KR20100124705A - 핵산 하이브리드화 방법 - Google Patents
핵산 하이브리드화 방법 Download PDFInfo
- Publication number
- KR20100124705A KR20100124705A KR1020107015189A KR20107015189A KR20100124705A KR 20100124705 A KR20100124705 A KR 20100124705A KR 1020107015189 A KR1020107015189 A KR 1020107015189A KR 20107015189 A KR20107015189 A KR 20107015189A KR 20100124705 A KR20100124705 A KR 20100124705A
- Authority
- KR
- South Korea
- Prior art keywords
- oligonucleotide
- nucleic acid
- formula
- target nucleic
- oligocationic
- Prior art date
- Legal status (The legal status is an assumption and is not a legal conclusion. Google has not performed a legal analysis and makes no representation as to the accuracy of the status listed.)
- Withdrawn
Links
- 108020004707 nucleic acids Proteins 0.000 title claims abstract description 60
- 102000039446 nucleic acids Human genes 0.000 title claims abstract description 60
- 150000007523 nucleic acids Chemical class 0.000 title claims abstract description 60
- 238000000034 method Methods 0.000 title claims abstract description 44
- 108091034117 Oligonucleotide Proteins 0.000 claims abstract description 47
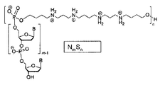
- PFNFFQXMRSDOHW-UHFFFAOYSA-N spermine Chemical group NCCCNCCCCNCCCN PFNFFQXMRSDOHW-UHFFFAOYSA-N 0.000 claims abstract description 19
- 125000005647 linker group Chemical group 0.000 claims abstract description 11
- ATHGHQPFGPMSJY-UHFFFAOYSA-N spermidine Chemical group NCCCCNCCCN ATHGHQPFGPMSJY-UHFFFAOYSA-N 0.000 claims abstract description 8
- KIDHWZJUCRJVML-UHFFFAOYSA-N putrescine Chemical group NCCCCN KIDHWZJUCRJVML-UHFFFAOYSA-N 0.000 claims abstract description 6
- 239000003550 marker Substances 0.000 claims abstract description 5
- 229940063673 spermidine Drugs 0.000 claims abstract description 4
- 239000005700 Putrescine Substances 0.000 claims abstract description 3
- 239000000539 dimer Substances 0.000 claims abstract description 3
- 239000000523 sample Substances 0.000 claims description 89
- 238000003199 nucleic acid amplification method Methods 0.000 claims description 26
- 230000003321 amplification Effects 0.000 claims description 24
- 238000003753 real-time PCR Methods 0.000 claims description 13
- 238000003556 assay Methods 0.000 claims description 12
- 238000001514 detection method Methods 0.000 claims description 11
- YBJHBAHKTGYVGT-ZKWXMUAHSA-N (+)-Biotin Chemical compound N1C(=O)N[C@@H]2[C@H](CCCCC(=O)O)SC[C@@H]21 YBJHBAHKTGYVGT-ZKWXMUAHSA-N 0.000 claims description 10
- 108090000623 proteins and genes Proteins 0.000 claims description 7
- 239000000126 substance Substances 0.000 claims description 7
- 108010014303 DNA-directed DNA polymerase Proteins 0.000 claims description 6
- 102000016928 DNA-directed DNA polymerase Human genes 0.000 claims description 6
- 238000001668 nucleic acid synthesis Methods 0.000 claims description 6
- 238000010839 reverse transcription Methods 0.000 claims description 6
- 108090000626 DNA-directed RNA polymerases Proteins 0.000 claims description 5
- 102000004163 DNA-directed RNA polymerases Human genes 0.000 claims description 5
- 239000000427 antigen Substances 0.000 claims description 5
- 108091007433 antigens Proteins 0.000 claims description 5
- 102000036639 antigens Human genes 0.000 claims description 5
- 229960002685 biotin Drugs 0.000 claims description 5
- 235000020958 biotin Nutrition 0.000 claims description 5
- 239000011616 biotin Substances 0.000 claims description 5
- 150000001841 cholesterols Chemical class 0.000 claims description 5
- 230000002209 hydrophobic effect Effects 0.000 claims description 5
- 108090000765 processed proteins & peptides Proteins 0.000 claims description 5
- 102000004169 proteins and genes Human genes 0.000 claims description 5
- 235000000346 sugar Nutrition 0.000 claims description 5
- 125000002467 phosphate group Chemical group [H]OP(=O)(O[H])O[*] 0.000 claims description 4
- RYYWUUFWQRZTIU-UHFFFAOYSA-K thiophosphate Chemical compound [O-]P([O-])([O-])=S RYYWUUFWQRZTIU-UHFFFAOYSA-K 0.000 claims description 4
- 229910019142 PO4 Inorganic materials 0.000 claims description 3
- 235000021317 phosphate Nutrition 0.000 claims description 3
- 108091028664 Ribonucleotide Proteins 0.000 claims description 2
- 239000005547 deoxyribonucleotide Substances 0.000 claims description 2
- 125000002637 deoxyribonucleotide group Chemical group 0.000 claims description 2
- 125000001921 locked nucleotide group Chemical group 0.000 claims description 2
- 150000003013 phosphoric acid derivatives Chemical class 0.000 claims description 2
- 102000004196 processed proteins & peptides Human genes 0.000 claims description 2
- 239000002336 ribonucleotide Substances 0.000 claims description 2
- 125000002652 ribonucleotide group Chemical group 0.000 claims description 2
- 125000001424 substituent group Chemical group 0.000 claims description 2
- 238000004458 analytical method Methods 0.000 claims 2
- 150000008163 sugars Chemical class 0.000 claims 1
- 238000009396 hybridization Methods 0.000 abstract description 24
- 125000002947 alkylene group Chemical group 0.000 abstract description 5
- 108020004414 DNA Proteins 0.000 description 49
- JLCPHMBAVCMARE-UHFFFAOYSA-N [3-[[3-[[3-[[3-[[3-[[3-[[3-[[3-[[3-[[3-[[3-[[5-(2-amino-6-oxo-1H-purin-9-yl)-3-[[3-[[3-[[3-[[3-[[3-[[5-(2-amino-6-oxo-1H-purin-9-yl)-3-[[5-(2-amino-6-oxo-1H-purin-9-yl)-3-hydroxyoxolan-2-yl]methoxy-hydroxyphosphoryl]oxyoxolan-2-yl]methoxy-hydroxyphosphoryl]oxy-5-(5-methyl-2,4-dioxopyrimidin-1-yl)oxolan-2-yl]methoxy-hydroxyphosphoryl]oxy-5-(6-aminopurin-9-yl)oxolan-2-yl]methoxy-hydroxyphosphoryl]oxy-5-(6-aminopurin-9-yl)oxolan-2-yl]methoxy-hydroxyphosphoryl]oxy-5-(6-aminopurin-9-yl)oxolan-2-yl]methoxy-hydroxyphosphoryl]oxy-5-(6-aminopurin-9-yl)oxolan-2-yl]methoxy-hydroxyphosphoryl]oxyoxolan-2-yl]methoxy-hydroxyphosphoryl]oxy-5-(5-methyl-2,4-dioxopyrimidin-1-yl)oxolan-2-yl]methoxy-hydroxyphosphoryl]oxy-5-(4-amino-2-oxopyrimidin-1-yl)oxolan-2-yl]methoxy-hydroxyphosphoryl]oxy-5-(5-methyl-2,4-dioxopyrimidin-1-yl)oxolan-2-yl]methoxy-hydroxyphosphoryl]oxy-5-(5-methyl-2,4-dioxopyrimidin-1-yl)oxolan-2-yl]methoxy-hydroxyphosphoryl]oxy-5-(6-aminopurin-9-yl)oxolan-2-yl]methoxy-hydroxyphosphoryl]oxy-5-(6-aminopurin-9-yl)oxolan-2-yl]methoxy-hydroxyphosphoryl]oxy-5-(4-amino-2-oxopyrimidin-1-yl)oxolan-2-yl]methoxy-hydroxyphosphoryl]oxy-5-(4-amino-2-oxopyrimidin-1-yl)oxolan-2-yl]methoxy-hydroxyphosphoryl]oxy-5-(4-amino-2-oxopyrimidin-1-yl)oxolan-2-yl]methoxy-hydroxyphosphoryl]oxy-5-(6-aminopurin-9-yl)oxolan-2-yl]methoxy-hydroxyphosphoryl]oxy-5-(4-amino-2-oxopyrimidin-1-yl)oxolan-2-yl]methyl [5-(6-aminopurin-9-yl)-2-(hydroxymethyl)oxolan-3-yl] hydrogen phosphate Polymers Cc1cn(C2CC(OP(O)(=O)OCC3OC(CC3OP(O)(=O)OCC3OC(CC3O)n3cnc4c3nc(N)[nH]c4=O)n3cnc4c3nc(N)[nH]c4=O)C(COP(O)(=O)OC3CC(OC3COP(O)(=O)OC3CC(OC3COP(O)(=O)OC3CC(OC3COP(O)(=O)OC3CC(OC3COP(O)(=O)OC3CC(OC3COP(O)(=O)OC3CC(OC3COP(O)(=O)OC3CC(OC3COP(O)(=O)OC3CC(OC3COP(O)(=O)OC3CC(OC3COP(O)(=O)OC3CC(OC3COP(O)(=O)OC3CC(OC3COP(O)(=O)OC3CC(OC3COP(O)(=O)OC3CC(OC3COP(O)(=O)OC3CC(OC3COP(O)(=O)OC3CC(OC3COP(O)(=O)OC3CC(OC3COP(O)(=O)OC3CC(OC3CO)n3cnc4c(N)ncnc34)n3ccc(N)nc3=O)n3cnc4c(N)ncnc34)n3ccc(N)nc3=O)n3ccc(N)nc3=O)n3ccc(N)nc3=O)n3cnc4c(N)ncnc34)n3cnc4c(N)ncnc34)n3cc(C)c(=O)[nH]c3=O)n3cc(C)c(=O)[nH]c3=O)n3ccc(N)nc3=O)n3cc(C)c(=O)[nH]c3=O)n3cnc4c3nc(N)[nH]c4=O)n3cnc4c(N)ncnc34)n3cnc4c(N)ncnc34)n3cnc4c(N)ncnc34)n3cnc4c(N)ncnc34)O2)c(=O)[nH]c1=O JLCPHMBAVCMARE-UHFFFAOYSA-N 0.000 description 34
- 238000006243 chemical reaction Methods 0.000 description 20
- 210000004027 cell Anatomy 0.000 description 13
- 230000002441 reversible effect Effects 0.000 description 12
- 108091093088 Amplicon Proteins 0.000 description 11
- 125000002091 cationic group Chemical group 0.000 description 8
- 238000000137 annealing Methods 0.000 description 7
- 102000008178 Cyclin B1 Human genes 0.000 description 6
- 108010060385 Cyclin B1 Proteins 0.000 description 6
- 238000002474 experimental method Methods 0.000 description 5
- 239000007850 fluorescent dye Substances 0.000 description 5
- 125000003729 nucleotide group Chemical group 0.000 description 5
- 230000035945 sensitivity Effects 0.000 description 5
- 238000013207 serial dilution Methods 0.000 description 5
- 108091032973 (ribonucleotides)n+m Proteins 0.000 description 4
- 101710163270 Nuclease Proteins 0.000 description 4
- 238000011529 RT qPCR Methods 0.000 description 4
- 239000012528 membrane Substances 0.000 description 4
- 238000010791 quenching Methods 0.000 description 4
- 150000003839 salts Chemical class 0.000 description 4
- 101100297345 Caenorhabditis elegans pgl-2 gene Proteins 0.000 description 3
- 101100297347 Caenorhabditis elegans pgl-3 gene Proteins 0.000 description 3
- 102000004190 Enzymes Human genes 0.000 description 3
- 108090000790 Enzymes Proteins 0.000 description 3
- 108010014172 Factor V Proteins 0.000 description 3
- 241000341655 Human papillomavirus type 16 Species 0.000 description 3
- 238000009004 PCR Kit Methods 0.000 description 3
- HEMHJVSKTPXQMS-UHFFFAOYSA-M Sodium hydroxide Chemical compound [OH-].[Na+] HEMHJVSKTPXQMS-UHFFFAOYSA-M 0.000 description 3
- 230000000295 complement effect Effects 0.000 description 3
- 238000013461 design Methods 0.000 description 3
- 230000000694 effects Effects 0.000 description 3
- 239000002773 nucleotide Substances 0.000 description 3
- 150000008300 phosphoramidites Chemical class 0.000 description 3
- 229920000768 polyamine Polymers 0.000 description 3
- 230000008569 process Effects 0.000 description 3
- 238000003762 quantitative reverse transcription PCR Methods 0.000 description 3
- 230000000171 quenching effect Effects 0.000 description 3
- 239000011541 reaction mixture Substances 0.000 description 3
- 239000007787 solid Substances 0.000 description 3
- 239000000758 substrate Substances 0.000 description 3
- 239000013598 vector Substances 0.000 description 3
- BZTDTCNHAFUJOG-UHFFFAOYSA-N 6-carboxyfluorescein Chemical compound C12=CC=C(O)C=C2OC2=CC(O)=CC=C2C11OC(=O)C2=CC=C(C(=O)O)C=C21 BZTDTCNHAFUJOG-UHFFFAOYSA-N 0.000 description 2
- 108700028369 Alleles Proteins 0.000 description 2
- 102100034343 Integrase Human genes 0.000 description 2
- 108010092799 RNA-directed DNA polymerase Proteins 0.000 description 2
- 239000011543 agarose gel Substances 0.000 description 2
- 230000015572 biosynthetic process Effects 0.000 description 2
- 238000010804 cDNA synthesis Methods 0.000 description 2
- 230000015556 catabolic process Effects 0.000 description 2
- 239000002299 complementary DNA Substances 0.000 description 2
- 238000006731 degradation reaction Methods 0.000 description 2
- 230000009977 dual effect Effects 0.000 description 2
- 239000000975 dye Substances 0.000 description 2
- 238000012407 engineering method Methods 0.000 description 2
- 230000001965 increasing effect Effects 0.000 description 2
- 230000007246 mechanism Effects 0.000 description 2
- 238000012544 monitoring process Methods 0.000 description 2
- 230000035772 mutation Effects 0.000 description 2
- 239000013642 negative control Substances 0.000 description 2
- 238000007899 nucleic acid hybridization Methods 0.000 description 2
- 238000002515 oligonucleotide synthesis Methods 0.000 description 2
- 238000003752 polymerase chain reaction Methods 0.000 description 2
- 239000000376 reactant Substances 0.000 description 2
- 230000002829 reductive effect Effects 0.000 description 2
- 238000011160 research Methods 0.000 description 2
- 238000000926 separation method Methods 0.000 description 2
- 239000000243 solution Substances 0.000 description 2
- 238000003786 synthesis reaction Methods 0.000 description 2
- 238000012546 transfer Methods 0.000 description 2
- QKNYBSVHEMOAJP-UHFFFAOYSA-N 2-amino-2-(hydroxymethyl)propane-1,3-diol;hydron;chloride Chemical compound Cl.OCC(N)(CO)CO QKNYBSVHEMOAJP-UHFFFAOYSA-N 0.000 description 1
- FWMNVWWHGCHHJJ-SKKKGAJSSA-N 4-amino-1-[(2r)-6-amino-2-[[(2r)-2-[[(2r)-2-[[(2r)-2-amino-3-phenylpropanoyl]amino]-3-phenylpropanoyl]amino]-4-methylpentanoyl]amino]hexanoyl]piperidine-4-carboxylic acid Chemical compound C([C@H](C(=O)N[C@H](CC(C)C)C(=O)N[C@H](CCCCN)C(=O)N1CCC(N)(CC1)C(O)=O)NC(=O)[C@H](N)CC=1C=CC=CC=1)C1=CC=CC=C1 FWMNVWWHGCHHJJ-SKKKGAJSSA-N 0.000 description 1
- 241000972773 Aulopiformes Species 0.000 description 1
- 206010008342 Cervix carcinoma Diseases 0.000 description 1
- 238000001712 DNA sequencing Methods 0.000 description 1
- 108060002716 Exonuclease Proteins 0.000 description 1
- 108060001084 Luciferase Proteins 0.000 description 1
- 239000005089 Luciferase Substances 0.000 description 1
- 206010058467 Lung neoplasm malignant Diseases 0.000 description 1
- 239000004677 Nylon Substances 0.000 description 1
- 238000010802 RNA extraction kit Methods 0.000 description 1
- CGNLCCVKSWNSDG-UHFFFAOYSA-N SYBR Green I Chemical compound CN(C)CCCN(CCC)C1=CC(C=C2N(C3=CC=CC=C3S2)C)=C2C=CC=CC2=[N+]1C1=CC=CC=C1 CGNLCCVKSWNSDG-UHFFFAOYSA-N 0.000 description 1
- 108010006785 Taq Polymerase Proteins 0.000 description 1
- RYYWUUFWQRZTIU-UHFFFAOYSA-N Thiophosphoric acid Chemical class OP(O)(S)=O RYYWUUFWQRZTIU-UHFFFAOYSA-N 0.000 description 1
- 229920004890 Triton X-100 Polymers 0.000 description 1
- 239000013504 Triton X-100 Substances 0.000 description 1
- 208000006105 Uterine Cervical Neoplasms Diseases 0.000 description 1
- 241000700605 Viruses Species 0.000 description 1
- 125000003277 amino group Chemical group 0.000 description 1
- 230000033228 biological regulation Effects 0.000 description 1
- 239000012472 biological sample Substances 0.000 description 1
- 210000001124 body fluid Anatomy 0.000 description 1
- 239000010839 body fluid Substances 0.000 description 1
- 239000013592 cell lysate Substances 0.000 description 1
- 201000010881 cervical cancer Diseases 0.000 description 1
- 239000013256 coordination polymer Substances 0.000 description 1
- 230000001351 cycling effect Effects 0.000 description 1
- 230000003247 decreasing effect Effects 0.000 description 1
- 238000004925 denaturation Methods 0.000 description 1
- 230000036425 denaturation Effects 0.000 description 1
- 238000003745 diagnosis Methods 0.000 description 1
- 150000002009 diols Chemical class 0.000 description 1
- 238000001962 electrophoresis Methods 0.000 description 1
- 230000009881 electrostatic interaction Effects 0.000 description 1
- 210000003527 eukaryotic cell Anatomy 0.000 description 1
- 102000013165 exonuclease Human genes 0.000 description 1
- 108010091897 factor V Leiden Proteins 0.000 description 1
- GNBHRKFJIUUOQI-UHFFFAOYSA-N fluorescein Chemical compound O1C(=O)C2=CC=CC=C2C21C1=CC=C(O)C=C1OC1=CC(O)=CC=C21 GNBHRKFJIUUOQI-UHFFFAOYSA-N 0.000 description 1
- 239000012634 fragment Substances 0.000 description 1
- 230000030279 gene silencing Effects 0.000 description 1
- 238000012226 gene silencing method Methods 0.000 description 1
- 238000003205 genotyping method Methods 0.000 description 1
- 238000003384 imaging method Methods 0.000 description 1
- 230000006872 improvement Effects 0.000 description 1
- 238000007901 in situ hybridization Methods 0.000 description 1
- 238000000338 in vitro Methods 0.000 description 1
- 230000001939 inductive effect Effects 0.000 description 1
- 230000002401 inhibitory effect Effects 0.000 description 1
- 230000003993 interaction Effects 0.000 description 1
- 238000010380 label transfer Methods 0.000 description 1
- 238000002372 labelling Methods 0.000 description 1
- 238000004020 luminiscence type Methods 0.000 description 1
- 201000005202 lung cancer Diseases 0.000 description 1
- 208000020816 lung neoplasm Diseases 0.000 description 1
- 238000007403 mPCR Methods 0.000 description 1
- 239000003607 modifier Substances 0.000 description 1
- 229920001778 nylon Polymers 0.000 description 1
- NBIIXXVUZAFLBC-UHFFFAOYSA-K phosphate Chemical compound [O-]P([O-])([O-])=O NBIIXXVUZAFLBC-UHFFFAOYSA-K 0.000 description 1
- 239000010452 phosphate Substances 0.000 description 1
- 102000054765 polymorphisms of proteins Human genes 0.000 description 1
- 125000002924 primary amino group Chemical group [H]N([H])* 0.000 description 1
- 210000001236 prokaryotic cell Anatomy 0.000 description 1
- 238000003757 reverse transcription PCR Methods 0.000 description 1
- 238000012552 review Methods 0.000 description 1
- 235000019515 salmon Nutrition 0.000 description 1
- 238000010532 solid phase synthesis reaction Methods 0.000 description 1
- 125000006850 spacer group Chemical group 0.000 description 1
- 238000011895 specific detection Methods 0.000 description 1
- 229940063675 spermine Drugs 0.000 description 1
- 229920001059 synthetic polymer Polymers 0.000 description 1
- 230000008685 targeting Effects 0.000 description 1
- 150000003573 thiols Chemical class 0.000 description 1
- HRXKRNGNAMMEHJ-UHFFFAOYSA-K trisodium citrate Chemical compound [Na+].[Na+].[Na+].[O-]C(=O)CC(O)(CC([O-])=O)C([O-])=O HRXKRNGNAMMEHJ-UHFFFAOYSA-K 0.000 description 1
- 230000003612 virological effect Effects 0.000 description 1
- 238000005406 washing Methods 0.000 description 1
Images
Classifications
-
- C—CHEMISTRY; METALLURGY
- C12—BIOCHEMISTRY; BEER; SPIRITS; WINE; VINEGAR; MICROBIOLOGY; ENZYMOLOGY; MUTATION OR GENETIC ENGINEERING
- C12Q—MEASURING OR TESTING PROCESSES INVOLVING ENZYMES, NUCLEIC ACIDS OR MICROORGANISMS; COMPOSITIONS OR TEST PAPERS THEREFOR; PROCESSES OF PREPARING SUCH COMPOSITIONS; CONDITION-RESPONSIVE CONTROL IN MICROBIOLOGICAL OR ENZYMOLOGICAL PROCESSES
- C12Q1/00—Measuring or testing processes involving enzymes, nucleic acids or microorganisms; Compositions therefor; Processes of preparing such compositions
- C12Q1/68—Measuring or testing processes involving enzymes, nucleic acids or microorganisms; Compositions therefor; Processes of preparing such compositions involving nucleic acids
- C12Q1/6813—Hybridisation assays
- C12Q1/6832—Enhancement of hybridisation reaction
-
- C—CHEMISTRY; METALLURGY
- C12—BIOCHEMISTRY; BEER; SPIRITS; WINE; VINEGAR; MICROBIOLOGY; ENZYMOLOGY; MUTATION OR GENETIC ENGINEERING
- C12N—MICROORGANISMS OR ENZYMES; COMPOSITIONS THEREOF; PROPAGATING, PRESERVING, OR MAINTAINING MICROORGANISMS; MUTATION OR GENETIC ENGINEERING; CULTURE MEDIA
- C12N15/00—Mutation or genetic engineering; DNA or RNA concerning genetic engineering, vectors, e.g. plasmids, or their isolation, preparation or purification; Use of hosts therefor
- C12N15/09—Recombinant DNA-technology
- C12N15/10—Processes for the isolation, preparation or purification of DNA or RNA
- C12N15/1003—Extracting or separating nucleic acids from biological samples, e.g. pure separation or isolation methods; Conditions, buffers or apparatuses therefor
-
- C—CHEMISTRY; METALLURGY
- C12—BIOCHEMISTRY; BEER; SPIRITS; WINE; VINEGAR; MICROBIOLOGY; ENZYMOLOGY; MUTATION OR GENETIC ENGINEERING
- C12Q—MEASURING OR TESTING PROCESSES INVOLVING ENZYMES, NUCLEIC ACIDS OR MICROORGANISMS; COMPOSITIONS OR TEST PAPERS THEREFOR; PROCESSES OF PREPARING SUCH COMPOSITIONS; CONDITION-RESPONSIVE CONTROL IN MICROBIOLOGICAL OR ENZYMOLOGICAL PROCESSES
- C12Q1/00—Measuring or testing processes involving enzymes, nucleic acids or microorganisms; Compositions therefor; Processes of preparing such compositions
- C12Q1/68—Measuring or testing processes involving enzymes, nucleic acids or microorganisms; Compositions therefor; Processes of preparing such compositions involving nucleic acids
- C12Q1/6876—Nucleic acid products used in the analysis of nucleic acids, e.g. primers or probes
Landscapes
- Chemical & Material Sciences (AREA)
- Life Sciences & Earth Sciences (AREA)
- Organic Chemistry (AREA)
- Health & Medical Sciences (AREA)
- Engineering & Computer Science (AREA)
- Wood Science & Technology (AREA)
- Zoology (AREA)
- Proteomics, Peptides & Aminoacids (AREA)
- Genetics & Genomics (AREA)
- General Engineering & Computer Science (AREA)
- Biotechnology (AREA)
- Bioinformatics & Cheminformatics (AREA)
- Analytical Chemistry (AREA)
- General Health & Medical Sciences (AREA)
- Biophysics (AREA)
- Microbiology (AREA)
- Biochemistry (AREA)
- Molecular Biology (AREA)
- Physics & Mathematics (AREA)
- Immunology (AREA)
- Biomedical Technology (AREA)
- Chemical Kinetics & Catalysis (AREA)
- Crystallography & Structural Chemistry (AREA)
- Plant Pathology (AREA)
- Measuring Or Testing Involving Enzymes Or Micro-Organisms (AREA)
Applications Claiming Priority (4)
| Application Number | Priority Date | Filing Date | Title |
|---|---|---|---|
| US914507P | 2007-12-27 | 2007-12-27 | |
| EP07025148A EP2075342A1 (en) | 2007-12-27 | 2007-12-27 | Method for hybridizing nucleic acids |
| EP07025148.3 | 2007-12-27 | ||
| US61/009,145 | 2007-12-27 |
Publications (1)
| Publication Number | Publication Date |
|---|---|
| KR20100124705A true KR20100124705A (ko) | 2010-11-29 |
Family
ID=39339663
Family Applications (1)
| Application Number | Title | Priority Date | Filing Date |
|---|---|---|---|
| KR1020107015189A Withdrawn KR20100124705A (ko) | 2007-12-27 | 2008-09-12 | 핵산 하이브리드화 방법 |
Country Status (14)
| Country | Link |
|---|---|
| US (1) | US8465920B2 (enExample) |
| EP (2) | EP2075342A1 (enExample) |
| JP (1) | JP2011507542A (enExample) |
| KR (1) | KR20100124705A (enExample) |
| CN (1) | CN101978071A (enExample) |
| AU (1) | AU2008345460A1 (enExample) |
| BR (1) | BRPI0821698A2 (enExample) |
| CA (1) | CA2709183A1 (enExample) |
| DK (1) | DK2225393T3 (enExample) |
| ES (1) | ES2537625T3 (enExample) |
| IL (1) | IL206542A0 (enExample) |
| NZ (1) | NZ586373A (enExample) |
| RU (1) | RU2010131166A (enExample) |
| WO (1) | WO2009083763A1 (enExample) |
Cited By (2)
| Publication number | Priority date | Publication date | Assignee | Title |
|---|---|---|---|---|
| KR20130081187A (ko) * | 2012-01-06 | 2013-07-16 | 삼성테크윈 주식회사 | 표적 핵산의 향상된 증폭 |
| WO2020085741A1 (ko) | 2018-10-22 | 2020-04-30 | (주)바이오니아 | 옥타민 또는 옥타민 유도체가 결합된 프로브 및 이의 용도 |
Families Citing this family (12)
| Publication number | Priority date | Publication date | Assignee | Title |
|---|---|---|---|---|
| WO2011108930A1 (en) | 2010-03-04 | 2011-09-09 | Interna Technologies Bv | A MiRNA MOLECULE DEFINED BY ITS SOURCE AND ITS DIAGNOSTIC AND THERAPEUTIC USES IN DISEASES OR CONDITIONS ASSOCIATED WITH EMT |
| EP2591106A1 (en) | 2010-07-06 | 2013-05-15 | InteRNA Technologies B.V. | Mirna and its diagnostic and therapeutic uses in diseases or conditions associated with melanoma, or in diseases or conditions associated with activated braf pathway |
| CN103080310A (zh) * | 2010-09-10 | 2013-05-01 | 三菱化学美迪恩斯株式会社 | 使用光的核酸的扩增抑制方法和高灵敏度的选择性核酸扩增方法 |
| EP2474617A1 (en) | 2011-01-11 | 2012-07-11 | InteRNA Technologies BV | Mir for treating neo-angiogenesis |
| WO2013095132A1 (en) | 2011-12-22 | 2013-06-27 | Interna Technologies B.V. | Mirna for treating head and neck cancer |
| WO2014072357A1 (en) | 2012-11-06 | 2014-05-15 | Interna Technologies B.V. | Combination for use in treating diseases or conditions associated with melanoma, or treating diseases or conditions associated with activated b-raf pathway |
| US9410172B2 (en) * | 2013-09-16 | 2016-08-09 | General Electric Company | Isothermal amplification using oligocation-conjugated primer sequences |
| DE102017123919A1 (de) | 2017-10-13 | 2019-04-18 | Gna Biosolutions Gmbh | Verfahren und Vorrichtung zur Lyse von Mikroorganismen |
| CN111566212A (zh) | 2017-11-03 | 2020-08-21 | 因特尔纳技术有限公司 | miRNA分子,等同物,安塔够妙或其来源用于治疗和/或诊断与神经元缺陷相关的病症和/或疾病或用于神经元生成和/或再生 |
| JP2021513508A (ja) | 2018-02-12 | 2021-05-27 | インテアールエヌエー テクノロジーズ ビー.ヴイ.InteRNA Technologies B.V. | 抗がんマイクロrna及びその脂質製剤 |
| CN113444778A (zh) | 2020-03-27 | 2021-09-28 | 广州达安基因股份有限公司 | 具有高杂交性能的寡核苷酸缀合物及其应用 |
| IT202200026595A1 (it) | 2022-12-22 | 2024-06-22 | Fond Telethon Ets | Nuovi inibitori di regolatori epigenetici |
Family Cites Families (3)
| Publication number | Priority date | Publication date | Assignee | Title |
|---|---|---|---|---|
| EP1013770A1 (en) * | 1998-12-23 | 2000-06-28 | Université Louis Pasteur de Strasbourg | Non-viral transfection vector |
| CA2581869A1 (en) * | 2004-11-04 | 2006-05-18 | Raul Andino | Syntheses of polyamine conjugates of small interfering rnas (si-rnas) and conjugates formed thereby |
| BRPI0619932A2 (pt) | 2005-12-15 | 2011-10-25 | Centre Nat Rech Scient | moléculas de oligonucleotìdeo-oligocátion, método para a obtenção das mesmas, reagentes de fosforamidita, método para uso em biologia e diagnóstico, e, composições farmacêuticas |
-
2007
- 2007-12-27 EP EP07025148A patent/EP2075342A1/en not_active Withdrawn
-
2008
- 2008-09-12 EP EP08868164.8A patent/EP2225393B1/en active Active
- 2008-09-12 RU RU2010131166/10A patent/RU2010131166A/ru not_active Application Discontinuation
- 2008-09-12 AU AU2008345460A patent/AU2008345460A1/en not_active Abandoned
- 2008-09-12 US US12/735,261 patent/US8465920B2/en active Active
- 2008-09-12 BR BRPI0821698-3A patent/BRPI0821698A2/pt not_active IP Right Cessation
- 2008-09-12 DK DK08868164.8T patent/DK2225393T3/en active
- 2008-09-12 JP JP2010540181A patent/JP2011507542A/ja active Pending
- 2008-09-12 CA CA2709183A patent/CA2709183A1/en not_active Abandoned
- 2008-09-12 ES ES08868164.8T patent/ES2537625T3/es active Active
- 2008-09-12 WO PCT/IB2008/002789 patent/WO2009083763A1/en not_active Ceased
- 2008-09-12 NZ NZ586373A patent/NZ586373A/xx not_active IP Right Cessation
- 2008-09-12 CN CN2008801227617A patent/CN101978071A/zh active Pending
- 2008-09-12 KR KR1020107015189A patent/KR20100124705A/ko not_active Withdrawn
-
2010
- 2010-06-22 IL IL206542A patent/IL206542A0/en unknown
Cited By (3)
| Publication number | Priority date | Publication date | Assignee | Title |
|---|---|---|---|---|
| KR20130081187A (ko) * | 2012-01-06 | 2013-07-16 | 삼성테크윈 주식회사 | 표적 핵산의 향상된 증폭 |
| WO2020085741A1 (ko) | 2018-10-22 | 2020-04-30 | (주)바이오니아 | 옥타민 또는 옥타민 유도체가 결합된 프로브 및 이의 용도 |
| KR20200045212A (ko) | 2018-10-22 | 2020-05-04 | (주)바이오니아 | 옥타민 또는 옥타민 유도체가 결합된 프로브 및 이의 용도 |
Also Published As
| Publication number | Publication date |
|---|---|
| IL206542A0 (en) | 2010-12-30 |
| AU2008345460A1 (en) | 2009-07-09 |
| US8465920B2 (en) | 2013-06-18 |
| CA2709183A1 (en) | 2009-07-09 |
| CN101978071A (zh) | 2011-02-16 |
| RU2010131166A (ru) | 2012-02-10 |
| BRPI0821698A2 (pt) | 2015-06-16 |
| EP2075342A1 (en) | 2009-07-01 |
| WO2009083763A1 (en) | 2009-07-09 |
| JP2011507542A (ja) | 2011-03-10 |
| EP2225393A1 (en) | 2010-09-08 |
| EP2225393B1 (en) | 2015-02-25 |
| NZ586373A (en) | 2012-09-28 |
| DK2225393T3 (en) | 2015-05-26 |
| US20100311056A1 (en) | 2010-12-09 |
| ES2537625T3 (es) | 2015-06-10 |
Similar Documents
| Publication | Publication Date | Title |
|---|---|---|
| KR20100124705A (ko) | 핵산 하이브리드화 방법 | |
| AU2010290277B2 (en) | TD probe and its uses | |
| US8329394B2 (en) | Methods and substances for isolation and detection of small polynucleotides | |
| KR102324117B1 (ko) | 가닥 침입에 기초한 증폭에 의한 핵산 검출 | |
| US11180787B2 (en) | Strand-invasion based DNA amplification method | |
| JP2012508571A (ja) | Rna検出法 | |
| CN115948604A (zh) | 一种基于DNAzyme与PER扩增的病毒检测试剂盒 | |
| EP2748320B1 (en) | Compositions and methods for nucleic acid hybridization | |
| EP3055430A2 (en) | Multiplex probes | |
| US20120196765A1 (en) | Method for detection or analysis of target sequence in genomic dna | |
| WO2011069160A1 (en) | Methods of quantifying nucleic acids | |
| HK1198656B (en) | Compositions and methods for nucleic acid hybridization |
Legal Events
| Date | Code | Title | Description |
|---|---|---|---|
| PA0105 | International application |
Patent event date: 20100709 Patent event code: PA01051R01D Comment text: International Patent Application |
|
| PG1501 | Laying open of application | ||
| PC1203 | Withdrawal of no request for examination | ||
| WITN | Application deemed withdrawn, e.g. because no request for examination was filed or no examination fee was paid |