RU2440373C1 - Способ отверждения новолачной смолы - Google Patents
Способ отверждения новолачной смолы Download PDFInfo
- Publication number
- RU2440373C1 RU2440373C1 RU2010125485/05A RU2010125485A RU2440373C1 RU 2440373 C1 RU2440373 C1 RU 2440373C1 RU 2010125485/05 A RU2010125485/05 A RU 2010125485/05A RU 2010125485 A RU2010125485 A RU 2010125485A RU 2440373 C1 RU2440373 C1 RU 2440373C1
- Authority
- RU
- Russia
- Prior art keywords
- novolac resin
- minutes
- curing
- chloride
- mol
- Prior art date
Links
- 229920003986 novolac Polymers 0.000 title claims description 13
- 238000000034 method Methods 0.000 title claims description 9
- VSCWAEJMTAWNJL-UHFFFAOYSA-K aluminium trichloride Chemical compound Cl[Al](Cl)Cl VSCWAEJMTAWNJL-UHFFFAOYSA-K 0.000 claims abstract description 14
- FAPDDOBMIUGHIN-UHFFFAOYSA-K antimony trichloride Chemical compound Cl[Sb](Cl)Cl FAPDDOBMIUGHIN-UHFFFAOYSA-K 0.000 claims abstract description 5
- 125000003118 aryl group Chemical group 0.000 claims abstract description 3
- 230000000694 effects Effects 0.000 abstract description 2
- 239000002861 polymer material Substances 0.000 abstract description 2
- 239000000126 substance Substances 0.000 abstract 1
- UHOVQNZJYSORNB-UHFFFAOYSA-N Benzene Chemical compound C1=CC=CC=C1 UHOVQNZJYSORNB-UHFFFAOYSA-N 0.000 description 12
- 239000000047 product Substances 0.000 description 9
- 238000001723 curing Methods 0.000 description 7
- 239000012670 alkaline solution Substances 0.000 description 4
- 238000006243 chemical reaction Methods 0.000 description 4
- VKYKSIONXSXAKP-UHFFFAOYSA-N hexamethylenetetramine Chemical compound C1N(C2)CN3CN1CN2C3 VKYKSIONXSXAKP-UHFFFAOYSA-N 0.000 description 4
- 229920002521 macromolecule Polymers 0.000 description 4
- 229910001261 rose's metal Inorganic materials 0.000 description 4
- 239000000463 material Substances 0.000 description 3
- IJGRMHOSHXDMSA-UHFFFAOYSA-N Atomic nitrogen Chemical compound N#N IJGRMHOSHXDMSA-UHFFFAOYSA-N 0.000 description 2
- 239000000853 adhesive Substances 0.000 description 2
- 230000001070 adhesive effect Effects 0.000 description 2
- 239000011230 binding agent Substances 0.000 description 2
- 239000006227 byproduct Substances 0.000 description 2
- 239000010408 film Substances 0.000 description 2
- 238000010525 oxidative degradation reaction Methods 0.000 description 2
- 239000004033 plastic Substances 0.000 description 2
- 229920003023 plastic Polymers 0.000 description 2
- 238000004566 IR spectroscopy Methods 0.000 description 1
- 239000002841 Lewis acid Substances 0.000 description 1
- 238000010521 absorption reaction Methods 0.000 description 1
- 230000015572 biosynthetic process Effects 0.000 description 1
- 239000003054 catalyst Substances 0.000 description 1
- 238000000576 coating method Methods 0.000 description 1
- 239000002131 composite material Substances 0.000 description 1
- 239000011152 fibreglass Substances 0.000 description 1
- 239000002657 fibrous material Substances 0.000 description 1
- 239000012634 fragment Substances 0.000 description 1
- 238000010438 heat treatment Methods 0.000 description 1
- 235000010299 hexamethylene tetramine Nutrition 0.000 description 1
- 239000004312 hexamethylene tetramine Substances 0.000 description 1
- 239000001257 hydrogen Substances 0.000 description 1
- 229910052739 hydrogen Inorganic materials 0.000 description 1
- 238000002955 isolation Methods 0.000 description 1
- 239000002648 laminated material Substances 0.000 description 1
- 150000007517 lewis acids Chemical class 0.000 description 1
- 125000000325 methylidene group Chemical group [H]C([H])=* 0.000 description 1
- 239000000203 mixture Substances 0.000 description 1
- 229910052757 nitrogen Inorganic materials 0.000 description 1
- 239000004848 polyfunctional curative Substances 0.000 description 1
- 229920000642 polymer Polymers 0.000 description 1
- 230000008092 positive effect Effects 0.000 description 1
- 238000001228 spectrum Methods 0.000 description 1
- 230000004580 weight loss Effects 0.000 description 1
Landscapes
- Polyesters Or Polycarbonates (AREA)
- Phenolic Resins Or Amino Resins (AREA)
Abstract
Изобретение относится к способу отверждения новолачной смолы. Отверждение проходит при участии ароматических динитрилов в присутствии хлорида сурьмы (III) или хлорида алюминия при температуре 150-200°С в течение 10-30 минут. Изобретение позволяет проводить отверждение без выделения побочных газообразных продуктов, увеличить термостойкость и физико-механические показатели материалов полимера.
Description
Изобретение относится к способу отверждения новолачной смолы, которая может быть использована в различных областях техники в качестве высокопрочной и высокотермостойкой связующей для пластмасс, слоистых и волокнистых материалов, клеев и пленок.
Известны (Fufe C.A., McKinnon M.S., Rudin A., Tchir W.J. // Macromolecules - 1983. - V.16. - P.1216-1219, Maciel G.E., Chuang I.-S., Gollob L. // Macromolecules - 1984. - V.17. - P.1081-1087, Hatfield G.R., Maciel G.E. // Macromolecules - 1987. - V.20. - P.608-615), где традиционно для отверждения новолачной смолы используется уротропин (гексаметилентетрамин). При этом образуются сложные трехмерные нерастворимые полимеры, а между молекулами олигомера образуются метиленовые мостиковые группы. Наличие таких фрагментов определяет невысокую температуру эксплуатации и низкие прочностные показатели, что и является одним из главных недостатков получаемых полимерных материалов. Более того, в процессе отверждения выделяется азот, что создает трудности при получении высокопрочных наполненных композитов.
Наиболее близким по технической сущности и достигаемому эффекту является способ отверждения (Kelusky E.C., Fufe C.A., McKinnon M.S., Rudin A., Tchir W.J. // Macromolecules - 1986. - V.19. - P.329-332), принятый за прототип, основанный на использовании уротропина для отверждения новолачной смолы. Процесс проходит при термообработке в течение 15-30 минут при 150-160°С и далее при 180°С 1 час.
Техническим результатом изобретения является то, что процесс идет без выделения побочных продуктов и обеспечивает повышение стойкости к термоокислительной деструкции и улучшение прочностных показателей материалов, что достигается за счет образования имидатной связи между молекулами олигомера, которая намного прочнее метиленовой и способной также к образованию межмолекулярных водородных связей.
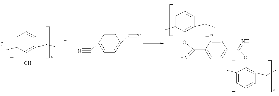
Для достижения технического результата предложено использовать в качестве отвердителя ароматические динитрилы. Процесс идет при температуре 150-200°С в течение 10-30 минут в присутствии кислот Льюиса, хлорида сурьмы (III) или хлорида алюминия по следующей схеме:
Термостойкость по данным ТГА (5°С/мин, воздух) составляет 340-380°С, что соответствует 10%-ной потере массы.
Строение подтверждено данными ИК-спектроскопии. Так, на спектрах отвержденного продукта присутствуют характеристические полосы поглощения при 1653 см-1 (C=N) и при 1103 см-1 (С-O).
Получение пресс-материалов осуществляли следующим способом. Расплав смеси 12.8 г новолачной смолы, 21.2 г 1,4-динитрилбензола и катализатора в количестве 2.67 г хлорида алюминия или 2.285 г хлорида сурьмы (III), нагретой до 170°С и выдержанной 5 минут, переливали в пресс-форму, предварительно нагретую до 180°С, и прессовали при давлении 70-75 МПа при 1,80°С в течение 10-15 минут. Удельная ударная вязкость (ГОСТ 4647-80), составляла 80.4-85.8 МПа, а разрушающее напряжение при растяжении (ГОСТ 4648-71) 130.2-134.6 МПа.
Предлагаемый способ подтверждается следующими нижеприведенными примерами отверждения новолачной смолы.
Пример 1. В круглодонную колбу при комнатной температуре загружали 12.8 г новолачной смолы, 21.2 г (0.1 моль) 1,4-динитрилбензола и 26.7 г (0.2 моль) хлорида алюминия, тщательно перемешивали и помещали в сплав Розе, нагретый до 160°С. По истечении 15 минут продукт извлекали из реакционной колбы в слабощелочной раствор и кипятили в течение 10-15 минут. Затем полученный продукт отфильтровали на мелкопористой воронке Шотта. Сушили в вакуумном шкафу при 60-70°С до постоянной массы.
Пример 2. В круглодонную колбу при комнатной температуре загружали 12.8 г. новолачной смолы, 21.2 г (0.1 моль) 1,4-динитрилбензола и 20.025 г (0.15 моль) хлорида алюминия, тщательно перемешивали и помещали в сплав Розе, нагретый до 180°С. По истечении 15 минут продукт извлекали из реакционной колбы в слабощелочной раствор и кипятили в течение 10-15 минут. Затем полученный продукт отфильтровали на мелкопористой воронке Шотта. Сушили в вакуумном шкафу при 60-70°С до постоянной массы.
Пример 3. В круглодонную колбу при комнатной температуре загружали 12.8 г новолачной смолы, 21.2 г (0.1 моль) 1,4-динитрилбензола и 22.85 г (0.1 моль) хлорида сурьмы (III), тщательно перемешивали и помещали в сплав Розе, нагретый до 180°С. По истечении 20 минут продукт извлекали из реакционной колбы в слабощелочной раствор и кипятили в течение 10-15 минут. Затем полученный продукт отфильтровали на мелкопористой воронке Шотта. Сушили в вакуумном шкафу при 60-70°С до постоянной массы.
Пример 4. В круглодонную колбу при комнатной температуре загружали 12.8 г новолачной смолы, 21.2 г (0.1 моль) 1,3-динитрилбензола и 20.025 г (0.15 моль) хлорида алюминия, тщательно перемешивали и помещали в сплав Розе, нагретый до 180°С. По истечении 15 минут продукт извлекали из реакционной колбы в слабощелочной раствор и кипятили в течение 10-15 минут. Затем полученный продукт отфильтровали на мелкопористой воронке Шотта. Сушили в вакуумном шкафу при 60-70°С до постоянной массы.
Как видно из приведенных данных, предлагаемый способ отверждения новолачной смолы динитрилами выгодно отличается тем, что прост, побочные продукты не выделяются, полученные материалы имеют более высокую стойкость к термоокислительной деструкции и физико-механические свойства.
Выше перечисленный комплекс практически полезных свойств определяет положительный эффект изобретения. Отвержденная таким образом новолачная смола может быть использована в различных областях техники в качестве высокопрочных и высокотермостойких покрытий, связующих для пластмасс, стеклопластиков, пленок и клеев.
Claims (1)
- Способ отверждения новолачной смолы, отличающийся тем, что отверждение проходит при участии ароматических динитрилов в присутствии хлорида сурьмы (III) или хлорида алюминия при температуре 150-200°С в течение 10-30 мин.
Priority Applications (1)
| Application Number | Priority Date | Filing Date | Title |
|---|---|---|---|
| RU2010125485/05A RU2440373C1 (ru) | 2010-06-21 | 2010-06-21 | Способ отверждения новолачной смолы |
Applications Claiming Priority (1)
| Application Number | Priority Date | Filing Date | Title |
|---|---|---|---|
| RU2010125485/05A RU2440373C1 (ru) | 2010-06-21 | 2010-06-21 | Способ отверждения новолачной смолы |
Publications (1)
| Publication Number | Publication Date |
|---|---|
| RU2440373C1 true RU2440373C1 (ru) | 2012-01-20 |
Family
ID=45785673
Family Applications (1)
| Application Number | Title | Priority Date | Filing Date |
|---|---|---|---|
| RU2010125485/05A RU2440373C1 (ru) | 2010-06-21 | 2010-06-21 | Способ отверждения новолачной смолы |
Country Status (1)
| Country | Link |
|---|---|
| RU (1) | RU2440373C1 (ru) |
Citations (3)
| Publication number | Priority date | Publication date | Assignee | Title |
|---|---|---|---|---|
| SU697530A1 (ru) * | 1978-06-26 | 1979-11-15 | Кемеровский Научно-Исследовательский Институт Химической Промышленности Кемеровского Научно-Производственного Объединения "Карболит" | Композици дл получени пенопласта |
| CN101519384A (zh) * | 2008-03-28 | 2009-09-02 | 合肥工业大学 | 一种手性噁唑啉及其合成方法 |
| JP2010065031A (ja) * | 2008-08-25 | 2010-03-25 | Air Products & Chemicals Inc | 低温硬化用硬化剤 |
-
2010
- 2010-06-21 RU RU2010125485/05A patent/RU2440373C1/ru not_active IP Right Cessation
Patent Citations (3)
| Publication number | Priority date | Publication date | Assignee | Title |
|---|---|---|---|---|
| SU697530A1 (ru) * | 1978-06-26 | 1979-11-15 | Кемеровский Научно-Исследовательский Институт Химической Промышленности Кемеровского Научно-Производственного Объединения "Карболит" | Композици дл получени пенопласта |
| CN101519384A (zh) * | 2008-03-28 | 2009-09-02 | 合肥工业大学 | 一种手性噁唑啉及其合成方法 |
| JP2010065031A (ja) * | 2008-08-25 | 2010-03-25 | Air Products & Chemicals Inc | 低温硬化用硬化剤 |
Similar Documents
| Publication | Publication Date | Title |
|---|---|---|
| CN101700705B (zh) | 一种热固性树脂玻纤层压复合材料及其制备方法 | |
| Šebenik et al. | Synthesis, curing kinetics, thermal and mechanical behavior of novel cardanol-based benzoxazines | |
| CN107428946B (zh) | 经活化的木质素组合物,用于其制造的方法以及其用途 | |
| EP2746337B1 (en) | Carbon fiber composite material | |
| Zhang et al. | Improving the interfacial properties of carbon fibers/vinyl ester composites by vinyl functionalization on the carbon fiber surface | |
| CN103060941B (zh) | 一种高分子量酚醛纤维的制备方法 | |
| Zhao et al. | 4-Hydroxybenzenesulfonic acid triggers rapid preparation of phenolic aerogel composites by ambient pressure drying | |
| Park et al. | Cure behaviors and thermal stabilities of tetrafunctional epoxy resin toughened by polyamideimide | |
| CN104829832B (zh) | 一种有机硅改性阻燃尼龙6的制备方法 | |
| JP6550059B2 (ja) | フラン樹脂及びその製造方法、熱硬化性フラン樹脂組成物、硬化物、並びにフラン樹脂複合体 | |
| CN105482052A (zh) | 一种热固性树脂及制备方法 | |
| Jin et al. | Preparation and characterization of Cyano-silicon-containing arylacetylene resins and their composites: dual enhancement strategy involving physical interfacial interactions and chemical crosslinking | |
| RU2440373C1 (ru) | Способ отверждения новолачной смолы | |
| CN103012484A (zh) | 一种含磷苯并恶嗪树脂、制备方法与应用 | |
| RU2474591C1 (ru) | Соолигофенолформальдегидные фталимидинсодержащие новолаки для получения сшитых фталимидинсодержащих сополимеров, способ их получения и сшитые фталимидинсодержащие сополимеры в качестве конструкционных полимеров | |
| KR20100134796A (ko) | 페놀계 수지를 포함하는 중합체 조성물 | |
| Saikia et al. | Preparation and characterization of an azide–alkyne cycloaddition based self-healing system via a semiencapsulation method | |
| TWI461468B (zh) | 反應性聚合物之連續製法 | |
| TW202536026A (zh) | 苯并㗁𠯤化合物及其用途 | |
| CN104513392B (zh) | 含羟基和烯丙基芳香族聚酰胺树脂及其制备方法与应用 | |
| CN110156981B (zh) | 一种聚醚酮聚合物及其制备方法和应用 | |
| CN101942176A (zh) | 一种片状热固性酚醛树脂预混料坯及其制备方法 | |
| CN102391511B (zh) | 一种刚性结构聚三唑树脂及其制备方法 | |
| Jayasree et al. | Development and characterisation of functionalised AL‐MCM‐41 reinforced caprolactam toughened DGEBA epoxy‐cyanate ester polymer nanocomposites | |
| CN102040717B (zh) | 酚醛树脂的制备方法 |
Legal Events
| Date | Code | Title | Description |
|---|---|---|---|
| MM4A | The patent is invalid due to non-payment of fees |
Effective date: 20120622 |
