the eyepiece may view a letter ‘X’ on a piece of cardboard which causes the eyepiece to enter holographic mode and turning on the second, stacked projector. Selecting what hologram to display may be done with a control technique.
- the projector may project the hologram onto the cardboard over the letter ‘X’.
- Associated software may track the position of the letter ‘X’ and move the projected image along with the movement of the letter ‘X’.
- the eyepiece may scan a SKU, such as a SKU on a toy construction kit, and a 3-D image of the completed toy construction may be accessed from an online source or non-volatile memory. Interaction with the hologram, such as rotating it, zooming in/out, and the like, may be done using the control mechanisms described herein. Scanning may be enabled by associated bar code/SKU scanning software.
- a keyboard may be projected in space or on a surface. The holographic keyboard may be used in or to control any of the associated applications/functions.
- eyepiece facilities may provide for locking the position of a virtual keyboard down relative to a real environmental object (e.g. a table, a wall, a vehicle dashboard, and the like) where the virtual keyboard then does not move as the wearer moves their head.
- a virtual keyboard e.g. a table, a wall, a vehicle dashboard, and the like
- the user may be sitting at a table and wearing the eyepiece 2402 , and wish to input text into an application, such as a word processing application, a web browser, a communications application, and the like.
- the user may be able to bring up a virtual keyboard 2408 , or other interactive control element (e.g. virtual mouse, calculator, touch screen, and the like), to use for input.
- the user may provide a command for bringing up the virtual keyboard 2408 , and use a hand gesture 2404 for indicating the fixed location of the virtual keyboard 2408 .
- the virtual keyboard 2408 may then remain fixed in space relative to the outside environment, such as fixed to a location on the table 2410 , where the eyepiece facilities keep the location of the virtual keyboard 2408 on the table 2410 even when the user turns their head. That is, the eyepiece 2402 may compensate for the user's head motion in order to keep the user's view of the virtual keyboard 2408 located on the table 2410 .
- the user may wear the interactive head-mounted eyepiece, where the eyepiece includes an optical assembly through which the user views a surrounding environment and displayed content.
- the optical assembly may include a corrective element that corrects the user's view of the surrounding environment, an integrated processor for handling content for display to the user, and an integrated image source for introducing the content to the optical assembly.
- An integrated camera facility may be provided that images the surrounding environment, and identifies a user hand gesture as an interactive control element location command, such as a hand-finger configuration moved in a certain way, positioned in a certain way, and the like. The location of the interactive control element then may remain fixed in position with respect to an object in the surrounding environment, in response to the interactive control element location command, regardless of a change in the viewing direction of the user. In this way, the user may be able to utilize a virtual keyboard in much the same way they would a physical keyboard, where the virtual keyboard remains in the same location.
- the ‘virtual keyboard’ technology may be applied to any controller, such as a virtual mouse, virtual touch pad, virtual game interface, virtual phone, virtual calculator, virtual paintbrush, virtual drawing pad, and the like.
- a virtual touchpad may be visualized through the eyepiece to the user, and positioned by the user such as by use of hand gestures, and used in place of a physical touchpad.
- eyepiece facilities may use visual techniques to render the projection of an object (e.g. virtual keyboard, keypad, calculator, notepad, joystick, control panel, book) onto a surface, such as by applying distortions like parallax, keystone, and the like.
- an object e.g. virtual keyboard, keypad, calculator, notepad, joystick, control panel, book
- eyepiece facilities may use visual techniques to render the projection of an object (e.g. virtual keyboard, keypad, calculator, notepad, joystick, control panel, book) onto a surface, such as by applying distortions like parallax, keystone, and the like.
- an object e.g. virtual keyboard, keypad, calculator, notepad, joystick, control panel, book
- these techniques may be applied dynamically, to provide the proper perspective even as the user moves around in relationship to the surface.
- eyepiece facilities may provide for gesture recognition that may be used to provide a keyboard and mouse experience with the eyepiece. For instance, with images of a keyboard, mouse, and fingers overlaid on the lower part of the display, the system may be capable of tracking finger positions in real time to enable a virtual desktop. Through gesture recognition, tracking may be done without wires and external powered devices. In another instance, fingertip locations may be tracked through gesture recognition through the eyepiece without wires and external power, such as with gloves with passive RFID chips in each fingertip. In this instance, each RFID chip may have its own response characteristic, enabling a plurality of digits of the fingers to be read simultaneously. The RFID chips may be paired with the eyewear so that they are distinguishable from other RFID chips that may be operating nearby.
- the eyewear may provide the signals to activate the RFID chips and have two or more receiving antennas.
- Each receiving antenna may be connected to a phase-measurement circuit element that in turn provides input to a location-determining algorithm.
- the location-determining algorithm may also provide velocity and acceleration information, and the algorithm that ultimately may provide keyboard and mouse information to the eyepiece operating system.
- the azimuthal positions of each fingertip can be determined with the phase difference between the receiving antennas.
- the relative phase difference between RFID chips may then be used to determine the radial positions of the fingertips.
- eyepiece facilities may use visual techniques to render the projection of a previously taken medical scan onto the wearer's body, such as an x-ray, an ultrasound, an MRI, a PET scan, and the like.
- a previously taken medical scan such as an x-ray, an ultrasound, an MRI, a PET scan, and the like.
- the eyepiece may have access to an x-ray image taken of the wearer's hand.
- the eyepiece may then utilize its integrated camera to view the wear's hand 2402 A, and overlay a projected image 2404 A of the x-ray onto the hand. Further, the eyepiece may be able to maintain the image overlay as the wearer moves their hand and gaze relative to one other.
- this technique may also be implemented while the wearer is looking in the mirror, where the eyepiece transposes an image on top of the reflected image.
- This technique may be used as part of a diagnostic procedure, for rehabilitation during physical therapy, to encourage exercise and diet, to explain to a patient a diagnosis or condition, and the like.
- the images may be the images of the wearer, generic images from a database of images for medical conditions, and the like.
- the generic overlay may show some type of internal issue that is typical of a physical condition, a projection of what the body will look like if a certain routine is followed for a period of time, and the like.
- an external control device such as pointer controller, may enable the manipulation of the image.
- the overlay of the image may be synchronized between multiple people, each wearing an eyepiece, as described herein.
- a patient and a doctor may both project the image onto the patient's hand, where the doctor may now explain a physical ailment while the patient views the synchronized images of the projected scan and the doctor's explanation.
- eyepiece facilities may provide for removing the portions of a virtual keyboard projection where intervening obstructions appear (e.g. the user's hand getting in the way, where it is not desired to project the keyboard onto the user's hand).
- the eyepiece 3002 may provide a projected virtual keyboard 3008 to the wearer, such as onto a tabletop. The wearer may then reach ‘over’ the virtual keyboard 3008 to type.
- the keyboard is merely a projected virtual keyboard, rather than a physical keyboard, without some sort of compensation to the projected image the projected virtual computer would be projected ‘onto’ the back of the user's hand.
- the eyepiece may provide compensation to the projected image such that the portion of the wearer's hand 3004 that is obstructing the intended projection of the virtual keyboard onto the table may be removed from the projection. That is, it may not be desirable for portions of the keyboard projection 3008 to be visualized onto the user's hand, and so the eyepiece subtracts the portion of the virtual keyboard projection that is co-located with the wearer's hand 3004 .
- the user may wear the interactive head-mounted eyepiece, where the eyepiece includes an optical assembly through which the user views a surrounding environment and displayed content.
- the optical assembly may include a corrective element that corrects the user's view of the surrounding environment, an integrated processor for handling content for display to the user, and an integrated image source for introducing the content to the optical assembly.
- the displayed content may include an interactive control element (e.g. virtual keyboard, virtual mouse, calculator, touch screen, and the like).
- An integrated camera facility may image a user's body part as it interacts with the interactive control element, wherein the processor removes a portion of the interactive control element by subtracting the portion of the interactive control element that is determined to be co-located with the imaged user body part based on the user's view.
- this technique of partial projected image removal may be applied to other projected images and obstructions, and is not meant to be restricted to this example of a hand over a virtual keyboard.
- eyepiece facilities may provide for intervening obstructions for any virtual content that is displayed over “real” world content. If some reference frame is determined that places the content at some distance, then any object that passes between the virtual image and the viewer may be subtracted from the displayed content so as not to create a discontinuity for the user that is expecting the displayed information to exist at a certain distance away.
- variable focus techniques may also be used to increase the perception of a distance hierarchy amongst the viewed content.
- eyepiece facilities may provide for the ability to determine an intended text input from a sequence of character contacts swiped across a virtual keypad, such as with the finger, a stylus, the entire hand, and the like.
- a virtual keypad such as with the finger, a stylus, the entire hand, and the like.
- the eyepiece may be projecting a virtual keyboard 3700 , where the user wishes to input the word ‘wind’.
- the user would discretely press the key positions for ‘w’, then ‘i’, then ‘n’, and finally ‘d’, and a facility (camera, accelerometer, and the like, such as described herein) associated with the eyepiece would interpret each position as being the letter for that position.
- the system may also be able to monitor the movement, or swipe, of the user's finger or other pointing device across the virtual keyboard and determine best fit matches for the pointer movement.
- the pointer has started at the character ‘w’ and swept a path 3704 though the characters e, r, t, y, u, i, k, n, b, v, f, and d where it stops.
- the eyepiece may observe this sequence and determine the sequence, such as through an input path analyzer, feed the sensed sequence into a word matching search facility, and output a best fit word, in this case ‘wind’ as text 3708 .
- the eyepiece may monitor the motion of the pointing device across the keypad and determine the word more directly, such as though auto complete word matching, pattern recognition, object recognition, and the like, where some ‘separator’ indicates the space between words, such as a pause in the motion of the pointing device, a tap of the pointing device, a swirling motion of the pointing device, and the like.
- the entire swipe path may be used with pattern or object recognition algorithms to associate whole words with the discrete patterns formed by the user's finger as they move through each character to form words, with a pause between the movements as demarcations between the words.
- the eyepiece may provide the best-fit word, a listing of best-fit words, and the like.
- the user may wear the interactive head-mounted eyepiece, where the eyepiece includes an optical assembly through which the user views a surrounding environment and displayed content.
- the optical assembly may include a corrective element that corrects the user's view of the surrounding environment, an integrated processor for handling content for display to the user, and an integrated image source for introducing the content to the optical assembly.
- the displayed content may comprise an interactive keyboard control element (e.g. a virtual keyboard, calculator, touch screen, and the like), and where the keyboard control element is associated with an input path analyzer, a word matching search facility, and a keyboard input interface.
- the user may input text by sliding a pointing device (e.g.
- the reference displayed content may be something other than a keyboard, such as a sketch pad for freehand text, or other interface references like a 4-way joystick pad for controlling a game or real robots and aircraft, and the like.
- a virtual drum kit such as with colored pads the user “taps” to make a sound.
- the eyepiece's ability to interpret patterns of motion across a surface may allow for projecting reference content in order to give the user something to point at and provide them with visual and/or audio feedback.
- the ‘motion’ detected by the eyepiece may be the motion of the user's eye as they look at the surface.
- the eyepiece may have facilities for tracking the eye movement of the user, and by having both the content display locations of a projected virtual keyboard and the gazing direction of the user's eye, the eyepiece may be able to detect the line-of-sight motion of the user's eye across the keyboard, and then interpret the motions as words as described herein.
- the eyepiece may provide the capability to command the eyepiece via hand gesture ‘air lettering’, such as the wearer using their finger to air swipe out a letter, word, and the like in view of an embedded eyepiece camera, where the eyepiece interprets the finger motion as letters, words, symbols for commanding, signatures, writing, emailing, texting, and the like.
- the wearer may use this technique to sign a document utilizing an ‘air signature’.
- the wearer may use this technique to compose text, such as in an email, text, document, and the like.
- the wearer eyepiece may recognize a symbol made through the hand motion as a control command.
- the air lettering may be implemented through hand gesture recognition as interpreted by images captured through an eyepiece camera, or through other input control devices, such as via an inertial measurement unit (IMU) mounted in a device on the user's finger, hand, and the like, as described herein.
- IMU inertial measurement unit
- eyepiece facilities may provide for presenting displayed content corresponding to an identified marker indicative of the intention to display the content. That is, the eyepiece may be commanded to display certain content based upon sensing a predetermined external visual cue.
- the visual cue may be an image, an icon, a picture, face recognition, a hand configuration, a body configuration, and the like.
- the displayed content may be an interface device that is brought up for use, a navigation aid to help the user find a location once they get to some travel location, an advertisement when the eyepiece views a target image, an informational profile, and the like.
- visual marker cues and their associated content for display may be stored in memory on the eyepiece, in an external computer storage facility and imported as needed (such as by geographic location, proximity to a trigger target, command by the user, and the like), generated by a third-party, and the like.
- the user may wear the interactive head-mounted eyepiece, where the eyepiece includes an optical assembly through which the user views a surrounding environment and displayed content.
- the optical assembly may include a corrective element that corrects the user's view of the surrounding environment, an integrated processor for handling content for display to the user, and an integrated image source for introducing the content to the optical assembly.
- An integrated camera facility may be provided that images an external visual cue, wherein the integrated processor identifies and interprets the external visual cue as a command to display content associated with the visual cue.
- the visual cue 3812 may be included in a sign 3814 in the surrounding environment, where the projected content is associated with an advertisement.
- the sign may be a billboard, and the advertisement for a personalized advertisement based on a preferences profile of the user.
- the visual cue 3802 , 3808 may be a hand gesture, and the projected content a projected virtual keyboard 3804 , 3810 .
- the hand gesture may be a thumb and index finger gesture 3802 from a first user hand, and the virtual keyboard 3804 projected on the palm of the first user hand, and where the user is able to type on the virtual keyboard with a second user hand.
- the hand gesture 3808 may be a thumb and index finger gesture combination of both user hands, and the virtual keyboard 3810 projected between the user hands as configured in the hand gesture, where the user is able to type on the virtual keyboard using the thumbs of the user's hands.
- Visual cues may provide the wearer of the eyepiece with an automated resource for associating a predetermined external visual cue with a desired outcome in the way of projected content, thus freeing the wearer from searching for the cues themselves.
- the eyepiece may include a visual recognition language translation facility for providing translations for visually presented content, such as for road signs, menus, billboards, store signs, books, magazines, and the like.
- the visual recognition language translation facility may utilize optical character recognition to identify letters from the content, match the strings of letters to words and phrases through a database of translations. This capability may be completely contained within the eyepiece, such as in an offline mode, or at least in part in an external computing facility, such as on an external server. For instance, a user may be in a foreign country, where the signs, menus, and the like are not understood by the wearer of the eyepiece, but for which the eyepiece is able to provide translations.
- a user of the eyepiece may be Italian, and coming to the United States they have the need to interpret the large number of road signs in order to drive around safely. Referring to FIG. 38A , the Italian user of the eyepiece is viewing a U.S. stop sign 3802 A.
- the eyepiece may identify the letters on the sign, translate the word ‘stop’ in the Italian for stop, ‘arresto’, and make the stop sign 3804 A appear to read the word ‘arresto’ rather than ‘stop’.
- the eyepiece may also provide simple translation messages to the wearer, provide audio translations, provide a translation dictionary to the wearer, and the like.
- the eyepiece may be used in an adaptive environment, such as for blind users.
- the results of face recognition or object identification may be processed to obtain an audible result and can be presented as audio to a wearer of the glasses through associated earbuds/headphones.
- the results of face recognition or object identification may be translated into haptic vibrations in the glasses or an associated controller.
- a camera may image the person and transmit the image to the integrated processor for processing by face recognition software or to face recognition software operating on a server or in the cloud.
- the results of the face recognition may be presented as written text in the display of the glasses for certain individuals, but for blind or poor vision users, the result may be processed to obtain audio.
- object recognition may determine the user is approaching a curb, doorway, or other object and the glasses or controller would audibly or haptically warn the user. For poor vision users, the text on the display could be magnified or the contrast could be increased.
- a GPS sensor may be used to determine a location of the user wearing the adaptive display.
- the GPS sensor may be accessed by a navigation application to audibly announce various points of interest to the user as they are approached or reached.
- the user may be audibly guided to an endpoint by the navigation application.
- the eyepiece may be useful for various applications and markets. It should be understood that the control mechanisms described herein may be used to control the functions of the applications described herein.
- the eyepiece may run a single application at a time or multiple applications may run at a time. Switching between applications may be done with the control mechanisms described herein.
- the eyepiece may be used in military applications, gaming, image recognition applications, to view/order e-books, GPS Navigation (Position, Direction, Speed and ETA), Mobile TV, athletics (view pacing, ranking, and competition times; receive coaching), telemedicine, industrial inspection, aviation, shopping, inventory management tracking, firefighting (enabled by VIS/NIRSWIR sensor that sees through fog, haze, dark), outdoor/adventure, custom advertising, and the like.
- the eyepiece may be used with e-mail, such as GMAIL in FIG. 7 , the Internet, web browsing, viewing sports scores, video chat, and the like.
- the eyepiece may be used for educational/training purposes, such as by displaying step by step guides, such as hands-free, wireless maintenance and repair instructions.
- a video manual and/or instructions may be displayed in the field of view.
- the eyepiece may be used in Fashion, Health, and Beauty.
- potential outfits, hairstyles, or makeup may be projected onto a mirror image of a user.
- the eyepiece may be used in Business Intelligence, Meetings, and Conferences.
- a user's name tag can be scanned, their face run through a facial recognition system, or their spoken name searched in database to obtain biographical information. Scanned name tags, faces, and conversations may be recorded for subsequent viewing or filing.
- a “Mode” may be entered by the eyepiece.
- certain applications may be available.
- a consumer version of the eyepiece may have a Tourist Mode, Educational Mode, Internet Mode, TV Mode, Gaming Mode, Exercise Mode, Stylist Mode, Personal Assistant Mode, and the like.
- a user of the augmented reality glasses may wish to participate in video calling or video conferencing while wearing the glasses.
- Many computers, both desktop and laptop have integrated cameras to facilitate using video calling and conferencing.
- software applications are used to integrate use of the camera with calling or conferencing features.
- the augmented reality glasses providing much of the functionality of laptops and other computing devices, many users may wish to utilize video calling and video conferencing while on the move wearing the augmented reality glasses.
- a video calling or video conferencing application may work with a WiFi connection, or may be part of a 3G or 4G calling network associated with a user's cell phone.
- the camera for video calling or conferencing is placed on a device controller, such as a watch or other separate electronic computing device. Placing the video calling or conferencing camera on the augmented reality glasses is not feasible, as such placement would provide the user with a view only of themselves, and would not display the other participants in the conference or call. However, the user may choose to use the forward-facing camera to display their surroundings or another individual in the video call.
- FIG. 32 depicts a typical camera 3200 for use in video calling or conferencing.
- Such cameras are typically small and could be mounted on a watch 3202 , as shown in FIG. 32 , cell phone or other portable computing device, including a laptop computer.
- Video calling works by connecting the device controller with the cell phone or other communications device.
- the devices utilize software compatible with the operating system of the glasses and the communications device or computing device.
- the screen of the augmented reality glasses may display a list of options for making the call and the user may gesture using a pointing control device or use any other control technique described herein to select the video calling option on the screen of the augmented reality glasses.
- FIG. 33 illustrates an embodiment 3300 of a block diagram of a video-calling camera.
- the camera incorporates a lens 3302 , a CCD/CMOS sensor 3304 , analog to digital converters for video signals, 3306 , and audio signals, 3314 .
- Microphone 3312 collects audio input.
- Both analog to digital converters 3306 and 3314 send their output signals to a signal enhancement module 3308 .
- the signal enhancement module 3308 forwards the enhanced signal, which is a composite of both video and audio signals to interface 3310 .
- Interface 3310 is connected to an IEEE 1394 standard bus interface, along with a control module 3316 .
- the video call camera depends on the signal capture which transforms the incident light, as well as incident sound into electrons. For light this process is performed by CCD or CMOS chip 3304 .
- the microphone transforms sound into electrical impulses.
- the first step in the process of generating an image for a video call is to digitize the image.
- the CCD or CMOS chip 3304 dissects the image and converts it into pixels. If a pixel has collected many photons, the voltage will be high. If the pixel has collected few photons, the voltage will be low. This voltage is an analog value.
- the second step of digitization the voltage is transformed into a digital value by the analog to digital converter 3306 , which handles image processing. At this point, a raw digital image is available.
- Audio captured by the microphone 3312 is also transformed into a voltage. This voltage is sent to the analog to digital converter 3314 where the analog values are transformed into digital values.
- the next step is to enhance the signal so that it may be sent to viewers of the video call or conference.
- Signal enhancement includes creating color in the image using a color filter, located in front of the CCD or CMOS chip 3304 .
- This filter is red, green, or blue and changes its color from pixel to pixel, and in an embodiment, may be a color filter array, or Bayer filter.
- These raw digital images are then enhanced by the filter to meet aesthetic requirements. Audio data may also be enhanced for a better calling experience.
- the image and audio data are compressed and output as a digital video stream, in an embodiment using a digital video camera. If a photo camera is used, single images may be output, and in a further embodiment, voice comments may be appended to the files.
- the enhancement of the raw digital data takes place away from the camera, and in an embodiment may occur in the device controller or computing device that the augmented reality glasses communicate with during a video call or conference.
- Further embodiments may provide for portable cameras for use in industry, medicine, astronomy, microscopy, and other fields requiring specialized camera use. These cameras often forgo signal enhancement and output the raw digital image. These cameras may be mounted on other electronic devices or the user's hand for ease of use.
- the camera interfaces to the augmented reality glasses and the device controller or computing device using an IEEE 1394 interface bus.
- This interface bus transmits time critical data, such as a video and data whose integrity is critically important, including parameters or files to manipulate data or transfer images.
- protocols define the behavior of the devices associated with the video call or conference.
- the camera for use with the augmented reality glasses may, in embodiments, employ one of the following protocols: AV/C, DCAM, or SBP-2.
- AV/C is a protocol for Audio Video Control and defines the behavior of digital video devices, including video cameras and video recorders.
- DCAM refers to the 1394 based Digital Camera Specification and defines the behavior of cameras that output uncompressed image data without audio.
- SBP-2 refers to Serial Bus Protocol and defines the behavior of mass storage devices, such as hard drives or disks.
- Devices that use the same protocol are able to communicate with each other.
- the same protocol may be used by the video camera on the device controller and the augmented reality glasses.
- the augmented reality glasses, device controller, and camera use the same protocol, data may be exchanged among these devices.
- Files that may be transferred among devices include: image and audio files, image and audio data flows, parameters to control the camera, and the like.
- a user desiring to initiate a video call may select a video call option from a screen presented when the call process is initiated.
- the user selects by making a gesture using a pointing device, or gesture to signal the selection of the video call option.
- the user then positions the camera located on the device controller, wristwatch, or other separable electronic device so that the user's image is captured by the camera.
- the image is processed through the process described above and is then streamed to the augmented reality glasses and the other participants for display to the users.
- the camera may be mounted on a cell phone, personal digital assistant, wristwatch, pendant, or other small portable device capable of being carried, worn, or mounted.
- the images or video captured by the camera may be streamed to the eyepiece.
- a wearer may be able to image targets not in the line of sight and wirelessly receive imagery as a stream of displayed content to the eyepiece.
- the present disclosure may provide the wearer with GPS-based content reception, as in FIG. 6 .
- augmented reality glasses of the present disclosure may include memory, a global positioning system, a compass or other orienting device, and a camera.
- GPS-based computer programs available to the wearer may include a number of applications typically available from the Apple Inc. App Store for iPhone use. Similar versions of these programs are available for other brands of smart phone and may be applied to embodiments of the present disclosure. These programs include, for example, SREngine (scene recognition engine), NearestTube, TAT Augmented ID, Yelp, Layar, and TwittARound, as well as other more specialized applications, such as RealSki.
- SREngine is a scene recognition engine that is able to identify objects viewed by the user's camera. It is a software engine able to recognize static scenes, such as scenes of architecture, structures, pictures, objects, rooms, and the like. It is then able to automatically apply a virtual “label” to the structures or objects according to what it recognizes.
- the program may be called up by a user of the present disclosure when viewing a street scene, such as FIG. 6 .
- the engine will recognize the Fontaines de la Concorde in Paris.
- the program will then summon a virtual label, shown in FIG. 6 as part of a virtual image 618 projected onto the lens 602 .
- the label may be text only, as seen at the bottom of the image 618 .
- Other labels applicable to this scene may include “fountain,” “museum,” “hotel,” or the name of the columned building in the rear.
- Other programs of this type may include the Wikitude AR Travel Guide, Yelp and many others.
- NearestTube uses the same technology to direct a user to the closest subway station in London, and other programs may perform the same function, or similar, in other cities.
- Layar is another application that uses the camera, a compass or direction, and GPS data to identify a user's location and field of view. With this information, an overlay or label may appear virtually to help orient and guide the user. Yelp and Monocle perform similar functions, but their databases are somewhat more specialized, helping to direct users in a similar manner to restaurants or to other service providers.
- the user may control the glasses, and call up these functions, using any of the controls described in this patent.
- the glasses may be equipped with a microphone to pick up voice commands from a user and process them using software contained with a memory of the glasses. The user may then respond to prompts from small speakers or earbuds also contained within the glasses frame.
- the glasses may also be equipped with a tiny track pad, similar to those found on smartphones.
- the trackpad may allow a user to move a pointer or indicator on the virtual screen within the AR glasses, similar to a touch screen. When the user reaches a desired point on the screen, the user depresses the track pad to indicate his or her selection.
- a user may call up a program, e.g., a travel guide, and then find his or her way through several menus, perhaps selecting a country, a city and then a category.
- the category selections may include, for example, hotels, shopping, museums, restaurants, and so forth.
- the user makes his or her selections and is then guided by the AR program.
- the glasses also include a GPS locator, and the present country and city provides default locations that may be overridden.
- the eyepiece's object recognition software may process the images being received by the eyepiece's forward facing camera in order to determine what is in the field of view.
- the GPS coordinates of the location as determined by the eyepiece's GPS may be enough to determine what is in the field of view.
- an RFID or other beacon in the environment may be broadcasting a location. Any one or combination of the above may be used by the eyepiece to identify the location and the identity of what is in the field of view.
- the resolution for imaging that object may be increased or images or video may be captured at low compression. Additionally, the resolution for other objects in the user's view may be decreased, or captured at a higher compression rate in order to decrease the needed bandwidth.
- content related to points of interest in the field of view may be overlaid on the real world image, such as social networking content, interactive tours, local information, and the like.
- Information and content related to movies, local information, weather, restaurants, restaurant availability, local events, local taxis, music, and the like may be accessed by the eyepiece and projected on to the lens of the eyepiece for the user to view and interact with.
- the forward facing camera may take an image and send it for processing to the eyepiece's associated processor.
- Object recognition software may determine that the structure in the wearer's field of view is the Eiffel Tower.
- the GPS coordinates determined by the eyepiece's GPS may be searched in a database to determine that the coordinates match those of the Eiffel Tower.
- content may then be searched relating to the Eiffel Tower visitor's information, restaurants in the vicinity and in the Tower itself, local weather, local Metro information, local hotel information, other nearby tourist spots, and the like. Interacting with the content may be enabled by the control mechanisms described herein. In an embodiment, GPS-based content reception may be enabled when a Tourist Mode of the eyepiece is entered.
- the eyepiece may be used to view streaming video.
- videos may be identified via search by GPS location, search by object recognition of an object in the field of view, a voice search, a holographic keyboard search, and the like.
- a video database may be searched via the GPS coordinates of the Tower or by the term ‘Eiffel Tower’ once it has been determined that is the structure in the field of view.
- Search results may include geo-tagged videos or videos associated with the Eiffel Tower.
- the videos may be scrolled or flipped through using the control techniques described herein. Videos of interest may be played using the control techniques described herein.
- the video may be laid over the real world scene or may be displayed on the lens out of the field of view.
- the eyepiece may be darkened via the mechanisms described herein to enable higher contrast viewing.
- the eyepiece may be able to utilize a camera and network connectivity, such as described herein, to provide the wearer with streaming video conferencing capabilities.
- the user of augmented reality may receive content from an abundance of sources.
- a visitor or tourist may desire to limit the choices to local businesses or institutions; on the other hand, businesses seeking out visitors or tourists may wish to limit their offers or solicitations to persons who are in their area or location but who are visiting rather than local residents.
- the visitor or tourist may limit his or her search only to local businesses, say those within certain geographic limits. These limits may be set via GPS criteria or by manually indicating a geographic restriction. For example, a person may require that sources of streaming content or ads be limited to those within a certain radius (a set number or km or miles) of the person. Alternatively, the criteria may require that the sources are limited to those within a certain city or province.
- the available content chosen by a user may be restricted or limited by the type of provider.
- a user may restrict choices to those with a website operated by a government institution (.gov) or by a non-profit institution or organization (.org).
- a tourist or visitor who may be more interested in visiting government offices, museums, historical sites and the like, may find his or her choices less cluttered.
- the person may be more easily able to make decisions when the available choices have been pared down to a more reasonable number.
- the ability to quickly cut down the available choices is desirable in more urban areas, such as Paris or Washington, D.C., where there are many choices.
- the user controls the glasses in any of the manners or modes described elsewhere in this patent.
- the user may call up a desired program or application by voice or by indicating a choice on the virtual screen of the augmented reality glasses.
- the augmented glasses may respond to a track pad mounted on the frame of the glasses, as described above.
- the glasses may be responsive to one or more motion or position sensors mounted on the frame. The signals from the sensors are then sent to a microprocessor or microcontroller within the glasses, the glasses also providing any needed signal transducing or processing.
- the program of choice has begun, the user makes selections and enters a response by any of the methods discussed herein, such as signaling “yes” or “no” with a head movement, a hand gesture, a trackpad depression, or a voice command.
- augmented reality devices are desirably equipped with both GPS capability and telecommunications capability and an integrated processor for implementing geographic-based rules for advertisement presentation. It will be a simple matter for the museum to provide streaming content within a limited area by limiting its broadcast power. The museum, however, may provide the content through the Internet and its content may be available world-wide. In this instance, a user may receive content through an augmented reality device advising that the museum is open today and is available for touring.
- the user may respond to the content by the augmented reality equivalent of clicking on a link for the museum.
- the augmented reality equivalent may be a voice indication, a hand or eye movement, or other sensory indication of the user's choice, or by using an associated body-mounted controller.
- the museum receives a cookie indicating the identity of the user or at least the user's internet service provider (ISP). If the cookie indicates or suggests an internet service provider other than local providers, the museum server may then respond with advertisements or offers tailored to visitors.
- the cookie may also include an indication of a telecommunications link, e.g., a telephone number. If the telephone number is not a local number, this is an additional clue that the person responding is a visitor.
- the museum or other institution may then follow up with the content desired or suggested by its marketing department.
- augmented reality eyepiece takes advantage of a user's ability to control the eyepiece and its tools with a minimum use of the user's hands, using instead voice commands, gestures or motions.
- a user may call upon the augmented reality eyepiece to retrieve information.
- This information may already be stored in a memory of the eyepiece, but may instead be located remotely, such as a database accessible over the Internet or perhaps via an intranet which is accessible only to employees of a particular company or organization.
- the eyepiece may thus be compared to a computer or to a display screen which can be viewed and heard at an extremely close range and generally controlled with a minimal use of one's hands.
- Applications may thus include providing information on-the-spot to a mechanic or electronics technician.
- the technician can don the glasses when seeking information about a particular structure or problem encountered, for example, when repairing an engine or a power supply.
- voice commands he or she may then access the database and search within the database for particular information, such as manuals or other repair and maintenance documents.
- the desired information may thus be promptly accessed and applied with a minimum of effort, allowing the technician to more quickly perform the needed repair or maintenance and to return the equipment to service.
- time savings may also save lives, in addition to saving repair or maintenance costs.
- the information imparted may include repair manuals and the like, but may also include a full range of audio-visual information, i.e., the eyepiece screen may display to the technician or mechanic a video of how to perform a particular task at the same time the person is attempting to perform the task.
- the augmented reality device also includes telecommunications capabilities, so the technician also has the ability to call on others to assist if there is some complication or unexpected difficulty with the task.
- This educational aspect of the present disclosure is not limited to maintenance and repair, but may be applied to any educational endeavor, such as secondary or post-secondary classes, continuing education courses or topics, seminars, and the like.
- a Wi-Fi enabled eyepiece may run a location-based application for geo-location of opted-in users. Users may opt-in by logging into the application on their phone and enabling broadcast of their location, or by enabling geo-location on their own eyepiece. As a wearer of the eyepiece scans people, and thus their opted-in device, the application may identify opted-in users and send an instruction to the projector to project an augmented reality indicator on an opted-in user in the user's field of view. For example, green rings may be placed around people who have opted-in to have their location seen. In another example, yellow rings may indicate people who have opted-in but don't meet some criteria, such as they do not have a FACEBOOK account, or that there are no mutual friends if they do have a FACEBOOK account.
- Some social networking, career networking, and dating applications may work in concert with the location-based application.
- Software resident on the eyepiece may coordinate data from the networking and dating sites and the location-based application.
- TwittARound is one such program which makes use of a mounted camera to detect and label location-stamped tweets from other tweeters nearby. This will enable a person using the present disclosure to locate other nearby Twitter users.
- users may have to set their devices to coordinate information from various networking and dating sites. For example, the wearer of the eyepiece may want to see all E-HARMONY users who are broadcasting their location. If an opted-in user is identified by the eyepiece, an augmented reality indicator may be laid over the opted-in user.
- the indicator may take on a different appearance if the user has something in common with the wearer, many things in common with the user, and the like. For example, and referring to FIG. 16 , two people are being viewed by the wearer. Both of the people are identified as E-HARMONY users by the rings placed around them. However, the woman shown with solid rings has more than one item in common with the wearer while the woman shown with dotted rings has no items in common with the wearer. Any available profile information may get accessed and displayed to the user.
- the wearer when the wearer directs the eyepiece in the direction of a user who has a networking account, such as FACEBOOK, TWITTER, BLIPPY, LINKEDIN, GOOGLE, WIKIPEDIA, and the like, the user's recent posts or profile information may be displayed to the wearer. For example, recent status updates, “tweets”, “blips”, and the like may get displayed, as mentioned above for TwittARound.
- the wearer when the wearer points the eyepiece in a target user's direction, they may indicate interest in the user if the eyepiece is pointed for a duration of time and/or a gesture, head, eye, or audio control is activated.
- the target user may receive an indication of interest on their phone or in their glasses.
- a control mechanism may be used to capture an image and store the target user's information on associated non-volatile memory or in an online account.
- a facial recognition program such as TAT Augmented ID, from TAT—The Astonishing Tribe, Malmo, Sweden, may be used. Such a program may be used to identify a person by his or her facial characteristics.
- This software uses facial recognition software to identify a person.
- photo identifying software from Flickr, one can then identify the particular nearby person, and one can then download information from social networking sites with information about the person. This information may include the person's name and the profile the person has made available on sites such as Facebook, Twitter, and the like.
- This application may be used to refresh a user's memory of a person or to identify a nearby person, as well as to gather information about the person.
- the wearer may be able to utilize location-based facilities of the eyepiece to leave notes, comments, reviews, and the like, at locations, in association with people, places, products, and the like. For example, a person may be able to post a comment on a place they visited, where the posting may then be made available to others through the social network. In another example, a person may be able to post that comment at the location of the place such that the comment is available when another person comes to that location. In this way, a wearer may be able to access comments left by others when they come to the location. For instance, a wearer may come to the entrance to a restaurant, and be able to access reviews for the restaurant, such as sorted by some criteria (e.g. most recent review, age of reviewer, and the like).
- a user may initiate the desired program by voice, by selecting a choice from a virtual touchscreen, as described above, by using a trackpad to select and choose the desired program, or by any of the control techniques described herein. Menu selections may then be made in a similar or complementary manner.
- Sensors or input devices mounted in convenient locations on the user's body may also be used, e.g., sensors and a track pad mounted on a wrist pad, on a glove, or even a discreet device, perhaps of the size of a smart phone or a personal digital assistant.
- Applications of the present disclosure may provide the wearer with Internet access, such as for browsing, searching, shopping, entertainment, and the like, such as through a wireless communications interface to the eyepiece.
- a wearer may initiate a web search with a control gesture, such as through a control facility worn on some portion of the wearer's body (e.g. on the hand, the head, the foot), on some component being used by the wearer (e.g. a personal computer, a smart phone, a music player), on a piece of furniture near the wearer (e.g. a chair, a desk, a table, a lamp), and the like, where the image of the web search is projected for viewing by the wearer through the eyepiece.
- the wearer may then view the search through the eyepiece and control web interaction though the control facility.
- a user may be wearing an embodiment configured as a pair of glasses, with the projected image of an Internet web browser provided through the glasses while retaining the ability to simultaneously view at least portions of the surrounding real environment.
- the user may be wearing a motion sensitive control facility on their hand, where the control facility may transmit relative motion of the user's hand to the eyepiece as control motions for web control, such as similar to that of a mouse in a conventional personal computer configuration. It is understood that the user would be enabled to perform web actions in a similar fashion to that of a conventional personal computer configuration.
- the image of the web search is provided through the eyepiece while control for selection of actions to carry out the search is provided though motions of the hand.
- the overall motion of the hand may move a cursor within the projected image of the web search, the flick of the finger(s) may provide a selection action, and so forth.
- the wearer may be enabled to perform the desired web search, or any other Internet browser-enabled function, through an embodiment connected to the Internet.
- a user may have downloaded computer programs Yelp or Monocle, available from the App Store, or a similar product, such as NRU (“near you”), an application from Zagat to locate nearby restaurants or other stores, Google Earth, Wikipedia, or the like.
- the person may initiate a search, for example, for restaurants, or other providers of goods or services, such as hotels, repairmen, and the like, or information.
- locations are displayed or a distance and direction to a desired location is displayed.
- the display may take the form of a virtual label co-located with the real world object in the user's view.
- Layar Other applications from Layar (Amsterdam, the Netherlands) include a variety of “layers” tailored for specific information desired by a user.
- a layer may include restaurant information, information about a specific company, real estate listings, gas stations, and so forth.
- information may be presented on a screen of the glasses with tags having the desired information.
- GPS global positioning system
- a user may pivot or otherwise rotate his or her body and view buildings tagged with virtual tags containing information. If the user seeks restaurants, the screen will display restaurant information, such as name and location. If a user seeks a particular address, virtual tags will appear on buildings in the field of view of the wearer. The user may then make selections or choices by voice, by trackpad, by virtual touch screen, and so forth.
- Applications of the present disclosure may provide a way for advertisements to be delivered to the wearer.
- advertisements may be displayed to the viewer through the eyepiece as the viewer is going about his or her day, while browsing the Internet, conducting a web search, walking though a store, and the like.
- the user may be performing a web search, and through the web search the user is targeted with an advertisement.
- the advertisement may be projected in the same space as the projected web search, floating off to the side, above, or below the view angle of the wearer.
- advertisements may be triggered for delivery to the eyepiece when some advertising providing facility, perhaps one in proximity to the wearer, senses the presence of the eyepiece (e.g.
- the eyepiece may be used for tracking of advertisement interactions, such as the user seeing or interacting with a billboard, a promotion, an advertisement, and the like. For instance, user's behavior with respect to advertisements may be tracked, such as to provide benefits, rewards, and the like to the user. In an example, the user may be paid five dollars in virtual cash whenever they see a billboard.
- the eyepiece may provide impression tracking, such as based on seeing branded images (e.g. based on time, geography), and the like.
- offers may be targeted based on the location and the event related to the eyepiece, such as what the user saw, heard, interacted with, and the like.
- ad targeting may be based on historical behavior, such as based on what the user has interacted with in the past, patterns of interactions, and the like.
- the wearer may be window-shopping in Manhattan, where stores are equipped with such advertising providing facilities.
- the advertising providing facilities may trigger the delivery of an advertisement to the wearer based on a known location of the user determined by an integrated location sensor of the eyepiece, such as a GPS.
- the location of the user may be further refined via other integrated sensors, such as a magnetometer to enable hyperlocal augmented reality advertising. For example, a user on a ground floor of a mall may receive certain advertisements if the magnetometer and GPS readings place the user in front of a particular store.
- the GPS location may remain the same, but the magnetometer reading may indicate a change in elevation of the user and a new placement of the user in front of a different store.
- one may store personal profile information such that the advertising providing facility is able to better match advertisements to the needs of the wearer, the wearer may provide preferences for advertisements, the wearer may block at least some of the advertisements, and the like.
- the wearer may also be able to pass advertisements, and associated discounts, on to friends.
- the wearer may communicate them directly to friends that are in close proximity and enabled with their own eyepiece; they may also communicate them through a wireless Internet connection, such as to a social network of friends, though email, SMS; and the like.
- the wearer may be connected to facilities and/or infrastructure that enables the communication of advertisements from a sponsor to the wearer; feedback from the wearer to an advertisement facility, the sponsor of the advertisement, and the like; to other users, such as friends and family, or someone in proximity to the wearer; to a store, such as locally on the eyepiece or in a remote site, such as on the Internet or on a user's home computer; and the like.
- These interconnectivity facilities may include integrated facilities to the eyepiece to provide the user's location and gaze direction, such as through the use of GPS, 3-axis sensors, magnetometer, gyros, accelerometers, and the like, for determining direction, speed, attitude (e.g. gaze direction) of the wearer.
- Interconnectivity facilities may provide telecommunications facilities, such as cellular link, a WiFi/MiFi bridge, and the like. For instance, the wearer may be able to communicate through an available WiFi link, through an integrated MiFi (or any other personal or group cellular link) to the cellular system, and the like. There may be facilities for the wearer to store advertisements for a later use. There may be facilities integrated with the wearer's eyepiece or located in local computer facilities that enable caching of advertisements, such as within a local area, where the cached advertisements may enable the delivery of the advertisements as the wearer nears the location associated with the advertisement.
- local advertisements may be stored on a server that contains geo-located local advertisements and specials, and these advertisements may be delivered to the wearer individually as the wearer approaches a particular location, or a set of advertisements may be delivered to the wearer in bulk when the wearer enters a geographic area that is associated with the advertisements so that the advertisements are available when the user nears a particular location.
- the geographic location may be a city, a part of the city, a number of blocks, a single block, a street, a portion of the street, sidewalk, and the like, representing regional, local, hyper-local areas.
- advertisement can also mean an announcement, a broadcast, a circular, a commercial, a sponsored communication, an endorsement, a notice, a promotion, a bulletin, a message, and the like.
- FIGS. 18-20A depict ways to deliver custom messages to persons within a short distance of an establishment that wishes to send a message, such as a retail store.
- embodiments may provide for a way to view custom billboards, such as when the wearer of the eyepiece is walking or driving, by applications as mentioned above for searching for providers of goods and services.
- the billboard 1800 shows an exemplary augmented reality-based advertisement displayed by a seller or a service provider.
- the exemplary advertisement may relate to an offer on drinks by a bar. For example, two drinks may be provided for the cost of just one drink. With such augmented reality-based advertisements and offers, the wearer's attention may be easily directed towards the billboards.
- the billboards may also provide details about location of the bar such as street address, floor number, phone number, and the like.
- several devices other than eyepiece may be utilized to view the billboards. These devices may include without limitations smart phones, IPHONEs, IPADs, car windshields, user glasses, helmets, wristwatches, headphones, vehicle mounts, and the like.
- a user wearer in case the augmented reality technology is embedded in the eyepiece
- the user may receive offers or view the scene of the billboards based on his request.
- FIG. 19 illustrates two exemplary roadside billboards 1900 containing offers and advertisements from sellers or service providers that may be viewed in the augmented reality manner.
- the augmented advertisement may provide a live and near-to-reality perception to the user or the wearer.
- the augmented reality enabled device such as the camera lens provided in the eyepiece may be utilized to receive and/or view graffiti 2000 , slogans, drawings, and the like, that may be displayed on the roadside or on top, side, front of the buildings and shops.
- the roadside billboards and the graffiti may have a visual (e.g. a code, a shape) or wireless indicator that may link the advertisement, or advertisement database, to the billboard.
- a projection of the billboard advertisement may then be provided to the wearer.
- one may also store personal profile information such that the advertisements may better match the needs of the wearer, the wearer may provide preferences for advertisements, the wearer may block at least some of the advertisements, and the like.
- the eyepiece may have brightness and contrast control over the eyepiece projected area of the billboard so as to improve readability for the advertisement, such as in a bright outside environment.
- users may post information or messages on a particular location, based on its GPS location or other indicator of location, such as a magnetometer reading.
- the intended viewer is able to see the message when the viewer is within a certain distance of the location, as explained with FIG. 20A .
- a user decides the location where the message is to be received by persons to whom the message is sent.
- the message is then posted 2003 , to be sent to the appropriate person or persons when the recipient is close to the intended “viewing area.”
- Location of the wearers of the augmented reality eyepiece is continuously updated 2005 by the GPS system which forms a part of the eyepiece.
- the message is then sent 2007 to the viewer.
- the message then appears as e-mail or a text message to the recipient, or if the recipient is wearing an eyepiece, the message may appear in the eyepiece.
- the message may be displayed as “graffiti” on a building or feature at or near the specified location. Specific settings may be used to determine if all passersby to the “viewing area” can see the message or if only a specific person or group of people or devices with specific identifiers.
- a soldier clearing a village may virtually mark a house as cleared by associating a message or identifier with the house, such as a big X marking the location of the house.
- the soldier may indicate that only other American soldiers may be able to receive the location-based content.
- other American soldiers pass the house, they may receive an indication automatically, such as by seeing the virtual ‘X’ on the side of the house if they have an eyepiece or some other augmented reality-enabled device, or by receiving a message indicating that the house has been cleared.
- content related to safety applications may be streamed to the eyepiece, such as alerts, target identification, communications, and the like.
- Embodiments may provide for a way to view information associated with products, such as in a store.
- Information may include nutritional information for food products, care instructions for clothing products, technical specifications for consumer electronics products, e-coupons, promotions, price comparisons with other like products, price comparisons with other stores, and the like.
- This information may be projected in relative position with the product, to the periphery of sight to the wearer, in relation to the store layout, and the like.
- the product may be identified visually through a SKU, a brand tag, and the like; transmitted by the product packaging, such as through an RFID tag on the product; transmitted by the store, such as based on the wearer's position in the store, in relative position to the products; and the like.
- a viewer may be walking though a clothing store, and as they walk are provided with information on the clothes on the rack, where the information is provided through the product's RFID tag.
- the information may be delivered as a list of information, as a graphic representation, as audio and/or video presentation, and the like.
- the wearer may be food shopping, and advertisement providing facilities may be providing information to the wearer in association with products in the wearer's proximity, the wearer may be provided information when they pick up the product and view the brand, product name, SKU, and the like. In this way, the wearer may be provided a more informative environment in which to effectively shop.
- One embodiment may allow a user to receive or share information about shopping or an urban area through the use of the augmented reality enabled devices such as the camera lens fitted in the eyepiece of exemplary sunglasses.
- AR augmented reality
- the wearer of the eyepiece may walk down a street or a market for shopping purposes.
- the user may activate various modes that may assist in defining user preferences for a particular scenario or environment. For example the user may enter navigation mode through which the wearer may be guided across the streets and the market for shopping of the preferred accessories and products. The mode may be selected and various directions may be given by the wearer through various methods such as through text commands, voice commands, and the like.
- the wearer may give a voice command to select the navigation mode which may result in the augmented display in front of the wearer.
- the augmented information may depict information pertinent to the location of various shops and vendors in the market, offers in various shops and by various vendors, current happy hours, current date and time and the like.
- Various sorts of options may also be displayed to the wearer.
- the wearer may scroll the options and walk down the street guided through the navigation mode. Based on options provided, the wearer may select a place that suits him the best for shopping based on such as offers and discounts and the like.
- the eyepiece may provide the ability to search, browse, select, save, share, receive advertisements, and the like for items of purchase, such as viewed through the eyepiece. For example, the wearer may search for an item across the Internet and make a purchase without making a phone call, such as through an application store, commerce application, and the like.
- the wearer may give a voice command to navigate toward the place and the wearer may then be guided toward it.
- the wearer may also receive advertisements and offers automatically or based on request regarding current deals, promotions and events in the interested location such as a nearby shopping store.
- the advertisements, deals and offers may appear in proximity of the wearer and options may be displayed for purchasing desired products based on the advertisements, deals and offers.
- the wearer may for example select a product and purchase it through a Google checkout.
- a message or an email may appear on the eyepiece, similar to the one depicted in FIG. 7 , with information that the transaction for the purchase of the product has been completed.
- a product delivery status/information may also be displayed.
- the wearer may further convey or alert friends and relatives regarding the offers and events through social networking platforms and may also ask them to join.
- the user may wear the head-mounted eyepiece wherein the eyepiece includes an optical assembly through which the user may view a surrounding environment and displayed content.
- the displayed content may comprise one or more local advertisements.
- the location of the eyepiece may be determined by an integrated location sensor and the local advertisement may have a relevance to the location of the eyepiece.
- the user's location may be determined via GPS, RFID, manual input, and the like.
- the user may be walking by a coffee shop, and based on the user's proximity to the shop, an advertisement, similar to that depicted in FIG. 19 , showing the store's brand 1900 , such as the band for a fast food restaurant or coffee may appear in the user's field of view.
- the user may experience similar types of local advertisements as he or she moves about the surrounding environment.
- the eyepiece may contain a capacitive sensor capable of sensing whether the eyepiece is in contact with human skin.
- a capacitive sensor capable of sensing whether the eyepiece is in contact with human skin.
- Such sensor or group of sensors may be placed on the eyepiece and or eyepiece arm in such a manner that allows detection of when the glasses are being worn by a user.
- sensors may be used to determine whether the eyepiece is in a position such that they may be worn by a user, for example, when the earpiece is in the unfolded position.
- local advertisements may be sent only when the eyepiece is in contact with human skin, in a wearable position, a combination of the two, actually worn by the user and the like.
- the local advertisement may be sent in response to the eyepiece being powered on or in response to the eyepiece being powered on and worn by the user and the like.
- an advertiser may choose to only send local advertisements when a user is in proximity to a particular establishment and when the user is actually wearing the glasses and they are powered on allowing the advertiser to target the advertisement to the user at the appropriate time.
- the local advertisement may be displayed to the user as a banner advertisement, two-dimensional graphic, text and the like. Further, the local advertisement may be associated with a physical aspect of the user's view of the surrounding environment. The local advertisement may also be displayed as an augmented reality advertisement wherein the advertisement is associated with a physical aspect of the surrounding environment. Such advertisement may be two or three-dimensional.
- a local advertisement may be associated with a physical billboard as described further in FIG. 18 wherein the user's attention may be drawn to displayed content showing a beverage being poured from a billboard 1800 onto an actual building in the surrounding environment.
- the local advertisement may also contain sound that is displayed to the user through an earpiece, audio device or other means.
- the local advertisement may be animated in embodiments.
- the user may view the beverage flow from the billboard onto an adjacent building and, optionally, into the surrounding environment.
- an advertisement may display any other type of motion as desired in the advertisement.
- the local advertisement may be displayed as a three-dimensional object that may be associated with or interact with the surrounding environment.
- the advertisement may remain associated with or in proximity to the object even as the user turns his head. For example, if an advertisement, such as the coffee cup as described in FIG. 19 , is associated with a particular building, the coffee cup advertisement may remain associated with and in place over the building even as the user turns his head to look at another object in his environment.
- local advertisements may be displayed to the user based on a web search conducted by the user where the advertisement is displayed in the content of the web search results. For example, the user may search for “happy hour” as he is walking down the street, and in the content of the search results, a local advertisement may be displayed advertising a local bar's beer prices.
- the content of the local advertisement may be determined based on the user's personal information.
- the user's information may be made available to a web application, an advertising facility and the like.
- a web application, advertising facility or the user's eyepiece may filter the advertising based on the user's personal information.
- a user may store personal information about his likes and dislikes and such information may be used to direct advertising to the user's eyepiece.
- the user may store data about his affinity for a local sports team, and as advertisements are made available, those advertisements with his favorite sports team may be given preference and pushed to the user.
- a user's dislikes may be used to exclude certain advertisements from view.
- the advertisements may be cashed on a server where the advertisement may be accessed by at least one of an advertising facility, web application and eyepiece and displayed to the user.
- the user may interact with any type of local advertisement in numerous ways.
- the user may request additional information related to a local advertisement by making at least one action of an eye movement, body movement and other gesture. For example, if an advertisement is displayed to the user, he may wave his hand over the advertisement in his field of view or move his eyes over the advertisement in order to select the particular advertisement to receive more information relating to such advertisement.
- the user may choose to ignore the advertisement by any movement or control technology described herein such as through an eye movement, body movement, other gesture and the like. Further, the user may chose to ignore the advertisement by allowing it to be ignored by default by not selecting the advertisement for further interaction within a given period of time.
- the advertisement may be ignored by default and disappear from the users view.
- the user may select to not allow local advertisements to be displayed whereby said user selects such an option on a graphical user interface or by turning such feature off via a control on said eyepiece.
- the eyepiece may include an audio device.
- the displayed content may comprise a local advertisement and audio such that the user is also able to hear a message or other sound effects as they relate to the local advertisement.
- the user may hear the bottle open and then the sound of the liquid pouring out of the bottle and onto the rooftop.
- a descriptive message may be played, and or general information may be given as part of the advertisement.
- any audio may be played as desired for the advertisement.
- social networking may be facilitated with the use of the augmented reality enabled devices such as a camera lens fitted in the eyepiece.
- a camera lens fitted in the eyepiece This may be utilized to connect several users or other persons that may not have the augmented reality enabled device together who may share thoughts and ideas with each other.
- the wearer of the eyepiece may be sitting in a school campus along with other students.
- the wearer may connect with and send a message to a first student who may be present in a coffee shop.
- the wearer may ask the first student regarding persons interested in a particular subject such as environmental economics for example.
- the camera lens fitted inside the eyepiece may track and match the students to a networking database such as ‘Google me’ that may contain public profiles.
- Profiles of interested and relevant persons from the public database may appear and pop-up in front of the wearer on the eyepiece. Some of the profiles that may not be relevant may either be blocked or appear blocked to the user. The relevant profiles may be highlighted for quick reference of the wearer. The relevant profiles selected by the wearer may be interested in the subject environmental economics and the wearer may also connect with them. Further, they may also be connected with the first student. In this manner, a social network may be established by the wearer with the use of the eyepiece enabled with the feature of the augmented reality. The social networks managed by the wearer and the conversations therein may be saved for future reference.
- the present disclosure may be applied in a real estate scenario with the use of the augmented reality enabled devices such as a camera lens fitted in an eyepiece.
- the wearer in accordance with this embodiment, may want to get information about a place in which the user may be present at a particular time such as during driving, walking, jogging and the like.
- the wearer may, for instance, want to understand residential benefits and loss in that place. He may also want to get detailed information about the facilities in that place. Therefore, the wearer may utilize a map such as a Google online map and recognize the real estate that may be available there for lease or purchase.
- the user may receive information about real estate for sale or rent using mobile Internet applications such as Layar.
- information about buildings within the user's field of view is projected onto the inside of the glasses for consideration by the user.
- Options may be displayed to the wearer on the eyepiece lens for scrolling, such as with a trackpad mounted on a frame of the glasses.
- the wearer may select and receive information about the selected option.
- the augmented reality enabled scenes of the selected options may be displayed to the wearer and the wearer may be able to view pictures and take a facility tour in the virtual environment.
- the wearer may further receive information about real estate agents and fix an appointment with one of those.
- An email notification or a call notification may also be received on the eyepiece for confirmation of the appointment. If the wearer finds the selected real estate of worth, a deal may be made and that may be purchased by the wearer.
- customized and sponsored tours and travels may be enhanced through the use of the augmented reality-enabled devices, such as a camera lens fitted in the eyepiece.
- the wearer (as a tourist) may arrive in a city such as Paris and wants to receive tourism and sightseeing related information about the place to accordingly plan his visit for the consecutive days during his stay.
- the wearer may put on his eyepiece or operate any other augmented reality enabled device and give a voice or text command regarding his request.
- the augmented reality enabled eyepiece may locate wearer position through geo-sensing techniques and decide tourism preferences of the wearer.
- the eyepiece may receive and display customized information based on the request of the wearer on a screen.
- the customized tourism information may include information about art galleries and museums, monuments and historical places, shopping complexes, entertainment and nightlife spots, restaurants and bars, most popular tourist destinations and centers/attractions of tourism, most popular local/cultural/regional destinations and attractions, and the like without limitations.
- the eyepiece may prompt the user with other questions such as time of stay, investment in tourism and the like.
- the wearer may respond through the voice command and in return receive customized tour information in an order as selected by the wearer. For example the wearer may give a priority to the art galleries over monuments. Accordingly, the information may be made available to the wearer. Further, a map may also appear in front of the wearer with different sets of tour options and with different priority rank such as:
- Priority Rank 1 First tour Option (Champs Elyse, Louvre, Rodin, Museum, Famous Café)
- the wearer may select the first option since it is ranked as highest in priority based on wearer indicated preferences. Advertisements related to sponsors may pop up right after selection. Subsequently, a virtual tour may begin in the augmented reality manner that may be very close to the real environment. The wearer may for example take a 30 seconds tour to a vacation special to the Atlantis Resort in the Bahamas. The virtual 3D tour may include a quick look at the rooms, beach, public spaces, parks, facilities, and the like. The wearer may also experience shopping facilities in the area and receive offers and discounts in those places and shops. At the end of the day, the wearer might have experienced a whole day tour sitting in his chamber or hotel. Finally, the wearer may decide and schedule his plan accordingly.
- Another embodiment may allow information concerning auto repairs and maintenance services with the use of the augmented reality enabled devices such as a camera lens fitted in the eyepiece.
- the wearer may receive advertisements related to auto repair shops and dealers by sending a voice command for the request.
- the request may, for example include a requirement of oil change in the vehicle/car.
- the eyepiece may receive information from the repair shop and display to the wearer.
- the eyepiece may pull up a 3D model of the wearer's vehicle and show the amount of oil left in the car through an augmented reality enabled scene/view.
- the eyepiece may show other relevant information also about the vehicle of the wearer such as maintenance requirements in other parts like brake pads.
- the wearer may see 3D view of the wearing brake pads and may be interested in getting those repaired or changed. Accordingly, the wearer may schedule an appointment with a vendor to fix the problem via using the integrated wireless communication capability of the eyepiece.
- the confirmation may be received through an email or an incoming call alert on the eyepiece camera lens.
- gift shopping may benefit through the use of the augmented reality enabled devices such as a camera lens fitted in the eyepiece.
- the wearer may post a request for a gift for some occasion through a text or voice command.
- the eyepiece may prompt the wearer to answer his preferences such as type of gifts, age group of the person to receive the gift, cost range of the gift and the like.
- Various options may be presented to the user based on the received preferences. For instance, the options presented to the wearer may be: Cookie basket, Wine and cheese basket, Chocolate assortment, Golfer's gift basket, and the like.
- the available options may be scrolled by the wearer and the best fit option may be selected via the voice command or text command.
- the wearer may select the Golfer's gift basket.
- a 3D view of the Golfer's gift basket along with a golf course may appear in front of the wearer.
- the virtual 3D view of the Golfer's gift basket and the golf course enabled through the augmented reality may be perceived very close to the real world environment.
- the wearer may finally respond to the address, location and other similar queries prompted through the eyepiece. A confirmation may then be received through an email or an incoming call alert on the eyepiece camera lens.
- augmented reality glasses may be computer video games, such as those furnished by Electronic Arts Mobile, UbiSoft and Activision Blizzard, e.g., World of Warcraft® (WoW).
- WoW World of Warcraft®
- augmented reality glasses may also use gaming applications.
- the screen may appear on an inside of the glasses so that a user may observe the game and participate in the game.
- controls for playing the game may be provided through a virtual game controller, such as a joystick, control module or mouse, described elsewhere herein.
- the game controller may include sensors or other output type elements attached to the user's hand, such as for feedback from the user through acceleration, vibration, force, pressure, electrical impulse, temperature, electric field sensing, and the like. Sensors and actuators may be attached to the user's hand by way of a wrap, ring, pad, glove, bracelet, and the like.
- an eyepiece virtual mouse may allow the user to translate motions of the hand, wrist, and/or fingers into motions of the cursor on the eyepiece display, where “motions” may include slow movements, rapid motions, jerky motions, position, change in position, and the like, and may allow users to work in three dimensions, without the need for a physical surface, and including some or all of the six degrees of freedom.
- gaming application implementations 2700 may use both the internet and a GPS.
- a game is downloaded from a customer database via a game provider, perhaps using their web services and the internet as shown, to a user computer or augmented reality glasses.
- the glasses which also have telecommunication capabilities, receive and send telecommunications and telemetry signals via a cellular tower and a satellite.
- an on-line gaming system has access to information about the user's location as well as the user's desired gaming activities.
- Games may take advantage of this knowledge of the location of each player.
- the games may build in features that use the player's location, via a GPS locator or magnetometer locator, to award points for reaching the location.
- the game may also send a message, e.g., display a clue, or a scene or images, when a player reaches a particular location.
- a message for example, may be to go to a next destination, which is then provided to the player.
- Scenes or images may be provided as part of a struggle or an obstacle which must be overcome, or as an opportunity to earn game points.
- augmented reality eyepieces or glasses may use the wearer's location to quicken and enliven computer-based video games.
- FIG. 28 One method of playing augmented reality games is depicted in FIG. 28 .
- a user logs into a website whereby access to a game is permitted.
- the game is selected.
- the user may join a game, if multiple player games are available and desired; alternatively, the user may create a custom game, perhaps using special roles the user desired.
- the game may be scheduled, and in some instances, players may select a particular time and place for the game, distribute directions to the site where the game will be played, etc. Later, the players meet and check into the game, with one or more players using the augmented reality glasses. Participants then play the game and if applicable, the game results and any statistics (scores of the players, game times, etc.) may be stored.
- the location may change for different players in the game, sending one player to one location and another player or players to a different location.
- the game may then have different scenarios for each player or group of players, based on their GPS or magnetometer-provided locations. Each player may also be sent different messages or images based on his or her role, his or her location, or both. Of course, each scenario may then lead to other situations, other interactions, directions to other locations, and so forth. In one sense, such a game mixes the reality of the player's location with the game in which the player is participating.
- Games can range from simple games of the type that would be played in a palm of a player's hand, such as small, single player games. Alternatively, more complicated, multi-player games may also be played. In the former category are games such as SkySiege, AR Drone and Fire Fighter 360 . In addition, multiplayer games are also easily envisioned. Since all players must log into the game, a particular game may be played by friends who log in and specify the other person or persons. The location of the players is also available, via GPS or other method. Sensors in the augmented reality glasses or in a game controller as described above, such as accelerometers, gyroscopes or even a magnetic compass, may also be used for orientation and game playing. An example is AR Invaders, available for iPhone applications from the App Store. Other games may be obtained from other vendors and for non-iPhone type systems, such as Layar, of Amsterdam and Paris SA, Paris, France, supplier of AR Drone, AR Flying Ace and AR Pursuit.
- games may also be in 3D such that the user can experience 3D gaming.
- the user when playing a 3D game, the user may view a virtual, augmented reality or other environment where the user is able to control his view perspective.
- the user may turn his head to view various aspects of the virtual environment or other environment.
- the perspective of the user may be such that the user is put ‘into’ a 3D game environment with at least some control over the viewing perspective where the user may be able to move his head and have the view of the game environment change in correspondence to the changed head position.
- the user may be able to ‘walk into’ the game when he physically walks forward, and have the perspective change as the user moves. Further, the perspective may also change as the user moves the gazing view of his eyes, and the like. Additional image information may be provided, such as at the sides of the user's view that could be accessed by turning the head.
- the 3D game environment may be projected onto the lenses of the glasses or viewed by other means. Further, the lenses may be opaque or transparent.
- the 3D game image may be associated with and incorporate the external environment of the user such that the user may be able to turn his head and the 3D image and external environment stay together. Further, such 3D gaming image and external environment associations may change such that the 3D image associates with more than one object or more than one part of an object in the external environment at various instances such that it appears to the user that the 3D image is interacting with various aspects or objects of the actual environment.
- the user may view a 3D game monster climb up a building or on to an automobile where such building or automobile is an actual object in the user's environment.
- the user may interact with the monster as part of the 3D gaming experience.
- the actual environment around the user may be part of the 3D gaming experience.
- the user may interact in a 3D gaming environment while moving about his or her actual environment.
- the 3D game may incorporate elements of the user's environment into the game, it may be wholly fabricated by the game, or it may be a mixture of both.
- the 3D images may be associated with or generated by an augmented reality program, 3D game software and the like or by other means.
- augmented reality is employed for the purpose of 3D gaming
- a 3D image may appear or be perceived by the user based on the user's location or other data.
- Such an augmented reality application may provide for the user to interact with such 3D image or images to provide a 3D gaming environment when using the glasses.
- play in the game may advance and various 3D elements of the game may become accessible or inaccessible to the viewer.
- various 3D enemies of the user's game character may appear in the game based on the actual location of the user.
- the user may interact with or cause reactions from other users playing the game and or 3D elements associated with the other users playing the game.
- Such elements associated with users may include weapons, messages, currency, a 3D image of the user and the like.
- Based on a user's location or other data he or she may encounter, view, or engage, by any means, other users and 3D elements associated with other users.
- 3D gaming may also be provided by software installed in or downloaded to the glasses where the user's location is or is not used.
- the lenses may be opaque to provide the user with a virtual reality or other virtual 3D gaming experience where the user is ‘put into’ the game where the user's movements may change the viewing perspective of the 3D gaming environment for the user.
- the user may move through or explore the virtual environment through various body, head, and or eye movements, use of game controllers, one or more touch screens, or any of the control techniques described herein which may allow the user to navigate, manipulate, and interact with the 3D environment, and thereby play the 3D game.
- the user may navigate, interact with and manipulate the 3D game environment and experience 3D gaming via body, hand, finger, eye, or other movements, through the use of one or more wired or wireless controllers, one or more touch screens, any of the control techniques described herein, and the like.
- internal and external facilities available to the eyepiece may provide for learning the behavior of a user of the eyepiece, and storing that learned behavior in a behavioral database to enable location-aware control, activity-aware control, predictive control, and the like.
- a user may have events and/or tracking of actions recorded by the eyepiece, such as commands from the user, images sensed through a camera, GPS location of the user, sensor inputs over time, triggered actions by the user, communications to and from the user, user requests, web activity, music listened to, directions requested, recommendations used or provided, and the like.
- This behavioral data may be stored in a behavioral database, such as tagged with a user identifier or autonomously. The eyepiece may collect this data in a learn mode, collection mode, and the like.
- the eyepiece may utilize past data taken by the user to inform or remind the user of what they did before, or alternatively, the eyepiece may utilize the data to predict what eyepiece functions and applications the user may need based on past collected experiences.
- the eyepiece may act as an automated assistant to the user, for example, launching applications at the usual time the user launches them, turning off augmented reality and the GPS when nearing a location or entering a building, streaming in music when the user enters the gym, and the like.
- the learned behavior and/or actions of a plurality of eyepiece users may be autonomously stored in a collective behavior database, where learned behaviors amongst the plurality of users are available to individual users based on similar conditions.
- a user may be visiting a city, and waiting for a train on a platform, and the eyepiece of the user accesses the collective behavior database to determine what other users have done while waiting for the train, such as getting directions, searching for points of interest, listening to certain music, looking up the train schedule, contacting the city website for travel information, connecting to social networking sites for entertainment in the area, and the like.
- the eyepiece may be able to provide the user with an automated assistant with the benefit of many different user experiences.
- the learned behavior may be used to develop preference profiles, recommendations, advertisement targeting, social network contacts, behavior profiles for the user or groups of users, and the like, for/to the user.
- the augmented reality eyepiece or glasses may include one or more acoustic sensors for detecting sound 2900 .
- acoustic sensors are similar to microphones, in that they detect sounds.
- Acoustic sensors typically have one or more frequency bandwidths at which they are more sensitive, and the sensors can thus be chosen for the intended application.
- Acoustic sensors are available from a variety of manufacturers and are available with appropriate transducers and other required circuitry. Manufacturers include ITT Electronic Systems, Salt Lake City, Utah, USA; Meggitt Sensing Systems, San Juan Capistrano, Calif., USA; and National Instruments, Austin, Tex., USA.
- Suitable microphones include those which comprise a single microphone as well as those which comprise an array of microphones, or a microphone array.
- MEMS sensors may include those using micro electromechanical systems (MEMS) technology. Because of the very fine structure in a MEMS sensor, the sensor is extremely sensitive and typically has a wide range of sensitivity. MEMS sensors are typically made using semiconductor manufacturing techniques. An element of a typical MEMS accelerometer is a moving beam structure composed of two sets of fingers. One set is fixed to a solid ground plane on a substrate; the other set is attached to a known mass mounted on springs that can move in response to an applied acceleration. This applied acceleration changes the capacitance between the fixed and moving beam fingers. The result is a very sensitive sensor. Such sensors are made, for example, by STMicroelectronics, Austin, Tex. and Honeywell International, Morristown N.J., USA.
- sound capabilities of the augmented reality devices may also be applied to locating an origin of a sound.
- the acoustic sensor will be equipped with appropriate transducers and signal processing circuits, such as a digital signal processor, for interpreting the signal and accomplishing a desired goal.
- One application for sound locating sensors may be to determine the origin of sounds from within an emergency location, such as a burning building, an automobile accident, and the like.
- Emergency workers equipped with embodiments described herein may each have one or more than one acoustic sensors or microphones embedded within the frame. Of course, the sensors could also be worn on the person's clothing or even attached to the person.
- the signals are transmitted to the controller of the augmented reality eyepiece.
- the eyepiece or glasses are equipped with GPS technology and may also be equipped with direction-finding capabilities; alternatively, with two sensors per person, the microcontroller can determine a direction from which the noise originated.
- acoustic sensors typically measure levels of sound pressure (e.g., in decibels), and these other parameters may be used in appropriate types of acoustic sensors, including acoustic emission sensors and ultrasonic sensors or transducers.
- the appropriate algorithms and all other necessary programming may be stored in the microcontroller of the eyepiece, or in memory accessible to the eyepiece. Using more than one responder, or several responders, a likely location may then be determined, and the responders can attempt to locate the person to be rescued. In other applications, responders may use these acoustic capabilities to determine the location of a person of interest to law enforcement. In still other applications, a number of people on maneuvers may encounter hostile fire, including direct fire (line of sight) or indirect fire (out of line of sight, including high angle fire). The same techniques described here may be used to estimate a location of the hostile fire. If there are several persons in the area, the estimation may be more accurate, especially if the persons are separated at least to some extent, over a wider area. This may be an effective tool to direct counter-battery or counter-mortar fire against hostiles. Direct fire may also be used if the target is sufficiently close.
- FIG. 29B An example using embodiments of the augmented reality eyepieces is depicted in FIG. 29B .
- numerous soldiers are on patrol, each equipped with augmented reality eyepieces, and are alert for hostile fire.
- the sounds detected by their acoustic sensors or microphones may be relayed to a squad vehicle as shown, to their platoon leader, or to a remote tactical operations center (TOC) or command post (CP).
- TOC remote tactical operations center
- CP command post
- the signals may also be sent to a mobile device, such as an airborne platform, as shown. Communications among the soldiers and the additional locations may be facilitated using a local area network, or other network.
- all the transmitted signals may be protected by encryption or other protective measures.
- One or more of the squad vehicle, the platoon commander, the mobile platform, the TOC or the CP will have an integration capability for combining the inputs from the several soldiers and determining a possible location of the hostile fire.
- the signals from each soldier will include the location of the soldier from a GPS capability inherent in the augmented reality glasses or eyepiece.
- the acoustic sensors on each soldier may indicate a possible direction of the noise. Using signals from several soldiers, the direction and possibly the location of the hostile fire may be determined. The soldiers may then neutralize the location.
- the augmented reality eyepiece may be equipped with ear buds, which may be articulating ear buds, as mentioned else where herein, and may be removably attached 1403 , or may be equipped with an audio output jack 1401 .
- the eyepiece and ear buds may be equipped to deliver noise-cancelling interference, allowing the user to better hear sounds delivered from the audio-video communications capabilities of the augmented reality eyepiece or glasses, and may feature automatic gain control.
- the speakers or ear buds of the augmented reality eyepiece may also connect with the full audio and visual capabilities of the device, with the ability to deliver high quality and clear sound from the included telecommunications device.
- this includes radio or cellular telephone (smart phone) audio capabilities, and may also include complementary technologies, such as BluetoothTM capabilities or related technologies, such as IEEE 802.11, for wireless personal area networks (WPAN).
- WLAN wireless personal area networks
- augmented audio capabilities includes speech recognition and identification capabilities.
- Speech recognition concerns understanding what is said while speech identification concerns understanding who the speaker is.
- Speech identification may work hand in hand with the facial recognition capabilities of these devices to more positively identify persons of interest.
- a camera connected as part of the augmented reality eyepiece can unobtrusively focus on desired personnel, such as a single person in a crowd or multiple faces in a crowd.
- desired personnel such as a single person in a crowd or multiple faces in a crowd.
- an image of the person or people may be taken.
- the features of the image are then broken down into any number of measurements and statistics, and the results are compared to a database of known persons. An identity may then be made.
- a voice or voice sampling from the person of interest may be taken.
- the sample may be marked or tagged, e.g., at a particular time interval, and labeled, e.g., a description of the person's physical characteristics or a number.
- the voice sample may be compared to a database of known persons, and if the person's voice matches, then an identification may be made.
- multiple individuals of interest may by selected, such as for biometric identification.
- the multiple selection may be through the use of a cursor, a hand gesture, an eye movement, and the like.
- information concerning the selected individuals may be provided to the user, such as through the display, through audio, and the like.
- control technologies described herein may be used to select faces or irises for imaging.
- a cursor selection using the hand-worn control device may be used to select multiple faces in a view of the user's surrounding environment.
- gaze tracking may be used to select which faces to select for biometric identification.
- the hand-worn control device may sense a gesture used to select the individuals, such as pointing at each individual.
- important characteristics of a particular person's speech may be understood from a sample or from many samples of the person's voice.
- the samples are typically broken into segments, frames and subframes.
- important characteristics include a fundamental frequency of the person's voice, energy, formants, speaking rate, and the like.
- These characteristics are analyzed by software which analyses the voice according to certain formulae or algorithms. This field is constantly changing and improving.
- classifiers may include algorithms such as neural network classifiers, k-classifiers, hidden Markov models, Gaussian mixture models and pattern matching algorithms, among others.
- a general template 3100 for speech recognition and speaker identification is depicted in FIG. 31 .
- a first step 3101 is to provide a speech signal. Ideally, one has a known sample from prior encounters with which to compare the signal. The signal is then digitized in step 3102 and is partitioned in step 3103 into fragments, such as segments, frames and subframes. Features and statistics of the speech sample are then generated and extracted in step 3104 . The classifier, or more than one classifier, is then applied in step 3105 to determine general classifications of the sample. Post-processing of the sample may then be applied in step 3106 , e.g., to compare the sample to known samples for possible matching and identification. The results may then be output in step 3107 . The output may be directed to the person requesting the matching, and may also be recorded and sent to other persons and to one or more databases.
- the audio capabilities of the eyepiece include hearing protection with the associated earbuds.
- the audio processor of the eyepiece may enable automatic noise suppression, such as if a loud noise is detected near the wearer's head. Any of the control technologies described herein may be used with automatic noise suppression.
- the eyepiece may include a nitinol head strap.
- the head strap may be a thin band of curved metal which may either pull out from the arms of the eyepiece or rotate out and extend out to behind the head to secure the eyepiece to the head.
- the tip of the nitinol strap may have a silicone cover such that the silicone cover is grasped to pull out from the ends of the arms.
- only one arm has a nitinol band, and it gets secured to the other arm to form a strap.
- both arms have a nitinol band and both sides get pulled out to either get joined to form a strap or independently grasp a portion of the head to secure the eyepiece on the wearer's head.
- the eyepiece may have interchangeable equipment to attach the eyepiece to an individual's head, such as a joint where a head strap, glasses arms, helmet strap, helmet snap connection, and the like may be attached.
- a joint in the eyepiece near the user's temple where the eyepiece may attach to a strap, and where the strap may be disconnected so the user may attach arms to make the eyepiece take the form of glasses, attach to a helmet, and the like.
- the interchangeable equipment attaching the eyepiece to the user's head or to a helmet may include an embedded antenna.
- a Nitinol head strap may have an embedded antenna inside, such as for a particular frequency, for a plurality of frequencies, and the like.
- the arm, strap, and the like may contain RF absorbing foam in order to aid in the absorption of RF energy while the antenna is used in transmission.
- the eyepiece may include one or more adjustable wrap around extendable arms 2134 .
- the adjustable wrap around extendable arms 2134 may secure the position of the eyepiece to the user's head.
- One or more of the extendable arms 2134 may be made out of a shape memory material.
- one or both of the arms may be made of nitinol and/or any shape-memory material.
- the end of at least one of the wrap around extendable arms 2134 may be covered with silicone.
- the adjustable wrap around extendable arms 2134 may extend from the end of an eyepiece arm 2116 . They may extend telescopically and/or they may slide out from an end of the eyepiece arms.
- the extendable arms 2134 may meet and secure to each other.
- the extendable arms may also attach to another portion of the head mounted eyepiece to create a means for securing the eyepiece to the user's head.
- the wrap around extendable arms 2134 may meet to secure to each other, interlock, connect, magnetically couple, or secure by other means so as to provide a secure attachment to the user's head.
- the adjustable wrap around extendable arms 2134 may also be independently adjusted to attach to or grasp portions of the user's head. As such the independently adjustable arms may allow the user increased customizability for a personalized fit to secure the eyepiece to the user's head.
- At least one of the wrap around extendable arms 2134 may be detachable from the head mounted eyepiece.
- the wrap around extendable arms 2134 may be an add-on feature of the head mounted eyepiece.
- the user may chose to put extendable, non-extendable or other arms on to the head mounted eyepiece.
- the arms may be sold as a kit or part of a kit that allows the user to customize the eyepiece to his or her specific preferences. Accordingly, the user may customize that type of material from which the adjustable wrap around extendable arm 2134 is made by selecting a different kit with specific extendable arms suited to his preferences. Accordingly, the user may customize his eyepiece for his particular needs and preferences.
- an adjustable strap, 2142 may be attached to the eyepiece arms such that it extends around the back of the user's head in order to secure the eyepiece in place.
- the strap may be adjusted to a proper fit. It may be made out of any suitable material, including but not limited to rubber, silicone, plastic, cotton and the like.
- the eyepiece may be secured to the user's head by a plurality of other structures, such a rigid arm, a flexible arm, a gooseneck flex arm, a cable tensioned system, and the like.
- a flexible arm may be constructed from a flexible tubing, such as in a gooseneck configuration, where the flexible arm may be flexed into position to adjust to the fit of a given user, and where the flexible arm may be reshaped as needed.
- a flexible arm may be constructed from a cable tensioned system, such as in a robotic finger configuration, having multiple joints connecting members that are bent into a curved shape with a pulling force applied to a cable running through the joints and members.
- the cable-driven system may implement an articulating ear horn for size adjustment and eyepiece headwear retention.
- the cable-tensioned system may have two or more linkages, the cable may be stainless steel, Nitinol-based, electro-actuated, ratcheted, wheel adjusted, and the like.
- the eyepiece may include security features, such as M-Shield Security, Secure content, DSM, Secure Runtime, IPSec, and the like.
- security features such as M-Shield Security, Secure content, DSM, Secure Runtime, IPSec, and the like.
- Other software features may include: User Interface, Apps, Framework, BSP, Codecs, Integration, Testing, System Validation, and the like.
- the eyepiece materials may be chosen to enable ruggedization.
- the eyepiece may be able to access a 3G access point that includes a 3G radio, an 802.11b connection and a Bluetooth connection to enable hopping data from a device to a 3G-enable embodiment of the eyepiece.
- the present disclosure also relates to methods and apparatus for the capture of biometric data about individuals.
- the methods and apparatus provide wireless capture of fingerprints, iris patterns, facial structure and other unique biometric features of individuals and then send the data to a network or directly to the eyepiece. Data collected from an individual may also be compared with previously collected data and used to identify a particular individual.
- the eyepiece 100 may be associated with mobile biometric devices, such as a biometric flashlight 7300 , a biometric phone 5000 , a biometric camera, a pocket biometric device 5400 , an arm strap biometric device 5600 , and the like, where the mobile biometrics device may act as a stand-alone device or in communications with the eyepiece, such as for control of the device, display of data from the device, storage of data, linking to an external system, linking to other eyepieces and/or other mobile biometrics devices, and the like.
- the mobile biometrics device may enable a soldier or other non-military personnel to collect or utilize existing biometrics to profile an individual.
- the device may provide for tracking, monitoring, and collecting biometric records such as including video, voice, gait, face, iris biometrics and the like.
- the device may provide for geo-location tags for collected data, such as with time, date, location, data-taking personnel, the environment, and the like.
- the device may be able to capture and record fingerprints, palm prints, scars, marks, tattoos, audio, video, annotations, and the like, such as utilizing a thin film sensor, recording, collecting, identifying, and verifying face, fingerprint, iris, latent fingerprints, latent palm prints, voice, pocket litter, and other identifying visible marks and environmental data.
- the device may be able to read prints wet or dry.
- the device may include a camera, such as with, IR illumination, UV illumination, and the like, with a capability to see through, dust, smoke, haze, and the like.
- the camera may support dynamic range extension, adaptive defect pixel correction, advanced sharpness enhancement, geometric distortion correction, advanced color management, hardware-based face detection, video stabilization, and the like.
- the camera output may be transmitted to the eyepiece for presentation to the soldier.
- the device may accommodate a plurality of other sensors, such as described herein, including an accelerometer, compass, ambient light, proximity, barometric and temperature sensors, and the like, depending on requirements.
- the device may also have a mosaic print sensor, as described herein, producing high resolution images of the whorls and pores of an individual's fingerprint, multiple finger prints simultaneously, palm print, and the like.
- a soldier may utilize a mobile biometrics device to more easily collect personnel information, such as for document and media exploitation (DOMEX). For instance, during an interview, enrollment, interrogations, and the like, operators may photograph and read identifying data or ‘pocket litter’ (e.g. passport, ID cards, personal documents, cell phone directories, pictures), take biometric data, and the like, into a person of interest profile that may be entered into a searchable secure database.
- biometric data may be filed using the most salient image plus manual entry, enabling partial data capture.
- Data may be automatically geo-located, time/date stamped, filed into a digital dossier, and the like, such as with a locally or network assigned global unique identifier (GUID).
- GUID global unique identifier
- a face image may be captured at the scene of an IED bombing
- the left iris image may be captured at a scene of a suicide bombing
- latent fingerprints may be lifted from a sniper rifle, each taken from a different mobile biometrics device at different locations and times, and together identifying a person of interest from the multiple inputs, such as at a random vehicle inspection point.
- a further embodiment of the eyepiece may be used to provide biometric data collection and result reporting.
- Biometric data may be visual biometric data, such as facial biometric data or iris biometric data, or may be audio biometric data.
- FIG. 39 depicts an embodiment providing biometric data capture.
- the assembly, 3900 incorporates the eyepiece 100 , discussed above in connection with FIG. 1 .
- Eyepiece 100 provides an interactive head-mounted eyepiece that includes an optical assembly. Other eyepieces providing similar functionality may also be used. Eyepieces may also incorporate global positioning system capability to permit location information display and reporting.
- the optical assembly allows a user to view the surrounding environment, including individuals in the vicinity of the wearer.
- An embodiment of the eyepiece allows a user to biometrically identify nearby individuals using facial images and iris images or both facial and iris images or audio samples.
- the eyepiece incorporates a corrective element that corrects a user's view of the surrounding environment and also displays content provided to the user through in integrated processor and image source.
- the integrated image source introduces the content to be displayed to the user to the optical assembly.
- the eyepiece also includes an optical sensor for capturing biometric data.
- the integrated optical sensor in an embodiment may incorporate a camera mounted on the eyepiece. This camera is used to capture biometric images of an individual near the user of the eyepiece. The user directs the optical sensor or the camera toward a nearby individual by positioning the eyepiece in the appropriate direction, which may be done just by looking at the individual. The user may select whether to capture one or more of a facial image, an iris image, or an audio sample.
- the biometric data that may be captured by the eyepiece illustrated in FIG. 39 includes facial images for facial recognition, iris images for iris recognition, and audio samples for voice identification.
- the eyepiece 3900 incorporates multiple microphones 3902 in an endfire array disposed along both the right and left temples of the eyepiece.
- the microphone arrays 3902 are specifically tuned to enable capture of human voices in an environment with a high level of ambient noise.
- the microphones may be directional, steerable, and covert.
- Microphones 3902 provide selectable options for improved audio capture, including omni-directional operation, or directional beam operation.
- Directional beam operation allows a user to record audio samples from a specific individual by steering the microphone array in the direction of the subject individual.
- Adaptive microphone arrays may be created that will allow the operator to steer the directionality of the microphone array in three dimensions, where the directional beam may be adjusted in real time to maximize signal or minimize interfering noise for a non stationary target.
- Array processing may allow summing of cardioid elements by analog or digital means, where there may be switching between omni and directional array operations.
- beam forming, array steering, adaptive array processing (speech source location), and the like, may be performed by the on-board processor.
- the microphone may be capable of 10 dB directional recording.
- Audio biometric capture is enhanced by incorporating phased array audio and video tracking for audio and video capture. Audio tracking allows for continuing to capture an audio sample when the target individual is moving in an environment with other noise sources. In embodiments, the user's voice may be subtracted from the audio track so as to enable a clearer rendition of the target individual, such as for distinguishing what is being said, to provide better location tracking, to provide better audio tracking, and the like.
- the eyepiece 3900 also incorporates a lithium-ion battery 3904 , that is capable of operating for over twelve hours on a single charge.
- the eyepiece 100 also incorporates a processor and solid-state memory 3906 for processing the captured biometric data.
- the processor and memory are configurable to function with any software or algorithm used as part of a biometric capture protocol or format, such as the .wav format.
- a further embodiment of the eyepiece assembly 3900 provides an integrated communications facility that transmits the captured biometric data to a remote facility that stores the biometric data in a biometric data database.
- the biometric data database interprets the captured biometric data, interprets the data, and prepares content for display on the eyepiece.
- Biometric information that may be captured includes iris images, facial images, and audio data.
- a wearer of the eyepiece desiring to capture audio biometric data from a nearby observed individual positions himself or herself so that the individual appears is near the eyepiece, specifically, near the microphone arrays located in the eyepiece temples. Once in position the user initiates capture of audio biometric information.
- This audio biometric information consists of a recorded sample of the target individual speaking. Audio samples may be captured in conjunction with visual biometric data, such as iris and facial images.
- the wearer/user observes the desired individual and positions the eyepiece such that the optical sensor assembly or camera may collect an image of the biometric parameters of the desired individual.
- the eyepiece processor and solid-state memory prepare the captured image for transmission to the remote computing facility for further processing.
- the remote computing facility receives the transmitted biometric image and compares the transmitted image to previously captured biometric data of the same type. Iris or facial images are compared with previously collected iris or facial images to determine if the individual has been previously encountered and identified.
- the remote computing facility transmits a report of the comparison to the wearer/user's eyepiece, for display.
- the report may indicate that the captured biometric image matches previously captured images.
- the user receives a report including the identity of the individual, along with other identifying information or statistics. Not all captured biometric data allows for an unambiguous determination of identity.
- the remote computing facility provides a report of findings and may request the user to collect additional biometric data, possibly of a different type, to aid in the identification and comparison process. Visual biometric data may be supplemented with audio biometric data as a further aid to identification.
- Facial images are captured in a similar manner as iris images.
- the field of view is necessarily larger, due to the size of the images collected. This also permits to user to stand further off from the subject whose facial biometric data is being captured.
- the user may have originally captured a facial image of the individual.
- the facial image may be incomplete or inconclusive because the individual may be wearing clothing or other apparel, such as a hat, that obscures facial features.
- the remote computing facility may request that a different type of biometric capture be used and additional images or data be transmitted.
- the user may be directed to obtain an iris image to supplement the captured facial image.
- the additional requested data may be an audio sample of the individual's voice.
- FIG. 40 illustrates capturing an iris image for iris recognition.
- the figure illustrates the focus parameters used to analyze the image and includes a geographical location of the individual at the time of biometric data capture.
- FIG. 40 also depicts a sample report that is displayed on the eyepiece.
- FIG. 41 illustrates capture of multiple types of biometric data, in this instance, facial and iris images. The capture may be done at the same time, or by request of the remote computing facility if a first type of biometric data leads to an inconclusive result.
- FIG. 42 shows the electrical configuration of the multiple microphone arrays contained in the temples of the eyepiece of FIG. 39 .
- the endfire microphone arrays allow for greater discrimination of signals and better directionality at a greater distance.
- Signal processing is improved by incorporating a delay into the transmission line of the back microphone.
- the use of dual omni-directional microphones enables switching from an omni-directional microphone to a directional microphone. This allows for better direction finding for audio capture of a desired individual.
- FIG. 43 illustrates the directionality improvements available with multiple microphones.
- the multiple microphones may be arranged in a composite microphone array.
- the eyepiece temple pieces house multiple microphones of different character. For example, this may be provided when the user is generating a biometric fingerprint of someone's voice for future capture and comparison.
- One example of multiple microphone use uses microphones from cut off cell phones to reproduce the exact electrical and acoustic properties of the individual's voice. This sample is stored for future comparison in a database. If the individual's voice is later captured, the earlier sample is available for comparison, and will be reported to the eyepiece user, as the acoustic properties of the two samples will match.
- FIG. 44 shows the use of adaptive arrays to improve audio data capture.
- adaptive arrays can be created that allow the user to steer the directionality of the antenna in three dimensions.
- Adaptive array processing permits location of the source of the speech, thus tying the captured audio data to a specific individual.
- Array processing permits simple summing of the cardioid elements of the signal to be done either digitally or using analog techniques.
- a user should switch the microphone between the omni-directional pattern and the directional array.
- the processor allows for beamforming, array steering and adaptive array processing, to be performed on the eyepiece.
- an audio phase array may be used for audio tracking of a specific individual.
- the user may lock onto the audio signature of an individual in the surrounding environment (such as acquired in real-time or from a database of sound signatures), and track the location of the individual without the need to maintain eye contact or the user moving their head.
- the location of the individual may be projected to the user through the eyepiece display.
- the tracking of an individual may also be provided through an embedded camera in the eyepiece, where the user would not be required to maintain eye contact with the individual, or move their head to follow. That is, in the case of either the audio or visual tracking, the eyepiece may be able to track the individual within the local environment, without the user needing to show an physical motion to indicate that tracking is taking place and even as the user moves their direction of view.
- the integrated camera may continuously record a video file
- the integrated microphone may continuously record an audio file.
- the integrated processor of the eyepiece may enable event tagging in long sections of the continuous audio or video recording. For example, a full day of passive recording may be tagged whenever an event, conversation, encounter, or other item of interest takes place. Tagging may be accomplished through the explicit press of a button, a noise or physical tap, a hand gesture, or any other control technique described herein.
- a marker may be placed in the audio or video file or stored in a metadata header.
- the marker may include the GPS coordinate of the event, conversation, encounter, or other item of interest.
- the marker may be time-synced with a GPS log of the day.
- Event tags may be active event tags that the user triggers manually, passive event tags that occur automatically (such as through preprogramming, through an event profile management facility, and the like), a location-sensitive tag triggered by the user's location, and the like.
- the event that triggers the event tag may be triggered by a sound, a sight, a visual marker, received from a network connection, an optical trigger, an acoustic trigger, a proximity trigger, a temporal trigger, a geo-spatial trigger, and the like.
- the event trigger may generate feedback to the user (such as an audio tone, a visual indicator, a message, and the like), store information (such as storing a file, document, entry in a listing, an audio file, a video file, and the like), generate an informational transmission, and the like.
- the eyepiece may be used as SigInt Glasses.
- the eyepiece may be used to conspicuously and passively gather signals intelligence for devices and individuals in the user's proximity. Signals intelligence may be gathered automatically or may be triggered when a particular device ID is in proximity, when a particular audio sample is detected, when a particular geo-location has been reached, and the like.
- tactical glasses may include standalone identification or collection of biometrics to geo-locate POIs, with visual biometrics (face, iris, walking gait) at a safe distance and positively identify POIs with robust sparse recognition algorithms for the face and iris.
- the glasses may include a hands free display for biometric computer interface to merge print and visual biometrics on one comprehensive display with augmented target highlighting and view matches and warnings without alerting the POI.
- the glasses may include location awareness, such as displaying current and average speeds plus routes and ETA to destination and preloading or recording trouble spots and ex-filtration routes.
- the glasses may include real-time networked tracking of blue and red forces to always know where your friendly's are, achieve visual separation range between blue and red forces, and geo-locate the enemy and share their location in real-time.
- a processor associated with the glasses may include capabilities for OCR translation and speech translation.
- the tactical glasses can be used in combat to provide a graphical user interface projected on the lens that provides users with directions and augmented reality data on such things as team member positional data, map information of the area, SWIR/CMOS night vision, vehicular S/A for soldiers, geo locating laser range finder for geo-locating a POI or a target to >500m with positional accuracy of typically less than two meters, S/A blue force range rings, Domex registration, AR field repair overlay, and real time UAV video.
- the laser range finder may be a 1.55 micron eye-safe laser range finder.
- the eyepiece may utilize GPS and inertial navigation (e.g. utilizing an inertial measurement unit) as described herein, such as described herein, to provide positional and directional accuracy.
- the eyepiece may utilize additional sensors and associated algorithms to enhance positional and directional accuracy, such as with a 3-axis digital compass, inclinometer, accelerometer, gyroscope, and the like. For instance, a military operation may require greater positional accuracy then is available from GPS, and so other navigation sensors may be utilized in combination to increase the positional accuracy of GPS.
- the tactical glasses may feature enhanced resolution, such as 1280 ⁇ 1024 pixels, and may also feature auto-focus.
- the tactical glasses system incorporates ES2 (every soldier is a sensor) capabilities through uncooperative data recording and intuitive tactical displays for a comprehensive picture of situational awareness.
- the tactical glasses may include one or more waveguides being integrated into the frame.
- the total internal reflection lens is attached to a pair of ballistic glasses in a monocular or binocular flip-up/flip-down arrangement.
- the tactical glasses may include omni-directional ear buds for advanced hearing and protection and a noise-cancelling boom microphone for communication phonetically differentiated commands.
- the waveguides may have contrast control.
- the contrast may be controlled using any of the control techniques described herein, such as gesture control, automatic sensor control, manual control using a temple mounted controller, and the like.
- the tactical glasses may include a non-slip, adjustable elastic head-strap.
- the tactical glasses may include clip-in corrective lenses.
- the total internal reflection lens is attached to a device that is helmet-mounted, such as in FIG. 74 , and may include a day/night, VIS/NIR/SWIR CMOS color camera.
- the device enables unimpeded “sight” of the threat as well as the soldier's own weapon with “see through”, flip-up electro-optic projector image display.
- the helmet-mounted device shown in FIG. 74
- 74A may include an IR/SWIR illuminator 7402 , UV/SWIR illuminator 7404 , visible to SWIR panoramic lens 7408 , visible to SWIR objective lens (not shown), transparent viewing pane 7410 , iris recognition objective lens 7412 , laser emitter 7414 , laser receiver 7418 , or any other sensor, processor, or technology described with respect to the eyepiece described herein, such as an integrated IMU, an eye-safe laser range finder, integrated GPS receiver, compass and inclinometer for positional accuracy, perspective control that changes the viewing angle of the image to match the eye position, electronic image stabilization and real-time enhancement, a library of threats stored onboard or remotely for access over a tactical network, and the like.
- IR/SWIR illuminator 7402 may include an IR/SWIR illuminator 7402 , UV/SWIR illuminator 7404 , visible to SWIR panoramic lens 7408 , visible to SWIR objective lens (not shown
- a body-worn wireless computer may interface with the device in FIG. 74 .
- the helmet-mounted device includes visible to SWIR projector optics, such as RGB microprojector optics. Multi-spectral IR and UV imaging helps spot fake or altered docs.
- the helmet-mounted device may be controlled with an encrypted wireless UWB wrist or weapon fore grip controller.
- the transparent viewing pane 7410 can rotate through 180° to project imagery onto a surface to share with others.
- FIG. 74B shows a side view of the exploded device mounted to a helmet.
- the device may include a fully ambidextrous mount for mounting on the left or right side of the helmet.
- two devices may be mounted on each of the left and right sides of the helmet to enable binocular vision.
- the device or devices may snap into a standard MICH or PRO-TECH helmet mount.
- the tactical glasses system combines a low profile form, lightweight materials and fast processers to make quick and accurate decisions in the field.
- the modular design of the system allows the devices to be effectively deployed to the individual, squad or company while retaining the ability to interoperate with any fielded computer.
- the tactical glasses system incorporates real-time dissemination of data. With the onboard computer interface the operator can view, upload or compare data in real time. This provides valuable situational and environmental data can be rapidly disseminated to all networked personnel as well as command posts (CPs) and tactical operations centers (TOCs).
- CPs command posts
- TOCs tactical operations centers
- This embodiment may include multiple field of view sensors 7502 for biometric collection situational awareness and augmented view user interface, fast locking GPS receiver and IMU, including 3-axis digital compass, gyroscope, accelerometer and inclinometer for positional and directional accuracy, 1.55 micron eye-safe laser range finder 7504 to assist biometric capture and targeting integrated digital video recorder storing two Flash SD cards, real-time electronic image stabilization and real-time image enhancement, library of threats stored in onboard mini-SD card or remotely loaded over a tactical network, flip-up photochromic lenses 7508 , noise-cancelling flexible boom mike 7510 and 3-axis detachable stereo ear buds plus augmented hearing and protection system 7512 .
- the multiple field of view sensors 7502 may enable a 100° ⁇ 40° FOV, which may be panoramic SXGA.
- the sensors may be a VGA sensor, SXGA sensor, and a VGA sensor that generates a panoramic SXGA view with stitched 100° ⁇ 40° FOV on a display of the glasses.
- the displays may be translucent with perspective control that changes the viewing angle of the image to match the eye position.
- This embodiment may also include SWIR detection to let wearers see 1064 nm and 1550 nm laser designators, invisible to the enemy and may feature ultra-low power 256-bit AES Encrypted connection between glasses, tactical radios and computers, instant 2 ⁇ zoom, auto face tracking, face and iris recording, and recognition and GPS geo-location with a 1m auto-recognition range.
- This embodiment may include a power supply, such as a 24 hour duration 4-AA alkaline, lithium and rechargeable battery box with its computer and memory expansion slots with a water- and dust-proof cord.
- the glasses include a curved holographic wave guide.
- the eyepiece may be able to sense lasers such as used in battlefield targeting.
- sensors in the eyepiece may be able to detect laser light in typical military-use laser transmission bands, such as 1064 nm, 1550 nm, and the like.
- the eyepiece may be able to detect whether their position is being targeted, if another location is being targeted, the location of a spotter using the laser as a targeting aid, and the like.
- the eyepiece since the eyepiece may be able to sense laser light, such as directly or reflected, the soldier may not only detect enemy laser sources that have been directed or reflected to their position, but may supply the laser source themselves in order to locate optical surfaces (e.g. binoculars) in the battlefield scene.
- the soldier scans the field with a laser and watches with the eyepiece for a reflected return of the laser as a possible location of an enemy viewing though binoculars.
- the eyepiece may continuously scan the surrounding environment for laser light, and provide feedback and/or action as a result of a detection, such as an audible alarm to the soldier, a location indicted through a visual indicator on the eyepiece display, and the like.
- a Pocket Camera may video record and captures still pictures, allowing the operator to record environmental data for analysis with a mobile, lightweight, rugged biometric device sized to be stored in a pocket.
- An embodiment may be 2.25′′ ⁇ 3.5′′ ⁇ 0.375′′ and capable of face capture at 10 feet, iris capture at 3 feet, recording voice, pocket litter, walking gait, and other identifying visible marks and environmental data in EFTS and EBTS compliant formatting compatible with any Iris/Face algorithm.
- the device is designed to pre-qualify and capture EFTS/EBTS/NIST/ISO/ITL 1-2007 compliant salient images to be matched and filed by any biometric matching software or user interface.
- the device may include a high definition video chip, 1 GHz processor with 533 Mhz DSP, GPS chip, active illumination and pre-qualification algorithms.
- the Pocket Bio Cam may not incorporate a biometric watch list so it can be used at all echelons and/or for constabulary leave-behind operations. Data may be automatically geo-located and date/time stamped.
- the device may operate Linux SE OS, meet MIL-STD-810 environmental standards, and be waterproof to 3 ft depth.
- a device for collection of fingerprints may be known as a bio-print device.
- the bio-print apparatus comprises a clear platen with two beveled edges.
- the platen is illuminated by a bank of LEDs and one or more cameras. Multiple cameras are used and are closely disposed and directed to the beveled edge of the platen.
- a finger or palm is disposed over the platen and pressed against an upper surface of the platen, where the cameras capture the ridge pattern.
- the image is recorded using frustrated total internal reflection (FTIR). In FTIR, light escapes the platen across the air gap created by the ridges and valleys of the fingers or palm pressed against the platen.
- FTIR frustrated total internal reflection
- multiple cameras are place in inverted ‘V’s of a saw tooth pattern.
- a rectangle is formed and uses light direct through one side and an array of cameras capture the images produced. The light enters the rectangle through the side of the rectangle, while the cameras are directly beneath the rectangle, enabling the cameras to capture the ridges and valleys illuminated by the light passing through the rectangle.
- a custom FPGA may be used for the digital image processing.
- the images may be streamed to a remote display, such as a smart phone, computer, handheld device, or eyepiece, or other device.
- a remote display such as a smart phone, computer, handheld device, or eyepiece, or other device.
- FIG. 45 illustrates the construction and layout of an optics based finger and palm print system according to an embodiment.
- the optical array consists of approximately 60 wafer scale cameras 4502 .
- the optics based system uses sequential perimeter illumination 4503 , 4504 for high resolution imaging of the whorls and pores that comprise a finger or palm print. This configuration provides a low profile, lightweight, and extremely rugged configuration. Durability is enhanced with a scratch proof, transparent platen.
- the mosaic print sensor uses a frustrated total internal reflection (FTIR) optical faceplate provides images to an array of wafer scale cameras mounted on a PCB like substrate 4505 .
- the sensor may be scaled to any flat width and length with a depth of approximately 1 ⁇ 2′′. Size may vary from a plate small enough to capture just one finger roll print, up to a plate large enough to capture prints of both hands simultaneously.
- FTIR frustrated total internal reflection
- the mosaic print sensor allows an operator to capture prints and compare the collected data against an on-board database. Data may also be uploaded and downloaded wirelessly.
- the unit may operate as a standalone unit or may be integrated with any biometric system.
- the mosaic print sensor offers high reliability in harsh environments with excessive sunlight.
- multiple wafer scale optical sensors are digitally stitched together using pixel subtraction.
- the resulting images are engineered to be over 500 dots per inch (dpi).
- Power is supplied by a battery or by parasitically drawing power from other sources using a USB protocol. Formatting is EFTS, EBTS NIST, ISO, and ITL 1-2007 compliant.
- FIG. 46 illustrates the traditional optical approach used by other sensors. This approach is also based on FTIR.
- the fringes contact the prism and scatter the light.
- the fringes on the finger being printed show as dark lines, while the valleys of the fingerprint show as bright lines.
- FIG. 47 illustrates the approach used by the mosaic sensor 4700 .
- the mosaic sensor also uses FTIR.
- the plate is illuminated from the side and the internal reflections are contained within the plate of the sensor.
- the fringes contact the prism and scatter the light, allowing the camera to capture the scattered light.
- the fringes on the finger show as bright lines, whiles the valleys show as dark lines.
- FIG. 48 depicts the layout of the mosaic sensor 4800 .
- the LED array is arranged around the perimeter of the plate. Underneath the plate are the cameras used to capture the fingerprint image. The image is captured on this bottom plate, known as the capture plane. The capture plane is parallel to the sensor plane, where the fingers are placed.
- the thickness of the plate, the number of the cameras, and the number of the LEDs may vary, depending on the size of the active capturing area of the plate.
- the thickness of the plate may be reduced by adding mirrors that fold the optical path of the camera, reducing the thickness needed.
- Each camera should cover one inch of space with some pixels overlapping between the cameras. This allows the mosaic sensor to achieve 500 ppi.
- the cameras may have a field of view of 60 degrees; however, there may be significant distortion in the image.
- FIG. 49 shows an embodiment 4900 of a camera field of view and the interaction of the multiple cameras used in the mosaic sensor.
- Each camera covers a small capturing area. This area depends on the camera field of view and the distance between the camera and the top surface of the plate.
- ⁇ is one half of the camera's horizontal field of view and ⁇ is one half of the camera's vertical field of view.
- the mosaic sensor may be incorporated into a bio-phone and tactical computer as illustrated in FIG. 50 .
- the bio-phone and tactical computer uses a completed mobile computer architecture that incorporates dual core processors, DSP, 3-D graphics accelerator, 3G-4G Wi-Lan (in accordance with 802.11a/b/g/n), Bluetooth 3.0, and a GPS receiver.
- the bio-phone and tactical computer delivers power equivalent to a standard laptop in a phone size package.
- FIG. 50 illustrates the components of the bio-phone and tactical computer.
- the bio-phone and tactical computer assembly, 5000 provides a display screen 5001 , speaker 5002 and keyboard 5003 contained within case 5004 . These elements are visible on the front of the bio-phone and tactical computer assembly 5000 .
- On the rear of the assembly 3800 are located a camera for iris imaging 5005 , a camera for facial imaging and video recording 5006 and a bio-print fingerprint sensor 5009 .
- the device incorporates selectable 256-bit AES encryption with COTS sensors and software for biometric pre-qualification for POI acquisition.
- This software is matched and filed by any approved biometric matching software for sending and receiving secure “perishable” voice, video, and data communications.
- the bio-phone supports Windows Mobile, Linux, and Android operating systems.
- the bio-phone is a 3G-4G enabled hand-held device for reach back to web portals and biometric enabled watch list BEWL) databases. These databases allow for in-field comparison of captured biometric images and data.
- the device is designed to fit into a standard LBV or pocket.
- the biometrics phone and tactical computer may use a mobile computer architecture featuring dual core processors, DSP, 3-D graphics accelerator, 3G-4G, Wi-LAN (802.11a/b/g/n), Bluetooth 3.0, enabled for secure and civilian networks, GPS Receiver, WVGA sun-sight readable capacitance touch-screen display, capable of outputting stereoscopic 3D video, tactile backlit QWERTY keyboard, on-board storage, supporting multiple operating systems, and the like, that delivers laptop power in a light weight design.
- the bio-phone can search, collect, enroll, and verify multiple types of biometric data, including face, iris, two-finger fingerprint, as well as biographic data.
- the device also records video, voice, gait, identifying marks, and pocket litter.
- Pocket litter includes a variety of small items normally carried in a pocket, wallet, or purse and may include such items as spare change, identification, passports, charge cards, and the like.
- FIG. 52 shows a typical collection of this type of information. Depicted in FIG. 52 are examples of a collection of pocket litter 5200 .
- the types of items that may be included are personal documents and pictures 5201 , books 5202 , notebooks and paper, 5203 , and documents, such as a passport 5204 .
- the biometrics phone and tactical computer may include a camera, such as a high definition still and video camera, capable of biometric data taking and video conferencing.
- the eyepiece camera and videoconference capabilities may be used in conjunction with the biometrics phone and tactical computer.
- a camera integrated into the eyepiece may capture images and communicate the images to the biometrics phone and tactical computer, and vice a versa.
- Data may be exchanged between the eyepiece and biometrics phone, network connectivity may be established by either, and shared, and the like.
- the biometric phone and tactical computer may be housed in a rugged, fully militarized construction, tolerant to a militarized temperature range, waterproof (such as to a depth of 5 m), and the like.
- FIG. 51 illustrates an embodiment 5100 of the use of the bio-phone to capture latent fingerprints and palm prints. Fingerprints and palm prints are captured at 1000 dpi with active illumination from an ultraviolet diode with scale overlay. Both fingerprint and palm prints 5100 may be captured using the bio-phone.
- Data collected by the bio-phone is automatically geo-located and date and time stamped using the GPS capability. Data may be uploaded or downloaded and compared against onboard or networked databases. This data transfer is facilitated by the 3G-4G, Wi-Lan, and Bluetooth capabilities of the device. Data entry may be done with the QWERTY keyboard, or other methods that may be provided, such as stylus or touch screen, or the like. Biometric data is filed after collection using the most salient image. Manual entry allows for partial data capture.
- FIG. 53 illustrates the interplay 5300 between the digital dossier images and the biometric watch list held at a database. The biometric watch list is used for comparing data captured in the field with previously captured data
- Formatting may use EFTS, EBTS NIST, ISO, and ITL 1-2007 formats to provide compatibility with a range and variety of databases for biometric data.
- Additional devices and kits may also incorporate the mosaic sensors and may operate in conjunction with the bio-phone and tactical computer to provide a complete field solution for collection biometric data.
- the components of the pocket bio-kit 5400 include a GPS antenna 5401 , a bio-print sensor 5402 , keyboard 5404 , all contained in case 5403 .
- the specifications of the bio-kit are given below:
- bio-phone and tactical computer may also be provided in a bio-kit that provides for a biometric data collection system that folds into a rugged and compact case. Data is collected in biometric standard image and data formats that can be cross-referenced for near real-time data communication with Department of Defense Biometric Authoritative Databases.
- the pocket bio-kit shown in FIG. 55 can capture latent fingerprints and palm prints at 1,000 dpi with active illumination from an ultraviolet diode with scale overlay.
- the bio-kit holds 32 GB memory storage cards that are capable of interoperation with combat radios or computers for upload and download of data in real-time field conditions. Power is provided by lithium ion batteries.
- Components of the bio-kit assembly 5500 include a GPS antenna 5501 , a bio-print sensor 5502 , and a case 5503 with a base bottom 5505 .
- Biometric data collect is geo-located for monitoring and tracking individual movement. Finger and palm prints, iris images, face images, latent fingerprints, and video may be collected and enrolled in a database using the bio-kit. Algorithms for finger and palm prints, iris images, and face images facilitate these types of data collection. To aid in capturing iris images and latent fingerprint images simultaneously, the bio-kit has IR and UV diodes that actively illuminate an iris or latent fingerprint. In addition, the pocket bio-kit is also fully EFTS/EBTS compliant, including ITL 1-2007 and WSQ. The bio-kit meets MIL-STD-810 for operation in environmental extremes and uses a Linux operating system.
- the bio-kit For capturing images, the bio-kit uses a high dynamic range camera with wave front coding for maximum depth of field, ensuring detail in latent fingerprints and iris images is captured. Once captured, real-time image enhancement software and image stabilization act to improve readability and provide superior visual discrimination.
- the bio-kit is also capable of recording video and stores full-motion (30 fps) color video in an onboard “camcorder on chip.”
- the eyepiece 100 may interface with the mobile folding biometrics enrollment kit (aka bio-kit) 5500 , a biometric data collection system that folds into a compact rugged case, such that unfolds into a mini workstation for fingerprints, iris and facial recognition, latent fingerprint, and the like biometric data as described herein.
- the mobile folding biometrics enrollment kit 5500 may be used as a stand-alone device or in association with the eyepiece 100 , as described herein.
- the mobile folding biometrics enrollment kit may fold up to a small size such as 6′′ ⁇ 3′′ ⁇ 1.5′′ with weight such as 2 pounds.
- It may contain a processor, digital signal processor, 3D accelerator, fast syndrome-based hash (FSB) functions, solid state memory (e.g. package-on-package (PoP)), hard drive, display (e.g. 75 mm ⁇ 50 mm, 640 ⁇ 480 (VGA) daylight-readable LCD anti-glare, anti-reflective, anti scratch screen), USB, Ethernet, embedded battery, mosaic optical fingerprint reader, digital iris camera (such as with active IR illumination), digital face and DOMEX camera with flash, fast lock GPS, and the like.
- Data may be collected in biometric standard image and data formats that may be cross-referenced for a near real-time data communication with the DoD biometric authoritative databases.
- the device may be capable of collecting biometric data and geo-location of persons of interest for monitoring and tracking, wireless data upload/download using combat radio or computer with standard networking interface, and the like.
- the mosaic sensor may be incorporated into a wrist mounted fingerprint, palm print, geo-location, and POI enrollment device, shown in FIG. 56 .
- the eyepiece 100 may interface with the biometric device 5600 , a biometric data collection system that straps on a soldier's wrist or arm and folds open for fingerprints, iris recognition, computer, and the like biometric data as described herein.
- the device may have an integrated computer, keyboard, sunlight-readable display, biometric sensitive platen, and the like, so operators may rapidly and remotely store or compare data for collection and identification purposes.
- the arm strap biometric sensitive platen may be used to scan a palm, fingerprints, and the like.
- the device may provide geo-location tags for person of interest and collected data with time, date, location, and the like.
- the biometric device 5600 may be used as a stand-alone device or in association with the eyepiece 100 , as described herein.
- the biometric device may be small and light to allow it to be comfortably worn on a soldier's arm, such as with dimensions 5 ′′ ⁇ 2.5′′ for the active fingerprint and palm print sensor, and a weight of 16 ounces.
- the device may include a processor, digital signal processor, a transceiver, a Qwerty key board, large weather-resistant pressure driven print sensor, sunlight readable transflective QVGA color backlit LCD display, internal power source, and the like.
- the wrist mounted assembly 5600 includes the following elements in case 5601 : straps 5602 , setting and on/off buttons 5603 , protective cover for sensor 5604 , pressure-driven sensor 4405 , and a keyboard and LCD screen 5606 .
- the fingerprint, palm print, geo-location, and POI enrollments device includes an integrated computer, QWERTY keyboard, and display.
- the display is designed to allow easy operation in strong sunlight and uses an LCD screen or LED indicator to alert the operator of successful fingerprint and palm print capture.
- the display uses transflective QVGA color, with a backlit LCD screen to improve readability.
- the device is lightweight and compact, weighing 16 oz. and measuring 5′′ ⁇ 2.5′′ at the mosaic sensor. This compact size and weight allows the device to slip into an LBV pocket or be strapped to a user's forearm, as shown in FIG. 56 .
- all POIs are tagged with geo-location information at the time of capture.
- the size of the sensor screen allows 10 fingers, palm, four-finger slap, and finger tip capture.
- the sensor incorporates a large pressure driven print sensor for rapid enrollment in any weather conditions as specified in MIL-STD-810, at a rate of 500 dpi.
- Software algorithms support both fingerprint and palm print capture modes and uses a Linux operating system for device management. Capture is rapid, due to the 720 MHz processor with 533 MHZ DSP. This processing capability delivers correctly formatted, salient images to any existing approved system software.
- the device is also fully EFTS/EBTS compliant, including ITL 1-2007 and WSQ.
- Power is supplied using lithium polymer or AA alkaline batteries.
- the wrist-mounted device described above may also be used in conjunction with other devices, including augmented reality eyepieces with data and video display, shown in FIG. 57 .
- the assembly 5700 includes the following components: an eyepiece 5702 , and a bio-print sensor device 5700 .
- the augmented reality eyepiece provides redundant, binocular, stereo sensors and display and provides the ability to see in a variety of lighting conditions, from glaring sun at midday, to the extremely low light levels found at night Operation of the eyepiece is simple with a rotary switch located on the temple of the eyepiece a user can access data from a forearm computer or sensor, or a laptop device.
- the eyepiece also provides omni-directional earbuds for hearing protection and improved hearing.
- a noise cancelling boom microphone may also be integrated into the eyepiece to provide better communication of phonetically differentiated commands.
- the eyepiece is capable of communicating wirelessly with the bio-phone sensor and forearm mounted devices using a 256-bit AES encrypted UWB. This also allows the device to communicate with a laptop or combat radio, as well as network to CPs, TOCs, and biometric databases.
- the eyepiece is ABIS, EBTS, EFTS, and JPEG 2000 compatible.
- the eyepiece uses a networked GPS to provide highly accurate geo-location of POIs, as well as a RF filter array.
- the low profile forearm mounted computer and tactical display integrate face, iris, fingerprint, palm print, and fingertip collection and identification.
- the device also records video, voice, gait, and other distinguishing characteristics. Facial and iris tracking is automatic, allowing the device to assist in recognizing non-cooperative POIs.
- the operator may also view sensor imagery, moving maps, superimposed applications with navigation, targeting, position or other information from sensors, UAVs, and the like, and data as well as the individual whose biometric data is being captured or other targets/POIs.
- FIG. 58 illustrates a further embodiment of the fingerprint, palm print, geo-location, and POI enrollment device.
- the device is 16 oz and uses a 5′′ ⁇ 2.5′′ active fingerprint and palm print capacitance sensor.
- the sensor is capable of enrolling 10 fingers, a palm, 4 finger slap, and finger tip prints at 500 dpi.
- a 0.6-1 GHz processor with 430 MHz DSP provides rapid enrollment and data capture.
- the device is ABIS, EBTS, EFTS, and JPEG 2000 compatible and features networked GPS for highly accurate location of persons of interest.
- the device communicates wirelessly over a 256-bit AES encrypted UWB, laptop, or combat radio. Database information may also be stored on the device, allowing in the field comparison without uploading information. This onboard data may also be shared wirelessly with other devices, such as a laptop or combat radio.
- a further embodiment of the wrist mounted bio-print sensor assembly 5800 includes the following elements: a bio-print sensor 5801 , wrist strap 5802 , keyboard 5803 , and combat radio connector interface 5804 .
- Data may be stored on the forearm device since the device can utilize Mil-con data storage caps for increased storage capacity. Data entry is performed on the QWERTY keyboard and may be done wearing gloves.
- the display is a transflective QVGA, color, backlit LCD display designed to be readable in sunlight.
- the device may be operated in a wide range of environments, as the device meets the requirements of MIL-STD-810 operation in environmental extremes.
- the mosaic sensor described above may also be incorporated into a mobile, folding biometric enrollment kit, as shown in FIG. 59 .
- the mobile folding biometric enrollment kit 5900 folds into itself and is sized to fit into a tactical vest pocket, having dimensions of 8 ⁇ 12 ⁇ 4 inches when unfolded.
- FIG. 60 illustrates an embodiment 6000 of how the eyepiece and forearm mounted device may interface to provide a complete system for biometric data collection.
- FIG. 61 provides a system diagram 6100 for a mobile folding biometric enrollment kit.
- the mobile folding biometric enrollment kit allows a user to search, collect, identify, verify, and enroll face, iris, palm print, fingertip, and biographic data for a subject and may also record voice samples, pocket litter, and other visible identifying marks. Once collected, the data is automatically geo-located, date, and time stamped. Collected data may be searched and compared against onboard and networked databases. For communicating with databases not onboard the device, wireless data up/download using combat radio or laptop computer with standard networking interface is provided. Formatting is compliant with EFTS, EBTS, NIST, ISO, and ITL 1-2007. Prequalified images may be sent directly to matching software as the device may use any matching and enrollment software.
- the devices and systems incorporating described above provide a comprehensive solution for mobile biometric data collection, identification, and situational awareness.
- the devices are capable of collecting fingerprints, palm prints, fingertips, faces, irises, voice, and video data for recognition of uncooperative persons of interest (POI).
- Video is captured using high speed video to enable capture in unstable situations, such as from a moving video. Captured information may be readily shared and additional data entered via the keyboard. In addition, all data is tagged with date, time, and geo-location. This facilitates rapid dissemination of information necessary for situational awareness in potentially volatile environments. Additional data collection is possible with more personnel equipped with the devices, thus, demonstrating the idea that “every soldier is a sensor.” Sharing is facilitated by integration of biometric devices with combat radios and battlefield computers.
- the eyepiece may utilize flexible thin-film sensors, such as integrated into the eyepiece itself, into an external device that the eyepiece interfaces with, and the like.
- a thin film sensor may comprise a thin multi-layer electromechanical arrangement that produces an electrical signal when subjected to a sudden contact force or to continuously varying forces. Typical applications of electromechanical thin film sensors employ both on-off electrical switch sensing and the time-resolved sensing of forces.
- Thin-film sensors may include switches, force gauges, and the like, where thin film sensors may rely upon the effects of sudden electrical contact (switching), the gradual change of electrical resistance under the action of force, the gradual release of electrical charges under the action of stress forces, the generation of a gradual electromotive force across a conductor when, moving in a magnetic field, and the like.
- flexible thin-film sensors may be utilized in force-pressure sensors with microscopic force sensitive pixels for two-dimensional force array sensors. This may be useful for touch screens for computers, smart-phones, notebooks, MP-3-like devices, especially those with military applications; screens for controlling anything under computer control including unmanned aerial vehicles (UAV), drones, mobile robots, exoskeleton-based devices; and the like.
- UAV unmanned aerial vehicles
- Thin-film sensors may be useful in security applications, such as in remote or local sensors for detecting intrusion, opening or closing of devices, doors, windows, equipment, and the like.
- Thin-film sensors may be useful for trip wire detection, such as with electronics and radio used in silent, remote trip-wire detectors.
- Thin-film sensors may be used in open-close detections, such as force sensors for detecting strain-stress in vehicle compartments, ship hulls, aircraft panels, and the like.
- Thin-film sensors may be useful as biometric sensors, such as in fingerprinting, palm-printing, finger tip printing, and the like.
- Thin-film sensors may be useful leak detection, such as detecting leaking tanks, storage facilities, and the like.
- Thin-film sensors may be useful in medical sensors, such as in detecting liquid or blood external to a body, and the like. These sensor applications are meant to be illustrative of the many applications thin-film sensors may be employed in association with control and monitoring of external devices through the eyepiece, and are not meant to be limiting in any way.
- FIG. 62 illustrates an embodiment 6200 of a thin-film finger and palm print collection device.
- the device can record four fingerprint slaps and rolls, palm prints, and fingerprints to the NIST standard. Superior quality finger print images can be captured with either wet or dry hands.
- the device is reduced in weight and power consumption compared to other large sensors.
- the sensor is self-contained and is hot swappable.
- the configuration of the sensor may be varied to suit a variety of needs, and the sensor may be manufactured in various shapes and dimensions.
- FIG. 63 depicts an embodiment 6300 of a finger, palm, and enrollment data collection device.
- This device records fingertip, roll, slap, and palm prints.
- a built in QWERTY keyboard allows entry of written enrollment data. As with the devices described above, all data is tagged with date, time, and geo-location of collection.
- a built in database provides on board matching of potential POIs against the built in database. Matching may also be performed with other databases over a battlefield network.
- This device can be integrated with the optical biometric collection eyepiece described above to support face and iris recognition.
- FIGS. 64-66 depict use of the devices incorporating a sensor for collecting biometric data.
- FIG. 64 shows an embodiment 6400 of the capture of a two-stage palm print.
- FIG. 65 shows collection 6500 using a fingertip tap.
- FIG. 66 demonstrates an embodiment 6600 of a slap and roll print being collected.
- fingerprints may be taken by persons using a polarized light source and retrieving images of the fingerprints using reflected polarized light in two planes.
- fingerprints may be taken by persons using a light source and retrieving images of the fingerprints using multispectral processing, e.g., using two imagers at two different locations with different inputs. The different inputs may be caused by using different filters or different sensors/imagers.
- Applications of this technology may include biometric checks of unknown persons or subjects in which the safety of the persons doing the checking may be at issue.
- an unknown person or subject may approach a checkpoint, for example, to be allowed further travel to his or her destination.
- the person P and an appropriate body part such as a hand, a palm P, or other part, are illuminated by a source of polarized light 6701 .
- the source of polarized light may simply be a lamp or other source of illumination with a polarizing filter to emit light that is polarized in one plane. The light travels to the person in an area which has been specified for non-contact fingerprinting, so that the polarized light impinges on the fingers or other body part of the person P.
- the incident polarized light is then reflected from the fingers or other body part and passes in all directions from the person.
- Two imagers or cameras 6704 receive the reflected light after the light has passed through optical elements such as a lens 6702 and a polarizing filter 6703 .
- the cameras or imagers may be mounted on the augmented reality glasses, as discussed above with respect to FIG. 8F .
- the light then passes from palm or finger or fingers of the person of interest to two different polarizing filters 6704 a , 6704 b and then to the imagers or cameras 6705 .
- Light which has passed through the polarizing filters may have a 90° orientation difference (horizontal and vertical) or other orientation difference, such as 30°, 45°, 60° or 120°.
- the cameras may be digital cameras with appropriate digital imaging sensors to convert the incident light into appropriate signals.
- the signals are then processed by appropriate processing circuitry 6706 , such as digital signal processors.
- the signals may then be combined in a conventional manner, such as by a digital microprocessor with memory 6707 .
- the digital processor with appropriate memory is programmed to produce data suitable for an image of a palm, fingerprint, or other image as desired.
- the digital data from the imagers may then be combined in this process, for example, using the techniques of U.S. Pat. No. 6,249,616 and others.
- the combined “image” may then be checked against a database to determine an identity of the person.
- the augmented reality glasses may include such a database in the memory, or may refer the signals data elsewhere 6708 for comparison and checking.
- a process for taking contactless fingerprints, palm prints or other biometric prints is disclosed in the flowchart of FIG. 68 .
- a polarized light source is provided 6801 .
- the person of interest and the selected body part is positioned for illumination by the light.
- incident white light it may be possible to use incident white light rather than using a polarized light source.
- a polarizing filter is placed in front of each of the two cameras, so that the light received by the cameras is polarized 6804 in two different planes, such as in a horizontal and vertical plane. Each camera then detects 6805 the polarized light.
- the cameras or other sensors then convert the incidence of light into signals or data 6806 suitable for preparation of images. Finally, the images are then combined 6807 to form a very distinct, reliable print. The result is an image of very high quality that may be compared to digital databases to identify the person and to detect persons of interest.
- CMOS imagers imagers that image in multiple wavelengths
- CCD cameras photo detector arrays
- TFT imagers TFT imagers
- polarized light has been used to create two different images
- white light may be used and then different filters applied to the imagers, such as a Bayer filter, a CYGM filter, or an RGBE filter.
- filters applied to the imagers such as a Bayer filter, a CYGM filter, or an RGBE filter.
- the contactless fingerprint system may be employed at a checkpoint, such as a compound entrance, a building entrance, a roadside checkpoint or other convenient location. Such a location may be one where it is desirable to admit some persons and to refuse entrance or even detain other persons of interest.
- the system may make use of an external light source, such as a lamp, if polarized light is used.
- the cameras or other imagers used for the contactless imaging may be mounted on opposite sides of one set of augmented reality glasses (for one person). For example, a two-camera version is shown in FIG. 8F , with two cameras 870 mounted on frame 864 .
- the software for at least processing the image may be contained within a memory of the augmented reality glasses.
- the digital data from the cameras/imagers may be routed to a nearby datacenter for appropriate processing.
- This processing may include combining the digital data to form an image of the print.
- the processing may also include checking a database of known persons to determine whether the subject is of interest.
- one camera on each of two persons may be used, as seen in the camera 858 in FIG. 8F .
- the two persons would be relatively near so that their respective images would be suitably similar for combining by the appropriate software.
- the two cameras 6705 in FIG. 67 may be mounted on two different pairs of augmented reality glasses, such as on two soldiers manning a checkpoint.
- the cameras may be mounted on a wall or on stationary parts of the checkpoint itself.
- the two images may then be combined by a remote processor with memory 6707 , such as a computer system at the building checkpoint.
- persons using the augmented reality glasses may be in constant contact with each other through at least one of many wireless technologies, especially if they are both on duty at a checkpoint. Accordingly, the data from the single cameras or from the two-camera version may be sent to a data center or other command post for the appropriate processing, followed by checking the database for a match of the palm print, fingerprint, iris print, and so forth.
- the data center may be conveniently located near the checkpoint.
- the touchless or contactless biometric data gathering discussed above may be controlled in several ways, such as the control techniques discussed else in this disclosure.
- a user may initiate a data-gathering session by pressing a touch pad on the glasses, or by giving a voice command.
- the user may initiate a session by a hand movement or gesture or using any of the control techniques described herein. Any of these techniques may bring up a menu, from which the user may select an option, such as “begin data gathering session,” “terminate data-gathering session,” or “continue session.” If a data-gathering session is selected, the computer-controlled menu may then offer menu choices for number of cameras, which cameras, and so forth, much as a user selects a printer.
- polarized light mode There may also be modes, such as a polarized light mode, a color filter mode, and so forth. After each selection, the system may complete a task or offer another choice, as appropriate. User intervention may also be required, such as turning on a source of polarized light or other light source, applying filters or polarizers, and so forth.
- the menu may then offer selections as to which database to use for comparison, which device(s) to use for storage, etc.
- the touchless or contactless biometric data gathering system may be controlled by any of the methods described herein.
- the fingerprint sensor may be used to call up a soldier's medical history, giving information immediately on allergies, blood type, and other time sensitive and treatment determining data quickly and easily, thus allowing proper treatment to be provided under battlefield conditions. This is especially helpful for patients who may be unconscious when initially treated and who may be missing identification tags.
- a further embodiment of a device for capturing biometric data from individuals may incorporate a server to store and process biometric data collected.
- the biometric data captured may include a hand image with multiple fingers, a palm print, a face camera image, an iris image, an audio sample of an individual's voice, and a video of the individual's gait or movement.
- the collected data must be accessible to be useful.
- Processing of the biometric data may be done locally or remotely at a separate server.
- Local processing may offer the option to capture raw images and audio and make the information available on demand from a computer host over a WiFi or USB link.
- another local processing method processes the images and then transmits the processed data over the Internet. This local processing includes the steps of finding the finger prints, rating the finger prints, finding the face and then cropping it, finding and then rating the iris, and other similar steps for audio and video data. While processing the data locally requires more complex code, it does offer the advantage of reduced data transmission over the Internet.
- a scanner associated with the biometric data collection devices may use code that is compliant with the USB Image Device protocol that is a commonly used scanner standard. Other embodiments may use different scanner standards, depending on need.
- the Bio-Print device When a WiFi network is used to transfer the data, the Bio-Print device, which is further described herein, can function or appear like a web server to the network. Each of the various types of images may be available by selecting or clicking on a web page link or button from a browser client.
- This web server functionality may be part of the Bio-Print device, specifically, included in the microcomputer functionality.
- a web server may be a part of the Bio-Print microcomputer host, allowing for the Bio-Print device to author a web page that exposes captured data and also provides some controls.
- An additional embodiment of the browser application could provide controls to capture high resolution hand prints, face images, iris images, set the camera resolution, set the capture time for audio samples, and also enable a streaming connection, using a web cam, Skype, or similar mechanism. This connection could be attached to the audio and face camera.
- a further embodiment provides a browser application that gives access to images and audio captured via file transfer protocol (FTP) or other protocol.
- FTP file transfer protocol
- a still further embodiment of the browser application may provide for automatic refreshes at a selectable rate to repeatedly grab preview images.
- An additional embodiment provides local processing of captured biometric data using a microcomputer and provides additional controls to display a rating of the captured image, allowing a user to rate each of the prints found, retrieve faces captured, and also to retrieve cropped iris images and allow a user to rate each of the iris prints.
- OMAP3 Open Multimedia Application Platform
- RNDIS Remote Network Driver Interface Specification
- An application on the microcomputer may implement the above by receiving data from an FPGA over the USB bus. Once received, JPEG content is created. This content may be written over a socket to a server running on a laptop, or be written to a file. Alternately, the server could receive the socket stream, pop the image, and leave it open in a window, thus creating a new window for each biometric capture.
- NFS Network File System
- SAMBA System Management Bus
- a JPEG viewer would display the files.
- the display client could include a laptop, augmented reality glasses, or a phone running the Android platform.
- An additional embodiment provides for a server-side application offering the same services described above.
- An alternative embodiment to a server-side application displays the results on the augmented reality glasses.
- a further embodiment provides the microcomputer on a removable platform, similar to a mass storage device or streaming camera.
- the removable platform also incorporates an active USB serial port.
- the eyepiece may include audio and/or visual sensors to capture sounds and/or visuals from 360 degrees around the wearer of an eyepiece. This may be from sensors mounted on the eyepiece itself, or coupled to sensors mounted on a vehicle that the wearer is in. For instance, sound sensors and/or cameras may be mounted to the outside of a vehicle, where the sensors are communicatively coupled to the eyepiece to provide a surround sound and/or sight ‘view’ of the surrounding environment.
- the sound system of the eyepiece may provide sound protection, canceling, augmentation, and the like, to help improve the hearing quality of the wearer while they are surrounded by extraneous or loud noise.
- a wearer may be coupled to cameras mounted on the vehicle they are driving. These cameras may then be in communication with the eyepiece, and provide a 360-degree view around the vehicle, such as provided in a projected graphical image through the eyepiece display to the wearer.
- control aspects of the eyepiece may include a remote device in the form of a watch controller 6902 , such as including a receiver and/or transmitter for interfacing with the eyepiece for messaging and/or controlling the eyepiece when the user is not wearing the eyepiece.
- the watch controller may include a camera, a fingerprint scanner, discrete control buttons, 2D control pad, an LCD screen, a capacitive touch screen for multi-touch control, a shake motor/piezo bumper to give tactile feedback, buttons with tactile feel, Bluetooth, camera, fingerprint scanner, accelerometer, and the like, such as provided in a control function area 6904 or on other functional portions 6910 of the watch controller 6902 .
- a watch controller may have a standard watch display 6908 , but additionally have functionality to control the eyepiece, such as through control functions 6914 in the control function area 6904 .
- the watch controller may display and/or otherwise notify the user (e.g. vibration, audible sounds) of messages from the eyepiece, such an email, advertisements, calendar alerts, and the like, and show the content of the message that comes in from the eyepiece that the user is currently not wearing.
- a shake motor, piezo bumper, and the like may provide tactile feedback to the touch screen control interface.
- the watch receiver may be able to provide virtual buttons and clicks in the control function area 6904 user interface, buzz and bump the user's wrist, and the like, when a message is received.
- the watch controller may utilize an embedded camera for videoconferencing (such as described herein), iris scanning (e.g. for recording an image of the iris for storage in a database, for use in authentication in conjunction with an existing iris image in storage, and the like), picture taking, video, and the like.
- the watch controller may have a fingerprint scanner, such as described herein.
- the watch controller, or any other tactile interface described herein may measure a user's pulse, such as through a pulse sensor 6912 (which may be located in the band, on the underside of the main body of the watch, and the like.
- the eyepiece and other control/tactile interface components may have pulse detection such that the pulse from different control interface components are monitored in a synchronized way, such as for health, activity monitoring, authorization, and the like.
- a watch controller and the eyepiece may both have pulse monitoring, where the eyepiece is capable of sensing whether the two are in synchronization, if both match a previously measured profile (such as for authentication), and the like.
- other biometrics may be used for authentication between multiple control interfaces and the eyepiece, such as with fingerprints, iris scans, pulse, health profile, and the like, where the eyepiece knows whether the same person is wearing the interface component (e.g. the watch controller) and the eyepiece.
- Biometric/health of a person may be determined by looking at IR LED view of the skin, for looking at subsurface pulse, and the like.
- multi-device authentication e.g. token for Bluetooth handshake
- the sensors on both devices e.g. fingerprint on both devices as a hash for the Bluetooth token
- the eyepiece may be stored in an eyepiece carrying case, such as including a recharge capability, an integrated display, and the like.
- FIG. 70A depicts an embodiment of a case, shown closed, with integrated recharge AC plug and digital display
- FIG. 70B shows the same embodiment case open.
- FIG. 70C shows another embodiment case closed
- FIG. 70D shows the same embodiment open, where a digital display is shown through the cover.
- the case may have the ability to recharge the eyepiece while in the case, such as through an AC connection or battery (e.g. a rechargeable lithium-ion battery built into the carrying case for charging the eyepiece while away from AC power).
- the case may include a digital display in communications with the eyepiece, such as through Bluetooth wireless, and the like.
- the display may provide information about the state of the eyepiece, such as messages received, battery level indication, notifications, and the like.
- the eyepiece 7120 may be used in conjunction with an unattended ground sensor unit 7102 , such as formed as a stake 7104 that can be inserted in the ground 7118 by personnel, fired from a remote control helicopter, dropped by plane, and the like.
- the ground sensor unit 7102 may include a camera 7108 , a controller 7110 , a sensor 7112 , and the like.
- Sensors 7112 may include a magnetic sensor, sound sensor, vibration sensor, thermal sensor, passive IR sensor, motion detector, GPS, real-time clock, and the like, and provide monitoring at the location of the ground sensor unit 7102 .
- the camera 7108 may have a field of view 7114 in both azimuth and elevation, such as a full or partial 360-degree camera array in azimuth and +/ ⁇ 90 degrees in elevation.
- the ground sensor unit 7102 may capture a sensor and image data of an event(s) and transmit it over a wireless network connection to an eyepiece 7120 . Further, the eyepiece may then transmit the data to an external communications facility 7122 , such as a cell network, a satellite network, a WiFi network, to another eyepiece, and the like.
- ground sensor units 7102 may relay data from unit to unit, such as from 7102 A to 7102 B to 7102 C.
- the data may then be relayed from eyepiece 7120 A to eyepiece 7120 B and on to the communications facility 7122 , such as in a backhaul data network.
- Data collected from a ground sensor unit 7102 , or array of ground sensor units may be shared with a plurality of eyepieces, such as from eyepiece to eyepiece, from the communications facility to the eyepiece, and the like, such that users of the eyepiece may utilize and share the data, either in it's raw form or in a post-processed form (i.e. as a graphic display of the data through the eyepiece).
- the ground sensor units may be inexpensive, disposable, toy-grade, and the like.
- the ground sensor unit 7102 may provide backup for computer files from the eyepiece 7120 .
- the eyepiece may provide control through facilities internal and external to the eyepiece, such as initiated from the surrounding environment 7202 , input devices 7204 , sensing devices 7208 , user action capture devices 7210 , internal processing facilities 7212 , internal multimedia processing facilities, internal applications 7214 , camera 7218 , sensors 7220 , earpiece 7222 , projector 7224 , through a transceiver 7228 , through a tactile interface 7230 , from external computing facilities 7232 , external applications 7234 , event and/or data feeds 7238 , external devices 7240 , third parties 7242 , and the like.
- facilities internal and external to the eyepiece such as initiated from the surrounding environment 7202 , input devices 7204 , sensing devices 7208 , user action capture devices 7210 , internal processing facilities 7212 , internal multimedia processing facilities, internal applications 7214 , camera 7218 , sensors 7220 , earpiece 7222 , projector 7224 , through a transceiver 7228 , through a tactile interface 7230 , from
- Command and control modes 7260 of the eyepiece may be initiated by sensing inputs through input devices 7244 , user action 7248 , external device interaction 7250 , reception of events and/or data feeds 7252 , internal application execution 7254 , external application execution 7258 , and the like.
- events and/or data feeds may include email, military related communications, calendar alerts, security events, safety events, financial events, personal events, a request for input, instruction, entering an activity state, entering a military engagement activity state, entering a type of environment, entering a hostile environment, entering a location, and the like, and combinations of the same.
- sensing inputs and/or sensing devices may include a charge-coupled device, black silicon sensor, IR sensor, acoustic sensor, induction sensor, motion sensor, optical sensor, opacity sensor, proximity sensor, inductive sensor, Eddy-current sensor, passive infrared proximity sensor, radar, capacitance sensor, capacitive displacement sensor, hall-effect sensor, magnetic sensor, GPS sensor, thermal imaging sensor, thermocouple, thermistor, photoelectric sensor, ultrasonic sensor, infrared laser sensor, inertial motion sensor, MEMS internal motion sensor, ultrasonic 3D motion sensor, accelerometer, inclinometer, force sensor, piezoelectric sensor, rotary encoders, linear encoders, chemical sensor, ozone sensor, smoke sensor, heat sensor, magnetometer, carbon dioxide detector, carbon monoxide detector, oxygen sensor, glucose sensor, smoke detector, metal detector, rain sensor, altimeter, GPS, detection of being outside, detection of context, detection of activity, object detector (e.g. billboard), marker detector (e.g. geo
- user action capture inputs and/or devices may include a head tracking system, camera, voice recognition system, body movement sensor (e.g. kinetic sensor), eye-gaze detection system, tongue touch pad, sip-and-puff systems, joystick, cursor, mouse, touch screen, touch sensor, finger tracking devices, 3D/2D mouse, inertial movement tracking, microphone, wearable sensor sets, robotic motion detection system, optical motion tracking system, laser motion tracking system, keyboard, virtual keyboard, virtual keyboard on a physical platform, context determination system, activity determination system (e.g.
- user movements or actions for controlling or initiating commands may include head movement, head shake, head nod, head roll, forehead twitch, ear movement, eye movement, eye open, eye close, blink on eye, eye roll, hand movement, clench fist, open fist, shake fist, advance fist, retract fist, voice commands, sip or puff on straw, tongue movement, finger movement, one or more finger movements, extend finger crook finger, retract finger, extend thumb, make symbol with finger(s), make symbol with finger and thumb, depress finger of thumb, drag and drop with fingers, touch and drag, touch and drag with two fingers, wrist movement, wrist roll, wrist flap, arm movement, arm extend, arm retract, arm left turn signal, arm right turn signal, arms akimbo, arms extended, leg movement, leg kick, leg extend, leg curl, jumping jack, body movement walk, run turn left, turn right, about-face, twirl, arms up and twirl, arms down and twirl, one left out and twirl,
- command and/or control modes and interfaces in which inputs can be reflected may include a graphical user interface (GUI), auditory command interface, clickable icons, navigable lists, virtual reality interface, augmented reality interface, heads-up display, semi-opaque display, 3D navigation interface, command line, virtual touch screen, robot control interface, typing (e.g. with persistent virtual keyboard locked in place), predictive and/or learning based user interface (e.g. learns what the wearer does in a ‘training mode’, and when and where they do it), simplified command mode (e.g. hand gestures to kick off an application, etc), Bluetooth controllers, cursor hold, lock a virtual display, head movement around a located cursor, and the like, and combinations of the same.
- GUI graphical user interface
- auditory command interface clickable icons
- navigable lists navigable lists
- virtual reality interface augmented reality interface
- heads-up display augmented reality interface
- semi-opaque display 3D navigation interface
- command line virtual touch screen
- robot control interface e.
- applications on the eyepiece that can use commands and/or respond to inputs may include military applications, weapons control applications, military targeting applications, war game simulation, hand-to-hand fighting simulator, repair manual applications, tactical operations applications, mobile phone applications (e.g. iPhone apps), information processing, fingerprint capture, facial recognition, information display, information conveying, information gathering, iris capture, entertainment, easy access to information for pilots, locating objects in 3D in the real world, targeting for civilians, targeting for police, instructional, tutorial guidance without using hands (e.g. in maintenance, assembly, first aid, etc), blind navigation assistance, communications, music, search, advertising, video, computer games, video, computer games, eBooks, advertising, shopping, e-commerce, videoconferencing, and the like, and combinations of the same.
- communication and/or connection from the eyepiece interface to external systems and devices may include a microcontroller, microprocessor, digital signal processor, steering wheel control interface, joystick controller, motion and sensor resolvers, stepper controller, audio system controller, program to integrate sound and image signals, application programming interface (API), graphical user interface (GUI), navigation system controller, network router, network controller, reconciliation system, payment system, gaming device, pressure sensor, and the like.
- API application programming interface
- GUI graphical user interface
- navigation system controller network router, network controller, reconciliation system, payment system, gaming device, pressure sensor, and the like.
- external devices to be controlled may include a weapon, a weapon control system, a communications system, a bomb detection system, a bomb disarming system, a remote-controlled vehicle, a computer (and thus many devices able to be controlled by a computer), camera, projector, cell phone, tracking devices, display (e.g. computer, video, TV screen), video game, war game simulator, mobile gaming, pointing or tracking device, radio or sound system, range finder, audio system, iPod, smart phone, TV, entertainment system, computer controlled weapons system, drone, robot, automotive dashboard interfaces, lighting devices (e.g. mood lighting), exercise equipment, gaming platform (such as the gaming platform recognizing the user and preloading what they like to play), vehicles, storage-enabled devices, payment system, ATM, POS system, and the like.
- lighting devices e.g. mood lighting
- exercise equipment e.g., exercise equipment
- gaming platform such as the gaming platform recognizing the user and preloading what they like to play
- vehicles storage-enabled devices
- payment system e
- applications in association with external devices may be military applications, weapons control applications, military targeting applications, war game simulation, hand-to-hand fighting simulator, repair manual applications, tactical operations applications, communications, information processing, fingerprint capture, facial recognition, iris capture, entertainment, easy access to information for pilots, locating objects in 3D in the real world, targeting for civilians, targeting for police, instructional, tutorial guidance without using hands (e.g. maintenance, assembly, first aid), blind navigation assistance, music, search, advertising, video, computer games, eBooks, automotive dashboard applications, advertising, military enemy targeting, shopping, e-commerce, and the like, and combinations of same.
- feedback to the wearer related to external devices and applications may include visual display, heads-up display, bulls-eye or target tracking display, tonal output or sound warning, performance or rating indicator, score, mission accomplished indication, action complete indication, play of content, display of information, reports, data mining, recommendations, targeted advertisements, and the like.
- control aspects of the eyepiece may include combinations of a head nod from a soldier as movement to initiate a silent command (such as during a combat engagement), through a graphical user interface for reflecting modes and/or interfaces in which the control input is reflected, a military application on the eyepiece that uses the commands and/or responds to the control input, an audio system controller to communicate and/or connect from the eyepiece interface to an external system or device, and the like.
- the soldier may be controlling a secure communications device through the eyepiece during a combat engagement, and wish to change some aspect of communications, such as a channel, a frequency, an encoding level, and the like, without making a sound and with minimal motion so as to minimize the chance of being heard or seen.
- a nod of the soldier's head may be programmed to indicate the change, such as a quick nod forward to indicate the beginning of a transmission, a quick nod backward to indicate the end of a transmission, and the like.
- the eyepiece may be projecting a graphical user interface to the soldier for the secure communications device, such as showing what channel is active, what alternative channels are available, others in their team that are currently transmitting, and the like. The nod of the soldier may then be interpreted by processing facilities of the eyepiece as a change command, the command transmitted to the audio system controller, and the graphical user interface for the communications device showing the change.
- certain nods/body motions may be interpreted as specific commands to be transmitted such that the eyepiece sends a pre-established communication without the soldier needing to be audible. That is, the soldier may be able to send pre-canned communications to their team though body motions (for example, as determined together with the team prior to the engagement). In this way, a soldier wearing and utilizing the facilities of the eyepiece may be able to connect and interface with the external secure communications device in a completely stealthy manner, maintaining silent communications with their team during engagement, even when out of sight with the team.
- control aspects of the eyepiece may include combinations of motion and position sensors as sensing inputs, an augmented reality interface as a command and control interface in which the inputs can be reflected to a soldier, a motion sensor and range finder for a weapon system as external devices to be controlled and information collected from, feedback to the soldier related to the external devices, and the like.
- a soldier wearing the eyepiece may be monitoring military movements within an environment with the motion sensor, and when the motion sensor is triggered an augmented reality interface may be projected to the wearer that helps identify a target, such as a person, vehicle, and the like for further monitoring and/or targeting.
- the range finder may be able to determine the range to the object and feedback that information to the soldier for use in targeting (such as manually, with the soldier executing a firing action; or automatically, with the weapon system receiving the information for targeting and the soldier providing a command to fire).
- the augmented reality interface may provide information to the soldier about the target, such as the location of the object on a 2D or 3D projected map, identity of the target from previously collected information (e.g. as stored in an object database, including face recognition, object recognition), coordinates of the target, night vision imaging of the target, and the like.
- the triggering of the motion detector may be interpreted by processing facilities of the eyepiece as a warning event, the command may be transmitted to the range finder to determine the location of the object, as well as to the speakers of the ear phones of the eyepiece to provide an audio warning to the soldier that a moving object has been sensed in the area being monitored.
- the audio warning plus visual indicators to the soldier may serve as inputs to the soldier that attention should be paid to the moving object, such as if the object has been identified as an object of interest to the soldier, such as through an accessed database for known combatants, known vehicle types, and the like. For instance, the soldier may be at a guard post monitoring the perimeter around the post at night.
- the environment may be dark, and the soldier may have fallen into a low attentive state, as it may be late at night, with all environmental conditions quiet.
- the eyepiece may then act as a sentry augmentation device, ‘watching’ from the soldier's personal perspective (as opposed to some external monitoring facility for the guard post).
- the soldier may be instantly alerted as well as guided to the location, range, identity, and the like, of the motion. In this way, the soldier may be able to react to avoid personal danger, to target fire to the located movement, and the like, as well as alert the post to potential danger.
- the soldier may have improved reaction time as a result of the warning from the eyepiece, with better decision making though information about the target, and minimizing the danger of being injured or the guard post from being infiltrated.
- other sensing inputs and/or sensing devices, command and/or control modes and interfaces in which the inputs can be reflected, useful external devices to be controlled, feedback related to external devices and/or external applications, and the like, as described herein, may also be applied.
- the eyepiece may enable remote control of vehicles, such as a truck, robot, drone, helicopter, watercraft, and the like.
- vehicles such as a truck, robot, drone, helicopter, watercraft, and the like.
- a soldier wearing the eyepiece may be able to command through an internal communications interface for control of the vehicle.
- Vehicle control may be provided through voice commands, body movement (e.g. a soldier instrumented with movement sensors that are in interactive communication with the eyepiece, and interfaced through the eyepiece to control the vehicle), keyboard interface, and the like.
- a soldier wearing an eyepiece may provide remote control to a bomb disposal robot or vehicle, where commands are generated by the soldier though a command interface of the eyepiece, such as described herein.
- a soldier may command an aircraft, such as a remote control drone, remote control tactical counter-rotating helicopter, and the like. Again, the soldier may provide control of the remote control aircraft through control interfaces as described herein.
- control aspects of the eyepiece may include combinations of a wearable sensor set as an action capture input for a soldier, utilizing a robot control interface as a command and control interface in which the inputs can be reflected, a drone or other robotic device as an external device to be controlled, and the like.
- the soldier wearing the eyepiece may be instrumented with a sensor set for the control of a military drone, such as with motion sensor inputs to control motion of the drone, hand recognition control for manipulation of control features of the drone (e.g. such as through a graphical user interface displayed through the eyepiece), voice command inputs for control of the drone, and the like.
- control of the drone through the eyepiece may include control of flight, control of on-board interrogation sensors (e.g.
- the soldier may be able to guide the drone to its intended target using body mounted sensors and picturing the actual battlefield through a virtual 2D/3D projected image, where flight, camera, monitoring controls are commanded though body motions of the soldier. In this way, the soldier may be able to maintain an individualistic, full visual immersion, of the flight and environment of the drone for greater intuitive control.
- the eyepiece may have a robot control interface for managing and reconciling the various control inputs from the soldier-worn sensor set, and for providing an interface for control of the drone.
- the drone may then be controlled remotely through physical action of the soldier, such as through a wireless connection to a military control center for drone control and management.
- a soldier may control a bomb-disarming robot that may be controlled through a soldier-worn sensor set and associated eyepiece robot control interface.
- the soldier may be provided with a graphical user interface that provides a 2D or 3D view of the environment around the bomb disarming robot, and where the sensor pack provides translation of the motion of the soldier (e.g. arms, hands, and the like) to motions of the robot.
- the soldier may be able to provide a remote control interface to the robot to better enable sensitive control during the delicate bomb disarming process.
- other user action capture inputs and/or devices, command and/or control modes and interfaces in which the inputs can be reflected, useful external devices to be controlled, and the like, as described herein, may also be applied.
- control aspects of the eyepiece may include combinations of an event indication to the soldier as they enter a location, a predictive-learning based user interface as a command and control mode and/or interface in which the input occurrence of the event is reflected, a weapons control system as an external device to be controlled, and the like.
- an eyepiece may be programmed to learn the behavior of a soldier, such as what the soldier typically does when they enter a particular environment with a particular weapons control system, e.g. does the wearer turn on the system, arm the system, bring up visual displays for the system, and the like. From this learned behavior, the eyepiece may be able to make a prediction of what the soldier wants in the way of an eyepiece control function.
- the soldier may be thrust into a combat situation, and needs the immediate use of a weapons control system.
- the eyepiece may sense the location and/or the identity of the weapons system as the soldier approaches, and configure/enable the weapons system to how the soldier typically configures the system when they are near the weapons control system, such as in previous uses of the weapons system where the eyepiece was in a learning mode, and commanding the weapons control system to turn on the system as last configured.
- the eyepiece may sense the location and/or identity of the weapons system through a plurality of methods and systems, such as through a vision system recognizing the location, an RFID system, a GPS system, and the like.
- the commanding of the weapons control system may be through a graphical user interface that provides the soldier with a visual for fire-control of the weapon system, an audio-voice command system interface that provides choices to the soldier and voice recognition for commanding, pre-determined automatic activation of a function, and the like.
- there may be a profile associated with such learned commanding where the soldier is able to modify the learned profile and/or set preferences within the learned profile to help optimize automated actions, and the like.
- the soldier may have separate weapon control profiles for weapons readiness (i.e. while on post and awaiting action) and for active weapons engagement with the enemy.
- the soldier may need to modify a profile to adjust to changing conditions associated with use of the weapon system, such as a change in fire command protocols, ammunition type, added capabilities of the weapon system, and the like.
- a profile may be modified to adjust to changing conditions associated with use of the weapon system, such as a change in fire command protocols, ammunition type, added capabilities of the weapon system, and the like.
- other events and/or data feeds, command and/or control modes and interfaces in which the inputs can be reflected, useful external devices to be controlled, and the like, as described herein, may also be applied.
- control aspects of the eyepiece may include combinations of an individual responsibility event for a soldier (such as deployed in a theater of action, and managing their time) as an event and/or data feed, a voice recognition system as a user action capture input device, an auditory command interface as a command and control interface in which the inputs can be reflected, video-based communications as an application on the eyepiece that is used to respond to the input from the soldier, and the like.
- a soldier wearing the eyepiece may get a visual indication projected to them of a scheduled event for a group video supported communication between commanders. The soldier may then use a voice command to an auditory command interface on the eyepiece to bring up the contact information for the call, and voice command the group video communication to be initiated.
- the eyepiece may serve as a personal assistant for the soldier, bringing up scheduled events and providing the soldier with a hands-free command interface to execute the scheduled events.
- the eyepiece may provide for the visual interface for the group video communication, where the images of the other commanders are projected to the soldier through the eyepiece, and where an external camera is providing the soldier's video image through communicative connection to the eyepiece (such as with an external device with a camera, using a mirror with the internally integrated camera, and the like, as described herein).
- the eyepiece may provide a fully integrated personal assistant and phone/video-based communications platform, subsuming the functions of other traditionally separate electronics devices, such as the radio, mobile phone, a video-phone, a personal computer, a calendar, a hands-free command and control interface, and the like.
- other events and/or data feeds, user action capture inputs and/or devices, command and/or control modes and interfaces in which the inputs can be reflected, applications on platform that can use commands and/or respond to inputs, and the like, as described herein, may also be applied.
- control aspects of the eyepiece may include combinations of a security event to a soldier as an event and/or data feed; a camera and touch screen as user action capture input devices; an information processing, fingerprint capture, facial recognition application on the eyepiece to respond to the inputs; a graphical user interface for communications and/or connection between the eyepiece and external systems and devices; and an external information processing, fingerprint capture, facial recognition application and database for access to external security facilities and connectivity, and the like.
- a soldier may receive a ‘security event’ while on post at a military checkpoint where a plurality of individuals is to be security checked and/or identified.
- the soldier may then use biometric input devices, such as a camera for photographing faces and a touch screen for recording fingerprints, where the biometric inputs are managed though an internal information, processing, fingerprint capture, and facial recognition application on the eyepiece.
- biometric input devices such as a camera for photographing faces and a touch screen for recording fingerprints
- the eyepiece may provide a graphical user interface as a communications connection to an external information, processing, fingerprint capture, and facial recognition application, where the graphical user interface provides data capture interfaces, external database access, people of interest database, and the like.
- the eyepiece may provide for an end-to-end security management facility, including monitoring for people of interest, input devices for taking biometric data, displaying inputs and database information, connectivity to external security and database applications, and the like.
- the soldier may be checking people through a military checkpoint, and the soldier has been commanded to collect facial images, such as with iris biometrics, for anyone that meets a profile and is not currently in a security database.
- the soldier's eyepiece takes high-resolution images of each individual for facial and/or iris recognition, such as checked though a database accessible though a network communication link
- a person may be allowed to pass the checkpoint if they do not meet the profile (e.g.
- the soldier may be able to process the individual directly through facilities of the eyepiece or with the eyepiece controlling an external device, such as for collecting personal information for the individual, taking a close-up image of the individual's face and/or iris, recording fingerprints, and the like, such as described herein.
- control aspects of the eyepiece may include combinations of a finger movement as a user action for a soldier initiating an eyepiece command, a clickable icon as a command and control mode and/or interface in which the user action can be reflected, an application on the eyepiece (e.g. weapons control, troop movements, intelligence data feed, and the like), a military application tracking API as a communication and/or connection from the eyepiece application to an external system, an external personnel tracking application, feedback to military personnel, and the like.
- a system for monitoring a soldier's selection of an on-eyepiece application may be implemented through an API such that the monitoring provides a service to the military for monitoring and tracking application usage, feedback to the soldier as to other applications available to them based on the monitored behavior, and the like.
- the soldier may select an application for use and/or download, such as through a graphical user interface where clickable icons are presented, and to which the soldier may be able to select the icon based on a finger movement control implementation facility (such as a camera or inertial system through which the soldier's finger action is used as a control input, in this case to select the clickable icon).
- the selection may then be monitored through the military application tracking API that sends the selection, or stored number of selections (such as transmitting stored selections over a period of time), to the external personnel tracking application.
- the soldier's application selections may then be analyzed for the purpose of optimizing usage, such as through increasing bandwidth, change of available applications, improvement to existing applications, and the like.
- the external personnel tracking application may utilize the analysis to determine what the wearer's preferences are in terms of applications use, and send the wearer feedback in the form of recommendations of applications the wearer may be interested in, a preference profile, a list of what other similar military users are utilizing, and the like.
- the eyepiece may provide services to improve the soldier's experience with the eyepiece, such as with recommendations for usage that the soldier may benefit from, and the like, while aiding in guiding the military use of the eyepiece and applications thereof.
- a soldier that is new to using the eyepiece may not fully utilize its capabilities, such as in use of augmented reality interfaces, organizational applications, mission support, and the like.
- the eyepiece may have the capability to monitor the soldier's utilization, compare the utilization to utilization metrics (such as stored in an external eyepiece utilization facility), and provide feedback to the soldier in order to improve use and associated efficiency of the eyepiece, and the like.
- control aspects of the eyepiece may include combinations of body movement (e.g. kinetic sensor) and touch sensors as user action capture sensing devices, head and hand movement as user actions for controlling and/or initiating commands, a virtual reality interface as a command and control interface through which the inputs can be reflected, an information display as an application on the eyepiece that can respond to the inputs, a combat simulator as an external device to be controlled through a combat simulation application, and the activation of the combat simulator content to the soldier with performance, rating, score, and the like, as feedback to the user related to the external device and application.
- body movement e.g. kinetic sensor
- touch sensors as user action capture sensing devices
- head and hand movement as user actions for controlling and/or initiating commands
- a virtual reality interface as a command and control interface through which the inputs can be reflected
- an information display as an application on the eyepiece that can respond to the inputs
- a combat simulator as an external device to be controlled through a combat simulation application
- the activation of the combat simulator content to
- a soldier may be able to interact with an artificial reality enhanced combat simulator, where the wearer's body movements are interpreted as control inputs, such as though body movement sensors, touch sensors, and the like. In this way, movements of the wearer's body may be fed into the combat simulator, rather than using more traditional control inputs such as a handheld controller.
- the soldier's experience may be more realistic, such as to provide better muscle memory from the simulated combat exercise, such as when engaged in defensive avoidance, in a firelight, and the like, and where the eyepiece provides a full immersion experience for the soldier without the need for external devices that would normally not be used by the soldier in a live action.
- Body motion control inputs may feed into a virtual reality interface and information display application on the eyepiece to provide the user with the visual depiction of the simulated combat environment.
- the combat simulator may be run entirely on-board the eyepiece as a local application, interfaced to an external combat simulator facility local to the wearer, interfaced to a networked combat simulator facility (e.g. a massively multiplayer combat simulator, an individual combat simulator, a group combat simulator through a local network connection), and the like.
- a networked combat simulator facility e.g. a massively multiplayer combat simulator, an individual combat simulator, a group combat simulator through a local network connection
- the eyepiece application portion of simulation execution may provide the visual environment and information display to the soldier, and the external combat simulator facility may provide the combat simulator application execution.
- the combat simulator implementation may extend to external facilities across a secure network. External facilities, whether local or across the secure network, may then provide feedback to the soldier, such as in providing at least a portion of the executed content (e.g. the locally provided projection combined with content from the external facilities and other soldiers), performance indications, scores, rankings, and the like.
- the eyepiece may provide a soldier environment where the eyepiece interfaces with external control inputs and external processing facilities, to create the next generation of combat simulator platform.
- sensing inputs and/or sensing devices user movements or actions for controlling or initiating commands, command and/or control modes and interfaces in which the inputs can be reflected, applications on platform that can use commands and/or respond to inputs, useful external devices to be controlled, feedback related to external devices and/or external applications, and the like, as described herein, may also be applied.
- control aspects of the eyepiece may include combinations of IR, thermal, force, carbon monoxide, and the like sensors as inputs; microphone as an additional input device; voice commands as an action by a soldier to initiate commands; a heads-up display as a command and control interface in which the inputs can be reflected; an instructional guidance application to provide guidance while reducing the need for the soldier to use their hands, such as in emergency repair in the field, maintenance, assembly, and the like; a visual display that provides feedback to the soldier based on the actions of the soldier and the sensor inputs; and the like. For instance, a soldier's vehicle may have been damaged in a firefight, leaving the soldier(s) stranded without immediate transport capabilities.
- the soldier may be able to bring up an instructional guidance application, as running through the eyepiece, to provide hands-free instruction and computer-based expert knowledge access to diagnosing the problem with the vehicle.
- the application may provide a tutorial for procedures not familiar to the soldier, such as restoring basic and temporary functionality of the vehicle.
- the eyepiece may also be monitoring various sensor inputs relevant to the diagnosis, such as an IR, thermal, force, ozone, carbon monoxide, and the like sensors, so that the sensor input may be accessible to the instructional application and/or directly accessible to the soldier.
- the application may also provide for a microphone through which voice commands may be accepted; a heads-up display for the display of instruction information, 2D or 3D depiction of the portion of the vehicle under repair; and the like.
- the eyepiece may be able to provide a hands-free virtual assistant to the soldier to assist them in the diagnosis and repair of the vehicle in order to re-establish a means for transport, allowing the soldier to re-engage the enemy or move to safety.
- other sensing inputs and/or sensing devices, user action capture inputs and/or devices, user movements or actions for controlling or initiating commands, command and/or control modes and interfaces in which the inputs can be reflected, applications on platform that can use commands and/or respond to inputs, feedback related to external devices and/or external applications, and the like, as described herein, may also be applied.
- control aspects of the eyepiece may include combinations of the eyepiece entering an ‘activity state’, such as a ‘military engagement’ activity mode, e.g. the soldier commanding the eyepiece into a military engagement mode, or the eyepiece sensing it is in proximity to a military activity, perhaps even a predetermined or targeted engagement area through a received mission directive, which may have further been developed in part through self monitoring and learning the wearer's general engagement assignment.
- an activity state e.g.
- a military engagement activity state such as while driving in a vehicle into an encounter with the enemy or into hostile territory, may be combined with an object detector as a sensing input or sensing device, a head-mounted camera and/or eye-gaze detection system as a user action capture input, eye movement as a user movement or action for controlling or initiating commands, a 3D navigation interface as a command and control mode and/or interface in which the inputs can be reflected, an engagement management application on-board the eyepiece as an application for coordinating command inputs and user interface, a navigation system controller to communicate or connect with external systems or devices, a vehicle navigation system as an external device to be controlled and/or interfaced with, a military planning and execution facility as an external application for processing user actions with regard to a military directive, bulls-eye or target tracking system as feedback to the wearer as to enemy targeting opportunities within sight while driving, and the like.
- an object detector as a sensing input or sensing device
- a head-mounted camera and/or eye-gaze detection system as a user action
- a soldier may enter a hostile environment while driving their vehicle, and the eyepiece, detecting the presence of the enemy engagement area (e.g. through GPS, direct viewing targets through an integrated camera, and the like) may enter a ‘military engagement activity state’ (such as enabled and/or approved by the soldier).
- the eyepiece may then detect an enemy vehicle, hostile dwelling, and the like with an object detector that locates an enemy targeting opportunity, such as through a head-mounted camera.
- an eye-gaze detection system on the eyepiece may monitor where the soldier is looking, and possibly highlight information about a target at the location of the wearer's gaze, such as enemy personnel, enemy vehicle, enemy weapons, as well as friendly forces, where friend and foe are identified and differentiated.
- the soldier's eye movement may also be tracked, such as for changing targets of interest, or for command inputs (e.g. a quick nod indicating a selection command, a downward eye movement indicating a command for additional information, and the like).
- the eyepiece may invoke a 3D navigation interface projection to assist in providing the soldier with information associated with their surroundings, and a military engagement application for coordinating the military engagement activity state, such as taking inputs from the soldier, providing outputs to the 3D navigation interface, interfacing with external devices and applications, and the like.
- the eyepiece may for instance utilize a navigation system controller to interface with a vehicle navigation system, and thus may include the vehicle navigation system into the military engagement experience.
- the eyepiece may use its own navigation system, such as in place of the vehicle system or to augment it, such as when the soldier gets out of the vehicle and wishes to have over-the-ground directions provided to them.
- the eyepiece may interface with an external military planning and execution facility, such as to provide current status, troop movements, weather conditions, friendly forces position and strength, and the like.
- the soldier through entering an activity state, may be provided feedback associated with the activity state, such as for a military engagement activity state being supplied feedback in the form of information associated with an identified target.
- control aspects of the eyepiece may include combinations of a secure communications reception as a triggering event to a soldier, inertial movement tracking as a user action capture input device, drag-and-drop with fingers and swipe movements by the soldier as user movements or actions for controlling or initiating commands, navigable lists as a command and control interface in which the inputs can be reflected, information conveying as a type of application on the eyepiece that can use commands and respond to inputs, a reconciliation system as a communication or connection from the on-eyepiece interface to external systems and devices, iris capture and recognition system as an external application for external systems and devices, and the like.
- a soldier wearing the eyepiece may receive a secure communication, and the communication may come in to the eyepiece as an ‘event’ to the soldier, such as to trigger an operations mode of the eyepiece, with a visual and/or audible alert, to initiate an application or action on the eyepiece, and the like.
- the soldier may be able to react to the event through a plurality of control mechanisms, such as the wearer ‘drag and dropping’, swiping, and the like with their fingers and hands through a hand gesture interface (e.g. through a camera and hand gesture application on-board the eyepiece, where the wearer drags the email or information within the communication into a file, an application, another communication, and the like).
- the wearer may call up navigable lists as part of acting on the communication.
- the user may convey the information from the secure communication through an eyepiece application to external systems and devices, such as a reconciliation system for tracking communications and related actions.
- the eyepiece and/or secure access system may require identification verification, such as through biometric identity verification e.g. fingerprint capture, iris capture recognition, and the like.
- biometric identity verification e.g. fingerprint capture, iris capture recognition, and the like.
- the soldier may receive a secure communication that is a security alert, where the secure communication comes with secure links to further information, and where the soldier is required to provide biometric authentication before being provided access.
- the soldier may be able to use hand gestures in their response and manipulation of content available through the eyepiece, such as manipulating lists, links, data, images, and the like available directly from the communications and/or through the included links.
- Providing the capability for the soldier to respond and manipulate content in association with the secure communication may better allow the soldier to interact with the message and content in a manner that does not compromise any non-secure environment they may currently be in.
- other events and/or data feeds user action capture inputs and/or devices, user movements or actions for controlling or initiating commands, command and/or control modes and interfaces in which the inputs can be reflected, applications on platform that can use commands and/or respond to inputs, communication or connection from the on-platform interface to external systems and devices, applications for external devices, and the like, as described herein, may also be applied.
- control aspects of the eyepiece may include combinations of using an inertial user interface as a user action capture input device to provide military instruction to a soldier through the eyepiece to an external display device.
- a soldier wearing the eyepiece, may wish to provide instruction to a group of other soldiers in the field from a briefing that has been made available to them through the facilities of the eyepiece.
- the soldier may be aided though the use of a physical 3D or 2D mouse (e.g.
- the briefing may be viewable to and manipulated though the eyepiece, but also exported in real-time, such as to an external router that is connected to an external display device (e.g. computer monitor, projector, video screen, TV screen, and the like).
- an external display device e.g. computer monitor, projector, video screen, TV screen, and the like.
- the eyepiece may provide a way for the soldier to have others view what they see through the eyepiece and as controlled through the control facilities of the eyepiece, allowing the soldier to export multimedia content associated with the briefing as enabled through the eyepiece to other non-eyepiece wearers.
- a mission briefing may be provided to a commander in the field, and the commander, through the eyepiece, may be able to brief their team with multimedia and augmented reality resources available through the eyepiece, as described herein, thus gaining the benefit that such visual resources provide.
- sensing inputs and/or sensing devices may also be applied.
- user action capture inputs and/or devices may also be applied.
- command and/or control modes and interfaces in which the inputs can be reflected communication or connection from the on-platform interface to external systems and devices, useful external devices to be controlled, feedback related to external devices and/or external applications, and the like, as described herein, may also be applied.
- control aspects of the eyepiece may include combinations of using an events/data feed and sensing inputs/sensing devices, such as where a security event plus an acoustic sensor may be implemented.
- a security alert sent to a soldier and an acoustic sensor is utilized as an input device to monitor voice content in the surrounding environment, directionality of gunfire, and the like.
- a security alert is broadcast to all military personnel in a specific area, and with the warning, the eyepiece activates an application that monitors an embedded acoustic sensor array that analyzes loud sounds to identify the type of source for the sound, and direction from which the sound came.
- other events and/or data feeds, sensing inputs and/or sensing devices, and the like, as described herein, may also be applied.
- control aspects of the eyepiece may include combinations of using an events/data feed and user action capture inputs/devices, such as for a request for an input plus use of a camera.
- a soldier may be in a location of interest and is sent a request for photos or video from their location, such as where the request is accompanied with instructions for what to photograph. For instance, the soldier is at a checkpoint, and at some central command post it is determined that an individual on interest may attempt to cross the checkpoint. Central command may then provide instructions to eyepiece users in proximity to the checkpoint to record and upload images and video, which may in embodiments be preformed automatically without the soldier needing to manually turn on the camera.
- other events and/or data feeds, user action capture inputs and/or devices, and the like, as described herein, may also be applied.
- control aspects of the eyepiece may include combinations of using an events/data feed and user movements or actions for controlling or initiating commands, such as when a soldier is entering an ‘activity state’ and they use a hand gesture for control.
- a soldier may be put in an activity state of readiness to engage the enemy, and the soldier uses hand gestures to silently command the eyepiece within an engagement command and control environment. For instance, the soldier may suddenly enter an enemy area as determined by new intelligence received that places the eyepiece in a heightened alert state. In this state it may be a requirement that silence may be required, and so the eyepiece transitions to a hand gesture command mode.
- other events and/or data feeds, user movements or actions for controlling or initiating commands, and the like, as described herein may also be applied.
- control aspects of the eyepiece may include combinations of using an events/data feed and command/control modes and interfaces in which the inputs can be reflected, such as entering a type of environment and the user of a virtual touch screen.
- a soldier may enter a weapons system area, and a virtual touch screen is made available to the wearer for at least a portion of the control of the weapons system. For instance, the soldier enters a weapons vehicle, and the eyepiece detecting the presence of the weapons system, and that the soldier is authorized to use the weapon, brings up a virtual fire control interface with virtual touch screen.
- other events and/or data feeds, command and/or control modes and interfaces in which the inputs can be reflected, and the like, as described herein, may also be applied.
- control aspects of the eyepiece may include combinations of using an events/data feed and applications on platform that can use commands/respond to inputs, such as for a safety event in combination with easy access to information for pilots.
- a military pilot or someone responsible for the flight checkout of a pilotless aircraft
- a drone specialist approaches a drone to prepare it for launch, and an interactive checkout procedure is displayed to the soldier by the eyepiece.
- a communications channel may be opened to the pilot of the drone so they are included in the pre-flight checkout.
- other events and/or data feeds, applications on platform that can use commands and/or respond to inputs, and the like, as described herein may also be applied.
- control aspects of the eyepiece may include combinations of using an events/data feed and a communication or connection from the on-platform interface to external systems and devices, such as the soldier entering a location and a graphical user interface (GUI).
- GUI graphical user interface
- a soldier may enter a location where they are required to interact with external devices, and where the external device is interfaced through the GIU. For instance, a soldier gets in a military transport, and the soldier is presented with a GUI that opens up an interactive interface that instructs the soldier on what they need to do during different phases of the transport.
- other events and/or data feeds, communication or connection from the on-platform interface to external systems and devices, and the like, as described herein, may also be applied.
- control aspects of the eyepiece may include combinations of using an events/data feed and a useful external device to be controlled, such as for an instruction provided and a weapon system.
- a soldier may be provided instructions, or a feed of instructions, where at least one instruction pertains to the control of an external weapons system.
- a soldier may be operating a piece of artillery, and the eyepiece is providing them not only performance and procedural information in association with the weapon, but also provides a feed of instructions, corrections, and the like, associated with targeting.
- other events and/or data feeds, useful external devices to be controlled, and the like, as described herein, may also be applied.
- control aspects of the eyepiece may include combinations of using an events/data feed and an application for a useful external device, such as in a security event/feed and biometrics capture/recognition.
- a soldier may be sent a security event notification through (such as through a security feed) to capture biometrics (fingerprints, iris scan, walking gait profile) of certain individuals, where the biometrics are stored, evaluated, analyzed, and the like, through an external biometrics application (such as served from a secure military network-based server/cloud).
- biometrics fingerprints, iris scan, walking gait profile
- an external biometrics application such as served from a secure military network-based server/cloud.
- other events and/or data feeds, applications for external devices, and the like, as described herein, may also be applied.
- control aspects of the eyepiece may include combinations of using an events/data feed and feedback to a soldier related to the external devices and applications, such as entering an activity state and the soldier being provided a display of information.
- a soldier may place the eyepiece into an activity state such as for military staging, readiness, action, debrief, and the like, and as feedback to being placed into the activity state the soldier receives a display of information pertaining to the entered state. For instance, a soldier enters into a staging state for a mission, where the eyepiece fetches information from a remote server as part of the tasks the soldier has to complete during staging, including securing equipment, additional training, and the like.
- other events and/or data feeds, feedback related to external devices and/or external applications, and the like, as described herein, may also be applied.
- control aspects of the eyepiece may include combinations of using sensing inputs/sensing devices and user action capture inputs/devices, such as with an inertial motion sensor and head tracking system.
- the head motion of a soldier may be tracked through inertial motion sensor(s) in the eyepiece, such as for nod control of the eyepiece, view direction sensing for the eyepiece, and the like.
- the soldier may be a targeting a weapon system, and the eyepiece senses the gaze direction of the soldier's head through the inertial motion sensor(s) to provide continuous targeting of the weapon.
- the weapon system may move continuously in response to the soldier's gaze direction, and so be continuously ready to fire on the target.
- other sensing inputs and/or sensing devices, user action capture inputs and/or devices, and the like, as described herein may also be applied.
- control aspects of the eyepiece may include combinations of using sensing inputs/sensing devices and user movements or actions for controlling or initiating commands, such as with an optical sensor and an eye shut, blink, and the like movement.
- the state of the soldier's eye may be sensed by an optical sensor that is included in the optical chain of the eyepiece, such as for using eye movement for control of the eyepiece.
- the soldier may be aiming their rifle, where the rifle has the capability to be fired through control commands from the eyepiece (such as in the case of a sniper, where commanding through the eyepiece may decrease the errors in targeting due to pulling the trigger manually).
- the soldier may then fire the weapon through a command initiated by the optical sensor detecting a predetermined eye movement, such as in a command profile kept on the eyepiece.
- a predetermined eye movement such as in a command profile kept on the eyepiece.
- other sensing inputs and/or sensing devices, user movements or actions for controlling or initiating commands, and the like, as described herein, may also be applied.
- control aspects of the eyepiece may include combinations of using sensing inputs/sensing devices and command/control modes and interfaces in which the inputs can be reflected, such as with a proximity sensor and robotic control interface.
- a proximity sensor integrated into the eyepiece may be used to sense the soldier's proximity to a robotic control interface in order to activate and enable the use of the robotics. For instance, a soldier walks up to a bomb-detecting robot, and the robot automatically activates and initializes configuration for this particular soldier (e.g. configuring for the preferences of the soldier).
- other sensing inputs and/or sensing devices, command and/or control modes and interfaces in which the inputs can be reflected, and the like, as described herein may also be applied.
- control aspects of the eyepiece may include combinations of using sensing inputs/sensing devices and applications on platform that can use commands/respond to inputs, such as with an audio sensor and music/sound application.
- An audio sensor may monitor the ambient sound and initiate and/or adjust the volume for music, ambient sound, sound cancelling, and the like, to help counter an undesirable ambient sound. For instance, a soldier is loaded onto a transport and the engines of the transport are initially off. At this time the soldier may have no other duties except to rest, so they initiate music to help them rest. When the engines of the transport come on the music/sound application adjusts the volume and/or initiates additional sound cancelling audio in order to help keep the music input the same as before the engines started up.
- other sensing inputs and/or sensing devices, applications on platform that can use commands and/or respond to inputs, and the like, as described herein may also be applied.
- control aspects of the eyepiece may include combinations of using sensing inputs/sensing devices and communication or connection from the on-platform interface to external systems and devices, such as with a passive IR proximity sensor and external digital signal processor.
- a soldier may be monitoring a night scene with the passive IR proximity sensor, the sensor indicates a motion, and the eyepiece initiates a connection to an external digital signal processor for aiding in identifying the target from the proximity sensor data. Further, an IR imaging camera may be initiated to contribute additional data to the digital signal processor.
- other sensing inputs and/or sensing devices, communication or connection from the on-platform interface to external systems and devices, and the like, as described herein, may also be applied.
- control aspects of the eyepiece may include combinations of using sensing inputs/sensing devices and useful external devices to be controlled, such as with an acoustic sensor and a weapons system, where an eyepiece being worn by a soldier senses a loud sound, such as may be an explosion or gun fire, and where the eyepiece then initiates the control of a weapons system for possible action against a target associated with the creation of the loud sound. For instance, a soldier is on guard duty, and gunfire is heard. The eyepiece may be able to detect the direction of the gunshot, and direct the soldier to the position from which the gunshot was made. In embodiments, other sensing inputs and/or sensing devices, useful external devices to be controlled, and the like, as described herein, may also be applied.
- control aspects of the eyepiece may include combinations of using sensing inputs/sensing devices and applications for those useful external devices, such as with a camera and external application for instructions.
- the camera embedded in a soldier's eyepiece may view a target icon indicating that instructions are available, and the eyepiece accessing the external application for instructions. For instance, a soldier is delivered to a staging area, and upon entry the eyepiece camera views the icon, accesses the instructions externally, and provides the soldier with the instructions for what to do, where all the steps may be automatic so that the instructions are provided without the soldier being aware of the icon.
- other sensing inputs and/or sensing devices, applications for external devices, and the like, as described herein may also be applied.
- control aspects of the eyepiece may include combinations of using sensing inputs/sensing devices and feedback to user related to the external devices and applications, such as with a GPS sensor and a visual display from a remote application.
- the soldier may have an embedded GPS sensor that sends/streams location coordinates to a remote location facility/application that sends/streams a visual display of the surrounding physical environment to the eyepiece for display.
- a soldier may be constantly viewing the surrounding environment though the eyepiece, and by way of the embedded GPS sensor, is continuously streamed a visual display overlay that allows for the soldier to have an augmented reality view of the surrounding environment, even as the change locations.
- other sensing inputs and/or sensing devices, feedback related to external devices and/or external applications, and the like, as described herein, may also be applied.
- control aspects of the eyepiece may include combinations of using user action capture inputs/devices and user movements or actions for controlling or initiating commands, such as with a body movement sensor (e.g. kinetic sensor) and an arm motion.
- a body movement sensor e.g. kinetic sensor
- the soldier may have body movement sensors attached to their arms, where the motion of their arms convey a command.
- a soldier may have kinetic sensors on their arms, and the motion of their arms are duplicated in an aircraft landing lighting system, such that the lights normally held by personnel aiding in a landing may be made to be larger and more visible.
- other user action capture inputs and/or devices, user movements or actions for controlling or initiating commands, and the like, as described herein may also be applied.
- control aspects of the eyepiece may include combinations of using user action capture inputs/devices and command/control modes and interfaces in which the inputs can be reflected, such as wearable sensor sets and a predictive learning-based user interface.
- a soldier may wear a sensor set where the data from the sensor set is continuously collected and fed to a machine-learning facility through a learning-based user interface, where the soldier may be able to accept, reject, modify, and the like, the learning from their motions and behaviors.
- a soldier may perform the same tasks in generally the same physical manner every Monday morning, and the machine-learning facility may establish a learned routine that it provides to the soldier on subsequent Monday mornings, such as a reminder to clean certain equipment, fill out certain forms, play certain music, meet with certain people, and the like. Further, the soldier may be able to modify the outcome of the learning through direct edits to the routine, such as in a learned behavior profile.
- other user action capture inputs and/or devices, command and/or control modes and interfaces in which the inputs can be reflected, and the like, as described herein, may also be applied.
- control aspects of the eyepiece may include combinations of using user action capture inputs/devices and applications on platform that can use commands/respond to inputs, such as a finger-following camera and video application.
- a soldier may be able to control the direction that the eyepiece embedded camera is taking video through a resident video application. For instance, a soldier may be viewing a battle scene where they have need to be gazing in one direction, such as being watchful for new developments in the engagement, while filming in a different direction, such as the current point of engagement.
- other user action capture inputs and/or devices, applications on platform that can use commands and/or respond to inputs, and the like, as described herein may also be applied.
- control aspects of the eyepiece may include combinations of using user action capture inputs/devices and communication or connection from the on-platform interface to external systems and devices, such as a microphone and voice recognition input plus a steering wheel control interface.
- the soldier may be able to change aspects of the handling of a vehicle through voice commands received through the eyepiece and delivered to a vehicle's steering wheel control interface (such as through radio communications between the eyepiece and the steering wheel control interface). For instance, a soldier is driving a vehicle on a road, and so the vehicle has certain handling capabilities that are ideal for the road. But the vehicle also has other modes for diving under different conditions, such as off-road, in snow, in mud, in heavy rain, while in pursuit of another vehicle, and the like.
- the soldier may be able to change the mode through voice command as the vehicle changes driving conditions.
- other user action capture inputs and/or devices, communication or connection from the on-platform interface to external systems and devices, and the like, as described herein, may also be applied.
- control aspects of the eyepiece may include combinations of using user action capture inputs/devices and useful external devices to be controlled, such as a microphone and voice recognition input plus an automotive dashboard interface device.
- the soldier may use voice commands to control various devices associated with the dashboard of a vehicle, such as heating and ventilation, radio, music, lighting, trip computer, and the like.
- a soldier may be driving a vehicle on a mission, across rough terrain, such that they cannot let go of the steering wheel with either hand in order to manually control a vehicle dashboard device.
- the soldier may be able to control the vehicle dashboard device through voice controls to the eyepiece.
- Voice commands through the eyepiece may be especially advantageous, such as opposed to voice control through a dashboard microphone system, because the military vehicle may be immersed in a very loud acoustic environment, and so using the microphone in the eyepiece may give substantially improved performance under such conditions.
- other user action capture inputs and/or devices, useful external devices to be controlled, and the like, as described herein, may also be applied.
- control aspects of the eyepiece may include combinations of using user action capture inputs/devices and applications for useful external devices, such as with a joystick device and external entertainment application.
- a soldier may have access to a gaming joystick controller and is able to play a game through an external entertainment application, such as a multi-player game hosted on a network server. For instance, the soldier may be experiencing down time during a deployment, and on base they have access to a joystick device that interfaces to the eyepiece, and the eyepiece in turn to the external entertainment application.
- the soldier may be networked together with other military personnel across the network.
- the soldier may have stored preferences, a profile, and the like, associated with the game play.
- the external entertainment application may manage the game play of the soldier, such as in terms of their deployment, current state of readiness, required state of readiness, past history, ability level, command position, rank, geographic location, future deployment, and the like.
- other user action capture inputs and/or devices, applications for external devices, and the like, as described herein, may also be applied.
- control aspects of the eyepiece may include combinations of using user action capture inputs/devices and feedback to the user related to external devices and applications, such as with an activity determination system and tonal output or sound warning.
- the soldier may have access to the activity determination system through the eyepiece to monitor and determine the soldier's state of activity, such as in extreme activity, at rest, bored, anxious, in exercise, and the like, and where the eyepiece may provide forms of tonal output or sound warning when conditions go out of limits in any way, such as pre-set, learned, as typical, and the like.
- the soldier may be monitored for current state of health during combat, and where the soldier and/or another individual (e.g.
- medic, hospital personnel, another member of the soldier's team, a command center, and the like are provided an audible signal when health conditions enter a dangerous level, such as indicating that the soldier has been hurt in battle. As such, others may be alerted to the soldier's injuries, and would be able to attend to the injuries in a more time effective manner.
- other user action capture inputs and/or devices, feedback related to external devices and/or external applications, and the like, as described herein, may also be applied.
- control aspects of the eyepiece may include combinations of using user movements or actions for controlling or initiating commands plus command/control modes and interfaces in which the inputs can be reflected, such as a clenched fist and Navigable list.
- a soldier may bring up a navigable list as projected content on the eyepiece display with a gesture such as a clenched fist, and the like.
- the eyepiece camera may be able to view the soldier's hand gesture(s), recognize and identify the hand gesture(s), and execute the command in terms of a pre-determined gesture-to-command database.
- hand gestures may include gestures of the hand, finger, arm, leg, and the like.
- other user movements or actions for controlling or initiating commands, command and/or control modes and interfaces in which the inputs can be reflected, and the like, as described herein, may also be applied.
- control aspects of the eyepiece may include combinations of using user movements or actions for controlling or initiating commands plus applications on platform that can use commands/respond to inputs, such as a head nod and information display.
- the soldier may bring up an information display application with a gesture such as a headshake, arm motion, leg motion, eye motion, and the like.
- a gesture such as a headshake, arm motion, leg motion, eye motion, and the like.
- the soldier may wish to access an application, database, network connection, and the like, through the eyepiece, and is able to bring up a display application as part of a graphical user interface with the nod of their head (such as sensed though motion detectors in the eyepiece, on the soldier's head, on the soldier's helmet, and the like.
- other user movements or actions for controlling or initiating commands, applications on platform that can use commands and/or respond to inputs, and the like, as described herein may also be applied.
- control aspects of the eyepiece may include combinations of using user movements or actions for controlling or initiating commands plus communication or connection from the on-platform interface to external systems and devices, such as the blink of an eye and through an API to external applications.
- the soldier may be able to bring up an application program interface to access external applications, such as with the blink of an eye, a nod of the head, the movement of an arm or leg, and the like.
- the soldier may be able to access an external application through an API embedded in an eyepiece facility, and do so with the blink of an eye, such as detected though an optical monitoring capability through the optics system of the eyepiece.
- other user movements or actions for controlling or initiating commands, communication or connection from the on-platform interface to external systems and devices, and the like, as described herein may also be applied.
- control aspects of the eyepiece may include combinations of using user movements or actions for controlling or initiating commands and external devices to be controlled, such as through the tap of a foot accessing an external range finder device.
- a soldier may have a sensor such as a kinetic sensor on their shoe that will detect the motion of the soldier's foot, and the soldier uses a foot motion such as a tap of their foot to use an external range finder device to determine the range to an object such an enemy target.
- the soldier may be targeting a weapon system, and using both hands in the process.
- commanding by way of a foot action through the eyepiece may allow for ‘hands free’ commanding.
- other user movements or actions for controlling or initiating commands, useful external devices to be controlled, and the like, as described herein may also be applied.
- control aspects of the eyepiece may include combinations of using user movements or actions for controlling or initiating commands plus applications for those useful external devices, such as making a symbol with a hand and an information conveying application.
- the soldier may utilize a hand formed symbol to trigger information shared through an external information conveying application, such as an external information feed, a photo/video sharing application, a text application, and the like. For instance, a soldier uses a hand signal to turn on the embedded camera and share the video stream with another person, to storage, and the like.
- other user movements or actions for controlling or initiating commands, applications for external devices, and the like, as described herein, may also be applied.
- control aspects of the eyepiece may include combinations of using user movements or actions for controlling or initiating commands plus feedback to soldier as related to an external device and application, such as a headshake plus an audible alert.
- the soldier may be wearing an eyepiece equipped with an accelerometer (or like capable sensor for detecting g-force headshake), where when the soldier experiences a g-force headshake that is at a dangerously high level, an audible alert is sounded as feedback to the user, such as determined either as a part of on- or off-eyepiece applications.
- the output of the accelerometer may be recorded and stored for analysis. For instance, the soldier may experience a g-force headshake from a proximate explosion, and the eyepiece may sense and record the sensor data associated with the headshake.
- headshakes of a dangerous level may trigger automatic actions by the eyepiece, such as transmitting an alert to other soldiers and/or to a command center, begin monitoring and/or transmitting the health of the soldier from other body mounted sensors, provide audible instructions to the soldier related to their potential injuries, and the like.
- eyepiece such as transmitting an alert to other soldiers and/or to a command center, begin monitoring and/or transmitting the health of the soldier from other body mounted sensors, provide audible instructions to the soldier related to their potential injuries, and the like.
- other user movements or actions for controlling or initiating commands, feedback related to external devices and/or external applications, and the like, as described herein, may also be applied.
- control aspects of the eyepiece may include combinations of using command/control modes and interfaces in which the inputs can be reflected plus applications on platform that can use commands/respond to inputs, such as a graphical user interface plus various applications resident on the eyepiece.
- the eyepiece may provide a graphical user interface to the soldier and applications presented for selection. For instance, the soldier may have a graphical user interface projected by the eyepiece that provides different domains of application, such as military, personal, civil, and the like.
- other command and/or control modes and interfaces in which the inputs can be reflected, applications on platform that can use commands and/or respond to inputs, and the like, as described herein may also be applied.
- control aspects of the eyepiece may include combinations of using command/control modes and interfaces in which the inputs can be reflected plus a communication or connection from the on-platform interface to external systems and devices, such as a 3D navigation eyepiece interface plus navigation system controller interface to external system.
- the eyepiece may enter a navigation mode and connect to an external system through a navigation system controller interface. For instance, a soldier is in military maneuvers and brings up a preloaded 3D image of the surrounding terrain through the eyepiece navigation mode, and the eyepiece automatically connects to the external system for updates, current objects of interest such as overlaid by satellite images, and the like.
- other command and/or control modes and interfaces in which the inputs can be reflected, communication or connection from the on-platform interface to external systems and devices, and the like, as described herein may also be applied.
- control aspects of the eyepiece may include combinations of using command/control modes and interfaces in which the inputs can be reflected plus an external device to be controlled, such as an augmented reality interface plus external tracking device.
- the soldier's eyepiece may enter into an augmented reality mode and interface with an external tracking device to overlay information pertaining to the location of a traced object or person with an augmented reality display.
- the augmented reality mode may include a 3D map, and a person's location as determined by the external tracking device may be overlaid onto the map, and show a trail as the tracked person moves.
- other command and/or control modes and interfaces in which the inputs can be reflected, useful external devices to be controlled, and the like, as described herein may also be applied.
- control aspects of the eyepiece may include combinations of using command/control modes and interfaces in which the inputs can be reflected plus applications for those external devices, such as semi-opaque display mode plus simulation application.
- the eyepiece may be placed into a semi-opaque display mode to enhance the display of a simulation display application to the solder. For instance, the soldier is preparing for a mission, and before entering the field the soldier is provided a simulation of the mission environment, and since there is no real need for the user to see the real environment around them during the simulation, the eyepiece places the eyepiece into a semi-opaque display mode.
- other command and/or control modes and interfaces in which the inputs can be reflected, applications for external devices, and the like, as described herein may also be applied.
- control aspects of the eyepiece may include combinations of using command/control modes and interfaces in which the inputs can be reflected plus feedback to user related to the external devices and applications, such as an auditory command interface plus a tonal output feedback.
- the soldier may place the eyepiece into an auditory command interface mode and the eyepiece responds back with a tonal output as feedback from the system that the eyepiece is ready to receive the auditory commands.
- the auditory command interface may include at least portions of the auditory command interface in an external location, such as out on a network, and the tone is provided once the entire system is ready to accept auditory commands.
- other command and/or control modes and interfaces in which the inputs can be reflected, feedback related to external devices and/or external applications, and the like, as described herein may also be applied.
- control aspects of the eyepiece may include combinations of using applications on platform that can use commands/respond to inputs plus Communication or connection from the on-platform interface to external systems and devices, such as a communication application plus a network router, where the soldier is able to open up a communications application, and the eyepiece automatically searches for a network router for connectivity to a network utility. For instance, a soldier is in the field with their unit, and a new base camp is established. The soldier's eyepiece may be able to connect into the secure wireless connection once communications facilities have been established. Further, the eyepiece may alert the soldier once communications facilities have been established, even if the soldier has not yet attempted communications.
- other applications on platform that can use commands and/or respond to inputs, communication or connection from the on-platform interface to external systems and devices, and the like, as described herein, may also be applied.
- control aspects of the eyepiece may include combinations of using applications on platform that can use commands/respond to inputs plus useful external devices to be controlled, such as a video application plus and external camera.
- the soldier may interface with deployed cameras, such as for surveillance in the field. For instance, mobile deployable cameras may be dropped from an aircraft, and the soldier then has connection to the cameras through the eyepiece video application.
- other applications on platform that can use commands and/or respond to inputs, useful external devices to be controlled, and the like, as described herein, may also be applied.
- control aspects of the eyepiece may include combinations of using applications on platform that can use commands/respond to inputs plus applications for external devices, such as an on-eyepiece search application plus an external search application.
- a search application on the eyepiece may be augmented with an external search application. For instance, a soldier may be searching for the identity of an individual that is being questioned, and when the on-eyepiece search results in no find, the eyepiece connects with an external search facility.
- other applications on platform that can use commands and/or respond to inputs, applications for external devices, and the like, as described herein, may also be applied.
- control aspects of the eyepiece may include combinations of using applications on platform that can use commands/respond to inputs plus feedback to the soldier as related to the external devices and applications, such as an entertainment application plus a performance indicator feedback.
- the entertainment application may be used as a resting mechanism for a soldier that needs to rest but may be otherwise anxious, and performance feedback is designed for the soldier in given environments, such as in a deployment when they need to rest but remain sharp, during down time when attentiveness is declining and needs to be brought back up, and the like. For instance, a soldier may be on a transport and about to enter an engagement.
- an entertainment application may be an action-thinking game to heighten attention and aggressiveness, and where the performance indicator feedback is designed to maximize the soldier's desire to perform and to think through problems in a quick and efficient manner.
- other applications on platform that can use commands and/or respond to inputs, feedback related to external devices and/or external applications, and the like, as described herein, may also be applied.
- control aspects of the eyepiece may include combinations of using a communication or connection from the on-platform interface to external systems and devices plus external devices to be controlled, such as an on-eyepiece processor interface to external facilities plus an external projector.
- the eyepiece processor may be able to connect to an external projector so that others may view the content available to the eyepiece. For instance, a soldier may be in the field and has access to content that they need to share with others who are not wearing an eyepiece, such as individuals not in the military. In this instance, the soldier's eyepiece may be able to interface with an external projector, and feed content from the eyepiece to the projector.
- the projector may be a pocket projector, a projector in a vehicle, in a conference room, remotely located, and the like.
- the projector may also be integrated into the eyepiece, such that the content may be externally projected from the integrated projector.
- other communication or connection from the on-platform interface to external systems and devices, useful external devices to be controlled, and the like, as described herein, may also be applied.
- control aspects of the eyepiece may include combinations of using a communication or connection from the on-platform interface to external systems and devices plus an application for external devices, such as an audio system controller interface plus an external sound system.
- the soldier may be able to connect the audio portion of the eyepiece facilities (e.g. music, audio playback, audio network files, and the like) to an external sound system.
- the soldier may be able to patch a communications being received by the eyepiece to a vehicle sound system so that others can hear.
- other communication or connection from the on-platform interface to external systems and devices, applications for external devices, and the like, as described herein may also be applied.
- control aspects of the eyepiece may include combinations of using a communication or connection from the on-platform interface to external systems and devices plus feedback to a soldier related to the external devices and applications, such as a stepper controller interface plus status feedback.
- the soldier may have access and control of a mechanism with digital stepper control through a stepper controller interface, where the mechanism provides feedback to the soldier as to the state of the mechanism. For instance, a solder working on removing a roadblock may have a lift mechanism on their vehicle, and the soldier may be able to directly interface with the lift mechanism through the eyepiece.
- other communication or connection from the on-platform interface to external systems and devices, feedback related to external devices and/or external applications, and the like, as described herein, may also be applied.
- control aspects of the eyepiece may include combinations of using external devices to be controlled plus applications for those external devices, such as storage-enabled devices plus automatic backup applications.
- the soldier in the field may be provided data storage facilities and associated automatic backup applications.
- the storage facility may be located in a military vehicle, so that data may be backed up from a plurality of soldier's eyepieces to the vehicle, especially when a network link is not available to download to a remote backup site.
- a storage facility may be associated with an encampment, with a subset of soldiers in the field (e.g. in a pack), located on the soldier themselves, and the like.
- a local storage facility may upload the backup when network service connections become available.
- other useful external devices to be controlled, applications for external devices, and the like, as described herein may also be applied.
- control aspects of the eyepiece may include combinations of using external devices to be controlled plus feedback to a soldier related to external devices and applications, such as an external payment system plus feedback from the system.
- the soldier may have access to a military managed payment system, and where that system provides feedback to the soldier (e.g. receipts, account balance, account activity, and the like).
- the soldier may make payments to a vendor via the eyepiece where the eyepiece and external payment system exchange data, authorization, funds, and the like, and the payment system provides feedback data to the soldier.
- other useful external devices to be controlled, feedback related to external devices and/or external applications, and the like, as described herein, may also be applied.
- control aspects of the eyepiece may include combinations of using applications for external devices plus feedback to a soldier related to external devices and applications, such as an information display from an external 3D mapping-rendering facility plus feedback along with the information display.
- the soldier may be able to have 3D mapping information data displayed through the eyepiece, where the mapping facility may provide feedback to the soldier, such as based on past information delivered, past information requested, requests from others in the area, based on changes associated with the geographical area, and the like.
- a soldier may be receiving a 3D map rendering from an external application, where the external application is also providing 3D map rendering to at least a second soldier in the same geographic area.
- the soldier may then receive feedback from the external facility related to the second soldier, such as their position depicted on the 3D map rendering, identity information, history of movement, and the like.
- other applications for external devices, feedback related to external devices and/or external applications, and the like, as described herein, may also be applied.
- the eyepiece may provide a user with various forms of guidance in responding to medical situations.
- the user may use the eyepiece for training purposes to simulate medical situations that may arise in combat, training, on or off duty and the like.
- the simulation may be geared towards a medical professional or non-medical personnel.
- a low level combat soldier may use the eyepiece to view a medical simulation as part of a training module to provide training for response to medical situations on the battlefield.
- the eyepiece may provide an augmented environment where the user views injuries overlaid on another solider to simulate those common or capable of being found on the battlefield.
- the soldier may then be prompted through a user interface to respond to the situation as presented.
- the user may be given step-by-step instructions of a course of action in providing emergency medical care on the field, or the user may carry out actions in response to the situation that are then corrected until the appropriate response is given.
- the eyepiece may provide a training environment for a medical professional.
- the eyepiece may present the user with a medical emergency or situation requiring a medical response for the purpose of training the medical professional.
- the eyepiece may play out common battle field scenarios for which the user must master appropriate responses and lifesaving techniques.
- the user may be presented with an augmented reality of a wounded soldier with a gunshot wound to the soldier's body.
- the medical professional may then act out the steps he feels to be the appropriate response for the situation, select steps through a user interface of the eyepiece that he feels are appropriate for the situation, input the steps into a user interface of the eyepiece, and the like.
- the user may act out the response through use of sensors and or an input device or he may input the steps of his response into a user interface via eye movements, hand gestures and the like.
- he may select the appropriate steps as presented to him through the user interface via eye movements, hand gestures and the like.
- the user may be presented with additional guidance and instruction based on his performance.
- the user may be given a warning or prompt to change his course of treatment.
- the user may be prompted with the correct steps in order to practice proper procedure.
- the trainee may be presented with an example of a medical chart for the wounded soldier in the training situation where the user may have to base his decisions at least in part on what is contained in the medical chart.
- the user's actions and performance may be recorded and or documented by the eyepiece for further critiquing and instruction after the training session has paused or otherwise stopped.
- the eyepiece may provide a user with various forms of guidance in responding to actual medical situations in combat.
- a non-trained soldier may be prompted with step-by-step life saving instructions for fellow soldiers in medical emergencies when a medic is not immediately present.
- the user may input the type of injury, the eyepiece may detect the injury or a combination of these may occur. From there, the user may be provided with life saving instruction with which to treat the wounded soldier.
- life saving instruction may be presented in the form of augmented reality in a step-wise process of instructions for the user.
- the eyepiece may provide augmented visual aids to the user regarding location of vital organs near the wounded soldier's injury, an anatomical overlay of the soldier's body and the like.
- the eyepiece may take video of the situation that is then sent back to a medic not in the field or on his way to the field, thereby allowing the medic to walk the untrained user through an appropriate lifesaving technique on the battlefield.
- the wounded soldier's eyepiece may send vital information, such as information collected through integral or associated sensors, about the wounded soldier to the treating soldier's eyepiece to be sent to the medic or it may be sent directly to the medic in a remote location such that the treating soldier may provide the wounded solider with medical help based on the information gathered from the wounded soldier's eyepiece.
- a trained medic when presented with a medical emergency on the battlefield, may use the eyepiece to provide an anatomical overlay of the soldier's body so that he may respond more appropriately to the situation at hand.
- the user may be presented with an augmented reality view of the soldier's arteries such that the user may determine whether an artery has been hit and how severe the wound may be.
- the user may be presented with the proper protocol via the eyepiece for the given wound so that he may check each step as he moves through treatment.
- Such protocol may also be presented to the user in an augmented reality, video, audio or other format.
- the eyepiece may provide the medic with protocols in the form of augmented reality instructions in a step-wise process.
- the user may also be presented with an augmented reality overlay of the wounded soldier's organs in order to guide the medic through any procedure such that the medic does not do additional harm to the soldier's organs during treatment.
- the eyepiece may provide augmented visual aids to the user regarding location of vital organs near the wounded soldier's injury, an anatomical overlay of the soldier's body and the like.
- the eyepiece may be used to scan the retina of the wounded soldier in order to pull up his medical chart on the battlefield. This may alert the medic to possible allergies to medication or other important issues that may provide a benefit during medical treatment.
- the device may send information to the medic's glasses including the wounded soldier's heart rate, blood pressure, breathing stress, and the like.
- the eyepiece may also help the user observe the walking gait of a soldier to determine if the soldier has a head injury and they may help the user determine the location of bleeding or an injury.
- Such information may provide the user with information of possible medical treatment, and in embodiments, the proper protocol or a selection of protocols may be displayed to the user to help him in treating the patient.
- the eyepiece may allow the user to monitor other symptoms of the patient for a mental health status check. Similarly, the user can check to determine if the patient is exhibiting rapid eye movement and further may use the eyepiece to provide the patient with calming treatment such as providing the patient with eye movement exercises, breathing exercises, and the like. Further, the medic may be provided with information regarding the wounded soldier's vital signs and health data as it is collected from the wounded soldier's eyepiece and sent to the medic's eyepiece. This may provide the medic with real time data from the wounded soldier without having to determine such data on his own for example by taking the wounded soldier's blood pressure.
- the user may be provided with alerts from the eyepiece that tells him how for away an air or ground rescue is from his location on the battlefield. This may provide a medic with important information and alert him to whether certain procedures should or must be attempted given the time available in the situation, and it may provide an injured soldier with comfort knowing help is on the way or alert him that he may need other sources of help.
- the user may be provided alerts of his own vital signs if a problem is detected. For example, a soldier may be alerted if his blood pressure is too high, thereby alerting him that he must take medication or remove himself from combat if possible to return his blood pressure to a safe level. Also, the user may be alerted of other such personal data such as his pupil size, heart rate, waking gait change and the like in order to determine if the user is experiencing a medical problem. In other embodiments, a user's eyepiece may also alert medical personnel in another location of the user's medical status in order to send help for the user whether or not he knows he requires such help. Further, general data may be aggregated from multiple eyepieces in order to provide the commanding office with detailed information on his wounded soldiers, how many soldiers he has in combat, how many of those are wounded, and the like.
- a trained medical professional may use the eyepiece in medical responses out of combat as well.
- Such eyepiece may have similar uses as described above on or off the home base of the medic but outside of combat situations.
- the eyepiece may provide a user with a means to gain augmented reality assistance during a medical procedure, to document a medical procedure, perform a medical procedure at the guidance of a remote commanding officer via video and/or audio, and the like on or off a military base.
- This may provide assistance in a plurality of situations where the medic may need additional assistance. An example of this may occur when the medic is on duty on a training exercise, a calisthenics outing, a military hike and the like.
- Such assistance may be of importance when the medic is the only responder, when he is a new medic, approached with a new situation and the like.
- the eyepiece may provide user guidance in an environment related to a military transport plane.
- the eyepiece may be used in such an environment when training, going into battle, on a reconnaissance or rescue mission, while moving equipment, performing maintenance on the plane and the like. Such use may be suited for personnel of various ranks and levels.
- a user may receive audio and visual information through the eyepiece while on the transport plane and going into a training exercise.
- the information may provide the user with details about the training mission such as the battle field conditions, weather conditions, mission instructions, map of the area and the like.
- the eyepiece may simulate actual battle scenarios to prepare the user for battle.
- the eyepiece may also record the user's responses and actions through various means. Such data gathering may allow the user to receive feedback about his performance. Further, the eyepiece may then change the simulation based on the results obtained during the training exercise to change the simulation while it is underway or to change future simulations for the user or various users.
- the eyepiece may provide user guidance and or interaction on a military transport plane when going into battle.
- the user may receive audio and visual information about the mission as the user boards the plane.
- Check lists may be presented to the user for ensuring he has the appropriate materials and equipment of the mission.
- instructions for securing equipment and proper use of safety harnesses may be presented along with information about the aircraft such as emergency exits, location of oxygen tanks, and safety devices.
- the user may be presented with instructions such as when to rest prior to the mission and have a drug administered for that purpose.
- the eyepiece may provide the user with noise cancellation for rest prior to mission, and then may alert the user when his rest is over and further mission preparation is to begin.
- Additional information may be provided such as a map of the battle area, number of vehicles and/or people on the field, weather conditions of the battle area and the like.
- the device may provide a link to other soldiers so that instructions and battle preparation may include soldier interaction where the commanding officer is heard by subordinates and the like.
- information for each user may be formatted to suit his particular needs. For example, a commanding officer may receive higher level or more confidential information that may not be necessary to provide a lower ranking officer.
- the user may use the eyepiece on a military transport plane in a reconnaissance or rescue mission where the eyepiece captures and stores various images and or video of places of interest as it flies over areas which may be used for gaining information about a potential ground battle area and the like.
- the eyepiece may be used to detect movement of people and vehicles on the ground and thereby detect enemy to be defeated or friendlies to be rescued or assisted.
- the eyepiece may provide the ability to apply tags to a map or images of areas flown over and searched giving a particular color coding for areas that have been searched or still need to be searched.
- a user on a military transport plane may be provided with instructions and or a checklist for equipment to be stocked, the quantity and location to be moved and special handling instructions for various equipment. Alerts may be provided to the user for approaching vehicles as items are unloaded or loaded in order to ensure security.
- the user may be provided with a preflight check for proper functioning of the aircraft.
- the pilot may be alerted if proper maintenance was not completed prior to mission.
- the aircraft operators may be provided with a graphic overview or a list of the aircraft history to track the history of the aircraft maintenance.
- the eyepiece may provide user guidance in an environment related to a military fighter plane.
- the eyepiece may be used in such an environment when training, going into battle, for maintenance and the like. Such use may be suited for personnel of various ranks and levels.
- a user may use the eyepiece for training for military fighter plane combat.
- the user may be presented with augmented reality situations that simulate combat situations in a particular military jet or plane.
- the user's responses and actions may be recorded and or analyzed to provide the user with additional information, critique and to alter training exercises based on past data.
- the user may be presented with information showing him friendly and non-friendly aircraft surrounding and/or approaching him.
- the user may be presented information regarding the enemy aircraft such as top speed, maneuvering ability and missile range.
- the user may receive information relating to the presence of ground threats and may be alerted about the same.
- the eyepiece may sync to the user's aircraft and or aircraft instruments and gauges such that the pilot may see emergency alerts and additional information regarding the aircraft that may not normally be displayed in the cockpit. Further, the eyepiece may display the number of seconds to targeted area, the time to fire a missile or eject from the aircraft based on incoming threats.
- the eyepiece may suggest maneuvers for the pilot to preform based on the surrounding environment, potential threats and the like. In embodiments, the eyepiece may detect and display friendly aircraft even when such aircraft is in stealth mode.
Landscapes
- Engineering & Computer Science (AREA)
- Theoretical Computer Science (AREA)
- Physics & Mathematics (AREA)
- General Engineering & Computer Science (AREA)
- General Physics & Mathematics (AREA)
- Human Computer Interaction (AREA)
- Remote Sensing (AREA)
- Radar, Positioning & Navigation (AREA)
- Optics & Photonics (AREA)
- Business, Economics & Management (AREA)
- Computer Hardware Design (AREA)
- Multimedia (AREA)
- Accounting & Taxation (AREA)
- Development Economics (AREA)
- Finance (AREA)
- Automation & Control Theory (AREA)
- Strategic Management (AREA)
- Health & Medical Sciences (AREA)
- General Health & Medical Sciences (AREA)
- Game Theory and Decision Science (AREA)
- Economics (AREA)
- Entrepreneurship & Innovation (AREA)
- Audiology, Speech & Language Pathology (AREA)
- Marketing (AREA)
- General Business, Economics & Management (AREA)
- Biophysics (AREA)
- Physiology (AREA)
- Life Sciences & Earth Sciences (AREA)
- Computer Graphics (AREA)
- Software Systems (AREA)
Abstract
Description
- This application claims priority to U.S. Provisional Patent Application 61/584,029, filed Jan. 6, 2012, which is incorporated herein by reference in its entirety.
- This application is a continuation-in-part of the following United States non-provisional patent applications, each of which is incorporated herein by reference in its entirety:
- U.S. Non-Provisional application Ser. No. 13/341,758, filed Dec. 30, 2011, which claims the benefit of the following provisional applications, each of which is hereby incorporated herein by reference in its entirety: U.S. Provisional Patent Application 61/557,289, filed Nov. 8, 2011.
- U.S. Non-Provisional application Ser. No. 13/232,930, filed Sep. 14, 2011, which claims the benefit of the following provisional applications, each of which is hereby incorporated herein by reference in its entirety: U.S. Provisional Application 61/382,578, filed Sep. 14, 2010; U.S. Provisional Application 61/472,491, filed Apr. 6, 2011; U.S. Provisional Application 61/483,400, filed May 6, 2011; U.S. Provisional Application 61/487,371, filed May 18, 2011; and U.S. Provisional Application 61/504,513, filed Jul. 5, 2011.
- U.S. patent application Ser. No. 13/037,324, filed Feb. 28, 2011 and U.S. patent application Ser. No. 13/037,335, filed Feb. 28, 2011, each of which claim the benefit of the following provisional applications, each of which is hereby incorporated herein by reference in its entirety: U.S. Provisional Patent Application 61/308,973, filed Feb. 28, 2010; U.S. Provisional Patent Application 61/373,791, filed Aug. 13, 2010; U.S. Provisional Patent Application 61/382,578, filed Sep. 14, 2010; U.S. Provisional Patent Application 61/410,983, filed Nov. 8, 2010; U.S. Provisional Patent Application 61/429,445, filed Jan. 3, 2011; and U.S. Provisional Patent Application 61/429,447, filed Jan. 3, 2011.
- The present disclosure relates to an augmented reality eyepiece, associated control technologies, and applications for use, and more specifically to software applications running on the eyepiece.
- In embodiments, the eyepiece may include an internal software application running on an integrated multimedia computing facility that has been adapted for 3D augmented reality (AR) content display and interaction with the eyepiece. 3D AR software applications may be developed in conjunction with mobile applications and provided through application store(s), or as stand-alone applications specifically targeting the eyepiece as the end-use platform and through a dedicated 3D AR eyepiece store. Internal software applications may interface with inputs and output facilities provided by the eyepiece through facilities internal and external to the eyepiece, such as initiated from the surrounding environment, sensing devices, user action capture devices, internal processing facilities, internal multimedia processing facilities, other internal applications, camera, sensors, microphone, through a transceiver, through a tactile interface, from external computing facilities, external applications, event and/or data feeds, external devices, third parties, and the like. Command and control modes operating in conjunction with the eyepiece may be initiated by sensing inputs through input devices, user action, external device interaction, reception of events and/or data feeds, internal application execution, external application execution, and the like. In embodiments, there may be a series of steps included in the execution control as provided through the internal software application, including at least combinations of two of the following: events and/or data feeds, sensing inputs and/or sensing devices, user action capture inputs and/or outputs, user movements and/or actions for controlling and/or initiating commands, command and/or control modes and interfaces in which the inputs may be reflected, applications on the platform that may use commands to respond to inputs, communications and/or connection from the on-platform interface to external systems and/or devices, external devices, external applications, feedback to the user (such as related to external devices, external applications), and the like.
- These and other systems, methods, objects, features, and advantages of the present disclosure will be apparent to those skilled in the art from the following detailed description of the embodiments and the drawings.
- All documents mentioned herein are hereby incorporated in their entirety by reference. References to items in the singular should be understood to include items in the plural, and vice versa, unless explicitly stated otherwise or clear from the text. Grammatical conjunctions are intended to express any and all disjunctive and conjunctive combinations of conjoined clauses, sentences, words, and the like, unless otherwise stated or clear from the context.
- The present disclosure and the following detailed description of certain embodiments thereof may be understood by reference to the following figures:
-
FIG. 1 depicts an illustrative embodiment of the optical arrangement. -
FIG. 2 depicts an RGB LED projector. -
FIG. 3 depicts the projector in use. -
FIG. 4 depicts an embodiment of the waveguide and correction lens disposed in a frame. -
FIG. 5 depicts a design for a waveguide eyepiece. -
FIG. 6 depicts an embodiment of the eyepiece with a see-through lens. -
FIG. 7 depicts an embodiment of the eyepiece with a see-through lens. -
FIG. 8A-C depicts embodiments of the eyepiece arranged in a flip-up/flip-down configuration. -
FIG. 8D-E depicts embodiments of snap-fit elements of a secondary optic. -
FIG. 8F depicts embodiments of flip-up/flip-down electro-optics modules. -
FIG. 9 depicts an electrochromic layer of the eyepiece. -
FIG. 10 depicts the advantages of the eyepiece in real-time image enhancement, keystone correction, and virtual perspective correction. -
FIG. 11 depicts a plot of responsivity versus wavelength for three substrates. -
FIG. 12 illustrates the performance of the black silicon sensor. -
FIG. 13A depicts an incumbent night vision system,FIG. 13B depicts the night vision system of the present disclosure, andFIG. 13C illustrates the difference in responsivity between the two. -
FIG. 14 depicts a tactile interface of the eyepiece. -
FIG. 14A depicts motions in an embodiment of the eyepiece featuring nod control. -
FIG. 15 depicts a ring that controls the eyepiece. - FIG. 15AA depicts a ring that controls the eyepiece with an integrated camera, where in an embodiment may allow the user to provide a video image of themselves as part of a videoconference.
-
FIG. 15A depicts hand mounted sensors in an embodiment of a virtual mouse. -
FIG. 15B depicts a facial actuation sensor as mounted on the eyepiece. -
FIG. 15C depicts a hand pointing control of the eyepiece. -
FIG. 15D depicts a hand pointing control of the eyepiece. -
FIG. 15E depicts an example of eye tracking control. -
FIG. 15F depicts a hand positioning control of the eyepiece. -
FIG. 16 depicts a location-based application mode of the eyepiece. -
FIG. 17 shows the difference in image quality between A) a flexible platform of uncooled CMOS image sensors capable of VIS/NIR/SWIR imaging and B) an image intensified night vision system -
FIG. 18 depicts an augmented reality-enabled custom billboard. -
FIG. 19 depicts an augmented reality-enabled custom advertisement. -
FIG. 20 an augmented reality-enabled custom artwork. -
FIG. 20A depicts a method for posting messages to be transmitted when a viewer reaches a certain location. -
FIG. 21 depicts an alternative arrangement of the eyepiece optics and electronics. -
FIG. 22 depicts an alternative arrangement of the eyepiece optics and electronics. -
FIG. 22A depicts the eyepiece with an example of eyeglow. -
FIG. 22B depicts a cross-section of the eyepiece with a light control element for reducing eyeglow. -
FIG. 23 depicts an alternative arrangement of the eyepiece optics and electronics. -
FIG. 24 depicts a lock position of a virtual keyboard. -
FIG. 24A depicts an embodiment of a virtually projected image on a part of the human body. -
FIG. 25 depicts a detailed view of the projector. -
FIG. 26 depicts a detailed view of the RGB LED module. -
FIG. 27 depicts a gaming network. -
FIG. 28 depicts a method for gaming using augmented reality glasses. -
FIG. 29 depicts an exemplary electronic circuit diagram for an augmented reality eyepiece. -
FIG. 29A depicts a control circuit for eye-tracking control of an external device. -
FIG. 29B depicts a communication network among users of augmented reality eyepieces. -
FIG. 30 depicts partial image removal by the eyepiece. -
FIG. 31 depicts a flowchart for a method of identifying a person based on speech of the person as captured by microphones of the augmented reality device. -
FIG. 32 depicts a typical camera for use in video calling or conferencing. -
FIG. 33 illustrates an embodiment of a block diagram of a video calling camera. -
FIG. 34 depicts embodiments of the eyepiece for optical or digital stabilization. -
FIG. 35 depicts an embodiment of a classic cassegrain configuration. -
FIG. 36 depicts the configuration of the micro-cassegrain telescoping folded optic camera. -
FIG. 37 depicts a swipe process with a virtual keyboard. -
FIG. 38 depicts a target marker process for a virtual keyboard. -
FIG. 38A depicts an embodiment of a visual word translator. -
FIG. 39 illustrates glasses for biometric data capture according to an embodiment. -
FIG. 40 illustrates iris recognition using the biometric data capture glasses according to an embodiment. -
FIG. 41 depicts face and iris recognition according to an embodiment. -
FIG. 42 illustrates use of dual omni-microphones according to an embodiment. -
FIG. 43 depicts the directionality improvements with multiple microphones. -
FIG. 44 shows the use of adaptive arrays to steer the audio capture facility according to an embodiment. -
FIG. 45 shows the mosaic finger and palm enrollment system according to an embodiment. -
FIG. 46 illustrates the traditional optical approach used by other finger and palm print systems. -
FIG. 47 shows the approach used by the mosaic sensor according to an embodiment. -
FIG. 48 depicts the device layout of the mosaic sensor according to an embodiment. -
FIG. 49 illustrates the camera field of view and number of cameras used in a mosaic sensor according to another embodiment. -
FIG. 50 shows the bio-phone and tactical computer according to an embodiment. -
FIG. 51 shows the use of the bio-phone and tactical computer in capturing latent fingerprints and palm prints according to an embodiment. -
FIG. 52 illustrates a typical DOMEX collection. -
FIG. 53 shows the relationship between the biometric images captured using the bio-phone and tactical computer and a biometric watch list according to an embodiment. -
FIG. 54 illustrates a pocket bio-kit according to an embodiment. -
FIG. 55 shows the components of the pocket bio-kit according to an embodiment. -
FIG. 56 depicts the fingerprint, palm print, geo-location and POI enrollment device according to an embodiment. -
FIG. 57 shows a system for multi-modal biometric collection, identification, geo-location, and POI enrollment according to an embodiment. -
FIG. 58 illustrates a fingerprint, palm print, geo-location, and POI enrollment forearm wearable device according to an embodiment. -
FIG. 59 shows a mobile folding biometric enrollment kit according to an embodiment. -
FIG. 60 is a high level system diagram of a biometric enrollment kit according to an embodiment. -
FIG. 61 is a system diagram of a folding biometric enrollment device according to an embodiment. -
FIG. 62 shows a thin-film finger and palm print sensor according to an embodiment. -
FIG. 63 shows a biometric collection device for finger, palm, and enrollment data collection according to an embodiment. -
FIG. 64 illustrates capture of a two stage palm print according to an embodiment. -
FIG. 65 illustrates capture of a fingertip tap according to an embodiment. -
FIG. 66 illustrates capture of a slap and roll print according to an embodiment. -
FIG. 67 depicts a system for taking contactless fingerprints, palmprints or other biometric prints. -
FIG. 68 depicts a process for taking contactless fingerprints, palmprints or other biometric prints. -
FIG. 69 depicts an embodiment of a watch controller. -
FIG. 70A-D depicts embodiment cases for the eyepiece, including capabilities for charging and integrated display. -
FIG. 71 depicts an embodiment of a ground stake data system. -
FIG. 72 depicts a block diagram of a control mapping system including the eyepiece. -
FIG. 73 depicts a biometric flashlight. -
FIG. 74 depicts a helmet-mounted version of the eyepiece. -
FIG. 75 depicts an embodiment of situational awareness glasses. -
FIG. 76A depicts an assembled 360° imager andFIG. 76B depicts a cutaway view of the 360° imager. -
FIG. 77 depicts an exploded view of the multi-coincident view camera. -
FIG. 78 depicts a flight eye. -
FIG. 79 depicts an exploded top view of the eyepiece. -
FIG. 80 depicts an exploded electro-optic assembly. -
FIG. 81 depicts an exploded view of the shaft of the electro-optic assembly. -
FIG. 82 depicts an embodiment of an optical display system utilizing a planar illumination facility with a reflective display. -
FIG. 83 depicts a structural embodiment of a planar illumination optical system. -
FIG. 84 depicts an embodiment assembly of a planar illumination facility and a reflective display with laser speckle suppression components. -
FIG. 85 depicts an embodiment of a planar illumination facility with grooved features for redirecting light. -
FIG. 86 depicts an embodiment of a planar illumination facility with grooved features and ‘anti-grooved’ features paired to reduce image aberrations. -
FIG. 87 depicts an embodiment of a planar illumination facility fabricated from a laminate structure. -
FIG. 88 depicts an embodiment of a planar illumination facility with a wedged optic assembly for redirecting light. -
FIG. 89 depicts a block diagram of an illumination module, according to an embodiment of the invention. -
FIG. 90 depicts a block diagram of an optical frequency converter, according to an embodiment of the invention. -
FIG. 91 depicts a block diagram of a laser illumination module, according to an embodiment of the invention. -
FIG. 92 depicts a block diagram of a laser illumination system, according to another embodiment of the invention. -
FIG. 93 depicts a block diagram of an imaging system, according to an embodiment of the invention. -
FIGS. 94A & B depict a lens with a photochromic element and a heater element in a top down and side view, respectively. -
FIG. 95 depicts an embodiment of an LCoS front light design. -
FIG. 96 depicts optically bonded prisms with a polarizer. -
FIG. 97 depicts optically bonded prisms with a polarizer. -
FIG. 98 depicts multiple embodiments of an LCoS front light design. -
FIG. 99 depicts a wedge plus OBS overlaid on an LCoS. -
FIG. 100 depicts two versions of a wedge. -
FIG. 101 depicts a curved PBS film over the LCoS chip. -
FIG. 102 depicts an embodiment of an optical assembly. -
FIG. 103 depicts an embodiment of an image source. -
FIG. 104 depicts an embodiment of an image source. -
FIG. 105 depicts embodiments of image sources. -
FIG. 106 depicts a top-level block diagram showing software application facilities and markets in conjunction with functional and control aspects of the eyepiece in an embodiment of the present invention. -
FIG. 107 depicts a functional block diagram of the eyepiece application development environment in an embodiment of the present invention. -
FIG. 108 depicts a platform elements development stack in relation to software applications for the eyepiece in an embodiment of the present invention. -
FIG. 109 is an illustration of a head mounted display with see-through capability according to an embodiment of the present invention. -
FIG. 110 is an illustration of a view of an unlabeled scene as viewed through the head mounted display depicted inFIG. 109 . -
FIG. 111 is an illustration of a view of the scene ofFIG. 110 with 2D overlaid labels. -
FIG. 112 is an illustration of 3D labels ofFIG. 111 as displayed to the viewer's left eye. -
FIG. 113 is an illustration of 3D labels ofFIG. 111 as displayed to the viewer's right eye. -
FIG. 114 is an illustration of the left and right 3D labels ofFIG. 111 overlaid on one another to show the disparity. -
FIG. 115 is an illustration of the view of a scene ofFIG. 110 with the 3D labels. -
FIG. 116 is an illustration of stereo images captured of the scene ofFIG. 110 . -
FIG. 117 is an illustration of the overlaid left and right stereo images ofFIG. 116 showing the disparity between the images. -
FIG. 118 is an illustration of the scene ofFIG. 110 showing the overlaid 3D labels. -
FIG. 119 is a flowchart for a depth cue method embodiment of the present invention for providing 3D labels. -
FIG. 120 is a flowchart for another depth cue method embodiment of the present invention for providing 3D labels. -
FIG. 121 is a flowchart for yet another depth cue method embodiment of the present invention for providing 3D labels. -
FIG. 122 is a flowchart for a still another depth cue method embodiment of the present invention for providing 3D labels. - The present disclosure relates to eyepiece electro-optics. The eyepiece may include projection optics suitable to project an image onto a see-through or translucent lens, enabling the wearer of the eyepiece to view the surrounding environment as well as the displayed image. The projection optics, also known as a projector, may include an RGB LED module that uses field sequential color. With field sequential color, a single full color image may be broken down into color fields based on the primary colors of red, green, and blue and imaged by an LCoS (liquid crystal on silicon)
optical display 210 individually. As each color field is imaged by theoptical display 210, the corresponding LED color is turned on. When these color fields are displayed in rapid sequence, a full color image may be seen. With field sequential color illumination, the resulting projected image in the eyepiece can be adjusted for any chromatic aberrations by shifting the red image relative to the blue and/or green image and so on. The image may thereafter be reflected into a two surface freeform waveguide where the image light engages in total internal reflections (TIR) until reaching the active viewing area of the lens where the user sees the image. A processor, which may include a memory and an operating system, may control the LED light source and the optical display. The projector may also include or be optically coupled to a display coupling lens, a condenser lens, a polarizing beam splitter, and a field lens. - Referring to
FIG. 1 , an illustrative embodiment of theaugmented reality eyepiece 100 may be depicted. It will be understood that embodiments of theeyepiece 100 may not include all of the elements depicted inFIG. 1 while other embodiments may include additional or different elements. In embodiments, the optical elements may be embedded in thearm portions 122 of theframe 102 of the eyepiece. Images may be projected with aprojector 108 onto at least onelens 104 disposed in an opening of theframe 102. One ormore projectors 108, such as a nanoprojector, picoprojector, microprojector, femtoprojector, LASER-based projector, holographic projector, and the like may be disposed in an arm portion of theeyepiece frame 102. In embodiments, bothlenses 104 are see-through or translucent while in other embodiments only onelens 104 is translucent while the other is opaque or missing. In embodiments, more than oneprojector 108 may be included in theeyepiece 100. - In embodiments such as the one depicted in
FIG. 1 , theeyepiece 100 may also include at least one articulatingear bud 120, aradio transceiver 118 and aheat sink 114 to absorb heat from the LED light engine, to keep it cool and to allow it to operate at full brightness. There are also one or more TI OMAP4 (open multimedia applications processors) 112, and a flex cable withRF antenna 110, all of which will be further described herein. - In an embodiment and referring to
FIG. 2 , theprojector 200 may be an RGB projector. Theprojector 200 may include ahousing 202, aheatsink 204 and an RGB LED engine ormodule 206. TheRGB LED engine 206 may include LEDs, dichroics, concentrators, and the like. A digital signal processor (DSP) (not shown) may convert the images or video stream into control signals, such as voltage drops/current modifications, pulse width modulation (PWM) signals, and the like to control the intensity, duration, and mixing of the LED light. For example, the DSP may control the duty cycle of each PWM signal to control the average current flowing through each LED generating a plurality of colors. A still image co-processor of the eyepiece may employ noise-filtering, image/video stabilization, and face detection, and be able to make image enhancements. An audio back-end processor of the eyepiece may employ buffering, SRC, equalization and the like. - The
projector 200 may include anoptical display 210, such as an LCoS display, and a number of components as shown. In embodiments, theprojector 200 may be designed with a singlepanel LCoS display 210; however, a three panel display may be possible as well. In the single panel embodiment, thedisplay 210 is illuminated with red, blue, and green sequentially (aka field sequential color). In other embodiments, theprojector 200 may make use of alternative optical display technologies, such as a back-lit liquid crystal display (LCD), a front-lit LCD, a transflective LCD, an organic light emitting diode (OLED), a field emission display (FED), a ferroelectric LCoS (FLCoS), liquid crystal technologies mounted on Sapphire, transparent liquid-crystal micro-displays, quantum-dot displays, and the like. - The eyepiece may be powered by any power supply, such as battery power, solar power, line power, and the like. The power may be integrated in the
frame 102 or disposed external to theeyepiece 100 and in electrical communication with the powered elements of theeyepiece 100. For example, a solar energy collector may be placed on theframe 102, on a belt clip, and the like. Battery charging may occur using a wall charger, car charger, on a belt clip, in an eyepiece case, and the like. - The
projector 200 may include theLED light engine 206, which may be mounted onheat sink 204 andholder 208, for ensuring vibration-free mounting for the LED light engine, hollow taperedlight tunnel 220, diffuser 212 andcondenser lens 214.Hollow tunnel 220 helps to homogenize the rapidly-varying light from the RGB LED light engine. In one embodiment,hollow light tunnel 220 includes a silvered coating. The diffuser lens 212 further homogenizes and mixes the light before the light is led to thecondenser lens 214. The light leaves thecondenser lens 214 and then enters the polarizing beam splitter (PBS) 218. In the PBS, the LED light is propagated and split into polarization components before it is refracted to afield lens 216 and theLCoS display 210. The LCoS display provides the image for the microprojector. The image is then reflected from the LCoS display and back through the polarizing beam splitter, and then reflected ninety degrees. Thus, the image leavesmicroprojector 200 in about the middle of the microprojector. The light then is led to thecoupling lens 504, described below. -
FIG. 2 depicts an embodiment of the projector assembly along with other supporting figures as described herein, but one skilled in the art will appreciate that other configurations and optical technologies may be employed. For instance, transparent structures, such as with substrates of Sapphire, may be utilized to implement the optical path of the projector system rather than with reflective optics, thus potentially altering and/or eliminating optical components, such as the beam splitter, redirecting mirror, and the like. The system may have a backlit system, where the LED RGB triplet may be the light source directed to pass light through the display. As a result the back light and the display may be mounted either adjacent to the wave guide, or there may be collumnizing/directing optics after the display to get the light to properly enter the optic. If there are no directing optics, the display may be mounted on the top, the side, and the like, of the waveguide. In an example, a small transparent display may be implemented with a silicon active backplane on a transparent substrate (e.g. sapphire), transparent electrodes controlled by the silicon active backplane, a liquid crystal material, a polarizer, and the like. The function of the polarizer may be to correct for depolarization of light passing through the system to improve the contrast of the display. In another example, the system may utilize a spatial light modulator that imposes some form of spatially-varying modulation on the light path, such as a micro-channel spatial light modulator where a membrane-mirror light shutters based on micro-electromechanical systems (MEMS). The system may also utilize other optical components, such as a tunable optical filter (e.g. with a deformable membrane actuator), a high angular deflection micro-mirror system, a discrete phase optical element, and the like. - In other embodiments the eyepiece may utilize OLED displays, quantum-dot displays, and the like, that provide higher power efficiency, brighter displays, less costly components, and the like. In addition, display technologies such as OLED and quantum-dot displays may allow for flexible displays, and so allowing greater packaging efficiency that may reduce the overall size of the eyepiece. For example, OLED and quantum-dot display materials may be printed through stamping techniques onto plastic substrates, thus creating a flexible display component. For example, the OLED (organic LED) display may be a flexible, low-power display that does not require backlighting. It can be curved, as in standard eyeglass lenses. In one embodiment, the OLED display may be or provide for a transparent display.
- Referring to
FIG. 82 , the eyepiece may utilize aplanar illumination facility 8208 in association with areflective display 8210, where light source(s) 8202 are coupled 8204 with an edge of theplanar illumination facility 8208, and where the planar side of theplanar illumination facility 8208 illuminates thereflective display 8210 that provides imaging of content to be presented to theeye 8222 of the wearer throughtransfer optics 8212. In embodiments, thereflective display 8210 may be an LCD, an LCD on silicon (LCoS), cholesteric liquid crystal, guest-host liquid crystal, polymer dispersed liquid crystal, phase retardation liquid crystal, and the like, or other liquid crystal technology know in the art. In other embodiments, thereflective display 8210 may be a bi-stable display, such as electrophoretic, electrofluidic, electrowetting, electrokinetic, cholesteric liquid crystal, and the like, or any other bi-stable display known to the art. Thereflective display 8210 may also be a combination of an LCD technology and a bi-stable display technology. In embodiments, thecoupling 8204 between alight source 8202 and the ‘edge’ of theplanar illumination facility 8208 may be made through other surfaces of theplanar illumination facility 8208 and then directed into the plane of theplanar illumination facility 8208, such as initially through the top surface, bottom surface, an angled surface, and the like. For example, light may enter the planar illumination facility from the top surface, but into a 45° facet such that the light is bent into the direction of the plane. In an alternate embodiment, this bending of direction of the light may be implemented with optical coatings. - In an example, the
light source 8202 may be an RGB LED source (e.g. an LED array) coupled 8204 directly to the edge of the planar illumination facility. The light entering the edge of the planar illumination facility may then be directed to the reflective display for imaging, such as described herein. Light may enter the reflective display to be imaged, and then redirected back through the planar illumination facility, such as with a reflecting surface at the backside of the reflective display. Light may then enter thetransfer optics 8212 for directing the image to theeye 8222 of the wearer, such as through alens 8214, reflected by abeam splitter 8218 to areflective surface 8220, back through thebeam splitter 8218, and the like, to theeye 8222. Although thetransfer optics 8212 have been described in terms of the 8214, 8218, and 8220, it will be appreciated by one skilled in the art that thetransfer optics 8212 may include any transfer optics configuration known, including more complex or simpler configurations than describe herein. For instance, with a different focal length in thefield lens 8214, thebeam splitter 8218 could bend the image directly towards the eye, thus eliminating thecurved mirror 8220, and achieving a simpler design implementation. In embodiments, thelight source 8202 may be an LED light source, a laser light source, a white light source, and the like, or any other light source known in the art. Thelight coupling mechanism 8204 may be direct coupling between thelight source 8202 and theplanar illumination facility 8208, or through coupling medium or mechanism, such as a waveguide, fiber optic, light pipe, lens, and the like. Theplanar illumination facility 8208 may receive and redirect the light to a planar side of its structure through an interference grating, optical imperfections, scattering features, reflective surfaces, refractive elements, and the like. Theplanar illumination facility 8208 may be a cover glass over thereflective display 8210, such as to reduce the combined thickness of thereflective display 8210 and theplanar illumination facility 8208. Theplanar illumination facility 8208 may further include a diffuser located on the side nearest thetransfer optics 8212, to expand the cone angle of the image light as it passes through theplanar illumination facility 8208 to thetransfer optics 8212. Thetransfer optics 8212 may include a plurality of optical elements, such as lenses, mirrors, beam splitters, and the like, or any other optical transfer element known to the art. -
FIG. 83 presents an embodiment of anoptical system 8302 for theeyepiece 8300, where aplanar illumination facility 8310 andreflective display 8308 mounted onsubstrate 8304 are shown interfacing throughtransfer optics 8212 including an initialdiverging lens 8312, abeam splitter 8314, and aspherical mirror 8318, which present the image to theeyebox 8320 where the wearer's eye receives the image. In an example, theflat beam splitter 8314 may be a wire-grid polarizer, a metal partially transmitting mirror coating, and the like, and thespherical reflector 8318 may be a series of dielectric coatings to give a partial mirror on the surface. In another embodiment, the coating on thespherical mirror 8318 may be a thin metal coating to provide a partially transmitting mirror. - In an embodiment of an optics system,
FIG. 84 shows aplanar illumination facility 8408 as part of a ferroelectric light-wave circuit (FLC) 8404, including a configuration that utilizeslaser light sources 8402 coupling to theplanar illumination facility 8408 through awaveguide wavelength converter 8420 8422, where theplanar illumination facility 8408 utilizes a grating technology to present the incoming light from the edge of the planar illumination facility to the planar surface facing thereflective display 8410. The image light from thereflective display 8410 is then redirected back though theplanar illumination facility 8408 though ahole 8412 in the supportingstructure 8414 to the transfer optics. Because this embodiment utilizes laser light, the FLC also utilizes optical feedback to reduce speckle from the lasers, by broadening the laser spectrum as described in U.S. Pat. No. 7,265,896. In this embodiment, thelaser source 8402 is an IR laser source, where the FLC combines the beams to RGB, with back reflection that causes the laser light to hop and produce a broadened bandwidth to provide the speckle suppression. In this embodiment, the speckle suppression occurs in the wave-guides 8420. The laser light fromlaser sources 8402 is coupled to theplanar illumination facility 8408 through a multi-mode interference combiner (MMI) 8422. Each laser source port is positioned such that the light traversing the MMI combiner superimposes on one output port to theplanar illumination facility 8408. The grating of theplanar illumination facility 8408 produces uniform illumination for the reflective display. In embodiments, the grating elements may use a very fine pitch (e.g. interferometric) to produce the illumination to the reflective display, which is reflected back with very low scatter off the grating as the light passes through the planar illumination facility to the transfer optics. That is, light comes out aligned such that the grating is nearly fully transparent. Note that the optical feedback utilized in this embodiment is due to the use of laser light sources, and when LEDs are utilized, speckle suppression may not be required because the LEDs are already broadband enough. - In an embodiment of an optics system utilizing a
planar illumination facility 8502 that includes a configuration with optical imperfections, in this case a ‘grooved’ configuration, is shown inFIG. 85 . In this embodiment, the light source(s) 8202 are coupled 8204 directly to the edge of theplanar illumination facility 8502. Light then travels through theplanar illumination facility 8502 and encounterssmall grooves 8504A-D in the planar illumination facility material, such as grooves in a piece of Poly-methyl methacrylate (PMMA). In embodiments, thegrooves 8504A-D may vary in spacing as they progress away from the input port (e.g. less ‘aggressive’ as they progress from 8504A to 8504D), vary in heights, vary in pitch, and the like. The light is then redirected by thegrooves 8504A-D to thereflective display 8210 as an incoherent array of light sources, producing fans of rays traveling to thereflective display 8210, where thereflective display 8210 is far enough away from thegrooves 8504A-D to produce illumination patterns from each groove that overlap to provide uniform illumination of the area of thereflective display 8210. In other embodiments, there may be an optimum spacing for the grooves, where the number of grooves per pixel on thereflective display 8210 may be increased to make the light more incoherent (more fill), but where in turn this produces lower contrast in the image provided to the wearer with more grooves to interfere within the provided image. While this embodiment has been discussed with respect to grooves, other optical imperfections, such as dots, are also possible. - In embodiments, and referring to
FIG. 86 , counter ridges 8604 (or ‘anti-grooves’) may be applied into the grooves of the planar illumination facility, such as in a ‘snap-on’ridge assembly 8602. Wherein thecounter ridges 8604 are positioned in thegrooves 8504A-D such that there is an air gap between the groove sidewalls and the counter ridge sidewalls. This air gap provides a defined change in refractive index as perceived by the light as it travels through the planar illumination facility that promotes a reflection of the light at the groove sidewall. The application ofcounter ridges 8604 reduces aberrations and deflections of the image light caused by the grooves. That is, image light reflected fromreflective display 8210 is refracted by the groove sidewall and as such it changes direction because of Snell's law. By providing counter ridges in the grooves, where the sidewall angle of the groove matches the sidewall angle of the counter ridge, the refraction of the image light is compensated for and the image light is redirected toward thetransfer optics 8214. - In embodiments, and referring to
FIG. 87 , theplanar illumination facility 8702 may be a laminate structure created out of a plurality oflaminating layers 8704 wherein thelaminating layers 8704 have alternating different refractive indices. For instance, theplanar illumination facility 8702 may be cut across twodiagonal planes 8708 of the laminated sheet. In this way, the grooved structure shown inFIGS. 85 and 86 is replaced with thelaminate structure 8702. For example, the laminating sheet may be made of similar materials (PMMA 1 versusPMMA 2—where the difference is in the molecular weight of the PMMA). As long as the layers are fairly thick, there may be no interference effects, and act as a clear sheet of plastic. In the configuration shown, the diagonal laminations will redirect a small percentage oflight source 8202 to the reflective display, where the pitch of the lamination is selected to minimize aberration. - In an embodiment of an optics system,
FIG. 88 shows aplanar illumination facility 8802 utilizing a ‘wedge’ configuration. In this embodiment, the light source(s) are coupled 8204 directly to the edge of theplanar illumination facility 8802. Light then travels through theplanar illumination facility 8802 and encounters the slanted surface of thefirst wedge 8804, where the light is redirected to thereflective display 8210, and then back to theillumination facility 8802 and through both thefirst wedge 8804 and thesecond wedge 8812 and on to the transfer optics. In addition,multi-layer coatings 8808 8810 may be applied to the wedges to improve transfer properties. In an example, the wedge may be made from PMMA, with dimensions of ½ mm high-10 mm width, and spanning the entire reflective display, have 1 to 1.5 degrees angle, and the like. In embodiments, the light may go through multiple reflections within thewedge 8804 before passing through thewedge 8804 to illuminate thereflective display 8210. If thewedge 8804 is coated with a highly reflecting 8808 and 8810, the ray may make many reflections insidecoating wedge 8804 before turning around and coming back out to thelight source 8202 again. However, by employing 8808 and 8810 on themulti-layer coatings wedge 8804, such as with SiO2, Niobium Pentoxide, and the like, light may be directed to illuminate thereflective display 8210. The 8808 and 8810 may be designed to reflect light at a specified wavelength over a wide range of angles, but transmit light within a certain range of angles (e.g. theta out angles). In embodiments, the design may allow the light to reflect within the wedge until it reaches a transmission window for presentation to thecoatings reflective display 8210, where the coating is then configured to enable transmission. The angle of the wedge directs light from an LED lighting system to uniformly irradiate a reflective image display to produce an image that is reflected through the illumination system. By providing light from thelight source 8202 such that a wide cone angle of light enters thewedge 8804, different rays of light will reach transmission windows at different locations along the length of thewedge 8804 so that uniform illumination of the surface of thereflective display 8210 is provided and as a result, the image provided to the wearer's eye has uniform brightness as determined by the image content in the image. - In embodiments, the see-through optics system including a
planar illumination facility 8208 andreflective display 8210 as described herein may be applied to any head-worn device known to the art, such as including the eyepiece as described herein, but also to helmets (e.g. military helmets, pilot helmets, bike helmets, motorcycle helmets, deep sea helmets, space helmets, and the like) ski goggles, eyewear, water diving masks, dusk masks, respirators, Hazuiat head gear, virtual reality headgear, simulation devices, and the like. In addition, the optics system and protective covering associated with the head-worn device may incorporate the optics system in a plurality of ways, including inserting the optics system into the head-worn device in addition to optics and covering traditionally associated with the head-worn device. For instance, the optics system may be included in a ski goggle as a separate unit, providing the user with projected content, but where the optics system doesn't replace any component of the ski goggle, such as the see-through covering of the ski goggle (e.g. the clear or colored plastic covering that is exposed to the outside environment, keeping the wind and snow from the user's eyes). Alternatively, the optics system may replace, at least in part, certain optics traditionally associated with the head-worn gear. For instance, certain optical elements of thetransfer optics 8212 may replace the outer lens of an eyewear application. In an example, a beam splitter, lens, or mirror of thetransfer optics 8212 could replace the front lens for an eyewear application (e.g. sunglasses), thus eliminating the need for the front lens of the glasses, such as if thecurved reflection mirror 8220 is extended to cover the glasses, eliminating the need for the cover lens. In embodiments, the see-through optics system including aplanar illumination facility 8208 andreflective display 8210 may be located in the head-worn gear so as to be unobtrusive to the function and aesthetic of the head-worn gear. For example, in the case of eyewear, or more specifically the eyepiece, the optics system may be located in proximity with an upper portion of the lens, such as in the upper portion of the frame. - A planar illumination facility, also know as an illumination module, may provide light in a plurality of colors including Red-Green-Blue (RGB) light and/or white light. The light from the illumination module may be directed to a 3LCD system, a Digital Light Processing (DLP®) system, a Liquid Crystal on Silicon (LCoS) system, or other micro-display or micro-projection systems. The illumination module may use wavelength combining and nonlinear frequency conversion with nonlinear feedback to the source to provide a source of high-brightness, long-life, speckle-reduced or speckle-free light. Various embodiments of the invention may provide light in a plurality of colors including Red-Green-Blue (RGB) light and/or white light. The light from the illumination module may be directed to a 3LCD system, a Digital Light Processing (DLP) system, a Liquid Crystal on Silicon (LCoS) system, or other micro-display or micro-projection systems. The illumination modules described herein may be used in the optical assembly for the
eyepiece 100. - One embodiment of the invention includes a system comprising a laser, LED or other light source configured to produce an optical beam at a first wavelength, a planar lightwave circuit coupled to the laser and configured to guide the optical beam, and a waveguide optical frequency converter coupled to the planar lightwave circuit, and configured to receive the optical beam at the first wavelength, convert the optical beam at the first wavelength into an output optical beam at a second wavelength. The system may provide optically coupled feedback which is nonlinearly dependent on the power of the optical beam at the first wavelength to the laser.
- Another embodiment of the invention includes a system comprising a substrate, a light source, such as a laser diode array or one or more LEDs disposed on the substrate and configured to emit a plurality of optical beams at a first wavelength, a planar lightwave circuit disposed on the substrate and coupled to the light source, and configured to combine the plurality of optical beams and produce a combined optical beam at the first wavelength, and a nonlinear optical element disposed on the substrate and coupled to the planar lightwave circuit, and configured to convert the combined optical beam at the first wavelength into an optical beam at a second wavelength using nonlinear frequency conversion. The system may provide optically coupled feedback which is nonlinearly dependent on a power of the combined optical beam at the first wavelength to the laser diode array.
- Another embodiment of the invention includes a system comprising a light source, such as a semiconductor laser array or one or more LEDs configured to produce a plurality of optical beams at a first wavelength, an arrayed waveguide grating coupled to the light source and configured to combine the plurality of optical beams and output a combined optical beam at the first wavelength, a quasi-phase matching wavelength-converting waveguide coupled to the arrayed waveguide grating and configured to use second harmonic generation to produce an output optical beam at a second wavelength based on the combined optical beam at the first wavelength.
- Power may be obtained from within a wavelength conversion device and fed back to the source. The feedback power has a nonlinear dependence on the input power provided by the source to the wavelength conversion device. Nonlinear feedback may reduce the sensitivity of the output power from the wavelength conversion device to variations in the nonlinear coefficients of the device because the feedback power increases if a nonlinear coefficient decreases. The increased feedback tends to increase the power supplied to the wavelength conversion device, thus mitigating the effect of the reduced nonlinear coefficient.
- Referring to
FIGS. 109A and 109B , a processor 10902 (e.g. a digital signal processor) may provide display sequential frames 10924 for image display through a display component 10928 (e.g. an LCoS display component) of theeyepiece 100. In embodiments, the sequential frames 10924 may be produced with or without a display driver 10912 as an intermediate component between the processor 10902 and the display component 10928. For example, and referring toFIG. 109A , the processor 10902 may include a frame buffer 10904 and a display interface 10908 (e.g. a mobile industry processor interface (MIPI), with a display serial interface (DSI)). The display interface 10908 may provide per-pixel RGB data 10910 to the display driver 10912 as an intermediate component between the processor 10902 and the display component 10928, where the display driver 10912 accepts the per-pixel RGB data 10910 and generates individual full frame display data for red 10918, green 10920, and blue 10922, thus providing the display sequential frames 10924 to the display component 10928. In addition, the display driver 10912 may provide timing signals, such as to synchronize the delivery of the full frames 10918 10920 10922 as display sequential frames 10924 to the display component 10928. In another example, and referring toFIG. 109B , the display interface 10930 may be configured to eliminate the display driver 10912 by providing full frame display data for red 10934, green 10938, and blue 10940 directly to the display component 10928 as display sequential frames 10924. In addition, timing signals 10932 may be provided directly from the display interface 10930 to the display components. This configuration may provide significantly lower power consumption by removing the need for a display driver. Not only may this direct panel information remove the need for a driver, but also may simplify the overall logic of the configuration, and remove redundant memory required to reform panel information from pixels, to generate pixel information from frame, and the like. -
FIG. 89 is a block diagram of an illumination module, according to an embodiment of the invention.Illumination module 8900 comprises an optical source, a combiner, and an optical frequency converter, according to an embodiment of the invention. An 8902, 8904 emitsoptical source 8910, 8914 toward anoptical radiation input port 8922, 8924 of acombiner 8906.Combiner 8906 has acombiner output port 8926, which emits combinedradiation 8918. Combinedradiation 8918 is received by anoptical frequency converter 8908, which provides outputoptical radiation 8928.Optical frequency converter 8908 may also providefeedback radiation 8920 tocombiner output port 8926.Combiner 8906 splitsfeedback radiation 8920 to providesource feedback radiation 8912 emitted from input port 8922 andsource feedback radiation 8916 emitted frominput port 8924.Source feedback radiation 8912 is received byoptical source 8902, andsource feedback radiation 8916 is received byoptical source 8904.Optical radiation 8910 andsource feedback radiation 8912 betweenoptical source 8902 andcombiner 8906 may propagate in any combination of free space and/or guiding structure (e.g., an optical fiber or any other optical waveguide).Optical radiation 8914, sourcefeedback radiation 8916, combinedradiation 8918 andfeedback radiation 8920 may also propagate in any combination of free space and/or guiding structure. - Suitable
8902 and 8904 include one or more LEDs or any source of optical radiation having an emission wavelength that is influenced by optical feedback. Examples of sources include lasers, and may be semiconductor diode lasers. For example,optical sources 8902 and 8904 may be elements of an array of semiconductor lasers. Sources other than lasers may also be employed (e.g., an optical frequency converter may be used as a source). Although two sources are shown onoptical sources FIG. 89 , the invention may also be practiced with more than two sources.Combiner 8906 is shown in general terms as a three port 8922, 8924, and 8926. Althoughdevice having ports ports 8922 and 8924 are referred to as input ports, andport 8926 is referred to as a combiner output port, these ports may be bidirectional and may both receive and emit optical radiation as indicated above. -
Combiner 8906 may include a wavelength dispersive element and optical elements to define the ports. Suitable wavelength dispersive elements include arrayed waveguide gratings, reflective diffraction gratings, transmissive diffraction gratings, holographic optical elements, assemblies of wavelength-selective filters, and photonic band-gap structures. Thus,combiner 8906 may be a wavelength combiner, where each of the input ports i has a corresponding, non-overlapping input port wavelength range for efficient coupling to the combiner output port. - Various optical processes may occur within
optical frequency converter 8908, including but not limited to harmonic generation, sum frequency generation (SFG), second harmonic generation (SHG), difference frequency generation, parametric generation, parametric amplification, parametric oscillation, three-wave mixing, four-wave mixing, stimulated Raman scattering, stimulated Brillouin scattering, stimulated emission, acousto-optic frequency shifting and/or electro-optic frequency shifting. - In general,
optical frequency converter 8908 accepts optical inputs at an input set of optical wavelengths and provides an optical output at an output set of optical wavelengths, where the output set differs from the input set. -
Optical frequency converter 8908 may include nonlinear optical materials such as lithium niobate, lithium tantalate, potassium titanyl phosphate, potassium niobate, quartz, silica, silicon oxynitride, gallium arsenide, lithium borate, and/or beta-barium borate. Optical interactions inoptical frequency converter 8908 may occur in various structures including bulk structures, waveguides, quantum well structures, quantum wire structures, quantum dot structures, photonic bandgap structures, and/or multi-component waveguide structures. - In cases where
optical frequency converter 8908 provides a parametric nonlinear optical process, this nonlinear optical process is preferably phase-matched. Such phase-matching may be birefringent phase-matching or quasi-phase-matching. Quasi-phase matching may include methods disclosed in U.S. Pat. No. 7,116,468 to Miller, the disclosure of which is hereby incorporated by reference. -
Optical frequency converter 8908 may also include various elements to improve its operation, such as a wavelength selective reflector for wavelength selective output coupling, a wavelength selective reflector for wavelength selective resonance, and/or a wavelength selective loss element for controlling the spectral response of the converter. - In embodiments, multiple illumination modules as described in
FIG. 89 may be associated to form a compound illumination module. -
FIG. 90 is a block diagram of an optical frequency converter, according to an embodiment of the invention.FIG. 90 illustrates howfeedback radiation 8920 is provided by an exemplaryoptical frequency converter 8908 which provides parametric frequency conversion. Combinedradiation 8918 provides forwardradiation 9002 withinoptical frequency converter 8908 that propagates to the right onFIG. 90 , andparametric radiation 9004, also propagating to the right onFIG. 90 , is generated withinoptical frequency converter 8908 and emitted fromoptical frequency converter 8908 as outputoptical radiation 8928. Typically there is a net power transfer fromforward radiation 9002 toparametric radiation 9004 as the interaction proceeds (i.e., as the radiation propagates to the right in this example). Areflector 9008, which may have wavelength-dependent transmittance, is disposed inoptical frequency converter 8908 to reflect (or partially reflect)forward radiation 9002 to providebackward radiation 9006 or may be disposed externally tooptical frequency converter 8908 after endface 9010.Reflector 9008 may be a grating, an internal interface, a coated or uncoated endface, or any combination thereof. The preferred level of reflectivity forreflector 9008 is greater than 90%. A reflector located at aninput interface 9012 provides purely linear feedback (i.e., feedback that does not depend on the process efficiency). A reflector located at an endface 9010 provides a maximum degree of nonlinear feedback, since the dependence of forward power on process efficiency is maximized at the output interface (assuming a phase-matched parametric interaction). -
FIG. 91 is a block diagram of a laser illumination module, according to an embodiment of the invention. While lasers are used in this embodiment, it is understood that other light sources, such as LEDs, may also be used.Laser illumination module 9100 comprises an array ofdiode lasers 9102, 9104 and 9106,waveguides 9108 and 9110 andstar couplers optical frequency converter 9114. An array ofdiode lasers 9102 has lasing elements coupled towaveguides 9104 acting as input ports (such asports 8922 and 8924 onFIG. 89 ) to a planarwaveguide star coupler 9108.Star coupler 9108 is coupled to another planarwaveguide star coupler 9110 bywaveguides 9106 which have different lengths. The combination of 9108 and 9110 withstar couplers waveguides 9106 may be an arrayed waveguide grating, and acts as a wavelength combiner (e.g.,combiner 8906 onFIG. 89 ) providing combinedradiation 8918 towaveguide 9112.Waveguide 9112 provides combinedradiation 8918 tooptical frequency converter 9114. Withinoptical frequency converter 9114, anoptional reflector 9116 provides a back reflection of combinedradiation 8918. As indicated above in connection withFIG. 90 , this back reflection provides nonlinear feedback according to embodiments of the invention. One or more of the elements described with reference toFIG. 91 may be fabricated on a common substrate using planar coating methods and/or lithography methods to reduce cost, parts count and alignment requirements. - A second waveguide may be disposed such that its core is in close proximity with the core of the waveguide in
optical frequency converter 8908. As is known in the art, this arrangement of waveguides functions as a directional coupler, such that radiation in waveguide may provide additional radiation inoptical frequency converter 8908. Significant coupling may be avoided by providing radiation at wavelengths other than the wavelengths offorward radiation 9002 or additional radiation may be coupled intooptical frequency converter 8908 at a location whereforward radiation 9002 is depleted. - While standing wave feedback configurations where the feedback power propagates backward along the same path followed by the input power are useful, traveling wave feedback configurations may also be used. In a traveling wave feedback configuration, the feedback re-enters the gain medium at a location different from the location at which the input power is emitted from.
-
FIG. 92 is a block diagram of a compound laser illumination module, according to another embodiment of the invention. Compoundlaser illumination module 9200 comprises one or morelaser illumination modules 9100 described with reference toFIG. 91 . AlthoughFIG. 92 illustrates compoundlaser illumination module 9200 including threelaser illumination modules 9100 for simplicity, compoundlaser illumination module 9200 may include more or fewerlaser illumination modules 9100. An array ofdiode lasers 9210 may include one or more arrays ofdiode lasers 9102 which may be an array of laser diodes, a diode laser array, and/or a semiconductor laser array configured to emit optical radiation within the infrared spectrum, i.e., with a wavelength shorter than radio waves and longer than visible light. - Laser
array output waveguides 9220 couple to the diode lasers in the array ofdiode lasers 9210 and directs the outputs of the array ofdiode lasers 9210 to starcouplers 9108A-C. The laserarray output waveguides 9220, the arrayedwaveguide gratings 9230, and theoptical frequency converters 9114A-C may be fabricated on a single substrate using a planar lightwave circuit, and may comprise silicon oxynitride waveguides and/or lithium tantalate waveguides. -
Arrayed waveguide gratings 9230 comprise thestar couplers 9108A-C, waveguides 9106A-C, andstar couplers 9110A-C. Waveguides 9112A-C provide combined radiation tooptical frequency converters 9114A-C and feedback radiation tostar couplers 9110A-C, respectively. -
Optical frequency converters 9114A-C may comprise nonlinear optical (NLO) elements, for example optical parametric oscillator elements and/or quasi-phase matched optical elements. - Compound
laser illumination module 9200 may produce output optical radiation at a plurality of wavelengths. The plurality of wavelengths may be within a visible spectrum, i.e., with a wavelength shorter than infrared and longer than ultraviolet light. For example,waveguide 9240A may similarly provide output optical radiation between about 450 nm and about 470 nm,waveguide 9240B may provide output optical radiation between about 525 nm and about 545 nm, andwaveguide 9240C may provide output optical radiation between about 615 nm and about 660 nm. These ranges of output optical radiation may again be selected to provide visible wavelengths (for example, blue, green and red wavelengths, respectively) that are pleasing to a human viewer, and may again be combined to produce a white light output. - The
waveguides 9240A-C may be fabricated on the same planar lightwave circuit as the laserarray output waveguides 9220, the arrayedwaveguide gratings 9230, and theoptical frequency converters 9114A-C. In some embodiments, the output optical radiation provided by each of thewaveguides 9240A-C may provide an optical power in a range between approximately 1 watts and approximately 20 watts. - The
optical frequency converter 9114 may comprise a quasi-phase matching wavelength-converting waveguide configured to perform second harmonic generation (SHG) on the combined radiation at a first wavelength, and generate radiation at a second wavelength. A quasi-phase matching wavelength-converting waveguide may be configured to use the radiation at the second wavelength to pump an optical parametric oscillator integrated into the quasi-phase matching wavelength-converting waveguide to produce radiation at a third wavelength, the third wavelength optionally different from the second wavelength. The quasi-phase matching wavelength-converting waveguide may also produce feedback radiation propagated viawaveguide 9112 through the arrayed waveguide grating 9230 to the array ofdiode lasers 9210, thereby enabling each laser disposed within the array ofdiode lasers 9210 to operate at a distinct wavelength determined by a corresponding port on the arrayed waveguide grating. - For example, compound
laser illumination module 9200 may be configured using an array ofdiode lasers 9210 nominally operating at a wavelength of approximately 830 nm to generate output optical radiation in a visible spectrum corresponding to any of the colors red, green, or blue. - Compound
laser illumination module 9200 may be optionally configured to directly illuminate spatial light modulators without intervening optics. In some embodiments, compoundlaser illumination module 9200 may be configured using an array ofdiode lasers 9210 nominally operating at a single first wavelength to simultaneously produce output optical radiation at multiple second wavelengths, such as wavelengths corresponding to the colors red, green, and blue. Each different second wavelength may be produced by an instance oflaser illumination module 9100. - The compound
laser illumination module 9200 may be configured to produce diffraction-limited white light by combining output optical radiation at multiple second wavelengths into a single waveguide using, for example, waveguide-selective taps (not shown). - The array of
diode lasers 9210, laserarray output waveguides 9220, arrayedwaveguide gratings 9230,waveguides 9112,optical frequency converters 9114, and frequencyconverter output waveguides 9240 may be fabricated on a common substrate using fabrication processes such as coating and lithography. Thebeam shaping element 9250 is coupled to the compoundlaser illumination module 9200 bywaveguides 9240A-C, described with reference toFIG. 92 . -
Beam shaping element 9250 may be disposed on a same substrate as the compoundlaser illumination module 9200. The substrate may, for example, comprise a thermally conductive material, a semiconductor material, or a ceramic material. The substrate may comprise copper-tungsten, silicon, gallium arsenide, lithium tantalate, silicon oxynitride, and/or gallium nitride, and may be processed using semiconductor manufacturing processes including coating, lithography, etching, deposition, and implantation. - Some of the described elements, such as the array of
diode lasers 9210, laserarray output waveguides 9220, arrayedwaveguide gratings 9230,waveguides 9112,optical frequency converters 9114,waveguides 9240,beam shaping element 9250, and various related planar lightwave circuits may be passively coupled and/or aligned, and in some embodiments, passively aligned by height on a common substrate. Each of thewaveguides 9240A-C may couple to a different instance ofbeam shaping element 9250, rather than to a single element as shown. -
Beam shaping element 9250 may be configured to shape the output optical radiation fromwaveguides 9240A-C into an approximately rectangular diffraction-limited optical beam, and may further configure the output optical radiation fromwaveguides 9240A-C to have a brightness uniformity greater than approximately 95% across the approximately rectangular beam shape. - The
beam shaping element 9250 may comprise an aspheric lens, such as a “top-hat” microlens, a holographic element, or an optical grating. In some embodiments, the diffraction-limited optical beam output by thebeam shaping element 9250 produces substantially reduced or no speckle. The optical beam output by thebeam shaping element 9250 may provide an optical power in a range between approximately 1 watt and approximately 20 watts, and a substantially flat phase front. -
FIG. 93 is a block diagram of an imaging system, according to an embodiment of the invention. Imaging system 9300 compriseslight engine 9310,optical beams 9320,spatial light modulator 9330, modulatedoptical beams 9340, andprojection lens 9350. Thelight engine 9310 may be a compound optical illumination module, such as multiple illumination modules described inFIG. 89 , a compoundlaser illumination module 9200, described with reference toFIG. 92 , or a laser illumination system 9300, described with reference toFIG. 93 . Spatiallight modulator 9330 may be a 3LCD system, a DLP system, a LCoS system, a transmissive liquid crystal display (e.g. transmissive LCoS), a liquid-crystal-on-silicon array, a grating-based light valve, or other micro-display or micro-projection system or reflective display. - The
spatial light modulator 9330 may be configured to spatially modulate theoptical beam 9320. Thespatial light modulator 9330 may be coupled to electronic circuitry configured to cause thespatial light modulator 9330 to modulate a video image, such as may be displayed by a television or a computer monitor, onto theoptical beam 9320 to produce a modulatedoptical beam 9340. In some embodiments, modulatedoptical beam 9340 may be output from the spatial light modulator on a same side as the spatial light modulator receives theoptical beam 9320, using optical principles of reflection. In other embodiments, modulatedoptical beam 9340 may be output from the spatial light modulator on an opposite side as the spatial light modulator receives theoptical beam 9320, using optical principles of transmission. The modulatedoptical beam 9340 may optionally be coupled into aprojection lens 9350. Theprojection lens 9350 is typically configured to project the modulatedoptical beam 9340 onto a display, such as a video display screen. - A method of illuminating a video display may be performed using a compound illumination module such as one comprising
multiple illumination modules 8900, a compoundlaser illumination module 9100, alaser illumination system 9200, or an imaging system 9300. A diffraction-limited output optical beam is generated using a compound illumination module, compoundlaser illumination module 9100,laser illumination system 9200 orlight engine 9310. The output optical beam is directed using a spatial light modulator, such as spatiallight modulator 9330, andoptionally projection lens 9350. The spatial light modulator may project an image onto a display, such as a video display screen. - The illumination module may be configured to emit any number of wavelengths including one, two, three, four, five, six, or more, the wavelengths spaced apart by varying amounts, and having equal or unequal power levels. An illumination module may be configured to emit a single wavelength per optical beam, or multiple wavelengths per optical beam. An illumination module may also comprise additional components and functionality including polarization controller, polarization rotator, power supply, power circuitry such as power FETs, electronic control circuitry, thermal management system, heat pipe, and safety interlock. In some embodiments, an illumination module may be coupled to an optical fiber or a lightguide, such as glass (e.g. BK7).
- Some options for an LCoS front light design include: 1) Wedge with MultiLayer Coating (MLC). This concept uses MLC to define specific reflected and transmitted angles; 2) Wedge with polarized beamsplitter coating. This concept works like a regular PBS Cube, but at a much shallower angle. This can be PBS coating or a wire grid film; 3) PBS Prism bars (these are similar to Option #2) but have a seam down the center of the panel; and 4) Wire Grid Polarizer plate beamsplitter (similar to the PBS wedge, but just a plate, so that it is mostly air instead of solid glass).
-
FIG. 95 depicts an embodiment of an LCoS front light design. In this embodiment, light from an RGB LED 9508 illuminates a front light 9504, which can be a wedge, PBS, and the like. The light strikes a polarizer 9510 and is transmitted in its S state to an LCoS 9502 where it gets reflected as image light in its P state back through anasphere 9512. Aninline polarizer 9514 may polarize the image light again and/or cause a ½ wave rotation to the S state. The image light then hits awire grid polarizer 9520 and reflects to a curved (spherical)partial mirror 9524, passing through a ½ wave retarder 9522 on its way. The image light reflects from the mirror to the user's eye 9518, once more traversing the ½ wave retarder 9522 andwire grid polarizer 9520. Various examples of the front light 9504 will now be described. - In embodiments, the optical assembly includes a partially reflective, partially transmitting optical element that reflects respective portions of image light from the image source and transmits scene light from a see-through view of the surrounding environment, so that a combined image comprised of portions of the reflected image light and the transmitted scene light is provided to a user's eye.
-
FIG. 96 depicts an embodiment of a front light 9504 comprising optically bonded prisms with a polarizer. The prisms appear as two rectangular solids with a substantiallytransparent interface 9602 between the two. Each rectangular is diagonally bisected and apolarizing coating 9604 is disposed along the interface of the bisection. The lower triangle formed by the bisected portion of the rectangular solid may optionally be made as a single piece 9608. The prisms may be made from BK-7 or the equivalent. In this embodiment, the rectangular solids have square ends that measure 2 mm by 2 mm. The length of the solids in this embodiment is 10 mm. In an alternate embodiment, the bisection comprises a 50% mirror 9704 surface and the interface between the two rectangular solids comprises a polarizer 9702 that may pass light in the P state. -
FIG. 98 depicts three versions of an LCoS front light design.FIG. 98A depicts a wedge with MultiLayer Coating (MLC). This concept uses MLC to define specific reflected and transmitted angles. In this embodiment, image light of either P or S polarization state is observed by the user's eye.FIG. 98B depicts a PBS with a polarizer coating. Here, only S-polarized image light is transmitted to the user's eye.FIG. 98C depicts a right angle prism, eliminating much of the material of the prism enabling the image light to be transmitted through air as S-polarized light. -
FIG. 99 depicts a wedge plus PBS with apolarizing coating 9902 layered on an LCoS 9904. -
FIG. 100 depicts two embodiments of prisms with light entering the short end (A) and light entering along the long end (B). InFIG. 100A , a wedge is formed by offset bisecting a rectangular solid to form at least one 8.6 degree angle at the bisect interface. In this embodiment, the offset bisection results in a segment that is 0.5 mm high and another that is 1.5 mm on the side through which theRGB LEDs 10002 are transmitting light. Along the bisection, apolarizing coating 10004 is disposed. InFIG. 100B , a wedge is formed by offset bisecting a rectangular solid to form at least one 14.3 degree angle at the bisect interface. In this embodiment, the offset bisection results in a segment that is 0.5 mm high and another that is 1.5 mm on the side through which theRGB LEDs 10008 are transmitting light. Along the bisection, apolarizing coating 10010 is disposed. -
FIG. 101 depicts acurved PBS film 10104 illuminated by an RGB LED 10102 disposed over an LCoS chip 10108. ThePBS film 10104 reflects the RGB light from the LED array 10102 onto the LCOS chip's surface 10108, but lets the light reflected from the imaging chip pass through unobstructed to the optical assembly and eventually to the user's eye. Films used in this system include Asahi Film, which is a Tri-Acetate Cellulose or cellulose acetate substrate (TAC). In embodiments, the film may have UV embossed corrugations at 100 nm and a calendared coating built up on ridges that can be angled for incidence angle of light. The Asahi film may come in rolls that are 20 cm wide by 30 m long and has BEF properties when used in LCD illumination. The Asahi film may support wavelengths from visible through IR and may be stable up to 100° C. - In another embodiment,
FIGS. 21 and 22 depict an alternate arrangement of the waveguide and projector in exploded view. In this arrangement, the projector is placed just behind the hinge of the arm of the eyepiece and it is vertically oriented such that the initial travel of the RGB LED signals is vertical until the direction is changed by a reflecting prism in order to enter the waveguide lens. The vertically arranged projection engine may have aPBS 218 at the center, the RGB LED array at the bottom, a hollow, tapered tunnel with thin film diffuser to mix the colors for collection in an optic, and a condenser lens. The PBS may have a pre-polarizer on an entrance face. The pre-polarizer may be aligned to transmit light of a certain polarization, such as p-polarized light and reflect (or absorb) light of the opposite polarization, such as s-polarized light. The polarized light may then pass through the PBS to thefield lens 216. The purpose of thefield lens 216 may be to create near telecentric illumination of the LCoS panel. The LCoS display may be truly reflective, reflecting colors sequentially with correct timing so the image is displayed properly. Light may reflect from the LCoS panel and, for bright areas of the image, may be rotated to s-polarization. The light then may refract through thefield lens 216 and may be reflected at the internal interface of the PBS and exit the projector, heading toward the coupling lens. The hollow,tapered tunnel 220 may replace the homogenizing lenslet from other embodiments. By vertically orienting the projector and placing the PBS in the center, space is saved and the projector is able to be placed in a hinge space with little moment arm hanging from the waveguide. - Light reflected or scattered from the image source or associated optics of the eyepiece may pass outward into the environment. These light losses are perceived by external viewers as ‘eyeglow’ or ‘night glow’ where portions of the lenses or the areas surrounding the eyepiece appear to be glowing when viewed in a dimly lit environment. In certain cases of eyeglow as shown in
FIG. 22A , the displayed image can be seen as anobservable image 2202A in the display areas when viewed externally by external viewers. To maintain privacy of the viewing experience for the user both in terms of maintaining privacy of the images being viewed and in terms of making the user less noticeable when using the eyepiece in a dimly lit environment, it is preferable to reduce eyeglow. Methods and apparatus may reduce eyeglow through a light control element, such as with a partially reflective mirror in the optics associated with the image source, with polarizing optics, and the like. For instance, light entering the waveguide may be polarized, such as s-polarized. The light control element may include a linear polarizer. Wherein the linear polarizer in the light control element is oriented relative to the linearly polarized image light so that the second portion of the linearly polarized image light that passes through the partially reflecting mirror is blocked and eyeglow is reduced. In embodiments, eyeglow may be minimized or eliminated by attaching lenses to the waveguide or frame, such as the snap-fit optics described herein, that are oppositely polarized from the light reflecting from the user's eye, such as p-polarized in this case. - In embodiments, the light control element may include a second quarter wave film and a linear polarizer. Wherein the second quarter wave film converts a second portion of a circularly polarized image light into linearly polarized image light with a polarization state that is blocked by the linear polarizer in the light control element so that eyeglow is reduced. For example, when the light control element includes a linear polarizer and a quarter wave film, incoming unpolarized scene light from the external environment in front of the user is converted to linearly polarized light while 50% of the light is blocked. The first portion of scene light that passes through the linear polarizer is linearly polarized light which is converted by the quarter wave film to circularly polarized light. The third portion of scene light that is reflected from the partially reflecting mirror has reversed circular polarization which is then converted to linearly polarized light by the second quarter wave film. The linear polarizer then blocks the reflected third portion of the scene light thereby reducing escaping light and reducing eyeglow.
FIG. 22B shows an example of a see-through display assembly with a light control element in a glasses frame. Theglasses cross-section 2200B shows the components of see-through display assembly in aglasses frame 2202B. Wherein, the light control element covers the entire see-through view seen by the user. Supporting 2204B and 2208B are shown supporting the partially reflectingmembers mirror 2210B and thebeam splitter layer 2212B respectively in the field of view of the user'seye 2214B. The supporting 2204B and 2208B along with themembers light control element 2218B are connected to theglasses frame 2202B. The other components such as thefolding mirror 2220B and the firstquarter wave film 2222B are also connected to the supporting 2204B and 2208B so that the combined assembly is structurally sound.members - In an embodiment, an absorptive polarizer in the optical assembly is used to reduce stray light. The absorptive polarizer may include an anti-reflective coating. The absorptive polarizer may be disposed after a focusing lens of the optical assembly to reduce light passing through an optically flat film of the optical assembly. The light from the image source may be polarized to increase contrast.
- In an embodiment, an anti-reflective coating in the optical assembly may be used to reduce stray light. The anti-reflective coating may be disposed on a polarizer of the optical assembly or a retarding film of the optical assembly. The retarding film may be a quarter wave film or a half wave film. The anti-reflective coating may be disposed on an outer surface of a partially reflecting mirror. The light from the image source may be polarized to increase contrast.
- Referring to
FIG. 102 , animage source 10228 directs image light to a beam splitter layer of the optical assembly.FIG. 103 depicts a blow-up of theimage source 10228. In this particular embodiment, theimage source 10228 is shown containing a light source (LED Bar 10302) that directs light through adiffuser 10304 andprepolarizer 10308 to a curvedwire grid polarizer 10310 where the light is reflected to anLCoS display 10312. Image light from the LCoS is then reflected back through the curvedwire grid polarizer 10310 and ahalf wave film 10312 to the beam splitter layer of theoptical assembly 10200. - Referring to
FIG. 104 , LEDs provide unpolarized light. The diffuser spreads and homogenizes the light from the LEDs. The absorptive prepolarizer converts the light to S polarization. The S polarized light is then reflected toward the LCOS by the curved wire grid polarizer. The LCOS reflects the S polarized light and converts it to P polarized light depending on local image content. The P polarized light passes through the curved wire grid polarizer becoming P polarized image light. The half wave film converts the P polarized image light to S polarized image light. - Referring again to
FIG. 102 , thebeam splitter layer 10204 is a polarizing beam splitter, or the image source providespolarized image light 10208 and thebeam splitter layer 10204 is a polarizing beam splitter, so that the reflectedimage light 10208 is linearly polarized light, this embodiment and the associated polarization control is shown inFIG. 102 . For the case where the image source provides linearly polarized image light and thebeam splitter layer 10204 is a polarizing beam splitter, the polarization state of the image light is aligned to the polarizing beam splitter so that theimage light 10208 is reflected by the polarizing beam splitter.FIG. 102 shows the reflected image light as having S state polarization. In cases where thebeam splitter layer 10204 is a polarizing beam splitter, a first quarter wave film 10210 is provided between thebeam splitter layer 10204 and the partially reflecting mirror 10212. The first quarter wave film 10210 converts the linearly polarized image light to circularly polarized image light (shown as S being converted to CR inFIG. 102 ). The reflected first portion ofimage light 10208 is then also circularly polarized where the circular polarization state is reversed (shown as CL inFIG. 102 ) so that after passing back through the quarter wave film, the polarization state of the reflected first portion ofimage light 10208 is reversed (to P polarization) compared to the polarization state of theimage light 10208 provided by the image source (shown as S). As a result, the reflected first portion of the image light 10208 passes through the polarizing beam splitter without reflection losses. When thebeam splitter layer 10204 is a polarizing beam splitter and the see-throughdisplay assembly 10200 includes a first quarter wave film 10210, thelight control element 10230 is a second quarter wave film and alinear polarizer 10220. In embodiments, thelight control element 10230 includes a controllable darkeninglayer 10214. Wherein the secondquarter wave film 10218 converts the second portion of the circularly polarized image light 10208 into linearly polarized image light 10208 (shown as CR being converted to S) with a polarization state that is blocked by thelinear polarizer 10220 in thelight control element 10230 so that eyeglow is reduced. - When the
light control element 10230 includes alinear polarizer 10220 and aquarter wave film 10218, incoming unpolarized scene light 10222 from the external environment in front of the user is converted to linearly polarized light (shown as P polarization state inFIG. 102 ) while 50% of the light is blocked. The first portion ofscene light 10222 that passes through thelinear polarizer 10220 is linearly polarized light which is converted by the quarter wave film to circularly polarized light (shown as P being converted to CL inFIG. 102 ). The third portion of scene light that is reflected from the partially reflecting mirror 10212 has reversed circular polarization (shown as converting from CL to CR inFIG. 102 ) which is then converted to linearly polarized light by the second quarter wave film 10218 (shown as CR converting to S polarization inFIG. 102 ). Thelinear polarizer 10220 then blocks the reflected third portion of the scene light thereby reducing escaping light and reducing eyeglow. - As shown in
FIG. 102 , the reflected first portion ofimage light 10208 and the transmitted second portion of scene light have the same circular polarization state (shown as CL) so that they combine and are converted by the first quarter wave film 10210 into linearly polarized light (shown as P) which passes through the beam splitter when thebeam splitter layer 10204 is a polarizing beam splitter. The linearly polarized combined light 10224 then provides a combined image to the user'seye 10202 located at the back of the see-throughdisplay assembly 10200, where the combined image is comprised of overlaid portions of the displayed image from the image source and the see-through view of the external environment in front of the user. - The
beamsplitter layer 10204 includes an optically flat film, such as the Asahi TAC film discussed herein. Thebeamsplitter layer 10204 may be disposed at an angle in front of a user's eye so that it reflects and transmits respective portions of image light and transmits scene light from a see-through view of the surrounding environment, so that a combined image comprised of portions of the image light and the transmitted scene light is provided to a user's eye. The optically flat film may be a wire grid polarizer. The optically flat film may be laminated to a transparent substrate. The optically flat film may be molded into a surface of the eyepiece. The optically flat film may be positioned at less then 40 degrees from vertical. - In an embodiment, the components in
FIG. 102 collectively form an electro-optic module. The angle of the optical axis associated with the display may be 10 degrees or more forward of vertical. This degree of tilt refers to how the upper part of the optics module leans forward. This allows the beamsplitter angle to be reduced which makes the optics module thinner. - The ratio of the height of the curved polarizing film to the width of the reflective image display is less than 1:1. The curve on the polarizing film determines the width of the illuminated area on the reflective display, and the tilt of the curved area determines the positioning of the illuminated area on the reflective display. The curved polarizing film reflects illumination light of a first polarization state onto the reflective display, which changes the polarization of the illumination light and generates image light, and the curved polarizing film passes reflected image light. The curved polarizing film includes a portion that is parallel to the reflective display over the light source. The height of the image source may be at least 80% of the display active area width, at least 3.5 mm, or less than 4 mm.
- Referring to
FIGS. 105 A through C, the angle of the curved wire grid polarizer controls the direction of the image light. The curve of the curved wire grid polarizer controls the width of the image light. The curve enables use of a narrow light source because it spreads the light when the light strikes it and then folds it/reflects it to uniformly illuminate an image display. Image light passing back through the wire grid polarizer is unperturbed. Thus, the curve also enables the miniaturization of the optical assembly. - In
FIGS. 21-22 ,augmented reality eyepiece 2100 includes aframe 2102 and left and right earpieces ortemple pieces 2104.Protective lenses 2106, such as ballistic lenses, are mounted on the front of theframe 2102 to protect the eyes of the user or to correct the user's view of the surrounding environment if they are prescription lenses. The front portion of the frame may also be used to mount a camera orimage sensor 2130 and one ormore microphones 2132. Not visible inFIG. 21 , waveguides are mounted in theframe 2102 behind theprotective lenses 2106, one on each side of the center oradjustable nose bridge 2138. Thefront cover 2106 may be interchangeable, so that tints or prescriptions may be changed readily for the particular user of the augmented reality device. In one embodiment, each lens is quickly interchangeable, allowing for a different prescription for each eye. In one embodiment, the lenses are quickly interchangeable with snap-fits as discussed elsewhere herein. Certain embodiments may only have a projector and waveguide combination on one side of the eyepiece while the other side may be filled with a regular lens, reading lens, prescription lens, or the like. The left andright ear pieces 2104 may each vertically mount a projector ormicroprojector 2114 or other image source atop a spring-loadedhinge 2128 for easier assembly and vibration/shock protection. Each temple piece also includes atemple housing 2116 for mounting associated electronics for the eyepiece, and each may also include an elastomerichead grip pad 2120, for better retention on the user. Each temple piece also includes extending, wrap-aroundear buds 2112 and anorifice 2126 for mounting aheadstrap 2142. - As noted, the
temple housing 2116 contains electronics associated with the augmented reality eyepiece. The electronics may include several circuit boards, as shown, such as for the microprocessor andradios 2122, the communications system on a chip (SOC) 2124, and the open multimedia applications processor (OMAP)processor board 2140. The communications system on a chip (SOC) may include electronics for one or more communications capabilities, including a wide local area network (WLAN), BlueTooth™ communications, frequency modulation (FM) radio, a global positioning system (GPS), a 3-axis accelerometer, one or more gyroscopes, and the like. In addition, the right temple piece may include an optical trackpad (not shown) on the outside of the temple piece for user control of the eyepiece and one or more applications. - In an embodiment, a digital signal processor (DSP) may be programmed and/or configured to receive video feed information and configure the video feed to drive whatever type of image source is being used with the optical display. The DSP may include a bus or other communication mechanism for communicating information, and an internal processor coupled with the bus for processing the information. The DSP may include a memory, such as a random access memory (RAM) or other dynamic storage device (e.g., dynamic RAM (DRAM), static RAM (SRAM), and synchronous DRAM (SDRAM)), coupled to the bus for storing information and instructions to be executed. The DSP can include a non-volatile memory such as for example a read only memory (ROM) or other static storage device (e.g., programmable ROM (PROM), erasable PROM (EPROM), and electrically erasable PROM (EEPROM)) coupled to the bus for storing static information and instructions for the internal processor. The DSP may include special purpose logic devices (e.g., application specific integrated circuits (ASICs)) or configurable logic devices (e.g., simple programmable logic devices (SPLDs), complex programmable logic devices (CPLDs), and field programmable gate arrays (FPGAs)).
- The DSP may include at least one computer readable medium or memory for holding instructions programmed and for containing data structures, tables, records, or other data necessary to drive the optical display. Examples of computer readable media suitable for applications of the present disclosure may be compact discs, hard disks, floppy disks, tape, magneto-optical disks, PROMs (EPROM, EEPROM, flash EPROM), DRAM, SRAM, SDRAM, or any other magnetic medium, compact discs (e.g., CD-ROM), or any other optical medium, punch cards, paper tape, or other physical medium with patterns of holes, a carrier wave (described below), or any other medium from which a computer can read. Various forms of computer readable media may be involved in carrying out one or more sequences of one or more instructions to the optical display for execution. The DSP may also include a communication interface to provide a data communication coupling to a network link that can be connected to, for example, a local area network (LAN), or to another communications network such as the Internet. Wireless links may also be implemented. In any such implementation, an appropriate communication interface can send and receive electrical, electromagnetic or optical signals that carry digital data streams representing various types of information (such as the video information) to the optical display.
- In embodiments, the eyepiece may provide an external interface to computer peripheral devices, such as a monitor, display, TV, keyboards, mice, memory storage (e.g. external hard drive, optical drive, solid state memory), network interface (e.g. to the Internet), and the like. For instance, the external interface may provide direct connectivity to external computer peripheral devices (e.g. connect directly to a monitor), indirect connectivity to external computer peripheral devices (e.g. through a central external peripheral interface device), through a wired connection, though a wireless connection, and the like. In an example, the eyepiece may be able to connect to a central external peripheral interface device that provides connectivity to external peripheral devices, where the external peripheral interface device may include computer interface facilities, such as a computer processor, memory, operating system, peripheral drivers and interfaces, USB port, external display interface, network port, speaker interface, microphone interface, and the like. In embodiments, the eyepiece may be connected to the central external peripheral interface by a wired connection, wireless connection, directly in a cradle, and the like, and when connected may provide the eyepiece with computational facilities similar to or identical to a personal computer.
- The
frame 2102 is in a general shape of a pair of wrap-around sunglasses. The sides of the glasses include shape-memory alloy straps 2134, such as nitinol straps. The nitinol or other shape-memory alloy straps are fitted for the user of the augmented reality eyepiece. The straps are tailored so that they assume their trained or preferred shape when worn by the user and warmed to near body temperature. In embodiments, the fit of the eyepiece may provide user eye width alignment techniques and measurements. For instance, the position and/or alignment of the projected display to the wearer of the eyepiece may be adjustable in position to accommodate the various eye widths of the different wearers. The positioning and/or alignment may be automatic, such as though detection of the position of the wearer's eyes through the optical system (e.g. iris or pupil detection), or manual, such as by the wearer, and the like. - Other features of this embodiment include detachable, noise-cancelling earbuds. As seen in the figure, the earbuds are intended for connection to the controls of the augmented reality eyepiece for delivering sounds to ears of the user. The sounds may include inputs from the wireless internet or telecommunications capability of the augmented reality eyepiece. The earbuds also include soft, deformable plastic or foam portions, so that the inner ears of the user are protected in a manner similar to earplugs. In one embodiment, the earbuds limit inputs to the user's ears to about 85 dB. This allows for normal hearing by the wearer, while providing protection from gunshot noise or other explosive noises and listening in high background noise environments. In one embodiment, the controls of the noise-cancelling earbuds have an automatic gain control for very fast adjustment of the cancelling feature in protecting the wearer's ears.
-
FIG. 23 depicts a layout of the vertically arrangedprojector 2114 in aneyepiece 2300, where the illumination light passes from bottom to top through one side of the PBS on its way to the display and imager board, which may be silicon backed, and being refracted as image light where it hits the internal interfaces of the triangular prisms which constitute the polarizing beam splitter, and is reflected out of the projector and into the waveguide lens. In this example, the dimensions of the projector are shown with the width of the imager board being 11 mm, the distance from the end of the imager board to the image centerline being 10.6 mm, and the distance from the image centerline to the end of the LED board being about 11.8 mm. - A detailed and assembled view of the components of the projector discussed above may be seen in
FIG. 25 . This view depicts how compact the micro-projector 2500 is when assembled, for example, near a hinge of the augmented reality eyepiece.Microprojector 2500 includes a housing and aholder 2508 for mounting certain of the optical pieces. As each color field is imaged by theoptical display 2510, the corresponding LED color is turned on. The RGBLED light engine 2502 is depicted near the bottom, mounted onheat sink 2504. Theholder 2508 is mounted atop theLED light engine 2502, the holder mountinglight tunnel 2520, diffuser lens 2512 (to eliminate hotspots) andcondenser lens 2514. Light passes from the condenser lens into thepolarizing beam splitter 2518 and then to thefield lens 2516. The light then refracts onto the LCoS (liquid crystal on silicon)chip 2510, where an image is formed. The light for the image then reflects back through thefield lens 2516 and is polarized and reflected 90° through thepolarizing beam splitter 2518. The light then leaves the microprojector for transmission to the optical display of the glasses. -
FIG. 26 depicts an exemplaryRGB LED module 2600. In this example, the LED is a 2×2 array with 1 red, 1 blue and 2 green die and the LED array has 4 cathodes and a common anode. The maximum current may be 0.5 A per die and the maximum voltage (≈4V) may be needed for the green and blue die. - In embodiments, the system may utilize an optical system that is able to generate a monochrome display to the wearer, which may provide advantages to image clarity, image resolution, frame rate, and the like. For example, the frame rate may triple (over an RGB system) and this may be useful in a night vision and the like situation where the camera is imaging the surroundings, where those images may be processed and displayed as content. The image may be brighter, such as be three times brighter if three LEDs are used, or provide a space savings with only one LED. If multiple LEDs are used, they may be the same color or they could be different (RGB). The system may be a switchable monochrome/color system where RGB is used but when the wearer wants monochrome they could either choose an individual LED or a number of them. All three LEDs may be used at the same time, as opposed to sequencing, to create white light. Using three LEDs without sequencing may be like any other white light where the frame rate goes up by a factor of three. The “switching” between monochrome and color may be done “manually” (e.g. a physical button, a GUI interface selection) or it may be done automatically depending on the application that is running. For instance, a wearer may go into a night vision mode or fog clearing mode, and the processing portion of the system automatically determines that the eyepiece needs to go into a monochrome high refresh rate mode.
-
FIG. 3 depicts an embodiment of a horizontally disposed projector in use. Theprojector 300 may be disposed in an arm portion of an eyepiece frame. TheLED module 302, underprocessor control 304, may emit a single color at a time in rapid sequence. The emitted light may travel down alight tunnel 308 and through at least onehomogenizing lenslet 310 before encountering apolarizing beam splitter 312 and being deflected towards anLCoS display 314 where a full color image is displayed. The LCoS display may have a resolution of 1280×720p. The image may then be reflected back up through the polarizing beam splitter, reflected off afold mirror 318 and travel through a collimator on its way out of the projector and into a waveguide. The projector may include a diffractive element to eliminate aberrations. - In an embodiment, the interactive head-mounted eyepiece includes an optical assembly through which a user views a surrounding environment and displayed content, wherein the optical assembly includes a corrective element that corrects the user's view of the surrounding environment, a freeform optical waveguide enabling internal reflections, and a coupling lens positioned to direct an image from an optical display, such as an LCoS display, to the optical waveguide. The eyepiece further includes one or more integrated processors for handling content for display to the user and an integrated image source, such as a projector facility, for introducing the content to the optical assembly. In embodiments where the image source is a projector, the projector facility includes a light source and the optical display. Light from the light source, such as an RGB module, is emitted under control of the processor and traverses a polarizing beam splitter where it is polarized before being reflected off the optical display, such as the LCoS display or LCD display in certain other embodiments, and into the optical waveguide. A surface of the polarizing beam splitter may reflect the color image from the optical display into the optical waveguide. The RGB LED module may emit light sequentially to form a color image that is reflected off the optical display. The corrective element may be a see-through correction lens that is attached to the optical waveguide to enable proper viewing of the surrounding environment whether the image source is on or off. This corrective element may be a wedge-shaped correction lens, and may be prescription, tinted, coated, or the like. The freeform optical waveguide, which may be described by a higher order polynomial, may include dual freeform surfaces that enable a curvature and a sizing of the waveguide. The curvature and the sizing of the waveguide enable its placement in a frame of the interactive head-mounted eyepiece. This frame may be sized to fit a user's head in a similar fashion to sunglasses or eyeglasses. Other elements of the optical assembly of the eyepiece include a homogenizer through which light from the light source is propagated to ensure that the beam of light is uniform and a collimator that improves the resolution of the light entering the optical waveguide.
- In embodiments, the prescription lens may be mounted on the inside of the eyepiece lens or on the outside. In some embodiments, the prescription power may be divided into prescription lenses mounted on the outside and inside of the eyepiece lens. In embodiments, the prescription correction is provided by corrective optics that cling to eyepiece lens or a component of the optical assembly, such as the beamsplitter, such as through surface tension. Suitable optics may be provided by 3M's Press-On Optics, which are available at least as Prisms (a.k.a. Fresnel Prisms), Aspheric Minus Lenses, Aspheric Plus Lenses, and Bifocal Lenses. The corrective optics may be a user removable and replaceable diopter correction facility adapted to be removably attached in a position between the user's eye and the displayed content such that the diopter correction facility corrects the users eyesight with respect to the displayed content and the surrounding environment. The diopter correction facility may be adapted to mount to the optical assembly. The diopter correction facility may be adapted to mount to the head-mounted eyepiece. The diopter correction facility may mount using a friction fit. The diopter correction facility may mount using a magnetic attachment facility. The user may select from a plurality of different diopter correction facilities depending on the user's eyesight.
- Referring to
FIG. 4 , the image light, which may be polarized and collimated, may optionally traverse adisplay coupling lens 412, which may or may not be the collimator itself or in addition to the collimator, and enter thewaveguide 414. In embodiments, thewaveguide 414 may be a freeform waveguide, where the surfaces of the waveguide are described by a polynomial equation. The waveguide may be rectilinear. Thewaveguide 414 may include two reflective surfaces. When the image light enters thewaveguide 414, it may strike a first surface with an angle of incidence greater than the critical angle above which total internal reflection (TIR) occurs. The image light may engage in TIR bounces between the first surface and a second facing surface, eventually reaching theactive viewing area 418 of the composite lens. In an embodiment, light may engage in at least three TIR bounces. Since thewaveguide 414 tapers to enable the TIR bounces to eventually exit the waveguide, the thickness of thecomposite lens 420 may not be uniform. Distortion through the viewing area of thecomposite lens 420 may be minimized by disposing a wedge-shapedcorrection lens 410 along a length of thefreeform waveguide 414 in order to provide a uniform thickness across at least the viewing area of thelens 420. Thecorrection lens 410 may be a prescription lens, a tinted lens, a polarized lens, a ballistic lens, and the like, mounted on the inside or outside of the eyepiece lense, or in some embodiments, mounted on both the inside and outside of the eyepiece lens. - In some embodiments, while the optical waveguide may have a first surface and a second surface enabling total internal reflections of the light entering the waveguide, the light may not actually enter the waveguide at an internal angle of incidence that would result in total internal reflection. The eyepiece may include a mirrored surface on the first surface of the optical waveguide to reflect the displayed content towards the second surface of the optical waveguide. Thus, the mirrored surface enables a total reflection of the light entering the optical waveguide or a reflection of at least a portion of the light entering the optical waveguide. In embodiments, the surface may be 100% mirrored or mirrored to a lower percentage. In some embodiments, in place of a mirrored surface, an air gap between the waveguide and the corrective element may cause a reflection of the light that enters the waveguide at an angle of incidence that would not result in TIR.
- In an embodiment, the eyepiece includes an integrated image source, such as a projector, that introduces content for display to the optical assembly from a side of the optical waveguide adjacent to an arm of the eyepiece. As opposed to prior art optical assemblies where image injection occurs from a top side of the optical waveguide, the present disclosure provides image injection to the waveguide from a side of the waveguide. The displayed content aspect ratio is between approximately square to approximately rectangular with the long axis approximately horizontal. In embodiments, the displayed content aspect ratio is 16:9. In embodiments, achieving a rectangular aspect ratio for the displayed content where the long axis is approximately horizontal may be done via rotation of the injected image. In other embodiments, it may be done by stretching the image until it reaches the desired aspect ratio.
-
FIG. 5 depicts a design for a waveguide eyepiece showing sample dimensions. For example, in this design, the width of thecoupling lens 504 may be 13˜15 mm, with theoptical display 502 optically coupled in series. These elements may be disposed in an arm or redundantly in both arms of an eyepiece. Image light from theoptical display 502 is projected through thecoupling lens 504 into thefreeform waveguide 508. The thickness of the composite lens 520, includingwaveguide 508 andcorrection lens 510, may be 9 mm. In this design, thewaveguide 502 enables an exit pupil diameter of 8 mm with an eye clearance of 20 mm. The resultant see-through view 512 may be about 60-70 mm. The distance from the pupil to the image light path as it enters the waveguide 502 (dimension a) may be about 50-60 mm, which can accommodate a large % of human head breadths. In an embodiment, the field of view may be larger than the pupil. In embodiments, the field of view may not fill the lens. It should be understood that these dimensions are for a particular illustrative embodiment and should not be construed as limiting. In an embodiment, the waveguide, snap-on optics, and/or the corrective lens may comprise optical plastic. In other embodiments, the waveguide snap-on optics, and/or the corrective lens may comprise glass, marginal glass, bulk glass, metallic glass, palladium-enriched glass, or other suitable glass. In embodiments, thewaveguide 508 andcorrection lens 510 may be made from different materials selected to result in little to no chromatic aberrations. The materials may include a diffraction grating, a holographic grating, and the like. - In embodiments such as that shown in
FIG. 1 , the projected image may be a stereo image when twoprojectors 108 are used for the left and right images. To enable stereo viewing, theprojectors 108 may be disposed at an adjustable distance from one another that enables adjustment based on the interpupillary distance for individual wearers of the eyepiece. For example, a single optical assembly may include two independent electro-optic modules with individual adjustments for horizontal, vertical and tilt positioning. Alternatively, the optical assembly may include only a single electro-optic module. -
FIG. 6 depicts an embodiment of theeyepiece 600 with a see-through ortranslucent lens 602. A projectedimage 618 can be seen on thelens 602. In this embodiment, theimage 618 that is being projected onto thelens 602 happens to be an augmented reality version of the scene that the wearer is seeing, wherein tagged points of interest (POI) in the field of view are displayed to the wearer. The augmented reality version may be enabled by a forward facing camera embedded in the eyepiece (not shown inFIG. 6 ) that images what the wearer is looking and identifies the location/POI. In one embodiment, the output of the camera or optical transmitter may be sent to the eyepiece controller or memory for storage, for transmission to a remote location, or for viewing by the person wearing the eyepiece or glasses. For example, the video output may be streamed to the virtual screen seen by the user. The video output may thus be used to help determine the user's location, or may be sent remotely to others to assist in helping to locate the location of the wearer, or for any other purpose. Other detection technologies, such as GPS, RFID, manual input, and the like, may be used to determine a wearer's location. Using location or identification data, a database may be accessed by the eyepiece for information that may be overlaid, projected or otherwise displayed with what is being seen. Augmented reality applications and technology will be further described herein. - In
FIG. 7 , an embodiment of theeyepiece 700 is depicted with atranslucent lens 702 on which is being displayed streaming media (an e-mail application) and anincoming call notification 704. In this embodiment, the media obscures a portion of the viewing area, however, it should be understood that the displayed image may be positioned anywhere in the field of view. In embodiments, the media may be made to be more or less transparent. - In an embodiment, the eyepiece may receive input from any external source, such as an external converter box. The source may be depicted in the lens of eyepiece. In an embodiment, when the external source is a phone, the eyepiece may use the phone's location capabilities to display location-based augmented reality, including marker overlay from marker-based AR applications. In embodiments, a VNC client running on the eyepiece's processor or an associated device may be used to connect to and control a computer, where the computer's display is seen in the eyepiece by the wearer. In an embodiment, content from any source may be streamed to the eyepiece, such as a display from a panoramic camera riding atop a vehicle, a user interface for a device, imagery from a drone or helicopter, and the like. For example, a gun-mounted camera may enable shooting a target not in direct line of sight when the camera feed is directed to the eyepiece.
- The lenses may be chromic, such as photochromic or electrochromic. The electrochromic lens may include integral chromic material or a chromic coating which changes the opacity of at least a portion of the lens in response to a burst of charge applied by the processor across the chromic material. For example, and referring to
FIG. 9 , achromic portion 902 of thelens 904 is shown darkened, such as for providing greater viewability by the wearer of the eyepiece when that portion is showing displayed content to the wearer. In embodiments, there may be a plurality of chromic areas on the lens that may be controlled independently, such as large portions of the lens, sub-portions of the projected area, programmable areas of the lens and/or projected area, controlled to the pixel level, and the like. Activation of the chromic material may be controlled via the control techniques further described herein or automatically enabled with certain applications (e.g. a streaming video application, a sun tracking application, an ambient brightness sensor, a camera tracking brightness in the field of view) or in response to a frame-embedded UV sensor. In embodiments, an electrochromic layer may be located between optical elements and/or on the surface of an optical element on the eyepiece, such as on a corrective lens, on a ballistic lens, and the like. In an example, the electrochromic layer may consist of a stack, such as an Indium Tin Oxide (ITO) coated PET/PC film with two layers of electrochromic (EC) between, which may eliminate another layer of PET/PC, thereby reducing reflections (e.g. a layer stack may comprise a PET/PC-EC-PET/PC-EC-PET/PC). In embodiments, the electrically controllable optical layer may be provided as a liquid crystal based solution with a binary state of tint. In other embodiments, multiple layers of liquid crystal or an alternative e-tint forming the optical layer may be used to provide variable tint such that certain layers or segments of the optical layer may be turned on or off in stages. Electrochromic layers may be used generically for any of the electrically controlled transparencies in the eyepiece, including SPD, LCD, electrowetting, and the like. - In embodiments, the lens may have an angular sensitive coating which enables transmitting light-waves with low incident angles and reflecting light, such as s-polarized light, with high incident angles. The chromic coating may be controlled in portions or in its entirety, such as by the control technologies described herein. The lenses may be variable contrast and the contrast may be under the control of a push button or any other control technique described herein. In embodiments, the user may wear the interactive head-mounted eyepiece, where the eyepiece includes an optical assembly through which the user views a surrounding environment and displayed content. The optical assembly may include a corrective element that corrects the user's view of the surrounding environment, an integrated processor for handling content for display to the user, and an integrated image source for introducing the content to the optical assembly. The optical assembly may include an electrochromic layer that provides a display characteristic adjustment that is dependent on displayed content requirements and surrounding environmental conditions. In embodiments, the display characteristic may be brightness, contrast, and the like. The surrounding environmental condition may be a level of brightness that without the display characteristic adjustment would make the displayed content difficult to visualize by the wearer of the eyepiece, where the display characteristic adjustment may be applied to an area of the optical assembly where content is being displayed.
- In embodiments, the eyepiece may have brightness, contrast, spatial, resolution, and the like control over the eyepiece projected area, such as to alter and improve the user's view of the projected content against a bright or dark surrounding environment. For example, a user may be using the eyepiece under bright daylight conditions, and in order for the user to clearly see the displayed content the display area my need to be altered in brightness and/or contrast. Alternatively, the viewing area surrounding the display area may be altered. In addition, the area altered, whether within the display area or not, may be spatially oriented or controlled per the application being implemented. For instance, only a small portion of the display area may need to be altered, such as when that portion of the display area deviates from some determined or predetermined contrast ratio between the display portion of the display area and the surrounding environment. In embodiments, portions of the lens may be altered in brightness, contrast, spatial extent, resolution, and the like, such as fixed to include the entire display area, adjusted to only a portion of the lens, adaptable and dynamic to changes in lighting conditions of the surrounding environment and/or the brightness-contrast of the displayed content, and the like. Spatial extent (e.g. the area affected by the alteration) and resolution (e.g. display optical resolution) may vary over different portions of the lens, including high resolution segments, low resolution segments, single pixel segments, and the like, where differing segments may be combined to achieve the viewing objectives of the application(s) being executed. In embodiments, technologies for implementing alterations of brightness, contrast, spatial extent, resolution, and the like, may include electrochromic materials, LCD technologies, embedded beads in the optics, flexible displays, suspension particle device (SPD) technologies, colloid technologies, and the like.
- In embodiments, there may be various modes of activation of the electrochromic layer. For example, the user may enter sunglass mode where the composite lenses appear only somewhat darkened or the user may enter “Blackout” mode, where the composite lenses appear completely blackened.
- In an example of a technology that may be employed in implementing the alterations of brightness, contrast, spatial extent, resolution, and the like, may be electrochromic materials, films, inks, and the like. Electrochromism is the phenomenon displayed by some materials of reversibly changing appearance when electric charge is applied. Various types of materials and structures can be used to construct electrochromic devices, depending on the specific applications. For instance, electrochromic materials include tungsten oxide (WO3), which is the main chemical used in the production of electrochromic windows or smart glass. In embodiments, electrochromic coatings may be used on the lens of the eyepiece in implementing alterations. In another example, electrochromic displays may be used in implementing ‘electronic paper’, which is designed to mimic the appearance of ordinary paper, where the electronic paper displays reflected light like ordinary paper. In embodiments, electrochromism may be implemented in a wide variety of applications and materials, including gyricon (consisting of polyethylene spheres embedded in a transparent silicone sheet, with each sphere suspended in a bubble of oil so that they can rotate freely), electro-phoretic displays (forming images by rearranging charged pigment particles using an applied electric field), E-Ink technology, electro-wetting, electro-fluidic, interferometric modulator, organic transistors embedded into flexible substrates, nano-chromics displays (NCD), and the like.
- In another example of a technology that may be employed in implementing the alterations of brightness, contrast, spatial extent, resolution, and the like, may be suspended particle devices (SPD). When a small voltage is applied to an SPD film, its microscopic particles, which in their stable state are randomly dispersed, become aligned and allow light to pass through. The response may be immediate, uniform, and with stable color throughout the film. Adjustment of the voltage may allow users to control the amount of light, glare and heat passing through. The system's response may range from a dark blue appearance, with up to full blockage of light in its off state, to clear in its on state. In embodiments, SPD technology may be an emulsion applied on a plastic substrate creating the active film. This plastic film may be laminated (as a single glass pane), suspended between two sheets of glass, plastic or other transparent materials, and the like.
- Referring to
FIGS. 8A-C , in certain embodiments, the electro-optics may be mounted in a monocular or binocular flip-up/flip-down arrangement in two parts: 1) electro-optics; and 2) correction lens.FIG. 8A depicts a two part eyepiece where the electro-optics are contained within amodule 802 that may be electrically connected to theeyepiece 804 via anelectrical connector 810, such as a plug, pin, socket, wiring, and the like. In this arrangement, thelens 818 in theframe 814 may be a correction lens entirely. The interpupillary distance (IPD) between the two halves of the electro-optic module 802 may be adjusted at thebridge 808 to accommodate various IPDs. Similarly, the placement of thedisplay 812 may be adjusted via thebridge 808.FIG. 8B depicts the binocular electro-optics module 802 where one half is flipped up and the other half is flipped down. The nose bridge may be fully adjustable and elastomeric. This enables 3-point mounting on nose bridge and ears with a head strap to assure the stability of images in the user's eyes, unlike the instability of helmet-mounted optics, that shift on the scalp. Referring toFIG. 8C , thelens 818 may be ANSI-compliant, hard-coat scratch-resistant polycarbonate ballistic lenses, may be chromic, may have an angular sensitive coating, may include a UV-sensitive material, and the like. In this arrangement, the electro-optics module may include a CMOS-based VIS/NIR/SWIR black silicon sensor for night vision capability. The electro-optics module 802 may feature quick disconnect capability for user flexibility, field replacement and upgrade. The electro-optics module 802 may feature an integrated power dock. - As in
FIG. 79 , the flip-up/flip-down lens 7910 may include alight block 7908. Removable, elastomeric night adapters/light dams/light blocks 7908 may be used to shield the flip-up/flip-down lens 7910, such as for night operations. The exploded top view of the eyepiece also depicts aheadstrap 7900,frame 7904, andadjustable nose bridge 7902.FIG. 80 depicts an exploded view of the electro-optic assembly in a front (A) and side angle (B) view. Aholder 8012 holds the see-through optic withcorrective lens 7910. An O-ring 8020 andscrew 8022 secures the holder to theshaft 8024. Aspring 8028 provides a spring-loaded connection between theholder 8012 andshaft 8024. Theshaft 8024 connects to theattachment bracket 8014, which secures to the eyepiece using thethumbscrew 8018. Theshaft 8024 serves as a pivot and an IPD adjustment tool using theIPD adjustment knob 8030. As seen inFIG. 81 , theknob 8030 rotates alongadjustment threads 8134. Theshaft 8024 also features two setscrew grooves 8132. - In embodiments, a photochromic layer may be included as part of the optics of the eyepiece. Photochromism is the reversible transformation of a chemical species between two forms by the absorption of electromagnetic radiation, where the two forms have different absorption spectra, such as a reversible change of color, darkness, and the like, upon exposure to a given frequency of light. In an example, a photochromic layer may be included between the waveguide and corrective optics of the eyepiece, on the outside of the corrective optic, and the like. In embodiments, a photochromic layer (such as used as a darkening layer) may be activated with a UV diode, or other photochromic responsive wavelength known in the art. In the case of the photochromic layer being activated with UV light, the eyepiece optics may also include a UV coating outside the photochromic layer to prevent UV light from the Sun from accidentally activating it.
- Photochromics are presently fast to change from light to dark and slow to change from dark to light. This due to the molecular changes that are involved with the photochromic material changing from clear to dark. Photochromic molecules are vibrating back to clear after the UV light, such as UV light from the sun, is removed. By increasing the vibration of the molecules, such as by exposure to heat, the optic will clear quicker. The speed at which the photochromic layer goes from dark to light may be temperature-dependent. Rapid changing from dark to light is particularly important for military applications where users of sunglasses often go from a bright outside environment to a dark inside environment and it is important to be able to see quickly in the inside environment.
- This disclosure provides a photochromic film device with an attached heater that is used to accelerate the transition from dark to clear in the photochromic material. This method relies on the relationship between the speed of transition of photochromic materials from dark to clear wherein the transition is faster at higher temperatures. To enable the heater to increase the temperature of the photochromic material rapidly, the photochromic material is provided as a thin layer with a thin heater. By keeping the thermal mass of the photochromic film device low per unit area, the heater only has to provide a small amount of heat to rapidly produce a large temperature change in the photochromic material. Since the photochromic material only needs to be at a higher temperature during the transition from dark to clear, the heater only needs to be used for short periods of time so the power requirement is low.
- The heater may be a thin and transparent heater element, such as an ITO heater or any other transparent and electrically conductive film material. When a user needs the eyepiece to go clear quickly, the user may activate the heater element by any of the control techniques discussed herein.
- In an embodiment, the heater element may be used to calibrate the photochromic element to compensate for cold ambient conditions when the lenses might go dark on their own.
- In another embodiment, a thin coat of photochromic material may be deposited on a thick substrate with the heater element layered on top. For example, the cover sunglass lens may comprise an accelerated photochromic solution and still have a separate electrochromic patch over the display area that may optionally be controlled with or without UV light.
-
FIG. 94A depicts a photochromic film device with a serpentine heater pattern andFIG. 94B depicts a side view of a photochromic film device wherein the device is a lens for sunglasses. The photochromic film device is shown above and not contacting a protective cover lens to reduce the thermal mass of the device. - U.S. Pat. No. 3,152,215 describes a heater layer combined with a photochromic layer to heat the photochromic material for the purpose of reducing the time to transition from dark to clear. However, the photochromic layer is positioned in a wedge which would greatly increase the thermal mass of the device and thereby decrease the rate that the heater could change the temperature of the photochromic material or alternately greatly increase the power required to change the temperature of the photochromic material.
- This disclosure includes the use of a thin carrier layer that the photochromic material is applied to. The carrier layer can be glass or plastic. The photochromic material can be applied by vacuum coating, by dipping or by thermal diffusion into the carrier layer as is well known in the art. The thickness of the carrier layer can be 150 microns or less. The selection of the thickness of the carrier layer is selected based on the desired darkness of the photochromic film device in the dark state and the desired speed of transition between the dark state and the clear state. Thicker carrier layers can be darker in the dark state while being slower to heat to an elevated temperature due to having more thermal mass. Conversely, thinner carrier layers can be less dark in the dark state while being faster to heat to an elevated temperature due to having less thermal mass.
- The protective layer shown in
FIG. 94 is separated from the photochromic film device to keep the thermal mass of the photochromic film device low. In this way, the protective layer can be made thicker to provide higher impact strength. The protective layer can be glass or plastic, for example the protective layer can be polycarbonate. - The heater can be a transparent conductor that is patterned into a conductive path that is relatively uniform so that the heat generated over the length of the patterned heater is relatively uniform. An example of a transparent conductor that can be patterned is titanium dioxide. A larger area is provided at the ends of the heater pattern for electrical contacts such as is shown in
FIG. 94 . - As noted in the discussion for
FIG. 8A-C , the augmented reality glasses may include alens 818 for each eye of the wearer. Thelenses 818 may be made to fit readily into theframe 814, so that each lens may be tailored for the person for whom the glasses are intended. Thus, the lenses may be corrective lenses, and may also be tinted for use as sunglasses, or have other qualities suitable for the intended environment. Thus, the lenses may be tinted yellow, dark or other suitable color, or may be photochromic, so that the transparency of the lens decreases when exposed to brighter light. In one embodiment, the lenses may also be designed for snap fitting into or onto the frames, i.e., snap on lenses are one embodiment. For example, the lenses may be made from high-quality Schott optical glass and may include a polarizing filter. - Of course, the lenses need not be corrective lenses; they may simply serve as sunglasses or as protection for the optical system within the frame. In non-flip up/flip down arrangements, it goes without saying that the outer lenses are important for helping to protect the rather expensive waveguides, viewing systems and electronics within the augmented reality glasses. At a minimum, the outer lenses offer protection from scratching by the environment of the user, whether sand, brambles, thorns and the like, in one environment, and flying debris, bullets and shrapnel, in another environment. In addition, the outer lenses may be decorative, acting to change a look of the composite lens, perhaps to appeal to the individuality or fashion sense of a user. The outer lenses may also help one individual user to distinguish his or her glasses from others, for example, when many users are gathered together.
- It is desirable that the lenses be suitable for impact, such as a ballistic impact. Accordingly, in one embodiment, the lenses and the frames meet ANSI Standard Z87.1-2010 for ballistic resistance. In one embodiment, the lenses also meet ballistic standard CE EN166B. In another embodiment, for military uses, the lenses and frames may meet the standards of MIL-PRF-31013, standards 3.5.1.1 or 4.4.1.1. Each of these standards has slightly different requirements for ballistic resistance and each is intended to protect the eyes of the user from impact by high-speed projectiles or debris. While no particular material is specified, polycarbonate, such as certain Lexan® grades, usually is sufficient to pass tests specified in the appropriate standard.
- In one embodiment, as shown in
FIG. 8D , the lenses snap in from the outside of the frame, not the inside, for better impact resistance, since any impact is expected from the outside of the augmented reality eyeglasses. In this embodiment,replaceable lens 819 has a plurality of snap-fit arms 819 a which fit intorecesses 820 a offrame 820. Theengagement angle 819 b of the arm is greater than 90°, while theengagement angle 820 b of the recess is also greater than 90°. Making the angles greater than right angles has the practical effect of allowing removal oflens 819 from theframe 820. Thelens 819 may need to be removed if the person's vision has changed or if a different lens is desired for any reason. The design of the snap fit is such that there is a slight compression or bearing load between the lens and the frame. That is, the lens may be held firmly within the frame, such as by a slight interference fit of the lens within the frame. - The cantilever snap fit of
FIG. 8D is not the only possible way to removably snap-fit the lenses and the frame. For example, an annular snap fit may be used, in which a continuous sealing lip of the frame engages an enlarged edge of the lens, which then snap-fits into the lip, or possibly over the lip. Such a snap fit is typically used to join a cap to an ink pen. This configuration may have an advantage of a sturdier joint with fewer chances for admission of very small dust and dirt particles. Possible disadvantages include the fairly tight tolerances required around the entire periphery of both the lens and frame, and the requirement for dimensional integrity in all three dimensions over time. - It is also possible to use an even simpler interface, which may still be considered a snap-fit. A groove may be molded into an outer surface of the frame, with the lens having a protruding surface, which may be considered a tongue that fits into the groove. If the groove is semi-cylindrical, such as from about 270° to about 300°, the tongue will snap into the groove and be firmly retained, with removal still possible through the gap that remains in the groove. In this embodiment, shown in
FIG. 8E , a lens or replacement lens or cover 826 with atongue 828 may be inserted into agroove 827 in aframe 825, even though the lens or cover is not snap-fit into the frame. Because the fit is a close one, it will act as a snap-fit and securely retain the lens in the frame. - In another embodiment, the frame may be made in two pieces, such as a lower portion and an upper portion, with a conventional tongue-and-groove fit. In another embodiment, this design may also use standard fasteners to ensure a tight grip of the lens by the frame. The design should not require disassembly of anything on the inside of the frame. Thus, the snap-on or other lens or cover should be assembled onto the frame, or removed from the frame, without having to go inside the frame. As noted in other parts of this disclosure, the augmented reality glasses have many component parts. Some of the assemblies and subassemblies may require careful alignment. Moving and jarring these assemblies may be detrimental to their function, as will moving and jarring the frame and the outer or snap-on lens or cover.
- In embodiments, the flip-up/flip-down arrangement enables a modular design for the eyepiece. For example, not only can the eyepiece be equipped with a monocular or
binocular module 802, but thelens 818 may also be swapped. In embodiments, additional features may be included with themodule 802, either associated with one or bothdisplays 812. Referring toFIG. 8F , either monocular or binocular versions of themodule 802 may be display only 852 (monocular), 854 (binocular) or may be equipped with a forward-looking camera 858 (monocular), and 860 & 862 (binocular). In some embodiments, the module may have additional integrated electronics, such as a GPS, a laser range finder, and the like. In theembodiment 862 enabling urban leader tactical response, awareness & visualization, also known as ‘Ultra-Vis’, a binocular electro-optic module 862 is equipped with stereo forward-lookingcameras 870, GPS, and alaser range finder 868. These features may enable the Ultra-Vis embodiment to have panoramic night vision, and panoramic night vision with laser range finder and geo location. - In an embodiment, the electro-optics characteristics may be, but not limited to, as follows:
-
Optic Characteristics Value WAVEGUIDE virtual display field of view ~25-30 degrees (equivalent to the FOV (Diagonal) of a 24″ monitor viewed at 1 m distance) see-through field of view more than 80 degrees eye clearance more than 18 mm Material zeonex optical plastic weight approx 15 grams Wave Guide dimensions 60 × 30 × 10 mm (or 9) Size 15.5 mm (diagonal) Optic Characteristics Value Material PMMA (optical plastics) FOV 53.5° (diagonal) Active display area 12.7 mm × 9.0 mm Resolution 800 × 600 pixels VIRTUAL IMAGING SYSTEM Type Folded FFS prism Effective focal length 15 mm Exit pupil diameter 8 mm Eye relief 18.25 mm F# 1.875 Number of free form surfaces 2-3 AUGMENTED VIEWING SYSTEM Type Free form Lens Number of free form surfaces 2 Other Parameters Wavelength 656.3-486.1 nm Field of view 45°H × 32°V Vignetting 0.15 for the top and bottom fields Distortion <12% at the maximum field Image quality MTF > 10% at 30 lp/mm - In an embodiment, the Projector Characteristics may be as follows:
-
Projector Characteristics Value Brightness Adjustable, .25-2 Lumens Voltage 3.6 VDC Illumination Red, Green and Blue LEDs Display SVGA 800 × 600 dpi Syndiant LCOS Display Power Consumption Adjustable, 50 to 250 mw Target MPE Dimensions Approximately 24 mm × 12 mm × 6 mm Focus Adjustable Optics Housing 6061-T6 Aluminum and Glass-filled ABS/ PC Weight 5 gms RGB Engine Adjustable Color Output ARCHITECTURE 2x 1 GHZ processor cores 633 MHZ DSPs 30M polygons/sec DC graphics accelerator IMAGE CORRECTION real-time sensing image enhancement noise reduction keystone correction perspective correction - In another embodiment, an augmented reality eyepiece may include electrically-controlled lenses as part of the microprojector or as part of the optics between the microprojector and the waveguide.
FIG. 21 depicts an embodiment with such liquid lenses 2152. - The glasses may also include at least one camera or
optical sensor 2130 that may furnish an image or images for viewing by the user. The images are formed by amicroprojector 2114 on each side of the glasses for conveyance to thewaveguide 2108 on that side. In one embodiment, an additional optical element, a variable focus lens 2152 may also be furnished. The lens may be electrically adjustable by the user so that the image seen in thewaveguides 2108 are focused for the user. In embodiments, the camera may be a multi-lens camera, such as an ‘array camera’, where the eyepiece processor may combine the data from the multiple lenses and multiple viewpoints of the lenses to build a single high-quality image. This technology may be referred to as computational imaging, since software is used to process the image. Computational imaging may provide image-processing advantages, such as allowing processing of the composite image as a function of individual lens images. For example, since each lens may provide it's own image, the processor may provide image processing to create images with special focusing, such as foveal imaging, where the focus from one of the lens images is clear, higher resolution, and the like, and where the rest of the image is defocused, lower resolution, and the like. The processor may also select portions of the composite image to store in memory, while deleting the rest, such as when memory storage is limited and only portions of the composite image are critical to save. In embodiments, use of the array camera may provide the ability to alter the focus of an image after the image has been taken. In addition to the imaging advantages of an array camera, the array camera may provide a thinner mechanical profile than a traditional single-lens assembly, thus making it easier to integrate into the eyepiece. - Variable lenses may include the so-called liquid lenses furnished by Varioptic, S.A., Lyons, France, or by LensVector, Inc., Mountain View, Calif., U.S.A. Such lenses may include a central portion with two immiscible liquids. Typically, in these lenses, the path of light through the lens, i.e., the focal length of the lens is altered or focused by applying an electric potential between electrodes immersed in the liquids. At least one of the liquids is affected by the resulting electric or magnetic field potential. Thus, electrowetting may occur, as described in U.S. Pat. Appl. Publ. 2010/0007807, assigned to LensVector, Inc. Other techniques are described in LensVector Pat. Appl. Pubis. 2009/021331 and 2009/0316097. All three of these disclosures are incorporated herein by reference, as though each page and figures were set forth verbatim herein.
- Other patent documents from Varioptic, S.A., describe other devices and techniques for a variable focus lens, which may also work through an electrowetting phenomenon. These documents include U.S. Pats. No. 7,245,440 and 7,894,440 and U.S. Pat. Appl. Pubis. 2010/0177386 and 2010/0295987, each of which is also incorporated herein by reference, as though each page and figures were set forth verbatim herein. In these documents, the two liquids typically have different indices of refraction and different electrical conductivities, e.g., one liquid is conductive, such as an aqueous liquid, and the other liquid is insulating, such as an oily liquid. Applying an electric potential may change the thickness of the lens and does change the path of light through the lens, thus changing the focal length of the lens.
- The electrically-adjustable lenses may be controlled by the controls of the glasses. In one embodiment, a focus adjustment is made by calling up a menu from the controls and adjusting the focus of the lens. The lenses may be controlled separately or may be controlled together. The adjustment is made by physically turning a control knob, by indicating with a gesture, or by voice command. In another embodiment, the augmented reality glasses may also include a rangefinder, and focus of the electrically-adjustable lenses may be controlled automatically by pointing the rangefinder, such as a laser rangefinder, to a target or object a desired distance away from the user.
- As shown in U.S. Pat. No. 7,894,440, discussed above, the variable lenses may also be applied to the outer lenses of the augmented reality glasses or eyepiece. In one embodiment, the lenses may simply take the place of a corrective lens. The variable lenses with their electric-adjustable control may be used instead of or in addition to the image source- or projector-mounted lenses. The corrective lens inserts provide corrective optics for the user's environment, the outside world, whether the waveguide displays are active or not.
- It is important to stabilize the images presented to the wearer of the augmented reality glasses or eyepiece(s), that is, the images seen in the waveguide. The view or images presented travel from one or two digital cameras or sensors mounted on the eyepiece, to digital circuitry, where the images are processed and, if desired, stored as digital data before they appear in the display of the glasses. In any event, and as discussed above, the digital data is then used to form an image, such as by using an LCOS display and a series of RGB light emitting diodes. The light images are processed using a series of lenses, a polarizing beam splitter, an electrically-powered liquid corrective lens and at least one transition lens from the projector to the waveguide.
- The process of gathering and presenting images includes several mechanical and optical linkages between components of the augmented reality glasses. It seems clear, therefore, that some form of stabilization will be required. This may include optical stabilization of the most immediate cause, the camera itself, since it is mounted on a mobile platform, the glasses, which themselves are movably mounted on a mobile user. Accordingly, camera stabilization or correction may be required. In addition, at least some stabilization or correction should be used for the liquid variable lens. Ideally, a stabilization circuit at that point could correct not only for the liquid lens, but also for any aberration and vibration from many parts of the circuit upstream from the liquid lens, including the image source. One advantage of the present system is that many commercial off-the-shelf cameras are very advanced and typically have at least one image-stabilization feature or option. Thus, there may be many embodiments of the present disclosure, each with a same or a different method of stabilizing an image or a very fast stream of images, as discussed below. The term optical stabilization is typically used herein with the meaning of physically stabilizing the camera, camera platform, or other physical object, while image stabilization refers to data manipulation and processing.
- One technique of image stabilization is performed on digital images as they are formed. This technique may use pixels outside the border of the visible frame as a buffer for the undesired motion. Alternatively, the technique may use another relatively steady area or basis in succeeding frames. This technique is applicable to video cameras, shifting the electronic image from frame to frame of the video in a manner sufficient to counteract the motion. This technique does not depend on sensors and directly stabilizes the images by reducing vibrations and other distracting motion from the moving camera. In some techniques, the speed of the images may be slowed in order to add the stabilization process to the remainder of the digital process, and requiring more time per image. These techniques may use a global motion vector calculated from frame-to-frame motion differences to determine the direction of the stabilization.
- Optical stabilization for images uses a gravity- or electronically-driven mechanism to move or adjust an optical element or imaging sensor such that it counteracts the ambient vibrations. Another way to optically stabilize the displayed content is to provide gyroscopic correction or sensing of the platform housing the augmented reality glasses, e.g., the user. As noted above, the sensors available and used on the augmented reality glasses or eyepiece include MEMS gyroscopic sensors. These sensors capture movement and motion in three dimensions in very small increments and can be used as feedback to correct the images sent from the camera in real time. It is clear that at least a large part of the undesired and undesirable movement probably is caused by movement of the user and the camera itself. These larger movements may include gross movements of the user, e.g., walking or running, riding in a vehicle. Smaller vibrations may also result within the augmented reality eyeglasses, that is, vibrations in the components in the electrical and mechanical linkages that form the path from the camera (input) to the image in the waveguide (output). These gross movements may be more important to correct or to account for, rather than, for instance, independent and small movements in the linkages of components downstream from the projector. In embodiments, the gyroscopic stabilization may stabilize the image when it is subject to a periodic motion. For such periodic motion, the gyroscope may determine the periodicity of the user's motion and transmit the information to a processor to correct for the placement of content in the user's view. The gyroscope may utilize a rolling average of two or three or more cycles of periodic motion in determining the periodicity. Other sensors may also be used to stabilize the image or correctly place the image in the user's field of view, such as an accelerometer, a position sensor, a distance sensor, a rangefinder, a biological sensor, a geodetic sensor, an optical sensor, a video sensor, a camera, an infrared sensor, a light sensor, a photocell sensor, or an RF sensor. When a sensor detects user head or eye movement, the sensor provides an output to a processor which may determine the direction, speed, amount, and rate of the user's head or eye movement. The processor may convert this information into a suitable data structure for further processing by the processor controlling the optical assembly (which may be the same processor). The data structure may be one or more vector quantities. For example, the direction of the vector may define the orientation of the movement, and the length of the vector may define the rate of the movement. Using the processed sensor output, the display of content is adjusted accordingly.
- Motion sensing may thus be used to sense the motion and correct for it, as in optical stabilization, or to sense the motion and then correct the images that are being taken and processed, as in image stabilization. An apparatus for sensing motion and correcting the images or the data is depicted in
FIG. 34A . In this apparatus, one or more kinds of motion sensors may be used, including accelerometers, angular position sensors or gyroscopes, such as MEMS gyroscopes. Data from the sensors is fed back to the appropriate sensor interfaces, such as analog to digital converters (ADCs) or other suitable interface, such as digital signal processors (DSPs). A microprocessor then processes this information, as discussed above, and sends image-stabilized frames to the display driver and then to the see-through display or waveguide discussed above. In one embodiment, the display begins with the RGB display in the microprojector of the augmented reality eyepiece. - In another embodiment, a video sensor or augmented reality glasses, or other device with a video sensor may be mounted on a vehicle. In this embodiment, the video stream may be communicated through a telecommunication capability or an Internet capability to personnel in the vehicle. One application could be sightseeing or touring of an area. Another embodiment could be exploring or reconnaissance, or even patrolling, of an area. In these embodiments, gyroscopic stabilization of the image sensor would be helpful, rather than applying a gyroscopic correction to the images or digital data representing the images. An embodiment of this technique is depicted in
FIG. 34B . In this technique, a camera orimage sensor 3407 is mounted on avehicle 3401. One ormore motion sensors 3406, such as gyroscopes, are mounted in thecamera assembly 3405. A stabilizingplatform 3403 receives information from the motion sensors and stabilizes thecamera assembly 3405, so that jitter and wobble are minimized while the camera operates. This is true optical stabilization. Alternatively, the motion sensors or gyroscopes may be mounted on or within the stabilizing platform itself. This technique would actually provide optical stabilization, stabilizing the camera or image sensor, in contrast to digital stabilization, correcting the image afterwards by computer processing of the data taken by the camera. - In one technique, the key to optical stabilization is to apply the stabilization or correction before an image sensor converts the image into digital information. In one technique, feedback from sensors, such as gyroscopes or angular velocity sensors, is encoded and sent to an actuator that moves the image sensor, much as an autofocus mechanism adjusts a focus of a lens. The image sensor is moved in such a way as to maintain the projection of the image onto the image plane, which is a function of the focal length of the lens being used. Autoranging and focal length information, perhaps from a range finder of the interactive head-mounted eyepiece, may be acquired through the lens itself. In another technique, angular velocity sensors, sometimes also called gyroscopic sensors, can be used to detect, respectively, horizontal and vertical movements. The motion detected may then be fed back to electromagnets to move a floating lens of the camera. This optical stabilization technique, however, would have to be applied to each lens contemplated, making the result rather expensive.
- Stabilization of the liquid lens is discussed in U.S. Pat. Appl. Publ. 2010/0295987, assigned to Varioptic, S.A., Lyon, France. In theory, control of a liquid lens is relatively simple, since there is only one variable to control: the level of voltage applied to the electrodes in the conducting and non-conducting liquids of the lens, using, for examples, the lens housing and the cap as electrodes. Applying a voltage causes a change or tilt in the liquid-liquid interface via the electrowetting effect. This change or tilt adjusts the focus or output of the lens. In its most basic terms, a control scheme with feedback would then apply a voltage and determine the effect of the applied voltage on the result, i.e., a focus or an astigmatism of the image. The voltages may be applied in patterns, for example, equal and opposite + and − voltages, both positive voltages of differing magnitude, both negative voltages of differing magnitude, and so forth. Such lenses are known as electrically variable optic lenses or electro-optic lenses.
- Voltages may be applied to the electrodes in patterns for a short period of time and a check on the focus or astigmatism made. The check may be made, for instance, by an image sensor. In addition, sensors on the camera or in this case the lens, may detect motion of the camera or lens. Motion sensors would include accelerometers, gyroscopes, angular velocity sensors or piezoelectric sensors mounted on the liquid lens or a portion of the optic train very near the liquid lens. In one embodiment, a table, such as a calibration table, is then constructed of voltages applied and the degree of correction or voltages needed for given levels of movement. More sophistication may also be added, for example, by using segmented electrodes in different portions of the liquid so that four voltages may be applied rather than two. Of course, if four electrodes are used, four voltages may be applied, in many more patterns than with only two electrodes. These patterns may include equal and opposite positive and negative voltages to opposite segments, and so forth. An example is depicted in
FIG. 34C . Fourelectrodes 3409 are mounted within a liquid lens housing (not shown). Two electrodes are mounted in or near the non-conducting liquid and two are mounted in or near the conducting liquid. Each electrode is independent in terms of the possible voltage that may be applied. - Look-up or calibration tables may be constructed and placed in the memory of the augmented reality glasses. In use, the accelerometer or other motion sensor will sense the motion of the glasses, i.e., the camera on the glasses or the lens itself. A motion sensor such as an accelerometer will sense in particular, small vibration-type motions that interfere with smooth delivery of images to the waveguide. In one embodiment, the image stabilization techniques described here can be applied to the electrically-controllable liquid lens so that the image from the projector is corrected immediately. This will stabilize the output of the projector, at least partially correcting for the vibration and movement of the augmented reality eyepiece, as well as at least some movement by the user. There may also be a manual control for adjusting the gain or other parameter of the corrections. Note that this technique may also be used to correct for near-sightedness or far-sightedness of the individual user, in addition to the focus adjustment already provided by the image sensor controls and discussed as part of the adjustable-focus projector.
- Another variable focus element uses tunable liquid crystal cells to focus an image. These are disclosed, for example, in U.S. Pat. Appl. Publ. Nos. 2009/0213321, 2009/0316097 and 2010/0007807, which are hereby incorporated by reference in their entirety and relied on. In this method, a liquid crystal material is contained within a transparent cell, preferably with a matching index of refraction. The cell includes transparent electrodes, such as those made from indium tin oxide (ITO). Using one spiral-shaped electrode, and a second spiral-shaped electrode or a planar electrode, a spatially non-uniform magnetic field is applied. Electrodes of other shapes may be used. The shape of the magnetic field determines the rotation of molecules in the liquid crystal cell to achieve a change in refractive index and thus a focus of the lens. The liquid crystals can thus be electromagnetically manipulated to change their index of refraction, making the tunable liquid crystal cell act as a lens.
- In a first embodiment, a tunable
liquid crystal cell 3420 is depicted inFIG. 34D . The cell includes an inner layer ofliquid crystal 3421 andthin layers 3423 of orienting material such as polyimide. This material helps to orient the liquid crystals in a preferred direction.Transparent electrodes 3425 are on each side of the orienting material. An electrode may be planar, or may be spiral shaped as shown on the right inFIG. 34D .Transparent glass substrates 3427 contain the materials within the cell. The electrodes are formed so that they will lend shape to the magnetic field. As noted, a spiral shaped electrode on one or both sides, such that the two are not symmetrical, is used in one embodiment. A second embodiment is depicted inFIG. 34E . Tunableliquid crystal cell 3430 includes centralliquid crystal material 3431, transparentglass substrate walls 3433, and transparent electrodes.Bottom electrode 3435 is planar, whiletop electrode 3437 is in the shape of a spiral. Transparent electrodes may be made of indium tin oxide (ITO). - Additional electrodes may be used for quick reversion of the liquid crystal to a non-shaped or natural state. A small control voltage is thus used to dynamically change the refractive index of the material the light passes through. The voltage generates a spatially non-uniform magnetic field of a desired shape, allowing the liquid crystal to function as a lens.
- In one embodiment, the camera includes the black silicon, short wave infrared (SWIR) CMOS sensor described elsewhere in this patent. In another embodiment, the camera is a 5 megapixel (MP) optically-stabilized video sensor. In one embodiment, the controls include a 3 GHz microprocessor or microcontroller, and may also include a 633 MHz digital signal processor with a 30 M polygon/second graphic accelerator for real-time image processing for images from the camera or video sensor. In one embodiment, the augmented reality glasses may include a wireless internet, radio or telecommunications capability for wideband, personal area network (PAN), local area network (LAN), a wide local area network, WLAN, conforming to IEEE 802.11, or reach-back communications. The equipment furnished in one embodiment includes a Bluetooth capability, conforming to IEEE 802.15. In one embodiment, the augmented reality glasses include an encryption system, such as a 256-bit Advanced Encryption System (AES) encryption system or other suitable encryption program, for secure communications.
- In one embodiment, the wireless telecommunications may include a capability for a 3G or 4G network and may also include a wireless internet capability. In order for an extended life, the augmented reality eyepiece or glasses may also include at least one lithium-ion battery, and as discussed above, a recharging capability. The recharging plug may comprise an AC/DC power converter and may be capable of using multiple input voltages, such as 120 or 240 VAC. The controls for adjusting the focus of the adjustable focus lenses in one embodiment comprises a 2D or 3D wireless air mouse or other non-contact control responsive to gestures or movements of the user. A 2D mouse is available from Logitech, Fremont, Calif., USA. A 3D mouse is described herein, or others such as the Cideko AVK05 available from Cideko, Taiwan, R.O.C, may be used.
- In an embodiment, the eyepiece may comprise electronics suitable for controlling the optics, and associated systems, including a central processing unit, non-volatile memory, digital signal processors, 3-D graphics accelerators, and the like. The eyepiece may provide additional electronic elements or features, including inertial navigation systems, cameras, microphones, audio output, power, communication systems, sensors, stopwatch or chronometer functions, thermometer, vibratory temple motors, motion sensor, a microphone to enable audio control of the system, a UV sensor to enable contrast and dimming with photochromic materials, and the like.
- In an embodiment, the central processing unit (CPU) of the eyepiece may be an
OMAP 4, with dual 1 GHz processor cores. The CPU may include a 633 MHz DSP, giving a capability for the CPU of 30 million polygons/second. - The system may also provide dual micro-SD (secure digital) slots for provisioning of additional removable non-volatile memory.
- An on-board camera may provide 1.3 MP color and record up to 60 minutes of video footage. The recorded video may be transferred wirelessly or using a mini-USB transfer device to off-load footage.
- The communications system-on-a-chip (SOC) may be capable of operating with wide local area networks (WLAN), Bluetooth version 3.0, a GPS receiver, an FM radio, and the like.
- The eyepiece may operate on a 3.6 VDC lithium-ion rechargeable battery for long battery life and ease of use. An additional power source may be provided through solar cells on the exterior of the frame of the system. These solar cells may supply power and may also be capable of recharging the lithium-ion battery.
- The total power consumption of the eyepiece may be approximately 400 mW, but is variable depending on features and applications used. For example, processor-intensive applications with significant video graphics demand more power, and will be closer to 400 mW. Simpler, less video-intensive applications will use less power. The operation time on a charge also may vary with application and feature usage.
- The micro-projector illumination engine, also known herein as the projector, may include multiple light emitting diodes (LEDs). In order to provide life-like color, Osram red, Cree green, and Cree blue LEDs are used. These are die-based LEDs. The RGB engine may provide an adjustable color output, allowing a user to optimize viewing for various programs and applications.
- In embodiments, illumination may be added to the glasses or controlled through various means. For example, LED lights or other lights may be embedded in the frame of the eyepiece, such as in the nose bridge, around the composite lens, or at the temples.
- The intensity of the illumination and or the color of illumination may be modulated. Modulation may be accomplished through the various control technologies described herein, through various applications, filtering and magnification.
- By way of example, illumination may be modulated through various control technologies described herein such as through the adjustment of a control knob, a gesture, eye movement, or voice command. If a user desires to increase the intensity of illumination, the user may adjust a control knob on the glasses or he may adjust a control knob in the user interface displayed on the lens or by other means. The user may use eye movements to control the knob displayed on the lens or he may control the knob by other means. The user may adjust illumination through a movement of the hand or other body movement such that the intensity or color of illumination changes based on the movement made by the user. Also, the user may adjust the illumination through a voice command such as by speaking a phrase requesting increased or decreased illumination or requesting other colors to be displayed. Additionally, illumination modulation may be achieved through any control technology described herein or by other means.
- Further, the illumination may be modulated per the particular application being executed. As an example, an application may automatically adjust the intensity of illumination or color of illumination based on the optimal settings for that application. If the current levels of illumination are not at the optimal levels for the application being executed, a message or command may be sent to provide for illumination adjustment.
- In embodiments, illumination modulation may be accomplished through filtering and or through magnification. For example, filtering techniques may be employed that allow the intensity and or color of the light to be changed such that the optimal or desired illumination is achieved. Also, in embodiments, the intensity of the illumination may be modulated by applying greater or less magnification to reach the desired illumination intensity.
- The projector may be connected to the display to output the video and other display elements to the user. The display used may be an SVGA 800×600 dots/inch SYNDIANT liquid crystal on silicon (LCoS) display.
- The target MPE dimensions for the system may be 24 mm×12 mm×6 mm
- The focus may be adjustable, allowing a user to refine the projector output to suit their needs.
- The optics system may be contained within a housing fabricated for 6061-T6 aluminum and glass-filled ABS/PC.
- The weight of the system, in an embodiment, is estimated to be 3.75 ounces, or 95 grams.
- In an embodiment, the eyepiece and associated electronics provide night vision capability. This night vision capability may be enabled by a black silicon SWIR sensor. Black silicon is a complementary metal-oxide silicon (CMOS) processing technique that enhances the photo response of silicon over 100 times. The spectral range is expanded deep into the short wave infra-red (SWIR) wavelength range. In this technique, a 300 nm deep absorbing and anti-reflective layer is added to the glasses. This layer offers improved responsivity as shown in
FIG. 11 , where the responsivity of black silicon is much greater than silicon's over the visible and NIR ranges and extends well into the SWIR range. This technology is an improvement over current technology, which suffers from extremely high cost, performance issues, as well as high volume manufacturability problems. Incorporating this technology into night vision optics brings the economic advantages of CMOS technology into the design. - Unlike current night-vision goggles (NVGs), which amplify starlight or other ambient light from the visible light spectrum, SWIR sensors pick up individual photons and convert light in the SWIR spectrum to electrical signals, similar to digital photography. The photons can be produced from the natural recombination of oxygen and hydrogen atoms in the atmosphere at night, also referred to as “Night Glow.” Shortwave infrared devices see objects at night by detecting the invisible, shortwave infrared radiation within reflected star light, city lights or the moon. They also work in daylight, or through fog, haze or smoke, whereas the current NVG Image Intensifier infrared sensors would be overwhelmed by heat or brightness. Because shortwave infrared devices pick up invisible radiation on the edge of the visible spectrum, the SWIR images look like the images produced by visible light with the same shadows and contrast and facial details, only in black and white, dramatically enhancing recognition so people look like people; they don't look like blobs often seen with thermal Imagers. One of the important SWIR capabilities is of providing views of targeting lasers on the battlefield. Targeting lasers (1.064 um) are not visible with current night-vision goggles. With SWIR Electro-optics, soldiers will be able to view every targeting laser in use, including those used by the enemy. Unlike Thermal Imagers, which do not penetrate windows on vehicles or buildings, the Visible/Near Infrared/Short Wave Infrared Sensor can see through them—day or night, giving users an important tactical advantage.
- Certain advantages include using active illumination only when needed. In some instances there may be sufficient natural illumination at night, such as during a full moon. When such is the case, artificial night vision using active illumination may not be necessary. With black silicon CMOS-based SWIR sensors, active illumination may not be needed during these conditions, and is not provided, thus improving battery life.
- In addition, a black silicon image sensor may have over eight times the signal to noise ratio found in costly indium-gallium arsenide image sensors under night sky conditions. Better resolution is also provided by this technology, offering much higher resolution than available using current technology for night vision. Typically, long wavelength images produced by CMOS-based SWIR have been difficult to interpret, having good heat detection, but poor resolution. This problem is solved with a black image silicon SWIR sensor, which relies on much shorter wavelengths. SWIR is highly desirable for battlefield night vision glasses for these reasons.
FIG. 12 illustrates the effectiveness of black silicon night vision technology, providing both before and after images of seeing through a) dust; b) fog, and c) smoke. The images inFIG. 12 demonstrate the performance of the new VIS/NIR/SWIR black silicon sensor. In embodiments, the image sensor may be able to distinguish between changes in the natural environment, such as disturbed vegetation, disturbed ground, and the like. For example, an enemy combatant may have recently placed an explosive device in the ground, and so the ground over the explosive will be ‘disturbed ground’, and the image sensor (along with processing facilities internal or external to the eyepiece) may be able to distinguish the recently disturbed ground from the surrounding ground. In this way, a soldier may be able to detect the possible placement of an underground explosive device (e.g. an improvised explosive device (IED)) from a distance. - Previous night vision systems suffered from “blooms” from bright light sources, such as streetlights. These “blooms” were particularly strong in image intensifying technology and are also associated with a loss of resolution. In some cases, cooling systems are necessary in image intensifying technology systems, increasing weight and shortening battery power lifespan.
FIG. 17 shows the difference in image quality between A) a flexible platform of uncooled CMOS image sensors capable of VIS/NIR/SWIR imaging and B) an image intensified night vision system. -
FIG. 13 depicts the difference in structure between current or incumbentvision enhancement technology 1300 and uncooledCMOS image sensors 1307. The incumbent platform (FIG. 13A ) limits deployment because of cost, weight, power consumption, spectral range, and reliability issues. Incumbent systems are typically comprised of afront lens 1301,photocathode 1302,micro channel plate 1303, highvoltage power supply 1304,phosphorous screen 1305, andeyepiece 1306. This is in contrast to a flexible platform (FIG. 13B ) of uncooledCMOS image sensors 1307 capable of VIS/NIR/SWIR imaging at a fraction of the cost, power consumption, and weight. These much simpler sensors include afront lens 1308 and animage sensor 1309 with a digital image output. - These advantages derive from the CMOS compatible processing technique that enhances the photo response of silicon over 100 times and extends the spectral range deep into the short wave infrared region. The difference in responsivity is illustrated in
FIG. 13C . While typical night vision goggles are limited to the UV, visible and near infrared (NIR) ranges, to about 1100 nm (1.1 micrometers) the newer CMOS image sensor ranges also include the short wave infrared (SWIR) spectrum, out to as much as 2000 nm (2 micrometers). - The black silicon core technology may offer significant improvement over current night vision glasses. Femtosecond laser doping may enhance the light detection properties of silicon across a broad spectrum. Additionally, optical response may be improved by a factor of 100 to 10,000. The black silicon technology is a fast, scalable, and CMOS compatible technology at a very low cost, compared to current night vision systems. Black silicon technology may also provide a low operation bias, with 3.3 V typical. In addition, uncooled performance may be possible up to 50° C. Cooling requirements of current technology increase both weight and power consumption, and also create discomfort in users. As noted above, the black silicon core technology offers a high-resolution replacement for current image intensifier technology. Black silicon core technology may provide high speed electronic shuttering at speeds up to 1000 frames/second with minimal cross talk. In certain embodiments of the night vision eyepiece, an OLED display may be preferred over other optical displays, such as the LCoS display.
- The eyepiece incorporating the VIS/NIR/SWIR black silicon sensor may provide for better situational awareness (SAAS) surveillance and real-time image enhancement.
- In some embodiments, the VIS/NIR/SWIR black silicon sensor may be incorporated into a form factor suitable for night vision only, such as a night vision goggle or a night vision helmet. The night vision goggle may include features that make it suitable for the military market, such as ruggedization and alternative power supplies, while other form factors may be suitable for the consumer or toy market. In one example, the night vision goggles may have extended range, such as 500-1200 nm, and may also useable as a camera.
- In some embodiments, the VIS/NIR/SWIR black silicon sensor as well as other outboard sensors may be incorporated into a mounted camera that may be mounted on transport or combat vehicles so that the real-time feed can be sent to the driver or other occupants of the vehicle by superimposing the video on the forward view without obstructing it. The driver can better see where he or she is going, the gunner can better see threats or targets of opportunity, and the navigator can better sense situational awareness (SAAS) while also looking for threats. The feed could also be sent to off-site locations as desired, such as higher headquarters of memory/storage locations for later use in targeting, navigation, surveillance, data mining, and the like.
- Further advantages of the eyepiece may include robust connectivity. This connectivity enables download and transmission using Bluetooth, Wi-Fi/Internet, cellular, satellite, 3G, FM/AM, TV, and UVB transceiver for sending/receiving vast amounts of data quickly. For example, the UWB transceiver may be used to create a very high data rate, low-probability-of-intercept/low-probability-of-detection (LPI/LPD), Wireless Personal Area Network (WPAN) to connect weapons sights, weapons-mounted mouse/controller, E/O sensors, medical sensors, audio/video displays, and the like. In other embodiments, the WPAN may be created using other communications protocols. For example, a WPAN transceiver may be a COTS-compliant module front end to make the power management of a combat radio highly responsive and to avoid jeopardizing the robustness of the radio. By integrating the ultra wideband (UWB) transceiver, baseband/MAC and encryption chips onto a module, a physically small dynamic and configurable transceiver to address multiple operational needs is obtained. The WPAN transceivers create a low power, encrypted, wireless personal area network (WPAN) between soldier worn devices. The WPAN transceivers can be attached or embedded into nearly any fielded military device with a network interface (handheld computers, combat displays, etc). The system is capable of supporting many users, AES encryption, robust against jamming and RF interference as well as being ideal for combat providing low probabilities of interception and detection (LPI/LPD). The WPAN transceivers eliminate the bulk, weight and “snagability” of data cables on the soldier. Interfaces include USB 1.1, USB 2.0 OTG, Ethernet 10-, 100 Base-T and RS232 9-pin D-Sub. The power output may be −10, −20 dBm outputs for a variable range of up to 2 meters. The data capacity may be 768 Mbps and greater. The bandwidth may be 1.7 GHz. Encryption may be 128-bit, 192-bit or 256-bit AES. The WPAN transceiver may include Optimized Message Authentication Code (MAC) generation. The WPAN transceiver may comply to MIL-STD-461F. The WPAN transceiver may be in the form of a connector dust cap and may attach to any fielded military device. The WPAN transceiver allows simultaneous video, voice, stills, text and chat, eliminates the need for data cables between electronic devices, allows hands-free control of multiple devices without distraction, features an adjustable connectivity range, interfaces with Ethernet and USB 2.0, features an adjustable frequency 3.1 to 10.6 GHz and 200 mw peak draw and nominal standby.
- For example, the WPAN transceiver may enable creating a WPAN between the
eyepiece 100 in the form of a GSE stereo heads-up combat display glasses, a computer, a remote computer controller, and biometric enrollment devices like that seen inFIG. 58 . In another example, the WPAN transceiver may enable creating a WPAN between the eyepiece in the form of flip-up/-down heads-up display combat glasses, the HUD CPU (if it is external), a weapon fore-grip controller, and a forearm computer similar to that seen inFIG. 58 . - The eyepiece may provide its own cellular connectivity, such as though a personal wireless connection with a cellular system. The personal wireless connection may be available for only the wearer of the eyepiece, or it may be available to a plurality of proximate users, such as in a Wi-Fi hot spot (e.g. MiFi), where the eyepiece provides a local hotspot for others to utilize. These proximate users may be other wearers of an eyepiece, or users of some other wireless computing device, such as a mobile communications facility (e.g. mobile phone). Through this personal wireless connection, the wearer may not need other cellular or Internet wireless connections to connect to wireless services. For instance, without a personal wireless connection integrated into the eyepiece, the wearer may have to find a WiFi connection point or tether to their mobile communications facility in order to establish a wireless connection. In embodiments, the eyepiece may be able to replace the need for having a separate mobile communications device, such as a mobile phone, mobile computer, and the like, by integrating these functions and user interfaces into the eyepiece. For instance, the eyepiece may have an integrated WiFi connection or hotspot, a real or virtual keyboard interface, a USB hub, speakers (e.g. to stream music to) or speaker input connections, integrated camera, external camera, and the like. In embodiments, an external device, in connectivity with the eyepiece, may provide a single unit with a personal network connection (e.g. WiFi, cellular connection), keyboard, control pad (e.g. a touch pad), and the like.
- Communications from the eyepiece may include communication links for special purposes. For instance, an ultra-wide bandwidth communications link may be utilized when sending and/or receiving large volumes of data in a short amount of time. In another instance, a near-field communications (NFC) link may be used with very limited transmission range in order to post information to transmit to personnel when they are very near, such as for tactical reasons, for local directions, for warnings, and the like. For example, a soldier may be able to post/hold information securely, and transmit only to people very near by with a need-to-know or need-to-use the information. In another instance, a wireless personal area network (PAN) may be utilized, such as to connect weapons sights, weapons-mounted mouse/controller, electro-optic sensors, medical sensors, audio-visual displays, and the like.
- The eyepiece may include MEMS-based inertial navigation systems, such as a GPS processor, an accelerometer (e.g. for enabling head control of the system and other functions), a gyroscope, an altimeter, an inclinometer, a speedometer/odometer, a laser rangefinder, and a magnetometer, which also enables image stabilization.
- The eyepiece may include integrated headphones, such as the articulating
earbud 120, that provide audio output to the user or wearer. - In an embodiment, a forward facing camera (see
FIG. 21 ) integrated with the eyepiece may enable basic augmented reality. In augmented reality, a viewer can image what is being viewed and then layer an augmented, edited, tagged, or analyzed version on top of the basic view. In the alternative, associated data may be displayed with or over the basic image. If two cameras are provided and are mounted at the correct interpupillary distance for the user, stereo video imagery may be created. This capability may be useful for persons requiring vision assistance. Many people suffer from deficiencies in their vision, such as near-sightedness, far-sightedness, and so forth. A camera and a very close, virtual screen as described herein provides a “video” for such persons, the video adjustable in terms of focal point, nearer or farther, and fully in control by the person via voice or other command. This capability may also be useful for persons suffering diseases of the eye, such as cataracts, retinitis pigmentosa, and the like. So long as some organic vision capability remains, an augmented reality eyepiece can help a person see more clearly. Embodiments of the eyepiece may feature one or more of magnification, increased brightness, and ability to map content to the areas of the eye that are still healthy. Embodiments of the eyepiece may be used as bifocals or a magnifying glass. The wearer may be able to increase zoom in the field of view or increase zoom within a partial field of view. In an embodiment, an associated camera may make an image of the object and then present the user with a zoomed picture. A user interface may allow a wearer to point at the area that he wants zoomed, such as with the control techniques described herein, so the image processing can stay on task as opposed to just zooming in on everything in the camera's field of view. - A rear-facing camera (not shown) may also be incorporated into the eyepiece in a further embodiment. In this embodiment, the rear-facing camera may enable eye control of the eyepiece, with the user making application or feature selection by directing his or her eyes to a specific item displayed on the eyepiece.
- A further embodiment of a device for capturing biometric data about individuals may incorporate a microcassegrain telescoping folded optic camera into the device. The microcassegrain telescoping folded optic camera may be mounted on a handheld device, such as the bio-print device, the bio-phone, and could also be mounted on glasses used as part of a bio-kit to collect biometric data.
- A cassegrain reflector is a combination of a primary concave mirror and a secondary convex mirror. These reflectors are often used in optical telescopes and radio antennas because they deliver good light (or sound) collecting capability in a shorter, smaller package.
- In a symmetrical cassegrain both mirrors are aligned about the optical axis, and the primary mirror usually has a hole in the center, allowing light to reach the eyepiece or a camera chip or light detection device, such as a CCD chip. An alternate design, often used in radio telescopes, places the final focus in front of the primary reflector. A further alternate design may tilt the mirrors to avoid obstructing the primary or secondary mirror and may eliminate the need for a hole in the primary mirror or secondary mirror. The microcassegrain telescoping folded optic camera may use any of the above variations, with the final selection determined by the desired size of the optic device.
- The
classic cassegrain configuration 3500 uses a parabolic reflector as the primary mirror and a hyperbolic mirror as the secondary mirror. Further embodiments of the microcassegrain telescoping folded optic camera may use a hyperbolic primary mirror and/or a spherical or elliptical secondary mirror. In operation the classic cassegrain with a parabolic primary mirror and a hyperbolic secondary mirror reflects the light back down through a hole in the primary, as shown inFIG. 35 . Folding the optical path makes the design more compact, and in a “micro” size, suitable for use with the bio-print sensor and bio-print kit described herein. In a folded optic system, the beam is bent to make the optical path much longer than the physical length of the system. One common example of folded optics is prismatic binoculars. In a camera lens the secondary mirror may be mounted on an optically flat, optically clear glass plate that closes the lens tube. This support eliminates “star-shaped” diffraction effects that are caused by a straight-vaned support spider. This allows for a sealed closed tube and protects the primary mirror, albeit at some loss of light collecting power. - The cassegrain design also makes use of the special properties of parabolic and hyperbolic reflectors. A concave parabolic reflector will reflect all incoming light rays parallel to its axis of symmetry to a single focus point. A convex hyperbolic reflector has two foci and reflects all light rays directed at one focus point toward the other focus point. Mirrors in this type of lens are designed and positioned to share one focus, placing the second focus of the hyperbolic mirror at the same point as where the image is observed, usually just outside the eyepiece. The parabolic mirror reflects parallel light rays entering the lens to its focus, which is coincident with the focus of the hyperbolic mirror. The hyperbolic mirror then reflects those light rays to the other focus point, where the camera records the image.
-
FIG. 36 shows the configuration of the microcassegrain telescoping folded optic camera. The camera may be mounted on augmented reality glasses, a bio-phone, or other biometric collection device. The assembly, 3600 has multiple telescoping segments that allow the camera to extend with cassegrain optics providing for a longer optical path.Threads 3602 allow the camera to be mounted on a device, such as augmented reality glasses or other biometric collection device. While the embodiment depicted inFIG. 36 uses threads, other mounting schemes such as bayonet mount, knobs, or press-fit, may also be used. Afirst telescoping section 3604 also acts as an external housing when the lens is in the fully retracted position. The camera may also incorporate a motor to drive the extension and retraction of the camera. Asecond telescoping section 3606 may also be included. Other embodiments may incorporate varying numbers of telescoping sections, depending on the length of optical path needed for the selected task or data to be collected. Athird telescoping section 3608 includes the lens and a reflecting mirror. The reflecting mirror may be a primary reflector if the camera is designed following classic cassegrain design. The secondary mirror may be contained infirst telescoping section 3604. - Further embodiments may utilize microscopic mirrors to form the camera, while still providing for a longer optical path through the use of folded optics. The same principles of cassegrain design are used.
-
Lens 3610 provides optics for use in conjunction with the folded optics of the cassegrain design. Thelens 3610 may be selected from a variety of types, and may vary depending on the application. Thethreads 3602 permit a variety of cameras to be interchanged depending on the needs of the user. - Eye control of feature and option selection may be controlled and activated by object recognition software loaded on the system processor. Object recognition software may enable augmented reality, combine the recognition output with querying a database, combine the recognition output with a computational tool to determine dependencies/likelihoods, and the like.
- Three-dimensional viewing is also possible in an additional embodiment that incorporates a 3D projector. Two stacked picoprojectors (not shown) may be used to create the three dimensional image output.
- Referring to
FIG. 10 , a plurality of digital CMOS Sensors with redundant micros and DSPs for each sensor array and projector detect visible, near infrared, and short wave infrared light to enable passive day and night operations, such as real-time image enhancement 1002, real-time keystone correction 1004, and real-timevirtual perspective correction 1008. The eyepiece may utilize digital CMOS image sensors and directional microphones (e.g. microphone arrays) as described herein, such as for visible imaging for monitoring the visible scene (e.g. for biometric recognition, gesture control, coordinated imaging with 2D/3D projected maps), IR/UV imaging for scene enhancement (e.g. seeing through haze, smoke, in the dark), sound direction sensing (e.g. the direction of a gunshot or explosion, voice detection), and the like. In embodiments, each of these sensor inputs may be fed to a digital signal processor (DSP) for processing, such as internal to the eyepiece or as interfaced to external processing facilities. The outputs of the DSP processing of each sensor input stream may then be algorithmically combined in a manner to generate useful intelligence data. For instance, this system may be useful for a combination of real-time facial recognition, real time voice detection, and analysis through links to a database, especially with distortion corrections and contemporaneous GPS location for soldiers, service personnel, and the like, such as in monitoring remote areas of interest, e.g., known paths or trails, or high-security areas. - The augmented reality eyepiece or glasses may be powered by any stored energy system, such as battery power, solar power, line power, and the like. A solar energy collector may be placed on the frame, on a belt clip, and the like. Battery charging may occur using a wall charger, car charger, on a belt clip, in a glasses case, and the like. In one embodiment, the eyepiece may be rechargeable and be equipped with a mini-USB connector for recharging. In another embodiment, the eyepiece may be equipped for remote inductive recharging by one or more remote inductive power conversion technologies, such as those provided by Powercast, Ligonier, Pa., USA; and Fulton Int'l. Inc., Ada, Mich., USA, which also owns another provider, Splashpower, Inc., Cambridge, UK.
- The augmented reality eyepiece also includes a camera and any interface necessary to connect the camera to the circuit. The output of the camera may be stored in memory and may also be displayed on the display available to the wearer of the glasses. A display driver may also be used to control the display. The augmented reality device also includes a power supply, such as a battery, as shown, power management circuits and a circuit for recharging the power supply. As noted elsewhere, recharging may take place via a hard connection, e.g., a mini-USB connector, or by means of an inductor, a solar panel input, and so forth.
- The control system for the eyepiece or glasses may include a control algorithm for conserving power when the power source, such as a battery, indicates low power. This conservation algorithm may include shutting power down to applications that are energy intensive, such as lighting, a camera, or sensors that require high levels of energy, such as any sensor requiring a heater, for example. Other conservation steps may include slowing down the power used for a sensor or for a camera, e.g., slowing the sampling or frame rates, going to a slower sampling or frame rate when the power is low; or shutting down the sensor or camera at an even lower level. Thus, there may be at least three operating modes depending on the available power: a normal mode; a conserve power mode; and an emergency or shutdown mode.
- Applications of the present disclosure may be controlled through movements and direct actions of the wearer, such as movement of his or her hand, finger, feet, head, eyes, and the like, enabled through facilities of the eyepiece (e.g. accelerometers, gyros, cameras, optical sensors, GPS sensors, and the like) and/or through facilities worn or mounted on the wearer (e.g. body mounted sensor control facilities). In this way, the wearer may directly control the eyepiece through movements and/or actions of their body without the use of a traditional hand-held remote controller. For instance, the wearer may have a sense device, such as a position sense device, mounted on one or both hands, such as on at least one finger, on the palm, on the back of the hand, and the like, where the position sense device provides position data of the hand, and provides wireless communications of position data as command information to the eyepiece. In embodiments, the sense device of the present disclosure may include a gyroscopic device (e.g. electronic gyroscope, MEMS gyroscope, mechanical gyroscope, quantum gyroscope, ring laser gyroscope, fiber optic gyroscope), accelerometers, MEMS accelerometers, velocity sensors, force sensors, pressure sensors, optical sensors, proximity sensor, RFID, and the like, in the providing of position information. For example, a wearer may have a position sense device mounted on their right index finger, where the device is able to sense motion of the finger. In this example, the user may activate the eyepiece either through some switching mechanism on the eyepiece or through some predetermined motion sequence of the finger, such as moving the finger quickly, tapping the finger against a hard surface, and the like. Note that tapping against a hard surface may be interpreted through sensing by accelerometers, force sensors, pressure sensors, and the like. The position sense device may then transmit motions of the finger as command information, such as moving the finger in the air to move a cursor across the displayed or projected image, moving in quick motion to indicate a selection, and the like. In embodiments, the position sense device may send sensed command information directly to the eyepiece for command processing, or the command processing circuitry may be co-located with the position sense device, such as in this example, mounted on the finger as part of an assembly including the sensors of the position sense device.
- In embodiments, the wearer may have a plurality of position sense devices mounted on their body. For instance, and in continuation of the preceding example, the wearer may have position sense devices mounted on a plurality of points on the hand, such as with individual sensors on different fingers, or as a collection of devices, such as in a glove. In this way, the aggregate sense command information from the collection of sensors at different locations on the hand may be used to provide more complex command information. For instance, the wearer may use a sensor device glove to play a game, where the glove senses the grasp and motion of the user's hands on a ball, bat, racket, and the like, in the use of the present disclosure in the simulation and play of a simulated game. In embodiments, the plurality of position sense devices may be mounted on different parts of the body, allowing the wearer to transmit complex motions of the body to the eyepiece for use by an application.
- In embodiments, the sense device may have a force sensor, pressure sensor, and the like, such as for detecting when the sense device comes in contact with an object. For instance, a sense device may include a force sensor at the tip of a wearer's finger. In this case, the wearer may tap, multiple tap, sequence taps, swipe, touch, and the like to generate a command to the eyepiece. Force sensors may also be used to indicate degrees of touch, grip, push, and the like, where predetermined or learned thresholds determine different command information. In this way, commands may be delivered as a series of continuous commands that constantly update the command information being used in an application through the eyepiece. In an example, a wearer may be running a simulation, such as a game application, military application, commercial application, and the like, where the movements and contact with objects, such as through at least one of a plurality of sense devices, are fed to the eyepiece as commands that influence the simulation displayed through the eyepiece. For instance, a sense device may be included in a pen controller, where the pen controller may have a force sensor, pressure sensor, inertial measurement unit, and the like, and where the pen controller may be used to produce virtual writing, control a cursor associated with the eyepiece's display, act as a computer mouse, provide control commands though physical motion and/or contact, and the like.
- In embodiments, the sense device may include an optical sensor or optical transmitter as a way for movement to be interpreted as a command. For instance, a sense device may include an optical sensor mounted on the hand of the wearer, and the eyepiece housing may include an optical transmitter, such that when a user moves their hand past the optical transmitter on the eyepiece, the motions may be interpreted as commands. A motion detected through an optical sensor may include swiping past at different speeds, with repeated motions, combinations of dwelling and movement, and the like. In embodiments, optical sensors and/or transmitters may be located on the eyepiece, mounted on the wearer (e.g. on the hand, foot, in a glove, piece of clothing), or used in combinations between different areas on the wearer and the eyepiece, and the like.
- In one embodiment, a number of sensors useful for monitoring the condition of the wearer or a person in proximity to the wearer are mounted within the augmented reality glasses. Sensors have become much smaller, thanks to advances in electronics technology. Signal transducing and signal processing technologies have also made great progress in the direction of size reduction and digitization. Accordingly, it is possible to have not merely a temperature sensor in the AR glasses, but an entire sensor array. These sensors may include, as noted, a temperature sensor, and also sensor to detect: pulse rate; beat-to-beat heart variability; EKG or ECG; respiration rate; core body temperature; heat flow from the body; galvanic skin response or GSR; EMG; EEG; EOG; blood pressure; body fat; hydration level; activity level; oxygen consumption; glucose or blood sugar level; body position; and UV radiation exposure or absorption. In addition, there may also be a retinal sensor and a blood oxygenation sensor (such as an Sp02 sensor), among others. Such sensors are available from a variety of manufacturers, including Vermed, Bellows Falls, Vt., USA; VTI, Ventaa, Finland; and ServoFlow, Lexington, Mass., USA.
- In some embodiments, it may be more useful to have sensors mounted on the person or on equipment of the person, rather than on the glasses themselves. For example, accelerometers, motion sensors and vibration sensors may be usefully mounted on the person, on clothing of the person, or on equipment worn by the person. These sensors may maintain continuous or periodic contact with the controller of the AR glasses through a Bluetooth® radio transmitter or other radio device adhering to IEEE 802.11 specifications. For example, if a physician wishes to monitor motion or shock experienced by a patient during a foot race, the sensors may be more useful if they are mounted directly on the person's skin, or even on a T-shirt worn by the person, rather than mounted on the glasses. In these cases, a more accurate reading may be obtained by a sensor placed on the person or on the clothing rather than on the glasses. Such sensors need not be as tiny as the sensors which would be suitable for mounting on the glasses themselves, and be more useful, as seen.
- The AR glasses or goggles may also include environmental sensors or sensor arrays. These sensors are mounted on the glasses and sample the atmosphere or air in the vicinity of the wearer. These sensors or sensor array may be sensitive to certain substances or concentrations of substances. For example, sensors and arrays are available to measure concentrations of carbon monoxide, oxides of nitrogen (“NOx”), temperature, relative humidity, noise level, volatile organic chemicals (VOC), ozone, particulates, hydrogen sulfide, barometric pressure and ultraviolet light and its intensity. Vendors and manufacturers include: Sensares, Crolles, FR; Cairpol, Ales, FR; Critical Environmental Technologies of Canada, Delta, B.C., Canada; Apollo Electronics Co., Shenzhen, China; and AV Technology Ltd., Stockport, Cheshire, UK. Many other sensors are well known. If such sensors are mounted on the person or on clothing or equipment of the person, they may also be useful. These environmental sensors may include radiation sensors, chemical sensors, poisonous gas sensors, and the like.
- In one embodiment, environmental sensors, health monitoring sensors, or both, are mounted on the frames of the augmented reality glasses. In another embodiment, the sensors may be mounted on the person or on clothing or equipment of the person. For example, a sensor for measuring electrical activity of a heart of the wearer may be implanted, with suitable accessories for transducing and transmitting a signal indicative of the person's heart activity.
- The signal may be transmitted a very short distance via a Bluetooth® radio transmitter or other radio device adhering to IEEE 802.15.1 specifications. Other frequencies or protocols may be used instead. The signal may then be processed by the signal-monitoring and processing equipment of the augmented reality glasses, and recorded and displayed on the virtual screen available to the wearer. In another embodiment, the signal may also be sent via the AR glasses to a friend or squad leader of the wearer. Thus, the health and well-being of the person may be monitored by the person and by others, and may also be tracked over time.
- In another embodiment, environmental sensors may be mounted on the person or on equipment of the person. For example, radiation or chemical sensors may be more useful if worn on outer clothing or a web-belt of the person, rather than mounted directly on the glasses. As noted above, signals from the sensors may be monitored locally by the person through the AR glasses. The sensor readings may also be transmitted elsewhere, either on demand or automatically, perhaps at set intervals, such as every quarter-hour or half-hour. Thus, a history of sensor readings, whether of the person's body readings or of the environment, may be made for tracking or trending purposes.
- In an embodiment, an RF/micropower impulse radio (MIR) sensor may be associated with the eyepiece and serve as a short-range medical radar. The sensor may operate on an ultra-wide band. The sensor may include an RF/impulse generator, receiver, and signal processor, and may be useful for detecting and measuring cardiac signals by measuring ion flow in cardiac cells within 3 mm of the skin. The receiver may be a phased array antenna to enable determining a location of the signal in a region of space. The sensor may be used to detect and identify cardiac signals through blockages, such as walls, water, concrete, dirt, metal, wood, and the like. For example, a user may be able to use the sensor to determine how many people are located in a concrete structure by how many heart rates are detected. In another embodiment, a detected heart rate may serve as a unique identifier for a person so that they may be recognized in the future. In an embodiment, the RF/impulse generator may be embedded in one device, such as the eyepiece or some other device, while the receiver is embedded in a different device, such as another eyepiece or device. In this way, a virtual “tripwire” may be created when a heart rate is detected between the transmitter and receiver. In an embodiment, the sensor may be used as an in-field diagnostic or self-diagnosis tool. EKG's may be analyzed and stored for future use as a biometric identifier. A user may receive alerts of sensed heart rate signals and how many heart rates are present as displayed content in the eyepiece.
-
FIG. 29 depicts anembodiment 2900 of an augmented reality eyepiece or glasses with a variety of sensors and communication equipment. One or more than one environmental or health sensors are connected to a sensor interface locally or remotely through a short range radio circuit and an antenna, as shown. The sensor interface circuit includes all devices for detecting, amplifying, processing and sending on or transmitting the signals detected by the sensor(s). The remote sensors may include, for example, an implanted heart rate monitor or other body sensor (not shown). The other sensors may include an accelerometer, an inclinometer, a temperature sensor, a sensor suitable for detecting one or more chemicals or gasses, or any of the other health or environmental sensors discussed in this disclosure. The sensor interface is connected to the microprocessor or microcontroller of the augmented reality device, from which point the information gathered may be recorded in memory, such as random access memory (RAM) or permanent memory, read only memory (ROM), as shown. - In an embodiment, a sense device enables simultaneous electric field sensing through the eyepiece. Electric field (EF) sensing is a method of proximity sensing that allows computers to detect, evaluate and work with objects in their vicinity. Physical contact with the skin, such as a handshake with another person or some other physical contact with a conductive or a non-conductive device or object, may be sensed as a change in an electric field and either enable data transfer to or from the eyepiece or terminate data transfer. For example, videos captured by the eyepiece may be stored on the eyepiece until a wearer of the eyepiece with an embedded electric field sensing transceiver touches an object and initiates data transfer from the eyepiece to a receiver. The transceiver may include a transmitter that includes a transmitter circuit that induces electric fields toward the body and a data sense circuit, which distinguishes transmitting and receiving modes by detecting both transmission and reception data and outputs control signals corresponding to the two modes to enable two-way communication. An instantaneous private network between two people may be generated with a contact, such as a handshake. Data may be transferred between an eyepiece of a user and a data receiver or eyepiece of the second user. Additional security measures may be used to enhance the private network, such as facial or audio recognition, detection of eye contact, fingerprint detection, biometric entry, and the like.
- In embodiments, there may be an authentication facility associated with accessing functionality of the eyepiece, such as access to displayed or projected content, access to restricted projected content, enabling functionality of the eyepiece itself (e.g. as through a login to access functionality of the eyepiece) either in whole or in part, and the like. Authentication may be provided through recognition of the wearer's voice, iris, retina, fingerprint, and the like, or other biometric identifier. For example, the eyepiece or an associated controller may have an IR, ultrasonic or capacitive tactile sensor for receiving control input related to authentication or other eyepiece functions. A capacitance sensor can detect a fingerprint and launch an application or otherwise control an eyepiece function. Each finger has a different fingerprint so each finger can be used to control different eyepiece functions or quick launch different applications or provide various levels of authentication. Capacitance does not work with gloves but an ultrasonic sensor does and can be used in the same way to provide biometric authentication or control. Ultrasonic sensors useful in the eyepiece or associated controller include Sonavation's SonicTouch™ technology used in Sonavation's SonicSlide™ sensors, which works by acoustically measuring the ridges and valleys of the fingerprint to image the fingerprint in 256 shades of gray in order to discern the slightest fingerprint detail. The key imaging component of the SonicSlide™ sensor is the ceramic Micro-Electro Mechanical System (MEMS) piezoelectric transducer array that is made from a ceramic composite material.
- The authentication system may provide for a database of biometric inputs for a plurality of users such that access control may be provided for use of the eyepiece based on policies and associated access privileges for each of the users entered into the database. The eyepiece may provide for an authentication process. For instance, the authentication facility may sense when a user has taken the eyepiece off, and require re-authentication when the user puts it back on. This better ensures that the eyepiece only provides access to those users that are authorized, and for only those privileges that the wearer is authorized for. In an example, the authentication facility may be able to detect the presence of a user's eye or head as the eyepiece is put on. In a first level of access, the user may only be able to access low-sensitivity items until authentication is complete. During authentication, the authentication facility may identify the user, and look up their access privileges. Once these privileges have been determined, the authentication facility may then provide the appropriate access to the user. In the case of an unauthorized user being detected, the eyepiece may maintain access to low-sensitivity items, further restrict access, deny access entirely, and the like.
- In an embodiment, a receiver may be associated with an object to enable control of that object via touch by a wearer of the eyepiece, wherein touch enables transmission or execution of a command signal in the object. For example, a receiver may be associated with a car door lock. When a wearer of the eyepiece touches the car, the car door may unlock. In another example, a receiver may be embedded in a medicine bottle. When the wearer of the eyepiece touches the medicine bottle, an alarm signal may be initiated. In another example, a receiver may be associated with a wall along a sidewalk. As the wearer of the eyepiece passes the wall or touches the wall, advertising may be launched either in the eyepiece or on a video panel of the wall.
- In an embodiment, when a wearer of the eyepiece initiates a physical contact, a WiFi exchange of information with a receiver may provide an indication that the wearer is connected to an online activity such as a game or may provide verification of identity in an online environment. In the embodiment, a representation of the person could change color or undergo some other visual indication in response to the contact.
- In embodiments, the eyepiece may include a tactile interface as in
FIG. 14 , such as to enable haptic control of the eyepiece, such as with a swipe, tap, touch, press, click, roll of a rollerball, and the like. For instance, thetactile interface 1402 may be mounted on the frame of theeyepiece 1400, such as on an arm, both arms, the nosepiece, the top of the frame, the bottom of the frame, and the like. In embodiments, thetactile interface 1402 may include controls and functionality similar to a computer mouse, with left and right buttons, a 2D position control pad such as described herein, and the like. For example, the tactile interface may be mounted on the eyepiece near the user's temple and act as a ‘temple mouse’ controller for the eyepiece projected content to the user and may include a temple-mounted rotary selector and enter button. In another example, the tactile interface may be one or more vibratory temple motors which may vibrate to alert or notify the user, such as to danger left, danger right, a medical condition, and the like. The tactile interface may be mounted on a controller separate from the eyepiece, such as a worn controller hand-carried controller, and the like. If there is an accelerometer in the controller then it may sense the user tapping, such as on a keyboard, on their hand (either on the hand with the controller or tapping with the hand that has the controller), and the like. The wearer may then touch the tactile interface in a plurality of ways to be interpreted by the eyepiece as commands, such as by tapping one or multiple times on the interface, by brushing a finger across the interface, by pressing and holding, by pressing more than one interface at a time, and the like. In embodiments, the tactile interface may be attached to the wearer's body (e.g. their hand, arm, leg, torso, neck), their clothing, as an attachment to their clothing, as aring 1500, as a bracelet, as a necklace, and the like. For example, the interface may be attached on the body, such as on the back of the wrist, where touching different parts of the interface provides different command information (e.g. touching the front portion, the back portion, the center, holding for a period of time, tapping, swiping, and the like). In embodiments, user contact with the tactile interface may be interpreted through force, pressure, movement, and the like. For instance, the tactile interface may incorporate resistive touch technologies, capacitive touch technologies, proportional pressure touch technologies, and the like. In an example, the tactile interface may utilize discrete resistive touch technologies where the application requires the interface to be simple, rugged, low power, and the like. In another example, the tactile interface may utilize capacitive tough technologies where more functionality is required through the interface, such as though movement, swiping, multi-point contacts, and the like. In another example, the tactile interface may utilize pressure touch technologies, such as when variable pressure commanding is required. In embodiments, any of these, or like touch technologies, may be used in any tactile interface as described herein. - In another example, the wearer may have an interface mounted in a ring as shown in
FIG. 15 , a hand piece, and the like, where the interface may have at least one of a plurality of command interface types, such as a tactile interface, a position sensor device, and the like with wireless command connection to the eyepiece. In an embodiment, thering 1500 may have controls that mirror a computer mouse, such as buttons 1504 (e.g. functioning as a one-button, multi-button, and like mouse functions), a2D position control 1502, scroll wheel, and the like. The 1504 andbuttons 2D position control 1502 may be as shown inFIG. 15 , where the buttons are on the side facing the thumb and the 2D position controller is on the top. Alternately, the buttons and 2D position control may be in other configurations, such as all facing the thumb side, all on the top surface, or any other combination. The2D position control 1502 may be a 2D button position controller (e.g. such as the TrackPoint pointing device embedded in some laptop keyboards to control the position of the mouse), a pointing stick, joystick, an optical track pad, an opto touch wheel, a touch screen, touch pad, track pad, scrolling track pad, trackball, any other position or pointing controller, and the like. In embodiments, control signals from the tactile interface (such as the ring tactile interface 1500) may be provided with a wired or wireless interface to the eyepiece, where the user is able to conveniently supply control inputs, such as with their hand, thumb, finger, and the like. For example, the user may be able to articulate the controls with their thumb, where the ring is worn on the user's index finger. In embodiments, a method or system may provide an interactive head-mounted eyepiece worn by a user, wherein the eyepiece includes an optical assembly through which the user views a surrounding environment and displayed content, a processor for handling content for display to the user, and an integrated projector facility for projecting the content to the optical assembly, and a control device worn on the body of the user, such as a hand of the user, including at least one control component actuated by the user, and providing a control command from the actuation of the at least one control component to the processor as a command instruction. The command instruction may be directed to the manipulation of content for display to the user. The control device may be worn on a first digit of the hand of the user, and the at least one control component may be actuated by a second digit of a hand of the user. The first digit may be the index finger, the second digit the thumb, and the first and second digit on the same hand of the user. The control device may have at least one control component mounted on the index finger side facing the thumb. The at least one control component may be a button. The at least one control component may be a 2D position controller. The control device may have at least one button actuated control component mounted on the index finger side facing the thumb, and a 2D position controller actuated control component mounted on the top facing side of the index finger. The control components may be mounted on at least two digits of the user's hand. The control device may be worn as a glove on the hand of the user. The control device may be worn on the wrist of the user. The at least one control component may be worn on at least one digit of the hand, and a transmission facility may be worn separately on the hand. The transmission facility may be worn on the wrist. The transmission facility may be worn on the back of the hand. The control component may be at least one of a plurality of buttons. The at least one button may provide a function substantially similar to a conventional computer mouse button. Two of the plurality of buttons may function substantially similar to primary buttons of a conventional two-button computer mouse. The control component may be a scrolling wheel. The control component may be a 2D position control component. The 2D position control component may be a button position controller, pointing stick, joystick, optical track pad, opto-touch wheel, touch screen, touch pad, track pad, scrolling track pad, trackball, capacitive touch screen, and the like. The 2D position control component may be controlled with the user's thumb. The control component may be a touch-screen capable of implementing touch controls including button-like functions and 2D manipulation functions. The control component may be actuated when the user puts on the projected processor content pointing and control device. - In embodiments, the wearer may have an interface mounted in a ring 1500AA that includes a camera 1502AA, such as shown in FIG. 15AA. In embodiments, the ring controller 1502AA may have control interface types as described herein, such as through
1504,buttons 1502, 3D position control (e.g. utilizing accelerometers, gyros), and the like. The ring controller 1500AA may then be used to control functions within the eyepiece, such as controlling the manipulation of the projected display content to the wearer. In embodiments, the2D position control 1502, 1504 may provide control aspects to the embedded camera 1502AA, such as on/off, zoom, pan, focus, recording a still image picture, recording a video, and the like. Alternately, the functions may be controlled through other control aspects of the eyepiece, such as through voice control, other tactile control interfaces, eye gaze detection as described herein, and the like. The camera may also have automatic control functions enabled, such as auto-focus, timed functions, face detection and/or tracking, auto-zoom, and the like. For example, the ring controller 1500AA with integrated camera 1502AA may be used to view the wearer 1508AA during a videoconference enabled through the eyepiece, where the wearer 1508AA may hold the ring controller (e.g. as mounted on their finger) out in order to allow the camera 1502AA a view of their face for transmission to at least one other participant on the videoconference. Alternately, the wearer may take the ring controller 1500AA off and place it down on a surface 1510AA (e.g. a table top) such that the camera 1502AA has a view of the wearer. An image of the wearer 1512AA may then be displayed on the display area 1518AA of the eyepiece and transmitted to others on the videoconference, such as along with the images 1514AA of other participants on the videoconference call. In embodiments, the camera 1502AA may provide for manual or automatic FOV 1504AA adjustment. For instance, the wearer may set the ring controller 1500AA down on a surface 1510AA for use in a video conference call, and the FOV 1504AA may be controlled either manually (e.g. throughcontrol interfaces 1502, 1504, voice control, other tactile interface) or automatically (e.g. though face recognition) in order for the camera's FOV 1504AA to be directed to the wearer's face. The FOV 1504AA may be enabled to change as the wearer moves, such as by tracking by face recognition. The FOV 1504AA may also zoomed in/out to adjust to changes in the position of the wearer's face. In embodiments, the camera 1502AA may be used for a plurality of still and/or video applications, where the view of the camera is provided to the wearer on the display area 1518AA of the eyepiece, and where storage may be available in the eyepiece for storing the images/videos, which may be transferred, communicated, and the like, from the eyepiece to some external storage facility, user, web-application, and the like. In embodiments, a camera may be incorporated in a plurality of different mobile devices, such as worn on the arm, hand, wrist, finger, and the like, such as thebutton controls watch 3202 with embeddedcamera 3200 as shown inFIGS. 32-33 . As with the ring controller 1502AA, any of these mobile devices may include manual and/or automatic functions as described for the ring controller 1502AA. In embodiments, the ring controller 1502AA may have additional sensors, embedded functions, control features, and the like, such as a fingerprint scanner, tactile feedback, and LCD screen, an accelerometer, Bluetooth, and the like. For instance, the ring controller may provide for synchronized monitoring between the eyepiece and other control components, such as described herein. - In embodiments, the eyepiece may provide a system and method for providing an image of the wearer to videoconference participants through the use of an external mirror, where the wearer views themselves in the mirror and an image of themselves is captured through an integrated camera of the eyepiece. The captured image may be used directly, or the image may be flipped to correct for the image reversal of the mirror. In an example, the wearer may enter into a videoconference with a plurality of other people, where the wearer may be able to view live video images of the others though the eyepiece. By utilizing an ordinary mirror, and an integrated camera in the eyepiece, the user may be able to view themselves in the mirror, have the image captured by the integrated camera, and provide the other people with a image of themselves for purposes of the videoconference. This image may also be available to the wearer as a projected image to the eyepiece, such as in addition to the images of the other people involved in the videoconference.
- In embodiments, a control component may provide a surface-sensing component in the control device for detecting motion across a surface may also be provided. The surface sensing component may be disposed on the palmar side of the user's hand. The surface may be at least one of a hard surface, a soft surface, surface of the user's skin, surface of the user's clothing, and the like. Providing control commands may be transmitted wirelessly, through a wired connection, and the like. The control device may control a pointing function associated with the displayed processor content. The pointing function may be control of a cursor position; selection of displayed content, selecting and moving displayed content; control of zoom, pan, field of view, size, position of displayed content; and the like. The control device may control a pointing function associated with the viewed surrounding environment. The pointing function may be placing a cursor on a viewed object in the surrounding environment. The viewed object's location position may be determined by the processor in association with a camera integrated with the eyepiece. The viewed object's identification may be determined by the processor in association with a camera integrated with the eyepiece. The control device may control a function of the eyepiece. The function may be associated with the displayed content. The function may be a mode control of the eyepiece. The control device may be foldable for ease of storage when not worn by the user. In embodiments, the control device may be used with external devices, such as to control the external device in association with the eyepiece. External devices may be entertainment equipment, audio equipment, portable electronic devices, navigation devices, weapons, automotive controls, and the like.
- In embodiments, a body worn control device (e.g. as worn on a finger, attached to the hand at the palm, on the arm, leg, torso, and the like) may provide 3D position sensor information to the eyepiece. For instance, the control device may act as an ‘air mouse’, where 3D position sensors (e.g. accelerometers, gyros, and the like) provide position information when a user commands so, such as with the click of a button, a voice command, a visually detected gesture, and the like. The user may be able to use this feature to navigate either a 2D or 3D image being projected to the user via the eyepiece projection system. Further, the eyepiece may provide an external relay of the image for display or projection to others, such as in the case of a presentation. The user may be able to change the mode of the control device between 2D and 3D, in order to accommodate different functions, applications, user interfaces, and the like. In embodiments, multiple 3D control devices may be utilized for certain applications, such as in simulation applications.
- In embodiments, a system may comprise an interactive head-mounted eyepiece worn by a user, wherein the eyepiece includes an optical assembly through which the user views a surrounding environment and displayed content, wherein the optical assembly comprises a corrective element that corrects the user's view of the surrounding environment, an integrated processor for handling content for display to the user, and an integrated image source for introducing the content to the optical assembly; and a tactile control interface mounted on the eyepiece that accepts control inputs from the user through at least one of a user touching the interface and the user being proximate to the interface.
- In embodiments, control of the eyepiece, and especially control of a cursor associated with displayed content to the user, may be enabled through hand control, such as with a
worn device 1500 as inFIG. 15 , as avirtual computer mouse 1500A as inFIG. 15A , and the like. For instance, theworn device 1500 may transmit commands through physical interfaces (e.g. abutton 1502, scroll wheel 1504), and thevirtual computer mouse 1500A may be able interpret commands though detecting motion and actions of the user's thumb, fist, hand, and the like. In computing, a physical mouse is a pointing device that functions by detecting two-dimensional motion relative to its supporting surface. A physical mouse traditionally consists of an object held under one of the user's hands, with one or more buttons. It sometimes features other elements, such as “wheels”, which allow the user to perform various system-dependent operations, or extra buttons or features that can add more control or dimensional input. The mouse's motion translates into the motion of a cursor on a display, which allows for fine control of a graphical user interface. In the case of the eyepiece, the user may be able to utilize a physical mouse, a virtual mouse, or combinations of the two. In embodiments, a virtual mouse may involve one or more sensors attached to the user's hand, such as on thethumb 1502A,finger 1504A,palm 1508A,wrist 1510A, and the like, where the eyepiece receives signals from the sensors and translates the received signals into motion of a cursor on the eyepiece display to the user. In embodiments, the signals may be received through an exterior interface, such as thetactile interface 1402, through a receiver on the interior of the eyepiece, at a secondary communications interface, on an associated physical mouse or worn interface, and the like. The virtual mouse may also include actuators or other output type elements attached to the user's hand, such as for haptic feedback to the user through vibration, force, pressure, electrical impulse, temperature, and the like. Sensors and actuators may be attached to the user's hand by way of a wrap, ring, pad, glove, and the like. As such, the eyepiece virtual mouse may allow the user to translate motions of the hand into motion of the cursor on the eyepiece display, where ‘motions’ may include slow movements, rapid motions, jerky motions, position, change in position, and the like, and may allow users to work in three dimensions, without the need for a physical surface, and including some or all of the six degrees of freedom. Note that because the ‘virtual mouse’ may be associated with multiple portions of the hand, the virtual mouse may be implemented as multiple ‘virtual mouse’ controllers, or as a distributed controller across multiple control members of the hand. In embodiments, the eyepiece may provide for the use of a plurality of virtual mice, such as for one on each of the user's hands, one or more of the user's feet, and the like. - In embodiments, the eyepiece virtual mouse may need no physical surface to operate, and detect motion such as through sensors, such as one of a plurality of accelerometer types (e.g. tuning fork, piezoelectric, shear mode, strain mode, capacitive, thermal, resistive, electromechanical, resonant, magnetic, optical, acoustic, laser, three dimensional, and the like), and through the output signals of the sensor(s) determine the translational and angular displacement of the hand, or some portion of the hand. For instance, accelerometers may produce output signals of magnitudes proportional to the translational acceleration of the hand in the three directions. Pairs of accelerometers may be configured to detect rotational accelerations of the hand or portions of the hand. Translational velocity and displacement of the hand or portions of the hand may be determined by integrating the accelerometer output signals and the rotational velocity and displacement of the hand may be determined by integrating the difference between the output signals of the accelerometer pairs. Alternatively, other sensors may be utilized, such as ultrasound sensors, imagers, IR/RF, magnetometer, gyro magnetometer, and the like. As accelerometers, or other sensors, may be mounted on various portions of the hand, the eyepiece may be able to detect a plurality of movements of the hand, ranging from simple motions normally associated with computer mouse motion, to more highly complex motion, such as interpretation of complex hand motions in a simulation application. In embodiments, the user may require only a small translational or rotational action to have these actions translated to motions associated with user intended actions on the eyepiece projection to the user.
- In embodiments, the virtual mouse may have physical switches associated with it to control the device, such as an on/off switch mounted on the hand, the eyepiece, or other part of the body. The virtual mouse may also have on/off control and the like through pre-defined motions or actions of the hand. For example, the operation of the virtual mouse may be enabled through a rapid back and forth motion of the hand. In another example, the virtual mouse may be disabled through a motion of the hand past the eyepiece, such as in front of the eyepiece. In embodiments, the virtual mouse for the eyepiece may provide for the interpretation of a plurality of motions to operations normally associated with physical mouse control, and as such, familiar to the user without training, such as single clicking with a finger, double clicking, triple clicking, right clicking, left clicking, click and drag, combination clicking, roller wheel motion, and the like. In embodiments, the eyepiece may provide for gesture recognition, such as in interpreting hand gestures via mathematical algorithms.
- In embodiments, gesture control recognition may be provided through technologies that utilize capacitive changes resulting from changes in the distance of a user's hand from a conductor element as part of the eyepiece's control system, and so would require no devices mounted on the user's hand. In embodiments, the conductor may be mounted as part of the eyepiece, such as on the arm or other portion of the frame, or as some external interface mounted on the user's body or clothing. For example, the conductor may be an antenna, where the control system behaves in a similar fashion to the touch-less musical instrument known as the theremin. The theremin uses the heterodyne principle to generate an audio signal, but in the case of the eyepiece, the signal may be used to generate a control input signal. The control circuitry may include a number of radio frequency oscillators, such as where one oscillator operates at a fixed frequency and another controlled by the user's hand, where the distance from the hand varies the input at the control antenna. In this technology, the user's hand acts as a grounded plate (the user's body being the connection to ground) of a variable capacitor in an L-C (inductance-capacitance) circuit, which is part of the oscillator and determines its frequency. In another example, the circuit may use a single oscillator, two pairs of heterodyne oscillators, and the like. In embodiments, there may be a plurality of different conductors used as control inputs. In embodiments, this type of control interface may be ideal for control inputs that vary across a range, such as a volume control, a zoom control, and the like. However, this type of control interface may also be used for more discrete control signals (e.g. on/off control) where a predetermined threshold determines the state change of the control input.
- In embodiments, the eyepiece may interface with a physical remote control device, such as a wireless track pad mouse, hand held remote control, body mounted remote control, remote control mounted on the eyepiece, and the like. The remote control device may be mounted on an external piece of equipment, such as for personal use, gaming, professional use, military use, and the like. For example, the remote control may be mounted on a weapon for a soldier, such as mounted on a pistol grip, on a muzzle shroud, on a fore grip, and the like, providing remote control to the soldier without the need to remove their hands from the weapon. The remote control may be removably mounted to the eyepiece.
- In embodiments, a remote control for the eyepiece may be activated and/or controlled through a proximity sensor. A proximity sensor may be a sensor able to detect the presence of nearby objects without any physical contact. For example, a proximity sensor may emit an electromagnetic or electrostatic field, or a beam of electromagnetic radiation (infrared, for instance), and look for changes in the field or return signal. The object being sensed is often referred to as the proximity sensor's target. Different proximity sensor targets may demand different sensors. For example, a capacitive or photoelectric sensor might be suitable for a plastic target; an inductive proximity sensor requires a metal target. Other examples of proximity sensor technologies include capacitive displacement sensors, eddy-current, magnetic, photocell (reflective), laser, passive thermal infrared, passive optical, CCD, reflection of ionizing radiation, and the like. In embodiments, the proximity sensor may be integral to any of the control embodiments described herein, including physical remote controls, virtual mouse, interfaces mounted on the eyepiece, controls mounted on an external piece of equipment (e.g. a game controller, a weapon), and the like.
- In embodiments, sensors for measuring a user's body motion may be used to control the eyepiece, or as an external input, such as using an inertial measurement unit (IMU), a 3-axis magnetometer, a 3-axis gyro, a 3-axis accelerometer, and the like. For instance, an sensor may be mounted on the hand(s) of the user, thereby enabling the use of the signals from the sensor for control the eyepiece, as described herein. In another instance, sensor signals may be received and interpreted by the eyepiece to assess and/or utilize the body motions of the user for purposes other than control. In an example, sensors mounted on each leg and each arm of the user may provide signals to the eyepiece that allow the eyepiece to measure the gait of the user. The gait of the user may then in turn be used to monitor the gait of the user over time, such as to monitor changes in physical behavior, improvement during physical therapy, changes due to a head trauma, and the like. In the instance of monitoring for a head trauma, the eyepiece may initially determine a baseline gait profile for the user, and then monitor the user over time, such as before and after a physical event (e.g. a sports-related collision, an explosion, an vehicle accident, and the like). In the case of an athlete or person in physical therapy, the eyepiece may be used periodically to measure the gait of the user, and maintain the measurements in a database for analysis. A running gait time profile may be produced, such as to monitor the user's gait for indications of physical traumas, physical improvements, and the like.
- In embodiments, control of the eyepiece, and especially control of a cursor associated with displayed content to the user, may be enabled through the sensing of the motion of a facial feature, the tensing of a facial muscle, the clicking of the teeth, the motion of the jaw, and the like, of the user wearing the eyepiece through a facial actuation sensor 1502B. For instance, as shown in
FIG. 15B , the eyepiece may have a facial actuation sensor as an extension from the eyepiece earphone assembly 1504B, from the arm 1508B of the eyepiece, and the like, where the facial actuation sensor may sense a force, a vibration, and the like associated with the motion of a facial feature. The facial actuation sensor may also be mounted separate from the eyepiece assembly, such as part of a standalone earpiece, where the sensor output of the earpiece and the facial actuation sensor may be either transferred to the eyepiece by either wired or wireless communication (e.g. Bluetooth or other communications protocol known to the art). The facial actuation sensor may also be attached to around the ear, in the mouth, on the face, on the neck, and the like. The facial actuation sensor may also be comprised of a plurality of sensors, such as to optimize the sensed motion of different facial or interior motions or actions. In embodiments, the facial actuation sensor may detect motions and interpret them as commands, or the raw signals may be sent to the eyepiece for interpretation. Commands may be commands for the control of eyepiece functions, controls associated with a cursor or pointer as provided as part of the display of content to the user, and the like. For example, a user may click their teeth once or twice to indicate a single or double click, such as normally associated with the click of a computer mouse. In another example, the user may tense a facial muscle to indicate a command, such as a selection associated with the projected image. In embodiments, the facial actuation sensor may utilize noise reduction processing to minimize the background motions of the face, the head, and the like, such as through adaptive signal processing technologies. A voice activity sensor may also be utilized to reduce interference, such as from the user, from other individuals nearby, from surrounding environmental noise, and the like. In an example, the facial actuation sensor may also improve communications and eliminate noise by detecting vibrations in the cheek of the user during speech, such as with multiple microphones to identify the background noise and eliminate it through noise cancellation, volume augmentation, and the like. - In embodiments, the user of the eyepiece may be able to obtain information on some environmental feature, location, object, and the like, viewed through the eyepiece by raising their hand into the field of view of the eyepiece and pointing at the object or position. For instance, the pointing finger of the user may indicate an environmental feature, where the finger is not only in the view of the eyepiece but also in the view of an embedded camera. The system may now be able to correlate the position of the pointing finger with the location of the environmental feature as seen by the camera. Additionally, the eyepiece may have position and orientation sensors, such as GPS and a magnetometer, to allow the system to know the location and line of sight of the user. From this, the system may be able to extrapolate the position information of the environmental feature, such as to provide the location information to the user, to overlay the position of the environmental information onto a 2D or 3D map, to further associate the established position information to correlate that position information to secondary information about that location (e.g. address, names of individuals at the address, name of a business at that location, coordinates of the location), and the like. Referring to
FIG. 15C , in an example, the user is looking though theeyepiece 1502C and pointing with their hand 1504C at ahouse 1508C in their field of view, where an embeddedcamera 1510C has both the pointed hand 1504C and thehouse 1508C in its field of view. In this instance, the system is able to determine the location of thehouse 1508C and provide location information 1514C and a 3D map superimposed onto the user's view of the environment. In embodiments, the information associated with an environmental feature may be provided by an external facility, such as communicated with through a wireless communication connection, stored internal to the eyepiece, such as downloaded to the eyepiece for the current location, and the like. In embodiments, information provided to the wearer of the eyepiece may include any of a plurality of information related to the scene as viewed by the wearer, such as geographic information, point of interest information, social networking information (e.g. Twitter, Facebook, and the like information related to a person standing in front of the wearer augmented around the person, such as ‘floating’ around the person), profile information (e.g. such as stored in the wearer's contact list), historical information, consumer information, product information, retail information, safety information, advertisements, commerce information, security information, game related information, humorous annotations, news related information, and the like. - In embodiments, the user may be able to control their view perspective relative to a 3D projected image, such as a 3D projected image associated with the external environment, a 3D projected image that has been stored and retrieved, a 3D displayed movie (such as downloaded for viewing), and the like. For instance, and referring again to
FIG. 15C , the user may be able to change the view perspective of the 3D displayedimage 1512C, such as by turning their head, and where the live external environment and the 3D displayed image stay together even as the user turns their head, moves their position, and the like. In this way, the eyepiece may be able to provide an augmented reality by overlaying information onto the user's viewed external environment, such as the overlaid 3D displayedmap 1512C, the location information 1514C, and the like, where the displayed map, information, and the like, may change as the user's view changes. In another instance, with 3D movies or 3D converted movies, the perspective of the viewer may be changed to put the viewer ‘into’ the movie environment with some control of the viewing perspective, where the user may be able to move their head around and have the view change in correspondence to the changed head position, where the user may be able to ‘walk into’ the image when they physically walk forward, have the perspective change as the user moves the gazing view of their eyes, and the like. In addition, additional image information may be provided, such as at the sides of the user's view that could be accessed by turning the head. - In embodiments, the user of one eyepiece may be able to synchronize their view of a projected image with at least the view of a second user of an eyepiece. For instance, two separate eyepiece users may wish to view the same 3D map, game projection, point-of-interest projection, and the like, where the two viewers are not only seeing the same projected content, but where the projected content's view is synchronized between them. In an example, two users may want to jointly view a 3D map of a region, and the image is synchronized such that the one user may be able to point at a position on the 3D map that the other user is able to see and interact with. The two users may be able to move around the 3D map and share a virtual-physical interaction between the two users and the 3D map, and the like. Further, a group of eyepiece wearers may be able to jointly interact with a projection as a group. In this way, two or more users may be able to have a unified augmented reality experience through the coordination-synchronization of their eyepieces. Synchronization of two or more eyepieces may be provided by communication of position information between the eyepieces, such as absolute position information, relative position information, translation and rotational position information, and the like, such as from position sensors as described herein (e.g. gyroscopes, IMU, GPS, and the like). Communications between the eyepieces may be direct, through an Internet network, through the cell-network, through a satellite network, and the like. Processing of position information contributing to the synchronization may be executed in a master processor in a single eyepiece, collectively amongst a group of eyepieces, in remote server system, and the like, or any combination thereof. In embodiments, the coordinated, synchronized view of projected content between multiple eyepieces may provide an extended augmented reality experience from the individual to a plurality of individuals, where the plurality of individuals benefit from the group augmented reality experience. For example, a group of concertgoers may synchronize their eyepieces with a feed from the concert producers such that visual effects or audio may be pushed to people with eyepieces by the concert producer, performers, other audience members, and the like. In an example, the performer may have a master eyepiece and may control sending content to audience members. In one embodiment, the content may be the performer's view of the surrounding environment. The performer may be using the master eyepiece for applications as well, such as controlling an external lighting system, interacting with an augmented reality drum kit or sampling board, calling up song lyrics, and the like.
- In embodiments, the eyepiece may utilize sound projection techniques to realize a direction of sound for the wearer of the eyepiece, such as with surround sound techniques. Realization of a direction of sound for a wearer may include the reproduction of the sound from the direction of origin, either in real-time or as a playback. It may include a visual or audible indicator to provide a direction for the source of sound. Sound projection techniques may be useful to an individual that has their hearing impaired or blocked, such as due to the user experiencing hearing loss, a user wearing headphones, a user wearing hearing protection, and the like. In this instance, the eyepiece may provide enhanced 3D audible reproduction. In an example, the wearer may have headphones on, and a gunshot has been fired. In this example, the eyepiece may be able to reproduce the 3D sound profile for the sound of the gunshot, thus allowing the wearer to respond to the gunshot knowing where the sound came from. In another example, a wearer with headphones, hearing loss, in a loud environment, and the like, may not otherwise be able to tell what's being said and/or the direction of the person speaking, but is provided with a 3D sound enhancement from the eyepiece (e.g. the wearer is listening to other proximate individuals through headphones and so does not have directionality information). In another example, a wearer may be in a loud ambient environment, or in an environment where periodic loud noises can occur. In this instance, the eyepiece may have the ability to cut off the loud sound to protect the wearer's hearing, or the sound could be so loud that the wearer can't tell where the sound came from, and further, now their ears could be ringing so loud they can't hear anything. To aid in this situation, the eyepiece may provide visible, auditory, vibration, and the like queues to the wearer to indicate the direction of the sound source. In embodiments, the eyepiece may provide “augmented” hearing where the wearer's ears are plugged to protect their ears from loud noises, but using the ear buds to generate a reproduction of sound to replace what's missing form the natural world. This artificial sound may then be used to give directionality to wirelessly transmitted communication that the operator couldn't hear naturally.
- In embodiments, an example of a configuration for establishing directionality of a source sound may be point different microphones in different directions. For instance, at least one microphone may be used for the voice of the wearer, at least one microphone for the surrounding environment, at least one pointing down at the ground, and potentially in a plurality of different discrete directions. In this instance, the microphone pointing down may be subtracted to isolate other sounds, which may be combined with 3D sound surround, and augmented hearing techniques, as described herein.
- In an example of a sound augmented system as part of the eyepiece, there are a number of users with eyepieces, such as in a noisy environment where all the users have ‘plugged ears’ as implemented through artificial noise blockage through the eyepiece ear buds. One of wearers may yell out that they need some piece of equipment. Because of all the ambient noise and the hearing protection the eyepiece creates, no one can hear the request for equipment. Here, the wearer making the verbal request has a filtered microphone close to their mouth, and they could wirelessly transmit the request to the others, where their eyepiece could relay a sound signal to the other user's eyepieces, and to the ear on the correct side, and the others would know to look to the right or left to see who has made the request. This system could be further enhanced with geo-locations of all the wearers, and a “virtual” surround sound system that uses the two ear buds to give the perception of 3D space (such as the SRS True Surround Technology).
- In embodiments, auditory queues could also be computer generated so the communicating user doesn't need to verbalize their communication but can select it from a list of common commands, the computer generates the communication based on preconfigured conditions, and the like. In an example, the wearers may be in a situation where they don't want a display in front of their eyes but want to have ear buds in their ears. In this case, if they wanted to notify someone in a group to get up and follow them, they could just click a controller a certain number of times, or provide a visual hand gesturer with a camera, an IMU, and the like. The system may choose the ‘follow me’ command and transmit it to the other users with the communicating user's location for the 3D system to trick them into hearing from where they are actually sitting out of sight of them. In embodiments, directional information may be determined and/or provided through position information from the users of eyepieces.
- In embodiments, the eyepiece may provide aspects of signals intelligence (SIGINT), such as in the use of existing WiFi, 3G, Bluetooth, and the like communications signals to gather signals intelligence for devices and users in proximity to the wearer of the eyepiece. These signals may be from other eyepieces, such as to gather information about other known friendly users; other eyepieces that have been picked up by an unauthorized individual, such as through a signal that is generated when an unauthorized user tries to use the eyepiece; other communications devices (e.g. radios, cell phones, pagers, walky-talkies, and the like); electronic signals emanating from devices that may not be directly used for communications; and the like. Information gathered by the eyepiece may be direction information, position information, motion information, number of and/or rate of communications, and the like. Further, information may be gathered through the coordinated operations of multiple eyepieces, such as in the triangulation of a signal for determination of the signal's location.
- Referring to
FIG. 15D , in embodiments the user of the eyepiece 1502D may be able to use multiple hand/finger points from theirhand 1504D to define the field of view (FOV) 1508D of the camera 1510D relative to the see-thru view, such as for augmented reality applications. For instance, in the example shown, the user is utilizing their first finger and thumb to adjust the FOV 1508D of the camera 1510D of the eyepiece 1502D. The user may utilize other combinations to adjust the FOV 1508D, such as with combinations of fingers, fingers and thumb, combinations of fingers and thumbs from both hands, use of the palm(s), cupped hand(s), and the like. The use of multiple hand/finger points may enable the user to alter the FOV 1508 of the camera 1510D in much the same way as users of touch screens, where different points of the hand/finger establish points of the FOV to establish the desired view. In this instance however, there is no physical contact made between the user's hand(s) and the eyepiece. Here, the camera may be commanded to associate portions of the user's hand(s) to the establishing or changing of the FOV of the camera. The command may be any command type described herein, including and not limited to hand motions in the FOV of the camera, commands associated with physical interfaces on the eyepiece, commands associated with sensed motions near the eyepiece, commands received from a command interface on some portion of the user, and the like. The eyepiece may be able to recognize the finger/hand motions as the command, such as in some repetitive motion. In embodiments, the user may also utilize this technique to adjust some portion of the projected image, where the eyepiece relates the viewed image by the camera to some aspect of the projected image, such as the hand/finger points in view to the projected image of the user. For example, the user may be simultaneously viewing the external environment and a projected image, and the user utilizes this technique to change the projected viewing area, region, magnification, and the like. In embodiments, the user may perform a change of FOV for a plurality of reasons, including zooming in or out from a viewed scene in the live environment, zoom in or out from a viewed portion of the projected image, to change the viewing area allocated to the projected image, to change the perspective view of the environment or projected image, and the like. - In embodiments, the eyepiece may enable simultaneous FOVs. For example, simultaneous wide, medium, and narrow camera FOVs may be used, where the user can have different FOVs up simultaneously in view (i.e. wide to show the entire field, perhaps static, and narrow to focus on a particular target, perhaps moving with the eye or with a cursor).
- In embodiments the eyepiece may be able to determine where the user is gazing, or the motion of the user's eye, by tracking the eye through reflected light off the user's eye. This information may then be used to help correlate the user's line of sight with respect to the projected image, a camera view, the external environment, and the like, and used in control techniques as described herein. For instance, the user may gaze at a location on the projected image and make a selection, such as with an external remote control or with some detected eye movement (e.g. blinking). In an example of this technique, and referring to
FIG. 15E , transmitted light 1508E, such as infrared light, may be reflected 1510E from theeye 1504E and sensed at the optical display 502 (e.g. with a camera or other optical sensor). The information may then be analyzed to extract eye rotation from changes in reflections. In embodiments, an eye tracking facility may use the corneal reflection and the center of the pupil as features to track over time; use reflections from the front of the cornea and the back of the lens as features to track; image features from inside the eye, such as the retinal blood vessels, and follow these features as the eye rotates; and the like. Alternatively, the eyepiece may use other techniques to track the motions of the eye, such as with components surrounding the eye, mounted in contact lenses on the eye, and the like. For instance, a special contact lens may be provided to the user with an embedded optical component, such as a mirror, magnetic field sensor, and the like, for measuring the motion of the eye. In another instance, electric potentials may be measured and monitored with electrodes placed around the eyes, utilizing the steady electric potential field from the eye as a dipole, such as with its positive pole at the cornea and its negative pole at the retina. In this instance, the electric signal may be derived using contact electrodes placed on the skin around the eye, on the frame of the eyepiece, and the like. If the eye moves from the centre position towards the periphery, the retina approaches one electrode while the cornea approaches the opposing one. This change in the orientation of the dipole and consequently the electric potential field results in a change in the measured signal. By analyzing these changes eye movement may be tracked. - In another example of how eye gaze direction of the user and associated control may be applied involves placement (by the eyepiece) and optional selection (by the user) of a visual indicator in the user's peripheral vision, such as in order to reduce clutter in the narrow portion of the user's visual field around the gaze direction where the eye's highest visual input resides. Since the brain is limited as to how much information it can process at a time, and the brain pays the most attention to visual content close to the direction of gaze, the eyepiece may provide projected visual indicators in the periphery of vision as cues to the user. This way the brain may only have to process the detection of the indicator, and not the information associated with the indicator, thus decrease the potential for overloading the user with information. The indicator may be an icon, a picture, a color, symbol, a blinking object, and the like, and indicate an alert, an email arriving, an incoming phone call, a calendar event, an internal or external processing facility that requires attention from the user, and the like. With the visual indicator in the periphery, the user may become aware of it without being distracted by it. The user may then optionally decide to elevate the content associated with the visual cue in order to see more information, such as gazing over to the visual indicator, and by doing so, opening up it's content. For example, an icon representing an incoming email may indicate an email being received. The user may notice the icon, and choose to ignore it (such as the icon disappearing after a period of time if not activated, such as by a gaze or some other control facility). Alternately, the user may notice the visual indicator and choose to ‘active’ it by gazing in the direction of the visual indicator. In the case of the email, when the eyepiece detects that the user's eye gaze is coincident with the location of the icon, the eyepiece may open up the email and reveal it's content. In this way the user maintains control over what information is being paid attention to, and as a result, minimize distractions and maximize content usage efficiency.
- In embodiments, the eyepiece may utilize sub-conscious control aspects, such as images in the wearer's periphery, images presented to the user at rates below conscious perception, sub-conscious perceptions to a viewed scene by the viewer, and the like. For instance, a wearer may be presented images through the eyepiece that are at a rate the wearer is unaware of, but is subconsciously made aware of as presented content, such as a reminder, an alert (e.g. an alert that calls on the wearer to increase a level of attention to something, but not so much so that the user needs a full conscious reminder), an indication related to the wearer's immediate environment (e.g. the eyepiece has detected something in the wearer's field of view that may have some interest to the wearer, and to which the indication draws the wearer's attention), and the like. In another instance, the eyepiece may provide indicators to the wearer through a brain activity monitoring interface, where electrical signals within the brain fire before a person realizes they've recognized an image. For instance, the brain activity-monitoring interface may include electroencephalogram (EEG) sensors (or the like) to monitor brain activity as the wearer is viewing the current environment. When the eyepiece, through the brain activity-monitoring interface, senses that the wearer has become ‘aware’ of an element of the surrounding environment, the eyepiece may provide conscious level feedback to the wearer to make the wearer more aware of the element. For example, a wearer may unconsciously become aware of seeing a familiar face in a crowd (e.g. a friend, a suspect, a celebrity), and the eyepiece provides a visual or audio indication to the wearer to bring the person more consciously to the attention of the wearer. In another example, the wearer may view a product that arouses their attention at a subconscious level, and the eyepiece provides a conscious indication to the wearer, more information about the product, an enhanced view of the product, a link to more information about the product, and the like. In embodiments, the ability for the eyepiece to extend the wearer's reality to a subconscious level may enable the eyepiece to provide the wearer with an augmented reality beyond their normal conscious experience with the world around them.
- In embodiments, the eyepiece may have a plurality of modes of operation where control of the eyepiece is controlled at least in part by positions, shapes, motions of the hand, and the like. To provide this control the eyepiece may utilize hand recognition algorithms to detect the shape of the hand/fingers, and to then associate those hand configurations, possibly in combination with motions of the hand, as commands. Realistically, as there may be only a limited number of hand configurations and motions available to command the eyepiece, these hand configurations may need to be reused depending upon the mode of operation of the eyepiece. In embodiments, certain hand configurations or motions may be assigned for transitioning the eyepiece from one mode to the next, thereby allowing for the reuse of hand motions. For instance, and referring to
FIG. 15F , the user'shand 1504F may be moved in view of a camera on the eyepiece, and the movement may then be interpreted as a different command depending upon the mode, such as acircular motion 1508F, a motion across the field ofview 1510F, a back and forthmotion 1512F, and the like. In a simplistic example, suppose there are two modes of operation, mode one for panning a view from the projected image and mode two for zooming the projected image. In this example the user may want to use a left-to-right finger-pointed hand motion to command a panning motion to the right. However, the user may also want to use a left-to-right finger-pointed hand motion to command a zooming of the image to greater magnification. To allow the dual use of this hand motion for both command types, the eyepiece may be configured to interpret the hand motion differently depending upon the mode the eyepiece is currently in, and where specific hand motions have been assigned for mode transitions. For instance, a clockwise rotational motion may indicate a transition from pan to zoom mode, and a counter-clockwise rotational motion may indicate a transition from zoom to pan mode. This example is meant to be illustrative and not limiting in anyway, where one skilled in the art will recognize how this general technique could be used to implement a variety of command/mode structures using the hand(s) and finger(s), such as hand-finger configurations-motions, two-hand configuration-motions, and the like. - In embodiments, a system may comprise an interactive head-mounted eyepiece worn by a user, wherein the eyepiece includes an optical assembly through which the user views a surrounding environment and displayed content, wherein the optical assembly comprises a corrective element that corrects the user's view of the surrounding environment, an integrated processor for handling content for display to the user, and an integrated image source for introducing the content to the optical assembly; and an integrated camera facility that images a gesture, wherein the integrated processor identifies and interprets the gesture as a command instruction. The control instruction may provide manipulation of the content for display, a command communicated to an external device, and the like.
- In embodiments, control of the eyepiece may be enabled through eye movement, an action of the eye, and the like. For instance, there may be a camera on the eyepiece that views back to the wearer's eye(s), where eye movements or actions may be interpreted as command information, such as through blinking, repetitive blinking, blink count, blink rate, eye open-closed, gaze tracking, eye movements to the side, up and down, side to side, through a sequence of positions, to a specific position, dwell time in a position, gazing toward a fixed object (e.g. the corner of the lens of the eyepiece), through a certain portion of the lens, at a real-world object, and the like. In addition, eye control may enable the viewer to focus on a certain point on the displayed image from the eyepiece, and because the camera may be able to correlate the viewing direction of the eye to a point on the display, the eyepiece may be able to interpret commands through a combination of where the wearer is looking and an action by the wearer (e.g. blinking, touching an interface device, movement of a position sense device, and the like). For example, the viewer may be able to look at an object on the display, and select that object through the motion of a finger enabled through a position sense device.
- In some embodiments, the glasses may be equipped with eye tracking devices for tracking movement of the user's eye, or preferably both eyes; alternatively, the glasses may be equipped with sensors for six-degree freedom of movement tracking, i.e., head movement tracking. These devices or sensors are available, for example, from Chronos Vision GmbH, Berlin, Germany and ISCAN, Woburn, Mass. Retinal scanners are also available for tracking eye movement. Retinal scanners may also be mounted in the augmented reality glasses and are available from a variety of companies, such as Tobii, Stockholm, Sweden, and SMI, Teltow, Germany, and ISCAN.
- The augmented reality eyepiece also includes a user input interface, as shown, to allow a user to control the device. Inputs used to control the device may include any of the sensors discussed above, and may also include a trackpad, one or more function keys and any other suitable local or remote device. For example, an eye tracking device may be used to control another device, such as a video game or external tracking device. As an example,
FIG. 29A depicts a user with an augmented reality eyepiece equipped with aneye tracking device 2900A, discussed elsewhere in this document. The eye tracking device allows the eyepiece to track the direction of the user's eye or preferably, eyes, and send the movements to the controller of the eyepiece. Control system includes the augmented reality eyepiece and a control device for the weapon. The movements may then be transmitted to the control device for a weapon controlled by the control device, which may be within sight of the user. The movement of the user's eyes is then converted by suitable software to signals for controlling movement in the weapon, such as quadrant (range) and azimuth (direction). Additional controls may be used in conjunction with eye tracking, such as with the user's trackpad or function keys. The weapon may be large caliber, such as a howitzer or mortar, or may small caliber, such as a machine gun. - The movement of the user's eyes is then converted by suitable software to signals for controlling movement of the weapon, such as quadrant (range) and azimuth (direction) of the weapon. Additional controls may be used for single or continuous discharges of the weapon, such as with the user's trackpad or function keys. Alternatively, the weapon may be stationary and non-directional, such as an implanted mine or shape-charge, and may be protected by safety devices, such as by requiring specific encoded commands. The user of the augmented reality device may activate the weapon by transmitting the appropriate codes and commands, without using eye-tracking features.
- In embodiments, control of the eyepiece may be enabled though gestures by the wearer. For instance, the eyepiece may have a camera that views outward (e.g. forward, to the side, down) and interprets gestures or movements of the hand of the wearer as control signals. Hand signals may include passing the hand past the camera, hand positions or sign language in front of the camera, pointing to a real-world object (such as to activate augmentation of the object), and the like. Hand motions may also be used to manipulate objects displayed on the inside of the translucent lens, such as moving an object, rotating an object, deleting an object, opening-closing a screen or window in the image, and the like. Although hand motions have been used in the preceding examples, any portion of the body or object held or worn by the wearer may also be utilized for gesture recognition by the eyepiece.
- In embodiments, head motion control may be used to send commands to the eyepiece, where motion sensors such as accelerometers, gyros, or any other sensor described herein, may be mounted on the wearer's head, on the eyepiece, in a hat, in a helmet, and the like. Referring to
FIG. 14A , head motions may include quick motions of the head, such as jerking the head in a forward and/orbackward motion 1412, in an up and/or downmotion 1410, in a side to side motion as a nod, dwelling in a position, such as to the side, moving and holding in position, and the like. Motion sensors may be integrated into the eyepiece, mounted on the user's head or in a head covering (e.g. hat, helmet) by wired or wireless connection to the eyepiece, and the like. In embodiments, the user may wear the interactive head-mounted eyepiece, where the eyepiece includes an optical assembly through which the user views a surrounding environment and displayed content. The optical assembly may include a corrective element that corrects the user's view of the surrounding environment, an integrated processor for handling content for display to the user, and an integrated image source for introducing the content to the optical assembly. At least one of a plurality of head motion sensing control devices may be integrated or in association with the eyepiece that provide control commands to the processor as command instructions based upon sensing a predefined head motion characteristic. The head motion characteristic may be a nod of the user's head such that the nod is an overt motion dissimilar from ordinary head motions. The overt motion may be a jerking motion of the head. The control instructions may provide manipulation of the content for display, be communicated to control an external device, and the like. Head motion control may be used in combination with other control mechanisms, such as using another control mechanism as discussed herein to activate a command and for the head motion to execute it. For example, a wearer may want to move an object to the right, and through eye control, as discussed herein, select the object and activate head motion control. Then, by tipping their head to the right, the object may be commanded to move to the right, and the command terminated through eye control. - In embodiments, the eyepiece may be controlled through audio, such as through a microphone. Audio signals may include speech recognition, voice recognition, sound recognition, sound detection, and the like. Audio may be detected though a microphone on the eyepiece, a throat microphone, a jaw bone microphone, a boom microphone, a headphone, ear bud with microphone, and the like.
- In embodiments, command inputs may provide for a plurality of control functions, such as turning on/off the eyepiece projector, turn on/off audio, turn on/off a camera, turn on/off augmented reality projection, turn on/off GPS, interaction with display (e.g. select/accept function displayed, replay of captured image or video, and the like), interaction with the real-world (e.g. capture image or video, turn a page of a displayed book, and the like), perform actions with an embedded or external mobile device (e.g. mobile phone, navigation device, music device, VoIP, and the like), browser controls for the Internet (e.g. submit, next result, and the like), email controls (e.g. read email, display text, text-to-speech, compose, select, and the like), GPS and navigation controls (e.g. save position, recall saved position, show directions, view location on map), and the like.
- In embodiments, the eyepiece may provide 3D display imaging to the user, such as through conveying a stereoscopic, auto-stereoscopic, computer-generated holography, volumetric display image, stereograms/stereoscopes, view-sequential displays, electro-holographic displays, parallax “two view” displays and parallax panoramagrams, re-imaging systems, and the like, creating the perception of 3D depth to the viewer. Display of 3D images to the user may employ different images presented to the user's left and right eyes, such as where the left and right optical paths have some optical component that differentiates the image, where the projector facility is projecting different images to the user's left and right eye's, and the like. The optical path, including from the projector facility through the optical path to the user's eye, may include a graphical display device that forms a visual representation of an object in three physical dimensions. A processor, such as the integrated processor in the eyepiece or one in an external facility, may provide 3D image processing as at least a step in the generation of the 3D image to the user.
- In embodiments, holographic projection technologies may be employed in the presentation of a 3D imaging effect to the user, such as computer-generated holography (CGH), a method of digitally generating holographic interference patterns. For instance, a holographic image may be projected by a holographic 3D display, such as a display that operates on the basis of interference of coherent light. Computer generated holograms have the advantage that the objects which one wants to show do not have to possess any physical reality at all, that is, they may be completely generated as a ‘synthetic hologram’. There are a plurality of different methods for calculating the interference pattern for a CGH, including from the fields of holographic information and computational reduction as well as in computational and quantization techniques. For instance, the Fourier transform method and point source holograms are two examples of computational techniques. The Fourier transformation method may be used to simulate the propagation of each plane of depth of the object to the hologram plane, where the reconstruction of the image may occur in the far field. In an example process, there may be two steps, where first the light field in the far observer plane is calculated, and then the field is Fourier transformed back to the lens plane, where the wavefront to be reconstructed by the hologram is the superposition of the Fourier transforms of each object plane in depth. In another example, a target image may be multiplied by a phase pattern to which an inverse Fourier transform is applied. Intermediate holograms may then be generated by shifting this image product, and combined to create a final set. The final set of holograms may then be approximated to form kinoforms for sequential display to the user, where the kinoform is a phase hologram in which the phase modulation of the object wavefront is recorded as a surface-relief profile. In the point source hologram method the object is broken down in self-luminous points, where an elementary hologram is calculated for every point source and the final hologram is synthesized by superimposing all the elementary holograms.
- In an embodiment, 3-D or holographic imagery may be enabled by a dual projector system where two projectors are stacked on top of each other for a 3D image output. Holographic projection mode may be entered by a control mechanism described herein or by capture of an image or signal, such as an outstretched hand with palm up, an SKU, an RFID reading, and the like. For example, a wearer of the eyepiece may view a letter ‘X’ on a piece of cardboard which causes the eyepiece to enter holographic mode and turning on the second, stacked projector. Selecting what hologram to display may be done with a control technique. The projector may project the hologram onto the cardboard over the letter ‘X’. Associated software may track the position of the letter ‘X’ and move the projected image along with the movement of the letter ‘X’. In another example, the eyepiece may scan a SKU, such as a SKU on a toy construction kit, and a 3-D image of the completed toy construction may be accessed from an online source or non-volatile memory. Interaction with the hologram, such as rotating it, zooming in/out, and the like, may be done using the control mechanisms described herein. Scanning may be enabled by associated bar code/SKU scanning software. In another example, a keyboard may be projected in space or on a surface. The holographic keyboard may be used in or to control any of the associated applications/functions.
- In embodiments, eyepiece facilities may provide for locking the position of a virtual keyboard down relative to a real environmental object (e.g. a table, a wall, a vehicle dashboard, and the like) where the virtual keyboard then does not move as the wearer moves their head. In an example, and referring to
FIG. 24 , the user may be sitting at a table and wearing theeyepiece 2402, and wish to input text into an application, such as a word processing application, a web browser, a communications application, and the like. The user may be able to bring up avirtual keyboard 2408, or other interactive control element (e.g. virtual mouse, calculator, touch screen, and the like), to use for input. The user may provide a command for bringing up thevirtual keyboard 2408, and use a hand gesture 2404 for indicating the fixed location of thevirtual keyboard 2408. Thevirtual keyboard 2408 may then remain fixed in space relative to the outside environment, such as fixed to a location on the table 2410, where the eyepiece facilities keep the location of thevirtual keyboard 2408 on the table 2410 even when the user turns their head. That is, theeyepiece 2402 may compensate for the user's head motion in order to keep the user's view of thevirtual keyboard 2408 located on the table 2410. In embodiments, the user may wear the interactive head-mounted eyepiece, where the eyepiece includes an optical assembly through which the user views a surrounding environment and displayed content. The optical assembly may include a corrective element that corrects the user's view of the surrounding environment, an integrated processor for handling content for display to the user, and an integrated image source for introducing the content to the optical assembly. An integrated camera facility may be provided that images the surrounding environment, and identifies a user hand gesture as an interactive control element location command, such as a hand-finger configuration moved in a certain way, positioned in a certain way, and the like. The location of the interactive control element then may remain fixed in position with respect to an object in the surrounding environment, in response to the interactive control element location command, regardless of a change in the viewing direction of the user. In this way, the user may be able to utilize a virtual keyboard in much the same way they would a physical keyboard, where the virtual keyboard remains in the same location. However, in the case of the virtual keyboard there are not ‘physical limitations’, such as gravity, to limit where the user may locate the keyboard. For instance, the user could be standing next to a wall, and place the keyboard location on the wall, and the like. It will be appreciated by one skilled in the art that the ‘virtual keyboard’ technology may be applied to any controller, such as a virtual mouse, virtual touch pad, virtual game interface, virtual phone, virtual calculator, virtual paintbrush, virtual drawing pad, and the like. For example, a virtual touchpad may be visualized through the eyepiece to the user, and positioned by the user such as by use of hand gestures, and used in place of a physical touchpad. - In embodiments, eyepiece facilities may use visual techniques to render the projection of an object (e.g. virtual keyboard, keypad, calculator, notepad, joystick, control panel, book) onto a surface, such as by applying distortions like parallax, keystone, and the like. For example, the appearance of a keyboard projected onto a tabletop in front of the user with proper perspective may be aided through applying a keystone effect, where the projection as provided through the eyepiece to the user is distorted so that it looks like it is lying down on the surface of the table. In addition, these techniques may be applied dynamically, to provide the proper perspective even as the user moves around in relationship to the surface.
- In embodiments, eyepiece facilities may provide for gesture recognition that may be used to provide a keyboard and mouse experience with the eyepiece. For instance, with images of a keyboard, mouse, and fingers overlaid on the lower part of the display, the system may be capable of tracking finger positions in real time to enable a virtual desktop. Through gesture recognition, tracking may be done without wires and external powered devices. In another instance, fingertip locations may be tracked through gesture recognition through the eyepiece without wires and external power, such as with gloves with passive RFID chips in each fingertip. In this instance, each RFID chip may have its own response characteristic, enabling a plurality of digits of the fingers to be read simultaneously. The RFID chips may be paired with the eyewear so that they are distinguishable from other RFID chips that may be operating nearby. The eyewear may provide the signals to activate the RFID chips and have two or more receiving antennas. Each receiving antenna may be connected to a phase-measurement circuit element that in turn provides input to a location-determining algorithm. The location-determining algorithm may also provide velocity and acceleration information, and the algorithm that ultimately may provide keyboard and mouse information to the eyepiece operating system. In embodiments, with two receiving antennas, the azimuthal positions of each fingertip can be determined with the phase difference between the receiving antennas. The relative phase difference between RFID chips may then be used to determine the radial positions of the fingertips.
- In embodiments, eyepiece facilities may use visual techniques to render the projection of a previously taken medical scan onto the wearer's body, such as an x-ray, an ultrasound, an MRI, a PET scan, and the like. For example, and referring to
FIG. 24A , the eyepiece may have access to an x-ray image taken of the wearer's hand. The eyepiece may then utilize its integrated camera to view the wear'shand 2402A, and overlay a projectedimage 2404A of the x-ray onto the hand. Further, the eyepiece may be able to maintain the image overlay as the wearer moves their hand and gaze relative to one other. In embodiments, this technique may also be implemented while the wearer is looking in the mirror, where the eyepiece transposes an image on top of the reflected image. This technique may be used as part of a diagnostic procedure, for rehabilitation during physical therapy, to encourage exercise and diet, to explain to a patient a diagnosis or condition, and the like. The images may be the images of the wearer, generic images from a database of images for medical conditions, and the like. The generic overlay may show some type of internal issue that is typical of a physical condition, a projection of what the body will look like if a certain routine is followed for a period of time, and the like. In embodiments, an external control device, such as pointer controller, may enable the manipulation of the image. Further, the overlay of the image may be synchronized between multiple people, each wearing an eyepiece, as described herein. For instance, a patient and a doctor may both project the image onto the patient's hand, where the doctor may now explain a physical ailment while the patient views the synchronized images of the projected scan and the doctor's explanation. - In embodiments, eyepiece facilities may provide for removing the portions of a virtual keyboard projection where intervening obstructions appear (e.g. the user's hand getting in the way, where it is not desired to project the keyboard onto the user's hand). In an example, and referring to
FIG. 30 , theeyepiece 3002 may provide a projectedvirtual keyboard 3008 to the wearer, such as onto a tabletop. The wearer may then reach ‘over’ thevirtual keyboard 3008 to type. As the keyboard is merely a projected virtual keyboard, rather than a physical keyboard, without some sort of compensation to the projected image the projected virtual computer would be projected ‘onto’ the back of the user's hand. However, as in this example, the eyepiece may provide compensation to the projected image such that the portion of the wearer'shand 3004 that is obstructing the intended projection of the virtual keyboard onto the table may be removed from the projection. That is, it may not be desirable for portions of thekeyboard projection 3008 to be visualized onto the user's hand, and so the eyepiece subtracts the portion of the virtual keyboard projection that is co-located with the wearer'shand 3004. In embodiments, the user may wear the interactive head-mounted eyepiece, where the eyepiece includes an optical assembly through which the user views a surrounding environment and displayed content. The optical assembly may include a corrective element that corrects the user's view of the surrounding environment, an integrated processor for handling content for display to the user, and an integrated image source for introducing the content to the optical assembly. The displayed content may include an interactive control element (e.g. virtual keyboard, virtual mouse, calculator, touch screen, and the like). An integrated camera facility may image a user's body part as it interacts with the interactive control element, wherein the processor removes a portion of the interactive control element by subtracting the portion of the interactive control element that is determined to be co-located with the imaged user body part based on the user's view. In embodiments, this technique of partial projected image removal may be applied to other projected images and obstructions, and is not meant to be restricted to this example of a hand over a virtual keyboard. - In embodiments, eyepiece facilities may provide for intervening obstructions for any virtual content that is displayed over “real” world content. If some reference frame is determined that places the content at some distance, then any object that passes between the virtual image and the viewer may be subtracted from the displayed content so as not to create a discontinuity for the user that is expecting the displayed information to exist at a certain distance away. In embodiments, variable focus techniques may also be used to increase the perception of a distance hierarchy amongst the viewed content.
- In embodiments, eyepiece facilities may provide for the ability to determine an intended text input from a sequence of character contacts swiped across a virtual keypad, such as with the finger, a stylus, the entire hand, and the like. For example, and referring to
FIG. 37 , the eyepiece may be projecting avirtual keyboard 3700, where the user wishes to input the word ‘wind’. Normally, the user would discretely press the key positions for ‘w’, then ‘i’, then ‘n’, and finally ‘d’, and a facility (camera, accelerometer, and the like, such as described herein) associated with the eyepiece would interpret each position as being the letter for that position. However, the system may also be able to monitor the movement, or swipe, of the user's finger or other pointing device across the virtual keyboard and determine best fit matches for the pointer movement. In the figure, the pointer has started at the character ‘w’ and swept apath 3704 though the characters e, r, t, y, u, i, k, n, b, v, f, and d where it stops. The eyepiece may observe this sequence and determine the sequence, such as through an input path analyzer, feed the sensed sequence into a word matching search facility, and output a best fit word, in this case ‘wind’ astext 3708. In embodiments, the eyepiece may monitor the motion of the pointing device across the keypad and determine the word more directly, such as though auto complete word matching, pattern recognition, object recognition, and the like, where some ‘separator’ indicates the space between words, such as a pause in the motion of the pointing device, a tap of the pointing device, a swirling motion of the pointing device, and the like. For instance, the entire swipe path may be used with pattern or object recognition algorithms to associate whole words with the discrete patterns formed by the user's finger as they move through each character to form words, with a pause between the movements as demarcations between the words. The eyepiece may provide the best-fit word, a listing of best-fit words, and the like. In embodiments, the user may wear the interactive head-mounted eyepiece, where the eyepiece includes an optical assembly through which the user views a surrounding environment and displayed content. The optical assembly may include a corrective element that corrects the user's view of the surrounding environment, an integrated processor for handling content for display to the user, and an integrated image source for introducing the content to the optical assembly. The displayed content may comprise an interactive keyboard control element (e.g. a virtual keyboard, calculator, touch screen, and the like), and where the keyboard control element is associated with an input path analyzer, a word matching search facility, and a keyboard input interface. The user may input text by sliding a pointing device (e.g. a finger, a stylus, and the like) across character keys of the keyboard input interface in a sliding motion through an approximate sequence of a word the user would like to input as text, wherein the input path analyzer determines the characters contacted in the input path, the word matching facility finds a best word match to the sequence of characters contacted and inputs the best word match as input text. In embodiments, the reference displayed content may be something other than a keyboard, such as a sketch pad for freehand text, or other interface references like a 4-way joystick pad for controlling a game or real robots and aircraft, and the like. Another example may be a virtual drum kit, such as with colored pads the user “taps” to make a sound. The eyepiece's ability to interpret patterns of motion across a surface may allow for projecting reference content in order to give the user something to point at and provide them with visual and/or audio feedback. In embodiments, the ‘motion’ detected by the eyepiece may be the motion of the user's eye as they look at the surface. For example, the eyepiece may have facilities for tracking the eye movement of the user, and by having both the content display locations of a projected virtual keyboard and the gazing direction of the user's eye, the eyepiece may be able to detect the line-of-sight motion of the user's eye across the keyboard, and then interpret the motions as words as described herein. - In embodiments, the eyepiece may provide the capability to command the eyepiece via hand gesture ‘air lettering’, such as the wearer using their finger to air swipe out a letter, word, and the like in view of an embedded eyepiece camera, where the eyepiece interprets the finger motion as letters, words, symbols for commanding, signatures, writing, emailing, texting, and the like. For instance, the wearer may use this technique to sign a document utilizing an ‘air signature’. The wearer may use this technique to compose text, such as in an email, text, document, and the like. The wearer eyepiece may recognize a symbol made through the hand motion as a control command. In embodiments, the air lettering may be implemented through hand gesture recognition as interpreted by images captured through an eyepiece camera, or through other input control devices, such as via an inertial measurement unit (IMU) mounted in a device on the user's finger, hand, and the like, as described herein.
- In embodiments, eyepiece facilities may provide for presenting displayed content corresponding to an identified marker indicative of the intention to display the content. That is, the eyepiece may be commanded to display certain content based upon sensing a predetermined external visual cue. The visual cue may be an image, an icon, a picture, face recognition, a hand configuration, a body configuration, and the like. The displayed content may be an interface device that is brought up for use, a navigation aid to help the user find a location once they get to some travel location, an advertisement when the eyepiece views a target image, an informational profile, and the like. In embodiments, visual marker cues and their associated content for display may be stored in memory on the eyepiece, in an external computer storage facility and imported as needed (such as by geographic location, proximity to a trigger target, command by the user, and the like), generated by a third-party, and the like. In embodiments, the user may wear the interactive head-mounted eyepiece, where the eyepiece includes an optical assembly through which the user views a surrounding environment and displayed content. The optical assembly may include a corrective element that corrects the user's view of the surrounding environment, an integrated processor for handling content for display to the user, and an integrated image source for introducing the content to the optical assembly. An integrated camera facility may be provided that images an external visual cue, wherein the integrated processor identifies and interprets the external visual cue as a command to display content associated with the visual cue. Referring to
FIG. 38 , in embodiments thevisual cue 3812 may be included in asign 3814 in the surrounding environment, where the projected content is associated with an advertisement. The sign may be a billboard, and the advertisement for a personalized advertisement based on a preferences profile of the user. The 3802,3808 may be a hand gesture, and the projected content a projectedvisual cue 3804, 3810. For instance, the hand gesture may be a thumb andvirtual keyboard index finger gesture 3802 from a first user hand, and thevirtual keyboard 3804 projected on the palm of the first user hand, and where the user is able to type on the virtual keyboard with a second user hand. Thehand gesture 3808 may be a thumb and index finger gesture combination of both user hands, and thevirtual keyboard 3810 projected between the user hands as configured in the hand gesture, where the user is able to type on the virtual keyboard using the thumbs of the user's hands. Visual cues may provide the wearer of the eyepiece with an automated resource for associating a predetermined external visual cue with a desired outcome in the way of projected content, thus freeing the wearer from searching for the cues themselves. - In embodiments, the eyepiece may include a visual recognition language translation facility for providing translations for visually presented content, such as for road signs, menus, billboards, store signs, books, magazines, and the like. The visual recognition language translation facility may utilize optical character recognition to identify letters from the content, match the strings of letters to words and phrases through a database of translations. This capability may be completely contained within the eyepiece, such as in an offline mode, or at least in part in an external computing facility, such as on an external server. For instance, a user may be in a foreign country, where the signs, menus, and the like are not understood by the wearer of the eyepiece, but for which the eyepiece is able to provide translations. These translations may appear as an annotation to the user, replace the foreign language words (such as on the sign) with the translation, provided through an audio translation to the user, and the like. In this way, the wearer won't have to take the effort to look up word translations, but rather they would be provided automatically. In an example, a user of the eyepiece may be Italian, and coming to the United States they have the need to interpret the large number of road signs in order to drive around safely. Referring to
FIG. 38A , the Italian user of the eyepiece is viewing aU.S. stop sign 3802A. In this instance, the eyepiece may identify the letters on the sign, translate the word ‘stop’ in the Italian for stop, ‘arresto’, and make thestop sign 3804A appear to read the word ‘arresto’ rather than ‘stop’. In embodiments, the eyepiece may also provide simple translation messages to the wearer, provide audio translations, provide a translation dictionary to the wearer, and the like. - In one example, the eyepiece may be used in an adaptive environment, such as for blind users. In embodiments, the results of face recognition or object identification may be processed to obtain an audible result and can be presented as audio to a wearer of the glasses through associated earbuds/headphones. In other embodiments, the results of face recognition or object identification may be translated into haptic vibrations in the glasses or an associated controller. In an example, if someone stands in front of a user of the adaptive glasses, a camera may image the person and transmit the image to the integrated processor for processing by face recognition software or to face recognition software operating on a server or in the cloud. The results of the face recognition may be presented as written text in the display of the glasses for certain individuals, but for blind or poor vision users, the result may be processed to obtain audio. In other examples, object recognition may determine the user is approaching a curb, doorway, or other object and the glasses or controller would audibly or haptically warn the user. For poor vision users, the text on the display could be magnified or the contrast could be increased.
- In embodiments, a GPS sensor may be used to determine a location of the user wearing the adaptive display. The GPS sensor may be accessed by a navigation application to audibly announce various points of interest to the user as they are approached or reached. In embodiments, the user may be audibly guided to an endpoint by the navigation application.
- The eyepiece may be useful for various applications and markets. It should be understood that the control mechanisms described herein may be used to control the functions of the applications described herein. The eyepiece may run a single application at a time or multiple applications may run at a time. Switching between applications may be done with the control mechanisms described herein. The eyepiece may be used in military applications, gaming, image recognition applications, to view/order e-books, GPS Navigation (Position, Direction, Speed and ETA), Mobile TV, athletics (view pacing, ranking, and competition times; receive coaching), telemedicine, industrial inspection, aviation, shopping, inventory management tracking, firefighting (enabled by VIS/NIRSWIR sensor that sees through fog, haze, dark), outdoor/adventure, custom advertising, and the like. In an embodiment, the eyepiece may be used with e-mail, such as GMAIL in
FIG. 7 , the Internet, web browsing, viewing sports scores, video chat, and the like. In an embodiment, the eyepiece may be used for educational/training purposes, such as by displaying step by step guides, such as hands-free, wireless maintenance and repair instructions. For example, a video manual and/or instructions may be displayed in the field of view. In an embodiment, the eyepiece may be used in Fashion, Health, and Beauty. For example, potential outfits, hairstyles, or makeup may be projected onto a mirror image of a user. In an embodiment, the eyepiece may be used in Business Intelligence, Meetings, and Conferences. For example, a user's name tag can be scanned, their face run through a facial recognition system, or their spoken name searched in database to obtain biographical information. Scanned name tags, faces, and conversations may be recorded for subsequent viewing or filing. - In an embodiment, a “Mode” may be entered by the eyepiece. In the mode, certain applications may be available. For example, a consumer version of the eyepiece may have a Tourist Mode, Educational Mode, Internet Mode, TV Mode, Gaming Mode, Exercise Mode, Stylist Mode, Personal Assistant Mode, and the like.
- A user of the augmented reality glasses may wish to participate in video calling or video conferencing while wearing the glasses. Many computers, both desktop and laptop have integrated cameras to facilitate using video calling and conferencing. Typically, software applications are used to integrate use of the camera with calling or conferencing features. With the augmented reality glasses providing much of the functionality of laptops and other computing devices, many users may wish to utilize video calling and video conferencing while on the move wearing the augmented reality glasses.
- In an embodiment, a video calling or video conferencing application may work with a WiFi connection, or may be part of a 3G or 4G calling network associated with a user's cell phone. The camera for video calling or conferencing is placed on a device controller, such as a watch or other separate electronic computing device. Placing the video calling or conferencing camera on the augmented reality glasses is not feasible, as such placement would provide the user with a view only of themselves, and would not display the other participants in the conference or call. However, the user may choose to use the forward-facing camera to display their surroundings or another individual in the video call.
-
FIG. 32 depicts atypical camera 3200 for use in video calling or conferencing. Such cameras are typically small and could be mounted on awatch 3202, as shown inFIG. 32 , cell phone or other portable computing device, including a laptop computer. Video calling works by connecting the device controller with the cell phone or other communications device. The devices utilize software compatible with the operating system of the glasses and the communications device or computing device. In an embodiment, the screen of the augmented reality glasses may display a list of options for making the call and the user may gesture using a pointing control device or use any other control technique described herein to select the video calling option on the screen of the augmented reality glasses. -
FIG. 33 illustrates anembodiment 3300 of a block diagram of a video-calling camera. The camera incorporates alens 3302, a CCD/CMOS sensor 3304, analog to digital converters for video signals, 3306, and audio signals, 3314.Microphone 3312 collects audio input. Both analog to 3306 and 3314 send their output signals to adigital converters signal enhancement module 3308. Thesignal enhancement module 3308 forwards the enhanced signal, which is a composite of both video and audio signals tointerface 3310.Interface 3310 is connected to anIEEE 1394 standard bus interface, along with acontrol module 3316. - In operation, the video call camera depends on the signal capture which transforms the incident light, as well as incident sound into electrons. For light this process is performed by CCD or
CMOS chip 3304. The microphone transforms sound into electrical impulses. - The first step in the process of generating an image for a video call is to digitize the image. The CCD or
CMOS chip 3304 dissects the image and converts it into pixels. If a pixel has collected many photons, the voltage will be high. If the pixel has collected few photons, the voltage will be low. This voltage is an analog value. During the second step of digitization, the voltage is transformed into a digital value by the analog todigital converter 3306, which handles image processing. At this point, a raw digital image is available. - Audio captured by the
microphone 3312 is also transformed into a voltage. This voltage is sent to the analog todigital converter 3314 where the analog values are transformed into digital values. - The next step is to enhance the signal so that it may be sent to viewers of the video call or conference. Signal enhancement includes creating color in the image using a color filter, located in front of the CCD or
CMOS chip 3304. This filter is red, green, or blue and changes its color from pixel to pixel, and in an embodiment, may be a color filter array, or Bayer filter. These raw digital images are then enhanced by the filter to meet aesthetic requirements. Audio data may also be enhanced for a better calling experience. - In the final step before transmission, the image and audio data are compressed and output as a digital video stream, in an embodiment using a digital video camera. If a photo camera is used, single images may be output, and in a further embodiment, voice comments may be appended to the files. The enhancement of the raw digital data takes place away from the camera, and in an embodiment may occur in the device controller or computing device that the augmented reality glasses communicate with during a video call or conference.
- Further embodiments may provide for portable cameras for use in industry, medicine, astronomy, microscopy, and other fields requiring specialized camera use. These cameras often forgo signal enhancement and output the raw digital image. These cameras may be mounted on other electronic devices or the user's hand for ease of use.
- The camera interfaces to the augmented reality glasses and the device controller or computing device using an
IEEE 1394 interface bus. This interface bus transmits time critical data, such as a video and data whose integrity is critically important, including parameters or files to manipulate data or transfer images. - In addition to the interface bus, protocols define the behavior of the devices associated with the video call or conference. The camera for use with the augmented reality glasses, may, in embodiments, employ one of the following protocols: AV/C, DCAM, or SBP-2.
- AV/C is a protocol for Audio Video Control and defines the behavior of digital video devices, including video cameras and video recorders.
- DCAM refers to the 1394 based Digital Camera Specification and defines the behavior of cameras that output uncompressed image data without audio.
- SBP-2 refers to Serial Bus Protocol and defines the behavior of mass storage devices, such as hard drives or disks.
- Devices that use the same protocol are able to communicate with each other. Thus, for video calling using the augmented reality glasses, the same protocol may be used by the video camera on the device controller and the augmented reality glasses. Because the augmented reality glasses, device controller, and camera use the same protocol, data may be exchanged among these devices. Files that may be transferred among devices include: image and audio files, image and audio data flows, parameters to control the camera, and the like.
- In an embodiment, a user desiring to initiate a video call may select a video call option from a screen presented when the call process is initiated. The user selects by making a gesture using a pointing device, or gesture to signal the selection of the video call option. The user then positions the camera located on the device controller, wristwatch, or other separable electronic device so that the user's image is captured by the camera. The image is processed through the process described above and is then streamed to the augmented reality glasses and the other participants for display to the users.
- In embodiments, the camera may be mounted on a cell phone, personal digital assistant, wristwatch, pendant, or other small portable device capable of being carried, worn, or mounted. The images or video captured by the camera may be streamed to the eyepiece. For example, when a camera is mounted on a rifle, a wearer may be able to image targets not in the line of sight and wirelessly receive imagery as a stream of displayed content to the eyepiece.
- In embodiments, the present disclosure may provide the wearer with GPS-based content reception, as in
FIG. 6 . As noted, augmented reality glasses of the present disclosure may include memory, a global positioning system, a compass or other orienting device, and a camera. GPS-based computer programs available to the wearer may include a number of applications typically available from the Apple Inc. App Store for iPhone use. Similar versions of these programs are available for other brands of smart phone and may be applied to embodiments of the present disclosure. These programs include, for example, SREngine (scene recognition engine), NearestTube, TAT Augmented ID, Yelp, Layar, and TwittARound, as well as other more specialized applications, such as RealSki. - SREngine is a scene recognition engine that is able to identify objects viewed by the user's camera. It is a software engine able to recognize static scenes, such as scenes of architecture, structures, pictures, objects, rooms, and the like. It is then able to automatically apply a virtual “label” to the structures or objects according to what it recognizes. For example, the program may be called up by a user of the present disclosure when viewing a street scene, such as
FIG. 6 . Using a camera of the augmented reality glasses, the engine will recognize the Fontaines de la Concorde in Paris. The program will then summon a virtual label, shown inFIG. 6 as part of avirtual image 618 projected onto thelens 602. The label may be text only, as seen at the bottom of theimage 618. Other labels applicable to this scene may include “fountain,” “museum,” “hotel,” or the name of the columned building in the rear. Other programs of this type may include the Wikitude AR Travel Guide, Yelp and many others. - NearestTube, for example, uses the same technology to direct a user to the closest subway station in London, and other programs may perform the same function, or similar, in other cities. Layar is another application that uses the camera, a compass or direction, and GPS data to identify a user's location and field of view. With this information, an overlay or label may appear virtually to help orient and guide the user. Yelp and Monocle perform similar functions, but their databases are somewhat more specialized, helping to direct users in a similar manner to restaurants or to other service providers.
- The user may control the glasses, and call up these functions, using any of the controls described in this patent. For example, the glasses may be equipped with a microphone to pick up voice commands from a user and process them using software contained with a memory of the glasses. The user may then respond to prompts from small speakers or earbuds also contained within the glasses frame. The glasses may also be equipped with a tiny track pad, similar to those found on smartphones. The trackpad may allow a user to move a pointer or indicator on the virtual screen within the AR glasses, similar to a touch screen. When the user reaches a desired point on the screen, the user depresses the track pad to indicate his or her selection. Thus, a user may call up a program, e.g., a travel guide, and then find his or her way through several menus, perhaps selecting a country, a city and then a category. The category selections may include, for example, hotels, shopping, museums, restaurants, and so forth. The user makes his or her selections and is then guided by the AR program. In one embodiment, the glasses also include a GPS locator, and the present country and city provides default locations that may be overridden.
- In an embodiment, the eyepiece's object recognition software may process the images being received by the eyepiece's forward facing camera in order to determine what is in the field of view. In other embodiments, the GPS coordinates of the location as determined by the eyepiece's GPS may be enough to determine what is in the field of view. In other embodiments, an RFID or other beacon in the environment may be broadcasting a location. Any one or combination of the above may be used by the eyepiece to identify the location and the identity of what is in the field of view.
- When an object is recognized, the resolution for imaging that object may be increased or images or video may be captured at low compression. Additionally, the resolution for other objects in the user's view may be decreased, or captured at a higher compression rate in order to decrease the needed bandwidth.
- Once determined, content related to points of interest in the field of view may be overlaid on the real world image, such as social networking content, interactive tours, local information, and the like. Information and content related to movies, local information, weather, restaurants, restaurant availability, local events, local taxis, music, and the like may be accessed by the eyepiece and projected on to the lens of the eyepiece for the user to view and interact with. For example, as the user looks at the Eiffel Tower, the forward facing camera may take an image and send it for processing to the eyepiece's associated processor. Object recognition software may determine that the structure in the wearer's field of view is the Eiffel Tower. Alternatively, the GPS coordinates determined by the eyepiece's GPS may be searched in a database to determine that the coordinates match those of the Eiffel Tower. In any event, content may then be searched relating to the Eiffel Tower visitor's information, restaurants in the vicinity and in the Tower itself, local weather, local Metro information, local hotel information, other nearby tourist spots, and the like. Interacting with the content may be enabled by the control mechanisms described herein. In an embodiment, GPS-based content reception may be enabled when a Tourist Mode of the eyepiece is entered.
- In an embodiment, the eyepiece may be used to view streaming video. For example, videos may be identified via search by GPS location, search by object recognition of an object in the field of view, a voice search, a holographic keyboard search, and the like. Continuing with the example of the Eiffel Tower, a video database may be searched via the GPS coordinates of the Tower or by the term ‘Eiffel Tower’ once it has been determined that is the structure in the field of view. Search results may include geo-tagged videos or videos associated with the Eiffel Tower. The videos may be scrolled or flipped through using the control techniques described herein. Videos of interest may be played using the control techniques described herein. The video may be laid over the real world scene or may be displayed on the lens out of the field of view. In an embodiment, the eyepiece may be darkened via the mechanisms described herein to enable higher contrast viewing. In another example, the eyepiece may be able to utilize a camera and network connectivity, such as described herein, to provide the wearer with streaming video conferencing capabilities.
- As noted, the user of augmented reality may receive content from an abundance of sources. A visitor or tourist may desire to limit the choices to local businesses or institutions; on the other hand, businesses seeking out visitors or tourists may wish to limit their offers or solicitations to persons who are in their area or location but who are visiting rather than local residents. Thus, in one embodiment, the visitor or tourist may limit his or her search only to local businesses, say those within certain geographic limits. These limits may be set via GPS criteria or by manually indicating a geographic restriction. For example, a person may require that sources of streaming content or ads be limited to those within a certain radius (a set number or km or miles) of the person. Alternatively, the criteria may require that the sources are limited to those within a certain city or province. These limits may be set by the augmented reality user just as a user of a computer at a home or office would limit his or her searches using a keyboard or a mouse; the entries for augmented reality users are simply made by voice, by hand motion, or other ways described elsewhere in the portions of this disclosure discussing controls.
- In addition, the available content chosen by a user may be restricted or limited by the type of provider. For example, a user may restrict choices to those with a website operated by a government institution (.gov) or by a non-profit institution or organization (.org). In this way, a tourist or visitor who may be more interested in visiting government offices, museums, historical sites and the like, may find his or her choices less cluttered. The person may be more easily able to make decisions when the available choices have been pared down to a more reasonable number. The ability to quickly cut down the available choices is desirable in more urban areas, such as Paris or Washington, D.C., where there are many choices.
- The user controls the glasses in any of the manners or modes described elsewhere in this patent. For example, the user may call up a desired program or application by voice or by indicating a choice on the virtual screen of the augmented reality glasses. The augmented glasses may respond to a track pad mounted on the frame of the glasses, as described above. Alternatively, the glasses may be responsive to one or more motion or position sensors mounted on the frame. The signals from the sensors are then sent to a microprocessor or microcontroller within the glasses, the glasses also providing any needed signal transducing or processing. Once the program of choice has begun, the user makes selections and enters a response by any of the methods discussed herein, such as signaling “yes” or “no” with a head movement, a hand gesture, a trackpad depression, or a voice command.
- At the same time, content providers, that is, advertisers, may also wish to restrict their offerings to persons who are within a certain geographic area, e.g., their city limits At the same time, an advertiser, perhaps a museum, may not wish to offer content to local persons, but may wish to reach visitors or out-of-towners. In another example, advertisements may not be presented when the user is home but may be presented when the user is traveling or away from home. The augmented reality devices discussed herein are desirably equipped with both GPS capability and telecommunications capability and an integrated processor for implementing geographic-based rules for advertisement presentation. It will be a simple matter for the museum to provide streaming content within a limited area by limiting its broadcast power. The museum, however, may provide the content through the Internet and its content may be available world-wide. In this instance, a user may receive content through an augmented reality device advising that the museum is open today and is available for touring.
- The user may respond to the content by the augmented reality equivalent of clicking on a link for the museum. The augmented reality equivalent may be a voice indication, a hand or eye movement, or other sensory indication of the user's choice, or by using an associated body-mounted controller. The museum then receives a cookie indicating the identity of the user or at least the user's internet service provider (ISP). If the cookie indicates or suggests an internet service provider other than local providers, the museum server may then respond with advertisements or offers tailored to visitors. The cookie may also include an indication of a telecommunications link, e.g., a telephone number. If the telephone number is not a local number, this is an additional clue that the person responding is a visitor. The museum or other institution may then follow up with the content desired or suggested by its marketing department.
- Another application of the augmented reality eyepiece takes advantage of a user's ability to control the eyepiece and its tools with a minimum use of the user's hands, using instead voice commands, gestures or motions. As noted above, a user may call upon the augmented reality eyepiece to retrieve information. This information may already be stored in a memory of the eyepiece, but may instead be located remotely, such as a database accessible over the Internet or perhaps via an intranet which is accessible only to employees of a particular company or organization. The eyepiece may thus be compared to a computer or to a display screen which can be viewed and heard at an extremely close range and generally controlled with a minimal use of one's hands.
- Applications may thus include providing information on-the-spot to a mechanic or electronics technician. The technician can don the glasses when seeking information about a particular structure or problem encountered, for example, when repairing an engine or a power supply. Using voice commands, he or she may then access the database and search within the database for particular information, such as manuals or other repair and maintenance documents. The desired information may thus be promptly accessed and applied with a minimum of effort, allowing the technician to more quickly perform the needed repair or maintenance and to return the equipment to service. For mission-critical equipment, such time savings may also save lives, in addition to saving repair or maintenance costs.
- The information imparted may include repair manuals and the like, but may also include a full range of audio-visual information, i.e., the eyepiece screen may display to the technician or mechanic a video of how to perform a particular task at the same time the person is attempting to perform the task. The augmented reality device also includes telecommunications capabilities, so the technician also has the ability to call on others to assist if there is some complication or unexpected difficulty with the task. This educational aspect of the present disclosure is not limited to maintenance and repair, but may be applied to any educational endeavor, such as secondary or post-secondary classes, continuing education courses or topics, seminars, and the like.
- In an embodiment, a Wi-Fi enabled eyepiece may run a location-based application for geo-location of opted-in users. Users may opt-in by logging into the application on their phone and enabling broadcast of their location, or by enabling geo-location on their own eyepiece. As a wearer of the eyepiece scans people, and thus their opted-in device, the application may identify opted-in users and send an instruction to the projector to project an augmented reality indicator on an opted-in user in the user's field of view. For example, green rings may be placed around people who have opted-in to have their location seen. In another example, yellow rings may indicate people who have opted-in but don't meet some criteria, such as they do not have a FACEBOOK account, or that there are no mutual friends if they do have a FACEBOOK account.
- Some social networking, career networking, and dating applications may work in concert with the location-based application. Software resident on the eyepiece may coordinate data from the networking and dating sites and the location-based application. For example, TwittARound is one such program which makes use of a mounted camera to detect and label location-stamped tweets from other tweeters nearby. This will enable a person using the present disclosure to locate other nearby Twitter users. Alternatively, users may have to set their devices to coordinate information from various networking and dating sites. For example, the wearer of the eyepiece may want to see all E-HARMONY users who are broadcasting their location. If an opted-in user is identified by the eyepiece, an augmented reality indicator may be laid over the opted-in user. The indicator may take on a different appearance if the user has something in common with the wearer, many things in common with the user, and the like. For example, and referring to
FIG. 16 , two people are being viewed by the wearer. Both of the people are identified as E-HARMONY users by the rings placed around them. However, the woman shown with solid rings has more than one item in common with the wearer while the woman shown with dotted rings has no items in common with the wearer. Any available profile information may get accessed and displayed to the user. - In an embodiment, when the wearer directs the eyepiece in the direction of a user who has a networking account, such as FACEBOOK, TWITTER, BLIPPY, LINKEDIN, GOOGLE, WIKIPEDIA, and the like, the user's recent posts or profile information may be displayed to the wearer. For example, recent status updates, “tweets”, “blips”, and the like may get displayed, as mentioned above for TwittARound. In an embodiment, when the wearer points the eyepiece in a target user's direction, they may indicate interest in the user if the eyepiece is pointed for a duration of time and/or a gesture, head, eye, or audio control is activated. The target user may receive an indication of interest on their phone or in their glasses. If the target user had marked the wearer as interesting but was waiting on the wearer to show interest first, an indication may immediately pop up in the eyepiece of the target user's interest. A control mechanism may be used to capture an image and store the target user's information on associated non-volatile memory or in an online account.
- In other applications for social networking, a facial recognition program, such as TAT Augmented ID, from TAT—The Astonishing Tribe, Malmo, Sweden, may be used. Such a program may be used to identify a person by his or her facial characteristics. This software uses facial recognition software to identify a person. Using other applications, such as photo identifying software from Flickr, one can then identify the particular nearby person, and one can then download information from social networking sites with information about the person. This information may include the person's name and the profile the person has made available on sites such as Facebook, Twitter, and the like. This application may be used to refresh a user's memory of a person or to identify a nearby person, as well as to gather information about the person.
- In other applications for social networking, the wearer may be able to utilize location-based facilities of the eyepiece to leave notes, comments, reviews, and the like, at locations, in association with people, places, products, and the like. For example, a person may be able to post a comment on a place they visited, where the posting may then be made available to others through the social network. In another example, a person may be able to post that comment at the location of the place such that the comment is available when another person comes to that location. In this way, a wearer may be able to access comments left by others when they come to the location. For instance, a wearer may come to the entrance to a restaurant, and be able to access reviews for the restaurant, such as sorted by some criteria (e.g. most recent review, age of reviewer, and the like).
- A user may initiate the desired program by voice, by selecting a choice from a virtual touchscreen, as described above, by using a trackpad to select and choose the desired program, or by any of the control techniques described herein. Menu selections may then be made in a similar or complementary manner. Sensors or input devices mounted in convenient locations on the user's body may also be used, e.g., sensors and a track pad mounted on a wrist pad, on a glove, or even a discreet device, perhaps of the size of a smart phone or a personal digital assistant.
- Applications of the present disclosure may provide the wearer with Internet access, such as for browsing, searching, shopping, entertainment, and the like, such as through a wireless communications interface to the eyepiece. For instance, a wearer may initiate a web search with a control gesture, such as through a control facility worn on some portion of the wearer's body (e.g. on the hand, the head, the foot), on some component being used by the wearer (e.g. a personal computer, a smart phone, a music player), on a piece of furniture near the wearer (e.g. a chair, a desk, a table, a lamp), and the like, where the image of the web search is projected for viewing by the wearer through the eyepiece. The wearer may then view the search through the eyepiece and control web interaction though the control facility.
- In an example, a user may be wearing an embodiment configured as a pair of glasses, with the projected image of an Internet web browser provided through the glasses while retaining the ability to simultaneously view at least portions of the surrounding real environment. In this instance, the user may be wearing a motion sensitive control facility on their hand, where the control facility may transmit relative motion of the user's hand to the eyepiece as control motions for web control, such as similar to that of a mouse in a conventional personal computer configuration. It is understood that the user would be enabled to perform web actions in a similar fashion to that of a conventional personal computer configuration. In this case, the image of the web search is provided through the eyepiece while control for selection of actions to carry out the search is provided though motions of the hand. For instance, the overall motion of the hand may move a cursor within the projected image of the web search, the flick of the finger(s) may provide a selection action, and so forth. In this way, the wearer may be enabled to perform the desired web search, or any other Internet browser-enabled function, through an embodiment connected to the Internet. In one example, a user may have downloaded computer programs Yelp or Monocle, available from the App Store, or a similar product, such as NRU (“near you”), an application from Zagat to locate nearby restaurants or other stores, Google Earth, Wikipedia, or the like. The person may initiate a search, for example, for restaurants, or other providers of goods or services, such as hotels, repairmen, and the like, or information. When the desired information is found, locations are displayed or a distance and direction to a desired location is displayed. The display may take the form of a virtual label co-located with the real world object in the user's view.
- Other applications from Layar (Amsterdam, the Netherlands) include a variety of “layers” tailored for specific information desired by a user. A layer may include restaurant information, information about a specific company, real estate listings, gas stations, and so forth. Using the information provided in a software application, such as a mobile application and a user's global positioning system (GPS), information may be presented on a screen of the glasses with tags having the desired information. Using the haptic controls or other control discussed elsewhere in this disclosure, a user may pivot or otherwise rotate his or her body and view buildings tagged with virtual tags containing information. If the user seeks restaurants, the screen will display restaurant information, such as name and location. If a user seeks a particular address, virtual tags will appear on buildings in the field of view of the wearer. The user may then make selections or choices by voice, by trackpad, by virtual touch screen, and so forth.
- Applications of the present disclosure may provide a way for advertisements to be delivered to the wearer. For example, advertisements may be displayed to the viewer through the eyepiece as the viewer is going about his or her day, while browsing the Internet, conducting a web search, walking though a store, and the like. For instance, the user may be performing a web search, and through the web search the user is targeted with an advertisement. In this example, the advertisement may be projected in the same space as the projected web search, floating off to the side, above, or below the view angle of the wearer. In another example, advertisements may be triggered for delivery to the eyepiece when some advertising providing facility, perhaps one in proximity to the wearer, senses the presence of the eyepiece (e.g. through a wireless connection, RFID, and the like), and directs the advertisement to the eyepiece. In embodiments, the eyepiece may be used for tracking of advertisement interactions, such as the user seeing or interacting with a billboard, a promotion, an advertisement, and the like. For instance, user's behavior with respect to advertisements may be tracked, such as to provide benefits, rewards, and the like to the user. In an example, the user may be paid five dollars in virtual cash whenever they see a billboard. The eyepiece may provide impression tracking, such as based on seeing branded images (e.g. based on time, geography), and the like. As a result, offers may be targeted based on the location and the event related to the eyepiece, such as what the user saw, heard, interacted with, and the like. In embodiments, ad targeting may be based on historical behavior, such as based on what the user has interacted with in the past, patterns of interactions, and the like.
- For example, the wearer may be window-shopping in Manhattan, where stores are equipped with such advertising providing facilities. As the wearer walks by the stores, the advertising providing facilities may trigger the delivery of an advertisement to the wearer based on a known location of the user determined by an integrated location sensor of the eyepiece, such as a GPS. In an embodiment, the location of the user may be further refined via other integrated sensors, such as a magnetometer to enable hyperlocal augmented reality advertising. For example, a user on a ground floor of a mall may receive certain advertisements if the magnetometer and GPS readings place the user in front of a particular store. When the user goes up one flight in the mall, the GPS location may remain the same, but the magnetometer reading may indicate a change in elevation of the user and a new placement of the user in front of a different store. In embodiments, one may store personal profile information such that the advertising providing facility is able to better match advertisements to the needs of the wearer, the wearer may provide preferences for advertisements, the wearer may block at least some of the advertisements, and the like. The wearer may also be able to pass advertisements, and associated discounts, on to friends. The wearer may communicate them directly to friends that are in close proximity and enabled with their own eyepiece; they may also communicate them through a wireless Internet connection, such as to a social network of friends, though email, SMS; and the like. The wearer may be connected to facilities and/or infrastructure that enables the communication of advertisements from a sponsor to the wearer; feedback from the wearer to an advertisement facility, the sponsor of the advertisement, and the like; to other users, such as friends and family, or someone in proximity to the wearer; to a store, such as locally on the eyepiece or in a remote site, such as on the Internet or on a user's home computer; and the like. These interconnectivity facilities may include integrated facilities to the eyepiece to provide the user's location and gaze direction, such as through the use of GPS, 3-axis sensors, magnetometer, gyros, accelerometers, and the like, for determining direction, speed, attitude (e.g. gaze direction) of the wearer. Interconnectivity facilities may provide telecommunications facilities, such as cellular link, a WiFi/MiFi bridge, and the like. For instance, the wearer may be able to communicate through an available WiFi link, through an integrated MiFi (or any other personal or group cellular link) to the cellular system, and the like. There may be facilities for the wearer to store advertisements for a later use. There may be facilities integrated with the wearer's eyepiece or located in local computer facilities that enable caching of advertisements, such as within a local area, where the cached advertisements may enable the delivery of the advertisements as the wearer nears the location associated with the advertisement. For example, local advertisements may be stored on a server that contains geo-located local advertisements and specials, and these advertisements may be delivered to the wearer individually as the wearer approaches a particular location, or a set of advertisements may be delivered to the wearer in bulk when the wearer enters a geographic area that is associated with the advertisements so that the advertisements are available when the user nears a particular location. The geographic location may be a city, a part of the city, a number of blocks, a single block, a street, a portion of the street, sidewalk, and the like, representing regional, local, hyper-local areas. Note that the preceding discussion uses the term advertisement, but one skilled in the art will appreciate that this can also mean an announcement, a broadcast, a circular, a commercial, a sponsored communication, an endorsement, a notice, a promotion, a bulletin, a message, and the like.
-
FIGS. 18-20A depict ways to deliver custom messages to persons within a short distance of an establishment that wishes to send a message, such as a retail store. Referring toFIG. 18 now, embodiments may provide for a way to view custom billboards, such as when the wearer of the eyepiece is walking or driving, by applications as mentioned above for searching for providers of goods and services. As depicted inFIG. 18 , thebillboard 1800 shows an exemplary augmented reality-based advertisement displayed by a seller or a service provider. The exemplary advertisement, as depicted, may relate to an offer on drinks by a bar. For example, two drinks may be provided for the cost of just one drink. With such augmented reality-based advertisements and offers, the wearer's attention may be easily directed towards the billboards. The billboards may also provide details about location of the bar such as street address, floor number, phone number, and the like. In accordance with other embodiments, several devices other than eyepiece may be utilized to view the billboards. These devices may include without limitations smart phones, IPHONEs, IPADs, car windshields, user glasses, helmets, wristwatches, headphones, vehicle mounts, and the like. In accordance with an embodiment, a user (wearer in case the augmented reality technology is embedded in the eyepiece) may automatically receive offers or view a scene of the billboards as and when the user passes or drives by the road. In accordance with another embodiment, the user may receive offers or view the scene of the billboards based on his request. -
FIG. 19 illustrates twoexemplary roadside billboards 1900 containing offers and advertisements from sellers or service providers that may be viewed in the augmented reality manner. The augmented advertisement may provide a live and near-to-reality perception to the user or the wearer. - As illustrated in
FIG. 20 , the augmented reality enabled device such as the camera lens provided in the eyepiece may be utilized to receive and/orview graffiti 2000, slogans, drawings, and the like, that may be displayed on the roadside or on top, side, front of the buildings and shops. The roadside billboards and the graffiti may have a visual (e.g. a code, a shape) or wireless indicator that may link the advertisement, or advertisement database, to the billboard. When the wearer nears and views the billboard, a projection of the billboard advertisement may then be provided to the wearer. In embodiments, one may also store personal profile information such that the advertisements may better match the needs of the wearer, the wearer may provide preferences for advertisements, the wearer may block at least some of the advertisements, and the like. In embodiments, the eyepiece may have brightness and contrast control over the eyepiece projected area of the billboard so as to improve readability for the advertisement, such as in a bright outside environment. - In other embodiments, users may post information or messages on a particular location, based on its GPS location or other indicator of location, such as a magnetometer reading. The intended viewer is able to see the message when the viewer is within a certain distance of the location, as explained with
FIG. 20A . In afirst step 2001 of the methodFIG. 20A , a user decides the location where the message is to be received by persons to whom the message is sent. The message is then posted 2003, to be sent to the appropriate person or persons when the recipient is close to the intended “viewing area.” Location of the wearers of the augmented reality eyepiece is continuously updated 2005 by the GPS system which forms a part of the eyepiece. When the GPS system determines that the wearer is within a certain distance of the desired viewing area, e.g., 10 meters, the message is then sent 2007 to the viewer. In one embodiment, the message then appears as e-mail or a text message to the recipient, or if the recipient is wearing an eyepiece, the message may appear in the eyepiece. Because the message is sent to the person based on the person's location, in one sense, the message may be displayed as “graffiti” on a building or feature at or near the specified location. Specific settings may be used to determine if all passersby to the “viewing area” can see the message or if only a specific person or group of people or devices with specific identifiers. For example, a soldier clearing a village may virtually mark a house as cleared by associating a message or identifier with the house, such as a big X marking the location of the house. The soldier may indicate that only other American soldiers may be able to receive the location-based content. When other American soldiers pass the house, they may receive an indication automatically, such as by seeing the virtual ‘X’ on the side of the house if they have an eyepiece or some other augmented reality-enabled device, or by receiving a message indicating that the house has been cleared. In another example, content related to safety applications may be streamed to the eyepiece, such as alerts, target identification, communications, and the like. - Embodiments may provide for a way to view information associated with products, such as in a store. Information may include nutritional information for food products, care instructions for clothing products, technical specifications for consumer electronics products, e-coupons, promotions, price comparisons with other like products, price comparisons with other stores, and the like. This information may be projected in relative position with the product, to the periphery of sight to the wearer, in relation to the store layout, and the like. The product may be identified visually through a SKU, a brand tag, and the like; transmitted by the product packaging, such as through an RFID tag on the product; transmitted by the store, such as based on the wearer's position in the store, in relative position to the products; and the like.
- For example, a viewer may be walking though a clothing store, and as they walk are provided with information on the clothes on the rack, where the information is provided through the product's RFID tag. In embodiments, the information may be delivered as a list of information, as a graphic representation, as audio and/or video presentation, and the like. In another example, the wearer may be food shopping, and advertisement providing facilities may be providing information to the wearer in association with products in the wearer's proximity, the wearer may be provided information when they pick up the product and view the brand, product name, SKU, and the like. In this way, the wearer may be provided a more informative environment in which to effectively shop.
- One embodiment may allow a user to receive or share information about shopping or an urban area through the use of the augmented reality enabled devices such as the camera lens fitted in the eyepiece of exemplary sunglasses. These embodiments will use augmented reality (AR) software applications such as those mentioned above in conjunction with searching for providers of goods and services. In one scenario, the wearer of the eyepiece may walk down a street or a market for shopping purposes. Further, the user may activate various modes that may assist in defining user preferences for a particular scenario or environment. For example the user may enter navigation mode through which the wearer may be guided across the streets and the market for shopping of the preferred accessories and products. The mode may be selected and various directions may be given by the wearer through various methods such as through text commands, voice commands, and the like. In an embodiment, the wearer may give a voice command to select the navigation mode which may result in the augmented display in front of the wearer. The augmented information may depict information pertinent to the location of various shops and vendors in the market, offers in various shops and by various vendors, current happy hours, current date and time and the like. Various sorts of options may also be displayed to the wearer. The wearer may scroll the options and walk down the street guided through the navigation mode. Based on options provided, the wearer may select a place that suits him the best for shopping based on such as offers and discounts and the like. In embodiments, the eyepiece may provide the ability to search, browse, select, save, share, receive advertisements, and the like for items of purchase, such as viewed through the eyepiece. For example, the wearer may search for an item across the Internet and make a purchase without making a phone call, such as through an application store, commerce application, and the like.
- The wearer may give a voice command to navigate toward the place and the wearer may then be guided toward it. The wearer may also receive advertisements and offers automatically or based on request regarding current deals, promotions and events in the interested location such as a nearby shopping store. The advertisements, deals and offers may appear in proximity of the wearer and options may be displayed for purchasing desired products based on the advertisements, deals and offers. The wearer may for example select a product and purchase it through a Google checkout. A message or an email may appear on the eyepiece, similar to the one depicted in
FIG. 7 , with information that the transaction for the purchase of the product has been completed. A product delivery status/information may also be displayed. The wearer may further convey or alert friends and relatives regarding the offers and events through social networking platforms and may also ask them to join. - In embodiments, the user may wear the head-mounted eyepiece wherein the eyepiece includes an optical assembly through which the user may view a surrounding environment and displayed content. The displayed content may comprise one or more local advertisements. The location of the eyepiece may be determined by an integrated location sensor and the local advertisement may have a relevance to the location of the eyepiece. By way of example, the user's location may be determined via GPS, RFID, manual input, and the like. Further, the user may be walking by a coffee shop, and based on the user's proximity to the shop, an advertisement, similar to that depicted in
FIG. 19 , showing the store'sbrand 1900, such as the band for a fast food restaurant or coffee may appear in the user's field of view. The user may experience similar types of local advertisements as he or she moves about the surrounding environment. - In other embodiments, the eyepiece may contain a capacitive sensor capable of sensing whether the eyepiece is in contact with human skin. Such sensor or group of sensors may be placed on the eyepiece and or eyepiece arm in such a manner that allows detection of when the glasses are being worn by a user. In other embodiments, sensors may be used to determine whether the eyepiece is in a position such that they may be worn by a user, for example, when the earpiece is in the unfolded position. Furthermore, local advertisements may be sent only when the eyepiece is in contact with human skin, in a wearable position, a combination of the two, actually worn by the user and the like. In other embodiments, the local advertisement may be sent in response to the eyepiece being powered on or in response to the eyepiece being powered on and worn by the user and the like. By way of example, an advertiser may choose to only send local advertisements when a user is in proximity to a particular establishment and when the user is actually wearing the glasses and they are powered on allowing the advertiser to target the advertisement to the user at the appropriate time.
- In accordance with other embodiments, the local advertisement may be displayed to the user as a banner advertisement, two-dimensional graphic, text and the like. Further, the local advertisement may be associated with a physical aspect of the user's view of the surrounding environment. The local advertisement may also be displayed as an augmented reality advertisement wherein the advertisement is associated with a physical aspect of the surrounding environment. Such advertisement may be two or three-dimensional. By way of example, a local advertisement may be associated with a physical billboard as described further in
FIG. 18 wherein the user's attention may be drawn to displayed content showing a beverage being poured from abillboard 1800 onto an actual building in the surrounding environment. The local advertisement may also contain sound that is displayed to the user through an earpiece, audio device or other means. Further, the local advertisement may be animated in embodiments. For example, the user may view the beverage flow from the billboard onto an adjacent building and, optionally, into the surrounding environment. Similarly, an advertisement may display any other type of motion as desired in the advertisement. Additionally, the local advertisement may be displayed as a three-dimensional object that may be associated with or interact with the surrounding environment. In embodiments where the advertisement is associated with an object in the user's view of the surrounding environment, the advertisement may remain associated with or in proximity to the object even as the user turns his head. For example, if an advertisement, such as the coffee cup as described inFIG. 19 , is associated with a particular building, the coffee cup advertisement may remain associated with and in place over the building even as the user turns his head to look at another object in his environment. - In other embodiments, local advertisements may be displayed to the user based on a web search conducted by the user where the advertisement is displayed in the content of the web search results. For example, the user may search for “happy hour” as he is walking down the street, and in the content of the search results, a local advertisement may be displayed advertising a local bar's beer prices.
- Further, the content of the local advertisement may be determined based on the user's personal information. The user's information may be made available to a web application, an advertising facility and the like. Further, a web application, advertising facility or the user's eyepiece may filter the advertising based on the user's personal information. Generally, for example, a user may store personal information about his likes and dislikes and such information may be used to direct advertising to the user's eyepiece. By way of specific example, the user may store data about his affinity for a local sports team, and as advertisements are made available, those advertisements with his favorite sports team may be given preference and pushed to the user. Similarly, a user's dislikes may be used to exclude certain advertisements from view. In various embodiments, the advertisements may be cashed on a server where the advertisement may be accessed by at least one of an advertising facility, web application and eyepiece and displayed to the user.
- In various embodiments, the user may interact with any type of local advertisement in numerous ways. The user may request additional information related to a local advertisement by making at least one action of an eye movement, body movement and other gesture. For example, if an advertisement is displayed to the user, he may wave his hand over the advertisement in his field of view or move his eyes over the advertisement in order to select the particular advertisement to receive more information relating to such advertisement. Moreover, the user may choose to ignore the advertisement by any movement or control technology described herein such as through an eye movement, body movement, other gesture and the like. Further, the user may chose to ignore the advertisement by allowing it to be ignored by default by not selecting the advertisement for further interaction within a given period of time. For example, if the user chooses not to gesture for more information from the advertisement within five seconds of the advertisement being displayed, the advertisement may be ignored by default and disappear from the users view. Furthermore, the user may select to not allow local advertisements to be displayed whereby said user selects such an option on a graphical user interface or by turning such feature off via a control on said eyepiece.
- In other embodiments, the eyepiece may include an audio device. Accordingly, the displayed content may comprise a local advertisement and audio such that the user is also able to hear a message or other sound effects as they relate to the local advertisement. By way of example, and referring again to
FIG. 18 , while the user sees the beer being poured, he will actually be able to hear an audio transmission corresponding to the actions in the advertisement. In this case, the user may hear the bottle open and then the sound of the liquid pouring out of the bottle and onto the rooftop. In yet other embodiments, a descriptive message may be played, and or general information may be given as part of the advertisement. In embodiments, any audio may be played as desired for the advertisement. - In accordance with another embodiment, social networking may be facilitated with the use of the augmented reality enabled devices such as a camera lens fitted in the eyepiece. This may be utilized to connect several users or other persons that may not have the augmented reality enabled device together who may share thoughts and ideas with each other. For instance, the wearer of the eyepiece may be sitting in a school campus along with other students. The wearer may connect with and send a message to a first student who may be present in a coffee shop. The wearer may ask the first student regarding persons interested in a particular subject such as environmental economics for example. As other students pass through the field of view of the wearer, the camera lens fitted inside the eyepiece may track and match the students to a networking database such as ‘Google me’ that may contain public profiles. Profiles of interested and relevant persons from the public database may appear and pop-up in front of the wearer on the eyepiece. Some of the profiles that may not be relevant may either be blocked or appear blocked to the user. The relevant profiles may be highlighted for quick reference of the wearer. The relevant profiles selected by the wearer may be interested in the subject environmental economics and the wearer may also connect with them. Further, they may also be connected with the first student. In this manner, a social network may be established by the wearer with the use of the eyepiece enabled with the feature of the augmented reality. The social networks managed by the wearer and the conversations therein may be saved for future reference.
- The present disclosure may be applied in a real estate scenario with the use of the augmented reality enabled devices such as a camera lens fitted in an eyepiece. The wearer, in accordance with this embodiment, may want to get information about a place in which the user may be present at a particular time such as during driving, walking, jogging and the like. The wearer may, for instance, want to understand residential benefits and loss in that place. He may also want to get detailed information about the facilities in that place. Therefore, the wearer may utilize a map such as a Google online map and recognize the real estate that may be available there for lease or purchase. As noted above, the user may receive information about real estate for sale or rent using mobile Internet applications such as Layar. In one such application, information about buildings within the user's field of view is projected onto the inside of the glasses for consideration by the user. Options may be displayed to the wearer on the eyepiece lens for scrolling, such as with a trackpad mounted on a frame of the glasses. The wearer may select and receive information about the selected option. The augmented reality enabled scenes of the selected options may be displayed to the wearer and the wearer may be able to view pictures and take a facility tour in the virtual environment. The wearer may further receive information about real estate agents and fix an appointment with one of those. An email notification or a call notification may also be received on the eyepiece for confirmation of the appointment. If the wearer finds the selected real estate of worth, a deal may be made and that may be purchased by the wearer.
- In accordance with another embodiment, customized and sponsored tours and travels may be enhanced through the use of the augmented reality-enabled devices, such as a camera lens fitted in the eyepiece. For instance, the wearer (as a tourist) may arrive in a city such as Paris and wants to receive tourism and sightseeing related information about the place to accordingly plan his visit for the consecutive days during his stay. The wearer may put on his eyepiece or operate any other augmented reality enabled device and give a voice or text command regarding his request. The augmented reality enabled eyepiece may locate wearer position through geo-sensing techniques and decide tourism preferences of the wearer. The eyepiece may receive and display customized information based on the request of the wearer on a screen. The customized tourism information may include information about art galleries and museums, monuments and historical places, shopping complexes, entertainment and nightlife spots, restaurants and bars, most popular tourist destinations and centers/attractions of tourism, most popular local/cultural/regional destinations and attractions, and the like without limitations. Based on user selection of one or more of these categories, the eyepiece may prompt the user with other questions such as time of stay, investment in tourism and the like. The wearer may respond through the voice command and in return receive customized tour information in an order as selected by the wearer. For example the wearer may give a priority to the art galleries over monuments. Accordingly, the information may be made available to the wearer. Further, a map may also appear in front of the wearer with different sets of tour options and with different priority rank such as:
- Priority Rank 1: First tour Option (Champs Elyse, Louvre, Rodin, Museum, Famous Café)
- Priority Rank 2: Second option
- Priority Rank 3: Third Option
- The wearer, for instance, may select the first option since it is ranked as highest in priority based on wearer indicated preferences. Advertisements related to sponsors may pop up right after selection. Subsequently, a virtual tour may begin in the augmented reality manner that may be very close to the real environment. The wearer may for example take a 30 seconds tour to a vacation special to the Atlantis Resort in the Bahamas. The virtual 3D tour may include a quick look at the rooms, beach, public spaces, parks, facilities, and the like. The wearer may also experience shopping facilities in the area and receive offers and discounts in those places and shops. At the end of the day, the wearer might have experienced a whole day tour sitting in his chamber or hotel. Finally, the wearer may decide and schedule his plan accordingly.
- Another embodiment may allow information concerning auto repairs and maintenance services with the use of the augmented reality enabled devices such as a camera lens fitted in the eyepiece. The wearer may receive advertisements related to auto repair shops and dealers by sending a voice command for the request. The request may, for example include a requirement of oil change in the vehicle/car. The eyepiece may receive information from the repair shop and display to the wearer. The eyepiece may pull up a 3D model of the wearer's vehicle and show the amount of oil left in the car through an augmented reality enabled scene/view. The eyepiece may show other relevant information also about the vehicle of the wearer such as maintenance requirements in other parts like brake pads. The wearer may see 3D view of the wearing brake pads and may be interested in getting those repaired or changed. Accordingly, the wearer may schedule an appointment with a vendor to fix the problem via using the integrated wireless communication capability of the eyepiece. The confirmation may be received through an email or an incoming call alert on the eyepiece camera lens.
- In accordance with another embodiment, gift shopping may benefit through the use of the augmented reality enabled devices such as a camera lens fitted in the eyepiece. The wearer may post a request for a gift for some occasion through a text or voice command. The eyepiece may prompt the wearer to answer his preferences such as type of gifts, age group of the person to receive the gift, cost range of the gift and the like. Various options may be presented to the user based on the received preferences. For instance, the options presented to the wearer may be: Cookie basket, Wine and cheese basket, Chocolate assortment, Golfer's gift basket, and the like.
- The available options may be scrolled by the wearer and the best fit option may be selected via the voice command or text command. For example, the wearer may select the Golfer's gift basket. A 3D view of the Golfer's gift basket along with a golf course may appear in front of the wearer. The virtual 3D view of the Golfer's gift basket and the golf course enabled through the augmented reality may be perceived very close to the real world environment. The wearer may finally respond to the address, location and other similar queries prompted through the eyepiece. A confirmation may then be received through an email or an incoming call alert on the eyepiece camera lens.
- Another application that may appeal to users is mobile on-line gaming using the augmented reality glasses. These games may be computer video games, such as those furnished by Electronic Arts Mobile, UbiSoft and Activision Blizzard, e.g., World of Warcraft® (WoW). Just as games and recreational applications are played on computers at home (rather than computers at work), augmented reality glasses may also use gaming applications. The screen may appear on an inside of the glasses so that a user may observe the game and participate in the game. In addition, controls for playing the game may be provided through a virtual game controller, such as a joystick, control module or mouse, described elsewhere herein. The game controller may include sensors or other output type elements attached to the user's hand, such as for feedback from the user through acceleration, vibration, force, pressure, electrical impulse, temperature, electric field sensing, and the like. Sensors and actuators may be attached to the user's hand by way of a wrap, ring, pad, glove, bracelet, and the like. As such, an eyepiece virtual mouse may allow the user to translate motions of the hand, wrist, and/or fingers into motions of the cursor on the eyepiece display, where “motions” may include slow movements, rapid motions, jerky motions, position, change in position, and the like, and may allow users to work in three dimensions, without the need for a physical surface, and including some or all of the six degrees of freedom.
- As seen in
FIG. 27 ,gaming application implementations 2700 may use both the internet and a GPS. In one embodiment, a game is downloaded from a customer database via a game provider, perhaps using their web services and the internet as shown, to a user computer or augmented reality glasses. At the same time, the glasses, which also have telecommunication capabilities, receive and send telecommunications and telemetry signals via a cellular tower and a satellite. Thus, an on-line gaming system has access to information about the user's location as well as the user's desired gaming activities. - Games may take advantage of this knowledge of the location of each player. For example, the games may build in features that use the player's location, via a GPS locator or magnetometer locator, to award points for reaching the location. The game may also send a message, e.g., display a clue, or a scene or images, when a player reaches a particular location. A message, for example, may be to go to a next destination, which is then provided to the player. Scenes or images may be provided as part of a struggle or an obstacle which must be overcome, or as an opportunity to earn game points. Thus, in one embodiment, augmented reality eyepieces or glasses may use the wearer's location to quicken and enliven computer-based video games.
- One method of playing augmented reality games is depicted in
FIG. 28 . In thismethod 2800, a user logs into a website whereby access to a game is permitted. The game is selected. In one example, the user may join a game, if multiple player games are available and desired; alternatively, the user may create a custom game, perhaps using special roles the user desired. The game may be scheduled, and in some instances, players may select a particular time and place for the game, distribute directions to the site where the game will be played, etc. Later, the players meet and check into the game, with one or more players using the augmented reality glasses. Participants then play the game and if applicable, the game results and any statistics (scores of the players, game times, etc.) may be stored. Once the game has begun, the location may change for different players in the game, sending one player to one location and another player or players to a different location. The game may then have different scenarios for each player or group of players, based on their GPS or magnetometer-provided locations. Each player may also be sent different messages or images based on his or her role, his or her location, or both. Of course, each scenario may then lead to other situations, other interactions, directions to other locations, and so forth. In one sense, such a game mixes the reality of the player's location with the game in which the player is participating. - Games can range from simple games of the type that would be played in a palm of a player's hand, such as small, single player games. Alternatively, more complicated, multi-player games may also be played. In the former category are games such as SkySiege, AR Drone and Fire Fighter 360. In addition, multiplayer games are also easily envisioned. Since all players must log into the game, a particular game may be played by friends who log in and specify the other person or persons. The location of the players is also available, via GPS or other method. Sensors in the augmented reality glasses or in a game controller as described above, such as accelerometers, gyroscopes or even a magnetic compass, may also be used for orientation and game playing. An example is AR Invaders, available for iPhone applications from the App Store. Other games may be obtained from other vendors and for non-iPhone type systems, such as Layar, of Amsterdam and Paris SA, Paris, France, supplier of AR Drone, AR Flying Ace and AR Pursuit.
- In embodiments, games may also be in 3D such that the user can experience 3D gaming. For example, when playing a 3D game, the user may view a virtual, augmented reality or other environment where the user is able to control his view perspective. The user may turn his head to view various aspects of the virtual environment or other environment. As such, when the user turns his head or makes other movements, he may view the game environment as if he were actually in such environment. For example, the perspective of the user may be such that the user is put ‘into’ a 3D game environment with at least some control over the viewing perspective where the user may be able to move his head and have the view of the game environment change in correspondence to the changed head position. Further, the user may be able to ‘walk into’ the game when he physically walks forward, and have the perspective change as the user moves. Further, the perspective may also change as the user moves the gazing view of his eyes, and the like. Additional image information may be provided, such as at the sides of the user's view that could be accessed by turning the head.
- In embodiments, the 3D game environment may be projected onto the lenses of the glasses or viewed by other means. Further, the lenses may be opaque or transparent. In embodiments, the 3D game image may be associated with and incorporate the external environment of the user such that the user may be able to turn his head and the 3D image and external environment stay together. Further, such 3D gaming image and external environment associations may change such that the 3D image associates with more than one object or more than one part of an object in the external environment at various instances such that it appears to the user that the 3D image is interacting with various aspects or objects of the actual environment. By way of example, the user may view a 3D game monster climb up a building or on to an automobile where such building or automobile is an actual object in the user's environment. In such a game, the user may interact with the monster as part of the 3D gaming experience. The actual environment around the user may be part of the 3D gaming experience. In embodiments where the lenses are transparent, the user may interact in a 3D gaming environment while moving about his or her actual environment. The 3D game may incorporate elements of the user's environment into the game, it may be wholly fabricated by the game, or it may be a mixture of both.
- In embodiments, the 3D images may be associated with or generated by an augmented reality program, 3D game software and the like or by other means. In embodiments where augmented reality is employed for the purpose of 3D gaming, a 3D image may appear or be perceived by the user based on the user's location or other data. Such an augmented reality application may provide for the user to interact with such 3D image or images to provide a 3D gaming environment when using the glasses. As the user changes his location, for example, play in the game may advance and various 3D elements of the game may become accessible or inaccessible to the viewer. By way of example, various 3D enemies of the user's game character may appear in the game based on the actual location of the user. The user may interact with or cause reactions from other users playing the game and or 3D elements associated with the other users playing the game. Such elements associated with users may include weapons, messages, currency, a 3D image of the user and the like. Based on a user's location or other data, he or she may encounter, view, or engage, by any means, other users and 3D elements associated with other users. In embodiments, 3D gaming may also be provided by software installed in or downloaded to the glasses where the user's location is or is not used.
- In embodiments, the lenses may be opaque to provide the user with a virtual reality or other virtual 3D gaming experience where the user is ‘put into’ the game where the user's movements may change the viewing perspective of the 3D gaming environment for the user. The user may move through or explore the virtual environment through various body, head, and or eye movements, use of game controllers, one or more touch screens, or any of the control techniques described herein which may allow the user to navigate, manipulate, and interact with the 3D environment, and thereby play the 3D game.
- In various embodiments, the user may navigate, interact with and manipulate the 3D game environment and
experience 3D gaming via body, hand, finger, eye, or other movements, through the use of one or more wired or wireless controllers, one or more touch screens, any of the control techniques described herein, and the like. - In embodiments, internal and external facilities available to the eyepiece may provide for learning the behavior of a user of the eyepiece, and storing that learned behavior in a behavioral database to enable location-aware control, activity-aware control, predictive control, and the like. For example, a user may have events and/or tracking of actions recorded by the eyepiece, such as commands from the user, images sensed through a camera, GPS location of the user, sensor inputs over time, triggered actions by the user, communications to and from the user, user requests, web activity, music listened to, directions requested, recommendations used or provided, and the like. This behavioral data may be stored in a behavioral database, such as tagged with a user identifier or autonomously. The eyepiece may collect this data in a learn mode, collection mode, and the like. The eyepiece may utilize past data taken by the user to inform or remind the user of what they did before, or alternatively, the eyepiece may utilize the data to predict what eyepiece functions and applications the user may need based on past collected experiences. In this way, the eyepiece may act as an automated assistant to the user, for example, launching applications at the usual time the user launches them, turning off augmented reality and the GPS when nearing a location or entering a building, streaming in music when the user enters the gym, and the like. Alternately, the learned behavior and/or actions of a plurality of eyepiece users may be autonomously stored in a collective behavior database, where learned behaviors amongst the plurality of users are available to individual users based on similar conditions. For example, a user may be visiting a city, and waiting for a train on a platform, and the eyepiece of the user accesses the collective behavior database to determine what other users have done while waiting for the train, such as getting directions, searching for points of interest, listening to certain music, looking up the train schedule, contacting the city website for travel information, connecting to social networking sites for entertainment in the area, and the like. In this way, the eyepiece may be able to provide the user with an automated assistant with the benefit of many different user experiences. In embodiments, the learned behavior may be used to develop preference profiles, recommendations, advertisement targeting, social network contacts, behavior profiles for the user or groups of users, and the like, for/to the user.
- In an embodiment, the augmented reality eyepiece or glasses may include one or more acoustic sensors for detecting
sound 2900. An example is depicted above inFIG. 29 . In one sense, acoustic sensors are similar to microphones, in that they detect sounds. Acoustic sensors typically have one or more frequency bandwidths at which they are more sensitive, and the sensors can thus be chosen for the intended application. Acoustic sensors are available from a variety of manufacturers and are available with appropriate transducers and other required circuitry. Manufacturers include ITT Electronic Systems, Salt Lake City, Utah, USA; Meggitt Sensing Systems, San Juan Capistrano, Calif., USA; and National Instruments, Austin, Tex., USA. Suitable microphones include those which comprise a single microphone as well as those which comprise an array of microphones, or a microphone array. - Acoustic sensors may include those using micro electromechanical systems (MEMS) technology. Because of the very fine structure in a MEMS sensor, the sensor is extremely sensitive and typically has a wide range of sensitivity. MEMS sensors are typically made using semiconductor manufacturing techniques. An element of a typical MEMS accelerometer is a moving beam structure composed of two sets of fingers. One set is fixed to a solid ground plane on a substrate; the other set is attached to a known mass mounted on springs that can move in response to an applied acceleration. This applied acceleration changes the capacitance between the fixed and moving beam fingers. The result is a very sensitive sensor. Such sensors are made, for example, by STMicroelectronics, Austin, Tex. and Honeywell International, Morristown N.J., USA.
- In addition to identification, sound capabilities of the augmented reality devices may also be applied to locating an origin of a sound. As is well known, at least two sound or acoustic sensors are needed to locate a sound. The acoustic sensor will be equipped with appropriate transducers and signal processing circuits, such as a digital signal processor, for interpreting the signal and accomplishing a desired goal. One application for sound locating sensors may be to determine the origin of sounds from within an emergency location, such as a burning building, an automobile accident, and the like. Emergency workers equipped with embodiments described herein may each have one or more than one acoustic sensors or microphones embedded within the frame. Of course, the sensors could also be worn on the person's clothing or even attached to the person. In any event, the signals are transmitted to the controller of the augmented reality eyepiece. The eyepiece or glasses are equipped with GPS technology and may also be equipped with direction-finding capabilities; alternatively, with two sensors per person, the microcontroller can determine a direction from which the noise originated.
- If there are two or more firefighters, or other emergency responders, their location is known from their GPS capabilities. Either of the two, or a fire chief, or the control headquarters, then knows the position of two responders and the direction from each responder to the detected noise. The exact point of origin of the noise can then be determined using known techniques and algorithms. See e.g., Acoustic Vector-Sensor Beamforming and Capon Direction Estimation, M. Hawkes and A. Nehorai, IEEE Transactions on Signal Processing, vol. 46, no. 9, September 1998, at 2291-2304; see also Cramér-Rao Bounds for Direction Finding by an Acoustic Vector Sensor Under Nonideal Gain-Phase Responses, Noncollocation or Nonorthogonal Orientation, P. K. Tam and K. T. Wong, IEEE Sensors Journal, vol. 9. No. 8, August 2009, at 969-982. The techniques used may include timing differences (differences in time of arrival of the parameter sensed), acoustic velocity differences, and sound pressure differences. Of course, acoustic sensors typically measure levels of sound pressure (e.g., in decibels), and these other parameters may be used in appropriate types of acoustic sensors, including acoustic emission sensors and ultrasonic sensors or transducers.
- The appropriate algorithms and all other necessary programming may be stored in the microcontroller of the eyepiece, or in memory accessible to the eyepiece. Using more than one responder, or several responders, a likely location may then be determined, and the responders can attempt to locate the person to be rescued. In other applications, responders may use these acoustic capabilities to determine the location of a person of interest to law enforcement. In still other applications, a number of people on maneuvers may encounter hostile fire, including direct fire (line of sight) or indirect fire (out of line of sight, including high angle fire). The same techniques described here may be used to estimate a location of the hostile fire. If there are several persons in the area, the estimation may be more accurate, especially if the persons are separated at least to some extent, over a wider area. This may be an effective tool to direct counter-battery or counter-mortar fire against hostiles. Direct fire may also be used if the target is sufficiently close.
- An example using embodiments of the augmented reality eyepieces is depicted in
FIG. 29B . In this example 2900B, numerous soldiers are on patrol, each equipped with augmented reality eyepieces, and are alert for hostile fire. The sounds detected by their acoustic sensors or microphones may be relayed to a squad vehicle as shown, to their platoon leader, or to a remote tactical operations center (TOC) or command post (CP). Alternatively, or in addition to these, the signals may also be sent to a mobile device, such as an airborne platform, as shown. Communications among the soldiers and the additional locations may be facilitated using a local area network, or other network. In addition, all the transmitted signals may be protected by encryption or other protective measures. One or more of the squad vehicle, the platoon commander, the mobile platform, the TOC or the CP will have an integration capability for combining the inputs from the several soldiers and determining a possible location of the hostile fire. The signals from each soldier will include the location of the soldier from a GPS capability inherent in the augmented reality glasses or eyepiece. The acoustic sensors on each soldier may indicate a possible direction of the noise. Using signals from several soldiers, the direction and possibly the location of the hostile fire may be determined. The soldiers may then neutralize the location. - In addition to microphones, the augmented reality eyepiece may be equipped with ear buds, which may be articulating ear buds, as mentioned else where herein, and may be removably attached 1403, or may be equipped with an
audio output jack 1401. The eyepiece and ear buds may be equipped to deliver noise-cancelling interference, allowing the user to better hear sounds delivered from the audio-video communications capabilities of the augmented reality eyepiece or glasses, and may feature automatic gain control. The speakers or ear buds of the augmented reality eyepiece may also connect with the full audio and visual capabilities of the device, with the ability to deliver high quality and clear sound from the included telecommunications device. As noted elsewhere herein, this includes radio or cellular telephone (smart phone) audio capabilities, and may also include complementary technologies, such as Bluetooth™ capabilities or related technologies, such as IEEE 802.11, for wireless personal area networks (WPAN). - Another aspect of the augmented audio capabilities includes speech recognition and identification capabilities. Speech recognition concerns understanding what is said while speech identification concerns understanding who the speaker is. Speech identification may work hand in hand with the facial recognition capabilities of these devices to more positively identify persons of interest. As described elsewhere in this document, a camera connected as part of the augmented reality eyepiece can unobtrusively focus on desired personnel, such as a single person in a crowd or multiple faces in a crowd. Using the camera and appropriate facial recognition software, an image of the person or people may be taken. The features of the image are then broken down into any number of measurements and statistics, and the results are compared to a database of known persons. An identity may then be made. In the same manner, a voice or voice sampling from the person of interest may be taken. The sample may be marked or tagged, e.g., at a particular time interval, and labeled, e.g., a description of the person's physical characteristics or a number. The voice sample may be compared to a database of known persons, and if the person's voice matches, then an identification may be made. In embodiments, multiple individuals of interest may by selected, such as for biometric identification. The multiple selection may be through the use of a cursor, a hand gesture, an eye movement, and the like. As a result of the multiple selection, information concerning the selected individuals may be provided to the user, such as through the display, through audio, and the like.
- In embodiments where the camera is used for biometric identification of multiple people in a crowd, control technologies described herein may be used to select faces or irises for imaging. For example, a cursor selection using the hand-worn control device may be used to select multiple faces in a view of the user's surrounding environment. In another example, gaze tracking may be used to select which faces to select for biometric identification. In another example, the hand-worn control device may sense a gesture used to select the individuals, such as pointing at each individual.
- In one embodiment, important characteristics of a particular person's speech may be understood from a sample or from many samples of the person's voice. The samples are typically broken into segments, frames and subframes. Typically, important characteristics include a fundamental frequency of the person's voice, energy, formants, speaking rate, and the like. These characteristics are analyzed by software which analyses the voice according to certain formulae or algorithms. This field is constantly changing and improving. However, currently such classifiers may include algorithms such as neural network classifiers, k-classifiers, hidden Markov models, Gaussian mixture models and pattern matching algorithms, among others.
- A
general template 3100 for speech recognition and speaker identification is depicted inFIG. 31 . Afirst step 3101 is to provide a speech signal. Ideally, one has a known sample from prior encounters with which to compare the signal. The signal is then digitized instep 3102 and is partitioned instep 3103 into fragments, such as segments, frames and subframes. Features and statistics of the speech sample are then generated and extracted instep 3104. The classifier, or more than one classifier, is then applied instep 3105 to determine general classifications of the sample. Post-processing of the sample may then be applied instep 3106, e.g., to compare the sample to known samples for possible matching and identification. The results may then be output instep 3107. The output may be directed to the person requesting the matching, and may also be recorded and sent to other persons and to one or more databases. - In an embodiment, the audio capabilities of the eyepiece include hearing protection with the associated earbuds. The audio processor of the eyepiece may enable automatic noise suppression, such as if a loud noise is detected near the wearer's head. Any of the control technologies described herein may be used with automatic noise suppression.
- In an embodiment, the eyepiece may include a nitinol head strap. The head strap may be a thin band of curved metal which may either pull out from the arms of the eyepiece or rotate out and extend out to behind the head to secure the eyepiece to the head. In one embodiment, the tip of the nitinol strap may have a silicone cover such that the silicone cover is grasped to pull out from the ends of the arms. In embodiments, only one arm has a nitinol band, and it gets secured to the other arm to form a strap. In other embodiments, both arms have a nitinol band and both sides get pulled out to either get joined to form a strap or independently grasp a portion of the head to secure the eyepiece on the wearer's head. In embodiments, the eyepiece may have interchangeable equipment to attach the eyepiece to an individual's head, such as a joint where a head strap, glasses arms, helmet strap, helmet snap connection, and the like may be attached. For example, there may be a joint in the eyepiece near the user's temple where the eyepiece may attach to a strap, and where the strap may be disconnected so the user may attach arms to make the eyepiece take the form of glasses, attach to a helmet, and the like. In embodiments, the interchangeable equipment attaching the eyepiece to the user's head or to a helmet may include an embedded antenna. For example, a Nitinol head strap may have an embedded antenna inside, such as for a particular frequency, for a plurality of frequencies, and the like. In addition, the arm, strap, and the like, may contain RF absorbing foam in order to aid in the absorption of RF energy while the antenna is used in transmission.
- Referring to
FIG. 21 , the eyepiece may include one or more adjustable wrap aroundextendable arms 2134. The adjustable wrap aroundextendable arms 2134 may secure the position of the eyepiece to the user's head. One or more of theextendable arms 2134 may be made out of a shape memory material. In embodiments, one or both of the arms may be made of nitinol and/or any shape-memory material. In other instances, the end of at least one of the wrap aroundextendable arms 2134 may be covered with silicone. Further, the adjustable wrap aroundextendable arms 2134 may extend from the end of aneyepiece arm 2116. They may extend telescopically and/or they may slide out from an end of the eyepiece arms. They may slide out from the interior of theeyepiece arms 2116 or they may slide along an exterior surface of theeyepiece arms 2116. Further, theextendable arms 2134 may meet and secure to each other. The extendable arms may also attach to another portion of the head mounted eyepiece to create a means for securing the eyepiece to the user's head. The wrap aroundextendable arms 2134 may meet to secure to each other, interlock, connect, magnetically couple, or secure by other means so as to provide a secure attachment to the user's head. In embodiments, the adjustable wrap aroundextendable arms 2134 may also be independently adjusted to attach to or grasp portions of the user's head. As such the independently adjustable arms may allow the user increased customizability for a personalized fit to secure the eyepiece to the user's head. Further, in embodiments, at least one of the wrap aroundextendable arms 2134 may be detachable from the head mounted eyepiece. In yet other embodiments, the wrap aroundextendable arms 2134 may be an add-on feature of the head mounted eyepiece. In such instances, the user may chose to put extendable, non-extendable or other arms on to the head mounted eyepiece. For example, the arms may be sold as a kit or part of a kit that allows the user to customize the eyepiece to his or her specific preferences. Accordingly, the user may customize that type of material from which the adjustable wrap aroundextendable arm 2134 is made by selecting a different kit with specific extendable arms suited to his preferences. Accordingly, the user may customize his eyepiece for his particular needs and preferences. - In yet other embodiments, an adjustable strap, 2142, may be attached to the eyepiece arms such that it extends around the back of the user's head in order to secure the eyepiece in place. The strap may be adjusted to a proper fit. It may be made out of any suitable material, including but not limited to rubber, silicone, plastic, cotton and the like.
- In an embodiment, the eyepiece may be secured to the user's head by a plurality of other structures, such a rigid arm, a flexible arm, a gooseneck flex arm, a cable tensioned system, and the like. For instance, a flexible arm may be constructed from a flexible tubing, such as in a gooseneck configuration, where the flexible arm may be flexed into position to adjust to the fit of a given user, and where the flexible arm may be reshaped as needed. In another instance, a flexible arm may be constructed from a cable tensioned system, such as in a robotic finger configuration, having multiple joints connecting members that are bent into a curved shape with a pulling force applied to a cable running through the joints and members. In this case, the cable-driven system may implement an articulating ear horn for size adjustment and eyepiece headwear retention. The cable-tensioned system may have two or more linkages, the cable may be stainless steel, Nitinol-based, electro-actuated, ratcheted, wheel adjusted, and the like.
- In an embodiment, the eyepiece may include security features, such as M-Shield Security, Secure content, DSM, Secure Runtime, IPSec, and the like. Other software features may include: User Interface, Apps, Framework, BSP, Codecs, Integration, Testing, System Validation, and the like.
- In an embodiment, the eyepiece materials may be chosen to enable ruggedization.
- In an embodiment, the eyepiece may be able to access a 3G access point that includes a 3G radio, an 802.11b connection and a Bluetooth connection to enable hopping data from a device to a 3G-enable embodiment of the eyepiece.
- The present disclosure also relates to methods and apparatus for the capture of biometric data about individuals. The methods and apparatus provide wireless capture of fingerprints, iris patterns, facial structure and other unique biometric features of individuals and then send the data to a network or directly to the eyepiece. Data collected from an individual may also be compared with previously collected data and used to identify a particular individual.
- In embodiments, the
eyepiece 100 may be associated with mobile biometric devices, such as abiometric flashlight 7300, abiometric phone 5000, a biometric camera, a pocketbiometric device 5400, an arm strapbiometric device 5600, and the like, where the mobile biometrics device may act as a stand-alone device or in communications with the eyepiece, such as for control of the device, display of data from the device, storage of data, linking to an external system, linking to other eyepieces and/or other mobile biometrics devices, and the like. The mobile biometrics device may enable a soldier or other non-military personnel to collect or utilize existing biometrics to profile an individual. The device may provide for tracking, monitoring, and collecting biometric records such as including video, voice, gait, face, iris biometrics and the like. The device may provide for geo-location tags for collected data, such as with time, date, location, data-taking personnel, the environment, and the like. The device may be able to capture and record fingerprints, palm prints, scars, marks, tattoos, audio, video, annotations, and the like, such as utilizing a thin film sensor, recording, collecting, identifying, and verifying face, fingerprint, iris, latent fingerprints, latent palm prints, voice, pocket litter, and other identifying visible marks and environmental data. The device may be able to read prints wet or dry. The device may include a camera, such as with, IR illumination, UV illumination, and the like, with a capability to see through, dust, smoke, haze, and the like. The camera may support dynamic range extension, adaptive defect pixel correction, advanced sharpness enhancement, geometric distortion correction, advanced color management, hardware-based face detection, video stabilization, and the like. In embodiments, the camera output may be transmitted to the eyepiece for presentation to the soldier. The device may accommodate a plurality of other sensors, such as described herein, including an accelerometer, compass, ambient light, proximity, barometric and temperature sensors, and the like, depending on requirements. The device may also have a mosaic print sensor, as described herein, producing high resolution images of the whorls and pores of an individual's fingerprint, multiple finger prints simultaneously, palm print, and the like. A soldier may utilize a mobile biometrics device to more easily collect personnel information, such as for document and media exploitation (DOMEX). For instance, during an interview, enrollment, interrogations, and the like, operators may photograph and read identifying data or ‘pocket litter’ (e.g. passport, ID cards, personal documents, cell phone directories, pictures), take biometric data, and the like, into a person of interest profile that may be entered into a searchable secure database. In embodiments, biometric data may be filed using the most salient image plus manual entry, enabling partial data capture. Data may be automatically geo-located, time/date stamped, filed into a digital dossier, and the like, such as with a locally or network assigned global unique identifier (GUID). For instance, a face image may be captured at the scene of an IED bombing, the left iris image may be captured at a scene of a suicide bombing, latent fingerprints may be lifted from a sniper rifle, each taken from a different mobile biometrics device at different locations and times, and together identifying a person of interest from the multiple inputs, such as at a random vehicle inspection point. - A further embodiment of the eyepiece may be used to provide biometric data collection and result reporting. Biometric data may be visual biometric data, such as facial biometric data or iris biometric data, or may be audio biometric data.
FIG. 39 depicts an embodiment providing biometric data capture. The assembly, 3900 incorporates theeyepiece 100, discussed above in connection withFIG. 1 .Eyepiece 100 provides an interactive head-mounted eyepiece that includes an optical assembly. Other eyepieces providing similar functionality may also be used. Eyepieces may also incorporate global positioning system capability to permit location information display and reporting. - The optical assembly allows a user to view the surrounding environment, including individuals in the vicinity of the wearer. An embodiment of the eyepiece allows a user to biometrically identify nearby individuals using facial images and iris images or both facial and iris images or audio samples. The eyepiece incorporates a corrective element that corrects a user's view of the surrounding environment and also displays content provided to the user through in integrated processor and image source. The integrated image source introduces the content to be displayed to the user to the optical assembly.
- The eyepiece also includes an optical sensor for capturing biometric data. The integrated optical sensor, in an embodiment may incorporate a camera mounted on the eyepiece. This camera is used to capture biometric images of an individual near the user of the eyepiece. The user directs the optical sensor or the camera toward a nearby individual by positioning the eyepiece in the appropriate direction, which may be done just by looking at the individual. The user may select whether to capture one or more of a facial image, an iris image, or an audio sample.
- The biometric data that may be captured by the eyepiece illustrated in
FIG. 39 includes facial images for facial recognition, iris images for iris recognition, and audio samples for voice identification. Theeyepiece 3900 incorporatesmultiple microphones 3902 in an endfire array disposed along both the right and left temples of the eyepiece. Themicrophone arrays 3902 are specifically tuned to enable capture of human voices in an environment with a high level of ambient noise. The microphones may be directional, steerable, and covert.Microphones 3902 provide selectable options for improved audio capture, including omni-directional operation, or directional beam operation. Directional beam operation allows a user to record audio samples from a specific individual by steering the microphone array in the direction of the subject individual. Adaptive microphone arrays may be created that will allow the operator to steer the directionality of the microphone array in three dimensions, where the directional beam may be adjusted in real time to maximize signal or minimize interfering noise for a non stationary target. Array processing may allow summing of cardioid elements by analog or digital means, where there may be switching between omni and directional array operations. In embodiments, beam forming, array steering, adaptive array processing (speech source location), and the like, may be performed by the on-board processor. In an embodiment, the microphone may be capable of 10 dB directional recording. - Audio biometric capture is enhanced by incorporating phased array audio and video tracking for audio and video capture. Audio tracking allows for continuing to capture an audio sample when the target individual is moving in an environment with other noise sources. In embodiments, the user's voice may be subtracted from the audio track so as to enable a clearer rendition of the target individual, such as for distinguishing what is being said, to provide better location tracking, to provide better audio tracking, and the like.
- To provide power for the display optics and biometric data collection the
eyepiece 3900 also incorporates a lithium-ion battery 3904, that is capable of operating for over twelve hours on a single charge. In addition, theeyepiece 100 also incorporates a processor and solid-state memory 3906 for processing the captured biometric data. The processor and memory are configurable to function with any software or algorithm used as part of a biometric capture protocol or format, such as the .wav format. - A further embodiment of the
eyepiece assembly 3900 provides an integrated communications facility that transmits the captured biometric data to a remote facility that stores the biometric data in a biometric data database. The biometric data database interprets the captured biometric data, interprets the data, and prepares content for display on the eyepiece. - In operation, a wearer of the eyepiece desiring to capture biometric data from a nearby observed individual positions himself or herself so that the individual appears in the field of view of the eyepiece. Once in position the user initiates capture of biometric information. Biometric information that may be captured includes iris images, facial images, and audio data.
- In operation, a wearer of the eyepiece desiring to capture audio biometric data from a nearby observed individual positions himself or herself so that the individual appears is near the eyepiece, specifically, near the microphone arrays located in the eyepiece temples. Once in position the user initiates capture of audio biometric information. This audio biometric information consists of a recorded sample of the target individual speaking. Audio samples may be captured in conjunction with visual biometric data, such as iris and facial images.
- To capture an iris image, the wearer/user observes the desired individual and positions the eyepiece such that the optical sensor assembly or camera may collect an image of the biometric parameters of the desired individual. Once captured the eyepiece processor and solid-state memory prepare the captured image for transmission to the remote computing facility for further processing.
- The remote computing facility receives the transmitted biometric image and compares the transmitted image to previously captured biometric data of the same type. Iris or facial images are compared with previously collected iris or facial images to determine if the individual has been previously encountered and identified.
- Once the comparison has been made, the remote computing facility transmits a report of the comparison to the wearer/user's eyepiece, for display. The report may indicate that the captured biometric image matches previously captured images. In such cases, the user receives a report including the identity of the individual, along with other identifying information or statistics. Not all captured biometric data allows for an unambiguous determination of identity. In such cases, the remote computing facility provides a report of findings and may request the user to collect additional biometric data, possibly of a different type, to aid in the identification and comparison process. Visual biometric data may be supplemented with audio biometric data as a further aid to identification.
- Facial images are captured in a similar manner as iris images. The field of view is necessarily larger, due to the size of the images collected. This also permits to user to stand further off from the subject whose facial biometric data is being captured.
- In operation the user may have originally captured a facial image of the individual. However, the facial image may be incomplete or inconclusive because the individual may be wearing clothing or other apparel, such as a hat, that obscures facial features. In such a case, the remote computing facility may request that a different type of biometric capture be used and additional images or data be transmitted. In the case described above, the user may be directed to obtain an iris image to supplement the captured facial image. In other instances, the additional requested data may be an audio sample of the individual's voice.
-
FIG. 40 illustrates capturing an iris image for iris recognition. The figure illustrates the focus parameters used to analyze the image and includes a geographical location of the individual at the time of biometric data capture.FIG. 40 also depicts a sample report that is displayed on the eyepiece. -
FIG. 41 illustrates capture of multiple types of biometric data, in this instance, facial and iris images. The capture may be done at the same time, or by request of the remote computing facility if a first type of biometric data leads to an inconclusive result. -
FIG. 42 shows the electrical configuration of the multiple microphone arrays contained in the temples of the eyepiece ofFIG. 39 . The endfire microphone arrays allow for greater discrimination of signals and better directionality at a greater distance. Signal processing is improved by incorporating a delay into the transmission line of the back microphone. The use of dual omni-directional microphones enables switching from an omni-directional microphone to a directional microphone. This allows for better direction finding for audio capture of a desired individual.FIG. 43 illustrates the directionality improvements available with multiple microphones. - The multiple microphones may be arranged in a composite microphone array. Instead of using one standard high quality microphone to capture an audio sample, the eyepiece temple pieces house multiple microphones of different character. For example, this may be provided when the user is generating a biometric fingerprint of someone's voice for future capture and comparison. One example of multiple microphone use uses microphones from cut off cell phones to reproduce the exact electrical and acoustic properties of the individual's voice. This sample is stored for future comparison in a database. If the individual's voice is later captured, the earlier sample is available for comparison, and will be reported to the eyepiece user, as the acoustic properties of the two samples will match.
-
FIG. 44 shows the use of adaptive arrays to improve audio data capture. By modifying pre-existing algorithms for audio processing adaptive arrays can be created that allow the user to steer the directionality of the antenna in three dimensions. Adaptive array processing permits location of the source of the speech, thus tying the captured audio data to a specific individual. Array processing permits simple summing of the cardioid elements of the signal to be done either digitally or using analog techniques. In normal use, a user should switch the microphone between the omni-directional pattern and the directional array. The processor allows for beamforming, array steering and adaptive array processing, to be performed on the eyepiece. In embodiments, an audio phase array may be used for audio tracking of a specific individual. For instance, the user may lock onto the audio signature of an individual in the surrounding environment (such as acquired in real-time or from a database of sound signatures), and track the location of the individual without the need to maintain eye contact or the user moving their head. The location of the individual may be projected to the user through the eyepiece display. In embodiments, the tracking of an individual may also be provided through an embedded camera in the eyepiece, where the user would not be required to maintain eye contact with the individual, or move their head to follow. That is, in the case of either the audio or visual tracking, the eyepiece may be able to track the individual within the local environment, without the user needing to show an physical motion to indicate that tracking is taking place and even as the user moves their direction of view. - In an embodiment, the integrated camera may continuously record a video file, and the integrated microphone may continuously record an audio file. The integrated processor of the eyepiece may enable event tagging in long sections of the continuous audio or video recording. For example, a full day of passive recording may be tagged whenever an event, conversation, encounter, or other item of interest takes place. Tagging may be accomplished through the explicit press of a button, a noise or physical tap, a hand gesture, or any other control technique described herein. A marker may be placed in the audio or video file or stored in a metadata header. In embodiments, the marker may include the GPS coordinate of the event, conversation, encounter, or other item of interest. In other embodiments, the marker may be time-synced with a GPS log of the day. Other logic-based triggers can also tag the audio or video file such as proximity relationships to other users, devices, locations, or the like. Event tags may be active event tags that the user triggers manually, passive event tags that occur automatically (such as through preprogramming, through an event profile management facility, and the like), a location-sensitive tag triggered by the user's location, and the like. The event that triggers the event tag may be triggered by a sound, a sight, a visual marker, received from a network connection, an optical trigger, an acoustic trigger, a proximity trigger, a temporal trigger, a geo-spatial trigger, and the like. The event trigger may generate feedback to the user (such as an audio tone, a visual indicator, a message, and the like), store information (such as storing a file, document, entry in a listing, an audio file, a video file, and the like), generate an informational transmission, and the like.
- In an embodiment, the eyepiece may be used as SigInt Glasses. Using one or more of an integrated WiFi, 3G or Bluetooth radios, the eyepiece may be used to conspicuously and passively gather signals intelligence for devices and individuals in the user's proximity. Signals intelligence may be gathered automatically or may be triggered when a particular device ID is in proximity, when a particular audio sample is detected, when a particular geo-location has been reached, and the like.
- Various embodiments of tactical glasses may include standalone identification or collection of biometrics to geo-locate POIs, with visual biometrics (face, iris, walking gait) at a safe distance and positively identify POIs with robust sparse recognition algorithms for the face and iris. The glasses may include a hands free display for biometric computer interface to merge print and visual biometrics on one comprehensive display with augmented target highlighting and view matches and warnings without alerting the POI. The glasses may include location awareness, such as displaying current and average speeds plus routes and ETA to destination and preloading or recording trouble spots and ex-filtration routes. The glasses may include real-time networked tracking of blue and red forces to always know where your friendly's are, achieve visual separation range between blue and red forces, and geo-locate the enemy and share their location in real-time. A processor associated with the glasses may include capabilities for OCR translation and speech translation.
- The tactical glasses can be used in combat to provide a graphical user interface projected on the lens that provides users with directions and augmented reality data on such things as team member positional data, map information of the area, SWIR/CMOS night vision, vehicular S/A for soldiers, geo locating laser range finder for geo-locating a POI or a target to >500m with positional accuracy of typically less than two meters, S/A blue force range rings, Domex registration, AR field repair overlay, and real time UAV video. In one embodiment, the laser range finder may be a 1.55 micron eye-safe laser range finder.
- The eyepiece may utilize GPS and inertial navigation (e.g. utilizing an inertial measurement unit) as described herein, such as described herein, to provide positional and directional accuracy. However, the eyepiece may utilize additional sensors and associated algorithms to enhance positional and directional accuracy, such as with a 3-axis digital compass, inclinometer, accelerometer, gyroscope, and the like. For instance, a military operation may require greater positional accuracy then is available from GPS, and so other navigation sensors may be utilized in combination to increase the positional accuracy of GPS.
- The tactical glasses may feature enhanced resolution, such as 1280×1024 pixels, and may also feature auto-focus.
- In dismounted and occupied enemy engagement missions, defeating a low-intensity, low-density, asymmetrical form of warfare is incumbent upon efficient information management. The tactical glasses system incorporates ES2 (every soldier is a sensor) capabilities through uncooperative data recording and intuitive tactical displays for a comprehensive picture of situational awareness.
- In embodiments, the tactical glasses may include one or more waveguides being integrated into the frame. In some embodiments, the total internal reflection lens is attached to a pair of ballistic glasses in a monocular or binocular flip-up/flip-down arrangement. The tactical glasses may include omni-directional ear buds for advanced hearing and protection and a noise-cancelling boom microphone for communication phonetically differentiated commands.
- In some embodiments, the waveguides may have contrast control. The contrast may be controlled using any of the control techniques described herein, such as gesture control, automatic sensor control, manual control using a temple mounted controller, and the like.
- The tactical glasses may include a non-slip, adjustable elastic head-strap. The tactical glasses may include clip-in corrective lenses.
- In some embodiments, the total internal reflection lens is attached to a device that is helmet-mounted, such as in
FIG. 74 , and may include a day/night, VIS/NIR/SWIR CMOS color camera. The device enables unimpeded “sight” of the threat as well as the soldier's own weapon with “see through”, flip-up electro-optic projector image display. The helmet-mounted device, shown inFIG. 74A , may include an IR/SWIR illuminator 7402, UV/SWIR illuminator 7404, visible to SWIR panoramic lens 7408, visible to SWIR objective lens (not shown), transparent viewing pane 7410, irisrecognition objective lens 7412,laser emitter 7414,laser receiver 7418, or any other sensor, processor, or technology described with respect to the eyepiece described herein, such as an integrated IMU, an eye-safe laser range finder, integrated GPS receiver, compass and inclinometer for positional accuracy, perspective control that changes the viewing angle of the image to match the eye position, electronic image stabilization and real-time enhancement, a library of threats stored onboard or remotely for access over a tactical network, and the like. A body-worn wireless computer may interface with the device inFIG. 74 . The helmet-mounted device includes visible to SWIR projector optics, such as RGB microprojector optics. Multi-spectral IR and UV imaging helps spot fake or altered docs. The helmet-mounted device may be controlled with an encrypted wireless UWB wrist or weapon fore grip controller. - In an embodiment, the transparent viewing pane 7410 can rotate through 180° to project imagery onto a surface to share with others.
-
FIG. 74B shows a side view of the exploded device mounted to a helmet. The device may include a fully ambidextrous mount for mounting on the left or right side of the helmet. In some embodiments, two devices may be mounted on each of the left and right sides of the helmet to enable binocular vision. The device or devices may snap into a standard MICH or PRO-TECH helmet mount. - Today the warfighter cannot utilize fielded data devices effectively. The tactical glasses system combines a low profile form, lightweight materials and fast processers to make quick and accurate decisions in the field. The modular design of the system allows the devices to be effectively deployed to the individual, squad or company while retaining the ability to interoperate with any fielded computer. The tactical glasses system incorporates real-time dissemination of data. With the onboard computer interface the operator can view, upload or compare data in real time. This provides valuable situational and environmental data can be rapidly disseminated to all networked personnel as well as command posts (CPs) and tactical operations centers (TOCs).
-
FIGS. 75A and 75B in a front and side view, respectively, depict an exemplary embodiment of biometric and situational awareness glasses. This embodiment may include multiple field ofview sensors 7502 for biometric collection situational awareness and augmented view user interface, fast locking GPS receiver and IMU, including 3-axis digital compass, gyroscope, accelerometer and inclinometer for positional and directional accuracy, 1.55 micron eye-safelaser range finder 7504 to assist biometric capture and targeting integrated digital video recorder storing two Flash SD cards, real-time electronic image stabilization and real-time image enhancement, library of threats stored in onboard mini-SD card or remotely loaded over a tactical network, flip-upphotochromic lenses 7508, noise-cancellingflexible boom mike 7510 and 3-axis detachable stereo ear buds plus augmented hearing and protection system 7512. For example, the multiple field ofview sensors 7502 may enable a 100°×40° FOV, which may be panoramic SXGA. For example, the sensors may be a VGA sensor, SXGA sensor, and a VGA sensor that generates a panoramic SXGA view with stitched 100°×40° FOV on a display of the glasses. The displays may be translucent with perspective control that changes the viewing angle of the image to match the eye position. This embodiment may also include SWIR detection to let wearers see 1064 nm and 1550 nm laser designators, invisible to the enemy and may feature ultra-low power 256-bit AES Encrypted connection between glasses, tactical radios and computers, instant 2× zoom, auto face tracking, face and iris recording, and recognition and GPS geo-location with a 1m auto-recognition range. This embodiment may include a power supply, such as a 24 hour duration 4-AA alkaline, lithium and rechargeable battery box with its computer and memory expansion slots with a water- and dust-proof cord. In an embodiment, the glasses include a curved holographic wave guide. - In embodiments, the eyepiece may be able to sense lasers such as used in battlefield targeting. For instance, sensors in the eyepiece may be able to detect laser light in typical military-use laser transmission bands, such as 1064 nm, 1550 nm, and the like. In this way, the eyepiece may be able to detect whether their position is being targeted, if another location is being targeted, the location of a spotter using the laser as a targeting aid, and the like. Further, since the eyepiece may be able to sense laser light, such as directly or reflected, the soldier may not only detect enemy laser sources that have been directed or reflected to their position, but may supply the laser source themselves in order to locate optical surfaces (e.g. binoculars) in the battlefield scene. For example, the soldier scans the field with a laser and watches with the eyepiece for a reflected return of the laser as a possible location of an enemy viewing though binoculars. In embodiments, the eyepiece may continuously scan the surrounding environment for laser light, and provide feedback and/or action as a result of a detection, such as an audible alarm to the soldier, a location indicted through a visual indicator on the eyepiece display, and the like.
- In some embodiments, a Pocket Camera may video record and captures still pictures, allowing the operator to record environmental data for analysis with a mobile, lightweight, rugged biometric device sized to be stored in a pocket. An embodiment may be 2.25″×3.5″×0.375″ and capable of face capture at 10 feet, iris capture at 3 feet, recording voice, pocket litter, walking gait, and other identifying visible marks and environmental data in EFTS and EBTS compliant formatting compatible with any Iris/Face algorithm. The device is designed to pre-qualify and capture EFTS/EBTS/NIST/ISO/ITL 1-2007 compliant salient images to be matched and filed by any biometric matching software or user interface. The device may include a high definition video chip, 1 GHz processor with 533 Mhz DSP, GPS chip, active illumination and pre-qualification algorithms. In some embodiments, the Pocket Bio Cam may not incorporate a biometric watch list so it can be used at all echelons and/or for constabulary leave-behind operations. Data may be automatically geo-located and date/time stamped. In some embodiments, the device may operate Linux SE OS, meet MIL-STD-810 environmental standards, and be waterproof to 3 ft depth.
- In an embodiment, a device for collection of fingerprints may be known as a bio-print device. The bio-print apparatus comprises a clear platen with two beveled edges. The platen is illuminated by a bank of LEDs and one or more cameras. Multiple cameras are used and are closely disposed and directed to the beveled edge of the platen. A finger or palm is disposed over the platen and pressed against an upper surface of the platen, where the cameras capture the ridge pattern. The image is recorded using frustrated total internal reflection (FTIR). In FTIR, light escapes the platen across the air gap created by the ridges and valleys of the fingers or palm pressed against the platen.
- Other embodiments are also possible. In one embodiment, multiple cameras are place in inverted ‘V’s of a saw tooth pattern. In another embodiment, a rectangle is formed and uses light direct through one side and an array of cameras capture the images produced. The light enters the rectangle through the side of the rectangle, while the cameras are directly beneath the rectangle, enabling the cameras to capture the ridges and valleys illuminated by the light passing through the rectangle.
- After the images are captured, software is used to stitch the images from the multiple cameras together. A custom FPGA may be used for the digital image processing.
- Once captured and processed, the images may be streamed to a remote display, such as a smart phone, computer, handheld device, or eyepiece, or other device.
- The above description provides an overview of the operation of the methods and apparatus of the disclosure. Additional description and discussion of these and other embodiments is provided below.
-
FIG. 45 illustrates the construction and layout of an optics based finger and palm print system according to an embodiment. The optical array consists of approximately 60 wafer scale cameras 4502. The optics based system uses 4503, 4504 for high resolution imaging of the whorls and pores that comprise a finger or palm print. This configuration provides a low profile, lightweight, and extremely rugged configuration. Durability is enhanced with a scratch proof, transparent platen.sequential perimeter illumination - The mosaic print sensor uses a frustrated total internal reflection (FTIR) optical faceplate provides images to an array of wafer scale cameras mounted on a PCB like
substrate 4505. The sensor may be scaled to any flat width and length with a depth of approximately ½″. Size may vary from a plate small enough to capture just one finger roll print, up to a plate large enough to capture prints of both hands simultaneously. - The mosaic print sensor allows an operator to capture prints and compare the collected data against an on-board database. Data may also be uploaded and downloaded wirelessly. The unit may operate as a standalone unit or may be integrated with any biometric system.
- In operation the mosaic print sensor offers high reliability in harsh environments with excessive sunlight. To provide this capability, multiple wafer scale optical sensors are digitally stitched together using pixel subtraction. The resulting images are engineered to be over 500 dots per inch (dpi). Power is supplied by a battery or by parasitically drawing power from other sources using a USB protocol. Formatting is EFTS, EBTS NIST, ISO, and ITL 1-2007 compliant.
-
FIG. 46 illustrates the traditional optical approach used by other sensors. This approach is also based on FTIR. In the figure, the fringes contact the prism and scatter the light. The fringes on the finger being printed show as dark lines, while the valleys of the fingerprint show as bright lines. -
FIG. 47 illustrates the approach used by themosaic sensor 4700. The mosaic sensor also uses FTIR. However, the plate is illuminated from the side and the internal reflections are contained within the plate of the sensor. The fringes contact the prism and scatter the light, allowing the camera to capture the scattered light. The fringes on the finger show as bright lines, whiles the valleys show as dark lines. -
FIG. 48 depicts the layout of themosaic sensor 4800. The LED array is arranged around the perimeter of the plate. Underneath the plate are the cameras used to capture the fingerprint image. The image is captured on this bottom plate, known as the capture plane. The capture plane is parallel to the sensor plane, where the fingers are placed. The thickness of the plate, the number of the cameras, and the number of the LEDs may vary, depending on the size of the active capturing area of the plate. The thickness of the plate may be reduced by adding mirrors that fold the optical path of the camera, reducing the thickness needed. Each camera should cover one inch of space with some pixels overlapping between the cameras. This allows the mosaic sensor to achieve 500 ppi. The cameras may have a field of view of 60 degrees; however, there may be significant distortion in the image. -
FIG. 49 shows anembodiment 4900 of a camera field of view and the interaction of the multiple cameras used in the mosaic sensor. Each camera covers a small capturing area. This area depends on the camera field of view and the distance between the camera and the top surface of the plate. α is one half of the camera's horizontal field of view and β is one half of the camera's vertical field of view. - The mosaic sensor may be incorporated into a bio-phone and tactical computer as illustrated in
FIG. 50 . The bio-phone and tactical computer uses a completed mobile computer architecture that incorporates dual core processors, DSP, 3-D graphics accelerator, 3G-4G Wi-Lan (in accordance with 802.11a/b/g/n), Bluetooth 3.0, and a GPS receiver. The bio-phone and tactical computer delivers power equivalent to a standard laptop in a phone size package. -
FIG. 50 illustrates the components of the bio-phone and tactical computer. The bio-phone and tactical computer assembly, 5000 provides adisplay screen 5001,speaker 5002 andkeyboard 5003 contained withincase 5004. These elements are visible on the front of the bio-phone andtactical computer assembly 5000. On the rear of the assembly 3800 are located a camera foriris imaging 5005, a camera for facial imaging andvideo recording 5006 and abio-print fingerprint sensor 5009. - To provide secure communications and data transmission, the device incorporates selectable 256-bit AES encryption with COTS sensors and software for biometric pre-qualification for POI acquisition. This software is matched and filed by any approved biometric matching software for sending and receiving secure “perishable” voice, video, and data communications. In addition, the bio-phone supports Windows Mobile, Linux, and Android operating systems.
- The bio-phone is a 3G-4G enabled hand-held device for reach back to web portals and biometric enabled watch list BEWL) databases. These databases allow for in-field comparison of captured biometric images and data. The device is designed to fit into a standard LBV or pocket. In embodiments, the biometrics phone and tactical computer may use a mobile computer architecture featuring dual core processors, DSP, 3-D graphics accelerator, 3G-4G, Wi-LAN (802.11a/b/g/n), Bluetooth 3.0, enabled for secure and civilian networks, GPS Receiver, WVGA sun-sight readable capacitance touch-screen display, capable of outputting stereoscopic 3D video, tactile backlit QWERTY keyboard, on-board storage, supporting multiple operating systems, and the like, that delivers laptop power in a light weight design.
- The bio-phone can search, collect, enroll, and verify multiple types of biometric data, including face, iris, two-finger fingerprint, as well as biographic data. The device also records video, voice, gait, identifying marks, and pocket litter. Pocket litter includes a variety of small items normally carried in a pocket, wallet, or purse and may include such items as spare change, identification, passports, charge cards, and the like.
FIG. 52 shows a typical collection of this type of information. Depicted inFIG. 52 are examples of a collection ofpocket litter 5200. The types of items that may be included are personal documents andpictures 5201,books 5202, notebooks and paper, 5203, and documents, such as apassport 5204. - The biometrics phone and tactical computer may include a camera, such as a high definition still and video camera, capable of biometric data taking and video conferencing. In embodiments, the eyepiece camera and videoconference capabilities, as described herein, may be used in conjunction with the biometrics phone and tactical computer. For instance, a camera integrated into the eyepiece may capture images and communicate the images to the biometrics phone and tactical computer, and vice a versa. Data may be exchanged between the eyepiece and biometrics phone, network connectivity may be established by either, and shared, and the like. In addition, the biometric phone and tactical computer may be housed in a rugged, fully militarized construction, tolerant to a militarized temperature range, waterproof (such as to a depth of 5 m), and the like.
-
FIG. 51 illustrates anembodiment 5100 of the use of the bio-phone to capture latent fingerprints and palm prints. Fingerprints and palm prints are captured at 1000 dpi with active illumination from an ultraviolet diode with scale overlay. Both fingerprint andpalm prints 5100 may be captured using the bio-phone. - Data collected by the bio-phone is automatically geo-located and date and time stamped using the GPS capability. Data may be uploaded or downloaded and compared against onboard or networked databases. This data transfer is facilitated by the 3G-4G, Wi-Lan, and Bluetooth capabilities of the device. Data entry may be done with the QWERTY keyboard, or other methods that may be provided, such as stylus or touch screen, or the like. Biometric data is filed after collection using the most salient image. Manual entry allows for partial data capture.
FIG. 53 illustrates theinterplay 5300 between the digital dossier images and the biometric watch list held at a database. The biometric watch list is used for comparing data captured in the field with previously captured data - Formatting may use EFTS, EBTS NIST, ISO, and ITL 1-2007 formats to provide compatibility with a range and variety of databases for biometric data.
- The specifications for the bio-phone and tactical computer are given below:
-
- Operating Temperature: −22° C. to +70° C.
- Connectivity I/O: 3G, 4G, WLAN a/b/g/n, Bluetooth 3.0, GPS, FM
- Connectivity Output: USB 2.0, HDMI, Ethernet
- Physical Dimensions: 6.875″ (H)×4.875″ (W)×1.2″ (T)
- Weight: 1.75 lbs.
- Processor: Dual Core—1 GHz Processors, 600 MHz DSP, and 30M Polygon/sec
- 3-D Graphics Accelerator
- Display: 3,8″ WVGA (800×480) Sunlight Readable, Transreflective, Capacitive
- Touch Screen, Scalable display output for connection to 3×1080p
- Hi-Def screens simultaneously.
- Operating System Windows Mobile, Linux, SE, Android
- Storage: 128 GB solid-state drive
- Additional Storage Dual SD Card slots for additional 128 GB storage.
- Memory: 4 GB RAM
- Camera: 3 Hi-Def Still and Video Cameras: Face, Iris, and Conference
- (User's Face)
- 3D Support: Capable of outputting stereoscopic 3D video.
- Camera Sensor Support: Sensor dynamic range extension, Adaptive defect pixel correction, advanced sharpness enhancement, Geometric distortion correction, advanced color management, HW based face detection, Video stabilization
- Biometrics: On-board optical, 2 fingerprint sensor, Face, DOMEX, and Iris cameras.
- Sensors: Can accommodate the addition of accelerometer, compass, ambient light,
- proximity, barometric, and temperature sensors, depending on requirements.
- Battery: <8 hrs, 1400 Mah, rechargeable Li-ion, hot swap battery pack.
- Power: Various power options for continuous operation.
- Software Features Face/gesture detection, noise filtering, pixel correction.
- Powerful display processor with multi-overlay, rotation, and
- resizing capabilities.
- Audio: On board microphone, speakers, and audio/video inputs.
- Keyboard: Full tactile QWERTY keyboard with adjustable backlight.
- Additional devices and kits may also incorporate the mosaic sensors and may operate in conjunction with the bio-phone and tactical computer to provide a complete field solution for collection biometric data.
- One such device is the pocket bio-kit, illustrated in
FIG. 54 . The components of thepocket bio-kit 5400 include aGPS antenna 5401, abio-print sensor 5402,keyboard 5404, all contained incase 5403. The specifications of the bio-kit are given below: -
- Size: 6″×3″×1.5″
- Weight: 2 lbs. total
- Processor and Memory: 1 GHz OMAP processor
- 650 MHz core
- 3-D accelerator handling up to 18 million polygons/sec
- 64 KB L2 cache
- 166 MHz at 32 bit FSB
- 1 GB embedded PoP memory expandable with up to 4 GB NAND
- 64 GB solid state hard drive
- Display: 75 mm×50 mm, 640×480 (VGA) daylight readable LCD, anti-glare, anti-reflective, anti-scratch screen treatment
- Interface: USB 2.0
- 10/100/1000 Ethernet
- Power: Battery operation: approximately 8 hours of continuous enrollments
- at roughly 5 minutes per enrollment.
- Embedded Capabilities: mosaic sensor optical fingerprint reader
- Digital iris camera with active IR illumination
- Digital face and DOMEX camera (visible) with flash
- Fast lock GPS
- The features of the bio-phone and tactical computer may also be provided in a bio-kit that provides for a biometric data collection system that folds into a rugged and compact case. Data is collected in biometric standard image and data formats that can be cross-referenced for near real-time data communication with Department of Defense Biometric Authoritative Databases.
- The pocket bio-kit shown in
FIG. 55 can capture latent fingerprints and palm prints at 1,000 dpi with active illumination from an ultraviolet diode with scale overlay. The bio-kit holds 32 GB memory storage cards that are capable of interoperation with combat radios or computers for upload and download of data in real-time field conditions. Power is provided by lithium ion batteries. Components of thebio-kit assembly 5500 include aGPS antenna 5501, abio-print sensor 5502, and acase 5503 with abase bottom 5505. - Biometric data collect is geo-located for monitoring and tracking individual movement. Finger and palm prints, iris images, face images, latent fingerprints, and video may be collected and enrolled in a database using the bio-kit. Algorithms for finger and palm prints, iris images, and face images facilitate these types of data collection. To aid in capturing iris images and latent fingerprint images simultaneously, the bio-kit has IR and UV diodes that actively illuminate an iris or latent fingerprint. In addition, the pocket bio-kit is also fully EFTS/EBTS compliant, including ITL 1-2007 and WSQ. The bio-kit meets MIL-STD-810 for operation in environmental extremes and uses a Linux operating system.
- For capturing images, the bio-kit uses a high dynamic range camera with wave front coding for maximum depth of field, ensuring detail in latent fingerprints and iris images is captured. Once captured, real-time image enhancement software and image stabilization act to improve readability and provide superior visual discrimination.
- The bio-kit is also capable of recording video and stores full-motion (30 fps) color video in an onboard “camcorder on chip.”
- The
eyepiece 100 may interface with the mobile folding biometrics enrollment kit (aka bio-kit) 5500, a biometric data collection system that folds into a compact rugged case, such that unfolds into a mini workstation for fingerprints, iris and facial recognition, latent fingerprint, and the like biometric data as described herein. As is the case for the other mobile biometrics devices, the mobile foldingbiometrics enrollment kit 5500 may be used as a stand-alone device or in association with theeyepiece 100, as described herein. In an embodiment, the mobile folding biometrics enrollment kit may fold up to a small size such as 6″×3″×1.5″ with weight such as 2 pounds. It may contain a processor, digital signal processor, 3D accelerator, fast syndrome-based hash (FSB) functions, solid state memory (e.g. package-on-package (PoP)), hard drive, display (e.g. 75 mm×50 mm, 640×480 (VGA) daylight-readable LCD anti-glare, anti-reflective, anti scratch screen), USB, Ethernet, embedded battery, mosaic optical fingerprint reader, digital iris camera (such as with active IR illumination), digital face and DOMEX camera with flash, fast lock GPS, and the like. Data may be collected in biometric standard image and data formats that may be cross-referenced for a near real-time data communication with the DoD biometric authoritative databases. The device may be capable of collecting biometric data and geo-location of persons of interest for monitoring and tracking, wireless data upload/download using combat radio or computer with standard networking interface, and the like. - In addition to the bio-kit, the mosaic sensor may be incorporated into a wrist mounted fingerprint, palm print, geo-location, and POI enrollment device, shown in
FIG. 56 . Theeyepiece 100 may interface with thebiometric device 5600, a biometric data collection system that straps on a soldier's wrist or arm and folds open for fingerprints, iris recognition, computer, and the like biometric data as described herein. The device may have an integrated computer, keyboard, sunlight-readable display, biometric sensitive platen, and the like, so operators may rapidly and remotely store or compare data for collection and identification purposes. For instance, the arm strap biometric sensitive platen may be used to scan a palm, fingerprints, and the like. The device may provide geo-location tags for person of interest and collected data with time, date, location, and the like. As is the case for the other mobile biometrics devices, thebiometric device 5600 may be used as a stand-alone device or in association with theeyepiece 100, as described herein. In an embodiment, the biometric device may be small and light to allow it to be comfortably worn on a soldier's arm, such as withdimensions 5″×2.5″ for the active fingerprint and palm print sensor, and a weight of 16 ounces. There may be algorithms for fingerprint and palm capture. The device may include a processor, digital signal processor, a transceiver, a Qwerty key board, large weather-resistant pressure driven print sensor, sunlight readable transflective QVGA color backlit LCD display, internal power source, and the like. - In one embodiment, the wrist mounted
assembly 5600 includes the following elements in case 5601:straps 5602, setting and on/offbuttons 5603, protective cover forsensor 5604, pressure-driven sensor 4405, and a keyboard andLCD screen 5606. - The fingerprint, palm print, geo-location, and POI enrollments device includes an integrated computer, QWERTY keyboard, and display. The display is designed to allow easy operation in strong sunlight and uses an LCD screen or LED indicator to alert the operator of successful fingerprint and palm print capture. The display uses transflective QVGA color, with a backlit LCD screen to improve readability. The device is lightweight and compact, weighing 16 oz. and measuring 5″×2.5″ at the mosaic sensor. This compact size and weight allows the device to slip into an LBV pocket or be strapped to a user's forearm, as shown in
FIG. 56 . As with other devices incorporating the mosaic sensor, all POIs are tagged with geo-location information at the time of capture. - The size of the sensor screen allows 10 fingers, palm, four-finger slap, and finger tip capture. The sensor incorporates a large pressure driven print sensor for rapid enrollment in any weather conditions as specified in MIL-STD-810, at a rate of 500 dpi. Software algorithms support both fingerprint and palm print capture modes and uses a Linux operating system for device management. Capture is rapid, due to the 720 MHz processor with 533 MHZ DSP. This processing capability delivers correctly formatted, salient images to any existing approved system software. In addition, the device is also fully EFTS/EBTS compliant, including ITL 1-2007 and WSQ.
- As with other mosaic sensor devices, communication in wireless mode is possible using a removable UWB wireless 256-bit AES transceiver. This also provides secure upload and download to and from biometric databases stored off the device.
- Power is supplied using lithium polymer or AA alkaline batteries.
- The wrist-mounted device described above may also be used in conjunction with other devices, including augmented reality eyepieces with data and video display, shown in
FIG. 57 . Theassembly 5700 includes the following components: an eyepiece 5702, and abio-print sensor device 5700. The augmented reality eyepiece provides redundant, binocular, stereo sensors and display and provides the ability to see in a variety of lighting conditions, from glaring sun at midday, to the extremely low light levels found at night Operation of the eyepiece is simple with a rotary switch located on the temple of the eyepiece a user can access data from a forearm computer or sensor, or a laptop device. The eyepiece also provides omni-directional earbuds for hearing protection and improved hearing. A noise cancelling boom microphone may also be integrated into the eyepiece to provide better communication of phonetically differentiated commands. - The eyepiece is capable of communicating wirelessly with the bio-phone sensor and forearm mounted devices using a 256-bit AES encrypted UWB. This also allows the device to communicate with a laptop or combat radio, as well as network to CPs, TOCs, and biometric databases. The eyepiece is ABIS, EBTS, EFTS, and
JPEG 2000 compatible. - Similar to other mosaic sensor devices described above, the eyepiece uses a networked GPS to provide highly accurate geo-location of POIs, as well as a RF filter array.
- In operation the low profile forearm mounted computer and tactical display integrate face, iris, fingerprint, palm print, and fingertip collection and identification. The device also records video, voice, gait, and other distinguishing characteristics. Facial and iris tracking is automatic, allowing the device to assist in recognizing non-cooperative POIs. With the transparent display provided by the eyepiece, the operator may also view sensor imagery, moving maps, superimposed applications with navigation, targeting, position or other information from sensors, UAVs, and the like, and data as well as the individual whose biometric data is being captured or other targets/POIs.
-
FIG. 58 illustrates a further embodiment of the fingerprint, palm print, geo-location, and POI enrollment device. The device is 16 oz and uses a 5″×2.5″ active fingerprint and palm print capacitance sensor. The sensor is capable of enrolling 10 fingers, a palm, 4 finger slap, and finger tip prints at 500 dpi. A 0.6-1 GHz processor with 430 MHz DSP provides rapid enrollment and data capture. The device is ABIS, EBTS, EFTS, andJPEG 2000 compatible and features networked GPS for highly accurate location of persons of interest. In addition, the device communicates wirelessly over a 256-bit AES encrypted UWB, laptop, or combat radio. Database information may also be stored on the device, allowing in the field comparison without uploading information. This onboard data may also be shared wirelessly with other devices, such as a laptop or combat radio. - A further embodiment of the wrist mounted
bio-print sensor assembly 5800 includes the following elements: abio-print sensor 5801,wrist strap 5802,keyboard 5803, and combat radio connector interface 5804. - Data may be stored on the forearm device since the device can utilize Mil-con data storage caps for increased storage capacity. Data entry is performed on the QWERTY keyboard and may be done wearing gloves.
- The display is a transflective QVGA, color, backlit LCD display designed to be readable in sunlight. In addition to operation in strong sunlight, the device may be operated in a wide range of environments, as the device meets the requirements of MIL-STD-810 operation in environmental extremes.
- The mosaic sensor described above may also be incorporated into a mobile, folding biometric enrollment kit, as shown in
FIG. 59 . The mobile foldingbiometric enrollment kit 5900 folds into itself and is sized to fit into a tactical vest pocket, having dimensions of 8×12×4 inches when unfolded. -
FIG. 60 illustrates anembodiment 6000 of how the eyepiece and forearm mounted device may interface to provide a complete system for biometric data collection. -
FIG. 61 provides a system diagram 6100 for a mobile folding biometric enrollment kit. - In operation the mobile folding biometric enrollment kit allows a user to search, collect, identify, verify, and enroll face, iris, palm print, fingertip, and biographic data for a subject and may also record voice samples, pocket litter, and other visible identifying marks. Once collected, the data is automatically geo-located, date, and time stamped. Collected data may be searched and compared against onboard and networked databases. For communicating with databases not onboard the device, wireless data up/download using combat radio or laptop computer with standard networking interface is provided. Formatting is compliant with EFTS, EBTS, NIST, ISO, and ITL 1-2007. Prequalified images may be sent directly to matching software as the device may use any matching and enrollment software.
- The devices and systems incorporating described above provide a comprehensive solution for mobile biometric data collection, identification, and situational awareness. The devices are capable of collecting fingerprints, palm prints, fingertips, faces, irises, voice, and video data for recognition of uncooperative persons of interest (POI). Video is captured using high speed video to enable capture in unstable situations, such as from a moving video. Captured information may be readily shared and additional data entered via the keyboard. In addition, all data is tagged with date, time, and geo-location. This facilitates rapid dissemination of information necessary for situational awareness in potentially volatile environments. Additional data collection is possible with more personnel equipped with the devices, thus, demonstrating the idea that “every soldier is a sensor.” Sharing is facilitated by integration of biometric devices with combat radios and battlefield computers.
- In embodiments, the eyepiece may utilize flexible thin-film sensors, such as integrated into the eyepiece itself, into an external device that the eyepiece interfaces with, and the like. A thin film sensor may comprise a thin multi-layer electromechanical arrangement that produces an electrical signal when subjected to a sudden contact force or to continuously varying forces. Typical applications of electromechanical thin film sensors employ both on-off electrical switch sensing and the time-resolved sensing of forces. Thin-film sensors may include switches, force gauges, and the like, where thin film sensors may rely upon the effects of sudden electrical contact (switching), the gradual change of electrical resistance under the action of force, the gradual release of electrical charges under the action of stress forces, the generation of a gradual electromotive force across a conductor when, moving in a magnetic field, and the like. For example, flexible thin-film sensors may be utilized in force-pressure sensors with microscopic force sensitive pixels for two-dimensional force array sensors. This may be useful for touch screens for computers, smart-phones, notebooks, MP-3-like devices, especially those with military applications; screens for controlling anything under computer control including unmanned aerial vehicles (UAV), drones, mobile robots, exoskeleton-based devices; and the like. Thin-film sensors may be useful in security applications, such as in remote or local sensors for detecting intrusion, opening or closing of devices, doors, windows, equipment, and the like. Thin-film sensors may be useful for trip wire detection, such as with electronics and radio used in silent, remote trip-wire detectors. Thin-film sensors may be used in open-close detections, such as force sensors for detecting strain-stress in vehicle compartments, ship hulls, aircraft panels, and the like. Thin-film sensors may be useful as biometric sensors, such as in fingerprinting, palm-printing, finger tip printing, and the like. Thin-film sensors may be useful leak detection, such as detecting leaking tanks, storage facilities, and the like. Thin-film sensors may be useful in medical sensors, such as in detecting liquid or blood external to a body, and the like. These sensor applications are meant to be illustrative of the many applications thin-film sensors may be employed in association with control and monitoring of external devices through the eyepiece, and are not meant to be limiting in any way.
-
FIG. 62 illustrates anembodiment 6200 of a thin-film finger and palm print collection device. The device can record four fingerprint slaps and rolls, palm prints, and fingerprints to the NIST standard. Superior quality finger print images can be captured with either wet or dry hands. The device is reduced in weight and power consumption compared to other large sensors. In addition, the sensor is self-contained and is hot swappable. The configuration of the sensor may be varied to suit a variety of needs, and the sensor may be manufactured in various shapes and dimensions. -
FIG. 63 depicts anembodiment 6300 of a finger, palm, and enrollment data collection device. This device records fingertip, roll, slap, and palm prints. A built in QWERTY keyboard allows entry of written enrollment data. As with the devices described above, all data is tagged with date, time, and geo-location of collection. A built in database provides on board matching of potential POIs against the built in database. Matching may also be performed with other databases over a battlefield network. This device can be integrated with the optical biometric collection eyepiece described above to support face and iris recognition. - The specifications for the finger, palm, and enrollment device are given below:
-
- Weight & Size: 16 oz. forearm straps or inserts into LBV pocket
- 5″×2.5″ finger/palm print sensor
- 5.75″×2.75″ QWERTY keyboard
- 3.5″×2.25″ LCD display
- One-handed operation
- Environmental: Sensor operates in all weather conditions, −20° C. to +70° C.
- Waterproofing: 1m for 4 hours, operates without degradation
- Biometric Collection: fingerprint and palm print collection, identification
- Keyboard & LCD display for enrollment of POIs
- Retains >30,000 full template portfolios (2 iris, 10 fingerprint, facial image, 35 fields of biographic information) for on board matching of POIs.
- Tags all collected biometric data with time, date, and location
- Pressure capacitance finger/palm print sensor
- 30 fps high contrast bitmap image
- 1000 dpi
- Wireless: fully interoperable with combat radios, hand held or lap top computers and 256-bit AES encryption
- Battery: dual 2000 mAh lithium polymer batteries
- >12 hours, quick change battery in <15 seconds
- Processing & Memory: 256 MB flash and 128 MB SDRA supports 3 SD cards up to 32 GB each
- 600-1 GHZ ARM Cortex A8 processor
- 1 GB RAM
- Weight & Size: 16 oz. forearm straps or inserts into LBV pocket
-
FIGS. 64-66 depict use of the devices incorporating a sensor for collecting biometric data.FIG. 64 shows anembodiment 6400 of the capture of a two-stage palm print.FIG. 65 showscollection 6500 using a fingertip tap.FIG. 66 demonstrates an embodiment 6600 of a slap and roll print being collected. - The discussion above pertains to methods of gathering biometric data, such as fingerprints or palm prints using a platen or touch screen, as shown in FIGS. 66 and 62-66. This disclosure also includes methods and systems for touchless or contactless fingerprinting using polarized light. In one embodiment, fingerprints may be taken by persons using a polarized light source and retrieving images of the fingerprints using reflected polarized light in two planes. In another embodiment, fingerprints may be taken by persons using a light source and retrieving images of the fingerprints using multispectral processing, e.g., using two imagers at two different locations with different inputs. The different inputs may be caused by using different filters or different sensors/imagers. Applications of this technology may include biometric checks of unknown persons or subjects in which the safety of the persons doing the checking may be at issue.
- In this method, an unknown person or subject may approach a checkpoint, for example, to be allowed further travel to his or her destination. As depicted in the
system 6700 shown inFIG. 67 , the person P and an appropriate body part, such as a hand, a palm P, or other part, are illuminated by a source ofpolarized light 6701. As is well known to those with skill in optical arts, the source of polarized light may simply be a lamp or other source of illumination with a polarizing filter to emit light that is polarized in one plane. The light travels to the person in an area which has been specified for non-contact fingerprinting, so that the polarized light impinges on the fingers or other body part of the person P. The incident polarized light is then reflected from the fingers or other body part and passes in all directions from the person. Two imagers or cameras 6704 receive the reflected light after the light has passed through optical elements such as alens 6702 and apolarizing filter 6703. The cameras or imagers may be mounted on the augmented reality glasses, as discussed above with respect toFIG. 8F . - The light then passes from palm or finger or fingers of the person of interest to two different
6704 a, 6704 b and then to the imagers orpolarizing filters cameras 6705. Light which has passed through the polarizing filters may have a 90° orientation difference (horizontal and vertical) or other orientation difference, such as 30°, 45°, 60° or 120°. The cameras may be digital cameras with appropriate digital imaging sensors to convert the incident light into appropriate signals. The signals are then processed byappropriate processing circuitry 6706, such as digital signal processors. The signals may then be combined in a conventional manner, such as by a digital microprocessor withmemory 6707. The digital processor with appropriate memory is programmed to produce data suitable for an image of a palm, fingerprint, or other image as desired. The digital data from the imagers may then be combined in this process, for example, using the techniques of U.S. Pat. No. 6,249,616 and others. As noted above in the present disclosure, the combined “image” may then be checked against a database to determine an identity of the person. The augmented reality glasses may include such a database in the memory, or may refer the signals data elsewhere 6708 for comparison and checking. - A process for taking contactless fingerprints, palm prints or other biometric prints is disclosed in the flowchart of
FIG. 68 . In one embodiment, a polarized light source is provided 6801. In asecond step 6802, the person of interest and the selected body part is positioned for illumination by the light. In another embodiment, it may be possible to use incident white light rather than using a polarized light source. When the image is ready to be taken, light is reflected 6803 from the person to two cameras or imagers. A polarizing filter is placed in front of each of the two cameras, so that the light received by the cameras is polarized 6804 in two different planes, such as in a horizontal and vertical plane. Each camera then detects 6805 the polarized light. The cameras or other sensors then convert the incidence of light into signals ordata 6806 suitable for preparation of images. Finally, the images are then combined 6807 to form a very distinct, reliable print. The result is an image of very high quality that may be compared to digital databases to identify the person and to detect persons of interest. - It should be understood that while digital cameras are used in this contactless system, other imagers may be used, such as active pixel imagers, CMOS imagers, imagers that image in multiple wavelengths, CCD cameras, photo detector arrays, TFT imagers, and so forth. It should also be understood that while polarized light has been used to create two different images, other variations in the reflected light may also be used. For example, rather than using polarized light, white light may be used and then different filters applied to the imagers, such as a Bayer filter, a CYGM filter, or an RGBE filter. In other embodiments, it may be possible to dispense with a source of polarized light and instead use natural or white light rather than a source of polarized light.
- The use of touchless or contactless fingerprinting has been under development for some time, as evidenced by earlier systems. For example, U.S. Pat. Appl. 2002/0106115 used polarized light in a non-contact system, but required a metallic coating on the fingers of the person being fingerprinted. Later systems, such as those described in U.S. Pat. No. 7,651,594 and U.S. Pat. Appl. Publ. 2008/0219522, required contact with a platen or other surface. The contactless system described herein does not require contact at the time of imaging, nor does it require prior contact, e.g., placing a coating or a reflective coating on the body part of interest. Of course, the positions of the imagers or cameras with respect to each other should be known for easier processing.
- In use, the contactless fingerprint system may be employed at a checkpoint, such as a compound entrance, a building entrance, a roadside checkpoint or other convenient location. Such a location may be one where it is desirable to admit some persons and to refuse entrance or even detain other persons of interest. In practice, the system may make use of an external light source, such as a lamp, if polarized light is used. The cameras or other imagers used for the contactless imaging may be mounted on opposite sides of one set of augmented reality glasses (for one person). For example, a two-camera version is shown in
FIG. 8F , with twocameras 870 mounted onframe 864. In this embodiment, the software for at least processing the image may be contained within a memory of the augmented reality glasses. Alternatively, the digital data from the cameras/imagers may be routed to a nearby datacenter for appropriate processing. This processing may include combining the digital data to form an image of the print. The processing may also include checking a database of known persons to determine whether the subject is of interest. - Alternatively, one camera on each of two persons may be used, as seen in the
camera 858 inFIG. 8F . In this configuration, the two persons would be relatively near so that their respective images would be suitably similar for combining by the appropriate software. For example, the twocameras 6705 inFIG. 67 may be mounted on two different pairs of augmented reality glasses, such as on two soldiers manning a checkpoint. Alternatively, the cameras may be mounted on a wall or on stationary parts of the checkpoint itself. The two images may then be combined by a remote processor withmemory 6707, such as a computer system at the building checkpoint. - As discussed above, persons using the augmented reality glasses may be in constant contact with each other through at least one of many wireless technologies, especially if they are both on duty at a checkpoint. Accordingly, the data from the single cameras or from the two-camera version may be sent to a data center or other command post for the appropriate processing, followed by checking the database for a match of the palm print, fingerprint, iris print, and so forth. The data center may be conveniently located near the checkpoint. With the availability of modern computers and storage, the cost of providing multiple datacenters and wirelessly updating the software will not be a major cost consideration in such systems.
- The touchless or contactless biometric data gathering discussed above may be controlled in several ways, such as the control techniques discussed else in this disclosure. For example, in one embodiment, a user may initiate a data-gathering session by pressing a touch pad on the glasses, or by giving a voice command. In another embodiment, the user may initiate a session by a hand movement or gesture or using any of the control techniques described herein. Any of these techniques may bring up a menu, from which the user may select an option, such as “begin data gathering session,” “terminate data-gathering session,” or “continue session.” If a data-gathering session is selected, the computer-controlled menu may then offer menu choices for number of cameras, which cameras, and so forth, much as a user selects a printer. There may also be modes, such as a polarized light mode, a color filter mode, and so forth. After each selection, the system may complete a task or offer another choice, as appropriate. User intervention may also be required, such as turning on a source of polarized light or other light source, applying filters or polarizers, and so forth.
- After fingerprints, palm prints, iris images or other desired data has been acquired, the menu may then offer selections as to which database to use for comparison, which device(s) to use for storage, etc. The touchless or contactless biometric data gathering system may be controlled by any of the methods described herein.
- While the system and sensors have obvious uses in identifying potential persons of interest, there are positive battlefield uses as well. The fingerprint sensor may be used to call up a soldier's medical history, giving information immediately on allergies, blood type, and other time sensitive and treatment determining data quickly and easily, thus allowing proper treatment to be provided under battlefield conditions. This is especially helpful for patients who may be unconscious when initially treated and who may be missing identification tags.
- A further embodiment of a device for capturing biometric data from individuals may incorporate a server to store and process biometric data collected. The biometric data captured may include a hand image with multiple fingers, a palm print, a face camera image, an iris image, an audio sample of an individual's voice, and a video of the individual's gait or movement. The collected data must be accessible to be useful.
- Processing of the biometric data may be done locally or remotely at a separate server. Local processing may offer the option to capture raw images and audio and make the information available on demand from a computer host over a WiFi or USB link. As an alternative, another local processing method processes the images and then transmits the processed data over the Internet. This local processing includes the steps of finding the finger prints, rating the finger prints, finding the face and then cropping it, finding and then rating the iris, and other similar steps for audio and video data. While processing the data locally requires more complex code, it does offer the advantage of reduced data transmission over the Internet.
- A scanner associated with the biometric data collection devices may use code that is compliant with the USB Image Device protocol that is a commonly used scanner standard. Other embodiments may use different scanner standards, depending on need.
- When a WiFi network is used to transfer the data, the Bio-Print device, which is further described herein, can function or appear like a web server to the network. Each of the various types of images may be available by selecting or clicking on a web page link or button from a browser client. This web server functionality may be part of the Bio-Print device, specifically, included in the microcomputer functionality.
- A web server may be a part of the Bio-Print microcomputer host, allowing for the Bio-Print device to author a web page that exposes captured data and also provides some controls. An additional embodiment of the browser application could provide controls to capture high resolution hand prints, face images, iris images, set the camera resolution, set the capture time for audio samples, and also enable a streaming connection, using a web cam, Skype, or similar mechanism. This connection could be attached to the audio and face camera.
- A further embodiment provides a browser application that gives access to images and audio captured via file transfer protocol (FTP) or other protocol. A still further embodiment of the browser application may provide for automatic refreshes at a selectable rate to repeatedly grab preview images.
- An additional embodiment provides local processing of captured biometric data using a microcomputer and provides additional controls to display a rating of the captured image, allowing a user to rate each of the prints found, retrieve faces captured, and also to retrieve cropped iris images and allow a user to rate each of the iris prints.
- Yet another embodiment provides a USB port compatible with the Open Multimedia Application Platform (OMAP3) system. OMAP3 is a proprietary system on a chip for portable multimedia applications. The OMAP3 device port is equipped with a Remote Network Driver Interface Specification (RNDIS), a proprietary protocol that may be used on top of USB. These systems provide the capability that when a Bio-Print device is plugged into a Windows PC USB host port, the device shows up as an IP interface. This IP interface would be the same as over WiFi (TCP/IP web server). This allows for moving data off the microcomputer host and provides for display of the captured print.
- An application on the microcomputer may implement the above by receiving data from an FPGA over the USB bus. Once received, JPEG content is created. This content may be written over a socket to a server running on a laptop, or be written to a file. Alternately, the server could receive the socket stream, pop the image, and leave it open in a window, thus creating a new window for each biometric capture. If the microcomputer runs Network File System (NFS), a protocol for use with Sun-based systems or SAMBA, a free software reimplementation that provides file and print services for Windows clients, the files captured may be shared and accessed by any client running NFS or System Management Bus (SMB), a PC communication bus implementation. In this embodiment, a JPEG viewer would display the files. The display client could include a laptop, augmented reality glasses, or a phone running the Android platform.
- An additional embodiment provides for a server-side application offering the same services described above.
- An alternative embodiment to a server-side application displays the results on the augmented reality glasses.
- A further embodiment provides the microcomputer on a removable platform, similar to a mass storage device or streaming camera. The removable platform also incorporates an active USB serial port.
- In embodiments, the eyepiece may include audio and/or visual sensors to capture sounds and/or visuals from 360 degrees around the wearer of an eyepiece. This may be from sensors mounted on the eyepiece itself, or coupled to sensors mounted on a vehicle that the wearer is in. For instance, sound sensors and/or cameras may be mounted to the outside of a vehicle, where the sensors are communicatively coupled to the eyepiece to provide a surround sound and/or sight ‘view’ of the surrounding environment. In addition, the sound system of the eyepiece may provide sound protection, canceling, augmentation, and the like, to help improve the hearing quality of the wearer while they are surrounded by extraneous or loud noise. In an example, a wearer may be coupled to cameras mounted on the vehicle they are driving. These cameras may then be in communication with the eyepiece, and provide a 360-degree view around the vehicle, such as provided in a projected graphical image through the eyepiece display to the wearer.
- In an example, and referring to
FIG. 69 , control aspects of the eyepiece may include a remote device in the form of awatch controller 6902, such as including a receiver and/or transmitter for interfacing with the eyepiece for messaging and/or controlling the eyepiece when the user is not wearing the eyepiece. The watch controller may include a camera, a fingerprint scanner, discrete control buttons, 2D control pad, an LCD screen, a capacitive touch screen for multi-touch control, a shake motor/piezo bumper to give tactile feedback, buttons with tactile feel, Bluetooth, camera, fingerprint scanner, accelerometer, and the like, such as provided in acontrol function area 6904 or on otherfunctional portions 6910 of thewatch controller 6902. For instance, a watch controller may have a standard watch display 6908, but additionally have functionality to control the eyepiece, such as throughcontrol functions 6914 in thecontrol function area 6904. The watch controller may display and/or otherwise notify the user (e.g. vibration, audible sounds) of messages from the eyepiece, such an email, advertisements, calendar alerts, and the like, and show the content of the message that comes in from the eyepiece that the user is currently not wearing. A shake motor, piezo bumper, and the like, may provide tactile feedback to the touch screen control interface. The watch receiver may be able to provide virtual buttons and clicks in thecontrol function area 6904 user interface, buzz and bump the user's wrist, and the like, when a message is received. Communications connectivity between the eyepiece and the watch receiver may be provided through Bluetooth, WiFi, Cell network, or any other communications interface known to the art. The watch controller may utilize an embedded camera for videoconferencing (such as described herein), iris scanning (e.g. for recording an image of the iris for storage in a database, for use in authentication in conjunction with an existing iris image in storage, and the like), picture taking, video, and the like. The watch controller may have a fingerprint scanner, such as described herein. The watch controller, or any other tactile interface described herein, may measure a user's pulse, such as through a pulse sensor 6912 (which may be located in the band, on the underside of the main body of the watch, and the like. In embodiments, the eyepiece and other control/tactile interface components may have pulse detection such that the pulse from different control interface components are monitored in a synchronized way, such as for health, activity monitoring, authorization, and the like. For example, a watch controller and the eyepiece may both have pulse monitoring, where the eyepiece is capable of sensing whether the two are in synchronization, if both match a previously measured profile (such as for authentication), and the like. Similarly, other biometrics may be used for authentication between multiple control interfaces and the eyepiece, such as with fingerprints, iris scans, pulse, health profile, and the like, where the eyepiece knows whether the same person is wearing the interface component (e.g. the watch controller) and the eyepiece. Biometric/health of a person may be determined by looking at IR LED view of the skin, for looking at subsurface pulse, and the like. In embodiments, multi-device authentication (e.g. token for Bluetooth handshake) may be used, such as using the sensors on both devices (e.g. fingerprint on both devices as a hash for the Bluetooth token), and the like. - Referring to
FIGS. 70A-70D , the eyepiece may be stored in an eyepiece carrying case, such as including a recharge capability, an integrated display, and the like.FIG. 70A depicts an embodiment of a case, shown closed, with integrated recharge AC plug and digital display, andFIG. 70B shows the same embodiment case open.FIG. 70C shows another embodiment case closed, andFIG. 70D shows the same embodiment open, where a digital display is shown through the cover. In embodiments, the case may have the ability to recharge the eyepiece while in the case, such as through an AC connection or battery (e.g. a rechargeable lithium-ion battery built into the carrying case for charging the eyepiece while away from AC power). Electrical power may be transferred to the eyepiece through a wired or wireless connection, such as though a wireless induction pad configuration between the case and the eyepiece. In embodiments, the case may include a digital display in communications with the eyepiece, such as through Bluetooth wireless, and the like. The display may provide information about the state of the eyepiece, such as messages received, battery level indication, notifications, and the like. - Referring to
FIG. 71 , theeyepiece 7120 may be used in conjunction with an unattendedground sensor unit 7102, such as formed as astake 7104 that can be inserted in theground 7118 by personnel, fired from a remote control helicopter, dropped by plane, and the like. Theground sensor unit 7102 may include acamera 7108, acontroller 7110, asensor 7112, and the like.Sensors 7112 may include a magnetic sensor, sound sensor, vibration sensor, thermal sensor, passive IR sensor, motion detector, GPS, real-time clock, and the like, and provide monitoring at the location of theground sensor unit 7102. Thecamera 7108 may have a field ofview 7114 in both azimuth and elevation, such as a full or partial 360-degree camera array in azimuth and +/−90 degrees in elevation. Theground sensor unit 7102 may capture a sensor and image data of an event(s) and transmit it over a wireless network connection to aneyepiece 7120. Further, the eyepiece may then transmit the data to anexternal communications facility 7122, such as a cell network, a satellite network, a WiFi network, to another eyepiece, and the like. In embodiments,ground sensor units 7102 may relay data from unit to unit, such as from 7102A to 7102B to 7102C. Further, the data may then be relayed fromeyepiece 7120A to eyepiece 7120B and on to thecommunications facility 7122, such as in a backhaul data network. Data collected from aground sensor unit 7102, or array of ground sensor units, may be shared with a plurality of eyepieces, such as from eyepiece to eyepiece, from the communications facility to the eyepiece, and the like, such that users of the eyepiece may utilize and share the data, either in it's raw form or in a post-processed form (i.e. as a graphic display of the data through the eyepiece). In embodiments, the ground sensor units may be inexpensive, disposable, toy-grade, and the like. In embodiments, theground sensor unit 7102 may provide backup for computer files from theeyepiece 7120. - Referring to
FIG. 72 , the eyepiece may provide control through facilities internal and external to the eyepiece, such as initiated from the surroundingenvironment 7202,input devices 7204,sensing devices 7208, useraction capture devices 7210,internal processing facilities 7212, internal multimedia processing facilities,internal applications 7214,camera 7218,sensors 7220,earpiece 7222,projector 7224, through atransceiver 7228, through atactile interface 7230, fromexternal computing facilities 7232,external applications 7234, event and/or data feeds 7238,external devices 7240,third parties 7242, and the like. Command andcontrol modes 7260 of the eyepiece may be initiated by sensing inputs throughinput devices 7244, user action 7248,external device interaction 7250, reception of events and/or data feeds 7252,internal application execution 7254,external application execution 7258, and the like. In embodiments, there may be a series of steps included in the execution control, including at least combinations of two of the following: events and/or data feeds, sensing inputs and/or sensing devices, user action capture inputs and/or outputs, user movements and/or actions for controlling and/or initiating commands, command and/or control modes and interfaces in which the inputs may be reflected, applications on the platform that may use commands to respond to inputs, communications and/or connection from the on-platform interface to external systems and/or devices, external devices, external applications,feedback 7262 to the user (such as related to external devices, external applications), and the like. - In embodiments, events and/or data feeds may include email, military related communications, calendar alerts, security events, safety events, financial events, personal events, a request for input, instruction, entering an activity state, entering a military engagement activity state, entering a type of environment, entering a hostile environment, entering a location, and the like, and combinations of the same.
- In embodiments, sensing inputs and/or sensing devices may include a charge-coupled device, black silicon sensor, IR sensor, acoustic sensor, induction sensor, motion sensor, optical sensor, opacity sensor, proximity sensor, inductive sensor, Eddy-current sensor, passive infrared proximity sensor, radar, capacitance sensor, capacitive displacement sensor, hall-effect sensor, magnetic sensor, GPS sensor, thermal imaging sensor, thermocouple, thermistor, photoelectric sensor, ultrasonic sensor, infrared laser sensor, inertial motion sensor, MEMS internal motion sensor, ultrasonic 3D motion sensor, accelerometer, inclinometer, force sensor, piezoelectric sensor, rotary encoders, linear encoders, chemical sensor, ozone sensor, smoke sensor, heat sensor, magnetometer, carbon dioxide detector, carbon monoxide detector, oxygen sensor, glucose sensor, smoke detector, metal detector, rain sensor, altimeter, GPS, detection of being outside, detection of context, detection of activity, object detector (e.g. billboard), marker detector (e.g. geo-location marker for advertising), laser rangefinder, sonar, capacitance, optical response, heart rate sensor, RF/micropower impulse radio (MIR) sensor, and the like, and combinations of the same.
- In embodiments, user action capture inputs and/or devices may include a head tracking system, camera, voice recognition system, body movement sensor (e.g. kinetic sensor), eye-gaze detection system, tongue touch pad, sip-and-puff systems, joystick, cursor, mouse, touch screen, touch sensor, finger tracking devices, 3D/2D mouse, inertial movement tracking, microphone, wearable sensor sets, robotic motion detection system, optical motion tracking system, laser motion tracking system, keyboard, virtual keyboard, virtual keyboard on a physical platform, context determination system, activity determination system (e.g. on a train, on a plane, walking, exercising, etc.) finger following camera, virtualized in-hand display, sign language system, trackball, hand-mounted camera, temple-located sensors, glasses-located sensors, Bluetooth communications, wireless communications, satellite communications, and the like, and combinations of the same.
- In embodiments, user movements or actions for controlling or initiating commands may include head movement, head shake, head nod, head roll, forehead twitch, ear movement, eye movement, eye open, eye close, blink on eye, eye roll, hand movement, clench fist, open fist, shake fist, advance fist, retract fist, voice commands, sip or puff on straw, tongue movement, finger movement, one or more finger movements, extend finger crook finger, retract finger, extend thumb, make symbol with finger(s), make symbol with finger and thumb, depress finger of thumb, drag and drop with fingers, touch and drag, touch and drag with two fingers, wrist movement, wrist roll, wrist flap, arm movement, arm extend, arm retract, arm left turn signal, arm right turn signal, arms akimbo, arms extended, leg movement, leg kick, leg extend, leg curl, jumping jack, body movement walk, run turn left, turn right, about-face, twirl, arms up and twirl, arms down and twirl, one left out and twirl, twirl with various hand and arm positions, finger pinch and spread motions, finger movement (e.g. virtual typing), snapping, tapping hip motion, shoulder motion foot motions, swipe movements, sign language (e.g. ASL), and the like, and combinations of the same.
- In embodiments, command and/or control modes and interfaces in which inputs can be reflected may include a graphical user interface (GUI), auditory command interface, clickable icons, navigable lists, virtual reality interface, augmented reality interface, heads-up display, semi-opaque display, 3D navigation interface, command line, virtual touch screen, robot control interface, typing (e.g. with persistent virtual keyboard locked in place), predictive and/or learning based user interface (e.g. learns what the wearer does in a ‘training mode’, and when and where they do it), simplified command mode (e.g. hand gestures to kick off an application, etc), Bluetooth controllers, cursor hold, lock a virtual display, head movement around a located cursor, and the like, and combinations of the same.
- In embodiments, applications on the eyepiece that can use commands and/or respond to inputs may include military applications, weapons control applications, military targeting applications, war game simulation, hand-to-hand fighting simulator, repair manual applications, tactical operations applications, mobile phone applications (e.g. iPhone apps), information processing, fingerprint capture, facial recognition, information display, information conveying, information gathering, iris capture, entertainment, easy access to information for pilots, locating objects in 3D in the real world, targeting for civilians, targeting for police, instructional, tutorial guidance without using hands (e.g. in maintenance, assembly, first aid, etc), blind navigation assistance, communications, music, search, advertising, video, computer games, video, computer games, eBooks, advertising, shopping, e-commerce, videoconferencing, and the like, and combinations of the same.
- In embodiments, communication and/or connection from the eyepiece interface to external systems and devices may include a microcontroller, microprocessor, digital signal processor, steering wheel control interface, joystick controller, motion and sensor resolvers, stepper controller, audio system controller, program to integrate sound and image signals, application programming interface (API), graphical user interface (GUI), navigation system controller, network router, network controller, reconciliation system, payment system, gaming device, pressure sensor, and the like.
- In embodiments, external devices to be controlled may include a weapon, a weapon control system, a communications system, a bomb detection system, a bomb disarming system, a remote-controlled vehicle, a computer (and thus many devices able to be controlled by a computer), camera, projector, cell phone, tracking devices, display (e.g. computer, video, TV screen), video game, war game simulator, mobile gaming, pointing or tracking device, radio or sound system, range finder, audio system, iPod, smart phone, TV, entertainment system, computer controlled weapons system, drone, robot, automotive dashboard interfaces, lighting devices (e.g. mood lighting), exercise equipment, gaming platform (such as the gaming platform recognizing the user and preloading what they like to play), vehicles, storage-enabled devices, payment system, ATM, POS system, and the like.
- In embodiments, applications in association with external devices may be military applications, weapons control applications, military targeting applications, war game simulation, hand-to-hand fighting simulator, repair manual applications, tactical operations applications, communications, information processing, fingerprint capture, facial recognition, iris capture, entertainment, easy access to information for pilots, locating objects in 3D in the real world, targeting for civilians, targeting for police, instructional, tutorial guidance without using hands (e.g. maintenance, assembly, first aid), blind navigation assistance, music, search, advertising, video, computer games, eBooks, automotive dashboard applications, advertising, military enemy targeting, shopping, e-commerce, and the like, and combinations of same.
- In embodiments, feedback to the wearer related to external devices and applications may include visual display, heads-up display, bulls-eye or target tracking display, tonal output or sound warning, performance or rating indicator, score, mission accomplished indication, action complete indication, play of content, display of information, reports, data mining, recommendations, targeted advertisements, and the like.
- In an example, control aspects of the eyepiece may include combinations of a head nod from a soldier as movement to initiate a silent command (such as during a combat engagement), through a graphical user interface for reflecting modes and/or interfaces in which the control input is reflected, a military application on the eyepiece that uses the commands and/or responds to the control input, an audio system controller to communicate and/or connect from the eyepiece interface to an external system or device, and the like. For instance, the soldier may be controlling a secure communications device through the eyepiece during a combat engagement, and wish to change some aspect of communications, such as a channel, a frequency, an encoding level, and the like, without making a sound and with minimal motion so as to minimize the chance of being heard or seen. In this instance, a nod of the soldier's head may be programmed to indicate the change, such as a quick nod forward to indicate the beginning of a transmission, a quick nod backward to indicate the end of a transmission, and the like. In addition, the eyepiece may be projecting a graphical user interface to the soldier for the secure communications device, such as showing what channel is active, what alternative channels are available, others in their team that are currently transmitting, and the like. The nod of the soldier may then be interpreted by processing facilities of the eyepiece as a change command, the command transmitted to the audio system controller, and the graphical user interface for the communications device showing the change. Further, certain nods/body motions may be interpreted as specific commands to be transmitted such that the eyepiece sends a pre-established communication without the soldier needing to be audible. That is, the soldier may be able to send pre-canned communications to their team though body motions (for example, as determined together with the team prior to the engagement). In this way, a soldier wearing and utilizing the facilities of the eyepiece may be able to connect and interface with the external secure communications device in a completely stealthy manner, maintaining silent communications with their team during engagement, even when out of sight with the team. In embodiments, other movements or actions for controlling or initiating commands, command and/or control modes and interfaces in which the inputs can be reflected, applications on platform that can use commands and/or respond to inputs, communication or connection from the on-platform interface to external systems and devices, and the like, as described herein, may also be applied.
- In an example, control aspects of the eyepiece may include combinations of motion and position sensors as sensing inputs, an augmented reality interface as a command and control interface in which the inputs can be reflected to a soldier, a motion sensor and range finder for a weapon system as external devices to be controlled and information collected from, feedback to the soldier related to the external devices, and the like. For instance, a soldier wearing the eyepiece may be monitoring military movements within an environment with the motion sensor, and when the motion sensor is triggered an augmented reality interface may be projected to the wearer that helps identify a target, such as a person, vehicle, and the like for further monitoring and/or targeting. In addition, the range finder may be able to determine the range to the object and feedback that information to the soldier for use in targeting (such as manually, with the soldier executing a firing action; or automatically, with the weapon system receiving the information for targeting and the soldier providing a command to fire). In embodiments, the augmented reality interface may provide information to the soldier about the target, such as the location of the object on a 2D or 3D projected map, identity of the target from previously collected information (e.g. as stored in an object database, including face recognition, object recognition), coordinates of the target, night vision imaging of the target, and the like. In embodiments, the triggering of the motion detector may be interpreted by processing facilities of the eyepiece as a warning event, the command may be transmitted to the range finder to determine the location of the object, as well as to the speakers of the ear phones of the eyepiece to provide an audio warning to the soldier that a moving object has been sensed in the area being monitored. The audio warning plus visual indicators to the soldier may serve as inputs to the soldier that attention should be paid to the moving object, such as if the object has been identified as an object of interest to the soldier, such as through an accessed database for known combatants, known vehicle types, and the like. For instance, the soldier may be at a guard post monitoring the perimeter around the post at night. In this case, the environment may be dark, and the soldier may have fallen into a low attentive state, as it may be late at night, with all environmental conditions quiet. The eyepiece may then act as a sentry augmentation device, ‘watching’ from the soldier's personal perspective (as opposed to some external monitoring facility for the guard post). When the eyepiece senses movement, the soldier may be instantly alerted as well as guided to the location, range, identity, and the like, of the motion. In this way, the soldier may be able to react to avoid personal danger, to target fire to the located movement, and the like, as well as alert the post to potential danger. Further, if a firelight were to ensue, the soldier may have improved reaction time as a result of the warning from the eyepiece, with better decision making though information about the target, and minimizing the danger of being injured or the guard post from being infiltrated. In embodiments, other sensing inputs and/or sensing devices, command and/or control modes and interfaces in which the inputs can be reflected, useful external devices to be controlled, feedback related to external devices and/or external applications, and the like, as described herein, may also be applied.
- In embodiments, the eyepiece may enable remote control of vehicles, such as a truck, robot, drone, helicopter, watercraft, and the like. For instance, a soldier wearing the eyepiece may be able to command through an internal communications interface for control of the vehicle. Vehicle control may be provided through voice commands, body movement (e.g. a soldier instrumented with movement sensors that are in interactive communication with the eyepiece, and interfaced through the eyepiece to control the vehicle), keyboard interface, and the like. In an example, a soldier wearing an eyepiece may provide remote control to a bomb disposal robot or vehicle, where commands are generated by the soldier though a command interface of the eyepiece, such as described herein. In another example, a soldier may command an aircraft, such as a remote control drone, remote control tactical counter-rotating helicopter, and the like. Again, the soldier may provide control of the remote control aircraft through control interfaces as described herein.
- In an example, control aspects of the eyepiece may include combinations of a wearable sensor set as an action capture input for a soldier, utilizing a robot control interface as a command and control interface in which the inputs can be reflected, a drone or other robotic device as an external device to be controlled, and the like. For instance, the soldier wearing the eyepiece may be instrumented with a sensor set for the control of a military drone, such as with motion sensor inputs to control motion of the drone, hand recognition control for manipulation of control features of the drone (e.g. such as through a graphical user interface displayed through the eyepiece), voice command inputs for control of the drone, and the like. In embodiments, control of the drone through the eyepiece may include control of flight, control of on-board interrogation sensors (e.g. visible camera, IR camera, radar), threat avoidance, and the like. The soldier may be able to guide the drone to its intended target using body mounted sensors and picturing the actual battlefield through a virtual 2D/3D projected image, where flight, camera, monitoring controls are commanded though body motions of the soldier. In this way, the soldier may be able to maintain an individualistic, full visual immersion, of the flight and environment of the drone for greater intuitive control. The eyepiece may have a robot control interface for managing and reconciling the various control inputs from the soldier-worn sensor set, and for providing an interface for control of the drone. The drone may then be controlled remotely through physical action of the soldier, such as through a wireless connection to a military control center for drone control and management. In another similar example, a soldier may control a bomb-disarming robot that may be controlled through a soldier-worn sensor set and associated eyepiece robot control interface. For instance, the soldier may be provided with a graphical user interface that provides a 2D or 3D view of the environment around the bomb disarming robot, and where the sensor pack provides translation of the motion of the soldier (e.g. arms, hands, and the like) to motions of the robot. In this way, the soldier may be able to provide a remote control interface to the robot to better enable sensitive control during the delicate bomb disarming process. In embodiments, other user action capture inputs and/or devices, command and/or control modes and interfaces in which the inputs can be reflected, useful external devices to be controlled, and the like, as described herein, may also be applied.
- In an example, control aspects of the eyepiece may include combinations of an event indication to the soldier as they enter a location, a predictive-learning based user interface as a command and control mode and/or interface in which the input occurrence of the event is reflected, a weapons control system as an external device to be controlled, and the like. For instance, an eyepiece may be programmed to learn the behavior of a soldier, such as what the soldier typically does when they enter a particular environment with a particular weapons control system, e.g. does the wearer turn on the system, arm the system, bring up visual displays for the system, and the like. From this learned behavior, the eyepiece may be able to make a prediction of what the soldier wants in the way of an eyepiece control function. For example, the soldier may be thrust into a combat situation, and needs the immediate use of a weapons control system. In this case, the eyepiece may sense the location and/or the identity of the weapons system as the soldier approaches, and configure/enable the weapons system to how the soldier typically configures the system when they are near the weapons control system, such as in previous uses of the weapons system where the eyepiece was in a learning mode, and commanding the weapons control system to turn on the system as last configured. In embodiments, the eyepiece may sense the location and/or identity of the weapons system through a plurality of methods and systems, such as through a vision system recognizing the location, an RFID system, a GPS system, and the like. In embodiments, the commanding of the weapons control system may be through a graphical user interface that provides the soldier with a visual for fire-control of the weapon system, an audio-voice command system interface that provides choices to the soldier and voice recognition for commanding, pre-determined automatic activation of a function, and the like. In embodiments, there may be a profile associated with such learned commanding, where the soldier is able to modify the learned profile and/or set preferences within the learned profile to help optimize automated actions, and the like. For example, the soldier may have separate weapon control profiles for weapons readiness (i.e. while on post and awaiting action) and for active weapons engagement with the enemy. The soldier may need to modify a profile to adjust to changing conditions associated with use of the weapon system, such as a change in fire command protocols, ammunition type, added capabilities of the weapon system, and the like. In embodiments, other events and/or data feeds, command and/or control modes and interfaces in which the inputs can be reflected, useful external devices to be controlled, and the like, as described herein, may also be applied.
- In an example, control aspects of the eyepiece may include combinations of an individual responsibility event for a soldier (such as deployed in a theater of action, and managing their time) as an event and/or data feed, a voice recognition system as a user action capture input device, an auditory command interface as a command and control interface in which the inputs can be reflected, video-based communications as an application on the eyepiece that is used to respond to the input from the soldier, and the like. For instance, a soldier wearing the eyepiece may get a visual indication projected to them of a scheduled event for a group video supported communication between commanders. The soldier may then use a voice command to an auditory command interface on the eyepiece to bring up the contact information for the call, and voice command the group video communication to be initiated. In this way, the eyepiece may serve as a personal assistant for the soldier, bringing up scheduled events and providing the soldier with a hands-free command interface to execute the scheduled events. In addition, the eyepiece may provide for the visual interface for the group video communication, where the images of the other commanders are projected to the soldier through the eyepiece, and where an external camera is providing the soldier's video image through communicative connection to the eyepiece (such as with an external device with a camera, using a mirror with the internally integrated camera, and the like, as described herein). In this way, the eyepiece may provide a fully integrated personal assistant and phone/video-based communications platform, subsuming the functions of other traditionally separate electronics devices, such as the radio, mobile phone, a video-phone, a personal computer, a calendar, a hands-free command and control interface, and the like. In embodiments, other events and/or data feeds, user action capture inputs and/or devices, command and/or control modes and interfaces in which the inputs can be reflected, applications on platform that can use commands and/or respond to inputs, and the like, as described herein, may also be applied.
- In an example, control aspects of the eyepiece may include combinations of a security event to a soldier as an event and/or data feed; a camera and touch screen as user action capture input devices; an information processing, fingerprint capture, facial recognition application on the eyepiece to respond to the inputs; a graphical user interface for communications and/or connection between the eyepiece and external systems and devices; and an external information processing, fingerprint capture, facial recognition application and database for access to external security facilities and connectivity, and the like. For instance, a soldier may receive a ‘security event’ while on post at a military checkpoint where a plurality of individuals is to be security checked and/or identified. In this case there may be a need for recording the biometrics of the individuals, such as because they don't show up in a security database, because of suspicious behavior, because they fit the profile of a member of a combatant, and the like. The soldier may then use biometric input devices, such as a camera for photographing faces and a touch screen for recording fingerprints, where the biometric inputs are managed though an internal information, processing, fingerprint capture, and facial recognition application on the eyepiece. In addition, the eyepiece may provide a graphical user interface as a communications connection to an external information, processing, fingerprint capture, and facial recognition application, where the graphical user interface provides data capture interfaces, external database access, people of interest database, and the like. The eyepiece may provide for an end-to-end security management facility, including monitoring for people of interest, input devices for taking biometric data, displaying inputs and database information, connectivity to external security and database applications, and the like. For instance, the soldier may be checking people through a military checkpoint, and the soldier has been commanded to collect facial images, such as with iris biometrics, for anyone that meets a profile and is not currently in a security database. As individuals approach the soldier, as in a line to pass through the checkpoint, the soldier's eyepiece takes high-resolution images of each individual for facial and/or iris recognition, such as checked though a database accessible though a network communication link A person may be allowed to pass the checkpoint if they do not meet the profile (e.g. a young child), or is in the database with an indication that they are not considered a threat. A person may not be allowed to pass through the checkpoint, and is pulled aside, if the individual is indicated to be a threat or meets the profile and is not in the database. If they need to be entered into the security database, the soldier may be able to process the individual directly through facilities of the eyepiece or with the eyepiece controlling an external device, such as for collecting personal information for the individual, taking a close-up image of the individual's face and/or iris, recording fingerprints, and the like, such as described herein. In embodiments, other events and/or data feeds, user action capture inputs and/or devices, applications on platform that can use commands and/or respond to inputs, communication or connection from the on-platform interface to external systems and devices, applications for external devices, and the like, as described herein, may also be applied.
- In an example, control aspects of the eyepiece may include combinations of a finger movement as a user action for a soldier initiating an eyepiece command, a clickable icon as a command and control mode and/or interface in which the user action can be reflected, an application on the eyepiece (e.g. weapons control, troop movements, intelligence data feed, and the like), a military application tracking API as a communication and/or connection from the eyepiece application to an external system, an external personnel tracking application, feedback to military personnel, and the like. For instance, a system for monitoring a soldier's selection of an on-eyepiece application may be implemented through an API such that the monitoring provides a service to the military for monitoring and tracking application usage, feedback to the soldier as to other applications available to them based on the monitored behavior, and the like. In the course of a day, the soldier may select an application for use and/or download, such as through a graphical user interface where clickable icons are presented, and to which the soldier may be able to select the icon based on a finger movement control implementation facility (such as a camera or inertial system through which the soldier's finger action is used as a control input, in this case to select the clickable icon). The selection may then be monitored through the military application tracking API that sends the selection, or stored number of selections (such as transmitting stored selections over a period of time), to the external personnel tracking application. The soldier's application selections, in this case ‘virtual clicks’, may then be analyzed for the purpose of optimizing usage, such as through increasing bandwidth, change of available applications, improvement to existing applications, and the like. Further, the external personnel tracking application may utilize the analysis to determine what the wearer's preferences are in terms of applications use, and send the wearer feedback in the form of recommendations of applications the wearer may be interested in, a preference profile, a list of what other similar military users are utilizing, and the like. In embodiments, the eyepiece may provide services to improve the soldier's experience with the eyepiece, such as with recommendations for usage that the soldier may benefit from, and the like, while aiding in guiding the military use of the eyepiece and applications thereof. For instance, a soldier that is new to using the eyepiece may not fully utilize its capabilities, such as in use of augmented reality interfaces, organizational applications, mission support, and the like. The eyepiece may have the capability to monitor the soldier's utilization, compare the utilization to utilization metrics (such as stored in an external eyepiece utilization facility), and provide feedback to the soldier in order to improve use and associated efficiency of the eyepiece, and the like. In embodiments, other user movements or actions for controlling or initiating commands, command and/or control modes and interfaces in which the inputs can be reflected, applications on platform that can use commands and/or respond to inputs, communication or connection from the on-platform interface to external systems and devices, applications for external devices, feedback related to external devices and/or external applications, and the like, as described herein, may also be applied.
- In an example, control aspects of the eyepiece may include combinations of body movement (e.g. kinetic sensor) and touch sensors as user action capture sensing devices, head and hand movement as user actions for controlling and/or initiating commands, a virtual reality interface as a command and control interface through which the inputs can be reflected, an information display as an application on the eyepiece that can respond to the inputs, a combat simulator as an external device to be controlled through a combat simulation application, and the activation of the combat simulator content to the soldier with performance, rating, score, and the like, as feedback to the user related to the external device and application. For instance, a soldier may be able to interact with an artificial reality enhanced combat simulator, where the wearer's body movements are interpreted as control inputs, such as though body movement sensors, touch sensors, and the like. In this way, movements of the wearer's body may be fed into the combat simulator, rather than using more traditional control inputs such as a handheld controller. Thus, the soldier's experience may be more realistic, such as to provide better muscle memory from the simulated combat exercise, such as when engaged in defensive avoidance, in a firelight, and the like, and where the eyepiece provides a full immersion experience for the soldier without the need for external devices that would normally not be used by the soldier in a live action. Body motion control inputs may feed into a virtual reality interface and information display application on the eyepiece to provide the user with the visual depiction of the simulated combat environment. In embodiments, the combat simulator may be run entirely on-board the eyepiece as a local application, interfaced to an external combat simulator facility local to the wearer, interfaced to a networked combat simulator facility (e.g. a massively multiplayer combat simulator, an individual combat simulator, a group combat simulator through a local network connection), and the like. In the case where the eyepiece is interfacing and controlling a hybrid local-external combat simulator environment, the eyepiece application portion of simulation execution may provide the visual environment and information display to the soldier, and the external combat simulator facility may provide the combat simulator application execution. It would be clear to one skilled in the art that many different partitioning configurations between the processing provided by the eyepiece and processing provided by external facilities may be implemented. Further, the combat simulator implementation may extend to external facilities across a secure network. External facilities, whether local or across the secure network, may then provide feedback to the soldier, such as in providing at least a portion of the executed content (e.g. the locally provided projection combined with content from the external facilities and other soldiers), performance indications, scores, rankings, and the like. In embodiments, the eyepiece may provide a soldier environment where the eyepiece interfaces with external control inputs and external processing facilities, to create the next generation of combat simulator platform. In embodiments, other sensing inputs and/or sensing devices, user movements or actions for controlling or initiating commands, command and/or control modes and interfaces in which the inputs can be reflected, applications on platform that can use commands and/or respond to inputs, useful external devices to be controlled, feedback related to external devices and/or external applications, and the like, as described herein, may also be applied.
- In an example, control aspects of the eyepiece may include combinations of IR, thermal, force, carbon monoxide, and the like sensors as inputs; microphone as an additional input device; voice commands as an action by a soldier to initiate commands; a heads-up display as a command and control interface in which the inputs can be reflected; an instructional guidance application to provide guidance while reducing the need for the soldier to use their hands, such as in emergency repair in the field, maintenance, assembly, and the like; a visual display that provides feedback to the soldier based on the actions of the soldier and the sensor inputs; and the like. For instance, a soldier's vehicle may have been damaged in a firefight, leaving the soldier(s) stranded without immediate transport capabilities. The soldier may be able to bring up an instructional guidance application, as running through the eyepiece, to provide hands-free instruction and computer-based expert knowledge access to diagnosing the problem with the vehicle. In addition, the application may provide a tutorial for procedures not familiar to the soldier, such as restoring basic and temporary functionality of the vehicle. The eyepiece may also be monitoring various sensor inputs relevant to the diagnosis, such as an IR, thermal, force, ozone, carbon monoxide, and the like sensors, so that the sensor input may be accessible to the instructional application and/or directly accessible to the soldier. The application may also provide for a microphone through which voice commands may be accepted; a heads-up display for the display of instruction information, 2D or 3D depiction of the portion of the vehicle under repair; and the like. In embodiments, the eyepiece may be able to provide a hands-free virtual assistant to the soldier to assist them in the diagnosis and repair of the vehicle in order to re-establish a means for transport, allowing the soldier to re-engage the enemy or move to safety. In embodiments, other sensing inputs and/or sensing devices, user action capture inputs and/or devices, user movements or actions for controlling or initiating commands, command and/or control modes and interfaces in which the inputs can be reflected, applications on platform that can use commands and/or respond to inputs, feedback related to external devices and/or external applications, and the like, as described herein, may also be applied.
- In an example, control aspects of the eyepiece may include combinations of the eyepiece entering an ‘activity state’, such as a ‘military engagement’ activity mode, e.g. the soldier commanding the eyepiece into a military engagement mode, or the eyepiece sensing it is in proximity to a military activity, perhaps even a predetermined or targeted engagement area through a received mission directive, which may have further been developed in part through self monitoring and learning the wearer's general engagement assignment. Continuing with this example, entering an activity state e.g. a military engagement activity state, such as while driving in a vehicle into an encounter with the enemy or into hostile territory, may be combined with an object detector as a sensing input or sensing device, a head-mounted camera and/or eye-gaze detection system as a user action capture input, eye movement as a user movement or action for controlling or initiating commands, a 3D navigation interface as a command and control mode and/or interface in which the inputs can be reflected, an engagement management application on-board the eyepiece as an application for coordinating command inputs and user interface, a navigation system controller to communicate or connect with external systems or devices, a vehicle navigation system as an external device to be controlled and/or interfaced with, a military planning and execution facility as an external application for processing user actions with regard to a military directive, bulls-eye or target tracking system as feedback to the wearer as to enemy targeting opportunities within sight while driving, and the like. For instance, a soldier may enter a hostile environment while driving their vehicle, and the eyepiece, detecting the presence of the enemy engagement area (e.g. through GPS, direct viewing targets through an integrated camera, and the like) may enter a ‘military engagement activity state’ (such as enabled and/or approved by the soldier). The eyepiece may then detect an enemy vehicle, hostile dwelling, and the like with an object detector that locates an enemy targeting opportunity, such as through a head-mounted camera. Further, an eye-gaze detection system on the eyepiece may monitor where the soldier is looking, and possibly highlight information about a target at the location of the wearer's gaze, such as enemy personnel, enemy vehicle, enemy weapons, as well as friendly forces, where friend and foe are identified and differentiated. The soldier's eye movement may also be tracked, such as for changing targets of interest, or for command inputs (e.g. a quick nod indicating a selection command, a downward eye movement indicating a command for additional information, and the like). The eyepiece may invoke a 3D navigation interface projection to assist in providing the soldier with information associated with their surroundings, and a military engagement application for coordinating the military engagement activity state, such as taking inputs from the soldier, providing outputs to the 3D navigation interface, interfacing with external devices and applications, and the like. The eyepiece may for instance utilize a navigation system controller to interface with a vehicle navigation system, and thus may include the vehicle navigation system into the military engagement experience. Alternately, the eyepiece may use its own navigation system, such as in place of the vehicle system or to augment it, such as when the soldier gets out of the vehicle and wishes to have over-the-ground directions provided to them. As part of the military engagement activity state, the eyepiece may interface with an external military planning and execution facility, such as to provide current status, troop movements, weather conditions, friendly forces position and strength, and the like. In embodiments, the soldier, through entering an activity state, may be provided feedback associated with the activity state, such as for a military engagement activity state being supplied feedback in the form of information associated with an identified target. In embodiments, other events and/or data feeds, sensing inputs and/or sensing devices, user action capture inputs and/or devices, user movements or actions for controlling or initiating commands, command and/or control modes and interfaces in which the inputs can be reflected, applications on platform that can use commands and/or respond to inputs, communication or connection from the on-platform interface to external systems and devices, applications for external devices, feedback related to external devices and/or external applications, and the like, as described herein, may also be applied.
- In an example, control aspects of the eyepiece may include combinations of a secure communications reception as a triggering event to a soldier, inertial movement tracking as a user action capture input device, drag-and-drop with fingers and swipe movements by the soldier as user movements or actions for controlling or initiating commands, navigable lists as a command and control interface in which the inputs can be reflected, information conveying as a type of application on the eyepiece that can use commands and respond to inputs, a reconciliation system as a communication or connection from the on-eyepiece interface to external systems and devices, iris capture and recognition system as an external application for external systems and devices, and the like. A soldier wearing the eyepiece may receive a secure communication, and the communication may come in to the eyepiece as an ‘event’ to the soldier, such as to trigger an operations mode of the eyepiece, with a visual and/or audible alert, to initiate an application or action on the eyepiece, and the like. The soldier may be able to react to the event through a plurality of control mechanisms, such as the wearer ‘drag and dropping’, swiping, and the like with their fingers and hands through a hand gesture interface (e.g. through a camera and hand gesture application on-board the eyepiece, where the wearer drags the email or information within the communication into a file, an application, another communication, and the like). The wearer may call up navigable lists as part of acting on the communication. The user may convey the information from the secure communication through an eyepiece application to external systems and devices, such as a reconciliation system for tracking communications and related actions. In embodiments, the eyepiece and/or secure access system may require identification verification, such as through biometric identity verification e.g. fingerprint capture, iris capture recognition, and the like. For instance, the soldier may receive a secure communication that is a security alert, where the secure communication comes with secure links to further information, and where the soldier is required to provide biometric authentication before being provided access. Once authenticated, the soldier may be able to use hand gestures in their response and manipulation of content available through the eyepiece, such as manipulating lists, links, data, images, and the like available directly from the communications and/or through the included links. Providing the capability for the soldier to respond and manipulate content in association with the secure communication, may better allow the soldier to interact with the message and content in a manner that does not compromise any non-secure environment they may currently be in. In embodiments, other events and/or data feeds, user action capture inputs and/or devices, user movements or actions for controlling or initiating commands, command and/or control modes and interfaces in which the inputs can be reflected, applications on platform that can use commands and/or respond to inputs, communication or connection from the on-platform interface to external systems and devices, applications for external devices, and the like, as described herein, may also be applied.
- In an example, control aspects of the eyepiece may include combinations of using an inertial user interface as a user action capture input device to provide military instruction to a soldier through the eyepiece to an external display device. For instance, a soldier, wearing the eyepiece, may wish to provide instruction to a group of other soldiers in the field from a briefing that has been made available to them through the facilities of the eyepiece. The soldier may be aided though the use of a physical 3D or 2D mouse (e.g. with inertial motion sensor, MEMS inertial sensor, ultrasonic 3D motion sensor, IR, ultrasonic, or capacitive tactile sensor, accelerometer, and the like), a virtual mouse, a virtual touch screen, a virtual keyboard, and the like to provide an interface for manipulating content in the briefing. The briefing may be viewable to and manipulated though the eyepiece, but also exported in real-time, such as to an external router that is connected to an external display device (e.g. computer monitor, projector, video screen, TV screen, and the like). As such, the eyepiece may provide a way for the soldier to have others view what they see through the eyepiece and as controlled through the control facilities of the eyepiece, allowing the soldier to export multimedia content associated with the briefing as enabled through the eyepiece to other non-eyepiece wearers. In an example, a mission briefing may be provided to a commander in the field, and the commander, through the eyepiece, may be able to brief their team with multimedia and augmented reality resources available through the eyepiece, as described herein, thus gaining the benefit that such visual resources provide. In embodiments, other sensing inputs and/or sensing devices, user action capture inputs and/or devices, command and/or control modes and interfaces in which the inputs can be reflected, communication or connection from the on-platform interface to external systems and devices, useful external devices to be controlled, feedback related to external devices and/or external applications, and the like, as described herein, may also be applied.
- In an example, control aspects of the eyepiece may include combinations of using an events/data feed and sensing inputs/sensing devices, such as where a security event plus an acoustic sensor may be implemented. There may be a security alert sent to a soldier and an acoustic sensor is utilized as an input device to monitor voice content in the surrounding environment, directionality of gunfire, and the like. For instance, a security alert is broadcast to all military personnel in a specific area, and with the warning, the eyepiece activates an application that monitors an embedded acoustic sensor array that analyzes loud sounds to identify the type of source for the sound, and direction from which the sound came. In embodiments, other events and/or data feeds, sensing inputs and/or sensing devices, and the like, as described herein, may also be applied.
- In an example, control aspects of the eyepiece may include combinations of using an events/data feed and user action capture inputs/devices, such as for a request for an input plus use of a camera. A soldier may be in a location of interest and is sent a request for photos or video from their location, such as where the request is accompanied with instructions for what to photograph. For instance, the soldier is at a checkpoint, and at some central command post it is determined that an individual on interest may attempt to cross the checkpoint. Central command may then provide instructions to eyepiece users in proximity to the checkpoint to record and upload images and video, which may in embodiments be preformed automatically without the soldier needing to manually turn on the camera. In embodiments, other events and/or data feeds, user action capture inputs and/or devices, and the like, as described herein, may also be applied.
- In an example, control aspects of the eyepiece may include combinations of using an events/data feed and user movements or actions for controlling or initiating commands, such as when a soldier is entering an ‘activity state’ and they use a hand gesture for control. A soldier may be put in an activity state of readiness to engage the enemy, and the soldier uses hand gestures to silently command the eyepiece within an engagement command and control environment. For instance, the soldier may suddenly enter an enemy area as determined by new intelligence received that places the eyepiece in a heightened alert state. In this state it may be a requirement that silence may be required, and so the eyepiece transitions to a hand gesture command mode. In embodiments, other events and/or data feeds, user movements or actions for controlling or initiating commands, and the like, as described herein, may also be applied.
- In an example, control aspects of the eyepiece may include combinations of using an events/data feed and command/control modes and interfaces in which the inputs can be reflected, such as entering a type of environment and the user of a virtual touch screen. A soldier may enter a weapons system area, and a virtual touch screen is made available to the wearer for at least a portion of the control of the weapons system. For instance, the soldier enters a weapons vehicle, and the eyepiece detecting the presence of the weapons system, and that the soldier is authorized to use the weapon, brings up a virtual fire control interface with virtual touch screen. In embodiments, other events and/or data feeds, command and/or control modes and interfaces in which the inputs can be reflected, and the like, as described herein, may also be applied.
- In an example, control aspects of the eyepiece may include combinations of using an events/data feed and applications on platform that can use commands/respond to inputs, such as for a safety event in combination with easy access to information for pilots. A military pilot (or someone responsible for the flight checkout of a pilotless aircraft) may receive a safety event notification as they approach an aircraft prior to the aircraft taking off, and an application is brought up to walk them through the pre-flight checkout. For instance, a drone specialist approaches a drone to prepare it for launch, and an interactive checkout procedure is displayed to the soldier by the eyepiece. In addition, a communications channel may be opened to the pilot of the drone so they are included in the pre-flight checkout. In embodiments, other events and/or data feeds, applications on platform that can use commands and/or respond to inputs, and the like, as described herein, may also be applied.
- In an example, control aspects of the eyepiece may include combinations of using an events/data feed and a communication or connection from the on-platform interface to external systems and devices, such as the soldier entering a location and a graphical user interface (GUI). A soldier may enter a location where they are required to interact with external devices, and where the external device is interfaced through the GIU. For instance, a soldier gets in a military transport, and the soldier is presented with a GUI that opens up an interactive interface that instructs the soldier on what they need to do during different phases of the transport. In embodiments, other events and/or data feeds, communication or connection from the on-platform interface to external systems and devices, and the like, as described herein, may also be applied.
- In an example, control aspects of the eyepiece may include combinations of using an events/data feed and a useful external device to be controlled, such as for an instruction provided and a weapon system. A soldier may be provided instructions, or a feed of instructions, where at least one instruction pertains to the control of an external weapons system. For instance, a soldier may be operating a piece of artillery, and the eyepiece is providing them not only performance and procedural information in association with the weapon, but also provides a feed of instructions, corrections, and the like, associated with targeting. In embodiments, other events and/or data feeds, useful external devices to be controlled, and the like, as described herein, may also be applied.
- In an example, control aspects of the eyepiece may include combinations of using an events/data feed and an application for a useful external device, such as in a security event/feed and biometrics capture/recognition. A soldier may be sent a security event notification through (such as through a security feed) to capture biometrics (fingerprints, iris scan, walking gait profile) of certain individuals, where the biometrics are stored, evaluated, analyzed, and the like, through an external biometrics application (such as served from a secure military network-based server/cloud). In embodiments, other events and/or data feeds, applications for external devices, and the like, as described herein, may also be applied.
- In an example, control aspects of the eyepiece may include combinations of using an events/data feed and feedback to a soldier related to the external devices and applications, such as entering an activity state and the soldier being provided a display of information. A soldier may place the eyepiece into an activity state such as for military staging, readiness, action, debrief, and the like, and as feedback to being placed into the activity state the soldier receives a display of information pertaining to the entered state. For instance, a soldier enters into a staging state for a mission, where the eyepiece fetches information from a remote server as part of the tasks the soldier has to complete during staging, including securing equipment, additional training, and the like. In embodiments, other events and/or data feeds, feedback related to external devices and/or external applications, and the like, as described herein, may also be applied.
- In an example, control aspects of the eyepiece may include combinations of using sensing inputs/sensing devices and user action capture inputs/devices, such as with an inertial motion sensor and head tracking system. The head motion of a soldier may be tracked through inertial motion sensor(s) in the eyepiece, such as for nod control of the eyepiece, view direction sensing for the eyepiece, and the like. For instance, the soldier may be a targeting a weapon system, and the eyepiece senses the gaze direction of the soldier's head through the inertial motion sensor(s) to provide continuous targeting of the weapon. Further, the weapon system may move continuously in response to the soldier's gaze direction, and so be continuously ready to fire on the target. In embodiments, other sensing inputs and/or sensing devices, user action capture inputs and/or devices, and the like, as described herein, may also be applied.
- In an example, control aspects of the eyepiece may include combinations of using sensing inputs/sensing devices and user movements or actions for controlling or initiating commands, such as with an optical sensor and an eye shut, blink, and the like movement. The state of the soldier's eye may be sensed by an optical sensor that is included in the optical chain of the eyepiece, such as for using eye movement for control of the eyepiece. For instance, the soldier may be aiming their rifle, where the rifle has the capability to be fired through control commands from the eyepiece (such as in the case of a sniper, where commanding through the eyepiece may decrease the errors in targeting due to pulling the trigger manually). The soldier may then fire the weapon through a command initiated by the optical sensor detecting a predetermined eye movement, such as in a command profile kept on the eyepiece. In embodiments, other sensing inputs and/or sensing devices, user movements or actions for controlling or initiating commands, and the like, as described herein, may also be applied.
- In an example, control aspects of the eyepiece may include combinations of using sensing inputs/sensing devices and command/control modes and interfaces in which the inputs can be reflected, such as with a proximity sensor and robotic control interface. A proximity sensor integrated into the eyepiece may be used to sense the soldier's proximity to a robotic control interface in order to activate and enable the use of the robotics. For instance, a soldier walks up to a bomb-detecting robot, and the robot automatically activates and initializes configuration for this particular soldier (e.g. configuring for the preferences of the soldier). In embodiments, other sensing inputs and/or sensing devices, command and/or control modes and interfaces in which the inputs can be reflected, and the like, as described herein, may also be applied.
- In an example, control aspects of the eyepiece may include combinations of using sensing inputs/sensing devices and applications on platform that can use commands/respond to inputs, such as with an audio sensor and music/sound application. An audio sensor may monitor the ambient sound and initiate and/or adjust the volume for music, ambient sound, sound cancelling, and the like, to help counter an undesirable ambient sound. For instance, a soldier is loaded onto a transport and the engines of the transport are initially off. At this time the soldier may have no other duties except to rest, so they initiate music to help them rest. When the engines of the transport come on the music/sound application adjusts the volume and/or initiates additional sound cancelling audio in order to help keep the music input the same as before the engines started up. In embodiments, other sensing inputs and/or sensing devices, applications on platform that can use commands and/or respond to inputs, and the like, as described herein, may also be applied.
- In an example, control aspects of the eyepiece may include combinations of using sensing inputs/sensing devices and communication or connection from the on-platform interface to external systems and devices, such as with a passive IR proximity sensor and external digital signal processor. A soldier may be monitoring a night scene with the passive IR proximity sensor, the sensor indicates a motion, and the eyepiece initiates a connection to an external digital signal processor for aiding in identifying the target from the proximity sensor data. Further, an IR imaging camera may be initiated to contribute additional data to the digital signal processor. In embodiments, other sensing inputs and/or sensing devices, communication or connection from the on-platform interface to external systems and devices, and the like, as described herein, may also be applied.
- In an example, control aspects of the eyepiece may include combinations of using sensing inputs/sensing devices and useful external devices to be controlled, such as with an acoustic sensor and a weapons system, where an eyepiece being worn by a soldier senses a loud sound, such as may be an explosion or gun fire, and where the eyepiece then initiates the control of a weapons system for possible action against a target associated with the creation of the loud sound. For instance, a soldier is on guard duty, and gunfire is heard. The eyepiece may be able to detect the direction of the gunshot, and direct the soldier to the position from which the gunshot was made. In embodiments, other sensing inputs and/or sensing devices, useful external devices to be controlled, and the like, as described herein, may also be applied.
- In an example, control aspects of the eyepiece may include combinations of using sensing inputs/sensing devices and applications for those useful external devices, such as with a camera and external application for instructions. The camera embedded in a soldier's eyepiece may view a target icon indicating that instructions are available, and the eyepiece accessing the external application for instructions. For instance, a soldier is delivered to a staging area, and upon entry the eyepiece camera views the icon, accesses the instructions externally, and provides the soldier with the instructions for what to do, where all the steps may be automatic so that the instructions are provided without the soldier being aware of the icon. In embodiments, other sensing inputs and/or sensing devices, applications for external devices, and the like, as described herein, may also be applied.
- In an example, control aspects of the eyepiece may include combinations of using sensing inputs/sensing devices and feedback to user related to the external devices and applications, such as with a GPS sensor and a visual display from a remote application. The soldier may have an embedded GPS sensor that sends/streams location coordinates to a remote location facility/application that sends/streams a visual display of the surrounding physical environment to the eyepiece for display. For instance, a soldier may be constantly viewing the surrounding environment though the eyepiece, and by way of the embedded GPS sensor, is continuously streamed a visual display overlay that allows for the soldier to have an augmented reality view of the surrounding environment, even as the change locations. In embodiments, other sensing inputs and/or sensing devices, feedback related to external devices and/or external applications, and the like, as described herein, may also be applied.
- In an example, control aspects of the eyepiece may include combinations of using user action capture inputs/devices and user movements or actions for controlling or initiating commands, such as with a body movement sensor (e.g. kinetic sensor) and an arm motion. The soldier may have body movement sensors attached to their arms, where the motion of their arms convey a command. For instance, a soldier may have kinetic sensors on their arms, and the motion of their arms are duplicated in an aircraft landing lighting system, such that the lights normally held by personnel aiding in a landing may be made to be larger and more visible. In embodiments, other user action capture inputs and/or devices, user movements or actions for controlling or initiating commands, and the like, as described herein, may also be applied.
- In an example, control aspects of the eyepiece may include combinations of using user action capture inputs/devices and command/control modes and interfaces in which the inputs can be reflected, such as wearable sensor sets and a predictive learning-based user interface. A soldier may wear a sensor set where the data from the sensor set is continuously collected and fed to a machine-learning facility through a learning-based user interface, where the soldier may be able to accept, reject, modify, and the like, the learning from their motions and behaviors. For instance, a soldier may perform the same tasks in generally the same physical manner every Monday morning, and the machine-learning facility may establish a learned routine that it provides to the soldier on subsequent Monday mornings, such as a reminder to clean certain equipment, fill out certain forms, play certain music, meet with certain people, and the like. Further, the soldier may be able to modify the outcome of the learning through direct edits to the routine, such as in a learned behavior profile. In embodiments, other user action capture inputs and/or devices, command and/or control modes and interfaces in which the inputs can be reflected, and the like, as described herein, may also be applied.
- In an example, control aspects of the eyepiece may include combinations of using user action capture inputs/devices and applications on platform that can use commands/respond to inputs, such as a finger-following camera and video application. A soldier may be able to control the direction that the eyepiece embedded camera is taking video through a resident video application. For instance, a soldier may be viewing a battle scene where they have need to be gazing in one direction, such as being watchful for new developments in the engagement, while filming in a different direction, such as the current point of engagement. In embodiments, other user action capture inputs and/or devices, applications on platform that can use commands and/or respond to inputs, and the like, as described herein, may also be applied.
- In an example, control aspects of the eyepiece may include combinations of using user action capture inputs/devices and communication or connection from the on-platform interface to external systems and devices, such as a microphone and voice recognition input plus a steering wheel control interface. The soldier may be able to change aspects of the handling of a vehicle through voice commands received through the eyepiece and delivered to a vehicle's steering wheel control interface (such as through radio communications between the eyepiece and the steering wheel control interface). For instance, a soldier is driving a vehicle on a road, and so the vehicle has certain handling capabilities that are ideal for the road. But the vehicle also has other modes for diving under different conditions, such as off-road, in snow, in mud, in heavy rain, while in pursuit of another vehicle, and the like. In this instance, the soldier may be able to change the mode through voice command as the vehicle changes driving conditions. In embodiments, other user action capture inputs and/or devices, communication or connection from the on-platform interface to external systems and devices, and the like, as described herein, may also be applied.
- In an example, control aspects of the eyepiece may include combinations of using user action capture inputs/devices and useful external devices to be controlled, such as a microphone and voice recognition input plus an automotive dashboard interface device. The soldier may use voice commands to control various devices associated with the dashboard of a vehicle, such as heating and ventilation, radio, music, lighting, trip computer, and the like. For instance, a soldier may be driving a vehicle on a mission, across rough terrain, such that they cannot let go of the steering wheel with either hand in order to manually control a vehicle dashboard device. In this instance, the soldier may be able to control the vehicle dashboard device through voice controls to the eyepiece. Voice commands through the eyepiece may be especially advantageous, such as opposed to voice control through a dashboard microphone system, because the military vehicle may be immersed in a very loud acoustic environment, and so using the microphone in the eyepiece may give substantially improved performance under such conditions. In embodiments, other user action capture inputs and/or devices, useful external devices to be controlled, and the like, as described herein, may also be applied.
- In an example, control aspects of the eyepiece may include combinations of using user action capture inputs/devices and applications for useful external devices, such as with a joystick device and external entertainment application. A soldier may have access to a gaming joystick controller and is able to play a game through an external entertainment application, such as a multi-player game hosted on a network server. For instance, the soldier may be experiencing down time during a deployment, and on base they have access to a joystick device that interfaces to the eyepiece, and the eyepiece in turn to the external entertainment application. In embodiments, the soldier may be networked together with other military personnel across the network. The soldier may have stored preferences, a profile, and the like, associated with the game play. The external entertainment application may manage the game play of the soldier, such as in terms of their deployment, current state of readiness, required state of readiness, past history, ability level, command position, rank, geographic location, future deployment, and the like. In embodiments, other user action capture inputs and/or devices, applications for external devices, and the like, as described herein, may also be applied.
- In an example, control aspects of the eyepiece may include combinations of using user action capture inputs/devices and feedback to the user related to external devices and applications, such as with an activity determination system and tonal output or sound warning. The soldier may have access to the activity determination system through the eyepiece to monitor and determine the soldier's state of activity, such as in extreme activity, at rest, bored, anxious, in exercise, and the like, and where the eyepiece may provide forms of tonal output or sound warning when conditions go out of limits in any way, such as pre-set, learned, as typical, and the like. For instance, the soldier may be monitored for current state of health during combat, and where the soldier and/or another individual (e.g. medic, hospital personnel, another member of the soldier's team, a command center, and the like) are provided an audible signal when health conditions enter a dangerous level, such as indicating that the soldier has been hurt in battle. As such, others may be alerted to the soldier's injuries, and would be able to attend to the injuries in a more time effective manner. In embodiments, other user action capture inputs and/or devices, feedback related to external devices and/or external applications, and the like, as described herein, may also be applied.
- In an example, control aspects of the eyepiece may include combinations of using user movements or actions for controlling or initiating commands plus command/control modes and interfaces in which the inputs can be reflected, such as a clenched fist and Navigable list. A soldier may bring up a navigable list as projected content on the eyepiece display with a gesture such as a clenched fist, and the like. For instance, the eyepiece camera may be able to view the soldier's hand gesture(s), recognize and identify the hand gesture(s), and execute the command in terms of a pre-determined gesture-to-command database. In embodiments, hand gestures may include gestures of the hand, finger, arm, leg, and the like. In embodiments, other user movements or actions for controlling or initiating commands, command and/or control modes and interfaces in which the inputs can be reflected, and the like, as described herein, may also be applied.
- In an example, control aspects of the eyepiece may include combinations of using user movements or actions for controlling or initiating commands plus applications on platform that can use commands/respond to inputs, such as a head nod and information display. The soldier may bring up an information display application with a gesture such as a headshake, arm motion, leg motion, eye motion, and the like. For instance, the soldier may wish to access an application, database, network connection, and the like, through the eyepiece, and is able to bring up a display application as part of a graphical user interface with the nod of their head (such as sensed though motion detectors in the eyepiece, on the soldier's head, on the soldier's helmet, and the like. In embodiments, other user movements or actions for controlling or initiating commands, applications on platform that can use commands and/or respond to inputs, and the like, as described herein, may also be applied.
- In an example, control aspects of the eyepiece may include combinations of using user movements or actions for controlling or initiating commands plus communication or connection from the on-platform interface to external systems and devices, such as the blink of an eye and through an API to external applications. The soldier may be able to bring up an application program interface to access external applications, such as with the blink of an eye, a nod of the head, the movement of an arm or leg, and the like. For instance, the soldier may be able to access an external application through an API embedded in an eyepiece facility, and do so with the blink of an eye, such as detected though an optical monitoring capability through the optics system of the eyepiece. In embodiments, other user movements or actions for controlling or initiating commands, communication or connection from the on-platform interface to external systems and devices, and the like, as described herein, may also be applied.
- In an example, control aspects of the eyepiece may include combinations of using user movements or actions for controlling or initiating commands and external devices to be controlled, such as through the tap of a foot accessing an external range finder device. A soldier may have a sensor such as a kinetic sensor on their shoe that will detect the motion of the soldier's foot, and the soldier uses a foot motion such as a tap of their foot to use an external range finder device to determine the range to an object such an enemy target. For instance, the soldier may be targeting a weapon system, and using both hands in the process. In this instance, commanding by way of a foot action through the eyepiece may allow for ‘hands free’ commanding. In embodiments, other user movements or actions for controlling or initiating commands, useful external devices to be controlled, and the like, as described herein, may also be applied.
- In an example, control aspects of the eyepiece may include combinations of using user movements or actions for controlling or initiating commands plus applications for those useful external devices, such as making a symbol with a hand and an information conveying application. The soldier may utilize a hand formed symbol to trigger information shared through an external information conveying application, such as an external information feed, a photo/video sharing application, a text application, and the like. For instance, a soldier uses a hand signal to turn on the embedded camera and share the video stream with another person, to storage, and the like. In embodiments, other user movements or actions for controlling or initiating commands, applications for external devices, and the like, as described herein, may also be applied.
- In an example, control aspects of the eyepiece may include combinations of using user movements or actions for controlling or initiating commands plus feedback to soldier as related to an external device and application, such as a headshake plus an audible alert. The soldier may be wearing an eyepiece equipped with an accelerometer (or like capable sensor for detecting g-force headshake), where when the soldier experiences a g-force headshake that is at a dangerously high level, an audible alert is sounded as feedback to the user, such as determined either as a part of on- or off-eyepiece applications. Further, the output of the accelerometer may be recorded and stored for analysis. For instance, the soldier may experience a g-force headshake from a proximate explosion, and the eyepiece may sense and record the sensor data associated with the headshake. Further, headshakes of a dangerous level may trigger automatic actions by the eyepiece, such as transmitting an alert to other soldiers and/or to a command center, begin monitoring and/or transmitting the health of the soldier from other body mounted sensors, provide audible instructions to the soldier related to their potential injuries, and the like. In embodiments, other user movements or actions for controlling or initiating commands, feedback related to external devices and/or external applications, and the like, as described herein, may also be applied.
- In an example, control aspects of the eyepiece may include combinations of using command/control modes and interfaces in which the inputs can be reflected plus applications on platform that can use commands/respond to inputs, such as a graphical user interface plus various applications resident on the eyepiece. The eyepiece may provide a graphical user interface to the soldier and applications presented for selection. For instance, the soldier may have a graphical user interface projected by the eyepiece that provides different domains of application, such as military, personal, civil, and the like. In embodiments, other command and/or control modes and interfaces in which the inputs can be reflected, applications on platform that can use commands and/or respond to inputs, and the like, as described herein, may also be applied.
- In an example, control aspects of the eyepiece may include combinations of using command/control modes and interfaces in which the inputs can be reflected plus a communication or connection from the on-platform interface to external systems and devices, such as a 3D navigation eyepiece interface plus navigation system controller interface to external system. The eyepiece may enter a navigation mode and connect to an external system through a navigation system controller interface. For instance, a soldier is in military maneuvers and brings up a preloaded 3D image of the surrounding terrain through the eyepiece navigation mode, and the eyepiece automatically connects to the external system for updates, current objects of interest such as overlaid by satellite images, and the like. In embodiments, other command and/or control modes and interfaces in which the inputs can be reflected, communication or connection from the on-platform interface to external systems and devices, and the like, as described herein, may also be applied.
- In an example, control aspects of the eyepiece may include combinations of using command/control modes and interfaces in which the inputs can be reflected plus an external device to be controlled, such as an augmented reality interface plus external tracking device. The soldier's eyepiece may enter into an augmented reality mode and interface with an external tracking device to overlay information pertaining to the location of a traced object or person with an augmented reality display. For instance, the augmented reality mode may include a 3D map, and a person's location as determined by the external tracking device may be overlaid onto the map, and show a trail as the tracked person moves. In embodiments, other command and/or control modes and interfaces in which the inputs can be reflected, useful external devices to be controlled, and the like, as described herein, may also be applied.
- In an example, control aspects of the eyepiece may include combinations of using command/control modes and interfaces in which the inputs can be reflected plus applications for those external devices, such as semi-opaque display mode plus simulation application. The eyepiece may be placed into a semi-opaque display mode to enhance the display of a simulation display application to the solder. For instance, the soldier is preparing for a mission, and before entering the field the soldier is provided a simulation of the mission environment, and since there is no real need for the user to see the real environment around them during the simulation, the eyepiece places the eyepiece into a semi-opaque display mode. In embodiments, other command and/or control modes and interfaces in which the inputs can be reflected, applications for external devices, and the like, as described herein, may also be applied.
- In an example, control aspects of the eyepiece may include combinations of using command/control modes and interfaces in which the inputs can be reflected plus feedback to user related to the external devices and applications, such as an auditory command interface plus a tonal output feedback. The soldier may place the eyepiece into an auditory command interface mode and the eyepiece responds back with a tonal output as feedback from the system that the eyepiece is ready to receive the auditory commands. For instance, the auditory command interface may include at least portions of the auditory command interface in an external location, such as out on a network, and the tone is provided once the entire system is ready to accept auditory commands. In embodiments, other command and/or control modes and interfaces in which the inputs can be reflected, feedback related to external devices and/or external applications, and the like, as described herein, may also be applied.
- In an example, control aspects of the eyepiece may include combinations of using applications on platform that can use commands/respond to inputs plus Communication or connection from the on-platform interface to external systems and devices, such as a communication application plus a network router, where the soldier is able to open up a communications application, and the eyepiece automatically searches for a network router for connectivity to a network utility. For instance, a soldier is in the field with their unit, and a new base camp is established. The soldier's eyepiece may be able to connect into the secure wireless connection once communications facilities have been established. Further, the eyepiece may alert the soldier once communications facilities have been established, even if the soldier has not yet attempted communications. In embodiments, other applications on platform that can use commands and/or respond to inputs, communication or connection from the on-platform interface to external systems and devices, and the like, as described herein, may also be applied.
- In an example, control aspects of the eyepiece may include combinations of using applications on platform that can use commands/respond to inputs plus useful external devices to be controlled, such as a video application plus and external camera. The soldier may interface with deployed cameras, such as for surveillance in the field. For instance, mobile deployable cameras may be dropped from an aircraft, and the soldier then has connection to the cameras through the eyepiece video application. In embodiments, other applications on platform that can use commands and/or respond to inputs, useful external devices to be controlled, and the like, as described herein, may also be applied.
- In an example, control aspects of the eyepiece may include combinations of using applications on platform that can use commands/respond to inputs plus applications for external devices, such as an on-eyepiece search application plus an external search application. A search application on the eyepiece may be augmented with an external search application. For instance, a soldier may be searching for the identity of an individual that is being questioned, and when the on-eyepiece search results in no find, the eyepiece connects with an external search facility. In embodiments, other applications on platform that can use commands and/or respond to inputs, applications for external devices, and the like, as described herein, may also be applied.
- In an example, control aspects of the eyepiece may include combinations of using applications on platform that can use commands/respond to inputs plus feedback to the soldier as related to the external devices and applications, such as an entertainment application plus a performance indicator feedback. The entertainment application may be used as a resting mechanism for a soldier that needs to rest but may be otherwise anxious, and performance feedback is designed for the soldier in given environments, such as in a deployment when they need to rest but remain sharp, during down time when attentiveness is declining and needs to be brought back up, and the like. For instance, a soldier may be on a transport and about to enter an engagement. In this instance, an entertainment application may be an action-thinking game to heighten attention and aggressiveness, and where the performance indicator feedback is designed to maximize the soldier's desire to perform and to think through problems in a quick and efficient manner. In embodiments, other applications on platform that can use commands and/or respond to inputs, feedback related to external devices and/or external applications, and the like, as described herein, may also be applied.
- In an example, control aspects of the eyepiece may include combinations of using a communication or connection from the on-platform interface to external systems and devices plus external devices to be controlled, such as an on-eyepiece processor interface to external facilities plus an external projector. The eyepiece processor may be able to connect to an external projector so that others may view the content available to the eyepiece. For instance, a soldier may be in the field and has access to content that they need to share with others who are not wearing an eyepiece, such as individuals not in the military. In this instance, the soldier's eyepiece may be able to interface with an external projector, and feed content from the eyepiece to the projector. In embodiments, the projector may be a pocket projector, a projector in a vehicle, in a conference room, remotely located, and the like. In embodiments the projector may also be integrated into the eyepiece, such that the content may be externally projected from the integrated projector. In embodiments, other communication or connection from the on-platform interface to external systems and devices, useful external devices to be controlled, and the like, as described herein, may also be applied.
- In an example, control aspects of the eyepiece may include combinations of using a communication or connection from the on-platform interface to external systems and devices plus an application for external devices, such as an audio system controller interface plus an external sound system. The soldier may be able to connect the audio portion of the eyepiece facilities (e.g. music, audio playback, audio network files, and the like) to an external sound system. For instance, the soldier may be able to patch a communications being received by the eyepiece to a vehicle sound system so that others can hear. In embodiments, other communication or connection from the on-platform interface to external systems and devices, applications for external devices, and the like, as described herein, may also be applied.
- In an example, control aspects of the eyepiece may include combinations of using a communication or connection from the on-platform interface to external systems and devices plus feedback to a soldier related to the external devices and applications, such as a stepper controller interface plus status feedback. The soldier may have access and control of a mechanism with digital stepper control through a stepper controller interface, where the mechanism provides feedback to the soldier as to the state of the mechanism. For instance, a solder working on removing a roadblock may have a lift mechanism on their vehicle, and the soldier may be able to directly interface with the lift mechanism through the eyepiece. In embodiments, other communication or connection from the on-platform interface to external systems and devices, feedback related to external devices and/or external applications, and the like, as described herein, may also be applied.
- In an example, control aspects of the eyepiece may include combinations of using external devices to be controlled plus applications for those external devices, such as storage-enabled devices plus automatic backup applications. The soldier in the field may be provided data storage facilities and associated automatic backup applications. For instance, the storage facility may be located in a military vehicle, so that data may be backed up from a plurality of soldier's eyepieces to the vehicle, especially when a network link is not available to download to a remote backup site. A storage facility may be associated with an encampment, with a subset of soldiers in the field (e.g. in a pack), located on the soldier themselves, and the like. In embodiments, a local storage facility may upload the backup when network service connections become available. In embodiments, other useful external devices to be controlled, applications for external devices, and the like, as described herein, may also be applied.
- In an example, control aspects of the eyepiece may include combinations of using external devices to be controlled plus feedback to a soldier related to external devices and applications, such as an external payment system plus feedback from the system. The soldier may have access to a military managed payment system, and where that system provides feedback to the soldier (e.g. receipts, account balance, account activity, and the like). For instance, the soldier may make payments to a vendor via the eyepiece where the eyepiece and external payment system exchange data, authorization, funds, and the like, and the payment system provides feedback data to the soldier. In embodiments, other useful external devices to be controlled, feedback related to external devices and/or external applications, and the like, as described herein, may also be applied.
- In an example, control aspects of the eyepiece may include combinations of using applications for external devices plus feedback to a soldier related to external devices and applications, such as an information display from an external 3D mapping-rendering facility plus feedback along with the information display. The soldier may be able to have 3D mapping information data displayed through the eyepiece, where the mapping facility may provide feedback to the soldier, such as based on past information delivered, past information requested, requests from others in the area, based on changes associated with the geographical area, and the like. For instance, a soldier may be receiving a 3D map rendering from an external application, where the external application is also providing 3D map rendering to at least a second soldier in the same geographic area. The soldier may then receive feedback from the external facility related to the second soldier, such as their position depicted on the 3D map rendering, identity information, history of movement, and the like. In embodiments, other applications for external devices, feedback related to external devices and/or external applications, and the like, as described herein, may also be applied.
- In embodiments, the eyepiece may provide a user with various forms of guidance in responding to medical situations. As a first example, the user may use the eyepiece for training purposes to simulate medical situations that may arise in combat, training, on or off duty and the like. The simulation may be geared towards a medical professional or non-medical personnel.
- By way of example, a low level combat soldier may use the eyepiece to view a medical simulation as part of a training module to provide training for response to medical situations on the battlefield. The eyepiece may provide an augmented environment where the user views injuries overlaid on another solider to simulate those common or capable of being found on the battlefield. The soldier may then be prompted through a user interface to respond to the situation as presented. The user may be given step-by-step instructions of a course of action in providing emergency medical care on the field, or the user may carry out actions in response to the situation that are then corrected until the appropriate response is given.
- Similarly, the eyepiece may provide a training environment for a medical professional. The eyepiece may present the user with a medical emergency or situation requiring a medical response for the purpose of training the medical professional. The eyepiece may play out common battle field scenarios for which the user must master appropriate responses and lifesaving techniques.
- By way of example, the user may be presented with an augmented reality of a wounded soldier with a gunshot wound to the soldier's body. The medical professional may then act out the steps he feels to be the appropriate response for the situation, select steps through a user interface of the eyepiece that he feels are appropriate for the situation, input the steps into a user interface of the eyepiece, and the like. The user may act out the response through use of sensors and or an input device or he may input the steps of his response into a user interface via eye movements, hand gestures and the like. Similarly, he may select the appropriate steps as presented to him through the user interface via eye movements, hand gestures and the like. As actions are carried out and the user makes decisions about treatment, the user may be presented with additional guidance and instruction based on his performance. For example, if the user is presented with a soldier with a gunshot wound to the chest, and the user begins to lift the soldier to a dangerous position, the user may be given a warning or prompt to change his course of treatment. Alternatively, the user may be prompted with the correct steps in order to practice proper procedure. Further, the trainee may be presented with an example of a medical chart for the wounded soldier in the training situation where the user may have to base his decisions at least in part on what is contained in the medical chart. In various embodiments, the user's actions and performance may be recorded and or documented by the eyepiece for further critiquing and instruction after the training session has paused or otherwise stopped.
- In embodiments, the eyepiece may provide a user with various forms of guidance in responding to actual medical situations in combat. By way of example, a non-trained soldier may be prompted with step-by-step life saving instructions for fellow soldiers in medical emergencies when a medic is not immediately present. When a fellow soldier is wounded, the user may input the type of injury, the eyepiece may detect the injury or a combination of these may occur. From there, the user may be provided with life saving instruction with which to treat the wounded soldier. Such instruction may be presented in the form of augmented reality in a step-wise process of instructions for the user. Further, the eyepiece may provide augmented visual aids to the user regarding location of vital organs near the wounded soldier's injury, an anatomical overlay of the soldier's body and the like. Further, the eyepiece may take video of the situation that is then sent back to a medic not in the field or on his way to the field, thereby allowing the medic to walk the untrained user through an appropriate lifesaving technique on the battlefield. Further, the wounded soldier's eyepiece may send vital information, such as information collected through integral or associated sensors, about the wounded soldier to the treating soldier's eyepiece to be sent to the medic or it may be sent directly to the medic in a remote location such that the treating soldier may provide the wounded solider with medical help based on the information gathered from the wounded soldier's eyepiece.
- In other embodiments, when presented with a medical emergency on the battlefield, a trained medic may use the eyepiece to provide an anatomical overlay of the soldier's body so that he may respond more appropriately to the situation at hand. By way of example only and not to limit the present invention, if the wounded soldier is bleeding from a gunshot wound to the leg, the user may be presented with an augmented reality view of the soldier's arteries such that the user may determine whether an artery has been hit and how severe the wound may be. The user may be presented with the proper protocol via the eyepiece for the given wound so that he may check each step as he moves through treatment. Such protocol may also be presented to the user in an augmented reality, video, audio or other format. The eyepiece may provide the medic with protocols in the form of augmented reality instructions in a step-wise process. In embodiments, the user may also be presented with an augmented reality overlay of the wounded soldier's organs in order to guide the medic through any procedure such that the medic does not do additional harm to the soldier's organs during treatment. Further, the eyepiece may provide augmented visual aids to the user regarding location of vital organs near the wounded soldier's injury, an anatomical overlay of the soldier's body and the like.
- In embodiments, the eyepiece may be used to scan the retina of the wounded soldier in order to pull up his medical chart on the battlefield. This may alert the medic to possible allergies to medication or other important issues that may provide a benefit during medical treatment.
- Further, if the wounded soldier is wearing the eyepiece, the device may send information to the medic's glasses including the wounded soldier's heart rate, blood pressure, breathing stress, and the like. The eyepiece may also help the user observe the walking gait of a soldier to determine if the soldier has a head injury and they may help the user determine the location of bleeding or an injury. Such information may provide the user with information of possible medical treatment, and in embodiments, the proper protocol or a selection of protocols may be displayed to the user to help him in treating the patient.
- In other embodiments, the eyepiece may allow the user to monitor other symptoms of the patient for a mental health status check. Similarly, the user can check to determine if the patient is exhibiting rapid eye movement and further may use the eyepiece to provide the patient with calming treatment such as providing the patient with eye movement exercises, breathing exercises, and the like. Further, the medic may be provided with information regarding the wounded soldier's vital signs and health data as it is collected from the wounded soldier's eyepiece and sent to the medic's eyepiece. This may provide the medic with real time data from the wounded soldier without having to determine such data on his own for example by taking the wounded soldier's blood pressure.
- In various embodiments, the user may be provided with alerts from the eyepiece that tells him how for away an air or ground rescue is from his location on the battlefield. This may provide a medic with important information and alert him to whether certain procedures should or must be attempted given the time available in the situation, and it may provide an injured soldier with comfort knowing help is on the way or alert him that he may need other sources of help.
- In other embodiments, the user may be provided alerts of his own vital signs if a problem is detected. For example, a soldier may be alerted if his blood pressure is too high, thereby alerting him that he must take medication or remove himself from combat if possible to return his blood pressure to a safe level. Also, the user may be alerted of other such personal data such as his pupil size, heart rate, waking gait change and the like in order to determine if the user is experiencing a medical problem. In other embodiments, a user's eyepiece may also alert medical personnel in another location of the user's medical status in order to send help for the user whether or not he knows he requires such help. Further, general data may be aggregated from multiple eyepieces in order to provide the commanding office with detailed information on his wounded soldiers, how many soldiers he has in combat, how many of those are wounded, and the like.
- In various embodiments, a trained medical professional may use the eyepiece in medical responses out of combat as well. Such eyepiece may have similar uses as described above on or off the home base of the medic but outside of combat situations. In this way, the eyepiece may provide a user with a means to gain augmented reality assistance during a medical procedure, to document a medical procedure, perform a medical procedure at the guidance of a remote commanding officer via video and/or audio, and the like on or off a military base. This may provide assistance in a plurality of situations where the medic may need additional assistance. An example of this may occur when the medic is on duty on a training exercise, a calisthenics outing, a military hike and the like. Such assistance may be of importance when the medic is the only responder, when he is a new medic, approached with a new situation and the like.
- In some embodiments, the eyepiece may provide user guidance in an environment related to a military transport plane. For example, the eyepiece may be used in such an environment when training, going into battle, on a reconnaissance or rescue mission, while moving equipment, performing maintenance on the plane and the like. Such use may be suited for personnel of various ranks and levels.
- For illustrative purposes, a user may receive audio and visual information through the eyepiece while on the transport plane and going into a training exercise. The information may provide the user with details about the training mission such as the battle field conditions, weather conditions, mission instructions, map of the area and the like. The eyepiece may simulate actual battle scenarios to prepare the user for battle. The eyepiece may also record the user's responses and actions through various means. Such data gathering may allow the user to receive feedback about his performance. Further, the eyepiece may then change the simulation based on the results obtained during the training exercise to change the simulation while it is underway or to change future simulations for the user or various users.
- In embodiments, the eyepiece may provide user guidance and or interaction on a military transport plane when going into battle. The user may receive audio and visual information about the mission as the user boards the plane. Check lists may be presented to the user for ensuring he has the appropriate materials and equipment of the mission. Further, instructions for securing equipment and proper use of safety harnesses may be presented along with information about the aircraft such as emergency exits, location of oxygen tanks, and safety devices. The user may be presented with instructions such as when to rest prior to the mission and have a drug administered for that purpose. The eyepiece may provide the user with noise cancellation for rest prior to mission, and then may alert the user when his rest is over and further mission preparation is to begin. Additional information may be provided such as a map of the battle area, number of vehicles and/or people on the field, weather conditions of the battle area and the like. The device may provide a link to other soldiers so that instructions and battle preparation may include soldier interaction where the commanding officer is heard by subordinates and the like. Further, information for each user may be formatted to suit his particular needs. For example, a commanding officer may receive higher level or more confidential information that may not be necessary to provide a lower ranking officer.
- In embodiments, the user may use the eyepiece on a military transport plane in a reconnaissance or rescue mission where the eyepiece captures and stores various images and or video of places of interest as it flies over areas which may be used for gaining information about a potential ground battle area and the like. The eyepiece may be used to detect movement of people and vehicles on the ground and thereby detect enemy to be defeated or friendlies to be rescued or assisted. The eyepiece may provide the ability to apply tags to a map or images of areas flown over and searched giving a particular color coding for areas that have been searched or still need to be searched.
- In embodiments, a user on a military transport plane may be provided with instructions and or a checklist for equipment to be stocked, the quantity and location to be moved and special handling instructions for various equipment. Alerts may be provided to the user for approaching vehicles as items are unloaded or loaded in order to ensure security.
- For maintenance and safety of the military transport plane, the user may be provided with a preflight check for proper functioning of the aircraft. The pilot may be alerted if proper maintenance was not completed prior to mission. Further, the aircraft operators may be provided with a graphic overview or a list of the aircraft history to track the history of the aircraft maintenance.
- In some embodiments, the eyepiece may provide user guidance in an environment related to a military fighter plane. For example, the eyepiece may be used in such an environment when training, going into battle, for maintenance and the like. Such use may be suited for personnel of various ranks and levels.
- By way of example, a user may use the eyepiece for training for military fighter plane combat. The user may be presented with augmented reality situations that simulate combat situations in a particular military jet or plane. The user's responses and actions may be recorded and or analyzed to provide the user with additional information, critique and to alter training exercises based on past data.
- In embodiments related to actual combat, the user may be presented with information showing him friendly and non-friendly aircraft surrounding and/or approaching him. The user may be presented information regarding the enemy aircraft such as top speed, maneuvering ability and missile range. In embodiments, the user may receive information relating to the presence of ground threats and may be alerted about the same. The eyepiece may sync to the user's aircraft and or aircraft instruments and gauges such that the pilot may see emergency alerts and additional information regarding the aircraft that may not normally be displayed in the cockpit. Further, the eyepiece may display the number of seconds to targeted area, the time to fire a missile or eject from the aircraft based on incoming threats. The eyepiece may suggest maneuvers for the pilot to preform based on the surrounding environment, potential threats and the like. In embodiments, the eyepiece may detect and display friendly aircraft even when such aircraft is in stealth mode.
- In embodiments, the user may be provided with a preflight check for proper functioning of the fighter aircraft. The pilot may be alerted if proper routing maintenance was not completed prior to mission by linking with maintenance records, aircraft computers and otherwise. The eyepiece may allow the pilot to view history of the aircraft maintenance along with diagrams and schematics of the same.
- In some embodiments, the eyepiece may provide user guidance in an environment related to a military helicopter. For example, the eyepiece may be used in such an environment when training, going into combat, for maintenance and the like. Such use may be suited for personnel of various ranks and levels.
- By way of example, a user may use the eyepiece for training for military helicopter operation in combat or high stress situation. The user may be presented with augmented reality situations that simulate combat situations in a particular aircraft. The user's responses and actions may be recorded and or analyzed to provide the user with additional information, critique and to alter training exercises based on past data.
- During training and/or combat a user's eyepiece may sync into the aircraft for alerts about the vital statistics and maintenance of the aircraft. The user may view program and safety procedures and emergency procedures for passengers as he boards the aircraft. Such procedures may show how to ride in the aircraft safely, how to operate the doors for entering and exiting the aircraft, the location of lifesaving equipment, among other information. In embodiments, the eyepiece may present the user with the location and/or position of threats such as those that could pose a danger to a helicopter during its typical flight. For example, the user may be presented with the location of low flying threats such as drones, other helicopters and the location of land threats. In embodiments, noise cancelling earphones and a multi-user user interface may be provided with the eyepiece allowing for communication during flight. In an event where the helicopter goes down, the user's eyepiece may transmit the location and helicopter information to a commanding officer and a rescue team. Further, use of night vision of the eyepiece during a low flying mission may enable a user to turn a high-powered helicopter spotlight off in order to search or find enemy without being detected.
- In embodiments, and as described in various instances herein, the eyepiece may provide assistance in tracking the maintenance of the aircraft and to determine if proper routine maintenance has been performed. Further, and with other aircraft and vehicles mentioned herein, augmented reality may be used in the assistance of maintaining and working on the aircraft.
- In some embodiments, the eyepiece may provide user guidance in an environment related to a military drone aircraft or robots. For example, the eyepiece may be used in such an environment in reconnaissance, capture and rescue missions, combat, in areas that pose particular danger to humans, and the like.
- In embodiments, the eyepiece may provide video feed to the user regarding the drone's surrounding environment. Real time video may be displayed for up to the second information about various areas of interest. Gathering such information may provide a soldier with the knowledge of the number of enemy soldiers in the area, the layout of buildings and the like. Further, data may be gathered and sent to the eyepiece from the drone and or robot in order to gather intelligence on the location of persons of interest to be captured or rescued. By way of illustration, a user outside of a secure compound or bunker may use the drone and or robot to send back video or data feed to of the location, number and activity of persons in the secure compound in preparation of a capture or rescue.
- In embodiments, use of the eyepiece with a drone and/or robot may allow a commanding officer to gather battlefield data during a mission to make plan changes and to give various instructions of the team depending on the data gathered. Further, the eyepiece and controls associated therewith may allow users to deploy weapons on the drone and/or robot via a user interface in the eyepiece. The data feed sent from the drone and/or robot may give the user information as to what weapons to deploy and when to deploy them.
- In embodiments, the data gathered from the drone and/or robot may allow the user to get up close to potential hazardous situations. For example this may allow the user to investigate biological spills, bombs, alleyways, foxholes, and the like to provide the user with data of the situation and environment while keeping him out of direct harm's way.
- In some embodiments, the eyepiece may provide user guidance in an environment related to a military ship at sea. For example, the eyepiece may be used in such an environment when training, going into battle, performing a search and rescue mission, performing disaster clean up, when performing maintenance and the like. Such use may be suited for personnel of various ranks and levels.
- In embodiments, the eyepiece may be used in training to prepare users of various skill sets for performance of their job duties on the vessel. The training may include simulations testing the user's ability to navigate, control the ship and/or perform various tasks while in a combat situation, and the like. The user's responses and actions may be recorded and or analyzed to provide the user with additional information, critique and to alter training exercises based on past data.
- In embodiments, the eyepiece may allow the user to view potential ship threats out on the horizon by providing him with an augmented reality view of the same. Such threats may be indicated by dots, graphics, or other means. Instructions may be sent to the user via the eyepiece regarding preparation for enemy engagement once the eyepiece detects a particular threat. Further, the user may view a map or video of the port where they will dock and be provided with enemy location. In embodiments, the eyepiece may allow the user to sync with the ship and/or weapon equipment to guide the user in the use of the equipment during battle. The user may be alerted by the eyepiece to where international and national water boundaries lie.
- In embodiments where search and rescue is needed, the eyepiece may provide for tracking the current and/or for tagging the area of water recently searched. In embodiments where the current is tracked, this may provide the user information conveying the potential location or changed location of persons of interest to be rescued. Similarly, the eyepiece may be used in environments where the user must survey the surrounding environment. For example, the user may be alerted to significant shifts in water pressure and/or movement that may signal mantle movement and or the imminence of an upcoming disaster. Alerts may be sent to the user via the eyepiece regarding the shifting of the mantle, threat of earthquake and/or tsunami and the like. Such alerts may be provided by the eyepiece synching with devices on the ship, by tracking ocean water movement, current change, change in water pressure, a drop or increase of the surrounding water and the like.
- In embodiments where military ships are deployed for disaster clean up, the eyepiece may be used in detecting areas of pollution, the speed of travel of the pollution and predictions of the depth and where the pollution will settle. In embodiments the eyepiece may be useful in detecting the parts per million of pollution and the variance thereon to determine the change in position of the volume of the pollution.
- In various embodiments the eyepiece may provide a user with a program to check for proper functioning of the ship and the equipment thereon. Further, various operators of the ship may be alerted if proper routine maintenance was not completed prior to deployment. In embodiments the user may also be able to view the maintenance history of the ship along with the status of vital functioning of the ship.
- In embodiments, the eyepiece may provide a user with various forms of guidance in the environment of a submarine. For example, the eyepiece may be used in such an environment when training, going into combat, for maintenance and the like. Such use may be suited for personnel of various ranks and levels.
- By way of example, a user may use the eyepiece for training for submarine operation in combat or high stress situation. The user may be presented with augmented reality situations or otherwise that simulate combat situations in a particular submarine. The training program may be based on the user's rank such that his rank will determine the type of situation presented. The user's responses and actions may be recorded and or analyzed to provide the user with additional information, critique and to alter training exercises based on past data. In embodiments, the eyepiece may also train the user in maintaining the submarine, use of the submarine and proper safety procedures and the like.
- In combat environments, the eyepiece may be used to provide the user with information relating to the user's depth, the location of the enemy and objects, friendlies and/or enemies on the surface. In embodiments, such information may be conveyed to the user in a visual representation, through audio and the like. In various embodiments the eyepiece may sync into and/or utilize devices and equipment of the submarine to gather data from GPS, sonar and the like to gather various information such as the location of other objects, submarines, and the like. The eyepiece may display instructions to the soldier regarding safety procedures, mission specifics, and the presences of enemies in the area. In embodiments, the device may communicate or sync with the ship and/or weapon equipment to guide the soldier in the use of such equipment and to provide a display relating to the particular equipment. Such display may include a visual and audio data relating to the equipment. By further way of example, the device may be used with the periscope to augment the user's visual picture and/or audio to show potential threats, places of interest, and information that may not otherwise be displayed by using the periscope such as the location of enemies out of view, national and international water boundaries, various threats, and the like.
- The eyepiece may also be used in maintenance of the submarine. For example, it may provide the user with a pre journey check for proper functioning of the ship, it may alert the operation of proper routine maintenance was performed or not completed prior to the mission. Further, a user may be provided with a detailed history to review maintenance performed and the like. In embodiments, the eyepiece may also assist in maintaining the submarine by providing an augmented reality or other program that instructs the user in performing such maintenance.
- In embodiments, the eyepiece may provide a user with various forms of guidance in the environment of a ship in port. For example, the eyepiece may be used in such an environment when training, going into combat, for maintenance and the like. Such use may be suited for personnel of various ranks and levels.
- By way of example, a user may use the eyepiece for training for a ship in a port when in combat, under attach or a high stress situation. The user may be presented with augmented reality situations, or otherwise, that simulate combat situations that may be seen in a particular port and on such a ship. The training program may show various ports from around the world and the surrounding land data, data for the number of ally ships or enemy ships that may be in the port at a give time, and it may show the local fueling stations and the like. The training program may be based on the user's rank such that his rank will determine the type of situation presented. The user's responses and actions may be recorded and/or analyzed to provide the user with additional information, critique and to alter training exercises based on past data. In embodiments, the eyepiece may also train the user in maintaining and performing mechanical maintenance on the ship, use of the ship and proper safety procedures to employ on the ship and the like.
- In combat environments, the eyepiece may be used to provide the user with information relating to the port where the user will or is docked. They user may be provided with information on the location or other visual representation of the enemy and or friendly ships in the port. In embodiments, the user may obtain alerts of approaching aircraft and enemy ships and the user may sync into the ship and/or weapon equipment to guide the user in using the equipment while providing information and/or display data about the equipment. Such data may include the amount and efficacy of particular ammunition and the like. The eyepiece may display instructions to the soldier regarding safety procedures, mission specifics, and the presences of enemies in the area. Such display may include visual and/or audio information.
- The eyepiece may also be used in maintenance of the ship. For example, it may provide the user with a pre-journey check for proper functioning of the ship, it may alert the operation of proper routine maintenance was performed or not completed prior to the mission. Further, a user may be provided with a detailed history to review maintenance performed and the like. In embodiments, the eyepiece may also assist in maintaining the ship by providing an augmented reality or other program that instructs the user in performing such maintenance.
- In other embodiments, the user may use the eyepiece or other device to gain biometric information of those coming into the port. Such information may provide the user's identity and allow the user to know if the person is a threat or someone of interest. In other embodiments, the user may scan an object or container imported into the port for potential threats in shipments of cargo and the like. The user may be able to detect hazardous material based on density or various other information collected by the sensors associated with the eyepiece or device. The eyepiece may record information or scan a document to determine whether the document may be counterfeit or altered in some way. This may assist the user in checking an individual's credentials, and it may be used to check the papers associated with particular pieces of cargo to alert the user to potential threats or issues that may be related to the cargo such as inaccurate manifests, counterfeit documents, and the like.
- In embodiments, the eyepiece may provide a user with various forms of guidance when using a tank or other land vehicles. For example, the eyepiece may be used in such an environment when training, going into combat, for surveillance, group transport, for maintenance and the like. Such use may be suited for personnel of various ranks and levels.
- By way of example, a user may use the eyepiece for training for using a tank or other ground vehicle when in combat, under attack or a high stress situation or otherwise. The user may be presented with augmented reality situations, or otherwise, that simulate combat situations that may be seen when in and/or operating a tank. The training program may test the user on proper equipment and weapon use and the like. The training program may be based on the user's rank such that his rank will determine the type of situation presented. The user's responses and actions may be recorded and/or analyzed to provide the user with additional information, critique and to alter training exercises based on past data. In embodiments, the eyepiece may also train the user in maintaining the tank, use of the tank and proper safety procedures to employ when in the tank or land vehicle and the like.
- In combat environments, the eyepiece may be used to provide the user with information and/or visual representations relating to the location of the enemy and/or friendly vehicles on the landscape. In embodiments, the user may obtain alerts of approaching aircraft and enemy vehicles and the user may sync into the tank and/or weapon equipment to guide the user in using the equipment while providing information and/or display data about the equipment. Such data may include the amount and efficacy of particular ammunition and the like. The eyepiece may display instructions to the soldier regarding safety procedures, mission specifics, and the presences of enemies and friendlies in the area. Such display may include visual and audio information. In embodiments, the user may stream a 360-degree view from the surrounding environment out side of the tank by using he eyepiece to sync into a camera or other device with such a view. Video/audio feed may be provided to as many users inside of or outside of the tank/vehicle as necessary. This may allow the user to monitor vehicle and stationary threats. The eyepiece may communicate with the vehicle, and various vehicles, aircraft vessels and devices as described herein or otherwise apparent to one of ordinary skill in the art, to monitor vehicle statistics such as armor breach, engine status, and the like. The eyepiece may further provide GPS for navigational purposes, and use of Black Silicon or other technology as described herein to detect enemy and navigate to the environment at night and in times of less than optimal viewing and the like.
- Further, the eyepiece may be used in the tank/land vehicle environment for surveillance. In embodiments, the user may be able to sync into cameras or other devices to get a 360-degree field of view to gather information. Night vision and/or SWIR and the like as described herein may be used for further information gathering where necessary. The user may use the eyepiece to detect heat signatures to survey the environment to detect potential threats, and may view soil density and the like to detect roadside bombs, vehicle tracks, various threats and the like.
- In embodiments, the eyepiece may be used to facilitate group transport with a tank or other land vehicle. For example the user may be provided with a checklist that is visual, interactive or otherwise for items and personnel to be transported. The user may be able to track and update a manifest of items to track such as those in transport and the like. The user may be able to view maps of the surrounding area, scan papers and documents for identification of personnel, identify and track items associated with individuals in transport, view the itinerary/mission information of the individual in transport and the like.
- The eyepiece may also be used in maintenance of the vehicle. For example, it may provide the user with a pre-journey check for proper functioning of the tank or other vehicle, it may alert the operation of proper routine maintenance was performed or not completed prior to the mission. Further, a user may be provided with a detailed history to review maintenance performed and the like. In embodiments, the eyepiece may also assist in maintaining the vehicle by providing an augmented reality or other program that instructs the user in performing such maintenance.
- In embodiments, the eyepiece may provide a user with various forms of guidance when in an urban or suburban environment. For example, the eyepiece may be used in such environments when training, going into combat, for surveillance, and the like. Such use may be suited for personnel of various ranks and levels.
- By way of example, a user may use the eyepiece for training when in combat, under attack or a high stress situation, when interacting with local people, and the like in an urban or suburban environment. The user may be presented with augmented reality situations, or otherwise, that simulate combat situations that may be seen when in such an environment. The training program may test the user on proper equipment and weapon use and the like. The training program may be based on the user's rank such that his rank will determine the type of situation presented. The user's responses and actions may be recorded and or analyzed to provide the user with additional information, critique and to alter training exercises based on past data. In embodiments, the user may view alternate scenarios of urban and suburban settings including actual buildings and layouts of buildings and areas of potential combat. The user may be provided with climate and weather information prior to going into the area, and may be apprised of the number of people in the area at a given time generally or at that time of day to prepare for possible attacks or other engagement. Further, the user may be provided with the location of individuals in, around and atop of buildings in a given area so that the user is prepared prior to entering the environment.
- In urban and suburban environments, the eyepiece or other device may allow the user to survey the local people as well. The user may be able to gather face, iris, voice, and finger and palm print data of person's of interest. The user may be able to scan such data without the user's detection from 0-5 meters, a greater distance or right next the POI. In embodiments, the user may employ the eyepiece to see through smoke and/or destroyed environments, to note and record the presence of vehicles in the area, to record environment images for future use such as in battle plans, to note population density of an area at various times of day, the lay out of various buildings and alleys, and the like. Furthermore, the user may gather and receive facts about a particular indigenous population with which the soldier will have contact.
- The user may also employ the eyepiece or other device in urban/suburban environments when in combat. The device may allow the user to use geo location with a laser range finder to locate and kill an enemy target. In embodiments, it may give an areal view of the surrounding environment and buildings. It may display enemy in the user's surrounding area and identify the location of individuals such as enemies or friendlies or those on the user's team. The user may use the eyepiece or other device to stay in contact with his home base, to view/hear instructions from commanding officers through the eyepiece where the instructions may be developed after viewing or hearing data from the user's environment. Further, the eyepiece may also allow the user to give orders to others on his team. In embodiments, the user may perform biometric data collection on those in the vicinity, record such information and/or retrieve information about them for use in combat. The user may link with other soldier devices for monitoring and using various equipment carried by the soldier. In embodiments, the eyepiece may alert the user for upcoming edges of buildings when on a roof top and alert when approaching a ground shift or ledge and the like. The use may be enabled to view a map overlay of the environment and the members of his team, and he may be able to detect nearby signals to be alerted and to alert others of possible enemies in the vicinity. In various embodiments, the user may use the eyepiece for communicating with other team members to execute a plan. Further, the user may use the eyepiece to detect enemies located in dark tunnels and other areas where they may be located.
- The eyepiece may also be used in a desert environment. In addition to the general and/or applicable uses noted herein in relation to training, combat, survival, surveillance purposes, and the like, the eyepiece may be further employed in various use scenarios that may be encountered in environments such as a desert environment. By way of example, when going into combat or training, the user may use the eyepiece to correct impaired vision through sand storms in combat, surveillance, and training. Further, the eyepiece may simulate the poor visibility of sand storms and other desert dangers for the user in training mode. In combat, the eyepiece may assist the user in seeing or detecting the enemy in the presence of a sandstorm through various means as described above. Further, the user may be alerted to and/or be able to see the difference between sand clouds caused by vehicles and those generated by the wind in order to be alerted of potential enemy approach.
- In various embodiments, the user may use the eyepiece to detect ground hazards and environmental hazards. For example the user may use the eyepiece to detect the edge of sand dunes, sand traps and the like. The user may also use the eyepiece to detect sand density to detect various hazards such as ground holes, cliffs, buried devices such as landmines and bombs, and the like. The user may be presented with a map of the desert to view the location of such hazards. In embodiments, the user may be provided a means by which to monitor his vital signs and to give him alerts when he is in danger to do the extreme environmental conditions such as heat during the day, cold at night, fluctuating temperatures, dehydration and the like. Such alerts and monitoring may be provided graphically in a user interface displayed in the eyepiece and/or via audio information.
- In embodiments, the user may be presented with a map of the desert to view the location of his team, and he may use the eyepiece to detect nearby signals, or otherwise, to get alerts of possible enemy forces that may be displayed on the map or in an audio alert from an earpiece. In such embodiments, the user may have an advantage over his enemies as he may have the ability to determine the location of his team and enemies in sandstorms, buildings, vehicles and the like. The user may view a map of his location which may show areas in which the user has traveled recently as one color and new areas as another. In this way or through other means, the device may allow the user to not get lost and or stay moving in the proper direction. In embodiments, the user may be provided with a weather satellite overlay to warn the user of sand storms and hazardous weather.
- The eyepiece may also be used in a wilderness environment. In addition to the general and/or applicable uses noted herein in relation to training, combat, survival, surveillance purposes, and the like, the eyepiece may be further employed in various use scenarios that may be encountered in environments such as a wilderness environment.
- By way of example the user may use the eyepiece in training for preparation of being in the wilderness. For example the user may employ the eyepiece to simulate varying degrees of wilderness environments. In embodiments, the user may experience very thick and heavy trees/brush with dangerous animals about and in other training environments, he may be challenged with fewer places to hide from the enemy.
- In combat, the user may use the eyepiece for various purposes. The user may use the eyepiece to detect freshly broken twigs and branches to detect recent enemy presence. Further, the user may use the eyepiece to detect dangerous cliffs, caves, changes in terrain, recently moved/disturbed dirt and the like. By way of example, by detecting the presence of recently disturbed dirt, which may be detected if it has a different density or heat signature from the surrounding dirt/leaves or which may be detected by other means, the user may be alerted to a trap, bomb or other dangerous device. In various environments described herein, the user may use the eyepiece to communicate with his team via a user interface or other means such that communication may remain silent and/or undetected by the enemy in close environments, open environments susceptible to echo, and the like. Also, in various environments, the user may employ night vision as described herein to detect the presence of enemies. The user may also view an overlay of trail maps and/or mountain trail maps in the eyepiece so that the user may view a path prior to encountering potentially dangerous terrain and or situations where the enemy may be located. In various environments as described herein, the eyepiece may also amplify the user's hearing for the detection of potential enemies.
- In embodiments, a user may employ the eyepiece in a wilderness environment in a search and rescue use scenario. For example, the user may use the eyepiece to detect soiUleaf movement to determine if it's been disturbed for tracking human tracks and for finding a buried body. The user may view a map of the area which has been tagged to show areas already covered by air and or other team member searches to direct the user from areas already scoured and toward areas not searched. Further, the user may use the eyepiece for night vision for human and/or animal detection through trees, brush, thickets and the like. Further, by using the eyepiece to detect the presence of freshly broken twigs, the user may be able to detect the presence or recent presence of persons of interest when in a surveillance and/or rescue mission. In embodiments, the user may also view an overlay of trail maps and/or mountain trail maps in the eyepieces so that the user may view a path prior to encountering potentially dangerous terrain and or situations.
- In yet other embodiments, a user may employ the use of the eyepiece in a wilderness for living off of the land and survival-type situations. By way of example, the user may use the eyepiece to track animal presence and movement when hunting for food. Further, the user may use the eyepiece for detection of soil moisture and to detect the presence and location of a water supply. In embodiments, the eyepiece may also amplify the user's hearing to detect potential prey.
- The eyepiece may also be used in an artic environment. In addition to the general and/or applicable uses noted herein in relation to training, combat, survival, surveillance purposes, and the like, the eyepiece may be further employed in various use scenarios that may be encountered in environments such as an arctic environment. For example, when in training, the eyepiece may simulate visual and audio white out conditions that a user may encounter in an arctic environment so that the user may adapt to operating under such stresses. Further, the eyepiece may provide the user with a program that simulates various conditions and scenarios due to extreme cold that he may encounter, and the program may track and display data related to the user's predicted loss of heat. Further, the program may adapt to simulate such conditions that the user would experience with such heat loss. In embodiments, the program may simulate the inability of the user to control his limbs properly which may manifest in a loss of weapon accuracy. In other embodiments, the user may be provided life saving information and instructions about such things as burrowing in the snow for warmth, and various survival tips for artic conditions. In yet other embodiments, the eyepiece may sync into a vehicle such that the vehicle responds as if the vehicle were performing in a particular environment, for example with artic conditions and snow and ice. Accordingly the vehicle may respond to the user as such and the eyepiece may also simulate visual and audio as if the user were in such an environment.
- In embodiments, the user may use the eyepiece in combat. The soldier may use the eyepiece to allow him to see through white out conditions. The use may be able to pull up an overlay map and/or audio that provides a information of buildings ditches, land hazards and the like to allow the soldier to move around the environment safely. The eyepiece may alert the user to detections in the increase or decrease of snow density to let him know when the landmass under the snow has changed such as to denote a possible ditch, hole or other hazard, an object buried in the snow and the like. Further, in conditions where it is difficult to see, the user may be provided with the location of his team members and enemies whether or not snow has obstructed his view. The eyepiece may also provide heat signatures to display animals and individuals to the user in an artic environment. In embodiments, a user interface in the eyepiece may show a soldier's his vitals and give alerts when he is in danger doe to the surrounding extreme environmental conditions. Furthermore, the eyepiece may help the user operate a vehicle in snowy conditions by providing alerts from the vehicle to the user regarding transmission slipping, wheel spinning, and the like.
- The eyepiece may also be used in a jungle environment. In addition to the general and/or applicable uses noted herein in relation to training, combat, survival, surveillance purposes, and the like, the eyepiece may be further employed in various use scenarios that may be encountered in environments such as a jungle environment. For example the eyepiece may be employed in training to provide the user with information regarding which plants may be eaten, which are poisonous and what insects and animals may present the user with danger. In embodiments, the eyepiece may simulate various noises and environments the user may encounter in the jungle so that when in battle the environment is not a distraction. Further, when in combat or an actual jungle environment, the user may be provided with a graphical overlay or other map to show him the surrounding area and/or to help him track where he's been and where he must go. It may alert him of allies and enemies in the area, and it may sense movement in order to alert the user of potential animals and/or insects nearby. Such alerts may help the user survive by avoiding attack and finding food. In other embodiments, the user may be provided with augmented reality data such as in the form of a graphical overlay that allows the user to compare a creature and/or animal to those encountered to help the user discern which are safe for eating, which are poisonous and the like. By having information that a particular creature is not a threat to the user, he may be spared of having to deploy a weapon when in stealth or quiet mode.
- The eyepiece may also be used in relation to Special Forces missions. In addition to the general and/or applicable uses noted herein in relation to training, combat, survival, surveillance purposes, and the like, the eyepiece may be further employed in various use scenarios that may be encountered in relation to special forces missions. In embodiments, the eyepiece may be of particular use on stealth missions. For example, the user may communicate with his team in complete silence through a user interface that each member may see on his eyepiece. The user sharing information may navigate through the user interface with eye movements and/or a controller device and the like. As the user puts up instructions and/or navigates through the user interface and particular data concerning the information to convey, the other users may see the data as well. In embodiments, various users may be able to insert questions via the user interface to be answered by the instruction leader. In embodiments, a user may speak or launch other audio that all users may hear through their eyepiece or other device. This may allow users in various locations on the battlefield to communicate battle plans, instructions, questions, share information and the like and may allow them to do so without being detected.
- In embodiments, the eyepiece may also be used for military fire fighting. By way of example, the user may employ the eyepiece to run a simulation of firefighting scenarios. The device may employ augmented reality to simulate fire and structural damage to a building as time goes by and it may otherwise recreate life-like scenarios. As noted herein, the training program may monitor the user's progress and/or alter scenarios and training modules based on the user's actions. In embodiments, the eyepiece may be used in actual firefighting. The eyepiece may allow the user to see though smoke through various means as described herein. The user may view, download or otherwise, access a layout of the building, vessel, aircraft vehicle or structure that's on fire. In embodiments, the user will have an overview map or other map that displays where each team member is located. The eyepiece may monitor the user-worn or other devices during firefighting. The user may see his oxygen supply levels in his eyepiece and may be alerted as to when he should come out for more. The eyepiece may send notifications from the user's devices to the command outside of the structure to deploy new personnel to come in or out of the fire and to give status updates and alert of possible fire fighter danger. The user may have his vital signs displayed to determine if he is overheating, losing too much oxygen and the like. In embodiments, the eyepiece may be used to analyze whether cracks in beams or forming based on beam density, heat signatures and the like and inform the user of the structural integrity of the building or other environment. The eyepiece may provide automatic alerts when structural integrity is compromised.
- In embodiments, the eyepiece may also be used for maintenance purposes. For example, the eyepiece may provide the user with a pre-mission and/or use checklist for proper functioning of the item to be used. It may alert the operator if proper maintenance has not been logged in the item's database. It may provide a virtual maintenance and/or performance history for the user to determine the safety of the item or of necessary measures to be taken for safety and/or performance. In embodiments, the eyepiece may be used to perform augmented reality programs and the like for training the user in weapon care and maintenance and for lessons in the mechanics of new and/or advanced equipment. In embodiments, the eyepiece may be used in maintenance and/or repair of various items such as weapons, vehicles, aircraft, devices and the like. The user may use the eyepiece to view an overlay of visual and/or audio instructions of the item to walk the user through maintenance without the need for a handheld manual. In embodiments, video, still images, 3D and/or 2D images, animated images, audio and the like may be used for such maintenance. In embodiments, the user may view an overlay and/or video of various images of the item such that the user is shown what parts to remove, in what order, and how, which parts to add, replace, repair, enhance and the like. In embodiments such maintenance programs may be augmented reality programs or otherwise. In embodiments, the user may use the eyepiece to connect with the machine or device to monitor the functioning and or vital statistics of the machine or device to assist in repair and/or to provide maintenance information. In embodiments, the user may be able to use the eyepiece to propose a next course of action during maintenance and the eyepiece may send the user information on the likelihood of such action harming the machine, helping to fix the machine, how and/or if the machine will function after the next step and the like. In embodiments, the eyepiece may be used for maintenance of all items, machines, vehicles, devices, aircraft and the like as mentioned herein or otherwise applicable to or encountered in a military environment.
- The eyepiece may also be used in environments where the user has some degree of unfamiliarity with the language spoken. By way of example, a soldier may use the eyepiece and/or device to access near real-time translation of those speaking around him. Through the device's earpiece, he may hear a translation in his native language of one speaking to him. Further, he may record and translate comments made by prisoners and/or other detainees. In embodiments, the soldier may have a user interface that enables translating a phrase or providing translation to the user via an earpiece, via the user's eyepiece in a textual image or otherwise. In embodiments, the eyepiece may be used by a linguist to provide a skilled linguist with supplemental information regarding dialect spoken in a particular area or that which is being spoken by people near him In embodiments, the linguist may use the eyepiece to record language samples for further comparison and/or study. Other experts may use the eyepiece to employ voice analysis to determine if the speaker is experiencing anger, shame, lying, and the like by monitoring inflection, tone, stutters and the like. This may give the listener native the speaker's intentions even when the listener and speaker speak different languages.
- In embodiments, the eyepiece may allow the user to decipher body language and/or facial expressions or other biometric data from another. For example, the user may use the device to analyze a person's pupil dilation, eye blink rates, voice inflection, body movement and the like to determine if the person is lying, hostile, under stress, likely a threat, and the like. In embodiments, the eyepiece may also gather data such as that of facial expressions to detect and warn the user if the speaker is lying or likely making unreliable statements, hostile, and the like. In embodiments, the eyepiece may provide alerts to the user when interacting with a population or other individuals to warn about potential threatening individuals that may be disguised as non-combative or ordinary citizens or other individuals. User alerts may be audio and/or visual and may appear in the user's eyepiece in a user interface or overlaid in the user's vision and/or be associated with the surveyed individual in the user's line of vision. Such monitoring as described herein may be undetected as the user employs the eyepiece and/or device to gather the data from a distance or it may be performed up-close in a disguised or discrete fashion, or performed with the knowledge and/or consent of the individual in question.
- The eyepiece may also be used when dealing with bombs and other hazardous environments. By way of example, the eyepiece may provide a user with alerts of soil density changes near the roadside which could alert the user and/or team of a buried bomb. In embodiments, similarly methods may be employed in various environments, such as testing the density of snow to determine if a bomb or other explosive may be found in artic environments and the like. In embodiments, the eyepiece may provide a density calculation to determine whether luggage and/or transport items tend to have an unexpected density or one that falls outside of a particular range for the items being transported. In embodiments, the eyepiece may provide a similar density calculation and provide an alert if the density is found to be one that falls within that expected for explosive devices, other weapons and the like. One skilled in the art will recognize that bomb detection may be employed via chemical sensors as well and/or means known in the art and may be employed by the eyepiece in various embodiments. In embodiments, the eyepiece may be useful in bomb disposal. The user may be provided with an augmented reality or other audio and/or visual overlay in order to gain instructions on how to diffuse the particular type of bomb present. Similar to the maintenance programs described above, the user may be provided with instructions for diffusing a bomb. In embodiments, if the bomb type is unknown a user interface may provide the user with instructions for safe handling and possible next steps to be taken. In embodiments, the user may be alerted of a potential bomb in the vicinity and may be presented with instructions for safe dealing with the situation such as how to safely flee the bomb area, how to safely exit a vehicle with a bomb, how closely the user may come to the bomb safely, how to diffuse the bomb via instructions appropriate for the situation and the user's skill level, and the like. In embodiments, the eyepiece may also provide a user with training in such hazardous environments and the like.
- In embodiments, the eyepiece may detect various other hazards such as biological spills, chemical spills, and the like and provide the user with alerts of the hazardous situation. In embodiments, the user may also be provided with various instructions on diffusing the situation, getting to safety and keeping others safe in the environment and/or under such conditions. Although situations with bombs have been described, it is intended that the eyepiece may be used similarly in various hazardous and/or dangerous situations and to guard against and to neutralize and/or provide instruction and the like when such danger and hazards are encountered.
- The eyepiece may be used in a general fitness and training environment in various embodiments. The eyepiece may provide the user with such information as the miles traveled during his run, hike, walk and the like. The eyepiece may provide the user with information such as the number of exercised performed, the calories burned, and the like. In embodiments, the eyepiece may provide virtual instructions to the user in relation to performing particular exercises correctly, and it may provide the user with additional exercises as needed or desired. Further, the eyepiece may provide a user interface or otherwise where physical benchmarks are disclosed for the soldier to meet the requirements for his particular program. Further, the eyepiece may provide data related to the amount and type of exercise needed to be carried out in order for user to meet such requirements. Such requirements may be geared toward Special Forces qualification, basic training, and the like. In embodiments, the user may work with virtual obstacles during the workout to prevent the user from setting up actual hurdles, obstacles and the like.
- Although specific various environments and use scenarios have been described herein, such description is not intended to be limiting. Further, it is intended that the eyepiece may be used in various instances apparent to one of ordinary skill in the art. It is also intended that applicable uses of the eyepiece as noted for particular environments may be applied in various other environments even though not specifically mentioned therewith.
- In embodiments, a user may access and/or otherwise manipulate a library of information stored on a secure digital (SD) card, Mini SD card, other memory, remotely loaded over a tactical network, or stored by other means. The library may be part of the user's equipment and/or it may be remotely accessible. The user's equipment may include a DVR or other means for storing information gathered by the user and the recorded data and/or feed may be transmitted elsewhere as desired. In embodiments, the library may include images of local threats, information and/or images of various persons listed as threats and the like. The library of threats may be stored in an onboard mini-SD card or other means. In embodiments, it may be remotely loaded over a tactical network. Furthermore, in embodiments, the library of information may contain programs and other information useful in the maintenance of military vehicles or the data may be of any variety or concerning any type of information. In various embodiments, the library of information may be used with a device such that data is transferred and/or sent to or from the storage medium and the user's device. By way of example, data may be sent to a user's eyepiece and from a stored library such that he is able to view images of local persons of interest. In embodiments, data may be sent to and from a library included in the soldier's equipment or located remotely and data may be sent to and from various devices as described here. Further, data may be sent between various devices as described herein and various libraries as described above.
- In embodiments, military simulation and training may be employed. By way of example, gaming scenarios normally used for entertainment may be adapted and used for battlefield simulation and training. Various devices, such as the eyepiece described herein may be used for such purpose. Near field communications may be used in such simulation to alert personnel, present dangers, change strategy and scenario and for various other communication. Such information may be posted to share information where it is needed to give instruction and/or information. Various scenarios, training modules and the like may be run on the user's equipment. For example only, and not to limit the use of such training, a user's eyepiece may display an augmented reality battle environment. In embodiments, the user may act and react in such an environment as if he were actually in battle. The user may advance or regress depending on his performance. In various embodiments, the user's actions may be recorded for feedback to be provided based on his performance. In embodiments, the use may be provided with feedback independent of whether his performance was recorded. In embodiments, information posted as described above may be password or biometrically protected and or encrypted and instantly available or available after a particular period of time. Such information stored in electronic form may be updated instantly for all the change orders and updates that may be desired.
- Near field communications or other means may also be used in training environments and for maintenance to share and post information where it is needed to give instruction and/or information. By way of example, information may be posed in classrooms, laboratories maintenance facilitates, repair bays, and the like or wherever it is needed for such training and instruction. A user's device, such as the eyepiece described herein, may allow such transmission and receipt of information. Information may be shared via augmented reality where a user encounters a particular area and once there he is notified of such information. Similarly as descried herein, near field communications may be used in maintenance. By way of example, information may be posted precisely where it is needed, such as in maintenance facilities, repair bays, associated with the item to be repaired, and the like. More specifically, and not to limit the present disclosure, repair instructions may be posted under the hood of a military vehicle and visible with the use of the soldier's eyepiece. Similarly, various instruction and training information may be shared with various users in any given training situation such as training for combat and/or training for military device maintenance. In embodiments, information posted as described above may be password or biometrics protected and or encrypted and instantly available or available after a particular period of time. Such information stored in electronic form may be updated instantly for all the change orders and updates that may be desired.
- In embodiments, an application applied to the present invention may be for facial recognition or sparse facial recognition. Such sparse facial recognition may use one or more facial features to exclude possibilities in identifying persons of interest. Space facial recognition may have automatic obstruction masking and error and angle correction. In embodiments, and by way of example and not to limit the present invention, the eyepiece, flashlight and devices as described herein may allow for sparse facial recognition. This may work like human vision and quickly exclude regions or entire profiles that don't match by using sparse matching on all image vectors at once. This may make it almost impossible for false positives. Further, this may simultaneously utilize multiple images to enlarge the vector space and increase accuracy. This may work with either multiple database or multiple target images based on availability or operational requirement. In embodiments, a device may manually or automatically identify one or more specific clean features with minimal reduction in accuracy. By way of example, accuracy may be of various ranges and it may be at least 87.3% for a nose, 93.7% for an eye, and 98.3% for a mouth and chin. Further angle correction with facial reconstruction may be employed and, in embodiments, up to a 45 degree off angle correction with facial reconstruction may be achieved. This may be further enhanced with 3D image mapping technology. Further, obscured area masking and replacement may be employed. In embodiments, 97.5% and 93.5% obscured area masking and replacement may be achieved for sunglasses and a scarf respectively. In embodiments, the ideal input image may be 640 by 480. The target image may match reliably with less than 10% of the input resolution due to long range or atmospheric obscurants. Further, the specific ranges as noted above may be greater or lesser in various embodiments.
- In various embodiments, the devices and/or networks described herein may be applied for the identification and or tracking of friends and/or allies. In embodiments, facial recognition may be employed to positively identify friends and or friendly forces. Further, real-time network tracking and/or real-time network tracking of blue and red forces may allow a user to know where his allies and/or friendlies are. In embodiments, there may be a visual separation range between blue and red forces and/or forces identified by various markers and/or means. Further, the user may be able to geo-locate the enemy and share the enemy's location in real-time. Further, the location of friendlies may be shared in real time as well. Devices used for such an application may be biometric collection glasses, eyepiece other devices as described herein and those known to one of ordinary skill in the art.
- In embodiments, the devices and/or networks described herein may be applied in medical treatment in diagnosis. By way of example, such devices may enable medical personnel to make remote diagnoses. Further, and by way of example, when field medics arrive on a scene, or remotely, they may use a device such as a fingerprint sensor to instantaneously call up the soldier's medical history, allergies, blood type and other time sensitive medical data to apply the most effective treatment. In embodiment, such data may be called up via facial recognition, iris recognition, and the like of the soldier which may be accomplished via the eyepiece described herein or another device.
- In embodiments, users may share various data via various networks and devices as described herein. By way of example, a 256-bit AES encrypted video wireless transceiver may bi-directionally share video between units and/or with a vehicle's computer. Further, biometric collection of data, enrollment, identification and verification of potential persons of interest, biometric data of persons of interest and the like may be shared locally and/or remotely over a wireless network. Further, such identification and verification of potential persons of interest may be accomplished or aided by the data shared locally and/or remotely over a wireless network. The line of biometric systems and devices as described herein may be enabled to share data over a network as well. In embodiments, data may be shared with, from and/or between various devices, individuals, vehicles, locations, units and the like. In embodiments there may be inter-unit and intra unit communication and data sharing. Data may be shared via, from and/or between existing communications assets, a mesh network or other network, a mil-con type ultra wide band transceiver caps with 256-bit encryption, a mil-con type cable, removable SD and/or microSD memory card, a Humvee, PSDS2, unmanned aerial vehicle, WBOTM, or other network relay, a combat radio, a mesh networked computer, devices such as but not limited to various devices described herein, a bio-phone 3G/4G networked computer, a digital dossier, tactical operating centers, command posts, DCSG-A, BAT servers, individuals and/or groups of individuals, and any eyepiece and/or device described herein and/or those known to persons skilled in the art and the like.
- In embodiments, a device as described herein or other device may contain a viewing pane that reverses to project imagery on any surface for combat team viewing by a squad and/or team leader. The transparent viewing pane or other viewing pane may be rotated 180 degrees or another quantity of degrees in projection mode to share data with a team and/or various individuals. In embodiments, devices including but not limited to a monocular and binocular NVG may interface with all or virtually all tactical radios in use and allow the user to share live video, S/A, biometric data and other data in real-time or otherwise. Such devices as the binocular and monocular noted above may be a, VIS, NIR and/or SWIR binocular or monocular that may be self-contained, and comprise a color day/night vision and/or digital display with a compact, encrypted, wireless-enabled computer for interfacing with tactical radios. Various data may be shared over combat radios, mesh networks and long-range tactical networks in real time or near real time. Further, data may be organized into a digital dossier. Data of a person of interest (POI) may be organized into a digital dossier whether such POI rest was enrolled or not. Data that is shared, in embodiments, may be compared, manipulated and the like. While specific devices are mentioned, any device mentioned herein may be capable of sharing information as described herein and/or as would be recognized by one having ordinary skill in the art.
- In embodiments, biometric data, video, and various other types of data may be collected via various devices, methods and means. For example, fingerprints and other data may be collected from weapons and other objects at a battle, terrorism and/or crime scene. Such collection may be captured by video or other means. A pocket bio cam, flashlight as described herein with built in still video camera, various other devices described herein, or other device may collect video, record, monitor, and collect and identify biometric photographic data. In embodiments, various devices may record, collect, identify and verify data and biometric data relating to the face, fingerprints, latent fingerprints, latent palm prints, iris, voice, pocket litter, scars, tattoos, and other identifying visible marks and environmental data. Data may be geo-located and date/time stamped. The device may capture EFTS/EBTS compliant salient images to be matched and filed by any biometric matching software. Further, video scanning and potential matching against a built-in or remote iris and facial database may be performed. In embodiments, various biometric data may be captured and/or compared against a database and/or it may be organized into a digital dossier. In embodiments, an imaging and detection system may provide for biometrics scanning and may allow facial tracking and iris recognition of multiple subjects. The subjects may be moving in or out of crowds at high speeds and may be identified immediately and local and/or remote storage and/or analysis may be performed on such images and/or data. In embodiments, devices may perform multi-modal biometric recognition. For example, a device may collect and identify a face and iris, an iris and latent fingerprints, various other combinations of biometric data, and the like. Further, a device may record video, voice, gait, fingerprints, latent fingerprints, palm prints, latent palm prints and the like and other distinguishing marks and/or movements. In various embodiments, biometric data may be filed using the most salient image plus manual entry, enabling partial data capture. Data may be automatically geo-located, time/date stamped and filed into a digital dossier with a locally or network assigned GUID. In embodiments, devices may record
full livescan 4 fingerprint slaps and rolls, fingerprint slaps and rolls, palm prints, finger tips and finger prints. In embodiments, operators may collect and verify POIs with an onboard or remote database while overseeing indigenous forces. In embodiments, a device may access web portals and biometric enabled watch list databases and/or may contain existing biometric pre-qualification software for POI acquisition. In embodiments, biometrics may be matched and filed by any approved biometric matching software for sending and receiving secure perishable voice, video and data. A device may integrate and/or otherwise analyze biometric content. In embodiments, biometric data may be collected in biometric standard image and data formats that can be cross referenced for a near real or real time data communication with the Department of Defense Biometric Authoritative or other data base. In embodiments, a device may employ algorithms for detection, analysis, or otherwise in relation to finger and palm prints, iris and face images. A device, in embodiments, may illuminate an iris or latent fingerprint simultaneously for a comprehensive solution. In embodiments, a device may use high-speed video to capture salient images in unstable situations and may facilitate rapid dissemination of situational awareness with intuitive tactical display. Real time situational awareness may be provided to command posts and/or tactical operating centers. In embodiments, a device may allow every soldier to be a sensor and to observe and report. Collected data may be tagged with date, time and geo-location of collection. Further, biometric images may be NIST/ISO compliant, including ITL 1-2007. Further, in embodiments, a laser range finder may assist in biometric capture and targeting. A library of threats may be stored in onboard Mini-SD card or remotely loaded over a tactical network. In embodiments, devices may wirelessly transfer encrypted data between devices with a band transceiver and/or ultrawide band transceiver. A device may perform onboard matching of potential POI's against a built in database or securely over a battlefield network. Further, a device may employ high-speed video to capture salient images in all environmental conditions. Biometric profiles may be uploaded downloaded and searched in seconds or less. In embodiments, a user may employ a device to geo-locate a POI with visual biometrics at a safe distance and positively identify a POI with robust sparse recognition algorithms for the face, iris and the like. In embodiments, a user may merge and print a visual biometrics on one comprehensive display with augmented target highlighting and view matches and warnings without alerting the POI. Such display may be in various devices such as an eyepiece, handheld device and the like. - In embodiments, as indigenous persons filter through a controlled checkpoint and/or vehicle stops, an operator can collect, enroll, identify and verify POIs from a watch list using low profile face and iris biometrics. In embodiments, biometric collection and identification may take place at a crime scene. For example an operator may rapidly collect biometric data from all potential POIs at a bombing or other crime scene. The data may be collected, geo-tagged and stored in a digital dossier to compare POIs against past and future crime scenes. Further, biometric data may be collected in real time from POIs in house and building searches. Such data displayed may let the operator know whether to release detain or arrest a potential POI. In other embodiments, low profile collection of data and identification may occur in street environments or otherwise. A user may move through a market place for example and assimilate with the local population while collecting biometric, geo-location and/or environmental data with minimal visible impact. Furthermore, biometric data may be collected on the dead or wounded to identify whether they were or are a POI. In embodiments, a user may identify known or unknown POI'S by facial identification, iris identification, fingerprint identification, visible identifying marks, and the like of the deceased or wounded, or others and keep a digital dossier updated with such data.
- In embodiments, a laser range finder and/or inclinometer may be used to determine the location of persons of interest and/or improvised explosive devices, other items of interest, and the like. Various devices described herein may contain a digital compass, inclinometer and a laser range finder to provide geo-location of POIs, targets, IEDs, items of interest and the like. The geo-location of a POI and/or item of interest may be transmitted over networks, tactical networks, or otherwise, and such data may be shared among individuals. In embodiments, a device may allow an optical array and a laser range finder to geo-locate and range multiple POIs simultaneously with continuous observation of a group or crowd in the field in an uncontrolled environment. Further, in embodiments, a device may contain a laser range finder and designator to range and paint a target simultaneously with continuous observation of one or more targets. Further, in embodiments, a device may be soldier-worn, handheld or otherwise and include target geo-location with integrated laser range finder, digital compass, inclinometer and GPS receiver to locate the enemy in the filed. In embodiments, a device may contain an integrated digital compass, inclinometer, MEMs Gyro and GPS receiver to record and display the soldier's position and direction of his sight. Further, various devices may include an integrated GPS receiver or other GPS receiver, IMU, 3-axis digital compass or other compass, laser range finer, gyroscope, micro-electro-mechanical system based gyroscope, accelerometer and/or an inclinometer for positional and directional accuracy and the like. Various devices and methods as described herein may enable a user to locate enemy and POIs in the filed and share such information with friendlies via a network or other means.
- In embodiments, users may be mesh networked or networked together with communications and geo-location. Further, each user may be provided with a pop-up, or other location map of all users or proximate users. This may provide the user with knowledge of where friendly forces are located. A described above, the location of enemies may be discovered. The location of enemies may be tracked and provided with a pop-up or other location map of enemies which may provide the user with knowledge of where friendly forces are located. Location of friendlies and enemies may be shared in real time. Users may be provided with a map depicting such locations. Such maps of the location and/or number of friendlies, enemies and combinations thereof may be displayed in the user's eyepiece or other device for viewing.
- In embodiments, devices, methods, and applications may allow for hands-free, wireless, maintenance and repair visually and/or audio enhanced instructions. Such applications may include RFID sensing for parts location and kitting. In examples, a user may use a device for augmented reality guided filed repair. Such filed repair may be guided by hands-free, wireless, maintenance and repair instructions. A device, such as an eyepiece, projector, monocular and the like and/or other devices as described herein may display images of maintenance and repair procedures. In embodiments, such images may be still and/or video, animated, 3-D, 2-D, and the like. Further, the user may be provided with voice and/or audio annotation of such procedures. In embodiments, this application may be used in high threat environments where working undetected is a safety consideration. Augmented reality images and video may be projected on or otherwise overlaid on the actual object with which the user is working or in the user's field of view of the object to provide video, graphical, textual or other instructions of the procedure to be performed. In embodiments, a library of programs for various procedures may be downloaded and accessed wired or wirelessly from a body worn computer or from a remote device, database and/or server, and the like. Such programs may be used for actual maintenance or training purposes.
- In embodiments, the devises, methods and descriptions found herein may provide for an inventory tracking system. In embodiments, such tracking system may allow a scan from up to 100m distance to handle more than 1000 simultaneous links with 2 mb/s data rate. The system may give annotated audio and/or visual information regarding inventory tracking when viewing and/or in the vicinity of the inventory. In embodiments, devices may include an eyepiece, monocular, binocular and/or other devices as described herein and inventory tracking may use SWIR, SWIR color, and/or night vision technology, body worn wired or wireless computers, wireless UWB secure tags, RFID tags, a helmet/hardhat reader and display and the like. In embodiments, and by way of example only, a user may receive visual and/or audio information regarding inventory such as which items are to be destroyed, transferred, the quantity of items to be destroyed or transferred, where the items are to be transferred or disposed and the like. Further, such information may highlight, or otherwise provide a visual identification of the items in question along with instructions. Such information may be displayed on a user's eyepiece, projected onto an item, displayed on a digital or other display or monitor and the like. The items in question may be tagged via UWB and/or RFID tags, and/or augmented reality programs may be used to provide visualization and/or instruction to the user such that the various devices as described herein may provide the information as necessary for inventory tracking and management.
- In various embodiments, SWIR, SWIR color, monocular, night vision, body worn wireless computer, the eyepiece as described herein and/or devices as described herein may be used when firefighting. In embodiments, a user may have increased visibility through smoke, and the location of various individuals may be displayed to the user by his device in an overlaid map or other map so that he may know the location of firefighters and/or others. The device may show real-time display of all firefighters' locations and provide hot spot detection of areas with temperatures of less than and greater than 200 degrees Celsius without triggering false alarms. Maps of the facility may also be provided by the device, displayed on the device, projected from the device and/or overlaid in the user's line of site through augmented reality or other means to help guide the user through the structure and/or environment.
- Systems and devices as described herein may be configurable to any software and/or algorithm to conform to mission specific needs and/or system upgrades.
- Referring to
FIG. 73 , theeyepiece 100 may interface with a ‘biometric flashlight’ 7300, such as including biometric data taking sensors for recording an individual's biometric signature(s) as well as the function and in the form factor of a typical handheld flashlight. The biometric flashlight may interface with the eyepiece directly, such as though a wireless connection directly from the biometric flashlight to theeyepiece 100, or as shown in the embodiment represented inFIG. 73 , through anintermediate transceiver 7302 that interfaces wirelessly with the biometric flashlight, and through a wired or wireless interface from the transceiver to the eyepiece (e.g. where the transceiver device is worn, such as on the belt). Although other mobile biometric devices are depicted in figures without showing the transceiver, one skilled in the art will appreciate that any of the mobile biometric devices may be made to communicate with theeyepiece 100 indirectly through thetransceiver 7300, directly to theeyepiece 100, or operate independently. Data may be transferred from the biometric flashlight to the eyepiece memory, to memory in the transceiver device, inremovable storage cards 7304 as part of the biometric flashlight, and the like. The biometric flashlight may include an integrated camera and display, as described herein. In embodiments, the biometric flashlight may be used as a stand-alone device, without the eyepiece, where data is stored internally and information provided on a display. In this way, non-military personnel may more easily and securely use the biometric flashlight. The biometric flashlight may have a range for capturing curtain types of biometric data, such as a range of 1 meter, 3 meters, 10 meters, and the like. The camera may provide for monochrome or color images. In embodiments, the biometric flashlight may provide a covert biometric data collection flashlight-camera that may rapidly geo-locate, monitor and collect environmental and biometric data, for onboard or remote biometric matching. In an example use scenario, a soldier may be assigned to a guard post at nighttime. The soldier may utilize the biometric flashlight seemingly only as a typical flashlight, but where unbeknownst to the individuals being illuminated by the device, is also running and/or taking biometrics as part of a data collection and/or biometrics identification process. - Referring now to
FIG. 76 , a 360° imager utilizes digital foveated imaging to concentrates pixels to any given region, delivering a high resolution image of the specified region. Embodiments of the 360° imager may feature continuous 360°×40° panoramic FOV with super-high resolution foveated view and simultaneous and independent 10× optical zoom. The 360° imager may include dual 5 megapixel sensors and imaging capabilities of 30 fps and image acquisition time <100. The 360° imager may include a gyro-stabilized platform with independently stabilized image sensors. The 360° imager may have only one moving part and two imaging sensors that allows for reduced image processing bandwidth in a compact optical system design. The 360° image may also feature low angular resolution and high-speed video processing and may be sensor agnostic. The 360° image may be used as a surveillance fixture in a facility, on a mobile vehicle with a gyro stabilized platform, mounted on a traffic light or telephone pole, robot, aircraft, or other location that allows for persistent surveillance. Multiple users may independently and simultaneously view the environment imaged by the 360° imager. For example, imagery captured by the 360° imager may be displayed in the eyepiece to allow all recipients of the data, such as all occupants in a combat vehicle, to have real-time 360° situational awareness. The panoramic 360° imager may recognize a person at 100 meters and foveated 10× zoom can be used to read a license plate at 500 meters. The 360° imager allows constant recording of the environment and features an independent controllable foveated imager. -
FIG. 76A depicts an assembled 360° imager andFIG. 76B depicts a cutaway view of the 360° imager. The 360° imager include a capturing mirror 7602,objective lens 7604,beam splitter 7608,lenses 7610 and 7612,MEMS mirror 7614,panoramic sensor 7618,panoramic image lens 7620,folding mirror 7622,foveation sensor 7624, andfoveated image lens 7628. Imagery collected with the 360° imager may be geo-located and time and date stamped. Other sensors may be included in the 360° imager, such as thermal imaging sensor, NIR sensor, SWIR sensor, and the like. TheMEMS mirror 7614 is a unique mirror prism that uses a single-viewpoint hemispherical capture system allowing for high and uniform resolution. The imager design enables <0.1° scanning accuracy, foveated distortion <1%, 50% MTF @ 400 lp/mm, and foveated acquisition <30 milliseconds. - The 360° imager may be part of a network with wireless or physical reach back to a TOC or database. For example, a user may use a display with a 360° imager driver to view imagery from a 360° imager wirelessly or using a wired connection, such as a mil-con type cable. The display may be a combat radio or mesh networked computer that is networked with a headquarters. Data from a database, such as a DoD authoritative database may be accessed by the combat radio or mesh networked computer, such as by using a removable memory storage card or through a networked connection.
- Referring now to
FIG. 77 , a multi-coincident view camera may be used for imaging. The feed from the multi-coincident view camera may be transmitted to theeyepiece 100 or any other suitable display device. In one embodiment, the multi-coincident view camera may be a fully-articulating, 3- or 4-coincident view, SWIR/LWIR imaging, and target designating system that allows simultaneous: wide, medium and narrow field-of-view surveillance, with each sensor at VGA or SXVGA resolution for day or night operations. The lightweight, gimbaled sensor array may be inertially stabilized as well as geo-referenced enabling a highly accurate sensor positioning and target designating with its NVG compatible laser pointer capability in all conditions. Its unique multiple and simultaneous fields-of-view enable wide area surveillance in the visible, near-infrared, short wave infrared and long wave infrared regions. It also permits a high resolution, narrow field-of-view for more precise target identification and designation with point-to-grid coordinates, when coupled with outputs from a digital compass, inclinometer and GPS receiver. - In one embodiment of the multi-coincident view camera, there may be separate, steerable, co-incident fields of view, such as 30°, 10° and 1°, with automated POI or multiple POIs tracking, face and iris recognition, onboard matching and communication wirelessly over 256-bit AES encrypted UWB with laptop, combat radio, or other networked or mesh-networked device. The camera may network to CP's, TOC's and biometric databases and may include a 3-axis, gyro-stabilized, high dynamic range, high resolution sensor to deliver the ability to see in conditions from a glaring sun to extremely low light. IDs may be made immediately and stored and analyzed locally or in remote storage. The camera may feature “look and locate” accurate geo-location of POI's and threats, to >1,000m distance, integrated 1550 nm, eye-safe laser range finder, networked GPS, 3-axis gyro, 3-axis magnetometer, accelerometer and inclinometer, electronic image enhancement and augmenting electronic stabilization aids in tracking, recording full-motion (30 fps) color video, be ABIS, EBTS, EFTS and
JPEG 2000 compatible, and meet MIL-STD 810 for operation in environmental extremes. The camera may be mounted via a gimbaled ball system that integrates mobile uncooperative biometric collection and identification for a stand off biometric capture solution as well as laser range-finding and POI geo-location, such as at chokepoints, checkpoints, and facilities. Multi-modal biometric recognition includes collecting and identifying faces and irises and recording video, gait and other distinguishing marks or movements. The camera may include the capability to geo-location tag all POI'S and collected data with time, date and location. The camera facilitates rapid dissemination of situational awareness to network-enabled units CP's and TOC's. - In another embodiment of the multi-coincident view camera, the camera features 3 separate, Color VGA SWIR Electro-optic Modules that provide co-incident 20°, 7.5° and 2.5° Fields of View and 1 LWIR Thermal Electro-optic Modules for broad area to pinpoint imaging of POIs and Targets in an ultra-compact configuration. The 3-axis, gyro-stabilized, high dynamic range, color VGA SWIR cameras deliver the ability to see in conditions from a glaring sun to extremely low light as well as through fog, smoke and haze—with no “blooming Geo-location is obtained by integration of Micro-Electro-Mechanical System (MEMS) 3-axis gyroscopes and 3-axis accelerometers which augment the GPS receiver and magnetometer data. Integrated 1840 nm, eye-safe laser range finder and target designator, GPS receiver and IMU provide “look and locate”, accurate geo-location of POIs and threats, to a 3 km distance. The camera displays and stores full-motion (30 fps) color video in its “camcorder on chip”, and stores it on solid state, removable drives, for remote access during flight or for post-op review. Electronic image enhancement and augmenting electronic stabilization aids in tracking, geo-location range-finding and designation of POIs and targets. Thus, the
eyepiece 100 delivers unimpeded “sight” of the threat by displaying the feed from the multi-coincident view camera. In certain embodiments of theeyepiece 100, theeyepiece 100 may also provide an unimpeded view of the soldier's own weapon with “see through”, flip up/down, electro-optic display mechanism showing sensor imagery, moving maps, and data. In one embodiment, the flip up/down, electro-optic display mechanism may snap into any standard, MICH or PRO-TECH helmet's NVG mount. -
FIG. 77 depicts an embodiment of a multi-coincident view camera, including laser range finder anddesignator 7702, total internal reflecting lens 7704, mounting ring 7708, total internal reflectinglens 7710, total internal reflectinglens 7714,anti-reflection honeycomb ring 7718, 1280×1024 SWIR 380-1600nm sensor 7720,anti-reflection honeycomb ring 7722, 1280×1024 SWIR 380-1600 nm sensor 7724,anti-reflection honeycomb ring 7728, and 1280×1024 SWIR 380-1600nm sensor 7730. Other embodiments may include additional TIR lenses, a FLIR sensor, and the like. - Referring to
FIG. 78 , a flight eye is depicted. The feed from the flight eye may be transmitted to theeyepiece 100 or any other suitable display device. The flight eye may include multiple individual SWIR sensors mounted in a folded imager array with multiple FOVs. The flight eye is a low profile, surveillance and target designating system that enables a continuous image of a whole battlefield in a single flyover, with each sensor at VGA to SXGA resolution, day or night, through fog, smoke and haze. Its modular design allows selective, fixed resolution changes in any element from 1° to 30° for telephoto to wide angle imaging in any area of the array. Each SWIR imager's resolution is 1280×1024 and sensitive from 380-1600 nm. A multi-DSP array board “stiches” all the imagery together and auto-subtracts the overlapping pixels for a seamless image. A coincident 1064 nm laser designator andrangefinder 7802 can be mounted coincident with any imager, without blocking its FOV. - Referring to
FIG. 106 , theeyepiece 100 may operate in conjunction with softwareinternal applications 7214 for the eyepiece that may be developed in association with an eyepieceapplication development environment 10604, where theeyepiece 100 may include a projection facility suitable to project an image onto a see-through or translucent lens, enabling the wearer of the eyepiece to view the surrounding environment as well as the displayed image as provided through the softwareinternal application 7214. A processor, which may include a memory and an operating system (OS) 10624, may host the softwareinternal application 7214, control interfaces between eyepiece command & control and the software application, control the projection facility, and the like. - In embodiments, the
eyepiece 100 may include anoperating system 10624 running on amultimedia computing facility 7212 that hosts an softwareinternal application 7214, wherein theinternal application 7214 may be a software application that has been developed by a third-party 7242 and provided for download to theeyepiece 100, such as from anapp store 10602, a 3D AR eyepiece app store 10610, from third party networkedapplication servers 10612, and the like. Theinternal application 7214 may interact with the eyepiececontrol process facility 10634 processes, such as in conjunction with anAPI 10608, throughinput devices 7204,external devices 7240,external computing facilities 7232, command andcontrol 10630 facilities of the eyepiece, and the like.Internal applications 7214 may be made available to theeyepiece 100 through anetwork communications connection 10622, such as the Internet, a local area network (LAN), a mesh network with other eyepieces or mobile devices, a satellite communications link, a cellular network, and the like.Internal applications 7214 may be purchased though an applications store, such as the 10602, 3D AR eyepiece app store 10610, and the like.app store Internal applications 7214 may be provided through a 3D AR eyepiece store 10610, such as softwareinternal applications 7214 specifically developed for theeyepiece 100. - An eyepiece
applications development environment 10604 may be available for software developers to create new eyepiece applications (e.g. 3D applications), modify base applications to create new 3D application versions of the base application, and the like. The eyepieceapplication development environment 10604 may include a 3D application environment that is adapted to provide a developer with access to control schemes, UI parameters and other specifications available on the eyepiece once the finished application is loaded on or otherwise made functional for the eyepiece. The eyepiece may includeAPI 10608 that is designed to facilitate communications between the finished application and the eyepiece computing systems. The application developer, within the developer's development environment may then focus on developing an application with certain functionality without concerning themselves with particulars of how to interact with the eyepiece hardware. The API may also make it more straightforward for a developer to modify an existing application to create a 3D application for use on theeyepiece 100. In embodiments, aninternal application 7214 may utilizenetworked servers 10612 for client-server configurations, hybrid client-server configurations (e.g. running theinternal application 7214 in part locally on theeyepiece 100 and in part on the application server 7214), hosting the application completely on the server, downloaded from the server, and the like.Network data storage 10614 may be provided in association with theinternal application 7214, such as in further association withapplication servers 10612, purchased applications, and the like. In embodiments,internal applications 7214 may interact with asponsor facility 10614,markets 10620, and the like, such as to provide sponsored advertisements in conjunction with the execution of theinternal application 7214, to provide marketplace content to the user of theeyepiece 100, and the like. - Referring to
FIG. 107 , the eyepieceapplication development environment 10604 may be used for development of applications that may be presented to theapp store 10602, the 3D AR eyepiece app store 10610, and the like. The eyepieceapplication development environment 10604 may include auser interface 10702, access to controlschemes 10704, and the like. For instance, a developer may utilize menus and dialog boxes within the user interface for accessingcontrol schemes 10704 for selection so the application developer may choose a scheme. The developer may be able select a template scheme that generally operates the application, but may also have individual controls that may be selected for various functions that may override the template function scheme at a point in the application execution. The developer may also be able to utilize theuser interface 10702 to develop applications with control schemes with a field of view (FOV) control, such as through a FOV interface. The FOV interface may provide a way to go between a FOV that shows both displays (for each eye) and a single display. In embodiments, 3D applications for the eyepiece may be designed within the single display view because the API 10610 will provide the translation which determines which display to be used for which content, although developers may be able to select a specific eye display for certain content. In embodiments, developers may be able to manually select and/or see what is going to be displayed in each eye, such as through theuser interface 10702. - The eyepiece may have a
software stack 10800 as described inFIG. 108 . Thesoftware stack 10800 may have a head-mounted hardware andsoftware platform layer 10818, an interface-API-wrapper toplatform layer 10814, libraries fordevelopment 10812 layer, anapplications layer 10801, and the like. Theapplications layer 10801 may in turn includeconsumer applications 10802,enterprise applications 10804,industrial applications 10808, and other likeapplications 10810. In addition,hardware 10820 associated with the execution or development ofinternal applications 7214 may also be incorporated into thesoftware stack 10800. - In embodiments, the user experience may be optimized by ensuring that the augmented images are in focus with respect to the surrounding environment and that the displays are set at the appropriate brightness given the ambient light and the content being displayed.
- In an embodiment, the eyepiece optical assembly may include an electrooptic module, aka display, for each eye that delivers content in a stereoscopic manner. In certain cases, a stereoscopic view is not desired. In embodiments, for certain content, only one display may be turned on or only one electrooptic module may be included in the optical assembly. In other embodiments, the brightness of each display may be varied so that the brain ignores the dimmer display. An auto-brightness control of the image source may control the brightness of the displayed content based on the brightness in the environment. The rate of brightness change may depend on the change in the environment. The rate of brightness change may be matched to the adaptation of the eye. The display content may be turned off for a period following a sudden change in environment brightness. The display content may be dimmed with a darkening of the environment. The display content may get brighter with a brightening of the environment.
- The methods and systems described herein may be deployed in part or in whole through a machine that executes computer software, program codes, and/or instructions on a processor. The processor may be part of a server, a cloud server, client, network infrastructure, mobile computing platform, stationary computing platform, or other computing platform. A processor may be any kind of computational or processing device capable of executing program instructions, codes, binary instructions and the like. The processor may be or include a signal processor, digital processor, embedded processor, microprocessor or any variant such as a co-processor (math co-processor, graphic co-processor, communication co-processor and the like) and the like that may directly or indirectly facilitate execution of program code or program instructions stored thereon. In addition, the processor may enable execution of multiple programs, threads, and codes. The threads may be executed simultaneously to enhance the performance of the processor and to facilitate simultaneous operations of the application. By way of implementation, methods, program codes, program instructions and the like described herein may be implemented in one or more thread. The thread may spawn other threads that may have assigned priorities associated with them; the processor may execute these threads based on priority or any other order based on instructions provided in the program code. The processor may include memory that stores methods, codes, instructions and programs as described herein and elsewhere. The processor may access a storage medium through an interface that may store methods, codes, and instructions as described herein and elsewhere. The storage medium associated with the processor for storing methods, programs, codes, program instructions or other type of instructions capable of being executed by the computing or processing device may include but may not be limited to one or more of a CD-ROM, DVD, memory, hard disk, flash drive, RAM, ROM, cache and the like.
- A processor may include one or more cores that may enhance speed and performance of a multiprocessor. In embodiments, the process may be a dual core processor, quad core processors, other chip-level multiprocessor and the like that combine two or more independent cores (called a die).
- The methods and systems described herein may be deployed in part or in whole through a machine that executes computer software on a server, client, firewall, gateway, hub, router, or other such computer and/or networking hardware. The software program may be associated with a server that may include a file server, print server, domain server, internet server, intranet server and other variants such as secondary server, host server, distributed server and the like. The server may include one or more of memories, processors, computer readable media, storage media, ports (physical and virtual), communication devices, and interfaces capable of accessing other servers, clients, machines, and devices through a wired or a wireless medium, and the like. The methods, programs or codes as described herein and elsewhere may be executed by the server. In addition, other devices required for execution of methods as described in this application may be considered as a part of the infrastructure associated with the server.
- The server may provide an interface to other devices including, without limitation, clients, other servers, printers, database servers, print servers, file servers, communication servers, distributed servers, social networks, and the like. Additionally, this coupling and/or connection may facilitate remote execution of program across the network. The networking of some or all of these devices may facilitate parallel processing of a program or method at one or more location. In addition, any of the devices attached to the server through an interface may include at least one storage medium capable of storing methods, programs, code and/or instructions. A central repository may provide program instructions to be executed on different devices. In this implementation, the remote repository may act as a storage medium for program code, instructions, and programs.
- The software program may be associated with a client that may include a file client, print client, domain client, internet client, intranet client and other variants such as secondary client, host client, distributed client and the like. The client may include one or more of memories, processors, computer readable media, storage media, ports (physical and virtual), communication devices, and interfaces capable of accessing other clients, servers, machines, and devices through a wired or a wireless medium, and the like. The methods, programs or codes as described herein and elsewhere may be executed by the client. In addition, other devices required for execution of methods as described in this application may be considered as a part of the infrastructure associated with the client.
- The client may provide an interface to other devices including, without limitation, servers, other clients, printers, database servers, print servers, file servers, communication servers, distributed servers and the like. Additionally, this coupling and/or connection may facilitate remote execution of program across the network. The networking of some or all of these devices may facilitate parallel processing of a program or method at one or more location. In addition, any of the devices attached to the client through an interface may include at least one storage medium capable of storing methods, programs, applications, code and/or instructions. A central repository may provide program instructions to be executed on different devices. In this implementation, the remote repository may act as a storage medium for program code, instructions, and programs.
- The methods and systems described herein may be deployed in part or in whole through network infrastructures. The network infrastructure may include elements such as computing devices, servers, routers, hubs, firewalls, clients, personal computers, communication devices, routing devices and other active and passive devices, modules and/or components as known in the art. The computing and/or non-computing device(s) associated with the network infrastructure may include, apart from other components, a storage medium such as flash memory, buffer, stack, RAM, ROM and the like. The processes, methods, program codes, instructions described herein and elsewhere may be executed by one or more of the network infrastructural elements.
- The methods, program codes, and instructions described herein and elsewhere may be implemented on a cellular network having multiple cells. The cellular network may either be frequency division multiple access (FDMA) network or code division multiple access (CDMA) network. The cellular network may include mobile devices, cell sites, base stations, repeaters, antennas, towers, and the like. The cell network may be a GSM, GPRS, 3G, EVDO, mesh, or other networks types.
- The methods, programs codes, and instructions described herein and elsewhere may be implemented on or through mobile devices. The mobile devices may include navigation devices, cell phones, mobile phones, mobile personal digital assistants, laptops, palmtops, netbooks, pagers, electronic books readers, music players and the like. These devices may include, apart from other components, a storage medium such as a flash memory, buffer, RAM, ROM and one or more computing devices. The computing devices associated with mobile devices may be enabled to execute program codes, methods, and instructions stored thereon. Alternatively, the mobile devices may be configured to execute instructions in collaboration with other devices. The mobile devices may communicate with base stations interfaced with servers and configured to execute program codes. The mobile devices may communicate on a peer to peer network, mesh network, or other communications network. The program code may be stored on the storage medium associated with the server and executed by a computing device embedded within the server. The base station may include a computing device and a storage medium. The storage device may store program codes and instructions executed by the computing devices associated with the base station.
- The computer software, program codes, and/or instructions may be stored and/or accessed on machine readable media that may include: computer components, devices, and recording media that retain digital data used for computing for some interval of time; semiconductor storage known as random access memory (RAM); mass storage typically for more permanent storage, such as optical discs, forms of magnetic storage like hard disks, tapes, drums, cards and other types; processor registers, cache memory, volatile memory, non-volatile memory; optical storage such as CD, DVD; removable media such as flash memory (e.g. USB sticks or keys), floppy disks, magnetic tape, paper tape, punch cards, standalone RAM disks, Zip drives, removable mass storage, off-line, and the like; other computer memory such as dynamic memory, static memory, read/write storage, mutable storage, read only, random access, sequential access, location addressable, file addressable, content addressable, network attached storage, storage area network, bar codes, magnetic ink, and the like.
- The methods and systems described herein may transform physical and/or or intangible items from one state to another. The methods and systems described herein may also transform data representing physical and/or intangible items from one state to another.
- The elements described and depicted herein, including in flow charts and block diagrams throughout the figures, imply logical boundaries between the elements. However, according to software or hardware engineering practices, the depicted elements and the functions thereof may be implemented on machines through computer executable media having a processor capable of executing program instructions stored thereon as a monolithic software structure, as standalone software modules, or as modules that employ external routines, code, services, and so forth, or any combination of these, and all such implementations may be within the scope of the present disclosure. Examples of such machines may include, but may not be limited to, personal digital assistants, laptops, personal computers, mobile phones, other handheld computing devices, medical equipment, wired or wireless communication devices, transducers, chips, calculators, satellites, tablet PCs, electronic books, gadgets, electronic devices, devices having artificial intelligence, computing devices, networking equipments, servers, routers, processor-embedded eyewear and the like. Furthermore, the elements depicted in the flow chart and block diagrams or any other logical component may be implemented on a machine capable of executing program instructions. Thus, while the foregoing drawings and descriptions set forth functional aspects of the disclosed systems, no particular arrangement of software for implementing these functional aspects should be inferred from these descriptions unless explicitly stated or otherwise clear from the context. Similarly, it will be appreciated that the various steps identified and described above may be varied, and that the order of steps may be adapted to particular applications of the techniques disclosed herein. All such variations and modifications are intended to fall within the scope of this disclosure. As such, the depiction and/or description of an order for various steps should not be understood to require a particular order of execution for those steps, unless required by a particular application, or explicitly stated or otherwise clear from the context.
- The methods and/or processes described above, and steps thereof, may be realized in hardware, software or any combination of hardware and software suitable for a particular application. The hardware may include a general purpose computer and/or dedicated computing device or specific computing device or particular aspect or component of a specific computing device. The processes may be realized in one or more microprocessors, microcontrollers, embedded microcontrollers, programmable digital signal processors or other programmable device, along with internal and/or external memory. The processes may also, or instead, be embodied in an application specific integrated circuit, a programmable gate array, programmable array logic, or any other device or combination of devices that may be configured to process electronic signals. It will further be appreciated that one or more of the processes may be realized as a computer executable code capable of being executed on a machine readable medium.
- The computer executable code may be created using a structured programming language such as C, an object oriented programming language such as C++, or any other high-level or low-level programming language (including assembly languages, hardware description languages, and database programming languages and technologies) that may be stored, compiled or interpreted to run on one of the above devices, as well as heterogeneous combinations of processors, processor architectures, or combinations of different hardware and software, or any other machine capable of executing program instructions.
- Thus, in one aspect, each method described above and combinations thereof may be embodied in computer executable code that, when executing on one or more computing devices, performs the steps thereof. In another aspect, the methods may be embodied in systems that perform the steps thereof, and may be distributed across devices in a number of ways, or all of the functionality may be integrated into a dedicated, standalone device or other hardware. In another aspect, the means for performing the steps associated with the processes described above may include any of the hardware and/or software described above. All such permutations and combinations are intended to fall within the scope of the present disclosure.
- In embodiments, the augmented reality eyepiece (AR) of the present invention, e.g.,
AR eyepiece 100 inFIG. 1 , is adapted to determine and/or compensate for the vergence of the user's eyes. Vergence is the simultaneous rotation of the user's eyes around a vertical axis to move their respective optical axes in opposite directions to obtain or maintain binocular vision. When a person looks at a closer object, the person's eyes move their respective optical axes inwardly toward the nose, a composite motion that is known as convergence. To look at a farther object, the person's eyes move their respective optical axes outwardly away from the nose, a composite motion that is known as divergence. The person's eyes diverge until their respective optical axes are essentially parallel to each other when the person is fixating on a point at infinity or very far away. Vergence works in conjunction with eye accommodation to permit a person to maintain a clear image of an object as the object moves relative to the person. Vergence compensation becomes important in situations where a virtual image, i.e., an AR image, such as a label or other information, is to be placed near to or overlap a real image or when a virtual image of an object is to be superimposed upon a real image of the object in order to make the placement of the virtual image correct with respect to the real image. Methods of the present invention for vergence compensation and/or determination are described in the following paragraphs [00829] through [00850] and are collectively referred to as vergence methods. - The vergence methods may include a determination of the distance an object of interest from the user of the AR eyepiece and subsequent use of that distance to determine the vergence angle, i.e, the angle formed by the intersection of the optical axes of the user's eyes as they look at the object. The vergence angle is then used to determine the correct placement of the AR image with respect to the object, which may be in front of, behind, or at the matched to the object. For example, in a first set of vergence method embodiments, a single autofocus digital camera having a output signal is mounted in the AR eyepiece at some convenient location, e.g., in the bridge section or near one of the temples. The output of the camera is provided to a microprocessor within the AR eyepiece and/or transmitted to a remote processor. In either case, its signals relating to its autofocus capabilities are used to determine the distance to objects which the user may see when the user is looking straight ahead. This distance, along with the interpupilary distance of the user's eyes, is to determine the vergence and the correct placement of a virtual image, e.g., a label, which may be desired for those objects. The distance and/or the vergence angle may also be used to determine the level of focus of the virtual object is to have to be properly observable by the user. Optionally, additional information about that particular user's vergence characteristics may be input and stored in memory associated with the microprocessor and used to adjust the determination of the vergence.
- In a second set of vergence method embodiments, an electronic range finder that is independent of a camera is incorporated into the AR eyepiece at some convenient location, e.g., in the bridge section or near one of the temples. In these embodiments, the output of the electronic range finder is used in the same manner as was the output of the autofocus camera described with regard to the first set of vergence method embodiments.
- In a third set of vergence method embodiments, the AR eyepiece includes a plurality of range finding devices which may be autofocus cameras and/or electronic range finders. All of the plurality of devices may be aligned so as to determine the distance of objects in the same direction or one or more of the devices may be aligned differently from the other devices so that information about the distance to a variety of objects is obtainable. The outputs from one or more of the devices are input and analyzed in the same manner as was the output of the autofocus camera described with regard to the first set of vergence methods.
- In a fourth set of vergence method embodiments, one or more range finding devices are employed in the manner discussed above. Additionally, the AR eyepiece includes one or more eye-tracking devices which are configured to track the movement and/or viewing direction of one or both of the user's eyes. The output of the eye-tracking devices is provided to a microprocessor within the AR eyepiece or may be transmitted to a remote processor. This output is used to determine the direction the user is viewing, and, when eye-tracking information from both eyes is available, to determine the vergence of the user's eyes. This direction and, if available, vergence information is then used alone or in conjunction with the vergence information determined from the range finding devices to determine placement, and optionally, the level of focus, of one or more virtual images related to one or more objects which the user may be viewing.
- In a fifth set of vergence methods, one or more range finding device is directed away from the direction that is straight ahead of the user of the AR eyepiece. Distances to objects detected by the range finder device are used to display virtual images of the object in the manner described above. Although the user may or may not be aware of the virtual images when he is looking straight ahead, the user will be aware of the virtual images when the user looks in the direction of the objects to which they are related.
- A calibration sequence may be used with any of the vergence method embodiments. The calibration sequence may employ steps of mechanical calibration nature, of an electronic calibration nature, or both. During the calibration sequence, the interpupilarly distance of the user may be determined. Also, the user may be requested to look at a series of real or virtual objects having range of real or virtual distances, e.g., from near to far, and the vergence of the eyes is measured either mechanically or electronically or both. The information from this calibration sequence may then be employed in the determinations of vergence, focusing, and/or virtual image placement when the AR eyepieces are in use. The calibration sequence is preferably employed when a user first puts on the AR eyepiece, but may be employed anytime the user believes that a recalibration would be helpful. Information correlating the user to that obtained during a calibration sequence may be stored for use whenever that particular user identifies himself to the AR eyepiece as its user, e.g., using any of the techniques described in this document.
- It is to be noted that some range finding devices use range determining methodologies in which information received from a device's sensors is mapped upon a space-representing rectilinear or non-rectilinear grid. The information from the various sectors of the grid is inter-compared to determine the range distance. In the vergence method embodiments, the raw sensor information, the mapping information, the calculated distance, or any combination of these may be used in the determination of the placement and/or focus of the virtual image or images.
- It is to be understood that the vergence method embodiments include the placement of a virtual image for one of the user's eyes or for both of the user's eyes. In some embodiments, one virtual image is provided to the user's left eye and a different virtual image is provided to the user's right eye. In cases where multiple images are placed before the user, whether or not the images are the same or different, the placement may be simultaneous, at different times, or interlaced in time, e.g., the images are shown at a predetermined flicker rate or rates (e.g., 30, 60, and/or 180 Hz) with the image for the left eye being present when the image for the right eye is not and vice versa. In some embodiments, a virtual image is shown only to the person's dominant eye and in others a virtual image is shown only to the person's non-dominant eye. In some embodiments which employ images which are interlaced in time, virtual images of various objects which are located at various distances from the user are displayed in the manner described above; when the user looks from the real image of one object to the real image of another object, only the virtual image corresponding to the real image of the object being viewed will be seen by the user's brain.
- In embodiments, the invention provides methods for providing a depth cue with augmented reality virtual objects or virtual information that can convey a wide range of perceived depth to a broad range of individuals with different eye characteristics. These depth cue method embodiments of the present invention use differences in the lateral positioning or disparity of the augmented reality images provided to the two eyes of the individual to provide differences in the vergence of the virtual objects or virtual information that convey a sense of depth. One advantage of these methods is that the lateral shifting of the augmented reality images can be different for different portions of the augmented reality images so that the perceived depth is different for those portions. In addition, the lateral shifting can be done through image processing of the portions of the augmented reality images. The user can experience a full range of perceived depth through this method from as near as the individual can focus to infinity regardless of the individual's age.
- In order to better understand these depth cue method embodiments of the present invention, it is useful to keep in mind that in some aspects of augmented reality, head mounted displays are used to add images of virtual objects or virtual information that are associated with the view of a scene as seen by a user. To add additional effects to the perception of the augmented it is useful to place the virtual objects or virtual information at a perceived depth in the scene. As an example, a virtual label can be placed onto an object in a scene such as the name of a building. The perceived association of the virtual label with the building is enhanced if the label and the building are perceived by the user to be at the same depth in the scene. Head mounted displays with see-through capabilities are well suited to providing augmented reality information such as labels and objects because they provide the user with a clear view of the environment. However, for the augmented reality information to be of value, it must be easily associated with the objects in the environment and as such the positioning of the augmented reality information relative to the objects in the see-through view is important. While horizontal and vertical positioning of augmented reality information is relatively straight forward if the head mounted display has a camera that can be calibrated to the see-through view, the depth positioning is more complicated. U.S. Pat. No. 6,690,393 describes a method for positioning 2D labels in a 3D virtual world. However, this method is not directed at displays with a see-through view where the majority of the image the user sees is not provided digitally and as such the 3D location of objects is not known. U.S. Pat. No. 7,907,166 describes a robotic surgical system using a stereo viewer in which telestration graphics are overlaid onto stereo images of an operating site. However, similar to the method described in U.S. Pat. No. 6,690,393, this system uses captured images which are then manipulated to add graphics and as such does not address the unique situation with see-through displays wherein the majority of the image is not provided digitally and the relative locations of objects that the user sees are not known. Another prior art method for augmented reality is to adjust the focus of the virtual objects or virtual information so that the user perceives differences in focus depth that provide a depth cue to the user. As the user has to refocus his/her eyes to look at objects in the scene and to look at the virtual objects or virtual information, the user perceives an associated depth. However, the range of depth that can be associated with focus is limited by the accommodation that the user's eyes are capable of This accommodation can be limited in some individuals particularly if the individual is older when eyes lose much of their accommodation range. In addition, the accommodation range is different depending on whether the user is near sighted or far sighted. These factors make the result of using focus cues unreliable for a large population of user's with different ages and different eye characteristics. Therefore, the need persists beyond what is available in the prior art for a widely useable method for associating depth information with augmented reality.
- Some of the depth cue method embodiments of the present invention are described in this and the following paragraphs [0XXX] through [0XYZ]. Head mounted displays with see-through capabilities provide a clear view of the scene in front of the user while also providing the ability to display an image, where the user sees a combined image comprised of the see-through view with the display image overlaid. The methods are entail the displaying of 3D labels and other 3D information using the see-through display to aid the user in interpreting the environment surrounding the user. A stereo pair of images of the 3D labels and other 3D information may be presented to the left and right eyes of the user to position the 3D labels and other 3D information at different depths in the scene as perceived by the user. In this way the 3D labels and other 3D information can be more easily associated with the see-through view and the surrounding environment.
-
FIG. 109 is an illustration of a head mounteddisplay device 109100 with see-through capabilities and is a special version ofaugmented reality eyepiece 100 shown inFIG. 1 and described throughout this document. The head mounteddisplay device 109100 includes see-throughdisplays 109110,stereo cameras 109120,electronics 109130, andrange finder 109140. This Wherein the electronics can include one or more of the following: a processor, a battery, a global positioning sensor (GPS), a direction sensor, data storage, a wireless communication system and a user interface. -
FIG. 110 is an illustration of the scene in front of the user as seen by the user in the see-through view. A number of objects at different depths in the scene are shown for discussion. InFIG. 111 several of the objects in the scene have been identified and labeled. However, the labels are presented in two dimensional (2D) fashion either by presenting the labels only to one eye of the user or by presenting the labels at the same positions in the image to each eye so the labels are coincident when viewed simultaneously. This type of labeling makes it more difficult to associate the labels with the objects particularly when there are foreground and background objects as the labels appear to be all located at the same perceived depth. - To make it easier to associate labels or other information with the desired objects or aspects of the environment, it is advantageous to present the labels or other information as three dimensional (3D) labels or other 3D information so that the information is perceived by the user to be at different depths. This may be done by presenting 3D labels or other 3D information in overlaid images to the two eyes of the user with a lateral shift in position between the images that are overlaid onto the see-through image so that the overlaid images have a perceived depth. This lateral shifting between images is also known as disparity to those skilled in stereo imaging and it causes the user to change the relative pointing of his/her eyes to align the images visually and this induces a perception of depth. The images with disparity are images of the 3D labels or other 3D information that are overlaid onto the see-through view of the scene seen by the user. By providing 3D labels with a large disparity, the user must align the optical axes of his/her eyes somewhat to bring the labels in the stereo images into alignment which gives a perception of the labels being located close to the user. The 3D labels that have a small disparity (or no disparity) can be visually aligned with the user's eyes looking straight ahead and this gives the perception of the 3D labels being located at a distance.
-
FIGS. 112 and 113 illustrate a stereo image pair for 3D labels to be applied to the see-through view shown inFIG. 110 .FIG. 112 is an image of the 3D labels shown to the user's left eye, whileFIG. 113 is an image of the 3D labels shown to the user's right eye. Together,FIG. 112 andFIG. 113 provide a stereo pair of images. In this stereo pair, the lateral positioning of the 3D labels is different between images shown inFIG. 112 andFIG. 113 .FIG. 114 provides an overlaid image ofFIG. 112 andFIG. 113 . For added clarity inFIG. 114 , the 3D labels fromFIG. 113 have been shown in grey while the 3D labels fromFIG. 112 are shown in black. In the foreground ofFIG. 114 , the 3D labels fromFIG. 113 are positioned to the left of the 3D labels fromFIG. 112 with a relatively large disparity. In the background ofFIG. 114 , the 3D labels fromFIG. 113 are coincident with and positioned on top of the 3D labels fromFIG. 112 with no disparity. In the mid-ground region shown inFIG. 114 , the 3D labels fromFIG. 112 andFIG. 113 have a medium disparity. This relative disparity of the 3D labels as presented to the left and right eyes corresponds to the depth perceived by the user. By selecting a depth for the 3D labels that is coincident with the depth of the object in the scene that the 3D label is associated with makes it easy for the user to understand the connection between the 3D label and the object or other aspect of the environment that the user sees in the see-through view.FIG. 115 shows the see-through view of the scene with the 3D labels showing their disparity. However, when viewed in real life, the user would change the pointing direction of his/her eyes to make the 3D labels be coincident within each left/right set and it is this that provides the perception of depth to the user. The calculation of disparity is known to those skilled in the art. The equation for relating disparity and distance is given by the equation -
Z=Tf/d - where Z is the distance to the object from the stereo cameras, T is the separation distance between the stereo cameras, f is the focal length of the camera lens, and d is the disparity distance on the camera sensor between images of the same object in the scene. Rearranging the term to solve for the disparity, the equation becomes
-
d=TF/Z - For example, for 7 mm focal length cameras which are separated by 120 mm and used in conjunctions with image sensors having center-to-center pixel distances of 2.2 micron, the disparities expressed in number of pixels a visual target point is shifted when one display is compared to the other are given Table 1 for some representative distances (given in meters).
-
TABLE 1 Distance (m) Disparity (pixels) 1 381.8 2 190.9 10 38.2 50 7.6 100 3.8 200 1.9 - It is noted that sometimes in the art the disparity values for stereo images are described using numbers which range from negative to positive, wherein zero disparity is defined for an object at a selected distance from the observer which the observer would perceive as being in the mid-ground. The above-recited equations must be adapted to account for this shift of the zero point. When disparity values are described in this way, the disparities of a close object and a far object may be the same in magnitude and but opposite in sign.
-
FIG. 116 shows illustrations of the stereo pair of images captured by thestereo cameras 109120 on the head mounteddisplay device 109100. Since these images are captured from different perspectives, they will have disparities that correspond to the distance from the head mounteddisplay device 109100. InFIG. 117 , the two images fromFIG. 116 are overlaid to show the disparity between the images in the stereo pair. This disparity matches the disparity seen in the 3D labels shown for the objects inFIGS. 114 and 115 . As such, the 3D labels will be perceived to be located at the same depth as the objects that they are intended to be associated withFIG. 118 shows an illustration of the 3D labels as seen by the user as overlays to the see-through view seen with the left and right eyes. -
FIG. 119 is a flowchart for a depth cue method embodiment of the present invention. Instep 119010, theelectronics 109130 in the head mounteddisplay device 109100, determine the GPS location using the GPS for the head mounteddisplay device 109100. Instep 119020, theelectronics 109130 determine the direction of view using an electronic compass. This enables the view location and view direction to be determined so that objects in the view and nearby objects can be located relative to the user's field of view by comparing the GPS location of the head mounteddisplay device 109100 to databases of the GPS locations of other objects in the head mounteddisplay device 109100 or by connecting to other databases using a wireless connection. Instep 119030, objects of interest are identified relative to the user's field of view either by theelectronics 109130 analyzing databases stored on thedevice 109100 or by wirelessly communicating in conjunction with another device. Instep 119040, distances to the objects of interest are determined by comparing the GPS location of the head mounteddisplay device 109100 to the GPS locations of the objects of interest. Labels relating names or other information about the objects of interest are then generated along with disparities to provide 3D labels at distances perceived by the user corresponding to the distances to the objects of interest instep 119050.FIG. 111 shows examples of labels comprising names, distances and descriptions for objects of interest in the user's field of view. Instep 119060, the 3D labels for the objects of interest are displayed to the user's left and right eyes with the disparities to provide the 3D labels at the desired depths. -
FIG. 120 is a flowchart for another a depth cue method embodiment of the present invention wherein steps similar to those in the steps ofFIG. 119 have been numbered using the same reference numerals as used inFIG. 119 . In step 120140, the distances and directions to the objects of interest relative to the user's field of view are determined either by theelectronics 109130 on the device or in conjunction with a wirelessly connected other device. Instep 120160, 3D labels are displayed to the user's left and right eyes with disparities to provide the 3D labels at the desired depths, and in addition, the 3D labels are provided in the portions of the user's field of view that correspond to the direction to the objects of interest.FIG. 111 shows an example where the label for a distant object of interest is provided toward the rear of the user's field of view and in the direction toward the distant object of interest, shown in this example as the label “10 miles to town this direction.” This feature provides a visual cue in the 3D information which makes it easy for the user to navigate to objects of interest. It should be noted that the 3D labels can be provided in front of other objects in the see-through field of view. -
FIG. 121 is a flowchart for yet another depth cue method embodiment of the present invention. In this embodiment, distances to objects of interest in the scene are determined with adistance measuring device 109140 such as a rangefinder. Instep 121010, one or more images are captured of a scene adjacent to the head mounteddisplay device 109100 usingstereo cameras 109120. Alternately, a single camera may be used to capture the one or more images of the scene. The one or more images of the scene can be different spectral types of images, for example, the images can be visible-light images, ultraviolet images, infrared images, or hyperspectral images. The image or images are analyzed instep 121020 to identify one or more objects of interest, wherein the analysis can be conducted by theelectronics 109130 or the image can be sent wirelessly to another device for analysis. Instep 121030, distances to objects of interest are determined using thedistance measuring device 109140. Disparities correlating correlate distances of the objects of interest are determined instep 121040. Instep 121050, labels or other information are determined for the objects of interest. Instep 121060, the 3D labels or other 3D information are displayed for the objects of interest. -
FIG. 122 is a flowchart for another depth cue method embodiment of the present invention. In this embodiment, the distances to objects in the scene are measured directly by using the stereo cameras to obtain a depth map of the scene. Instep 122010,stereo cameras 109120 are used to capture one or more stereo image sets of the scene adjacent to the head mounteddisplay device 109100. The one or more stereo image sets of the scene can be different spectral image types, for example, the stereo images can be visible-light images, ultraviolet images, infrared images, or hyperspectral images. The stereo image set or sets are analyzed instep 122020 to identify one or more objects of interest, wherein the analysis can be conducted by theelectronics 109130 or the stereo image set or sets can be sent wirelessly to another device for analysis. Instep 122030, the images in the stereo image set or sets are compared to determine the disparities for the one or more objects of interest. Instep 122040, labels or other related to the one or more objects of interest are determined. In 122050, 3D labels and/or 3D information is displayed for the one or more objects of interest.step - While the present disclosure includes many embodiments shown and described in detail, various modifications and improvements thereon will become readily apparent to those skilled in the art. Accordingly, the spirit and scope of the present invention is not to be limited by the foregoing examples, but is to be understood in the broadest sense allowable by law.
- All documents referenced herein are hereby incorporated by reference.
Claims (7)
Priority Applications (3)
| Application Number | Priority Date | Filing Date | Title |
|---|---|---|---|
| US13/429,721 US20120249797A1 (en) | 2010-02-28 | 2012-03-26 | Head-worn adaptive display |
| US15/071,904 US10539787B2 (en) | 2010-02-28 | 2016-03-16 | Head-worn adaptive display |
| US16/743,208 US20200192089A1 (en) | 2010-02-28 | 2020-01-15 | Head-worn adaptive display |
Applications Claiming Priority (17)
| Application Number | Priority Date | Filing Date | Title |
|---|---|---|---|
| US30897310P | 2010-02-28 | 2010-02-28 | |
| US37379110P | 2010-08-13 | 2010-08-13 | |
| US38257810P | 2010-09-14 | 2010-09-14 | |
| US41098310P | 2010-11-08 | 2010-11-08 | |
| US201161429445P | 2011-01-03 | 2011-01-03 | |
| US201161429447P | 2011-01-03 | 2011-01-03 | |
| US13/037,335 US20110213664A1 (en) | 2010-02-28 | 2011-02-28 | Local advertising content on an interactive head-mounted eyepiece |
| US13/037,324 US20110214082A1 (en) | 2010-02-28 | 2011-02-28 | Projection triggering through an external marker in an augmented reality eyepiece |
| US201161472491P | 2011-04-06 | 2011-04-06 | |
| US201161483400P | 2011-05-06 | 2011-05-06 | |
| US201161487371P | 2011-05-18 | 2011-05-18 | |
| US201161504513P | 2011-07-05 | 2011-07-05 | |
| US13/232,930 US9128281B2 (en) | 2010-09-14 | 2011-09-14 | Eyepiece with uniformly illuminated reflective display |
| US201161557289P | 2011-11-08 | 2011-11-08 | |
| US13/341,758 US20120194549A1 (en) | 2010-02-28 | 2011-12-30 | Ar glasses specific user interface based on a connected external device type |
| US201261584029P | 2012-01-06 | 2012-01-06 | |
| US13/429,721 US20120249797A1 (en) | 2010-02-28 | 2012-03-26 | Head-worn adaptive display |
Related Parent Applications (4)
| Application Number | Title | Priority Date | Filing Date |
|---|---|---|---|
| US13/037,324 Continuation-In-Part US20110214082A1 (en) | 2010-02-28 | 2011-02-28 | Projection triggering through an external marker in an augmented reality eyepiece |
| US13/037,335 Continuation-In-Part US20110213664A1 (en) | 2010-02-28 | 2011-02-28 | Local advertising content on an interactive head-mounted eyepiece |
| US13/232,930 Continuation-In-Part US9128281B2 (en) | 2010-02-28 | 2011-09-14 | Eyepiece with uniformly illuminated reflective display |
| US13/341,758 Continuation-In-Part US20120194549A1 (en) | 2010-02-28 | 2011-12-30 | Ar glasses specific user interface based on a connected external device type |
Related Child Applications (1)
| Application Number | Title | Priority Date | Filing Date |
|---|---|---|---|
| US15/071,904 Continuation US10539787B2 (en) | 2010-02-28 | 2016-03-16 | Head-worn adaptive display |
Publications (1)
| Publication Number | Publication Date |
|---|---|
| US20120249797A1 true US20120249797A1 (en) | 2012-10-04 |
Family
ID=46926738
Family Applications (3)
| Application Number | Title | Priority Date | Filing Date |
|---|---|---|---|
| US13/429,721 Abandoned US20120249797A1 (en) | 2010-02-28 | 2012-03-26 | Head-worn adaptive display |
| US15/071,904 Active US10539787B2 (en) | 2010-02-28 | 2016-03-16 | Head-worn adaptive display |
| US16/743,208 Abandoned US20200192089A1 (en) | 2010-02-28 | 2020-01-15 | Head-worn adaptive display |
Family Applications After (2)
| Application Number | Title | Priority Date | Filing Date |
|---|---|---|---|
| US15/071,904 Active US10539787B2 (en) | 2010-02-28 | 2016-03-16 | Head-worn adaptive display |
| US16/743,208 Abandoned US20200192089A1 (en) | 2010-02-28 | 2020-01-15 | Head-worn adaptive display |
Country Status (1)
| Country | Link |
|---|---|
| US (3) | US20120249797A1 (en) |
Cited By (414)
| Publication number | Priority date | Publication date | Assignee | Title |
|---|---|---|---|---|
| US20110102558A1 (en) * | 2006-10-05 | 2011-05-05 | Renaud Moliton | Display device for stereoscopic display |
| US20110285854A1 (en) * | 2010-05-18 | 2011-11-24 | Disney Enterprises, Inc. | System and method for theatrical followspot control interface |
| US20120072733A1 (en) * | 2010-09-17 | 2012-03-22 | International Business Machines Corporation | Wearable time-bracketed video authentication |
| US20120078510A1 (en) * | 2010-09-24 | 2012-03-29 | Honeywell International Inc. | Camera and inertial measurement unit integration with navigation data feedback for feature tracking |
| US20130023248A1 (en) * | 2011-07-18 | 2013-01-24 | Samsung Electronics Co., Ltd. | Method for executing application during call and mobile terminal supporting the same |
| US20130131985A1 (en) * | 2011-04-11 | 2013-05-23 | James D. Weiland | Wearable electronic image acquisition and enhancement system and method for image acquisition and visual enhancement |
| US8467133B2 (en) | 2010-02-28 | 2013-06-18 | Osterhout Group, Inc. | See-through display with an optical assembly including a wedge-shaped illumination system |
| US8472120B2 (en) | 2010-02-28 | 2013-06-25 | Osterhout Group, Inc. | See-through near-eye display glasses with a small scale image source |
| US8477425B2 (en) | 2010-02-28 | 2013-07-02 | Osterhout Group, Inc. | See-through near-eye display glasses including a partially reflective, partially transmitting optical element |
| US8482859B2 (en) | 2010-02-28 | 2013-07-09 | Osterhout Group, Inc. | See-through near-eye display glasses wherein image light is transmitted to and reflected from an optically flat film |
| US8488246B2 (en) | 2010-02-28 | 2013-07-16 | Osterhout Group, Inc. | See-through near-eye display glasses including a curved polarizing film in the image source, a partially reflective, partially transmitting optical element and an optically flat film |
| US8548852B2 (en) | 2010-08-25 | 2013-10-01 | The Nielsen Company (Us), Llc | Effective virtual reality environments for presentation of marketing materials |
| US20130278497A1 (en) * | 2012-04-23 | 2013-10-24 | Seiko Epson Corporation | Virtual image display apparatus |
| US20140007010A1 (en) * | 2012-06-29 | 2014-01-02 | Nokia Corporation | Method and apparatus for determining sensory data associated with a user |
| US8655428B2 (en) | 2010-05-12 | 2014-02-18 | The Nielsen Company (Us), Llc | Neuro-response data synchronization |
| US20140057657A1 (en) * | 2004-10-25 | 2014-02-27 | A9.Com, Inc. | Displaying location-specific images on a mobile device |
| WO2014065700A1 (en) * | 2013-04-03 | 2014-05-01 | Gazzaev Sarmat Muratovich | System for producing animated images, for example video images |
| DE102012022472A1 (en) * | 2012-11-16 | 2014-05-22 | Grenzebach Maschinenbau Gmbh | Method and apparatus for combined simulation and control of remotely controlled vehicles |
| US20140145627A1 (en) * | 2012-11-29 | 2014-05-29 | Beyond Innovation Technology Co., Ltd. | Load driving apparatus relating to light-emitting-diodes |
| US20140181741A1 (en) * | 2012-12-24 | 2014-06-26 | Microsoft Corporation | Discreetly displaying contextually relevant information |
| EP2767845A1 (en) * | 2013-02-14 | 2014-08-20 | BlackBerry Limited | Augmented reality system with encoding beacons |
| US8814691B2 (en) | 2010-02-28 | 2014-08-26 | Microsoft Corporation | System and method for social networking gaming with an augmented reality |
| CN104007817A (en) * | 2013-02-21 | 2014-08-27 | Metaio有限公司 | A wearable information system having at least one camera |
| US20140240484A1 (en) * | 2013-02-25 | 2014-08-28 | Tokyo Electron Limited | Support information display method, maintenance support method of substrate processing apparatus, support information display control apparatus, substrate processing system and recording medium |
| US20140247151A1 (en) * | 2013-03-04 | 2014-09-04 | Hello Inc. | System or device with wearable devices having one or more sensors with assignment of a wearable device user identifier to a wearable device user |
| EP2778854A2 (en) * | 2013-03-15 | 2014-09-17 | Immersion Corporation | Wearable device and augmented reality device |
| US20140265866A1 (en) * | 2013-03-15 | 2014-09-18 | Microchip Technology Incorporated | Constant Brightness LED Drive Communications Port |
| US20140264978A1 (en) * | 2013-03-15 | 2014-09-18 | Johnson & Johnson Vision Care, Inc. | Ophthalmic lens viewing sets for three-dimensional perception of stereoscopic media |
| WO2014164901A1 (en) * | 2013-03-11 | 2014-10-09 | Magic Leap, Inc. | System and method for augmented and virtual reality |
| US20140316610A1 (en) * | 2013-04-01 | 2014-10-23 | Omron Automotive Electronics Co., Ltd. | Vehicle portable key |
| US20140324250A1 (en) * | 2013-04-01 | 2014-10-30 | Omron Automotive Electronics Co., Ltd. | Vehicle portable key |
| US20140336866A1 (en) * | 2013-05-13 | 2014-11-13 | Bayerische Motoren Werke Aktiengesellschaft | Method for Determining Input Data of a Driver Assistance Unit |
| US20140375799A1 (en) * | 2013-06-19 | 2014-12-25 | Honeywell International Inc. | Hands-Free User Interface for Security Systems |
| US8947783B2 (en) | 2013-01-02 | 2015-02-03 | Google Inc. | Optical combiner for near-eye display |
| WO2014100832A3 (en) * | 2012-12-21 | 2015-02-05 | Glow Motion Technologies, Llc | Method and system for patterning elements having two states |
| US20150058021A1 (en) * | 2013-08-23 | 2015-02-26 | Jijesoft Co., Ltd. | Miniature, Wearable, Kitchen Ordering Apparatus |
| WO2015034377A1 (en) * | 2013-09-04 | 2015-03-12 | Livestock Improvement Corporation Limited | Farm management system and method |
| US20150081550A1 (en) * | 2013-09-10 | 2015-03-19 | Scvngr, Inc. | Remote transaction processing using biometrics |
| US8989835B2 (en) | 2012-08-17 | 2015-03-24 | The Nielsen Company (Us), Llc | Systems and methods to gather and analyze electroencephalographic data |
| WO2015048890A1 (en) * | 2013-10-03 | 2015-04-09 | Sulon Technologies Inc. | System and method for augmented reality and virtual reality applications |
| US9042596B2 (en) | 2012-06-14 | 2015-05-26 | Medibotics Llc | Willpower watch (TM)—a wearable food consumption monitor |
| US20150172541A1 (en) * | 2013-12-17 | 2015-06-18 | Glen J. Anderson | Camera Array Analysis Mechanism |
| US9071755B2 (en) * | 2013-08-30 | 2015-06-30 | Sky Light Electronic (Shen Zhen) Limited Corporation | Sports camera |
| US20150187357A1 (en) * | 2013-12-30 | 2015-07-02 | Samsung Electronics Co., Ltd. | Natural input based virtual ui system for mobile devices |
| US9085262B2 (en) | 2012-10-08 | 2015-07-21 | Microsoft Technology Licensing, Llc | Tinting indication of environmental conditions |
| US9091851B2 (en) | 2010-02-28 | 2015-07-28 | Microsoft Technology Licensing, Llc | Light control in head mounted displays |
| US20150212326A1 (en) * | 2014-01-29 | 2015-07-30 | Google Inc. | Dynamic lens for head mounted display |
| US20150215585A1 (en) * | 2014-01-30 | 2015-07-30 | Google Inc. | System and method for providing live imagery associated with map locations |
| US9097891B2 (en) | 2010-02-28 | 2015-08-04 | Microsoft Technology Licensing, Llc | See-through near-eye display glasses including an auto-brightness control for the display brightness based on the brightness in the environment |
| US9097890B2 (en) | 2010-02-28 | 2015-08-04 | Microsoft Technology Licensing, Llc | Grating in a light transmissive illumination system for see-through near-eye display glasses |
| US9128281B2 (en) | 2010-09-14 | 2015-09-08 | Microsoft Technology Licensing, Llc | Eyepiece with uniformly illuminated reflective display |
| US9129295B2 (en) | 2010-02-28 | 2015-09-08 | Microsoft Technology Licensing, Llc | See-through near-eye display glasses with a fast response photochromic film system for quick transition from dark to clear |
| US9134534B2 (en) | 2010-02-28 | 2015-09-15 | Microsoft Technology Licensing, Llc | See-through near-eye display glasses including a modular image source |
| US9132342B2 (en) | 2012-10-31 | 2015-09-15 | Sulon Technologies Inc. | Dynamic environment and location based augmented reality (AR) systems |
| US9134792B2 (en) | 2013-01-14 | 2015-09-15 | Qualcomm Incorporated | Leveraging physical handshaking in head mounted displays |
| US20150260887A1 (en) * | 2014-03-13 | 2015-09-17 | Thermoteknix Systems Ltd. | Optical data insertion devices |
| US20150302663A1 (en) * | 2014-04-18 | 2015-10-22 | Magic Leap, Inc. | Recognizing objects in a passable world model in an augmented or virtual reality system |
| US9176582B1 (en) | 2013-04-10 | 2015-11-03 | Google Inc. | Input system |
| US9182596B2 (en) | 2010-02-28 | 2015-11-10 | Microsoft Technology Licensing, Llc | See-through near-eye display glasses with the optical assembly including absorptive polarizers or anti-reflective coatings to reduce stray light |
| US9183612B2 (en) | 2013-09-04 | 2015-11-10 | Qualcomm Incorporated | Wearable display device use-based data processing control |
| US20150324698A1 (en) * | 2014-05-06 | 2015-11-12 | Broadcom Corporation | Context-aware decision making |
| US20150359681A1 (en) * | 2014-06-16 | 2015-12-17 | International Business Machines Corporation | Non-invasive vision enhancement |
| US9223134B2 (en) | 2010-02-28 | 2015-12-29 | Microsoft Technology Licensing, Llc | Optical imperfections in a light transmissive illumination system for see-through near-eye display glasses |
| US9229227B2 (en) | 2010-02-28 | 2016-01-05 | Microsoft Technology Licensing, Llc | See-through near-eye display glasses with a light transmissive wedge shaped illumination system |
| WO2016010938A1 (en) * | 2014-07-17 | 2016-01-21 | Microsoft Technology Licensing, Llc | Route inspection portals |
| US20160018641A1 (en) * | 2014-07-15 | 2016-01-21 | Osterhout Group, Inc. | Content presentation in head worn computing |
| US9254099B2 (en) | 2013-05-23 | 2016-02-09 | Medibotics Llc | Smart watch and food-imaging member for monitoring food consumption |
| US20160063652A1 (en) * | 2014-08-29 | 2016-03-03 | Jijesoft Co., Ltd. | Infrared-Based Apparatus for Using Gestures to Place Food Orders and Method of Use |
| US9285589B2 (en) | 2010-02-28 | 2016-03-15 | Microsoft Technology Licensing, Llc | AR glasses with event and sensor triggered control of AR eyepiece applications |
| US9292858B2 (en) | 2012-02-27 | 2016-03-22 | The Nielsen Company (Us), Llc | Data collection system for aggregating biologically based measures in asynchronous geographically distributed public environments |
| CN105453011A (en) * | 2013-06-18 | 2016-03-30 | 微软技术许可有限责任公司 | Virtual object orientation and visualization |
| US20160091722A1 (en) * | 2014-09-30 | 2016-03-31 | Omnivision Technologies, Inc. | Near-Eye Display Device And Methods With Coaxial Eye Imaging |
| US9323057B2 (en) | 2012-12-07 | 2016-04-26 | Blackberry Limited | Mobile device, system and method for controlling a heads-up display |
| US9320450B2 (en) | 2013-03-14 | 2016-04-26 | The Nielsen Company (Us), Llc | Methods and apparatus to gather and analyze electroencephalographic data |
| US9341843B2 (en) | 2010-02-28 | 2016-05-17 | Microsoft Technology Licensing, Llc | See-through near-eye display glasses with a small scale image source |
| US20160156850A1 (en) * | 2014-11-10 | 2016-06-02 | Visionize Corp. | Methods and Apparatus for Vision Enhancement |
| US20160152351A1 (en) * | 2014-12-02 | 2016-06-02 | Honeywell International Inc. | Near-to-eye display systems and methods for verifying aircraft components |
| WO2016085920A1 (en) * | 2014-11-25 | 2016-06-02 | Webandz, Inc. | Geolocation bracelet, systems, and methods |
| US9366862B2 (en) | 2010-02-28 | 2016-06-14 | Microsoft Technology Licensing, Llc | System and method for delivering content to a group of see-through near eye display eyepieces |
| US9367960B2 (en) | 2013-05-22 | 2016-06-14 | Microsoft Technology Licensing, Llc | Body-locked placement of augmented reality objects |
| US9366869B2 (en) | 2014-11-10 | 2016-06-14 | Google Inc. | Thin curved eyepiece for see-through head wearable display |
| GB2533789A (en) * | 2014-12-30 | 2016-07-06 | Nokia Technologies Oy | User interface for augmented reality |
| US9389431B2 (en) | 2011-11-04 | 2016-07-12 | Massachusetts Eye & Ear Infirmary | Contextual image stabilization |
| US9389422B1 (en) | 2013-12-23 | 2016-07-12 | Google Inc. | Eyepiece for head wearable display using partial and total internal reflections |
| US9395544B2 (en) | 2014-03-13 | 2016-07-19 | Google Inc. | Eyepiece with switchable reflector for head wearable display |
| US20160212515A1 (en) * | 2015-01-20 | 2016-07-21 | Taction Technology Inc. | Apparatus and methods for altering the appearance of wearable devices |
| US20160210834A1 (en) * | 2015-01-21 | 2016-07-21 | Toyota Motor Engineering & Manufacturing North America, Inc. | Wearable smart device for hazard detection and warning based on image and audio data |
| US9401048B2 (en) | 2013-03-15 | 2016-07-26 | Qualcomm Incorporated | Methods and apparatus for augmented reality target detection |
| EP2939065A4 (en) * | 2012-12-31 | 2016-08-10 | Esight Corp | APPARATUS AND METHOD FOR ATTACHING VISION FIELD INCREASE VISIOCASQUE SYSTEMS |
| US9417452B2 (en) | 2013-03-15 | 2016-08-16 | Magic Leap, Inc. | Display system and method |
| US9442100B2 (en) | 2013-12-18 | 2016-09-13 | Medibotics Llc | Caloric intake measuring system using spectroscopic and 3D imaging analysis |
| US9442291B1 (en) | 2013-06-28 | 2016-09-13 | Google Inc. | Segmented diffractive optical elements for a head wearable display |
| US9451303B2 (en) | 2012-02-27 | 2016-09-20 | The Nielsen Company (Us), Llc | Method and system for gathering and computing an audience's neurologically-based reactions in a distributed framework involving remote storage and computing |
| US20160274365A1 (en) * | 2015-03-17 | 2016-09-22 | Thalmic Labs Inc. | Systems, devices, and methods for wearable heads-up displays with heterogeneous display quality |
| US9454646B2 (en) | 2010-04-19 | 2016-09-27 | The Nielsen Company (Us), Llc | Short imagery task (SIT) research method |
| USD768024S1 (en) | 2014-09-22 | 2016-10-04 | Toyota Motor Engineering & Manufacturing North America, Inc. | Necklace with a built in guidance device |
| US9459455B2 (en) | 2013-12-19 | 2016-10-04 | Google Inc. | See-through eyepiece for head wearable display |
| US20160295341A1 (en) * | 2012-01-06 | 2016-10-06 | Bit Cauldron Corporation | Method and apparatus for providing 3d audio |
| US20160313973A1 (en) * | 2015-04-24 | 2016-10-27 | Seiko Epson Corporation | Display device, control method for display device, and computer program |
| US9483875B2 (en) | 2013-02-14 | 2016-11-01 | Blackberry Limited | Augmented reality system with encoding beacons |
| US9488836B2 (en) | 2013-05-02 | 2016-11-08 | Microsoft Technology Licensing, Llc | Spherical interface for binocular display |
| US9494800B2 (en) | 2014-01-21 | 2016-11-15 | Osterhout Group, Inc. | See-through computer display systems |
| EP3005284A4 (en) * | 2013-05-28 | 2016-11-16 | Pixium Vision Sa | INTELLIGENT PROSTHESIS TO FACILITATE ARTIFICIAL VISION USING SCENE ABSTRACTION |
| US9501143B2 (en) | 2014-01-03 | 2016-11-22 | Eric Pellaton | Systems and method for controlling electronic devices using radio frequency identification (RFID) devices |
| EP3098693A1 (en) * | 2015-05-26 | 2016-11-30 | LG Electronics Inc. | Eyerwear-type terminal and method for controlling the same |
| US9523856B2 (en) | 2014-01-21 | 2016-12-20 | Osterhout Group, Inc. | See-through computer display systems |
| CN106249866A (en) * | 2016-05-12 | 2016-12-21 | 温州职业技术学院 | Vision auxiliary eyeglasses and image-recognizing method thereof |
| CN106236524A (en) * | 2016-07-29 | 2016-12-21 | 李苏安 | A kind of walking aid for blind |
| US9529192B2 (en) | 2014-01-21 | 2016-12-27 | Osterhout Group, Inc. | Eye imaging in head worn computing |
| US9529195B2 (en) | 2014-01-21 | 2016-12-27 | Osterhout Group, Inc. | See-through computer display systems |
| US9529385B2 (en) | 2013-05-23 | 2016-12-27 | Medibotics Llc | Smart watch and human-to-computer interface for monitoring food consumption |
| US9536449B2 (en) | 2013-05-23 | 2017-01-03 | Medibotics Llc | Smart watch and food utensil for monitoring food consumption |
| US20170010647A1 (en) * | 2012-10-14 | 2017-01-12 | Ari M. Frank | Reducing power consumed by a head-mounted system that measures affective response to content |
| US9547465B2 (en) | 2014-02-14 | 2017-01-17 | Osterhout Group, Inc. | Object shadowing in head worn computing |
| US9549583B2 (en) | 2013-01-04 | 2017-01-24 | Bell Sports, Inc. | Helmet with integrated electronic components |
| US9551872B1 (en) | 2013-12-30 | 2017-01-24 | Google Inc. | Spatially multiplexed lens for head mounted display |
| US9560273B2 (en) | 2014-02-21 | 2017-01-31 | Apple Inc. | Wearable information system having at least one camera |
| US9554606B2 (en) | 2012-09-18 | 2017-01-31 | Bell Sports, Inc. | Protective headwear assembly having a built-in camera |
| US9569986B2 (en) | 2012-02-27 | 2017-02-14 | The Nielsen Company (Us), Llc | System and method for gathering and analyzing biometric user feedback for use in social media and advertising applications |
| US9578307B2 (en) | 2014-01-14 | 2017-02-21 | Toyota Motor Engineering & Manufacturing North America, Inc. | Smart necklace with stereo vision and onboard processing |
| US9575321B2 (en) | 2014-06-09 | 2017-02-21 | Osterhout Group, Inc. | Content presentation in head worn computing |
| US9578318B2 (en) | 2012-03-14 | 2017-02-21 | Microsoft Technology Licensing, Llc | Imaging structure emitter calibration |
| US9581820B2 (en) | 2012-06-04 | 2017-02-28 | Microsoft Technology Licensing, Llc | Multiple waveguide imaging structure |
| US20170059870A1 (en) * | 2015-02-25 | 2017-03-02 | LG lnnotek Co., Ltd. | Optical apparatus |
| US9586318B2 (en) * | 2015-02-27 | 2017-03-07 | Toyota Motor Engineering & Manufacturing North America, Inc. | Modular robot with smart device |
| US20170068437A1 (en) * | 2012-10-12 | 2017-03-09 | Apollo Designs, LLC | Wearable Electronic Device With Interface |
| US9594246B2 (en) | 2014-01-21 | 2017-03-14 | Osterhout Group, Inc. | See-through computer display systems |
| US20170084203A1 (en) * | 2014-03-07 | 2017-03-23 | D.R.I. Systems LLC | Stereo 3d head mounted display applied as a low vision aid |
| EP2972763A4 (en) * | 2013-03-15 | 2017-03-29 | Elwha LLC | Temporal element restoration in augmented reality systems |
| US20170097753A1 (en) * | 2015-10-01 | 2017-04-06 | Thalmic Labs Inc. | Systems, devices, and methods for interacting with content displayed on head-mounted displays |
| US9615742B2 (en) | 2014-01-21 | 2017-04-11 | Osterhout Group, Inc. | Eye imaging in head worn computing |
| US9622702B2 (en) | 2014-04-03 | 2017-04-18 | The Nielsen Company (Us), Llc | Methods and apparatus to gather and analyze electroencephalographic data |
| US9629774B2 (en) | 2014-01-14 | 2017-04-25 | Toyota Motor Engineering & Manufacturing North America, Inc. | Smart necklace with stereo vision and onboard processing |
| US9639985B2 (en) | 2013-06-24 | 2017-05-02 | Microsoft Technology Licensing, Llc | Active binocular alignment for near eye displays |
| US9638836B1 (en) * | 2011-08-17 | 2017-05-02 | Lockheed Martin Corporation | Lenses having astigmatism correcting inside reflective surface |
| US9639964B2 (en) | 2013-03-15 | 2017-05-02 | Elwha Llc | Dynamically preserving scene elements in augmented reality systems |
| US9651784B2 (en) | 2014-01-21 | 2017-05-16 | Osterhout Group, Inc. | See-through computer display systems |
| US9651787B2 (en) | 2014-04-25 | 2017-05-16 | Osterhout Group, Inc. | Speaker assembly for headworn computer |
| US9672210B2 (en) | 2014-04-25 | 2017-06-06 | Osterhout Group, Inc. | Language translation with head-worn computing |
| US9671863B2 (en) | 2012-10-05 | 2017-06-06 | Elwha Llc | Correlating user reaction with at least an aspect associated with an augmentation of an augmented view |
| US9671566B2 (en) | 2012-06-11 | 2017-06-06 | Magic Leap, Inc. | Planar waveguide apparatus with diffraction element(s) and system employing same |
| US9671613B2 (en) | 2014-09-26 | 2017-06-06 | Osterhout Group, Inc. | See-through computer display systems |
| US9674047B2 (en) | 2012-10-05 | 2017-06-06 | Elwha Llc | Correlating user reactions with augmentations displayed through augmented views |
| CN106846463A (en) * | 2017-01-13 | 2017-06-13 | 清华大学 | Micro-image three-dimensional rebuilding method and system based on deep learning neutral net |
| US9677901B2 (en) | 2015-03-10 | 2017-06-13 | Toyota Motor Engineering & Manufacturing North America, Inc. | System and method for providing navigation instructions at optimal times |
| US9684172B2 (en) | 2014-12-03 | 2017-06-20 | Osterhout Group, Inc. | Head worn computer display systems |
| US9684174B2 (en) | 2012-02-15 | 2017-06-20 | Microsoft Technology Licensing, Llc | Imaging structure with embedded light sources |
| EP3187921A1 (en) * | 2015-12-30 | 2017-07-05 | Essilor International (Compagnie Generale D'optique) | Ophthalmic device including an ophthalmic lens and a plurality of electronic components |
| EP3187920A1 (en) * | 2015-12-30 | 2017-07-05 | Essilor International (Compagnie Generale D'optique) | Ophthalmic device including an ophthalmic lens for a spectacles associated with at least one electrically controlled functionality |
| USD792400S1 (en) | 2014-12-31 | 2017-07-18 | Osterhout Group, Inc. | Computer glasses |
| US9715112B2 (en) | 2014-01-21 | 2017-07-25 | Osterhout Group, Inc. | Suppression of stray light in head worn computing |
| US9720234B2 (en) | 2014-01-21 | 2017-08-01 | Osterhout Group, Inc. | See-through computer display systems |
| US9726887B2 (en) | 2012-02-15 | 2017-08-08 | Microsoft Technology Licensing, Llc | Imaging structure color conversion |
| USD794637S1 (en) | 2015-01-05 | 2017-08-15 | Osterhout Group, Inc. | Air mouse |
| US9740280B2 (en) | 2014-01-21 | 2017-08-22 | Osterhout Group, Inc. | Eye imaging in head worn computing |
| US9746686B2 (en) | 2014-05-19 | 2017-08-29 | Osterhout Group, Inc. | Content position calibration in head worn computing |
| US9753288B2 (en) | 2014-01-21 | 2017-09-05 | Osterhout Group, Inc. | See-through computer display systems |
| US9759917B2 (en) | 2010-02-28 | 2017-09-12 | Microsoft Technology Licensing, Llc | AR glasses with event and sensor triggered AR eyepiece interface to external devices |
| US9766463B2 (en) | 2014-01-21 | 2017-09-19 | Osterhout Group, Inc. | See-through computer display systems |
| US9766449B2 (en) | 2014-06-25 | 2017-09-19 | Thalmic Labs Inc. | Systems, devices, and methods for wearable heads-up displays |
| US9784973B2 (en) | 2014-02-11 | 2017-10-10 | Osterhout Group, Inc. | Micro doppler presentations in head worn computing |
| CN107239725A (en) * | 2016-03-29 | 2017-10-10 | 阿里巴巴集团控股有限公司 | A kind of information displaying method, apparatus and system |
| US20170293146A1 (en) * | 2016-04-07 | 2017-10-12 | Oculus Vr, Llc | Accommodation based optical correction |
| US20170309152A1 (en) * | 2016-04-20 | 2017-10-26 | Ulysses C. Dinkins | Smart safety apparatus, system and method |
| US9810906B2 (en) | 2014-06-17 | 2017-11-07 | Osterhout Group, Inc. | External user interface for head worn computing |
| US9811152B2 (en) | 2014-01-21 | 2017-11-07 | Osterhout Group, Inc. | Eye imaging in head worn computing |
| US9811752B2 (en) | 2015-03-10 | 2017-11-07 | Toyota Motor Engineering & Manufacturing North America, Inc. | Wearable smart device and method for redundant object identification |
| US20170326446A1 (en) * | 2012-04-05 | 2017-11-16 | Microsoft Technology Licensing, Llc | Augmented reality and physical games |
| US9829707B2 (en) | 2014-08-12 | 2017-11-28 | Osterhout Group, Inc. | Measuring content brightness in head worn computing |
| US9836122B2 (en) | 2014-01-21 | 2017-12-05 | Osterhout Group, Inc. | Eye glint imaging in see-through computer display systems |
| US9841599B2 (en) | 2014-06-05 | 2017-12-12 | Osterhout Group, Inc. | Optical configurations for head-worn see-through displays |
| US9843093B2 (en) | 2014-02-11 | 2017-12-12 | Osterhout Group, Inc. | Spatial location presentation in head worn computing |
| CN107463262A (en) * | 2017-08-14 | 2017-12-12 | 中国电子科技集团公司第二十八研究所 | A kind of multi-person synergy exchange method based on HoloLens |
| US9851177B2 (en) * | 2013-10-04 | 2017-12-26 | Bae Systems Information And Electronic Systems Integration Inc. | Coating for light security |
| US9852545B2 (en) * | 2014-02-11 | 2017-12-26 | Osterhout Group, Inc. | Spatial location presentation in head worn computing |
| WO2018001320A1 (en) * | 2016-07-01 | 2018-01-04 | 成都理想境界科技有限公司 | Near-eye display system, virtual-reality device, and augmented-reality device |
| US20180032838A1 (en) * | 2016-07-29 | 2018-02-01 | Massachusetts Institute Of Technology | Deviation Magnification: Revealing Departures from Ideal Geometries |
| US9898039B2 (en) | 2015-08-03 | 2018-02-20 | Toyota Motor Engineering & Manufacturing North America, Inc. | Modular smart necklace |
| US9904051B2 (en) | 2015-10-23 | 2018-02-27 | Thalmic Labs Inc. | Systems, devices, and methods for laser eye tracking |
| WO2018044516A1 (en) * | 2016-08-29 | 2018-03-08 | Analogix Semiconductor, Inc. | Systems and methods for generating display views tracking user head movement for head-mounted display devices |
| US9915823B1 (en) | 2014-05-06 | 2018-03-13 | Google Llc | Lightguide optical combiner for head wearable display |
| US9915545B2 (en) | 2014-01-14 | 2018-03-13 | Toyota Motor Engineering & Manufacturing North America, Inc. | Smart necklace with stereo vision and onboard processing |
| US20180074549A1 (en) * | 2015-03-27 | 2018-03-15 | Shenzhen Royole Technologies Co. Ltd. | Modularized head-mounted display device, and assembly and disassembly module |
| US9922236B2 (en) | 2014-09-17 | 2018-03-20 | Toyota Motor Engineering & Manufacturing North America, Inc. | Wearable eyeglasses for providing social and environmental awareness |
| US9928463B2 (en) * | 2014-03-25 | 2018-03-27 | Nany Ang Technological University | Episodic and semantic memory based remembrance agent modeling method and system for virtual companions |
| US20180090112A1 (en) * | 2016-09-23 | 2018-03-29 | Manan Goel | Ultra-wide band (uwb) radio-based object sensing |
| US9936250B2 (en) | 2015-05-19 | 2018-04-03 | The Nielsen Company (Us), Llc | Methods and apparatus to adjust content presented to an individual |
| CN107894828A (en) * | 2016-10-04 | 2018-04-10 | 宏达国际电子股份有限公司 | Virtual reality processing method and electronic device for processing virtual reality |
| US9939934B2 (en) | 2014-01-17 | 2018-04-10 | Osterhout Group, Inc. | External user interface for head worn computing |
| US9939646B2 (en) | 2014-01-24 | 2018-04-10 | Osterhout Group, Inc. | Stray light suppression for head worn computing |
| US9952664B2 (en) | 2014-01-21 | 2018-04-24 | Osterhout Group, Inc. | Eye imaging in head worn computing |
| US9958682B1 (en) | 2015-02-17 | 2018-05-01 | Thalmic Labs Inc. | Systems, devices, and methods for splitter optics in wearable heads-up displays |
| US9958275B2 (en) | 2016-05-31 | 2018-05-01 | Toyota Motor Engineering & Manufacturing North America, Inc. | System and method for wearable smart device communications |
| US9965681B2 (en) | 2008-12-16 | 2018-05-08 | Osterhout Group, Inc. | Eye imaging in head worn computing |
| US9972216B2 (en) | 2015-03-20 | 2018-05-15 | Toyota Motor Engineering & Manufacturing North America, Inc. | System and method for storing and playback of information for blind users |
| US20180146304A1 (en) * | 2015-04-13 | 2018-05-24 | DSCG Solutions, Inc. | Audio detection system and methods |
| US20180150988A1 (en) * | 2013-11-04 | 2018-05-31 | At&T Intellectual Property I, Lp | System and Method for Enabling Mirror Video Chat Using a Wearable Display Device |
| US9989764B2 (en) | 2015-02-17 | 2018-06-05 | Thalmic Labs Inc. | Systems, devices, and methods for eyebox expansion in wearable heads-up displays |
| US10012505B2 (en) | 2016-11-11 | 2018-07-03 | Toyota Motor Engineering & Manufacturing North America, Inc. | Wearable system for providing walking directions |
| US10018844B2 (en) | 2015-02-09 | 2018-07-10 | Microsoft Technology Licensing, Llc | Wearable image display system |
| US10024678B2 (en) | 2014-09-17 | 2018-07-17 | Toyota Motor Engineering & Manufacturing North America, Inc. | Wearable clip for providing social and environmental awareness |
| US10024680B2 (en) | 2016-03-11 | 2018-07-17 | Toyota Motor Engineering & Manufacturing North America, Inc. | Step based guidance system |
| US10024679B2 (en) | 2014-01-14 | 2018-07-17 | Toyota Motor Engineering & Manufacturing North America, Inc. | Smart necklace with stereo vision and onboard processing |
| US10025486B2 (en) | 2013-03-15 | 2018-07-17 | Elwha Llc | Cross-reality select, drag, and drop for augmented reality systems |
| US10024667B2 (en) | 2014-08-01 | 2018-07-17 | Toyota Motor Engineering & Manufacturing North America, Inc. | Wearable earpiece for providing social and environmental awareness |
| US10042995B1 (en) * | 2013-11-26 | 2018-08-07 | Amazon Technologies, Inc. | Detecting authority for voice-driven devices |
| US10062182B2 (en) | 2015-02-17 | 2018-08-28 | Osterhout Group, Inc. | See-through computer display systems |
| US10073268B2 (en) | 2015-05-28 | 2018-09-11 | Thalmic Labs Inc. | Display with integrated visible light eye tracking |
| US10088911B2 (en) | 2016-12-30 | 2018-10-02 | Manuel Saez | Programmable electronic helmet |
| US10116867B2 (en) | 2015-05-29 | 2018-10-30 | Thomson Licensing | Method and apparatus for displaying a light field based image on a user's device, and corresponding computer program product |
| US10118696B1 (en) | 2016-03-31 | 2018-11-06 | Steven M. Hoffberg | Steerable rotating projectile |
| US10129984B1 (en) | 2018-02-07 | 2018-11-13 | Lockheed Martin Corporation | Three-dimensional electronics distribution by geodesic faceting |
| US10126815B2 (en) | 2016-01-20 | 2018-11-13 | Thalmic Labs Inc. | Systems, devices, and methods for proximity-based eye tracking |
| US10130277B2 (en) | 2014-01-28 | 2018-11-20 | Medibotics Llc | Willpower glasses (TM)—a wearable food consumption monitor |
| US10133075B2 (en) | 2015-05-04 | 2018-11-20 | Thalmic Labs Inc. | Systems, devices, and methods for angle- and wavelength-multiplexed holographic optical elements |
| US10146054B2 (en) | 2015-07-06 | 2018-12-04 | Google Llc | Adding prescriptive correction to eyepieces for see-through head wearable displays |
| US10151926B2 (en) | 2016-01-29 | 2018-12-11 | North Inc. | Systems, devices, and methods for preventing eyebox degradation in a wearable heads-up display |
| US10162180B2 (en) | 2015-06-04 | 2018-12-25 | Google Llc | Efficient thin curved eyepiece for see-through head wearable display |
| US10172760B2 (en) | 2017-01-19 | 2019-01-08 | Jennifer Hendrix | Responsive route guidance and identification system |
| US10180572B2 (en) | 2010-02-28 | 2019-01-15 | Microsoft Technology Licensing, Llc | AR glasses with event and user action control of external applications |
| US20190025769A1 (en) * | 2013-09-17 | 2019-01-24 | Sony Corporation | Electronic device, time setting method, time setting system and program |
| US10192358B2 (en) | 2012-12-20 | 2019-01-29 | Microsoft Technology Licensing, Llc | Auto-stereoscopic augmented reality display |
| US10191515B2 (en) | 2012-03-28 | 2019-01-29 | Microsoft Technology Licensing, Llc | Mobile device light guide display |
| US10191279B2 (en) | 2014-03-17 | 2019-01-29 | Osterhout Group, Inc. | Eye imaging in head worn computing |
| WO2019024992A1 (en) * | 2017-08-02 | 2019-02-07 | Huawei Technologies Co., Ltd. | Eyeglass frame |
| US10215987B2 (en) | 2016-11-10 | 2019-02-26 | North Inc. | Systems, devices, and methods for astigmatism compensation in a wearable heads-up display |
| US10230929B2 (en) | 2016-07-27 | 2019-03-12 | North Inc. | Systems, devices, and methods for laser projectors |
| US10241569B2 (en) | 2015-12-08 | 2019-03-26 | Facebook Technologies, Llc | Focus adjustment method for a virtual reality headset |
| US10248856B2 (en) | 2014-01-14 | 2019-04-02 | Toyota Motor Engineering & Manufacturing North America, Inc. | Smart necklace with stereo vision and onboard processing |
| US10254856B2 (en) | 2014-01-17 | 2019-04-09 | Osterhout Group, Inc. | External user interface for head worn computing |
| US10261324B2 (en) * | 2017-08-10 | 2019-04-16 | Facebook Technologies, Llc | Removable lens assembly for a head-mounted display |
| US10269179B2 (en) | 2012-10-05 | 2019-04-23 | Elwha Llc | Displaying second augmentations that are based on registered first augmentations |
| US10288881B2 (en) | 2013-03-14 | 2019-05-14 | Fresenius Medical Care Holdings, Inc. | Wearable interface for remote monitoring and control of a medical device |
| US10314492B2 (en) | 2013-05-23 | 2019-06-11 | Medibotics Llc | Wearable spectroscopic sensor to measure food consumption based on interaction between light and the human body |
| US10317677B2 (en) | 2015-02-09 | 2019-06-11 | Microsoft Technology Licensing, Llc | Display system |
| US20190187479A1 (en) * | 2017-12-20 | 2019-06-20 | Seiko Epson Corporation | Transmission-type head mounted display apparatus, display control method, and computer program |
| US10338400B2 (en) | 2017-07-03 | 2019-07-02 | Holovisions LLC | Augmented reality eyewear with VAPE or wear technology |
| US20190201771A1 (en) * | 2017-12-29 | 2019-07-04 | Hollywood South Digital Post, Inc. | One or more camera mounts for a radar gun assembly |
| US20190204718A1 (en) * | 2017-12-29 | 2019-07-04 | Hollywood South Digital Post, Inc. | One or more camera mounts for a radar gun assembly |
| US10360907B2 (en) | 2014-01-14 | 2019-07-23 | Toyota Motor Engineering & Manufacturing North America, Inc. | Smart necklace with stereo vision and onboard processing |
| WO2019143561A1 (en) * | 2018-01-16 | 2019-07-25 | Illumina, Inc. | Dual optical grating slide structured illumination imaging |
| US10365550B2 (en) | 2016-04-13 | 2019-07-30 | North Inc. | Systems, devices, and methods for focusing laser projectors |
| US10365492B2 (en) | 2016-12-23 | 2019-07-30 | North Inc. | Systems, devices, and methods for beam combining in wearable heads-up displays |
| CN110134188A (en) * | 2019-04-26 | 2019-08-16 | 武汉华星光电技术有限公司 | Self-sounding display device |
| US10388073B2 (en) | 2012-03-28 | 2019-08-20 | Microsoft Technology Licensing, Llc | Augmented reality light guide display |
| US10390139B2 (en) | 2015-09-16 | 2019-08-20 | Taction Technology, Inc. | Apparatus and methods for audio-tactile spatialization of sound and perception of bass |
| US10394034B2 (en) * | 2017-08-15 | 2019-08-27 | Microsoft Technology Licensing, Llc | Eye-tracking with MEMS scanning and optical relay |
| US10409057B2 (en) | 2016-11-30 | 2019-09-10 | North Inc. | Systems, devices, and methods for laser eye tracking in wearable heads-up displays |
| US10432851B2 (en) | 2016-10-28 | 2019-10-01 | Toyota Motor Engineering & Manufacturing North America, Inc. | Wearable computing device for detecting photography |
| US10429647B2 (en) | 2016-06-10 | 2019-10-01 | Facebook Technologies, Llc | Focus adjusting virtual reality headset |
| US20190302886A1 (en) * | 2015-05-01 | 2019-10-03 | Irisvision, Inc. | Methods and Apparatus for Vision Enhancement |
| US10437073B2 (en) | 2017-01-25 | 2019-10-08 | North Inc. | Systems, devices, and methods for beam combining in laser projectors |
| US10445860B2 (en) | 2015-12-08 | 2019-10-15 | Facebook Technologies, Llc | Autofocus virtual reality headset |
| US10459221B2 (en) | 2016-08-12 | 2019-10-29 | North Inc. | Systems, devices, and methods for variable luminance in wearable heads-up displays |
| US10488662B2 (en) | 2015-09-04 | 2019-11-26 | North Inc. | Systems, articles, and methods for integrating holographic optical elements with eyeglass lenses |
| US10490102B2 (en) | 2015-02-10 | 2019-11-26 | Toyota Motor Engineering & Manufacturing North America, Inc. | System and method for braille assistance |
| US10490682B2 (en) | 2018-03-14 | 2019-11-26 | National Mechanical Group Corp. | Frame-less encapsulated photo-voltaic solar panel supporting solar cell modules encapsulated within multiple layers of optically-transparent epoxy-resin materials |
| US10502876B2 (en) | 2012-05-22 | 2019-12-10 | Microsoft Technology Licensing, Llc | Waveguide optics focus elements |
| US10510812B2 (en) | 2017-11-09 | 2019-12-17 | Lockheed Martin Corporation | Display-integrated infrared emitter and sensor structures |
| US10521669B2 (en) | 2016-11-14 | 2019-12-31 | Toyota Motor Engineering & Manufacturing North America, Inc. | System and method for providing guidance or feedback to a user |
| US10528135B2 (en) | 2013-01-14 | 2020-01-07 | Ctrl-Labs Corporation | Wearable muscle interface systems, devices and methods that interact with content displayed on an electronic display |
| US10539787B2 (en) | 2010-02-28 | 2020-01-21 | Microsoft Technology Licensing, Llc | Head-worn adaptive display |
| US20200026289A1 (en) * | 2019-09-28 | 2020-01-23 | Ignacio J. Alvarez | Distributed traffic safety consensus |
| CN110727343A (en) * | 2018-07-17 | 2020-01-24 | 国际商业机器公司 | Intelligent contact lens control system |
| US10558050B2 (en) | 2014-01-24 | 2020-02-11 | Mentor Acquisition One, Llc | Haptic systems for head-worn computers |
| US10561519B2 (en) | 2016-07-20 | 2020-02-18 | Toyota Motor Engineering & Manufacturing North America, Inc. | Wearable computing device having a curved back to reduce pressure on vertebrae |
| US10573139B2 (en) | 2015-09-16 | 2020-02-25 | Taction Technology, Inc. | Tactile transducer with digital signal processing for improved fidelity |
| US10586555B1 (en) * | 2012-07-30 | 2020-03-10 | Amazon Technologies, Inc. | Visual indication of an operational state |
| US10594951B2 (en) | 2018-02-07 | 2020-03-17 | Lockheed Martin Corporation | Distributed multi-aperture camera array |
| US20200118380A1 (en) * | 2018-10-11 | 2020-04-16 | Igt | Mixed reality systems and methods for displaying and recording authorized real-world and virtual elements |
| US20200117788A1 (en) * | 2018-10-11 | 2020-04-16 | Ncr Corporation | Gesture Based Authentication for Payment in Virtual Reality |
| US10628843B2 (en) * | 2017-04-27 | 2020-04-21 | Mastercard International Incorporated | Systems and methods for facilitating loyalty reward environments |
| US10645127B1 (en) * | 2013-05-30 | 2020-05-05 | Jpmorgan Chase Bank, N.A. | System and method for virtual briefing books |
| US10649220B2 (en) | 2014-06-09 | 2020-05-12 | Mentor Acquisition One, Llc | Content presentation in head worn computing |
| US10652529B2 (en) | 2018-02-07 | 2020-05-12 | Lockheed Martin Corporation | In-layer Signal processing |
| US10659885B2 (en) | 2014-09-24 | 2020-05-19 | Taction Technology, Inc. | Systems and methods for generating damped electromagnetically actuated planar motion for audio-frequency vibrations |
| US10663740B2 (en) | 2014-06-09 | 2020-05-26 | Mentor Acquisition One, Llc | Content presentation in head worn computing |
| US10684687B2 (en) | 2014-12-03 | 2020-06-16 | Mentor Acquisition One, Llc | See-through computer display systems |
| US10684692B2 (en) | 2014-06-19 | 2020-06-16 | Facebook Technologies, Llc | Systems, devices, and methods for gesture identification |
| CN111309142A (en) * | 2018-12-11 | 2020-06-19 | 托比股份公司 | Method and device for switching input modality of display device |
| US10690910B2 (en) | 2018-02-07 | 2020-06-23 | Lockheed Martin Corporation | Plenoptic cellular vision correction |
| US20200201082A1 (en) * | 2017-02-07 | 2020-06-25 | Rancho El Toston, LLC | Hands-free spectrally-tunable smart loupe |
| US10698483B1 (en) * | 2019-04-22 | 2020-06-30 | Facebook Technologies, Llc | Eye-tracking systems, head-mounted displays including the same, and related methods |
| US10698201B1 (en) | 2019-04-02 | 2020-06-30 | Lockheed Martin Corporation | Plenoptic cellular axis redirection |
| US10713846B2 (en) | 2012-10-05 | 2020-07-14 | Elwha Llc | Systems and methods for sharing augmentation data |
| EP3710884A1 (en) * | 2017-11-16 | 2020-09-23 | Viewpointsystem GmbH | Spectacle lens retainer |
| CN111712859A (en) * | 2018-01-12 | 2020-09-25 | 皇家飞利浦有限公司 | Apparatus and method for generating view images |
| US10803669B1 (en) | 2018-12-11 | 2020-10-13 | Amazon Technologies, Inc. | Rule-based augmentation of a physical environment |
| US10802190B2 (en) | 2015-12-17 | 2020-10-13 | Covestro Llc | Systems, devices, and methods for curved holographic optical elements |
| US10817171B2 (en) | 2012-10-12 | 2020-10-27 | Apollo 13 Designs, LLC | Identification system including a mobile computing device |
| US10822108B2 (en) * | 2017-03-06 | 2020-11-03 | Textron Innovations Inc. | Augmented reality system for pilot and passengers |
| US10838250B2 (en) | 2018-02-07 | 2020-11-17 | Lockheed Martin Corporation | Display assemblies with electronically emulated transparency |
| US10848335B1 (en) * | 2018-12-11 | 2020-11-24 | Amazon Technologies, Inc. | Rule-based augmentation of a physical environment |
| US10853589B2 (en) | 2014-04-25 | 2020-12-01 | Mentor Acquisition One, Llc | Language translation with head-worn computing |
| US10850116B2 (en) | 2016-12-30 | 2020-12-01 | Mentor Acquisition One, Llc | Head-worn therapy device |
| US10860100B2 (en) | 2010-02-28 | 2020-12-08 | Microsoft Technology Licensing, Llc | AR glasses with predictive control of external device based on event input |
| US10859834B2 (en) | 2017-07-03 | 2020-12-08 | Holovisions | Space-efficient optical structures for wide field-of-view augmented reality (AR) eyewear |
| US10866413B2 (en) | 2018-12-03 | 2020-12-15 | Lockheed Martin Corporation | Eccentric incident luminance pupil tracking |
| US10871653B1 (en) * | 2018-04-24 | 2020-12-22 | Lc-Tec Displays Ab | Viewing direction independent single-layer, pixelated light dimming filter |
| US10896517B2 (en) * | 2018-04-18 | 2021-01-19 | Faro Technologies, Inc. | System and method of scanning an environment |
| US10901216B2 (en) | 2017-10-23 | 2021-01-26 | Google Llc | Free space multiple laser diode modules |
| US10904421B2 (en) | 2013-02-20 | 2021-01-26 | Kristin Blume Slater | Method and system for generation of images based on biorhythms |
| IT201900013200A1 (en) * | 2019-07-29 | 2021-01-29 | Uocy Italy S R L | Multimedia interaction system, particularly for tourist and recreational applications |
| US10930709B2 (en) | 2017-10-03 | 2021-02-23 | Lockheed Martin Corporation | Stacked transparent pixel structures for image sensors |
| EP3730175A4 (en) * | 2017-12-21 | 2021-02-24 | BMC Medical Co., Ltd. | FACE MASK, VENTILATORY THERAPY DEVICE SYSTEM AND PROCESS PERFORMED BY A VENTILATORY THERAPY DEVICE SYSTEM |
| US10951883B2 (en) | 2018-02-07 | 2021-03-16 | Lockheed Martin Corporation | Distributed multi-screen array for high density display |
| US10948988B1 (en) * | 2019-09-09 | 2021-03-16 | Tectus Corporation | Contextual awareness based on eye motion tracking by an eye-mounted system |
| US10948997B1 (en) * | 2019-12-20 | 2021-03-16 | Facebook Technologies, Llc | Artificial reality notification triggers |
| IT201900016727A1 (en) * | 2019-09-19 | 2021-03-19 | Alessandra Proto | Wearable computerized device for providing assistance to a person, particularly a blind or partially sighted person. |
| US10963999B2 (en) | 2018-02-13 | 2021-03-30 | Irisvision, Inc. | Methods and apparatus for contrast sensitivity compensation |
| US10979666B2 (en) * | 2018-11-07 | 2021-04-13 | Nanning Fugui Precision Industrial Co., Ltd. | Asymmetric video conferencing system and method |
| US10979685B1 (en) * | 2017-04-28 | 2021-04-13 | Apple Inc. | Focusing for virtual and augmented reality systems |
| US10979699B2 (en) | 2018-02-07 | 2021-04-13 | Lockheed Martin Corporation | Plenoptic cellular imaging system |
| US10997751B2 (en) * | 2014-09-06 | 2021-05-04 | Philip Lyren | Weapon targeting system |
| US11024325B1 (en) | 2013-03-14 | 2021-06-01 | Amazon Technologies, Inc. | Voice controlled assistant with light indicator |
| US11038278B2 (en) | 2019-08-15 | 2021-06-15 | United States Of America As Represented By The Secretary Of The Navy | Lens apparatus and methods for an antenna |
| US11055979B1 (en) * | 2020-07-29 | 2021-07-06 | GoX Studio, Inc. | Systems and methods to provide a watch as a dashboard of a plurality of modules by utilizing a mesh protocol |
| US11067806B2 (en) * | 2019-03-19 | 2021-07-20 | Nvidia Corp. | Foveated display for augmented reality |
| US11068049B2 (en) | 2012-03-23 | 2021-07-20 | Microsoft Technology Licensing, Llc | Light guide display and field of view |
| US11079846B2 (en) | 2013-11-12 | 2021-08-03 | Facebook Technologies, Llc | Systems, articles, and methods for capacitive electromyography sensors |
| US11087595B2 (en) * | 2019-01-24 | 2021-08-10 | Igt | System and method for wagering on virtual elements overlaying a sports betting field |
| US11106276B2 (en) | 2016-03-11 | 2021-08-31 | Facebook Technologies, Llc | Focus adjusting headset |
| US11103122B2 (en) | 2014-07-15 | 2021-08-31 | Mentor Acquisition One, Llc | Content presentation in head worn computing |
| US11104272B2 (en) | 2014-03-28 | 2021-08-31 | Mentor Acquisition One, Llc | System for assisted operator safety using an HMD |
| US11103787B1 (en) | 2010-06-24 | 2021-08-31 | Gregory S. Rabin | System and method for generating a synthetic video stream |
| US11120258B1 (en) * | 2019-07-18 | 2021-09-14 | Facebook Technologies, Llc | Apparatuses, systems, and methods for scanning an eye via a folding mirror |
| US11132915B1 (en) * | 2019-01-23 | 2021-09-28 | The United States Of America, As Represented By The Secretary Of The Navy | Augmented reality system for field training |
| US11137612B2 (en) | 2018-09-12 | 2021-10-05 | Apple Inc. | Electronic device with adjustable support structures |
| US20210318693A1 (en) * | 2020-04-14 | 2021-10-14 | Electronics And Telecommunications Research Institute | Multi-agent based manned-unmanned collaboration system and method |
| US11156456B2 (en) * | 2019-05-21 | 2021-10-26 | Apple Inc. | Optical proximity sensor integrated into a camera module for an electronic device |
| CN113610109A (en) * | 2021-07-06 | 2021-11-05 | 中国人民解放军火箭军工程大学 | Visible light camouflage target identification method based on magnifier observation effect |
| US11170565B2 (en) | 2018-08-31 | 2021-11-09 | Magic Leap, Inc. | Spatially-resolved dynamic dimming for augmented reality device |
| DE102020113579A1 (en) | 2020-05-19 | 2021-11-25 | Audi Aktiengesellschaft | Camera device for generating an image of an environment as well as headlight arrangement |
| US11205518B1 (en) | 2020-08-17 | 2021-12-21 | GoX Studio, Inc. | System and method to provide indications of a subject's fitness based on values of fitness metrics for the subject |
| US20210397808A1 (en) * | 2019-11-11 | 2021-12-23 | Apple Inc. | Biometric key including a textured ceramic cover |
| US11209656B1 (en) * | 2020-10-05 | 2021-12-28 | Facebook Technologies, Llc | Methods of driving light sources in a near-eye display |
| IT202000016252A1 (en) * | 2020-07-06 | 2022-01-06 | Devices & Tech Torino S R L | ASSESSMENT SYSTEM OF THE TERRITORIAL INCIDENCE OF SYMPTOMS |
| US11227294B2 (en) | 2014-04-03 | 2022-01-18 | Mentor Acquisition One, Llc | Sight information collection in head worn computing |
| US11229407B2 (en) | 2020-06-08 | 2022-01-25 | GoX Studio, Inc. | Systems and methods to determine a risk factor related to dehydration and thermal stress of a subject |
| US11232587B2 (en) * | 2019-11-06 | 2022-01-25 | Google Llc | Use of image sensors to query real world for geo-reference information |
| US11249310B1 (en) * | 2018-11-26 | 2022-02-15 | Lockheed Martin Corporation | Augmented reality device with external light control layer for realtime contrast control |
| US20220078391A1 (en) * | 2019-10-21 | 2022-03-10 | Snap Inc. | Input parameter based image waves |
| US20220121155A1 (en) * | 2020-10-16 | 2022-04-21 | The Swatch Group Research And Development Ltd | Device for locking a timepiece movement |
| US11315056B2 (en) * | 2019-04-05 | 2022-04-26 | International Business Machines Corporation | Resource planning having improved visualization |
| US11331019B2 (en) | 2017-08-07 | 2022-05-17 | The Research Foundation For The State University Of New York | Nanoparticle sensor having a nanofibrous membrane scaffold |
| US20220171456A1 (en) * | 2014-11-10 | 2022-06-02 | Irisvision, Inc. | Method and System for Remote Clinician Management of Head-Mounted Vision Assist Devices |
| US11360558B2 (en) * | 2018-07-17 | 2022-06-14 | Apple Inc. | Computer systems with finger devices |
| US11368670B2 (en) * | 2017-10-26 | 2022-06-21 | Yeda Research And Development Co. Ltd. | Augmented reality display system and method |
| US11372479B2 (en) * | 2014-11-10 | 2022-06-28 | Irisvision, Inc. | Multi-modal vision enhancement system |
| US11381903B2 (en) | 2014-02-14 | 2022-07-05 | Sonic Blocks Inc. | Modular quick-connect A/V system and methods thereof |
| US20220217308A1 (en) * | 2019-06-21 | 2022-07-07 | Mindgam3 Institute | Camera Glasses for Law Enforcement Accountability |
| CN114894253A (en) * | 2022-05-18 | 2022-08-12 | 威海众合机电科技有限公司 | Emergency visual sense intelligent enhancement method, system and equipment |
| US20220269887A1 (en) * | 2021-02-19 | 2022-08-25 | Motorola Solutions, Inc. | Device and method for augmenting images of an incident scene with object description |
| US11442270B2 (en) | 2017-02-27 | 2022-09-13 | Advanced New Technologies Co., Ltd. | Virtual reality head-mounted apparatus with a partial-reflection partial-transmission wedge |
| US11470303B1 (en) | 2010-06-24 | 2022-10-11 | Steven M. Hoffberg | Two dimensional to three dimensional moving image converter |
| US11487110B2 (en) | 2014-01-21 | 2022-11-01 | Mentor Acquisition One, Llc | Eye imaging in head worn computing |
| WO2022249066A1 (en) * | 2021-05-24 | 2022-12-01 | Louwrens Jakobus Briel | Exercise system using augmented reality |
| CN115426943A (en) * | 2020-04-24 | 2022-12-02 | 依视路国际公司 | Method for determining the pose of an eye wear |
| WO2022253018A1 (en) * | 2021-06-02 | 2022-12-08 | 影石创新科技股份有限公司 | Video display method and display system based on unmanned aerial vehicle viewing angle |
| US11532051B1 (en) * | 2012-02-27 | 2022-12-20 | United Services Automobile Association (Usaa) | Method and system for processing insurance claims using augmented reality video data |
| US20220414377A1 (en) * | 2021-06-23 | 2022-12-29 | Motorola Solutions, Inc. | System and method for presenting statements captured at an incident scene |
| US11546527B2 (en) | 2018-07-05 | 2023-01-03 | Irisvision, Inc. | Methods and apparatuses for compensating for retinitis pigmentosa |
| US20230026638A1 (en) * | 2021-07-13 | 2023-01-26 | Meta Platforms Technologies, Llc | Look to Pin on an Artificial Reality Device |
| US11583231B2 (en) | 2019-03-06 | 2023-02-21 | X Development Llc | Adjustable electrode headset |
| US20230055148A1 (en) * | 2021-08-23 | 2023-02-23 | HELLA GmbH & Co. KGaA | System for illuminating the face of an occupant in a car |
| US20230065240A1 (en) * | 2021-08-25 | 2023-03-02 | The United States of America As Represented By The Director Of The National Geospatial-Intelligence | Method and apparatus for the display of volumetric solids using distributed photochromic compounds |
| US11616941B2 (en) | 2018-02-07 | 2023-03-28 | Lockheed Martin Corporation | Direct camera-to-display system |
| US11635736B2 (en) | 2017-10-19 | 2023-04-25 | Meta Platforms Technologies, Llc | Systems and methods for identifying biological structures associated with neuromuscular source signals |
| US11642081B2 (en) | 2019-02-01 | 2023-05-09 | X Development Llc | Electrode headset |
| US11644799B2 (en) | 2013-10-04 | 2023-05-09 | Meta Platforms Technologies, Llc | Systems, articles and methods for wearable electronic devices employing contact sensors |
| EP3621288B1 (en) * | 2018-09-07 | 2023-05-10 | Bundesdruckerei GmbH | Arrangement and method for optically detecting objects and / or persons to be checked |
| US11666264B1 (en) | 2013-11-27 | 2023-06-06 | Meta Platforms Technologies, Llc | Systems, articles, and methods for electromyography sensors |
| US11669163B2 (en) | 2014-01-21 | 2023-06-06 | Mentor Acquisition One, Llc | Eye glint imaging in see-through computer display systems |
| WO2023118952A1 (en) * | 2021-12-22 | 2023-06-29 | Bosch Car Multimedia Portugal, S.A. | Two-wheeler integrated system for an improved riding experience |
| EP3317701B1 (en) * | 2015-07-03 | 2023-07-19 | Fingerprint Cards Anacatum IP AB | Fingerprint sensing device comprising three-dimensional pattern |
| US11712637B1 (en) | 2018-03-23 | 2023-08-01 | Steven M. Hoffberg | Steerable disk or ball |
| US11727892B1 (en) | 2022-11-09 | 2023-08-15 | Meta Platforms Technologies, Llc | Eye-tracking based foveation control of displays |
| US11727619B2 (en) | 2017-04-28 | 2023-08-15 | Apple Inc. | Video pipeline |
| US11737666B2 (en) | 2014-01-21 | 2023-08-29 | Mentor Acquisition One, Llc | Eye imaging in head worn computing |
| US11740691B1 (en) * | 2020-05-08 | 2023-08-29 | Apple Inc. | Sensor assembly for head-mountable device |
| US11755180B1 (en) | 2022-06-22 | 2023-09-12 | Meta Platforms Technologies, Llc | Browser enabled switching between virtual worlds in artificial reality |
| US11755851B2 (en) | 2019-08-23 | 2023-09-12 | Cfa Properties, Inc. | Object detection-based control of projected content |
| US11763420B2 (en) | 2018-09-17 | 2023-09-19 | Snap Inc. | Creating shockwaves in three-dimensional depth videos and images |
| US11797087B2 (en) | 2018-11-27 | 2023-10-24 | Meta Platforms Technologies, Llc | Methods and apparatus for autocalibration of a wearable electrode sensor system |
| US11836205B2 (en) | 2022-04-20 | 2023-12-05 | Meta Platforms Technologies, Llc | Artificial reality browser configured to trigger an immersive experience |
| US11868531B1 (en) | 2021-04-08 | 2024-01-09 | Meta Platforms Technologies, Llc | Wearable device providing for thumb-to-finger-based input gestures detected based on neuromuscular signals, and systems and methods of use thereof |
| US20240012245A1 (en) * | 2020-12-18 | 2024-01-11 | Google Llc | Steerable camera array for head-mounted display devices |
| US11892644B2 (en) | 2014-01-21 | 2024-02-06 | Mentor Acquisition One, Llc | See-through computer display systems |
| US11907423B2 (en) | 2019-11-25 | 2024-02-20 | Meta Platforms Technologies, Llc | Systems and methods for contextualized interactions with an environment |
| US11921471B2 (en) | 2013-08-16 | 2024-03-05 | Meta Platforms Technologies, Llc | Systems, articles, and methods for wearable devices having secondary power sources in links of a band for providing secondary power in addition to a primary power source |
| US11961494B1 (en) | 2019-03-29 | 2024-04-16 | Meta Platforms Technologies, Llc | Electromagnetic interference reduction in extended reality environments |
| EP3932506B1 (en) | 2014-08-11 | 2024-04-17 | VR Coaster GmbH & Co. KG | Method for operating a device, in particular an amusement ride, a means of transport, a fitness machine or the like |
| US20240126218A1 (en) * | 2022-10-17 | 2024-04-18 | Wilcox Industries Corp. | Personal digital module |
| US12013537B2 (en) | 2019-01-11 | 2024-06-18 | Magic Leap, Inc. | Time-multiplexed display of virtual content at various depths |
| US12015671B2 (en) * | 2020-06-29 | 2024-06-18 | Snap Inc. | Analyzing augmented reality content usage data |
| US12093453B2 (en) | 2014-01-21 | 2024-09-17 | Mentor Acquisition One, Llc | Eye glint imaging in see-through computer display systems |
| US12175603B2 (en) | 2022-09-29 | 2024-12-24 | Meta Platforms Technologies, Llc | Doors for artificial reality universe traversal |
| ES2993508A1 (en) * | 2024-10-15 | 2024-12-30 | Enriquez Enrique Burgos | System and method for hunting simulation and virtual observation in natural and marine environments with advanced and basic training options (Machine-translation by Google Translate, not legally binding) |
| US12210160B2 (en) | 2021-12-21 | 2025-01-28 | Alexander Sarris | System to superimpose information over a users field of view |
| US12218944B1 (en) * | 2022-10-10 | 2025-02-04 | Meta Platform Technologies, LLC | Group travel between artificial reality destinations |
| US20250049346A1 (en) * | 2012-06-14 | 2025-02-13 | Medibotics Llc | Automatically Tracking One's Food Consumption Using the "Jedi Mind Trick" Hand Motion |
| TWI873698B (en) * | 2023-06-30 | 2025-02-21 | 中興保全科技股份有限公司 | Image integration system and method for live streaming video in firefighting and rescue operations |
| US12253391B2 (en) | 2018-05-24 | 2025-03-18 | The Research Foundation For The State University Of New York | Multielectrode capacitive sensor without pull-in risk |
| US12266061B2 (en) | 2022-06-22 | 2025-04-01 | Meta Platforms Technologies, Llc | Virtual personal interface for control and travel between virtual worlds |
| US12277301B2 (en) | 2022-08-18 | 2025-04-15 | Meta Platforms Technologies, Llc | URL access to assets within an artificial reality universe on both 2D and artificial reality interfaces |
| US12405497B2 (en) | 2017-10-26 | 2025-09-02 | Magic Leap, Inc. | Broadband adaptive lens assembly for augmented reality display |
| US20250289306A1 (en) * | 2024-03-14 | 2025-09-18 | Honda Motor Co., Ltd. | System and method for road sign translation and display |
| EP4585988A4 (en) * | 2022-09-15 | 2025-10-22 | Samsung Electronics Co Ltd | Portable device displaying a virtual object using a single display module or multiple display modules, and control methods therefor |
| US12504816B2 (en) | 2013-08-16 | 2025-12-23 | Meta Platforms Technologies, Llc | Wearable devices and associated band structures for sensing neuromuscular signals using sensor pairs in respective pods with communicative pathways to a common processor |
| TWI913832B (en) | 2024-08-08 | 2026-02-01 | 宏碁股份有限公司 | Electronic device and audio output power adjustment method thereof |
| US12547237B1 (en) | 2022-10-24 | 2026-02-10 | Meta Platforms Technologies, Llc | Artificial reality input for two-dimensional virtual objects |
| US12554325B2 (en) | 2016-07-25 | 2026-02-17 | Meta Platforms Technologies, Llc | Methods and apparatuses for low latency body state prediction based on neuromuscular data |
| US12579613B2 (en) | 2017-07-21 | 2026-03-17 | Apple Inc. | Gaze direction-based adaptive pre-filtering of video data |
| US12579768B2 (en) | 2018-01-25 | 2026-03-17 | Meta Platforms Technologies, Llc | Wearable electronic devices, extended reality systems including neuromuscular sensors, and methods for generating text from speech input and modifying the generated text based on neuromuscular data |
Families Citing this family (297)
| Publication number | Priority date | Publication date | Assignee | Title |
|---|---|---|---|---|
| IL166799A (en) | 2005-02-10 | 2014-09-30 | Lumus Ltd | Substrate-guided optical device utilizing beam splitters |
| US10073264B2 (en) | 2007-08-03 | 2018-09-11 | Lumus Ltd. | Substrate-guide optical device |
| US10261321B2 (en) | 2005-11-08 | 2019-04-16 | Lumus Ltd. | Polarizing optical system |
| GB0522968D0 (en) | 2005-11-11 | 2005-12-21 | Popovich Milan M | Holographic illumination device |
| GB0718706D0 (en) | 2007-09-25 | 2007-11-07 | Creative Physics Ltd | Method and apparatus for reducing laser speckle |
| US9335604B2 (en) | 2013-12-11 | 2016-05-10 | Milan Momcilo Popovich | Holographic waveguide display |
| US11726332B2 (en) | 2009-04-27 | 2023-08-15 | Digilens Inc. | Diffractive projection apparatus |
| US10343283B2 (en) * | 2010-05-24 | 2019-07-09 | Intouch Technologies, Inc. | Telepresence robot system that can be accessed by a cellular phone |
| US9274349B2 (en) | 2011-04-07 | 2016-03-01 | Digilens Inc. | Laser despeckler based on angular diversity |
| WO2016020630A2 (en) | 2014-08-08 | 2016-02-11 | Milan Momcilo Popovich | Waveguide laser illuminator incorporating a despeckler |
| US20140204455A1 (en) | 2011-08-24 | 2014-07-24 | Milan Momcilo Popovich | Wearable data display |
| US10670876B2 (en) | 2011-08-24 | 2020-06-02 | Digilens Inc. | Waveguide laser illuminator incorporating a despeckler |
| US20150010265A1 (en) | 2012-01-06 | 2015-01-08 | Milan, Momcilo POPOVICH | Contact image sensor using switchable bragg gratings |
| CN106125308B (en) | 2012-04-25 | 2019-10-25 | 罗克韦尔柯林斯公司 | Device and method for displaying images |
| US9456744B2 (en) | 2012-05-11 | 2016-10-04 | Digilens, Inc. | Apparatus for eye tracking |
| IL219907A (en) | 2012-05-21 | 2017-08-31 | Lumus Ltd | Head-mounted display eyeball tracker integrated system |
| US9933684B2 (en) | 2012-11-16 | 2018-04-03 | Rockwell Collins, Inc. | Transparent waveguide display providing upper and lower fields of view having a specific light output aperture configuration |
| US20140340424A1 (en) * | 2013-05-17 | 2014-11-20 | Jeri J. Ellsworth | System and method for reconfigurable projected augmented/virtual reality appliance |
| US10209517B2 (en) | 2013-05-20 | 2019-02-19 | Digilens, Inc. | Holographic waveguide eye tracker |
| WO2015015138A1 (en) | 2013-07-31 | 2015-02-05 | Milan Momcilo Popovich | Method and apparatus for contact image sensing |
| US9630631B2 (en) | 2013-10-03 | 2017-04-25 | Honda Motor Co., Ltd. | System and method for dynamic in-vehicle virtual reality |
| US9715764B2 (en) * | 2013-10-03 | 2017-07-25 | Honda Motor Co., Ltd. | System and method for dynamic in-vehicle virtual reality |
| US9547173B2 (en) * | 2013-10-03 | 2017-01-17 | Honda Motor Co., Ltd. | System and method for dynamic in-vehicle virtual reality |
| US9536353B2 (en) | 2013-10-03 | 2017-01-03 | Honda Motor Co., Ltd. | System and method for dynamic in-vehicle virtual reality |
| CN105814611B (en) * | 2013-12-17 | 2020-08-18 | 索尼公司 | Information processing apparatus and method, and non-volatile computer-readable storage medium |
| US10068354B2 (en) * | 2014-01-02 | 2018-09-04 | Deere & Company | Obtaining and displaying agricultural data |
| US10198696B2 (en) * | 2014-02-04 | 2019-02-05 | GM Global Technology Operations LLC | Apparatus and methods for converting user input accurately to a particular system function |
| US11199714B2 (en) * | 2014-02-25 | 2021-12-14 | Dennis Solomon | Experimental reality integrated system |
| US10996473B2 (en) * | 2014-03-26 | 2021-05-04 | Atheer, Inc. | Method and apparatus for adjusting motion-based data space manipulation |
| US10209532B2 (en) * | 2014-03-31 | 2019-02-19 | Jonathan MacDonald PARKER | Switchable facemask for simulating smoke |
| US20150294405A1 (en) * | 2014-04-11 | 2015-10-15 | Bank Of America Corporation | Virtual banking center |
| DE202014101791U1 (en) * | 2014-04-15 | 2014-04-29 | Reiner Bayer | Device for event presentations in duel-shooting |
| US9972121B2 (en) * | 2014-04-22 | 2018-05-15 | Google Llc | Selecting time-distributed panoramic images for display |
| USD781317S1 (en) | 2014-04-22 | 2017-03-14 | Google Inc. | Display screen with graphical user interface or portion thereof |
| US9934222B2 (en) | 2014-04-22 | 2018-04-03 | Google Llc | Providing a thumbnail image that follows a main image |
| USD781318S1 (en) | 2014-04-22 | 2017-03-14 | Google Inc. | Display screen with graphical user interface or portion thereof |
| USD780777S1 (en) | 2014-04-22 | 2017-03-07 | Google Inc. | Display screen with graphical user interface or portion thereof |
| US10222868B2 (en) * | 2014-06-02 | 2019-03-05 | Samsung Electronics Co., Ltd. | Wearable device and control method using gestures |
| US10852838B2 (en) * | 2014-06-14 | 2020-12-01 | Magic Leap, Inc. | Methods and systems for creating virtual and augmented reality |
| US10359736B2 (en) | 2014-08-08 | 2019-07-23 | Digilens Inc. | Method for holographic mastering and replication |
| US9942222B1 (en) * | 2014-09-02 | 2018-04-10 | Amazon Technologies, Inc. | Authentication with wearable device |
| US10241330B2 (en) | 2014-09-19 | 2019-03-26 | Digilens, Inc. | Method and apparatus for generating input images for holographic waveguide displays |
| WO2016046514A1 (en) | 2014-09-26 | 2016-03-31 | LOKOVIC, Kimberly, Sun | Holographic waveguide opticaltracker |
| JP6863896B2 (en) * | 2014-09-29 | 2021-04-21 | マジック リープ,インコーポレイティド | Structure and method to output light of different wavelengths from the waveguide |
| US20160147304A1 (en) * | 2014-11-24 | 2016-05-26 | General Electric Company | Haptic feedback on the density of virtual 3d objects |
| CN107852251A (en) * | 2014-11-28 | 2018-03-27 | 埃里克·S·塔马姆 | Enhanced Audio Enhanced Perception System |
| US9881422B2 (en) * | 2014-12-04 | 2018-01-30 | Htc Corporation | Virtual reality system and method for controlling operation modes of virtual reality system |
| US20180275402A1 (en) | 2015-01-12 | 2018-09-27 | Digilens, Inc. | Holographic waveguide light field displays |
| EP3245444B1 (en) | 2015-01-12 | 2021-09-08 | DigiLens Inc. | Environmentally isolated waveguide display |
| JP6867947B2 (en) | 2015-01-20 | 2021-05-12 | ディジレンズ インコーポレイテッド | Holographic waveguide rider |
| US9836650B2 (en) * | 2015-02-09 | 2017-12-05 | Empire Technology Development Llc | Identification of a photographer based on an image |
| US9632226B2 (en) | 2015-02-12 | 2017-04-25 | Digilens Inc. | Waveguide grating device |
| WO2016138178A1 (en) * | 2015-02-25 | 2016-09-01 | Brian Mullins | Visual gestures for a head mounted device |
| NZ773847A (en) | 2015-03-16 | 2022-07-01 | Magic Leap Inc | Methods and systems for diagnosing and treating health ailments |
| US10459145B2 (en) | 2015-03-16 | 2019-10-29 | Digilens Inc. | Waveguide device incorporating a light pipe |
| US9826013B2 (en) | 2015-03-19 | 2017-11-21 | Action Streamer, LLC | Method and apparatus for an interchangeable wireless media streaming device |
| US9560100B1 (en) * | 2015-03-19 | 2017-01-31 | Action Streamer, LLC | Method and system for stabilizing and streaming first person perspective video |
| US10591756B2 (en) | 2015-03-31 | 2020-03-17 | Digilens Inc. | Method and apparatus for contact image sensing |
| EP3284019B8 (en) * | 2015-04-16 | 2025-09-17 | Robert Bosch GmbH | System and method for automated sign language recognition |
| US20160360146A1 (en) * | 2015-06-02 | 2016-12-08 | Taser International, Inc. | User-Worn Recording System |
| US11154203B2 (en) * | 2015-06-14 | 2021-10-26 | Facense Ltd. | Detecting fever from images and temperatures |
| US11103139B2 (en) * | 2015-06-14 | 2021-08-31 | Facense Ltd. | Detecting fever from video images and a baseline |
| KR102359038B1 (en) | 2015-06-15 | 2022-02-04 | 매직 립, 인코포레이티드 | Display system with optical elements for in-coupling multiplexed light streams |
| US10410590B2 (en) * | 2015-06-26 | 2019-09-10 | Intel Corporation | Facilitating chromatic adaptation of display contents at computing devices based on chromatic monitoring of environmental light |
| US10222619B2 (en) * | 2015-07-12 | 2019-03-05 | Steven Sounyoung Yu | Head-worn image display apparatus for stereoscopic microsurgery |
| CN108474945B (en) | 2015-10-05 | 2021-10-01 | 迪吉伦斯公司 | waveguide display |
| US10014967B2 (en) * | 2015-11-23 | 2018-07-03 | Huami Inc. | System and method for authenticating a broadcast device using facial recognition |
| US9779756B2 (en) * | 2015-12-11 | 2017-10-03 | International Business Machines Corporation | Method and system for indicating a spoken word has likely been misunderstood by a listener |
| US9740200B2 (en) | 2015-12-30 | 2017-08-22 | Unmanned Innovation, Inc. | Unmanned aerial vehicle inspection system |
| US9609288B1 (en) | 2015-12-31 | 2017-03-28 | Unmanned Innovation, Inc. | Unmanned aerial vehicle rooftop inspection system |
| DE102016201373A1 (en) * | 2016-01-29 | 2017-08-03 | Robert Bosch Gmbh | Method for recognizing objects, in particular of three-dimensional objects |
| EP3398007B1 (en) | 2016-02-04 | 2024-09-11 | DigiLens, Inc. | Waveguide optical tracker |
| WO2017162999A1 (en) | 2016-03-24 | 2017-09-28 | Popovich Milan Momcilo | Method and apparatus for providing a polarization selective holographic waveguide device |
| CN109313472A (en) * | 2016-04-04 | 2019-02-05 | 盖·A·马斯卡罗 | Thermal structure and mobility device for electronic headset frame |
| US10466491B2 (en) * | 2016-06-01 | 2019-11-05 | Mentor Acquisition One, Llc | Modular systems for head-worn computers |
| EP3440497B1 (en) | 2016-04-08 | 2023-08-16 | Magic Leap, Inc. | Augmented reality systems and methods with variable focus lens elements |
| US10890707B2 (en) | 2016-04-11 | 2021-01-12 | Digilens Inc. | Holographic waveguide apparatus for structured light projection |
| JPWO2017187807A1 (en) * | 2016-04-28 | 2019-03-07 | ソニー株式会社 | Information processing terminal device |
| KR102641964B1 (en) | 2016-05-12 | 2024-02-27 | 매직 립, 인코포레이티드 | Distributed light manipulation over imaging waveguide |
| US11029352B2 (en) | 2016-05-18 | 2021-06-08 | Skydio, Inc. | Unmanned aerial vehicle electromagnetic avoidance and utilization system |
| US10387719B2 (en) * | 2016-05-20 | 2019-08-20 | Daqri, Llc | Biometric based false input detection for a wearable computing device |
| US11182976B2 (en) * | 2016-06-06 | 2021-11-23 | Devar Entertainment Limited | Device for influencing virtual objects of augmented reality |
| US10310284B1 (en) * | 2016-07-09 | 2019-06-04 | Mary Gormley Waldron | Apparatus and method for projecting three-dimensional holographic images |
| US10726443B2 (en) | 2016-07-11 | 2020-07-28 | Samsung Electronics Co., Ltd. | Deep product placement |
| US10769854B2 (en) * | 2016-07-12 | 2020-09-08 | Tyco Fire & Security Gmbh | Holographic technology implemented security solution |
| US10180614B2 (en) | 2016-07-15 | 2019-01-15 | Zspace, Inc. | Pi-cell polarization switch for a three dimensional display system |
| US10488686B1 (en) | 2016-07-28 | 2019-11-26 | Apple Inc. | Systems with synchronized windows |
| WO2018039278A1 (en) | 2016-08-22 | 2018-03-01 | Magic Leap, Inc. | Multi-layer diffractive eyepiece |
| KR102737708B1 (en) | 2016-09-13 | 2024-12-02 | 매직 립, 인코포레이티드 | Sensory eyewear |
| US10650621B1 (en) | 2016-09-13 | 2020-05-12 | Iocurrents, Inc. | Interfacing with a vehicular controller area network |
| WO2018067357A2 (en) | 2016-10-05 | 2018-04-12 | Magic Leap, Inc. | Periocular test for mixed reality calibration |
| CN107024980A (en) * | 2016-10-26 | 2017-08-08 | 阿里巴巴集团控股有限公司 | Customer location localization method and device based on augmented reality |
| WO2018089041A1 (en) * | 2016-11-14 | 2018-05-17 | Lightcraft Technology Llc | Team augmented reality system |
| WO2018089040A1 (en) * | 2016-11-14 | 2018-05-17 | Lightcraft Technology Llc | Spectator virtual reality system |
| AU2017363078B2 (en) | 2016-11-18 | 2022-09-29 | Magic Leap, Inc. | Waveguide light multiplexer using crossed gratings |
| WO2018094079A1 (en) | 2016-11-18 | 2018-05-24 | Magic Leap, Inc. | Spatially variable liquid crystal diffraction gratings |
| JP7019695B2 (en) | 2016-11-18 | 2022-02-15 | マジック リープ, インコーポレイテッド | Multilayer LCD diffraction grating for redirecting light over a wide angle of incidence |
| US11067860B2 (en) | 2016-11-18 | 2021-07-20 | Magic Leap, Inc. | Liquid crystal diffractive devices with nano-scale pattern and methods of manufacturing the same |
| US10649233B2 (en) * | 2016-11-28 | 2020-05-12 | Tectus Corporation | Unobtrusive eye mounted display |
| WO2018102834A2 (en) | 2016-12-02 | 2018-06-07 | Digilens, Inc. | Waveguide device with uniform output illumination |
| US10296882B2 (en) | 2016-12-08 | 2019-05-21 | Bank Of America Corporation | Multicomputer processing of client device request data using centralized event orchestrator and link discovery engine |
| US10216830B2 (en) | 2016-12-08 | 2019-02-26 | Bank Of America Corporation | Multicomputer processing of client device request data using centralized event orchestrator and link discovery engine |
| US10440102B2 (en) | 2016-12-08 | 2019-10-08 | Bank Of America Corporation | Multicomputer processing of client device request data using centralized event orchestrator and dynamic endpoint engine |
| US10310712B2 (en) | 2016-12-08 | 2019-06-04 | Bank Of America Corporation | Multicomputer processing of client device request data with centralized event orchestration |
| US10217087B2 (en) | 2016-12-08 | 2019-02-26 | Bank Of America Corporation | Multicomputer processing of client device request data using centralized event orchestrator |
| AU2017371047B2 (en) | 2016-12-08 | 2021-10-14 | Magic Leap, Inc. | Diffractive devices based on cholesteric liquid crystal |
| US10298575B2 (en) | 2016-12-08 | 2019-05-21 | Bank Of America Corporation | Multicomputer processing of an event authentication request with centralized event orchestration |
| US10264056B2 (en) | 2016-12-08 | 2019-04-16 | Bank Of America Corporation | Multicomputer processing of an event request from an event origination device with centralized event orchestration |
| US10303335B2 (en) | 2016-12-08 | 2019-05-28 | Bank Of America Corporation | Multicomputer processing of client device request data with centralized event orchestration |
| KR102550742B1 (en) | 2016-12-14 | 2023-06-30 | 매직 립, 인코포레이티드 | Patterning of liquid crystals using soft-imprint replication of surface alignment patterns |
| US10371896B2 (en) | 2016-12-22 | 2019-08-06 | Magic Leap, Inc. | Color separation in planar waveguides using dichroic filters |
| US10845466B2 (en) | 2016-12-23 | 2020-11-24 | Cepton Technologies, Inc. | Mounting apparatuses for optical components in a scanning lidar system |
| CN110121885B (en) | 2016-12-29 | 2023-07-25 | 索尼互动娱乐股份有限公司 | Concave video link for VR and low latency wireless HMD video streaming with gaze tracking |
| US10528815B2 (en) * | 2016-12-31 | 2020-01-07 | Vasuyantra Corp. | Method and device for visually impaired assistance |
| US10575067B2 (en) | 2017-01-04 | 2020-02-25 | Samsung Electronics Co., Ltd. | Context based augmented advertisement |
| US10545346B2 (en) | 2017-01-05 | 2020-01-28 | Digilens Inc. | Wearable heads up displays |
| KR102523007B1 (en) | 2017-01-23 | 2023-04-17 | 매직 립, 인코포레이티드 | Eyepiece for Virtual, Augmented, or Mixed Reality Systems |
| US11500143B2 (en) | 2017-01-28 | 2022-11-15 | Lumus Ltd. | Augmented reality imaging system |
| WO2018140555A1 (en) * | 2017-01-30 | 2018-08-02 | Walmart Apollo, Llc | Systems, methods and apparatus for distribution of products and supply chain management |
| US11482132B2 (en) | 2017-02-01 | 2022-10-25 | Toyota Motor Engineering & Manufacturing North America, Inc. | Devices and methods for providing tactile feedback |
| US20180213873A1 (en) * | 2017-02-02 | 2018-08-02 | Dustin Brice | Attachment for a helmet for monitoring, displaying, recording, and storing data |
| US10302764B2 (en) * | 2017-02-03 | 2019-05-28 | Microsoft Technology Licensing, Llc | Active illumination management through contextual information |
| IL311431A (en) | 2017-02-23 | 2024-05-01 | Magic Leap Inc | Display system with variable power reflector |
| CN206863338U (en) * | 2017-02-24 | 2018-01-09 | 深圳市大疆创新科技有限公司 | Video eyeglasses headband and video eyeglasses |
| US20180267601A1 (en) * | 2017-03-15 | 2018-09-20 | Oculus Vr, Llc | Light Projection for Guiding a User within a Physical User Area During Virtual Reality Operations |
| AU2018239264B2 (en) | 2017-03-21 | 2023-05-18 | Magic Leap, Inc. | Eye-imaging apparatus using diffractive optical elements |
| US10135822B2 (en) | 2017-03-21 | 2018-11-20 | YouaretheID, LLC | Biometric authentication of individuals utilizing characteristics of bone and blood vessel structures |
| US11374929B2 (en) * | 2017-03-21 | 2022-06-28 | Global E-Dentity, Inc. | Biometric authentication for an augmented reality or a virtual reality device |
| TWI800974B (en) | 2017-03-22 | 2023-05-01 | 以色列商魯姆斯有限公司 | A method for producing a light-guide optical element |
| EP3602181B1 (en) | 2017-03-27 | 2025-01-15 | Avegant Corp. | Steerable foveal display |
| US10154360B2 (en) * | 2017-05-08 | 2018-12-11 | Microsoft Technology Licensing, Llc | Method and system of improving detection of environmental sounds in an immersive environment |
| WO2018221026A1 (en) * | 2017-05-30 | 2018-12-06 | ソニー株式会社 | Optical device, image display device, and display device |
| US10466487B2 (en) * | 2017-06-01 | 2019-11-05 | PogoTec, Inc. | Releasably attachable augmented reality system for eyewear |
| ES2999676T3 (en) | 2017-06-09 | 2025-02-26 | OPe LLC | Data security apparatus with analog component |
| US10574662B2 (en) | 2017-06-20 | 2020-02-25 | Bank Of America Corporation | System for authentication of a user based on multi-factor passively acquired data |
| US10282862B2 (en) * | 2017-06-20 | 2019-05-07 | Adobe Inc. | Digital image generation and capture hint data |
| US10360733B2 (en) | 2017-06-20 | 2019-07-23 | Bank Of America Corporation | System controlled augmented resource facility |
| US11682045B2 (en) | 2017-06-28 | 2023-06-20 | Samsung Electronics Co., Ltd. | Augmented reality advertisements on objects |
| US11243434B2 (en) | 2017-07-19 | 2022-02-08 | Lumus Ltd. | LCOS illumination via LOE |
| US10242390B2 (en) | 2017-07-31 | 2019-03-26 | Bank Of America Corporation | Digital data processing system for controlling automated exchange zone systems |
| US20190057694A1 (en) * | 2017-08-17 | 2019-02-21 | Dolby International Ab | Speech/Dialog Enhancement Controlled by Pupillometry |
| US20190064550A1 (en) * | 2017-08-30 | 2019-02-28 | Logan Bush | Alerting Eyewear Device |
| CN120161619A (en) | 2017-09-21 | 2025-06-17 | 奇跃公司 | Augmented reality display having a waveguide configured to capture images of the eye and/or environment |
| DE102017217256A1 (en) * | 2017-09-28 | 2019-03-28 | Zf Friedrichshafen Ag | Communication flow of road users in the direction of an automated moving vehicle |
| WO2019079350A2 (en) | 2017-10-16 | 2019-04-25 | Digilens, Inc. | Systems and methods for multiplying the image resolution of a pixelated display |
| CN107608079A (en) * | 2017-10-24 | 2018-01-19 | 歌尔科技有限公司 | Wear display device |
| US11086315B2 (en) | 2017-10-26 | 2021-08-10 | 2KR Systems, LLC | Building rooftop intelligence gathering, decision-support and snow load removal system for protecting buildings from excessive snow load conditions, and automated methods for carrying out the same |
| US11350381B2 (en) | 2017-10-26 | 2022-05-31 | Benchmark Electronics, Inc. | Mesh ranging and network message and slot structure for ad-hoc networks and method therefor |
| US10488653B2 (en) | 2017-11-17 | 2019-11-26 | Microsoft Technology Licensing, Llc | Display alignment tracking in display systems |
| US11002437B2 (en) | 2017-12-07 | 2021-05-11 | First-Light Usa, Llc | Head-mounted illumination devices |
| AU2018386296B2 (en) | 2017-12-15 | 2023-11-23 | Magic Leap, Inc. | Eyepieces for augmented reality display system |
| US11074292B2 (en) * | 2017-12-29 | 2021-07-27 | Realwear, Inc. | Voice tagging of video while recording |
| US10506220B2 (en) | 2018-01-02 | 2019-12-10 | Lumus Ltd. | Augmented reality displays with active alignment and corresponding methods |
| JP7250799B2 (en) | 2018-01-08 | 2023-04-03 | ディジレンズ インコーポレイテッド | Method for fabricating optical waveguide |
| KR102819207B1 (en) | 2018-01-08 | 2025-06-11 | 디지렌즈 인코포레이티드. | Systems and methods for manufacturing waveguide cells |
| WO2019135796A1 (en) | 2018-01-08 | 2019-07-11 | Digilens, Inc. | Systems and methods for high-throughput recording of holographic gratings in waveguide cells |
| US10914950B2 (en) | 2018-01-08 | 2021-02-09 | Digilens Inc. | Waveguide architectures and related methods of manufacturing |
| US10917634B2 (en) | 2018-01-17 | 2021-02-09 | Magic Leap, Inc. | Display systems and methods for determining registration between a display and a user's eyes |
| KR102902962B1 (en) | 2018-01-17 | 2025-12-22 | 매직 립, 인코포레이티드 | Eye center of rotation determination, depth plane selection, and render camera positioning in display systems |
| US10275919B1 (en) | 2018-02-06 | 2019-04-30 | International Business Machines Corporation | Preventing transition shocks during transitions between realities |
| US20190266403A1 (en) * | 2018-02-23 | 2019-08-29 | Frontis Corp. | Server, method and wearable device for supporting maintenance of military apparatus based on binary search tree in augmented reality-, virtual reality- or mixed reality-based general object recognition |
| CN110494887A (en) * | 2018-02-23 | 2019-11-22 | 弗隆蒂斯株式会社 | Server, method and wearable device for supporting military equipment maintenance based on binary search tree in general object recognition based on augmented reality, virtual reality or mixed reality |
| US20190286189A1 (en) * | 2018-03-13 | 2019-09-19 | North Inc. | Wearable electronic device having a removable control module |
| CN112088332B (en) | 2018-03-16 | 2024-11-29 | 迪吉伦斯公司 | Holographic waveguides comprising birefringence control and methods for their manufacture |
| US11493786B1 (en) * | 2018-04-04 | 2022-11-08 | Snap Inc. | Eyewear with wearer notification |
| US20190317328A1 (en) * | 2018-04-17 | 2019-10-17 | Faraday&Future Inc. | System and method for providing augmented-reality assistance for vehicular navigation |
| US10373391B1 (en) * | 2018-04-23 | 2019-08-06 | AbdurRahman Bin Shahzad Bhatti | Augmented reality system for fitness |
| US10579099B2 (en) * | 2018-04-30 | 2020-03-03 | Apple Inc. | Expandable ring device |
| IL259518B2 (en) | 2018-05-22 | 2023-04-01 | Lumus Ltd | Optical system and method for improvement of light field uniformity |
| CN108769964B (en) * | 2018-05-25 | 2021-10-15 | 歌尔光学科技有限公司 | A Bluetooth device connection method, device and device |
| WO2019245848A1 (en) | 2018-06-19 | 2019-12-26 | Tornier, Inc. | Mixed-reality surgical system with physical markers for registration of virtual models |
| US11586153B1 (en) | 2018-06-27 | 2023-02-21 | Apple Inc. | Watch band with adjustable color |
| JP7210169B2 (en) * | 2018-06-29 | 2023-01-23 | 株式会社日立システムズ | CONTENT PRESENTATION SYSTEM AND CONTENT PRESENTATION METHOD |
| US10690752B2 (en) | 2018-07-16 | 2020-06-23 | Shenzhen Guangjian Technology Co., Ltd. | Light projecting method and device |
| US10545275B1 (en) * | 2018-07-16 | 2020-01-28 | Shenzhen Guangjian Technology Co., Ltd. | Light projecting method and device |
| US10641942B2 (en) * | 2018-07-16 | 2020-05-05 | Shenzhen Guangjian Technology Co., Ltd. | Light projecting method and device |
| WO2020016772A1 (en) | 2018-07-16 | 2020-01-23 | Lumus Ltd. | Light-guide optical element employing polarized internal reflectors |
| EP4478161A3 (en) | 2018-07-24 | 2025-03-26 | Magic Leap, Inc. | Display systems and methods for determining registration between a display and eyes of a user |
| US11402801B2 (en) | 2018-07-25 | 2022-08-02 | Digilens Inc. | Systems and methods for fabricating a multilayer optical structure |
| US11468640B2 (en) | 2018-08-03 | 2022-10-11 | Magic Leap, Inc. | Depth plane selection for multi-depth plane display systems by user categorization |
| US10977867B2 (en) * | 2018-08-14 | 2021-04-13 | Goodrich Corporation | Augmented reality-based aircraft cargo monitoring and control system |
| TWI871876B (en) | 2018-08-26 | 2025-02-01 | 以色列商魯姆斯有限公司 | Near-eye displays |
| US10917736B2 (en) | 2018-09-04 | 2021-02-09 | Anachoic Ltd. | System and method for spatially projected audio communication |
| JP2020042212A (en) * | 2018-09-12 | 2020-03-19 | ソニー株式会社 | Display device, display control method, and recording medium |
| US10690846B2 (en) | 2018-10-24 | 2020-06-23 | Shenzhen Guangjian Technology Co., Ltd. | Light projecting method and device |
| US10712819B2 (en) * | 2018-10-30 | 2020-07-14 | Dish Network L.L.C. | System and methods for recreational sport heads-up display control |
| TW202026685A (en) | 2018-11-08 | 2020-07-16 | 以色列商魯姆斯有限公司 | Light-guide display with reflector |
| US10833945B2 (en) * | 2018-11-13 | 2020-11-10 | International Business Machines Corporation | Managing downloading of content |
| US11120707B2 (en) * | 2018-11-15 | 2021-09-14 | International Business Machines Corporation | Cognitive snapshots for visually-impaired users |
| US10739584B2 (en) * | 2018-11-15 | 2020-08-11 | International Business Machines Corporation | Predicted need notification for augmented reality eyeglasses |
| CN113302546A (en) | 2018-11-20 | 2021-08-24 | 奇跃公司 | Eyepiece for augmented reality display system |
| DE102018130779A1 (en) * | 2018-12-04 | 2020-06-04 | Still Gmbh | Method for operating an autonomous industrial truck and intralogistic system with an autonomous industrial truck |
| CA3122089A1 (en) | 2018-12-07 | 2020-06-11 | Avegant Corp. | Steerable positioning element |
| US11327310B1 (en) * | 2018-12-28 | 2022-05-10 | Snap Inc. | Wearable device with in-eye display capability |
| JP7460637B2 (en) | 2019-01-07 | 2024-04-02 | エイヴギャント コーポレイション | Control System and Rendering Pipeline |
| US11631119B2 (en) | 2019-01-11 | 2023-04-18 | Target Brands, Inc. | Electronic product recognition |
| US11436826B2 (en) | 2019-01-11 | 2022-09-06 | Target Brands, Inc. | Augmented reality experience for shopping |
| US20200225471A1 (en) | 2019-01-14 | 2020-07-16 | Digilens Inc. | Holographic Waveguide Display with Light Control Layer |
| US10585194B1 (en) | 2019-01-15 | 2020-03-10 | Shenzhen Guangjian Technology Co., Ltd. | Switchable diffuser projection systems and methods |
| CN110290375B (en) | 2019-01-17 | 2025-03-11 | 深圳市光鉴科技有限公司 | Display device and electronic device with 3D camera module |
| WO2020163524A1 (en) | 2019-02-05 | 2020-08-13 | Digilens Inc. | Methods for compensating for optical surface nonuniformity |
| KR102866596B1 (en) | 2019-02-15 | 2025-09-29 | 디지렌즈 인코포레이티드. | Method and device for providing a holographic waveguide display using an integral grating |
| EP3696794A1 (en) * | 2019-02-15 | 2020-08-19 | Virtamed AG | Compact haptic mixed reality simulator |
| US20220283377A1 (en) | 2019-02-15 | 2022-09-08 | Digilens Inc. | Wide Angle Waveguide Display |
| TWI800657B (en) | 2019-03-12 | 2023-05-01 | 以色列商魯姆斯有限公司 | Image projector |
| KR20210134763A (en) | 2019-03-12 | 2021-11-10 | 디지렌즈 인코포레이티드. | Holographic waveguide backlights and related manufacturing methods |
| CA3134149A1 (en) | 2019-03-29 | 2020-10-08 | Avegant Corp. | Steerable hybrid display using a waveguide |
| JP3237907U (en) | 2019-04-04 | 2022-06-16 | ルムス エルティーディー. | Vertical near-eye display with no air gap |
| US11852813B2 (en) * | 2019-04-12 | 2023-12-26 | Nvidia Corporation | Prescription augmented reality display |
| IL285571B2 (en) | 2019-05-06 | 2024-12-01 | Lumus Ltd | Transparent light guide for scene viewing and close-up display. |
| US10924712B2 (en) * | 2019-05-09 | 2021-02-16 | First-Light Usa, Llc | Trauma scene monitoring system |
| CN110335360B (en) | 2019-05-24 | 2020-12-25 | 深圳大学 | Three-dimensional element layout visualization method and device |
| WO2020247930A1 (en) | 2019-06-07 | 2020-12-10 | Digilens Inc. | Waveguides incorporating transmissive and reflective gratings and related methods of manufacturing |
| US11650423B2 (en) | 2019-06-20 | 2023-05-16 | Magic Leap, Inc. | Eyepieces for augmented reality display system |
| US10877282B1 (en) * | 2019-06-28 | 2020-12-29 | United States Of America As Represented By The Secretary Of The Navy | Head up display system for underwater face plate |
| US20220274699A1 (en) * | 2019-07-22 | 2022-09-01 | JJ1 Holdings Pty Ltd | A rapidly deployed terrestial visual detection and tracking system |
| US11681143B2 (en) | 2019-07-29 | 2023-06-20 | Digilens Inc. | Methods and apparatus for multiplying the image resolution and field-of-view of a pixelated display |
| CN114450608A (en) | 2019-08-29 | 2022-05-06 | 迪吉伦斯公司 | Vacuum Bragg grating and method of manufacture |
| US11691727B1 (en) * | 2019-09-06 | 2023-07-04 | George Bacon Brown | Law enforcement standoff inspection drone |
| US12525012B2 (en) * | 2019-09-09 | 2026-01-13 | Techinvest Company Limited | Augmented, virtual and mixed-reality content selection and display for real estate |
| US12505668B2 (en) | 2019-09-09 | 2025-12-23 | Techinvest Company Limited | Augmented, virtual and mixed-reality content selection and display for political campaigns |
| US10699124B1 (en) * | 2019-09-09 | 2020-06-30 | Ar, Llc | Augmented reality content selection and display based on printed objects having security features |
| US11961294B2 (en) * | 2019-09-09 | 2024-04-16 | Techinvest Company Limited | Augmented, virtual and mixed-reality content selection and display |
| US12548321B2 (en) | 2019-09-09 | 2026-02-10 | Techinvest Company Limited | Augmented, virtual and mixed-reality content selection and display for membership cards |
| US10997418B2 (en) | 2019-09-09 | 2021-05-04 | Ar, Llc | Augmented, virtual and mixed-reality content selection and display |
| US12579805B2 (en) | 2019-09-09 | 2026-03-17 | Techinvest Company Limited | Augmented, virtual and mixed-reality content selection and display for travel |
| JP7624741B2 (en) | 2019-09-16 | 2025-01-31 | ルムス エルティーディー. | Small projector for head mounted display |
| US11150923B2 (en) * | 2019-09-16 | 2021-10-19 | Samsung Electronics Co., Ltd. | Electronic apparatus and method for providing manual thereof |
| US11740742B2 (en) * | 2019-09-23 | 2023-08-29 | Apple Inc. | Electronic devices with finger sensors |
| CN110677537B (en) * | 2019-09-29 | 2021-05-11 | 维沃移动通信有限公司 | Memo information display method, memo information sending method and electronic device |
| JP7582675B2 (en) | 2019-11-06 | 2024-11-13 | ヒーズ アイピー ホールディングス エルエルシー | System and method for displaying objects with depth |
| US11809619B1 (en) * | 2019-11-12 | 2023-11-07 | Apple Inc. | Display systems with optical sensing |
| IL270991B (en) | 2019-11-27 | 2020-07-30 | Lumus Ltd | Lightguide optical element for polarization scrambling |
| JP7396738B2 (en) | 2019-12-05 | 2023-12-12 | ルーマス リミテッド | Light-guiding optics with complementary coating partial reflectors and light-guiding optics with reduced light scattering |
| US11624921B2 (en) | 2020-01-06 | 2023-04-11 | Avegant Corp. | Head mounted system with color specific modulation |
| EP4094041A4 (en) | 2020-01-22 | 2024-07-03 | Photonic Medical Inc. | CALIBRATED, MULTIMODAL, OPEN-VIEW DIGITAL MAGNIFIER WITH DEPTH DETECTION |
| US11294461B2 (en) | 2020-01-24 | 2022-04-05 | Magic Leap, Inc. | Content movement and interaction using a single controller |
| IL294538B2 (en) | 2020-02-24 | 2025-12-01 | Lumus Ltd | Integrates mixed reality |
| CN111290129B (en) * | 2020-03-31 | 2021-08-27 | 歌尔股份有限公司 | Interpupillary distance adjusting device and head-mounted equipment |
| US11360587B1 (en) | 2020-04-07 | 2022-06-14 | Apple Inc. | Deployment systems for computer system finger devices |
| US11815693B2 (en) | 2020-04-20 | 2023-11-14 | Apple Inc. | Head-mounted electronic device |
| IL296937A (en) | 2020-04-30 | 2022-12-01 | Lumus Ltd | Optical sample characterization |
| US11509865B2 (en) * | 2020-05-12 | 2022-11-22 | True Meeting Inc | Touchups, denoising and makeup related to a 3D virtual conference |
| US11818506B2 (en) | 2020-05-12 | 2023-11-14 | True Meeting Inc. | Circumstances based 3D representations of participants of virtual 3D communications |
| KR20230011924A (en) | 2020-05-24 | 2023-01-25 | 루머스 리미티드 | Composite light guiding optical element |
| US12487457B2 (en) | 2020-06-01 | 2025-12-02 | Lumus Ltd. | Virtual image delivery system for near eye displays |
| KR102830232B1 (en) * | 2020-06-25 | 2025-07-07 | 주식회사 딥엑스 | A mobile artificial neural network apparatus |
| US12189861B2 (en) | 2020-06-29 | 2025-01-07 | Snap Inc. | Augmented reality experiences with object manipulation |
| US11520152B1 (en) | 2020-08-06 | 2022-12-06 | Apple Inc. | Head-mounted display systems with gaze tracker alignment monitoring |
| TWI772917B (en) * | 2020-10-08 | 2022-08-01 | 國立中央大學 | Computer-implemented method, computer-assisted processing device and computer program product for computer-assisted planning of surgical path |
| TWI855275B (en) | 2020-11-09 | 2024-09-11 | 以色列商魯姆斯有限公司 | A method of moderating chromaticity of ambient light in an environment and an augmented reality system |
| US11644902B2 (en) * | 2020-11-30 | 2023-05-09 | Google Llc | Gesture-based content transfer |
| CN112370240A (en) * | 2020-12-01 | 2021-02-19 | 創啟社會科技有限公司 | Auxiliary intelligent glasses and system for vision impairment and control method thereof |
| US11902714B1 (en) | 2020-12-20 | 2024-02-13 | Lumus Ltd. | Image projector with laser scanning over spatial light modulator |
| US12112440B2 (en) * | 2020-12-20 | 2024-10-08 | Wael Zohni | Mixed-reality visor for in-situ vehicular operations training |
| EP4252048A4 (en) | 2020-12-21 | 2024-10-16 | Digilens Inc. | EYEGLOW SUPPRESSION IN WAVEGUIDE-BASED DISPLAYS |
| US12399326B2 (en) | 2021-01-07 | 2025-08-26 | Digilens Inc. | Grating structures for color waveguides |
| US11323664B1 (en) | 2021-01-08 | 2022-05-03 | I Can See You Inc., The New Technology | Wearable electronic device for providing audio output and capturing visual media |
| JP2022110509A (en) * | 2021-01-18 | 2022-07-29 | 富士フイルムビジネスイノベーション株式会社 | Information processing device and program |
| KR102620208B1 (en) | 2021-02-25 | 2023-12-29 | 루머스 리미티드 | Optical aperture multiplier with rectangular waveguide |
| JP7698342B2 (en) | 2021-03-01 | 2025-06-25 | ルムス エルティーディー. | Optical system with compact coupling from a projector to a waveguide - Patents.com |
| TW202307637A (en) | 2021-03-03 | 2023-02-16 | 美商加爾汀玻璃有限責任公司 | Systems and/or methods for creating and passively detecting changes in electrical fields |
| JP2024508926A (en) | 2021-03-05 | 2024-02-28 | ディジレンズ インコーポレイテッド | Vacuum periodic structure and manufacturing method |
| EP4314935A1 (en) | 2021-03-31 | 2024-02-07 | Snap, Inc. | Projector with integrated antenna |
| US12295905B2 (en) * | 2021-04-12 | 2025-05-13 | Snap Inc. | Enabling the visually impaired with AR using force feedback |
| WO2022231429A1 (en) | 2021-04-28 | 2022-11-03 | Crescent Technologies B.V. | Head mounted video recording assembly on a user |
| NL2028081B1 (en) | 2021-04-28 | 2022-11-03 | Crescent Tech B V | Head mounted video recording assembly on a user |
| CN119024568A (en) | 2021-05-19 | 2024-11-26 | 鲁姆斯有限公司 | Optical waveguide |
| FR3124280A1 (en) * | 2021-06-18 | 2022-12-23 | Malik Bouteldja | Laser calibration module for virtual reality and augmented reality |
| TWI774435B (en) * | 2021-06-22 | 2022-08-11 | 緯創資通股份有限公司 | Headband device |
| US12039673B2 (en) | 2021-07-21 | 2024-07-16 | Sony Interactive Entertainment Inc. | Augmented reality artificial intelligence enhance ways user perceive themselves |
| US11550814B1 (en) * | 2021-07-30 | 2023-01-10 | Intuit Inc. | Pagination processing and display of data sets |
| CN119575551A (en) | 2021-08-23 | 2025-03-07 | 鲁姆斯有限公司 | Manufacturing method and optical structure of composite light-guiding optical element |
| US12496519B2 (en) | 2021-09-20 | 2025-12-16 | Universal City Studios Llc | Theremin-based tracking and triggering |
| US11956534B2 (en) | 2021-10-21 | 2024-04-09 | QuantumZ Inc. | Image conversion device for digital image signals |
| KR102918430B1 (en) * | 2021-12-06 | 2026-01-26 | 주식회사 엘지에너지솔루션 | Virtual reality-based fire response simulation method and device for secondary battery production |
| TWI816277B (en) * | 2022-01-07 | 2023-09-21 | 矽響先創科技股份有限公司 | Smart noise reduction device and the method thereof |
| TWI801085B (en) * | 2022-01-07 | 2023-05-01 | 矽響先創科技股份有限公司 | Method of noise reduction for intelligent network communication |
| US20250061628A1 (en) * | 2022-01-13 | 2025-02-20 | Google Llc | Simulating light reflecting off an object |
| WO2023149963A1 (en) | 2022-02-01 | 2023-08-10 | Landscan Llc | Systems and methods for multispectral landscape mapping |
| TWI844025B (en) | 2022-05-27 | 2024-06-01 | 大立光電股份有限公司 | Optical system and head-mounted device |
| WO2022266556A1 (en) * | 2022-08-09 | 2022-12-22 | Innopeak Technology, Inc. | Methods and systems for motion prediction |
| WO2025081089A1 (en) * | 2023-10-12 | 2025-04-17 | Red Six Aerospace Inc. | Curved eye box |
| JP2024116705A (en) * | 2023-02-16 | 2024-08-28 | 株式会社ソニー・インタラクティブエンタテインメント | Display image generating device and image display method |
| US12455451B2 (en) | 2023-02-17 | 2025-10-28 | Apple Inc. | Tunable lens in an electronic device controlled using a paired electronic device |
| US20240339040A1 (en) * | 2023-04-05 | 2024-10-10 | Purdue Research Foundation | Auto-generation of augmented reality tutorials for operating digital instruments through recording embodied demonstration |
| US12422682B2 (en) | 2023-05-03 | 2025-09-23 | Apple Inc. | Adjusting a tunable lens in an electronic device |
| US20250116867A1 (en) * | 2023-10-10 | 2025-04-10 | Valve Corporation | Diopter adjustment for a head-mounted display using electrically-controllable lenses |
| US12392583B2 (en) | 2023-12-22 | 2025-08-19 | John Bridge | Body safety device with visual sensing and haptic response using artificial intelligence |
| US12299557B1 (en) | 2023-12-22 | 2025-05-13 | GovernmentGPT Inc. | Response plan modification through artificial intelligence applied to ambient data communicated to an incident commander |
| US12578834B2 (en) | 2024-01-19 | 2026-03-17 | Apple Inc. | Shape-based graphical indications of interaction events |
| WO2025160151A1 (en) * | 2024-01-23 | 2025-07-31 | Hvm Technology, Inc. | Power supply |
| ES3036113A1 (en) * | 2024-03-12 | 2025-09-12 | Univ Alicante | SYSTEM AND METHOD OF COMMUNICATION BETWEEN DEAF PEOPLE AND HEARING PEOPLE |
| US12567282B2 (en) | 2024-04-13 | 2026-03-03 | GovernmentGPT Inc. | Corrections officer tactical gear, system and method using computer vision to notify of an ambient threat |
| US12191035B1 (en) * | 2024-05-15 | 2025-01-07 | The Florida International University Board Of Trustees | Advanced augmented assistive device for dementia, Alzheimer's disease, and visual impairment patients |
| WO2026018183A1 (en) * | 2024-07-17 | 2026-01-22 | True Course Simulations, Llc | Mixed reality flight simulators and training systems |
| US12578796B1 (en) | 2025-03-07 | 2026-03-17 | Evolve To You Corporation | Biosensing system for a virtual reality (VR) headset |
Citations (10)
| Publication number | Priority date | Publication date | Assignee | Title |
|---|---|---|---|---|
| US5325242A (en) * | 1991-09-30 | 1994-06-28 | Kabushiki Kaisha Toshiba | Magnetic recording/reproducing apparatus for decreasing an error rate in recording/reproducing a digital signal |
| US5677801A (en) * | 1991-09-30 | 1997-10-14 | Kabushiki Kaisha Toshiba | Magnetic recording/reproducing apparatus for automatically adjusting a recording current in accordance with the wear of a read head |
| US5844392A (en) * | 1992-12-02 | 1998-12-01 | Cybernet Systems Corporation | Haptic browsing |
| US6091546A (en) * | 1997-10-30 | 2000-07-18 | The Microoptical Corporation | Eyeglass interface system |
| US20020186348A1 (en) * | 2001-05-14 | 2002-12-12 | Eastman Kodak Company | Adaptive autostereoscopic display system |
| US20050275718A1 (en) * | 2004-06-11 | 2005-12-15 | Oriental Institute Of Technology And Far Eastern Memorial Hospital | Apparatus and method for identifying surrounding environment by means of image processing and for outputting the results |
| US20070052672A1 (en) * | 2005-09-08 | 2007-03-08 | Swisscom Mobile Ag | Communication device, system and method |
| US20070184422A1 (en) * | 2004-03-26 | 2007-08-09 | Atsushi Takahashi | Three-dimensional digital entity mesoscope system equipped with three-dimensional visual instruction functions |
| US20080208466A1 (en) * | 2007-02-28 | 2008-08-28 | Tatsunori Iwatani | Navigation system, enlarged intersection image displaying method used in the system, and map information generating method |
| US20080278821A1 (en) * | 2007-05-09 | 2008-11-13 | Harman Becker Automotive Systems Gmbh | Head-mounted display system |
Family Cites Families (1170)
| Publication number | Priority date | Publication date | Assignee | Title |
|---|---|---|---|---|
| US5982343A (en) | 1903-11-29 | 1999-11-09 | Olympus Optical Co., Ltd. | Visual display apparatus |
| US3152215A (en) | 1963-10-03 | 1964-10-06 | Edgerton Germeshausen & Grier | Flashblindness protective apparatus |
| USRE27356E (en) | 1970-08-17 | 1972-05-09 | Infinite optical image-forming apparatus | |
| FR2265144A1 (en) | 1974-03-21 | 1975-10-17 | Cepe | Data display using fluid crystals - is used in electronic watches and is illuminated via curved mirror and flat cover glass |
| US3966303A (en) | 1974-07-26 | 1976-06-29 | Omron Tateisi Electronics Co. | Liquid crystal display utilizing transmitted light |
| US3940203A (en) | 1975-04-01 | 1976-02-24 | Farrand Optical Co., Inc. | Image-forming apparatus |
| US4026641A (en) | 1975-12-30 | 1977-05-31 | The United States Of America As Represented By The Secretary Of The Army | Toric reflector display |
| GB2115179B (en) | 1978-12-21 | 1984-01-18 | Redifon Simulation Ltd | Improvements in or relating to visual display apparatus |
| US4257062A (en) | 1978-12-29 | 1981-03-17 | Meredith Russell W | Personalized audio-visual system |
| US4277980A (en) | 1979-03-12 | 1981-07-14 | Reine H. Pendleton | Apparatus and method for indicating sound levels |
| US4376404A (en) | 1980-10-23 | 1983-03-15 | Agricultural Aviation Engineering Co. | Apparatus for translating sound into a visual display |
| US4398805A (en) | 1981-07-06 | 1983-08-16 | General Electric Company | Transflective liquid crystal display |
| US4394656A (en) | 1981-09-24 | 1983-07-19 | Goettsche Mark T | Sound display apparatus having separation control |
| EP0081603A1 (en) | 1981-12-14 | 1983-06-22 | Animotion Products Corporation | Solar display kiosk |
| US4643789A (en) | 1982-07-23 | 1987-02-17 | Transfer Print Foils | Method for preparing a decorated insert and continuous insert molding operation |
| GB2132806B (en) | 1982-09-10 | 1986-01-15 | Andrew David Swinton | Rotary visual sonics |
| US4537739A (en) | 1983-08-22 | 1985-08-27 | Replicap Products, Inc. | Production of molded plastic articles with artwork thereon |
| US4567513A (en) | 1983-11-02 | 1986-01-28 | Imsand Donald J | Three dimensional television system |
| US4526473A (en) | 1983-11-21 | 1985-07-02 | Zahn Iii Norman E | Heads up sports timer with electronic time display |
| US4763990A (en) | 1984-02-03 | 1988-08-16 | Flight Dynamics, Inc. | Head up display system |
| US4669810A (en) | 1984-02-03 | 1987-06-02 | Flight Dynamics, Inc. | Head up display system |
| AT383428B (en) | 1984-03-22 | 1987-07-10 | Goerike Rudolf | EYEGLASSES TO IMPROVE NATURAL HEARING |
| US5281957A (en) | 1984-11-14 | 1994-01-25 | Schoolman Scientific Corp. | Portable computer and head mounted display |
| US4790629A (en) | 1984-12-06 | 1988-12-13 | Michael Rand | Visual display system with triangular cells |
| US4796987A (en) | 1984-12-20 | 1989-01-10 | Linden Harry A | Digital display for head mounted protection |
| US4711512A (en) | 1985-07-12 | 1987-12-08 | Environmental Research Institute Of Michigan | Compact head-up display |
| US4673953A (en) | 1985-12-13 | 1987-06-16 | Xerox Corporation | Interpixel null suppression for optical image bars |
| JPS62157007A (en) | 1985-12-28 | 1987-07-13 | Jiesu:Kk | Glasses |
| GB2185360B (en) | 1986-01-11 | 1989-10-25 | Pilkington Perkin Elmer Ltd | Display system |
| FR2593932B1 (en) | 1986-02-04 | 1989-12-01 | Thomson Csf | LARGE FIELD VISUALIZATION DEVICE WITH HIGH OPTICAL EFFICIENCY |
| US4799765A (en) | 1986-03-31 | 1989-01-24 | Hughes Aircraft Company | Integrated head-up and panel display unit |
| US4869575A (en) | 1986-05-12 | 1989-09-26 | Iota Instrumentation Company | Headwear-mounted periscopic display device |
| US4757714A (en) | 1986-09-25 | 1988-07-19 | Insight, Inc. | Speed sensor and head-mounted data display |
| US4795223A (en) | 1987-01-06 | 1989-01-03 | Hughes Aircraft Company | Segmented 3-D hologram display |
| US4751691A (en) | 1987-07-01 | 1988-06-14 | Perera Kalukapuge T | Optical projection time-piece attachment for spectacles or combination thereof |
| US4934773A (en) | 1987-07-27 | 1990-06-19 | Reflection Technology, Inc. | Miniature video display system |
| US5003300A (en) | 1987-07-27 | 1991-03-26 | Reflection Technology, Inc. | Head mounted display for miniature video display system |
| US4859031A (en) | 1987-08-03 | 1989-08-22 | Kaiser Electronics | Optical collimating apparatus |
| US4973952A (en) | 1987-09-21 | 1990-11-27 | Information Resources, Inc. | Shopping cart display system |
| US4776045A (en) | 1987-10-09 | 1988-10-11 | Jo Mysliwiec | Swimming goggles including a timing device |
| US4886958A (en) | 1988-03-25 | 1989-12-12 | Texas Instruments Incorporated | Autofocus system for scanning laser inspector or writer |
| US4822160A (en) | 1988-06-08 | 1989-04-18 | James Tsai | Flashing spectacles |
| US4961626A (en) | 1989-02-21 | 1990-10-09 | United Techologies Corporation | Direct incorporation of night vision in a helmet mounted display |
| FR2647556B1 (en) | 1989-05-23 | 1993-10-29 | Thomson Csf | OPTICAL DEVICE FOR INTRODUCING A COLLIMATED IMAGE INTO THE VISUAL FIELD OF AN OBSERVER AND HELMET COMPRISING AT LEAST ONE SUCH DEVICE |
| US4949580A (en) | 1989-05-31 | 1990-08-21 | Graham John F | Audio analysis system |
| JP2705245B2 (en) | 1989-09-27 | 1998-01-28 | キヤノン株式会社 | Head-up display device |
| US5029963A (en) | 1990-02-15 | 1991-07-09 | Itt Corporation | Replacement device for a driver's viewer |
| US5343313A (en) | 1990-03-20 | 1994-08-30 | James L. Fergason | Eye protection system with heads up display |
| JP2985231B2 (en) | 1990-05-17 | 1999-11-29 | ソニー株式会社 | Video display device |
| FR2662838B1 (en) | 1990-06-01 | 1994-05-06 | Thomson Csf | WIDE ANGLE DISPLAY DEVICE FOR LOW - SIZE SIMULATOR. |
| US5191319A (en) | 1990-10-15 | 1993-03-02 | Kiltz Richard M | Method and apparatus for visual portrayal of music |
| US5151722A (en) | 1990-11-05 | 1992-09-29 | The Johns Hopkins University | Video display on spectacle-like frame |
| US5103713A (en) | 1990-11-13 | 1992-04-14 | Hughes Aircraft Company | Imaging target sight |
| US8730129B2 (en) | 1990-12-07 | 2014-05-20 | Dennis J Solomon | Advanced immersive visual display system |
| US20060033992A1 (en) | 2002-12-02 | 2006-02-16 | Solomon Dennis J | Advanced integrated scanning focal immersive visual display |
| US5212821A (en) | 1991-03-29 | 1993-05-18 | At&T Bell Laboratories | Machine-based learning system |
| CA2085735A1 (en) | 1991-04-22 | 1992-10-23 | Ralph W. Fisher | Head-mounted projection display system featuring beam splitter |
| US5227769A (en) | 1991-05-23 | 1993-07-13 | Westinghouse Electric Corp. | Heads-up projection display |
| US5258785A (en) | 1991-06-25 | 1993-11-02 | Dawkins Jr Douglas R | Close-view data display implant for sporting eyewear |
| US5266977A (en) | 1991-07-12 | 1993-11-30 | Linden Harry A | Lens device and method |
| US5781913A (en) | 1991-07-18 | 1998-07-14 | Felsenstein; Lee | Wearable hypermedium system |
| US5515184A (en) | 1991-11-12 | 1996-05-07 | The University Of Alabama In Huntsville | Waveguide hologram illuminators |
| US5602564A (en) | 1991-11-14 | 1997-02-11 | Hitachi, Ltd. | Graphic data processing system |
| US6054991A (en) | 1991-12-02 | 2000-04-25 | Texas Instruments Incorporated | Method of modeling player position and movement in a virtual reality system |
| US6850252B1 (en) | 1999-10-05 | 2005-02-01 | Steven M. Hoffberg | Intelligent electronic appliance system and method |
| US5303085A (en) | 1992-02-07 | 1994-04-12 | Rallison Richard D | Optically corrected helmet mounted display |
| EP0909972A3 (en) | 1992-03-13 | 1999-06-09 | Kopin Corporation | Method of forming a high resolution liquid crystal display device |
| EP0562742A1 (en) | 1992-03-25 | 1993-09-29 | Motorola, Inc. | Direct retinal scan display |
| US5305244B2 (en) | 1992-04-06 | 1997-09-23 | Computer Products & Services I | Hands-free user-supported portable computer |
| US5357372A (en) | 1992-04-07 | 1994-10-18 | Hughes Aircraft Company | Ultra-compact, wide field of view virtual image display optical system |
| JPH05300544A (en) | 1992-04-23 | 1993-11-12 | Sony Corp | Video display device |
| US5594588A (en) | 1992-04-24 | 1997-01-14 | Olympus Optical Co., Ltd. | Visual display |
| US5286471A (en) | 1992-05-15 | 1994-02-15 | The United States Of America As Represented By The Administrator Of The National Aeronautics And Space Administration | Graphite flouride from iodine intercalated graphitized carbon |
| US5572343A (en) | 1992-05-26 | 1996-11-05 | Olympus Optical Co., Ltd. | Visual display having see-through function and stacked liquid crystal shutters of opposite viewing angle directions |
| GB9214909D0 (en) | 1992-07-14 | 1992-08-26 | Secr Defence | Helmet-mounted optical systems |
| JPH0638219A (en) | 1992-07-20 | 1994-02-10 | Olympus Optical Co Ltd | Video display device |
| JP3155360B2 (en) | 1992-07-27 | 2001-04-09 | オリンパス光学工業株式会社 | Visual display device |
| US5821930A (en) | 1992-08-23 | 1998-10-13 | U S West, Inc. | Method and system for generating a working window in a computer system |
| WO1994009398A1 (en) | 1992-10-20 | 1994-04-28 | Alec Robinson | Eye screen means with mounted visual display and communication apparatus |
| US5467104A (en) | 1992-10-22 | 1995-11-14 | Board Of Regents Of The University Of Washington | Virtual retinal display |
| US5661103A (en) | 1992-11-05 | 1997-08-26 | Donlar Corporation | Seed treatment composition and method |
| US5561538A (en) | 1992-11-17 | 1996-10-01 | Sharp Kabushiki Kaisha | Direct-view display apparatus |
| JP3418985B2 (en) | 1992-12-14 | 2003-06-23 | 株式会社デンソー | Image display device |
| JPH06194598A (en) | 1992-12-25 | 1994-07-15 | Olympus Optical Co Ltd | Display device of head mounting type |
| US5422653A (en) | 1993-01-07 | 1995-06-06 | Maguire, Jr.; Francis J. | Passive virtual reality |
| US5706026A (en) | 1993-01-25 | 1998-01-06 | Kent; Robert Hormann | Finger operated digital input device |
| JP3212203B2 (en) | 1993-02-09 | 2001-09-25 | オリンパス光学工業株式会社 | Visual display device |
| EP1347314B1 (en) | 1993-02-26 | 2006-04-26 | Yeda Research & Development Company, Ltd. | Holographic optical devices |
| US5530865A (en) | 1993-03-03 | 1996-06-25 | Apple Computer, Inc. | Method and apparatus for improved application program switching on a computer-controlled display system |
| US5757544A (en) | 1993-03-09 | 1998-05-26 | Olympus Optical Co., Ltd. | Image display apparatus |
| US5815411A (en) | 1993-09-10 | 1998-09-29 | Criticom Corporation | Electro-optic vision system which exploits position and attitude |
| US5436639A (en) | 1993-03-16 | 1995-07-25 | Hitachi, Ltd. | Information processing system |
| JPH06308891A (en) | 1993-04-23 | 1994-11-04 | Matsushita Electric Ind Co Ltd | Display device |
| JP3245478B2 (en) | 1993-04-27 | 2002-01-15 | オリンパス光学工業株式会社 | Head mounted display |
| JPH06324285A (en) | 1993-05-13 | 1994-11-25 | Olympus Optical Co Ltd | Visual display device |
| US5485172A (en) | 1993-05-21 | 1996-01-16 | Sony Corporation | Automatic image regulating arrangement for head-mounted image display apparatus |
| EP0626635B1 (en) | 1993-05-24 | 2003-03-05 | Sun Microsystems, Inc. | Improved graphical user interface with method for interfacing to remote devices |
| JPH06342623A (en) | 1993-06-01 | 1994-12-13 | S O C Kk | Chip fuse |
| JP3623250B2 (en) | 1993-06-23 | 2005-02-23 | オリンパス株式会社 | Video display device |
| US5513129A (en) | 1993-07-14 | 1996-04-30 | Fakespace, Inc. | Method and system for controlling computer-generated virtual environment in response to audio signals |
| US5734373A (en) | 1993-07-16 | 1998-03-31 | Immersion Human Interface Corporation | Method and apparatus for controlling force feedback interface systems utilizing a host computer |
| US5936610A (en) | 1993-07-27 | 1999-08-10 | Canon Kabushiki Kaisha | Control device for image input apparatus |
| US6411266B1 (en) | 1993-08-23 | 2002-06-25 | Francis J. Maguire, Jr. | Apparatus and method for providing images of real and virtual objects in a head mounted display |
| US6061064A (en) | 1993-08-31 | 2000-05-09 | Sun Microsystems, Inc. | System and method for providing and using a computer user interface with a view space having discrete portions |
| US5625765A (en) | 1993-09-03 | 1997-04-29 | Criticom Corp. | Vision systems including devices and methods for combining images for extended magnification schemes |
| US5506730A (en) | 1993-09-09 | 1996-04-09 | Litton Systems, Inc. | Flip-up helmet mount for night vision goggle |
| JP4001643B2 (en) | 1993-10-05 | 2007-10-31 | スナップ−オン・テクノロジイズ・インク | Two-hand open type car maintenance equipment |
| JPH09503594A (en) | 1993-10-07 | 1997-04-08 | バーチャル ビジョン,インコーポレイティド | Binoculars head mounted display system |
| JP3382683B2 (en) | 1993-10-22 | 2003-03-04 | オリンパス光学工業株式会社 | Concentric optical system |
| US7310072B2 (en) | 1993-10-22 | 2007-12-18 | Kopin Corporation | Portable communication display device |
| US5815126A (en) | 1993-10-22 | 1998-09-29 | Kopin Corporation | Monocular portable communication and display system |
| US5793339A (en) | 1993-11-11 | 1998-08-11 | Olympus Optical Co., Ltd. | Visual display apparatus |
| US5526183A (en) | 1993-11-29 | 1996-06-11 | Hughes Electronics | Helmet visor display employing reflective, refractive and diffractive optical elements |
| US5659430A (en) | 1993-12-21 | 1997-08-19 | Olympus Optical Co., Ltd. | Visual display apparatus |
| US5615132A (en) | 1994-01-21 | 1997-03-25 | Crossbow Technology, Inc. | Method and apparatus for determining position and orientation of a moveable object using accelerometers |
| US5717422A (en) | 1994-01-25 | 1998-02-10 | Fergason; James L. | Variable intensity high contrast passive display |
| US6160666A (en) | 1994-02-07 | 2000-12-12 | I-O Display Systems Llc | Personal visual display system |
| JP3392929B2 (en) | 1994-02-07 | 2003-03-31 | オリンパス光学工業株式会社 | Video display device |
| JPH07261088A (en) | 1994-03-18 | 1995-10-13 | Olympus Optical Co Ltd | Homocentric optical system |
| JPH086708A (en) | 1994-04-22 | 1996-01-12 | Canon Inc | Display device |
| JPH07294844A (en) | 1994-04-22 | 1995-11-10 | Canon Inc | Display device |
| US5734505A (en) | 1994-05-27 | 1998-03-31 | Olympus Optical Co., Ltd. | Visual display apparatus |
| US5594563A (en) | 1994-05-31 | 1997-01-14 | Honeywell Inc. | High resolution subtractive color projection system |
| JPH07325266A (en) | 1994-06-01 | 1995-12-12 | Olympus Optical Co Ltd | Video display device |
| US7262919B1 (en) | 1994-06-13 | 2007-08-28 | Canon Kabushiki Kaisha | Head-up display device with curved optical surface having total reflection |
| JPH087332A (en) | 1994-06-16 | 1996-01-12 | Olympus Optical Co Ltd | Information recording medium and reader |
| US5696521A (en) | 1994-06-22 | 1997-12-09 | Astounding Technologies (M) Sdn. Bhd. | Video headset |
| JPH086660A (en) | 1994-06-23 | 1996-01-12 | Hitachi Ltd | Charge processing method |
| DE4425262C1 (en) | 1994-07-16 | 1995-08-31 | Draegerwerk Ag | Breathing mask |
| US5446588A (en) | 1994-07-29 | 1995-08-29 | The University Of Rochester | Wide-angle eyepiece optical system employing refractive and diffractive optical elements |
| JPH0863326A (en) | 1994-08-22 | 1996-03-08 | Hitachi Ltd | Image processing apparatus and method |
| US5606458A (en) | 1994-08-24 | 1997-02-25 | Fergason; James L. | Head mounted display and viewing system using a remote retro-reflector and method of displaying and viewing an image |
| US5572596A (en) | 1994-09-02 | 1996-11-05 | David Sarnoff Research Center, Inc. | Automated, non-invasive iris recognition system and method |
| US6714665B1 (en) | 1994-09-02 | 2004-03-30 | Sarnoff Corporation | Fully automated iris recognition system utilizing wide and narrow fields of view |
| JPH08129146A (en) | 1994-09-05 | 1996-05-21 | Olympus Optical Co Ltd | Video display device |
| US5544268A (en) | 1994-09-09 | 1996-08-06 | Deacon Research | Display panel with electrically-controlled waveguide-routing |
| US5647036A (en) | 1994-09-09 | 1997-07-08 | Deacon Research | Projection display with electrically-controlled waveguide routing |
| US6167169A (en) | 1994-09-09 | 2000-12-26 | Gemfire Corporation | Scanning method and architecture for display |
| DE69531994T2 (en) | 1994-09-15 | 2004-07-22 | OEC Medical Systems, Inc., Boston | SYSTEM FOR POSITION DETECTION BY MEANS OF A REFERENCE UNIT ATTACHED TO A PATIENT'S HEAD FOR USE IN THE MEDICAL AREA |
| WO1996009579A1 (en) | 1994-09-22 | 1996-03-28 | Izak Van Cruyningen | Popup menus with directional gestures |
| US5483307A (en) | 1994-09-29 | 1996-01-09 | Texas Instruments, Inc. | Wide field of view head-mounted display |
| JP3441188B2 (en) | 1994-10-07 | 2003-08-25 | オリンパス光学工業株式会社 | Optical system and visual display device |
| JP3486468B2 (en) | 1994-10-21 | 2004-01-13 | オリンパス株式会社 | Prism optical system |
| US6184969B1 (en) | 1994-10-25 | 2001-02-06 | James L. Fergason | Optical display system and method, active and passive dithering using birefringence, color image superpositioning and display enhancement |
| JPH08136852A (en) | 1994-11-02 | 1996-05-31 | Olympus Optical Co Ltd | Optical device having eyepiece optical system |
| US7162392B2 (en) | 1994-11-21 | 2007-01-09 | Phatrat Technology, Inc. | Sport performance systems for measuring athletic performance, and associated methods |
| US6539336B1 (en) | 1996-12-12 | 2003-03-25 | Phatrat Technologies, Inc. | Sport monitoring system for determining airtime, speed, power absorbed and other factors such as drop distance |
| JPH08146341A (en) | 1994-11-25 | 1996-06-07 | Olympus Optical Co Ltd | Image display device |
| JP3727078B2 (en) | 1994-12-02 | 2005-12-14 | 富士通株式会社 | Display device |
| JPH08160343A (en) | 1994-12-05 | 1996-06-21 | Olympus Optical Co Ltd | Image display |
| JP3672951B2 (en) | 1994-12-13 | 2005-07-20 | オリンパス株式会社 | Image display device |
| JP3295583B2 (en) | 1994-12-19 | 2002-06-24 | シャープ株式会社 | Optical device and head-mounted display using the optical device |
| US5808800A (en) | 1994-12-22 | 1998-09-15 | Displaytech, Inc. | Optics arrangements including light source arrangements for an active matrix liquid crystal image generator |
| DE69515838T2 (en) | 1995-01-30 | 2000-10-12 | International Business Machines Corp., Armonk | Priority-controlled transmission of multimedia data streams via a telecommunication line |
| US5596451A (en) | 1995-01-30 | 1997-01-21 | Displaytech, Inc. | Miniature image generator including optics arrangement |
| US5949388A (en) | 1995-03-03 | 1999-09-07 | Olympus Optical Co., Ltd. | Head-mounted video display |
| JP4309480B2 (en) | 1995-03-07 | 2009-08-05 | 株式会社東芝 | Information processing device |
| US5991085A (en) | 1995-04-21 | 1999-11-23 | I-O Display Systems Llc | Head-mounted personal visual display apparatus with image generator and holder |
| EP0771433A1 (en) | 1995-05-15 | 1997-05-07 | HE HOLDINGS, INC. dba HUGHES ELECTRONICS | Low-cost light-weight head-mounted virtual-image projection display with low moments of inertia and low center of gravity |
| JP3599828B2 (en) | 1995-05-18 | 2004-12-08 | オリンパス株式会社 | Optical device |
| US6417892B1 (en) | 1995-05-23 | 2002-07-09 | Colorlink, Inc. | Color filters, sequencers and displays using color selective light modulators |
| US5585871A (en) | 1995-05-26 | 1996-12-17 | Linden; Harry | Multi-function display apparatus |
| JP3497607B2 (en) | 1995-05-26 | 2004-02-16 | オリンパス株式会社 | Eyepiece optical system and image display device using the same |
| US7453451B1 (en) | 1999-03-16 | 2008-11-18 | Maguire Francis J Jr | Moveable headrest for viewing images from different directions |
| US5691898A (en) | 1995-09-27 | 1997-11-25 | Immersion Human Interface Corp. | Safe and low cost computer peripherals with force feedback for consumer applications |
| US5682196A (en) | 1995-06-22 | 1997-10-28 | Actv, Inc. | Three-dimensional (3D) video presentation system providing interactive 3D presentation with personalized audio responses for multiple viewers |
| US5909325A (en) | 1995-06-26 | 1999-06-01 | Olympus Optical Co., Ltd. | Image display apparatus |
| JP3645618B2 (en) | 1995-07-14 | 2005-05-11 | オリンパス株式会社 | Image display device |
| US6369952B1 (en) | 1995-07-14 | 2002-04-09 | I-O Display Systems Llc | Head-mounted personal visual display apparatus with image generator and holder |
| USD375495S (en) | 1995-07-20 | 1996-11-12 | Virtual I/O, Inc. | Head mounted display |
| US20060119525A1 (en) | 2004-08-24 | 2006-06-08 | Nathan Cohen | Wideband antenna system for garments |
| JP3636240B2 (en) | 1996-03-25 | 2005-04-06 | オリンパス株式会社 | Optical system |
| JP3537230B2 (en) | 1995-08-21 | 2004-06-14 | オリンパス株式会社 | Eyepiece optical system and image display device using the same |
| US5768025A (en) | 1995-08-21 | 1998-06-16 | Olympus Optical Co., Ltd. | Optical system and image display apparatus |
| US5764785A (en) | 1995-08-21 | 1998-06-09 | Jones; Mark F. | Object identification system |
| JPH09114543A (en) | 1995-10-02 | 1997-05-02 | Xybernaut Corp | Hands free computer equipment |
| JPH09105885A (en) | 1995-10-12 | 1997-04-22 | Canon Inc | Head-mounted 3D image display device |
| JP3594264B2 (en) | 1995-10-16 | 2004-11-24 | オリンパス株式会社 | Image display device |
| US5774558A (en) | 1995-10-30 | 1998-06-30 | Rsq, Llc | Sound imager |
| JPH09139927A (en) | 1995-11-15 | 1997-05-27 | Matsushita Electric Ind Co Ltd | Multipoint image transmission device |
| US6184847B1 (en) | 1998-09-22 | 2001-02-06 | Vega Vista, Inc. | Intuitive control of portable data displays |
| US6127990A (en) | 1995-11-28 | 2000-10-03 | Vega Vista, Inc. | Wearable display and methods for controlling same |
| JP3683317B2 (en) | 1995-11-28 | 2005-08-17 | オリンパス株式会社 | Image display device |
| JPH09166759A (en) | 1995-12-18 | 1997-06-24 | Olympus Optical Co Ltd | Picture display device |
| US5742263A (en) | 1995-12-18 | 1998-04-21 | Telxon Corporation | Head tracking system for a head mounted display system |
| WO1997022964A1 (en) | 1995-12-18 | 1997-06-26 | Bell Communications Research, Inc. | Flat virtual displays for virtual reality |
| JP3676472B2 (en) | 1996-01-19 | 2005-07-27 | オリンパス株式会社 | Eyepiece optics |
| US6201557B1 (en) | 1996-02-08 | 2001-03-13 | Kabushiki Kaisha Toshiba | Thermal printing head, process for producing thermal printing head, recorder, sinter and target |
| JPH09219832A (en) | 1996-02-13 | 1997-08-19 | Olympus Optical Co Ltd | Image display |
| TW395121B (en) | 1996-02-26 | 2000-06-21 | Seiko Epson Corp | Personal wearing information display device and the display method using such device |
| JP3757420B2 (en) | 1996-03-11 | 2006-03-22 | セイコーエプソン株式会社 | Head-mounted display device |
| EP0886802B1 (en) | 1996-03-15 | 2001-11-21 | Retinal Display Cayman Ltd. | Method of and apparatus for viewing an image |
| JPH09261555A (en) | 1996-03-19 | 1997-10-03 | Olympus Optical Co Ltd | Image display device |
| US5959780A (en) | 1996-04-15 | 1999-09-28 | Olympus Optical Co., Ltd. | Head-mounted display apparatus comprising a rotationally asymmetric surface |
| GB9610240D0 (en) | 1996-05-16 | 1996-07-24 | Ncr Int Inc | Method of backlighting a display panel and an apparatus therefor |
| US6388683B1 (en) | 1996-06-25 | 2002-05-14 | International Business Machines Corporation | Object oriented data arranger graphical user interface |
| US6006227A (en) | 1996-06-28 | 1999-12-21 | Yale University | Document stream operating system |
| US7098392B2 (en) | 1996-07-10 | 2006-08-29 | Sitrick David H | Electronic image visualization system and communication methodologies |
| US5745714A (en) | 1996-07-19 | 1998-04-28 | International Business Machines Corporation | Method and system in a data processing system for the association and display of a plurality of objects |
| JPH1039247A (en) | 1996-07-19 | 1998-02-13 | Olympus Optical Co Ltd | Head-mounted picture display |
| US6046712A (en) | 1996-07-23 | 2000-04-04 | Telxon Corporation | Head mounted communication system for providing interactive visual communications with a remote system |
| US5689619A (en) | 1996-08-09 | 1997-11-18 | The United States Of America As Represented By The Secretary Of The Army | Eyetracker control of heads-up displays |
| US6091832A (en) | 1996-08-12 | 2000-07-18 | Interval Research Corporation | Wearable personal audio loop apparatus |
| US5933811A (en) | 1996-08-20 | 1999-08-03 | Paul D. Angles | System and method for delivering customized advertisements within interactive communication systems |
| JPH1065996A (en) | 1996-08-23 | 1998-03-06 | Olympus Optical Co Ltd | Head wearable display device |
| US6008948A (en) | 1996-08-28 | 1999-12-28 | Olympus Optical Co., Ltd. | Prism optical system |
| JPH1070742A (en) | 1996-08-29 | 1998-03-10 | Olympus Optical Co Ltd | Twin-lens video display device |
| JPH1075407A (en) | 1996-08-30 | 1998-03-17 | Olympus Optical Co Ltd | Image display device |
| US5715337A (en) | 1996-09-19 | 1998-02-03 | The Mirco Optical Corporation | Compact display system |
| US6847336B1 (en) | 1996-10-02 | 2005-01-25 | Jerome H. Lemelson | Selectively controllable heads-up display system |
| FR2754369B1 (en) | 1996-10-04 | 1998-12-18 | Thomson Csf | RELIEF FINGERPRINT ACQUISITION SYSTEM AND ACQUISITION METHOD |
| JP3338618B2 (en) | 1996-10-07 | 2002-10-28 | ミノルタ株式会社 | Display method and display device for real space image and virtual space image |
| US6204974B1 (en) | 1996-10-08 | 2001-03-20 | The Microoptical Corporation | Compact image display system for eyeglasses or other head-borne frames |
| US6023372A (en) | 1997-10-30 | 2000-02-08 | The Microoptical Corporation | Light weight, compact remountable electronic display device for eyeglasses or other head-borne eyewear frames |
| US5886822A (en) | 1996-10-08 | 1999-03-23 | The Microoptical Corporation | Image combining system for eyeglasses and face masks |
| US5796373A (en) | 1996-10-10 | 1998-08-18 | Artificial Parallax Electronics Corp. | Computerized stereoscopic image system and method of using two-dimensional image for providing a view having visual depth |
| JPH10123450A (en) | 1996-10-15 | 1998-05-15 | Sony Corp | Head-up display device with voice recognition function |
| JPH10123454A (en) | 1996-10-16 | 1998-05-15 | Olympus Optical Co Ltd | Head mounted picture display device |
| US5912650A (en) | 1996-10-16 | 1999-06-15 | Kaiser Electro-Optics, Inc. | Dichoptic display utilizing a single display device |
| US6144366A (en) | 1996-10-18 | 2000-11-07 | Kabushiki Kaisha Toshiba | Method and apparatus for generating information input using reflected light image of target object |
| US6968319B1 (en) | 1996-10-18 | 2005-11-22 | Microsoft Corporation | Electronic bill presentment and payment system with bill dispute capabilities |
| US6215593B1 (en) | 1996-11-13 | 2001-04-10 | Ian A. Bruce | Portable wide-field optical system with microlenses and fiber-optic image transfer element |
| JPH10239630A (en) | 1996-12-24 | 1998-09-11 | Olympus Optical Co Ltd | Image display device |
| US5909183A (en) | 1996-12-26 | 1999-06-01 | Motorola, Inc. | Interactive appliance remote controller, system and method |
| AU5338598A (en) | 1997-01-02 | 1998-07-31 | Giora Kutz | A personal head mounted display device |
| JP3943680B2 (en) | 1997-01-06 | 2007-07-11 | オリンパス株式会社 | Video display device |
| US6252989B1 (en) | 1997-01-07 | 2001-06-26 | Board Of The Regents, The University Of Texas System | Foveated image coding system and method for image bandwidth reduction |
| US5777715A (en) | 1997-01-21 | 1998-07-07 | Allen Vision Systems, Inc. | Low vision rehabilitation system |
| US5950200A (en) | 1997-01-24 | 1999-09-07 | Gil S. Sudai | Method and apparatus for detection of reciprocal interests or feelings and subsequent notification |
| JPH10240491A (en) | 1997-02-26 | 1998-09-11 | Olympus Optical Co Ltd | Information processor |
| JP3787939B2 (en) | 1997-02-27 | 2006-06-21 | コニカミノルタホールディングス株式会社 | 3D image display device |
| US6118888A (en) | 1997-02-28 | 2000-09-12 | Kabushiki Kaisha Toshiba | Multi-modal interface apparatus and method |
| JPH10246865A (en) | 1997-03-04 | 1998-09-14 | Olympus Optical Co Ltd | Visual display device |
| EP0872991B1 (en) | 1997-04-15 | 2006-07-26 | Hewlett-Packard Company, A Delaware Corporation | Method and apparatus for device interaction by format |
| US6760169B2 (en) | 1997-05-07 | 2004-07-06 | Olympus Corporation | Prism optical element, image observation apparatus and image display apparatus |
| US6028608A (en) | 1997-05-09 | 2000-02-22 | Jenkins; Barry | System and method of perception-based image generation and encoding |
| US6042555A (en) | 1997-05-12 | 2000-03-28 | Virtual Technologies, Inc. | Force-feedback interface device for the hand |
| JPH10333083A (en) | 1997-05-27 | 1998-12-18 | Olympus Optical Co Ltd | Image display device |
| JP2002502499A (en) | 1997-06-03 | 2002-01-22 | ステファン バイド | Portable information distribution device |
| US6888590B1 (en) | 1997-06-10 | 2005-05-03 | Olympus Optical Co., Ltd. | Optical elements (such as vari focal lens component, vari-focal diffractive optical element and variable declination prism) and electronic image pickup unit using optical elements |
| JP3865906B2 (en) | 1997-06-27 | 2007-01-10 | オリンパス株式会社 | Image display device |
| US5864334A (en) | 1997-06-27 | 1999-01-26 | Compaq Computer Corporation | Computer keyboard with switchable typing/cursor control modes |
| US5974413A (en) | 1997-07-03 | 1999-10-26 | Activeword Systems, Inc. | Semantic user interface |
| JPH1138473A (en) | 1997-07-18 | 1999-02-12 | Olympus Optical Co Ltd | Real image type finder |
| US6064335A (en) | 1997-07-21 | 2000-05-16 | Trimble Navigation Limited | GPS based augmented reality collision avoidance system |
| US5976083A (en) | 1997-07-30 | 1999-11-02 | Living Systems, Inc. | Portable aerobic fitness monitor for walking and running |
| US6034653A (en) | 1997-08-01 | 2000-03-07 | Colorado Microdisplay, Inc. | Head-set display device |
| US6073443A (en) | 1997-08-06 | 2000-06-13 | Kanzaki Kokyukoki Mfg. Co., Ltd. | Axle driving apparatus |
| US20020036617A1 (en) | 1998-08-21 | 2002-03-28 | Timothy R. Pryor | Novel man machine interfaces and applications |
| US6037914A (en) | 1997-08-25 | 2000-03-14 | Hewlett-Packard Company | Method and apparatus for augmented reality using a see-through head-mounted display |
| US6201629B1 (en) | 1997-08-27 | 2001-03-13 | Microoptical Corporation | Torsional micro-mechanical mirror system |
| US6522312B2 (en) | 1997-09-01 | 2003-02-18 | Canon Kabushiki Kaisha | Apparatus for presenting mixed reality shared among operators |
| AUPO894497A0 (en) | 1997-09-02 | 1997-09-25 | Xenotech Research Pty Ltd | Image processing method and apparatus |
| JPH1195150A (en) | 1997-09-22 | 1999-04-09 | Minolta Co Ltd | Scanning optical device |
| US6898550B1 (en) | 1997-10-02 | 2005-05-24 | Fitsense Technology, Inc. | Monitoring activity of a user in locomotion on foot |
| US6611789B1 (en) | 1997-10-02 | 2003-08-26 | Personal Electric Devices, Inc. | Monitoring activity of a user in locomotion on foot |
| US6486997B1 (en) | 1997-10-28 | 2002-11-26 | 3M Innovative Properties Company | Reflective LCD projection system using wide-angle Cartesian polarizing beam splitter |
| JPH11194295A (en) | 1997-11-06 | 1999-07-21 | Olympus Optical Co Ltd | Optical system |
| US6008946A (en) | 1997-11-07 | 1999-12-28 | Honeywell, Inc. | Ambient light display illumination for a head-mounted display |
| JPH11142783A (en) | 1997-11-12 | 1999-05-28 | Olympus Optical Co Ltd | Image display device |
| EP1705563B1 (en) | 1997-11-14 | 2009-03-11 | Microsoft Corporation | Server operating system for supporting multiple client-server sessions and dynamic reconnection of users to previous sessions |
| US6009435A (en) | 1997-11-21 | 1999-12-28 | International Business Machines Corporation | Progressive compression of clustered multi-resolution polygonal models |
| US6166744A (en) | 1997-11-26 | 2000-12-26 | Pathfinder Systems, Inc. | System for combining virtual images with real-world scenes |
| JP3384314B2 (en) | 1997-12-02 | 2003-03-10 | ヤマハ株式会社 | Tone response image generation system, method, apparatus, and recording medium therefor |
| JPH11174368A (en) | 1997-12-17 | 1999-07-02 | Olympus Optical Co Ltd | Picture display device |
| US6169526B1 (en) | 1997-12-19 | 2001-01-02 | Alliedsignal Inc. | Space-variant brightness control system for see-through displays |
| US6154314A (en) | 1997-12-26 | 2000-11-28 | Olympus Optical Co., Ltd. | Real image mode variable magnification finder |
| JPH11198416A (en) | 1998-01-14 | 1999-07-27 | Minolta Co Ltd | Image-processing apparatus |
| CA2233047C (en) | 1998-02-02 | 2000-09-26 | Steve Mann | Wearable camera system with viewfinder means |
| US6236037B1 (en) | 1998-02-20 | 2001-05-22 | Massachusetts Institute Of Technology | Finger touch sensors and virtual switch panels |
| US6329986B1 (en) | 1998-02-21 | 2001-12-11 | U.S. Philips Corporation | Priority-based virtual environment |
| JPH11237562A (en) | 1998-02-24 | 1999-08-31 | Olympus Optical Co Ltd | Finder for single-lens reflex type digital camera |
| JPH11242165A (en) | 1998-02-26 | 1999-09-07 | Olympus Optical Co Ltd | Real-image finder optical system and device using the system |
| AU2900999A (en) | 1998-03-09 | 1999-09-27 | Corning Incorporated | Optical waveguide having non absorbing cladding region |
| JPH11265248A (en) | 1998-03-18 | 1999-09-28 | Sony Corp | Glasses-type image display device |
| US6891973B1 (en) | 1998-03-20 | 2005-05-10 | Mitsubishi Electronic Corporation | Lossy/lossless region-of-interest image coding |
| US5926144A (en) | 1998-03-23 | 1999-07-20 | Motorola, Inc. | Wearable electronic device and antenna therefor |
| US6625299B1 (en) | 1998-04-08 | 2003-09-23 | Jeffrey Meisner | Augmented reality technology |
| US6137042A (en) | 1998-05-07 | 2000-10-24 | International Business Machines Corporation | Visual display for music generated via electric apparatus |
| US6421453B1 (en) | 1998-05-15 | 2002-07-16 | International Business Machines Corporation | Apparatus and methods for user recognition employing behavioral passwords |
| JP2955561B1 (en) | 1998-05-29 | 1999-10-04 | 株式会社ディジタル・ビジョン・ラボラトリーズ | Stream communication system and stream transfer control method |
| US5943171A (en) | 1998-06-03 | 1999-08-24 | International Business Machines Corporation | Head mounted displays utilizing reflection light valves |
| US6271808B1 (en) | 1998-06-05 | 2001-08-07 | Silicon Light Machines | Stereo head mounted display using a single display device |
| US6064354A (en) | 1998-07-01 | 2000-05-16 | Deluca; Michael Joseph | Stereoscopic user interface method and apparatus |
| US6060933A (en) | 1998-07-08 | 2000-05-09 | Analog Devices, Inc. | Electronic vernier systems and methods |
| AU5231699A (en) | 1998-07-29 | 2000-02-21 | Digilens Inc. | Projection screen based on reconfigurable holographic optics for implementation in head-mounted displays |
| US6950534B2 (en) | 1998-08-10 | 2005-09-27 | Cybernet Systems Corporation | Gesture-controlled interfaces for self-service machines and other applications |
| US6229503B1 (en) | 1998-08-25 | 2001-05-08 | Robert Mays, Jr. | Miniature personal display |
| EP1114340A1 (en) | 1998-09-14 | 2001-07-11 | Digilens Inc. | Holographic illumination system and holographic projection system |
| US6094283A (en) | 1998-10-16 | 2000-07-25 | Digilens, Inc. | Holographic display with switchable aspect ratio |
| JP2000199853A (en) | 1998-10-26 | 2000-07-18 | Olympus Optical Co Ltd | Image-formation optical system and observation optical system |
| US6060993A (en) | 1998-11-03 | 2000-05-09 | Adapt Media, Inc. | Mobile display system |
| US6327074B1 (en) | 1998-11-25 | 2001-12-04 | University Of Central Florida | Display medium using emitting particles dispersed in a transparent host |
| US6222675B1 (en) | 1998-12-01 | 2001-04-24 | Kaiser Electro-Optics, Inc. | Area of interest head-mounted display using low resolution, wide angle; high resolution, narrow angle; and see-through views |
| US6147678A (en) | 1998-12-09 | 2000-11-14 | Lucent Technologies Inc. | Video hand image-three-dimensional computer interface with multiple degrees of freedom |
| US7046263B1 (en) | 1998-12-18 | 2006-05-16 | Tangis Corporation | Requesting computer user's context data |
| US7080322B2 (en) | 1998-12-18 | 2006-07-18 | Tangis Corporation | Thematic response to a computer user's context, such as by a wearable personal computer |
| US7107539B2 (en) | 1998-12-18 | 2006-09-12 | Tangis Corporation | Thematic response to a computer user's context, such as by a wearable personal computer |
| US9183306B2 (en) | 1998-12-18 | 2015-11-10 | Microsoft Technology Licensing, Llc | Automated selection of appropriate information based on a computer user's context |
| US7073129B1 (en) | 1998-12-18 | 2006-07-04 | Tangis Corporation | Automated selection of appropriate information based on a computer user's context |
| US7055101B2 (en) | 1998-12-18 | 2006-05-30 | Tangis Corporation | Thematic response to a computer user's context, such as by a wearable personal computer |
| US7076737B2 (en) | 1998-12-18 | 2006-07-11 | Tangis Corporation | Thematic response to a computer user's context, such as by a wearable personal computer |
| JP2000187177A (en) | 1998-12-22 | 2000-07-04 | Olympus Optical Co Ltd | Image display device |
| JP2000207575A (en) | 1999-01-08 | 2000-07-28 | Nadeisu:Kk | Space fusing device and application devices adapting the same |
| US6166679A (en) | 1999-01-13 | 2000-12-26 | Lemelson Jerome H. | Friend or foe detection system and method and expert system military action advisory system and method |
| US7092003B1 (en) | 1999-01-21 | 2006-08-15 | Mel Siegel | 3-D imaging arrangements |
| US6363160B1 (en) | 1999-01-22 | 2002-03-26 | Intel Corporation | Interface using pattern recognition and tracking |
| US6522342B1 (en) | 1999-01-27 | 2003-02-18 | Hughes Electronics Corporation | Graphical tuning bar for a multi-program data stream |
| JP2000221440A (en) | 1999-01-29 | 2000-08-11 | Olympus Optical Co Ltd | Picture display device |
| JP2000298246A (en) | 1999-02-12 | 2000-10-24 | Canon Inc | Display device, display method, and storage medium |
| US6289299B1 (en) | 1999-02-17 | 2001-09-11 | Westinghouse Savannah River Company | Systems and methods for interactive virtual reality process control and simulation |
| US20030158786A1 (en) | 1999-02-26 | 2003-08-21 | Skyline Software Systems, Inc. | Sending three-dimensional images over a network |
| WO2000052539A1 (en) | 1999-03-02 | 2000-09-08 | Siemens Aktiengesellschaft | Augmented reality system for situation-related support for interaction between a user and a technical device |
| US7124425B1 (en) | 1999-03-08 | 2006-10-17 | Immersion Entertainment, L.L.C. | Audio/video system and method utilizing a head mounted apparatus with noise attenuation |
| JP2000258723A (en) | 1999-03-11 | 2000-09-22 | Minolta Co Ltd | Video display device |
| US6244703B1 (en) | 1999-03-16 | 2001-06-12 | Nathaniel Resnikoff | Method and apparatus for calibration of an electronic vision device |
| US6464363B1 (en) | 1999-03-17 | 2002-10-15 | Olympus Optical Co., Ltd. | Variable mirror, optical apparatus and decentered optical system which include variable mirror, variable-optical characteristic optical element or combination thereof |
| EP1089111B1 (en) | 1999-04-02 | 2005-03-30 | Olympus Corporation | Viewing optical system and image display comprising the same |
| US6222677B1 (en) | 1999-04-12 | 2001-04-24 | International Business Machines Corporation | Compact optical system for use in virtual display applications |
| US6088165A (en) | 1999-04-28 | 2000-07-11 | Itt Manufacturing Enterprises | Enhanced night vision device |
| US6101038A (en) | 1999-05-03 | 2000-08-08 | Optimize, Incorporated | Infrared audio/video interface for head-mounted display |
| JP2000338556A (en) | 1999-05-26 | 2000-12-08 | Olympus Optical Co Ltd | Finder device for camera |
| US7426480B2 (en) | 1999-06-09 | 2008-09-16 | Catalina Marketing Corporation | In-vehicle promotions system |
| US8065155B1 (en) | 1999-06-10 | 2011-11-22 | Gazdzinski Robert F | Adaptive advertising apparatus and methods |
| US6724354B1 (en) | 1999-06-21 | 2004-04-20 | The Microoptical Corporation | Illumination systems for eyeglass and facemask display systems |
| US7158096B1 (en) | 1999-06-21 | 2007-01-02 | The Microoptical Corporation | Compact, head-mountable display device with suspended eyepiece assembly |
| CA2375519A1 (en) | 1999-06-21 | 2000-12-28 | The Microoptical Corporation | Eyeglass display lens system employing off-axis optical design |
| US7180476B1 (en) | 1999-06-30 | 2007-02-20 | The Boeing Company | Exterior aircraft vision system using a helmet-mounted display |
| US6263022B1 (en) | 1999-07-06 | 2001-07-17 | Philips Electronics North America Corp. | System and method for fine granular scalable video with selective quality enhancement |
| JP4174923B2 (en) | 1999-07-23 | 2008-11-05 | コニカミノルタホールディングス株式会社 | Wearable camera |
| JP2001108935A (en) | 1999-08-05 | 2001-04-20 | Olympus Optical Co Ltd | Head mount type video display device |
| US6120461A (en) | 1999-08-09 | 2000-09-19 | The United States Of America As Represented By The Secretary Of The Army | Apparatus for tracking the human eye with a retinal scanning display, and method thereof |
| US6456438B1 (en) | 1999-08-12 | 2002-09-24 | Honeywell Inc. | Variable immersion vignetting display |
| GB9919525D0 (en) | 1999-08-19 | 1999-10-20 | Secr Defence | Method and apparatus for locating the source of an unknown signal |
| AU6788200A (en) | 1999-08-26 | 2001-03-19 | Digilens Inc. | Switchable holographic device |
| JP2001075023A (en) | 1999-09-07 | 2001-03-23 | Olympus Optical Co Ltd | Finder optical system |
| US6732080B1 (en) | 1999-09-15 | 2004-05-04 | Nokia Corporation | System and method of providing personal calendar services |
| US6424338B1 (en) | 1999-09-30 | 2002-07-23 | Gateway, Inc. | Speed zone touchpad |
| US6480174B1 (en) | 1999-10-09 | 2002-11-12 | Optimize Incorporated | Eyeglass-mount display having personalized fit module |
| US7239346B1 (en) | 1999-10-18 | 2007-07-03 | Priddy Dennis G | System and architecture that supports a multi-function semiconductor device between networks and portable wireless communications products |
| US6431705B1 (en) | 1999-11-10 | 2002-08-13 | Infoeye | Eyewear heart rate monitor |
| US20020149545A1 (en) | 1999-11-15 | 2002-10-17 | Ryotaro Hanayama | Head mounted display system |
| JP3854763B2 (en) | 1999-11-19 | 2006-12-06 | キヤノン株式会社 | Image display device |
| US6407469B1 (en) | 1999-11-30 | 2002-06-18 | Balboa Instruments, Inc. | Controller system for pool and/or spa |
| US7920102B2 (en) | 1999-12-15 | 2011-04-05 | Automotive Technologies International, Inc. | Vehicular heads-up display system |
| US8032264B2 (en) | 1999-12-15 | 2011-10-04 | Automotive Technologies International, Inc. | Vehicular heads-up display system |
| US6287200B1 (en) | 1999-12-15 | 2001-09-11 | Nokia Corporation | Relative positioning and virtual objects for mobile devices |
| US7958457B1 (en) | 1999-12-20 | 2011-06-07 | Wireless Agents, Llc | Method and apparatus for scheduling presentation of digital content on a personal communication device |
| GB9930850D0 (en) | 1999-12-24 | 2000-02-16 | Koninkl Philips Electronics Nv | 3D environment labelling |
| US6771294B1 (en) | 1999-12-29 | 2004-08-03 | Petri Pulli | User interface |
| US7143439B2 (en) | 2000-01-07 | 2006-11-28 | Security, Inc. | Efficient evaluation of rules |
| WO2001056007A1 (en) | 2000-01-28 | 2001-08-02 | Intersense, Inc. | Self-referenced tracking |
| JP5059937B2 (en) | 2000-01-31 | 2012-10-31 | グーグル インコーポレイテッド | Display device |
| JP4921634B2 (en) | 2000-01-31 | 2012-04-25 | グーグル インコーポレイテッド | Display device |
| US20030063383A1 (en) | 2000-02-03 | 2003-04-03 | Costales Bryan L. | Software out-of-focus 3D method, system, and apparatus |
| US6899539B1 (en) | 2000-02-17 | 2005-05-31 | Exponent, Inc. | Infantry wearable information and weapon system |
| US6323807B1 (en) | 2000-02-17 | 2001-11-27 | Mitsubishi Electric Research Laboratories, Inc. | Indoor navigation with wearable passive sensors |
| US7500917B2 (en) | 2000-02-22 | 2009-03-10 | Creative Kingdoms, Llc | Magical wand and interactive play experience |
| US7194395B2 (en) | 2000-02-23 | 2007-03-20 | The United States Of America As Represented By The Secretary Of The Army | System and method for hazardous incident decision support and training |
| WO2001063917A1 (en) | 2000-02-23 | 2001-08-30 | Olympus Optical Co., Ltd. | Head mounted type image display device |
| US20050021679A1 (en) | 2000-02-25 | 2005-01-27 | Alexander Lightman | Method and system for data transmission between wearable devices or from wearable devices to portal |
| US6711414B1 (en) | 2000-02-25 | 2004-03-23 | Charmed Technology, Inc. | Wearable computing device capable of responding intelligently to surroundings |
| JP2001249301A (en) | 2000-03-03 | 2001-09-14 | Olympus Optical Co Ltd | Observation optical system and image display device using the same |
| US6735328B1 (en) | 2000-03-07 | 2004-05-11 | Agilent Technologies, Inc. | Personal viewing device with system for providing identification information to a connected system |
| US6167413A (en) | 2000-03-09 | 2000-12-26 | Daley, Iii; Charles A. | Wearable computer apparatus |
| JP3752126B2 (en) | 2000-03-10 | 2006-03-08 | ペンタックス株式会社 | AF ranging optical system |
| US6554444B2 (en) | 2000-03-13 | 2003-04-29 | Kansai Technology Licensing Organization Co., Ltd. | Gazing point illuminating device |
| SE0000850D0 (en) | 2000-03-13 | 2000-03-13 | Pink Solution Ab | Recognition arrangement |
| US7110013B2 (en) | 2000-03-15 | 2006-09-19 | Information Decision Technology | Augmented reality display integrated with self-contained breathing apparatus |
| US20120166350A1 (en) | 2002-06-12 | 2012-06-28 | Piccionelli Gregory A | Remote dating method |
| JP3921915B2 (en) | 2000-03-22 | 2007-05-30 | 松下電器産業株式会社 | Display device |
| AU2001249768A1 (en) | 2000-04-02 | 2001-10-15 | Tangis Corporation | Soliciting information based on a computer user's context |
| US6924787B2 (en) | 2000-04-17 | 2005-08-02 | Immersion Corporation | Interface for controlling a graphical image |
| WO2001080561A1 (en) | 2000-04-18 | 2001-10-25 | Rtimage Inc. | System and method for the lossless progressive streaming of images over a communication network |
| US20070078552A1 (en) | 2006-01-13 | 2007-04-05 | Outland Research, Llc | Gaze-based power conservation for portable media players |
| JP2001311904A (en) | 2000-04-28 | 2001-11-09 | Canon Inc | Image display device and image display system |
| US7376965B2 (en) | 2000-05-15 | 2008-05-20 | Hewlett-Packard Development Company, L.P. | System and method for implementing a bubble policy to achieve host and network security |
| ES2258972T3 (en) | 2000-05-16 | 2006-09-16 | Swisscom Mobile Ag | PROCEDURE AND TERMINAL TO ENTER INSTRUCTIONS. |
| IL136248A (en) | 2000-05-21 | 2004-08-31 | Elop Electrooptics Ind Ltd | System and method for varying the transmittance of light through a media |
| JP2001330785A (en) | 2000-05-22 | 2001-11-30 | Olympus Optical Co Ltd | Real image type finder |
| US6603491B2 (en) | 2000-05-26 | 2003-08-05 | Jerome H. Lemelson | System and methods for controlling automatic scrolling of information on a display or screen |
| US8482488B2 (en) | 2004-12-22 | 2013-07-09 | Oakley, Inc. | Data input management system for wearable electronically enabled interface |
| US7278734B2 (en) | 2000-06-02 | 2007-10-09 | Oakley, Inc. | Wireless interactive headset |
| EP1295163B1 (en) | 2000-06-05 | 2010-07-07 | Lumus Ltd | Substrate-guided optical beam expander |
| US6417970B1 (en) | 2000-06-08 | 2002-07-09 | Interactive Imaging Systems | Two stage optical system for head mounted display |
| US7577683B2 (en) | 2000-06-08 | 2009-08-18 | Ingenuity Systems, Inc. | Methods for the construction and maintenance of a knowledge representation system |
| US20020093527A1 (en) | 2000-06-16 | 2002-07-18 | Sherlock Kieran G. | User interface for a security policy system and method |
| US7219302B1 (en) | 2000-07-19 | 2007-05-15 | Everez Systems Limited | System and method for organizing, managing, and manipulating desktop objects with an activity-oriented user interface |
| JP4727025B2 (en) | 2000-08-01 | 2011-07-20 | オリンパス株式会社 | Image display device |
| US6636356B2 (en) | 2000-08-02 | 2003-10-21 | Olympus Optical Co., Ltd. | Observation optical system |
| US6959389B1 (en) | 2000-08-16 | 2005-10-25 | International Business Machines Corporation | Secure entry of a user-identifier in a publicly positioned device |
| EP1182541A3 (en) | 2000-08-22 | 2005-11-30 | Siemens Aktiengesellschaft | System and method for combined use of different display/apparatus types with system controlled context dependant information representation |
| JP2002139670A (en) | 2000-08-23 | 2002-05-17 | Olympus Optical Co Ltd | Variable focal length optical element and optical system using the same |
| US6829391B2 (en) | 2000-09-08 | 2004-12-07 | Siemens Corporate Research, Inc. | Adaptive resolution system and method for providing efficient low bit rate transmission of image data for distributed applications |
| US6597320B2 (en) | 2000-09-11 | 2003-07-22 | Nippon Soken, Inc. | Antenna for portable radio communication device and method of transmitting radio signal |
| JP4604379B2 (en) | 2000-09-11 | 2011-01-05 | コニカミノルタホールディングス株式会社 | Video display device |
| US6753828B2 (en) | 2000-09-25 | 2004-06-22 | Siemens Corporated Research, Inc. | System and method for calibrating a stereo optical see-through head-mounted display system for augmented reality |
| US20110238855A1 (en) | 2000-09-25 | 2011-09-29 | Yevgeny Korsunsky | Processing data flows with a data flow processor |
| US9525696B2 (en) | 2000-09-25 | 2016-12-20 | Blue Coat Systems, Inc. | Systems and methods for processing data flows |
| JP2002098915A (en) | 2000-09-26 | 2002-04-05 | Olympus Optical Co Ltd | Real image type variable power finder |
| US7103906B1 (en) | 2000-09-29 | 2006-09-05 | International Business Machines Corporation | User controlled multi-device media-on-demand system |
| JP4646374B2 (en) | 2000-09-29 | 2011-03-09 | オリンパス株式会社 | Image observation optical system |
| US6520013B1 (en) | 2000-10-02 | 2003-02-18 | Apple Computer, Inc. | Method and apparatus for detecting free fall |
| JP2002118480A (en) | 2000-10-10 | 2002-04-19 | Seiko Epson Corp | Radio communication equipment |
| US20020044152A1 (en) | 2000-10-16 | 2002-04-18 | Abbott Kenneth H. | Dynamic integration of computer generated and real world images |
| WO2002033541A2 (en) | 2000-10-16 | 2002-04-25 | Tangis Corporation | Dynamically determining appropriate computer interfaces |
| US6710753B2 (en) | 2000-10-17 | 2004-03-23 | Sun Micosystems, Inc. | Multi-screen session mobility between terminal groups |
| US6563648B2 (en) | 2000-10-20 | 2003-05-13 | Three-Five Systems, Inc. | Compact wide field of view imaging system |
| US7206804B1 (en) | 2000-11-10 | 2007-04-17 | Sharp Laboratories Of America, Inc. | Methods and systems for transmitting digital images |
| JP2002157606A (en) | 2000-11-17 | 2002-05-31 | Canon Inc | Image display control device, mixed reality presentation system, image display control method, and medium providing processing program |
| US7839926B1 (en) | 2000-11-17 | 2010-11-23 | Metzger Raymond R | Bandwidth management and control |
| US20020180727A1 (en) | 2000-11-22 | 2002-12-05 | Guckenberger Ronald James | Shadow buffer control module method and software construct for adjusting per pixel raster images attributes to screen space and projector features for digital warp, intensity transforms, color matching, soft-edge blending, and filtering for multiple projectors and laser projectors |
| JP3406965B2 (en) | 2000-11-24 | 2003-05-19 | キヤノン株式会社 | Mixed reality presentation device and control method thereof |
| US6629076B1 (en) | 2000-11-27 | 2003-09-30 | Carl Herman Haken | Method and device for aiding speech |
| JP2002186022A (en) | 2000-12-08 | 2002-06-28 | Nippon Denki Information Technology Kk | Wearable terminal system |
| EP1669792B1 (en) | 2000-12-15 | 2007-10-31 | Samsung Electronics Co., Ltd. | Wearable display system comprising a waveguide |
| KR100444981B1 (en) | 2000-12-15 | 2004-08-21 | 삼성전자주식회사 | Wearable display system |
| US7245925B2 (en) | 2000-12-19 | 2007-07-17 | At&T Intellectual Property, Inc. | System and method for using location information to execute an action |
| JP2002197437A (en) | 2000-12-27 | 2002-07-12 | Sony Corp | Walk detection system, walk detection device, device, walk detection method |
| GB2370709A (en) | 2000-12-28 | 2002-07-03 | Nokia Mobile Phones Ltd | Displaying an image and associated visual effect |
| US6867683B2 (en) | 2000-12-28 | 2005-03-15 | Unisys Corporation | High security identification system for entry to multiple zones |
| US6474816B2 (en) | 2000-12-29 | 2002-11-05 | Intel Corporation | Integrated retinal display |
| US6772143B2 (en) | 2001-01-02 | 2004-08-03 | Sprint Spectrum L.P. | Method and system for managing messages |
| US7546298B2 (en) | 2001-01-09 | 2009-06-09 | Nextair Corporation | Software, devices and methods facilitating execution of server-side applications at mobile devices |
| US7604348B2 (en) | 2001-01-23 | 2009-10-20 | Kenneth Martin Jacobs | Continuous adjustable 3deeps filter spectacles for optimized 3deeps stereoscopic viewing and its control method and means |
| JP2002221688A (en) | 2001-01-29 | 2002-08-09 | Olympus Optical Co Ltd | Optical system |
| DE10103922A1 (en) | 2001-01-30 | 2002-08-01 | Physoptics Opto Electronic Gmb | Interactive data viewing and operating system |
| US6925611B2 (en) | 2001-01-31 | 2005-08-02 | Microsoft Corporation | Navigational interface for mobile and wearable computers |
| US6693749B2 (en) | 2001-01-31 | 2004-02-17 | Raytheon Company | Low-observability, wide-field-of-view, situation awareness viewing device |
| US6701038B2 (en) | 2001-03-05 | 2004-03-02 | The Microoptical Corporation | Micro-electromechanical optical switch assembly for optical data networks |
| US7284267B1 (en) | 2001-03-08 | 2007-10-16 | Mcafee, Inc. | Automatically configuring a computer firewall based on network connection |
| US20020131121A1 (en) | 2001-03-13 | 2002-09-19 | Muthu Jeganathan | Transceiver, system, and method for free-space optical communication and tracking |
| JP4878083B2 (en) | 2001-03-13 | 2012-02-15 | キヤノン株式会社 | Image composition apparatus and method, and program |
| US8135815B2 (en) | 2001-03-27 | 2012-03-13 | Redseal Systems, Inc. | Method and apparatus for network wide policy-based analysis of configurations of devices |
| US7003562B2 (en) | 2001-03-27 | 2006-02-21 | Redseal Systems, Inc. | Method and apparatus for network wide policy-based analysis of configurations of devices |
| US20020184525A1 (en) | 2001-03-29 | 2002-12-05 | Lebin Cheng | Style sheet transformation driven firewall access list generation |
| CN1463374A (en) | 2001-03-30 | 2003-12-24 | 皇家菲利浦电子有限公司 | Method, system and device for augmented reality |
| JP4772204B2 (en) | 2001-04-13 | 2011-09-14 | オリンパス株式会社 | Observation optical system |
| US6529331B2 (en) | 2001-04-20 | 2003-03-04 | Johns Hopkins University | Head mounted display with full field of view and high resolution |
| JP2002323672A (en) | 2001-04-25 | 2002-11-08 | Olympus Optical Co Ltd | Optical path dividing element and image display device using the same |
| US6769767B2 (en) | 2001-04-30 | 2004-08-03 | Qr Spex, Inc. | Eyewear with exchangeable temples housing a transceiver forming ad hoc networks with other devices |
| KR20020083737A (en) | 2001-04-30 | 2002-11-04 | 삼성전자 주식회사 | Wearable display system |
| US6731434B1 (en) | 2001-05-23 | 2004-05-04 | University Of Central Florida | Compact lens assembly for the teleportal augmented reality system |
| US6452544B1 (en) | 2001-05-24 | 2002-09-17 | Nokia Corporation | Portable map display system for presenting a 3D map image and method thereof |
| US6522474B2 (en) | 2001-06-11 | 2003-02-18 | Eastman Kodak Company | Head-mounted optical apparatus for stereoscopic display |
| US7012593B2 (en) | 2001-06-15 | 2006-03-14 | Samsung Electronics Co., Ltd. | Glove-type data input device and sensing method thereof |
| US7013009B2 (en) | 2001-06-21 | 2006-03-14 | Oakley, Inc. | Eyeglasses with wireless communication features |
| EP1421821A4 (en) | 2001-06-21 | 2006-11-22 | Unconventional Concepts Inc | Directional sensors for head-mounted contact microphones |
| GB2377147A (en) | 2001-06-27 | 2002-12-31 | Nokia Corp | A virtual reality user interface |
| US20030013483A1 (en) | 2001-07-06 | 2003-01-16 | Ausems Michiel R. | User interface for handheld communication device |
| SE0102584D0 (en) | 2001-07-23 | 2001-07-23 | Ck Man Ab | Methods and apparatus for image presentation |
| US6885818B2 (en) | 2001-07-30 | 2005-04-26 | Hewlett-Packard Development Company, L.P. | System and method for controlling electronic devices |
| US8001594B2 (en) | 2001-07-30 | 2011-08-16 | Ipass, Inc. | Monitoring computer network security enforcement |
| GB2378301A (en) | 2001-07-31 | 2003-02-05 | Hewlett Packard Co | Personal object recognition system for visually impaired persons |
| JP3729161B2 (en) | 2001-08-07 | 2005-12-21 | カシオ計算機株式会社 | Target position search apparatus, target position search method and program |
| US20030030597A1 (en) | 2001-08-13 | 2003-02-13 | Geist Richard Edwin | Virtual display apparatus for mobile activities |
| US20030038922A1 (en) | 2001-08-22 | 2003-02-27 | Ferrell Stanford L. | Apparatus and method for displaying 4-D images |
| EP1433160A1 (en) | 2001-09-07 | 2004-06-30 | The Microoptical Corporation | Light weight, compact, remountable face-supported electronic display |
| US7191233B2 (en) | 2001-09-17 | 2007-03-13 | Telecommunication Systems, Inc. | System for automated, mid-session, user-directed, device-to-device session transfer system |
| DE10147045B4 (en) | 2001-09-25 | 2005-03-17 | Dräger Safety AG & Co. KGaA | Data communication system for mask or helmet wearers |
| WO2003029922A2 (en) | 2001-10-01 | 2003-04-10 | Kline & Walker, Llc | Pfn/trac system faa upgrades for accountable remote and robotics control |
| US7313246B2 (en) | 2001-10-06 | 2007-12-25 | Stryker Corporation | Information system using eyewear for communication |
| US6729726B2 (en) | 2001-10-06 | 2004-05-04 | Stryker Corporation | Eyewear for hands-free communication |
| US7126558B1 (en) | 2001-10-19 | 2006-10-24 | Accenture Global Services Gmbh | Industrial augmented reality |
| US6999649B1 (en) | 2001-10-26 | 2006-02-14 | Kent Optronics Inc. | Optical switches made by nematic liquid crystal switchable mirrors, and apparatus of manufacture |
| US9164654B2 (en) | 2002-12-10 | 2015-10-20 | Neonode Inc. | User interface for mobile computer unit |
| US6612695B2 (en) | 2001-11-07 | 2003-09-02 | Michael Waters | Lighted reading glasses |
| US6983370B2 (en) | 2001-11-27 | 2006-01-03 | Motorola, Inc. | System for providing continuity between messaging clients and method therefor |
| US6879835B2 (en) | 2001-12-04 | 2005-04-12 | International Business Machines Corporation | Location-specific messaging system |
| JP2003172899A (en) | 2001-12-05 | 2003-06-20 | Fujitsu Ltd | Display device |
| US7580972B2 (en) | 2001-12-12 | 2009-08-25 | Valve Corporation | Method and system for controlling bandwidth on client and server |
| US20070121423A1 (en) | 2001-12-20 | 2007-05-31 | Daniel Rioux | Head-mounted display apparatus for profiling system |
| US7394346B2 (en) | 2002-01-15 | 2008-07-01 | International Business Machines Corporation | Free-space gesture recognition for transaction security and command processing |
| US7552265B2 (en) | 2002-01-23 | 2009-06-23 | Xerox Corporation | System and method for providing context information |
| US6955542B2 (en) | 2002-01-23 | 2005-10-18 | Aquatech Fitness Corp. | System for monitoring repetitive movement |
| US7436038B2 (en) | 2002-02-05 | 2008-10-14 | E-Phocus, Inc | Visible/near infrared image sensor array |
| US20030154398A1 (en) | 2002-02-08 | 2003-08-14 | Eaton Eric Thomas | System for providing continuity between session clients and method therefor |
| US7125121B2 (en) | 2002-02-25 | 2006-10-24 | Ricoh Company, Ltd. | Image display apparatus |
| JP4192475B2 (en) | 2002-02-25 | 2008-12-10 | コニカミノルタホールディングス株式会社 | Video display device |
| US6888502B2 (en) | 2002-03-05 | 2005-05-03 | Precision Dynamics Corporation | Microstrip antenna for an identification appliance |
| AU2003218010A1 (en) * | 2002-03-06 | 2003-09-22 | Z-Kat, Inc. | System and method for using a haptic device in combination with a computer-assisted surgery system |
| WO2003079272A1 (en) | 2002-03-15 | 2003-09-25 | University Of Washington | Materials and methods for simulating focal shifts in viewers using large depth of focus displays |
| US7324695B2 (en) | 2002-03-18 | 2008-01-29 | Seimens Medical Solutions Usa, Inc. | Prioritized image visualization from scalable compressed data |
| JP2003279337A (en) | 2002-03-20 | 2003-10-02 | Olympus Optical Co Ltd | Apparatus and method for detection of deflection angle, system and method for switching of light signal and information recording and reproducing system |
| IL148804A (en) | 2002-03-21 | 2007-02-11 | Yaacov Amitai | Optical device |
| US7122242B2 (en) | 2002-04-05 | 2006-10-17 | Ppg Industries Ohio, Inc. | Wedge shaped glass and methods of forming wedged glass |
| US20040052975A1 (en) | 2002-04-18 | 2004-03-18 | Minoru Komada | Barrier film and laminated material, container for wrapping and image display medium using the same, and manufacturing method for barrier film |
| US7003737B2 (en) | 2002-04-19 | 2006-02-21 | Fuji Xerox Co., Ltd. | Method for interactive browsing and visualization of documents in real space and time |
| US6970157B2 (en) | 2002-04-23 | 2005-11-29 | Quadtri Technologies, Llc | Wearable computing, input, and display device |
| FI114679B (en) | 2002-04-29 | 2004-11-30 | Nokia Corp | Direct access points for video coding |
| JP2003329944A (en) | 2002-05-09 | 2003-11-19 | Olympus Optical Co Ltd | Dispersion compensator and dispersion compensation system |
| US7987491B2 (en) | 2002-05-10 | 2011-07-26 | Richard Reisman | Method and apparatus for browsing using alternative linkbases |
| US20030214481A1 (en) | 2002-05-14 | 2003-11-20 | Yongming Xiong | Finger worn and operated input device and method of use |
| US7190331B2 (en) | 2002-06-06 | 2007-03-13 | Siemens Corporate Research, Inc. | System and method for measuring the registration accuracy of an augmented reality system |
| US7194000B2 (en) | 2002-06-21 | 2007-03-20 | Telefonaktiebolaget L.M. Ericsson | Methods and systems for provision of streaming data services in an internet protocol network |
| US20040008157A1 (en) | 2002-06-26 | 2004-01-15 | Brubaker Curtis M. | Cap-mounted monocular video/audio display |
| US7203635B2 (en) | 2002-06-27 | 2007-04-10 | Microsoft Corporation | Layered models for context awareness |
| US7292243B1 (en) | 2002-07-02 | 2007-11-06 | James Burke | Layered and vectored graphical user interface to a knowledge and relationship rich data source |
| US7245216B2 (en) | 2002-07-02 | 2007-07-17 | Tri-Sentinel, Inc. | First responder communications system |
| JP2004037840A (en) | 2002-07-03 | 2004-02-05 | Olympus Corp | Dispersion compensator and dispersion compensation system |
| US7151596B2 (en) | 2002-07-05 | 2006-12-19 | Olympus Optical Co., Ltd. | Deflection angle detecting device |
| US8947347B2 (en) | 2003-08-27 | 2015-02-03 | Sony Computer Entertainment Inc. | Controlling actions in a video game unit |
| WO2004012477A2 (en) | 2002-07-26 | 2004-02-05 | Oakley, Inc. | Wireless interactive headset |
| US20040030882A1 (en) | 2002-08-08 | 2004-02-12 | Forman George Henry | Managed application pre-launching |
| US6693586B1 (en) | 2002-08-10 | 2004-02-17 | Garmin Ltd. | Navigation apparatus for coupling with an expansion slot of a portable, handheld computing device |
| AU2003257823A1 (en) | 2002-08-12 | 2004-03-03 | Scalar Corporation | Image display device |
| US7145726B2 (en) | 2002-08-12 | 2006-12-05 | Richard Geist | Head-mounted virtual display apparatus for mobile activities |
| JP3755036B2 (en) | 2002-09-02 | 2006-03-15 | 国立大学法人大阪大学 | Wide viewing angle head mounted display device |
| US7002551B2 (en) | 2002-09-25 | 2006-02-21 | Hrl Laboratories, Llc | Optical see-through augmented reality modified-scale display |
| US20070035562A1 (en) | 2002-09-25 | 2007-02-15 | Azuma Ronald T | Method and apparatus for image enhancement |
| JP4298407B2 (en) | 2002-09-30 | 2009-07-22 | キヤノン株式会社 | Video composition apparatus and video composition method |
| US6910106B2 (en) | 2002-10-04 | 2005-06-21 | Microsoft Corporation | Methods and mechanisms for proactive memory management |
| US7487248B2 (en) | 2002-10-08 | 2009-02-03 | Brian Moran | Method and system for transferring a computer session between devices |
| JP4185052B2 (en) | 2002-10-15 | 2008-11-19 | ユニバーシティ オブ サザン カリフォルニア | Enhanced virtual environment |
| US7062566B2 (en) | 2002-10-24 | 2006-06-13 | 3Com Corporation | System and method for using virtual local area network tags with a virtual private network |
| US6867753B2 (en) | 2002-10-28 | 2005-03-15 | University Of Washington | Virtual image registration in augmented display field |
| US7774075B2 (en) | 2002-11-06 | 2010-08-10 | Lin Julius J Y | Audio-visual three-dimensional input/output |
| US7892180B2 (en) | 2002-11-18 | 2011-02-22 | Epley Research Llc | Head-stabilized medical apparatus, system and methodology |
| US20040095311A1 (en) * | 2002-11-19 | 2004-05-20 | Motorola, Inc. | Body-centric virtual interactive apparatus and method |
| HUP0203993A2 (en) | 2002-11-19 | 2004-08-30 | László Domján | Optical system of binocular video glass |
| US7319780B2 (en) | 2002-11-25 | 2008-01-15 | Eastman Kodak Company | Imaging method and system for health monitoring and personal security |
| JP3988632B2 (en) | 2002-11-28 | 2007-10-10 | 日本電気株式会社 | Control method of glasses-type display |
| JP2006516339A (en) | 2002-12-02 | 2006-06-29 | エレメンタル セキュリティー | System and method for providing an enterprise-based computer security policy |
| US9756349B2 (en) | 2002-12-10 | 2017-09-05 | Sony Interactive Entertainment America Llc | User interface, system and method for controlling a video stream |
| US7050078B2 (en) | 2002-12-19 | 2006-05-23 | Accenture Global Services Gmbh | Arbitrary object tracking augmented reality applications |
| US7251367B2 (en) | 2002-12-20 | 2007-07-31 | International Business Machines Corporation | System and method for recognizing word patterns based on a virtual keyboard layout |
| US7116833B2 (en) | 2002-12-23 | 2006-10-03 | Eastman Kodak Company | Method of transmitting selected regions of interest of digital video data at selected resolutions |
| WO2004061519A1 (en) | 2002-12-24 | 2004-07-22 | Nikon Corporation | Head mount display |
| JP2004212205A (en) | 2002-12-27 | 2004-07-29 | Olympus Corp | Angle detecting apparatus, light signal switching system, and information recording and reproducing system |
| JP2004212209A (en) | 2002-12-27 | 2004-07-29 | Olympus Corp | Angle detecting apparatus, light signal switching system, and information recording and reproducing system |
| JP2004213350A (en) | 2002-12-27 | 2004-07-29 | Seiko Epson Corp | Force sense presentation device and image correction method |
| US7453439B1 (en) | 2003-01-16 | 2008-11-18 | Forward Input Inc. | System and method for continuous stroke word-based text input |
| US7098896B2 (en) | 2003-01-16 | 2006-08-29 | Forword Input Inc. | System and method for continuous stroke word-based text input |
| US20040176143A1 (en) | 2003-02-07 | 2004-09-09 | Willins Bruce A. | System and method for wireless collection and presentation of data |
| US7119965B1 (en) | 2003-02-24 | 2006-10-10 | University Of Central Florida Research Foundation, Inc. | Head mounted projection display with a wide field of view |
| DE10309165A1 (en) | 2003-02-28 | 2004-09-16 | Siemens Ag | Medical system architecture for interactive transmission and progressive display of compressed image data of medical component images, compresses and stores images in packets, and decompresses on request |
| US7619626B2 (en) | 2003-03-01 | 2009-11-17 | The Boeing Company | Mapping images from one or more sources into an image for display |
| US6891682B2 (en) | 2003-03-03 | 2005-05-10 | Lucent Technologies Inc. | Lenses with tunable liquid optical elements |
| US7871323B2 (en) | 2003-03-03 | 2011-01-18 | Igt | Method and apparatus for providing regular entrance into a bonus game |
| US8106911B2 (en) | 2003-03-13 | 2012-01-31 | Sony Corporation | Mobile motion capture cameras |
| US20060279662A1 (en) | 2003-03-16 | 2006-12-14 | Explay Ltd. | Projection system and method |
| US7762665B2 (en) | 2003-03-21 | 2010-07-27 | Queen's University At Kingston | Method and apparatus for communication between humans and devices |
| US7538745B2 (en) | 2003-03-24 | 2009-05-26 | Ntag Interactive Corporation | Apparatus and method for enhancing face-to-face communication |
| US7076616B2 (en) | 2003-03-24 | 2006-07-11 | Sony Corporation | Application pre-launch to reduce user interface latency |
| US7769794B2 (en) | 2003-03-24 | 2010-08-03 | Microsoft Corporation | User interface for a file system shell |
| US8745541B2 (en) | 2003-03-25 | 2014-06-03 | Microsoft Corporation | Architecture for controlling a computer using hand gestures |
| US8630947B1 (en) | 2003-04-04 | 2014-01-14 | Jpmorgan Chase Bank, N.A. | Method and system for providing electronic bill payment and presentment |
| US7537160B2 (en) | 2003-04-07 | 2009-05-26 | Silverbrook Research Pty Ltd | Combined sensing device |
| JP2004309930A (en) | 2003-04-09 | 2004-11-04 | Olympus Corp | Stereoscopic observation system |
| DE10316533A1 (en) | 2003-04-10 | 2004-11-04 | Carl Zeiss | Head-mounted display, has two sub-lens units including diffractive lens units for compensating for their dispersion errors |
| US7806525B2 (en) | 2003-10-09 | 2010-10-05 | Ipventure, Inc. | Eyeglasses having a camera |
| US7500747B2 (en) | 2003-10-09 | 2009-03-10 | Ipventure, Inc. | Eyeglasses with electrical components |
| US7192136B2 (en) | 2003-04-15 | 2007-03-20 | Howell Thomas A | Tethered electrical components for eyeglasses |
| US20050230596A1 (en) | 2004-04-15 | 2005-10-20 | Howell Thomas A | Radiation monitoring system |
| US7922321B2 (en) | 2003-10-09 | 2011-04-12 | Ipventure, Inc. | Eyewear supporting after-market electrical components |
| FI20030583L (en) | 2003-04-16 | 2004-10-17 | Upstream Engineering Oy | Data projector |
| US20070136064A1 (en) | 2003-04-16 | 2007-06-14 | Carroll David W | Mobile personal computer with movement sensor |
| EP1614299A1 (en) | 2003-04-16 | 2006-01-11 | Upstream Engineering Oy | 2d/3d data projector |
| US6879443B2 (en) | 2003-04-25 | 2005-04-12 | The Microoptical Corporation | Binocular viewing system |
| JP2004361914A (en) | 2003-05-15 | 2004-12-24 | Omron Corp | Front light, reflective display device, and light control method in front light |
| JP4422432B2 (en) | 2003-05-26 | 2010-02-24 | オリンパス株式会社 | Decentered optical system and optical system using the same |
| US20050037823A1 (en) | 2003-05-28 | 2005-02-17 | Nambirajan Seshadri | Modular wireless headset and/or headphones |
| US7242572B2 (en) | 2003-05-30 | 2007-07-10 | Medtronic, Inc. | Methods of applying separator members to an electrode of a capacitor |
| ITTO20030426A1 (en) | 2003-06-06 | 2004-12-07 | Galileo Avionica Spa | MISSION MANAGEMENT APPARATUS AND VEHICLE EQUIPPED WITH SUCH MISSION MANAGEMENT APPARATUS |
| US20050013021A1 (en) | 2003-06-10 | 2005-01-20 | Olympus Corporation | Decentered optical system, light transmitting device, light receiving device, and optical system |
| US7369101B2 (en) | 2003-06-12 | 2008-05-06 | Siemens Medical Solutions Usa, Inc. | Calibrating real and virtual views |
| JP2005020175A (en) | 2003-06-24 | 2005-01-20 | Olympus Corp | Photodetector and optical system |
| US7486291B2 (en) | 2003-07-08 | 2009-02-03 | Berson Barry L | Systems and methods using enhanced vision to provide out-the-window displays for a device |
| TW200502582A (en) | 2003-07-09 | 2005-01-16 | Leadtek Research Inc | Head-mounted display and optical engine of the same |
| GB2404991A (en) | 2003-08-09 | 2005-02-16 | Sharp Kk | LCD device having at least one viewing window |
| CN100547583C (en) | 2003-08-14 | 2009-10-07 | 甲骨文国际公司 | Automatic and dynamic provisioning methods for databases |
| CA2535905A1 (en) | 2003-08-15 | 2005-02-24 | E-Vision, Llc | Enhanced electro-active lens system |
| JP4633347B2 (en) | 2003-08-27 | 2011-02-16 | ソニー株式会社 | Electronics |
| US7565295B1 (en) | 2003-08-28 | 2009-07-21 | The George Washington University | Method and apparatus for translating hand gestures |
| US20050048918A1 (en) | 2003-08-29 | 2005-03-03 | Onami, Llc | Radio controller system and method for remote devices |
| EP1660985A4 (en) | 2003-09-02 | 2008-01-02 | Research In Motion Ltd | Method and data structure for user interface customization |
| US11033821B2 (en) | 2003-09-02 | 2021-06-15 | Jeffrey D. Mullen | Systems and methods for location based games and employment of the same on location enabled devices |
| EP1513000B8 (en) | 2003-09-03 | 2007-02-14 | Carl Zeiss | Head mounted display comprising imaging optics with aspheric surface |
| JP3912603B2 (en) | 2003-09-05 | 2007-05-09 | ソニー株式会社 | Optical waveguide device |
| US20050061890A1 (en) | 2003-09-10 | 2005-03-24 | Hinckley C. Martin | Apparatus, system, and method for identification and tracking |
| IL157838A (en) | 2003-09-10 | 2013-05-30 | Yaakov Amitai | High brightness optical device |
| IL157836A (en) | 2003-09-10 | 2009-08-03 | Yaakov Amitai | Optical devices particularly for remote viewing applications |
| US8405846B2 (en) | 2003-09-10 | 2013-03-26 | Sharp Laboratories Of America, Inc. | System and method for maintaining a device job history |
| IL157837A (en) | 2003-09-10 | 2012-12-31 | Yaakov Amitai | Substrate-guided optical device particularly for three-dimensional displays |
| US20050057484A1 (en) | 2003-09-15 | 2005-03-17 | Diefenbaugh Paul S. | Automatic image luminance control with backlight adjustment |
| US20050071158A1 (en) | 2003-09-25 | 2005-03-31 | Vocollect, Inc. | Apparatus and method for detecting user speech |
| US7034765B2 (en) | 2003-09-30 | 2006-04-25 | Lucent Technologies Inc. | Compact multiple-band antenna arrangement |
| JP2005134867A (en) | 2003-10-08 | 2005-05-26 | Nikon Corp | Image display device |
| US7677723B2 (en) | 2003-10-09 | 2010-03-16 | Ipventure, Inc. | Eyeglasses with a heart rate monitor |
| US8307296B2 (en) | 2003-10-17 | 2012-11-06 | Palo Alto Research Center, Incorporated | Systems and methods for effective attention shifting |
| GB2407226B (en) | 2003-10-18 | 2008-01-23 | Hewlett Packard Development Co | Image processing scheme |
| US20050091184A1 (en) | 2003-10-24 | 2005-04-28 | Praveen Seshadri | Personalized folders |
| US6967569B2 (en) | 2003-10-27 | 2005-11-22 | Ford Global Technologies Llc | Active night vision with adaptive imaging |
| US7587053B1 (en) | 2003-10-28 | 2009-09-08 | Nvidia Corporation | Audio-based position tracking |
| GB2407635B (en) | 2003-10-31 | 2006-07-12 | Hewlett Packard Development Co | Improvements in and relating to camera control |
| US6966668B2 (en) | 2003-11-07 | 2005-11-22 | Noah Systems, Llc | Wearable light device with optical sensor |
| US7805003B1 (en) | 2003-11-18 | 2010-09-28 | Adobe Systems Incorporated | Identifying one or more objects within an image |
| US7199720B1 (en) | 2003-11-19 | 2007-04-03 | Michael Shapiro | Hearing protection warning device |
| US6999238B2 (en) | 2003-12-01 | 2006-02-14 | Fujitsu Limited | Tunable micro-lens array |
| US8712510B2 (en) | 2004-02-06 | 2014-04-29 | Q-Tec Systems Llc | Method and apparatus for exercise monitoring combining exercise monitoring and visual data with wireless internet connectivity |
| US7486930B2 (en) | 2003-12-15 | 2009-02-03 | International Business Machines Corporation | Method and apparatus for preconditioning mobile devices for network and other operations |
| US7561966B2 (en) | 2003-12-17 | 2009-07-14 | Denso Corporation | Vehicle information display system |
| EP1699237B1 (en) | 2003-12-26 | 2012-12-05 | Nikon Corporation | Near-eye display device, headphone, and system provided with these |
| WO2005066744A1 (en) | 2003-12-31 | 2005-07-21 | Abb Research Ltd | A virtual control panel |
| US7401300B2 (en) | 2004-01-09 | 2008-07-15 | Nokia Corporation | Adaptive user interface input device |
| US7707039B2 (en) | 2004-02-15 | 2010-04-27 | Exbiblio B.V. | Automatic modification of web pages |
| JP4413065B2 (en) | 2004-01-28 | 2010-02-10 | 健爾 西 | Image display device and image display system |
| US7206134B2 (en) | 2004-02-04 | 2007-04-17 | Displaytech, Inc. | Compact electronic viewfinder |
| DE102004005998B3 (en) | 2004-02-06 | 2005-05-25 | Ruwisch, Dietmar, Dr. | Separating sound signals involves Fourier transformation, inverse transformation using filter function dependent on angle of incidence with maximum at preferred angle and combined with frequency spectrum by multiplication |
| JP4364002B2 (en) | 2004-02-06 | 2009-11-11 | オリンパス株式会社 | Head-mounted camera and photographing method using head-mounted camera |
| US20060110090A1 (en) | 2004-02-12 | 2006-05-25 | Panorama Flat Ltd. | Apparatus, method, and computer program product for substrated/componentized waveguided goggle system |
| US7254287B2 (en) | 2004-02-12 | 2007-08-07 | Panorama Labs, Pty Ltd. | Apparatus, method, and computer program product for transverse waveguided display system |
| US20050201705A1 (en) | 2004-02-12 | 2005-09-15 | Panorama Flat Ltd. | Apparatus, method, and computer program product for structured waveguide including recursion zone |
| US20050201715A1 (en) | 2004-03-29 | 2005-09-15 | Panorama Flat Ltd. | System, method, and computer program product for magneto-optic device display |
| US7133207B2 (en) | 2004-02-18 | 2006-11-07 | Icuiti Corporation | Micro-display engine |
| US7706616B2 (en) | 2004-02-27 | 2010-04-27 | International Business Machines Corporation | System and method for recognizing word patterns in a very large vocabulary based on a virtual keyboard layout |
| JP4218553B2 (en) | 2004-03-08 | 2009-02-04 | ソニー株式会社 | Image display device |
| US20070273679A1 (en) | 2004-03-08 | 2007-11-29 | Barton Daniel J | Orientation data collection system |
| JP4111926B2 (en) | 2004-03-09 | 2008-07-02 | 株式会社リコー | Image processing apparatus, program, storage medium, and image transmission method |
| US7450294B2 (en) | 2004-03-12 | 2008-11-11 | Boeing Co | Multi-color electrochromic apparatus and methods |
| US7525955B2 (en) | 2004-03-19 | 2009-04-28 | Commuca, Inc. | Internet protocol (IP) phone with search and advertising capability |
| US7301529B2 (en) | 2004-03-23 | 2007-11-27 | Fujitsu Limited | Context dependent gesture response |
| US7431463B2 (en) | 2004-03-30 | 2008-10-07 | Goldeneye, Inc. | Light emitting diode projection display systems |
| CN1960670B (en) | 2004-04-01 | 2011-02-23 | 威廉·C·托奇 | Biosensor, communicator, and controller for monitoring eye movement and methods of use thereof |
| US7185983B2 (en) | 2004-04-13 | 2007-03-06 | Andrew Nelson | System and method for displaying information on athletic eyewear |
| JP4373286B2 (en) | 2004-05-06 | 2009-11-25 | オリンパス株式会社 | Head-mounted display device |
| US7877082B2 (en) | 2004-05-06 | 2011-01-25 | Massachusetts Institute Of Technology | Combined short range radio network and cellular telephone network for interpersonal communications |
| US7724210B2 (en) | 2004-05-07 | 2010-05-25 | Microvision, Inc. | Scanned light display system using large numerical aperture light source, method of using same, and method of making scanning mirror assemblies |
| US7484237B2 (en) | 2004-05-13 | 2009-01-27 | Hewlett-Packard Development Company, L.P. | Method and apparatus for role-based security policy management |
| EP1748305A4 (en) | 2004-05-17 | 2009-01-14 | Nikon Corp | Optical element, combiner optical system, and image display unit |
| CN100520490C (en) | 2004-05-17 | 2009-07-29 | 奥林巴斯株式会社 | head-mounted image display device |
| GB2414369B (en) | 2004-05-21 | 2007-08-01 | Hewlett Packard Development Co | Processing audio data |
| US20050289590A1 (en) | 2004-05-28 | 2005-12-29 | Cheok Adrian D | Marketing platform |
| GB0412338D0 (en) | 2004-06-03 | 2004-07-07 | Koninkl Philips Electronics Nv | Transfer of content between storage devices |
| US20090040233A1 (en) | 2004-06-10 | 2009-02-12 | Kakuya Yamamoto | Wearable Type Information Presentation Device |
| IL162512A (en) | 2004-06-14 | 2010-02-17 | Rafael Advanced Defense Sys | Panoramic field of view acquiring and displaying system |
| IL162573A (en) | 2004-06-17 | 2013-05-30 | Lumus Ltd | Substrate-guided optical device with very wide aperture |
| ES2535364T3 (en) | 2004-06-18 | 2015-05-08 | Tobii Ab | Eye control of computer equipment |
| US7903048B2 (en) | 2004-06-18 | 2011-03-08 | Pioneer Corporation | Information display apparatus and navigation apparatus |
| SE0401582L (en) | 2004-06-18 | 2005-05-10 | Totalfoersvarets Forskningsins | Interactive procedure for presenting information in an image |
| US20050289538A1 (en) | 2004-06-23 | 2005-12-29 | International Business Machines Corporation | Deploying an application software on a virtual deployment target |
| US7154395B2 (en) | 2004-07-01 | 2006-12-26 | Mitsubishi Electric Research Laboratories, Inc. | Interactive wireless tag location and identification system |
| CA2472413A1 (en) | 2004-07-06 | 2006-01-06 | David D.L. Lavoie | Ski goggles equipped with a lighting device |
| US20060007056A1 (en) | 2004-07-09 | 2006-01-12 | Shu-Fong Ou | Head mounted display system having virtual keyboard and capable of adjusting focus of display screen and device installed the same |
| US20060007223A1 (en) | 2004-07-09 | 2006-01-12 | Parker Jeffrey C | Display control system and method |
| JP2006060774A (en) | 2004-07-20 | 2006-03-02 | Olympus Corp | Mobile information apparatus |
| US20060028400A1 (en) | 2004-08-03 | 2006-02-09 | Silverbrook Research Pty Ltd | Head mounted display with wave front modulator |
| KR100624431B1 (en) | 2004-08-03 | 2006-09-19 | 삼성전자주식회사 | Method of adjusting the viewing distance for stereoscopic image observation and its device |
| IL163361A (en) | 2004-08-05 | 2011-06-30 | Lumus Ltd | Optical device for light coupling into a guiding substrate |
| US7542040B2 (en) | 2004-08-11 | 2009-06-02 | The United States Of America As Represented By The Secretary Of The Navy | Simulated locomotion method and apparatus |
| US7436568B1 (en) | 2004-08-17 | 2008-10-14 | Kuykendall Jr Jacob L | Head mountable video display |
| US9030532B2 (en) | 2004-08-19 | 2015-05-12 | Microsoft Technology Licensing, Llc | Stereoscopic image display |
| US7667962B2 (en) | 2004-08-20 | 2010-02-23 | Mullen Jeffrey D | Wireless devices with flexible monitors and keyboards |
| JP4637532B2 (en) | 2004-08-30 | 2011-02-23 | オリンパス株式会社 | Decentered optical system and optical system using it |
| WO2006041596A2 (en) | 2004-09-01 | 2006-04-20 | Optical Research Associates | Compact head mounted display devices with tilted/decentered lens element |
| US7545571B2 (en) | 2004-09-08 | 2009-06-09 | Concurrent Technologies Corporation | Wearable display system |
| US7292881B2 (en) | 2004-09-08 | 2007-11-06 | Belkin International, Inc. | Holder, electrical supply, and RF transmitter unit for electronic devices |
| FI20045336A0 (en) | 2004-09-13 | 2004-09-13 | Valtion Teknillinen | A method for verifying / identifying a carrier of a personal device being carried |
| KR100594117B1 (en) | 2004-09-20 | 2006-06-28 | 삼성전자주식회사 | Apparatus and method for inputting key using biosignal in HMD information terminal |
| US7734119B2 (en) | 2004-09-21 | 2010-06-08 | General Electric Company | Method and system for progressive multi-resolution three-dimensional image reconstruction using region of interest information |
| US7675683B2 (en) | 2004-09-22 | 2010-03-09 | Motion Research Corporation | Ambient light display and system for displaying data |
| ITBL20040010U1 (en) | 2004-09-23 | 2006-03-24 | Tecnostyle S R L | GLASSES FOR ACOUSTIC LIGHTING |
| US8156116B2 (en) | 2006-07-31 | 2012-04-10 | Ricoh Co., Ltd | Dynamic presentation of targeted information in a mixed media reality recognition system |
| US7420282B2 (en) | 2004-10-18 | 2008-09-02 | Sharp Kabushiki Kaisha | Connection structure for connecting semiconductor element and wiring board, and semiconductor device |
| US20070094597A1 (en) | 2004-11-04 | 2007-04-26 | Rostom Mohamed A | Dynamic graphical user interface for a desktop environment |
| JP4635572B2 (en) | 2004-11-09 | 2011-02-23 | コニカミノルタホールディングス株式会社 | Video display device |
| JP4574329B2 (en) | 2004-11-10 | 2010-11-04 | 株式会社デンソー | Image display device |
| IL165190A (en) | 2004-11-14 | 2012-05-31 | Elbit Systems Ltd | System and method for stabilizing an image |
| KR100586020B1 (en) | 2004-11-19 | 2006-06-01 | 삼성전자주식회사 | Gate Forming Method Of Semiconductor Device |
| US7501995B2 (en) | 2004-11-24 | 2009-03-10 | General Electric Company | System and method for presentation of enterprise, clinical, and decision support information utilizing eye tracking navigation |
| US20060115130A1 (en) | 2004-11-29 | 2006-06-01 | Douglas Kozlay | Eyewear with biometrics to protect displayed data |
| JP4665904B2 (en) | 2004-11-30 | 2011-04-06 | コニカミノルタホールディングス株式会社 | Information processing device |
| JP2006162798A (en) | 2004-12-03 | 2006-06-22 | Konica Minolta Photo Imaging Inc | Optical device, image display device, and head-mounted display |
| US9454657B2 (en) | 2004-12-03 | 2016-09-27 | Bce Inc. | Security access device and method |
| EP1836564A4 (en) | 2004-12-07 | 2011-07-27 | Nuance Communications Inc | User interface with augmented searching characteristics |
| DE102005000820B4 (en) | 2004-12-08 | 2007-07-05 | Carl Zeiss Ag | A method for improving the vision of a visually impaired person and visual aid |
| US7797338B2 (en) | 2004-12-09 | 2010-09-14 | Aol Inc. | System and method for facilitating personalization of applications based on anticipation of users' interests |
| US20060132447A1 (en) | 2004-12-16 | 2006-06-22 | Conrad Richard H | Method and apparatus for automatically transforming functions of computer keyboard keys and pointing devices by detection of hand location |
| US7265896B2 (en) | 2004-12-17 | 2007-09-04 | Collinear Corporation | Optical power combining for optical frequency conversion having nonlinear feedback |
| DE102005061211B4 (en) | 2004-12-22 | 2023-04-06 | Abb Schweiz Ag | Method for creating a human-machine user interface |
| FR2880135B1 (en) | 2004-12-23 | 2007-03-16 | Varioptic Sa | VARIABLE FOCAL LENS WITH WIDE RANGE OF VARIATION |
| JP4204541B2 (en) | 2004-12-24 | 2009-01-07 | 株式会社東芝 | Interactive robot, interactive robot speech recognition method, and interactive robot speech recognition program |
| US8515490B2 (en) | 2004-12-30 | 2013-08-20 | Alcatel Lucent | Method and apparatus for providing same session switchover between end-user terminals |
| JP5080273B2 (en) | 2005-01-07 | 2012-11-21 | クアルコム,インコーポレイテッド | Tilt sensor based on optical flow |
| US8160261B2 (en) | 2005-01-18 | 2012-04-17 | Sensaphonics, Inc. | Audio monitoring system |
| US20070220441A1 (en) | 2005-01-18 | 2007-09-20 | Apple Computer, Inc. | Systems and methods for organizing data items |
| US20060181537A1 (en) | 2005-01-25 | 2006-08-17 | Srini Vasan | Cybernetic 3D music visualizer |
| US20080136916A1 (en) | 2005-01-26 | 2008-06-12 | Robin Quincey Wolff | Eye tracker/head tracker/camera tracker controlled camera/weapon positioner control system |
| US7624918B2 (en) | 2005-02-04 | 2009-12-01 | Philip Morris Usa Inc. | Wireless identification based display |
| US7724443B2 (en) | 2005-02-10 | 2010-05-25 | Lumus Ltd. | Substrate-guided optical device utilizing thin transparent layer |
| IL166799A (en) | 2005-02-10 | 2014-09-30 | Lumus Ltd | Substrate-guided optical device utilizing beam splitters |
| JP2008533507A (en) | 2005-02-10 | 2008-08-21 | ラマス リミテッド | Substrate guiding optical device especially for vision enhancement optical system |
| JP2006229538A (en) | 2005-02-17 | 2006-08-31 | Fuji Xerox Co Ltd | Image processing system, image processing method, and program therefor |
| KR20070106643A (en) | 2005-02-25 | 2007-11-02 | 마이뷰 코포레이션 | Method for making high quality optical parts by casting |
| US20060192306A1 (en) | 2005-02-25 | 2006-08-31 | The Microoptical Corporation | Manufacturing methods for embedded optical system |
| US7586663B1 (en) | 2005-03-01 | 2009-09-08 | Triton Systems, Inc. | Gel polymer electrolytes |
| WO2007011306A2 (en) | 2005-07-20 | 2007-01-25 | Bracco Imaging S.P.A. | A method of and apparatus for mapping a virtual model of an object to the object |
| KR101210804B1 (en) | 2005-03-22 | 2012-12-10 | 혼하이 프리시젼 인더스트리 컴퍼니 리미티드 | optical system using total internal reflection images |
| US20070132785A1 (en) | 2005-03-29 | 2007-06-14 | Ebersole John F Jr | Platform for immersive gaming |
| US7868904B2 (en) | 2005-04-01 | 2011-01-11 | Canon Kabushiki Kaisha | Image processing method and image processing apparatus |
| JP4726194B2 (en) | 2005-04-01 | 2011-07-20 | キヤノン株式会社 | Calibration method and apparatus |
| US7353034B2 (en) | 2005-04-04 | 2008-04-01 | X One, Inc. | Location sharing and tracking using mobile phones or other wireless devices |
| US7729325B2 (en) | 2005-04-05 | 2010-06-01 | Toshiba America Research, Inc. | Beamforming and distributed opportunistic scheduling in wireless networks |
| JP4738870B2 (en) | 2005-04-08 | 2011-08-03 | キヤノン株式会社 | Information processing method, information processing apparatus, and remote mixed reality sharing apparatus |
| US20060241864A1 (en) | 2005-04-22 | 2006-10-26 | Outland Research, Llc | Method and apparatus for point-and-send data transfer within an ubiquitous computing environment |
| US20080275764A1 (en) | 2005-04-25 | 2008-11-06 | Wilson Eric S | Content management system and method |
| US7353996B2 (en) | 2005-04-28 | 2008-04-08 | International Business Machines Corporation | Device for storing and displaying selected bar codes |
| US7249846B2 (en) | 2005-05-03 | 2007-07-31 | Grand Joseph B | Eyewear with an image projected off of an unassisted eyewear lens to the user |
| US7487461B2 (en) | 2005-05-04 | 2009-02-03 | International Business Machines Corporation | System and method for issuing commands based on pen motions on a graphical keyboard |
| US20060259511A1 (en) | 2005-05-13 | 2006-11-16 | Yahoo! Inc. | Media object organization across information management services |
| US7755667B2 (en) | 2005-05-17 | 2010-07-13 | Eastman Kodak Company | Image sequence stabilization method and camera having dual path image sequence stabilization |
| US7423802B2 (en) | 2005-06-01 | 2008-09-09 | Collinear Corporation | Illumination module |
| US20070030211A1 (en) | 2005-06-02 | 2007-02-08 | Honeywell International Inc. | Wearable marine heads-up display system |
| US8398541B2 (en) | 2006-06-06 | 2013-03-19 | Intuitive Surgical Operations, Inc. | Interactive user interfaces for robotic minimally invasive surgical systems |
| CN1881023B (en) | 2005-06-16 | 2011-11-23 | 清华大学 | Backlight module assembly |
| US20060284791A1 (en) | 2005-06-21 | 2006-12-21 | National Applied Research Laboratories National Center For High-Performance Computing | Augmented reality system and method with mobile and interactive function for multiple users |
| EP1739594B1 (en) | 2005-06-27 | 2009-10-28 | Honda Research Institute Europe GmbH | Peripersonal space and object recognition for humanoid robots |
| US20070011723A1 (en) | 2005-07-07 | 2007-01-11 | Ching-Yun Chao | Method for maintaining application compatibility within an application isolation policy |
| JP2007049684A (en) | 2005-07-13 | 2007-02-22 | Canon Inc | Mounting mechanism and head-mounted image display device |
| US8275397B2 (en) | 2005-07-14 | 2012-09-25 | Huston Charles D | GPS based friend location and identification system and method |
| US8207843B2 (en) | 2005-07-14 | 2012-06-26 | Huston Charles D | GPS-based location and messaging system and method |
| US8249626B2 (en) | 2005-07-14 | 2012-08-21 | Huston Charles D | GPS based friend location and identification system and method |
| US7271960B2 (en) | 2005-07-25 | 2007-09-18 | Stewart Robert J | Universal vehicle head up display (HUD) device and method for using the same |
| US7862522B1 (en) | 2005-08-08 | 2011-01-04 | David Barclay | Sensor glove |
| US7362738B2 (en) | 2005-08-09 | 2008-04-22 | Deere & Company | Method and system for delivering information to a user |
| US20070035563A1 (en) | 2005-08-12 | 2007-02-15 | The Board Of Trustees Of Michigan State University | Augmented reality spatial interaction and navigational system |
| JP2009505268A (en) | 2005-08-15 | 2009-02-05 | コーニンクレッカ フィリップス エレクトロニクス エヌ ヴィ | System, apparatus and method for augmented reality glasses for end-user programming |
| US7719521B2 (en) | 2005-08-19 | 2010-05-18 | Microsoft Corporation | Navigational interface providing auxiliary character support for mobile and wearable computers |
| US8898734B2 (en) | 2005-08-20 | 2014-11-25 | Riverbed Technology, Inc. | Analyzing security compliance within a network |
| KR100624136B1 (en) | 2005-08-22 | 2006-09-13 | 삼성에스디아이 주식회사 | Organic electroluminescent display with auto-brightness control |
| US20080026838A1 (en) | 2005-08-22 | 2008-01-31 | Dunstan James E | Multi-player non-role-playing virtual world games: method for two-way interaction between participants and multi-player virtual world games |
| US20090066722A1 (en) | 2005-08-29 | 2009-03-12 | Kriger Joshua F | System, Device, and Method for Conveying Information Using Enhanced Rapid Serial Presentation |
| KR100667810B1 (en) | 2005-08-31 | 2007-01-11 | 삼성전자주식회사 | Device and method for adjusting depth of 3D image |
| WO2007033354A2 (en) | 2005-09-13 | 2007-03-22 | Spacetime3D, Inc. | System and method for providing three-dimensional graphical user interface |
| US20070061870A1 (en) | 2005-09-15 | 2007-03-15 | Annsheng Ting | Method and system to provide secure data connection between creation points and use points |
| BRPI0616226A2 (en) | 2005-09-19 | 2016-12-06 | Koninkl Philips Electronics Nv | waveguide, and lighting and display device |
| US20070070069A1 (en) | 2005-09-26 | 2007-03-29 | Supun Samarasekera | System and method for enhanced situation awareness and visualization of environments |
| US7315254B2 (en) | 2005-09-27 | 2008-01-01 | Itt Manufacturing Enterprises, Inc. | Proximity detector for night vision goggles shut-off |
| DE602006021760D1 (en) | 2005-09-27 | 2011-06-16 | Penny Ab | DEVICE FOR CHECKING AN EXTERNAL DEVICE |
| JP4810949B2 (en) | 2005-09-29 | 2011-11-09 | ソニー株式会社 | Optical device and image display device |
| US7851758B1 (en) | 2005-09-29 | 2010-12-14 | Flir Systems, Inc. | Portable multi-function inspection systems and methods |
| WO2007041164A2 (en) | 2005-09-30 | 2007-04-12 | Bognar John A | Measuring nitrogen oxides and other gases by ozone formation |
| US7633076B2 (en) | 2005-09-30 | 2009-12-15 | Apple Inc. | Automated response to and sensing of user activity in portable devices |
| US20080247567A1 (en) | 2005-09-30 | 2008-10-09 | Squarehead Technology As | Directional Audio Capturing |
| US8696113B2 (en) | 2005-10-07 | 2014-04-15 | Percept Technologies Inc. | Enhanced optical and perceptual digital eyewear |
| US8533485B1 (en) | 2005-10-13 | 2013-09-10 | At&T Intellectual Property Ii, L.P. | Digital communication biometric authentication |
| WO2007050029A2 (en) | 2005-10-28 | 2007-05-03 | Tobii Technology Ab | Eye tracker with visual feedback |
| US7467353B2 (en) | 2005-10-28 | 2008-12-16 | Microsoft Corporation | Aggregation of multi-modal devices |
| DE112006002954B4 (en) | 2005-10-31 | 2011-12-08 | National University Of Singapore | Virtual interface system |
| IL171820A (en) | 2005-11-08 | 2014-04-30 | Lumus Ltd | Polarizing optical device for light coupling |
| US8130260B2 (en) | 2005-11-09 | 2012-03-06 | Johns Hopkins University | System and method for 3-dimensional display of image data |
| WO2007059241A2 (en) | 2005-11-15 | 2007-05-24 | Enpresence, Inc. | Proximity-a ware virtual agents for use with wireless mobile devices |
| US7872636B1 (en) | 2005-11-23 | 2011-01-18 | Marvell International Ltd. | Virtual pointing devices for displays |
| US20070176851A1 (en) | 2005-12-06 | 2007-08-02 | Willey Stephen R | Projection display with motion compensation |
| US20070248238A1 (en) | 2005-12-13 | 2007-10-25 | Abreu Marcio M | Biologically fit wearable electronics apparatus and methods |
| US7810750B2 (en) | 2006-12-13 | 2010-10-12 | Marcio Marc Abreu | Biologically fit wearable electronics apparatus and methods |
| US7522344B1 (en) | 2005-12-14 | 2009-04-21 | University Of Central Florida Research Foundation, Inc. | Projection-based head-mounted display with eye-tracking capabilities |
| US7648463B1 (en) | 2005-12-15 | 2010-01-19 | Impact Sports Technologies, Inc. | Monitoring device, method and system |
| TWI348639B (en) | 2005-12-16 | 2011-09-11 | Ind Tech Res Inst | Motion recognition system and method for controlling electronic device |
| US7651033B2 (en) | 2005-12-19 | 2010-01-26 | Dai Nippon Printing Co., Ltd. | Noncontract IC tag with non-conductive metal film |
| US8167431B2 (en) | 2005-12-21 | 2012-05-01 | International Business Machines Corporation | Universal stereographic trigger peripheral for electronic equipment |
| US7620404B2 (en) | 2005-12-22 | 2009-11-17 | Pascal Chesnais | Methods and apparatus for organizing and presenting contact information in a mobile communication system |
| US7907166B2 (en) | 2005-12-30 | 2011-03-15 | Intuitive Surgical Operations, Inc. | Stereo telestration for robotic surgery |
| US20070157105A1 (en) | 2006-01-04 | 2007-07-05 | Stephen Owens | Network user database for a sidebar |
| US7515344B2 (en) | 2006-01-04 | 2009-04-07 | Vuzlx Corporation | Binocular display with improved contrast uniformity |
| US20070177275A1 (en) | 2006-01-04 | 2007-08-02 | Optical Research Associates | Personal Display Using an Off-Axis Illuminator |
| US7565340B2 (en) | 2006-01-09 | 2009-07-21 | The State Of Oregon Acting By And Through The State Board Of Higher Education On Behalf Of Oregon State University | Methods for assisting computer users performing multiple tasks |
| US7545569B2 (en) | 2006-01-13 | 2009-06-09 | Avery Dennison Corporation | Optical apparatus with flipped compound prism structures |
| US7674028B2 (en) | 2006-01-13 | 2010-03-09 | Avery Dennison Corporation | Light enhancing structures with multiple arrays of elongate features of varying characteristics |
| AU2007223300A1 (en) | 2006-01-27 | 2007-09-13 | Vidyo, Inc. | System and method for providing error resilience, random access and rate control in scalable video communications |
| US7732694B2 (en) | 2006-02-03 | 2010-06-08 | Outland Research, Llc | Portable music player with synchronized transmissive visual overlays |
| US9910497B2 (en) | 2006-02-08 | 2018-03-06 | Oblong Industries, Inc. | Gestural control of autonomous and semi-autonomous systems |
| US7613826B2 (en) | 2006-02-09 | 2009-11-03 | Cisco Technology, Inc. | Methods and apparatus for providing multiple policies for a virtual private network |
| IL173715A0 (en) | 2006-02-14 | 2007-03-08 | Lumus Ltd | Substrate-guided imaging lens |
| JP2007219106A (en) | 2006-02-16 | 2007-08-30 | Konica Minolta Holdings Inc | Optical device for expanding diameter of luminous flux, video display device and head mount display |
| JP5286667B2 (en) | 2006-02-22 | 2013-09-11 | コニカミノルタ株式会社 | Video display device and video display method |
| US20070220108A1 (en) | 2006-03-15 | 2007-09-20 | Whitaker Jerry M | Mobile global virtual browser with heads-up display for browsing and interacting with the World Wide Web |
| JP5317415B2 (en) | 2006-03-27 | 2013-10-16 | 富士フイルム株式会社 | Image output apparatus, image output method, and image output program |
| US20070237491A1 (en) | 2006-03-29 | 2007-10-11 | Clifford Kraft | Portable personal entertainment video viewing system |
| JP2007272067A (en) | 2006-03-31 | 2007-10-18 | Brother Ind Ltd | Image display device |
| US20100015262A1 (en) * | 2006-03-31 | 2010-01-21 | Regina Goralczyk | Novel use of compounds and combinations of compounds for improving the physical appearance |
| US7996495B2 (en) | 2006-04-06 | 2011-08-09 | General Electric Company | Adaptive selection of image streaming mode |
| CN101416083A (en) | 2006-04-07 | 2009-04-22 | 旭硝子株式会社 | Wire grid polarizer and method for producing the same |
| TW200741509A (en) | 2006-04-19 | 2007-11-01 | Kye Systems Corp | Finger wearing type input device and input method thereof |
| US7769412B1 (en) | 2006-04-19 | 2010-08-03 | Sprint Communications Company L.P. | Wearable wireless telecommunications systems |
| US20080010534A1 (en) | 2006-05-08 | 2008-01-10 | Motorola, Inc. | Method and apparatus for enhancing graphical user interface applications |
| US20070263137A1 (en) | 2006-05-09 | 2007-11-15 | Victor Company Of Japan, Limited | Illuminating device and display device |
| JP2007309963A (en) | 2006-05-16 | 2007-11-29 | Hitachi Ltd | Projection display |
| US7458687B2 (en) | 2006-05-26 | 2008-12-02 | Eastman Kodak Company | High efficiency digital cinema projection system with increased etendue |
| US9323055B2 (en) | 2006-05-26 | 2016-04-26 | Exelis, Inc. | System and method to display maintenance and operational instructions of an apparatus using augmented reality |
| US7920071B2 (en) | 2006-05-26 | 2011-04-05 | Itt Manufacturing Enterprises, Inc. | Augmented reality-based system and method providing status and control of unmanned vehicles |
| US20070273983A1 (en) | 2006-05-26 | 2007-11-29 | Hebert Raymond T | Devices, methods, and systems for image viewing |
| US7876489B2 (en) | 2006-06-05 | 2011-01-25 | Pixtronix, Inc. | Display apparatus with optical cavities |
| TWI317227B (en) | 2006-06-07 | 2009-11-11 | Himax Display Inc | Image adjustment apparatus and method for head-mounted display |
| US8340349B2 (en) | 2006-06-20 | 2012-12-25 | Sri International | Moving target detection in the presence of parallax |
| US7715873B1 (en) | 2006-06-23 | 2010-05-11 | Sprint Communications Company L.P. | Wearable accessories providing visual indicia of incoming events for wireless telecommunications device |
| US20070300185A1 (en) | 2006-06-27 | 2007-12-27 | Microsoft Corporation | Activity-centric adaptive user interface |
| TWI346795B (en) | 2006-06-29 | 2011-08-11 | Himax Display Inc | Image inspecting device and method for a head-mounted display |
| US9135626B2 (en) | 2006-06-30 | 2015-09-15 | Nokia Technologies Oy | Advertising middleware |
| US7840979B2 (en) | 2006-06-30 | 2010-11-23 | Microsoft Corporation | Graphical tile-based expansion cell guide |
| JP4804256B2 (en) | 2006-07-27 | 2011-11-02 | キヤノン株式会社 | Information processing method |
| KR100811701B1 (en) | 2006-08-08 | 2008-03-11 | 한국전자통신연구원 | Integrated remote indicator of multiple electronic devices |
| US20080037880A1 (en) | 2006-08-11 | 2008-02-14 | Lcj Enterprises Llc | Scalable, progressive image compression and archiving system over a low bit rate internet protocol network |
| US8316233B2 (en) | 2006-08-24 | 2012-11-20 | Privacydatasystems, Llc | Systems and methods for accessing secure and certified electronic messages |
| KR100826872B1 (en) | 2006-08-30 | 2008-05-06 | 한국전자통신연구원 | Wearable computer system and information / service delivery and control method in the system |
| US7725547B2 (en) | 2006-09-06 | 2010-05-25 | International Business Machines Corporation | Informing a user of gestures made by others out of the user's line of sight |
| US20080062069A1 (en) | 2006-09-07 | 2008-03-13 | Icuiti Corporation | Personal Video Display Device |
| US8109821B2 (en) | 2006-09-08 | 2012-02-07 | Igt | Gaming system and method which enables multiple players to simultaneously play multiple individual games or group games on a central display |
| US7855743B2 (en) | 2006-09-08 | 2010-12-21 | Sony Corporation | Image capturing and displaying apparatus and image capturing and displaying method |
| USD566744S1 (en) | 2006-09-08 | 2008-04-15 | Vuzix Corporation | Personal video display device |
| JP5228305B2 (en) | 2006-09-08 | 2013-07-03 | ソニー株式会社 | Display device and display method |
| US7900068B2 (en) | 2006-09-14 | 2011-03-01 | Hon Hai Precision Industry Co., Ltd. | Mobile multi-media interface and power pack for portable entertainment devices |
| US7648236B1 (en) * | 2006-09-18 | 2010-01-19 | Motion Research Technologies, Inc. | Multi-use eyeglasses with human I/O interface embedded |
| US20080071559A1 (en) | 2006-09-19 | 2008-03-20 | Juha Arrasvuori | Augmented reality assisted shopping |
| US7543934B2 (en) | 2006-09-20 | 2009-06-09 | Ipventures, Inc. | Eyeglasses with activity monitoring and acoustic dampening |
| JP5119636B2 (en) | 2006-09-27 | 2013-01-16 | ソニー株式会社 | Display device and display method |
| KR100783552B1 (en) | 2006-10-11 | 2007-12-07 | 삼성전자주식회사 | Method and device for input control of a mobile terminal |
| US7793228B2 (en) | 2006-10-13 | 2010-09-07 | Apple Inc. | Method, system, and graphical user interface for text entry with partial word display |
| US7595933B2 (en) | 2006-10-13 | 2009-09-29 | Apple Inc. | Head mounted display system |
| US8212859B2 (en) | 2006-10-13 | 2012-07-03 | Apple Inc. | Peripheral treatment for head-mounted displays |
| JP2008108246A (en) | 2006-10-23 | 2008-05-08 | Internatl Business Mach Corp <Ibm> | Method, system and computer program for generating virtual image according to position of browsing person |
| JP5216204B2 (en) | 2006-10-31 | 2013-06-19 | 株式会社半導体エネルギー研究所 | Liquid crystal display device and manufacturing method thereof |
| US7631968B1 (en) | 2006-11-01 | 2009-12-15 | Motion Research Technologies, Inc. | Cell phone display that clips onto eyeglasses |
| US8904312B2 (en) | 2006-11-09 | 2014-12-02 | Navisense | Method and device for touchless signing and recognition |
| US8139103B2 (en) | 2006-11-11 | 2012-03-20 | Vuzix Corporation | Traveling lens for video display |
| US7707518B2 (en) | 2006-11-13 | 2010-04-27 | Microsoft Corporation | Linking information |
| US20080118897A1 (en) | 2006-11-17 | 2008-05-22 | Perales Reynaldo J | Method and system for teaching a game of chance |
| WO2008062067A1 (en) | 2006-11-24 | 2008-05-29 | Varioptic | Optical lens with variable focal length |
| KR100843093B1 (en) | 2006-11-28 | 2008-07-02 | 삼성전자주식회사 | Apparatus and method for displaying content according to movement |
| EP1931065B1 (en) | 2006-12-04 | 2010-04-07 | Oerlikon Space AG | BI-Directional optical communications system and corresponding method |
| US20080141149A1 (en) | 2006-12-07 | 2008-06-12 | Microsoft Corporation | Finger-based user interface for handheld devices |
| JP4961984B2 (en) | 2006-12-07 | 2012-06-27 | ソニー株式会社 | Image display system, display device, and display method |
| KR100848129B1 (en) | 2006-12-07 | 2008-07-24 | 한국전자통신연구원 | Method for providing a personalization service in ubiquitous environment and intelligent gadget therefor |
| US20080144264A1 (en) | 2006-12-14 | 2008-06-19 | Motorola, Inc. | Three part housing wireless communications device |
| US7986463B2 (en) | 2006-12-19 | 2011-07-26 | Ellex Medical Pty Ltd | Beam blocking and combining optic |
| JP2008165063A (en) | 2006-12-28 | 2008-07-17 | Scalar Corp | Head mounted display |
| US8601470B2 (en) | 2007-01-05 | 2013-12-03 | Moka5, Inc. | Symbiotic smart peripherals |
| US7877707B2 (en) | 2007-01-06 | 2011-01-25 | Apple Inc. | Detecting and interpreting real-world and security gestures on touch and hover sensitive devices |
| US8588464B2 (en) * | 2007-01-12 | 2013-11-19 | International Business Machines Corporation | Assisting a vision-impaired user with navigation based on a 3D captured image stream |
| US20090040308A1 (en) | 2007-01-15 | 2009-02-12 | Igor Temovskiy | Image orientation correction method and system |
| US7924655B2 (en) | 2007-01-16 | 2011-04-12 | Microsoft Corp. | Energy-based sound source localization and gain normalization |
| FI122533B (en) | 2007-01-17 | 2012-03-15 | Optomed Oy | Data transfer procedure, data transfer system, auxiliary server and examination device |
| WO2008089417A2 (en) | 2007-01-18 | 2008-07-24 | The Arizona Board Of Regents On Behalf Of The University Of Arizona | A polarized head-mounted projection display |
| JP4973299B2 (en) | 2007-01-19 | 2012-07-11 | ソニー株式会社 | Optical communication apparatus and optical communication method |
| JP2008176681A (en) | 2007-01-22 | 2008-07-31 | Fujifilm Corp | Eyeglass-type communication support device |
| JP5309448B2 (en) | 2007-01-26 | 2013-10-09 | ソニー株式会社 | Display device and display method |
| US20080186254A1 (en) | 2007-02-01 | 2008-08-07 | Simmons Craig L | Portable heads-up display system for cellular telephones |
| US7716281B2 (en) | 2007-02-12 | 2010-05-11 | Oomble, Inc. | Method and system for transferring content from the web to mobile devices |
| WO2008098399A1 (en) | 2007-02-14 | 2008-08-21 | Kaba Ag | System and portable device for transmitting identification signals |
| JP2008198028A (en) | 2007-02-14 | 2008-08-28 | Sony Corp | Wearable device, authentication method, and program |
| US8280144B2 (en) | 2007-02-21 | 2012-10-02 | Goldfinch Solutions, Llc | System and method for analyzing material properties using hyperspectral imaging |
| US8351989B2 (en) | 2007-02-23 | 2013-01-08 | Lg Electronics Inc. | Method of displaying menu in a mobile communication terminal |
| US20080211771A1 (en) | 2007-03-02 | 2008-09-04 | Naturalpoint, Inc. | Approach for Merging Scaled Input of Movable Objects to Control Presentation of Aspects of a Shared Virtual Environment |
| US7893890B2 (en) | 2007-03-05 | 2011-02-22 | The Boeing Company | Electrically dimmable combiner optics for head-up display |
| US20100332640A1 (en) | 2007-03-07 | 2010-12-30 | Dennis Sidney Goodrow | Method and apparatus for unified view |
| US20080219025A1 (en) | 2007-03-07 | 2008-09-11 | Spitzer Mark B | Bi-directional backlight assembly |
| US8180120B2 (en) | 2007-03-09 | 2012-05-15 | Authentec, Inc. | Finger sensor using polarized light and associated methods |
| JP5162928B2 (en) | 2007-03-12 | 2013-03-13 | ソニー株式会社 | Image processing apparatus, image processing method, and image processing system |
| DE102007016138A1 (en) | 2007-03-29 | 2008-10-09 | Carl Zeiss Ag | HMD device |
| EP2142979A1 (en) | 2007-03-30 | 2010-01-13 | Nokia Corporation | Search based user interface |
| US7589269B2 (en) | 2007-04-03 | 2009-09-15 | Master Key, Llc | Device and method for visualizing musical rhythmic structures |
| KR20100016169A (en) | 2007-04-03 | 2010-02-12 | 휴먼 네트워크 랩스, 아이엔씨. | Method and apparatus for acquiring local position and overlaying information |
| US8269822B2 (en) | 2007-04-03 | 2012-09-18 | Sony Computer Entertainment America, LLC | Display viewing system and methods for optimizing display view based on active tracking |
| US20080249936A1 (en) | 2007-04-04 | 2008-10-09 | Devin Miller | Bill paying systems and associated methods |
| US7898504B2 (en) | 2007-04-06 | 2011-03-01 | Sony Corporation | Personal theater display |
| EP2137561B1 (en) | 2007-04-12 | 2018-03-21 | Philips Lighting Holding B.V. | Improved light guide and light-output device |
| DE08733207T1 (en) | 2007-04-17 | 2011-04-21 | Bell Helicopter Textron Inc., Fort Worth | COLLABORATIVE VR SYSTEM USING MULTIPLE MOTION RECEIVING SYSTEMS AND MULTIPLE INTERACTIVE CLIENTS |
| US20080262910A1 (en) | 2007-04-20 | 2008-10-23 | Utbk, Inc. | Methods and Systems to Connect People via Virtual Reality for Real Time Communications |
| US7987070B2 (en) | 2007-04-23 | 2011-07-26 | Dp Technologies, Inc. | Eyewear having human activity monitoring device |
| JP2008271413A (en) | 2007-04-24 | 2008-11-06 | Olympus Corp | Image display device, imaging apparatus, processing program, and control method of image display device |
| US20080268876A1 (en) | 2007-04-24 | 2008-10-30 | Natasha Gelfand | Method, Device, Mobile Terminal, and Computer Program Product for a Point of Interest Based Scheme for Improving Mobile Visual Searching Functionalities |
| US20080266323A1 (en) * | 2007-04-25 | 2008-10-30 | Board Of Trustees Of Michigan State University | Augmented reality user interaction system |
| DE102007020296A1 (en) | 2007-04-30 | 2008-11-13 | Philip Behrens | Device and method for the wireless production of a contact |
| US8605008B1 (en) | 2007-05-04 | 2013-12-10 | Apple Inc. | Head-mounted display |
| KR20090001667A (en) | 2007-05-09 | 2009-01-09 | 삼성전자주식회사 | Apparatus and method for implementing content using augmented reality technology |
| US20080281940A1 (en) | 2007-05-11 | 2008-11-13 | Sony Ericsson Mobile Communications Ab | Advertising on a portable communication device |
| US8855719B2 (en) | 2009-05-08 | 2014-10-07 | Kopin Corporation | Wireless hands-free computing headset with detachable accessories controllable by motion, body gesture and/or vocal commands |
| IL183637A (en) | 2007-06-04 | 2013-06-27 | Zvi Lapidot | Distributed head-mounted display |
| US7568672B2 (en) | 2007-06-08 | 2009-08-04 | Vuzix Corporation | Selectively adjustable mounting assembly |
| US7952059B2 (en) | 2007-06-13 | 2011-05-31 | Eyes Of God, Inc. | Viewing system for augmented reality head mounted display with rotationally symmetric aspheric lenses |
| WO2009002567A1 (en) | 2007-06-27 | 2008-12-31 | The University Of Hawaii | Virtual reality overlay |
| EP2009468B1 (en) | 2007-06-29 | 2011-10-19 | Varioptic | Electrowetting device with polymer electrode |
| US8631419B2 (en) * | 2007-06-29 | 2014-01-14 | Microsoft Corporation | System and methods for disruption detection, management, and recovery |
| KR101265393B1 (en) | 2007-07-11 | 2013-05-20 | 라벤브릭 엘엘씨 | Thermally switched reflective optical shutter |
| US8145516B2 (en) | 2007-07-13 | 2012-03-27 | International Business Machines Corporation | Cross-virtual-world resource scheduling framework |
| EP2183742A2 (en) | 2007-07-31 | 2010-05-12 | Kopin Corporation | Mobile wireless display providing speech to speech translation and avatar simulating human attributes |
| WO2009026223A2 (en) | 2007-08-16 | 2009-02-26 | Gentex Corporation | Vehicle rearview assembly including a display for displaying video captured by a camera and user instructions |
| CA2699844A1 (en) * | 2007-08-19 | 2009-02-26 | Ringbow Ltd. | Finger-worn devices and related methods of use |
| US20090055739A1 (en) | 2007-08-23 | 2009-02-26 | Microsoft Corporation | Context-aware adaptive user interface |
| US7342503B1 (en) | 2007-08-24 | 2008-03-11 | Light Elliott D | System and method for providing visual and physiological cues in a matching system |
| EP2191633B1 (en) | 2007-09-03 | 2011-10-26 | Nxp B.V. | Method of and device for transferring content |
| US8644842B2 (en) | 2007-09-04 | 2014-02-04 | Nokia Corporation | Personal augmented reality advertising |
| US8089522B2 (en) | 2007-09-07 | 2012-01-03 | Regents Of The University Of Minnesota | Spatial-temporal multi-resolution image sensor with adaptive frame rates for tracking movement in a region of interest |
| US8924250B2 (en) | 2007-09-13 | 2014-12-30 | International Business Machines Corporation | Advertising in virtual environments based on crowd statistics |
| US8632376B2 (en) | 2007-09-20 | 2014-01-21 | Irobot Corporation | Robotic game systems and methods |
| US7844229B2 (en) | 2007-09-21 | 2010-11-30 | Motorola Mobility, Inc | Mobile virtual and augmented reality system |
| US8942764B2 (en) | 2007-10-01 | 2015-01-27 | Apple Inc. | Personal media device controlled via user initiated movements utilizing movement based interfaces |
| EP2045700A1 (en) | 2007-10-04 | 2009-04-08 | LG Electronics Inc. | Menu display method for a mobile communication terminal |
| US7663805B2 (en) | 2007-10-09 | 2010-02-16 | Myvu Corporation | Eyewear display and media device interconnection system |
| US8031172B2 (en) | 2007-10-12 | 2011-10-04 | Immersion Corporation | Method and apparatus for wearable remote interface device |
| US9513699B2 (en) | 2007-10-24 | 2016-12-06 | Invention Science Fund I, LL | Method of selecting a second content based on a user's reaction to a first content |
| US9288297B2 (en) | 2007-10-31 | 2016-03-15 | Qualcomm Incorporated | Method and apparatus to display signal strength |
| US8102334B2 (en) | 2007-11-15 | 2012-01-24 | International Businesss Machines Corporation | Augmenting reality for a user |
| US8419545B2 (en) | 2007-11-28 | 2013-04-16 | Ailive, Inc. | Method and system for controlling movements of objects in a videogame |
| JP4450058B2 (en) | 2007-11-29 | 2010-04-14 | ソニー株式会社 | Image display device |
| WO2009073336A1 (en) | 2007-11-30 | 2009-06-11 | 3M Innovative Properties Company | Optical element having a toric surface and method of making |
| EP2071367A1 (en) | 2007-12-13 | 2009-06-17 | Varioptic | Image stabilization circuitry for liquid lens |
| US8175291B2 (en) | 2007-12-19 | 2012-05-08 | Qualcomm Incorporated | Systems, methods, and apparatus for multi-microphone based speech enhancement |
| US8182128B2 (en) | 2007-12-19 | 2012-05-22 | Oree, Inc. | Planar white illumination apparatus |
| US8538376B2 (en) | 2007-12-28 | 2013-09-17 | Apple Inc. | Event-based modes for electronic devices |
| US20090174946A1 (en) | 2008-01-07 | 2009-07-09 | Roni Raviv | Customizable head mounted display |
| US8792916B2 (en) | 2008-01-14 | 2014-07-29 | Blackberry Limited | Dynamic prioritization of label downloads |
| US8511827B2 (en) | 2008-01-22 | 2013-08-20 | The Arizona Board Of Regents On Behalf Of The University Of Arizona | Head-mounted projection display using reflective microdisplays |
| US8786675B2 (en) | 2008-01-23 | 2014-07-22 | Michael F. Deering | Systems using eye mounted displays |
| WO2009094646A2 (en) | 2008-01-24 | 2009-07-30 | The University Of North Carolina At Chapel Hill | Methods, systems, and computer readable media for image guided ablation |
| KR101559603B1 (en) | 2008-02-07 | 2015-10-12 | 미쓰비시 가가꾸 가부시키가이샤 | Semiconductor light emitting device, backlighting device, color image display device and phosphor used for those devices |
| EP2088500A1 (en) | 2008-02-11 | 2009-08-12 | Idean Enterprises Oy | Layer based user interface |
| ATE521010T1 (en) | 2008-02-19 | 2011-09-15 | Saab Ab | HEAD-UP DISPLAY WITH BRIGHTNESS CONTROL |
| US8072574B2 (en) | 2008-02-25 | 2011-12-06 | LensVector | Tunable liquid lens with reduced aberration |
| US8228327B2 (en) | 2008-02-29 | 2012-07-24 | Disney Enterprises, Inc. | Non-linear depth rendering of stereoscopic animated images |
| US8926511B2 (en) | 2008-02-29 | 2015-01-06 | Biosense Webster, Inc. | Location system with virtual touch screen |
| CN101960865A (en) | 2008-03-03 | 2011-01-26 | 诺基亚公司 | Apparatus for capturing and rendering a plurality of audio channels |
| JP2010067096A (en) | 2008-09-11 | 2010-03-25 | Ricoh Co Ltd | Authentication device, authentication method, information processing program, and recording medium |
| JP2009217682A (en) | 2008-03-12 | 2009-09-24 | Yazaki Corp | Display for vehicle |
| JP2009222774A (en) | 2008-03-13 | 2009-10-01 | Fujifilm Corp | Digital content reproduction device and reproduction control method for digital content |
| US7791809B2 (en) | 2008-03-13 | 2010-09-07 | Day And Night Display Systems, Inc. | Visor heads-up display |
| US20090234732A1 (en) | 2008-03-14 | 2009-09-17 | Ilan Zorman | Apparatus, system and method for selectively receiving advertising related content |
| US8634796B2 (en) | 2008-03-14 | 2014-01-21 | William J. Johnson | System and method for location based exchanges of data facilitating distributed location applications |
| US20090239591A1 (en) | 2008-03-19 | 2009-09-24 | Motorola Inc | Wireless communication device and method with an orientation detector |
| US20090237423A1 (en) | 2008-03-20 | 2009-09-24 | Capella Microsystems, Corp. | Display apparatus of adjusting gamma and brightness based on ambient light and its display adjustment method |
| CA2659698C (en) | 2008-03-21 | 2020-06-16 | Dressbot Inc. | System and method for collaborative shopping, business and entertainment |
| US20100149073A1 (en) | 2008-11-02 | 2010-06-17 | David Chaum | Near to Eye Display System and Appliance |
| WO2009126591A1 (en) | 2008-04-07 | 2009-10-15 | Express Mobile, Inc. | Systems and methods for programming mobile devices |
| US7522058B1 (en) | 2008-04-17 | 2009-04-21 | Robelight Llc | System and method for social networking in a virtual space |
| US8597009B2 (en) | 2008-04-22 | 2013-12-03 | Ge Lighting Solutions Llc | Film insert molding (FIM) on a 3D shape |
| US7889290B2 (en) | 2008-05-05 | 2011-02-15 | Brookstone Purchasing, Inc. | Illumination display with enhanced illumination edge lighting |
| US8159469B2 (en) | 2008-05-06 | 2012-04-17 | Hewlett-Packard Development Company, L.P. | User interface for initiating activities in an electronic device |
| US8185646B2 (en) | 2008-11-03 | 2012-05-22 | Veritrix, Inc. | User authentication for social networks |
| US7820081B2 (en) | 2008-05-14 | 2010-10-26 | Essilor International (Compagnie Generale D'optique) | Method for post-injection lamination to add a functional film to an optical lens |
| US8711176B2 (en) | 2008-05-22 | 2014-04-29 | Yahoo! Inc. | Virtual billboards |
| US8949719B2 (en) | 2008-05-23 | 2015-02-03 | Viasat, Inc. | Methods and systems for user interface event snooping and prefetching |
| US20090300657A1 (en) | 2008-05-27 | 2009-12-03 | Kumari Tripta | Intelligent menu in a communication device |
| US20090309826A1 (en) | 2008-06-17 | 2009-12-17 | Searete Llc, A Limited Liability Corporation Of The State Of Delaware | Systems and devices |
| US7936285B2 (en) | 2008-06-18 | 2011-05-03 | The Boeing Company | Multipurpose information transfer medium eyepiece |
| US20090315766A1 (en) | 2008-06-19 | 2009-12-24 | Microsoft Corporation | Source switching for devices supporting dynamic direction information |
| US20100050221A1 (en) | 2008-06-20 | 2010-02-25 | Mccutchen David J | Image Delivery System with Image Quality Varying with Frame Rate |
| US8467991B2 (en) | 2008-06-20 | 2013-06-18 | Microsoft Corporation | Data services based on gesture and location information of device |
| US8184218B2 (en) | 2008-06-21 | 2012-05-22 | Lensvector Inc. | Optically hidden electromagnetic source for generation of spatially non uniform magnetic field and tunable devices made thereof |
| US8149377B2 (en) | 2008-06-22 | 2012-04-03 | Lensvector Inc. | Tunable-focusing liquid crystal lens cell and method of fabrication thereof |
| GB2461294B (en) | 2008-06-26 | 2011-04-06 | Light Blue Optics Ltd | Holographic image display systems |
| US9696546B2 (en) | 2008-06-30 | 2017-07-04 | Honeywell International Inc. | Head-mountable cockpit display system |
| US8932207B2 (en) | 2008-07-10 | 2015-01-13 | Covidien Lp | Integrated multi-functional endoscopic tool |
| US9152722B2 (en) | 2008-07-22 | 2015-10-06 | Yahoo! Inc. | Augmenting online content with additional content relevant to user interest |
| US9191238B2 (en) | 2008-07-23 | 2015-11-17 | Yahoo! Inc. | Virtual notes in a reality overlay |
| US8867622B2 (en) | 2008-08-14 | 2014-10-21 | Broadcom Corporation | Method and system for priority-based digital multi-stream decoding |
| US9389419B2 (en) | 2008-08-14 | 2016-07-12 | Honeywell International Inc. | Near-to-eye display artifact reduction system and method |
| US8142283B2 (en) | 2008-08-20 | 2012-03-27 | Cfph, Llc | Game of chance processing apparatus |
| JP4858512B2 (en) | 2008-08-21 | 2012-01-18 | ソニー株式会社 | Head-mounted display |
| US20100045701A1 (en) | 2008-08-22 | 2010-02-25 | Cybernet Systems Corporation | Automatic mapping of augmented reality fiducials |
| US7854523B2 (en) | 2008-08-26 | 2010-12-21 | Microvision, Inc. | Optical relay for compact head up display |
| US7850306B2 (en) | 2008-08-28 | 2010-12-14 | Nokia Corporation | Visual cognition aware display and visual data transmission architecture |
| US8561172B2 (en) | 2008-08-29 | 2013-10-15 | Novell Intellectual Property Holdings, Inc. | System and method for virtual information cards |
| JP5293025B2 (en) | 2008-09-11 | 2013-09-18 | ブラザー工業株式会社 | Head mounted display |
| US20100060863A1 (en) | 2008-09-11 | 2010-03-11 | Microvision, Inc. | Distortion Altering Optics for MEMS Scanning Display Systems or the Like |
| US20100060549A1 (en) | 2008-09-11 | 2010-03-11 | Ely Tsern | Method and system for dynamically generating different user environments with secondary devices with displays of various form factors |
| US8363098B2 (en) | 2008-09-16 | 2013-01-29 | Plantronics, Inc. | Infrared derived user presence and associated remote control |
| US8390438B2 (en) | 2008-09-24 | 2013-03-05 | St. Jude Medical, Atrial Fibrillation Division, Inc. | Robotic catheter system including haptic feedback |
| US8160311B1 (en) | 2008-09-26 | 2012-04-17 | Philip Raymond Schaefer | System and method for detecting facial gestures for control of an electronic device |
| US8957835B2 (en) | 2008-09-30 | 2015-02-17 | Apple Inc. | Head-mounted display apparatus for retaining a portable electronic device with display |
| JP5388534B2 (en) | 2008-10-09 | 2014-01-15 | キヤノン株式会社 | Image processing apparatus and method, head-mounted display, program, and recording medium |
| KR101520689B1 (en) | 2008-10-22 | 2015-05-21 | 엘지전자 주식회사 | Mobile terminal and screen scroll method using the same |
| JP4636164B2 (en) | 2008-10-23 | 2011-02-23 | ソニー株式会社 | Head-mounted display |
| US9480919B2 (en) | 2008-10-24 | 2016-11-01 | Excalibur Ip, Llc | Reconfiguring reality using a reality overlay device |
| US20100107067A1 (en) | 2008-10-27 | 2010-04-29 | Nokia Corporation | Input on touch based user interfaces |
| US9600067B2 (en) | 2008-10-27 | 2017-03-21 | Sri International | System and method for generating a mixed reality environment |
| JP5271669B2 (en) | 2008-10-31 | 2013-08-21 | 株式会社日立製作所 | Biometric authentication method and system |
| WO2010062481A1 (en) | 2008-11-02 | 2010-06-03 | David Chaum | Near to eye display system and appliance |
| US8861739B2 (en) | 2008-11-10 | 2014-10-14 | Nokia Corporation | Apparatus and method for generating a multichannel signal |
| US8397181B2 (en) | 2008-11-17 | 2013-03-12 | Honeywell International Inc. | Method and apparatus for marking a position of a real world object in a see-through display |
| US20100131300A1 (en) | 2008-11-26 | 2010-05-27 | Fred Collopy | Visible insurance |
| EP2194418B1 (en) | 2008-12-02 | 2014-07-02 | Saab Ab | Head-up display for night vision goggles |
| US20100152620A1 (en) * | 2008-12-12 | 2010-06-17 | Immersion Corporation | Method and Apparatus for Providing A Haptic Monitoring System Using Multiple Sensors |
| JP4674634B2 (en) | 2008-12-19 | 2011-04-20 | ソニー株式会社 | Head-mounted display |
| WO2010070344A1 (en) | 2008-12-19 | 2010-06-24 | Bae Systems Plc | Display system |
| US8594467B2 (en) | 2008-12-19 | 2013-11-26 | Microsoft Corporation | Interactive virtual display system for ubiquitous devices |
| US8669941B2 (en) | 2009-01-05 | 2014-03-11 | Nuance Communications, Inc. | Method and apparatus for text entry |
| JP2010164782A (en) | 2009-01-15 | 2010-07-29 | Brother Ind Ltd | Image display device |
| JP5223689B2 (en) | 2009-01-16 | 2013-06-26 | ブラザー工業株式会社 | Head mounted display device and driving method thereof |
| US20100182340A1 (en) | 2009-01-19 | 2010-07-22 | Bachelder Edward N | Systems and methods for combining virtual and real-time physical environments |
| US20100254543A1 (en) | 2009-02-03 | 2010-10-07 | Squarehead Technology As | Conference microphone system |
| WO2010090175A1 (en) | 2009-02-05 | 2010-08-12 | 国立大学法人大阪大学 | Input device, wearable computer, and input method |
| JP5274287B2 (en) | 2009-02-09 | 2013-08-28 | 三菱電機株式会社 | Display device and display system |
| US20120005724A1 (en) | 2009-02-09 | 2012-01-05 | Imera Systems, Inc. | Method and system for protecting private enterprise resources in a cloud computing environment |
| US8688517B2 (en) | 2009-02-13 | 2014-04-01 | Cfph, Llc | Method and apparatus for advertising on a mobile gaming device |
| GB0902468D0 (en) | 2009-02-16 | 2009-04-01 | Light Blue Optics Ltd | Optical systems |
| CA2694398A1 (en) | 2009-02-22 | 2010-08-22 | Eliyahu Mashiah | Wearable system for filming, recording and communicating during sport activity |
| US8140970B2 (en) | 2009-02-23 | 2012-03-20 | International Business Machines Corporation | System and method for semi-transparent display of hands over a keyboard in real-time |
| EP2400884B1 (en) | 2009-02-25 | 2018-03-07 | Valencell, Inc. | Light-guiding devices and monitoring devices incorporating same |
| US8494215B2 (en) | 2009-03-05 | 2013-07-23 | Microsoft Corporation | Augmenting a field of view in connection with vision-tracking |
| US7894440B2 (en) | 2009-03-13 | 2011-02-22 | Freescale Semiconductor, Inc. | Programmable hash-tuple generation with parallel rule implementation independence |
| US20110306986A1 (en) | 2009-03-24 | 2011-12-15 | Min Kyu Lee | Surgical robot system using augmented reality, and method for controlling same |
| US9024972B1 (en) | 2009-04-01 | 2015-05-05 | Microsoft Technology Licensing, Llc | Augmented reality computing with inertial sensors |
| US9067097B2 (en) | 2009-04-10 | 2015-06-30 | Sovoz, Inc. | Virtual locomotion controller apparatus and methods |
| WO2010123934A1 (en) | 2009-04-20 | 2010-10-28 | The Arizona Board Of Regents On Behalf Of The University Of Arizona | Optical see-through free-form head-mounted display |
| US9256007B2 (en) | 2009-04-21 | 2016-02-09 | Svv Technology Innovations, Inc. | Light collection and illumination systems employing planar waveguide |
| US8151198B2 (en) | 2009-04-29 | 2012-04-03 | Disney Enterprises, Inc. | System and method for item-based economy in a virtual world |
| JP5259484B2 (en) | 2009-04-30 | 2013-08-07 | 株式会社ニデック | Fundus photographing device |
| WO2010129599A1 (en) | 2009-05-04 | 2010-11-11 | Oblong Industries, Inc. | Gesture-based control systems including the representation, manipulation, and exchange of data |
| EP2427812A4 (en) | 2009-05-08 | 2016-06-08 | Kopin Corp | REMOTE CONTROL OF HOST APPLICATION USING MOTION AND VOICE COMMANDS |
| US20110125844A1 (en) | 2009-05-18 | 2011-05-26 | Telcordia Technologies, Inc. | mobile enabled social networking application to support closed, moderated group interactions for purpose of facilitating therapeutic care |
| US20100304787A1 (en) | 2009-05-28 | 2010-12-02 | Min Ho Lee | Mobile terminal and method for displaying on a mobile terminal |
| US9602864B2 (en) | 2009-06-08 | 2017-03-21 | Time Warner Cable Enterprises Llc | Media bridge apparatus and methods |
| US20100315329A1 (en) | 2009-06-12 | 2010-12-16 | Southwest Research Institute | Wearable workspace |
| US9594759B2 (en) | 2009-06-16 | 2017-03-14 | Microsoft Technology Licensing, Llc | Backup and archival of selected items as a composite object |
| US20100319004A1 (en) | 2009-06-16 | 2010-12-16 | Microsoft Corporation | Policy Management for the Cloud |
| JP5402293B2 (en) | 2009-06-22 | 2014-01-29 | ソニー株式会社 | Head-mounted display and image display method in head-mounted display |
| US20110012896A1 (en) | 2009-06-22 | 2011-01-20 | Ji Maengsob | Image display apparatus, 3d glasses, and method for operating the image display apparatus |
| CA2765116C (en) | 2009-06-23 | 2020-06-16 | Nokia Corporation | Method and apparatus for processing audio signals |
| EP2277868A1 (en) | 2009-06-24 | 2011-01-26 | Bayer CropScience AG | Phenyloxy(thio)phenylamidbenzoxa(thia)zoles |
| US8773330B2 (en) | 2009-06-25 | 2014-07-08 | The Boeing Company | Method and apparatus for a virtual mission control station |
| US8154615B2 (en) | 2009-06-30 | 2012-04-10 | Eastman Kodak Company | Method and apparatus for image display control according to viewer factors and responses |
| US8407190B2 (en) | 2009-06-30 | 2013-03-26 | Commvault Systems, Inc. | Performing data storage operations with a cloud environment, including containerized deduplication, data pruning, and data transfer |
| US9188963B2 (en) | 2009-07-06 | 2015-11-17 | Autonomous Id Canada Inc. | Gait-based authentication system |
| JP4824793B2 (en) | 2009-07-06 | 2011-11-30 | 東芝テック株式会社 | Wearable terminal device and program |
| US8407613B2 (en) | 2009-07-13 | 2013-03-26 | Apple Inc. | Directory management on a portable multifunction device |
| US8392853B2 (en) | 2009-07-17 | 2013-03-05 | Wxanalyst, Ltd. | Transparent interface used to independently manipulate and interrogate N-dimensional focus objects in virtual and real visualization systems |
| US8125622B2 (en) | 2009-07-28 | 2012-02-28 | Applied Concepts, Inc. | Lidar measurement device with target tracking and method for use of same |
| US8670597B2 (en) | 2009-08-07 | 2014-03-11 | Google Inc. | Facial recognition with social network aiding |
| US8514097B2 (en) | 2009-08-14 | 2013-08-20 | Michael William Boise | Glasses with sound activated lights |
| JP5421691B2 (en) | 2009-08-18 | 2014-02-19 | キヤノン株式会社 | Focus adjustment device and focus adjustment method |
| US20110057862A1 (en) | 2009-09-07 | 2011-03-10 | Hsin-Liang Chen | Image display device |
| US8275834B2 (en) | 2009-09-14 | 2012-09-25 | Applied Research Associates, Inc. | Multi-modal, geo-tempo communications systems |
| US8972878B2 (en) | 2009-09-21 | 2015-03-03 | Avaya Inc. | Screen icon manipulation by context and frequency of Use |
| US20110080289A1 (en) | 2009-10-05 | 2011-04-07 | Sony Ericsson Mobile Communications Ab | Output device detection |
| US20110082390A1 (en) | 2009-10-06 | 2011-04-07 | Krieter Marcus | Compliant pressure actuated surface sensor for on body detection |
| JP5452158B2 (en) | 2009-10-07 | 2014-03-26 | 株式会社日立製作所 | Acoustic monitoring system and sound collection system |
| CA2777566C (en) | 2009-10-13 | 2014-12-16 | Recon Instruments Inc. | Control systems and methods for head-mounted information systems |
| US20110087534A1 (en) | 2009-10-14 | 2011-04-14 | Wantsa Media (Canada), Inc. | Search queries and advertising platforms utilizing at least one social graph |
| US20110092287A1 (en) | 2009-10-15 | 2011-04-21 | Sanders Paul Maurice | Gaming participant attribute tag method and system |
| TW201115404A (en) | 2009-10-21 | 2011-05-01 | Kye Systems Corp | Wear-on type input device |
| US8121618B2 (en) | 2009-10-28 | 2012-02-21 | Digimarc Corporation | Intuitive computing methods and systems |
| US9197736B2 (en) | 2009-12-31 | 2015-11-24 | Digimarc Corporation | Intuitive computing methods and systems |
| US8819591B2 (en) | 2009-10-30 | 2014-08-26 | Accuray Incorporated | Treatment planning in a virtual environment |
| US9008973B2 (en) | 2009-11-09 | 2015-04-14 | Barry French | Wearable sensor system with gesture recognition for measuring physical performance |
| US8884872B2 (en) | 2009-11-20 | 2014-11-11 | Nuance Communications, Inc. | Gesture-based repetition of key activations on a virtual keyboard |
| US20110126197A1 (en) | 2009-11-25 | 2011-05-26 | Novell, Inc. | System and method for controlling cloud and virtualized data centers in an intelligent workload management system |
| JP5141672B2 (en) | 2009-11-30 | 2013-02-13 | ブラザー工業株式会社 | Head mounted display device and image sharing system using head mounted display device |
| KR101576567B1 (en) | 2009-12-04 | 2015-12-10 | 한국전자통신연구원 | gesture input apparatus and gesture recognition method and apparatus using the same |
| JP4679661B1 (en) | 2009-12-15 | 2011-04-27 | 株式会社東芝 | Information presenting apparatus, information presenting method, and program |
| US8605015B2 (en) | 2009-12-23 | 2013-12-10 | Syndiant, Inc. | Spatial light modulator with masking-comparators |
| US20110156998A1 (en) | 2009-12-28 | 2011-06-30 | Acer Incorporated | Method for switching to display three-dimensional images and digital display system |
| US20110161875A1 (en) | 2009-12-29 | 2011-06-30 | Nokia Corporation | Method and apparatus for decluttering a mapping display |
| US9104261B2 (en) | 2009-12-29 | 2015-08-11 | Nokia Technologies Oy | Method and apparatus for notification of input environment |
| US8754931B2 (en) | 2010-01-08 | 2014-06-17 | Kopin Corporation | Video eyewear for smart phone games |
| WO2011084021A2 (en) | 2010-01-11 | 2011-07-14 | 엘지전자 주식회사 | Broadcasting receiver and method for displaying 3d images |
| US8838684B2 (en) | 2010-01-14 | 2014-09-16 | Fuji Xerox Co., Ltd. | System and method for determining a presence state of a person |
| WO2011091056A1 (en) | 2010-01-19 | 2011-07-28 | Servicemesh, Inc. | System and method for a cloud computing abstraction layer |
| CA2826253A1 (en) | 2010-02-03 | 2011-08-11 | Hoyt M. Layson, Jr. | Location derived messaging system |
| US9009152B2 (en) | 2010-02-04 | 2015-04-14 | Yahoo! Inc. | Smart widgets |
| WO2011097564A1 (en) | 2010-02-05 | 2011-08-11 | Kopin Corporation | Touch sensor for controlling eyewear |
| JP2011175035A (en) | 2010-02-23 | 2011-09-08 | Shimadzu Corp | Head mounted display device |
| US9128281B2 (en) | 2010-09-14 | 2015-09-08 | Microsoft Technology Licensing, Llc | Eyepiece with uniformly illuminated reflective display |
| US9182596B2 (en) | 2010-02-28 | 2015-11-10 | Microsoft Technology Licensing, Llc | See-through near-eye display glasses with the optical assembly including absorptive polarizers or anti-reflective coatings to reduce stray light |
| US20130314303A1 (en) | 2010-02-28 | 2013-11-28 | Osterhout Group, Inc. | Ar glasses with user action control of and between internal and external applications with feedback |
| US20120194550A1 (en) | 2010-02-28 | 2012-08-02 | Osterhout Group, Inc. | Sensor-based command and control of external devices with feedback from the external device to the ar glasses |
| CN102906623A (en) | 2010-02-28 | 2013-01-30 | 奥斯特豪特集团有限公司 | Local advertising content on an interactive head-mounted eyepiece |
| US8482859B2 (en) | 2010-02-28 | 2013-07-09 | Osterhout Group, Inc. | See-through near-eye display glasses wherein image light is transmitted to and reflected from an optically flat film |
| US20140063054A1 (en) | 2010-02-28 | 2014-03-06 | Osterhout Group, Inc. | Ar glasses specific control interface based on a connected external device type |
| US20120194553A1 (en) | 2010-02-28 | 2012-08-02 | Osterhout Group, Inc. | Ar glasses with sensor and user action based control of external devices with feedback |
| US9366862B2 (en) | 2010-02-28 | 2016-06-14 | Microsoft Technology Licensing, Llc | System and method for delivering content to a group of see-through near eye display eyepieces |
| US9341843B2 (en) | 2010-02-28 | 2016-05-17 | Microsoft Technology Licensing, Llc | See-through near-eye display glasses with a small scale image source |
| US20110214082A1 (en) | 2010-02-28 | 2011-09-01 | Osterhout Group, Inc. | Projection triggering through an external marker in an augmented reality eyepiece |
| US20140063055A1 (en) | 2010-02-28 | 2014-03-06 | Osterhout Group, Inc. | Ar glasses specific user interface and control interface based on a connected external device type |
| US20110213664A1 (en) | 2010-02-28 | 2011-09-01 | Osterhout Group, Inc. | Local advertising content on an interactive head-mounted eyepiece |
| US20120212406A1 (en) | 2010-02-28 | 2012-08-23 | Osterhout Group, Inc. | Ar glasses with event and sensor triggered ar eyepiece command and control facility of the ar eyepiece |
| US20120206322A1 (en) | 2010-02-28 | 2012-08-16 | Osterhout Group, Inc. | Ar glasses with event and sensor input triggered user action capture device control of ar eyepiece facility |
| US20120200488A1 (en) | 2010-02-28 | 2012-08-09 | Osterhout Group, Inc. | Ar glasses with sensor and user action based control of eyepiece applications with feedback |
| US9285589B2 (en) | 2010-02-28 | 2016-03-15 | Microsoft Technology Licensing, Llc | AR glasses with event and sensor triggered control of AR eyepiece applications |
| US8964298B2 (en) | 2010-02-28 | 2015-02-24 | Microsoft Corporation | Video display modification based on sensor input for a see-through near-to-eye display |
| US9097890B2 (en) | 2010-02-28 | 2015-08-04 | Microsoft Technology Licensing, Llc | Grating in a light transmissive illumination system for see-through near-eye display glasses |
| US9097891B2 (en) | 2010-02-28 | 2015-08-04 | Microsoft Technology Licensing, Llc | See-through near-eye display glasses including an auto-brightness control for the display brightness based on the brightness in the environment |
| US20120194418A1 (en) | 2010-02-28 | 2012-08-02 | Osterhout Group, Inc. | Ar glasses with user action control and event input based control of eyepiece application |
| US20120120103A1 (en) | 2010-02-28 | 2012-05-17 | Osterhout Group, Inc. | Alignment control in an augmented reality headpiece |
| US8488246B2 (en) | 2010-02-28 | 2013-07-16 | Osterhout Group, Inc. | See-through near-eye display glasses including a curved polarizing film in the image source, a partially reflective, partially transmitting optical element and an optically flat film |
| US20120212484A1 (en) | 2010-02-28 | 2012-08-23 | Osterhout Group, Inc. | System and method for display content placement using distance and location information |
| US8477425B2 (en) | 2010-02-28 | 2013-07-02 | Osterhout Group, Inc. | See-through near-eye display glasses including a partially reflective, partially transmitting optical element |
| US20120206335A1 (en) | 2010-02-28 | 2012-08-16 | Osterhout Group, Inc. | Ar glasses with event, sensor, and user action based direct control of external devices with feedback |
| US20120194551A1 (en) | 2010-02-28 | 2012-08-02 | Osterhout Group, Inc. | Ar glasses with user-action based command and control of external devices |
| US20120206485A1 (en) | 2010-02-28 | 2012-08-16 | Osterhout Group, Inc. | Ar glasses with event and sensor triggered user movement control of ar eyepiece facilities |
| US20120242698A1 (en) | 2010-02-28 | 2012-09-27 | Osterhout Group, Inc. | See-through near-eye display glasses with a multi-segment processor-controlled optical layer |
| US10180572B2 (en) | 2010-02-28 | 2019-01-15 | Microsoft Technology Licensing, Llc | AR glasses with event and user action control of external applications |
| US20120235887A1 (en) | 2010-02-28 | 2012-09-20 | Osterhout Group, Inc. | See-through near-eye display glasses including a partially reflective, partially transmitting optical element and an optically flat film |
| US9134534B2 (en) | 2010-02-28 | 2015-09-15 | Microsoft Technology Licensing, Llc | See-through near-eye display glasses including a modular image source |
| US20120200601A1 (en) | 2010-02-28 | 2012-08-09 | Osterhout Group, Inc. | Ar glasses with state triggered eye control interaction with advertising facility |
| US20120194549A1 (en) | 2010-02-28 | 2012-08-02 | Osterhout Group, Inc. | Ar glasses specific user interface based on a connected external device type |
| US20120249797A1 (en) | 2010-02-28 | 2012-10-04 | Osterhout Group, Inc. | Head-worn adaptive display |
| US8467133B2 (en) | 2010-02-28 | 2013-06-18 | Osterhout Group, Inc. | See-through display with an optical assembly including a wedge-shaped illumination system |
| US20120200499A1 (en) | 2010-02-28 | 2012-08-09 | Osterhout Group, Inc. | Ar glasses with event, sensor, and user action based control of applications resident on external devices with feedback |
| US20120212499A1 (en) | 2010-02-28 | 2012-08-23 | Osterhout Group, Inc. | System and method for display content control during glasses movement |
| US8472120B2 (en) | 2010-02-28 | 2013-06-25 | Osterhout Group, Inc. | See-through near-eye display glasses with a small scale image source |
| US9129295B2 (en) | 2010-02-28 | 2015-09-08 | Microsoft Technology Licensing, Llc | See-through near-eye display glasses with a fast response photochromic film system for quick transition from dark to clear |
| US9223134B2 (en) | 2010-02-28 | 2015-12-29 | Microsoft Technology Licensing, Llc | Optical imperfections in a light transmissive illumination system for see-through near-eye display glasses |
| US9091851B2 (en) | 2010-02-28 | 2015-07-28 | Microsoft Technology Licensing, Llc | Light control in head mounted displays |
| US9759917B2 (en) | 2010-02-28 | 2017-09-12 | Microsoft Technology Licensing, Llc | AR glasses with event and sensor triggered AR eyepiece interface to external devices |
| US20120194552A1 (en) | 2010-02-28 | 2012-08-02 | Osterhout Group, Inc. | Ar glasses with predictive control of external device based on event input |
| US20120194420A1 (en) | 2010-02-28 | 2012-08-02 | Osterhout Group, Inc. | Ar glasses with event triggered user action control of ar eyepiece facility |
| US20120206334A1 (en) | 2010-02-28 | 2012-08-16 | Osterhout Group, Inc. | Ar glasses with event and user action capture device control of external applications |
| US9229227B2 (en) | 2010-02-28 | 2016-01-05 | Microsoft Technology Licensing, Llc | See-through near-eye display glasses with a light transmissive wedge shaped illumination system |
| US20130278631A1 (en) | 2010-02-28 | 2013-10-24 | Osterhout Group, Inc. | 3d positioning of augmented reality information |
| JP5428943B2 (en) | 2010-03-02 | 2014-02-26 | ブラザー工業株式会社 | Head mounted display |
| US9888973B2 (en) | 2010-03-31 | 2018-02-13 | St. Jude Medical, Atrial Fibrillation Division, Inc. | Intuitive user interface control for remote catheter navigation and 3D mapping and visualization systems |
| US8908043B2 (en) | 2010-04-12 | 2014-12-09 | Symbol Technologies, Inc. | System and method for location-based operation of a head mounted display |
| US8788197B2 (en) | 2010-04-30 | 2014-07-22 | Ryan Fink | Visual training devices, systems, and methods |
| US20110286068A1 (en) | 2010-05-21 | 2011-11-24 | Microvision, Inc. | Static Stray Light Removal for MEMS Feed Optics in a Scanned Beam Display |
| WO2011149558A2 (en) | 2010-05-28 | 2011-12-01 | Abelow Daniel H | Reality alternate |
| US9573064B2 (en) | 2010-06-24 | 2017-02-21 | Microsoft Technology Licensing, Llc | Virtual and location-based multiplayer gaming |
| WO2012003844A1 (en) | 2010-07-05 | 2012-01-12 | Sony Ericsson Mobile Communications Ab | Method for displaying augmentation information in an augmented reality system |
| US20120019557A1 (en) | 2010-07-22 | 2012-01-26 | Sony Ericsson Mobile Communications Ab | Displaying augmented reality information |
| US8531355B2 (en) | 2010-07-23 | 2013-09-10 | Gregory A. Maltz | Unitized, vision-controlled, wireless eyeglass transceiver |
| US8917269B2 (en) | 2010-07-23 | 2014-12-23 | Andrew William Rush | Two dimensional displays, transparent displays, and three dimensional displays |
| US9111498B2 (en) | 2010-08-25 | 2015-08-18 | Eastman Kodak Company | Head-mounted display with environmental state detection |
| US8487786B1 (en) | 2010-09-01 | 2013-07-16 | Rockwell Collins, Inc. | Aircraft display system and method |
| WO2012037290A2 (en) | 2010-09-14 | 2012-03-22 | Osterhout Group, Inc. | Eyepiece with uniformly illuminated reflective display |
| US8582206B2 (en) | 2010-09-15 | 2013-11-12 | Microsoft Corporation | Laser-scanning virtual image display |
| US8723888B2 (en) | 2010-10-29 | 2014-05-13 | Core Wireless Licensing, S.a.r.l. | Method and apparatus for determining location offset information |
| KR101444407B1 (en) | 2010-11-02 | 2014-09-29 | 한국전자통신연구원 | Apparatus for controlling device based on augmented reality using local wireless communication and method thereof |
| US8184068B1 (en) | 2010-11-08 | 2012-05-22 | Google Inc. | Processing objects for separate eye displays |
| US8184983B1 (en) | 2010-11-12 | 2012-05-22 | Google Inc. | Wireless directional identification and subsequent communication between wearable electronic devices |
| US9111138B2 (en) | 2010-11-30 | 2015-08-18 | Cisco Technology, Inc. | System and method for gesture interface control |
| US10503255B2 (en) * | 2010-12-02 | 2019-12-10 | Immersion Corporation | Haptic feedback assisted text manipulation |
| US10083639B2 (en) | 2011-02-04 | 2018-09-25 | Seiko Epson Corporation | Control device for controlling image display device, head-mounted display device, image display system, control method for the image display device, and control method for the head-mounted display device |
| JP5720290B2 (en) | 2011-02-16 | 2015-05-20 | セイコーエプソン株式会社 | Virtual image display device |
| CA2828407A1 (en) | 2011-02-28 | 2012-09-07 | Osterhout Group, Inc. | Light control in head mounted displays |
| WO2012125596A2 (en) | 2011-03-12 | 2012-09-20 | Parshionikar Uday | Multipurpose controller for electronic devices, facial expressions management and drowsiness detection |
| US8188880B1 (en) | 2011-03-14 | 2012-05-29 | Google Inc. | Methods and devices for augmenting a field of view |
| US8009141B1 (en) | 2011-03-14 | 2011-08-30 | Google Inc. | Seeing with your hand |
| US8189263B1 (en) | 2011-04-01 | 2012-05-29 | Google Inc. | Image waveguide with mirror arrays |
| CN103620527B (en) | 2011-05-10 | 2018-08-17 | 寇平公司 | Head-mounted computer that uses motion and voice commands to control information displays and remote devices |
| US9330499B2 (en) | 2011-05-20 | 2016-05-03 | Microsoft Technology Licensing, Llc | Event augmentation with real-time information |
| US8203502B1 (en) | 2011-05-25 | 2012-06-19 | Google Inc. | Wearable heads-up display with integrated finger-tracking input sensor |
| JP2012252091A (en) | 2011-06-01 | 2012-12-20 | Sony Corp | Display apparatus |
| JP5790187B2 (en) | 2011-06-16 | 2015-10-07 | ソニー株式会社 | Display device |
| US8184069B1 (en) | 2011-06-20 | 2012-05-22 | Google Inc. | Systems and methods for adaptive transmission of data |
| US8175297B1 (en) | 2011-07-06 | 2012-05-08 | Google Inc. | Ad hoc sensor arrays |
| US8184070B1 (en) | 2011-07-06 | 2012-05-22 | Google Inc. | Method and system for selecting a user interface for a wearable computing device |
| US8060533B1 (en) | 2011-07-07 | 2011-11-15 | Google Inc. | Panel-based management of data objects from a plurality of data sources |
| US8190749B1 (en) | 2011-07-12 | 2012-05-29 | Google Inc. | Systems and methods for accessing an interaction state between multiple devices |
| US8228315B1 (en) | 2011-07-12 | 2012-07-24 | Google Inc. | Methods and systems for a virtual input device |
| US8179604B1 (en) | 2011-07-13 | 2012-05-15 | Google Inc. | Wearable marker for passive interaction |
| US8176437B1 (en) | 2011-07-18 | 2012-05-08 | Google Inc. | Responsiveness for application launch |
| US8184067B1 (en) | 2011-07-20 | 2012-05-22 | Google Inc. | Nose bridge sensor |
| US8217856B1 (en) | 2011-07-27 | 2012-07-10 | Google Inc. | Head-mounted display that displays a visual representation of physical interaction with an input interface located outside of the field of view |
| US9554866B2 (en) | 2011-08-09 | 2017-01-31 | Covidien Lp | Apparatus and method for using a remote control system in surgical procedures |
| US9285592B2 (en) | 2011-08-18 | 2016-03-15 | Google Inc. | Wearable device with input and output structures |
| US8963956B2 (en) | 2011-08-19 | 2015-02-24 | Microsoft Technology Licensing, Llc | Location based skins for mixed reality displays |
| JP6127359B2 (en) | 2011-09-15 | 2017-05-17 | セイコーエプソン株式会社 | Virtual image display device and method of manufacturing virtual image display device |
| KR20140066258A (en) | 2011-09-26 | 2014-05-30 | 마이크로소프트 코포레이션 | Video display modification based on sensor input for a see-through near-to-eye display |
| US8183997B1 (en) | 2011-11-14 | 2012-05-22 | Google Inc. | Displaying sound indications on a wearable computing system |
| US20130141419A1 (en) | 2011-12-01 | 2013-06-06 | Brian Mount | Augmented reality with realistic occlusion |
| US9459457B2 (en) | 2011-12-01 | 2016-10-04 | Seebright Inc. | Head mounted display with remote control |
| US8810600B2 (en) | 2012-01-23 | 2014-08-19 | Microsoft Corporation | Wearable display device calibration |
| EP2808725B1 (en) | 2012-01-24 | 2018-09-26 | Sony Corporation | Head-mounted display device with a light-shielding member |
| WO2013124741A1 (en) | 2012-02-21 | 2013-08-29 | Comsa Radu Mircea | Augmented reality system |
| US9329678B2 (en) | 2012-08-14 | 2016-05-03 | Microsoft Technology Licensing, Llc | Augmented reality overlay for control devices |
| US9851787B2 (en) | 2012-11-29 | 2017-12-26 | Microsoft Technology Licensing, Llc | Display resource management |
| US20140253605A1 (en) | 2013-03-05 | 2014-09-11 | John N. Border | Controlling brightness of a displayed image |
| EP3008549B1 (en) | 2013-06-09 | 2021-03-17 | Sony Interactive Entertainment Inc. | Head mounted display |
| US9244539B2 (en) | 2014-01-07 | 2016-01-26 | Microsoft Technology Licensing, Llc | Target positioning with gaze tracking |
| US9274340B2 (en) | 2014-02-18 | 2016-03-01 | Merge Labs, Inc. | Soft head mounted display goggles for use with mobile computing devices |
| US20160025971A1 (en) | 2014-07-25 | 2016-01-28 | William M. Crow | Eyelid movement as user input |
-
2012
- 2012-03-26 US US13/429,721 patent/US20120249797A1/en not_active Abandoned
-
2016
- 2016-03-16 US US15/071,904 patent/US10539787B2/en active Active
-
2020
- 2020-01-15 US US16/743,208 patent/US20200192089A1/en not_active Abandoned
Patent Citations (11)
| Publication number | Priority date | Publication date | Assignee | Title |
|---|---|---|---|---|
| US5325242A (en) * | 1991-09-30 | 1994-06-28 | Kabushiki Kaisha Toshiba | Magnetic recording/reproducing apparatus for decreasing an error rate in recording/reproducing a digital signal |
| US5677801A (en) * | 1991-09-30 | 1997-10-14 | Kabushiki Kaisha Toshiba | Magnetic recording/reproducing apparatus for automatically adjusting a recording current in accordance with the wear of a read head |
| US5844392A (en) * | 1992-12-02 | 1998-12-01 | Cybernet Systems Corporation | Haptic browsing |
| US6091546A (en) * | 1997-10-30 | 2000-07-18 | The Microoptical Corporation | Eyeglass interface system |
| US20020186348A1 (en) * | 2001-05-14 | 2002-12-12 | Eastman Kodak Company | Adaptive autostereoscopic display system |
| US6752498B2 (en) * | 2001-05-14 | 2004-06-22 | Eastman Kodak Company | Adaptive autostereoscopic display system |
| US20070184422A1 (en) * | 2004-03-26 | 2007-08-09 | Atsushi Takahashi | Three-dimensional digital entity mesoscope system equipped with three-dimensional visual instruction functions |
| US20050275718A1 (en) * | 2004-06-11 | 2005-12-15 | Oriental Institute Of Technology And Far Eastern Memorial Hospital | Apparatus and method for identifying surrounding environment by means of image processing and for outputting the results |
| US20070052672A1 (en) * | 2005-09-08 | 2007-03-08 | Swisscom Mobile Ag | Communication device, system and method |
| US20080208466A1 (en) * | 2007-02-28 | 2008-08-28 | Tatsunori Iwatani | Navigation system, enlarged intersection image displaying method used in the system, and map information generating method |
| US20080278821A1 (en) * | 2007-05-09 | 2008-11-13 | Harman Becker Automotive Systems Gmbh | Head-mounted display system |
Cited By (767)
| Publication number | Priority date | Publication date | Assignee | Title |
|---|---|---|---|---|
| US9386413B2 (en) | 2004-10-25 | 2016-07-05 | A9.Com, Inc. | Displaying location-specific images on a mobile device |
| US9852462B2 (en) | 2004-10-25 | 2017-12-26 | A9.Com, Inc. | Displaying location-specific images on a mobile device |
| US20140057657A1 (en) * | 2004-10-25 | 2014-02-27 | A9.Com, Inc. | Displaying location-specific images on a mobile device |
| US9148753B2 (en) * | 2004-10-25 | 2015-09-29 | A9.Com, Inc. | Displaying location-specific images on a mobile device |
| US8896675B2 (en) * | 2006-10-05 | 2014-11-25 | Essilor International (Compagnie Generale D'optique) | Display system for stereoscopic viewing implementing software for optimization of the system |
| US20110102558A1 (en) * | 2006-10-05 | 2011-05-05 | Renaud Moliton | Display device for stereoscopic display |
| US9965681B2 (en) | 2008-12-16 | 2018-05-08 | Osterhout Group, Inc. | Eye imaging in head worn computing |
| US8477425B2 (en) | 2010-02-28 | 2013-07-02 | Osterhout Group, Inc. | See-through near-eye display glasses including a partially reflective, partially transmitting optical element |
| US9229227B2 (en) | 2010-02-28 | 2016-01-05 | Microsoft Technology Licensing, Llc | See-through near-eye display glasses with a light transmissive wedge shaped illumination system |
| US9097891B2 (en) | 2010-02-28 | 2015-08-04 | Microsoft Technology Licensing, Llc | See-through near-eye display glasses including an auto-brightness control for the display brightness based on the brightness in the environment |
| US8482859B2 (en) | 2010-02-28 | 2013-07-09 | Osterhout Group, Inc. | See-through near-eye display glasses wherein image light is transmitted to and reflected from an optically flat film |
| US8488246B2 (en) | 2010-02-28 | 2013-07-16 | Osterhout Group, Inc. | See-through near-eye display glasses including a curved polarizing film in the image source, a partially reflective, partially transmitting optical element and an optically flat film |
| US9091851B2 (en) | 2010-02-28 | 2015-07-28 | Microsoft Technology Licensing, Llc | Light control in head mounted displays |
| US9341843B2 (en) | 2010-02-28 | 2016-05-17 | Microsoft Technology Licensing, Llc | See-through near-eye display glasses with a small scale image source |
| US9875406B2 (en) | 2010-02-28 | 2018-01-23 | Microsoft Technology Licensing, Llc | Adjustable extension for temple arm |
| US8467133B2 (en) | 2010-02-28 | 2013-06-18 | Osterhout Group, Inc. | See-through display with an optical assembly including a wedge-shaped illumination system |
| US9097890B2 (en) | 2010-02-28 | 2015-08-04 | Microsoft Technology Licensing, Llc | Grating in a light transmissive illumination system for see-through near-eye display glasses |
| US9285589B2 (en) | 2010-02-28 | 2016-03-15 | Microsoft Technology Licensing, Llc | AR glasses with event and sensor triggered control of AR eyepiece applications |
| US9759917B2 (en) | 2010-02-28 | 2017-09-12 | Microsoft Technology Licensing, Llc | AR glasses with event and sensor triggered AR eyepiece interface to external devices |
| US9223134B2 (en) | 2010-02-28 | 2015-12-29 | Microsoft Technology Licensing, Llc | Optical imperfections in a light transmissive illumination system for see-through near-eye display glasses |
| US8472120B2 (en) | 2010-02-28 | 2013-06-25 | Osterhout Group, Inc. | See-through near-eye display glasses with a small scale image source |
| US9329689B2 (en) | 2010-02-28 | 2016-05-03 | Microsoft Technology Licensing, Llc | Method and apparatus for biometric data capture |
| US9366862B2 (en) | 2010-02-28 | 2016-06-14 | Microsoft Technology Licensing, Llc | System and method for delivering content to a group of see-through near eye display eyepieces |
| US10860100B2 (en) | 2010-02-28 | 2020-12-08 | Microsoft Technology Licensing, Llc | AR glasses with predictive control of external device based on event input |
| US10268888B2 (en) | 2010-02-28 | 2019-04-23 | Microsoft Technology Licensing, Llc | Method and apparatus for biometric data capture |
| US8814691B2 (en) | 2010-02-28 | 2014-08-26 | Microsoft Corporation | System and method for social networking gaming with an augmented reality |
| US10180572B2 (en) | 2010-02-28 | 2019-01-15 | Microsoft Technology Licensing, Llc | AR glasses with event and user action control of external applications |
| US9129295B2 (en) | 2010-02-28 | 2015-09-08 | Microsoft Technology Licensing, Llc | See-through near-eye display glasses with a fast response photochromic film system for quick transition from dark to clear |
| US9134534B2 (en) | 2010-02-28 | 2015-09-15 | Microsoft Technology Licensing, Llc | See-through near-eye display glasses including a modular image source |
| US10539787B2 (en) | 2010-02-28 | 2020-01-21 | Microsoft Technology Licensing, Llc | Head-worn adaptive display |
| US9182596B2 (en) | 2010-02-28 | 2015-11-10 | Microsoft Technology Licensing, Llc | See-through near-eye display glasses with the optical assembly including absorptive polarizers or anti-reflective coatings to reduce stray light |
| US9454646B2 (en) | 2010-04-19 | 2016-09-27 | The Nielsen Company (Us), Llc | Short imagery task (SIT) research method |
| US11200964B2 (en) | 2010-04-19 | 2021-12-14 | Nielsen Consumer Llc | Short imagery task (SIT) research method |
| US10248195B2 (en) | 2010-04-19 | 2019-04-02 | The Nielsen Company (Us), Llc. | Short imagery task (SIT) research method |
| US8655428B2 (en) | 2010-05-12 | 2014-02-18 | The Nielsen Company (Us), Llc | Neuro-response data synchronization |
| US9336535B2 (en) | 2010-05-12 | 2016-05-10 | The Nielsen Company (Us), Llc | Neuro-response data synchronization |
| US20110285854A1 (en) * | 2010-05-18 | 2011-11-24 | Disney Enterprises, Inc. | System and method for theatrical followspot control interface |
| US9526156B2 (en) * | 2010-05-18 | 2016-12-20 | Disney Enterprises, Inc. | System and method for theatrical followspot control interface |
| US11470303B1 (en) | 2010-06-24 | 2022-10-11 | Steven M. Hoffberg | Two dimensional to three dimensional moving image converter |
| US11103787B1 (en) | 2010-06-24 | 2021-08-31 | Gregory S. Rabin | System and method for generating a synthetic video stream |
| US8548852B2 (en) | 2010-08-25 | 2013-10-01 | The Nielsen Company (Us), Llc | Effective virtual reality environments for presentation of marketing materials |
| US9128281B2 (en) | 2010-09-14 | 2015-09-08 | Microsoft Technology Licensing, Llc | Eyepiece with uniformly illuminated reflective display |
| US20120072733A1 (en) * | 2010-09-17 | 2012-03-22 | International Business Machines Corporation | Wearable time-bracketed video authentication |
| US8479009B2 (en) * | 2010-09-17 | 2013-07-02 | International Business Machines Corporation | Wearable time-bracketed video authentication |
| US20120078510A1 (en) * | 2010-09-24 | 2012-03-29 | Honeywell International Inc. | Camera and inertial measurement unit integration with navigation data feedback for feature tracking |
| US8676498B2 (en) * | 2010-09-24 | 2014-03-18 | Honeywell International Inc. | Camera and inertial measurement unit integration with navigation data feedback for feature tracking |
| US20130131985A1 (en) * | 2011-04-11 | 2013-05-23 | James D. Weiland | Wearable electronic image acquisition and enhancement system and method for image acquisition and visual enhancement |
| US8731621B2 (en) * | 2011-07-18 | 2014-05-20 | Samsung Electronics Co., Ltd. | Method for executing application during call and mobile terminal supporting the same |
| US20130023248A1 (en) * | 2011-07-18 | 2013-01-24 | Samsung Electronics Co., Ltd. | Method for executing application during call and mobile terminal supporting the same |
| US9638836B1 (en) * | 2011-08-17 | 2017-05-02 | Lockheed Martin Corporation | Lenses having astigmatism correcting inside reflective surface |
| US9389431B2 (en) | 2011-11-04 | 2016-07-12 | Massachusetts Eye & Ear Infirmary | Contextual image stabilization |
| US10571715B2 (en) | 2011-11-04 | 2020-02-25 | Massachusetts Eye And Ear Infirmary | Adaptive visual assistive device |
| US10129682B2 (en) * | 2012-01-06 | 2018-11-13 | Bacch Laboratories, Inc. | Method and apparatus to provide a virtualized audio file |
| US20160295341A1 (en) * | 2012-01-06 | 2016-10-06 | Bit Cauldron Corporation | Method and apparatus for providing 3d audio |
| US9684174B2 (en) | 2012-02-15 | 2017-06-20 | Microsoft Technology Licensing, Llc | Imaging structure with embedded light sources |
| US9726887B2 (en) | 2012-02-15 | 2017-08-08 | Microsoft Technology Licensing, Llc | Imaging structure color conversion |
| US11532051B1 (en) * | 2012-02-27 | 2022-12-20 | United Services Automobile Association (Usaa) | Method and system for processing insurance claims using augmented reality video data |
| US9451303B2 (en) | 2012-02-27 | 2016-09-20 | The Nielsen Company (Us), Llc | Method and system for gathering and computing an audience's neurologically-based reactions in a distributed framework involving remote storage and computing |
| US9292858B2 (en) | 2012-02-27 | 2016-03-22 | The Nielsen Company (Us), Llc | Data collection system for aggregating biologically based measures in asynchronous geographically distributed public environments |
| US12165212B1 (en) * | 2012-02-27 | 2024-12-10 | United Services Automobile Association (Usaa) | Method and system for processing insurance claims using augmented reality video data |
| US10881348B2 (en) | 2012-02-27 | 2021-01-05 | The Nielsen Company (Us), Llc | System and method for gathering and analyzing biometric user feedback for use in social media and advertising applications |
| US9569986B2 (en) | 2012-02-27 | 2017-02-14 | The Nielsen Company (Us), Llc | System and method for gathering and analyzing biometric user feedback for use in social media and advertising applications |
| US9578318B2 (en) | 2012-03-14 | 2017-02-21 | Microsoft Technology Licensing, Llc | Imaging structure emitter calibration |
| US9807381B2 (en) | 2012-03-14 | 2017-10-31 | Microsoft Technology Licensing, Llc | Imaging structure emitter calibration |
| US11068049B2 (en) | 2012-03-23 | 2021-07-20 | Microsoft Technology Licensing, Llc | Light guide display and field of view |
| US10191515B2 (en) | 2012-03-28 | 2019-01-29 | Microsoft Technology Licensing, Llc | Mobile device light guide display |
| US10388073B2 (en) | 2012-03-28 | 2019-08-20 | Microsoft Technology Licensing, Llc | Augmented reality light guide display |
| US20170326446A1 (en) * | 2012-04-05 | 2017-11-16 | Microsoft Technology Licensing, Llc | Augmented reality and physical games |
| US10478717B2 (en) | 2012-04-05 | 2019-11-19 | Microsoft Technology Licensing, Llc | Augmented reality and physical games |
| US20130278497A1 (en) * | 2012-04-23 | 2013-10-24 | Seiko Epson Corporation | Virtual image display apparatus |
| US10502876B2 (en) | 2012-05-22 | 2019-12-10 | Microsoft Technology Licensing, Llc | Waveguide optics focus elements |
| US9581820B2 (en) | 2012-06-04 | 2017-02-28 | Microsoft Technology Licensing, Llc | Multiple waveguide imaging structure |
| US9671566B2 (en) | 2012-06-11 | 2017-06-06 | Magic Leap, Inc. | Planar waveguide apparatus with diffraction element(s) and system employing same |
| US9042596B2 (en) | 2012-06-14 | 2015-05-26 | Medibotics Llc | Willpower watch (TM)—a wearable food consumption monitor |
| US20250049346A1 (en) * | 2012-06-14 | 2025-02-13 | Medibotics Llc | Automatically Tracking One's Food Consumption Using the "Jedi Mind Trick" Hand Motion |
| US20140007010A1 (en) * | 2012-06-29 | 2014-01-02 | Nokia Corporation | Method and apparatus for determining sensory data associated with a user |
| US10586555B1 (en) * | 2012-07-30 | 2020-03-10 | Amazon Technologies, Inc. | Visual indication of an operational state |
| US8989835B2 (en) | 2012-08-17 | 2015-03-24 | The Nielsen Company (Us), Llc | Systems and methods to gather and analyze electroencephalographic data |
| US10842403B2 (en) | 2012-08-17 | 2020-11-24 | The Nielsen Company (Us), Llc | Systems and methods to gather and analyze electroencephalographic data |
| US9060671B2 (en) | 2012-08-17 | 2015-06-23 | The Nielsen Company (Us), Llc | Systems and methods to gather and analyze electroencephalographic data |
| US9215978B2 (en) | 2012-08-17 | 2015-12-22 | The Nielsen Company (Us), Llc | Systems and methods to gather and analyze electroencephalographic data |
| US9907482B2 (en) | 2012-08-17 | 2018-03-06 | The Nielsen Company (Us), Llc | Systems and methods to gather and analyze electroencephalographic data |
| US10779745B2 (en) | 2012-08-17 | 2020-09-22 | The Nielsen Company (Us), Llc | Systems and methods to gather and analyze electroencephalographic data |
| US11980469B2 (en) | 2012-08-17 | 2024-05-14 | Nielsen Company | Systems and methods to gather and analyze electroencephalographic data |
| US9554606B2 (en) | 2012-09-18 | 2017-01-31 | Bell Sports, Inc. | Protective headwear assembly having a built-in camera |
| US10713846B2 (en) | 2012-10-05 | 2020-07-14 | Elwha Llc | Systems and methods for sharing augmentation data |
| US10665017B2 (en) | 2012-10-05 | 2020-05-26 | Elwha Llc | Displaying in response to detecting one or more user behaviors one or more second augmentations that are based on one or more registered first augmentations |
| US9671863B2 (en) | 2012-10-05 | 2017-06-06 | Elwha Llc | Correlating user reaction with at least an aspect associated with an augmentation of an augmented view |
| US9674047B2 (en) | 2012-10-05 | 2017-06-06 | Elwha Llc | Correlating user reactions with augmentations displayed through augmented views |
| US10180715B2 (en) | 2012-10-05 | 2019-01-15 | Elwha Llc | Correlating user reaction with at least an aspect associated with an augmentation of an augmented view |
| US10254830B2 (en) | 2012-10-05 | 2019-04-09 | Elwha Llc | Correlating user reaction with at least an aspect associated with an augmentation of an augmented view |
| US10269179B2 (en) | 2012-10-05 | 2019-04-23 | Elwha Llc | Displaying second augmentations that are based on registered first augmentations |
| US9368031B2 (en) | 2012-10-08 | 2016-06-14 | Microsoft Technology Licensing, Llc | Vehicle surface tinting for visual indication of environmental conditions |
| US9583004B2 (en) | 2012-10-08 | 2017-02-28 | Microsoft Technology Licensing, Llc | Vehicle surface tinting for visual indication of external conditions |
| US9085262B2 (en) | 2012-10-08 | 2015-07-21 | Microsoft Technology Licensing, Llc | Tinting indication of environmental conditions |
| US9946457B2 (en) * | 2012-10-12 | 2018-04-17 | Apollo 13 Designs, LLC | Wearable electronic device with interface |
| US10416881B2 (en) * | 2012-10-12 | 2019-09-17 | Apollo 13 Designs, LLC | Wearable electronic device with interface |
| US20180225039A1 (en) * | 2012-10-12 | 2018-08-09 | Apollo Designs, LLC | Wearable Electronic Device With Interface |
| US20170068437A1 (en) * | 2012-10-12 | 2017-03-09 | Apollo Designs, LLC | Wearable Electronic Device With Interface |
| US10817171B2 (en) | 2012-10-12 | 2020-10-27 | Apollo 13 Designs, LLC | Identification system including a mobile computing device |
| US20170010647A1 (en) * | 2012-10-14 | 2017-01-12 | Ari M. Frank | Reducing power consumed by a head-mounted system that measures affective response to content |
| US9132342B2 (en) | 2012-10-31 | 2015-09-15 | Sulon Technologies Inc. | Dynamic environment and location based augmented reality (AR) systems |
| WO2014075655A3 (en) * | 2012-11-16 | 2014-08-14 | Grenzebach Maschinenbau Gmbh | Method and device for the combined simulation and control of remote-controlled vehicles |
| DE102012022472A1 (en) * | 2012-11-16 | 2014-05-22 | Grenzebach Maschinenbau Gmbh | Method and apparatus for combined simulation and control of remotely controlled vehicles |
| US20140145627A1 (en) * | 2012-11-29 | 2014-05-29 | Beyond Innovation Technology Co., Ltd. | Load driving apparatus relating to light-emitting-diodes |
| US9125273B2 (en) * | 2012-11-29 | 2015-09-01 | Beyond Innovation Technology Co., Ltd. | Load driving apparatus relating to light-emitting-diodes |
| US9323057B2 (en) | 2012-12-07 | 2016-04-26 | Blackberry Limited | Mobile device, system and method for controlling a heads-up display |
| US10192358B2 (en) | 2012-12-20 | 2019-01-29 | Microsoft Technology Licensing, Llc | Auto-stereoscopic augmented reality display |
| WO2014100832A3 (en) * | 2012-12-21 | 2015-02-05 | Glow Motion Technologies, Llc | Method and system for patterning elements having two states |
| US20140181741A1 (en) * | 2012-12-24 | 2014-06-26 | Microsoft Corporation | Discreetly displaying contextually relevant information |
| EP2939065A4 (en) * | 2012-12-31 | 2016-08-10 | Esight Corp | APPARATUS AND METHOD FOR ATTACHING VISION FIELD INCREASE VISIOCASQUE SYSTEMS |
| US8947783B2 (en) | 2013-01-02 | 2015-02-03 | Google Inc. | Optical combiner for near-eye display |
| US9549583B2 (en) | 2013-01-04 | 2017-01-24 | Bell Sports, Inc. | Helmet with integrated electronic components |
| US11009951B2 (en) | 2013-01-14 | 2021-05-18 | Facebook Technologies, Llc | Wearable muscle interface systems, devices and methods that interact with content displayed on an electronic display |
| US9134792B2 (en) | 2013-01-14 | 2015-09-15 | Qualcomm Incorporated | Leveraging physical handshaking in head mounted displays |
| US10528135B2 (en) | 2013-01-14 | 2020-01-07 | Ctrl-Labs Corporation | Wearable muscle interface systems, devices and methods that interact with content displayed on an electronic display |
| EP2767845A1 (en) * | 2013-02-14 | 2014-08-20 | BlackBerry Limited | Augmented reality system with encoding beacons |
| US9483875B2 (en) | 2013-02-14 | 2016-11-01 | Blackberry Limited | Augmented reality system with encoding beacons |
| US10904421B2 (en) | 2013-02-20 | 2021-01-26 | Kristin Blume Slater | Method and system for generation of images based on biorhythms |
| EP2770783A3 (en) * | 2013-02-21 | 2016-04-13 | Metaio GmbH | A wearable information system having at least one camera |
| CN104007817A (en) * | 2013-02-21 | 2014-08-27 | Metaio有限公司 | A wearable information system having at least one camera |
| US9810905B2 (en) * | 2013-02-25 | 2017-11-07 | Tokyo Electron Limited | Support information display method, maintenance support method of substrate processing apparatus, support information display control apparatus, substrate processing system and recording medium |
| US20140240484A1 (en) * | 2013-02-25 | 2014-08-28 | Tokyo Electron Limited | Support information display method, maintenance support method of substrate processing apparatus, support information display control apparatus, substrate processing system and recording medium |
| US20140247151A1 (en) * | 2013-03-04 | 2014-09-04 | Hello Inc. | System or device with wearable devices having one or more sensors with assignment of a wearable device user identifier to a wearable device user |
| US9662015B2 (en) * | 2013-03-04 | 2017-05-30 | Hello Inc. | System or device with wearable devices having one or more sensors with assignment of a wearable device user identifier to a wearable device user |
| US10282907B2 (en) | 2013-03-11 | 2019-05-07 | Magic Leap, Inc | Interacting with a network to transmit virtual image data in augmented or virtual reality systems |
| US11087555B2 (en) | 2013-03-11 | 2021-08-10 | Magic Leap, Inc. | Recognizing objects in a passable world model in augmented or virtual reality systems |
| US10068374B2 (en) | 2013-03-11 | 2018-09-04 | Magic Leap, Inc. | Systems and methods for a plurality of users to interact with an augmented or virtual reality systems |
| WO2014164901A1 (en) * | 2013-03-11 | 2014-10-09 | Magic Leap, Inc. | System and method for augmented and virtual reality |
| US10126812B2 (en) | 2013-03-11 | 2018-11-13 | Magic Leap, Inc. | Interacting with a network to transmit virtual image data in augmented or virtual reality systems |
| US12039680B2 (en) | 2013-03-11 | 2024-07-16 | Magic Leap, Inc. | Method of rendering using a display device |
| US10163265B2 (en) | 2013-03-11 | 2018-12-25 | Magic Leap, Inc. | Selective light transmission for augmented or virtual reality |
| JP2017107604A (en) * | 2013-03-11 | 2017-06-15 | マジック リープ, インコーポレイテッド | Systems and methods for augmented and virtual reality |
| US10234939B2 (en) | 2013-03-11 | 2019-03-19 | Magic Leap, Inc. | Systems and methods for a plurality of users to interact with each other in augmented or virtual reality systems |
| US20150235435A1 (en) * | 2013-03-11 | 2015-08-20 | Magic Leap, Inc. | Recognizing objects in a passable world model in augmented or virtual reality systems |
| US11663789B2 (en) | 2013-03-11 | 2023-05-30 | Magic Leap, Inc. | Recognizing objects in a passable world model in augmented or virtual reality systems |
| US10629003B2 (en) | 2013-03-11 | 2020-04-21 | Magic Leap, Inc. | System and method for augmented and virtual reality |
| US11076807B2 (en) | 2013-03-14 | 2021-08-03 | Nielsen Consumer Llc | Methods and apparatus to gather and analyze electroencephalographic data |
| US11024325B1 (en) | 2013-03-14 | 2021-06-01 | Amazon Technologies, Inc. | Voice controlled assistant with light indicator |
| US10288881B2 (en) | 2013-03-14 | 2019-05-14 | Fresenius Medical Care Holdings, Inc. | Wearable interface for remote monitoring and control of a medical device |
| US11763835B1 (en) | 2013-03-14 | 2023-09-19 | Amazon Technologies, Inc. | Voice controlled assistant with light indicator |
| US9668694B2 (en) | 2013-03-14 | 2017-06-06 | The Nielsen Company (Us), Llc | Methods and apparatus to gather and analyze electroencephalographic data |
| US9320450B2 (en) | 2013-03-14 | 2016-04-26 | The Nielsen Company (Us), Llc | Methods and apparatus to gather and analyze electroencephalographic data |
| US9210769B2 (en) * | 2013-03-15 | 2015-12-08 | Microchip Technology Incorporated | Constant brightness LED drive communications port |
| EP2778854A2 (en) * | 2013-03-15 | 2014-09-17 | Immersion Corporation | Wearable device and augmented reality device |
| US12380662B2 (en) | 2013-03-15 | 2025-08-05 | Magic Leap, Inc. | Frame-by-frame rendering for augmented or virtual reality systems |
| US10628969B2 (en) | 2013-03-15 | 2020-04-21 | Elwha Llc | Dynamically preserving scene elements in augmented reality systems |
| US10025486B2 (en) | 2013-03-15 | 2018-07-17 | Elwha Llc | Cross-reality select, drag, and drop for augmented reality systems |
| US10453258B2 (en) | 2013-03-15 | 2019-10-22 | Magic Leap, Inc. | Adjusting pixels to compensate for spacing in augmented or virtual reality systems |
| US9873233B2 (en) * | 2013-03-15 | 2018-01-23 | Johnson & Johnson Vision Care, Inc. | Ophthalmic lens viewing sets for three-dimensional perception of stereoscopic media |
| US10304246B2 (en) | 2013-03-15 | 2019-05-28 | Magic Leap, Inc. | Blanking techniques in augmented or virtual reality systems |
| US10553028B2 (en) | 2013-03-15 | 2020-02-04 | Magic Leap, Inc. | Presenting virtual objects based on head movements in augmented or virtual reality systems |
| US9417452B2 (en) | 2013-03-15 | 2016-08-16 | Magic Leap, Inc. | Display system and method |
| US11854150B2 (en) | 2013-03-15 | 2023-12-26 | Magic Leap, Inc. | Frame-by-frame rendering for augmented or virtual reality systems |
| US9639964B2 (en) | 2013-03-15 | 2017-05-02 | Elwha Llc | Dynamically preserving scene elements in augmented reality systems |
| US10109075B2 (en) | 2013-03-15 | 2018-10-23 | Elwha Llc | Temporal element restoration in augmented reality systems |
| US11205303B2 (en) | 2013-03-15 | 2021-12-21 | Magic Leap, Inc. | Frame-by-frame rendering for augmented or virtual reality systems |
| EP2972763A4 (en) * | 2013-03-15 | 2017-03-29 | Elwha LLC | Temporal element restoration in augmented reality systems |
| US10134186B2 (en) | 2013-03-15 | 2018-11-20 | Magic Leap, Inc. | Predicting head movement for rendering virtual objects in augmented or virtual reality systems |
| US9401048B2 (en) | 2013-03-15 | 2016-07-26 | Qualcomm Incorporated | Methods and apparatus for augmented reality target detection |
| US20140265866A1 (en) * | 2013-03-15 | 2014-09-18 | Microchip Technology Incorporated | Constant Brightness LED Drive Communications Port |
| US20140264978A1 (en) * | 2013-03-15 | 2014-09-18 | Johnson & Johnson Vision Care, Inc. | Ophthalmic lens viewing sets for three-dimensional perception of stereoscopic media |
| US9429752B2 (en) | 2013-03-15 | 2016-08-30 | Magic Leap, Inc. | Using historical attributes of a user for virtual or augmented reality rendering |
| US10510188B2 (en) | 2013-03-15 | 2019-12-17 | Magic Leap, Inc. | Over-rendering techniques in augmented or virtual reality systems |
| US20140316610A1 (en) * | 2013-04-01 | 2014-10-23 | Omron Automotive Electronics Co., Ltd. | Vehicle portable key |
| US20140324250A1 (en) * | 2013-04-01 | 2014-10-30 | Omron Automotive Electronics Co., Ltd. | Vehicle portable key |
| WO2014065700A1 (en) * | 2013-04-03 | 2014-05-01 | Gazzaev Sarmat Muratovich | System for producing animated images, for example video images |
| US9176582B1 (en) | 2013-04-10 | 2015-11-03 | Google Inc. | Input system |
| US9488836B2 (en) | 2013-05-02 | 2016-11-08 | Microsoft Technology Licensing, Llc | Spherical interface for binocular display |
| US20140336866A1 (en) * | 2013-05-13 | 2014-11-13 | Bayerische Motoren Werke Aktiengesellschaft | Method for Determining Input Data of a Driver Assistance Unit |
| US9367960B2 (en) | 2013-05-22 | 2016-06-14 | Microsoft Technology Licensing, Llc | Body-locked placement of augmented reality objects |
| US9529385B2 (en) | 2013-05-23 | 2016-12-27 | Medibotics Llc | Smart watch and human-to-computer interface for monitoring food consumption |
| US10314492B2 (en) | 2013-05-23 | 2019-06-11 | Medibotics Llc | Wearable spectroscopic sensor to measure food consumption based on interaction between light and the human body |
| US9254099B2 (en) | 2013-05-23 | 2016-02-09 | Medibotics Llc | Smart watch and food-imaging member for monitoring food consumption |
| US9536449B2 (en) | 2013-05-23 | 2017-01-03 | Medibotics Llc | Smart watch and food utensil for monitoring food consumption |
| EP3005284A4 (en) * | 2013-05-28 | 2016-11-16 | Pixium Vision Sa | INTELLIGENT PROSTHESIS TO FACILITATE ARTIFICIAL VISION USING SCENE ABSTRACTION |
| US10645127B1 (en) * | 2013-05-30 | 2020-05-05 | Jpmorgan Chase Bank, N.A. | System and method for virtual briefing books |
| RU2670784C2 (en) * | 2013-06-18 | 2018-10-25 | МАЙКРОСОФТ ТЕКНОЛОДЖИ ЛАЙСЕНСИНГ, ЭлЭлСи | Orientation and visualization of virtual object |
| EP3521981A1 (en) * | 2013-06-18 | 2019-08-07 | Microsoft Technology Licensing, LLC | Virtual object orientation and visualization |
| CN105453011A (en) * | 2013-06-18 | 2016-03-30 | 微软技术许可有限责任公司 | Virtual object orientation and visualization |
| EP3011418B1 (en) * | 2013-06-18 | 2019-11-06 | Microsoft Technology Licensing, LLC | Virtual object orientation and visualization |
| RU2670784C9 (en) * | 2013-06-18 | 2018-11-23 | МАЙКРОСОФТ ТЕКНОЛОДЖИ ЛАЙСЕНСИНГ, ЭлЭлСи | Orientation and visualization of virtual object |
| US10139623B2 (en) | 2013-06-18 | 2018-11-27 | Microsoft Technology Licensing, Llc | Virtual object orientation and visualization |
| AU2014281726B2 (en) * | 2013-06-18 | 2019-05-02 | Microsoft Technology Licensing, Llc | Virtual object orientation and visualization |
| US20140375799A1 (en) * | 2013-06-19 | 2014-12-25 | Honeywell International Inc. | Hands-Free User Interface for Security Systems |
| US9639985B2 (en) | 2013-06-24 | 2017-05-02 | Microsoft Technology Licensing, Llc | Active binocular alignment for near eye displays |
| US9442291B1 (en) | 2013-06-28 | 2016-09-13 | Google Inc. | Segmented diffractive optical elements for a head wearable display |
| US11921471B2 (en) | 2013-08-16 | 2024-03-05 | Meta Platforms Technologies, Llc | Systems, articles, and methods for wearable devices having secondary power sources in links of a band for providing secondary power in addition to a primary power source |
| US12504816B2 (en) | 2013-08-16 | 2025-12-23 | Meta Platforms Technologies, Llc | Wearable devices and associated band structures for sensing neuromuscular signals using sensor pairs in respective pods with communicative pathways to a common processor |
| US20150058021A1 (en) * | 2013-08-23 | 2015-02-26 | Jijesoft Co., Ltd. | Miniature, Wearable, Kitchen Ordering Apparatus |
| CN104424608A (en) * | 2013-08-23 | 2015-03-18 | 苏州技杰软件有限公司 | Miniature wearable kitchen food-ordering apparatus |
| US9071755B2 (en) * | 2013-08-30 | 2015-06-30 | Sky Light Electronic (Shen Zhen) Limited Corporation | Sports camera |
| US9183612B2 (en) | 2013-09-04 | 2015-11-10 | Qualcomm Incorporated | Wearable display device use-based data processing control |
| US9772494B2 (en) | 2013-09-04 | 2017-09-26 | Qualcomm Incorporated | Wearable display device use-based data processing control |
| WO2015034377A1 (en) * | 2013-09-04 | 2015-03-12 | Livestock Improvement Corporation Limited | Farm management system and method |
| US20150081550A1 (en) * | 2013-09-10 | 2015-03-19 | Scvngr, Inc. | Remote transaction processing using biometrics |
| US20190025769A1 (en) * | 2013-09-17 | 2019-01-24 | Sony Corporation | Electronic device, time setting method, time setting system and program |
| WO2015048890A1 (en) * | 2013-10-03 | 2015-04-09 | Sulon Technologies Inc. | System and method for augmented reality and virtual reality applications |
| US11644799B2 (en) | 2013-10-04 | 2023-05-09 | Meta Platforms Technologies, Llc | Systems, articles and methods for wearable electronic devices employing contact sensors |
| US9851177B2 (en) * | 2013-10-04 | 2017-12-26 | Bae Systems Information And Electronic Systems Integration Inc. | Coating for light security |
| US10593088B2 (en) * | 2013-11-04 | 2020-03-17 | At&T Intellectual Property I, L.P. | System and method for enabling mirror video chat using a wearable display device |
| US20180150988A1 (en) * | 2013-11-04 | 2018-05-31 | At&T Intellectual Property I, Lp | System and Method for Enabling Mirror Video Chat Using a Wearable Display Device |
| US11079846B2 (en) | 2013-11-12 | 2021-08-03 | Facebook Technologies, Llc | Systems, articles, and methods for capacitive electromyography sensors |
| US10042995B1 (en) * | 2013-11-26 | 2018-08-07 | Amazon Technologies, Inc. | Detecting authority for voice-driven devices |
| US11666264B1 (en) | 2013-11-27 | 2023-06-06 | Meta Platforms Technologies, Llc | Systems, articles, and methods for electromyography sensors |
| US20150172541A1 (en) * | 2013-12-17 | 2015-06-18 | Glen J. Anderson | Camera Array Analysis Mechanism |
| US9442100B2 (en) | 2013-12-18 | 2016-09-13 | Medibotics Llc | Caloric intake measuring system using spectroscopic and 3D imaging analysis |
| US9459455B2 (en) | 2013-12-19 | 2016-10-04 | Google Inc. | See-through eyepiece for head wearable display |
| US9671614B2 (en) | 2013-12-19 | 2017-06-06 | Google Inc. | See-through eyepiece for head wearable display |
| US9389422B1 (en) | 2013-12-23 | 2016-07-12 | Google Inc. | Eyepiece for head wearable display using partial and total internal reflections |
| US9551872B1 (en) | 2013-12-30 | 2017-01-24 | Google Inc. | Spatially multiplexed lens for head mounted display |
| US20150187357A1 (en) * | 2013-12-30 | 2015-07-02 | Samsung Electronics Co., Ltd. | Natural input based virtual ui system for mobile devices |
| US10031339B2 (en) | 2013-12-30 | 2018-07-24 | Google Llc | Spatially multiplexed lens for head mounted display |
| US9501143B2 (en) | 2014-01-03 | 2016-11-22 | Eric Pellaton | Systems and method for controlling electronic devices using radio frequency identification (RFID) devices |
| US9746922B2 (en) | 2014-01-03 | 2017-08-29 | Eric Pellaton | Systems and method for controlling electronic devices using radio frequency identification (RFID) devices |
| US9629774B2 (en) | 2014-01-14 | 2017-04-25 | Toyota Motor Engineering & Manufacturing North America, Inc. | Smart necklace with stereo vision and onboard processing |
| US10248856B2 (en) | 2014-01-14 | 2019-04-02 | Toyota Motor Engineering & Manufacturing North America, Inc. | Smart necklace with stereo vision and onboard processing |
| US10024679B2 (en) | 2014-01-14 | 2018-07-17 | Toyota Motor Engineering & Manufacturing North America, Inc. | Smart necklace with stereo vision and onboard processing |
| US9578307B2 (en) | 2014-01-14 | 2017-02-21 | Toyota Motor Engineering & Manufacturing North America, Inc. | Smart necklace with stereo vision and onboard processing |
| US10360907B2 (en) | 2014-01-14 | 2019-07-23 | Toyota Motor Engineering & Manufacturing North America, Inc. | Smart necklace with stereo vision and onboard processing |
| US9915545B2 (en) | 2014-01-14 | 2018-03-13 | Toyota Motor Engineering & Manufacturing North America, Inc. | Smart necklace with stereo vision and onboard processing |
| US11507208B2 (en) | 2014-01-17 | 2022-11-22 | Mentor Acquisition One, Llc | External user interface for head worn computing |
| US12443294B2 (en) | 2014-01-17 | 2025-10-14 | Mentor Acquisition One, Llc | External user interface for head worn computing |
| US12045401B2 (en) | 2014-01-17 | 2024-07-23 | Mentor Acquisition One, Llc | External user interface for head worn computing |
| US9939934B2 (en) | 2014-01-17 | 2018-04-10 | Osterhout Group, Inc. | External user interface for head worn computing |
| US10254856B2 (en) | 2014-01-17 | 2019-04-09 | Osterhout Group, Inc. | External user interface for head worn computing |
| US11169623B2 (en) | 2014-01-17 | 2021-11-09 | Mentor Acquisition One, Llc | External user interface for head worn computing |
| US11782529B2 (en) | 2014-01-17 | 2023-10-10 | Mentor Acquisition One, Llc | External user interface for head worn computing |
| US11231817B2 (en) | 2014-01-17 | 2022-01-25 | Mentor Acquisition One, Llc | External user interface for head worn computing |
| US9836122B2 (en) | 2014-01-21 | 2017-12-05 | Osterhout Group, Inc. | Eye glint imaging in see-through computer display systems |
| US9658458B2 (en) | 2014-01-21 | 2017-05-23 | Osterhout Group, Inc. | See-through computer display systems |
| US9720234B2 (en) | 2014-01-21 | 2017-08-01 | Osterhout Group, Inc. | See-through computer display systems |
| US9720235B2 (en) | 2014-01-21 | 2017-08-01 | Osterhout Group, Inc. | See-through computer display systems |
| US11126003B2 (en) | 2014-01-21 | 2021-09-21 | Mentor Acquisition One, Llc | See-through computer display systems |
| US9720227B2 (en) | 2014-01-21 | 2017-08-01 | Osterhout Group, Inc. | See-through computer display systems |
| US11103132B2 (en) | 2014-01-21 | 2021-08-31 | Mentor Acquisition One, Llc | Eye imaging in head worn computing |
| US11947126B2 (en) | 2014-01-21 | 2024-04-02 | Mentor Acquisition One, Llc | See-through computer display systems |
| US12478254B2 (en) | 2014-01-21 | 2025-11-25 | Mentor Acquisition One, Llc | Eye imaging in head worn computing |
| US9715112B2 (en) | 2014-01-21 | 2017-07-25 | Osterhout Group, Inc. | Suppression of stray light in head worn computing |
| US11796805B2 (en) | 2014-01-21 | 2023-10-24 | Mentor Acquisition One, Llc | Eye imaging in head worn computing |
| US11054902B2 (en) | 2014-01-21 | 2021-07-06 | Mentor Acquisition One, Llc | Eye glint imaging in see-through computer display systems |
| US12093453B2 (en) | 2014-01-21 | 2024-09-17 | Mentor Acquisition One, Llc | Eye glint imaging in see-through computer display systems |
| US9684171B2 (en) | 2014-01-21 | 2017-06-20 | Osterhout Group, Inc. | See-through computer display systems |
| US9885868B2 (en) | 2014-01-21 | 2018-02-06 | Osterhout Group, Inc. | Eye imaging in head worn computing |
| US11099380B2 (en) | 2014-01-21 | 2021-08-24 | Mentor Acquisition One, Llc | Eye imaging in head worn computing |
| US9829703B2 (en) | 2014-01-21 | 2017-11-28 | Osterhout Group, Inc. | Eye imaging in head worn computing |
| US10698223B2 (en) | 2014-01-21 | 2020-06-30 | Mentor Acquisition One, Llc | See-through computer display systems |
| US9740012B2 (en) | 2014-01-21 | 2017-08-22 | Osterhout Group, Inc. | See-through computer display systems |
| US11487110B2 (en) | 2014-01-21 | 2022-11-01 | Mentor Acquisition One, Llc | Eye imaging in head worn computing |
| US9811152B2 (en) | 2014-01-21 | 2017-11-07 | Osterhout Group, Inc. | Eye imaging in head worn computing |
| US12204097B2 (en) | 2014-01-21 | 2025-01-21 | Mentor Acquisition One, Llc | Eye imaging in head worn computing |
| US9811159B2 (en) | 2014-01-21 | 2017-11-07 | Osterhout Group, Inc. | Eye imaging in head worn computing |
| US9740280B2 (en) | 2014-01-21 | 2017-08-22 | Osterhout Group, Inc. | Eye imaging in head worn computing |
| US11737666B2 (en) | 2014-01-21 | 2023-08-29 | Mentor Acquisition One, Llc | Eye imaging in head worn computing |
| US9494800B2 (en) | 2014-01-21 | 2016-11-15 | Osterhout Group, Inc. | See-through computer display systems |
| US9746676B2 (en) | 2014-01-21 | 2017-08-29 | Osterhout Group, Inc. | See-through computer display systems |
| US9523856B2 (en) | 2014-01-21 | 2016-12-20 | Osterhout Group, Inc. | See-through computer display systems |
| US9658457B2 (en) | 2014-01-21 | 2017-05-23 | Osterhout Group, Inc. | See-through computer display systems |
| US12108989B2 (en) | 2014-01-21 | 2024-10-08 | Mentor Acquisition One, Llc | Eye imaging in head worn computing |
| US9927612B2 (en) | 2014-01-21 | 2018-03-27 | Osterhout Group, Inc. | See-through computer display systems |
| US9753288B2 (en) | 2014-01-21 | 2017-09-05 | Osterhout Group, Inc. | See-through computer display systems |
| US9651783B2 (en) | 2014-01-21 | 2017-05-16 | Osterhout Group, Inc. | See-through computer display systems |
| US10139632B2 (en) | 2014-01-21 | 2018-11-27 | Osterhout Group, Inc. | See-through computer display systems |
| US9933622B2 (en) | 2014-01-21 | 2018-04-03 | Osterhout Group, Inc. | See-through computer display systems |
| US10579140B2 (en) | 2014-01-21 | 2020-03-03 | Mentor Acquisition One, Llc | Eye glint imaging in see-through computer display systems |
| US9651784B2 (en) | 2014-01-21 | 2017-05-16 | Osterhout Group, Inc. | See-through computer display systems |
| US10866420B2 (en) | 2014-01-21 | 2020-12-15 | Mentor Acquisition One, Llc | See-through computer display systems |
| US9651789B2 (en) | 2014-01-21 | 2017-05-16 | Osterhout Group, Inc. | See-Through computer display systems |
| US9651788B2 (en) | 2014-01-21 | 2017-05-16 | Osterhout Group, Inc. | See-through computer display systems |
| US12554129B2 (en) | 2014-01-21 | 2026-02-17 | Mentor Acquisition One, Llc | Eye imaging in head worn computing |
| US9952664B2 (en) | 2014-01-21 | 2018-04-24 | Osterhout Group, Inc. | Eye imaging in head worn computing |
| US9958674B2 (en) | 2014-01-21 | 2018-05-01 | Osterhout Group, Inc. | Eye imaging in head worn computing |
| US11353957B2 (en) | 2014-01-21 | 2022-06-07 | Mentor Acquisition One, Llc | Eye glint imaging in see-through computer display systems |
| US11669163B2 (en) | 2014-01-21 | 2023-06-06 | Mentor Acquisition One, Llc | Eye glint imaging in see-through computer display systems |
| US12386186B2 (en) | 2014-01-21 | 2025-08-12 | Mentor Acquisition One, Llc | See-through computer display systems |
| US11619820B2 (en) | 2014-01-21 | 2023-04-04 | Mentor Acquisition One, Llc | See-through computer display systems |
| US9615742B2 (en) | 2014-01-21 | 2017-04-11 | Osterhout Group, Inc. | Eye imaging in head worn computing |
| US9594246B2 (en) | 2014-01-21 | 2017-03-14 | Osterhout Group, Inc. | See-through computer display systems |
| US12333069B2 (en) | 2014-01-21 | 2025-06-17 | Mentor Acquisition One, Llc | Eye glint imaging in see-through computer display systems |
| US9529192B2 (en) | 2014-01-21 | 2016-12-27 | Osterhout Group, Inc. | Eye imaging in head worn computing |
| US9529195B2 (en) | 2014-01-21 | 2016-12-27 | Osterhout Group, Inc. | See-through computer display systems |
| US9529199B2 (en) | 2014-01-21 | 2016-12-27 | Osterhout Group, Inc. | See-through computer display systems |
| US11622426B2 (en) | 2014-01-21 | 2023-04-04 | Mentor Acquisition One, Llc | See-through computer display systems |
| US10001644B2 (en) | 2014-01-21 | 2018-06-19 | Osterhout Group, Inc. | See-through computer display systems |
| US9766463B2 (en) | 2014-01-21 | 2017-09-19 | Osterhout Group, Inc. | See-through computer display systems |
| US9772492B2 (en) | 2014-01-21 | 2017-09-26 | Osterhout Group, Inc. | Eye imaging in head worn computing |
| US11892644B2 (en) | 2014-01-21 | 2024-02-06 | Mentor Acquisition One, Llc | See-through computer display systems |
| US9939646B2 (en) | 2014-01-24 | 2018-04-10 | Osterhout Group, Inc. | Stray light suppression for head worn computing |
| US10558050B2 (en) | 2014-01-24 | 2020-02-11 | Mentor Acquisition One, Llc | Haptic systems for head-worn computers |
| US12158592B2 (en) | 2014-01-24 | 2024-12-03 | Mentor Acquisition One, Llc | Haptic systems for head-worn computers |
| US11822090B2 (en) | 2014-01-24 | 2023-11-21 | Mentor Acquisition One, Llc | Haptic systems for head-worn computers |
| US10130277B2 (en) | 2014-01-28 | 2018-11-20 | Medibotics Llc | Willpower glasses (TM)—a wearable food consumption monitor |
| US20150212326A1 (en) * | 2014-01-29 | 2015-07-30 | Google Inc. | Dynamic lens for head mounted display |
| US9671612B2 (en) * | 2014-01-29 | 2017-06-06 | Google Inc. | Dynamic lens for head mounted display |
| US9473745B2 (en) * | 2014-01-30 | 2016-10-18 | Google Inc. | System and method for providing live imagery associated with map locations |
| US20150215585A1 (en) * | 2014-01-30 | 2015-07-30 | Google Inc. | System and method for providing live imagery associated with map locations |
| US9836826B1 (en) | 2014-01-30 | 2017-12-05 | Google Llc | System and method for providing live imagery associated with map locations |
| US9852545B2 (en) * | 2014-02-11 | 2017-12-26 | Osterhout Group, Inc. | Spatial location presentation in head worn computing |
| US9843093B2 (en) | 2014-02-11 | 2017-12-12 | Osterhout Group, Inc. | Spatial location presentation in head worn computing |
| US9841602B2 (en) | 2014-02-11 | 2017-12-12 | Osterhout Group, Inc. | Location indicating avatar in head worn computing |
| US9784973B2 (en) | 2014-02-11 | 2017-10-10 | Osterhout Group, Inc. | Micro doppler presentations in head worn computing |
| US9928019B2 (en) | 2014-02-14 | 2018-03-27 | Osterhout Group, Inc. | Object shadowing in head worn computing |
| US9547465B2 (en) | 2014-02-14 | 2017-01-17 | Osterhout Group, Inc. | Object shadowing in head worn computing |
| US11381903B2 (en) | 2014-02-14 | 2022-07-05 | Sonic Blocks Inc. | Modular quick-connect A/V system and methods thereof |
| US12225344B2 (en) | 2014-02-14 | 2025-02-11 | Sonic Blocks, Inc. | Modular quick-connect A/V system and methods thereof |
| US9560273B2 (en) | 2014-02-21 | 2017-01-31 | Apple Inc. | Wearable information system having at least one camera |
| US20170084203A1 (en) * | 2014-03-07 | 2017-03-23 | D.R.I. Systems LLC | Stereo 3d head mounted display applied as a low vision aid |
| US10419691B2 (en) * | 2014-03-13 | 2019-09-17 | Thermoteknix Systems Limited | Optical data insertion devices |
| US9395544B2 (en) | 2014-03-13 | 2016-07-19 | Google Inc. | Eyepiece with switchable reflector for head wearable display |
| US20150260887A1 (en) * | 2014-03-13 | 2015-09-17 | Thermoteknix Systems Ltd. | Optical data insertion devices |
| US10191279B2 (en) | 2014-03-17 | 2019-01-29 | Osterhout Group, Inc. | Eye imaging in head worn computing |
| US9928463B2 (en) * | 2014-03-25 | 2018-03-27 | Nany Ang Technological University | Episodic and semantic memory based remembrance agent modeling method and system for virtual companions |
| US12145505B2 (en) | 2014-03-28 | 2024-11-19 | Mentor Acquisition One, Llc | System for assisted operator safety using an HMD |
| US11104272B2 (en) | 2014-03-28 | 2021-08-31 | Mentor Acquisition One, Llc | System for assisted operator safety using an HMD |
| US11227294B2 (en) | 2014-04-03 | 2022-01-18 | Mentor Acquisition One, Llc | Sight information collection in head worn computing |
| US9622703B2 (en) | 2014-04-03 | 2017-04-18 | The Nielsen Company (Us), Llc | Methods and apparatus to gather and analyze electroencephalographic data |
| US9622702B2 (en) | 2014-04-03 | 2017-04-18 | The Nielsen Company (Us), Llc | Methods and apparatus to gather and analyze electroencephalographic data |
| US11141108B2 (en) | 2014-04-03 | 2021-10-12 | Nielsen Consumer Llc | Methods and apparatus to gather and analyze electroencephalographic data |
| US12493891B2 (en) | 2014-04-03 | 2025-12-09 | Mentor Acquisition One, Llc | Sight information collection in head worn computing |
| US9972132B2 (en) | 2014-04-18 | 2018-05-15 | Magic Leap, Inc. | Utilizing image based light solutions for augmented or virtual reality |
| US10109108B2 (en) | 2014-04-18 | 2018-10-23 | Magic Leap, Inc. | Finding new points by render rather than search in augmented or virtual reality systems |
| US9911234B2 (en) | 2014-04-18 | 2018-03-06 | Magic Leap, Inc. | User interface rendering in augmented or virtual reality systems |
| US9911233B2 (en) | 2014-04-18 | 2018-03-06 | Magic Leap, Inc. | Systems and methods for using image based light solutions for augmented or virtual reality |
| US9761055B2 (en) | 2014-04-18 | 2017-09-12 | Magic Leap, Inc. | Using object recognizers in an augmented or virtual reality system |
| US9881420B2 (en) | 2014-04-18 | 2018-01-30 | Magic Leap, Inc. | Inferential avatar rendering techniques in augmented or virtual reality systems |
| US10262462B2 (en) | 2014-04-18 | 2019-04-16 | Magic Leap, Inc. | Systems and methods for augmented and virtual reality |
| US10013806B2 (en) | 2014-04-18 | 2018-07-03 | Magic Leap, Inc. | Ambient light compensation for augmented or virtual reality |
| US10665018B2 (en) | 2014-04-18 | 2020-05-26 | Magic Leap, Inc. | Reducing stresses in the passable world model in augmented or virtual reality systems |
| US9852548B2 (en) | 2014-04-18 | 2017-12-26 | Magic Leap, Inc. | Systems and methods for generating sound wavefronts in augmented or virtual reality systems |
| US9766703B2 (en) | 2014-04-18 | 2017-09-19 | Magic Leap, Inc. | Triangulation of points using known points in augmented or virtual reality systems |
| US9767616B2 (en) * | 2014-04-18 | 2017-09-19 | Magic Leap, Inc. | Recognizing objects in a passable world model in an augmented or virtual reality system |
| US10115232B2 (en) | 2014-04-18 | 2018-10-30 | Magic Leap, Inc. | Using a map of the world for augmented or virtual reality systems |
| US10115233B2 (en) | 2014-04-18 | 2018-10-30 | Magic Leap, Inc. | Methods and systems for mapping virtual objects in an augmented or virtual reality system |
| US10825248B2 (en) * | 2014-04-18 | 2020-11-03 | Magic Leap, Inc. | Eye tracking systems and method for augmented or virtual reality |
| US9996977B2 (en) | 2014-04-18 | 2018-06-12 | Magic Leap, Inc. | Compensating for ambient light in augmented or virtual reality systems |
| US11205304B2 (en) | 2014-04-18 | 2021-12-21 | Magic Leap, Inc. | Systems and methods for rendering user interfaces for augmented or virtual reality |
| US12536753B2 (en) | 2014-04-18 | 2026-01-27 | Magic Leap, Inc. | Displaying virtual content in augmented reality using a map of the world |
| US10008038B2 (en) | 2014-04-18 | 2018-06-26 | Magic Leap, Inc. | Utilizing totems for augmented or virtual reality systems |
| US9928654B2 (en) | 2014-04-18 | 2018-03-27 | Magic Leap, Inc. | Utilizing pseudo-random patterns for eye tracking in augmented or virtual reality systems |
| US10043312B2 (en) | 2014-04-18 | 2018-08-07 | Magic Leap, Inc. | Rendering techniques to find new map points in augmented or virtual reality systems |
| US10127723B2 (en) | 2014-04-18 | 2018-11-13 | Magic Leap, Inc. | Room based sensors in an augmented reality system |
| US10846930B2 (en) | 2014-04-18 | 2020-11-24 | Magic Leap, Inc. | Using passable world model for augmented or virtual reality |
| US10186085B2 (en) | 2014-04-18 | 2019-01-22 | Magic Leap, Inc. | Generating a sound wavefront in augmented or virtual reality systems |
| US9922462B2 (en) | 2014-04-18 | 2018-03-20 | Magic Leap, Inc. | Interacting with totems in augmented or virtual reality systems |
| US10198864B2 (en) | 2014-04-18 | 2019-02-05 | Magic Leap, Inc. | Running object recognizers in a passable world model for augmented or virtual reality |
| US10909760B2 (en) | 2014-04-18 | 2021-02-02 | Magic Leap, Inc. | Creating a topological map for localization in augmented or virtual reality systems |
| US20150302663A1 (en) * | 2014-04-18 | 2015-10-22 | Magic Leap, Inc. | Recognizing objects in a passable world model in an augmented or virtual reality system |
| US9984506B2 (en) | 2014-04-18 | 2018-05-29 | Magic Leap, Inc. | Stress reduction in geometric maps of passable world model in augmented or virtual reality systems |
| US12050884B2 (en) | 2014-04-25 | 2024-07-30 | Mentor Acquisition One, Llc | Language translation with head-worn computing |
| US11474360B2 (en) | 2014-04-25 | 2022-10-18 | Mentor Acquisition One, Llc | Speaker assembly for headworn computer |
| US10634922B2 (en) | 2014-04-25 | 2020-04-28 | Mentor Acquisition One, Llc | Speaker assembly for headworn computer |
| US9672210B2 (en) | 2014-04-25 | 2017-06-06 | Osterhout Group, Inc. | Language translation with head-worn computing |
| US11727223B2 (en) | 2014-04-25 | 2023-08-15 | Mentor Acquisition One, Llc | Language translation with head-worn computing |
| US12353841B2 (en) | 2014-04-25 | 2025-07-08 | Mentor Acquisition One, Llc | Language translation with head-worn computing |
| US10853589B2 (en) | 2014-04-25 | 2020-12-01 | Mentor Acquisition One, Llc | Language translation with head-worn computing |
| US11880041B2 (en) | 2014-04-25 | 2024-01-23 | Mentor Acquisition One, Llc | Speaker assembly for headworn computer |
| US9651787B2 (en) | 2014-04-25 | 2017-05-16 | Osterhout Group, Inc. | Speaker assembly for headworn computer |
| US12210164B2 (en) | 2014-04-25 | 2025-01-28 | Mentor Acquisition One, Llc | Speaker assembly for headworn computer |
| US20150324698A1 (en) * | 2014-05-06 | 2015-11-12 | Broadcom Corporation | Context-aware decision making |
| US10110677B2 (en) * | 2014-05-06 | 2018-10-23 | Avago Technologies General Ip (Singapore) Pte. Ltd. | Context-aware decision making |
| US9915823B1 (en) | 2014-05-06 | 2018-03-13 | Google Llc | Lightguide optical combiner for head wearable display |
| US9746686B2 (en) | 2014-05-19 | 2017-08-29 | Osterhout Group, Inc. | Content position calibration in head worn computing |
| US12436395B2 (en) | 2014-06-05 | 2025-10-07 | Mentor Acquisition One, Llc | Optical configurations for head-worn see-through displays |
| US12174388B2 (en) | 2014-06-05 | 2024-12-24 | Mentor Acquisition One, Llc | Optical configurations for head-worn see-through displays |
| US11960089B2 (en) | 2014-06-05 | 2024-04-16 | Mentor Acquisition One, Llc | Optical configurations for head-worn see-through displays |
| US11402639B2 (en) | 2014-06-05 | 2022-08-02 | Mentor Acquisition One, Llc | Optical configurations for head-worn see-through displays |
| US9841599B2 (en) | 2014-06-05 | 2017-12-12 | Osterhout Group, Inc. | Optical configurations for head-worn see-through displays |
| US10877270B2 (en) | 2014-06-05 | 2020-12-29 | Mentor Acquisition One, Llc | Optical configurations for head-worn see-through displays |
| US9720241B2 (en) | 2014-06-09 | 2017-08-01 | Osterhout Group, Inc. | Content presentation in head worn computing |
| US11790617B2 (en) | 2014-06-09 | 2023-10-17 | Mentor Acquisition One, Llc | Content presentation in head worn computing |
| US9575321B2 (en) | 2014-06-09 | 2017-02-21 | Osterhout Group, Inc. | Content presentation in head worn computing |
| US10139635B2 (en) | 2014-06-09 | 2018-11-27 | Osterhout Group, Inc. | Content presentation in head worn computing |
| US11663794B2 (en) | 2014-06-09 | 2023-05-30 | Mentor Acquisition One, Llc | Content presentation in head worn computing |
| US11887265B2 (en) | 2014-06-09 | 2024-01-30 | Mentor Acquisition One, Llc | Content presentation in head worn computing |
| US10976559B2 (en) | 2014-06-09 | 2021-04-13 | Mentor Acquisition One, Llc | Content presentation in head worn computing |
| US12205230B2 (en) | 2014-06-09 | 2025-01-21 | Mentor Acquisition One, Llc | Content presentation in head worn computing |
| US11360318B2 (en) | 2014-06-09 | 2022-06-14 | Mentor Acquisition One, Llc | Content presentation in head worn computing |
| US11022810B2 (en) | 2014-06-09 | 2021-06-01 | Mentor Acquisition One, Llc | Content presentation in head worn computing |
| US12154240B2 (en) | 2014-06-09 | 2024-11-26 | Mentor Acquisition One, Llc | Content presentation in head worn computing |
| US10649220B2 (en) | 2014-06-09 | 2020-05-12 | Mentor Acquisition One, Llc | Content presentation in head worn computing |
| US11327323B2 (en) | 2014-06-09 | 2022-05-10 | Mentor Acquisition One, Llc | Content presentation in head worn computing |
| US10663740B2 (en) | 2014-06-09 | 2020-05-26 | Mentor Acquisition One, Llc | Content presentation in head worn computing |
| US20150359681A1 (en) * | 2014-06-16 | 2015-12-17 | International Business Machines Corporation | Non-invasive vision enhancement |
| US9931248B2 (en) * | 2014-06-16 | 2018-04-03 | International Business Machines Corporation | Non-invasive vision enhancement |
| US11054645B2 (en) | 2014-06-17 | 2021-07-06 | Mentor Acquisition One, Llc | External user interface for head worn computing |
| US9810906B2 (en) | 2014-06-17 | 2017-11-07 | Osterhout Group, Inc. | External user interface for head worn computing |
| US10698212B2 (en) | 2014-06-17 | 2020-06-30 | Mentor Acquisition One, Llc | External user interface for head worn computing |
| US11789267B2 (en) | 2014-06-17 | 2023-10-17 | Mentor Acquisition One, Llc | External user interface for head worn computing |
| US12174378B2 (en) | 2014-06-17 | 2024-12-24 | Mentor Acquisition One, Llc | External user interface for head worn computing |
| US11294180B2 (en) | 2014-06-17 | 2022-04-05 | Mentor Acquisition One, Llc | External user interface for head worn computing |
| US10684692B2 (en) | 2014-06-19 | 2020-06-16 | Facebook Technologies, Llc | Systems, devices, and methods for gesture identification |
| US9766449B2 (en) | 2014-06-25 | 2017-09-19 | Thalmic Labs Inc. | Systems, devices, and methods for wearable heads-up displays |
| US9874744B2 (en) | 2014-06-25 | 2018-01-23 | Thalmic Labs Inc. | Systems, devices, and methods for wearable heads-up displays |
| US10067337B2 (en) | 2014-06-25 | 2018-09-04 | Thalmic Labs Inc. | Systems, devices, and methods for wearable heads-up displays |
| US10012829B2 (en) | 2014-06-25 | 2018-07-03 | Thalmic Labs Inc. | Systems, devices, and methods for wearable heads-up displays |
| US10054788B2 (en) | 2014-06-25 | 2018-08-21 | Thalmic Labs Inc. | Systems, devices, and methods for wearable heads-up displays |
| US11786105B2 (en) | 2014-07-15 | 2023-10-17 | Mentor Acquisition One, Llc | Content presentation in head worn computing |
| US20160018640A1 (en) * | 2014-07-15 | 2016-01-21 | Osterhout Group, Inc. | Content presentation in head worn computing |
| US20160019715A1 (en) * | 2014-07-15 | 2016-01-21 | Osterhout Group, Inc. | Content presentation in head worn computing |
| US20160018641A1 (en) * | 2014-07-15 | 2016-01-21 | Osterhout Group, Inc. | Content presentation in head worn computing |
| US12232688B2 (en) | 2014-07-15 | 2025-02-25 | Mentor Acquisition One, Llc | Content presentation in head worn computing |
| US11103122B2 (en) | 2014-07-15 | 2021-08-31 | Mentor Acquisition One, Llc | Content presentation in head worn computing |
| US20160021304A1 (en) * | 2014-07-15 | 2016-01-21 | Osterhout Group, Inc. | Content presentation in head worn computing |
| US20160018642A1 (en) * | 2014-07-15 | 2016-01-21 | Osterhout Group, Inc. | Content presentation in head worn computing |
| US11269182B2 (en) * | 2014-07-15 | 2022-03-08 | Mentor Acquisition One, Llc | Content presentation in head worn computing |
| US9482548B2 (en) | 2014-07-17 | 2016-11-01 | Microsoft Technology Licensing, Llc | Route inspection portals |
| WO2016010938A1 (en) * | 2014-07-17 | 2016-01-21 | Microsoft Technology Licensing, Llc | Route inspection portals |
| US10024667B2 (en) | 2014-08-01 | 2018-07-17 | Toyota Motor Engineering & Manufacturing North America, Inc. | Wearable earpiece for providing social and environmental awareness |
| EP3932506B1 (en) | 2014-08-11 | 2024-04-17 | VR Coaster GmbH & Co. KG | Method for operating a device, in particular an amusement ride, a means of transport, a fitness machine or the like |
| US9829707B2 (en) | 2014-08-12 | 2017-11-28 | Osterhout Group, Inc. | Measuring content brightness in head worn computing |
| US12449662B2 (en) | 2014-08-12 | 2025-10-21 | Mentor Acquisition One, Llc | Measuring content brightness in head worn computing |
| US11360314B2 (en) | 2014-08-12 | 2022-06-14 | Mentor Acquisition One, Llc | Measuring content brightness in head worn computing |
| US11630315B2 (en) | 2014-08-12 | 2023-04-18 | Mentor Acquisition One, Llc | Measuring content brightness in head worn computing |
| US10908422B2 (en) | 2014-08-12 | 2021-02-02 | Mentor Acquisition One, Llc | Measuring content brightness in head worn computing |
| US20160063652A1 (en) * | 2014-08-29 | 2016-03-03 | Jijesoft Co., Ltd. | Infrared-Based Apparatus for Using Gestures to Place Food Orders and Method of Use |
| US10997751B2 (en) * | 2014-09-06 | 2021-05-04 | Philip Lyren | Weapon targeting system |
| US9922236B2 (en) | 2014-09-17 | 2018-03-20 | Toyota Motor Engineering & Manufacturing North America, Inc. | Wearable eyeglasses for providing social and environmental awareness |
| US10024678B2 (en) | 2014-09-17 | 2018-07-17 | Toyota Motor Engineering & Manufacturing North America, Inc. | Wearable clip for providing social and environmental awareness |
| USD768024S1 (en) | 2014-09-22 | 2016-10-04 | Toyota Motor Engineering & Manufacturing North America, Inc. | Necklace with a built in guidance device |
| US10812913B2 (en) | 2014-09-24 | 2020-10-20 | Taction Technology, Inc. | Systems and methods for generating damped electromagnetically actuated planar motion for audio-frequency vibrations |
| US10659885B2 (en) | 2014-09-24 | 2020-05-19 | Taction Technology, Inc. | Systems and methods for generating damped electromagnetically actuated planar motion for audio-frequency vibrations |
| US10820117B2 (en) | 2014-09-24 | 2020-10-27 | Taction Technology, Inc. | Systems and methods for generating damped electromagnetically actuated planar motion for audio-frequency vibrations |
| US9671613B2 (en) | 2014-09-26 | 2017-06-06 | Osterhout Group, Inc. | See-through computer display systems |
| US9958680B2 (en) * | 2014-09-30 | 2018-05-01 | Omnivision Technologies, Inc. | Near-eye display device and methods with coaxial eye imaging |
| US20160091722A1 (en) * | 2014-09-30 | 2016-03-31 | Omnivision Technologies, Inc. | Near-Eye Display Device And Methods With Coaxial Eye Imaging |
| US10444833B2 (en) * | 2014-11-10 | 2019-10-15 | Irisvision, Inc. | Methods and apparatus for vision enhancement |
| US12504810B2 (en) * | 2014-11-10 | 2025-12-23 | Irisvision, Inc. | Method and system for remote clinician management of head-mounted vision assist devices |
| US20220397959A1 (en) * | 2014-11-10 | 2022-12-15 | Irisvision, Inc. | Methods and Systems for Enabling the Remote Testing of Vision and Diagnosis of Vision-Related Issues |
| US10146304B2 (en) * | 2014-11-10 | 2018-12-04 | Irisvision, Inc. | Methods and apparatus for vision enhancement |
| US20220043513A1 (en) * | 2014-11-10 | 2022-02-10 | Irisvision, Inc. | Methods and Apparatus for Vision Enhancement |
| US20160156850A1 (en) * | 2014-11-10 | 2016-06-02 | Visionize Corp. | Methods and Apparatus for Vision Enhancement |
| US20220171456A1 (en) * | 2014-11-10 | 2022-06-02 | Irisvision, Inc. | Method and System for Remote Clinician Management of Head-Mounted Vision Assist Devices |
| US9366869B2 (en) | 2014-11-10 | 2016-06-14 | Google Inc. | Thin curved eyepiece for see-through head wearable display |
| US11372479B2 (en) * | 2014-11-10 | 2022-06-28 | Irisvision, Inc. | Multi-modal vision enhancement system |
| US10157528B2 (en) | 2014-11-25 | 2018-12-18 | Fynd Technologies, Inc. | Geolocation bracelet, system, and methods |
| WO2016085920A1 (en) * | 2014-11-25 | 2016-06-02 | Webandz, Inc. | Geolocation bracelet, systems, and methods |
| US9940808B2 (en) | 2014-11-25 | 2018-04-10 | Fynd Technologies, Inc. | Geolocation bracelet, system, and methods |
| US9811954B2 (en) * | 2014-12-02 | 2017-11-07 | Honeywell International, Inc. | Near-to-eye display systems and methods for verifying aircraft components |
| US20160152351A1 (en) * | 2014-12-02 | 2016-06-02 | Honeywell International Inc. | Near-to-eye display systems and methods for verifying aircraft components |
| US11809628B2 (en) | 2014-12-03 | 2023-11-07 | Mentor Acquisition One, Llc | See-through computer display systems |
| US11262846B2 (en) | 2014-12-03 | 2022-03-01 | Mentor Acquisition One, Llc | See-through computer display systems |
| US12455630B2 (en) | 2014-12-03 | 2025-10-28 | Mentor Acquisition One, Llc | See-through computer display systems |
| US12164693B2 (en) | 2014-12-03 | 2024-12-10 | Mentor Acquisition One, Llc | See-through computer display systems |
| US9684172B2 (en) | 2014-12-03 | 2017-06-20 | Osterhout Group, Inc. | Head worn computer display systems |
| US10684687B2 (en) | 2014-12-03 | 2020-06-16 | Mentor Acquisition One, Llc | See-through computer display systems |
| GB2533789A (en) * | 2014-12-30 | 2016-07-06 | Nokia Technologies Oy | User interface for augmented reality |
| USD792400S1 (en) | 2014-12-31 | 2017-07-18 | Osterhout Group, Inc. | Computer glasses |
| USD794637S1 (en) | 2015-01-05 | 2017-08-15 | Osterhout Group, Inc. | Air mouse |
| US9936273B2 (en) * | 2015-01-20 | 2018-04-03 | Taction Technology, Inc. | Apparatus and methods for altering the appearance of wearable devices |
| US20160212515A1 (en) * | 2015-01-20 | 2016-07-21 | Taction Technology Inc. | Apparatus and methods for altering the appearance of wearable devices |
| US9576460B2 (en) * | 2015-01-21 | 2017-02-21 | Toyota Motor Engineering & Manufacturing North America, Inc. | Wearable smart device for hazard detection and warning based on image and audio data |
| US20160210834A1 (en) * | 2015-01-21 | 2016-07-21 | Toyota Motor Engineering & Manufacturing North America, Inc. | Wearable smart device for hazard detection and warning based on image and audio data |
| US10018844B2 (en) | 2015-02-09 | 2018-07-10 | Microsoft Technology Licensing, Llc | Wearable image display system |
| US10317677B2 (en) | 2015-02-09 | 2019-06-11 | Microsoft Technology Licensing, Llc | Display system |
| US10490102B2 (en) | 2015-02-10 | 2019-11-26 | Toyota Motor Engineering & Manufacturing North America, Inc. | System and method for braille assistance |
| US10613331B2 (en) | 2015-02-17 | 2020-04-07 | North Inc. | Systems, devices, and methods for splitter optics in wearable heads-up displays |
| US10031338B2 (en) | 2015-02-17 | 2018-07-24 | Thalmic Labs Inc. | Systems, devices, and methods for eyebox expansion in wearable heads-up displays |
| US9989764B2 (en) | 2015-02-17 | 2018-06-05 | Thalmic Labs Inc. | Systems, devices, and methods for eyebox expansion in wearable heads-up displays |
| US10062182B2 (en) | 2015-02-17 | 2018-08-28 | Osterhout Group, Inc. | See-through computer display systems |
| US10191283B2 (en) | 2015-02-17 | 2019-01-29 | North Inc. | Systems, devices, and methods for eyebox expansion displays in wearable heads-up displays |
| US9958682B1 (en) | 2015-02-17 | 2018-05-01 | Thalmic Labs Inc. | Systems, devices, and methods for splitter optics in wearable heads-up displays |
| US20170059870A1 (en) * | 2015-02-25 | 2017-03-02 | LG lnnotek Co., Ltd. | Optical apparatus |
| US9586318B2 (en) * | 2015-02-27 | 2017-03-07 | Toyota Motor Engineering & Manufacturing North America, Inc. | Modular robot with smart device |
| US10391631B2 (en) | 2015-02-27 | 2019-08-27 | Toyota Motor Engineering & Manufacturing North America, Inc. | Modular robot with smart device |
| US9677901B2 (en) | 2015-03-10 | 2017-06-13 | Toyota Motor Engineering & Manufacturing North America, Inc. | System and method for providing navigation instructions at optimal times |
| US9811752B2 (en) | 2015-03-10 | 2017-11-07 | Toyota Motor Engineering & Manufacturing North America, Inc. | Wearable smart device and method for redundant object identification |
| US20160274365A1 (en) * | 2015-03-17 | 2016-09-22 | Thalmic Labs Inc. | Systems, devices, and methods for wearable heads-up displays with heterogeneous display quality |
| US9972216B2 (en) | 2015-03-20 | 2018-05-15 | Toyota Motor Engineering & Manufacturing North America, Inc. | System and method for storing and playback of information for blind users |
| US10331169B2 (en) * | 2015-03-27 | 2019-06-25 | Shenzhen Royole Technologies Co., Ltd. | Modularized head-mounted display device, and assembly and disassembly module |
| US20180074549A1 (en) * | 2015-03-27 | 2018-03-15 | Shenzhen Royole Technologies Co. Ltd. | Modularized head-mounted display device, and assembly and disassembly module |
| US10582311B2 (en) * | 2015-04-13 | 2020-03-03 | DSCG Solutions, Inc. | Audio detection system and methods |
| US20180146304A1 (en) * | 2015-04-13 | 2018-05-24 | DSCG Solutions, Inc. | Audio detection system and methods |
| US20160313973A1 (en) * | 2015-04-24 | 2016-10-27 | Seiko Epson Corporation | Display device, control method for display device, and computer program |
| US20190302886A1 (en) * | 2015-05-01 | 2019-10-03 | Irisvision, Inc. | Methods and Apparatus for Vision Enhancement |
| US11144119B2 (en) * | 2015-05-01 | 2021-10-12 | Irisvision, Inc. | Methods and systems for generating a magnification region in output video images |
| US10133075B2 (en) | 2015-05-04 | 2018-11-20 | Thalmic Labs Inc. | Systems, devices, and methods for angle- and wavelength-multiplexed holographic optical elements |
| US10175488B2 (en) | 2015-05-04 | 2019-01-08 | North Inc. | Systems, devices, and methods for spatially-multiplexed holographic optical elements |
| US10197805B2 (en) | 2015-05-04 | 2019-02-05 | North Inc. | Systems, devices, and methods for eyeboxes with heterogeneous exit pupils |
| US10771844B2 (en) | 2015-05-19 | 2020-09-08 | The Nielsen Company (Us), Llc | Methods and apparatus to adjust content presented to an individual |
| US11290779B2 (en) | 2015-05-19 | 2022-03-29 | Nielsen Consumer Llc | Methods and apparatus to adjust content presented to an individual |
| US9936250B2 (en) | 2015-05-19 | 2018-04-03 | The Nielsen Company (Us), Llc | Methods and apparatus to adjust content presented to an individual |
| CN106210253A (en) * | 2015-05-26 | 2016-12-07 | Lg电子株式会社 | Glasses type terminal and control method thereof |
| US10061391B2 (en) | 2015-05-26 | 2018-08-28 | Lg Electronics Inc. | Eyewear-type terminal and method for controlling the same |
| EP3098693A1 (en) * | 2015-05-26 | 2016-11-30 | LG Electronics Inc. | Eyerwear-type terminal and method for controlling the same |
| US10180578B2 (en) | 2015-05-28 | 2019-01-15 | North Inc. | Methods that integrate visible light eye tracking in scanning laser projection displays |
| US10078220B2 (en) | 2015-05-28 | 2018-09-18 | Thalmic Labs Inc. | Wearable heads-up display with integrated eye tracker |
| US10078219B2 (en) | 2015-05-28 | 2018-09-18 | Thalmic Labs Inc. | Wearable heads-up display with integrated eye tracker and different optical power holograms |
| US10488661B2 (en) | 2015-05-28 | 2019-11-26 | North Inc. | Systems, devices, and methods that integrate eye tracking and scanning laser projection in wearable heads-up displays |
| US10073268B2 (en) | 2015-05-28 | 2018-09-11 | Thalmic Labs Inc. | Display with integrated visible light eye tracking |
| US10114222B2 (en) | 2015-05-28 | 2018-10-30 | Thalmic Labs Inc. | Integrated eye tracking and laser projection methods with holographic elements of varying optical powers |
| US10139633B2 (en) | 2015-05-28 | 2018-11-27 | Thalmic Labs Inc. | Eyebox expansion and exit pupil replication in wearable heads-up display having integrated eye tracking and laser projection |
| US10116867B2 (en) | 2015-05-29 | 2018-10-30 | Thomson Licensing | Method and apparatus for displaying a light field based image on a user's device, and corresponding computer program product |
| US10162180B2 (en) | 2015-06-04 | 2018-12-25 | Google Llc | Efficient thin curved eyepiece for see-through head wearable display |
| EP3317701B1 (en) * | 2015-07-03 | 2023-07-19 | Fingerprint Cards Anacatum IP AB | Fingerprint sensing device comprising three-dimensional pattern |
| US10146054B2 (en) | 2015-07-06 | 2018-12-04 | Google Llc | Adding prescriptive correction to eyepieces for see-through head wearable displays |
| US9898039B2 (en) | 2015-08-03 | 2018-02-20 | Toyota Motor Engineering & Manufacturing North America, Inc. | Modular smart necklace |
| US10718945B2 (en) | 2015-09-04 | 2020-07-21 | North Inc. | Systems, articles, and methods for integrating holographic optical elements with eyeglass lenses |
| US10877272B2 (en) | 2015-09-04 | 2020-12-29 | Google Llc | Systems, articles, and methods for integrating holographic optical elements with eyeglass lenses |
| US10705342B2 (en) | 2015-09-04 | 2020-07-07 | North Inc. | Systems, articles, and methods for integrating holographic optical elements with eyeglass lenses |
| US10890765B2 (en) | 2015-09-04 | 2021-01-12 | Google Llc | Systems, articles, and methods for integrating holographic optical elements with eyeglass lenses |
| US10488662B2 (en) | 2015-09-04 | 2019-11-26 | North Inc. | Systems, articles, and methods for integrating holographic optical elements with eyeglass lenses |
| US10573139B2 (en) | 2015-09-16 | 2020-02-25 | Taction Technology, Inc. | Tactile transducer with digital signal processing for improved fidelity |
| US10390139B2 (en) | 2015-09-16 | 2019-08-20 | Taction Technology, Inc. | Apparatus and methods for audio-tactile spatialization of sound and perception of bass |
| US11263879B2 (en) | 2015-09-16 | 2022-03-01 | Taction Technology, Inc. | Tactile transducer with digital signal processing for improved fidelity |
| US20170097753A1 (en) * | 2015-10-01 | 2017-04-06 | Thalmic Labs Inc. | Systems, devices, and methods for interacting with content displayed on head-mounted displays |
| US20180067621A1 (en) * | 2015-10-01 | 2018-03-08 | Thalmic Labs Inc. | Systems, devices, and methods for interacting with content displayed on head-mounted displays |
| US10656822B2 (en) * | 2015-10-01 | 2020-05-19 | North Inc. | Systems, devices, and methods for interacting with content displayed on head-mounted displays |
| US10606072B2 (en) | 2015-10-23 | 2020-03-31 | North Inc. | Systems, devices, and methods for laser eye tracking |
| US9904051B2 (en) | 2015-10-23 | 2018-02-27 | Thalmic Labs Inc. | Systems, devices, and methods for laser eye tracking |
| US10228558B2 (en) | 2015-10-23 | 2019-03-12 | North Inc. | Systems, devices, and methods for laser eye tracking |
| US10445860B2 (en) | 2015-12-08 | 2019-10-15 | Facebook Technologies, Llc | Autofocus virtual reality headset |
| US10937129B1 (en) | 2015-12-08 | 2021-03-02 | Facebook Technologies, Llc | Autofocus virtual reality headset |
| US10241569B2 (en) | 2015-12-08 | 2019-03-26 | Facebook Technologies, Llc | Focus adjustment method for a virtual reality headset |
| US10802190B2 (en) | 2015-12-17 | 2020-10-13 | Covestro Llc | Systems, devices, and methods for curved holographic optical elements |
| US10705351B2 (en) | 2015-12-30 | 2020-07-07 | Essilor International | Ophthalmic device comprising an ophthalmic spectacle lens and a plurality of electronic components |
| WO2017114842A1 (en) * | 2015-12-30 | 2017-07-06 | Essilor International (Compagnie Generale D'optique) | Ophthalmic device comprising an ophthalmic spectacle lens and a plurality of electronic components |
| EP3187921A1 (en) * | 2015-12-30 | 2017-07-05 | Essilor International (Compagnie Generale D'optique) | Ophthalmic device including an ophthalmic lens and a plurality of electronic components |
| EP3187920A1 (en) * | 2015-12-30 | 2017-07-05 | Essilor International (Compagnie Generale D'optique) | Ophthalmic device including an ophthalmic lens for a spectacles associated with at least one electrically controlled functionality |
| US10126815B2 (en) | 2016-01-20 | 2018-11-13 | Thalmic Labs Inc. | Systems, devices, and methods for proximity-based eye tracking |
| US10303246B2 (en) | 2016-01-20 | 2019-05-28 | North Inc. | Systems, devices, and methods for proximity-based eye tracking |
| US10241572B2 (en) | 2016-01-20 | 2019-03-26 | North Inc. | Systems, devices, and methods for proximity-based eye tracking |
| US10151926B2 (en) | 2016-01-29 | 2018-12-11 | North Inc. | Systems, devices, and methods for preventing eyebox degradation in a wearable heads-up display |
| US10437067B2 (en) | 2016-01-29 | 2019-10-08 | North Inc. | Systems, devices, and methods for preventing eyebox degradation in a wearable heads-up display |
| US10451881B2 (en) | 2016-01-29 | 2019-10-22 | North Inc. | Systems, devices, and methods for preventing eyebox degradation in a wearable heads-up display |
| US11106276B2 (en) | 2016-03-11 | 2021-08-31 | Facebook Technologies, Llc | Focus adjusting headset |
| US10024680B2 (en) | 2016-03-11 | 2018-07-17 | Toyota Motor Engineering & Manufacturing North America, Inc. | Step based guidance system |
| RU2735617C2 (en) * | 2016-03-29 | 2020-11-05 | Алибаба Груп Холдинг Лимитед | Method, apparatus and system for displaying information |
| AU2017243515B2 (en) * | 2016-03-29 | 2021-01-28 | Advanced New Technologies Co., Ltd. | Information display method, device and system |
| US11036991B2 (en) | 2016-03-29 | 2021-06-15 | Advanced New Technologies Co., Ltd. | Information display method, device, and system |
| EP3438849A4 (en) * | 2016-03-29 | 2019-10-09 | Alibaba Group Holding Limited | DEVICE, SYSTEM AND METHOD FOR DISPLAYING INFORMATION |
| US10691946B2 (en) | 2016-03-29 | 2020-06-23 | Alibaba Group Holding Limited | Information display method, device, and system |
| TWI700612B (en) * | 2016-03-29 | 2020-08-01 | 香港商阿里巴巴集團服務有限公司 | Information display method, device and system |
| CN107239725A (en) * | 2016-03-29 | 2017-10-10 | 阿里巴巴集团控股有限公司 | A kind of information displaying method, apparatus and system |
| AU2017243515C1 (en) * | 2016-03-29 | 2021-07-22 | Advanced New Technologies Co., Ltd. | Information display method, device and system |
| US10118696B1 (en) | 2016-03-31 | 2018-11-06 | Steven M. Hoffberg | Steerable rotating projectile |
| US11230375B1 (en) | 2016-03-31 | 2022-01-25 | Steven M. Hoffberg | Steerable rotating projectile |
| US11016301B1 (en) | 2016-04-07 | 2021-05-25 | Facebook Technologies, Llc | Accommodation based optical correction |
| US20170293146A1 (en) * | 2016-04-07 | 2017-10-12 | Oculus Vr, Llc | Accommodation based optical correction |
| US10379356B2 (en) * | 2016-04-07 | 2019-08-13 | Facebook Technologies, Llc | Accommodation based optical correction |
| US10365550B2 (en) | 2016-04-13 | 2019-07-30 | North Inc. | Systems, devices, and methods for focusing laser projectors |
| US10365548B2 (en) | 2016-04-13 | 2019-07-30 | North Inc. | Systems, devices, and methods for focusing laser projectors |
| US10365549B2 (en) | 2016-04-13 | 2019-07-30 | North Inc. | Systems, devices, and methods for focusing laser projectors |
| US20170309152A1 (en) * | 2016-04-20 | 2017-10-26 | Ulysses C. Dinkins | Smart safety apparatus, system and method |
| CN106249866A (en) * | 2016-05-12 | 2016-12-21 | 温州职业技术学院 | Vision auxiliary eyeglasses and image-recognizing method thereof |
| US9958275B2 (en) | 2016-05-31 | 2018-05-01 | Toyota Motor Engineering & Manufacturing North America, Inc. | System and method for wearable smart device communications |
| US10429647B2 (en) | 2016-06-10 | 2019-10-01 | Facebook Technologies, Llc | Focus adjusting virtual reality headset |
| WO2018001320A1 (en) * | 2016-07-01 | 2018-01-04 | 成都理想境界科技有限公司 | Near-eye display system, virtual-reality device, and augmented-reality device |
| US10561519B2 (en) | 2016-07-20 | 2020-02-18 | Toyota Motor Engineering & Manufacturing North America, Inc. | Wearable computing device having a curved back to reduce pressure on vertebrae |
| US12554325B2 (en) | 2016-07-25 | 2026-02-17 | Meta Platforms Technologies, Llc | Methods and apparatuses for low latency body state prediction based on neuromuscular data |
| US10230929B2 (en) | 2016-07-27 | 2019-03-12 | North Inc. | Systems, devices, and methods for laser projectors |
| US10277874B2 (en) | 2016-07-27 | 2019-04-30 | North Inc. | Systems, devices, and methods for laser projectors |
| US10250856B2 (en) | 2016-07-27 | 2019-04-02 | North Inc. | Systems, devices, and methods for laser projectors |
| CN106236524A (en) * | 2016-07-29 | 2016-12-21 | 李苏安 | A kind of walking aid for blind |
| US10242427B2 (en) * | 2016-07-29 | 2019-03-26 | Massachusetts Institute Of Technology | Deviation magnification: revealing departures from ideal geometries |
| US20180032838A1 (en) * | 2016-07-29 | 2018-02-01 | Massachusetts Institute Of Technology | Deviation Magnification: Revealing Departures from Ideal Geometries |
| US10459222B2 (en) | 2016-08-12 | 2019-10-29 | North Inc. | Systems, devices, and methods for variable luminance in wearable heads-up displays |
| US10459221B2 (en) | 2016-08-12 | 2019-10-29 | North Inc. | Systems, devices, and methods for variable luminance in wearable heads-up displays |
| US10459223B2 (en) | 2016-08-12 | 2019-10-29 | North Inc. | Systems, devices, and methods for variable luminance in wearable heads-up displays |
| WO2018044516A1 (en) * | 2016-08-29 | 2018-03-08 | Analogix Semiconductor, Inc. | Systems and methods for generating display views tracking user head movement for head-mounted display devices |
| US10049650B2 (en) * | 2016-09-23 | 2018-08-14 | Intel Corporation | Ultra-wide band (UWB) radio-based object sensing |
| US20180090112A1 (en) * | 2016-09-23 | 2018-03-29 | Manan Goel | Ultra-wide band (uwb) radio-based object sensing |
| CN107894828A (en) * | 2016-10-04 | 2018-04-10 | 宏达国际电子股份有限公司 | Virtual reality processing method and electronic device for processing virtual reality |
| US10659279B2 (en) | 2016-10-04 | 2020-05-19 | Htc Corporation | Method and device for displaying video corresponding to physical object |
| US10432851B2 (en) | 2016-10-28 | 2019-10-01 | Toyota Motor Engineering & Manufacturing North America, Inc. | Wearable computing device for detecting photography |
| US10215987B2 (en) | 2016-11-10 | 2019-02-26 | North Inc. | Systems, devices, and methods for astigmatism compensation in a wearable heads-up display |
| US10345596B2 (en) | 2016-11-10 | 2019-07-09 | North Inc. | Systems, devices, and methods for astigmatism compensation in a wearable heads-up display |
| US10012505B2 (en) | 2016-11-11 | 2018-07-03 | Toyota Motor Engineering & Manufacturing North America, Inc. | Wearable system for providing walking directions |
| US10521669B2 (en) | 2016-11-14 | 2019-12-31 | Toyota Motor Engineering & Manufacturing North America, Inc. | System and method for providing guidance or feedback to a user |
| US10459220B2 (en) | 2016-11-30 | 2019-10-29 | North Inc. | Systems, devices, and methods for laser eye tracking in wearable heads-up displays |
| US10409057B2 (en) | 2016-11-30 | 2019-09-10 | North Inc. | Systems, devices, and methods for laser eye tracking in wearable heads-up displays |
| US10365492B2 (en) | 2016-12-23 | 2019-07-30 | North Inc. | Systems, devices, and methods for beam combining in wearable heads-up displays |
| US10663732B2 (en) | 2016-12-23 | 2020-05-26 | North Inc. | Systems, devices, and methods for beam combining in wearable heads-up displays |
| US12337189B2 (en) | 2016-12-30 | 2025-06-24 | Mentor Acquisition One, Llc | Head-worn therapy device |
| US10088911B2 (en) | 2016-12-30 | 2018-10-02 | Manuel Saez | Programmable electronic helmet |
| US11771915B2 (en) | 2016-12-30 | 2023-10-03 | Mentor Acquisition One, Llc | Head-worn therapy device |
| US10850116B2 (en) | 2016-12-30 | 2020-12-01 | Mentor Acquisition One, Llc | Head-worn therapy device |
| CN106846463A (en) * | 2017-01-13 | 2017-06-13 | 清华大学 | Micro-image three-dimensional rebuilding method and system based on deep learning neutral net |
| US10172760B2 (en) | 2017-01-19 | 2019-01-08 | Jennifer Hendrix | Responsive route guidance and identification system |
| US10718951B2 (en) | 2017-01-25 | 2020-07-21 | North Inc. | Systems, devices, and methods for beam combining in laser projectors |
| US10437073B2 (en) | 2017-01-25 | 2019-10-08 | North Inc. | Systems, devices, and methods for beam combining in laser projectors |
| US10437074B2 (en) | 2017-01-25 | 2019-10-08 | North Inc. | Systems, devices, and methods for beam combining in laser projectors |
| US20200201082A1 (en) * | 2017-02-07 | 2020-06-25 | Rancho El Toston, LLC | Hands-free spectrally-tunable smart loupe |
| US11442270B2 (en) | 2017-02-27 | 2022-09-13 | Advanced New Technologies Co., Ltd. | Virtual reality head-mounted apparatus with a partial-reflection partial-transmission wedge |
| US10822108B2 (en) * | 2017-03-06 | 2020-11-03 | Textron Innovations Inc. | Augmented reality system for pilot and passengers |
| US12162622B2 (en) | 2017-03-06 | 2024-12-10 | Textron Innovations Inc. | Augmented reality system for pilot and passengers |
| US11554877B2 (en) | 2017-03-06 | 2023-01-17 | Textron Innovations Inc. | Pilot and passenger seat |
| US11760503B2 (en) | 2017-03-06 | 2023-09-19 | Textron Innovations Inc. | Augmented reality system for pilot and passengers |
| US10628843B2 (en) * | 2017-04-27 | 2020-04-21 | Mastercard International Incorporated | Systems and methods for facilitating loyalty reward environments |
| US12086919B2 (en) | 2017-04-28 | 2024-09-10 | Apple Inc. | Video pipeline |
| US10979685B1 (en) * | 2017-04-28 | 2021-04-13 | Apple Inc. | Focusing for virtual and augmented reality systems |
| US11727619B2 (en) | 2017-04-28 | 2023-08-15 | Apple Inc. | Video pipeline |
| US11330241B2 (en) | 2017-04-28 | 2022-05-10 | Apple Inc. | Focusing for virtual and augmented reality systems |
| US10338400B2 (en) | 2017-07-03 | 2019-07-02 | Holovisions LLC | Augmented reality eyewear with VAPE or wear technology |
| US10859834B2 (en) | 2017-07-03 | 2020-12-08 | Holovisions | Space-efficient optical structures for wide field-of-view augmented reality (AR) eyewear |
| US12579613B2 (en) | 2017-07-21 | 2026-03-17 | Apple Inc. | Gaze direction-based adaptive pre-filtering of video data |
| WO2019024992A1 (en) * | 2017-08-02 | 2019-02-07 | Huawei Technologies Co., Ltd. | Eyeglass frame |
| US11428956B2 (en) | 2017-08-02 | 2022-08-30 | Huawei Technologies Co., Ltd. | Eyeglass frame |
| US11331019B2 (en) | 2017-08-07 | 2022-05-17 | The Research Foundation For The State University Of New York | Nanoparticle sensor having a nanofibrous membrane scaffold |
| US10261324B2 (en) * | 2017-08-10 | 2019-04-16 | Facebook Technologies, Llc | Removable lens assembly for a head-mounted display |
| CN107463262A (en) * | 2017-08-14 | 2017-12-12 | 中国电子科技集团公司第二十八研究所 | A kind of multi-person synergy exchange method based on HoloLens |
| US10394034B2 (en) * | 2017-08-15 | 2019-08-27 | Microsoft Technology Licensing, Llc | Eye-tracking with MEMS scanning and optical relay |
| US11659751B2 (en) | 2017-10-03 | 2023-05-23 | Lockheed Martin Corporation | Stacked transparent pixel structures for electronic displays |
| US10930709B2 (en) | 2017-10-03 | 2021-02-23 | Lockheed Martin Corporation | Stacked transparent pixel structures for image sensors |
| US11635736B2 (en) | 2017-10-19 | 2023-04-25 | Meta Platforms Technologies, Llc | Systems and methods for identifying biological structures associated with neuromuscular source signals |
| US10901216B2 (en) | 2017-10-23 | 2021-01-26 | Google Llc | Free space multiple laser diode modules |
| US11300788B2 (en) | 2017-10-23 | 2022-04-12 | Google Llc | Free space multiple laser diode modules |
| US11368670B2 (en) * | 2017-10-26 | 2022-06-21 | Yeda Research And Development Co. Ltd. | Augmented reality display system and method |
| US12405497B2 (en) | 2017-10-26 | 2025-09-02 | Magic Leap, Inc. | Broadband adaptive lens assembly for augmented reality display |
| US10998386B2 (en) | 2017-11-09 | 2021-05-04 | Lockheed Martin Corporation | Display-integrated infrared emitter and sensor structures |
| US10510812B2 (en) | 2017-11-09 | 2019-12-17 | Lockheed Martin Corporation | Display-integrated infrared emitter and sensor structures |
| EP3710884A1 (en) * | 2017-11-16 | 2020-09-23 | Viewpointsystem GmbH | Spectacle lens retainer |
| US10908425B2 (en) * | 2017-12-20 | 2021-02-02 | Seiko Epson Corporation | Transmission-type head mounted display apparatus, display control method, and computer program |
| US20190187479A1 (en) * | 2017-12-20 | 2019-06-20 | Seiko Epson Corporation | Transmission-type head mounted display apparatus, display control method, and computer program |
| EP3730175A4 (en) * | 2017-12-21 | 2021-02-24 | BMC Medical Co., Ltd. | FACE MASK, VENTILATORY THERAPY DEVICE SYSTEM AND PROCESS PERFORMED BY A VENTILATORY THERAPY DEVICE SYSTEM |
| US11833298B2 (en) | 2017-12-21 | 2023-12-05 | Bmc Medical Co., Ltd | Face mask, ventilation therapy device system and method executed by ventilation therapy device system |
| US20190204718A1 (en) * | 2017-12-29 | 2019-07-04 | Hollywood South Digital Post, Inc. | One or more camera mounts for a radar gun assembly |
| US20190201771A1 (en) * | 2017-12-29 | 2019-07-04 | Hollywood South Digital Post, Inc. | One or more camera mounts for a radar gun assembly |
| TWI810233B (en) * | 2018-01-12 | 2023-08-01 | 荷蘭商皇家飛利浦有限公司 | Apparatus and method for generating view images |
| CN111712859A (en) * | 2018-01-12 | 2020-09-25 | 皇家飞利浦有限公司 | Apparatus and method for generating view images |
| US11480786B2 (en) * | 2018-01-12 | 2022-10-25 | Koninklijke Philips N.V. | Apparatus and method for generating view images |
| US11226475B2 (en) | 2018-01-16 | 2022-01-18 | Illumina, Inc. | Dual optical grating slide structured illumination imaging |
| KR20200024155A (en) * | 2018-01-16 | 2020-03-06 | 일루미나, 인코포레이티드 | Dual Optic Grating Slide Structured Illumination Imaging |
| KR102308470B1 (en) | 2018-01-16 | 2021-10-05 | 일루미나, 인코포레이티드 | Dual optical grating slide structured illumination imaging |
| WO2019143561A1 (en) * | 2018-01-16 | 2019-07-25 | Illumina, Inc. | Dual optical grating slide structured illumination imaging |
| US12579768B2 (en) | 2018-01-25 | 2026-03-17 | Meta Platforms Technologies, Llc | Wearable electronic devices, extended reality systems including neuromuscular sensors, and methods for generating text from speech input and modifying the generated text based on neuromuscular data |
| US10594951B2 (en) | 2018-02-07 | 2020-03-17 | Lockheed Martin Corporation | Distributed multi-aperture camera array |
| US11616941B2 (en) | 2018-02-07 | 2023-03-28 | Lockheed Martin Corporation | Direct camera-to-display system |
| US10979699B2 (en) | 2018-02-07 | 2021-04-13 | Lockheed Martin Corporation | Plenoptic cellular imaging system |
| US10129984B1 (en) | 2018-02-07 | 2018-11-13 | Lockheed Martin Corporation | Three-dimensional electronics distribution by geodesic faceting |
| US10652529B2 (en) | 2018-02-07 | 2020-05-12 | Lockheed Martin Corporation | In-layer Signal processing |
| US10951883B2 (en) | 2018-02-07 | 2021-03-16 | Lockheed Martin Corporation | Distributed multi-screen array for high density display |
| US10838250B2 (en) | 2018-02-07 | 2020-11-17 | Lockheed Martin Corporation | Display assemblies with electronically emulated transparency |
| US10690910B2 (en) | 2018-02-07 | 2020-06-23 | Lockheed Martin Corporation | Plenoptic cellular vision correction |
| US11146781B2 (en) | 2018-02-07 | 2021-10-12 | Lockheed Martin Corporation | In-layer signal processing |
| US10963999B2 (en) | 2018-02-13 | 2021-03-30 | Irisvision, Inc. | Methods and apparatus for contrast sensitivity compensation |
| US11475547B2 (en) | 2018-02-13 | 2022-10-18 | Irisvision, Inc. | Methods and apparatus for contrast sensitivity compensation |
| US10522700B2 (en) | 2018-03-14 | 2019-12-31 | National Mechanical Group Corp. | Frame-less encapsulated photo-voltaic (PV) solar power panel supporting solar cell modules encapsulated within optically-transparent epoxy-resin material coating a phenolic resin support sheet |
| US10522701B2 (en) | 2018-03-14 | 2019-12-31 | National Mechanical Group Corp. | Solar power panel factory and process for manufacturing frame-less encapsulated photo-voltaic (PV) solar power panels by encapsulating solar cell modules within optically-transparent epoxy-resin material coating phenolic resin support sheets |
| US10490682B2 (en) | 2018-03-14 | 2019-11-26 | National Mechanical Group Corp. | Frame-less encapsulated photo-voltaic solar panel supporting solar cell modules encapsulated within multiple layers of optically-transparent epoxy-resin materials |
| US10529880B2 (en) | 2018-03-14 | 2020-01-07 | National Mechanical Group Corp. | Solar power panel factory and process for manufacturing frame-less encapsulated photo-voltaic (PV) solar power panels by encapsulating solar cell modules on a phenolic sheet beneath a polycarbonate panel using optically transparent epoxy-resin material |
| US12528027B1 (en) | 2018-03-23 | 2026-01-20 | Steven M. Hoffberg | Steerable rotating projectile |
| US11712637B1 (en) | 2018-03-23 | 2023-08-01 | Steven M. Hoffberg | Steerable disk or ball |
| US10896517B2 (en) * | 2018-04-18 | 2021-01-19 | Faro Technologies, Inc. | System and method of scanning an environment |
| US11016196B2 (en) | 2018-04-18 | 2021-05-25 | Faro Technologies, Inc. | System and method of scanning an environment |
| US11187907B2 (en) * | 2018-04-24 | 2021-11-30 | Lc-Tec Displays Ab | Augmented reality headset including viewing direction independent single-layer, pixelated light dimming filter |
| US10871653B1 (en) * | 2018-04-24 | 2020-12-22 | Lc-Tec Displays Ab | Viewing direction independent single-layer, pixelated light dimming filter |
| US12253391B2 (en) | 2018-05-24 | 2025-03-18 | The Research Foundation For The State University Of New York | Multielectrode capacitive sensor without pull-in risk |
| US11546527B2 (en) | 2018-07-05 | 2023-01-03 | Irisvision, Inc. | Methods and apparatuses for compensating for retinitis pigmentosa |
| US11360558B2 (en) * | 2018-07-17 | 2022-06-14 | Apple Inc. | Computer systems with finger devices |
| CN110727343A (en) * | 2018-07-17 | 2020-01-24 | 国际商业机器公司 | Intelligent contact lens control system |
| US11676333B2 (en) | 2018-08-31 | 2023-06-13 | Magic Leap, Inc. | Spatially-resolved dynamic dimming for augmented reality device |
| US11170565B2 (en) | 2018-08-31 | 2021-11-09 | Magic Leap, Inc. | Spatially-resolved dynamic dimming for augmented reality device |
| US12073509B2 (en) | 2018-08-31 | 2024-08-27 | Magic Leap, Inc. | Spatially-resolved dynamic dimming for augmented reality device |
| US11461961B2 (en) | 2018-08-31 | 2022-10-04 | Magic Leap, Inc. | Spatially-resolved dynamic dimming for augmented reality device |
| EP3621288B1 (en) * | 2018-09-07 | 2023-05-10 | Bundesdruckerei GmbH | Arrangement and method for optically detecting objects and / or persons to be checked |
| US11137612B2 (en) | 2018-09-12 | 2021-10-05 | Apple Inc. | Electronic device with adjustable support structures |
| US11763420B2 (en) | 2018-09-17 | 2023-09-19 | Snap Inc. | Creating shockwaves in three-dimensional depth videos and images |
| US10720006B2 (en) * | 2018-10-11 | 2020-07-21 | Igt | Mixed reality systems and methods for displaying and recording authorized real-world and virtual elements |
| US20200117788A1 (en) * | 2018-10-11 | 2020-04-16 | Ncr Corporation | Gesture Based Authentication for Payment in Virtual Reality |
| US20200118380A1 (en) * | 2018-10-11 | 2020-04-16 | Igt | Mixed reality systems and methods for displaying and recording authorized real-world and virtual elements |
| US10979666B2 (en) * | 2018-11-07 | 2021-04-13 | Nanning Fugui Precision Industrial Co., Ltd. | Asymmetric video conferencing system and method |
| US11249310B1 (en) * | 2018-11-26 | 2022-02-15 | Lockheed Martin Corporation | Augmented reality device with external light control layer for realtime contrast control |
| US11797087B2 (en) | 2018-11-27 | 2023-10-24 | Meta Platforms Technologies, Llc | Methods and apparatus for autocalibration of a wearable electrode sensor system |
| US11941176B1 (en) | 2018-11-27 | 2024-03-26 | Meta Platforms Technologies, Llc | Methods and apparatus for autocalibration of a wearable electrode sensor system |
| US10866413B2 (en) | 2018-12-03 | 2020-12-15 | Lockheed Martin Corporation | Eccentric incident luminance pupil tracking |
| CN111309142A (en) * | 2018-12-11 | 2020-06-19 | 托比股份公司 | Method and device for switching input modality of display device |
| US10803669B1 (en) | 2018-12-11 | 2020-10-13 | Amazon Technologies, Inc. | Rule-based augmentation of a physical environment |
| US10848335B1 (en) * | 2018-12-11 | 2020-11-24 | Amazon Technologies, Inc. | Rule-based augmentation of a physical environment |
| US12013537B2 (en) | 2019-01-11 | 2024-06-18 | Magic Leap, Inc. | Time-multiplexed display of virtual content at various depths |
| US12313852B2 (en) | 2019-01-11 | 2025-05-27 | Magic Leap, Inc. | Time-multiplexed display of virtual content at various depths |
| US11132915B1 (en) * | 2019-01-23 | 2021-09-28 | The United States Of America, As Represented By The Secretary Of The Navy | Augmented reality system for field training |
| US20210343121A1 (en) * | 2019-01-24 | 2021-11-04 | Igt | System and method for wagering on virtual elements overlaying a sports betting field |
| US12315346B2 (en) * | 2019-01-24 | 2025-05-27 | Igt | System and method for wagering on virtual elements overlaying a sports betting field |
| US11087595B2 (en) * | 2019-01-24 | 2021-08-10 | Igt | System and method for wagering on virtual elements overlaying a sports betting field |
| US11642081B2 (en) | 2019-02-01 | 2023-05-09 | X Development Llc | Electrode headset |
| US11583231B2 (en) | 2019-03-06 | 2023-02-21 | X Development Llc | Adjustable electrode headset |
| US11630312B2 (en) | 2019-03-19 | 2023-04-18 | Nvidia Corp. | Foveated display for augmented reality |
| US11067806B2 (en) * | 2019-03-19 | 2021-07-20 | Nvidia Corp. | Foveated display for augmented reality |
| US11961494B1 (en) | 2019-03-29 | 2024-04-16 | Meta Platforms Technologies, Llc | Electromagnetic interference reduction in extended reality environments |
| US10698201B1 (en) | 2019-04-02 | 2020-06-30 | Lockheed Martin Corporation | Plenoptic cellular axis redirection |
| US11315056B2 (en) * | 2019-04-05 | 2022-04-26 | International Business Machines Corporation | Resource planning having improved visualization |
| US10698483B1 (en) * | 2019-04-22 | 2020-06-30 | Facebook Technologies, Llc | Eye-tracking systems, head-mounted displays including the same, and related methods |
| CN110134188A (en) * | 2019-04-26 | 2019-08-16 | 武汉华星光电技术有限公司 | Self-sounding display device |
| US11156456B2 (en) * | 2019-05-21 | 2021-10-26 | Apple Inc. | Optical proximity sensor integrated into a camera module for an electronic device |
| US11463663B2 (en) * | 2019-06-21 | 2022-10-04 | Mindgam3 Institute | Camera glasses for law enforcement accountability |
| US20220217308A1 (en) * | 2019-06-21 | 2022-07-07 | Mindgam3 Institute | Camera Glasses for Law Enforcement Accountability |
| US11120258B1 (en) * | 2019-07-18 | 2021-09-14 | Facebook Technologies, Llc | Apparatuses, systems, and methods for scanning an eye via a folding mirror |
| IT201900013200A1 (en) * | 2019-07-29 | 2021-01-29 | Uocy Italy S R L | Multimedia interaction system, particularly for tourist and recreational applications |
| US11038278B2 (en) | 2019-08-15 | 2021-06-15 | United States Of America As Represented By The Secretary Of The Navy | Lens apparatus and methods for an antenna |
| US11755851B2 (en) | 2019-08-23 | 2023-09-12 | Cfa Properties, Inc. | Object detection-based control of projected content |
| US12141646B2 (en) | 2019-08-23 | 2024-11-12 | Cfa Properties, Inc. | Object detection-based control of projected content |
| US10948988B1 (en) * | 2019-09-09 | 2021-03-16 | Tectus Corporation | Contextual awareness based on eye motion tracking by an eye-mounted system |
| IT201900016727A1 (en) * | 2019-09-19 | 2021-03-19 | Alessandra Proto | Wearable computerized device for providing assistance to a person, particularly a blind or partially sighted person. |
| WO2021053605A1 (en) * | 2019-09-19 | 2021-03-25 | Proto Alessandra | Computerised system to provide assistance to a person, in particular to a blind or visually impaired person |
| US20200026289A1 (en) * | 2019-09-28 | 2020-01-23 | Ignacio J. Alvarez | Distributed traffic safety consensus |
| US20230269355A1 (en) * | 2019-10-21 | 2023-08-24 | Snap Inc. | Input parameter based image waves |
| US11671572B2 (en) * | 2019-10-21 | 2023-06-06 | Snap Inc. | Input parameter based image waves |
| US20220078391A1 (en) * | 2019-10-21 | 2022-03-10 | Snap Inc. | Input parameter based image waves |
| US12425555B2 (en) * | 2019-10-21 | 2025-09-23 | Snap Inc. | Input parameter based image waves |
| US12058300B2 (en) * | 2019-10-21 | 2024-08-06 | Snap Inc. | Input parameter based image waves |
| US20240348762A1 (en) * | 2019-10-21 | 2024-10-17 | Snap Inc. | Input parameter based image waves |
| US12033351B2 (en) | 2019-11-06 | 2024-07-09 | Google Llc | Use of image sensors to query real world for geo-reference information |
| US11232587B2 (en) * | 2019-11-06 | 2022-01-25 | Google Llc | Use of image sensors to query real world for geo-reference information |
| US11688096B2 (en) | 2019-11-06 | 2023-06-27 | Google Llc | Use of image sensors to query real world for geo-reference information |
| US20210397808A1 (en) * | 2019-11-11 | 2021-12-23 | Apple Inc. | Biometric key including a textured ceramic cover |
| US11734942B2 (en) * | 2019-11-11 | 2023-08-22 | Apple Inc. | Biometric key including a textured ceramic cover |
| US11907423B2 (en) | 2019-11-25 | 2024-02-20 | Meta Platforms Technologies, Llc | Systems and methods for contextualized interactions with an environment |
| US10948997B1 (en) * | 2019-12-20 | 2021-03-16 | Facebook Technologies, Llc | Artificial reality notification triggers |
| US11188156B2 (en) * | 2019-12-20 | 2021-11-30 | Facebook Technologies, Llc | Artificial reality notification triggers |
| US20210318693A1 (en) * | 2020-04-14 | 2021-10-14 | Electronics And Telecommunications Research Institute | Multi-agent based manned-unmanned collaboration system and method |
| CN115426943A (en) * | 2020-04-24 | 2022-12-02 | 依视路国际公司 | Method for determining the pose of an eye wear |
| US12554128B2 (en) * | 2020-04-24 | 2026-02-17 | Essilor International | Method of determining an attitude of an eyewear |
| US20230141415A1 (en) * | 2020-04-24 | 2023-05-11 | Essilor International | Method of determining an attitude of an eyewear |
| US11740691B1 (en) * | 2020-05-08 | 2023-08-29 | Apple Inc. | Sensor assembly for head-mountable device |
| DE102020113579A1 (en) | 2020-05-19 | 2021-11-25 | Audi Aktiengesellschaft | Camera device for generating an image of an environment as well as headlight arrangement |
| US12055840B2 (en) | 2020-05-19 | 2024-08-06 | Audi Ag | Camera apparatus for generating an image representation of a surround and headlight arrangement |
| DE102020113579B4 (en) | 2020-05-19 | 2025-11-06 | Audi Aktiengesellschaft | Camera device for generating an image of an environment and headlight arrangement |
| US11229407B2 (en) | 2020-06-08 | 2022-01-25 | GoX Studio, Inc. | Systems and methods to determine a risk factor related to dehydration and thermal stress of a subject |
| US11701063B2 (en) | 2020-06-08 | 2023-07-18 | GoX Studio, Inc | Systems and methods to determine a risk factor related to dehydration and thermal stress of a subject |
| US12144659B2 (en) | 2020-06-08 | 2024-11-19 | GoX Studio, Inc. | Systems and methods to determine a risk factor related to dehydration and thermal stress of a subject |
| US12015671B2 (en) * | 2020-06-29 | 2024-06-18 | Snap Inc. | Analyzing augmented reality content usage data |
| US12413643B2 (en) | 2020-06-29 | 2025-09-09 | Snap Inc. | Analyzing augmented reality content usage data |
| IT202000016252A1 (en) * | 2020-07-06 | 2022-01-06 | Devices & Tech Torino S R L | ASSESSMENT SYSTEM OF THE TERRITORIAL INCIDENCE OF SYMPTOMS |
| US11055979B1 (en) * | 2020-07-29 | 2021-07-06 | GoX Studio, Inc. | Systems and methods to provide a watch as a dashboard of a plurality of modules by utilizing a mesh protocol |
| US11676467B2 (en) | 2020-07-29 | 2023-06-13 | GoX Studio, Inc. | Systems and methods to provide a watch as a dashboard of a plurality of modules by utilizing a mesh protocol |
| US11205518B1 (en) | 2020-08-17 | 2021-12-21 | GoX Studio, Inc. | System and method to provide indications of a subject's fitness based on values of fitness metrics for the subject |
| US11686945B2 (en) * | 2020-10-05 | 2023-06-27 | Meta Platforms Technologies, Llc | Methods of driving light sources in a near-eye display |
| US11209656B1 (en) * | 2020-10-05 | 2021-12-28 | Facebook Technologies, Llc | Methods of driving light sources in a near-eye display |
| US20220146832A1 (en) * | 2020-10-05 | 2022-05-12 | Facebook Technologies, Llc | Methods of driving light sources in a near-eye display |
| US11960244B2 (en) * | 2020-10-16 | 2024-04-16 | The Swatch Group Research And Development Ltd | Device for locking a timepiece movement |
| US20220121155A1 (en) * | 2020-10-16 | 2022-04-21 | The Swatch Group Research And Development Ltd | Device for locking a timepiece movement |
| US20240012245A1 (en) * | 2020-12-18 | 2024-01-11 | Google Llc | Steerable camera array for head-mounted display devices |
| US20220269887A1 (en) * | 2021-02-19 | 2022-08-25 | Motorola Solutions, Inc. | Device and method for augmenting images of an incident scene with object description |
| US11922689B2 (en) * | 2021-02-19 | 2024-03-05 | Motorola Solutions, Inc. | Device and method for augmenting images of an incident scene with object description |
| US11868531B1 (en) | 2021-04-08 | 2024-01-09 | Meta Platforms Technologies, Llc | Wearable device providing for thumb-to-finger-based input gestures detected based on neuromuscular signals, and systems and methods of use thereof |
| WO2022249066A1 (en) * | 2021-05-24 | 2022-12-01 | Louwrens Jakobus Briel | Exercise system using augmented reality |
| US12456296B2 (en) | 2021-06-02 | 2025-10-28 | Arashi Vision Inc. | Video display method and display system based on unmanned aerial vehicle viewing angle |
| WO2022253018A1 (en) * | 2021-06-02 | 2022-12-08 | 影石创新科技股份有限公司 | Video display method and display system based on unmanned aerial vehicle viewing angle |
| US12165407B2 (en) * | 2021-06-23 | 2024-12-10 | Motorola Solutions, Inc. | System and method for presenting statements captured at an incident scene |
| US20220414377A1 (en) * | 2021-06-23 | 2022-12-29 | Motorola Solutions, Inc. | System and method for presenting statements captured at an incident scene |
| CN113610109A (en) * | 2021-07-06 | 2021-11-05 | 中国人民解放军火箭军工程大学 | Visible light camouflage target identification method based on magnifier observation effect |
| US11829529B2 (en) * | 2021-07-13 | 2023-11-28 | Meta Platforms Technologies, Llc | Look to pin on an artificial reality device |
| US20230026638A1 (en) * | 2021-07-13 | 2023-01-26 | Meta Platforms Technologies, Llc | Look to Pin on an Artificial Reality Device |
| US12197644B2 (en) | 2021-07-13 | 2025-01-14 | Meta Platforms Technologies, Llc | Look to pin on an artificial reality device |
| US11754910B2 (en) * | 2021-08-23 | 2023-09-12 | HELLA GmbH & Co. KGaA | System for illuminating the face of an occupant in a car |
| US20230055148A1 (en) * | 2021-08-23 | 2023-02-23 | HELLA GmbH & Co. KGaA | System for illuminating the face of an occupant in a car |
| US20230065240A1 (en) * | 2021-08-25 | 2023-03-02 | The United States of America As Represented By The Director Of The National Geospatial-Intelligence | Method and apparatus for the display of volumetric solids using distributed photochromic compounds |
| US12210160B2 (en) | 2021-12-21 | 2025-01-28 | Alexander Sarris | System to superimpose information over a users field of view |
| WO2023118952A1 (en) * | 2021-12-22 | 2023-06-29 | Bosch Car Multimedia Portugal, S.A. | Two-wheeler integrated system for an improved riding experience |
| US11836205B2 (en) | 2022-04-20 | 2023-12-05 | Meta Platforms Technologies, Llc | Artificial reality browser configured to trigger an immersive experience |
| US12346396B2 (en) | 2022-04-20 | 2025-07-01 | Meta Platforms Technologies, Llc | Artificial reality browser configured to trigger an immersive experience |
| CN114894253A (en) * | 2022-05-18 | 2022-08-12 | 威海众合机电科技有限公司 | Emergency visual sense intelligent enhancement method, system and equipment |
| US11928314B2 (en) | 2022-06-22 | 2024-03-12 | Meta Platforms Technologies, Llc | Browser enabled switching between virtual worlds in artificial reality |
| US12266061B2 (en) | 2022-06-22 | 2025-04-01 | Meta Platforms Technologies, Llc | Virtual personal interface for control and travel between virtual worlds |
| US11755180B1 (en) | 2022-06-22 | 2023-09-12 | Meta Platforms Technologies, Llc | Browser enabled switching between virtual worlds in artificial reality |
| US12277301B2 (en) | 2022-08-18 | 2025-04-15 | Meta Platforms Technologies, Llc | URL access to assets within an artificial reality universe on both 2D and artificial reality interfaces |
| EP4585988A4 (en) * | 2022-09-15 | 2025-10-22 | Samsung Electronics Co Ltd | Portable device displaying a virtual object using a single display module or multiple display modules, and control methods therefor |
| US12175603B2 (en) | 2022-09-29 | 2024-12-24 | Meta Platforms Technologies, Llc | Doors for artificial reality universe traversal |
| US12218944B1 (en) * | 2022-10-10 | 2025-02-04 | Meta Platform Technologies, LLC | Group travel between artificial reality destinations |
| US20240126218A1 (en) * | 2022-10-17 | 2024-04-18 | Wilcox Industries Corp. | Personal digital module |
| US12547237B1 (en) | 2022-10-24 | 2026-02-10 | Meta Platforms Technologies, Llc | Artificial reality input for two-dimensional virtual objects |
| US11727892B1 (en) | 2022-11-09 | 2023-08-15 | Meta Platforms Technologies, Llc | Eye-tracking based foveation control of displays |
| TWI873698B (en) * | 2023-06-30 | 2025-02-21 | 中興保全科技股份有限公司 | Image integration system and method for live streaming video in firefighting and rescue operations |
| US12591304B2 (en) | 2024-01-17 | 2026-03-31 | Meta Platforms Technologies, Llc | Systems and methods for contextualized interactions with an environment |
| US20250289306A1 (en) * | 2024-03-14 | 2025-09-18 | Honda Motor Co., Ltd. | System and method for road sign translation and display |
| TWI913832B (en) | 2024-08-08 | 2026-02-01 | 宏碁股份有限公司 | Electronic device and audio output power adjustment method thereof |
| ES2993508A1 (en) * | 2024-10-15 | 2024-12-30 | Enriquez Enrique Burgos | System and method for hunting simulation and virtual observation in natural and marine environments with advanced and basic training options (Machine-translation by Google Translate, not legally binding) |
Also Published As
| Publication number | Publication date |
|---|---|
| US10539787B2 (en) | 2020-01-21 |
| US20160209648A1 (en) | 2016-07-21 |
| US20200192089A1 (en) | 2020-06-18 |
Similar Documents
| Publication | Publication Date | Title |
|---|---|---|
| US11275482B2 (en) | Ar glasses with predictive control of external device based on event input | |
| US10852540B2 (en) | AR glasses with event and user action control of external applications | |
| US20200192089A1 (en) | Head-worn adaptive display | |
| US8472120B2 (en) | See-through near-eye display glasses with a small scale image source | |
| US9129295B2 (en) | See-through near-eye display glasses with a fast response photochromic film system for quick transition from dark to clear | |
| US9229227B2 (en) | See-through near-eye display glasses with a light transmissive wedge shaped illumination system | |
| US8482859B2 (en) | See-through near-eye display glasses wherein image light is transmitted to and reflected from an optically flat film | |
| US9182596B2 (en) | See-through near-eye display glasses with the optical assembly including absorptive polarizers or anti-reflective coatings to reduce stray light | |
| US8477425B2 (en) | See-through near-eye display glasses including a partially reflective, partially transmitting optical element | |
| US9223134B2 (en) | Optical imperfections in a light transmissive illumination system for see-through near-eye display glasses | |
| US9134534B2 (en) | See-through near-eye display glasses including a modular image source | |
| US9097891B2 (en) | See-through near-eye display glasses including an auto-brightness control for the display brightness based on the brightness in the environment | |
| US9097890B2 (en) | Grating in a light transmissive illumination system for see-through near-eye display glasses | |
| US9366862B2 (en) | System and method for delivering content to a group of see-through near eye display eyepieces | |
| US8488246B2 (en) | See-through near-eye display glasses including a curved polarizing film in the image source, a partially reflective, partially transmitting optical element and an optically flat film | |
| US9341843B2 (en) | See-through near-eye display glasses with a small scale image source | |
| US8467133B2 (en) | See-through display with an optical assembly including a wedge-shaped illumination system | |
| US9759917B2 (en) | AR glasses with event and sensor triggered AR eyepiece interface to external devices | |
| US20170344114A1 (en) | Ar glasses with predictive control of external device based on event input | |
| US20160187654A1 (en) | See-through near-eye display glasses with a light transmissive wedge shaped illumination system | |
| US20120235887A1 (en) | See-through near-eye display glasses including a partially reflective, partially transmitting optical element and an optically flat film | |
| US20120242698A1 (en) | See-through near-eye display glasses with a multi-segment processor-controlled optical layer | |
| US20120212484A1 (en) | System and method for display content placement using distance and location information | |
| US20120212499A1 (en) | System and method for display content control during glasses movement | |
| US20120194418A1 (en) | Ar glasses with user action control and event input based control of eyepiece application |
Legal Events
| Date | Code | Title | Description |
|---|---|---|---|
| AS | Assignment |
Owner name: OSTERHOUT GROUP, INC., CALIFORNIA Free format text: ASSIGNMENT OF ASSIGNORS INTEREST;ASSIGNORS:HADDICK, JOHN D.;OSTERHOUT, RALPH F.;SIGNING DATES FROM 20120312 TO 20120314;REEL/FRAME:029854/0963 |
|
| AS | Assignment |
Owner name: MICROSOFT CORPORATION, WASHINGTON Free format text: ASSIGNMENT OF ASSIGNORS INTEREST;ASSIGNOR:OSTERHOUT GROUP, INC.;REEL/FRAME:032087/0954 Effective date: 20140115 |
|
| AS | Assignment |
Owner name: MICROSOFT TECHNOLOGY LICENSING, LLC, WASHINGTON Free format text: ASSIGNMENT OF ASSIGNORS INTEREST;ASSIGNOR:MICROSOFT CORPORATION;REEL/FRAME:034544/0541 Effective date: 20141014 |
|
| STCB | Information on status: application discontinuation |
Free format text: ABANDONED -- FAILURE TO RESPOND TO AN OFFICE ACTION |