JP7598552B2 - バレルめっき用スズめっき液 - Google Patents
バレルめっき用スズめっき液 Download PDFInfo
- Publication number
- JP7598552B2 JP7598552B2 JP2020167498A JP2020167498A JP7598552B2 JP 7598552 B2 JP7598552 B2 JP 7598552B2 JP 2020167498 A JP2020167498 A JP 2020167498A JP 2020167498 A JP2020167498 A JP 2020167498A JP 7598552 B2 JP7598552 B2 JP 7598552B2
- Authority
- JP
- Japan
- Prior art keywords
- tin
- plating solution
- tin plating
- barrel
- plating
- Prior art date
- Legal status (The legal status is an assumption and is not a legal conclusion. Google has not performed a legal analysis and makes no representation as to the accuracy of the status listed.)
- Active
Links
- 238000007747 plating Methods 0.000 title claims description 295
- ATJFFYVFTNAWJD-UHFFFAOYSA-N Tin Chemical compound [Sn] ATJFFYVFTNAWJD-UHFFFAOYSA-N 0.000 title claims description 213
- 239000003112 inhibitor Substances 0.000 claims description 65
- 150000003839 salts Chemical class 0.000 claims description 43
- 150000004283 biguanides Chemical class 0.000 claims description 12
- 229910052751 metal Inorganic materials 0.000 claims description 12
- 239000002184 metal Substances 0.000 claims description 12
- 239000008139 complexing agent Substances 0.000 claims description 11
- 229920001281 polyalkylene Polymers 0.000 claims description 11
- 239000003963 antioxidant agent Substances 0.000 claims description 10
- 235000006708 antioxidants Nutrition 0.000 claims description 10
- VAZJLPXFVQHDFB-UHFFFAOYSA-N 1-(diaminomethylidene)-2-hexylguanidine Polymers CCCCCCN=C(N)N=C(N)N VAZJLPXFVQHDFB-UHFFFAOYSA-N 0.000 claims description 9
- 229920002413 Polyhexanide Polymers 0.000 claims description 9
- HEMHJVSKTPXQMS-UHFFFAOYSA-M Sodium hydroxide Chemical compound [OH-].[Na+] HEMHJVSKTPXQMS-UHFFFAOYSA-M 0.000 claims description 9
- KRKNYBCHXYNGOX-UHFFFAOYSA-N citric acid Chemical compound OC(=O)CC(O)(C(O)=O)CC(O)=O KRKNYBCHXYNGOX-UHFFFAOYSA-N 0.000 claims description 9
- KWYUFKZDYYNOTN-UHFFFAOYSA-M Potassium hydroxide Chemical compound [OH-].[K+] KWYUFKZDYYNOTN-UHFFFAOYSA-M 0.000 claims description 6
- SUMDYPCJJOFFON-UHFFFAOYSA-N isethionic acid Chemical compound OCCS(O)(=O)=O SUMDYPCJJOFFON-UHFFFAOYSA-N 0.000 claims description 6
- RGHNJXZEOKUKBD-SQOUGZDYSA-N D-gluconic acid Chemical compound OC[C@@H](O)[C@@H](O)[C@H](O)[C@@H](O)C(O)=O RGHNJXZEOKUKBD-SQOUGZDYSA-N 0.000 claims description 4
- QIGBRXMKCJKVMJ-UHFFFAOYSA-N Hydroquinone Chemical compound OC1=CC=C(O)C=C1 QIGBRXMKCJKVMJ-UHFFFAOYSA-N 0.000 claims description 4
- AFVFQIVMOAPDHO-UHFFFAOYSA-N Methanesulfonic acid Chemical compound CS(O)(=O)=O AFVFQIVMOAPDHO-UHFFFAOYSA-N 0.000 claims description 4
- QAOWNCQODCNURD-UHFFFAOYSA-N Sulfuric acid Chemical compound OS(O)(=O)=O QAOWNCQODCNURD-UHFFFAOYSA-N 0.000 claims description 4
- YCIMNLLNPGFGHC-UHFFFAOYSA-N catechol Chemical compound OC1=CC=CC=C1O YCIMNLLNPGFGHC-UHFFFAOYSA-N 0.000 claims description 4
- 150000001875 compounds Chemical class 0.000 claims description 4
- 239000000126 substance Substances 0.000 claims description 4
- 125000002947 alkylene group Chemical group 0.000 claims description 3
- 125000004432 carbon atom Chemical group C* 0.000 claims description 3
- AEQDJSLRWYMAQI-UHFFFAOYSA-N 2,3,9,10-tetramethoxy-6,8,13,13a-tetrahydro-5H-isoquinolino[2,1-b]isoquinoline Chemical compound C1CN2CC(C(=C(OC)C=C3)OC)=C3CC2C2=C1C=C(OC)C(OC)=C2 AEQDJSLRWYMAQI-UHFFFAOYSA-N 0.000 claims description 2
- VHUUQVKOLVNVRT-UHFFFAOYSA-N Ammonium hydroxide Chemical compound [NH4+].[OH-] VHUUQVKOLVNVRT-UHFFFAOYSA-N 0.000 claims description 2
- CIWBSHSKHKDKBQ-JLAZNSOCSA-N Ascorbic acid Natural products OC[C@H](O)[C@H]1OC(=O)C(O)=C1O CIWBSHSKHKDKBQ-JLAZNSOCSA-N 0.000 claims description 2
- RGHNJXZEOKUKBD-UHFFFAOYSA-N D-gluconic acid Natural products OCC(O)C(O)C(O)C(O)C(O)=O RGHNJXZEOKUKBD-UHFFFAOYSA-N 0.000 claims description 2
- CIWBSHSKHKDKBQ-DUZGATOHSA-N D-isoascorbic acid Chemical compound OC[C@@H](O)[C@H]1OC(=O)C(O)=C1O CIWBSHSKHKDKBQ-DUZGATOHSA-N 0.000 claims description 2
- PMZURENOXWZQFD-UHFFFAOYSA-L Sodium Sulfate Chemical compound [Na+].[Na+].[O-]S([O-])(=O)=O PMZURENOXWZQFD-UHFFFAOYSA-L 0.000 claims description 2
- QGZKDVFQNNGYKY-UHFFFAOYSA-N ammonia Natural products N QGZKDVFQNNGYKY-UHFFFAOYSA-N 0.000 claims description 2
- BFNBIHQBYMNNAN-UHFFFAOYSA-N ammonium sulfate Chemical compound N.N.OS(O)(=O)=O BFNBIHQBYMNNAN-UHFFFAOYSA-N 0.000 claims description 2
- 229910052921 ammonium sulfate Inorganic materials 0.000 claims description 2
- 235000011130 ammonium sulphate Nutrition 0.000 claims description 2
- 125000003289 ascorbyl group Chemical class [H]O[C@@]([H])(C([H])([H])O*)[C@@]1([H])OC(=O)C(O*)=C1O* 0.000 claims description 2
- XPPKVPWEQAFLFU-UHFFFAOYSA-N diphosphoric acid Chemical compound OP(O)(=O)OP(O)(O)=O XPPKVPWEQAFLFU-UHFFFAOYSA-N 0.000 claims description 2
- 235000010350 erythorbic acid Nutrition 0.000 claims description 2
- CCIVGXIOQKPBKL-UHFFFAOYSA-M ethanesulfonate Chemical compound CCS([O-])(=O)=O CCIVGXIOQKPBKL-UHFFFAOYSA-M 0.000 claims description 2
- 239000000174 gluconic acid Substances 0.000 claims description 2
- 235000012208 gluconic acid Nutrition 0.000 claims description 2
- 229940045996 isethionic acid Drugs 0.000 claims description 2
- 229940026239 isoascorbic acid Drugs 0.000 claims description 2
- AICMYQIGFPHNCY-UHFFFAOYSA-J methanesulfonate;tin(4+) Chemical compound [Sn+4].CS([O-])(=O)=O.CS([O-])(=O)=O.CS([O-])(=O)=O.CS([O-])(=O)=O AICMYQIGFPHNCY-UHFFFAOYSA-J 0.000 claims description 2
- 229940098779 methanesulfonic acid Drugs 0.000 claims description 2
- OTYBMLCTZGSZBG-UHFFFAOYSA-L potassium sulfate Chemical compound [K+].[K+].[O-]S([O-])(=O)=O OTYBMLCTZGSZBG-UHFFFAOYSA-L 0.000 claims description 2
- 229910052939 potassium sulfate Inorganic materials 0.000 claims description 2
- 235000011151 potassium sulphates Nutrition 0.000 claims description 2
- 229940005657 pyrophosphoric acid Drugs 0.000 claims description 2
- 239000000176 sodium gluconate Substances 0.000 claims description 2
- 229940005574 sodium gluconate Drugs 0.000 claims description 2
- 235000012207 sodium gluconate Nutrition 0.000 claims description 2
- 229910052938 sodium sulfate Inorganic materials 0.000 claims description 2
- 235000011152 sodium sulphate Nutrition 0.000 claims description 2
- FAKFSJNVVCGEEI-UHFFFAOYSA-J tin(4+);disulfate Chemical compound [Sn+4].[O-]S([O-])(=O)=O.[O-]S([O-])(=O)=O FAKFSJNVVCGEEI-UHFFFAOYSA-J 0.000 claims description 2
- BJDDAXVXMQYXHL-UHFFFAOYSA-J tris(ethylsulfonyloxy)stannyl ethanesulfonate Chemical compound [Sn+4].CCS([O-])(=O)=O.CCS([O-])(=O)=O.CCS([O-])(=O)=O.CCS([O-])(=O)=O BJDDAXVXMQYXHL-UHFFFAOYSA-J 0.000 claims description 2
- 239000000243 solution Substances 0.000 description 128
- 230000000052 comparative effect Effects 0.000 description 28
- XLYOFNOQVPJJNP-UHFFFAOYSA-N water Substances O XLYOFNOQVPJJNP-UHFFFAOYSA-N 0.000 description 27
- 238000000034 method Methods 0.000 description 22
- 238000011156 evaluation Methods 0.000 description 15
- 229910021626 Tin(II) chloride Inorganic materials 0.000 description 13
- 238000005406 washing Methods 0.000 description 13
- 230000003078 antioxidant effect Effects 0.000 description 12
- 229910000679 solder Inorganic materials 0.000 description 12
- 238000012360 testing method Methods 0.000 description 11
- 229910001432 tin ion Inorganic materials 0.000 description 11
- 230000000694 effects Effects 0.000 description 9
- 230000015271 coagulation Effects 0.000 description 8
- 238000005345 coagulation Methods 0.000 description 8
- 239000000047 product Substances 0.000 description 8
- 230000002378 acidificating effect Effects 0.000 description 7
- 239000013078 crystal Substances 0.000 description 7
- 230000007935 neutral effect Effects 0.000 description 7
- 239000003985 ceramic capacitor Substances 0.000 description 6
- 239000003002 pH adjusting agent Substances 0.000 description 6
- 239000008237 rinsing water Substances 0.000 description 6
- MGSRCZKZVOBKFT-UHFFFAOYSA-N thymol Chemical compound CC(C)C1=CC=C(C)C=C1O MGSRCZKZVOBKFT-UHFFFAOYSA-N 0.000 description 6
- 239000005708 Sodium hypochlorite Substances 0.000 description 5
- 229960000686 benzalkonium chloride Drugs 0.000 description 5
- CADWTSSKOVRVJC-UHFFFAOYSA-N benzyl(dimethyl)azanium;chloride Chemical compound [Cl-].C[NH+](C)CC1=CC=CC=C1 CADWTSSKOVRVJC-UHFFFAOYSA-N 0.000 description 5
- 238000005868 electrolysis reaction Methods 0.000 description 5
- 238000005259 measurement Methods 0.000 description 5
- 238000001556 precipitation Methods 0.000 description 5
- SUKJFIGYRHOWBL-UHFFFAOYSA-N sodium hypochlorite Chemical compound [Na+].Cl[O-] SUKJFIGYRHOWBL-UHFFFAOYSA-N 0.000 description 5
- 230000002411 adverse Effects 0.000 description 4
- 230000015572 biosynthetic process Effects 0.000 description 4
- 150000004697 chelate complex Chemical class 0.000 description 4
- -1 citric acid Chemical class 0.000 description 4
- 238000001514 detection method Methods 0.000 description 4
- 229910001887 tin oxide Inorganic materials 0.000 description 4
- RUPBZQFQVRMKDG-UHFFFAOYSA-M Didecyldimethylammonium chloride Chemical compound [Cl-].CCCCCCCCCC[N+](C)(C)CCCCCCCCCC RUPBZQFQVRMKDG-UHFFFAOYSA-M 0.000 description 3
- 239000005844 Thymol Substances 0.000 description 3
- 230000004520 agglutination Effects 0.000 description 3
- 239000003795 chemical substances by application Substances 0.000 description 3
- 229960004670 didecyldimethylammonium chloride Drugs 0.000 description 3
- 230000001771 impaired effect Effects 0.000 description 3
- 244000005700 microbiome Species 0.000 description 3
- 230000003647 oxidation Effects 0.000 description 3
- 238000007254 oxidation reaction Methods 0.000 description 3
- 229960000790 thymol Drugs 0.000 description 3
- XOLBLPGZBRYERU-UHFFFAOYSA-N tin dioxide Chemical compound O=[Sn]=O XOLBLPGZBRYERU-UHFFFAOYSA-N 0.000 description 3
- 239000002699 waste material Substances 0.000 description 3
- 238000013019 agitation Methods 0.000 description 2
- 239000000919 ceramic Substances 0.000 description 2
- 238000000151 deposition Methods 0.000 description 2
- 230000008021 deposition Effects 0.000 description 2
- 239000000463 material Substances 0.000 description 2
- 239000000203 mixture Substances 0.000 description 2
- 150000007524 organic acids Chemical class 0.000 description 2
- 235000005985 organic acids Nutrition 0.000 description 2
- 239000002244 precipitate Substances 0.000 description 2
- 238000004904 shortening Methods 0.000 description 2
- 239000005028 tinplate Substances 0.000 description 2
- 239000000654 additive Substances 0.000 description 1
- 230000000844 anti-bacterial effect Effects 0.000 description 1
- 230000001580 bacterial effect Effects 0.000 description 1
- 239000003788 bath preparation Substances 0.000 description 1
- 239000003990 capacitor Substances 0.000 description 1
- 125000002091 cationic group Chemical group 0.000 description 1
- 238000006243 chemical reaction Methods 0.000 description 1
- 238000012790 confirmation Methods 0.000 description 1
- 239000000882 contact lens solution Substances 0.000 description 1
- 238000005536 corrosion prevention Methods 0.000 description 1
- 230000007423 decrease Effects 0.000 description 1
- 239000000645 desinfectant Substances 0.000 description 1
- 230000006866 deterioration Effects 0.000 description 1
- 238000004070 electrodeposition Methods 0.000 description 1
- 230000008020 evaporation Effects 0.000 description 1
- 238000001704 evaporation Methods 0.000 description 1
- 230000002349 favourable effect Effects 0.000 description 1
- 238000010438 heat treatment Methods 0.000 description 1
- 239000012535 impurity Substances 0.000 description 1
- 238000009776 industrial production Methods 0.000 description 1
- 230000001788 irregular Effects 0.000 description 1
- 230000007774 longterm Effects 0.000 description 1
- 238000004519 manufacturing process Methods 0.000 description 1
- 238000000691 measurement method Methods 0.000 description 1
- 230000000813 microbial effect Effects 0.000 description 1
- 150000007522 mineralic acids Chemical class 0.000 description 1
- 235000015097 nutrients Nutrition 0.000 description 1
- 238000011160 research Methods 0.000 description 1
- 239000007921 spray Substances 0.000 description 1
- 238000003860 storage Methods 0.000 description 1
- QHGNHLZPVBIIPX-UHFFFAOYSA-N tin(ii) oxide Chemical class [Sn]=O QHGNHLZPVBIIPX-UHFFFAOYSA-N 0.000 description 1
Images
Classifications
-
- A—HUMAN NECESSITIES
- A01—AGRICULTURE; FORESTRY; ANIMAL HUSBANDRY; HUNTING; TRAPPING; FISHING
- A01N—PRESERVATION OF BODIES OF HUMANS OR ANIMALS OR PLANTS OR PARTS THEREOF; BIOCIDES, e.g. AS DISINFECTANTS, AS PESTICIDES OR AS HERBICIDES; PEST REPELLANTS OR ATTRACTANTS; PLANT GROWTH REGULATORS
- A01N47/00—Biocides, pest repellants or attractants, or plant growth regulators containing organic compounds containing a carbon atom not being member of a ring and having no bond to a carbon or hydrogen atom, e.g. derivatives of carbonic acid
- A01N47/40—Biocides, pest repellants or attractants, or plant growth regulators containing organic compounds containing a carbon atom not being member of a ring and having no bond to a carbon or hydrogen atom, e.g. derivatives of carbonic acid the carbon atom having a double or triple bond to nitrogen, e.g. cyanates, cyanamides
- A01N47/42—Biocides, pest repellants or attractants, or plant growth regulators containing organic compounds containing a carbon atom not being member of a ring and having no bond to a carbon or hydrogen atom, e.g. derivatives of carbonic acid the carbon atom having a double or triple bond to nitrogen, e.g. cyanates, cyanamides containing —N=CX2 groups, e.g. isothiourea
- A01N47/44—Guanidine; Derivatives thereof
-
- C—CHEMISTRY; METALLURGY
- C25—ELECTROLYTIC OR ELECTROPHORETIC PROCESSES; APPARATUS THEREFOR
- C25D—PROCESSES FOR THE ELECTROLYTIC OR ELECTROPHORETIC PRODUCTION OF COATINGS; ELECTROFORMING; APPARATUS THEREFOR
- C25D17/00—Constructional parts, or assemblies thereof, of cells for electrolytic coating
- C25D17/16—Apparatus for electrolytic coating of small objects in bulk
-
- C—CHEMISTRY; METALLURGY
- C25—ELECTROLYTIC OR ELECTROPHORETIC PROCESSES; APPARATUS THEREFOR
- C25D—PROCESSES FOR THE ELECTROLYTIC OR ELECTROPHORETIC PRODUCTION OF COATINGS; ELECTROFORMING; APPARATUS THEREFOR
- C25D3/00—Electroplating: Baths therefor
- C25D3/02—Electroplating: Baths therefor from solutions
- C25D3/30—Electroplating: Baths therefor from solutions of tin
- C25D3/32—Electroplating: Baths therefor from solutions of tin characterised by the organic bath constituents used
Landscapes
- Chemical & Material Sciences (AREA)
- Life Sciences & Earth Sciences (AREA)
- Engineering & Computer Science (AREA)
- Organic Chemistry (AREA)
- Metallurgy (AREA)
- Materials Engineering (AREA)
- Electrochemistry (AREA)
- Chemical Kinetics & Catalysis (AREA)
- Health & Medical Sciences (AREA)
- Zoology (AREA)
- Environmental Sciences (AREA)
- Wood Science & Technology (AREA)
- General Health & Medical Sciences (AREA)
- Dentistry (AREA)
- Plant Pathology (AREA)
- Pest Control & Pesticides (AREA)
- Agronomy & Crop Science (AREA)
- Electroplating And Plating Baths Therefor (AREA)
Description
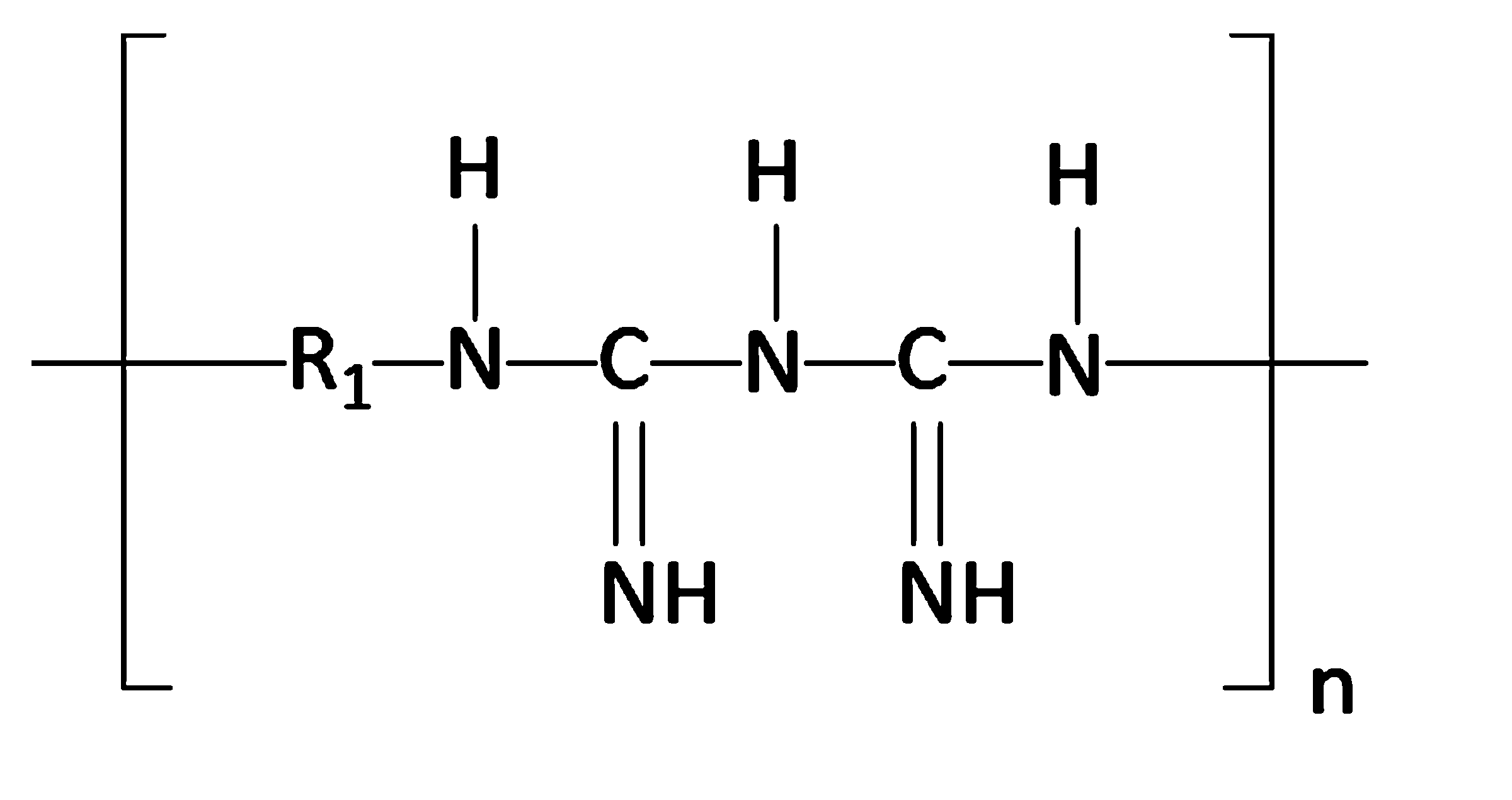
本件発明に係るバレルめっき用スズめっき液に添加して用いるカビ防止剤は、以下の化1で示されるポリアルキレンビグアナイド化合物およびそれらの塩よりなる群から選択される1種又は2種以上である。スズめっき液に、スズめっきに必要な成分以外の物質を加えることは、通常、スズめっき皮膜の品質へ悪い影響を与える。しかしながら、当該カビ防止剤を添加したバレルめっき用スズめっき液を用いてスズめっきを行った場合、成膜したスズめっき皮膜の品質へ悪い影響を与えない。さらに、当該カビ防止剤を添加したバレルめっき用スズめっき液を用いてスズめっきを行った後の水洗工程において、水洗水におけるカビの発生を抑制する。
本件発明に係るバレルめっき用スズめっき液は、スズイオン供給源であるスズ塩と、金属錯化剤と、導電塩と、補助導電塩と、pH調整剤と、酸化防止剤とを含むスズめっき液に、上述のカビ防止剤である、ポリアルキレンビグアナイド化合物およびそれらの塩よりなる群から選択される1種又は2種以上を含むものである。そして、このポリアルキレンビグアナイド化合物およびそれらの塩よりなる群から選択される1種又は2種以上は、ポリヘキサメチレンビグアナイドおよびそれらの塩よりなる群から選択される1種又は2種以上であることが好ましい。本件発明に係るバレルめっき用スズめっき液に、前記カビ防止剤を含むことによって、当該スズめっき液のpHが弱酸性から中性に近く、30℃を超える浴温環境であっても、スズめっき工程後の水洗工程において、水洗水におけるカビの発生を抑制することができる。
本件発明に係るバレルめっき用スズめっき液のスズイオン供給源であるスズ塩とは、水に対して可溶性の第1スズ塩である(以下、単に「スズ塩」と称する。)。そして、当該スズ塩は、メタンスルホン酸スズ、硫酸スズ、エタンスルホン酸スズ、イセチオン酸スズから選択される1種又は2種以上を用いることが好ましい。
本件発明に係るバレルめっき用スズめっき液の金属錯化剤は、スズめっき液中でスズ塩から供給されたスズイオンをキレート錯体として安定化させるものである。そして、当該金属錯化剤は、グルコン酸ナトリウム、グルコン酸又はその塩、クエン酸又はその塩、ピロリン酸又はその塩から選択される1種又は2種以上を用いることが好ましい。ここに記載した金属錯化剤が、スズイオン供給源であるスズ塩から溶液中に電離したスズイオンと効率よくキレート錯体を形成するからである。
本件発明に係るバレルめっき用スズめっき液の導電塩は、スズめっき液を電解する際の通電状態を安定化させ、スズ析出の電流効率を高くし、生産性を高めるものである。そして、当該導電塩は、硫酸アンモニウム、硫酸ナトリウム、硫酸カリウムから選択される1種又は2種以上を用いることが好ましい。これらが最もスズめっき液の品質変化が小さく、スズめっき層への不純物残留もないからである。
本件発明に係る補助導電塩は、スズめっき液を電解する際の通電状態を安定化させるために、前述の導電塩と併用して用いるものである。そして、当該補助導電塩は、メタンスルホン酸、エタンスルホン酸、硫酸、イセチオン酸から選択される1種又は2種以上を用いることが好ましい。前記導電塩と併用して用いることで、スズめっきを行う際のめっき液性状に影響を与えず、スズめっき液を電解する際の通電状態を安定化するからである。
本件発明に係るバレルめっき用スズめっき液のpH調整剤は、スズめっき液中でスズ塩から供給されたスズイオンと金属錯化剤とが反応してスズキレート錯体を形成するのに適するよう、そして、一旦生成したスズキレート錯体の安定化を図るためと、最終的に本件発明に係るスズめっき液がスズめっきを行うのに適したpHとする為に用いるものである。そして、当該pH調整剤は、水酸化ナトリウム、水酸化カリウム、アンモニア水から選択される1種又は2種以上を用いることが好ましい。これらをpH調整剤として選択したのはスズめっきを行う際のめっき液性状に影響を与えず、良好なスズめっき層の形成が出来るからである。
本件発明に係るバレルめっき用スズめっき液の酸化防止剤は、イソアスコルビン酸、カテコール、ヒドロキノン、アスコルビン酸塩から選択される1種又は2種以上を用いることが好ましい。大気とめっき液との接触による自然酸化を防止して、スズ酸化物の沈殿発生を効率良く防止するためである。
本件発明に係るカビ防止剤は、前述のバレルめっき用スズめっき液に添加して用いるのが好ましい。
本件発明に係るバレルめっき用スズめっき液を用いたスズめっき方法は、被めっき品を投入したバレルをスズめっき液に浸漬し、浴温10℃~50℃の条件で電解することが好ましい。このめっき方法で特徴的なことは、浴温10℃~50℃の範囲でのめっき操業が可能な点にある。浴温が10℃未満の場合には、粗いスズめっき結晶が析出し、平滑で膜厚均一性に優れたスズめっき層を得にくくなる。一方、浴温が50℃を超えるものとした場合には、めっき液水分の蒸発気散が顕著になり、スズめっき液の組成変動が激しくなるに加えて、金属スズの酸化が促進され溶液寿命も短くなる。
以上に述べた本件発明に係るバレルめっき用スズめっき液は、一度に大量にめっきすることが可能なバレルめっきに用いるものであって、チップ型積層セラミックコンデンサ、チップ型セラミックコイル、チップ型セラミックサーミスタ、インダクタ、バリスタ、抵抗器等に代用される小型部品のスズめっき層の形成に好適である。
比較例1では、カビ防止剤として、塩化ベンザルコニウムを2g/L用いた以外は、実施例と同様にして、バレルめっき用スズめっき液を調整した。
比較例2では、カビ防止剤として、次亜塩素酸ナトリウムを2g/L用いた以外は、実施例と同様にして、バレルめっき用スズめっき液を調整した。
比較例3では、カビ防止剤として、塩化ジデシルジメチルアンモニウムを2g/L用いた以外は、実施例と同様にして、バレルめっき用スズめっき液を調整した。
比較例4では、カビ防止剤として、チモールを2g/L用いた以外は、実施例と同様にして、バレルめっき用スズめっき液を調整した。
A.浴外観
実施例、及び比較例1~4のスズめっき液をビーカーに入れて、スズめっき液の浴外観における濁りや沈殿の有無を確認した結果を図1に示す。図1に示す浴外観の結果から、カビ防止剤として比較例3の塩化ジデシルジメチルアンモニウムを用いると、めっき液が濁ってしまうことが判明した。そして、カビ防止剤として比較例4のチモールを用いると、めっき液に沈殿が発生してしまうことが判明した。すなわち、比較例3の塩化ジデシルジメチルアンモニウム及び比較例4のチモールは、本件発明に係るバレルめっき用スズめっき液に添加するカビ防止剤としては適していないことが明らかとなった。したがって、以降の試験は、実施例、比較例1、2のめっき液で行うこととした。
バレルめっきによって成膜したスズめっき皮膜を評価するため、実施例、及び比較例1、2のスズめっき液を用いて、バレルに2012形状MLCC(積層セラミックコンデンサ)及び抵抗器を投入し、以下のバレルめっき条件でバレルめっきを実施した。
バレル :株式会社山本鍍金試験器製 ミニバレル1-B型
浴量 :2L
浴温度 :40℃
電流密度 :0.2A/dm2
陽極 :99.99%スズ板
めっき時間 :30分
撹拌 :バレルによる回転 10rpm.
前述のバレルめっき条件で成膜したスズめっき皮膜の外観を、株式会社日立ハイテク製の走査電子顕微鏡S-3400Nを用いて観察した。スズめっき皮膜の外観確認結果を図2に示す。カビ防止剤としてポリヘキサメチレンビグアナイドを添加した実施例のスズめっき液を用いて成膜したスズめっき皮膜の外観は、MLCC及び抵抗器共に、スズの結晶が均一に析出しており、かつ結晶粒が揃っていて良好であった。
前述のバレルめっき条件で成膜した被めっき品において、無作為に選んだ被メッキ品5個のスズめっき皮膜の膜厚を、ブルカー・エイエックスエス株式会社製の蛍光X線分析装置M4 TORNADOを用いて観察した。スズめっき皮膜の膜厚測定結果を図3に示す。ここでは、良好な膜厚範囲を3.0μm~7.0μmとした。棒グラフの先端値が被メッキ品5個のスズめっき皮膜の膜厚の平均値である。そして、棒グラフと共に表示されているエラーバーの最下点が測定した膜厚の最小値、エラーバーの最上点が測定した膜厚の最大値を示す。
はんだ濡れ性を評価するために、次のような試験を行った。最初に、前述のバレルめっき条件で成膜した被めっき品において、105℃、100%RH、4時間の条件でのプレッシャークッカー試験(PCT)によるスズめっき皮膜の加速劣化処理を行った。その後、株式会社レスカ製のソルダーチェッカー5200TNを用いて、メニスコグラフ法によって、試験片(プレッシャークッカー試験処理後の被めっき品)をはんだペーストに浸漬してから濡れ応力値がゼロになるまでの時間であるゼロクロスタイムを、以下の条件で測定した。
はんだペースト組成 :Sn:Ag:Cu=96.5;3.0:0.5
測定方法 :急加熱昇温法
槽温度 :245℃
GAP/DEPTH :0.05mm
測定回数 :5回
バレルめっきにおいて、被めっき品同士が集まって凝集してしまう現象の有無を評価するために、実施例、及び比較例1、2のスズめっき液を用いて、バレルに直径が1.0mmのニッケルめっきダミーボール200gを投入し、以下のバレルめっき条件でバレルめっきを実施した。
浴量 :2L
浴温度 :40℃
電流密度 :0.2A/dm2
めっき時間 :30分
バレル :株式会社山本鍍金試験器製 ミニバレル1-B型
撹拌 :バレルによる回転 10rpm.
陽極 :99.99%スズ板
バレルめっき後の水洗工程における水洗水でのカビ発生を抑制する効果を確認するために、実施例、及び比較例1、2のスズめっき液を用いて、バレルに2012形状MLCC(積層セラミックコンデンサ)及び抵抗器を投入し、前述の「バレルめっきによるスズめっき皮膜評価」に示した条件と同じバレルめっき条件でバレルめっきを実施した。その後、スズめっき後のMLCC及び抵抗器を、水洗工程で水洗した。そして、JNC株式会社製の微生物検出培地MC-Media Padに、前述の水洗後の水洗水を塗布し、35℃で48時間培養した。
ここまで実施した評価項目とその結果を表1にまとめた。表1から明らかなように、カビ発生を防止し、かつ、全ての評価結果が良好だったのは、添加するカビ防止剤としてポリヘキサメチレンビグアナイドを用いた実施例のスズめっき液であった。一方、比較例のスズめっき液は、評価項目のいずれか1つ以上において問題が発生しており、スズめっき液として用いることができないことが明らかとなった。
Claims (9)
- 前記カビ防止剤の含有量は、0.1~30g/Lである請求項1に記載のバレルめっき用スズめっき液。
- 前記ポリアルキレンビグアナイド化合物およびそれらの塩よりなる群から選択される1種又は2種以上は、ポリヘキサメチレンビグアナイドおよびそれらの塩よりなる群から選択される1種又は2種以上である請求項1又は請求項2に記載のバレルめっき用スズめっき液。
- 前記バレルめっき用スズめっき液は、メタンスルホン酸スズ、硫酸スズ、エタンスルホン酸スズ、イセチオン酸スズから選択される1種又は2種以上のスズ塩を含む請求項1から請求項3の何れか一項に記載のバレルめっき用スズめっき液。
- 前記バレルめっき用スズめっき液は、グルコン酸ナトリウム、グルコン酸又はその塩、クエン酸又はその塩、ピロリン酸又はその塩から選択される1種又は2種以上の金属錯化剤を含む請求項1から請求項4のいずれか一項に記載のバレルめっき用スズめっき液。
- 前記バレルめっき用スズめっき液は、硫酸アンモニウム、硫酸ナトリウム、硫酸カリウムから選択される1種又は2種以上の導電塩を含む請求項1から請求項5のいずれか一項に記載のバレルめっき用スズめっき液。
- 前記バレルめっき用スズめっき液は、メタンスルホン酸、硫酸、エタンスルホン酸、イセチオン酸から選択される1種又は2種以上の補助導電塩を含む請求項1から請求項6のいずれか一項に記載のバレルめっき用スズめっき液。
- 前記バレルめっき用スズめっき液は、イソアスコルビン酸、カテコール、ヒドロキノン、アスコルビン酸塩から選択される1種又は2種以上の酸化防止剤を含む請求項1から請求項7のいずれか一項に記載のバレルめっき用スズめっき液。
- 前記バレルめっき用スズめっき液は、水酸化ナトリウム、水酸化カリウム、アンモニア水から選択される1種又は2種のpH調整剤を含む請求項1から請求項8のいずれか一項に記載のバレルめっき用スズめっき液。
Priority Applications (6)
| Application Number | Priority Date | Filing Date | Title |
|---|---|---|---|
| JP2020167498A JP7598552B2 (ja) | 2020-10-02 | 2020-10-02 | バレルめっき用スズめっき液 |
| CN202180006228.XA CN114651090A (zh) | 2020-10-02 | 2021-09-17 | 滚镀用镀锡液 |
| PCT/JP2021/034277 WO2022070983A1 (ja) | 2020-10-02 | 2021-09-17 | バレルめっき用スズめっき液 |
| KR1020227035069A KR20220151680A (ko) | 2020-10-02 | 2021-09-17 | 배럴 도금용 주석 도금액 |
| PH1/2022/551044A PH12022551044B1 (en) | 2020-10-02 | 2021-09-17 | Tin plating solution for barrel plating |
| TW110135523A TWI781771B (zh) | 2020-10-02 | 2021-09-24 | 滾筒電鍍用錫電鍍液 |
Applications Claiming Priority (1)
| Application Number | Priority Date | Filing Date | Title |
|---|---|---|---|
| JP2020167498A JP7598552B2 (ja) | 2020-10-02 | 2020-10-02 | バレルめっき用スズめっき液 |
Publications (2)
| Publication Number | Publication Date |
|---|---|
| JP2022059731A JP2022059731A (ja) | 2022-04-14 |
| JP7598552B2 true JP7598552B2 (ja) | 2024-12-12 |
Family
ID=80951480
Family Applications (1)
| Application Number | Title | Priority Date | Filing Date |
|---|---|---|---|
| JP2020167498A Active JP7598552B2 (ja) | 2020-10-02 | 2020-10-02 | バレルめっき用スズめっき液 |
Country Status (6)
| Country | Link |
|---|---|
| JP (1) | JP7598552B2 (ja) |
| KR (1) | KR20220151680A (ja) |
| CN (1) | CN114651090A (ja) |
| PH (1) | PH12022551044B1 (ja) |
| TW (1) | TWI781771B (ja) |
| WO (1) | WO2022070983A1 (ja) |
Citations (5)
| Publication number | Priority date | Publication date | Assignee | Title |
|---|---|---|---|---|
| JP2000319796A (ja) | 1999-05-06 | 2000-11-21 | Nippon Paint Co Ltd | 流動電解装置を備えたカチオン電着塗装装置およびカチオン電着塗装方法 |
| JP2003293186A (ja) | 2002-04-09 | 2003-10-15 | Ishihara Chem Co Ltd | 中性スズメッキ浴、当該浴を用いたバレルメッキ方法 |
| JP2009533548A (ja) | 2006-04-06 | 2009-09-17 | テクノロジーズ モレキュレール (テクモ) | 表面上の銅電着用界面活性条件抑制剤 |
| JP2014505167A (ja) | 2010-12-21 | 2014-02-27 | ビーエーエスエフ ソシエタス・ヨーロピア | レベリング剤を含有する金属電解めっき組成物 |
| CN108754553A (zh) | 2018-06-26 | 2018-11-06 | 厦门大学 | 基于杂环类生物碱配位的三价金无氰镀金电镀液及其应用 |
Family Cites Families (9)
| Publication number | Priority date | Publication date | Assignee | Title |
|---|---|---|---|---|
| SU785381A1 (ru) * | 1978-01-11 | 1980-12-07 | Научно-Производственное Объединение По Технологии Машиностроения "Цниитмаш" | Электролит цинковани |
| JPH07228999A (ja) * | 1994-02-16 | 1995-08-29 | Sumitomo Osaka Cement Co Ltd | 抗菌防カビ性を有するメッキ処理方法 |
| WO2006117920A1 (ja) | 2005-04-28 | 2006-11-09 | Meltex Inc. | スズめっき液、そのスズめっき液を用いためっき方法、スズめっき液調整方法及びそのスズめっき液を用いてスズめっき層を形成したチップ部品 |
| JP2007239076A (ja) * | 2006-03-10 | 2007-09-20 | Meltex Inc | スズめっき皮膜、そのスズめっき皮膜形成用のスズめっき液、そのスズめっき皮膜形成方法、及びそのスズめっき皮膜で電極形成したチップ型電子部品 |
| WO2010052888A1 (ja) * | 2008-11-04 | 2010-05-14 | 日本曹達株式会社 | カチオン電着塗装システム用徐放性殺菌・抗菌剤 |
| JP5150016B2 (ja) * | 2009-05-12 | 2013-02-20 | 石原薬品株式会社 | スズ又はスズ合金メッキ浴、及び当該メッキ浴を用いたバレルメッキ方法 |
| TR201910870T4 (tr) * | 2010-05-28 | 2019-08-21 | Toyo Kohan Co Ltd | Bir yüzey işlemi kullanılarak yüzeyi işlenmiş çelik levha üretme metodu ve bu üretim metodu ile oluşturulan yüzeyi işlenmiş çelik levha. |
| CN103620092B (zh) * | 2011-03-25 | 2016-06-22 | 日涂表面处理化工有限公司 | 镀锡钢材用表面处理剂组合物以及表面处理过的镀锡钢材 |
| JP6818520B2 (ja) * | 2016-11-11 | 2021-01-20 | ローム・アンド・ハース電子材料株式会社 | 中性スズめっき液を用いたバレルめっきまたは高速回転めっき方法 |
-
2020
- 2020-10-02 JP JP2020167498A patent/JP7598552B2/ja active Active
-
2021
- 2021-09-17 CN CN202180006228.XA patent/CN114651090A/zh active Pending
- 2021-09-17 KR KR1020227035069A patent/KR20220151680A/ko not_active Withdrawn
- 2021-09-17 WO PCT/JP2021/034277 patent/WO2022070983A1/ja not_active Ceased
- 2021-09-17 PH PH1/2022/551044A patent/PH12022551044B1/en unknown
- 2021-09-24 TW TW110135523A patent/TWI781771B/zh active
Patent Citations (5)
| Publication number | Priority date | Publication date | Assignee | Title |
|---|---|---|---|---|
| JP2000319796A (ja) | 1999-05-06 | 2000-11-21 | Nippon Paint Co Ltd | 流動電解装置を備えたカチオン電着塗装装置およびカチオン電着塗装方法 |
| JP2003293186A (ja) | 2002-04-09 | 2003-10-15 | Ishihara Chem Co Ltd | 中性スズメッキ浴、当該浴を用いたバレルメッキ方法 |
| JP2009533548A (ja) | 2006-04-06 | 2009-09-17 | テクノロジーズ モレキュレール (テクモ) | 表面上の銅電着用界面活性条件抑制剤 |
| JP2014505167A (ja) | 2010-12-21 | 2014-02-27 | ビーエーエスエフ ソシエタス・ヨーロピア | レベリング剤を含有する金属電解めっき組成物 |
| CN108754553A (zh) | 2018-06-26 | 2018-11-06 | 厦门大学 | 基于杂环类生物碱配位的三价金无氰镀金电镀液及其应用 |
Also Published As
| Publication number | Publication date |
|---|---|
| WO2022070983A1 (ja) | 2022-04-07 |
| PH12022551044B1 (en) | 2024-02-28 |
| TW202219325A (zh) | 2022-05-16 |
| KR20220151680A (ko) | 2022-11-15 |
| TWI781771B (zh) | 2022-10-21 |
| CN114651090A (zh) | 2022-06-21 |
| PH12022551044A1 (en) | 2023-05-29 |
| JP2022059731A (ja) | 2022-04-14 |
Similar Documents
| Publication | Publication Date | Title |
|---|---|---|
| CN100469942C (zh) | 含有机酸配位剂的电镀溶液 | |
| KR101299114B1 (ko) | 금속의 표면처리용 수용액 및 금속표면의 변색방지방법 | |
| US20100101962A1 (en) | Immersion method | |
| US20100038254A1 (en) | Tin electroplating solution and tin electroplating method | |
| US20040251143A1 (en) | Electrolytic tin-plating solution and method for plating | |
| US9200168B2 (en) | Metal surface treatment aqueous solution and method for inhibiting whiskers on a metal surface | |
| JP3910028B2 (ja) | チップ型セラミックス電子部品の電極形成法 | |
| JP7598552B2 (ja) | バレルめっき用スズめっき液 | |
| CN1139676C (zh) | 锡-铋合金镀浴及使用该镀浴的电镀方法 | |
| TWI417429B (zh) | An electroplating bath using the electroplating bath, and a substrate deposited by the electrolytic plating | |
| US5194139A (en) | Pretreating solution for silver plating and silver plating treating process using the solution | |
| JP2008285732A (ja) | ニッケルめっき液及びそのニッケルめっき液を用いた電気めっき方法並びにその電気めっき方法でニッケルめっき皮膜を形成したチップ部品 | |
| TW202106928A (zh) | 錫電鍍浴及於基板表面上沉積錫或錫合金之方法 | |
| JP2002047593A (ja) | 錫めっき浴および錫めっき方法 | |
| WO2020039791A1 (ja) | すず合金電気めっき浴及びそれを用いためっき方法 | |
| JP2008019468A (ja) | 錫めっき皮膜 | |
| JP2003129272A (ja) | 電子部品のめっき方法、及び電子部品 | |
| JP2004238651A (ja) | スズめっき浴、及び電子部品の製造方法 |
Legal Events
| Date | Code | Title | Description |
|---|---|---|---|
| A621 | Written request for application examination |
Free format text: JAPANESE INTERMEDIATE CODE: A621 Effective date: 20230704 |
|
| A131 | Notification of reasons for refusal |
Free format text: JAPANESE INTERMEDIATE CODE: A131 Effective date: 20240802 |
|
| TRDD | Decision of grant or rejection written | ||
| A01 | Written decision to grant a patent or to grant a registration (utility model) |
Free format text: JAPANESE INTERMEDIATE CODE: A01 Effective date: 20241028 |
|
| A61 | First payment of annual fees (during grant procedure) |
Free format text: JAPANESE INTERMEDIATE CODE: A61 Effective date: 20241114 |
|
| R150 | Certificate of patent or registration of utility model |
Ref document number: 7598552 Country of ref document: JP Free format text: JAPANESE INTERMEDIATE CODE: R150 |




