JP7576552B2 - イミダゾ[1,2-a]ピリジニル誘導体及び疾患の処置におけるその使用 - Google Patents

イミダゾ[1,2-a]ピリジニル誘導体及び疾患の処置におけるその使用 Download PDF

Info

Publication number
JP7576552B2
JP7576552B2 JP2021541206A JP2021541206A JP7576552B2 JP 7576552 B2 JP7576552 B2 JP 7576552B2 JP 2021541206 A JP2021541206 A JP 2021541206A JP 2021541206 A JP2021541206 A JP 2021541206A JP 7576552 B2 JP7576552 B2 JP 7576552B2
Authority
JP
Japan
Prior art keywords
pyridin
picolinamide
alkyl
ethoxy
imidazo
Prior art date
Legal status (The legal status is an assumption and is not a legal conclusion. Google has not performed a legal analysis and makes no representation as to the accuracy of the status listed.)
Active
Application number
JP2021541206A
Other languages
English (en)
Other versions
JP2022517410A (ja
JPWO2020150626A5 (ja
Inventor
ホプキンス,ブライアン・ティー
プファッフェンバック,マグヌス
メイ-ドラッカ,トリシア
エバンス,ライアン
ガオ,ファーン
エニエディ,イストバン
シン,ジリ
ボルデュク,フィリップ
ピーターソン,エミリー・アン
Current Assignee (The listed assignees may be inaccurate. Google has not performed a legal analysis and makes no representation or warranty as to the accuracy of the list.)
Biogen MA Inc
Original Assignee
Biogen MA Inc
Priority date (The priority date is an assumption and is not a legal conclusion. Google has not performed a legal analysis and makes no representation as to the accuracy of the date listed.)
Filing date
Publication date
Application filed by Biogen MA Inc filed Critical Biogen MA Inc
Publication of JP2022517410A publication Critical patent/JP2022517410A/ja
Publication of JPWO2020150626A5 publication Critical patent/JPWO2020150626A5/ja
Application granted granted Critical
Publication of JP7576552B2 publication Critical patent/JP7576552B2/ja
Active legal-status Critical Current
Anticipated expiration legal-status Critical

Links

Classifications

    • CCHEMISTRY; METALLURGY
    • C07ORGANIC CHEMISTRY
    • C07DHETEROCYCLIC COMPOUNDS
    • C07D471/00Heterocyclic compounds containing nitrogen atoms as the only ring hetero atoms in the condensed system, at least one ring being a six-membered ring with one nitrogen atom, not provided for by groups C07D451/00 - C07D463/00
    • C07D471/02Heterocyclic compounds containing nitrogen atoms as the only ring hetero atoms in the condensed system, at least one ring being a six-membered ring with one nitrogen atom, not provided for by groups C07D451/00 - C07D463/00 in which the condensed system contains two hetero rings
    • C07D471/04Ortho-condensed systems
    • AHUMAN NECESSITIES
    • A61MEDICAL OR VETERINARY SCIENCE; HYGIENE
    • A61PSPECIFIC THERAPEUTIC ACTIVITY OF CHEMICAL COMPOUNDS OR MEDICINAL PREPARATIONS
    • A61P25/00Drugs for disorders of the nervous system
    • AHUMAN NECESSITIES
    • A61MEDICAL OR VETERINARY SCIENCE; HYGIENE
    • A61PSPECIFIC THERAPEUTIC ACTIVITY OF CHEMICAL COMPOUNDS OR MEDICINAL PREPARATIONS
    • A61P29/00Non-central analgesic, antipyretic or antiinflammatory agents, e.g. antirheumatic agents; Non-steroidal antiinflammatory drugs [NSAID]
    • AHUMAN NECESSITIES
    • A61MEDICAL OR VETERINARY SCIENCE; HYGIENE
    • A61PSPECIFIC THERAPEUTIC ACTIVITY OF CHEMICAL COMPOUNDS OR MEDICINAL PREPARATIONS
    • A61P37/00Drugs for immunological or allergic disorders
    • AHUMAN NECESSITIES
    • A61MEDICAL OR VETERINARY SCIENCE; HYGIENE
    • A61PSPECIFIC THERAPEUTIC ACTIVITY OF CHEMICAL COMPOUNDS OR MEDICINAL PREPARATIONS
    • A61P9/00Drugs for disorders of the cardiovascular system
    • CCHEMISTRY; METALLURGY
    • C07ORGANIC CHEMISTRY
    • C07DHETEROCYCLIC COMPOUNDS
    • C07D487/00Heterocyclic compounds containing nitrogen atoms as the only ring hetero atoms in the condensed system, not provided for by groups C07D451/00 - C07D477/00
    • C07D487/02Heterocyclic compounds containing nitrogen atoms as the only ring hetero atoms in the condensed system, not provided for by groups C07D451/00 - C07D477/00 in which the condensed system contains two hetero rings
    • C07D487/04Ortho-condensed systems
    • CCHEMISTRY; METALLURGY
    • C07ORGANIC CHEMISTRY
    • C07DHETEROCYCLIC COMPOUNDS
    • C07D519/00Heterocyclic compounds containing more than one system of two or more relevant hetero rings condensed among themselves or condensed with a common carbocyclic ring system not provided for in groups C07D453/00 or C07D455/00

Landscapes

  • Chemical & Material Sciences (AREA)
  • Organic Chemistry (AREA)
  • Health & Medical Sciences (AREA)
  • Animal Behavior & Ethology (AREA)
  • Public Health (AREA)
  • Veterinary Medicine (AREA)
  • Chemical Kinetics & Catalysis (AREA)
  • General Chemical & Material Sciences (AREA)
  • Medicinal Chemistry (AREA)
  • Nuclear Medicine, Radiotherapy & Molecular Imaging (AREA)
  • Pharmacology & Pharmacy (AREA)
  • Life Sciences & Earth Sciences (AREA)
  • General Health & Medical Sciences (AREA)
  • Engineering & Computer Science (AREA)
  • Bioinformatics & Cheminformatics (AREA)
  • Rheumatology (AREA)
  • Cardiology (AREA)
  • Heart & Thoracic Surgery (AREA)
  • Pain & Pain Management (AREA)
  • Immunology (AREA)
  • Biomedical Technology (AREA)
  • Neurology (AREA)
  • Neurosurgery (AREA)
  • Pharmaceuticals Containing Other Organic And Inorganic Compounds (AREA)
  • Nitrogen Condensed Heterocyclic Rings (AREA)
  • Nitrogen And Oxygen Or Sulfur-Condensed Heterocyclic Ring Systems (AREA)

Description

関連出願
本出願は、合衆国法典第35巻第119条(e)に基づき、2019年1月18日に出願された米国仮特許出願第62/794,098号の出願日の利益を主張し、参照によりその全内容が本明細書に組み込まれる。
本発明は、イミダゾ[1,2-a]ピリジニル誘導体及びその薬学的に許容される塩、これらの化合物の単独の組成物、または少なくとも1種の追加の治療薬と組み合わせた組成物のいずれか、それらの調製方法、疾患の処置におけるそれらの使用、医薬製剤の製造のための単独または少なくとも1種の追加の治療薬と組み合わせのいずれかでの、かつ任意に薬学的に許容される担体と組み合わせたそれらの使用、疾患の処置のための当該医薬製剤の使用、ならびに温血動物、特にヒトに当該イミダゾ[1,2-a]ピリジニル誘導体を投与することを含む上記疾患の処置方法に関する。
近年、新規治療薬の探索は、疾患に関連する酵素及び他の生体分子の構造のより良い理解により大いに助けられてきた。広範囲な研究の対象となっている酵素の1つの重要なクラスは、タンパク質キナーゼファミリーである。
キナーゼは、タンパク質、脂質、糖、ヌクレオシド、及び他の細胞の代謝産物のリン酸化を触媒し、真核生物の細胞生理のあらゆる面で重要な役割を果たす。特に、プロテインキナーゼ及び脂質キナーゼは、細胞外メディエーターまたは細胞外刺激、例えば、増殖因子、サイトカイン、またはケモカインに応答して細胞の活性化、増殖、分化、及び生存を制御するシグナル伝達事象に関与する。一般に、プロテインキナーゼは、チロシン残基を優先的にリン酸化するもの、ならびにセリン及び/またはトレオニン残基を優先的にリン酸化するものの2つのグループに分類される。
キナーゼ、例えば、調和のとれた適応免疫応答及び自然免疫応答に関与するキナーゼは、抗炎症薬開発の重要な治療標的である(Cohen,2009.Current Opinion in Cell Biology 21,1-8)。特に関心対象となるキナーゼの標的は、IRAKファミリーのメンバーである。
インターロイキン-1受容体関連キナーゼ(IRAK)は、炎症を制御する細胞内シグナル伝達ネットワークの調節に大いに関与する(Ringwood and Li,2008.Cytokine 42,1-7)。IRAKは多数の細胞種で発現し、toll受容体(TLR)が含まれる様々な細胞受容体からのシグナルを媒介し得る。IRAK4は、インターロイキン-1(IL-1)受容体及びTLR3を除く全てのtoll受容体(TLR)の下流で最初に活性化されるプロテインキナーゼであると考えられ、IRAK1の急速な活性化及びIRAK2のより緩徐な活性化を介して自然免疫系のシグナル伝達を開始する。IRAK1は、IL-1受容体1型と共免疫沈降するIL-1依存的キナーゼ活性の生化学的精製により最初に同定された(Cao et al.,1996.Science 271(5252):1128-31)。IRAK2は、ヒト発現配列タグ(EST)データベースでのIRAK1に相同な配列の検索により同定された(Muzio et al.,1997.Science 278(5343):1612-5)。IRAK3(IRAKMとも称される)は、IRAK1との顕著な相同性を有するポリペプチドをコードするマウスEST配列を使用して、ヒトフィトヘマグルチニン活性化末梢血白血球(PBL)cDNAライブラリーをスクリーニングすることにより同定された(Wesche et al.,1999.J.Biol.Chem.274(27):19403-10)。IRAK4は、IRAK様配列のデータベース検索及びユニバーサルcDNAライブラリーのPCRにより同定された(Li et al.,2002.Proc.Natl.Acad.Sci.USA 99(8):5567-5572)。多数の疾患が、キナーゼにより媒介される事象により引き起こされる異常な細胞応答に関連する。
特に、本発明の式(I)の新規イミダゾ[1,2-a]ピリジニル阻害剤化合物は、限定されるものではないが、がん、アレルギー疾患、自己免疫疾患、炎症及び疼痛に関連する炎症性疾患及び/または炎症性障害及び/または炎症性状態、増殖性疾患、造血障害、血液系腫瘍、骨障害、線維症疾患及び/または障害、代謝障害、筋疾患及び/または筋障害、呼吸器疾患、肺疾患、遺伝性発達性疾患、神経疾患及び神経変性疾患及び/または神経障害及び神経変性障害、慢性炎症性脱髄性ニューロパチー、心臓血管疾患、血管疾患、または心疾患、てんかん、多発性硬化症、虚血性脳卒中、眼科疾患、眼疾患、喘息、アルツハイマー病、筋萎縮性側索硬化症、パーキンソン病、外傷性脳損傷、慢性外傷性脳症、ならびにホルモン関連疾患が挙げられる疾患及び/または障害の領域において有用な、IRAK4を阻害する治療的役割を持つ。
上記を考慮して、式(I)のIRAK4阻害剤は、広範囲のアンメットニーズにわたる複数の治療適応症の処置及び/または予防における価値を有すると考えられる。
第1の態様では、本発明は、式(I):
Figure 0007576552000001
の化合物またはその薬学的に許容される塩であって、式中、
は、ハロゲン、C1~5アルキル、C3~6シクロアルキル、-C1~2アルキル-C3~6シクロアルキル、C(O)NR、C1~4アルキル-NR、窒素、硫黄、及び酸素から独立して選択される1~2個のヘテロ原子を含有する4~7員の完全飽和複素環、5~6員ヘテロアリール、フェニル、-C1~2アルキル-C4~7複素環であって、当該C4~7複素環が完全飽和であっても、部分飽和であってもよく、窒素、硫黄、及び酸素から独立して選択される1~2個のヘテロ原子を含有する、当該-C1~2アルキル-C4~7複素環、-C1~2アルキル-C5~6ヘテロアリールであって、当該ヘテロアリールが窒素、硫黄、及び酸素から独立して選択される1、2、または3個のヘテロ原子を含有する、当該-C1~2アルキル-C5~6ヘテロアリール、-C1~4アルキル-O-C1~2アルキル、-C1~2アルキル-O-C5~6ヘテロアリールであって、当該ヘテロアリールが窒素、硫黄、及び酸素から独立して選択される1または2個のヘテロ原子を含有する、当該-C1~2アルキル-O-C5~6ヘテロアリール、5~10員の完全飽和架橋炭素環、窒素及び酸素から独立して選択される1~2個のヘテロ原子を有する5~10員の架橋複素環系、窒素及び酸素から独立して選択される1~2個のヘテロ原子を有する5~10員の縮合二環式複素環系、ならびに窒素及び酸素から独立して選択される1~2個のヘテロ原子を有する5~10員のスピロ二環式複素環系からなる群から選択され、Rは、ハロ、ニトリル、オキソ、-C(O)OH、ハロ置換C1~4アルキル、ヒドロキシ置換C1~4アルキル、C1~4アルキル、窒素及び酸素から独立して選択される1~2個のヘテロ原子を含有するC4~7複素環、C1~4アルキル-O-C1~2アルキル、ヒドロキシ、C(O)R、ならびにC1~4アルコキシから独立して選択される1、2、または3つの置換基で任意に置換されていてもよく、
は、水素、C1~4アルキル、またはハロゲンであるか、あるいは
及びRは、それらの間にある原子と共にまとめられて、4~7員の部分飽和炭素環または1個の窒素を有する部分飽和複素環を形成し、当該窒素はC1~4アルキルで任意に置換されていてもよく、
及びRは、水素、ヒドロキシ置換C1~4アルキル、及びC1~4アルキルから独立して選択されるか、または
及びRは、それらが結合している窒素と共にまとめられて、4~7員の飽和複素環であって、当該環が窒素及び酸素から選択される追加のヘテロ原子を任意に有する当該4~7員の飽和複素環を形成し、当該窒素はC1~4アルキルで任意に置換されていてもよく、
は、C1~4アルキル、ハロ置換C1~4アルキル、またはO-C1~4アルキルであり、
は、
i.窒素、酸素、及び硫黄から独立して選択される1~2個のヘテロ原子を有する5または6員のヘテロアリールであって、Rからなる群から独立して選択される1~3つの置換基で任意に置換されている、当該ヘテロアリール、
ii.Rからなる群から独立して選択される1~3つの置換基で任意に置換されたフェニル、
iii.1~2個の窒素原子を有する6員の部分飽和複素環であって、Rからなる群から独立して選択される1~3つの置換基で任意に置換されていてもよい、当該複素環、ならびに
iv.窒素及び酸素から独立して選択される1、2、または3個のヘテロ原子を任意に有する8~10員の縮合二環系であって、Rからなる群から独立して選択される1~3つの置換基で任意に置換されている当該環系からなる群から選択され、
及びXは、N、CH、及びCRから独立して選択され、ただし、X及びXのうちの少なくとも1つはCRであり、
は、ハロゲン、ニトリル、NR、-OR、ならびに窒素及び酸素から独立して選択される1または2個のヘテロ原子を含有する4~7員の部分飽和または完全飽和複素環から選択され、当該C1~4アルキル及び当該複素環は、R4aから選択される1~3つの置換基で任意に置換されており、
4aは、各出現において、水素、オキソ、C1~4アルキル、ハロ置換C1~4アルキル、C1~4アルコキシ、及びC3~6シクロアルキルから独立して選択されるか、または2つのR4a基は、それらが結合している炭素と共にまとめられ、組み合わさって、3~8員のスピロシクロアルキルを形成してもよく、
は、水素、C3~6シクロアルキル、窒素及び酸素から独立して選択される1または2個のヘテロ原子を含有する4~7員の部分飽和または完全飽和複素環、またはC1~5アルキルであり、Rにより表される当該C3~6シクロアルキル、当該4~7員の部分飽和または完全飽和複素環、及び当該C1~5アルキルは、ハロゲン、ヒドロキシル、ニトリル、オキソ、NR、ハロ置換C1~4アルキル、C1~4アルコキシ、ハロ置換C1~4アルコキシ、C3~6シクロアルキル、フェニル、ならびに窒素及び酸素から選択される1または2個のヘテロ原子を含有する4~7員の部分飽和または完全飽和複素環から独立して選択される1~3つの置換基で任意に置換されており、当該C3~6シクロアルキル、フェニル、及び4~7員の複素環は、1~3つのR10で任意に置換されていてもよく、
10は、オキソ、ハロ、ハロ置換C1~4アルキル、及びC1~4アルキルから独立して選択され、
は、各出現において、C1~4アルキル、ニトリル、オキソ、ハロ、ハロ置換C1~4アルキル、-NR1112、C1~4アルコキシ、ハロ置換C1~4アルコキシ、C3~6シクロアルキル、C3~6シクロアルコキシ、窒素及び酸素から選択される1または2個のヘテロ原子を含有する4~7員の部分飽和または完全飽和複素環、ならびに窒素、酸素、及び硫黄から独立して選択される1~2個のヘテロ原子を有する5または6員ヘテロアリールから独立して選択され、当該C3~6シクロアルキル及びヘテロアリールは、C1~4アルキル、ヒドロキシ、及びハロゲンからなる群から独立して選択される1~2つの置換基で任意に置換されていてもよく、当該C1~4アルキル及びC1~4アルコキシは、C1~4アルコキシで任意に置換されていてもよく、
11及びR12は、それぞれ、水素、-C(O)C1~4アルキル、及びC1~4アルキルから独立して選択されるか、あるいはR11及びR12は、組み合わさって、窒素または酸素から選択される1個の追加のヘテロ原子を任意に含有する4~6員の飽和環を形成してもよく、当該追加の窒素は、C1~4アルキルで任意に置換されていてもよく、
ただし、XがCRであり、XがCHであり、Rがハロゲンである場合、Rは窒素及び酸素から選択される1または2個のヘテロ原子を含有する4~7員の部分飽和または完全飽和複素環ではなく、ただし、当該化合物は、
Figure 0007576552000002
ではない、当該化合物またはその薬学的に許容される塩に関する。
一実施形態では、本発明は、式(I)の化合物またはその薬学的に許容される塩であって、式中、
は、C1~5アルキル、C3~6シクロアルキル、-C1~2アルキル-C3~6シクロアルキル、C(O)NR、C1~4アルキル-NR、5~10員の完全飽和架橋炭素環、窒素、硫黄、及び酸素から独立して選択される1~2個のヘテロ原子を含有する4~7員の完全飽和複素環、-C1~2アルキル-C4~7複素環であって、当該C4~7複素環が完全飽和であっても、部分飽和であってもよく、窒素、硫黄、及び酸素から独立して選択される1~2個のヘテロ原子を含有する、当該-C1~2アルキル-C4~7複素環、-C1~2アルキル-C5~6ヘテロアリールであって、当該ヘテロアリールが、窒素、硫黄、及び酸素から独立して選択される1、2、または3個のヘテロ原子を含有する、当該-C1~2アルキル-C5~6ヘテロアリール、-C1~4アルキル-O-C1~2アルキル、-C1~2アルキル-O-C5~6ヘテロアリールであって、当該ヘテロアリールが、窒素、硫黄、及び酸素から独立して選択される1または2個のヘテロ原子を含有する、当該-C1~2アルキル-O-C5~6ヘテロアリール、窒素及び酸素から独立して選択される1~2個のヘテロ原子を有する5~10員の縮合二環式複素環系、ならびに窒素及び酸素から独立して選択される1~2個のヘテロ原子を有する5~10員のスピロ二環式複素環系からなる群から選択され、Rは、ハロ、ニトリル、オキソ、ハロ置換C1~4アルキル、ヒドロキシ置換C1~4アルキル、C1~4アルキル、窒素及び酸素から独立して選択される1~2個のヘテロ原子を含有するC4~7複素環、C1~4アルキル-O-C1~2アルキル、ヒドロキシ、C(O)R、ならびにC1~4アルコキシから独立して選択される1、2、または3つの置換基で任意に置換されていてもよく、
は、水素、C1~4アルキル、またはハロゲンであるか、あるいは
及びRは、それらの間にある原子と共にまとめられて、4~7員の部分飽和炭素環または1個の窒素を有する部分飽和複素環を形成し、当該窒素はC1~4アルキルで任意に置換されていてもよく、
及びRは、水素、ヒドロキシ置換C1~4アルキル、及びC1~4アルキルから独立して選択されるか、または
及びRは、それらが結合している窒素と共にまとめられて、4~7員の飽和複素環であって、当該環が窒素及び酸素から選択される追加のヘテロ原子を任意に有する当該4~7員の飽和複素環を形成し、当該窒素はC1~4アルキルで任意に置換されていてもよく、
は、C1~4アルキル、ハロ置換C1~4アルキル、またはO-C1~4アルキルであり、
は、
i.窒素、酸素、及び硫黄から独立して選択される1~2個のヘテロ原子を有する5または6員のヘテロアリールであって、Rからなる群から独立して選択される1~3つの置換基で任意に置換されている、当該ヘテロアリール、
ii.Rからなる群から独立して選択される1~3つの置換基で任意に置換されたフェニル、
iii.1~2個の窒素原子を有する6員の部分飽和複素環であって、Rからなる群から独立して選択される1~3つの置換基で任意に置換されていてもよい、当該複素環、ならびに
iv.窒素及び酸素から独立して選択される1、2、または3個のヘテロ原子を任意に有する8~10員の縮合二環系であって、Rからなる群から独立して選択される1~3つの置換基で任意に置換されている当該環系からなる群から選択され、
及びXは、N、CH、及びCRから独立して選択され、XまたはXのうちの1つのみがCRであってもよく、
は、ハロゲン、ニトリル、NR、-OR、ならびに窒素及び酸素から独立して選択される1または2個のヘテロ原子を含有する4~7員の部分飽和または完全飽和または部分飽和複素環から選択され、当該複素環は、R4aから選択される1~3つの置換基で任意に置換されており、
4aは、各出現において、水素、オキソ、C1~4アルキル、ハロ置換C1~4アルキル、及びC3~6シクロアルキルから独立して選択されるか、または2つのR4a基は、それらが結合している炭素と共にまとめられ、組み合わさって、3~8員のスピロシクロアルキルを形成してもよく、
は、水素、またはハロゲン、ヒドロキシル、NR、C1~4アルコキシ、C3~6シクロアルキル、フェニル、ならびに窒素及び酸素から選択される1または2個のヘテロ原子を含有する4~7員の部分飽和または完全飽和複素環から独立して選択される1~3つの置換基で任意に置換されたC1~5アルキルであり、当該C3~6シクロアルキル、フェニル、及び4~7員の複素環は、1~3つのR10で任意に置換されていてもよく、
10は、オキソ、ハロ、ハロ置換C1~4アルキル、及びC1~4アルキルから独立して選択され、
は、各出現において、C1~4アルキル、オキソ、ハロ、ハロ置換C1~4アルキル、-NR1112、C1~4アルコキシ、ハロ置換C1~4アルコキシ、C3~6シクロアルキル、ならびに窒素、酸素、及び硫黄から独立して選択される1~2個のヘテロ原子を有する5または6員ヘテロアリールから独立して選択され、当該C3~6シクロアルキル及びヘテロアリールは、C1~4アルキル、ヒドロキシ、及びハロゲンからなる群から独立して選択される1~2つの置換基で任意に置換されていてもよく、
11及びR12は、それぞれ、水素、-C(O)C1~4アルキル、及びC1~4アルキルから独立して選択されるか、あるいはR11及びR12は、組み合わさって、窒素または酸素から選択される1個の追加のヘテロ原子を任意に含有する4~6員の飽和環を形成してもよく、当該追加の窒素は、C1~4アルキルで任意に置換されていてもよい、当該化合物またはその薬学的に許容される塩またはその薬学的に許容される塩を提供する。
本発明の別の態様は、本発明の化合物またはその薬学的に許容される塩及び薬学的担体を含む医薬組成物に関する。かかる組成物は、典型的には、インターロイキン-1受容体関連キナーゼ活性に関連する状態及び障害の処置または予防のための治療計画の一部として、本発明の方法に従って投与され得る。具体的な態様では、医薬組成物は、本発明の化合物と組み合わせて使用するのに好適な1種以上の更なる治療有効成分を追加的に含み得る。より具体的な態様では、更なる治療有効成分は、自己免疫疾患、炎症性疾患、骨疾患、代謝疾患、神経疾患及び神経変性疾患、がん、心血管疾患、アレルギー、喘息、アルツハイマー病、ならびにホルモン関連疾患の処置のための薬剤である。従って、治療薬として有用なプロテインキナーゼ阻害剤の発見が尚も必要とされている。
本発明の別の態様は、インターロイキン-1受容体関連キナーゼ活性に関連する障害を有する患者の処置において薬剤として使用するための、本発明の化合物及び他の治療薬を含む薬剤組み合わせに関する。かかる組み合わせは、典型的には、自己免疫疾患、炎症性疾患、骨疾患、代謝疾患、神経疾患及び神経変性疾患、がん、心血管疾患、アレルギー、喘息、アルツハイマー病、ならびにホルモン関連疾患の処置または予防のための治療計画の一部として、本発明の方法に従って投与され得る。従って、治療薬として有用なプロテインキナーゼ阻害剤の発見が尚も必要とされている。
本発明は、神経疾患及び神経変性疾患、アルツハイマー病、虚血性脳卒中、脳虚血、低酸素、TBI(外傷性脳損傷)、CTE(慢性外傷性脳症)、てんかん、多発性硬化症(MS)、パーキンソン病(PD)、ならびに筋萎縮性側索硬化症(ALS)などのIRAK4の機能により媒介される状態及び/または障害の処置または予防において有用であり得る化合物及び医薬製剤を提供する。
第1の実施形態では、本発明は、式(I’):
Figure 0007576552000003
の化合物またはその薬学的に許容される塩であって、式中、
は、ハロゲン、C1~5アルキル、C3~6シクロアルキル、-C1~2アルキル-C3~6シクロアルキル、C(O)NR、C1~4アルキル-NR、窒素、硫黄、及び酸素から独立して選択される1~2個のヘテロ原子を含有する4~7員の完全飽和または部分飽和複素環、窒素、硫黄、及び酸素から独立して選択される1、2、または3個のヘテロ原子を含有する5~6員ヘテロアリール、フェニル、-C1~2アルキル-C4~7複素環、-C1~2アルキル-C5~6ヘテロアリール、-C1~4アルキル-O-C1~2アルキル、-C1~2アルキル-O-C5~6ヘテロアリール、5~10員の完全飽和架橋炭素環、窒素及び酸素から独立して選択される1~2個のヘテロ原子を有する5~10員の架橋二環式複素環系、窒素及び酸素から独立して選択される1~2個のヘテロ原子を有する5~10員の縮合二環式複素環系、ならびに窒素及び酸素から独立して選択される1~2個のヘテロ原子を有する5~10員のスピロ二環式複素環系からなる群から選択され、Rは、ハロ、ニトリル、オキソ、-C(O)OH、ハロ置換C1~4アルキル、ヒドロキシ置換C1~4アルキル、C1~4アルキル、窒素及び酸素から独立して選択される1~2個のヘテロ原子を含有するC4~7複素環、C1~4アルキル-O-C1~2アルキル、ヒドロキシ、C(O)R、ならびにC1~4アルコキシから独立して選択される1、2、または3つの置換基で任意に置換されており、上記のC4~7複素環は、完全飽和または部分飽和であり、窒素、硫黄、及び酸素から独立して選択される1~2個のヘテロ原子を含有し、上記のC5~6ヘテロアリールは、窒素、硫黄、及び酸素から独立して選択される1、2、または3個のヘテロ原子を含有し、
は、水素、C1~4アルキル、またはハロゲンであるか、あるいは
及びRは、それらの間にある原子と共にまとめられて、4~7員の部分飽和炭素環または1個の窒素を有する部分飽和複素環を形成し、当該4~7員の部分飽和炭素環及び部分飽和複素環は、C1~4アルキルで任意に置換されていてもよく、
及びRは、それぞれ、水素、ヒドロキシ置換C1~4アルキル、及びC1~4アルキルから独立して選択されるか、または
及びRは、それらが結合している窒素と共にまとめられて、4~7員の飽和複素環であって、当該環が窒素及び酸素から選択される追加のヘテロ原子を任意に有する、当該飽和複素環を形成し、当該窒素は、C1~4アルキルで任意に置換されていてもよく、
は、C1~4アルキル、ハロ置換C1~4アルキル、またはO-C1~4アルキルであり、
は、
v.窒素、酸素、及び硫黄から独立して選択される1~2個のヘテロ原子を有する5または6員のヘテロアリールであって、Rからなる群から独立して選択される1~3つの置換基で任意に置換されている、当該ヘテロアリール、
vi.Rからなる群から独立して選択される1~3つの置換基で任意に置換されたフェニル、
vii.1~2個の窒素原子を有する6員の部分飽和複素環であって、Rからなる群から独立して選択される1~3つの置換基で任意に置換されていてもよい、当該複素環、ならびに
viii.窒素及び酸素から独立して選択される1、2、または3個のヘテロ原子を任意に有する8~10員の縮合二環系であって、Rからなる群から独立して選択される1~3つの置換基で任意に置換されている当該環系からなる群から選択され、
及びXは、N、CH、及びCRから独立して選択され、
は、C1~4アルキル、ハロ置換C1~4アルキル、ヒドロキシ置換C1~4アルキル、ハロゲン、ニトリル、NR、-OR、ならびに窒素及び酸素から独立して選択される1または2個のヘテロ原子を含有する4~7員の部分飽和または完全飽和複素環から選択され、当該C1~4アルキル及び当該複素環は、R4aから選択される1~3つの置換基で任意に置換されており、
4aは、各出現において、水素、オキソ、C1~4アルキル、ハロ置換C1~4アルキル、C1~4アルコキシ、及びC3~6シクロアルキルから独立して選択されるか、または2つのR4a基は、それらが結合している炭素と共にまとめられ、組み合わさって、3~8員のスピロシクロアルキルを形成してもよく、
は、水素、C3~6シクロアルキル、窒素及び酸素から独立して選択される1もしくは2個のヘテロ原子を含有する4~7員の部分飽和もしくは完全飽和複素環、またはC1~5アルキルであり、Rで表される当該C3~6シクロアルキル、当該4~7員の部分飽和または完全飽和複素環、及び当該C1~5アルキルは、ハロゲン、ヒドロキシル、ニトリル、オキソ、NR、ハロ置換C1~4アルキル、C1~4アルコキシ、ハロ置換C1~4アルコキシ、C3~6シクロアルキル、フェニル、ならびに窒素及び酸素から選択される1または2個のヘテロ原子を含有する4~7員の部分飽和または完全飽和複素環から独立して選択される1~3つの置換基で任意に置換されており、当該C3~6シクロアルキル、フェニル、及び4~7員の複素環は、1~3つのR10で任意に置換されていてもよく、
10は、オキソ、ハロ、ハロ置換C1~4アルキル、及びC1~4アルキルから独立して選択され、
は、各出現において、C1~4アルキル、ニトリル、オキソ、ハロ、ハロ置換C1~4アルキル、-NR1112、C1~4アルコキシ、ハロ置換C1~4アルコキシ、C3~6シクロアルキル、C3~6シクロアルコキシ、窒素及び酸素から選択される1または2個のヘテロ原子を含有する4~7員の部分飽和または完全飽和複素環、ならびに窒素、酸素、及び硫黄から独立して選択される1~2個のヘテロ原子を有する5または6員ヘテロアリールから独立して選択され、当該C3~6シクロアルキル及びヘテロアリールは、C1~4アルキル、ヒドロキシ、及びハロゲンからなる群から独立して選択される1~2つの置換基で任意に置換されていてもよく、当該C1~4アルキル及びC1~4アルコキシは、C1~4アルコキシで任意に置換されていてもよく、
11及びR12は、それぞれ、水素、-C(O)C1~4アルキル、及びC1~4アルキルから独立して選択されるか、あるいはR11及びR12は、組み合わさって、窒素または酸素から選択される1個の追加のヘテロ原子を任意に含有する4~6員の飽和環を形成してもよく、当該追加の窒素は、C1~4アルキルで任意に置換されていてもよい、当該化合物またはその薬学的に許容される塩を提供する。
特定の実施形態では、第1の実施形態に記載された式(I’)の化合物またはその薬学的に許容される塩について、Rは、ハロゲン、ニトリル、NR、-OR、ならびに窒素及び酸素から独立して選択される1または2個のヘテロ原子を含有する4~7員の部分飽和または完全飽和複素環から選択され、当該C1~4アルキル及び当該複素環は、R4aから選択される1~3つの置換基で任意に置換されており、残りの可変部分は第1の実施形態で定義された通りであり、ただし、XがCRであり、XがCHであり、Rがハロゲンである場合、Rは、窒素及び酸素から選択される1または2個のヘテロ原子を含有する4~7員の部分飽和または完全飽和複素環でなく、ただし、当該化合物は、
Figure 0007576552000004
ではない。
第2の実施形態では、本発明は、式(I):
Figure 0007576552000005
の化合物またはその薬学的に許容される塩であって、式中、
は、C1~5アルキル、C3~6シクロアルキル、-C1~2アルキル-C3~6シクロアルキル、C(O)NR、C1~4アルキル-NR、窒素、硫黄、及び酸素から独立して選択される1~2個のヘテロ原子を含有する4~7員の完全飽和複素環、-C1~2アルキル-C4~7複素環であって、当該C4~7複素環が完全飽和であっても、部分飽和であってもよく、窒素、硫黄、及び酸素から独立して選択される1~2個のヘテロ原子を含有する、当該-C1~2アルキル-C4~7複素環、-C1~2アルキル-C5~6ヘテロアリールであって、当該ヘテロアリールが、窒素、硫黄、及び酸素から独立して選択される1、2、または3個のヘテロ原子を含有する、当該-C1~2アルキル-C5~6ヘテロアリール、-C1~4アルキル-O-C1~2アルキル、-C1~2アルキル-O-C5~6ヘテロアリールであって、当該ヘテロアリールが、窒素、硫黄、及び酸素から独立して選択される1または2個のヘテロ原子を含有する、当該-C1~2アルキル-O-C5~6ヘテロアリール、5~10員の完全飽和架橋炭素環、窒素及び酸素から独立して選択される1~2個のヘテロ原子を有する5~10員の縮合二環式複素環系、ならびに窒素及び酸素から独立して選択される1~2個のヘテロ原子を有する5~10員のスピロ二環式複素環系からなる群から選択され、Rは、ハロ、ニトリル、オキソ、ハロ置換C1~4アルキル、ヒドロキシ置換C1~4アルキル、C1~4アルキル、窒素及び酸素から独立して選択される1~2個のヘテロ原子を含有するC4~7複素環、C1~4アルキル-O-C1~2アルキル、ヒドロキシ、C(O)R、ならびにC1~4アルコキシから独立して選択される1、2、または3つの置換基で任意に置換されていてもよく、
は、水素、C1~4アルキル、またはハロゲンであるか、あるいは
及びRは、それらの間にある原子と共にまとめられて、4~7員の部分飽和炭素環または1個の窒素を有する部分飽和複素環を形成し、当該窒素はC1~4アルキルで任意に置換されていてもよく、
及びRは、水素、ヒドロキシ置換C1~4アルキル、及びC1~4アルキルから独立して選択されるか、または
及びRは、それらが結合している窒素と共にまとめられて、4~7員の飽和複素環であって、当該環が窒素及び酸素から選択される追加のヘテロ原子を任意に有する、当該飽和複素環を形成し、当該窒素は、C1~4アルキルで任意に置換されていてもよく、
は、C1~4アルキル、ハロ置換C1~4アルキル、またはO-C1~4アルキルであり、
は、
i.窒素、酸素、及び硫黄から独立して選択される1~2個のヘテロ原子を有する5または6員のヘテロアリールであって、Rからなる群から独立して選択される1~3つの置換基で任意に置換されている、当該ヘテロアリール、
ii.Rからなる群から独立して選択される1~3つの置換基で任意に置換されたフェニル、
iii.1~2個の窒素原子を有する6員の部分飽和複素環であって、Rからなる群から独立して選択される1~3つの置換基で任意に置換されていてもよい、当該複素環、ならびに
iv.窒素及び酸素から独立して選択される1、2、または3個のヘテロ原子を任意に有する8~10員の縮合二環系であって、Rからなる群から独立して選択される1~3つの置換基で任意に置換されている当該環系からなる群から選択され、
及びXは、N、CH、及びCRから独立して選択され、XまたはXのうちの1つのみがCRであってもよく、
は、ハロゲン、ニトリル、NR、-OR、ならびに窒素及び酸素から独立して選択される1または2個のヘテロ原子を含有する4~7員の部分飽和または完全飽和または部分飽和複素環から選択され、当該複素環は、R4aから選択される1~3つの置換基で任意に置換されており、
4aは、各出現において、水素、オキソ、C1~4アルキル、ハロ置換C1~4アルキル、及びC3~6シクロアルキルから独立して選択されるか、または2つのR4a基は、それらが結合している炭素と共にまとめられ、組み合わさって、3~8員のスピロシクロアルキルを形成してもよく、
は、水素、またはハロゲン、ヒドロキシル、NR、C1~4アルコキシ、C3~6シクロアルキル、フェニル、ならびに窒素及び酸素から選択される1もしくは2個のヘテロ原子を含有する4~7員の部分飽和もしくは完全飽和複素環から独立して選択される1~3つの置換基を有する任意に置換されたC1~5アルキルであり、当該C3~6シクロアルキル、フェニル、及び4~7員の複素環は、1~3つのR10で任意に置換されていてもよく、
10は、オキソ、ハロ、ハロ置換C1~4アルキル、及びC1~4アルキルから独立して選択され、
は、各出現において、C1~4アルキル、オキソ、ハロ、ハロ置換C1~4アルキル、-NR1112、C1~4アルコキシ、ハロ置換C1~4アルコキシ、C3~6シクロアルキル、ならびに窒素、酸素、及び硫黄から独立して選択される1~2個のヘテロ原子を有する5または6員ヘテロアリールから独立して選択され、当該C3~6シクロアルキル及びヘテロアリールは、C1~4アルキル、ヒドロキシ、及びハロゲンからなる群から独立して選択される1~2つの置換基で任意に置換されていてもよく、
11及びR12は、それぞれ、水素、-C(O)C1~4アルキル、及びC1~4アルキルから独立して選択されるか、あるいはR11及びR12は、組み合わさって、窒素または酸素から選択される1個の追加のヘテロ原子を任意に含有する4~6員の飽和環を形成してもよく、当該追加の窒素は、C1~4アルキルで任意に置換されていてもよい、当該化合物またはその薬学的に許容される塩またはその薬学的に許容される塩を提供する。
特定の実施形態では、第1または第2の実施形態に記載された式(I’)もしくは(I)の化合物またはそれらの薬学的に許容される塩について、X及びXがCHであり、Rがフェニルである場合、Rは5または6員ヘテロアリールでなく、ただし、化合物は、
Figure 0007576552000006
ではない。
別の特定の実施形態では、第1または第2の実施形態に記載された式(I’)もしくは(I)の化合物またはそれらの薬学的に許容される塩について、化合物は、
Figure 0007576552000007
ではない。
別の特定の実施形態では、第1または第2の実施形態に記載された式(I’)もしくは(I)の化合物またはそれらの薬学的に許容される塩について、X及びXのうちの少なくとも1つは、CRである。
第3の実施形態では、本発明は、式(Ia):
Figure 0007576552000008
の化合物またはその薬学的に許容される塩であって、式中、XはNまたはCHであり、残りの可変部分は第1もしくは第2の実施形態または本明細書に記載される任意の特定の実施形態で定義される通りである、当該化合物またはその薬学的に許容される塩を提供する。
第4の実施形態では、本発明は、式(Ib)の化合物:
Figure 0007576552000009
またはその薬学的に許容される塩であって、式中、XはNまたはCHであり、残りの可変部分は第1もしくは第2の実施形態または本明細書に記載される任意の特定の実施形態で定義される通りである、当該化合物またはその薬学的に許容される塩を提供する。
本発明の第5の実施形態は、先行実施形態のいずれかに記載の化合物またはその薬学的に許容される塩であって、式中、
は、C1~5アルキル、C3~6シクロアルキル、-C1~2アルキル-C3~6シクロアルキル、C(O)NR、C1~4アルキル-NR、窒素、硫黄、及び酸素から独立して選択される1~2個のヘテロ原子を含有する4~7員の完全飽和複素環、-C1~2アルキル-C4~7複素環であって、当該C4~7複素環が完全飽和であっても、部分飽和であってもよく、窒素、硫黄、及び酸素から独立して選択される1~2個のヘテロ原子を含有する、当該-C1~2アルキル-C4~7複素環、-C1~2アルキル-C5~6ヘテロアリールであって、当該ヘテロアリールが、窒素、硫黄、及び酸素から独立して選択される1、2、または3個のヘテロ原子を含有する、当該-C1~2アルキル-C5~6ヘテロアリール、-C1~4アルキル-O-C1~2アルキル、-C1~2アルキル-O-C5~6ヘテロアリールであって、当該ヘテロアリールが、窒素、硫黄、及び酸素から独立して選択される1または2個のヘテロ原子を含有する、当該-C1~2アルキル-O-C5~6ヘテロアリール、窒素及び酸素から独立して選択される1~2個のヘテロ原子を有する5~10員の縮合二環式複素環系、ならびに窒素及び酸素から独立して選択される1~2個のヘテロ原子を有する5~10員のスピロ二環式複素環系からなる群から選択され、Rは、ハロ、ニトリル、オキソ、ハロ置換C1~4アルキル、ヒドロキシ置換C1~4アルキル、C1~4アルキル、窒素及び酸素から独立して選択される1~2個のヘテロ原子を含有するC4~7複素環、C1~4アルキル-O-C1~2アルキル、ヒドロキシ、C(O)R、ならびにC1~4アルコキシから独立して選択される1、2、または3つの置換基で任意に置換されていてもよく、
は、水素、C1~4アルキル、またはハロゲンであり、残りの可変部分は第1、第2、第3、もしくは第4の実施形態または本明細書に記載される任意の特定の実施形態で定義される通りである、当該化合物またはその薬学的に許容される塩を提供する。
第6の実施形態では、本発明は、式(IIa):
Figure 0007576552000010
の化合物またはその薬学的に許容される塩であって、式中、可変部分は、第1、第2、もしくは第5の実施形態または本明細書に記載される任意の特定の実施形態で定義される通りである、当該化合物またはその薬学的に許容される塩を提供する。
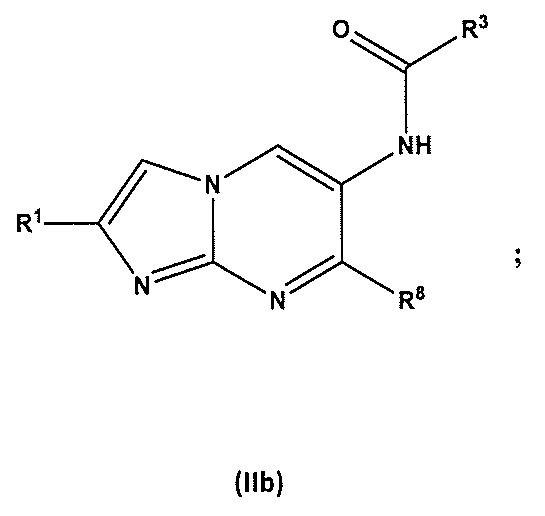
第7の実施形態では、本発明は、式(IIb):
Figure 0007576552000011
の化合物またはその薬学的に許容される塩であって、式中、可変部分は、第1、第2、もしくは第5の実施形態または本明細書に記載される任意の特定の実施形態で定義される通りである、当該化合物またはその薬学的に許容される塩を提供する。
第8の実施形態では、本発明は、式(IIc):
Figure 0007576552000012
の化合物またはその薬学的に許容される塩であって、式中、可変部分は、第1、第2、もしくは第5の実施形態または本明細書に記載される任意の特定の実施形態で定義される通りである、当該化合物またはその薬学的に許容される塩を提供する。
第9の実施形態では、本発明は、式(IId):
Figure 0007576552000013
の化合物またはその薬学的に許容される塩であって、式中、可変部分は、第1、第2、もしくは第5の実施形態または本明細書に記載される任意の特定の実施形態で定義される通りである、当該化合物またはその薬学的に許容される塩を提供する。
第10の実施形態では、本発明は、式(IIe):
Figure 0007576552000014
の化合物またはその薬学的に許容される塩であって、式中、可変部分は、第1もしくは第5の実施形態または本明細書に記載される任意の特定の実施形態で定義される通りである、当該化合物またはその薬学的に許容される塩を提供する。
第11の実施形態では、本発明は、式(IIIa):
Figure 0007576552000015
の化合物またはその薬学的に許容される塩であって、式中、
Yは、窒素、炭素、または酸素であり、
nは、1または2であり、
mは、0、1、2、または3であり、残りの可変部分は、第1、第2、もしくは第5の実施形態または本明細書に記載される任意の特定の実施形態で定義される通りである、当該化合物またはその薬学的に許容される塩を提供する。
第12の実施形態では、本発明は、式(IIIb):
Figure 0007576552000016
の化合物またはその薬学的に許容される塩であって、可変部分は、第1、第2、もしくは第5の実施形態または本明細書に記載される任意の特定の実施形態で定義される通りである、当該化合物またはその薬学的に許容される塩を提供する。
第13の実施形態では、本発明は、式(IIIc):
Figure 0007576552000017
の化合物またはその薬学的に許容される塩であって、式中、
Yは、窒素、炭素、または酸素であり、
nは、1または2であり、
mは、0、1、2、または3であり、残りの可変部分は、第1、第2、もしくは第5の実施形態または本明細書に記載される任意の特定の実施形態で定義される通りである、当該化合物またはその薬学的に許容される塩を提供する。
第14の実施形態では、本発明は、式(IIId):
Figure 0007576552000018
の化合物またはその薬学的に許容される塩であって、可変部分は、第1、第2、もしくは第5の実施形態または本明細書に記載される任意の特定の実施形態で定義される通りである、当該化合物またはその薬学的に許容される塩を提供する。
第15の実施形態では、本発明は、式(IIIe):
Figure 0007576552000019
の化合物またはその薬学的に許容される塩であって、可変部分は、第1、第2、もしくは第5の実施形態または本明細書に記載される任意の特定の実施形態で定義される通りである、当該化合物またはその薬学的に許容される塩を提供する。
第16の実施形態では、本発明は、式(IIIf):
Figure 0007576552000020
の化合物またはその薬学的に許容される塩であって、式中、
Yは、窒素、炭素、または酸素であり、
nは、1または2であり、
mは、0、1、2、または3であり、
残りの可変部分は、第1、第2、もしくは第5の実施形態または本明細書に記載される任意の特定の実施形態で定義される通りである、当該化合物またはその薬学的に許容される塩を提供する。
第17の実施形態では、本発明は、式(IIIg):
Figure 0007576552000021
の化合物またはその薬学的に許容される塩であって、可変部分は、第1、第2、もしくは第5の実施形態または本明細書に記載される任意の特定の実施形態で定義される通りである、当該化合物またはその薬学的に許容される塩を提供する。
第18の実施形態では、本発明は、式(IIIh):
Figure 0007576552000022
の化合物またはその薬学的に許容される塩であって、式中、
Yは、窒素、炭素、または酸素であり、
nは、1または2であり、
mは、0、1、2、または3であり、残りの可変部分は、第1、第2、もしくは第5の実施形態または本明細書に記載される任意の特定の実施形態で定義される通りである、当該化合物またはその薬学的に許容される塩を提供する。
第19の実施形態では、本発明は、式(IIIi)もしくは(IIIj)
Figure 0007576552000023
の化合物またはそれらの薬学的に許容される塩であって、式中、R8aは、C1~4アルキル、ハロ置換C1~4アルキル、またはハロゲンであり、残りの可変部分は、第1、第2、もしくは第5の実施形態または本明細書に記載される任意の特定の実施形態で定義される通りである当該化合物またはそれらの薬学的に許容される塩を提供する。
第20の実施形態では、先行実施形態のいずれか1つに記載の化合物またはその薬学的に許容される塩(例えば、式(I’)、(I)、(Ia)、(Ib)、(IIa)、(IIb)、(IIc)、(IId)、(IIe)、(IIIb)、(IIId)、(IIIe)、(IIIg)、(IIIh)、(IIIi)、もしくは(IIIj)の化合物またはそれらの薬学的に許容される塩)について、Rは、水素、またはハロゲン、ヒドロキシル、NR、C1~4アルコキシ、フェニル、ならびに窒素及び酸素から選択される1もしくは2個のヘテロ原子を含有する4~7員の部分飽和もしくは完全飽和複素環から独立して選択される1~3つの置換基を有する任意に置換されたC1~5アルキルであり、ここで、当該フェニル及び4~7員の複素環は、1~3つのR10で任意に置換されていてもよく、R10は、オキソ、ハロ、ハロ置換C1~4アルキル、及びC1~4アルキルから独立して選択され、残りの可変部分は、先行実施形態のいずれかで定義される通りである。
第21の実施形態では、先行実施形態のいずれかに記載の化合物またはその薬学的に許容される塩(例えば、式(I’)、(I)、(Ia)、(Ib)、(IIa)、(IIb)、(IIc)、(IId)、(IIe)、(IIIb)、(IIId)、(IIIe)、(IIIg)、(IIIh)、(IIIi)、もしくは(IIIj)の化合物またはそれらの薬学的に許容される塩)について、Rは、C1~5アルキルであり、残りの可変部分は、先行実施形態のいずれかで定義される通りである。
第22の実施形態では、本発明は、先行実施形態のいずれかに記載の化合物またはその薬学的に許容される塩であって、式中、
は、
i.ピリジル、オキサゾリル、ピラジニル、オキサジアゾリル、チアゾリル、ピラゾリル、及びイミダゾリルから選択される5~6員ヘテロアリールであって、Rからなる群から独立して選択される1~2つの置換基で任意に置換されている、当該ヘテロアリール、
ii.Rからなる群から独立して選択される1~2つの置換基で任意に置換されたフェニル、
iii.Rからなる群から独立して選択される1~2つの置換基で任意に置換されたピリジニル-2(1H)-オン、ならびに
iv.1,3-ジヒドロイソベンゾフラン、4-メチル-3,4-ジヒドロ-2H-ベンゾ[b][1,4]オキサジン、5,6-ジヒドロ-4H-ピロロ[1,2-b]ピラゾール、6,7-ジヒドロ-5H-シクロペンタ[b]ピリジン、ピラゾロ[1,5-a]ピリミジン、インドリン-2-オン、2,3-ジヒドロベンゾフラン、1-メチル-2-オキソ-1,2,3,4-テトラヒドロキノリン、3,4-ジヒドロキノリン-2(1H)-オン、及びイソクロマンからなる群から選択される8~10員の縮合二環系であって、Rからなる群から独立して選択される1~2つの置換基で任意に置換されている、当該縮合二環系からなる群から選択される、当該化合物またはその薬学的に許容される塩を提供する。
第23の実施形態では、本発明は、先行実施形態のいずれかに記載の化合物またはその薬学的に許容される塩であって、式中、
は、ピリジル、オキサゾリル、ピラジニル、オキサジアゾリル、チアゾリル、ピラゾリル、イミダゾリルから選択され、当該Rは、ハロ、ハロ置換C1~4アルキル、-NR1112、及びC1~4アルキルからなる群から独立して選択される1~2つの置換基で任意に置換されている、当該化合物またはその薬学的に許容される塩を提供する。
第24の実施形態では、本発明は、第1~第22の実施形態に記載の化合物またはその薬学的に許容される塩であって、式中、
は、ハロ、ハロ置換C1~4アルキル、-NR1112、及びC1~4アルキルからなる群から独立して選択される1~2つの置換基で任意に置換されたピリジニル-2(1H)-オンである、当該化合物またはその薬学的に許容される塩を提供する。
第25の実施形態では、本発明は、第1~第22の実施形態に記載の化合物またはその薬学的に許容される塩であって、式中、
は、フェニルであり、当該フェニルは、ハロ、ハロ置換C1~4アルキル、-NR1112、及びC1~4アルキルからなる群から独立して選択される1~2つの置換基で任意に置換されている、当該化合物またはその薬学的に許容される塩を提供する。
第26の実施形態では、本発明は、第1~第22の実施形態に記載の化合物またはその薬学的に許容される塩であって、式中、
は、1,3-ジヒドロイソベンゾフラン、4-メチル-3,4-ジヒドロ-2H-ベンゾ[b][1,4]オキサジン、5,6-ジヒドロ-4H-ピロロ[1,2-b]ピラゾール、6,7-ジヒドロ-5H-シクロペンタ[b]ピリジン、インドリン-2-オン、2,3-ジヒドロベンゾフラン、ピラゾロ[1,5-a]ピリミジン、1-メチル-2-オキソ-1,2,3,4-テトラヒドロキノリン、3,4-ジヒドロキノリン-2(1H)-オン、及びイソクロマンからなる群から選択され、当該Rは、ハロ、ハロ置換C1~4アルキル、-NR1112、及びC1~4アルキルからなる群から独立して選択される1~2つの置換基で任意に置換されている、当該化合物またはその薬学的に許容される塩を提供する。
第27の実施形態では、本発明は、第1~第22の実施形態に記載の化合物またはその薬学的に許容される塩であって、式中、
は、8~10員の縮合二環式ヘテロアリールまたは8~10員の縮合二環式複素環であり、これらの各々は、ハロ、ハロ置換C1~4アルキル、-NR1112、C1~4アルコキシ、及びC1~4アルキルからなる群から独立して選択される1または2つの置換基で任意に置換されており、残りの可変部分は、第1~第22の実施形態に記載される通りである、当該化合物またはその薬学的に許容される塩を提供する。
第28の実施形態では、本発明は、第1~第22の実施形態に記載の化合物またはその薬学的に許容される塩であって、式中、
は、2,3-ジヒドロフロ[2,3-b]ピリジン、5,6,7,8-テトラヒドロインドリジン、2,3-ジヒドロチエノ[3,4-b][1,4]ジオキシン、6,7-ジヒドロ-5H-シクロペンタ[b]ピリジン、2,3-ジヒドロベンゾフラン、2,3-ジヒドロ-1H-ピロリジン、ピラゾロ[1,5-a]ピリジン、ピラゾロ[1,5-a]ピリミジン、及び[1,2,4]トリアゾロ[1,5-a]ピリジンから選択され、これらの各々は、ハロ、ハロ置換C1~4アルキル、-NR1112、C1~4アルコキシ、及びC1~4アルキルからなる群から独立して選択される1または2つの置換基で任意に置換されており、残りの可変部分は、第1~第22の実施形態で定義される通りである、当該化合物またはその薬学的に許容される塩を提供する。
第29の実施形態では、本発明は、第1~第22の実施形態に記載の化合物またはその薬学的に許容される塩であって、式中、
は、Rから独立して選択される1または2つの置換基で任意に置換されたピリジルであり、
は、ニトリル、ハロ、C1~4アルキル、ハロ置換C1~4アルキル、C1~4アルコキシ、ハロ置換C1~4アルコキシ、C3~6シクロアルキル、C3~6シクロアルコキシ、-NR1112、ならびに窒素及び酸素から選択される1または2個のヘテロ原子を含有する4~7員の完全飽和複素環であり、当該C1~4アルキル及びC1~4アルコキシは、C1~4アルコキシで任意に置換されており、
11及びR12は、それぞれ独立して、水素またはC1~4アルキルであり、残りの可変部分は、第1~第22の実施形態で定義される通りである、当該化合物またはその薬学的に許容される塩を提供する。
特定の実施形態では、第29の実施形態に記載された化合物またはその薬学的に許容される塩について、Rは、2-ピリジルまたは3-ピリジルであり、これらの各々は、Rから独立して選択される1または2つの置換基で任意に置換されており、残りの可変部分は、第29の実施形態に記載される通りである。
第30の実施形態では、第29の実施形態に記載された化合物またはその薬学的に許容される塩について、Rは、各出現において、独立して、テトラヒドロフラン、F、-CN、-CH、-CH(CH、-CHCH、-CHF-CHF、-CHF、-CFCH、-CF、-OCH、-OCH(CH、-OCHF、-OCHCF、-OCHCHF、-OCHCHOCH、-CHOCH、-O-シクロプロピル、-O-シクロブチル、シクロプロピル、または-N(CHであり、残りの可変部分は、第29の実施形態に記載される通りである。
本発明の第31の実施形態は、式(IV):
Figure 0007576552000024
の化合物またはその薬学的に許容される塩であって、式中、
は、ハロゲン、ヒドロキシル、NR、C1~4アルコキシ、C3~6シクロアルキル、フェニル、ならびに窒素及び酸素から選択される1または2個のヘテロ原子を含有する4~7員の部分飽和または完全飽和複素環から独立して選択される1~3つの置換基で任意に置換されたC1~5アルキルであり、ここで、当該C3~6シクロアルキル、フェニル、及び4~7員の複素環は、1~3つのR10で任意に置換されていてもよく、残りの可変部分は、第1または第2の実施形態で定義される通りである、当該化合物またはその薬学的に許容される塩を提供する。
本発明の第32の実施形態は、先行実施形態のいずれか1つに記載の化合物またはその薬学的に許容される塩であって、式中、
は、C1~4アルキル、ハロゲン、ハロ置換C1~4アルキル、ヒドロキシル、及びC1~4アルコキシからなる群から独立して選択される1もしくは2つの置換基で任意に置換されたC3~6シクロアルキルであるか、またはRは、ハロゲン、ハロ置換C1~4アルキル、ヒドロキシ置換C1~4アルキル、ヒドロキシル、C1~4アルコキシ、及びC3~6シクロアルキルからなる群から独立して選択される1もしくは3つの置換基で任意に置換されているC1~5アルキルであり、ここで、当該C3~6シクロアルキルは、ハロゲン、ハロ置換C1~4アルキル、ヒドロキシル、及びC1~4アルコキシからなる群から独立して選択される1または2つの置換基で任意に置換されており、残りの可変部分は、先行実施形態のいずれかで定義される通りである、当該化合物またはその薬学的に許容される塩を提供する。
本発明の第33の実施形態は、先行実施形態のいずれか1つ記載の化合物またはその薬学的に許容される塩であって、式中、
は、C1~4アルキル、ハロゲン、ハロ置換C1~4アルキル、ヒドロキシル、及びC1~4アルコキシからなる群から独立して選択される1または2つの置換基で任意に置換されたC3~6シクロアルキルであり、残りの可変部分は、先行実施形態のいずれかで定義される通りである、当該化合物またはその薬学的に許容される塩を提供する。
本発明の第34の実施形態は、実施形態1~31のいずれか1つに記載の化合物またはその薬学的に許容される塩であって、式中、
は、ハロゲン、ハロ置換C1~4アルキル、ヒドロキシル、C1~4アルコキシ、及びC3~6シクロアルキルからなる群から独立して選択される1または3つの置換基で任意に置換されているC1~5アルキルであり、ここで、当該C3~6シクロアルキルは、ハロゲン、ハロ置換C1~4アルキル、ヒドロキシル、及びC1~4アルコキシからなる群から独立して選択される1または2つの置換基で任意に置換されており、残りの可変部分は、実施形態1~31のいずれかで定義される通りである、当該化合物またはその薬学的に許容される塩を提供する。
本発明の第35の実施形態は、実施形態1~30のいずれか1つに記載の化合物またはその薬学的に許容される塩であって、式中、
は、C1~4アルキル、ハロゲン、ハロ置換C1~4アルキル、ヒドロキシル、及びC1~4アルコキシからなる群から独立して選択される1または2つの置換基で任意に置換されたC3~6シクロアルキルであり、
は、C1~4アルキル及びハロ置換C1~4アルキルから独立して選択される1または2つの置換基で任意に置換されており、残りの可変部分は、実施形態1~30のいずれかで定義される通りである、当該化合物またはその薬学的に許容される塩を提供する。
本発明の第36の実施形態は、実施形態1~31のいずれか1つに記載の化合物またはその薬学的に許容される塩であって、式中、Rは、窒素及び酸素から独立して選択される1~3つのヘテロ原子を含有する5~10員の架橋複素環であり、ここで、当該5~10員の架橋複素環は、C1~4アルキル、ハロゲン、ハロ置換C1~4アルキル、ヒドロキシル、及びC1~4アルコキシから独立して選択される1または3つの置換基で任意に置換されており、残りの可変部分は、第1~第31の実施形態で定義される通りである、当該化合物またはその薬学的に許容される塩を提供する。特定の実施形態では、Rは、窒素及び酸素から独立して選択される1または2個のヘテロ原子を含有する6~8員架橋複素環であり、ここで、当該6~8員架橋複素環は、C1~4アルキル、ハロゲン、ハロ置換C1~4アルキル、ヒドロキシル、及びC1~4アルコキシから独立して選択される1または2つの置換基で任意に置換されている。
第37の実施形態は、実施形態1~31のいずれかに記載の化合物またはその薬学的に許容される塩であって、式中、Rは、2-オキサビシクロ[2.1.1]ヘキサン-4-イル、8-オキサビシクロ[3.2.1]オクタン-3-イル、2-オキサビシクロ[2.2.1]ヘプタン-4-イル、2-オキサビシクロ[2.2.2]オクタン-4-イル、2-オキサビシクロ[3.1.1]ヘプタン-5-イルから選択され、これらの各々は、C1~4アルキル、ハロゲン、ハロ置換C1~4アルキル、ヒドロキシル、及びC1~4アルコキシから独立して選択される1~3つの置換基で任意に置換されている、当該化合物またはその薬学的に許容される塩を提供する。特定の実施形態では、Rは、
Figure 0007576552000025
から選択され、これらの各々は、C1~4アルキル、ハロゲン、ハロ置換C1~4アルキル、ヒドロキシル、及びC1~4アルコキシから独立して選択される1~3つの置換基で任意に置換されている。
より特定の実施形態では、第36または第37の実施形態に記載の化合物またはその薬学的に許容される塩について、Rは、-CH及び-CHFから独立して選択される1~3つの置換基で任意に置換されている。
第38の実施形態は、実施形態1~31のいずれか1つに記載の化合物またはその薬学的に許容される塩であって、式中、
は、ハロゲン、-C(=O)NR、C1~4アルキル、C3~6シクロアルキル、-C1~2アルキル-C3~6シクロアルキル、-C1~4アルキル-O-C1~2アルキル、-C1~2アルキル-C4~7複素環、-C1~2アルキル-C5~6ヘテロアリール、-C1~2アルキル-O-C5~6ヘテロアリール、4~6員の完全飽和複素環、5~6員ヘテロアリール、フェニル、5~6員の架橋炭素環、6~8員の縮合二環式複素環、6~8員のスピロ二環式複素環、及び6~8員の架橋二環式複素環から選択され、ここで、Rは、ハロ、ヒドロキシル、ニトリル、C1~4アルキル、C1~4アルコキシ、ハロ置換C1~4アルキル、ヒドロキシル置換C1~4アルキル、C1~4アルキル-O-C1~2アルキル、-C(=O)OH、-C(=O)-C1~4アルキル、-C(=O)OC1~4アルキル、及び4~6員複素環から独立して選択される1~3つの置換基で任意に置換されており、
及びRは、それぞれ独立して、HまたはC1~4アルキルであり、残りの可変部分は、第1~第31の実施形態に記載される通りである。特定の実施形態では、Rは、-Cl、-C(=O)N(CH、-CH、-CHCH、-CHF、-CHF、-CFCH、-CHCHCHOCH、-CFCHCHOCH、-CHOCHCH、-CHOCH、-C(CHCHOCH、-C(CHOH、-CHCHCHOH、-CHCHC(CHOH、-CHCHFCHOH、-CHCHOCF、-CHO-(ピリジン-2-イル)、-CH-(1,2,4-トリアゾール-1-イル)、-C(CHCN、-CH(CH)CN、-C(CHC(=O)OCH、-C(CHC(=O)OH、-CH(OH)-シクロプロピル、-CH-テトラヒドロフラン、-CH(CH)-テトラヒドロフラン、-CHF-テトラヒドロフラン、-CH-テトラヒドロピラニル、-CH-(1,4-ジオキサン-2-イル)、-CH-(2-オキソピロリジン-1-イル)、-CH-(ピリジン-2-イルオキシ)、-CH-モルホリニル、シクロプロピル、シクロブチル、シクロペンチル、及びシクロヘキシルから選択されるC3~6シクロアルキル、F、-CH、-OCH、-CN、CHF、-C(CHOH、-CHOH、及び-CHOCHで任意に置換されたビシクロ[1.1.1]ペンタン-1-イル、3-オキサビシクロ[4.1.0]ヘプタン-6-イル、3-オキサビシクロ[3.1.0]ヘキサン-6-イル、及び3-オキサビシクロ[3.1.0]ヘキサン-1-イルから選択される6~8員の縮合二環式複素環、5-オキサスピロ[2.4]ヘプタン-1-イル、6-オキサスピロ[2.5]オクタン-1-イル、及び6-オキサスピロ[3.4]オクタン-2-イルから選択される6~8員の縮合二環式複素環、テトラヒドロフラン-3-イル、テトラヒドロ-2H-ピラン-4-イル、テトラヒドロ-2H-ピラン-3-イル、アゼチジニル、テトラヒドロチオフェン-3-イル、ピロリジン-3-イル、2-オキソピロリジン-3-イル、ピペリジン-4-イル、1-メチル-6-オキソピペリジン-2-イル、モルホリニル、及び1,4-ジオキサン-2-イルから選択される4~6員の完全飽和複素環、-Fで任意に置換されたフェニル、-CH及び-CHFから独立して選択される1または2つの置換基で任意に置換されたピラゾリル、2-オキサビシクロ[2.1.1]ヘキサン-4-イル、8-オキサビシクロ[3.2.1]オクタン-3-イル、2-オキサビシクロ[2.2.1]ヘプタン-4-イル、2-オキサビシクロ[2.2.2]オクタン-4-イルから選択される6~8員の架橋二環式複素環から選択され、ここで、当該C3~6シクロアルキルは、F、-CN、-OH、-OCH、-OCH(CH、及び-CHOHから独立して選択される1~2つの置換基で任意に置換されており、-CH、OCHCH、-OH、CN、-CHCHF、-CHCHOCH、-C(=O)CH、及びオキセタン-3-イルから独立して選択される1~2つの置換基で任意に置換されており、当該6~8員の架橋二環式複素環は、-CHから独立して選択される1~2つの置換基で任意に置換されている。
第39の実施形態では、本発明は、式(I’)、(I)、(Ia)、(Ib)、(IIa)、(IIb)、(IIc)、(IId)、(IIe)、(IIIa)、(IIIb)、(IIIc)、(IIId)、(IIIe)、(IIIf)、(IIIg)、(IIIh)、(IIIi)、もしくは(IIIj)の化合物、またはその薬学的に許容される塩であって、式中、
は、ハロゲン、-C(=O)NR、C1~4アルキル、C3~6シクロアルキル、-C1~2アルキル-C3~6シクロアルキル、-C1~4アルキル-O-C1~2アルキル、-C1~2アルキル-C4~7複素環、-C1~2アルキル-C5~6ヘテロアリール、-C1~2アルキル-O-C5~6ヘテロアリール、4~6員の完全飽和複素環、5~6員ヘテロアリール、フェニル、5~6員架橋炭素環、6~8員の縮合二環式複素環、6~8員のスピロ二環式複素環、及び6~8員の架橋二環式複素環から選択され、ここで、Rは、ハロ、ヒドロキシル、ニトリル、C1~4アルキル、C1~4アルコキシ、ハロ置換C1~4アルキル、ヒドロキシル置換C1~4アルキル、C1~4アルキル-O-C1~2アルキル、-C(=O)OH、-C(=O)-C1~4アルキル、-C(=O)OC1~4アルキル、及び4~6員の複素環から独立して選択される1~3つの置換基で任意に置換されており、
は、水素、C1~4アルキル、またはハロゲンであり、
は、ピリジル、オキサゾリル、ピラジニル、オキサジアゾリル、チアゾリル、ピラゾリル、イミダゾリル、ピリジニル-2(1H)-オン、フェニル、8~10員の縮合二環式ヘテロアリール、及び8~10員の縮合二環式複素環から選択され、これらの各々は、ハロ、ハロ置換C1~4アルキル、-NR1112、C1~4アルコキシ、及びC1~4アルキルからなる群から独立して選択される1または2つの置換基で任意に置換されており、
及びRは、それぞれ独立して、HまたはC1~4アルキルであり、
は、C1~4アルキル、ハロ置換C1~4アルキル、ヒドロキシ置換C1~4アルキル、ハロゲン、ニトリル、NR、または-ORであり、
は、水素、またはハロゲン、ヒドロキシル、NR、C1~4アルコキシ、フェニル、ならびに窒素及び酸素から選択される1もしくは2個のヘテロ原子を含有する4~7員の部分飽和もしくは完全飽和複素環から独立して選択される1~3つの置換基を有する任意に置換されたC1~5アルキルであり、当該フェニル及び4~7員の複素環は、1~3つのR10で任意に置換されていてもよく、
10は、オキソ、ハロ、ハロ置換C1~4アルキル、及びC1~4アルキルから独立して選択され、残りの可変部分は、第1~第19の実施形態で定義される通りである、当該化合物またはその薬学的に許容される塩を提供する。
第40の実施形態では、本発明は、式(I’)、(I)、(Ia)、(Ib)、(IIa)、(IIb)、(IIc)、(IId)、(IIe)、(IIIa)、(IIIb)、(IIIc)、(IIId)、(IIIe)、(IIIf)、(IIIg)、(IIIh)、(IIIi)、もしくは(IIIj)の化合物、またはその薬学的に許容される塩であって、式中、
は、C3~6シクロアルキル、窒素及び酸素から独立して選択される1~2個のヘテロ原子を含有する4~6員の完全飽和複素環、5~6員の架橋炭素環、窒素及び酸素から独立して選択される1~2個のヘテロ原子を含有する6~8員のスピロ二環式複素環、ならびに窒素及び酸素から独立して選択される1~2個のヘテロ原子を含有する6~8員の架橋二環式複素環から選択され、Rは、ハロ、ヒドロキシル、ニトリル、C1~4アルキル、C1~4アルコキシ、ハロ置換C1~4アルキル、ヒドロキシル置換C1~4アルキル、C1~4アルキル-O-C1~2アルキル、-C(=O)OH、-C(=O)-C1~4アルキル、及び-C(=O)OC1~4アルキルから独立して選択される1~3つの置換基で任意に置換されており、
は、水素、C1~4アルキル、またはハロゲンであり、
は、ピリジル、オキサゾリル、ピラジニル、オキサジアゾリル、チアゾリル、ピラゾリル、イミダゾリル、ピリジニル-2(1H)-オン、フェニル、8~10員の縮合二環式ヘテロアリール、及び8~10員の縮合二環式複素環から選択され、Rは、ハロ、ハロ置換C1~4アルキル、-NR1112、C1~4アルコキシ、及びC1~4アルキルからなる群から独立して選択される1または2つの置換基で任意に置換されており、
及びRは、それぞれ独立して、HまたはC1~4アルキルであり、
は、C1~4アルキル、ハロ置換C1~4アルキル、ハロゲン、または-ORであり、
は、ハロゲンから独立して選択される1~3つの置換基を有するC1~5アルキルであり、残りの可変部分は、第1~第19の実施形態で定義された通りである、当該化合物またはその薬学的に許容される塩を提供する。
第41の実施形態では、本発明は、式(I’)、(I)、(Ia)、(Ib)、(IIa)、(IIb)、(IIc)、(IId)、(IIe)、(IIIa)、(IIIb)、(IIIc)、(IIId)、(IIIe)、(IIIf)、(IIIg)、(IIIh)、(IIIi)、もしくは(IIIj)の化合物、またはその薬学的に許容される塩であって、式中、
は、シクロプロピル、シクロブチル、シクロペンチル、及びシクロヘキシルから選択されるC3~6シクロアルキル、ビシクロ[1.1.1]ペンタン-1-イル、3-オキサビシクロ[4.1.0]ヘプタン-6-イル、3-オキサビシクロ[3.1.0]ヘキサン-6-イル、及び3-オキサビシクロ[3.1.0]ヘキサン-1-イルから選択される6~8員の縮合二環式複素環、5-オキサスピロ[2.4]ヘプタン-1-イル、6-オキサスピロ[2.5]オクタン-1-イル、及び6-オキサスピロ[3.4]オクタン-2-イルから選択される6~8員の縮合二環式複素環、またはテトラヒドロフラン-3-イル、テトラヒドロ-2H-ピラン-4-イル、テトラヒドロ-2H-ピラン-3-イル、アゼチジニル、テトラヒドロチオフェン-3-イル、ピロリジン-3-イル、2-オキソピロリジン-3-イル、ピペリジン-4-イル、1-メチル-6-オキソピペリジン-2-イル、モルホリニル、及び1,4-ジオキサン-2-イルから選択される4~6員の完全飽和複素環であり、Rは、ハロ、ヒドロキシル、ニトリル、C1~4アルキル、C1~4アルコキシ、ハロ置換C1~4アルキル、ヒドロキシル置換C1~4アルキル、C1~4アルキル-O-C1~2アルキル、-C(=O)OH、-C(=O)-C1~4アルキル、及び-C(=O)OC1~4アルキルから独立して選択される1~3つの置換基で任意に置換されており、
は、水素、C1~4アルキル、またはハロゲンであり、
は、ピリジル、オキサゾリル、ピラジニル、オキサジアゾリル、チアゾリル、ピラゾリル、イミダゾリル、ピリジニル-2(1H)-オン、フェニル、2,3-ジヒドロフロ[2,3-b]ピリジン、5,6,7,8-テトラヒドロインドリジン、2,3-ジヒドロチエノ[3,4-b][1,4]ジオキシン、6,7-ジヒドロ-5H-シクロペンタ[b]ピリジン、2,3-ジヒドロベンゾフラン、2,3-ジヒドロ-1H-ピロリジン、ピラゾロ[1,5-a]ピリジン、ピラゾロ[1,5-a]ピリミジン、及び[1,2,4]トリアゾロ[1,5-a]ピリジンから選択され、Rは、ハロ、ハロ置換C1~4アルキル、-NR1112、C1~4アルコキシ、及びC1~4アルキルからなる群から独立して選択される1または2つの置換基で任意に置換されており、
及びRは、それぞれ独立して、HまたはC1~4アルキルであり、
は、C1~4アルキル、ハロ置換C1~4アルキル、ハロゲン、または-ORであり、
は、ハロゲンから独立して選択される1~3つの置換基を有するC1~5アルキルであり、残りの可変部分は、第1~第19の実施形態で定義された通りである、当該化合物またはその薬学的に許容される塩を提供する。
第42の実施形態では、本発明は、式(V)、(VI)、(VII)、もしくは(VIII):
Figure 0007576552000026
で表される化合物またはその薬学的に許容される塩であって、式中、
は、酸素及び窒素から独立して選択される1~2個のヘテロ原子を含有する6~8員の架橋複素環であり、当該6~8員の架橋複素環は、C1~4アルキル、ハロゲン、ハロ置換C1~4アルキル、ヒドロキシル、及びC1~4アルコキシから独立して選択される1または2つの置換基で任意に置換されており、
は、ピリジル、ピリジニル-2(1H)-オン、酸素及び窒素から独立して選択される1~2個のヘテロ原子を有する9~10員の縮合二環式複素環、または酸素及び窒素から独立して選択される1~3個のヘテロ原子を有する9~10員の縮合二環式ヘテロアリールであり、Rで表される当該ピリジル、9~10員の縮合二環式複素環、及び9~10員の縮合二環式ヘテロアリールは、それぞれ、C1~4アルキル、ハロゲン、ハロ置換C1~4アルキル、ヒドロキシル、及びC1~4アルコキシから独立して選択される1~2つの置換基で任意に置換されており、
8bは、Hまたはハロゲンであり、
は、C1~5アルキルである、当該化合物またはその薬学的に許容される塩を提供する。
特定の実施形態では、第42の実施形態に記載の化合物またはその薬学的に許容される塩について、
は、C1~4アルキルで任意に置換された、酸素原子を有する6または7員の架橋複素環であり、
は、ピリジル、ピリジニル-2(1H)-オン、酸素原子を有する9員の縮合二環式複素環、または2もしくは3個の窒素原子を有する9員の縮合二環式ヘテロアリールであり、Rで表される当該ピリジル、9員の縮合二環式複素環、及び9員の縮合二環式ヘテロアリールは、それぞれ、ハロゲン、ハロ置換C1~4アルキル、及びC1~4アルコキシから独立して選択される1~2つの置換基で任意に置換されており、
8bは、HまたはFであり、
は、C1~4アルキルであり、残りの可変部分は第42の実施形態で定義された通りである。
別の特定の実施形態では、第42の実施形態に記載の化合物またはその薬学的に許容される塩について、Rは、2-オキサビシクロ[2.1.1]ヘキサン-4-イル、8-オキサビシクロ[3.2.1]オクタン-3-イル、2-オキサビシクロ[2.2.1]ヘプタン-4-イル、2-オキサビシクロ[2.2.2]オクタン-4-イル、2-オキサビシクロ[3.1.1]ヘプタン-5-イルから選択され、これらの各々は、C1~4アルキルで任意に置換されており、
は、2-ピリジル、3-ピリジル、ピリジニル-2(1H)-オン、2,3-ジヒドロベンゾフラン、ピラゾロ[1,5-a]ピリジン、及び[1,2,4]トリアゾロ[1,5-a]ピリジンから選択され、これらの各々は、ハロ、ハロ置換C1~4アルキル、及びC1~4アルコキシから独立して選択される1~2つの置換基で任意に置換されており、
は、C1~4アルキルであり、残りの可変部分は、第42の実施形態で定義された通りである。
本発明の第43の実施形態は、以下からなる群から選択される化合物:
Figure 0007576552000027
Figure 0007576552000028
Figure 0007576552000029
Figure 0007576552000030
Figure 0007576552000031
Figure 0007576552000032
Figure 0007576552000033
Figure 0007576552000034
Figure 0007576552000035
Figure 0007576552000036
Figure 0007576552000037
Figure 0007576552000038
Figure 0007576552000039
Figure 0007576552000040
Figure 0007576552000041
Figure 0007576552000042
Figure 0007576552000043
Figure 0007576552000044
Figure 0007576552000045
Figure 0007576552000046
Figure 0007576552000047
Figure 0007576552000048
Figure 0007576552000049
Figure 0007576552000050
Figure 0007576552000051
Figure 0007576552000052
Figure 0007576552000053
Figure 0007576552000054
Figure 0007576552000055
Figure 0007576552000056
Figure 0007576552000057
Figure 0007576552000058
Figure 0007576552000059
Figure 0007576552000060
Figure 0007576552000061
またはその薬学的に許容される塩を提供する。
本発明の第44の実施形態は、先行実施形態のいずれか1つに記載の化合物またはその薬学的に許容される塩を含む医薬組成物を提供する。
本発明の第45の実施形態は、第44の実施形態に記載の医薬組成物または薬学的に許容される塩及び1種以上の薬学的に許容される担体または希釈剤を提供する。
本発明の第46の実施形態は、1種以上の追加の医薬品(複数可)を更に含む、第45の実施形態に記載の医薬組成物を提供する。
本発明の一実施形態は、IRAK4の発現もしくは活性を減少させるか、またはそうでなければ、IRAK4ポリペプチドもしくはポリヌクレオチドの特性及び/または作用に影響を及ぼす方法であって、本明細書に記載される少なくとも1種の化合物またはその薬学的に許容される塩の有効量を上記哺乳動物に投与することを含む、当該方法を含む。
本発明の第47の実施形態は、対象のIRAK4により媒介される疾患を処置する方法であって、実施形態1~43のいずれか1つに記載の化合物もしくはその薬学的に許容される塩または実施形態44~46のいずれかに記載のそれらの医薬組成物を、当該対象に投与することを含む、当該方法である。
第48の実施形態では、本発明は、実施形態1~43のいずれか1つに記載の化合物もしくはその薬学的に許容される塩または実施形態44~46のいずれか1つに記載のそれらの医薬組成物の、IRAK4により媒介される対象の障害または疾患の処置のための使用を提供する。
第49の実施形態では、本発明は、実施形態1~43のいずれか1つに記載の化合物もしくはその薬学的に許容される塩または実施形態44~46のいずれか1つに記載のそれらの医薬組成物の、IRAK4により媒介される対象の障害または疾患の処置のための薬剤の製造における使用を提供する。
IRAK4により媒介される疾患が、自己免疫疾患、炎症性疾患、骨疾患、代謝疾患、神経疾患及び神経変性疾患及び/または神経障害及び神経変性障害、がん、心血管疾患、アレルギー、喘息、アルツハイマー病、ホルモン関連疾患、虚血性脳卒中、脳虚血、低酸素、TBI(外傷性脳損傷)、CTE(慢性外傷性脳症)、てんかん、多発性硬化症(MS)、パーキンソン病(PD)、ならびに筋萎縮性側索硬化症(ALS)から選択される、実施形態47に記載の処置方法を含む本発明の第50の実施形態。
IRAK4により媒介される疾患が、炎症及び疼痛に関連する障害及び/または状態、増殖性疾患、造血障害、血液系腫瘍、骨障害、線維症疾患及び/または障害、代謝障害、筋疾患及び/または筋障害、呼吸器疾患、肺疾患、遺伝性発達性疾患、慢性炎症性脱髄性ニューロパチー、血管疾患または心疾患、眼科疾患、ならびに眼疾患から選択される、実施形態47に記載の処置方法を含む本発明の第51の実施形態。
IRAK4により媒介される疾患が、自己免疫疾患、炎症性疾患、骨疾患、代謝疾患、神経疾患及び神経変性疾患及び/または神経障害及び神経変性障害、がん、心血管疾患、アレルギー、喘息、アルツハイマー病、ホルモン関連疾患、虚血性脳卒中、脳虚血、低酸素、TBI(外傷性脳損傷)、CTE(慢性外傷性脳症)、てんかん、多発性硬化症(MS)、パーキンソン病(PD)、ならびに筋萎縮性側索硬化症(ALS)から選択される、実施形態48に記載の化合物の使用を含む本発明の第52の実施形態。
IRAK4により媒介される疾患が、炎症及び疼痛に関連する障害及び/または状態、増殖性疾患、造血障害、血液系腫瘍、骨障害、線維症疾患及び/または障害、代謝障害、筋疾患及び/または筋障害、呼吸器疾患、肺疾患、遺伝性発達性疾患、慢性炎症性脱髄性ニューロパチー、血管疾患または心疾患、眼科疾患、ならびに眼疾患から選択される、実施形態48に記載の化合物の使用を含む本発明の第53の実施形態。
本明細書に記載される化合物またはその薬学的に許容される塩は、IRAK4の発現または活性を減少させるために、またはそうでなければIRAK4ポリペプチドまたはポリヌクレオチドの特性及び/または作用、例えば、安定性、リン酸化、キナーゼ活性、他のタンパク質との相互作用などに影響を及ぼすために使用され得る。
本発明の一実施形態は、IRAK1の発現もしくは活性を減少させるか、またはそうでなければ、IRAK1ポリペプチドもしくはポリヌクレオチドの特性及び/または作用に影響を及ぼす方法であって、本明細書に記載される少なくとも1種の化合物またはその薬学的に許容される塩の有効量を上記哺乳動物に投与することを含む、当該方法を含む。
一実施形態では、Rは、以下からなる群から選択される:
Figure 0007576552000062
Figure 0007576552000063
Figure 0007576552000064
Figure 0007576552000065
一実施形態では、Rは、以下からなる群から選択される:
Figure 0007576552000066
一実施形態では、Rは、以下からなる群から選択される:
Figure 0007576552000067
Figure 0007576552000068
一実施形態では、Rは、以下からなる群から選択される:
Figure 0007576552000069
一実施形態では、Rは、以下からなる群から選択される:
Figure 0007576552000070
本発明の一実施形態は、IRAK4の発現もしくは活性を減少させるか、またはそうでなければ、IRAK4ポリペプチドもしくはポリヌクレオチドの特性及び/または作用に影響を及ぼす方法であって、本明細書に記載される少なくとも1種の化合物またはその薬学的に許容される塩の有効量を上記対象に投与することを含む、当該方法を含む。
本発明の一実施形態は、対象の炎症性疾患を処置するための方法であって、本明細書に記載の化合物またはその薬学的に許容される塩の治療上有効量を患者に投与し、これにより、当該対象の当該炎症性疾患を処置することを含む、当該方法を含む。
一実施形態では、炎症性疾患は、肺疾患または気道の疾患である。
一実施形態では、肺疾患及び気道の疾患は、成人型呼吸促迫症候群(ARDS)、慢性閉塞性肺疾患(COPD)、肺線維症、間質性肺疾患、喘息、慢性咳嗽、及びアレルギー性鼻炎から選択される。
一実施形態では、炎症性疾患は、移植拒絶反応、CD14媒介性の敗血症、CD14非媒介性の敗血症、炎症性腸疾患、ベーチェット症候群、強直性脊椎炎、サルコイドーシス、及び痛風から選択される。
本発明の一実施形態は、対象の自己免疫疾患、がん、心血管疾患、中枢神経系の疾患、皮膚の疾患、眼科疾患及び眼疾患、ならびに骨疾患を処置するための方法であって、本明細書において開示される化合物またはその薬学的に許容される塩の治療上有効量を患者に投与し、これにより、当該対象の当該自己免疫疾患、がん、心血管疾患、中枢神経系の疾患、皮膚の疾患、眼科疾患及び眼疾患、ならびに骨疾患を処置することを含む、当該方法を含む。
一実施形態では、自己免疫疾患は、関節リウマチ、全身性エリテマトーデス、多発性硬化症、糖尿病、全身性硬化症、及びシェーグレン症候群から選択される。
一実施形態では、自己免疫疾患は、1型糖尿病である。
一実施形態では、自己免疫疾患は、多発性硬化症である。
一実施形態では、自己免疫疾患は、てんかんである。
一実施形態では、がんは、ワルデンシュトレームマクログロブリン血症、固形腫瘍、皮膚癌、及びリンパ腫から選択される。
一実施形態では、心血管疾患は、脳卒中及びアテローム硬化症から選択される。
一実施形態では、中枢神経系の疾患は、神経変性疾患である。
一実施形態では、皮膚の疾患は、発疹、接触皮膚炎、乾癬、及びアトピー性皮膚炎から選択される。
一実施形態では、骨疾患は、骨粗鬆症及び変形性関節炎から選択される。
一実施形態では、炎症性腸疾患は、クローン病及び潰瘍性大腸炎から選択される。
本発明の一実施形態は、虚血性線維症を処置するための方法であって、本明細書に記載の化合物またはその薬学的に許容される塩の治療上有効量を患者に投与し、これにより、対象の虚血性線維症を処置することを含む、当該方法を含む。一実施形態では、虚血性線維症は、脳卒中、急性肺損傷、急性腎臓損傷、虚血性心臓損傷、急性肝臓損傷、及び虚血性骨格筋損傷から選択される。
本発明の一実施形態は、臓器移植後の線維症を処置するための方法であって、本明細書に記載の化合物またはその薬学的に許容される塩の治療上有効量を患者に投与し、これにより、当該対象の臓器移植後の線維症を処置することを含む、当該方法を含む。
本発明の一実施形態は、高血圧性または糖尿病性の末端器官疾患を処置するための方法であって、本明細書に記載の化合物またはその薬学的に許容される塩の治療上有効量を患者に投与し、これにより、対象の高血圧性または糖尿病性の末端器官疾患を処置することを含む、当該方法を含む。
本発明の一実施形態は、高血圧性腎臓疾患を処置するための方法であって、本明細書に記載の化合物またはその薬学的に許容される塩の治療上有効量を患者に投与し、これにより、対象の高血圧性腎臓疾患を処置することを含む、当該方法を含む。
本発明の一実施形態は、特発性肺線維症(IPF)を処置するための方法であって、本明細書に記載の化合物またはその薬学的に許容される塩の治療上有効量を患者に投与し、これにより、対象のIPFを処置することを含む、当該方法を含む。
本発明の一実施形態は、強皮症または全身性硬化症を処置するための方法であって、本明細書に記載の化合物またはその薬学的に許容される塩の治療上有効量を患者に投与し、これにより、対象の強皮症または全身性硬化症を処置することを含む、当該方法を含む。
本発明の一実施形態は、肝硬変を処置するための方法であって、本明細書に記載の化合物またはその薬学的に許容される塩の治療上有効量を患者に投与し、これにより、対象の肝硬変を処置することを含む、当該方法を含む。
本発明の一実施形態は、組織損傷及び/または炎症が存在する線維性疾患を処置するための方法であって、本明細書に記載の化合物またはその薬学的に許容される塩の治療上有効量を患者に投与し、これにより、組織損傷及び/または炎症が存在する対象の線維性疾患を処置することを含む、当該方法を含む。線維性疾患としては、例えば、膵臓炎、腹膜炎、火傷、糸球体腎炎、薬物毒性の合併症、及び感染後の瘢痕化が挙げられる。
一定期間にわたる器官の無症候性損傷の結果であるか、または急性重度の損傷もしくは炎症の続発症である内臓の瘢痕化は、大きな世界的健康問題である。全ての器官が瘢痕化により影響を受け得、現在、瘢痕化の発生を特異的に標的とする治療法は少ない。瘢痕化はそれ自体が器官機能の更なる低下、炎症、及び組織虚血を引き起こすことを示す証拠が増え続けている。これは、心臓及び血管系の収縮及び弛緩または肺の膨張及び収縮の障害などの機能を障害する線維性基質の沈着に直接的に起因し得るか、または器官の微小血管系と生体細胞との間の空間を増加させ、これにより、栄養分を欠乏させ、正常な組織構造を歪めることにより得る。しかしながら、最近の研究は、筋線維芽細胞自体が、損傷を促進するサイトカイン、ケモカイン、及びラジカルを生成する炎症細胞であること、ならびに筋線維芽細胞は、通常は微小血管系を保育し、維持する周皮細胞として公知の細胞からの移行の結果として現れることを示した。表現型のこの移行の結果として、微小血管系が不安定になり、異常な血管新生または希薄化をもたらす。
本開示は、器官の瘢痕化を処置、予防、及び/または低減するための方法及び組成物に関する。より具体的には、本開示は、腎臓の瘢痕化を処置、予防、及び/または低減するための方法及び組成物に関する。
本開示、本明細書に記載の方法及び組成物は、抗線維化剤として使用され得るか、または線維症の重症度及び線維症による傷害を処置、予防、及び/または低減するために使用され得ることが意図される。
加えて、本開示、本明細書に記載の方法及び組成物は、線維症の重症度及び線維症による傷害を処置、予防、及び/または低減するために使用され得ることが意図される。
更に、本開示、本明細書に記載の方法及び組成物は、炎症を処置するために使用される抗炎症薬として使用され得ることが意図される。
器官の幾つか非限定的な例としては、以下が挙げられる:腎臓、心臓、肺、胃、肝臓、膵臓、視床下部、胃、子宮、膀胱、横隔膜、膵臓、腸管、大腸など。
特定の実施形態では、本発明は、上述の方法に関し、ここで、上記化合物は非経口投与される。
特定の実施形態では、本発明は、上述の方法に関し、ここで、上記化合物は、筋肉内に、静脈内に、皮下に、経口的に、肺に、直腸に、クモ膜下腔内に、局所的に、または鼻腔内に投与される。
特定の実施形態では、本発明は、上述の方法に関し、ここで、上記化合物は全身投与される。
特定の実施形態では、本発明は、上述の方法に関し、ここで、上記対象は哺乳動物である。
特定の実施形態では、本発明は上述の方法に関し、ここで、上記対象は霊長類である。
特定の実施形態では、本発明は、上述の方法に関し、ここで、上記対象はヒトである。
本明細書に記載される化合物及び中間体は、それ自体が化合物として単離及び使用され得る。あるいは、塩を形成することができる部分が存在する場合、化合物または中間体は、それらの対応する塩として単離及び使用され得る。本明細書で使用する場合、用語「塩」(複数可)は、本発明の化合物の酸付加塩または塩基付加塩を指す。「塩」としては、特に「薬学的に許容される塩」が挙げられる。用語「薬学的に許容される塩」は、本発明の化合物の生物学的効果及び特性を保持し、通常、生物学的にまたは別様に望ましくないものではない塩を指す。多くの場合、本発明の化合物は、アミノ及び/またはカルボキシル基または類似の基の存在によって酸性塩及び/または塩基性塩を形成することができる。
薬学的に許容される酸付加塩、例えば、酢酸塩、アスパラギン酸塩、安息香酸塩、ベシル酸塩、臭化物塩/臭化水素酸塩、重炭酸塩/炭酸塩、重硫酸塩/硫酸塩、カンファースルホン酸塩、塩化物塩/塩酸塩、クロルテオフィリン酸塩(chlortheophyllonate)、クエン酸塩、エタンジスルホン酸塩、フマル酸塩、グルセプ酸塩、グルコン酸塩、グルクロン酸塩、馬尿酸塩、ヨウ化水素酸塩/ヨウ化物塩、イセチオン酸塩、乳酸塩、ラクトビオン酸塩、ラウリル硫酸塩、リンゴ酸塩、マレイン酸塩、マロン酸塩、マンデル酸塩、メシル酸塩、メチル硫酸塩、ナフトエ酸塩、ナプシル酸塩、ニコチン酸塩、硝酸塩、オクタデカン酸塩、オレイン酸塩、シュウ酸塩、パルミチン酸塩、パモ酸塩、リン酸塩/リン酸水素塩/リン酸二水素塩、ポリガラクツロ酸塩、プロピオン酸塩、ステアリン酸塩、コハク酸塩、硫酸塩、スルホサリチル酸塩、酒石酸塩、トシル酸塩、及びトリフルオロ酢酸塩は、無機酸及び有機酸により形成され得る。
塩が誘導され得る無機酸としては、例えば、塩酸、臭化水素酸、硫酸、硝酸、リン酸などが挙げられる。
塩が誘導され得る有機酸としては、例えば、酢酸、プロピオン酸、グリコール酸、シュウ酸、マレイン酸、マロン酸、コハク酸、フマル酸、酒石酸、クエン酸、安息香酸、マンデル酸、メタンスルホン酸、エタンスルホン酸、トルエンスルホン酸、スルホサリチル酸などが挙げられる。薬学的に許容される塩基付加塩は、無機及び有機塩基により形成され得る。
塩が誘導され得る無機塩基としては、例えば、アンモニウム塩及び周期表のIからXII列の金属が挙げられる。特定の実施形態では、塩は、ナトリウム、カリウム、アンモニウム、カルシウム、マグネシウム、鉄、銀、亜鉛、及び銅から誘導され、特に好適な塩としては、アンモニウム、カリウム、ナトリウム、カルシウム、及びマグネシウム塩が挙げられる。
塩が誘導され得る有機塩基としては、例えば、一級、二級、及び三級アミン、天然に存在する置換アミンが含まれる置換アミン、環状アミン、塩基性イオン交換樹脂などが挙げられる。特定の有機アミンとしては、イソプロピルアミン、ベンザチン、コリネート、ジエタノールアミン、ジエチルアミン、リジン、メグルミン、ピペラジン、及びトロメタミンが挙げられる。
塩は、従来の化学的方法によって、塩基性または酸性部分を含有する化合物から合成され得る。一般に、かかる塩は、遊離酸形態のこれらの化合物を化学量論量の適切な塩基(例えば、Na、Ca、Mg、またはKの水酸化物、炭酸塩、重炭酸塩など)と反応させるか、または遊離塩基形態のこれらの化合物を化学量論量の適切な酸と反応させることにより調製され得る。かかる反応は、通常、水もしくは有機溶媒中またはこの2つの混合物中で実施される。一般に、実施可能な場合、エーテル、酢酸エチル、エタノール、イソプロパノール、またはアセトニトリルのような非水性媒体の使用が望ましい。追加の好適な塩の一覧は、例えば、“Remington’s Pharmaceutical Sciences”,20th ed.,Mack Publishing Company,Easton,Pa.,(1985);及び“Handbook of Pharmaceutical Salts:Properties,Selection,and Use” Stahl and Wermuth(Wiley-VCH、Weinheim、Germany、2002)において見出すことができる。
同位体標識された式(I’)または(I)の化合物は、一般に、当業者に公知の従来技術により、または添付の実施例及び調製に記載のものに類似するプロセスにより、従来用いられる非標識試薬の代わりに適切な同位体標識された試薬を使用して調製され得る。
本発明による薬学的に許容される溶媒和物としては、結晶化の溶媒が同位体置換されていてもよいもの、例えば、DO、d-アセトン、d-DMSOが挙げられる。
本発明の化合物がキラル中心を有し得、従って、異なる立体異性体形態で存在し得ることが当業者によって理解されるであろう。本明細書で使用する場合、用語「光学異性体」または「立体異性体」は、本発明の所与の化合物について存在し得る様々な立体異性体配置のいずれかを指す。置換基は、炭素原子のキラル中心で結合していてもよいことが理解される。従って、本発明には、化合物のエナンチオマー、ジアステレオマー、またはラセミ体が含まれる。
「エナンチオマー」は、互いに重ね合わせることができない鏡像である一対の立体異性体である。一対のエナンチオマーの1:1混合物は、「ラセミ」混合物である。この用語は、必要に応じて、ラセミ混合物を指すために使用される。本発明の化合物の立体化学を示す場合、2つのキラル中心の既知の相対配置及び絶対配置を有する単一の立体異性体は、従来のRS系を使用して示され(例えば、(1S,2S))、既知の相対配置を有するが未知の絶対配置を有する単一の立体異性体は、星を用いて示され(例えば、(1R,2R))、ラセミ化合物は、2つの文字を用いて示される(例えば、(1R,2R)及び(1S,2S)のラセミ混合物として(1RS,2RS);(1R,2S)及び(1S,2R)のラセミ混合物として(1RS,2SR))。「ジアステレオ異性体」は、少なくとも2個の不斉原子を有するが、互いに鏡像ではない立体異性体である。絶対立体化学は、Cahn-Ingold-Prelog R-S系に従って特定される。化合物が純粋なエナンチオマーである場合、各キラル炭素での立体化学は、RまたはSのいずれかと特定され得る。絶対配置が未知である光学分割された化合物は、ナトリウムD線の波長で平面偏光を回転させる方向(右旋性または左旋性)に応じて、(+)または(-)と示され得る。あるいは、光学分割された化合物は、キラルHPLCによる対応するエナンチオマー/ジアステレオマーのそれぞれの保持時間によって定義され得る。
本明細書に記載される化合物のあるものは、1つ以上の不斉中心または軸を含み、従って、絶対立体化学の観点から(R)-または(S)-として定義され得るエナンチオマー、ジアステレオマー、及び他の立体異性体形態を生じ得る。
特に明記しない限り、本発明の化合物は、ラセミ混合物、光学的に純粋な形態、及び中間混合物が含まれる、かかる可能な立体異性体の全てを含むことが意味される。光学活性な(R)-及び(S)-立体異性体は、キラルシントンもしくはキラル試薬を使用して調製され得るか、または従来技術を使用して分割され得る(例えば、キラルSFC、またはDAICEL社から入手可能なCHIRALPAK(RTM)及びCHIRALCEL(RTM)などのHPLCクロマトグラフィーカラムで、良好な分離を達成する適切な溶媒または溶媒混合物を使用して分離される)。化合物が二重結合を含有する場合、置換基は、E配置またはZ配置であり得る。化合物が二置換シクロアルキルを含有する場合、シクロアルキル置換基は、シス配置またはトランス配置を有し得る。全ての互変異性形態が含まれることも意図される。
薬理及び有用性
本発明の化合物は、IRAK4活性を調節することが分かっており、神経疾患、神経変性疾患、及び他の追加の疾患の処置に有益であり得る。
本発明の別の態様は、対象におけるIRAK4の調節に関連する疾患、障害、もしくは状態を処置するか、またはこれらの重症度を軽減する方法であって、式(I’)もしくは(I)の化合物またはその薬学的に許容される塩を当該対象に投与することを含む、当該方法を提供する。
特定の実施形態では、本発明は、IRAK4活性の欠損に関係付けられる状態、疾患、または障害を処置する方法であって、その処置を必要とする対象、好ましくは哺乳動物に式(I’)または(I)の化合物を含む組成物を投与することを含む、当該方法を提供する。
本発明によると、化合物または医薬組成物の「有効用量」または「有効量」は、上記で詳述されたような疾患、障害、または状態のうちの1つ以上を処置するか、またはこれらの重症度を軽減するのに効果的な量である。
本発明の方法により、化合物及び組成物は、上記で詳述された疾患、障害、または状態のうちの1つ以上を処置するか、またはこれらの重症度を軽減するのに効果的な任意の量及び任意の投与経路を使用して投与され得る。
本発明の化合物は、通常、医薬組成物(例えば、本発明の化合物及び少なくとも1種の薬学的に許容される担体)として使用される。本明細書で使用する場合、用語「薬学的に許容される担体」には、当業者に知られているような、一般に安全と認識されている(GRAS)溶媒、分散媒、界面活性剤、抗酸化剤、防腐剤(例えば、抗菌剤、抗真菌剤)、等張剤、塩、防腐剤、薬物安定剤、緩衝剤(例えば、マレイン酸、酒石酸、乳酸、クエン酸、酢酸、炭酸水素ナトリウム、リン酸ナトリウムなど)など、及びこれらの組み合わせが含まれる(例えば、Remington’s Pharmaceutical Sciences,18th Ed. Mack Printing Company,1990,pp.1289-1329を参照のこと)。任意の従来の担体が活性成分と適合しない場合を除いて、治療用組成物または医薬組成物におけるその使用が意図される。本発明の目的のために、溶媒和物及び水和物は、本発明の化合物及び溶媒(すなわち、溶媒和物)または水(すなわち、水和物)を含む医薬組成物とみなされる。
製剤は、従来の溶解手順及び混合手順を使用して調製され得る。例えば、バルク原薬(すなわち、本発明の化合物または化合物の安定化形態(例えば、シクロデキストリン誘導体または他の既知の複合体形成剤との複合体))は、上記の賦形剤のうちの1種以上の存在下で適切な溶媒中に溶解される。本発明の化合物は、容易に調節可能な投与量の薬物を提供するため、及び患者に簡潔かつ取り扱い易い生成物を提供するために、通常、医薬剤形に製剤化される。
用途のための医薬組成物(または製剤)は、薬物を投与するために使用される方法に応じて多様な方法で包装され得る。一般に、流通用の物品は、適切な形態の医薬製剤がその中に配置された容器を含む。好適な容器は当業者に公知であり、例えば、ボトル(プラスチック及びガラス)、サッシェ、アンプル、プラスチック袋、金属円筒などの物質が挙げられる。容器は、包装の内容物への不注意なアクセスを防止するための不正開封防止機構も含み得る。加えて、容器は、その容器の内容物を記載するラベルがその上に配置されている。ラベルは、適切な警告も含み得る。
本発明の化合物を含む医薬組成物は、一般に、非経口投与または経口投与の用途で製剤化される。
例えば、本発明の経口医薬組成物は、固体形態(限定されるものではないが、カプセル、錠剤、丸剤、顆粒、粉末、または坐剤が含まれる)または液体形態(限定されるものではないが、溶液、懸濁液、またはエマルションが含まれる)に作られ得る。医薬組成物は、殺菌などの従来の製薬工程に供され得、及び/または従来の不活性希釈剤、滑沢剤、または緩衝剤、加えて、補助剤、例えば、防腐剤、安定剤、湿潤剤、乳化剤、及び緩衝液などを含有し得る。
典型的には、医薬組成物は、
a)希釈剤、例えば、ラクトース、デキストロース、スクロース、マンニトール、ソルビトール、セルロース、及び/またはグリシン;
b)滑沢剤、例えば、シリカ、タルク、ステアリン酸、そのマグネシウムまたはカルシウム塩、及び/またはポリエチレングリコール;また錠剤の場合、
c)結合剤、例えば、ケイ酸アルミウニムマグネシウム、デンプンのり、ゼラチン、トラガカント、メチルセルロース、カルボキシメチルセルロースナトリウム、及び/またはポリビニルピロリドン;必要に応じて、
d)崩壊剤、例えば、デンプン、寒天、アルギン酸もしくはそのナトリウム塩、または発泡性混合物;及び/または
e)吸収剤、着色剤、香味料、及び甘味剤と共に活性成分を含む錠剤またはゼラチンカプセルである。
錠剤は、当該技術分野において公知の方法によりフィルムコーティングまたは腸溶コーティングのいずれかがなされ得る。
経口投与に好適な組成物としては、錠剤、舐剤、水性もしくは油性懸濁液、分散性の粉末もしくは顆粒、エマルション、硬カプセルもしくは軟カプセル、またはシロップもしくはエリキシルの形態の本発明の化合物が挙げられる。経口使用が意図される組成物は、医薬組成物の製造のための当該技術分野において公知の任意の方法により調製され、かかる組成物は、薬剤として優れた、かつ味のよい調製物を提供するために、甘味剤、香味剤、着色剤、及び保存剤からなる群から選択される1種以上の薬剤を含有し得る。錠剤は、錠剤の製造に好適な無毒性の薬学的に許容される賦形剤と混合された活性成分を含有し得る。これらの賦形剤は、例えば、不活性希釈剤、例えば、炭酸カルシウム、炭酸ナトリウム、ラクトース、リン酸カルシウム、またはリン酸ナトリウム;造粒剤及び崩壊剤、例えば、トウモロコシデンプンまたはアルギン酸;結合剤、例えば、デンプン、ゼラチン、またはアカシア;ならびに滑沢剤、例えば、ステアリン酸マグネシウム、ステアリン酸、またはタルクである。錠剤は、コーティングされていないか、または消化管での崩壊及び吸収を遅延させるために、既知の技術によりコーティングされており、これにより、より長い期間にわたり持続する作用を提供する。例えば、モノステアリン酸グリセリンまたはジステアリン酸グリセリルなどの時間遅延物質が使用され得る。経口使用のための製剤は、活性成分が不活性固体希釈剤、例えば、炭酸カルシウム、リン酸カルシウム、もしくはカオリンと混合されている硬ゼラチンカプセルとして、または活性成分が水もしくは油性媒体、例えば、落花生油、流動パラフィン、またはオリーブ油と混合されている軟ゼラチンカプセルとして提供され得る。
非経口組成物(例えば、静注(IV)製剤)は、水性の等張液または懸濁液である。非経口組成物は、滅菌され得、及び/または補助剤、例えば、保存剤、安定化剤、湿潤剤もしくは乳化剤、溶解促進剤、浸透圧を調節するための塩、及び/または緩衝液を含有し得る。加えて、それらは、他の治療上価値のある物質も含有し得る。組成物は、一般に、それぞれ従来の混合方法、造粒方法、またはコーティング方法により調製され、約0.1~75%の活性成分を含有するか、または約1~50%の活性成分を含有する。
対象(例えば、ヒト)に使用するための本発明の化合物またはその医薬組成物は、通常、約100mg/kg、75mg/kg、50mg/kg、25mg/kg、10mg/kg、7.5mg/kg、5.0mg/kg、3.0mg/kg、1.0mg/kg、0.5mg/kg、0.05mg/kg、または0.01mg/kg以下であるが、好ましくは約0.0001mg/kg以上の治療用量で経口投与または非経口投与される。注入により静脈内投与される場合、投与量は、IV製剤が投与される注入速度に依存し得る。一般に、化合物、医薬組成物、またはそれらの組み合わせの治療上有効な投与量は、対象の種、体重、年齢、及び個体の状態、処置されている障害もしくは疾患またはそれらの重症度に依存する。通常の技量を有する医師、薬剤師、臨床医、または獣医師は、障害または疾患を予防するか、処置するか、またはそれらの進行を阻害するのに必要な各々の活性成分の有効量を容易に決定することができる。
上記の用量の特性は、有利には、哺乳動物、例えば、マウス、ラット、イヌ、サル、または単離された器官、組織、及びそれらの標本を使用したインビトロ及びインビボ試験により実証可能である。本発明の化合物は、溶液、例えば、水溶液の形態で、インビトロで適用され得、及び例えば、懸濁液または水溶液として、経腸的に、非経口的に、有利には経静脈的にのいずれかでインビボで適用され得る。インビトロでの投与量は、約10-3モル濃度と10-9モル濃度との間の範囲であり得る。
併用療法
本発明の化合物は、様々な状態または疾患状態の処置において単独でまたは他の治療薬と組み合わせて使用され得る。本発明の化合物(複数可)及び他の治療薬(複数可)は、同時に(同一の剤形または別個の剤形のいずれかで)または逐次的に投与され得る。
2種以上の化合物は、同時に、並行して、または逐次的に投与され得る。加えて、同時投与は、投与前に化合物を混合することにより、または同一時点であるが、異なる解剖学的部位に、もしくは異なる投与経路を使用して化合物を投与することにより実行され得る。
語句「併用投与」、「共投与」、「同時投与」、及び「同時に投与される」は、化合物が組み合わされて投与されることを意味する。
本発明は、式(I’)または(I)の化合物として提供されるようなIRAK阻害剤化合物及び1種以上の追加の薬学的活性薬剤(複数可)の組み合わせの使用を含む。活性薬剤の組み合わせが投与される場合、それらは、逐次的に投与され得るか、または別個の剤形で、もしくは単一剤形に混合されて同時に投与され得る。従って、本発明は、ある量の(a)式(I’)もしくは(I)の化合物または当該化合物の薬学的に許容される塩を含む第1の薬剤;(b)第2の薬学的活性薬剤;及び(c)薬学的に許容される担体、ビヒクル、または希釈剤を含む医薬組成物も含む。
本発明の化合物は、単独で、または1種以上の追加の治療薬と組み合わせて投与され得る。「組み合わせて投与される」または「併用療法」は、本発明の化合物及び1種以上の追加の治療薬が処置されている哺乳動物に同時投与されることを意味する。組み合わせて投与される場合、各成分は、同時に、または任意の順序で異なる時点に逐次的に投与され得る。従って、各成分は、別々に、しかし所望の治療効果を提供するのに十分短い時間間隔で投与され得る。従って、本明細書に記載される予防及び処置の方法は、薬剤の組み合わせの使用を含む。
薬剤の組み合わせは、ヒトを含む哺乳動物に治療上有効量で投与される。「治療上有効量」は、単独で、または追加の治療薬と組み合わせて哺乳動物に投与される場合に、所望の疾患/状態、例えば、全身性エリテマトーデスなどの炎症性疾患を処置するのに有効である本発明の化合物の量を意味する。ループスを処置するのに有用な治療薬については、T.Koutsokeras and T.Healy,Systemic lupus erythematosus and lupus nephritis,Nat Rev Drug Discov,2014,13(3),173-174も参照のこと。
特に、本発明の化合物は、以下の治療薬と共に投与され得ることが意図される。本発明の組み合わせが組み合わされてもよい薬剤の例としては、限定されるものではないが、以下が挙げられる:アルツハイマー病の処置薬、例えば、Aricept(登録商標)及びExcelon(登録商標);HIVの処置薬、例えば、リトナビル;パーキンソン病の処置薬、例えば、L-ドーパ/カルビドパ、エンタカポン、ロピニロール(ropinirole)、プラミペキソール、ブロモクリプチン、ペルゴリド、トリヘキシフェニジル、及びアマンタジン;多発性硬化症(MS)を処置するための薬剤、例えば、βインターフェロン(例えば、Avonex(登録商標)及びRebif(登録商標))、Copaxone(登録商標)、及びミトキサントロン;喘息の処置薬、例えば、アルブテロール及びSingulair(登録商標);統合失調症を処置するための薬剤、例えば、ジプレキサ、リスパダール、セロクエル、及びハロペリドール;抗炎症剤、例えば、コルチコステロイド、T F遮断薬、IL-1 RA、アザチオプリン、シクロホスファミド、及びスルファサラジン;免疫調節剤及び免疫抑制剤、例えば、シクロスポリン、タクロリムス、ラパマイシン、ミコフェノール酸モフェチル、インターフェロン、コルチコステロイド、シクロホスファミド、アザチオプリン、及びスルファサラジン;神経栄養因子、例えば、アセチルコリンエステラーゼ阻害剤、MAO阻害剤、インターフェロン、抗けいれん薬、イオンチャネル遮断薬、リルゾール、及び抗パーキンソン病薬剤;心血管疾患を処置するための薬剤、例えば、β遮断薬、ACE阻害剤、利尿薬、硝酸塩、カルシウムチャネル遮断薬、及びスタチン;肝疾患を処置するための薬剤、例えば、コルチコステロイド、コレスチラミン、インターフェロン、及び抗ウイルス剤;血液疾患を処置するための薬剤、例えば、コルチコステロイド、抗白血病薬剤、及び増殖因子;薬物動態を延長または改善する薬剤、例えば、チトクロームP450阻害剤(すなわち、代謝的分解の阻害剤)及びCYP3 A4阻害剤(例えば、ケトコナゾール(ketokenozole)及びリトナビル)、ならびに免疫不全症を処置するための薬剤、例えば、γ-グロブリン。
特定の実施形態では、本発明の併用療法またはその薬学的に許容される組成物は、モノクローナル抗体またはsiRNA治療薬と組み合わせて投与される。
それらの追加の薬剤は、複数薬剤投与計画の一部として、提供される併用療法とは別々に投与され得る。あるいは、それらの薬剤は、本発明の化合物と共に単一の組成物に混合された単一剤形の一部であり得る。複数薬剤投与計画の一部として投与される場合、2種の活性薬剤は、同時に、逐次的に、または互いから一定時間以内、通常、互いから5時間以内に供され得る。
定義
本明細書で使用する場合、「患者」、「対象」、または「個体」は、互換的に使用され、ヒトまたは非ヒト動物を指す。この用語には、ヒトなどの哺乳動物が含まれる。典型的には、動物は、哺乳動物である。対象は、例えば、霊長類(例えば、男性または女性のヒト)、ウシ、ヒツジ、ヤギ、ウマ、イヌ、ネコ、ウサギ、ラット、マウス、魚類、鳥類なども指す。特定の実施形態では、対象は、霊長類である。好ましくは、対象は、ヒトである。
本明細書で使用する場合、用語「阻害する」、「阻害」、または「阻害すること」は、所与の状態、症状、または障害もしくは疾患の低減もしくは抑制、または生物活性もしくは生物学的プロセスのベースライン活性の顕著な減少を指す。
本明細書で使用する場合、用語「処置する」、「処置すること」、または任意の疾患または障害の「処置」は、疾患、状態、または障害に対抗する目的のための患者の管理及び看護を指し、症状もしくは合併症の発症を予防するため、症状もしくは合併症を軽減するため、または疾患、状態、もしくは障害を除去するための本発明の化合物の投与を含む。
本明細書で使用する場合、用語「脳卒中」は、当該技術分野において通常受け取られる意味を有する。この用語は、原因にかかわらず血流障害に関連する神経障害の発症を広義に指し得る。潜在的原因としては、限定されるものではないが、血栓形成、出血、及び塞栓形成が挙げられる。用語「虚血性脳卒中」は、すなわち、限られた範囲内のものであり、血流の遮断により引き起こされる脳卒中の一種を指す。
本明細書で使用する場合、対象(好ましくは、ヒト)が生物学的に、医学的に、または生活の質において処置から恩恵を受ける場合、かかる対象は、かかる処置を「必要とする」。
本明細書で使用する場合、用語「共投与」は、個体の血液における2種の活性薬剤の存在を指す。共投与される活性薬剤は、同時または逐次的に送達され得る。
用語「併用療法」または「と組み合わせて」または「薬剤組み合わせ」は、本開示に記載される治療状態または障害を処置するための2種以上の治療薬の投与を指す。かかる投与は、実質的に同時の様式での、例えば、一定比率の活性成分を有する単一のカプセルでのこれらの治療薬の共投与を包含する。あるいは、かかる投与は、各活性成分のための複数の容器または別個の容器(例えば、カプセル、粉末、及び液体)での共投与を包含する。粉末及び/または液体は、投与前に所望の用量に再構成または希釈され得る。加えて、かかる投与は、互いの前に、互いに同時に、または特定の時間的制限なしに互いに逐次的に投与される各タイプの治療薬の使用も包含する。いずれの場合においても、処置計画は、本明細書に記載される状態または障害の処置において、薬物の組み合わせの有益な効果を提供する。
本明細書で使用する場合、語句「任意に置換された」は、語句「置換または非置換」と互換的に使用される。一般に、用語「任意に置換された」は、所与の構造における水素ラジカルの指定される置換基のラジカルとの置換を指す。具体的な置換基は、定義において、ならびに化合物の説明及びその実施例において記載されている。特に明記しない限り、任意に置換された基は、当該基の各置換可能な位置に置換基を有し得、任意の所与の構造における2つ以上の位置が、指定された基から選択される2つ以上の置換基で置換され得る場合、置換基は、全ての位置で同一であっても、異なっていてもよい。
本明細書で使用する場合、用語「C1~5アルキル」は、1~5個の炭素原子を有する完全飽和の分枝または非分枝の炭化水素部分を指す。用語「C1~4アルキル」、「C1~3アルキル」及び「C1~2アルキル」は、それに応じて解釈されることになっている。「C1~5アルキル」の代表例としては、限定されるものではないが、メチル、エチル、n-プロピル、イソプロピル、n-ブチル、sec-ブチル、イソブチル、tert-ブチル、n-ペンチル、イソペンチル、及びネオペンチルが挙げられる。同様に、アルコキシのアルキル部分(すなわち、アルキル部分)は、上記と同じ定義を有する。「任意に置換されている」と示される場合、アルカンラジカルまたはアルキル部分は、非置換であってもよく、1つ以上の置換基(一般に、ペルクロロまたはペルフルオロアルキルなどのハロゲン置換基の場合を除いて1~3つの置換基)で置換されていてもよい。「ハロ置換アルキル」は、少なくとも1つのハロゲン置換を有するアルキル基を指す。
本明細書で使用する場合、用語「C1~4アルコキシ」は、酸素橋を介して結合している完全飽和の分枝または非分枝アルキル部分(すなわち、-O-C1~4アルキル基であって、C1~4アルキルは本明細書において定義される通りである、当該-O-C1~4アルキル基)を指す。アルコキシの代表例としては、限定されるものではないが、メトキシ、エトキシ、プロポキシ、2-プロポキシ、ブトキシ、tert-ブトキシなどが挙げられる。好ましくは、アルコキシ基は、約1~4個の炭素、より好ましくは、1~2個の炭素を有する。用語「C1~2アルコキシ」は、それに応じて解釈される。
「ハロゲン」または「ハロ」は、フッ素、塩素、臭素、またはヨウ素であり得る(置換基として好ましいハロゲンは、フッ素及び塩素である)。
本明細書で使用する場合、用語「ハロ置換C1~4アルキル」または「ハロC1~4アルキル」は、本明細書において定義されるようなC1~4アルキル基であって、水素原子のうちの少なくとも1個がハロ原子により置き換えられている、当該C1~4アルキル基を指す。ハロC1~4アルキル基は、モノハロC1~4アルキル、ジハロC1~4アルキル、またはペルハロC1~4アルキルが含まれるポリハロC1~4アルキルであり得る。モノハロC1~4アルキルは、アルキル基内に1つのヨード、ブロモ、クロロ、またはフルオロを有し得る。ジハロC1~4アルキル及びポリハロC1~4アルキル基は、アルキル内に2個以上の同一のハロ原子または異なるハロ基の組み合わせを有し得る。典型的には、ポリハロC1~4アルキル基は、9つまたは8つまたは7つまたは6つまたは5つまたは4つまたは3つまたは2つまでのハロ基を含有する。ハロC1~4アルキルの非限定的な例としては、フルオロメチル、ジフルオロメチル、トリフルオロメチル、クロロメチル、ジクロロメチル、トリクロロメチル、ペンタフルオロエチル、ヘプタフルオロプロピル、ジフルオロクロロメチル、ジクロロフルオロメチル、ジフルオロエチル、ジフルオロプロピル、ジクロロエチル、及びジクロロプロピルが挙げられる。ペルハロC1~4アルキル基は、全ての水素原子がハロ原子に置き換えられているC1~4アルキル基を指す。
本明細書で使用する場合、用語「ハロ置換C1~4アルコキシ」または「ハロC1~4アルコキシ」は、上記の本明細書において定義されるようなC1~4アルコキシ基であって、水素原子のうちの少なくとも1個がハロ原子に置き換えられている、当該C1~4アルコキシ基を指す。ハロ置換C1~4アルコキシの非限定的な例としては、フルオロメトキシ、ジフルオロメトキシ、トリフルオロメトキシ、クロロメトキシ、ジクロロメトキシ、トリクロロメトキシ、ジフルオロクロロメトキシ、ジクロロフルオロメトキシ、ジフルオロエトキシ、ジフルオロプロポキシ、ジクロロエトキシ、及びジクロロプロポキシなどが挙げられる。
本明細書で使用する場合、「ヒドロキシル」または「ヒドロキシ」は、-OH基を指す。
本明細書で使用する場合、用語「ヒドロキシ置換C1~4アルキル」は、本明細書において定義されるようなC1~4アルキル基であって、水素原子のうちの少なくとも1個がヒドロキシル基に置き換えられている、当該C1~4アルキル基を指す。ヒドロキシ置換C1~4アルキル基は、モノヒドロキシC1~4アルキル、ジヒドロキシC1~4アルキル、またはペルヒドロキシC1~4アルキルが含まれるポリヒドロキシC1~4アルキルであり得る。モノヒドロキシC1~4アルキルは、アルキル基内に1つのヒドロキシル基を有し得る。ジヒドロキシC1~4アルキル及びポリヒドロキシC1~4アルキル基は、アルキル内に2つ以上の同一のヒドロキシル基または異なるヒドロキシル基の組み合わせを有し得る。典型的には、ポリヒドロキシC1~4アルキル基は、9つまたは8つまたは7つまたは6つまたは5つまたは4つまたは3つまたは2つまでのヒドロキシ基を含有する。ヒドロキシ置換C1~4アルキルの非限定的な例としては、ヒドロキシメチル、ジヒドロキシメチル、ペンタヒドロキシエチル、ジヒドロキシエチル、及びジヒドロキシプロピルが挙げられる。ペルヒドロキシC1~4アルキル基は、全ての水素原子がヒドロキシ原子に置き換えられているC1~4アルキル基を指す。
用語「オキソ」(=O)は、二重結合により炭素または硫黄原子に結合している酸素原子を指す。例としては、カルボニル、スルフィニル、またはスルホニル基(-C(O)-、-S(O)-、または-S(O)-)、例えば、ケトン、アルデヒド、または酸、エステル、アミド、ラクトン、もしくはラクタム基の一部などが挙げられる。
用語「アリールまたはC6~10アリール」は、単環系(例えば、フェニル)または縮合環系(例えば、ナフタレン)を有する6員~10員の芳香族炭素環部分を指す。典型的なアリール基は、フェニル基である。
用語「ヘテロアリール」は、5~6員の芳香環系(例えば、ピロリル、ピリジル、ピラゾリル、チエニル、フラニル、オキサゾリル、イミダゾリル、テトラゾリル、トリアジニル、ピリミジル、ピラジニル、チアゾリルなど)内に、または9~10員の縮合芳香環系(例えば、インドリル、インダゾリル、ベンゾフラニル、キノキサリニルなど)内に少なくとも1個のヘテロ原子(例えば、酸素、硫黄、窒素、またはそれらの組み合わせ)を含有する芳香環部分を指す。
用語「5~6員ヘテロアリール」または「C5~6ヘテロアリール」は、5~6員の芳香環系内に少なくとも1個のヘテロ原子(例えば、酸素、硫黄、窒素、またはそれらの組み合わせ)を含有する芳香族複素環部分を指す。
用語「9~10員のヘテロアリール」または「C9~10ヘテロアリール」は、9~10員の縮合芳香環系内に少なくとも1個のヘテロ原子(例えば、酸素、硫黄、窒素、またはそれらの組み合わせ)を含有する芳香族部分を指す。
用語「完全飽和または部分飽和炭素環」は、部分飽和または完全飽和のいずれかであり、単環、二環式環(縮合、スピロ、または架橋炭素環が含まれる)として存在し得る非芳香族炭化水素環を指す。特に明記しない限り、一般に炭素環は、4~7環員を含有する。
用語「C3~6シクロアルキル」は、3~6個の環炭素原子を含有する完全飽和炭素環を指す。C3~6シクロアルキルの例としては、限定されるものではないが、シクロプロピル、シクロブチル、シクロペンチル、及びシクロヘキシルが挙げられる。
用語「C3~6シクロアルコキシ」は-O-C3~6シクロアルキル部分であって、当該シクロアルキル部分が酸素橋を介して結合しており、C3~6シクロアルキルが本明細書において定義される通りである、当該-O-C3~6シクロアルキル部分を指す。
用語「完全飽和または部分飽和複素環」または「4~7員の完全飽和または部分飽和複素環」は、部分飽和または完全飽和のいずれかであり、単環、二環式環(縮合複素環が含まれる)、またはスピロ環として存在し得る非芳香族環を指す。特に明記しない限り、一般に複素環は、硫黄、酸素、及び/または窒素から独立して選択される1~3個のヘテロ原子(好ましくは1、2、または3個のヘテロ原子)を含有する4~7員環である。部分飽和複素環としては、複素環がアリールまたはヘテロアリール環に縮合されている基(例えば、2,3-ジヒドロベンゾフラニル、インドリニル(または2,3-ジヒドロインドリル)、2,3-ジヒドロベンゾチオフェニル、2,3-ジヒドロベンゾチアゾリル、1,2,3,4-テトラヒドロキノリニル、1,2,3,4-テトラヒドロイソキノリニル、5,6,7,8-テトラヒドロピリド[3,4-b]ピラジニル)も挙げられる。部分飽和または完全飽和複素環としては、例えば、エポキシ、アジリジニル、アゼチジニル、テトラヒドロフラニル、ジヒドロフラニル、ジヒドロピリジニル、ピロリジニル、イミダゾリジニル、イミダゾリニル、1H-ジヒドロイミダゾリル、ヘキサヒドロピリミジニル、ピペリジニル、ピペラジニル、ピラゾリジニル、2H-ピラニル、4H-ピラニル、オキサジニル、モルホリノ、チオモルホリノ、テトラヒドロチエニル、テトラヒドロチエニル1,1-ジオキシド、オキサゾリジニル、チアゾリジニル、7-オキサビシクロ[2.2.1]ヘプタンなどの基が挙げられる。特定の実施形態では、「4~7員の完全飽和または部分飽和複素環」または「C4~7複素環」は、硫黄、酸素、及び/または窒素から独立して選択される1~2個のヘテロ原子を含む、4~7個の環原子を含有する完全飽和または部分飽和単環を指す。典型的な「C4~7複素環」基としては、オキセタニル、テトラヒドロフラニル、ジヒドロフラニル、1,4-ジオキサニル、モルホリニル、1,4-ジチアニル、ピペラジニル、ピペリジニル、1,3-ジオキソラニル、ピロリニル、ピロリジニル、テトラヒドロピラニル、オキサチオラニル、ジチオラニル、1,3-ジオキサニル、1,3-ジチアニル、オキサチアニル、チオモルホリニル、チオモルホリニル1,1-ジオキシド、テトラヒドロ-チオピラン1,1-ジオキシド、1,4-ジアゼパニルが挙げられる。
本明細書で使用する場合、用語「スピロ環系」は、2つの環を有し、これらの各々が炭素環または複素環から独立して選択される環系であって、2つの環状構造が1個の環原子を共有する、当該環系である。一実施形態では、スピロ環系は、5~10個の環原子を有する。
本明細書で使用する場合、用語「縮合環系」は、2つの環を有し、これらの各々が炭素環または複素環から独立して選択される環系であって、2つの環状構造が2個の隣接する環原子を共有する、当該環系である。一実施形態では、縮合環系は、8~10個の環原子を含む縮合二環系である。8~10員の縮合二環系は、非芳香族環系または芳香族環系(例えば、本明細書において定義されるアリール及び9~10員ヘテロアリール)であり得る。幾つかの実施形態では、8~10員の縮合二環系は、酸素、窒素、及び硫黄から独立して選択される1、2、または3個のヘテロ原子を任意に含む。
本明細書で使用する場合、用語「架橋環系」は、炭素環または複素環を有する環系であって、当該環の2個の隣接していない原子が、C、N、O、及びSから独立して選択される1個以上(好ましくは1~3個)の原子により連結(架橋)されている当該環系である。一実施形態では、架橋環系は、5~10個の環原子を有する。
本明細書で使用する場合、用語「5~10員のスピロ二環式複素環系」は、5~10個の環原子を含有し、これらのうちの少なくとも1個がO、N、及びSから選択されるヘテロ原子である2環系であって、2つの環が1個の共通の原子を共有する、当該2環系を意味する。スピロ環の例としては、オキサスピロ[2.4]ヘプタン、2,6-ジアザスピロ[3.3]ヘプタニル、-オキサ-6-アザスピロ[3.3]ヘプタン、2,2,6-ジアザスピロ[3.3]ヘプタン、3-アザスピロ[5.5]ウンデカニル、3,9-ジアザスピロ[5.5]ウンデカニル、7-アザスピロ[3.5]ノナン、2,6-ジアザスピロ[3.4]オクタン、8-アザスピロ[4.5]デカン、1,6-ジアザスピロ[3.3]ヘプタン、5-アザスピロ[2.5]オクタン、4,7-ジアザスピロ[2.5]オクタン、5-オキサ-2-アザスピロ[3.4]オクタン、6-オキサ-1-アザスピロ[3.3]ヘプタン、3-アザスピロ[5.5]ウンデカニル、3,9-ジアザスピロ[5.5]ウンデカニルなどが挙げられる。
本明細書で使用する場合、用語「3~8員のスピロシクロアルキル」は、2つの環が1個の共通の炭素原子を共有する、3~8個の環原子を含有するシクロアルキル二環系(two-cycloalkyl-ring system)を意味する。3~8員のスピロシクロアルキル環の例としては、スピロ[2.5]オクタン、スピロ[2.4]ヘプタン、スピロ[3.4]オクタンなどが挙げられる。用語「縮合複素環」または「8~10員の縮合二環式複素環系」は、8~10個の環原子を含有し、これらのうちの少なくとも1個がO、N、及びSから選択されるヘテロ原子である二環系であって、2つの環が2個の隣接する環原子を共有する、当該二環系を指す。縮合複素環の例としては、1,3-ジヒドロイソベンゾフラン、4-メチル-3,4-ジヒドロ-2H-ベンゾ[b][1,4]オキサジン、ピラゾロ[1,5-a]ピリミジン、5,6-ジヒドロ-4H-ピロロ[1,2-b]ピラゾール、6,7-ジヒドロ-5H-シクロペンタ[b]ピリジン、インドリン-2-オン、2,3-ジヒドロベンゾフラン、1-メチル-2-オキソ-1,2,3,4-テトラヒドロキノリン、3,4-ジヒドロキノリン-2(1H)-オン、及びイソクロマン、4,5,6,7-テトラヒドロ-3H-イミダゾ[4,5-c]ピリジン、8-アザビシクロ[3.2.1]オクタン-3-オール、オクタヒドロピロロ[1,2-a]ピラジン、5,6,7,8-テトラヒドロイミダゾ[1,2-a]ピラジン、3,8-ジアザビシクロ[3.2.1]オクタン、8-オキサ-3-アザビシクロ[3.2.1]オクタン、7-オキサビシクロ[2.2.1]ヘプタン、1H-ピラゾール、2,5-ジアザビシクロ[2.2.1]ヘプタン、5,6,7,8-テトラヒドロ-[1,2,4]トリアゾロ[4,3-a]ピラジン、または3-アザビシクロ[3.1.0]ヘキサンなどの完全飽和または部分飽和の基が挙げられる。部分飽和複素環としては、複素環がアリールまたはヘテロアリール環に縮合されている基(例えば、2,3-ジヒドロベンゾフラニル、インドリニル(または2,3-ジヒドロインドリル)、2,3-ジヒドロベンゾチオフェニル、2,3-ジヒドロベンゾチアゾリル、1,2,3,4-テトラヒドロキノリニル、1,2,3,4-テトラヒドロイソキノリニル、5,6,7,8-テトラヒドロピリド[3,4-b]ピラジニルなど)も挙げられる。
本明細書で使用する場合、用語「架橋炭素環」または「5~10員の架橋炭素環」は、環の2個の隣接していない原子が1個以上のC原子により連結(架橋)されている、5~10員の完全飽和または部分飽和炭素環系を指す。架橋炭素環の例としては、ビシクロ[1.1.1]ペンタン、ビシクロ[2.2.1]ヘプタン、及びビシクロ[3.2.1]オクタンが挙げられる。
本明細書で使用する場合、用語「架橋複素環」または「5~10員の架橋複素環」は、環の2個の隣接していない原子がC、N、O、及びSから選択される1個以上(好ましくは1~3個)の原子により連結(架橋)されている、少なくとも1個のヘテロ原子(例えば、酸素、硫黄、窒素、またはそれらの組み合わせ)を含有する5~10員の二環式複素環系を指す。
語句「薬学的に許容される」は、物質、組成物、または剤形が、製剤を構成する他の成分及び/またはそれらにより処置されている哺乳動物と化学的及び/または毒物学的に適合可能でなければならないことを示す。
特に明記しない限り、用語「本発明の化合物」は、式(I’)または(I)の化合物、ならびに全ての立体異性体(ジアステレオ異性体及びエナンチオマーが含まれる)、回転異性体、互変異性体、同位体標識化合物(重水素置換が含まれる)、及び自然に形成される部分(例えば、多形体、溶媒和物、及び/または水和物)を指す。塩を形成することができる部分が存在する場合、特定の薬学的に許容される塩での塩が同様に含まれる。
本明細書で使用する場合、本発明の文脈において(特に特許請求の範囲の文脈において)使用される用語「a」、「and」、及び「the」、ならびに同様の用語は、本明細書において特に明記しない限り、または文脈によって明らかに否定されない限り、単数形及び複数形の両方を包含するものと解釈される。特に要求されない限り、本明細書において提供されるあらゆる例、または例示的な言葉(例えば「など」)の使用は、本発明をより上手く説明することを意図したものにすぎず、本発明の範囲に限定をもたらすものではない。
一実施形態では、単離された立体異性体として実施例の化合物が提供され、ここで、当該化合物は1つの立体中心を有し、当該立体異性体はR配置である。
一実施形態では、単離された立体異性体として実施例の化合物が提供され、ここで、当該化合物は1つの立体中心を有し、当該立体異性体はS配置である。
一実施形態では、単離された立体異性体として実施例の化合物が提供され、ここで、当該化合物は2つの立体中心を有し、当該立体異性体はRR配置である。
一実施形態では、単離された立体異性体として実施例の化合物が提供され、ここで、当該化合物は2つの立体中心を有し、当該立体異性体はRS配置である。
一実施形態では、単離された立体異性体として実施例の化合物が提供され、ここで、当該化合物は2つの立体中心を有し、当該立体異性体はSR配置である。
一実施形態では、単離された立体異性体として実施例の化合物が提供され、ここで、当該化合物は2つの立体中心を有し、当該立体異性体はSS配置である。
一実施形態では、実施例の化合物が提供され、ここで、当該化合物は、ラセミ混合物として1つまたは2つの立体中心を有する。
本発明の中間体及び化合物は、異なる互変異性形態で存在し得る可能性もあり、全てのかかる形態が本発明の範囲内に包含される。用語「互変異性体」または「互変異性形態」は、低いエネルギー障壁を介して相互変換可能な異なるエネルギーの構造異性体を指す。例えば、プロトン互変異性体(プロトトロピー互変異性体としても公知)は、プロトンの移動による相互変換、例えば、ケト-エノール及びイミン-エナミン異性化を含む。プロトン互変異性体の具体例は、プロトンが2個の環窒素の間を移動し得るイミダゾール部分である。原子価互変異性体は、結合電子の幾つかの再編成による相互変換を含む。
一実施形態では、本発明は、遊離形態の本明細書において定義されるような式(I’)または(I)の化合物に関する。別の実施形態では、本発明は、塩形態の本明細書において定義されるような式(I’)または(I)の化合物に関する。別の実施形態では、本発明は、酸付加塩形態の本明細書において定義されるような式(I’)または(I)の化合物に関する。更なる実施形態では、本発明は、薬学的に許容される塩形態の本明細書において定義されるような式(I’)または(I)の化合物に関する。また更なる実施形態では、本発明は、薬学的に許容される酸付加塩形態の本明細書において定義されるような式(I’)または(I)の化合物に関する。また更なる実施形態では、本発明は、遊離形態の実施例の化合物のいずれかに関する。また更なる実施形態では、本発明は、塩形態の実施例の化合物のいずれかに関する。また更なる実施形態では、本発明は、酸付加塩形態の実施例の化合物のいずれかに関する。また更なる実施形態では、本発明は、薬学的に許容される塩形態の実施例の化合物のいずれかに関する。更に別の実施形態では、本発明は、薬学的に許容される酸付加塩形態の実施例の化合物のいずれか1つに関する。
更に本発明の化合物は、それらの塩を含め、それらの水和物形態で得られてもよく、それらの結晶化のために使用される他の溶媒を含んでもよい。本発明の化合物は、薬学的に許容される溶媒(水が含まれる)と、自然にまたは意図的に溶媒和物を形成し得る。従って、本発明は、溶媒和形態及び非溶媒和形態を包含することが意図される。用語「溶媒和」は、本発明の化合物(その薬学的に許容される塩が含まれる)の1種以上の溶媒分子との分子複合体を指す。かかる溶媒分子は、レシピエントに対して無害であることが公知である、医薬分野において一般的に使用されもの、例えば、水、エタノールなどである。用語「水和物」は、溶媒分子が水である複合体を指す。
水素結合のためのドナー及び/またはアクセプターとして作用することができる基を含有する本発明の化合物、すなわち式(I’)または(I)の化合物は、好適な共結晶子と共結晶を形成することができ得る。これらの共結晶は、既知の共結晶形成手順により式(I’)または(I)の化合物から調製され得る。かかる手順としては、結晶化条件下での式(I)の化合物の共結晶子との粉砕、加熱、共昇華、共融解、または溶液中での接触、及びこれにより形成された共結晶の単離が挙げられる。好適な共結晶子としては、WO2004/078163に記載のものが挙げられる。従って、本発明は、式(I’)または(I)の化合物を含む共結晶を更に提供する。
本発明の化合物は、その塩、水和物、及び溶媒和物を含め、自然にまたは意図的に多形体を形成し得る。
本発明の化合物は、特に本明細書に含まれる説明を考慮して、化学分野において周知のものに類似するプロセスを含む合成経路により合成され得る。出発物質は、一般に、Sigma-Aldrichなどの市販の供給元から入手可能であるか、または当業者に公知の方法を使用して容易に調製される(例えば、一般に、Louis F.Fieser and Mary Fieser,Reagents for Organic Synthesis,v.1-19,Wiley,New York(1967-1999 ed.)、または付録を含むBeilsteins Handbuch der organischen Chemie,4,Aufl.ed.Springer-Verlag,Berlin(Beilsteinオンラインデータベースによっても利用可能)に記載の方法により調製される)。
式(I’)または(I)の化合物の更なる任意の還元、酸化、または他の官能基付与が、当業者に公知の方法により実施され得る。本明細書の範囲内で、本発明の化合物の特定の所望される最終生成物の構成要素ではない容易に除去可能な基のみが、文脈上他の意味に解する場合を除き、「保護基」と称される。かかる保護基による官能基の保護、保護基自体、及びそれらの切断反応は、例えば、J.F.W.McOmie,“Protective Groups in Organic Chemistry”,Plenum Press,London and New York 1973、T.W.Greene and P.G.M.Wuts,“Protective Groups in Organic Synthesis”,Third edition,Wiley,New York 1999、“The Peptides”;Volume 3 (editors:E.Gross and J.Meienhofer),Academic Press,London and New York 1981、“Methoden der organischen Chemie” (Methods of Organic Chemistry),Houben Weyl,4th edition,Volume 15/I,Georg Thieme Verlag,Stuttgart 1974、及びH.-D.Jakubke and H.Jeschkeit,“Aminosauren,Peptide,Proteine” (Amino acids,Peptides,Proteins),Verlag Chemie,Weinheim,Deerfield Beach,and Basel 1982などの標準的な参考図書に記載されている。保護基の特徴は、例えば、加溶媒分解、還元、光分解、または代替的に生理的条件下(例えば、酵素切断)によりそれらが容易に除去され得ること(すなわち、望ましくない二次反応が生じない)である。
少なくとも1つの造塩基を有する本発明の化合物の塩は、当業者に公知の方法で調製され得る。例えば、本発明の化合物の酸付加塩は、慣習に従って、例えば、化合物を酸または好適な陰イオン交換試薬で処理することにより取得される。塩は、当業者に公知の方法に従って遊離化合物に変換され得る。酸付加塩は、例えば、好適な塩基性薬剤による処理により変換され得る。
任意の得られた異性体の混合物は、例えば、クロマトグラフィー及び/または分別再結晶により、構成成分の物理化学的差異に基づいて、純粋または実質的に純粋な幾何異性体または光学異性体、ジアステレオマー、ラセミ化合物に分離され得る。
不斉炭素原子を含有する化合物では、化合物は、個々の光学活性な異性体形態で、またはそれらの混合物として、例えば、ラセミ混合物またはジアステレオマー混合物として存在する。ジアステレオマー混合物は、当業者に公知の方法により、例えば、クロマトグラフィー及び/または分別再結晶により、それらの物理化学的差異に基づいて、それらの個々のジアステレオ異性体に分離され得る。エナンチオマーは、適切な光学活性化合物(例えば、キラルアルコールまたはモッシャー酸塩化物などのキラル補助剤)との反応によりエナンチオマー混合物をジアステレオマー混合物に変換すること、ジアステレオ異性体を分離すること、及び個々のジアステレオ異性体を対応する純粋なエナンチオマーに変換すること(例えば、加水分解)により分離され得る。エナンチオマーは、市販のキラルHPLCカラムを使用しても分離され得る。
本発明は、反応成分がそれらの塩の形態または光学的に純粋な物質の形態で使用される、本発明のプロセスの任意の変形形態を更に含む。本発明の化合物及び中間体は、一般に当業者に公知の方法に従って、互いに変換され得る。
例示目的のために、以下に示される反応スキームは、本発明の化合物及び重要な中間体を合成するための考え得る経路を提供する。個々の反応段階のより詳細な説明については、以下の実施例セクションを参照のこと。特定の出発物質及び試薬がスキームに示され、以下で述べられるが、様々な誘導体及び/または反応条件を提供するために、他の出発物質及び試薬が容易に代用され得る。加えて、以下に記載される方法により調製される多数の化合物は、本開示を踏まえ、当業者に公知の従来の化学を使用して更に修飾され得る。
一般的な方法
実施例の化合物は、記載されない限り、以下に示す精製方法のうちの1つにより分析または精製された。
シリカゲルクロマトグラフィーは、20~40μM(粒子サイズ)、250~400メッシュまたは400~632メッシュのシリカゲルを使用し、ELSD精製システムを備えたTeledyne ISCO Combiflash RFまたはGrace Reveleris X2のいずれかを使用して実施された。
分析方法
ESI-MSデータ(本明細書において単にMSとしても報告される)は、Waters System(Acquity HPLC及びMicromass ZQ質量分析計)を使用して記録された。特に報告されない限り、報告される全ての質量は、プロトン化親イオンのm/zである。
LC/MS:
試料は、MeCN、DMSO、またはMeOHなどの適切な溶媒に溶解され、自動サンプルハンドラーを使用してカラムへと直接注入される。以下の方法のうちの1つを使用した解析:
本発明は、反応成分がそれらの塩の形態または光学的に純粋な物質の形態で使用される、本発明のプロセスの任意の変形形態を更に含む。本発明の化合物及び中間体は、一般に当業者に公知の方法に従って、互いに変換され得る。
分析HPLC
酸性HPLC:4Lの水中2.75mLのTFA(溶媒A)及び4Lのアセトニトリル中2.5mL/TFA(溶媒B)により溶出するUltimate C18 3.0×50mm、3μmカラムを備えたShimadzu 20A機器で、以下の方法により実施された。
方法A:1.2ml/分の流速で6分にわたる0%~60%(溶媒B)の溶出勾配を使用し、60%で2分間保持。波長:UV220nm、215nm、及び254nm。
方法B:1.2ml/分の流速で6分にわたる10%~80%(溶媒B)の溶出勾配を使用し、60%で2分間保持。波長:UV220nm、215nm、及び254nm。
方法C:1.2ml/分の流速で6分にわたる30%~90%(溶媒B)の溶出勾配を使用し、60%で2分間保持。波長:UV220nm、215nm、及び254nm。
塩基性HPLC:4Lの水中2mLのNH3H2O(溶媒A)及びアセトニトリル(溶媒B)により溶出するXbrige Shield RP-18、5um、2.1×50mmカラムを備えたShimadzu 20A機器で、以下の方法により実施された。
方法D:1.2ml/分の流速で4.0分にわたる0%~60%(溶媒B)の溶出勾配を使用し、60%で2分間保持。
方法E:1.2ml/分の流速で4.0分にわたる10%~80%(溶媒B)の溶出勾配を使用し、60%で2分間保持。
方法F:1.2ml/分の流速で4.0分にわたる30%~90%(溶媒B)の溶出勾配を使用し、60%で2分間保持。
分析LCMS
酸性LCMS:4Lの水中1.5mLのTFA(溶媒A)及び4Lのアセトニトリル中0.75mLのTFA(溶媒B)により溶出するC18カラム(2.1mm×30mm、3.0mmまたは2.1mm×50mm、C18、1.7μm)を備えたShimadzu 2010 Series、Shimadzu 2020 Series、またはWaters Acquity UPLC BEH(MSのイオン化:ESI)機器で、以下の方法により実施された。
1.5分法:
一般的な方法:1.5ml/分の流速で0.7分にわたる5%~95%(溶媒B)の溶出勾配を使用し、95%で0.4分間保持。波長:UV220nm及び254nm。
2分法:
方法A:1.2ml/分の流速で0.9分にわたる0%~60%(溶媒B)の溶出勾配を使用し、60%で0.6分間保持。波長:UV220nm及び254nm。
方法B:1.2ml/分の流速で0.9分にわたる10%~80%(溶媒B)の溶出勾配を使用し、60%で0.6分間保持。波長:UV220nm及び254nm。
方法C:1.2ml/分の流速で0.9分にわたる30%~90%(溶媒B)の溶出勾配を使用し、60%で0.6分間保持。波長:UV220nm及び254nm。
3.5分法:
初期条件、溶媒A-95%:溶媒B-5%;初期条件で0.0~0.1分保持;0.1から3.25分までの間、溶媒A-5%:溶媒B-95%まで直線傾斜;3.25から3.5分までの間、溶媒A-5%:溶媒B-95%で保持。ダイオードアレイ/MS検出。
4分法:
方法A:0.8ml/分の流速で3分にわたる0%~60%(溶媒B)の溶出勾配を使用し、60%で0.5分間保持。波長:UV220nm及び254nm。
方法B:0.8ml/分の流速で3分にわたる10%~80%(溶媒B)の溶出勾配を使用し、60%で0.5分間保持。波長:UV220nm及び254nm。
方法C:0.8ml/分の流速で3分にわたる30%~90%(溶媒B)の溶出勾配を使用し、60%で0.5分間保持。波長:UV220nm及び254nm。
7分法:
方法A:0.8ml/分の流速で6分にわたる0%~60%(溶媒B)の溶出勾配を使用し、60%で0.5分間保持。波長:UV220nm及び254nm。
方法B:0.8ml/分の流速で6分にわたる10%~80%(溶媒B)の溶出勾配を使用し、60%で0.5分間保持。波長:UV220nm及び254nm。
方法C:0.8ml/分の流速で6分にわたる30%~900%(溶媒B)の溶出勾配を使用し、60%で0.5分間保持。波長:UV220nm及び254nm。
塩基性LCMS:4Lの水中2mLのNH3・H2O(溶媒A)及びアセトニトリル(溶媒B)により溶出するXBridge Shield RP18、5umカラム(2.1mm×30mm、内径3.0mm)または2.1mm×50mm、C18、1.7μmカラムを備えたShimadzu 2020 SeriesまたはWaters Acquity UPLC BEH(MSイオン化:ESI)機器で、以下の方法を使用して実施した。
3分法:
方法A:1ml/分の流速で2分にわたる0%~60%(溶媒B)の溶出勾配を使用し、60%で0.48分間保持。波長:UV220nm及び254nm。
方法B:1ml/分の流速で2分にわたる10%~80%(溶媒B)の溶出勾配を使用し、60%で0.48分間保持。波長:UV220nm及び254nm。
方法C:1ml/分の流速で2分にわたる30%~90%(溶媒B)の溶出勾配を使用し、60%で0.48分間保持。波長:UV220nm及び254nm。
3.5分法:
初期条件、溶媒A-95%:溶媒B-5%;初期条件で0.0~0.1分保持;0.1から3.25分までの間、溶媒A-5%:溶媒B-95%まで直線傾斜;3.25から3.5分までの間、溶媒A-5%:溶媒B-95%で保持。ダイオードアレイ/MS検出。
7分法:
方法A:0.8ml/分の流速で6分にわたる0%~60%(溶媒B)の溶出勾配を使用し、60%で0.5分間保持。波長:UV220nm及び254nm。
方法B:0.8ml/分の流速で6分にわたる10%~80%(溶媒B)の溶出勾配を使用し、60%で0.5分間保持。波長:UV220nm及び254nm。
方法C:0.8ml/分の流速で6分にわたる30%~90%(溶媒B)の溶出勾配を使用し、60%で0.5分間保持。波長:UV220nm及び254nm。
SFCによる分析分離
機器:分析SFC用のWaters UPC2(SFC-H)。カラム:ChiralCel OJ、150×内径4.6mm、3μm。移動相:CO2のA及びエタノール(0.05%DEA)のB。勾配:B-40%。流速:2.5ml/分。背圧:100バール。カラム温度:35℃。波長:220nm
分取HPLC精製
一般的な方法:Gilson UV/VIS-156による220/254nmでのUV検出、Gilson 281による自動収集により分取HPLCが実行された。
酸性条件:2種の酸(塩酸及びギ酸)の勾配系が使用された。
方法A:塩酸:YMC-Actus Triart C18 150×30mm×5um、0~100%のアセトニトリルと水及び対応する酸(0.05%のHCl)の勾配を使用。
方法B:ギ酸:Phenomenex Synergi C18 150×30mm×4um、0~100%のアセトニトリルと水及び対応する酸(0.225%のギ酸)の勾配を使用、勾配形状は個々の分離について最適化された。
中性条件:Xtimate C18 150×25mm×5um、0~100%の水(10mMのNHHCO)-ACNの勾配を使用、勾配形状は個々の分離について最適化された。
塩基性条件:Waters Xbridge Prep OBD C18 150×30 10um、0~100%の水(0.04%のNHO+10mMのNHHCO)-アセトニトリルの勾配を使用、勾配形状は個々の分離について最適化された。
分取HPLC-MS精製
使用されたカラム:
酸:Waters SunFire Prep、C18 5um、OBD 19×100mm
塩基:Waters XSelect CSH Prep C18 5um OBD 19×100mm
勾配プロファイル:12分の実行時間:初期条件:A-95%:B-5%;初期条件で0.0~0.5分保持;0.5から7.5分までの間、A-5%から可変的なB-%(典型的な範囲はB-40%~B-75%)まで直線傾斜;7.5から8.0分まで、B-%からB-95%に直線傾斜;8.0から10.0分までの間、A-5%:B-95%で保持;DAD/MS検出の終了;10.0から10.5分までの間、初期条件まで直線傾斜及び初期条件で1.5分間保持。
酸:移動相A:水中0.1%のトリフルオロ酢酸(v/v);移動相B:アセトニトリル中0.1%のトリフルオロ酢酸(v/v)。塩基:A:水中0.1%のアンモニア(v/v);移動相B:アセトニトリル中0.1%のアンモニア(v/v)
分取SFC精製
機器:MG III preparative SFC(SFC-1)。カラム:ChiralCel OJ、250×内径30mm、5μm。移動相:CO2のA及びエタノール(0.1%のNH3H2O)のB。勾配:B-50%。流速:40ml/分 背圧:100バール。カラム温度:38℃。波長:220nmサイクル時間:約8分。
H-NMR
NMRスペクトルは、Bruker Avance III HD 500MHz、Bruker Avance III 500MHz、Bruker Avance III 400MHz、Varian-400 VNMRS、またはVarian-400 MRで記録された。化学シフトは、百万分率(ppm)単位で表示される。カップリング定数(J)は、ヘルツ(Hz)単位である。分裂パターンは見かけの多重度を表し、s(一重線)、d(二重線)、t(三重線)、dd(二重の二重線)、dt(二重の三重線)、dq(二重の四重線)、m(多重線)、br(幅広線)として示される。
典型的には、式(I)の化合物は、以下に提供されるスキームに従って調製され得る。以下の実施例は、本発明の範囲を制限することなく本発明を例示するのに役立つ。かかる化合物を調製するための方法を以下に記載する。
略語
使用される略語は、当該技術分野において従来のものまたは以下のものである。
Figure 0007576552000071
例示目的のために、以下に示される反応スキームは、本発明の化合物及び重要な中間体を合成するための考え得る経路を提供する。個々の反応段階のより詳細な説明については、以下の実施例セクションを参照のこと。特定の出発物質及び試薬がスキームに示され、以下で述べられるが、様々な誘導体及び/または反応条件を提供するために、他の出発物質及び試薬が容易に代用され得る。加えて、以下に記載される方法により調製される多数の化合物は、本開示を踏まえ、当業者に公知の従来の化学を使用して更に修飾され得る。
スキーム:スキームI及びIIは、式(I)の化合物を作製するための考え得る経路を提供する。
スキームI:
Figure 0007576552000072
スキームII:
Figure 0007576552000073
スキームIII:
Figure 0007576552000074
上記の反応スキームの出発物質は、市販されているか、または当業者に公知の方法により、もしくは本明細書において開示される方法により調製され得る。一般に、本発明の化合物は、上記の反応スキームにより以下の通りに調製され得る。
スキームI:a)5,6-複素環コアを形成するための、適切に置換された2-アミノピリジンの2-ブロモケトンとの縮合。b)ベンゾフェノンイミンと臭化アリールとのクロスカップリングが行われ、続いて、イミンの加水分解(ステップc)が直接行われ、これによりアニリンが得られ、次いで、これはアミドカップリング反応で標的化合物を得るのに利用される。
スキームII:a)求核試薬Rによるハロゲン化アリールの置換、続いて、ニトロ基の還元(b)が行われ、これによりジアミノピリジンが得られ、これは5-アミン基での選択的なアミドカップリング(c)を受けて、必要とされるアミドが得られる。d)得られたアミノピリジンと適切に置換されたブロモケトンとの縮合により、標的化合物が得られる。
スキームIII:a)フェノールのR-OHとの光延反応、続いて、ステップbにおいて2-アミノピリジン部分の適切に置換されたブロモケトンとの縮合が行われ、8-アルコキシイミダゾピリジンが得られる。ステップc:ブロモイミダゾピリジンとアミドとのクロスカップリングにより、標的化合物が得られる。
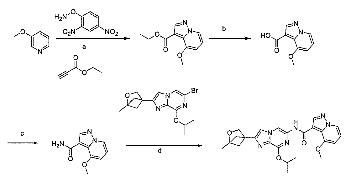
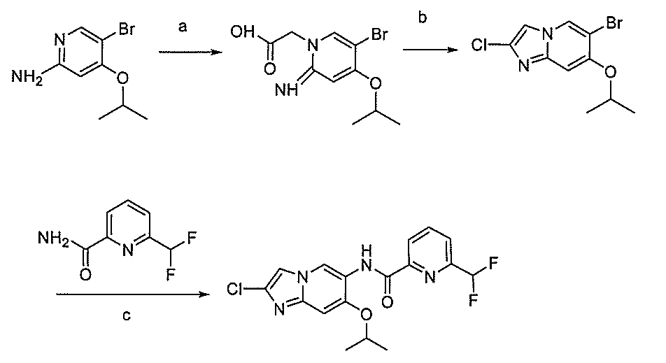
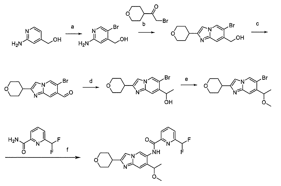
中間体1:6-ブロモ-7-エトキシ-2-エチルイミダゾ[1,2-a]ピリジン
Figure 0007576552000075
5-ブロモ-4-エトキシ-ピリジン-2-アミン(284mg、1.31mmol)を投入したバイアルに、1-ブロモブタン-2-オン(218mg、1.4mmol、150μL)、EtOH(5mL)を添加し、続いて、大気開放下で炭酸水素ナトリウム(331mg、3.9mmol)を固体として添加した。バイアルを密閉し、85℃で18時間加熱した。LCMSにより、目的の生成物である6-ブロモ-7-エトキシ-2-エチルイミダゾ[1,2-a]ピリジン、及び残留物である5-ブロモ-4-エトキシ-ピリジン-2-アミンの存在が示された。追加の1-ブロモブタン-2-オン(218mg、1.4mmol、150μL)を添加し、混合物を更に4時間加熱した。シリカゲルを添加し、得られた混合物をシリカゲルクロマトグラフィーにより、ヘプタン中5%~65%の3:1のEtOAc:EtOH混合物の勾配を使用して精製して、中間体1:6-ブロモ-7-エトキシ-2-エチルイミダゾ[1,2-a]ピリジン(158mg、45%収率)を得た。LCMS (ESI) m/z 269.0 (M+H)H NMR (500 MHz, クロロホルム-d) δ ppm 1.31 (t, J=7.33 Hz, 3 H) 1.36 (t, J=7.02 Hz, 3 H) 2.73 (q, J=7.33 Hz, 2 H) 3.94 (q, J=7.12 Hz, 2 H) 6.69 (s, 1 H) 7.02 (s, 1 H) 7.34 (s, 1 H)
中間体2:6-ブロモ-2-シクロプロピル-7-エトキシイミダゾ[1,2-a]ピリジン
Figure 0007576552000076
バイアルに5-ブロモ-4-エトキシ-ピリジン-2-アミン(270mg、1.24mmol)、2-ブロモ-1-シクロプロピル-エタノン(235mg、1.44mmol)、続いて、EtOH(5mL)を投入した。この混合物に、大気開放下で炭酸水素ナトリウム(330mg、3.93mmol)を固体として添加した。バイアルを密閉し、85℃で18時間加熱し、加熱したら追加の2-ブロモ-1-シクロプロピル-エタノン(235mg、1.44mmol)を添加し、混合物を85℃で4時間加熱した。混合物を30mLのバイアルに移し、シリカを添加した。混合物を乾燥し、ドライローディングカラムに充填した。次いで、残留物を、40g Reveleris 40ミクロンシリカゲルカラム(Grace X2自動精製装置)を通して、ヘプタン中5%~65%の3:1のEtOAc:EtOH混合物の勾配を使用して溶出して、中間体2:6-ブロモ-2-シクロプロピル-7-エトキシ-イミダゾ[1,2-a]ピリジンを得た。LCMS (ESI) m/z 280.9(M+H)H NMR (500 MHz, クロロホルム-d) δ ppm 0.92 - 0.99 (m, 4 H) 1.52 (t, J=7.02 Hz, 3 H) 1.93 - 2.03 (m, 1 H) 4.11 (q, J=7.33 Hz, 3 H) 6.83 (s, 1 H) 7.18 (s, 1 H) 8.14 (s, 1 H)。
中間体3a:4-エトキシピリジン-2,5-ジアミン
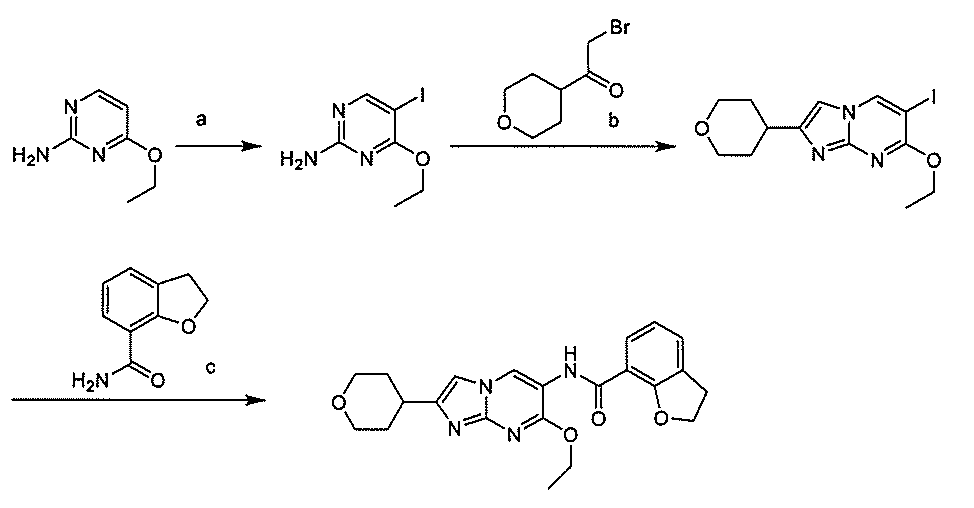
Figure 0007576552000077
ステップa:4-クロロ-5-ニトロピリジン-2-アミン(1.0g、5.8mmol)及びナトリウムエトキシド(588mg、8.64mmol)のEtOH(20mL)中溶液を、シールドチューブ内で80℃にて1時間撹拌した。記載された反応を5つのバッチで並行して実行し、これらを合わせ、次いで、HO(200mL)を懸濁液に添加すると、黄色の沈殿物が形成された。混合物を濾過して、黄色固体を得、これをHO(50mL)、EtOH(10mL)、及び石油エーテル(50mL)で逐次洗浄し、次いで、減圧下で乾燥して、4-エトキシ-5-ニトロピリジン-2-アミン(4.1g、78%収率)を黄色固体として得た。H NMR: (400 MHz DMSO-d) δ 8.62 (s, 1H), 7.16 (br s, 2H), 6.06 (s, 1H), 4.13 (q, J=6.8 Hz, 2H), 1.37 (t, J=7.2 Hz, 3H)。
ステップb:4-エトキシ-5-ニトロピリジン-2-アミン(4.1g、22.4mmol)のMeOH(150mL)中溶液に、パラジウム炭素(2g、10重量%)を添加した。懸濁液をH下(15psi)にて30℃で2.5時間撹拌した。次いで、混合物をセライトパッドを通して濾過し、MeOH(100mL)で洗浄した。濾液を減圧下で濃縮して、中間体3a:4-エトキシピリジン-2,5-ジアミン(3.4g、99%収率)を黒褐色固体として得た。H NMR: (400 MHz DMSO-d) δ 7.29 (s, 1H), 6.00 (s, 1H), 4.94 (s, 2H), 3.97 (q, J=7.2 Hz, 2H), 3.83 (s, 2H), 1.36 - 1.31 (m, 3H)。
中間体3b:6-(ジフルオロメチル)ピコリン酸
Figure 0007576552000078
ステップa:6-ホルミルピコリン酸メチル(4g、24mmol)及びEtOH(0.4mL、6.84mmol、0.4mL、2.82e-1当量)のDCM(140mL)中溶液に、N-エチル-N-(トリフルオロ-スルファニル)エタンアミン(15.6g、96.9mmol、12.80mL)を0℃で添加した。混合物を0℃で1.5時間撹拌した。次いで混合物を氷水(300mL)中に注ぎ込み、DCM(3×50mL)で抽出した。合わせた有機層をブライン(2×50mL)で洗浄し、NaSO上で乾燥し、濾過し、減圧下で濃縮して、褐色油として得られた6-(ジフルオロメチル)ピコリン酸メチル(4.5g、92%収率)を得、これを更に精製することなく使用した。H NMR: (400 MHz CDCl) δ 8.26 - 8.26 (m, 1H), 8.05 - 8.00 (m, 1H), 7.87- 7.85 (m, 1H), 6.90-6.61 (m, 1 H), 4.03 (s, 3H)。
ステップb:6-(ジフルオロメチル)ピコリン酸メチル(4.47g、23.9mmol)のHCl(12M、22mL)の中混合物を90℃で6時間撹拌した。混合物を減圧下で濃縮し、次いで、水(50mL)で希釈した。得られた混合物をDCM(3×50mL)で抽出した。合わせた有機層をブライン(2×20mL)で洗浄し、NaSO上で乾燥し、濾過し、減圧下で濃縮して、中間体3b:6-(ジフルオロメチル)ピコリン酸(2.5g、60%収率)をオフホワイトの固体として得、これを更に精製することなく次のステップに使用した。H NMR (400 MHz, CDCl) δ 8.39-8.37 (m, 1H), 8.18-8.14 (m, 1H), 7.96-7.94 (m, 1H), 6.85-6.58 (m, 1H)。
中間体3c:N-(6-アミノ-4-エトキシピリジン-3-イル)-6-(ジフルオロメチル)ピコリンアミド
Figure 0007576552000079
ステップa:中間体3b:6-(ジフルオロメチル)ピコリン酸(2.7g、15.7mmol)のDMF(24mL)中溶液に、HATU(6.55g、17.2mmol)、DIPEA(8.2mL、47mmol)、及び中間体3a:4-エトキシピリジン-2,5-ジアミン(2.9g、18.9mmol)を添加した。混合物を30℃で3時間撹拌した。混合物をHO(150mL)で希釈し、次いで、EtOAc(4×150mL)で抽出した。合わせた有機成分をHO(200mL)、ブライン(200mL)で洗浄し、NaSO上で乾燥し、次いで、濾過し、減圧下で濃縮した。石油エーテル中の2%EtOAc~100%EtOAcの勾配を使用して、残留物をシリカゲルクロマトグラフィーにより精製して、中間体3c:N-(6-アミノ-4-エトキシピリジン-3-イル)-6-(ジフルオロメチル)ピコリンアミド(3.5g、11.3mmol、72%収率)を褐色固体として得た。LCMS (ESI) m/z 309.3(M+H)
中間体4:N-(6-アミノ-4-エトキシピリジン-3-イル)-6-(トリフルオロメチル)ピコリンアミド
Figure 0007576552000080
中間体4:N-(6-アミノ-4-エトキシピリジン-3-イル)-6-(トリフルオロメチル)ピコリンアミドは、中間体3b:6-(ジフルオロメチル)ピコリン酸の代わりに市販の6-(トリフルオロメチル)ピコリン酸を代用して、中間体3cと同様に標準的なアミドカップリングにより調製された。LCMS (ESI) m/z 327.4(M+H)
中間体5:7-エトキシ-2-エチルイミダゾ[1,2-a]ピリジン-6-アミン
Figure 0007576552000081
ステップa:バイアル内、中間体1:バイアルに、6-ブロモ-7-エトキシ-2-エチルイミダゾ[1,2-a]ピリジン(1.6g、5.94mmol)、ナトリウムtert-ブトキシド(799mg、8.32mmol)、Pd(dba)(163mg、178μmol)、[1-(2-ジフェニルホスファニル-1-ナフチル)-2-ナフチル]-ジフェニル-ホスファン(296mg、475μmol)を投入した。バイアルをNでフラッシングし、次いで、トルエン(6mL)を添加し、続いて、ジフェニルメタンイミン(1.29g、7.13mmol、1.20mL)を添加した。得られた混合物を100℃で一晩加熱した。次いで、反応物をシリカゲル上に濃縮し、5%の3:1のEtOAc:EtOHから100%の3:1のEtOAc:EtOHまでの勾配を使用してカラムクロマトグラフィーにより精製して、N-(7-エトキシ-2-エチル-イミダゾ[1,2-a]ピリジン-6-イル)-1,1-ジフェニル-メタンイミン(1.00g、2.71mmol、46%収率)を得た。LCMS (ESI) m/z 370.5(M+H)
ステップb:DCM(27mL)及びMeOH(27mL)中のN-(7-エトキシ-2-エチル-イミダゾ[1,2-a]ピリジン-6-イル)-1,1-ジフェニル-メタンイミン(1.00g、2.71mmol)をHCl(ジオキサン中4M、1.7mL)で処理し、1時間撹拌した。次いで、反応物を濃縮し、次いで、SCXカラムにより、最初にMeOH、次いで、MeOH中2MのNHで溶出して精製して、中間体5:7-エトキシ-2-エチル-イミダゾ[1,2-a]ピリジン-6-アミン(450.00mg、2.19mmol、80.81%収率)を得た。LCMS (ESI) m/z 206.3(M+H)
中間体5b:6-ブロモ-2-シクロプロピル-7-エトキシ-3-フルオロイミダゾ[1,2-a]ピリジン
Figure 0007576552000082
N,N-ジメチルピリジン-4-アミン(DMAP)(35mg、284.5μmol)及び1-(クロロメチル)-4-フルオロ-1,4-ジアゾニアビシクロ[2.2.2]オクタン=ジテトラフルオロボレート(111mg、313μmol)を、中間体2:6-ブロモ-2-シクロプロピル-7-エトキシ-イミダゾ[1,2-a]ピリジン(80mg、284μmol)のCHCl(2.9mL)及び水(0.7mL)中混合物に0℃で添加した。混合物を0℃で3時間激しく撹拌し、次いで、一晩室温に温めた。反応混合物を飽和NaCO水溶液でクエンチし、EtOAcで3回抽出し、MgSO上で乾燥し、濾過し、濃縮し、シリカゲルクロマトグラフィー(ヘプタン中0~70%の3:1のEtOAc:EtOH混合物)により精製して、中間体5b:6-ブロモ-2-シクロプロピル-7-エトキシ-3-フルオロイミダゾ[1,2-a]ピリジン(15.00mg、50.14μmol、17.62%収率)を、中間体2:6-ブロモ-2-シクロプロピル-7-エトキシイミダゾ[1,2-a]ピリジンとの分離できない混合物として得た。混合物を更に精製することなく次の反応に使用した。LCMS (ESI) m/z 300.9(M+H)+。
中間体5c:2-シクロプロピル-7-エトキシイミダゾ[1,2-a]ピリジン-6-アミン
Figure 0007576552000083
ステップa:バイアルに、中間体2:6-ブロモ-2-シクロプロピル-7-エトキシ-イミダゾ[1,2-a]ピリジン(162mg、577μmol)、ジフェニルメタンイミン(126mg、693μmol)、ナトリウムtert-ブトキシド(78mg、808μmol)、Pd(dba)(16mg、17μmol)、及び[1-(2-ジフェニルホスファニル-1-ナフチル)-2-ナフチル]-ジフェニルホスファン(29mg、47μmol)を投入した。バイアルをセプタムキャップで密閉し、Nでフラッシングした。トルエン(3mL)を添加し、混合物をNによりスパージしながら室温で2分間撹拌した。この混合物に、ジフェニルメタンイミン(126mg、693μmol、116μL)を添加し、得られた混合物を90℃で18時間加熱した。混合物をシリカゲル上に濃縮し、EtOAc中5%~60%のMeOHを使用したシリカゲルクロマトグラフィーにより精製して、N-(2-シクロプロピル-7-エトキシイミダゾ[1,2-a]ピリジン-6-イル)-1,1-ジフェニルメタンイミン(185mg、84%収率)を得た。LCMS (ESI) m/z 382.2(M+H)
ステップb:バイアルに、N-(2-シクロプロピル-7-エトキシ-イミダゾ[1,2-a]ピリジン-6-イル)-1,1-ジフェニル-メタンイミン(185mg、485μmol)、続いて、DCM(1mL)、及びMeOH(1mL)を投入した。得られた溶液に、塩化水素のジオキサン溶液(4M、200μL)を添加した。混合物を室温で1時間維持し、維持したらこれを減圧下で濃縮して、中間体5c:2-シクロプロピル-7-エトキシイミダゾ[1,2-a]ピリジン-6-アミン塩酸塩(115mg、453μmol、93%収率)を得、これを更に精製することなく直接使用した。LCMS (ESI) m/z 218.1(M+H)
H NMR (500 MHz, メタノール-d) δ ppm 0.88 - 0.97 (m, 4 H) 1.50 (t, J=7.02 Hz, 3 H) 1.93 - 2.00 (m, 1 H) 4.16 (q, J=6.71 Hz, 2 H) 6.69 (s, 1 H) 7.20 (s, 1 H) 7.65 (s, 1 H)
中間体6:6-ブロモ-2-シクロプロピル-7-メトキシイミダゾ[1,2-a]ピリジン
Figure 0007576552000084
中間体6:6-ブロモ-2-シクロプロピル-7-メトキシイミダゾ[1,2-a]ピリジンは、5-ブロモ-4-エトキシピリジン-2-アミンの代わりに5-ブロモ-4-メトキシピリジン-2-アミンを代用して、中間体2について記載されたのと同様の方法で調製された。LCMS (ESI) m/z 267.0(M+H)
中間体7:2-シクロプロピル-6-ニトロイミダゾ[1,2-a]ピリジン
Figure 0007576552000085
5-ニトロピリジン-2-アミン(1g、7.2mmol)及び2-ブロモ-1-シクロプロピル-エタノン(1.2g、7.2mmol、0.7mL)のMeCN(9mL)及びトルエン(2.4mL)中混合物を、100℃で14時間撹拌した。追加の2-ブロモ-1-シクロプロピル-エタノン(1.2g、7.2mmol、0.7mL)を添加し、反応混合物を100℃で一晩撹拌した後、室温に冷却した。MeOH及びシリカを添加し、混合物を濃縮し、ヘプタン中0~70%の3:1のEtOAc:EtOH混合物の勾配を使用したシリカゲルクロマトグラフィーにより精製して、中間体7:2-シクロプロピル-6-ニトロイミダゾ[1,2-a]ピリジン(590mg、2.9mmol、40%収率)を得た。LCMS (ESI) m/z 204.1 (M+H)+, H NMR (400 MHz, メタノール-d) δ ppm 0.93 - 0.97 (m, 2 H) 1.03 - 1.09 (m, 2 H) 2.09 (tt, J=8.28, 4.89 Hz, 1 H) 7.51 (dt, J=10.04, 0.75 Hz, 1 H) 7.84 (s, 1 H) 7.99 (dd, J=10.04, 2.26 Hz, 1 H) 9.56 (dd, J=2.26, 0.75 Hz, 1 H)。
中間体8:6-ブロモ-2-シクロプロピルイミダゾ[1,2-a]ピラジン
Figure 0007576552000086
6-ブロモ-2-シクロプロピルイミダゾ[1,2-a]ピラジンは、5-ブロモピラジン-2-アミンから出発して、中間体1について記載されたのと同様の方法で調製された。LCMS (ESI) m/z 240.0 (M+H)+。
実施例1:N-(7-エトキシ-2-エチルイミダゾ[1,2-a]ピリジン-6-イル)-6-(トリフルオロメチル)ピコリンアミド
Figure 0007576552000087
ステップa:バイアルに、中間体1:6-ブロモ-7-エトキシ-2-エチルイミダゾ[1,2-a]ピリジン(153mg、569μmol)、ヨウ化銅(I)(22mg、114μmol)、(2S)-ピロリジン-2-カルボン酸(27mg、228μmol)、及び炭酸カリウム(118mg、853μmol)を投入した。バイアルをセプタムキャップで密閉し、Nでフラッシングした。DMSO(1mL)を添加し、混合物をNによりスパージしながら室温で2分間撹拌した。この混合物に、28%の水酸化アンモニウム水溶液(0.1mL、0.8mmol)を添加した。得られた混合物は、90℃で18時間加熱した。次いで、混合物をシリカゲル上に濃縮し、EtOAc中5%~60%のMeOHを使用したシリカゲルクロマトグラフィーにより精製して、6-ブロモ-7-エトキシ-2-エチルイミダゾ[1,2-a]ピリジン(57mg、49%収率)を得た。LCMS (ESI) m/z 206.1(M+H)
ステップb:6-(トリフルオロメチル)ピリジン-2-カルボン酸(58mg、305μmol)を投入したフラスコに、7-エトキシ-2-エチル-イミダゾ[1,2-a]ピリジン-6-アミン(57mg、278μmol)を添加し、続いて、DCM(3mL)を添加した。この混合物にDIPEA(833μmol、150μL)を添加し、続いて、2,4,6-トリプロピル-1,3,5,2,4,6-トリオキサトリホスホリナン-2,4,6-トリオキシド溶液(T3P(登録商標))のEtOAc溶液(555μmol、250μL、50重量%)を添加した。混合物を室温で18時間維持し、次いで、1NのNaOH水溶液(10mL)とEtOAc(20mL)との間で分配した。層を分離し、水層をEtOAc(3×15mL)で抽出した。合わせた有機層を乾燥し(NaSO)、濃縮した。粗製残留物をヘプタン中5%~55%の3:1のEtOAc:EtOH混合物の勾配を使用したシリカゲルクロマトグラフィーにより精製して、実施例1:N-(7-エトキシ-2-エチルイミダゾ[1,2-a]ピリジン-6-イル)-6-(トリフルオロメチル)ピコリンアミド(49mg、127μmol、46%収率)を得た。LCMS (ESI) m/z 379.1(M+H)H NMR (500 MHz, メタノール-d4) δ 9.35 (d, J=2.44 Hz, 1H), 8.39 (d, J=7.94 Hz, 1H), 8.28 (t, J=7.94 Hz, 1H), 8.04 (d, J=7.94 Hz, 1H), 7.34-7.43 (m, 1H), 6.73-6.88 (m, 1H), 4.13-4.28 (m, 2H), 2.71 (q, J=7.33 Hz, 2H), 1.56 (t, J=7.02 Hz, 3H), 1.27-1.37 (m, 3H)。
実施例2:N-(2-シクロプロピル-7-エトキシイミダゾ[1,2-a]ピリジン-6-イル)-6-(トリフルオロメチル)ピコリンアミド
Figure 0007576552000088
ステップa:バイアルに、中間体2:6-ブロモ-2-シクロプロピル-7-エトキシ-イミダゾ[1,2-a]ピリジン(162mg、577μmol)、ジフェニルメタンイミン(126mg、693μmol)、ナトリウムtert-ブトキシド(78mg、808μmol)、Pd(dba)(16mg、17μmol)、及び[1-(2-ジフェニルホスファニル-1-ナフチル)-2-ナフチル]-ジフェニルホスファン(29mg、47μmol)を投入した。バイアルをセプタムキャップで密閉し、Nでフラッシングした。トルエン(3mL)を添加し、混合物をNによりスパージしながら室温で2分間撹拌した。この混合物に、ジフェニルメタンイミン(126mg、693μmol、116μL)を添加し、得られた混合物を90℃で18時間加熱した。混合物をシリカゲル上に濃縮し、EtOAc中5%~60%のMeOHを使用したシリカゲルクロマトグラフィーにより精製して、N-(2-シクロプロピル-7-エトキシイミダゾ[1,2-a]ピリジン-6-イル)-1,1-ジフェニルメタンイミン(185mg、84%収率)を得た。LCMS (ESI) m/z 382.2(M+H)
ステップb:バイアルに、N-(2-シクロプロピル-7-エトキシ-イミダゾ[1,2-a]ピリジン-6-イル)-1,1-ジフェニル-メタンイミン(185mg、485μmol)、続いて、DCM(1mL)、及びMeOH(1mL)を投入した。得られた溶液に、塩化水素のジオキサン溶液(4M、200μL)を添加した。混合物を室温で1時間維持し、維持したらこれを減圧下で濃縮して、中間体5c:2-シクロプロピル-7-エトキシイミダゾ[1,2-a]ピリジン-6-アミン塩酸塩(115mg、453μmol、93%収率)を得、これを更に精製することなく直接使用した。LCMS (ESI) m/z 218.1(M+H)
ステップc:フラスコに、6-(トリフルオロメチル)ピリジン-2-カルボン酸(101mg、529μmol)、中間体5c:2-シクロプロピル-7-エトキシイミダゾ[1,2-a]ピリジン-6-アミン塩酸塩(115mg、529μmol)を投入し、続いて、EtOAc(5mL)を投入した。得られた不均一混合物に、DIPEA(0.3mL、1.6mmol)を添加し、続いて、2,4,6-トリプロピル-1,3,5,2,4,6-トリオキサトリホスホリナン-2,4,6-トリオキシド溶液(T3P(登録商標))のEtOAc溶液(0.5mL、1.1mmol、50重量%)を添加した。混合物を室温で18時間撹拌し、撹拌したら1NのNaOH水溶液(10mL)とEtOAc(20mL)との間で分配した。層を分離し、水層をEtOAc(3×15mL)で抽出した。合わせた有機層を乾燥し(NaSO)、濃縮した。粗製残留物を最小限のDMSO中に入れ、0.45ミクロンのフリットを通して濾過し、HO中25%~90%のMeCNの1%TFAで改質した勾配により溶出する逆相HPLC(Gilson、カラム:SunFire Prep C18 OBD、5マイクロメートル、30×50nMカラム)により精製して、N-(2-シクロプロピル-7-エトキシイミダゾ[1,2-a]ピリジン-6-イル)-6-(トリフルオロメチル)ピコリンアミド(50mg、18%収率)を得た。LCMS (ESI) m/z 391.2(M+H)H NMR (500 MHz DMSO-d6) a ppm 0.83 - 0.94 (m, 2 H) 1.04 - 1.18 (m, 2 H) 1.53 (t, J=7.02 Hz, 3 H) 2.09 - 2.19 (m, 1 H) 4.41 (q, J=6.71 Hz, 2H) 7.31 (s, 1 H) 8.08 (s, 1 H) 8.29 (dd, J=7.33, 1.22 Hz, 1 H) 8.40 - 8.53 (m, 2 H) 9.62 - 9.72 (m, 1 H) 10.53 (s, 1 H)。
実施例3:N-(2-シクロプロピル-7-エトキシイミダゾ[1,2-a]ピリジン-6-イル)-6-(ジフルオロメチル)ピコリンアミド
Figure 0007576552000089
実施例3:N-(2-シクロプロピル-7-エトキシイミダゾ[1,2-a]ピリジン-6-イル)-6-(ジフルオロメチル)ピコリンアミドは、中間体2の調製について記載されたのと同様の方法で、2-ブロモ-1-シクロプロピル-エタノンとの環化反応により中間体3cから調製された。LCMS (ESI) m/z 373.2 (M+H)。1H NMR (400 MHz, メタノール-d4) δ ppm 0.91 - 0.99 (m, 2 H), 1.16 - 1.24 (m, 2 H), 1.68 (t, J=6.90 Hz, 3 H), 2.09 - 2.18 (m, 1 H), 4.46 (q, J=6.86 Hz, 2 H), 6.88 (t, J=56.0 Hz, 1H), 7.25 (s, 1 H), 7.80 (s, 1 H), 7.99 (d, J=7.78 Hz, 1 H), 8.29 (t, J=7.66 Hz, 1 H), 8.42 (d, J=7.78 Hz, 1 H), 9.73 (s, 1 H)。
実施例4:N-(2-シクロプロピル-7-メトキシイミダゾ[1,2-a]ピリジン-6-イル)-6-(ジフルオロメチル)ピコリンアミド
Figure 0007576552000090
実施例4:N-(2-シクロプロピル-7-メトキシイミダゾ[1,2-a]ピリジン-6-イル)-6-(ジフルオロメチル)ピコリンアミドは、ステップcにおいて6-(トリフルオロメチル)ピコリン酸の代わりに中間体3b:6-(ジフルオロメチル)ピコリン酸を代用することを除いて実施例2の調製について記載されたのと同じ合成手順により、中間体6から調製された。LCMS (ESI) m/z 359.1(M+H)。1H NMR (400 MHz, メタノール-d4) δ ppm 9.60 (s, 1H), 8.28 (dd, J=0.88, 7.91 Hz, 1H), 8.16 (t, J=7.78 Hz, 1H), 7.87 (d, J=7.78 Hz, 1H), 7.67 (s, 1H), 7.19 (s, 1H), 6.79 (t, J=56.0 Hz, 1H), 4.14 (s, 3H), 1.95-2.07 (m, 1H), 1.04-1.13 (m, 2H), 0.80-0.90 (m, 2H)。
実施例5:N-(7-(シクロブチルメトキシ)-2-シクロプロピルイミダゾ[1,2-a]ピリジン-6-イル)-6-(ジフルオロメチル)ピコリンアミド
Figure 0007576552000091
ステップa:シクロブチルメタノール(86mg、1.0mmol)、トリフェニルホスフィン(262mg、1.0mmol)、2-アミノ-5-ブロモ-ピリジン-4-オール(189mg、1.00mmol)のTHF(3mL)中混合物を投入したバイアルに、アゾジカルボン酸ジイソプロピル(196μL、1.00mmol)を室温で滴加した。添加後、バイアルをキャッピングし、反応混合物を室温で16時間撹拌した。次いで、混合物を濃縮して、粗製残留物を得、これをヘプタン中0~100%のEtOAc:EtOHの3:1の混合物の勾配を使用したシリカゲルクロマトグラフィーにより精製して、5-ブロモ-4-(シクロブチルメトキシ)ピリジン-2-アミン(386.7mg、1.50mmol、150.39%収率;トリフェニルホスフィンオキシドと混合し、次のステップに直接使用した)を得た。LCMS (ESI) m/z 257.0(M+H)
ステップb:5-ブロモ-4-(シクロブチルメトキシ)ピリジン-2-アミン(100mg、389μmol)、2-ブロモ-1-シクロプロピル-エタノン(60mg、370μmol)を投入したバイアルに、EtOH(3mL)を添加し、続いて、大気開放下で炭酸水素ナトリウム(98mg、1.2mmol)を固体として1度に添加した。バイアルを密閉し、85℃で18時間加熱し、加熱したら反応物懸濁液をセライトフィルターを通して濾過し、MeOHで洗浄した。濾液を乾燥し(NaSO)、残留物をドライローディングカラムにロードした。次いで、残留物を、ヘプタン中0%~100%の3:1のEtOAc:EtOHの混合物の勾配を使用して、40g Reveleris 40ミクロンシリカゲルカラムを通して溶出した。不純物を含まない画分を集め、濃縮して、6-ブロモ-7-(シクロブチルメトキシ)-2-シクロプロピルイミダゾ[1,2-a]ピリジン(20mg、62μmol、16%収率)を得た。LCMS (ESI) m/z 321.1(M+H)
ステップc:6-ブロモ-7-(シクロブチルメトキシ)-2-シクロプロピル-イミダゾ[1,2-a]ピリジン(20mg、62μmol)、Pd(OAc)(2.8mg、12μmol)、(5-ジフェニルホスファニル-9,9-ジメチル-キサンテン-4-イル)-ジフェニル-ホスファン(14.4mg、24.9μmol)、及びCsCO(40.6mg、124μmol)を投入したバイアルを、排気し、Nで充填し、セプタムを備えたスクリューキャップで密閉した。6-(ジフルオロメチル)ピリジン-2-カルボキサミド(21mg、124μmol)のジオキサン(1mL)溶液を、シリンジにより22℃で添加した。バイアルを密閉し、100℃で16時間加熱した(黄褐色に変わる)。LCMSにより、目的の生成物の形成が主ピークとして示された。次いで、反応混合物を室温に放冷し、セライトを通して濾過し、濃縮し、ヘプタン中0~100%のEtOAc:EtOHの3:1の混合物の勾配を使用したシリカゲルクロマトグラフィーにより精製して、N-(7-(シクロブチルメトキシ)-2-シクロプロピルイミダゾ[1,2-a]ピリジン-6-イル)-6-(ジフルオロメチル)ピコリンアミド(13.8mg、33.5μmol、53.7%収率)を白色固体として得た。LCMS (ESI) m/z 413.2(M+H)H NMR (400 MHz, メタノール-d4) ppm 0.88 - 0.99 (m, 2 H), 1.15 - 1.24 (m, 2 H), 2.00 - 2.19 (m, 5 H), 2.24 - 2.40 (m, 2 H), 2.98 - 3.09 (m, 1 H), 4.35 (d, J=6.53 Hz, 2 H), 6.83 (t, J=56.0 Hz, 1H), 7.28 (s, 1 H), 7.77 (s, 1 H), 7.97 (d, J=7.78 Hz, 1 H), 8.27 (t, J=7.91 Hz, 1 H), 8.40 (d, J=7.78 Hz, 1 H), 9.73 (s, 1 H)。
実施例6:N-(2-シクロプロピル-7-(2-(2-オキソピリジン-1(2H)-イル)プロポキシ)イミダゾ[1,2-a]ピリジン-6-イル)-6-(ジフルオロメチル)ピコリンアミド
N-(2-シクロプロピル-7-(2-(2-オキソピリジン-1(2H)-イル)プロポキシ)イミダゾ[1,2-a]ピリジン-6-イル)-6-(ジフルオロメチル)ピコリンアミドは、ステップaにおいてシクロブチルメタノールの代わりに1-(2-ヒドロキシ-1-メチル-エチル)ピリジン-2-オンを代用することを除いて実施例5の調製について記載されたのと同じ合成手順により調製された。LCMS (ESI) m/z 480.2(M+H)H NMR (400 MHz, クロロホルム-d) δ ppm 0.86 - 1.02 (m, 4 H), 1.73 (d, J=7.28 Hz, 3 H), 1.91 - 2.03 (m, 1 H), 4.25 - 4.41 (m, 2 H), 5.62 - 5.77 (m, 1 H), 6.09 (td, J=6.78, 1.26 Hz, 1 H), 6.56 (d, J=9.04 Hz, 1 H), 6.69 - 7.04 (m, 2 H), 7.20 - 7.31 (m, 2 H), 7.60 (dd, J=6.90, 1.88 Hz, 1 H), 7.87 (d, J=7.53 Hz, 1 H), 8.13 (t, J=7.78 Hz, 1 H), 8.42 (d, J=7.78 Hz, 1 H), 9.42 (s, 1 H)。
実施例6のエナンチオマーは、以下の条件下でキラルSFCにより分離された:
CHIRALPAK IA 30×250mm、5μm
方法:0.1%のDEAを含有するCO中40%のEtOH(流速:100mL/分、ABPR 120バール、MBPR 40psi、カラム温度40℃)
実施例7:(R)-N-(2-シクロプロピル-7-(2-(2-オキソピリジン-1(2H)-イル)プロポキシ)イミダゾ[1,2-a]ピリジン-6-イル)-6-(ジフルオロメチル)ピコリンアミド
実施例7は、SFCキラル分離によるピーク1であり、立体化学が適宜割り当てられる。(>99%ee)
実施例8:(S)-N-(2-シクロプロピル-7-(2-(2-オキソピリジン-1(2H)-イル)プロポキシ)イミダゾ[1,2-a]ピリジン-6-イル)-6-(ジフルオロメチル)ピコリンアミド
実施例8は、SFCキラル分離によるピーク2であり、立体化学が適宜割り当てられる。(91%ee)
実施例9:N-(7-(ベンジルオキシ)-2-シクロプロピルイミダゾ[1,2-a]ピリジン-6-イル)-6-(ジフルオロメチル)ピコリンアミド
N-(7-(ベンジルオキシ)-2-シクロプロピルイミダゾ[1,2-a]ピリジン-6-イル)-6-(ジフルオロメチル)ピコリンアミドは、ステップaにおいてシクロブチルメタノールの代わりにフェニルメタノールを代用することを除いて実施例5の調製について記載されたのと同じ合成手順により調製された。LCMS (ESI) m/z 435.2(M+H)H NMR (400 MHz, クロロホルム-d) δ ppm 0.88 - 0.99 (m, 4 H), 1.94 - 2.02 (m, 1 H), 5.16 (s, 2 H), 6.28 (t, J=56.0 Hz, 1H), 6.97 (s, 1 H), 7.22 (s, 1H), 7.40 - 7.52 (m, 3 H), 7.52 - 7.58 (m, 2 H), 7.79 (d, J=7.78 Hz, 1 H), 8.05 (t, J=7.91 Hz, 1 H), 8.33 (dd, J=7.78, 0.75 Hz, 1 H), 9.39 (s, 1 H), 10.49 (s, 1 H)。
実施例10:N-(2-シクロプロピル-7-ヒドロキシイミダゾ[1,2-a]ピリジン-6-イル)-6-(ジフルオロメチル)ピコリンアミド
Figure 0007576552000092
N-(7-(ベンジルオキシ)-2-シクロプロピルイミダゾ[1,2-a]ピリジン-6-イル)-6-(ジフルオロメチル)ピコリンアミド(28mg、64.5μmol)及びパラジウム炭素(13.7mg、12.9μmol、10%純度)を、圧力容器内でメタノール(2mL)及び酢酸エチル(2mL)中に懸濁させた。容器を15psiのHで加圧した。反応物を22℃で2時間撹拌し、次いで、セライトを通して濾過し、揮発性物質を減圧下で除去して、N-(2-シクロプロピル-7-ヒドロキシイミダゾ[1,2-a]ピリジン-6-イル)-6-(ジフルオロメチル)ピコリンアミド(22.1mg、64.2μmol、99%収率)を得た。LCMS (ESI) m/z 345.1(M+H)H NMR (400 MHz, メタノール-d4) δ ppm 0.83 - 0.84 (m, 2 H), 1.01 - 1.11 (m, 2 H), 1.91 - 2.04 (m, 1 H), 6.41 (br s, 1 H), 6.88 (t, J=56.0 Hz, 1H), 7.33 (br s, 1 H), 7.94 (d, J=7.78 Hz, 1 H), 8.23 (t, J=7.78 Hz, 1 H), 8.37 (d, J=8.03 Hz, 1 H), 9.33 (br s, 1 H)。
実施例11:N-(2-シクロプロピル-7-(((2S,3S、4S)-3-エチル-4-フルオロ-5-オキソピロリジン-2-イル)メトキシ)イミダゾ[1,2-a]ピリジン-6-イル)-6-(ジフルオロメチル)ピコリンアミド
Figure 0007576552000093
ステップa:(3S,4S,5S)-4-エチル-3-フルオロ-5-(ヒドロキシメチル)ピロリジン-2-オン(50mg、310μmol)のジクロロメタン(2mL)中溶液に、トリエチルアミン(94mg、931μmol、130μL)を添加し、続いて、メタンスルホニルクロリド(53mg、465μmol、36.0μL)を0℃で添加した。得られた混合物を25℃で1時間撹拌した。次いで、これを減圧下で濃縮し、残留物をDMF中に再懸濁し、定量的収率と仮定して、それ以上操作することなく次のステップに使用した。
ステップb:撹拌棒を備えた4mLのバイアルに、N-(2-シクロプロピル-7-ヒドロキシ-イミダゾ[1,2-a]ピリジン-6-イル)-6-(ジフルオロメチル)ピリジン-2-カルボキサミド(15mg、43μmol)、メタンスルホン酸[(2S,3S,4S)-3-エチル-4-フルオロ-5-オキソ-ピロリジン-2-イル]メチル(10.4mg、44μmol)のDMF溶液、ならびに炭酸セシウム(28mg、87μmol)及びDMF(300μL)を投入した。不均一溶液を110℃まで加熱し、一晩撹拌した(16時間)。次いで、反応物を室温に放冷し、濾過し、逆相カラムでの質量分析計直結HPLCにより直接精製した。画分を乾燥して、N-(2-シクロプロピル-7-(((2S,3S,4S)-3-エチル-4-フルオロ-5-オキソピロリジン-2-イル)メトキシ)イミダゾ[1,2-a]ピリジン-6-イル)-6-(ジフルオロメチル)ピコリンアミド(16.4mg、27.3μmol、62.6%収率)を白色固体として得た。LCMS (ESI) m/z 488.2(M+H)H NMR (400 MHz, メタノール-d4) δ ppm 0.90 - 1.03 (m, 2 H), 1.06 - 1.16 (m, 3 H), 1.17 - 1.28 (m, 3 H), 1.71 - 1.86 (m, 2 H), 2.00 - 2.19 (m, 1 H), 4.25 - 4.43 (m, 2 H), 4.53 (dd, J=9.91, 4.39 Hz, 1 H), 4.96 - 5.07 (m, 1 H), 7.00 (t, J=56.0 Hz, 1 H), 7.37 (s, 1 H), 7.82 (s, 1 H), 7.96 - 8.03 (m, 1 H), 8.24 - 8.32 (m, 1 H), 8.39 - 8.46 (m, 1 H), 9.76 (s, 1 H)。
実施例12:6-(ジフルオロメチル)-N-(7-エトキシ-2-(3-メトキシプロピル)イミダゾ[1,2-a]ピリジン-6-イル)ピコリンアミド
シールドチューブに、中間体3c:N-(6-アミノ-4-エトキシピリジン-3-イル)-6-(ジフルオロメチル)ピコリンアミド(300mg、0.97mmol)、1-クロロ-5-メトキシペンタン-2-オン(440mg、2.9mmol)、NaHCO(245mg、2.9mmol)、及びEtOH(6mL)の混合物を投入した。チューブを密閉し、得られた混合物を80℃で16時間加熱し、加熱したら混合物を室温まで冷却し、HO(25mL)で希釈した。黄色の沈殿物が形成され、これを真空濾過により集めた。濾過ケーキを分取HPLC(カラム:Shim-pack C18 150×25×10μm;HO中25%~46%のMeCNの0.2%ギ酸で改質した勾配により溶出する)により精製して、6-(ジフルオロメチル)-N-(7-エトキシ-2-(3-メトキシプロピル)イミダゾ[1,2-a]ピリジン-6-イル)ピコリンアミドを白色固体として得た。LCMS (ESI) m/z 405.1(M+H)H NMR (400 MHz DMSO-d) δ 10.46 (s, 1H), 9.39 (s, 1H), 8.38 - 8.26 (m, 2H), 8.05 - 7.95 (m, 1H), 7.64 (s, 1H), 7.30 - 6.93 (m, 2H), 4.22 (q, J=6.8 Hz, 2H), 3.37 (br t, J=6.8 Hz, 2H), 3.24 (s, 3H), 2.69 - 2.60 (m, 2H), 1.95 - 1.83 (m, 2H), 1.49 (t, J=7.2 Hz, 3H)。
実施例13:6-(ジフルオロメチル)-N-(7-エトキシ-2-(2-メトキシエチル)イミダゾ[1,2-a]ピリジン-6-イル)ピコリンアミド
6-(ジフルオロメチル)-N-(7-エトキシ-2-(2-メトキシエチル)イミダゾ[1,2-a]ピリジン-6-イル)ピコリンアミドを、1-クロロ-5-メトキシペンタン-2-オンの代わりに1-クロロ-4-メトキシブタン-2-オンを使用して、実施例12について記載されたのと同様の方法で調製して、6-(ジフルオロメチル)-N-(7-エトキシ-2-(2-メトキシエチル)イミダゾ[1,2-a]ピリジン-6-イル)ピコリンアミドを黄色固体として得た。LCMS (ESI) m/z 391.0(M+H)H NMR (400 MHz DMSO-d) δ 10.47 (s, 1H), 9.40 (s, 1H), 8.37 - 8.28 (m, 2H), 8.06 - 7.97 (m, 1H), 7.67 (s, 1H), 7.30 - 6.93 (m, 2H), 4.23 (q, J=6.8 Hz, 2H), 3.64 (t, J=7.2 Hz, 2H), 3.26 (s, 3H), 2.85 (t, J=6.8 Hz, 2H), 1.49 (t, J=7.2 Hz, 3H)。
実施例14:6-(ジフルオロメチル)-N-(7-エトキシ-2-((テトラヒドロフラン-3-イル)メチル)イミダゾ[1,2-a]ピリジン-6-イル)ピコリンアミド
シールドチューブに、中間体3c:N-(6-アミノ-4-エトキシピリジン-3-イル)-6-(ジフルオロメチル)ピコリンアミド(300mg、1.0mmol)、1-クロロ-3-(テトラヒドロフラン-3-イル)プロパン-2-オン(475mg、2.9mmol)、NaHCO(245mg、2.9mmol)、及びEtOH(6mL)を投入した。チューブを密閉し、混合物を80℃で16時間加熱した。混合物を室温まで冷却し、減圧下で濃縮した。残留物をEtOAc(30mL)とHO(30mL)との間で分配した。層を分離し、水層をEtOAc(2×30mL)で抽出した。合わせた有機層をNaSO上で乾燥し、濾過し、減圧下で濃縮した。残留物を分取HPLC(カラム:Phenomenex Synergi C18 150×30mm×4um;HO中25%~55%のMeCNの0.2%のギ酸で改質した勾配により溶出する)により精製して、6-(ジフルオロメチル)-N-(7-エトキシ-2-((テトラヒドロフラン-3-イル)メチル)イミダゾ[1,2-a]ピリジン-6-イル)ピコリンアミド(126mg、31%収率)を黄色固体として得た。LCMS (ESI) m/z 417.2 (M+H)H NMR (400 MHz DMSO-d) δ 10.47 (s, 1H), 9.39 (s, 1H), 8.36 - 8.26 (m, 2H), 8.05 - 7.96 (m, 1H), 7.68 (s, 1H), 7.30 - 6.94 (m, 2H), 4.23 (q, J=6.8 Hz, 2H), 3.81 - 3.71 (m, 2H), 3.64 (q, J=7.6 Hz, 1H), 3.41 (br dd, J=6.4, 8.4 Hz, 2H), 2.71 - 2.64 (m, 2H), 2.08 - 1.93 (m, 1H), 1.68 - 1.55 (m, 1H), 1.49 (t, J=7.2 Hz, 3H)。
実施例15:(S)-6-(ジフルオロメチル)-N-(7-エトキシ-2-((テトラヒドロフラン-3-イル)メチル)イミダゾ[1,2-a]ピリジン-6-イル)ピコリンアミド
実施例15の化合物を、実施例14のSFCキラル分離によりピーク1として得、立体化学を適宜割り当てた。カラム:Chiralpak IG 30×250mm、5μm;溶出勾配:0.1%のDEAを含有するCO中30%のEtOH(流速:100mL/分、ABPR 120バール、MBPR 40psi、カラム温度40℃)。(S)-6-(ジフルオロメチル)-N-(7-エトキシ-2-((テトラヒドロフラン-3-イル)メチル)イミダゾ[1,2-a]ピリジン-6-イル)ピコリンアミド(>99%ee)を得た。LCMS (ESI) m/z 417.2 (M+H)+, H NMR (500 MHz, CDCl) δ ppm 1.62 (t, J=6.90 Hz, 3 H) 1.65 - 1.79 (m, 1 H) 2.01 - 2.16 (m, 1 H) 2.70 - 2.80 (m, 1 H) 2.80 - 2.86 (m, 2 H) 3.55 (dd, J=8.28, 6.02 Hz, 1 H) 3.80 (q, J=7.78 Hz, 1 H) 3.88 - 3.99 (m, 2 H) 4.22 (q, J=6.86 Hz, 2 H) 6.50 - 6.85 (m, 1 H) 6.88 (s, 1 H) 7.25 (s, 1 H) 7.85 (d, J=7.78 Hz, 1 H) 8.12 (t, J=7.78 Hz, 1 H) 8.40 (d, J=7.53 Hz, 1 H) 9.43 (s, 1 H) 10.54 (s, 1 H)。
実施例16:(R)-6-(ジフルオロメチル)-N-(7-エトキシ-2-((テトラヒドロフラン-3-イル)メチル)イミダゾ[1,2-a]ピリジン-6-イル)ピコリンアミド
実施例16の化合物を、実施例14のSFCキラル分離によりピーク2として得、立体化学を適宜割り当てた。カラム:Chiralpak IG 30×250mm、5μm;溶出勾配:0.1%のDEAを含有するCO中30%のEtOH(流速:100mL/分、ABPR 120バール、MBPR 40psi、カラム温度40℃)。(R)-6-(ジフルオロメチル)-N-(7-エトキシ-2-((テトラヒドロフラン-3-イル)メチル)イミダゾ[1,2-a]ピリジン-6-イル)ピコリンアミド(>91%ee)を得た。LCMS (ESI) m/z 417.2 (M+H)+, H NMR (500 MHz, CDCl) δ ppm 1.62 (t, J=6.90 Hz, 3 H) 1.65 - 1.79 (m, 1 H) 2.01 - 2.16 (m, 1 H) 2.70 - 2.80 (m, 1 H) 2.80 - 2.86 (m, 2 H) 3.55 (dd, J=8.28, 6.02 Hz, 1 H) 3.80 (q, J=7.78 Hz, 1 H) 3.88 - 3.99 (m, 2 H) 4.22 (q, J=6.86 Hz, 2 H) 6.50 - 6.85 (m, 1 H) 6.88 (s, 1 H) 7.25 (s, 1 H) 7.85 (d, J=7.78 Hz, 1 H) 8.12 (t, J=7.78 Hz, 1 H) 8.40 (d, J=7.53 Hz, 1 H) 9.43 (s, 1 H) 10.54 (s, 1 H)。
実施例17:6-(ジフルオロメチル)-N-(7-エトキシ-2-(1-ヒドロキシ-2-メチルプロパン-2-イル)イミダゾ[1,2-a]ピリジン-6-イル)ピコリンアミド
Figure 0007576552000094
ステップa:中間体1について記載された手順後に、1-ブロモブタン-2-オンの代わりに4-ブロモ-2,2-ジメチル-3-オキソブタン酸エチルを代用して中間体3cを4-ブロモ-2,2-ジメチル-3-オキソブタン酸エチルと縮合させて、2-(6-(6-(ジフルオロメチル)ピコリンアミド)-7-エトキシイミダゾ[1,2-a]ピリジン-2-イル)-2-メチルプロパン酸エチルを得た。LCMS (ESI) m/z 447.1 (M+H)+, H NMR (400 MHz, メタノール-d) δ ppm 1.14 (t, J=7.03 Hz, 3 H) 1.35 - 1.42 (m, 3 H) 1.53 (s, 6 H) 3.94 - 4.03 (m, 2 H) 4.06 (q, J=7.03 Hz, 2 H) 6.46 - 6.77 (m, 2 H) 7.35 - 7.42 (m, 1 H) 7.68 (br d, J=7.28 Hz, 1 H) 7.93 - 8.08 (m, 2 H) 9.10 - 9.16 (m, 1 H)。
ステップb:2-[6-[[6-(ジフルオロメチル)ピリジン-2-カルボニル]アミノ]-7-エトキシ-イミダゾ[1,2-a]ピリジン-2-イル]-2-メチルプロパン酸エチル(120mg、269μmol)のTHF(1.8mL)中溶液に、水素化アルミニウムリチウム(1M、540μL)のTHF溶液を0℃で添加した。2.5時間撹拌した後、反応混合物を飽和NaCl水溶液(10mL)で慎重にクエンチし、EtOAc(10mL)及び飽和ロッシェル塩水溶液(10mL)で希釈し、室温で20分間激しく撹拌した。水相をEtOAc(3×10mL)で抽出し、MgSO上で乾燥し、濾過し、濃縮し、シリカカラムクロマトグラフィー(ヘプタン中0~80%の3:1のEtOAc:EtOH混合物の勾配)により精製して、6-(ジフルオロメチル)-N-(7-エトキシ-2-(1-ヒドロキシ-2-メチルプロパン-2-イル)イミダゾ[1,2-a]ピリジン-6-イル)ピコリンアミド(65mg、160.7μmol、60%収率)を得た。LCMS (ESI) m/z 405.1 (M+H)+, H NMR (400 MHz, クロロホルム-d) δ ppm 1.29 (d, J=1.00 Hz, 6 H) 1.52 (td, J=6.90, 0.75 Hz, 3 H) 3.37 - 3.43 (m, 1 H) 3.37 - 3.43 (m, 1 H) 3.59 (d, J=1.00 Hz, 2 H) 4.06 - 4.16 (m, 2 H) 6.42 - 6.73 (m, 1 H) 6.76 (s, 1 H) 7.15 (s, 1 H) 7.74 (d, J=7.78 Hz, 1 H) 8.00 (t, J=7.78 Hz, 1 H) 8.26 (d, J=7.78 Hz, 1 H) 9.32 (s, 1 H)。
実施例18:N-(7-エトキシ-2-(ヒドロキシメチル)イミダゾ[1,2-a]ピリジン-6-イル)-6-(トリフルオロメチル)ピコリンアミド
Figure 0007576552000095
ステップa:中間体1について記載された手順後に、1-ブロモブタン-2-オンの代わりに3-ブロモ-2-オキソプロパン酸エチルを代用して中間体4を3-ブロモ-2-オキソプロパン酸エチルと反応させて、中間体11:7-エトキシ-6-(6-(トリフルオロメチル)ピコリンアミド)イミダゾ[1,2-a]ピリジン-2-カルボン酸エチルを得た。LCMS (ESI) m/z 423.2 (M+H)+。
ステップb:N-(7-エトキシ-2-(ヒドロキシメチル)イミダゾ[1,2-a]ピリジン-6-イル)-6-(トリフルオロメチル)ピコリンアミドは、7-エトキシ-6-(6-(トリフルオロメチル)ピコリンアミド)イミダゾ[1,2-a]ピリジン-2-カルボン酸エチルから出発して、実施例17のステップbについて記載されたのと同様の方法で調製された。LCMS (ESI) m/z 381.1 (M+H)+, H NMR (400 MHz, メタノール-d) δ ppm 1.66 (t, J=6.90 Hz, 2 H) 1.63 - 1.70 (m, 1 H) 4.45 (q, J=7.03 Hz, 2 H) 4.79 (d, J=1.00 Hz, 2 H) 7.30 (s, 1 H) 7.97 (d, J=0.75 Hz, 1 H) 8.12 (dd, J=7.78, 1.00 Hz, 1 H) 8.36 (t, J=7.91 Hz, 1 H) 8.48 - 10.00 (m, 1 H) 8.49 - 8.54 (m, 1 H) 8.49 - 8.54 (m, 1 H) 8.51 (d, J=7.53 Hz, 1 H)。
実施例19:N-(7-エトキシ-2-(2-ヒドロキシプロパン-2-イル)イミダゾ[1,2-a]ピリジン-6-イル)-6-(トリフルオロメチル)ピコリンアミド
Figure 0007576552000096
ステップa:中間体11:7-エトキシ-6-(6-(トリフルオロメチル)ピコリンアミド)イミダゾ[1,2-a]ピリジン-2-カルボン酸エチル(50mg、118.4μmol)の-78℃のTHF(1mL)中溶液に、メチルリチウム(1.6MのEtO溶液、0.3mL)を添加した。3時間撹拌後、反応混合物を飽和NHCl水溶液でクエンチした。水相をEtOAc(3×10mL)で抽出し、MgSO上で乾燥し、濾過し、濃縮し、逆相カラムでのTFAで改質した質量分析計直結HPLC(5~95%の水対アセトニトリルの勾配)により精製して、N-(7-エトキシ-2-(2-ヒドロキシプロパン-2-イル)イミダゾ[1,2-a]ピリジン-6-イル)-6-(トリフルオロメチル)ピコリンアミド(3.6mg、8%収率)を得た。LCMS (ESI) m/z 409.2 (M+H)+, H NMR (400 MHz, メタノール-d) δ ppm 1.61 (br d, J=5.02 Hz, 1 H) 1.62 - 1.69 (m, 1 H) 1.63 - 1.70 (m, 7 H) 4.42 - 4.49 (m, 2 H) 7.21 - 7.26 (m, 1 H) 7.94 (s, 1 H) 8.10 - 8.15 (m, 1 H) 8.34 - 8.39 (m, 1 H) 8.49 - 8.54 (m, 1 H) 9.76 - 9.82 (m, 1 H)。
実施例20:N-(7-エトキシ-2-(フルオロメチル)イミダゾ[1,2-a]ピリジン-6-イル)-6-(トリフルオロメチル)ピコリンアミド
Figure 0007576552000097
実施例18:N-(7-エトキシ-2-(ヒドロキシメチル)イミダゾ[1,2-a]ピリジン-6-イル)-6-(トリフルオロメチル)ピコリンアミド(65mg、170.9μmol)の0℃のDCM(2mL)中溶液に、N-エチル-N-(トリフルオロ-λ-スルファニル)エタンアミン(188μmol、25μL)を添加した。1時間撹拌後、反応混合物を濃縮し、逆相カラムでのTFAで改質した質量分析計直結HPLC(5~95%の水対アセトニトリルの勾配)により精製して、N-(7-エトキシ-2-(フルオロメチル)イミダゾ[1,2-a]ピリジン-6-イル)-6-(トリフルオロメチル)ピコリンアミド(4.10mg、6%収率)を得た。LCMS (ESI) m/z 383.3 (M+H)+, H NMR (400 MHz, メタノール-d) δ ppm 1.66 (t, J=7.03 Hz, 3 H) 4.47 (q, J=7.03 Hz, 2 H) 5.55 (s, 1 H) 5.67 (d, J=0.75 Hz, 1 H) 7.35 (s, 1 H) 8.13 (dd, J=7.91, 0.88 Hz, 1 H) 8.22 (d, J=3.77 Hz, 1 H) 8.32 - 8.39 (m, 1 H) 8.52 (d, J=8.28 Hz, 1 H) 9.84 (s, 1 H)。
実施例21:N-(2-((1R,5S,6s)-3-オキサビシクロ[3.1.0]ヘキサン-6-イル)-7-エトキシイミダゾ[1,2-a]ピリジン-6-イル)-6-(ジフルオロメチル)ピコリンアミド
Figure 0007576552000098
ステップa:(1R,5S,6r)-3-オキサビシクロ[3.1.0]ヘキサン-6-カルボン酸(500mg、3.90mmol)、一滴のDMF、及び塩化オキサリル(544mg、4.29mmol)を、DCM(20mL)中で室温にて20時間混合した。次いで、反応混合物を減圧下で濃縮して、(1R,5S,6r)-3-オキサビシクロ[3.1.0]ヘキサン-6-カルボニルクロリドを得、これを更に精製することなく直接使用した。
ステップb:(1R,5S,6r)-3-オキサビシクロ[3.1.0]ヘキサン-6-カルボニルクロリドのMeCN(20mL)中溶液に、ジアゾメチル(トリメチル)シラン(EtO中2M、2.2mL)を添加した。得られた溶液を室温で20時間維持し、維持したら塩酸水溶液(15%、2当量)を添加し、得られた混合物を4時間撹拌した。この混合物にNaHCO飽和水溶液をpH約7まで何度かに分けて添加した。有機相を分離し、減圧下で濃縮し、20ミリバール(沸点120℃)で蒸留して、1-((1R,5S,6r)-3-オキサビシクロ[3.1.0]ヘキサン-6-イル)-2-クロロエタン-1-オン(440mg、63%収率、90%純度)を得た。1H NMR (500 MHz, クロロホルム-d) δ 4.20 (s, 2H), 3.95 (dd, J = 8.2, 4.4 Hz, 2H), 3.78 (m, 2H), 2.28 (m, 2H), 2.18 (m, 1H)。
ステップc:1-((1R,5S,6r)-3-オキサビシクロ[3.1.0]ヘキサン-6-イル)-2-クロロエタン-1-オン(278mg、1.56mmol)及び中間体3c(462mg、1.20mmol)をプロピオニトリル(20mL)中で還流下にて20時間加熱した。混合物を室温に冷却し、飽和NaCO水溶液(5mL)を添加し、得られた混合物を更に3時間撹拌した。有機相を分離し、減圧下で濃縮し、残留物を逆相により精製して、N-(2-((1R,5S,6s)-3-オキサビシクロ[3.1.0]ヘキサン-6-イル)-7-エトキシイミダゾ[1,2-a]ピリジン-6-イル)-6-(ジフルオロメチル)ピコリンアミド(37mg、7.4%収率)を得た。LCMS (ESI) m/z 415.2 (M+H);1H NMR (400 MHz DMSO-d6) δ 10.45 (s, 1H), 9.36 (s, 1H), 8.36 - 8.24 (m, 2H), 7.99 (m 1H), 7.67 (s, 1H), 7.10 (t, J = 55.6 Hz, 1H), 7.01 (s, 1H), 4.20 (q, J = 6.9 Hz, 2H), 3.88 (d, J = 8.4 Hz, 2H), 3.69 (d, J = 8.4 Hz, 2H), 2.01 (d, J = 3.6 Hz, 2H), 1.77 (t, J = 3.6 Hz, 1H), 1.48 (t, J = 6.9 Hz, 3H)。
実施例22:N-(7-エトキシ-2-((テトラヒドロフラン-3-イル)メチル)イミダゾ[1,2-a]ピリジン-6-イル)-2-(1-メチル-1H-ピラゾール-4-イル)オキサゾール-4-カルボキサミド
Figure 0007576552000099
ステップa:磁気撹拌棒、凝縮器、及びアルゴンガス導入口を備えた100mLの3つ口丸底フラスコに、2-ブロモオキサゾール-4-カルボン酸エチル(1.01g、4.58mmol)、1-メチル-4-(4,4,5,5-テトラメチル-1,3,2-ジオキサボロラン-2-イル)-1H-ピラゾール(1.00g、4.81mmol)、ブチルアルコール(50mL)、H0(10mL)、及び第三リン酸カリウム(1.17g、5.50mmol)を投入した。得られた混合物を、アルゴン雰囲気下で室温にて15~20分間撹拌した。次いで、Pd(dppf)Cl(335mg、458μmol)を混合物に添加し、これをアルゴン雰囲気下で撹拌しながら一晩加熱還流した。その後、溶媒を減圧下で蒸発させ、混合物をDCMで希釈し、得られた混合物をAlのショートパッドを通して濾過した。母液を集め、減圧下で濃縮して、1.5gの粗生成物を暗色の粘性油として得、次いで、これをシリカゲルカラムクロマトグラフィーにより精製して、2-(1-メチル-1H-ピラゾール-4-イル)オキサゾール-4-カルボン酸エチル(400mg、1.81mmol、39%収率)を淡黄色固体として得た。LCMS (ESI) m/z 222(M+H);1H NMR (500 MHz, クロロホルム-d):δ 8.17 (s, 1H), 8.03 (s, 1H), 7.99 (s, 1H), 4.42 (q, J = 7.1 Hz, 2H), 3.98 (s, 3H), 1.41 (t, J = 7.1 Hz, 3H)。
ステップb:電磁撹拌子を備えた25mLの丸底フラスコに、2-(1-メチル-1H-ピラゾール-4-イル)オキサゾール-4-カルボン酸エチル(300mg、1.35mmol)、KCO(468mg、3.38mmol、2.5)、HO(5mL)、及びEtOH(3mL)を投入した。得られた混合物を室温で48時間撹拌した。次いで、EtOHを減圧下で蒸発させ、HO及び活性炭を添加し、混合物を濾過した。得られた濾液を濃HClでpH4~5に酸性化すると、沈殿物が形成され、これを真空濾過により集め、水で洗浄して、2-(1-メチル-1H-ピラゾール-4-イル)オキサゾール-4-カルボン酸(210mg、1.09mmol)を白色固体として得た。LCMS (ESI) m/z 194 (M+H);1H NMR (400 MHz DMSO-d6):δ 8.66 (s, 1H), 8.38 (s, 1H), 7.94 (s, 1H), 3.91 (s, 3H)。
ステップc:2-(1-メチル-1H-ピラゾール-4-イル)オキサゾール-4-カルボン酸(200mg、1.04mmol)のDMF(3mL)中溶液に、HATU(433mg、1.138mmol)、DIPEA(401.4mg、3.1mmol、540μL)、及び中間体3a:4-エトキシピリジン-2,5-ジアミン(190mg、1.24mmol)を添加した。混合物を35℃で一晩撹拌した。この過程の後、混合物をHO(10mL)で希釈し、EtOAc(3×10mL)で抽出した。合わせた有機層をNaSO上で乾燥し、濾過し、減圧下で蒸発させて、340mgの粗生成物を暗紫色の粘性油として得、これは、LCMSによると62%の目的の生成物であるN-(6-アミノ-4-エトキシピリジン-3-イル)-2-(1-メチル-1H-ピラゾール-4-イル)オキサゾール-4-カルボキサミドを含有した。この粗生成物をそれ以上精製せずに次のステップで使用した。LCMS (ESI) m/z 329 (M+H)
ステップd:電磁撹拌子及び凝縮器を備えた25mLの丸底フラスコに、N-(6-アミノ-4-エトキシピリジン-3-イル)-2-(1-メチル-1H-ピラゾール-4-イル)オキサゾール-4-カルボキサミド(340mg、1.04mmol)、1-クロロ-3-(テトラヒドロフラン-3-イル)プロパン-2-オン(253mg、1.55mmol、1.5当量)、NaHCO(130mg、1.55mmol)、及びEtOH(10mL)を投入した。得られた混合物を80℃で一晩加熱した。次いで、溶媒を減圧下で蒸発させ、HOを添加し、生成物をCHCl(3×10mL)で抽出した。合わせた有機層をNaSO上で乾燥し、濃縮した。残留物をHPLCにより精製して、N-(7-エトキシ-2-((テトラヒドロフラン-3-イル)メチル)イミダゾ[1,2-a]ピリジン-6-イル)-2-(1-メチル-1H-ピラゾール-4-イル)オキサゾール-4-カルボキサミド(125mg、0.29mmol、27%収率)を得た。LCMS (ESI) m/z 437 (M+H);1H NMR (400 MHz DMSO-d):δ 9.35 (s, 1H), 9.22 (s, 1H), 8.81 (s, 1H), 8.42 (s, 1H), 7.98 (s, 1H), 7.65 (s, 1H), 7.02 (s, 1H), 4.24 (q, J = 6.9 Hz, 2H), 3.95 (s, 3H), 3.79-3.70 (m, 2H), 3.67-3.59 (m, 1H), 3.43-3.37 (m, 1H), 2.66 (d, J = 7.0 Hz, 2H), 2.60-2.50 (m, 1H), 2.02-1.94 (m, 1H), 1.64 - 1.56 (m, 1H), 1.48 (t, J = 6.9 Hz, 3H)。
実施例23:6-(ジフルオロメチル)-N-(7-エトキシ-2-(3-ヒドロキシプロピル)イミダゾ[1,2-a]ピリジン-6-イル)ピコリンアミド
Figure 0007576552000100
ステップa:3-(6-(6-(ジフルオロメチル)ピコリンアミド)-7-エトキシイミダゾ[1,2-a]ピリジン-2-イル)プロパン酸メチルを、1-ブロモブタン-2-オンの代わりにメチル5-ブロモ-4-オキソペンタノエートを代用して、中間体1について記載されたのと同様の方法で調製した。LCMS (ESI) m/z 419.3 (M+H)+, H NMR (400 MHz, メタノール-d) δ ppm 1.44 (t, J=6.90 Hz, 3 H) 2.61 - 2.68 (m, 2 H) 2.84 - 2.89 (m, 2 H) 3.56 - 3.61 (m, 3 H) 4.05 - 4.13 (m, 2 H) 6.53 - 6.81 (m, 2 H) 7.29 (s, 1 H) 7.76 (br d, J=7.53 Hz, 1 H) 8.04 - 8.09 (m, 1 H) 8.16 (br d, J=6.78 Hz, 1 H) 9.20 (d, J=4.52 Hz, 1 H)。
ステップb:6-(ジフルオロメチル)-N-(7-エトキシ-2-(3-ヒドロキシプロピル)イミダゾ[1,2-a]ピリジン-6-イル)ピコリンアミドを、3-(6-(6-(ジフルオロメチル)ピコリンアミド)-7-エトキシイミダゾ[1,2-a]ピリジン-2-イル)プロパン酸メチルから出発して、実施例17について記載されたのと同様の方法で調製した。LCMS (ESI) m/z 391.3 (M+H)+, H NMR (400 MHz, メタノール-d) δ ppm 1.57 (t, J=6.90 Hz, 3 H) 1.91 - 2.00 (m, 2 H) 2.76 (t, J=7.65 Hz, 2 H) 3.65 (t, J=6.53 Hz, 2 H) 4.21 (q, J=6.86 Hz, 2 H) 6.64 - 6.93 (m, 2 H) 7.41 (s, 1 H) 7.88 (d, J=7.78 Hz, 1 H) 8.16 - 8.22 (m, 1 H) 8.26 - 8.30 (m, 1 H) 9.34 (s, 1 H)。
実施例24:N-(2-シクロプロピル-7-(4-(2,2-ジフルオロエチル)ピペラジン-1-イル)イミダゾ[1,2-a]ピリジン-6-イル)-6-(トリフルオロメチル)ピコリンアミド
Figure 0007576552000101
ステップa:4-クロロ-5-ニトロ-ピリジン-2-アミン(500mg、2.88mmol)、1-(2,2-ジフルオロエチル)ピペラジン(455mg、2.9mmol)、及び炭酸セシウム(2.0g、6.0mmol)のDMF(6mL)中混合物を、90℃で12時間撹拌した。混合物をブラインでクエンチし、EtOAc(3×50mL)で抽出し、ブライン(2×10mL)で洗浄し、MgSO上で乾燥し、濾過し、濃縮して、4-(4-(2,2-ジフルオロエチル)ピペラジン-1-イル)-5-ニトロピリジン-2-アミンを得、100%収率と仮定して、これを更に精製することなく次の反応に使用した。LCMS (ESI) m/z 288.0 (M+H)+。
ステップb:粗製の4-(4-(2,2-ジフルオロエチル)ピペラジン-1-イル)-5-ニトロピリジン-2-アミン(827mg、2.88mmol)のEtOAc/EtOHの3:1混合物(7.2mL)中溶液に、パラジウム炭素(150mg、10重量%)を添加した。懸濁液を室温にて1気圧の水素(バルーン)下で18時間撹拌した。次いで、混合物をセライトパッドを通して濾過し、MeOH(50mL)で洗浄した。濾液を減圧下で濃縮して、4-(4-(2,2-ジフルオロエチル)ピペラジン-1-イル)ピリジン-2,5-ジアミンを黒色固体として得、100%収率と仮定して、これを更に精製することなく次の反応に使用した。LCMS (ESI) m/z 258.0(M+H)+。
ステップc:N-(6-アミノ-4-(4-(2,2-ジフルオロエチル)ピペラジン-1-イル)ピリジン-3-イル)-6-(トリフルオロメチル)ピコリンアミドを、4-エトキシ-5-ニトロピリジン-2-アミンの代わりに4-(4-(2,2-ジフルオロエチル)ピペラジン-1-イル)-5-ニトロピリジン-2-アミンから出発して、中間体3cについて記載されたのと同様の方法で調製した。LCMS (ESI) m/z 431.0 (M+H)+,H NMR (400 MHz, メタノール-d) δ ppm 1.37 - 1.40 (m, 1 H) 2.82 - 2.89 (m, 5 H) 3.00 - 3.07 (m, 4 H) 5.85 - 6.18 (m, 1 H) 6.41 (s, 1 H) 8.08 (dd, J=7.91, 0.88 Hz, 1 H) 8.32 (t, J=7.91 Hz, 1 H) 8.48 (d, J=7.78 Hz, 1 H) 8.83 (s, 1 H)。
ステップd:N-(2-シクロプロピル-7-(4-(2,2-ジフルオロエチル)ピペラジン-1-イル)イミダゾ[1,2-a]ピリジン-6-イル)-6-(トリフルオロメチル)ピコリンアミドを、中間体2の調製について記載されたのと同様の方法で、N-(6-アミノ-4-(4-(2,2-ジフルオロエチル)ピペラジン-1-イル)ピリジン-3-イル)-6-(トリフルオロメチル)ピコリンアミドから2-ブロモ-1-シクロプロピル-エタノンとの環化反応により調製した。LCMS (ESI) m/z 495.1 (M+H)+, H NMR (500 MHz, メタノール-d) δ ppm 0.95 - 1.01 (m, 2 H) 1.20 - 1.27 (m, 2 H) 2.16 (tt, J=8.85, 4.27 Hz, 1 H) 3.37 - 3.50 (m, 1 H) 3.38 - 3.47 (m, 9 H) 3.47 - 3.63 (m, 1 H) 6.18 - 6.44 (m, 1 H) 7.51 (d, J=1.83 Hz, 1 H) 7.85 - 7.91 (m, 1 H) 8.18 (dd, J=7.94, 1.22 Hz, 1 H) 8.40 (t, J=7.63 Hz, 1 H) 8.58 (d, J=7.94 Hz, 1 H) 9.74 - 9.80 (m, 1 H)。
実施例25:N-(2-シクロプロピル-7-(シクロプロピルメトキシ)イミダゾ[1,2-a]ピリジン-6-イル)-6-(ジフルオロメチル)ピコリンアミド
N-(2-シクロプロピル-7-(シクロプロピルメトキシ)イミダゾ[1,2-a]ピリジン-6-イル)-6-ジフルオロメチル)ピコリンアミドを、実施例5について記載されたのと同様の方法で、シクロブチルメタノールの代わりにシクロプロピルメタノールを代用して調製した。LCMS (ESI) m/z 399.3 (M+H)+, H NMR (400 MHz, メタノール-d) δ ppm 0.54 - 0.62 (m, 2 H) 0.84 (q, J=6.11 Hz, 2 H) 0.90 - 0.97 (m, 2 H) 1.15 - 1.21 (m, 2 H) 1.52 (br s, 1 H) 2.07 - 2.16 (m, 1 H) 4.27 (br d, J=7.28 Hz, 2 H) 6.71 - 7.04 (m, 1 H) 7.22 (s, 1 H) 7.79 (s, 1 H) 7.99 (br d, J=7.28 Hz, 1 H) 8.29 (t, J=7.91 Hz, 1 H) 8.40 (br s, 1 H) 9.73 (br s, 1 H)。
中間体17:5-ブロモ-4-(2,2,2-トリフルオロエトキシ)ピリジン-2-アミン
Figure 0007576552000102
2-アミノ-5-ブロモ-ピリジン-4-オール(500mg、2.65mmol)、KCO(1.1g、7.95mmol)、及び1,1,1-トリフルオロ-2-ヨードエタン(834mg、3.98mmol、390μL)のDMF(4.4mL)中混合物を、110℃で14時間撹拌した。室温まで冷却した後、反応混合物をブライン(100mL)及びEtOAc(100mL)で希釈し、層を分離し、水層をEtOAc(3×50mL)で抽出した。合わせた有機層をブライン(2×10mL)で洗浄し、MgSO上で乾燥し、濾過し、濃縮し、ヘプタン中0~70%の3:1のEtOAc:EtOH混合物の勾配を使用したシリカカラムクロマトグラフィーにより精製して、5-ブロモ-4-(2,2,2-トリフルオロエトキシ)ピリジン-2-アミン(520mg、1.92mmol、72%収率)を得た。LCMS (ESI) m/z 270.8 (M+H)+, H NMR (400 MHz, メタノール-d) δ ppm 4.61 (q, J=8.28 Hz, 2 H) 6.19 - 6.25 (m, 1 H) 7.86 - 7.91 (m, 1 H)。
実施例26:N-(2-シクロプロピル-7-(2,2,2-トリフルオロエトキシ)イミダゾ[1,2-a]ピリジン-6-イル)-6-(ジフルオロメチル)ピコリンアミド
N-(2-シクロプロピル-7-(2,2,2-トリフルオロエトキシ)イミダゾ[1,2-a]ピリジン-6-イル)-6-(ジフルオロメチル)ピコリンアミドを、N-(6-アミノ-4-(シクロブチルメトキシ)ピリジン-3-イル)-6-(ジフルオロメチル)ピコリンアミドの代わりに5-ブロモ-4-(2,2,2-トリフルオロエトキシ)ピリジン-2-アミン(中間体17)を代用して、実施例5のステップbについて記載されたのと同様の方法で調製した。LCMS (ESI) m/z 427.1 (M+H)H NMR (400 MHz, メタノール-d) δ ppm 0.94 - 1.00 (m, 2 H) 1.18 - 1.25 (m, 2 H) 2.10 - 2.18 (m, 1 H) 5.07 (q, J=8.03 Hz, 2 H) 6.62 - 6.92 (m, 1 H) 7.49 (s, 1 H) 7.86 (s, 1 H) 7.99 (d, J=7.78 Hz, 1 H) 8.29 (t, J=7.78 Hz, 1 H) 8.40 (d, J=7.78 Hz, 1 H) 9.77 (s, 1 H)。
実施例27:6-(ジフルオロメチル)-N-(7-エトキシ-2-(3-ヒドロキシ-3-メチルブチル)イミダゾ[1,2-a]ピリジン-6-イル)ピコリンアミド
Figure 0007576552000103
実施例23、ステップaの3-(6-(6-(ジフルオロメチル)ピコリンアミド)-7-エトキシイミダゾ[1,2-a]ピリジン-2-イル)プロパン酸メチル(87mg、208μmol)の0℃のTHF(2mL)中溶液に、MeMgBr(3.0M、0.7mL)を添加した。4時間撹拌後、反応混合物を飽和NHCl水溶液でクエンチした。層を分離し、水相をEtOAc(3×10mL)で抽出し、MgSO上で乾燥し、濾過し、濃縮し、逆相カラムでのTFAで改質した質量分析計直結HPLC(5~95%の水対アセトニトリルの勾配)により精製して、6-(ジフルオロメチル)-N-(7-エトキシ-2-(3-ヒドロキシ-3-メチルブチル)イミダゾ[1,2-a]ピリジン-6-イル)ピコリンアミド(39.6mg、94.6μmol、45%収率)を得た。LCMS (ESI) m/z 419.3 (M+H)+, H NMR (400 MHz, メタノール-d) δ ppm 1.27 - 1.33 (m, 6 H) 1.61 - 1.67 (m, 3 H) 1.88 - 1.95 (m, 2 H) 2.88 - 2.95 (m, 2 H) 4.38 - 4.45 (m, 2 H) 6.68 - 6.98 (m, 1 H) 7.25 - 7.29 (m, 1 H) 7.77 - 7.81 (m, 1 H) 7.93 (dd, J=7.78, 0.75 Hz, 1 H) 8.24 (t, J=7.78 Hz, 1 H) 8.34 (dd, J=7.78, 1.00 Hz, 1 H) 9.65 - 9.69 (m, 1 H)。
実施例28:N-(2-シクロプロピル-8-エトキシイミダゾ[1,2-a]ピリジン-6-イル)-6-(ジフルオロメチル)ピコリンアミド
Figure 0007576552000104
ステップa:エタノール(536mg、11.6mmol、678μL)、トリフェニルホスフィン(3.05g、11.6mmol)、2-アミノ-5-ブロモ-ピリジン-3-オール(2.00g、10.6mmol)のTHF(20mL)中混合物を含有するバイアルに、アゾジカルボン酸ジイソプロピル(11.64mmol、2.3mL)を0℃で滴加した。添加後、反応混合物を22℃で16時間撹拌した。MeOH及びシリカゲルを混合物に添加し、次いで、これを濃縮し、シリカゲルクロマトグラフィー(シリカゲル上にドライローディング、ヘプタン中のEtOAc:EtOHの3:1混合物の0~100%勾配により溶出)により精製して、5-ブロモ-3-エトキシピリジン-2-アミン(2.50g、11.5mmol、108%収率;トリフェニルホスフィンオキシドと混合し、次のステップに直接使用した)を得た。LCMS (ESI) m/z 218.0 (M+H)
ステップb:5-ブロモ-3-エトキシ-ピリジン-2-アミン(688mg、3.17mmol)、2-ブロモ-1-シクロプロピル-エタノン(258mg、1.59mmol)を投入したバイアルに、EtOH(9mL)を添加し、続いて、大気開放下で炭酸水素ナトリウム(798mg、9.51mmol)を固体として1度に添加した。バイアルを密閉し、80℃で18時間加熱した。次いで、MeOH及びシリカゲルを混合物に添加し、次いで、これを濃縮し、シリカゲルクロマトグラフィー(シリカゲル上にドライローディング、ヘプタン中のEtOAc:EtOHの3:1混合物の0~100%勾配により溶出)により精製して、6-ブロモ-2-シクロプロピル-8-エトキシ-イミダゾ[1,2-a]ピリジン(310mg、1.10mmol、34.8%収率)を得た。LCMS (ESI) m/z 321.1 (M+H)
ステップc:6-ブロモ-2-シクロプロピル-8-エトキシ-イミダゾ[1,2-a]ピリジン(120mg、426μmol)、Pd(OAc)(19.2mg、85.4μmol)、(5-ジフェニルホスファニル-9,9-ジメチル-キサンテン-4-イル)-ジフェニル-ホスファン(98mg、171μmol)、6-(ジフルオロメチル)ピリジン-2-カルボキサミド(184mg、1.07mmol)、及びCsCO(278mg、853.64μmol)を投入したバイアルを排気し、Nで充填し、セプタムを備えたスクリューキャップで密閉した。ジオキサン(3mL)をシリンジにより22℃で添加した。バイアルを密閉し、100℃で16時間加熱した。次いで、反応混合物を室温まで放冷し、セライトを通して濾過し、濃縮し、逆相カラムでのTFAで改質した質量分析計直結HPLC(5~95%の水対アセトニトリルの勾配)により精製して、N-(2-シクロプロピル-8-エトキシイミダゾ[1,2-a]ピリジン-6-イル)-6-(ジフルオロメチル)ピコリンアミド(24mg、65μmol、15%収率)を得た。LCMS (ESI) m/z 391.3 (M+H)+, H NMR (400 MHz, メタノール-d) δ ppm 1.57 (t, J=6.90 Hz, 3 H) 1.91 - 2.00 (m, 2 H) 2.76 (t, J=7.65 Hz, 2 H) 3.65 (t, J=6.53 Hz, 2 H) 4.21 (q, J=6.86 Hz, 2 H) 6.64 - 6.93 (m, 2 H) 7.41 (s, 1 H) 7.88 (d, J=7.78 Hz, 1 H) 8.16 - 8.22 (m, 1 H) 8.26 - 8.30 (m, 1 H) 9.34 (s, 1 H)。
実施例29:N-(2-シクロプロピル-7-エトキシ-3-フルオロイミダゾ[1,2-a]ピリジン-6-イル)-6-(ジフルオロメチル)ピコリンアミド
Figure 0007576552000105
N-(2-シクロプロピル-7-エトキシ-3-フルオロイミダゾ[1,2-a]ピリジン-6-イル)-6-(ジフルオロメチル)ピコリンアミドを、中間体5b:6-ブロモ-2-シクロプロピル-7-エトキシ-3-フルオロイミダゾ[1,2-a]ピリジンから出発して、実施例4について記載されたのと同様の方法で調製した。LCMS (ESI) m/z 391.2 (M+H)+, H NMR (400 MHz, メタノール-d) δ ppm 0.99 - 1.06 (m, 2 H) 1.18 - 1.25 (m, 2 H) 1.69 (t, J=6.90 Hz, 3 H) 2.06 - 2.14 (m, 1 H) 4.48 (q, J=6.86 Hz, 2 H) 6.74 - 7.03 (m, 1 H) 7.25 (d, J=1.25 Hz, 1 H) 8.00 (d, J=7.78 Hz, 1 H) 8.30 (t, J=7.78 Hz, 1 H) 8.43 (dd, J=7.78, 0.75 Hz, 1 H) 9.53 (s, 1 H)。
実施例30:N-(2-シクロプロピルイミダゾ[1,2-a]ピリジン-6-イル)-6-(ジフルオロメチル)ピコリンアミド
Figure 0007576552000106
ステップa:粗製の2-シクロプロピル-6-ニトロイミダゾ[1,2-a]ピリジン(中間体7)(300mg、1.48mmol)のEtOAc/EtOH(6mL)の3:1混合物中溶液に、パラジウム炭素(39mg、10重量%)を添加した。懸濁液を1気圧の水素(バルーン)下で室温にて18時間撹拌した。次いで、混合物をセライトパッドを通して濾過し、MeOH(30mL)で洗浄した。濾液を減圧下で濃縮して、2-シクロプロピルイミダゾ[1,2-a]ピリジン-6-アミンを黒色固体として得、100%収率と仮定して、これを更に精製することなく次の反応に使用した。LCMS (ESI) m/z 174.1(M+H)+。
ステップb:2-シクロプロピルイミダゾ[1,2-a]ピリジン-6-アミン(256mg、1.48mmol)、HATU(564mg、1.48mmol)、及び6-(ジフルオロメチル)ピリジン-2-カルボン酸(281mg、1.63mmol)の0℃のDMF(4mL)中混合物に、DIPEA(4.44mmol、0.8mL)を添加した。反応物を室温に暖め、12時間撹拌した後、ブライン(50mL)でクエンチし、EtOAc(3×20mL)で抽出し、ブライン(3×10mL)で洗浄し、MgSO上で乾燥し、濾過し、濃縮し、ヘプタン中0~70%の3:1のEtOAc:EtOH混合物の勾配により溶出するシリカゲルクロマトグラフィーにより精製して、N-(2-シクロプロピルイミダゾ[1,2-a]ピリジン-6-イル)-6-(ジフルオロメチル)ピコリンアミド(264mg、804μmol、54%収率)を淡黄色固体として得た。LCMS (ESI) m/z 329.1 (M+H)+, H NMR (400 MHz, クロロホルム-d) δ ppm 0.94 - 1.02 (m, 4 H) 2.04 (tt, J=8.09, 5.33 Hz, 1 H) 6.59 - 6.88 (m, 1 H) 7.08 - 7.11 (m, 1 H) 7.39 (s, 1 H) 7.54 (d, J=9.54 Hz, 1 H) 7.86 (d, J=7.53 Hz, 1 H) 8.11 (t, J=7.78 Hz, 1 H) 8.40 (dd, J=7.78, 0.75 Hz, 1 H) 9.27 (d, J=1.25 Hz, 1 H) 9.71 (s, 1 H)。
実施例31:N-(2-シクロプロピルイミダゾ[1,2-a]ピラジン-6-イル)-6-(ジフルオロメチル)ピコリンアミド
Figure 0007576552000107
N-(2-シクロプロピルイミダゾ[1,2-a]ピラジン-6-イル)-6-(ジフルオロメチル)ピコリンアミドを、中間体8:6-ブロモ-2-シクロプロピルイミダゾ[1,2-a]ピラジンから出発して、実施例5(ステップc)について記載されたのと同様の方法で調製した。LCMS (ESI) m/z 330.1 (M+H)H NMR (400 MHz, メタノール-d) δ ppm 1.05 - 1.11 (m, 2 H) 1.26 - 1.33 (m, 2 H) 2.22 - 2.29 (m, 1 H) 6.78 - 7.08 (m, 1 H) 8.00 (d, J=7.28 Hz, 1 H) 8.18 (s, 1 H) 8.28 (t, J=7.78 Hz, 1 H) 8.43 (dd, J=7.78, 0.75 Hz, 1 H) 9.06 - 9.09 (m, 1 H) 9.64 (d, J=1.51 Hz, 1 H)。
実施例32:6-アセトアミド-N-(7-エトキシ-2-エチルイミダゾ[1,2-a]ピリジン-6-イル)ピコリンアミド
6-アセトアミドピリジン-2-カルボン酸(88mg、487μmol)及びDIPEA(63mg、487μmol、85μL)のDMF(1mL)中溶液に、7-エトキシ-2-エチル-イミダゾ[1,2-a]ピリジン-6-アミン(50mg、243μmol)を添加する。次いで、撹拌しながらT3P(310mg、487μmol、310μL、50%純度)を滴加し、反応物を室温で16時間維持した。次いで、反応物を水(10mL)でクエンチし、EtOAc(20mL)で希釈し、層を分離した。水層をEtOAc(3×10mL)で抽出し、合わせた有機層を濃縮した。得られた残留物を2mLのDMSO中に入れ、1%TFAで改質した10%~90%のMeCNの勾配により溶出する逆相HPLC(Gilson、カラム:SunFire Prep C18 OBD、5マイクロメートル、30×50nMカラム)による精製により、6-アセトアミド-N-(7-エトキシ-2-エチルイミダゾ[1,2-a]ピリジン-6-イル)ピコリンアミド(2.6mg、7.1μmol、2.9%収率)を得た。LCMS (ESI) m/z 368.1 (M+H),1 H NMR (500 MHz, メタノール-d) δ ppm 1.39 - 1.45 (m, 3 H) 1.68 (t, J=7.02 Hz, 3 H) 2.24 - 2.28 (m, 3 H) 2.84 - 2.93 (m, 2 H) 4.55 (q, J=6.71 Hz, 2 H) 7.27 - 7.32 (m, 1 H) 7.84 (s, 1 H) 7.98 - 8.08 (m, 2 H) 8.30 (d, J=7.94 Hz, 1 H) 9.75 - 9.80 (m, 1 H)
実施例33:N-(2-(3,3-ジフルオロシクロブチル)-7-エトキシイミダゾ[1,2-a]ピリジン-6-イル)-6-(トリフルオロメチル)ピコリンアミド
Figure 0007576552000108
ステップa:5-ブロモ-4-エトキシ-ピリジン-2-アミン(254mg、1.17mmol)、2-ブロモ-1-(3,3-ジフルオロシクロブチル)エタノン(250mg、1.17mmol)を、EtOH(3mL)中に溶解し、次いで、炭酸水素ナトリウム(295mg、3.51mmol)を添加した。バイアルを密閉し、85℃で18時間加熱した。次いで、シリカを添加し、混合物を濃縮した。混合物をヘプタン中5~100%のEtOAc:EtOHの3:1混合物の勾配により溶出するカラムクロマトグラフィーにより精製して、6-ブロモ-2-(3,3-ジフルオロシクロブチル)-7-エトキシ-イミダゾ[1,2-a]ピリジン(210mg、634μmol、54%収率)を得た。LCMS (ESI) m/z 331.3 (M+H)
ステップb:バイアルに、ナトリウムtert-ブトキシド(85mg、887μmol)、Pd(dba)(17mg、19μmol)、[1-(2-ジフェニルホスファニル-1-ナフチル)-2-ナフチル]-ジフェニルホスファン(31mg、50μmol)、及び6-ブロモ-2-(3,3-ジフルオロシクロブチル)-7-エトキシイミダゾ[1,2-a]ピリジン(210mg、634μmol)を投入した。バイアルをNでフラッシングし、トルエン(1mL)を添加し、次いで、ジフェニルメタンイミン(137mg、761μmol、0.12mL)を添加した。バイアルを密閉し、混合物を100℃で一晩加熱した。次いで、反応物をシリカゲル上に濃縮し、ヘプタン中5~100%のEtOAc:EtOHの3:1混合物の勾配により溶出するシリカゲルカラムクロマトグラフィーにより精製して、N-[2-(3,3-ジフルオロシクロブチル)-7-エトキシ-イミダゾ[1,2-a]ピリジン-6-イル]-1,1-ジフェニル-メタンイミン(170mg、394μmol、62%収率)を得た。LCMS (ESI) m/z 432.5(M+H)
ステップc:DCM(4mL)及びMeOH(4mL)中のN-[2-(3,3-ジフルオロシクロブチル)-7-エトキシ-イミダゾ[1,2-a]ピリジン-6-イル]-1,1-ジフェニル-メタンイミン(170mg、393μmol)をHCl(ジオキサン中4M、0.25mL)で処理し、1時間撹拌した。次いで、反応物を濃縮し、次いで、SCXカラムに通し、最初にMeOH、次いで、MeOH中2Mのアンモニアで溶出させて、2-(3,3-ジフルオロシクロブチル)-7-エトキシ-イミダゾ[1,2-a]ピリジン-6-アミン(100mg、374μmol、95%収率)を得た。LCMS (ESI) m/z 268.4 (M+H)
ステップd:バイアルに、6-(トリフルオロメチル)ピリジン-2-カルボン酸(78mg、412μmol)、次いで、2-(3,3-ジフルオロシクロブチル)-7-エトキシ-イミダゾ[1,2-a]ピリジン-6-アミン(100mg、374μmol)、続いてDCM(1mL)を投入した。この不均一混合物に、DIPEA(145mg、1.12mmol、200μL)を添加し、続いて、T3P(748μmol、340μL、EtOAc中50重量%)を添加した。反応物を一晩撹拌し、次いで、反応混合物を1NのNaOH(10mL)とEtOAc(10mL)との間で分配した。層を分離し、水層をEtOAc(3×10mL)で抽出した。合わせた有機層を乾燥し(NaSO)、濃縮した。残留物を、1%TFAで改質した10%~90%のMeCNの勾配により溶出する逆相HPLC(Gilson、カラム:SunFire Prep C18 OBD、5マイクロメートル、30×50nMカラム)により精製して、N-(2-(3,3-ジフルオロシクロブチル)-7-エトキシイミダゾ[1,2-a]ピリジン-6-イル)-6-(トリフルオロメチル)ピコリンアミド(38mg、87μmol、23%収率)を得た。LCMS (ESI) m/z 441.5 (M+H)H NMR (500 MHz, メタノール-d) δ ppm 1.68 (t, J=7.02 Hz, 3 H) 2.80 - 2.98 (m, 2 H) 3.11 - 3.21 (m, 2 H) 3.60 - 3.72 (m, 1 H) 4.48 (q, J=7.33 Hz, 2 H) 7.30 (s, 1 H) 8.05 (s, 1 H) 8.08 - 8.24 (m, 1 H) 8.39 (t, J=7.94 Hz, 1 H) 8.54 (d, J=7.94 Hz, 1 H) 9.67 - 9.98 (m, 1 H) 10.73 (s, 1 H)。
実施例34:N-(7-エトキシ-2-エチルイミダゾ[1,2-a]ピリジン-6-イル)-5,6-ジメチルピコリンアミド
DMF(1mL)中の7-エトキシ-2-エチル-イミダゾ[1,2-a]ピリジン-6-アミン(25mg、122μmol)及び5,6-ジメチルピリジン-2-カルボン酸(45mg、299μmol)を、DIPEA(62mg、487μmol、85μL)及びBOP(108mg、243μmol)で処理した。溶液を室温で一晩維持し、次いで、1%TFAで改質した10%~90%のMeCNの勾配により溶出する逆相HPLC(Gilson、カラム:SunFire Prep C18 OBD、5マイクロメートル、30×50nMカラム)により直接精製して、N-(7-エトキシ-2-エチルイミダゾ[1,2-a]ピリジン-6-イル)-5,6-ジメチルピコリンアミド(25mg、74μmol、61%収率)を得た。LCMS (ESI) m/z 339.5 (M+H)H NMR (500 MHz, メタノール-d) δ ppm 1.29 - 1.52 (m, 3 H) 1.71 (t, J=7.02 Hz, 3 H) 2.44 (s, 3 H) 2.56 - 2.69 (s, 3 H) 2.82 - 2.97 (m, 2 H) 4.48 (q, J=6.71 Hz, 2 H) 7.26 (s, 1 H) 7.79 (d, J=7.94 Hz, 1 H) 7.85 (s, 1 H) 8.01 (d, J=7.94 Hz, 1 H) 9.77 (s, 1 H)。
実施例35:N-(7-エトキシ-2-エチルイミダゾ[1,2-a]ピリジン-6-イル)-3,4-ジフルオロベンズアミド
実施例35を、5,6-ジメチルピリジン-2-カルボン酸の代わりに3,4-ジフルオロ安息香酸を用いて実施例34と同様に調製して、N-(7-エトキシ-2-エチルイミダゾ[1,2-a]ピリジン-6-イル)-3,4-ジフルオロベンズアミドを得た。H NMR (500 MHz, メタノール-d) δ ppm 1.41 (t, J=7.63 Hz, 3 H) 1.59 (t, J=7.02 Hz, 3 H) 2.82 - 2.95 (m, 2 H) 4.42 (q, J=6.71 Hz, 2 H) 7.26 (s, 1 H) 7.50 (dt, J=10.38, 8.24 Hz, 1 H) 7.81 (s, 1 H) 7.84 (ddd, J=6.41, 4.27, 2.14 Hz, 1 H) 7.93 (ddd, J=10.99, 7.63, 2.14 Hz, 1 H) 9.42 (s, 1 H)。
実施例36:N-(7-エトキシ-2-エチルイミダゾ[1,2-a]ピリジン-6-イル)-3-フルオロ-6-(トリフルオロメチル)ピコリンアミド
N-(7-エトキシ-2-エチルイミダゾ[1,2-a]ピリジン-6-イル)-3-フルオロ-6-(トリフルオロメチル)ピコリンアミドを、5,6-ジメチルピリジン-2-カルボン酸の代わりに3-フルオロ-6-(トリフルオロメチル)ピコリン酸を用いて実施例34と同様に調製して、N-(7-エトキシ-2-エチルイミダゾ[1,2-a]ピリジン-6-イル)-3-フルオロ-6-(トリフルオロメチル)ピコリンアミドを得た。H NMR (500 MHz, メタノール-d) δ ppm 1.33 - 1.51 (m, 3 H) 1.65 (t, J=7.02 Hz, 3 H) 2.81 - 2.94 (m, 2 H) 4.45 (q, J=6.71 Hz, 2 H) 7.29 (s, 1 H) 7.86 (s, 1 H) 8.14 (t, J=9.16 Hz, 1 H) 8.23 (dd, J=9.16, 3.05 Hz, 1 H) 9.75 (s, 1 H)。
実施例37:N-(7-エトキシ-2-エチルイミダゾ[1,2-a]ピリジン-6-イル)-1,3-ジヒドロイソベンゾフラン-5-カルボキサミド
実施例37を、5,6-ジメチルピリジン-2-カルボン酸の代わりに1,3-ジヒドロイソベンゾフラン-5-カルボン酸を用いて実施例34と同様に調製して、N-(7-エトキシ-2-エチルイミダゾ[1,2-a]ピリジン-6-イル)-1,3-ジヒドロイソベンゾフラン-5-カルボキサミドを得た。H NMR (500 MHz, メタノール-d) δ ppm 1.42 (t, J=7.33 Hz, 3 H) 1.60 (t, J=6.71 Hz, 3 H) 2.89 (q, J=7.53 Hz, 2 H) 4.43 (q, J=6.71 Hz, 2 H) 5.17 (s, 4 H) 7.26 (s, 1 H) 7.49 (d, J=7.94 Hz, 1 H) 7.82 (s, 1 H) 7.87 - 7.94 (m, 2 H) 9.48 (s, 1 H)
実施例38:N-(7-エトキシ-2-エチルイミダゾ[1,2-a]ピリジン-6-イル)-5,6-ジヒドロ-4H-ピロロ[1,2-b]ピラゾール-2-カルボキサミド
N-(7-エトキシ-2-エチルイミダゾ[1,2-a]ピリジン-6-イル)-5,6-ジヒドロ-4H-ピロロ[1,2-b]ピラゾール-2-カルボキサミドを、5,6-ジメチルピリジン-2-カルボン酸の代わりに5,6-ジヒドロ-4H-ピロロ[1,2-b]ピラゾール-2-カルボン酸を用いて実施例34と同様に調製して、N-(7-エトキシ-2-エチルイミダゾ[1,2-a]ピリジン-6-イル)-5,6-ジヒドロ-4H-ピロロ[1,2-b]ピラゾール-2-カルボキサミドを得た。H NMR (500 MHz, メタノール-d) δ ppm 1.31 - 1.51 (m, 3 H) 1.56 - 1.69 (m, 3 H) 2.70 (t, J=7.33 Hz, 2 H) 2.83 - 2.91 (m, 2 H) 2.99 (t, J=7.33 Hz, 2 H) 4.19 - 4.29 (m, 2 H) 4.46 (q, J=6.71 Hz, 2 H) 6.61 (s, 1 H) 7.26 (s, 1 H) 7.82 (s, 1 H) 9.66 (s, 1 H)。
実施例39:N-(7-エトキシ-2-エチルイミダゾ[1,2-a]ピリジン-6-イル)-4-メチル-3,4-ジヒドロ-2H-ベンゾ[b][1,4]オキサジン-8-カルボキサミド
実施例39を、5,6-ジメチルピリジン-2-カルボン酸の代わりに4-メチル-3,4-ジヒドロ-2H-ベンゾ[b][1,4]オキサジン-8-カルボン酸を用いて実施例34と同様に調製して、N-(7-エトキシ-2-エチルイミダゾ[1,2-a]ピリジン-6-イル)-4-メチル-3,4-ジヒドロ-2H-ベンゾ[b][1,4]オキサジン-8-カルボキサミドを得た。H NMR (500 MHz, メタノール-d) δ ppm 1.37 - 1.45 (m, 3 H) 1.68 (t, J=7.02 Hz, 3 H) 2.83 - 2.92 (m, 2 H) 2.96 (s, 3 H) 3.38 - 3.49 (m, 2 H) 4.43 (q, J=7.33 Hz, 2 H) 4.54 - 4.68 (m, 2 H) 6.90 - 7.06 (m, 2 H) 7.21 (s, 1 H) 7.48 (dd, J=7.32, 1.83 Hz, 1 H) 7.81 (s, 1 H) 9.83 (s, 1 H)
実施例40:N-(7-エトキシ-2-エチルイミダゾ[1,2-a]ピリジン-6-イル)-2,4-ジフルオロベンズアミド
実施例40を、5,6-ジメチルピリジン-2-カルボン酸の代わりに2,4-ジフルオロ安息香酸を用いて実施例34と同様に調製して、N-(7-エトキシ-2-エチルイミダゾ[1,2-a]ピリジン-6-イル)-2,4-ジフルオロベンズアミドを得た。H NMR (500 MHz, メタノール-d) δ ppm 1.41 (t, J=7.63 Hz, 3 H) 1.62 (t, J=7.02 Hz, 3 H) 2.84 - 2.98 (m, 2 H) 4.43 (q, J=7.12 Hz, 2 H) 7.17 - 7.34 (m, 3 H) 7.83 (s, 1 H) 8.16 (td, J=8.85, 6.71 Hz, 1 H) 9.71 (s, 1 H)
実施例41:N-(7-エトキシ-2-エチルイミダゾ[1,2-a]ピリジン-6-イル)-2-オキソインドリン-6-カルボキサミド
実施例41を、5,6-ジメチルピリジン-2-カルボン酸の代わりに2-オキソインドリン-6-カルボン酸を用いて実施例34と同様に調製して、N-(7-エトキシ-2-エチルイミダゾ[1,2-a]ピリジン-6-イル)-2-オキソインドリン-6-カルボキサミドを得た。LCMS (ESI) m/z 365.1 (M+H)
実施例42:N-(7-エトキシ-2-エチルイミダゾ[1,2-a]ピリジン-6-イル)-2,3-ジヒドロベンゾフラン-6-カルボキサミド
実施例42を、5,6-ジメチルピリジン-2-カルボン酸の代わりに2,3-ジヒドロベンゾフラン-6-カルボン酸を用いて実施例34と同様に調製して、N-(7-エトキシ-2-エチルイミダゾ[1,2-a]ピリジン-6-イル)-2,3-ジヒドロベンゾフラン-6-カルボキサミドを得た。H NMR (500 MHz, メタノール-d) δ ppm 1.41 (t, J=7.63 Hz, 3 H) 1.60 (t, J=6.71 Hz, 3 H) 2.82 - 2.93 (m, 2 H) 3.32 (s, 2 H) 4.42 (q, J=7.32 Hz, 2 H) 4.65 (t, J=8.55 Hz, 2 H) 7.25 (s, 1 H) 7.29 (d, J=1.22 Hz, 1 H) 7.39 (d, J=7.94 Hz, 1 H) 7.44 - 7.49 (m, 1 H) 7.81 (s, 1 H) 9.45 (s, 1 H)
実施例43:N-(7-エトキシ-2-エチルイミダゾ[1,2-a]ピリジン-6-イル)イソクロマン-7-カルボキサミド
実施例43を、5,6-ジメチルピリジン-2-カルボン酸の代わりにイソクロマン-7-カルボン酸を用いて実施例34と同様に調製して、N-(7-エトキシ-2-エチルイミダゾ[1,2-a]ピリジン-6-イル)イソクロマン-7-カルボキサミドを得た。H NMR (500 MHz, メタノール-d) δ ppm 1.37 - 1.49 (m, 3 H) 1.54 - 1.67 (m, 3 H) 2.83 - 2.92 (m, 2 H) 2.96 (t, J=5.49 Hz, 2 H) 4.02 (t, J=5.80 Hz, 2 H) 4.42 (q, J=6.71 Hz, 2 H) 4.85 (s, 2 H) 7.25 (s, 1 H) 7.35 (d, J=7.94 Hz, 1 H) 7.66 (s, 1 H) 7.77 (dd, J=7.94, 1.83 Hz, 1 H) 7.81 (s, 1 H) 9.45 (s, 1 H)。
実施例44:1-(ジフルオロメチル)-N-(7-エトキシ-2-エチルイミダゾ[1,2-a]ピリジン-6-イル)-1H-ピラゾール-3-カルボキサミド
実施例44を、5,6-ジメチルピリジン-2-カルボン酸の代わりに1-(ジフルオロメチル)-1H-ピラゾール-3-カルボン酸を用いて実施例34と同様に調製して、1-(ジフルオロメチル)-N-(7-エトキシ-2-エチルイミダゾ[1,2-a]ピリジン-6-イル)-1H-ピラゾール-3-カルボキサミドを得た。H NMR (500 MHz, メタノール-d) δ ppm 1.33 - 1.48 (m, 3 H) 1.63 (t, J=7.02 Hz, 3 H) 2.83 - 2.95 (m, 2 H) 4.46 (q, J=6.92 Hz, 2 H) 7.09 (d, J=2.44 Hz, 1 H) 7.27 (s, 1 H) 7.53 - 7.81 (m, 1 H) 7.84 (s, 1 H) 8.27 (d, J=2.44 Hz, 1 H) 9.65 (s, 1 H)。
実施例45:N-(7-エトキシ-2-エチルイミダゾ[1,2-a]ピリジン-6-イル)-4,5-ジメチルピコリンアミド
実施例45を、5,6-ジメチルピリジン-2-カルボン酸の代わりに4,5-ジメチルピコリン酸を用いて実施例34と同様に調製して、N-(7-エトキシ-2-エチルイミダゾ[1,2-a]ピリジン-6-イル)-4,5-ジメチルピコリンアミドを得た。H NMR (500 MHz, メタノール-d) δ ppm 1.36 - 1.46 (m, 3 H) 1.66 (t, J=7.02 Hz, 3 H) 2.40 (s, 3 H) 2.44 (s, 3 H) 2.81 - 2.93 (m, 2 H) 4.47 (q, J=6.71 Hz, 2 H) 7.26 (s, 1 H) 7.83 (s, 1 H) 8.03 (s, 1 H) 8.43 (s, 1 H) 9.76 (s, 1 H)。
実施例46:5-クロロ-N-(7-エトキシ-2-エチルイミダゾ[1,2-a]ピリジン-6-イル)ピコリンアミド
実施例46を、5,6-ジメチルピリジン-2-カルボン酸の代わりに5-クロロピコリン酸を用いて実施例34と同様に調製して、5-クロロ-N-(7-エトキシ-2-エチルイミダゾ[1,2-a]ピリジン-6-イル)ピコリンアミドを得た。H NMR (500 MHz, メタノール-d) δ ppm 1.34 - 1.47 (m, 3 H) 1.66 (t, J=7.02 Hz, 3 H) 2.80 - 2.94 (m, 2 H) 4.48 (q, J=6.71 Hz, 2 H) 7.29 (s, 1 H) 7.84 (s, 1 H) 8.14 (dd, J=8.55, 2.44 Hz, 1 H) 8.25 - 8.30 (m, 1 H) 8.74 (d, J=2.44 Hz, 1 H) 9.77 (s, 1 H)
実施例47:N-(7-エトキシ-2-エチルイミダゾ[1,2-a]ピリジン-6-イル)イソクロマン-6-カルボキサミド
実施例47を、5,6-ジメチルピリジン-2-カルボン酸の代わりにイソクロマン-6-カルボン酸を用いて実施例34と同様に調製して、N-(7-エトキシ-2-エチルイミダゾ[1,2-a]ピリジン-6-イル)イソクロマン-6-カルボキサミドを得た。H NMR (500 MHz, メタノール-d) δ ppm 1.36 - 1.47 (m, 3 H) 1.60 (t, J=7.02 Hz, 3 H) 2.82 - 2.93 (m, 2 H) 2.97 (t, J=5.49 Hz, 2 H) 4.02 (t, J=5.80 Hz, 2 H) 4.42 (q, J=7.32 Hz, 2 H) 4.84 (s, 2 H) 7.19 - 7.28 (m, 2 H) 7.73 - 7.85 (m, 3 H) 9.46 (s, 1 H)。
実施例48:N-(7-エトキシ-2-エチルイミダゾ[1,2-a]ピリジン-6-イル)-4,5-ジメチルチアゾール-2-カルボキサミド
実施例48を、5,6-ジメチルピリジン-2-カルボン酸の代わりに4,5-ジメチルチアゾール-2-カルボン酸を用いて実施例34と同様に調製して、N-(7-エトキシ-2-エチルイミダゾ[1,2-a]ピリジン-6-イル)-4,5-ジメチルチアゾール-2-カルボキサミドを得た。H NMR (500 MHz, メタノール-d) δ ppm 1.33 - 1.47 (m, 3 H) 1.64 (t, J=7.02 Hz, 3 H) 2.44 (s, 3 H) 2.51 (s, 3 H) 2.82 - 2.93 (m, 2 H) 4.47 (q, J=6.71 Hz, 2 H) 7.28 (s, 1 H) 7.83 (s, 1 H) 9.63 (s, 1 H)。
実施例49:N-(7-エトキシ-2-エチルイミダゾ[1,2-a]ピリジン-6-イル)-6,7-ジヒドロ-5H-シクロペンタ[b]ピリジン-2-カルボキサミド
実施例49を、5,6-ジメチルピリジン-2-カルボン酸の代わりに6,7-ジヒドロ-5H-シクロペンタ[b]ピリジン-2-カルボン酸を用いて実施例34と同様に調製して、N-(7-エトキシ-2-エチルイミダゾ[1,2-a]ピリジン-6-イル)-6,7-ジヒドロ-5H-シクロペンタ[b]ピリジン-2-カルボキサミドを得た。LCMS (ESI) m/z 351.1 (M+H)
実施例50:N-(2-シクロプロピル-7-((3-メチルオキセタン-3-イル)メトキシ)イミダゾ[1,2-a]ピリジン-6-イル)-6-(ジフルオロメチル)ピコリンアミド
実施例50:N-(2-シクロプロピル-7-((3-メチルオキセタン-3-イル)メトキシ)イミダゾ[1,2-a]ピリジン-6-イル)-6-(ジフルオロメチル)ピコリンアミドは、ステップaにおいてシクロブチルメタノールの代わりに(3-メチルオキセタン-3-イル)メタノールを代用することを除いて、実施例5の調製について記載されたのと同じ合成手順により調製された。LCMS (ESI) m/z 429.2 (M+H)H NMR (400 MHz, メタノール-d4) δ ppm 9.29 (s, 1H), 8.19 (dd, J=0.75, 7.78 Hz, 1H), 8.09 (t, J=7.78 Hz, 1H), 7.80 (dd, J=0.88, 7.66 Hz, 1H), 7.30(s, 1H), 6.66-6.98 (m, 2H), 4.83 (d, J=6.02 Hz, 2H), 4.53 (d, J=6.27 Hz, 2H), 4.13 (s, 2H), 1.87-1.97 (m, 1H), 1.55 (s, 3H), 0.91-1.00 (m, 2H), 0.78-0.86 (m, 2H)。
実施例51:N-(7-エトキシ-2-エチルイミダゾ[1,2-a]ピリジン-6-イル)-5-フルオロ-6-(トリフルオロメチル)ピコリンアミド
実施例51を、5,6-ジメチルピリジン-2-カルボン酸の代わりに5-フルオロ-6-(トリフルオロメチル)ピコリン酸を用いて実施例34と同様に調製して、N-(7-エトキシ-2-エチルイミダゾ[1,2-a]ピリジン-6-イル)-5-フルオロ-6-(トリフルオロメチル)ピコリンアミドを、塩基で改質した以下の逆相分取HPLC条件を使用した更なる精製後に得た:Waters XSelect CSH Prep C18 5um OBD 19×100mm;改質剤は、水酸化アンモニウム水(0.04%のNH4OH+10mMのNH4HCO3)-アセトニトリルであった;10~70%の勾配を使用した。H NMR (500 MHz, メタノール-d) δ ppm 1.33 (t, J=7.63 Hz, 3 H) 1.59 (t, J=7.02 Hz, 3 H) 2.70 - 2.80 (m, 2 H) 4.27 (q, J=6.92 Hz, 2 H) 6.89 (s, 1 H) 7.46 (s, 1 H) 8.13 (t, J=9.46 Hz, 1 H) 8.54 (dd, J=8.55, 3.66 Hz, 1 H) 9.43 (s, 1 H)。
実施例52:N-(2-シクロプロピル-7-メトキシイミダゾ[1,2-a]ピリジン-6-イル)-1-メチル-2-オキソ-1,2-ジヒドロピリジン-3-カルボキサミド
実施例52を、5,6-ジメチルピリジン-2-カルボン酸の代わりに1-メチル-2-オキソ-1,2-ジヒドロピリジン-3-カルボン酸、及び中間体5:7-エトキシ-2-エチルイミダゾ[1,2-a]ピリジン-6-アミンの代わりに2-シクロプロピル-7-メトキシイミダゾ[1,2-a]ピリジン-6-アミンを用いて実施例34と同様に調製して、N-(2-シクロプロピル-7-メトキシイミダゾ[1,2-a]ピリジン-6-イル)-1-メチル-2-オキソ-1,2-ジヒドロピリジン-3-カルボキサミドを得た。H NMR (500 MHz, メタノール-d) δ ppm 0.87 - 0.99 (m, 2 H) 1.13 - 1.20 (m, 2 H) 2.04 - 2.16 (m, 1 H) 3.74 (s, 3 H) 4.23 (s, 3 H) 6.59 - 6.70 (m, 1 H) 7.21 (s, 1 H) 7.75 (s, 1 H) 8.06 (dd, J=6.41, 2.14 Hz, 1 H) 8.59 (dd, J=7.32, 2.44 Hz, 1 H) 9.77 (s, 1 H)。
実施例53:N-(2-シクロプロピル-7-エトキシイミダゾ[1,2-a]ピリジン-6-イル)ピラゾロ[1,5-a]ピリミジン-2-カルボキサミド
実施例53を、5,6-ジメチルピリジン-2-カルボン酸の代わりにピラゾロ[1,5-a]ピリミジン-2-カルボン酸、及び中間体5:7-エトキシ-2-エチルイミダゾ[1,2-a]ピリジン-6-アミンの代わりに中間体5c:2-シクロプロピル-7-エトキシイミダゾ[1,2-a]ピリジン-6-アミンを用いて実施例34と同様に調製して、N-(2-シクロプロピル-7-エトキシイミダゾ[1,2-a]ピリジン-6-イル)ピラゾロ[1,5-a]ピリミジン-2-カルボキサミドを得た。LCMS (ESI) m/z 363.5 (M+H)H NMR (500 MHz, メタノール-d) δ ppm 0.87 - 1.00 (m, 2 H) 1.14 - 1.25 (m, 2 H) 1.67 (t, J=6.71 Hz, 3 H) 2.04 - 2.16 (m, 1 H) 4.47 (q, J=7.33 Hz, 2 H) 7.20 (dd, J=7.02, 3.97 Hz, 1 H) 7.24 (d, J=9.16 Hz, 2 H) 7.77 (s, 1 H) 8.65 (dd, J=4.27, 1.83 Hz, 1 H) 9.01 - 9.08 (m, 1 H) 9.66 (s, 1 H)。
実施例54:N-(2-シクロプロピル-7-エトキシイミダゾ[1,2-a]ピリジン-6-イル)-3-(トリフルオロメチル)ベンズアミド
実施例54を、ピラゾロ[1,5-a]ピリミジン-2-カルボン酸の代わりに3-(トリフルオロメチル)安息香酸を用いて実施例34と同様に調製した。LCMS (ESI) m/z 391.5 (M+H)H NMR (500 MHz, メタノール-d) δ ppm 0.91 - 1.01 (m, 2 H) 1.13 - 1.34 (m, 2 H) 1.59 (t, J=7.02 Hz, 3 H) 2.06 - 2.19 (m, 1 H) 4.41 (q, J=7.12 Hz, 2 H) 7.22 (s, 1 H) 7.77 (s, 1 H) 7.80 (t, J=7.63 Hz, 1 H) 7.97 (d, J=7.94 Hz, 1 H) 8.23 (d, J=7.94 Hz, 1 H) 8.28 (s, 1 H) 9.40 (s, 1 H)
実施例55:N-(7-エトキシ-2-(エトキシメチル)イミダゾ[1,2-a]ピリジン-6-イル)-6-(トリフルオロメチル)ピコリンアミド
実施例55:バイアルに、中間体4:N-(6-アミノ-4-エトキシ-3-ピリジル)-6-(トリフルオロメチル)ピコリンアミド(499mg、1.53mmol)、1,3-ジクロロプロパン-2-オン(194mg、1.53mmol、140μL)、及びEtOH(4mL)を投入し、続いて、炭酸水素ナトリウム(385mg、4.6mmol)を投入した。バイアルを密閉し、85℃で18時間加熱した。次いで、反応物を濾過し、溶媒を除去した。混合物を乾燥し、ドライローディングカラムに充填した。残留物を、1%TFAで改質した10%~90%のMeCNの勾配により溶出する逆相HPLC(Gilson、カラム:SunFire Prep C18 OBD、5マイクロメートル、30×50nMカラム)により精製して、N-(7-エトキシ-2-(エトキシメチル)イミダゾ[1,2-a]ピリジン-6-イル)-6-(トリフルオロメチル)ピコリンアミド(1.8mg、4.4μmol)を得た。LCMS (ESI) m/z 409.5 (M+H)H NMR (500 MHz, メタノール-d) δ ppm 1.29 (t, J=7.02 Hz, 3 H) 1.67 (t, J=7.02 Hz, 3 H) 3.68 (q, J=7.33 Hz, 2 H) 4.46 (q, J=6.71 Hz, 2 H) 4.65 - 4.76 (m, 2 H) 7.23 - 7.41 (m, 1 H) 8.05 (s, 1 H) 8.14 (d, J=7.94 Hz, 1 H) 8.38 (t, J=7.94 Hz, 1 H) 8.52 (d, J=7.94 Hz, 1 H) 9.78 - 9.94 (m, 1 H)。
実施例56:N-(7-エトキシ-2-(メトキシメチル)イミダゾ[1,2-a]ピリジン-6-イル)-6-(トリフルオロメチル)ピコリンアミド
実施例56は、MeOHが溶媒として使用されたこと、及び溶液が60℃までしか加熱されなかったことを除いて、実施例55と同様に調製された。LCMS (ESI) m/z 395.5(M+H)H NMR (500 MHz, メタノール-d) δ ppm 1.68 (t, J=7.02 Hz, 4 H) 3.49 (s, 3 H) 4.47 (q, J=6.71 Hz, 3 H) 4.68 (s, 2 H) 7.31 (s, 1 H) 8.06 (s, 1 H) 8.14 (d, J=7.94 Hz, 1 H) 8.38 (t, J=7.94 Hz, 1 H) 8.53 (d, J=7.33 Hz, 1 H) 9.82 (s, 1 H)
実施例57:N-(2-(ジフルオロメチル)-7-エトキシイミダゾ[1,2-a]ピリジン-6-イル)-6-(トリフルオロメチル)ピコリンアミド
実施例57は、1,3-ジクロロプロパン-2-オンの代わりに3-ブロモ-1,1-ジフルオロプロパン-2-オンが使用されたことを除いて実施例55と同様に調製された。LCMS (ESI) m/z 401.5 (M+H)H NMR (500 MHz, メタノール-d) δ ppm 1.68 (t, J=7.02 Hz, 3 H) 4.46 (q, J=6.71 Hz, 2 H) 7.01 - 7.35 (m, 2 H) 8.14 (dd, J=7.94, 1.22 Hz, 1 H) 8.34 - 8.42 (m, 2 H) 8.53 (d, J=7.94 Hz, 1 H) 9.81 - 9.85 (m, 1 H)
実施例58:N-(7-エトキシ-2,3-ジメチルイミダゾ[1,2-a]ピリジン-6-イル)-6-(トリフルオロメチル)ピコリンアミド
実施例58は、1,3-ジクロロプロパン-2-オンの代わりに3-ブロモブタン-2-オンが使用されたことを除いて実施例55と同様に調製された。LCMS (ESI) m/z 379.4 (M+H)H NMR (500 MHz, メタノール-d) δ ppm 1.65 - 1.71 (m, 3 H) 2.48 (s, 3 H) 2.55 (s, 3 H) 4.46 (q, J=6.71 Hz, 2 H) 7.32 (s, 1 H) 8.16 (s, 1 H) 8.14 (s, 1 H) 8.39 (t, J=7.94 Hz, 1 H) 8.54 (br d, J=7.33 Hz, 1 H) 9.53 (s, 1 H)
実施例59:N-(7-エトキシ-2-(テトラヒドロフラン-3-イル)イミダゾ[1,2-a]ピリジン-6-イル)-6-(トリフルオロメチル)ピコリンアミド
実施例59は、1,3-ジクロロプロパン-2-オンの代わりに2-ブロモ-1-テトラヒドロフラン-3-イル-エタノンが使用されたことを除いて実施例55と同様に調製された。LCMS (ESI) m/z 421.5 (M+H)
実施例60:N-(7-エトキシ-2-((テトラヒドロフラン-2-イル)メチル)イミダゾ[1,2-a]ピリジン-6-イル)-6-(トリフルオロメチル)ピコリンアミド
実施例60は、1,3-ジクロロプロパン-2-オンの代わりに1-ブロモ-3-(テトラヒドロフラン-2-イル)プロパン-2-オンが使用されたことを除いて実施例55と同様に調製された。LCMS (ESI) m/z 435.5 (M+H)H NMR (500 MHz, メタノール-d) δ ppm 1.61 (t, J=7.02 Hz, 3 H) 1.65 - 1.76 (m, 1 H) 1.88 - 2.01 (m, 2 H) 2.01 - 2.11 (m, 1 H) 2.82 - 2.91 (m, 1 H) 2.98 (dd, J=14.65, 6.71 Hz, 1 H) 3.71 - 3.84 (m, 1 H) 3.89 - 4.01 (m, 1 H) 4.20 - 4.37 (m, 3 H) 6.94 (s, 1 H) 7.57 (s, 1 H) 8.10 (d, J=8.55 Hz, 1 H) 8.34 (t, J=7.63 Hz, 1 H) 8.49 (d, J=7.94 Hz, 1 H) 9.36 - 9.55 (m, 1 H)。
実施例61:N-(2-(アゼチジン-3-イル)-7-エトキシイミダゾ[1,2-a]ピリジン-6-イル)-6-(トリフルオロメチル)ピコリンアミド
Figure 0007576552000109
ステップa:バイアルに、中間体4:N-(6-アミノ-4-エトキシ-3-ピリジル)-6-(トリフルオロメチル)ピコリンアミド(1.17g、3.60mmol)、炭酸水素ナトリウム(907mg、10.8mmol)、及びEtOH(9mL)を投入し、続いて、3-(2-ブロモアセチル)アゼチジン-1-カルボン酸tert-ブチル(1.00g、3.60mmol)を投入した。バイアルを密閉し、85℃で18時間加熱した。シリカを添加し、混合物を乾燥し、ドライローディングカラムにロードした。次いで、残留物を、ヘプタン中5%~100%の3:1のEtOAc:EtOH混合物の勾配を使用して、40g Reveleris 40ミクロンシリカゲルカラム(Grace X2自動精製装置)を通して溶出して、3-[7-エトキシ-6-[[6-(トリフルオロメチル)ピリジン-2-カルボニル]アミノ]イミダゾ[1,2-a]ピリジン-2-イル]アゼチジン-1-カルボン酸tert-ブチル(260mg、514μmol、14%収率)を得た。LCMS (ESI) m/z 506.6 (M+H)
ステップb:3-[7-エトキシ-6-[[6-(トリフルオロメチル)ピリジン-2-カルボニル]アミノ]イミダゾ[1,2-a]ピリジン-2-イル]アゼチジン-1-カルボン酸tert-ブチル(260mg、514μmol)を、HCl(ジオキサン中4M、20mL)中に溶解し、溶液を室温で2.5時間撹拌した。溶液を濃縮し、一部を逆相HPLCにより精製して、実施例61:N-(2-(アゼチジン-3-イル)-7-エトキシイミダゾ[1,2-a]ピリジン-6-イル)-6-(トリフルオロメチル)ピコリンアミド(7.6mg、14.66μmol)を得た。LCMS (ESI) m/z 406.4 (M+H)H NMR (500 MHz, メタノール-d) δ ppm 1.68 (t, J=7.02 Hz, 3 H) 4.35 - 4.62 (m, 7 H) 7.45 (s, 1 H) 8.15 (t, J=3.97 Hz, 2 H) 8.39 (t, J=7.94 Hz, 1 H) 8.54 (d, J=7.94 Hz, 1 H) 9.81 - 9.84 (m, 1 H)
実施例62:N-(7-エトキシ-2-(ピロリジン-3-イル)イミダゾ[1,2-a]ピリジン-6-イル)-6-(トリフルオロメチル)ピコリンアミド
実施例62は、3-(2-ブロモアセチル)アゼチジン-1-カルボン酸tert-ブチルの代わりに3-(2-ブロモアセチル)ピロリジン-1-カルボン酸tert-ブチルが使用されたことを除いて実施例61と同様に調製された。LCMS (ESI) m/z 420.5 (M+H)H NMR (500 MHz, メタノール-d) δ ppm 1.68 (t, J=7.02 Hz, 3 H) 2.33 (dq, J=12.82, 8.55 Hz, 1 H) 2.59 - 2.73 (m, 1 H) 3.45 - 3.56 (m, 2 H) 3.62 (ddd, J=12.21, 7.94, 4.27 Hz, 1 H) 3.83 - 3.99 (m, 2 H) 4.48 (q, J=6.71 Hz, 2 H) 7.42 (s, 1 H) 8.07 (s, 1 H) 8.12 - 8.20 (m, 1 H) 8.38 (t, J=7.94 Hz, 1 H) 8.53 (d, J=7.94 Hz, 1 H) 9.77 - 9.86 (m, 1 H)。
実施例63:N-(7-エトキシ-2-(ピペリジン-4-イル)イミダゾ[1,2-a]ピリジン-6-イル)-6-(トリフルオロメチル)ピコリンアミド
実施例63は、3-(2-ブロモアセチル)アゼチジン-1-カルボン酸tert-ブチルの代わりに4-(2-ブロモアセチル)ピペリジン-1-カルボン酸tert-ブチルが使用されたことを除いて実施例61と同様に調製された。LCMS (ESI) m/z 465.5 (M+Na)H NMR (500 MHz, メタノール-d) δ ppm 1.68 (t, J=7.02 Hz, 3 H) 1.97 - 2.11 (m, 2 H) 2.39 (br d, J=13.43 Hz, 2 H) 3.24 (td, J=12.97, 2.75 Hz, 2 H) 3.58 (br d, J=12.82 Hz, 2 H) 4.47 (q, J=6.71 Hz, 2 H) 7.41 (s, 1 H) 7.99 (s, 1 H) 8.15 (d, J=7.94 Hz, 1 H) 8.38 (t, J=7.94 Hz, 1 H) 8.53 (d, J=7.33 Hz, 1 H) 9.81 (s, 1 H)。
実施例64:N-(7-エトキシ-1,2,3,4-テトラヒドロイミダゾ[1,2-a:5,4-c’]ジピリジン-8-イル)-6-(トリフルオロメチル)ピコリンアミド
実施例64は、3-(2-ブロモアセチル)アゼチジン-1-カルボン酸tert-ブチルの代わりに3-ブロモ-4-オキソピペリジン-1-カルボン酸tert-ブチルが使用されたことを除いて実施例61と同様に調製された。LCMS (ESI) m/z 406.5 (M+H)H NMR (500 MHz, メタノール-d) δ ppm 1.68 (t, J=7.02 Hz, 3 H) 3.27 (t, J=6.10 Hz, 2 H) 3.75 (t, J=6.10 Hz, 2 H) 4.49 (q, J=6.92 Hz, 2 H) 4.75 (s, 2 H) 7.48 (s, 1 H) 8.16 (d, J=7.94 Hz, 1 H) 8.37 - 8.41 (m, 1 H) 8.54 (d, J=7.94 Hz, 1 H) 9.50 - 9.56 (m, 1 H)
実施例65:N-(7-エトキシ-2-(1-メチルアゼチジン-3-イル)イミダゾ[1,2-a]ピリジン-6-イル)-6-(トリフルオロメチル)ピコリンアミド
実施例61:N-(2-(アゼチジン-3-イル)-7-エトキシイミダゾ[1,2-a]ピリジン-6-イル)-6-(トリフルオロメチル)ピコリンアミド(60mg、148μmol)をメタノール(1mL)中に溶解し、ホルムアルデヒド(14mg、177μmol、37%純度)及び酢酸(18mg、296μmol、20μL)を添加した。溶液を30分間撹拌した後、ナトリウムシアノボロハイドライド(28mg、444μmol)を添加し、得られた混合物を室温で一晩撹拌した。混合物をEtOAc(10mL)で希釈し、水(10mL)で洗浄し、乾燥し、減圧下で濃縮した。得られた残留物を分取HPLCにより精製して、N-(7-エトキシ-2-(1-メチルアゼチジン-3-イル)イミダゾ[1,2-a]ピリジン-6-イル)-6-(トリフルオロメチル)ピコリンアミド(20mg、37μmol、25%収率)を得た。LCMS (ESI) m/z 420.5 (M+H)H NMR (500 MHz, メタノール-d) δ ppm 1.68 (t, J=7.02 Hz, 3 H) 3.06 - 3.15 (m, 3 H) 4.25 - 4.78 (bm, 7 H) 7.48 - 7.54 (m, 1 H) 8.08 - 8.21 (m, 2 H) 8.38 (t, J=7.94 Hz, 1 H) 8.53 (d, J=7.94 Hz, 1 H) 9.81 (s, 1 H)。
実施例66:N-(7-エトキシ-2-(1-メチルピロリジン-3-イル)イミダゾ[1,2-a]ピリジン-6-イル)-6-(トリフルオロメチル)ピコリンアミド
実施例66は、実施例61の代わりに実施例62が使用されたことを除いて実施例65と同様に調製された。LCMS (ESI) m/z 434.5 (M+H)H NMR (500 MHz, メタノール-d) δ ppm 1.68 (t, J=7.02 Hz, 3 H) 2.42 (br s, 1 H) 2.74 (br s, 1 H) 3.08 (s, 3 H) 3.40 - 4.21 (m, 5 H) 4.49 (q, J=7.12 Hz, 2 H) 7.42 (s, 1 H) 8.08 (s, 1 H) 8.15 (d, J=7.94 Hz, 1 H) 8.39 (t, J=7.94 Hz, 1 H) 8.54 (d, J=7.94 Hz, 1 H) 9.80 - 9.84 (m, 1 H)
実施例67:N-(7-エトキシ-2-(1-メチルピペリジン-4-イル)イミダゾ[1,2-a]ピリジン-6-イル)-6-(トリフルオロメチル)ピコリンアミド
実施例67は、実施例61の代わりに実施例63が使用されたことを除いて実施例65と同様に調製された。LCMS (ESI) m/z 448.6 (M+H)H NMR (500 MHz, メタノール-d) δ ppm 1.68 (t, J=7.02 Hz, 3 H) 2.10 (br dd, J=13.12, 3.36 Hz, 2 H) 2.44 (br d, J=14.65 Hz, 2 H) 2.97 (s, 3 H) 3.20 - 3.30 (m, 3 H) 3.72 (br d, J=12.21 Hz, 2 H) 4.47 (q, J=6.71 Hz, 2 H) 7.41 (s, 1 H) 7.99 (s, 1 H) 8.14 (d, J=7.94 Hz, 1 H) 8.38 (t, J=7.94 Hz, 1 H) 8.53 (d, J=7.94 Hz, 1 H) 9.80 (s, 1 H)。
実施例68:N-(2-(1-アセチルアゼチジン-3-イル)-7-エトキシイミダゾ[1,2-a]ピリジン-6-イル)-6-(トリフルオロメチル)ピコリンアミド
DMF(1mL)中のN-(2-(アゼチジン-3-イル)-7-エトキシイミダゾ[1,2-a]ピリジン-6-イル)-6-(トリフルオロメチル)ピコリンアミド(62mg、151μmol)を、DIPEA(49mg、380μmol、0.8mL)で処理し、次いで、アセチルクロリド(14mg、182μmol、13μL)で処理した。得られた溶液を室温で一晩撹拌した。次いで、溶液を最小量のMeOHで希釈し、次いで、TFAで改質した逆相分取HPLCにより直接精製して、N-(2-(1-アセチルアゼチジン-3-イル)-7-エトキシイミダゾ[1,2-a]ピリジン-6-イル)-6-(トリフルオロメチル)ピコリンアミド(16mg、28μmol、19%収率)を得た。LCMS (ESI) m/z 448.5 (M+H)H NMR (500 MHz, メタノール-d) δ ppm 1.68 (t, J=7.02 Hz, 3 H) 1.96 (s, 3 H) 4.10 - 4.25 (m, 2 H) 4.41 (dd, J=8.55, 5.49 Hz, 1 H) 4.48 (q, J=6.92 Hz, 3 H) 4.68 - 4.78 (m, 1 H) 7.36 (s, 1 H) 8.11 (s, 1 H) 8.14 (d, J=7.32 Hz, 1 H) 8.38 (t, J=7.63 Hz, 1 H) 8.53 (d, J=7.94 Hz, 1 H) 9.82 (s, 1 H)。
実施例69:N-(2-(1-アセチルピロリジン-3-イル)-7-エトキシイミダゾ[1,2-a]ピリジン-6-イル)-6-(トリフルオロメチル)ピコリンアミド
実施例69は、実施例61の代わりに実施例62が使用されたことを除いて実施例68と同様に調製された。LCMS (ESI) m/z 462.5 (M+H)H NMR (500 MHz, メタノール-d) δ ppm 1.67 (t, J=7.02 Hz, 3 H) 2.14 (d, J=7.94 Hz, 3 H) 2.19 - 2.37 (m, 1 H) 2.44 - 2.64 (m, 1 H) 3.53 - 3.64 (m, 1 H) 3.73 (ddd, J=10.84, 8.09, 2.44 Hz, 2 H) 3.77 - 3.88 (m, 1 H) 3.97 - 4.17 (m, 1 H) 4.39 - 4.53 (m, 2 H) 7.35 (d, J=12.21 Hz, 1 H) 8.02 (d, J=14.65 Hz, 1 H) 8.13 (d, J=7.94 Hz, 1 H) 8.37 (t, J=7.94 Hz, 1 H) 8.50 (d, J=7.94 Hz, 1 H) 9.77 (d, J=4.27 Hz, 1 H)
実施例70及び71:N-(2-シクロプロピル-7-エトキシイミダゾ[1,2-a]ピリジン-6-イル)-2-(2,2,2-トリフルオロエトキシ)ニコチンアミド及びN-(2-シクロプロピル-7-エトキシイミダゾ[1,2-a]ピリジン-6-イル)-2-オキソ-1-(2,2,2-トリフルオロエチル)-1,2-ジヒドロピリジン-3-カルボキサミド
Figure 0007576552000110
ステップa:DMF(11mL)中の2-オキソ-1H-ピリジン-3-カルボン酸メチル(499mg、3.26mmol)及びCsCO(2.12g、6.52mmol)を、トリフルオロメタンスルホン酸2,2,2-トリフルオロエチル(832mg、3.59mmol、520μL)で処理し、室温にて5時間撹拌した。次いで、溶液をブライン(200mL)で希釈し、EtOAc(2×100mL)で抽出した。合わせた有機層を濃縮して、2-オキソ-1-(2,2,2-トリフルオロエチル)-1,2-ジヒドロピリジン-3-カルボン酸メチル及び2-(2,2,2-トリフルオロエトキシ)ニコチン酸メチルの混合物を得た。この混合物を更に精製せずに、定量的収率と仮定してそれ以上操作することなく次のステップに使用した。LCMS (ESI) m/z 236.3 (M+H)
ステップb:ステップaからの2-オキソ-1-(2,2,2-トリフルオロエチル)ピリジン-3-カルボン酸メチル及び2-(2,2,2-トリフルオロエトキシ)ニコチン酸メチル(766mg、3.26mmol)のMeOH(4mL)、H0(4mL)、及びTHF(4mL)中溶液に、LiOH(390mg、16.3mmol)を添加した。混合物を25℃で16時間撹拌した。次いで、反応混合物を濃縮し、残留物をHCl(1M)によりpH=3に調整し、EtOAc(3×200mL)で抽出した。合わせた有機層をブライン(100mL)で洗浄し、NaSO上で乾燥し、濾過した。濾液を濃縮して、対応するカルボン酸である2-オキソ-1-(2,2,2-トリフルオロエチル)-1,2-ジヒドロピリジン-3-カルボン酸及び2-(2,2,2-トリフルオロエトキシ)ニコチン酸を位置異性体の混合物(41mg、185μmol)として得た。この混合物をそれ以上操作することなく次のステップに使用した。LCMS (ESI) m/z 222.2 (M+H)
ステップc:2-シクロプロピル-7-エトキシ-イミダゾ[1,2-a]ピリジン-6-アミン(48mg、222μmol)、ステップbのDMF(1.8mL)中の位置異性体混合物(2-オキソ-1-(2,2,2-トリフルオロエチル)-1,2-ジヒドロピリジン-3-カルボン酸及び2-(2,2,2-トリフルオロエトキシ)ニコチン酸)(41mg、185.41μmol)を、DIPEA(95mg、741μmol、0.13mL)で処理し、続いて、BOP(164mg、371μmol)で処理した。溶液を室温にて一晩維持した。次いで、物質をTFAで改質した逆相分取HPLCにより直接精製して、実施例70:N-(2-シクロプロピル-7-エトキシ-イミダゾ[1,2-a]ピリジン-6-イル)-2-オキソ-1-(2,2,2-トリフルオロエチル)ピリジン-3-カルボキサミド(21.80mg、40.87μmol、22.04%収率、トリフルオロ酢酸塩)及び実施例71:N-(2-シクロプロピル-7-エトキシ-イミダゾ[1,2-a]ピリジン-6-イル)-2-(2,2,2-トリフルオロエトキシ)ピリジン-3-カルボキサミド(7.1mg、13μmol、7.2%収率)を得た。データを以下に要約する。
実施例70:N-(2-シクロプロピル-7-エトキシイミダゾ[1,2-a]ピリジン-6-イル)-2-オキソ-1-(2,2,2-トリフルオロエチル)-1,2-ジヒドロピリジン-3-カルボキサミド
LCMS (ESI) m/z 421.5 (M+H)H NMR (500 MHz, メタノール-d) δ ppm 0.89 - 0.96 (m, 2 H) 1.15 - 1.21 (m, 2 H) 1.63 - 1.68 (m, 3 H) 2.05 - 2.14 (m, 1 H) 4.42 (q, J=7.33 Hz, 2 H) 5.01 (q, J=8.55 Hz, 2 H) 6.69 (t, J=7.02 Hz, 1 H) 7.18 (s, 1 H) 7.73 (s, 1 H) 8.03 (dd, J=6.71, 1.22 Hz, 1 H) 8.63 (dd, J=7.32, 2.44 Hz, 1 H) 9.73 (s, 1 H)。
実施例71:N-(2-シクロプロピル-7-エトキシイミダゾ[1,2-a]ピリジン-6-イル)-2-(2,2,2-トリフルオロエトキシ)ニコチンアミド
LCMS (ESI) m/z 421.5 (M+H)H NMR (500 MHz, メタノール-d) δ ppm 0.91 - 0.99 (m, 2 H) 1.16 - 1.24 (m, 2 H) 1.61 (t, J=7.02 Hz, 3 H) 2.07 - 2.16 (m, 1 H) 4.52 (q, J=6.71 Hz, 2 H) 5.32 (q, J=8.55 Hz, 2 H) 7.25 (s, 1 H) 7.32 - 7.42 (m, 1 H) 7.79 (s, 1 H) 8.42 - 8.51 (m, 1 H) 8.56 - 8.70 (m, 1 H) 9.83 (s, 1 H)。
実施例72:N-(2-(1-アセチルピペリジン-4-イル)-7-エトキシイミダゾ[1,2-a]ピリジン-6-イル)-6-(トリフルオロメチル)ピコリンアミド
実施例72は、実施例61の代わりに実施例63が使用されたことを除いて実施例68と同様に調製された。LCMS (ESI) m/z 476.2 (M+H)H NMR (500 MHz, メタノール-d) δ ppm 1.67 (t, J=6.71 Hz, 5 H) 2.10 - 2.30 (m, 5 H) 2.82 - 2.93 (m, 1 H) 3.17 - 3.23 (m, 1 H) 3.35 (br d, J=1.22 Hz, 1 H) 4.10 (br d, J=14.04 Hz, 1 H) 4.46 (q, J=6.92 Hz, 2 H) 4.67 (br d, J=14.04 Hz, 1 H) 7.31 (s, 1 H) 7.92 (s, 1 H) 8.07 - 8.17 (m, 1 H) 8.38 (t, J=7.63 Hz, 1 H) 8.52 (d, J=7.94 Hz, 1 H) 9.76 - 9.84 (m, 1 H)。
実施例73:(S)-N-(2-シクロプロピル-7-(2-(5-オキソピロリジン-2-イル)エトキシ)イミダゾ[1,2-a]ピリジン-6-イル)-6-(ジフルオロメチル)ピコリンアミド
実施例73:(S)-N-(2-シクロプロピル-7-(2-(5-オキソピロリジン-2-イル)エトキシ)イミダゾ[1,2-a]ピリジン-6-イル)-6-(ジフルオロメチル)ピコリンアミドは、ステップaにおいてシクロブチルメタノールの代わりに(5S)-5-(2-ヒドロキシエチル)ピロリジン-2-オンを代用したことを除いて、実施例5の調製について記載されたのと同じ合成手順により調製された。LCMS (ESI) m/z 456.2(M+H)H NMR (400 MHz, メタノール-d4) δ ppm 0.89 - 1.00 (m, 2 H), 1.15 - 1.27 (m, 2 H), 1.91 - 2.04 (m, 1 H), 2.07 - 2.18 (m, 1 H), 2.23 - 2.31 (m, 2 H), 2.34 - 2.53 (m, 3 H), 4.15 (五重線, J=6.65 Hz, 1 H), 4.45 - 4.56 (m, 2 H), 6.91 (t, J=56.0 Hz, 1H), 7.30 (s, 1 H), 7.82 (s, 1 H), 7.98 (d, J=7.78 Hz, 1 H), 8.29 (t, J=7.78 Hz, 1 H), 8.43 (dd, J=7.78, 0.75 Hz, 1 H), 9.75 (s, 1 H)。
実施例74:6-(ジフルオロメチル)-N-(7-エトキシ-2-エチルイミダゾ[1,2-a]ピリミジン-6-イル)ピコリンアミド
Figure 0007576552000111
ステップa:EtOH(150mL)中の4-クロロピリミジン-2-アミン(2.00g、15.4mmol)を、ナトリウムエトキシド(12.5g、38.6mmol、EtOH中21重量%)で処理し、室温で一晩撹拌した。溶液のpHをHClで中性に調製し、溶液を濃縮して、4-エトキシピリミジン-2-アミンを得、定量的収率と仮定して、これを更に精製することなく使用した。LCMS (ESI) m/z 140.2 (M+H)
ステップb:クロロホルム(206mL)中の4-エトキシピリミジン-2-アミン(2.15g、15.5mmol)を、NBS(2.75g、15.5mmol)で処理し、暗下で一晩撹拌した。溶液を飽和NaHCOで洗浄し、次いで、有機層を乾燥し、濃縮して、5-ブロモ-4-エトキシ-ピリミジン-2-アミンを得、定量的収率と仮定して、これを更に精製することなく使用した。LCMS (ESI) m/z 218.2 (M+H)
ステップc:バイアルに、5-ブロモ-4-エトキシ-ピリミジン-2-アミン(1.40g、6.42mmol)及び1-ブロモブタン-2-オン(1.07g、7.06mmol、721μL)を投入し、続いて、EtOH(16mL)及び炭酸水素ナトリウム(1.62g、19.26mmol)を投入した。バイアルを密閉し、85℃で18時間加熱した。反応物を30mLのバイアルに移し、シリカを添加した。混合物を乾燥し、次いで、得られた粉末をシリカゲルカラムクロマトグラフィー(勾配:ヘプタン中5~100%の3:1のEtOAc:EtOH混合物)により精製して、6-ブロモ-7-エトキシ-2-エチル-イミダゾ[1,2-a]ピリミジン(300mg、1.11mmol、17%収率)を位置異性体の3:1混合物として得た。LCMS (ESI) m/z 272.3 (M+H)
ステップd:6-ブロモ-7-エトキシ-2-エチル-イミダゾ[1,2-a]ピリミジン(70mg、261μmol)、Pd(OAc)(11mg、52μmol)、(5-ジフェニルホスファニル-9,9-ジメチル-キサンテン-4-イル)-ジフェニル-ホスファン(60mg、104μmol)、CsCO(170mg、522μmol)、及び6-(ジフルオロメチル)ピリジン-2-カルボキサミド(90mg、523μmol)を投入したバイアルを、セプタムキャップで密閉し、Nによりパージした。ジオキサン(1mL)を室温で添加し、バイアルをパラフィルムで密閉し、100℃で16時間加熱した。次いで、反応物を室温に冷却し、SCXカラムに通した。濾液を濃縮し、TFAで改質した逆相分取HPLCにより精製して、6-(ジフルオロメチル)-N-(7-エトキシ-2-エチル-イミダゾ[1,2-a]ピリミジン-6-イル)ピリジン-2-カルボキサミド(1.6mg、3.4μmol、1.3%収率)を単一の位置異性体として得た。LCMS (ESI) m/z 362.5 (M+H)H NMR (500 MHz, メタノール-d) δ ppm 1.27 (t, J=7.63 Hz, 3 H) 1.51 (t, J=7.02 Hz, 3 H) 2.66 - 2.79 (m, 2 H) 4.64 (q, J=7.33 Hz, 2 H) 6.63 - 6.98 (m, 1 H) 7.56 (s, 1 H) 7.88 (d, J=7.33 Hz, 1 H) 8.17 (t, J=7.63 Hz, 1 H) 8.28 - 8.33 (m, 1 H) 9.71 (s, 1 H)。
実施例75:6-(ジフルオロメチル)-N-(7-エトキシ-2-(1-メチル-2-オキソピペリジン-4-イル)イミダゾ[1,2-a]ピリジン-6-イル)ピコリンアミド
Figure 0007576552000112
ステップa:1-メチル-2-オキソピペリジン-4-カルボン酸(500mg、3.18mmol)及びNaHCO(267mg、3.2mmol)を水(10mL)中に溶解した。溶液を減圧下で蒸発させて、湿った塩を得、これを高減圧下で70℃にて5時間乾燥して、1-メチル-2-オキソピペリジン-4-カルボン酸ナトリウム(565mg)を得、これをそれ以上操作することなく使用した。
ステップb:1-メチル-2-オキソピペリジン-4-カルボン酸ナトリウム(565mg、3.1mmol)及びDCM(20mL)を投入したバイアルに、塩化オキサリル(544mg、4.29mmol)を添加した。得られた溶液を室温にて20時間維持し、維持したらこれを減圧下で濃縮して、1-メチル-2-オキソピペリジン-4-カルボニルクロリドを得、定量的収率と仮定して、これを直接に次のステップで使用した。
ステップc:1-メチル-2-オキソピペリジン-4-カルボニルクロリド(3mmol)をMeCN(20mL)中に入れ、ジアゾメチル(トリメチル)シラン(2M、2.2mL)のTHF溶液を添加し、混合物を室温にて20時間維持した。塩酸水溶液(15%、2当量)を添加し、混合物を4時間撹拌し、撹拌したらNaHCO飽和水溶液をpH約7まで何度かに分けて添加した。有機相を分離し、減圧下で濃縮し、20ミリバール(沸点120℃)で蒸留して、4-(2-クロロアセチル)-1-メチルピペリジン-2-オン(440mg、63%収率)を得た。1H NMR (500 MHz, クロロホルム-d) (500 MHz DMSO-d6) 3.67 (d, J = 3.4 Hz, 2H), 2.87 (dd, J = 6.9, 3.6 Hz, 2H), 2.47-2.48 (m, 4H), 1.95-2.24 (m, 2H), 1.59-1.74 (m, 1H), 1.44 (m, 1H)。
ステップd:バイアルに、4-(2-クロロアセチル)-1-メチルピペリジン-2-オン(278mg、1.56mmol)、中間体3c:N-(6-アミノ-4-エトキシピリジン-3-イル)-6-(ジフルオロメチル)ピコリンアミド(中間体3c)(462mg、1.20mmol)、及びプロピオニトリルを投入した。得られた溶液を還流させながら20時間加熱した。NaCOの水溶液(5mL)を添加し、混合物を3時間撹拌した。有機相を分離し、減圧下で濃縮し、HPLCにより精製して、6-(ジフルオロメチル)-N-(7-エトキシ-2-(1-メチル-2-オキソピペリジン-4-イル)イミダゾ[1,2-a]ピリジン-6-イル)ピコリンアミド(47mg、15%収率)をラセミ混合物として得た。LCMS (ESI) m/z 362.5 (M+H);1H NMR: (400 MHz DMSO-d6) 10.48 (s, 1H), 9.42 (s, 1H), 8.34 (d, J = 7.7 Hz, 1H), 8.26 (t, J = 7.7 Hz, 1H), 7.93 (d, J = 7.7 Hz, 1H), 7.52 (s, 1H), 6.96 (s, 1H), 6.86 (t, J = 56 Hz, 1H), 4.25 (q, J = 6.9 Hz, 2H), 3.11-3.49 (m, 3H), 2.87 (s, 3H), 2.48-2.60 (m, 2H), 2.03-2.19 (m, 2H), 1.59 (t, J = 6.9 Hz, 3H)。
実施例76:6-(ジフルオロメチル)-N-(2-エチル-8-フルオロイミダゾ[1,2-a]ピリジン-6-イル)ピコリンアミド
Figure 0007576552000113
ステップa:バイアルに、5-ブロモ-3-フルオロ-ピリジン-2-アミン(1.00g、5.24mmol)、1-クロロブタン-2-オン(558mg、5.24mmol)、及びEtOH(13mL)を投入し、続いて、炭酸水素ナトリウム(1.32g、15.7mmol)を投入した。バイアルを密閉し、85℃で18時間加熱した。触媒量のNaIを添加し、溶液を更に24時間加熱した。次いで、シリカを添加し、混合物を乾燥し、シリカゲルクロマトグラフィー(勾配ヘプタン中5~100%の3:1のEtOAc:EtOH混合物)により精製して、6-ブロモ-2-エチル-8-フルオロ-イミダゾ[1,2-a]ピリジン(260mg、1.07mmol、20%収率)を得た。LCMS (ESI) m/z 243.2 (M+H)
ステップb:バイアルに、6-ブロモ-2-エチル-8-フルオロ-イミダゾ[1,2-a]ピリジン(260mg、1.07mmol)、Pd(OAc)(48mg、214μmol)、(5-ジフェニルホスファニル-9,9-ジメチル-キサンテン-4-イル)-ジフェニル-ホスファン(247mg、428μmol)、CsCO(697mg、2.14mmol)、及び6-(ジフルオロメチル)ピリジン-2-カルボキサミド(368mg、2.14mmol)を投入した。バイアルをセプタムキャップで密閉し、N2によりパージした。ジオキサン(4mL)を室温で添加し、混合物を100℃で16時間加熱した。混合物を室温に冷却し、セライトを通して濾過し、濃縮し、TFAで改質した質量分析計直結逆相分取HPLCにより精製して、6-(ジフルオロメチル)-N-(2-エチル-8-フルオロ-イミダゾ[1,2-a]ピリジン-6-イル)ピリジン-2-カルボキサミド(88mg、197μmol、18%収率)を得た。H NMR (500 MHz, メタノール-d) δ ppm 1.45 (t, J=7.63 Hz, 3 H) 2.93 - 3.02 (m, 2 H) 6.78 - 7.06 (m, 1 H) 7.99 (d, J=7.94 Hz, 1 H) 8.15 - 8.20 (m, 1 H) 8.21 - 8.31 (m, 2 H) 8.38 - 8.46 (m, 1 H) 9.58 (d, J=1.83 Hz, 1 H)。
中間体9:N-(2-(アゼチジン-3-イル)-7-エトキシイミダゾ[1,2-a]ピリジン-6-イル)-6-(ジフルオロメチル)ピコリンアミド
Figure 0007576552000114
中間体9は、6-(トリフルオロメチル)ピコリン酸の代わりに中間体3b:6-(ジフルオロメチル)ピコリン酸が使用されたことを除いて実施例61と同様に調製された。LCMS (ESI) m/z 388.5 (M+H)
実施例77:6-(ジフルオロメチル)-N-(7-エトキシ-2-(1-(2,2,2-トリフルオロエチル)アゼチジン-3-イル)イミダゾ[1,2-a]ピリジン-6-イル)ピコリンアミド
DMF(1mL)中のN-(2-(アゼチジン-3-イル)-7-エトキシイミダゾ[1,2-a]ピリジン-6-イル)-6-(ジフルオロメチル)ピコリンアミド(100mg、258μmol)及びCsCO(210mg、645μmol)を、トリフルオロメタンスルホン酸2,2,2-トリフルオロエチル(48mg、206μmol、30μL)で処理し、5時間撹拌した。次いで、溶液を濾過し、次いで、TFAで改質した逆相分取HPLCにより精製して、6-(ジフルオロメチル)-N-[7-エトキシ-2-[1-(2,2,2-トリフルオロエチル)アゼチジン-3-イル]イミダゾ[1,2-a]ピリジン-6-イル]ピリジン-2-カルボキサミド(32mg、54μmol、21%収率)を得た。LCMS (ESI) m/z 470.5 (M+H);H NMR (500 MHz, メタノール-d) δ ppm 1.68 (t, J=7.02 Hz, 3 H) 3.81 (q, J=9.16 Hz, 2 H) 4.09 - 4.14 (m, 2 H) 4.20 - 4.29 (m, 1 H) 4.29 - 4.38 (m, 2 H) 4.46 (q, J=6.71 Hz, 2 H) 6.73 - 7.01 (m, 1 H) 7.43 (s, 1 H) 7.97 (d, J=7.94 Hz, 1 H) 8.07 (s, 1 H) 8.27 (t, J=7.94 Hz, 1 H) 8.39 (d, J=7.94 Hz, 1 H) 9.77 (s, 1 H)
実施例78:N-(2-(1-(2,2-ジフルオロエチル)アゼチジン-3-イル)-7-エトキシイミダゾ[1,2-a]ピリジン-6-イル)-6-(ジフルオロメチル)ピコリンアミド
実施例78は、トリフルオロメタンスルホン酸2,2,2-トリフルオロエチルの代わりに4-メチルベンゼンスルホン酸2,2-ジフルオロエチルが使用されたことを除いて実施例77と同様に調製された。LCMS (ESI) m/z 452.6 (M+H)H NMR (500 MHz, メタノール-d) δ ppm 1.69 (t, J=7.02 Hz, 3 H) 3.78 (td, J=15.87, 3.05 Hz, 2 H) 4.35 - 4.45 (m, 2 H) 4.48 (q, J=7.12 Hz, 2 H) 4.53 - 4.62 (m, 2 H) 6.10 - 6.41 (m, 1 H) 6.75 - 7.04 (m, 1 H) 7.44 (s, 1 H) 7.99 (d, J=7.94 Hz, 1 H) 8.10 (s, 1 H) 8.29 (t, J=7.63 Hz, 1 H) 8.42 (d, J=7.32 Hz, 1 H) 9.80 (s, 1 H)
実施例79:6-(ジフルオロメチル)-N-(7-エトキシ-2-(1-(オキセタン-3-イル)アゼチジン-3-イル)イミダゾ[1,2-a]ピリジン-6-イル)ピコリンアミド
N-(2-(アゼチジン-3-イル)-7-エトキシイミダゾ[1,2-a]ピリジン-6-イル)-6-(ジフルオロメチル)ピコリンアミド(100mg、258μmol)及びCsCO(210mg、645μmol)をDMF(0.86mL)中に溶解し、3-ブロモオキセタン(28mg、206μmol、17μL)を添加した。溶液を70℃まで1週間加熱し、次いで、濾過した。逆相HPLCによる精製により、6-(ジフルオロメチル)-N-[7-エトキシ-2-[1-(オキセタン-3-イル)アゼチジン-3-イル]イミダゾ[1,2-a]ピリジン-6-イル]ピリジン-2-カルボキサミド(1.5mg、3.4μmol、1.3%収率)を得た。LCMS (ESI) m/z 444.6 (M+H)H NMR (500 MHz, メタノール-d) δ ppm 1.62 (t, J=7.02 Hz, 3 H) 3.43 - 3.54 (m, 2 H) 3.77 - 3.98 (m, 4 H) 4.30 (q, J=6.71 Hz, 2 H) 4.58 (dd, J=6.71, 5.49 Hz, 2 H) 4.79 (t, J=6.71 Hz, 2 H) 6.72 - 6.99 (m, 2 H) 7.66 (s, 1 H) 7.95 (d, J=7.32 Hz, 1 H) 8.26 (t, J=7.94 Hz, 1 H) 8.38 (d, J=7.94 Hz, 1 H) 9.48 (s, 1 H)
実施例80:6-(ジフルオロメチル)-N-(7-エトキシ-2-(1-(2-メトキシエチル)アゼチジン-3-イル)イミダゾ[1,2-a]ピリジン-6-イル)ピコリンアミド
実施例80は、3-ブロモオキセタンの代わりに1-ブロモ-2-メトキシエタンが使用されたことを除いて実施例79と同様に調製された。LCMS (ESI) m/z 446.6 (M+H)H NMR (500 MHz, メタノール-d) δ ppm 1.69 (t, J=7.02 Hz, 3 H) 3.43 (s, 3 H) 3.58 - 3.66 (m, 2 H) 3.66 - 3.74 (m, 2 H) 4.49 (q, J=6.71 Hz, 5 H) 4.61 - 4.71 (m, 2 H) 6.74 - 7.08 (m, 1 H) 7.49 (s, 1 H) 7.99 (d, J=7.94 Hz, 1 H) 8.15 (s, 1 H) 8.29 (t, J=7.63 Hz, 1 H) 8.42 (d, J=7.33 Hz, 1 H) 9.81 (s, 1 H)
実施例81:N-(2-(1-アセチルアゼチジン-3-イル)-7-エトキシイミダゾ[1,2-a]ピリジン-6-イル)-6-(ジフルオロメチル)ピコリンアミド
実施例81は、N-(2-(アゼチジン-3-イル)-7-エトキシイミダゾ[1,2-a]ピリジン-6-イル)-6-(トリフルオロメチル)ピコリンアミドの代わりにN-(2-(アゼチジン-3-イル)-7-エトキシイミダゾ[1,2-a]ピリジン-6-イル)-6-(ジフルオロメチル)ピコリンアミドが使用されたことを除いて実施例68と同様に調製された。LCMS (ESI) m/z 430.3 (M+H)11H NMR (500 MHz, メタノール-d) δ ppm 1.69 (t, J=7.02 Hz, 3 H) 1.96 (s, 3 H) 4.12 - 4.26 (m, 2 H) 4.39 - 4.52 (m, 4 H) 4.68 - 4.77 (m, 1 H) 6.67 - 7.10 (m, 1 H) 7.37 (s, 1 H) 7.98 (d, J=7.94 Hz, 1 H) 8.09 (s, 1 H) 8.28 (t, J=7.63 Hz, 1 H) 8.40 (d, J=7.94 Hz, 1 H) 9.79 (s, 1 H)
実施例82:N-(2-((1H-1,2,4-トリアゾール-1-イル)メチル)-7-エトキシイミダゾ[1,2-a]ピリジン-6-イル)-6-(ジフルオロメチル)ピコリンアミド
Figure 0007576552000115
ステップa:DCM(3mL)中の2-(1,2,4-トリアゾール-1-イル)酢酸(250mg、2.00mmol)を、塩化オキサリル(500mg、3.94mmol、0.35mL)で処理し、一晩撹拌した。次いで、溶液を濃縮して、2-(1,2,4-トリアゾール-1-イル)アセチルクロリドを得、定量的収率と仮定して、これを更に精製することなく使用した。
ステップb:THF(2.5mL)及びMeCN(2.5mL)中の2-(1,2,4-トリアゾール-1-イル)アセチルクロリド(291mg、2.00mmol)を0℃まで冷却し、ジアゾメチル(トリメチル)シラン(2M、1.2mL)を滴加した。溶液を0℃で1時間撹拌した後、濃HCl(12M、500μL)を添加した。溶液を3時間撹拌し、室温に温めた。NaHCO飽和水溶液(100mL)の添加により反応物をクエンチした。生成物をEtOAc(3×50mL)で抽出し、乾燥し(NaSO)、濃縮して、1-クロロ-3-(1,2,4-トリアゾール-1-イル)プロパン-2-オンを得、これを更に精製することなく使用した。H NMR (500 MHz, クロロホルム-d) δ ppm 4.05 (s, 2 H) 5.17 (s, 2 H) 7.86 (s, 1 H) 8.05 (s, 1 H)。
ステップc:バイアルに、N-(6-アミノ-4-エトキシ-3-ピリジル)-6-(ジフルオロメチル)ピリジン-2-カルボキサミド(619mg、2.01mmol)、1-クロロ-3-(1,2,4-トリアゾール-1-イル)プロパン-2-オン(320mg、2.01mmol)、及びEtOH(5mL)を投入し、続いて、炭酸水素ナトリウム(506mg、6.03mmol)を投入した。バイアルを密閉し、85℃で18時間加熱した。次いで、混合物を濾過し、得られた溶液をTFAで改質した逆相分取HPLCにより精製して、6-(ジフルオロメチル)-N-[7-エトキシ-2-(1,2,4-トリアゾール-1-イルメチル)イミダゾ[1,2-a]ピリジン-6-イル]ピリジン-2-カルボキサミド(9.3mg、17.7μmol、1%収率)を得た。LCMS (ESI) m/z 414.5 (M+H)。H NMR (500 MHz, メタノール-d) δ ppm 1.62 (t, J=7.02 Hz, 3 H) 4.30 (q, J=7.33 Hz, 2 H) 5.53 (s, 2 H) 6.72 - 6.97 (m, 2 H) 7.79 (s, 1 H) 7.95 (d, J=7.94 Hz, 1 H) 8.03 (s, 1 H) 8.25 (t, J=7.63 Hz, 1 H) 8.37 (d, J=7.94 Hz, 1 H) 8.57 (s, 1 H) 9.51 (s, 1 H)。
実施例83:N-(2-((1,4-ジオキサン-2-イル)メチル)-7-エトキシイミダゾ[1,2-a]ピリジン-6-イル)-6-(ジフルオロメチル)ピコリンアミド
実施例83は、2-(1,2,4-トリアゾール-1-イル)酢酸の代わりに1,4-ジオキサン-2-カルボン酸が使用されたことを除いて実施例82と同様に調製された。LCMS (ESI) m/z 433.5 (M+H)H NMR (500 MHz, メタノール-d) δ ppm 1.69 (t, J=7.02 Hz, 3 H) 2.87 - 2.96 (m, 1 H) 2.98 (d, J=3.66 Hz, 1 H) 3.36 - 3.44 (m, 1 H) 3.59 - 3.67 (m, 1 H) 3.71 - 3.78 (m, 2 H) 3.84 - 3.89 (m, 2 H) 3.89 - 3.95 (m, 1 H) 4.47 (q, J=7.32 Hz, 2 H) 6.75 - 7.03 (m, 1 H) 7.29 (s, 1 H) 7.92 (s, 1 H) 7.99 (d, J=7.94 Hz, 1 H) 8.29 (t, J=7.63 Hz, 1 H) 8.42 (d, J=7.33 Hz, 1 H) 9.79 (s, 1 H) 。
実施例84:6-(ジフルオロメチル)-N-(7-エトキシ-2-((1-メチル-1H-ピラゾール-3-イル)メチル)イミダゾ[1,2-a]ピリジン-6-イル)ピコリンアミド
実施例84は、2-(1,2,4-トリアゾール-1-イル)酢酸の代わりに1-メチル-1H-ピラゾール-3-カルボン酸が使用されたことを除いて実施例82と同様に調製された。LCMS (ESI) m/z 427.5 (M+H)H NMR (500 MHz, メタノール-d) δ ppm 1.68 (t, J=7.02 Hz, 4 H) 3.90 (s, 3 H) 4.09 (s, 2 H) 4.47 (q, J=6.71 Hz, 2 H) 6.75 - 7.01 (m, 1 H) 7.26 (s, 1 H) 7.49 (s, 1 H) 7.63 (s, 1 H) 7.84 (s, 1 H) 7.99 (d, J=7.94 Hz, 1 H) 8.29 (t, J=7.94 Hz, 1 H) 8.42 (d, J=7.94 Hz, 1 H) 9.78 (s, 1 H)。
中間体10:N-[2-(クロロメチル)-7-エトキシ-イミダゾ[1,2-a]ピリジン-6-イル]-6-(ジフルオロメチル)ピリジン-2-カルボキサミド
Figure 0007576552000116
N-(6-アミノ-4-エトキシ-3-ピリジル)-6-(ジフルオロメチル)ピリジン-2-カルボキサミド(499mg、1.62mmol)及び1,3-ジクロロプロパン-2-オン(212mg、1.62mmol)のMeCN(3mL)及びトルエン(650μL)中混合物を、100℃で一晩撹拌した。次いで、シリカを添加し、次いで、溶液を濃縮した。シリカゲルクロマトグラフィーにより精製して、N-[2-(クロロメチル)-7-エトキシ-イミダゾ[1,2-a]ピリジン-6-イル]-6-(ジフルオロメチル)ピリジン-2-カルボキサミド(100.00mg、262.62μmol、16.21%収率)を得た。LCMS (ESI) m/z 381.3 (M+H)H NMR (500 MHz, クロロホルム-d) δ ppm 1.62 (t, J=7.02 Hz, 3 H) 4.17 - 4.33 (m, 2 H) 4.73 (s, 2 H) 6.52 - 6.83 (m, 1 H) 6.92 (s, 1 H) 7.50 (s, 1 H) 7.85 (d, J=7.94 Hz, 1 H) 8.12 (t, J=7.94 Hz, 1 H) 8.38 (d, J=6.71 Hz, 1 H) 9.46 (s, 1 H)。
実施例85:6-(ジフルオロメチル)-N-(7-エトキシ-2-((2-オキソピロリジン-1-イル)メチル)イミダゾ[1,2-a]ピリジン-6-イル)ピコリンアミド
N-[2-(クロロメチル)-7-エトキシ-イミダゾ[1,2-a]ピリジン-6-イル]-6-(ジフルオロメチル)ピリジン-2-カルボキサミド(50mg、131μmol)、ピロリジン-2-オン(22mg、263μmol、20μL)、及びKCO(36mg、263μmol)を、MeCN(0.5mL)中に溶解し、溶液を50℃まで一晩加熱した。次いで、NaHMDS(THF中1M、390μL)を添加し、溶液を室温で5時間撹拌した。溶液を塩化アンモニウムの飽和水溶液(100mL)の添加によりクエンチし、得られた混合物をEtOAc(3×50mL)で抽出した。合わせた有機層を乾燥し(NaSO)、減圧下で濃縮した。得られた残留物をTFAで改質した逆相分取HPLCにより精製して、6-(ジフルオロメチル)-N-[7-エトキシ-2-[(2-オキソピロリジン-1-イル)メチル]イミダゾ[1,2-a]ピリジン-6-イル]ピリジン-2-カルボキサミド(2.5mg、4.6μmol、3.5%収率)を得た。LCMS (ESI) m/z 430.4 (M+H)H NMR (500 MHz, メタノール-d) δ ppm 1.69 (t, J=6.71 Hz, 3 H) 2.09 - 2.19 (m, 2 H) 2.49 (t, J=8.24 Hz, 2 H) 3.53 (t, J=7.02 Hz, 2 H) 4.49 (q, J=6.92 Hz, 2 H) 4.71 (s, 2 H) 6.73 - 7.09 (m, 1 H) 7.31 (s, 1 H) 7.99 (d, J=7.94 Hz, 1 H) 8.07 (s, 1 H) 8.30 (t, J=7.94 Hz, 1 H) 8.43 (d, J=7.94 Hz, 1 H) 9.82 (s, 1 H)。
実施例86及び実施例87:6-(ジフルオロメチル)-N-(7-エトキシ-2-((ピリジン-2-イルオキシ)メチル)イミダゾ[1,2-a]ピリジン-6-イル)ピコリンアミド及び6-(ジフルオロメチル)-N-(7-エトキシ-2-((2-オキソピリジン-1(2H)-イル)メチル)イミダゾ[1,2-a]ピリジン-6-イル)ピコリンアミド
Figure 0007576552000117
N-[2-(クロロメチル)-7-エトキシ-イミダゾ[1,2-a]ピリジン-6-イル]-6-(ジフルオロメチル)ピリジン-2-カルボキサミド(50mg、131μmol)、1H-ピリジン-2-オン(25mg、262μmol)、及びKCO(36mg、263μmol)をMeCN(0.5mL)中に溶解し、溶液を50℃まで一晩加熱した。次いで、溶液を濾過し、TFAで改質した逆相分取HPLCにより直接精製して、実施例86:6-(ジフルオロメチル)-N-[7-エトキシ-2-(2-ピリジルオキシメチル)イミダゾ[1,2-a]ピリジン-6-イル]ピリジン-2-カルボキサミド(1.2mg、2.2μmol、2%収率)及び実施例87:6-(ジフルオロメチル)-N-[7-エトキシ-2-[(2-オキソ-1-ピリジル)メチル]イミダゾ[1,2-a]ピリジン-6-イル]ピリジン-2-カルボキサミド(1.4mg、2.5μmol、2%収率)を得た。
実施例86:6-(ジフルオロメチル)-N-(7-エトキシ-2-((ピリジン-2-イルオキシ)メチル)イミダゾ[1,2-a]ピリジン-6-イル)ピコリンアミド
LCMS (ESI) m/z 440.3 (M+H)H NMR (500 MHz, メタノール-d) δ ppm 1.67 (t, J=7.02 Hz, 3 H) 4.46 (q, J=6.92 Hz, 2 H) 5.59 (s, 2 H) 6.73 - 6.98 (m, 2 H) 7.01 - 7.07 (m, 1 H) 7.31 (s, 1 H) 7.73 (ddd, J=8.39, 6.87, 1.83 Hz, 1 H) 7.97 (d, J=7.32 Hz, 1 H) 8.18 (s, 1 H) 8.21 (dd, J=4.88, 1.22 Hz, 1 H) 8.27 (t, J=7.63 Hz, 1 H) 8.41 (d, J=7.94 Hz, 1 H) 9.82 (s, 1 H)。
実施例87:6-(ジフルオロメチル)-N-(7-エトキシ-2-((2-オキソピリジン-1(2H)-イル)メチル)イミダゾ[1,2-a]ピリジン-6-イル)ピコリンアミド
LCMS (ESI) m/z 440.3 (M+H)。1H NMR (500 MHz, メタノール-d) δ ppm 1.62 (t, J=7.02 Hz, 3 H) 4.30 (q, J=6.92 Hz, 2 H) 5.26 (s, 2 H) 6.42 (td, J=6.71, 1.22 Hz, 1 H) 6.59 (d, J=9.16 Hz, 1 H) 6.71 - 6.99 (m, 2 H) 7.55 (ddd, J=8.85, 6.71, 2.14 Hz, 1 H) 7.71 (s, 1 H) 7.77 (dd, J=6.71, 1.83 Hz, 1 H) 7.94 (d, J=7.32 Hz, 1 H) 8.25 (t, J=7.63 Hz, 1 H) 8.37 (d, J=7.94 Hz, 1 H) 9.49 (s, 1 H)。
実施例88:1-(ジフルオロメチル)-N-(7-エトキシ-2-(3-メトキシプロピル)イミダゾ[1,2-a]ピリジン-6-イル)-1H-ピラゾール-3-カルボキサミド
Figure 0007576552000118
ステップa:1-(ジフルオロメチル)-1H-ピラゾール-3-カルボン酸(87mg、539μmol)のDMF(2mL)中溶液に、HATU(226mg、593μmol)及びDIPEA(209mg、1.6mmol、283μL)を添加した。1分間撹拌した後、中間体3a:4-エトキシピリジン-2,5-ジアミン(100mg、652μmol)を添加し、混合物を30℃で3時間撹拌した。この過程の後、溶液を水(25mL)中に注ぎ込み、EtOAc(3×10mL)で抽出し、NaSO上で乾燥し、減圧下で濃縮して、N-(6-アミノ-4-エトキシピリジン-3-イル)-1-(ジフルオロメチル)-1H-ピラゾール-3-カルボキサミド(120mg、343μmol、63%収率)を暗赤色固体として得、更に精製することなくこれを直接次のステップで使用した。LCMS (ESI) m/z 298 (M+H)
ステップb:N-(6-アミノ-4-エトキシピリジン-3-イル)-1-(ジフルオロメチル)-1H-ピラゾール-3-カルボキサミド(90mg、302μmol)及び1-クロロ-5-メトキシ-ペンタン-2-オン(137mg、908μmol)を、一緒にEtOH(3mL)中に溶解した。この溶液にNaHCO(76mg、908μmol)を添加し、混合物を還流させながら12時間加熱した。室温に冷却後、溶媒を蒸発させた。残留物をEtOAc(50mL)中に溶解し、HO(50mL)で洗浄し、NaSO上で乾燥し、減圧下で濃縮した。残留した赤色固体をHPLC(Waters Xbridge Prep OBD C18 150×30 10um、使用された勾配:アセトニトリル中0~100%の水(0.04%のNHO+10mMのNHHCOを添加))により精製して、1-(ジフルオロメチル)-N-(7-エトキシ-2-(3-メトキシプロピル)イミダゾ[1,2-a]ピリジン-6-イル)-1H-ピラゾール-3-カルボキサミド(11mg、10%収率)を得た。LCMS (ESI) m/z 394.2 (M+H);1H NMR (400 MHz, メタノール-d) δ 9.26 (s, 1H), 8.21 (d, J = 2.7 Hz, 1H), 7.63 (t, J = 59.4 Hz, 1H), 7.44 (s, 1H), 7.02 (d, J = 2.7 Hz, 1H), 6.87 (s, 1H), 4.25 (q, J = 7.0 Hz, 2H), 3.44 (t, J = 6.4 Hz, 2H), 3.33 (s, 3H), 2.74 (t, J = 7.7 Hz, 2H), 1.97 (m, 2H), 1.53 (t, J = 7.0 Hz, 3H)。
実施例89:N-(2-((1R,6R,7R)-3-オキサビシクロ[4.1.0]ヘプタン-7-イル)-7-エトキシイミダゾ[1,2-a]ピリジン-6-イル)-6-(ジフルオロメチル)ピコリンアミド
Figure 0007576552000119
ステップa:3-オキサビシクロ[4.1.0]ヘプタン-7-カルボン酸(200mg、1.4mmol)のDCM(5mL)中溶液に、アルゴン雰囲気下で0℃にて塩化オキサリル(357mg、2.8mmol、240μL)を添加した。混合物を30℃で16時間撹拌した。次いで、混合物を減圧下で濃縮し、残留物を無水DCM(3×5mL)と共沸して、3-オキサビシクロ[4.1.0]ヘプタン-7-カルボニルクロリドを黄色油として得(220mg、1.37mmol)、これを更に精製することなく次のステップで使用した。GCMS(M:160)。
ステップb:3-オキサビシクロ[4.1.0]ヘプタン-7-カルボニルクロリド(220mg、1.37mmol)のTHF(2.5mL)及びMeCN(2.5mL)中溶液に、ジアゾメチル(トリメチル)シラン(2M、685μL)のEtO溶液を0℃で添加した。混合物を0℃で1時間撹拌し、撹拌したら濃HCl(12M、353μL)を0℃で混合物に添加した。混合物を室温に温め、室温で3時間撹拌した。次いで、混合物をEtOAc(20mL)で希釈し、NaHCO飽和水溶液でpH8~9に塩基化した。層を分離し、水層をEtOAc(3×20mL)で抽出した。合わせた有機層をブライン(50mL)で洗浄し、NaSO上で乾燥し、濾過し、減圧下で濃縮して、1-(3-オキサビシクロ[4.1.0]ヘプタン-7-イル)-2-クロロエタン-1-オン(107mg、61%収率)を暗褐色の粘性油として得、これを更に精製することなく次のステップに使用した。LCMS (ESI) m/z 175(M+H)
ステップc:電磁撹拌子及び凝縮器を備えた25mLの丸底フラスコに、中間体3c:N-(6-アミノ-4-エトキシピリジン-3-イル)-6-(ジフルオロメチル)ピコリンアミド(中間体3c)(145mg、471μmol)、1-(3-オキサビシクロ[4.1.0]ヘプタン-7-イル)-2-クロロエタン-1-オン(107mg、613μmol)、NaHCO(59.4mg、707μmol)、及びEtOH(5mL)を投入した。得られた混合物を80℃で一晩加熱した。次いで、溶媒を減圧下で蒸発させ、HO(10mL)を添加し、生成物をCHCl(3×10mL)で抽出した。合わせた有機層をNaSO上で乾燥し、減圧下で濃縮して、暗紫色の粘性油を得た。油をHPLCにより精製して、N-(2-((1R,6R,7R)-3-オキサビシクロ[4.1.0]ヘプタン-7-イル)-7-エトキシイミダゾ[1,2-a]ピリジン-6-イル)-6-(ジフルオロメチル)ピコリンアミド(34mg、17%収率)をラセミ混合物として得た。示される立体化学は、相対立体化学である。LCMS (ESI) m/z 429(M+H);1H NMR(400 MHz,クロロホルム-d) δ10.50 (s,1H), 9.37(s, 1H),8.36 (d,J =7.7 Hz,1H), 8.08(t, J= 7.7Hz, 1H),7.81 (d,J =7.7 Hz,1H), 7.23(s, 1H),6.83 (s,1H), 6.64(t, J= 55.2Hz, 1H),4.21 -4.11 (m,2H), 4.05(m, J= 11.3Hz, 1H),3.97 -3.88 (m,1H), 3.61(m, 1H),3.31 (m,J =5.5 Hz,1H), 1.98(m, 2H),1.66 (m,2H), 1.57(t, J= 6.9Hz, 3H),1.22 (m,J =9.8 Hz,1H)。
実施例90及び実施例91:6-(ジフルオロメチル)-N-(7-エトキシ-2-(4-ヒドロキシテトラヒドロ-2H-ピラン-4-イル)イミダゾ[1,2-a]ピリジン-6-イル)ピコリンアミド及び6-(ジフルオロメチル)-N-(7-エトキシ-2-(4-エトキシテトラヒドロ-2H-ピラン-4-イル)イミダゾ[1,2-a]ピリジン-6-イル)ピコリンアミド
Figure 0007576552000120
ステップa:DCM(10mL)中の4-フルオロテトラヒドロピラン-4-カルボン酸(1.00g、6.75mmol)を塩化オキサリル(1.7g、14mmol、1.1mL)で処理した。溶液を18時間撹拌し、次いで、濃縮して、4-フルオロテトラヒドロピラン-4-カルボニルクロリドを得、定量的収率と仮定して、これをそれ以上操作することなく次のステップに使用した。H NMR (500 MHz, クロロホルム-d) δ ppm 1.89 - 2.07 (m, 2 H) 2.15 - 2.34 (m, 2 H) 3.72 - 3.86 (m, 2 H) 3.90 - 4.03 (m, 2 H)。
ステップb:MeCN(5mL)及びTHF(5mL)中の4-フルオロテトラヒドロピラン-4-カルボニルクロリド(1.12g、6.75mmol)を0℃まで冷却し、ジアゾメチル(トリメチル)シラン(エーテル中2M、4mL)を滴加した。溶液を0℃で1時間維持した後、濃HCl(12M、1.7mL)を滴加した。得られた溶液を0℃で3時間維持し、次いで、NaHCO(100mL)の飽和水溶液の添加によりクエンチした。層を分離し、水層をEtOAc(3×50mL)で抽出し、乾燥し(NaSO)、濃縮して、2-クロロ-1-(4-フルオロテトラヒドロピラン-4-イル)エタノンを得、定量的収率と仮定して、これを更に精製することなく次のステップに使用した。H NMR (500 MHz, クロロホルム-d) δ ppm 1.54 - 1.68 (m, 2 H) 1.89 - 2.14 (m, 2 H) 3.58 (td, J=11.90, 2.44 Hz, 2 H) 3.76 (ddd, J=11.45, 5.34, 1.53 Hz, 2 H) 4.38 (d, J=3.05 Hz, 2 H)。
ステップc:バイアルに、N-(6-アミノ-4-エトキシ-3-ピリジル)-6-(ジフルオロメチル)ピリジン-2-カルボキサミド(1.88g、6.09mmol)、2-クロロ-1-(4-フルオロテトラヒドロピラン-4-イル)エタノン(1.10g、6.09mmol)、及びEtOH(15mL)を投入した。この混合物に炭酸水素ナトリウム(1.53g、18.27mmol)を添加し、バイアルを密閉し、85℃で18時間加熱した。反応物を濾過し、濃縮した。残留物をTFAで改質した逆相HPLCにより精製して、6-(ジフルオロメチル)-N-[7-エトキシ-2-(4-ヒドロキシテトラヒドロピラン-4-イル)イミダゾ[1,2-a]ピリジン-6-イル]ピリジン-2-カルボキサミド(実施例90、9.6mg、17.6μmol)及び6-(ジフルオロメチル)-N-[7-エトキシ-2-(4-エトキシテトラヒドロピラン-4-イル)イミダゾ[1,2-a]ピリジン-6-イル]ピリジン-2-カルボキサミド(実施例91、304mg、530μmol)を得た。データを以下に要約する。
実施例90:6-(ジフルオロメチル)-N-(7-エトキシ-2-(4-ヒドロキシテトラヒドロ-2H-ピラン-4-イル)イミダゾ[1,2-a]ピリジン-6-イル)ピコリンアミド
LCMS (ESI) m/z 433.3 (M+H)H NMR (500 MHz, メタノール-d) δ ppm 1.57 (t, J=7.02 Hz, 3 H) 1.83 (br dd, J=14.04, 1.83 Hz, 2 H) 1.97 - 2.11 (m, 2 H) 3.69 - 3.79 (m, 2 H) 3.81 - 3.92 (m, 2 H) 4.36 (q, J=6.71 Hz, 2 H) 6.61 - 6.93 (m, 1 H) 7.15 (s, 1 H) 7.87 (d, J=7.94 Hz, 1 H) 7.91 (s, 1 H) 8.17 (t, J=7.63 Hz, 1 H) 8.30 (d, J=7.94 Hz, 1 H) 9.69 (s, 1 H)。
実施例91:6-(ジフルオロメチル)-N-(7-エトキシ-2-(4-エトキシテトラヒドロ-2H-ピラン-4-イル)イミダゾ[1,2-a]ピリジン-6-イル)ピコリンアミド
LCMS (ESI) m/z 433.3 (M+H)H NMR (500 MHz, メタノール-d) δ ppm 1.57 (t, J=7.02 Hz, 3 H) 1.83 (br dd, J=14.04, 1.83 Hz, 2 H) 1.97 - 2.11 (m, 2 H) 3.69 - 3.79 (m, 2 H) 3.81 - 3.92 (m, 2 H) 4.36 (q, J=6.71 Hz, 2 H) 6.61 - 6.93 (m, 1 H) 7.15 (s, 1 H) 7.87 (d, J=7.94 Hz, 1 H) 7.91 (s, 1 H) 8.17 (t, J=7.63 Hz, 1 H) 8.30 (d, J=7.94 Hz, 1 H) 9.69 (s, 1 H)。
実施例92:N-(2-シクロプロピルイミダゾ[1,2-a]ピリミジン-6-イル)-6-(トリフルオロメチル)ピコリンアミド
Figure 0007576552000121
ステップa:5-ブロモピリミジン-2-アミン(650mg、3.74mmol)及び2-ブロモ-1-シクロプロピル-エタノン(628mg、3.74mmol、375μL)のMeCN(6mL)及びトルエン(1.5mL)中混合物を、100℃で16時間撹拌した。次いで、シリカを添加し、溶液を濃縮し、混合物をシリカゲルカラムクロマトグラフィーにより精製して、6-ブロモ-2-シクロプロピル-イミダゾ[1,2-a]ピリミジン(330mg、1.39mmol、37%収率)を得た。LCMS (ESI) m/z 240.1 (M+H)
ステップb:バイアルに、6-ブロモ-2-シクロプロピル-イミダゾ[1,2-a]ピリミジン(330mg、1.39mmol)、[2-(2-アミノフェニル)フェニル]-メチルスルホニルオキシ-パラジウム;ジtert-ブチル-[2-(2,4,6-トリイソプロピルフェニル)フェニル]ホスファン(55mg、69μmol)、KPO(737mg、3.47mmol)を投入した。バイアルをセプタムキャップで密閉し、N雰囲気下に置いた。DME(3mL)及びベンゾフェノンイミン(300mg、1.67mmol、0.3mL)をシリンジにより添加した。混合物を45℃まで18時間加熱した。シリカを添加し、溶液を濃縮した。得られた混合物のシリカゲルカラムクロマトグラフィーによる精製により、N-(2-シクロプロピルイミダゾ[1,2-a]ピリミジン-6-イル)-1,1-ジフェニル-メタンイミン(75mg、221μmol、16%収率)を得た。LCMS (ESI) m/z 339.2 (M+H)
ステップc:DCM(2mL)及びMeOH(2mL)中のN-(2-シクロプロピルイミダゾ[1,2-a]ピリミジン-6-イル)-1,1-ジフェニル-メタンイミン(75mg、221μmol)をHCl(ジオキサン中4M、0.25mL)で処理し、1時間撹拌した。次いで、反応物を濃縮して、2-シクロプロピルイミダゾ[1,2-a]ピリミジン-6-アミン塩酸塩を得、定量的収率と仮定して、これを更に精製することなく使用した。LCMS (ESI) m/z 175.2 (M+H)
ステップd:DMF(1.5mL)中の2-シクロプロピルイミダゾ[1,2-a]ピリミジン-6-アミン塩酸塩(26mg、126μmol)、6-(トリフルオロメチル)ピリジン-2-カルボン酸(28mg、149μmol)を、DIPEA(77mg、597μmol、104μL)で処理し、続いて、BOP(132mg、298μmol)で処理した。反応物を室温にて一晩撹拌した。次いで、物質を逆相HPLCにより直接精製して、N-(2-シクロプロピルイミダゾ[1,2-a]ピリミジン-6-イル)-6-(トリフルオロメチル)ピコリンアミド(600ug、1.73μmol、1.2%収率)を得た。LCMS (ESI) m/z 348.2 (M+H)H NMR (500 MHz, メタノール-d) δ ppm 1.04 - 1.10 (m, 2 H) 1.27 (br dd, J=8.55, 2.44 Hz, 2 H) 2.18 - 2.29 (m, 1 H) 7.89 (s, 1 H) 8.06 (d, J=4.88 Hz, 1 H) 8.22 (d, J=7.94 Hz, 1 H) 8.41 (t, J=7.94 Hz, 1 H) 8.58 (d, J=7.94 Hz, 1 H) 8.88 (d, J=5.49 Hz, 1 H)。
実施例93:N-(7-エトキシ-2-((テトラヒドロフラン-3-イル)メチル)イミダゾ[1,2-a]ピリミジン-6-イル)-6-(トリフルオロメチル)ピコリンアミド
実施例93は、ブロモブタン-2-オンの代わりに1-クロロ-3-(テトラヒドロフラン-3-イル)プロパン-2-オンが使用されたこと、及び6-(ジフルオロメチル)ピリジン-2-カルボキサミドの代わりに6-(トリフルオロメチル)ピコリン酸が使用されたことを除いて実施例74と同様に調製された。LCMS (ESI) m/z 436.3 (M+H)H NMR (500 MHz, メタノール-d) δ ppm 1.64 (t, J=7.02 Hz, 3 H) 1.70 - 1.80 (m, 1 H) 2.11 - 2.25 (m, 1 H) 2.62 - 2.77 (m, 1 H) 2.93 (dd, J=7.63, 2.75 Hz, 2 H) 3.56 (dd, J=8.55, 5.49 Hz, 1 H) 3.82 (q, J=7.73 Hz, 1 H) 3.88 - 3.99 (m, 2 H) 4.78 (q, J=7.12 Hz, 2 H) 7.84 (s, 1 H) 8.16 (d, J=7.94 Hz, 1 H) 8.39 (t, J=7.94 Hz, 1 H) 8.53 (d, J=7.33 Hz, 1 H) 9.91 (s, 1 H)。
実施例94:(S)-N-(7-エトキシ-2-((テトラヒドロフラン-3-イル)メチル)イミダゾ[1,2-a]ピリミジン-6-イル)-6-(トリフルオロメチル)ピコリンアミド
実施例94を、実施例93のキラルHPLC分離(カラム:CHIRALPAK IG 30×250mm、5um;方法:0.1%のDEAを含有するCO2中45%のMeOH(流速:100mL/分、ABPR 120バール、MBPR 40psi、カラム温度40℃))によりピーク1として得、(S)-N-(7-エトキシ-2-((テトラヒドロフラン-3-イル)メチル)イミダゾ[1,2-a]ピリミジン-6-イル)-6-(トリフルオロメチル)ピコリンアミド(>99%ee)を得た。H NMR (500 MHz, メタノール-d) δ ppm 1.55 (t, J=7.33 Hz, 3 H) 1.67 - 1.75 (m, 1 H) 2.04 - 2.15 (m, 1 H) 2.71 (dd, J=14.04, 6.71 Hz, 1 H) 2.75 - 2.78 (m, 2 H) 3.51 (dd, J=8.55, 6.10 Hz, 1 H) 3.73 - 3.82 (m, 1 H) 3.85 - 3.94 (m, 2 H) 4.63 (q, J=6.92 Hz, 2 H) 7.45 (s, 1 H) 8.09 (d, J=7.94 Hz, 1 H) 8.33 (t, J=7.63 Hz, 1 H) 8.48 (d, J=7.94 Hz, 1 H) 9.62 (s, 1 H)。
実施例95:(R)-N-(7-エトキシ-2-((テトラヒドロフラン-3-イル)メチル)イミダゾ[1,2-a]ピリミジン-6-イル)-6-(トリフルオロメチル)ピコリンアミド
実施例95を、実施例93のキラルHPLC分離(カラム:CHIRALPAK IG 30×250mm、5um;方法:0.1%のDEAを含有するCO2中45%のMeOH(流速:100mL/分、ABPR 120バール、MBPR 40psi、カラム温度40℃))によりピーク2として得、(R)-N-(7-エトキシ-2-((テトラヒドロフラン-3-イル)メチル)イミダゾ[1,2-a]ピリミジン-6-イル)-6-(トリフルオロメチル)ピコリンアミド(95%ee)を得た。H NMR (500 MHz, メタノール-d) δ ppm 1.55 (t, J=7.02 Hz, 3 H) 1.70 (dd, J=12.21, 6.71 Hz, 1 H) 2.09 (dd, J=12.51, 5.19 Hz, 1 H) 2.65 - 2.73 (m, 1 H) 2.74 - 2.79 (m, 2 H) 3.51 (dd, J=8.55, 6.10 Hz, 1 H) 3.77 (q, J=7.73 Hz, 1 H) 3.84 - 3.93 (m, 2 H) 4.62 (q, J=7.12 Hz, 2 H) 7.44 (s, 1 H) 8.09 (d, J=7.94 Hz, 1 H) 8.33 (t, J=7.94 Hz, 1 H) 8.47 (d, J=7.94 Hz, 1 H) 9.61 (s, 1 H)。
実施例96及び97:N-(7-エトキシ-2-((1r,3r)-3-ヒドロキシシクロブチル)イミダゾ[1,2-a]ピリジン-6-イル)-6-(トリフルオロメチル)ピコリンアミド及びN-(7-エトキシ-2-((1s,3s)-3-ヒドロキシシクロブチル)イミダゾ[1,2-a]ピリジン-6-イル)-6-(トリフルオロメチル)ピコリンアミド
Figure 0007576552000122
ステップa:DCM(7mL)中の3-ベンジルオキシシクロブタンカルボン酸(シス/トランス異性体の混合物、1.0g、4.9mmol、280μL)を塩化オキサリル(1.2g、9.7mmol、0.82mL)で処理した。溶液を室温で16時間維持した。次いで、溶液を濃縮して、3-ベンジルオキシシクロブタンカルボニルクロリドをシス/トランス異性体の混合物として得、定量的収率と仮定して、これを更に精製することなく直接使用した。
ステップb:3-ベンジルオキシシクロブタンカルボニルクロリド(シス/トランス異性体の混合物、1.1g、4.9mmol)のMeCN(5mL)及びTHF(5mL)中溶液を0℃まで冷却し、ジアゾメチル(トリメチル)シラン(2M、3.0mL)を添加した。溶液を0℃で1時間維持し、次いで、濃HCl(12M、1.25mL)を滴加した。溶液を0℃で2時間撹拌し、次いで、NaHCOの飽和溶液(100mL)の添加によりクエンチした。層を分離し、有機層をEtOAc(3×50mL)で抽出し、乾燥し(NaSO)、濃縮して、1-(3-ベンジルオキシシクロブチル)-2-クロロ-エタノンをシス/トランス異性体の混合物として得、定量的収率と仮定して、これを更に精製することなく使用した。
ステップc:バイアルに、N-(6-アミノ-4-エトキシ-3-ピリジル)-6-(ジフルオロメチル)ピリジン-2-カルボキサミド(1.42g、4.61mmol)、1-(3-ベンジルオキシシクロブチル)-2-クロロ-エタノン(1.1g、4.6mmol)、及びEtOH(12mL)を投入した。炭酸水素ナトリウム(1.16g、13.8mmol)を添加し、バイアルを密閉し、85℃で18時間加熱した。次いで、シリカゲルを添加し、混合物を濃縮した。シリカゲルクロマトグラフィーによる混合物の精製により、N-[2-(3-ベンジルオキシシクロブチル)-7-エトキシ-イミダゾ[1,2-a]ピリジン-6-イル]-6-(ジフルオロメチル)ピリジン-2-カルボキサミドをシス/トランス異性体(670mg、1.36mmol、30%収率)の混合物として得た。LCMS (ESI) m/z 493.3 (M+H)H NMR (500 MHz, クロロホルム-d) δ ppm 0.80 (t, J=7.02 Hz, 3 H) 1.52 (td, J=7.02, 2.44 Hz, 3 H) 2.11 - 2.28 (m, 1 H) 2.43 - 2.52 (m, 2 H) 2.58 - 2.69 (m, 1 H) 2.80 (s, 1 H) 2.88 (s, 1 H) 2.97 - 3.10 (m, 1 H) 3.51 - 3.69 (m, 1 H) 3.94 - 4.09 (m, 2 H) 4.09 - 4.22 (m, 2 H) 4.36 (br d, J=6.71 Hz, 1 H) 4.40 (s, 2 H) 6.41 - 6.72 (m, 1 H) 6.77 - 6.90 (m, 1 H) 7.02 - 7.39 (m, 7 H) 7.75 (d, J=7.33 Hz, 1 H) 8.02 (t, J=7.94 Hz, 1 H) 8.30 (d, J=7.94 Hz, 1 H) 9.34 (s, 1 H) 10.45 (s, 1 H)。
ステップd:N-[2-(3-ベンジルオキシシクロブチル)-7-エトキシ-イミダゾ[1,2-a]ピリジン-6-イル]-6-(ジフルオロメチル)ピリジン-2-カルボキサミド(670mg、1.36mmol)及びパラジウム炭素(145mg、1.36mmol、10%w/w)を、3:1のEtOAc:EtOH混合物(50mL)中に溶解し、H雰囲気下に24時間置いた。次いで、溶液をセライトを通して濾過し、濃縮し、SFCにより精製して、N-(7-エトキシ-2-((1r,3r)-3-ヒドロキシシクロブチル)イミダゾ[1,2-a]ピリジン-6-イル)-6-(トリフルオロメチル)ピコリンアミド及びN-(7-エトキシ-2-((1s,3s)-3-ヒドロキシシクロブチル)イミダゾ[1,2-a]ピリジン-6-イル)-6-(トリフルオロメチル)ピコリンアミドを得た。データを以下に要約する。
精製の詳細:
CHIRALPAK IB 30×250mm、5μm
方法:0.1%のDEAを含有するCO中25%のMeOH(流速:100mL/分、ABPR 120バール、MBPR 40psi、カラム温度40℃)
収集モードは、282nmでのUV収集モニタリングであった。
実施例96:N-(7-エトキシ-2-((1r,3r)-3-ヒドロキシシクロブチル)イミダゾ[1,2-a]ピリジン-6-イル)-6-(トリフルオロメチル)ピコリンアミド
LCMS (ESI) m/z 403.3 (M+H)H NMR (400 MHz, メタノール-d) δ ppm 1.60 (t, J=7.03 Hz, 3 H) 2.02 - 2.20 (m, 2 H) 2.63 - 2.77 (m, 2 H) 3.01 (m, 1 H) 4.14 - 4.35 (m, 1 H) 4.28 (q, J=6.86 Hz, 2 H) 6.67 - 7.01 (m, 2 H) 7.49 (s, 1 H) 7.92 (d, J=7.53 Hz, 1 H) 8.24 (t, J=7.78 Hz, 1 H) 8.33 - 8.41 (m, 1 H) 9.44 (s, 1 H)。
実施例97:N-(7-エトキシ-2-((1s,3s)-3-ヒドロキシシクロブチル)イミダゾ[1,2-a]ピリジン-6-イル)-6-(トリフルオロメチル)ピコリンアミド
LCMS (ESI) m/z 403.3 (M+H)H NMR (400 MHz, メタノール-d) δ ppm 1.60 (t, J=7.03 Hz, 3 H) 2.32 - 2.46 (m, 2 H) 2.48 - 2.61 (m, 2 H) 3.46 - 3.65 (m, 1 H) 4.28 (q, J=6.53 Hz, 2 H) 4.51 (t, J=7.28 Hz, 1 H) 6.67 - 7.01 (m, 2 H) 7.55 (s, 1 H) 7.93 (d, J=7.28 Hz, 1 H) 8.24 (t, J=7.91 Hz, 1 H) 8.36 (d, J=7.53 Hz, 1 H) 9.44 (s, 1 H)。
中間体12:6-(6-(ジフルオロメチル)ピコリンアミド)-7-エトキシイミダゾ[1,2-a]ピリジン-2-カルボン酸エチル
Figure 0007576552000123
7-エトキシ-6-(6-(トリフルオロメチル)ピコリンアミド)イミダゾ[1,2-a]ピリジン-2-カルボン酸エチルは、1-ブロモブタン-2-オンの代わりに3-ブロモ-2-オキソプロパン酸エチルを代用して、中間体1について記載されたのと同様の方法で調製された。LCMS (ESI) m/z 423.2 (M+H)+。
中間体13:1-(6-(6-(ジフルオロメチル)ピコリンアミド)-7-エトキシイミダゾ[1,2-a]ピリジン-2-イル)シクロプロパン-1-カルボン酸メチル
Figure 0007576552000124
2-(1-(6-(6-(ジフルオロメチル)ピコリンアミド)-7-エトキシイミダゾ[1,2-a]ピリジン-2-イル)シクロプロピル)酢酸メチルは、1-ブロモブタン-2-オンの代わりに1-(2-ブロモアセチル)シクロプロパン-1-カルボン酸メチルを代用して、中間体1について記載されたのと同様の方法で調製された。LCMS (ESI) m/z 431.3 (M+H)
実施例98:6-(ジフルオロメチル)-N-(7-エトキシ-2-(1-(ヒドロキシメチル)シクロプロピル)イミダゾ[1,2-a]ピリジン-6-イル)ピコリンアミド
Figure 0007576552000125
6-(ジフルオロメチル)-N-(7-エトキシ-2-(1-(ヒドロキシメチル)シクロプロピル)イミダゾ[1,2-a]ピリジン-6-イル)ピコリンアミドは、実施例17について記載されたのと同様の方法で調製された。LCMS (ESI) m/z 403.2 (M+H)+, H NMR (400 MHz, メタノール-d4) δ ppm 1.11 (dt, J=4.27, 1.63 Hz, 4 H) 1.66 (t, J=7.03 Hz, 3 H) 3.75 (s, 2 H) 4.44 (q, J=6.86 Hz, 2 H) 6.70 - 7.02 (m, 1 H) 7.23 (s, 1 H) 7.89 (s, 1 H) 7.96 (d, J=7.78 Hz, 1 H) 8.26 (t, J=7.78 Hz, 1 H) 8.39 (d, J=7.78 Hz, 1 H) 9.73 (s, 1 H)。
中間体14:3-(6-(6-(ジフルオロメチル)ピコリンアミド)-7-エトキシイミダゾ[1,2-a]ピリジン-2-イル)-2-フルオロプロパン酸メチル
Figure 0007576552000126
[ビス(トリメチルシリル)アミノ]リチウムのTHF溶液(1M、1.7mL)を、実施例23(ステップa)の3-(6-(6-(ジフルオロメチル)ピコリンアミド)-7-エトキシイミダゾ[1,2-a]ピリジン-2-イル)プロパン酸メチル(208mg、497μmol)の-78℃のTHF(2.5mL)中溶液に添加した。得られた溶液を0℃まで温め、次いで、0℃で30分間維持した。-78℃に冷却後、N-(ベンゼンスルホニル)-N-フルオロ-ベンゼンスルホンアミド(470mg、1.49mmol)をTHF溶液(1.5mL)として添加し、混合物を室温に一晩温めた。反応混合物をNaHCOの添加によりクエンチし、層を分離し、水層をEtOAc(3×20mL)で抽出し、MgSO上で乾燥し、濾過し、濃縮し、ヘプタン中0~100%の3:1のEtOAc:EtOH混合物の勾配を使用したシリカゲルクロマトグラフィーにより精製して、3-(6-(6-(ジフルオロメチル)ピコリンアミド)-7-エトキシイミダゾ[1,2-a]ピリジン-2-イル)-2-フルオロプロパン酸メチル(30mg、14%収率)を得た。LCMS (ESI) m/z 437.2(M+H)+。
実施例99:6-(ジフルオロメチル)-N-(7-エトキシ-2-(2-フルオロ-3-ヒドロキシプロピル)イミダゾ[1,2-a]ピリジン-6-イル)ピコリンアミド
Figure 0007576552000127
6-(ジフルオロメチル)-N-(7-エトキシ-2-(2-フルオロ-3-ヒドロキシプロピル)イミダゾ[1,2-a]ピリジン-6-イル)ピコリンアミドは、実施例17について記載されたのと同様の方法で調製された。LCMS (ESI) m/z 409.2 (M+H)+, H NMR (400 MHz, メタノール-d) δ ppm 1.65 - 1.71 (m, 1 H) 1.67 - 1.69 (m, 1 H) 1.71 (s, 1 H) 3.19 - 3.32 (m, 1 H) 3.19 - 3.30 (m, 1 H) 3.34 - 3.39 (m, 1 H) 3.69 - 3.90 (m, 2 H) 4.45 - 4.52 (m, 2 H) 6.74 - 7.04 (m, 1 H) 7.29 - 7.35 (m, 1 H) 7.95 - 8.02 (m, 2 H) 8.26 - 8.33 (m, 1 H) 8.40 - 8.45 (m, 1 H) 9.80 (s, 1 H)。
実施例100:6-(ジフルオロメチル)-N-(7-エトキシ-2-(2-ヒドロキシプロパン-2-イル)イミダゾ[1,2-a]ピリジン-6-イル)ピコリンアミド
Figure 0007576552000128
6-(ジフルオロメチル)-N-(7-エトキシ-2-(2-ヒドロキシプロパン-2-イル)イミダゾ[1,2-a]ピリジン-6-イル)ピコリンアミドは、6-(6-(ジフルオロメチル)ピコリンアミド)-7-エトキシイミダゾ[1,2-a]ピリジン-2-カルボン酸エチルから出発して、実施例17について記載されたのと同様の方法で調製された。LCMS (ESI) m/z 391.3 (M+H)+, H NMR (400 MHz, メタノール-d4) δ ppm 1.64 - 1.70 (m, 9 H) 4.42 - 4.49 (m, 2 H) 6.71 - 7.02 (m, 1 H) 7.24 (s, 1 H) 7.92 - 7.98 (m, 2 H) 8.26 (t, J=7.78 Hz, 1 H) 8.39 (dd, J=7.78, 0.75 Hz, 1 H) 9.76 (s, 1 H)。
実施例101:N-(2-シクロプロピル-7-(2-メトキシエトキシ)イミダゾ[1,2-a]ピリジン-6-イル)-6-(ジフルオロメチル)ピコリンアミド
N-(2-シクロプロピル-7-(2-メトキシエトキシ)イミダゾ[1,2-a]ピリジン-6-イル)-6-(ジフルオロメチル)ピコリンアミドは、シクロブチルメタノールの代わりに2-メトキシエタン-1-オールを代用して、実施例5について記載されたのと同様の方法で調製された。LCMS (ESI) m/z 403.2 (M+H)+, H NMR (400 MHz, メタノール-d4) δ ppm 0.90 - 0.96 (m, 2 H) 1.14 - 1.20 (m, 2 H) 2.04 - 2.13 (m, 1 H) 3.52 (s, 3 H) 3.92 - 4.00 (m, 2 H) 4.49 - 4.55 (m, 2 H) 6.71 - 7.02 (m, 1 H) 7.30 (s, 1 H) 7.74 - 7.79 (m, 1 H) 7.96 (d, J=7.78 Hz, 1 H) 8.26 (t, J=7.78 Hz, 1 H) 8.38 (d, J=7.53 Hz, 1 H) 9.71 (d, J=2.76 Hz, 1 H)。
実施例102:N-(2-シクロプロピル-7-(2-モルホリノエトキシ)イミダゾ[1,2-a]ピリジン-6-イル)-6-(ジフルオロメチル)ピコリンアミド
N-(2-シクロプロピル-7-(2-モルホリノエトキシ)イミダゾ[1,2-a]ピリジン-6-イル)-6-(ジフルオロメチル)ピコリンアミドは、シクロブチルメタノールの代わりに2-モルホリノエタン-1-オールを代用して、実施例5について記載されたのと同様の方法で調製された。LCMS (ESI) m/z 458.3 (M+H)+, H NMR (400 MHz, メタノール-d4) δ ppm 0.93 - 0.98 (m, 2 H) 1.16 - 1.23 (m, 2 H) 2.09 - 2.17 (m, 1 H) 3.44 - 3.64 (m, 3 H) 3.87 - 4.02 (m, 6 H) 4.83 - 4.87 (m, 2 H) 6.87 - 7.16 (m, 1 H) 7.40 (s, 1 H) 7.83 (s, 1 H) 7.94 - 8.00 (m, 1 H) 8.27 (t, J=7.78 Hz, 1 H) 8.42 (dd, J=7.78, 0.75 Hz, 1 H) 9.71 (s, 1 H)。
実施例103:N-(8-(ベンジルオキシ)-2-(テトラヒドロ-2H-ピラン-4-イル)イミダゾ[1,2-a]ピリジン-6-イル)-6-(トリフルオロメチル)ピコリンアミド
N-(8-(ベンジルオキシ)-2-(テトラヒドロ-2H-ピラン-4-イル)イミダゾ[1,2-a]ピリジン-6-イル)-6-(トリフルオロメチル)ピコリンアミドは、エタノールの代わりにフェニルメタノール及び2-ブロモ-1-シクロプロピルエタン-1-オンの代わりに2-ブロモ-1-(テトラヒドロ-2H-ピラン-4-イル)エタン-1-オンを代用して実施例28について記載されたのと同様の方法で調製された。LCMS (ESI) m/z 497.2 (M+H)+, H NMR (400 MHz, メタノール-d4) δ ppm 1.73 - 1.87 (m, 2 H) 1.96 - 2.03 (m, 2 H) 2.93 - 3.01 (m, 1 H) 3.58 (td, J=11.67, 2.01 Hz, 2 H) 3.98 - 4.06 (m, 2 H) 5.31 (s, 2 H) 7.11 (d, J=1.51 Hz, 1 H) 7.31 - 7.43 (m, 3 H) 7.55 - 7.59 (m, 2 H) 7.61 (s, 1 H) 8.04 (dd, J=7.78, 0.75 Hz, 1 H) 8.28 (t, J=7.91 Hz, 1 H) 8.44 (d, J=7.78 Hz, 1 H) 8.89 (d, J=1.51 Hz, 1 H)。
実施例104:N-(8-ヒドロキシ-2-(テトラヒドロ-2H-ピラン-4-イル)イミダゾ[1,2-a]ピリジン-6-イル)-6-(トリフルオロメチル)ピコリンアミド
Figure 0007576552000129
3:1のEtOAc:EtOH混合物(3mL)を、実施例103:N-(8-ベンジルオキシ-2-テトラヒドロピラン-4-イル-イミダゾ[1,2-a]ピリジン-6-イル)-6-(トリフルオロメチル)ピコリンアミド(265mg、533μmol)及びパラジウム炭素(10重量%、11.4mg、107μmol)の混合物に室温で添加し、Hガスのバルーン下で18時間撹拌した。混合物をセライトを通して濾過(DCMにより溶出する)し、濃縮し、ヘプタン中0~70%の3:1のEtOAc:EtOH混合物の勾配を使用したシリカカラムクロマトグラフィーにより精製して、N-(8-ヒドロキシ-2-(テトラヒドロ-2H-ピラン-4-イル)イミダゾ[1,2-a]ピリジン-6-イル)-6-(トリフルオロメチル)ピコリンアミド(69mg、170μmol、32%収率)を得た。LCMS (ESI) m/z 407.2 (M+H)+, H NMR (400 MHz, メタノール-d4) δ ppm 1.77 - 1.89 (m, 4 H) 2.02 (br d, J=13.30 Hz, 4 H) 2.97 - 3.07 (m, 2 H) 3.60 (br t, J=11.80 Hz, 4 H) 4.01 - 4.08 (m, 4 H) 6.54 (d, J=7.53 Hz, 1 H) 6.71 (t, J=7.15 Hz, 1 H) 6.83 (d, J=1.76 Hz, 1 H) 7.57 - 7.66 (m, 2 H) 7.83 (d, J=6.53 Hz, 1 H) 8.06 (d, J=8.03 Hz, 1 H) 8.29 (t, J=7.91 Hz, 1 H) 8.45 (d, J=7.78 Hz, 1 H) 8.76 (d, J=1.76 Hz, 1 H)。
実施例105:N-(8-メトキシ-2-テトラヒドロピラン-4-イル-イミダゾ[1,2-a]ピリジン-6-イル)-6-(トリフルオロメチル)ピコリンアミド
Figure 0007576552000130
実施例104:N-(8-ヒドロキシ-2-テトラヒドロピラン-4-イル-イミダゾ[1,2-a]ピリジン-6-イル)-6-(トリフルオロメチル)ピコリンアミド(45mg、110μmol)、炭酸二カリウム(31mg、221μmol)、及びヨードメタン(16mg、110μmol)の混合物を、60℃で2時間撹拌した。混合物をブライン(10mL)の添加によりクエンチし、EtOAc(2×10mL)で抽出し、ブライン(10mL)で洗浄し、MgSO上で乾燥し、濃縮し、逆相カラムでのTFAで改質した質量分析計直結HPLC(5~95%の水対アセトニトリルの勾配)により精製して、N-(8-メトキシ-2-テトラヒドロピラン-4-イル-イミダゾ[1,2-a]ピリジン-6-イル)-6-(トリフルオロメチル)ピコリンアミド(14.1mg、33.5μmol、30%収率)を得た。LCMS (ESI) m/z 421.3 (M+H)+, H NMR (400 MHz, メタノール-d4) δ ppm 1.87 (qd, J=12.30, 4.27 Hz, 2 H) 2.04 (br dd, J=12.80, 1.76 Hz, 2 H) 3.12 - 3.21 (m, 1 H) 3.60 (td, J=11.73, 1.88 Hz, 2 H) 4.07 (dd, J=11.04, 3.51 Hz, 2 H) 4.17 (s, 3 H) 7.71 (br s, 1 H) 8.04 (br s, 1 H) 8.10 (dd, J=7.78, 1.00 Hz, 1 H) 8.32 (t, J=7.91 Hz, 1 H) 8.49 (d, J=7.78 Hz, 1 H) 9.30 (br s, 1 H)。
中間体15:8-ブロモ-6-ニトロ-2-(テトラヒドロ-2H-ピラン-4-イル)イミダゾ[1,2-a]ピリジン
Figure 0007576552000131
3-ブロモ-5-ニトロ-ピリジン-2-アミン(1.0g、4.59mmol)、2-ブロモ-1-テトラヒドロピラン-4-イル-エタノン(950mg、4.59mmol)、及び炭酸水素ナトリウム(1.16g、13.8mmol)のMeCN(9.2mL)及びトルエン(2.3mL)中混合物を、100℃で16時間撹拌した。室温に冷却後、MeOH及びシリカを添加し、濃縮し、シリカカラムクロマトグラフィー(ヘプタン中0~80%の3:1のEtOAc:EtOH混合物の勾配)により精製して、1.05gの3-ブロモ-5-ニトロ-ピリジン-2-アミン及び8-ブロモ-6-ニトロ-2-テトラヒドロピラン-4-イル-イミダゾ[1,2-a]ピリジンの分離できない混合物(1:2の比率)を得、これを更に精製することなく次の反応に使用した。LCMS (ESI) m/z 328.0。
中間体16:8-ブロモ-2-(テトラヒドロ-2H-ピラン-4-イル)イミダゾ[1,2-a]ピリジン-6-アミン
Figure 0007576552000132
8-ブロモ-6-ニトロ-2-テトラヒドロピラン-4-イル-イミダゾ[1,2-a]ピリジン(950mg、2.91mmol)及び二塩化スズ二水和物(1.97g、8.73mmol)のEtOH(5mL)中混合物を、70℃で1時間撹拌した。室温に冷却後、混合物を氷水(10mL)の添加によりクエンチし、EtOAc(50mL)及びNaHCO飽和水溶液(50mL)で希釈した。層を分離し、水層をEtOAc(3×20mL)で抽出し、ブライン(20mL)で洗浄し、MgSO上で乾燥し、濾過し、濃縮して、8-ブロモ-2-テトラヒドロピラン-4-イル-イミダゾ[1,2-a]ピリジン-6-アミンを得、これを更に精製することなく次の反応に使用した。LCMS (ESI) m/z 204.1。
実施例106:N-(8-ブロモ-2-(テトラヒドロ-2H-ピラン-4-イル)イミダゾ[1,2-a]ピリジン-6-イル)-6-(トリフルオロメチル)ピコリンアミド
Figure 0007576552000133
実施例106:N-(8-ブロモ-2-(テトラヒドロ-2H-ピラン-4-イル)イミダゾ[1,2-a]ピリジン-6-イル)-6-(トリフルオロメチル)ピコリンアミドは、8-ブロモ-2-(テトラヒドロ-2H-ピラン-4-イル)イミダゾ[1,2-a]ピリジン-6-アミンから出発して、中間体3cについて記載されたのと同様の方法で調製された。LCMS (ESI) m/z 471.1 (M+H)+, H NMR (400 MHz, メタノール-d) δ ppm 1.78 - 1.88 (m, 2 H) 2.04 (br dd, J=13.05, 1.76 Hz, 2 H) 3.01 - 3.09 (m, 1 H) 3.58 - 3.64 (m, 2 H) 4.02 - 4.09 (m, 2 H) 7.82 (d, J=0.75 Hz, 1 H) 7.93 (d, J=1.76 Hz, 1 H) 8.07 (dd, J=7.78, 1.00 Hz, 1 H) 8.30 (t, J=7.78 Hz, 1 H) 8.46 (d, J=7.53 Hz, 1 H) 9.24 (d, J=1.76 Hz, 1 H)。
実施例107:N-(8-(3,6-ジヒドロ-2H-ピラン-4-イル)-2-(テトラヒドロ-2H-ピラン-4-イル)イミダゾ[1,2-a]ピリジン-6-イル)-6-(トリフルオロメチル)ピコリンアミド
Figure 0007576552000134
CO(35mg、260μmol)、N-(8-ブロモ-2-(テトラヒドロ-2H-ピラン-4-イル)イミダゾ[1,2-a]ピリジン-6-イル)-6-(トリフルオロメチル)ピコリンアミド(40mg、85μmol)、1,1’-ビス(ジフェニルホスフィノ)フェロセンパラジウム(II)クロリドのジクロロメタン複合体(6.9mg、8.5μmol)、及び2-(3,6-ジヒドロ-2H-ピラン-4-イル)-4,4,5,5-テトラメチル-1,3,2-ジオキサボロラン(26.8mg、128μmol)のジオキサン(1mL)中混合物を、80℃で16時間加熱した後、水(10mL)の添加によりクエンチした。層を分離し、水層をEtOAc(3×10mL)で抽出し、MgSO上で乾燥し、濾過し、濃縮し、逆相カラムでのTFAで改質した質量分析計直結HPLC(5~95%の水対アセトニトリルの勾配)により精製して、N-(8-(3,6-ジヒドロ-2H-ピラン-4-イル)-2-(テトラヒドロ-2H-ピラン-4-イル)イミダゾ[1,2-a]ピリジン-6-イル)-6-(トリフルオロメチル)ピコリンアミド2,2,2-トリフルオロ酢酸塩(20mg、34μmol)を得た。LCMS (ESI) m/z 473.2 (M+H)
実施例108:6-(6-(ジフルオロメチル)ピコリンアミド)-7-エトキシ-N、N-ジメチルイミダゾ[1,2-a]ピリジン-2-カルボキサミド
Figure 0007576552000135
シールドチューブ内で、6-(6-(ジフルオロメチル)ピコリンアミド)-7-エトキシイミダゾ[1,2-a]ピリジン-2-カルボン酸エチル(中間体12、300mg、973μmol)をジメチルアミンのメタノール溶液(6mL、1M)中に溶解し、80℃で16時間加熱した。混合物を室温に冷却し、減圧下で濃縮した。残留物を水と共にトリチュレートし、形成された沈殿物を濾過により集めた。得られた固体をHPLC(カラム:Waters SunFire C18 5mkm、19×100;ACN-水、30ml/min)により精製して、6-(6-(ジフルオロメチル)ピコリンアミド)-7-エトキシ-N,N-ジメチルイミダゾ[1,2-a]ピリジン-2-カルボキサミド(5.2mg、13μM、1.32%)を白色固体として得た(LCMSによると100%純度)。LCMS (ESI) m/z 404.2 (M+H)H NMR: (400 MHz, メタノール-d) δ 9.50 (s, 1H), 8.32 (d, J = 7.3 Hz, 1H), 8.21 (t, J = 7.6 Hz, 1H), 8.04 (s, 1H), 7.90 (d, J = 7.4 Hz, 1H), 6.95 (s, 1H), 6.74 (t, J = 55.1 Hz, 1H), 4.27 (q, J = 6.8 Hz, 2H), 3.36 (s, 3H), 3.11 (s, 3H), 1.59 (t, J = 6.8 Hz, 3H)。
実施例109:N-(2-(1,1-ジフルオロエチル)-7-エトキシイミダゾ[1,2-a]ピリジン-6-イル)-6-(ジフルオロメチル)ピコリンアミド
実施例109は、2-(1,2,4-トリアゾール-1-イル)酢酸の代わりに2,2-ジフルオロプロパン酸が使用されたことを除いて実施例82と同様に調製された。LCMS (ESI) m/z 397.2 (M+H)H NMR (400 MHz DMSO-d) δ 10.53 (s, 1H), 9.53 (s, 1H), 8.32 (m, 2H), 8.19 (s, 1H), 8.01 (dd, J = 6.2, 2.4 Hz, 1H), 7.17 (s, 1H), 7.12 (t, J = 54.7 Hz, 1H), 4.26 (q, J = 6.8 Hz, 2H), 2.01 (t, J = 18.6 Hz, 3H), 1.51 (t, J = 6.9 Hz, 3H)。
実施例110:6-(ジフルオロメチル)-N-(2-(3,3-ジフルオロプロピル)-7-エトキシイミダゾ[1,2-a]ピリジン-6-イル)ピコリンアミド
実施例110は、2-(1,2,4-トリアゾール-1-イル)酢酸の代わりに4,4-ジフルオロブタン酸が使用されたことを除いて実施例82と同様に調製された。LCMS (ESI) m/z 411 (M+H)H NMR (400 MHz DMSO-d) δ 10.48 (s, 1H), 9.41 (s, 1H), 8.32 (m, 2H), 8.00 (m, 1H), 7.72 (s, 1H), 7.12 (t, J = 54.8 Hz, 1H), 7.06 (s, 1H), 6.17 (t, J = 56.8 Hz, 1H), 4.23 (m, 2H), 2.76 (t, J = 7.6 Hz, 2H), 2.20 (m, 1H), 1.49 (t, J = 6.8 Hz, 3H)。
実施例111:6-(ジフルオロメチル)-N-(7-エトキシ-2-(1-フルオロシクロプロピル)イミダゾ[1,2-a]ピリジン-6-イル)ピコリンアミド
実施例111は、2-(1,2,4-トリアゾール-1-イル)酢酸の代わりに1-フルオロシクロプロパン-1-カルボン酸が使用されたことを除いて実施例82と同様に調製された。LCMS (ESI) m/z 392 (M+H)H NMR (400 MHz, クロロホルム-d) δ 10.53 (s, 1H), 9.44 (s, 1H), 8.37 (d, J = 8.0 Hz, 1H), 8.08 (d, J = 7.7 Hz, 1H), 7.82 (d, J = 7.9 Hz, 1H), 7.53 (s, 1H), 6.86 (s, 1H), 6.65 (t, J = 55.4 Hz, 1H), 4.18 (q, J = 7.0 Hz, 2H), 1.59 (t, J = 7.0 Hz, 3H), 1.51 - 1.25 (m, 4H)。
実施例112:N-(7-エトキシ-2-(テトラヒドロ-2H-ピラン-3-イル)イミダゾ[1,2-a]ピリジン-6-イル)-6-(トリフルオロメチル)ピコリンアミド
実施例112は、2-(1,2,4-トリアゾール-1-イル)酢酸の代わりにテトラヒドロ-2H-ピラン-3-カルボン酸が使用されたことを除いて実施例82と同様に調製された。LCMS (ESI) m/z 435.5、H NMR (500 MHz, メタノール-d) δ ppm 1.66 (t, J=7.02 Hz, 3 H) 1.72 - 1.82 (m, 2 H) 1.84 - 1.96 (m, 1 H) 2.19 - 2.30 (m, 1 H) 3.15 (td, J=8.70, 3.97 Hz, 1 H) 3.58 - 3.71 (m, 2 H) 3.90 (dt, J=10.99, 4.27 Hz, 1 H) 4.10 (dd, J=11.60, 3.05 Hz, 1 H) 4.45 (q, J=6.92 Hz, 2 H) 7.26 (s, 1 H) 7.94 (s, 1 H) 8.13 (d, J=7.33 Hz, 1 H) 8.36 (t, J=7.94 Hz, 1 H) 8.51 (d, J=7.94 Hz, 1 H) 9.79 (s, 1 H)。
実施例113:N-(2-(2,2-ジメチルテトラヒドロ-2H-ピラン-4-イル)-7-エトキシイミダゾ[1,2-a]ピリジン-6-イル)-6-(トリフルオロメチル)ピコリンアミド
実施例113は、2-(1,2,4-トリアゾール-1-イル)酢酸の代わりにテトラヒドロ-2H-ピラン-3-カルボン酸が使用されたことを除いて実施例82と同様に調製された。LCMS (ESI) m/z 464.5、H NMR (500 MHz, メタノール-d) δ ppm 1.29 (s, 4 H) 1.37 (s, 3 H) 1.66 (t, J=6.71 Hz, 4 H) 1.70 - 1.80 (m, 1 H) 1.93 - 2.05 (m, 2 H) 3.34 (br t, J=3.66 Hz, 1 H) 3.81 - 3.94 (m, 2 H) 4.45 (q, J=6.71 Hz, 2 H) 7.26 (s, 1 H) 7.89 (s, 1 H) 8.13 (d, J=7.94 Hz, 1 H) 8.36 (t, J=7.94 Hz, 1 H) 8.51 (d, J=7.94 Hz, 1 H) 9.78 (s, 1 H)。
実施例114及び115:6-(ジフルオロメチル)-N-(7-エトキシ-2-((1r,3r)-3-メトキシシクロブチル)イミダゾ[1,2-a]ピリジン-6-イル)ピコリンアミド及び6-(ジフルオロメチル)-N-(7-エトキシ-2-((1s,3s)-3-メトキシシクロブチル)イミダゾ[1,2-a]ピリジン-6-イル)ピコリンアミド
Figure 0007576552000136
実施例114及び115は、2-(1,2,4-トリアゾール-1-イル)酢酸の代わりに3-メトキシシクロブタン-1-カルボン酸が使用されたことを除いて実施例82と同様に調製された。ジアステレオマーの分離は、キラルHPLCにより達成された(CHIRALCEL OJ-H、250mm30mm、5mkm、ヘキサン-IPA-MeOH、90-5-5、30mL/分)。
実施例114:6-(ジフルオロメチル)-N-(7-エトキシ-2-((1r,3r)-3-メトキシシクロブチル)イミダゾ[1,2-a]ピリジン-6-イル)ピコリンアミド
保持時間(CHIRALCEL OJ-H、ヘキサン-IPA-MeOH、70-15-15、0.6mL/分):17.3分
LCMS (ESI) m/z 417.2 (M+H)。1H NMR (400 MHz DMSO-d6) δ 10.47 (s, 1H), 9.38 (s, 1H), 8.31 (m, 2H), 7.99 (m, 1H), 7.66 (s, 1H), 7.11 (t, J = 54.8 Hz, 1H), 7.04 (s, 1H), 4.22 (q, J = 6.8 Hz, 2H), 3.82 (p, J = 7.6 Hz, 1H), 3.16 (s, 3H), 3.00 (p, J = 9.5, 8.7 Hz, 1H), 2.54 (m, 2H), 2.06 (qd, J = 8.4, 2.8 Hz, 2H), 1.50 (s, 3H)。
実施例115:6-(ジフルオロメチル)-N-(7-エトキシ-2-((1s,3s)-3-メトキシシクロブチル)イミダゾ[1,2-a]ピリジン-6-イル)ピコリンアミド
保持時間(CHIRALCEL OJ-H、ヘキサン-IPA-MeOH、70-15-15、0.6mL/分):15.8分
LCMS (ESI) m/z 417.2 (M+H)。1H NMR (400 MHz DMSO-d6) δ 10.47 (s, 1H), 9.38 (s, 1H), 8.31 (m, 2H), 7.99 (m, 1H), 7.66 (s, 1H), 7.11 (t, J = 54.8 Hz, 1H), 7.04 (s, 1H), 4.22 (q, J = 6.8 Hz, 2H), 3.82 (p, J = 7.6 Hz, 1H), 3.16 (s, 3H), 3.00 (p, J = 9.5, 8.7 Hz, 1H), 2.54 (m, 2H), 2.06 (qd, J = 8.4, 2.8 Hz, 2H), 1.50 (s, 3H)。
実施例116:6-(ジフルオロメチル)-N-(7-エトキシ-2-(テトラヒドロ-2H-ピラン-4-イル)イミダゾ[1,2-a]ピリジン-6-イル)ピコリンアミド
実施例116を、1-クロロ-5-メトキシペンタン-2-オンの代わりに2-クロロ-1-(テトラヒドロ-2H-ピラン-4-イル)エタン-1-オンを使用して、実施例12について記載されたのと同様の方法で調製して、6-(ジフルオロメチル)-N-(7-エトキシ-2-(テトラヒドロ-2H-ピラン-4-イル)イミダゾ[1,2-a]ピリジン-6-イル)ピコリンアミドを得た。LCMS (ESI) m/z 417.2 (M+H)。1H NMR: (400 MHz DMSO-d6) δ 10.46 (s, 1H), 9.39 (s, 1H), 8.38 - 8.17 (m, 2H), 8.04 - 7.94 (m, 1H), 7.65 (s, 1H), 7.10 (t, J = 54.7 Hz, 1H), 7.05 (s, 1H), 4.22 (q, J = 6.8 Hz, 2H), 3.91 (d, J = 11.1 Hz, 2H), 3.50 - 3.40 (m, 2H), 2.85 (ddt, J = 11.1, 7.5, 3.7 Hz, 1H), 1.89 (d, J = 12.8 Hz, 2H), 1.67 (qd, J = 12.8, 4.2 Hz, 2H), 1.48 (t, J = 6.9 Hz, 3H)。
実施例117:N-(2-シクロプロピル-7-エトキシイミダゾ[1,2-a]ピリジン-6-イル)-6-メトキシピコリンアミド
触媒量のDMFを含有する6-メトキシピリジン-2-カルボン酸(32mg、210mmol)のクロロホルム(10mL)中溶液を、塩化オキサリル(29mg、230mmol、20μL)で処理した。溶液を気体放出が停止するまで(約2時間)室温で維持し、減圧下で濃縮した。得られた油をクロロホルム(5ml)中に溶解し、2-シクロプロピル-7-エトキシ-イミダゾ[1,2-a]ピリジン-6-アミン(中間体5c、41mg、190mmol)及びトリエチルアミン(57mg、570μmol、80μL)のクロロホルム(10mL)中溶液に添加した。この溶液を室温で一晩維持し、水(5mL)、飽和NaHCO水溶液(5mL)で洗浄し、濃縮した。得られた残留物をHPLCにより精製して、N-(2-シクロプロピル-7-エトキシ-イミダゾ[1,2-a]ピリジン-6-イル)-6-メトキシ-ピリジン-2-カルボキサミド(16mg、43mmol、23%収率)を得た。LCMS (ESI) m/z 353.2 (M+H)H NMR (400 MHz, メタノール-d):δ 9.37 (s, 1H), 7.87 - 7.81 (m, 1H), 7.76 (d, J = 7.2 Hz, 1H), 7.37 (s, 1H), 7.00 (d, J = 8.2 Hz, 1H), 6.77 (s, 1H), 4.19 (q, J = 6.9 Hz, 2H), 4.02 (s, 3H), 1.98 - 1.86 (m, 1H), 1.51 (t, J = 7.0 Hz, 3H), 0.98 - 0.87 (m, 2H), 0.85 - 0.74 (m, 2H)。
実施例118:N-(2-シクロプロピル-7-エトキシイミダゾ[1,2-a]ピリジン-6-イル)-6-(トリフルオロメトキシ)ピコリンアミド
Figure 0007576552000137
ステップa:2-クロロ-6-(トリフルオロメトキシ)ピリジン(500mg、2.53mmol)、トリエチルアミン(307mg、3.04mmol、420mL)、及びPd(dppf)Cl(93mg、127μmol)をメタノール(50mL)中に溶解し、スチール製オートクレーブに配置し、一酸化炭素雰囲気(38000トル)下で100℃にて24時間加熱した。変換(TLCによりモニタリングされる)が完了したら、溶媒を除去し、残留物をMTBE(100mL)中に入れ、シリカパッドを通して濾過した。次いで、MTBEを蒸発させ、6-(トリフルオロメトキシ)ピリジン-2-カルボン酸メチル(4.50g、粗製、H NMRによると90%)を赤色液体として得、これを更に精製することなく使用した。H NMR (CDCl, 400 MHz): 8.05 (d, J = 7.6 Hz, 1H);7.94 (t, J = 8 Hz, 1H);7.24 (d, J = 7.6 Hz, 1H);3.98 (s, 3H)。
ステップb:6-(トリフルオロメトキシ)ピリジン-2-カルボン酸メチル(450mg、1.83mmol)のTHF(30mL)中溶液に、水酸化リチウム一水和物(76.8mg、1.83mmol)を水(5mL)中溶液として一度に添加した。混合物を室温で一晩撹拌した。次いで、溶媒を蒸発させ、残留物を水(30mL)中に溶解した。この溶液をDCM(2×20mL)で洗浄し、硫酸水素ナトリウム(880mg、7.3mmol)を水(10mL)中溶液として添加することにより酸性化した。混合物をDCM(2×30mL)で抽出し、有機相を硫酸ナトリウム上で乾燥し、蒸発させて、6-(トリフルオロメトキシ)ピリジン-2-カルボン酸(333mg、1.61mmol、87.9%収率)を白色の結晶性粉末として得た。LCMS (ESI) m/z 208.2 (M+H)H NMR (CDCl, 500 MHz): 8.19 (d, J = 7.6 Hz, 1H);8.10 (t, J = 7.9 Hz 1H);7.34 (d, J = 7.6 Hz, 1H)。
ステップc:6-(トリフルオロメトキシ)ピリジン-2-カルボン酸(36.7mg、177mmol)を、触媒量のDMFを含有するクロロホルム(10mL)中に溶解し、塩化オキサリル(24mg、193mmol、16.4mL)で処理した。得られた溶液を気体放出が停止するまで(約2時間)室温で撹拌し、減圧下で濃縮した。得られた油をクロロホルム(5ml)中に溶解し、2-シクロプロピル-7-エトキシ-イミダゾ[1,2-a]ピリジン-6-アミン(35mg、161mmol)及びトリエチルアミン(48.9mg、483mmol、67mL)のクロロホルム(10mL)中溶液に添加した。この溶液を室温で一晩維持し、水(5mL)、飽和NaHCO水溶液(5mL)で洗浄し、減圧下で濃縮した。得られた残留物をHPLCにより精製して、N-(2-シクロプロピル-7-エトキシ-イミダゾ[1,2-a]ピリジン-6-イル)-6-(トリフルオロメトキシ)ピリジン-2-カルボキサミド(14mg、34mmol、20.8%収率)を得た。LCMS (ESI) m/z 407.0 (M+H)H NMR: CDOD, 400 MHz: 9.37 (s, 1H);8.14 (m, 2H);7.34 (m, 2H);6.75 (s, 1H);4.19 (q, J = 6.8 Hz, 2H), 1.93 (m, 1H);1.50 (t, J = 7.3 Hz, 3H);0.93 (m, 2H);0.8 (m, 2H)。
実施例119:N-(2-シクロプロピル-7-エトキシイミダゾ[1,2-a]ピリジン-6-イル)-2,3-ジヒドロベンゾフラン-7-カルボキサミド
実施例119は、6-メトキシピリジン-2-カルボン酸の代わりに2,3-ジヒドロベンゾフラン-7-カルボン酸を使用して、実施例117について記載されたのと同様の方法で調製された。LCMS (ESI) m/z 364.2 (M+H)H NMR (400 MHz, メタノール-d) δ 9.67 (s, 1H), 7.80 (d, J = 7.9 Hz, 1H), 7.70 (s, 1H), 7.44 (d, J = 7.2 Hz, 1H), 7.09 (s, 1H), 7.00 (t, J = 7.6 Hz, 1H), 4.80 (t, J = 8.8 Hz, 2H), 4.34 (q, J = 6.9 Hz, 2H), 3.30 (t, J = 8.5 Hz, 2H), 2.11 - 1.99 (m, 1H), 1.65 (t, J = 6.9 Hz, 3H), 1.22 - 1.11 (m, 2H), 0.94 - 0.84 (m, 2H)。
実施例120:N-(2-シクロプロピル-7-エトキシイミダゾ[1,2-a]ピリジン-6-イル)-6-(トリフルオロメチル)ピラジン-2-カルボキサミド
実施例120は、6-メトキシピリジン-2-カルボン酸の代わりに6-(トリフルオロメチル)ピラジン-2-カルボン酸を使用して、実施例117について記載されたのと同様の方法で調製された。LCMS (ESI) m/z 392.2 (M+H)。1H NMR (400 MHz, メタノール-d4) δ 9.63 (s, 1H), 9.40 (s, 1H), 9.33 (s, 1H), 7.45 (s, 1H), 6.86 (s, 1H), 4.25 (q, J = 7.1 Hz, 2H), 2.00 - 1.89 (m, 1H), 1.56 (t, J = 6.9 Hz, 3H), 0.96 - 0.89 (m, 2H), 0.84 - 0.76 (m, 2H)。
実施例121:6-(ジフルオロメチル)-N-(7-エトキシ-2-(モルホリノメチル)イミダゾ[1,2-a]ピリジン-6-イル)ピコリンアミド
Figure 0007576552000138
ステップa:2-モルホリノ酢酸塩酸塩(500mg、2.75mmol)のクロロホルム(20mL)中溶液に、塩化チオニル(0.66g、5.5mmol)をN下、0℃で添加した。混合物を室温で12時間撹拌した。混合物を減圧下で濃縮して、2-モルホリノアセチルクロリド(0.55g、2.75mmol)を得、これを直接使用した。粗製の2-モルホリノアセチルクロリドをTHF(10mL)中に溶解し、0℃まで冷却した。アセトニトリル(10mL)を添加し、続いて、ジアゾメチル(トリメチル)シラン(2M、1.6mL)のEtO溶液を添加した。溶液を0℃で1時間維持した。混合物に塩酸(12M、2mL)を0℃で添加した。得られた混合物を30℃で3時間撹拌した。混合物をEtOAc(100mL)で希釈し、次いで、飽和NaHCO水溶液でpH=8~9に塩基化した。水層をEtOAc(3×100mL)で抽出した。合わせた有機層をブライン(100mL)で洗浄し、NaSO上で乾燥し、濾過し、減圧下で濃縮して、1-クロロ-3-モルホリノプロパン-2-オンを赤褐色油として得、これを精製することなく次のステップに使用した。H NMR (400 MHz, クロロホルム-d) δ 4.45 (s, 2H), 3.73-3.64 (m, 8H), 3.56-3.52 (m, 2H)。
ステップb:バイアルに、中間体3c:N-(6-アミノ-4-エトキシピリジン-3-イル)-6-(ジフルオロメチル)ピコリンアミド(300mg、973μmol)、1-クロロ-3-モルホリノプロパン-2-オン(180mg、1.01mmol)、及びNaHCO(90mg、1.1mmol)を投入した。EtOH(6mL)を添加し、バイアルを密閉し、80℃で16時間加熱した。次いで、混合物を室温に冷却し、HO(25mL)で希釈すると、赤褐色沈殿物が形成され、これを濾過し、減圧下で乾燥した。得られた固体をHPLC(カラム:SunFire C18 100*19mm、5mkm、ACN-水、30mL/分)により精製して、6-(ジフルオロメチル)-N-(7-エトキシ-2-(モルホリノメチル)イミダゾ[1,2-a]ピリジン-6-イル)ピコリンアミド(40.1mg、100μM、9.5%収率)を得た。LCMS (ESI) m/z 432.2 (M+H)H NMR (400 MHz, クロロホルム-d) δ 10.54 (s, 1H), 9.33 (s, 1H), 8.38 (d, J = 7.8 Hz, 1H), 8.09 (t, J = 7.8 Hz, 1H), 7.82 (d, J = 7.8 Hz, 1H), 6.76 (s, 1H), 6.65 (t, J = 55.3 Hz, 1H), 4.17 (q, J = 6.9 Hz, 2H), 3.91 (t, J = 4.5 Hz, 4H), 3.14 (br. s, 4H), 2.44 (s, 3H), 1.58 (t, J = 6.9 Hz, 3H)。
実施例122:N-(7-エトキシ-2-((テトラヒドロフラン-3-イル)メチル)イミダゾ[1,2-a]ピリジン-6-イル)-1-イソプロピル-1H-ピラゾール-3-カルボキサミド
Figure 0007576552000139
ステップa:HATU(538mg、1.41mmol)、DIPEA(456mg、3.53mmol、620μL)、及び化合物である1-イソプロピルピラゾール-3-カルボン酸(163mg、1.06mmol)を、中間体3a:4-エトキシピリジン-2,5-ジアミン(250mg、1.18mmol)のDMF(3mL)中溶液に添加した。混合物を30℃で3時間撹拌し、次いで、HO(50mL)で希釈し、EtOAc(4×50mL)で抽出した。合わせたEtOAc相をHO(50mL)及びブライン(50mL)で洗浄し、NaSO上で乾燥し、濾過して、減圧下で濃縮して、N-(6-アミノ-4-エトキシ-3-ピリジル)-1-イソプロピル-ピラゾール-3-カルボキサミドを灰色の固体として得、定量的収率と仮定して、これを更に精製することなく次のステップに使用した。LCMS (ESI) m/z 290.2 (M+H)
ステップb:バイアルに、N-(6-アミノ-4-エトキシ-3-ピリジル)-1-イソプロピル-ピラゾール-3-カルボキサミド(290mg、1.00mmol)、1-クロロ-3-テトラヒドロフラン-3-イル-プロパン-2-オン(381mg、3.00mmol)、及びNaHCO(253mg、3.00mmol)を投入した。EtOH(15mL)を添加し、バイアルを密閉し、80℃で16時間加熱した。混合物を室温に冷却し、HO(25mL)で希釈し、EtOAc(4×25mL)で抽出した。合わせた有機層をHO(50mL)及びブライン(50mL)で洗浄し、NaSO上で乾燥し、濾過し、減圧下で濃縮した。得られた褐色固体をHPLCにより精製して、N-[7-エトキシ-2-(テトラヒドロフラン-3-イルメチル)イミダゾ[1,2-a]ピリジン-6-イル]-1-イソプロピル-ピラゾール-3-カルボキサミド(78mg、0.2mmol、19.6%収率)を得た。LCMS (ESI) m/z 398.2 (M+H)H NMR (400 MHz DMSO-d):δ 9.34 (s, 1H), 9.23 (s, 1H), 7.97 (d, J = 2.4 Hz, 1H), 7.62 (s, 1H), 6.99 (s, 1H), 6.77 (d, J = 2.4 Hz, 1H), 4.64-4.56 (m, 1H), 4.20 (q, J = 6.9 Hz, 2H), 3.80-3.70 (m, 2H), 3.66-3.58 (m, 1H), 3.40 (dd, J = 8.3, 6.2 Hz, 1H), 2.65 (d, J = 7.3 Hz, 2H), 2.57 (dt, J = 13.6, 7.3 Hz, 1H), 2.01-1.89 (m, 1H), 1.63-1.54 (m, 1H), 1.53-1.34 (m, 9H)。
実施例123:N-(7-エトキシ-2-((テトラヒドロフラン-3-イル)メチル)イミダゾ[1,2-a]ピリジン-6-イル)-1-(2,2,2-トリフルオロエチル)-1H-ピラゾール-3-カルボキサミド
実施例123は、1-イソプロピルピラゾール-3-カルボン酸の代わりに1-(2,2,2-トリフルオロエチル)ピラゾール-3-カルボン酸を使用して、実施例122について記載されたのと同様の方法で調製された。LCMS (ESI) m/z 438.4 (M+H)H NMR (400 MHz DMSO-d):δ 9.26 (s, 1H), 9.19 (s, 1H), 8.06 (d, J = 2.5 Hz, 1H), 7.63 (s, 1H), 7.00 (s, 1H), 6.90 (d, J = 2.4 Hz, 1H), 5.31 (q, J = 9.0 Hz, 2H), 4.20 (q, J = 6.9 Hz, 2H), 3.81 - 3.69 (m, 2H), 3.67-3.56 (m, 1H), 3.40 (dd, J = 8.4, 6.4 Hz, 1H), 2.66 (d, J = 7.2 Hz, 2H), 2.57 (dd, J = 14.3, 7.2 Hz, 1H), 1.97 (dt, J = 12.6, 6.4 Hz, 1H), 1.60 (dt, J = 12.6, 6.9 Hz, 1H), 1.42 (t, J = 6.9 Hz, 3H)。
実施例124:1-(ジフルオロメチル)-N-(7-エトキシ-2-((テトラヒドロフラン-3-イル)メチル)イミダゾ[1,2-a]ピリジン-6-イル)-1H-ピラゾール-3-カルボキサミド
実施例124は、1-イソプロピルピラゾール-3-カルボン酸の代わりに1-(ジフルオロメチル)-1H-ピラゾール-3-カルボン酸を使用して、実施例122について記載されたのと同様の方法で調製された。LCMS (ESI) m/z 406.2 (M+H)H NMR (400 MHz DMSO-d) δ 9.36 (s, 1H), 9.10 (s, 1H), 8.45 (d, J = 2.7 Hz, 1H), 7.95 (t, J = 58.7 Hz, 1H), 7.62 (s, 1H), 7.03 (d, J = 2.7 Hz, 1H), 7.00 (s, 1H), 4.20 (q, J = 7.0 Hz, 2H), 3.81-3.70 (m, 2H), 3.63 (q, J = 7.6 Hz, 1H), 3.40 (dd, J = 8.2, 6.2 Hz, 1H), 2.67 (d, J = 7.2 Hz, 2H), 2.57 (q, J = 7.2 Hz, 1H), 2.06 - 1.92 (m, 1H), 1.67-1.55 (m, 1H), 1.41 (t, J = 6.9 Hz, 3H)。
実施例125:1-(2,2-ジフルオロエチル)-N-(7-エトキシ-2-((テトラヒドロフラン-3-イル)メチル)イミダゾ[1,2-a]ピリジン-6-イル)-1H-ピラゾール-3-カルボキサミド
実施例125は、1-イソプロピルピラゾール-3-カルボン酸の代わりに1-(2,2-ジフルオロエチル)-1H-ピラゾール-3-カルボン酸を使用して、実施例122について記載されたのと同様の方法で調製された。LCMS (ESI) m/z 420.2 (M+H)H NMR (400 MHz DMSO-d) δ 9.33 (d, J = 10.0 Hz, 2H), 8.01 (d, J = 2.4 Hz, 1H), 7.82 (s, 1H), 7.13 (s, 1H), 6.88 (d, J = 2.4 Hz, 1H), 6.70 - 6.21 (m, 1H), 4.79 (td, J = 15.2, 3.5 Hz, 2H), 4.29 (q, J = 6.9 Hz, 2H), 3.79-3.70 (m, 2H), 3.65 (q, J = 7.6 Hz, 1H), 3.40 (dd, J = 8.4, 6.2 Hz, 1H), 2.73 (d, J = 7.4 Hz, 2H), 2.59 (q, J = 7.1 Hz, 1H), 2.06 - 1.90 (m, 1H), 1.60 (dq, J = 13.5, 7.1 Hz, 1H), 1.45 (t, J = 6.9 Hz, 3H)。
実施例126:6-(ジフルオロメチル)-N-(7-エトキシ-2-(モルホリン-4-カルボニル)イミダゾ[1,2-a]ピリジン-6-イル)ピコリンアミド
Figure 0007576552000140
ステップa:2-クロロ-2-オキソ酢酸エチル(1.42g、10.4mmol)のジクロロメタン(5mL)中溶液を、モルホリン(1.0g、11.5mmol)及びトリエチルアミン(1.16g、11.5mmol、1.6mL)のジクロロメタン(20mL)中溶液に0℃で滴加した。反応混合物を室温に温め、12時間撹拌した。得られた混合物を濾過し、濾液を減圧下で濃縮した。得られた黄色の残留物を25mLの水中に注ぎ込み、酢酸エチル(3×20mL)で抽出した。合わせた有機層をブラインで洗浄し、無水硫酸ナトリウム上で乾燥し、減圧下で濃縮して、2-モルホリノ-2-オキソ酢酸エチル(1.7g、9.1mmol、収率87%)を得、これを更に精製することなく次のステップに使用した。H NMR (400 MHz, クロロホルム-d) δ 4.41 - 4.09 (m, 2H), 3.77 - 3.46 (m, 6H), 3.50 - 3.24 (m, 2H), 1.33 (t, J = 7.1 Hz, 3H)。
ステップb:2-モルホリノ-2-オキソ酢酸エチル(1.7g、9.1mmol)をEtOH(20mL)中に溶解し、HO(10mmol)を添加した。混合物を60℃まで加熱し、t-BuOK(10mmol)のEtOH(10mL)中溶液を30分かけて滴加した。添加が完了したら、反応混合物を60℃で10時間撹拌した。溶媒を減圧下で除去し、得られた白色固体をEtOH及びEtOの混合物を使用した再結晶化により精製して、2-モルホリノ-2-オキソ酢酸カリウム(1.6g、8.1mmol、89%)を白色固体として得た。H NMR (400 MHz DMSO-D6) δ 3.82 - 3.71 (m, 4H), 3.62 - 3.54 (m, 2H), 3.52 - 3.45 (m, 2H)。
ステップb:2-モルホリノ-2-オキソ酢酸カリウム(1.6g、8.1mmol)のクロロホルム(20mL)中懸濁液に、塩化オキサリル(2.06g、16.2mmol)をN下、0℃で添加した。混合物を室温で4時間撹拌した。次いで、混合物を減圧下で濃縮して、2-モルホリノ-2-オキソアセチルクロリドを得、これを直ちにTHF(10mL)及びACN(10mL)中に溶解した。溶液を0℃まで冷却し、ジアゾメチル(トリメチル)シラン(2M、3.6mL)のEtO溶液を添加した。混合物を0℃で1時間撹拌し、撹拌したら混合物に濃塩酸(12M、5mL)を0℃で添加した。混合物を室温に温め、2時間を維持し、維持したらこれをEtOAc(50mL)で希釈し、次いで、飽和NaHCO水溶液によりpH=8~9に塩基化した。層を分離し、水層をEtOAc(3×50mL)で抽出した。合わせた有機層をブライン(100mL)で洗浄し、NaSO上で乾燥し、濾過し、減圧下で濃縮して、3-クロロ-1-モルホリノプロパン-1,2-ジオン(400mg、3.14mmol、33.98%収率)を赤褐色油として得、これをそれ以上操作することなく次のステップに使用した。
ステップc:バイアルに、中間体3c:N-(6-アミノ-4-エトキシピリジン-3-イル)-6-(ジフルオロメチル)ピコリンアミド(215mg、0.7mmol)、3-クロロ-1-モルホリノプロパン-1,2-ジオン(400mg、2.1mmol)、及びNaHCO(175mg、2.1mmol)を投入した。EtOH(6mL)を添加し、バイアルを密閉し、80℃で16時間加熱した。混合物を室温に冷却し、次いで、HO(25mL)で希釈した。赤褐色の沈殿物が形成され、これを真空濾過により集めた。固体をHPLC(カラム:SunFire C18、100×19mm、5um;移動相:50~90%の水-メタノール、1.3~5.3分、流速:30ml/min)により精製して、6-(ジフルオロメチル)-N-(7-エトキシ-2-(モルホリン-4-カルボニル)イミダゾ[1,2-a]ピリジン-6-イル)ピコリンアミド(58mg、0.10mmol、19%収率)を得た。LCMS (ESI) m/z 436.0 (M+H)H NMR (500 MHz, クロロホルム-d) δ 10.59 (s, 1H), 9.50 (s, 1H), 8.39 (d, J = 7.7 Hz, 1H), 8.12 (t, J = 7.7 Hz, 1H), 8.01 (s, 1H), 7.86 (s, 1H), 6.89 (s, 1H), 6.68 (t, J = 55.3 Hz, 1H), 4.37 (br. s, 2H), 4.23 (q, J = 6.9 Hz, 2H), 3.79 (br. s, 6H), 1.63 (t, J = 6.9 Hz, 3H)。
実施例127:6-(ジフルオロメチル)-N-(7-エトキシ-2-(3-フルオロビシクロ[1.1.1]ペンタン-1-イル)イミダゾ[1,2-a]ピリジン-6-イル)ピコリンアミド
Figure 0007576552000141
ステップa:3-フルオロビシクロ[1.1.1]ペンタン-1-カルボン酸(1.00g、7.69mmol)を、DCM(10mL)中に溶解した。塩化オキサリル(1.07g、8.46mmol)を添加し、混合物を室温で17時間撹拌した。溶液を氷浴中に浸し、アセトニトリル(10mL)を添加し、続いて、ジアゾメチル(トリメチル)シラン(2M、4.2mL)のEtO溶液を慎重に投入した。溶液を室温に温め、一晩維持した。濃塩酸(3当量)を滴加し、得られた混合物を室温で3時間撹拌した。反応混合物を、CO発生が観察されなくなるまでNaHCO飽和水溶液により中性化した。混合物を濾過し、濾液の有機層を得、減圧下で濃縮した。残留物を15mmHg(沸点82℃)で蒸留して、2-クロロ-1-(3-フルオロビシクロ[1.1.1]ペンタン-1-イル)エタン-1-オンを無色液体として得た(500mg、2.31mmol、30%収率、H NMRによると75%純度)。1H NMR (500 MHz, クロロホルム-d) δ 4.20 (s, 2H), 2.46-2.43 (m, 6H)。
ステップb:中間体3c:N-(6-アミノ-4-エトキシピリジン-3-イル)-6-(ジフルオロメチル)ピコリンアミド(284mg、0.920mmol)及び2-クロロ-1-(3-フルオロビシクロ[1.1.1]ペンタン-1-イル)エタン-1-オン(300mg、1.38mmol)を、プロピオニトリル(20mL)中で還流下にて24時間加熱した。飽和NaCO水溶液(3mL)を添加し、混合物を3時間撹拌した。有機相を分離し、減圧下で濃縮した。得られた残留物をHPLCにより精製して、6-(ジフルオロメチル)-N-(7-エトキシ-2-(3-フルオロビシクロ[1.1.1]ペンタン-1-イル)イミダゾ[1,2-a]ピリジン-6-イル)ピコリンアミド(19mg、44μmol、4.9%収率)を得た。LCMS (ESI) m/z 417.2 (M+H)。1H NMR (400 MHz DMSO-d6):δ 10.47 (s, 1H), 9.40 (s, 1H), 8.36 - 8.28 (m, 2H), 8.00 (dd, J = 5.3, 3.6 Hz, 1H), 7.75 (s, 1H), 7.28 - 6.90 (m, 2H), 4.21 (q, J = 6.9 Hz, 2H), 2.34 (d, J = 2.6 Hz, 6H), 1.49 (t, J = 6.9 Hz, 3H)。
実施例128:6-(ジフルオロメチル)-N-(7-エトキシ-2-(1-メトキシシクロプロピル)イミダゾ[1,2-a]ピリジン-6-イル)ピコリンアミド
実施例128は、3-フルオロビシクロ[1.1.1]ペンタン-1-カルボン酸の代わりに1-メトキシシクロプロパン-1-カルボン酸を使用して、実施例127について記載されたのと同様の方法で調製された。LCMS (ESI) m/z 403.2 (M+H)。1H NMR (400 MHz, メタノール-d4) δ 9.36 (s, 1H), 8.26 (d, J = 7.8 Hz, 1H), 8.16 (t, J = 7.8 Hz, 1H), 7.86 (d, J = 7.8 Hz, 1H), 7.61 (s, 1H), 6.96 - 6.58 (m, 2H), 4.18 (q, J = 7.0 Hz, 2H), 3.38 (s, 3H), 1.54 (t, J = 7.0 Hz, 3H), 1.21 - 1.06 (m, 4H)。
実施例129:6-(ジフルオロメチル)-N-(7-エトキシ-2-(3-(2-ヒドロキシプロパン-2-イル)ビシクロ[1.1.1]ペンタン-1-イル)イミダゾ[1,2-a]ピリジン-6-イル)ピコリンアミド
Figure 0007576552000142
ステップa:3-(メトキシカルボニル)ビシクロ[1.1.1]ペンタン-1-カルボン酸(2.00g、11.8mmol)及び塩化オキサリル(1.64g、12.9mmol)をDCM(5mL)中で混合した。一滴のDMFを添加し、混合物を一晩撹拌した。減圧下で溶媒を除去して、3-(クロロカルボニル)ビシクロ[1.1.1]ペンタン-1-カルボン酸メチル(2.40g)を得、これを直ちにアセトニトリル(5mL)及びTHF(5mL)の混合物中に入れた。ジアゾメチル(トリメチル)シラン(2M、5.8mL)のEtO溶液を0℃で滴加し、混合物を室温で一晩撹拌した。この溶液に33%のHCl水溶液(3当量)を添加し、室温で4時間撹拌し続け、次いで、NaHCO(5当量)を添加し、得られた混合物を更に1時間撹拌した。反応混合物を濾過し、母液を減圧下で濃縮して、油を得、これをヘキサン(15mL)で抽出した。減圧下で溶媒を除去して、3-(2-クロロアセチル)ビシクロ[1.1.1]ペンタン-1-カルボン酸メチル(1.80g、4.44mmol、41.9%収率、H NMRによると50%純度)を得、これを更に精製することなく使用した。1H NMR (400 MHz, クロロホルム-d) δ 4.21 - 4.07 (2H), 3.68 (3H), 2.39 - 2.26 (6H)。
ステップb:中間体3c:N-(6-アミノ-4-エトキシピリジン-3-イル)-6-(ジフルオロメチル)ピコリンアミド(250mg、811μmol)、3-(2-クロロアセチル)ビシクロ[1.1.1]ペンタン-1-カルボン酸(400mg、987μmol)を、プロピオニトリル(20mL)中で24時間加熱還流した。混合物を冷却し、飽和NaCO水溶液(10mL)を添加し、混合物を室温で3時間撹拌した。有機相を分離し、減圧下で濃縮し、HPLCにより精製して、3-(6-(6-(ジフルオロメチル)ピコリンアミド)-7-エトキシイミダゾ[1,2-a]ピリジン-2-イル)ビシクロ[1.1.1]ペンタン-1-カルボン酸メチル(120mg、0.3mmol)を得た。LCMS (ESI) m/z 457.2 (M+H)
ステップc:バイアルに、3-(6-(6-(ジフルオロメチル)ピコリンアミド)-7-エトキシイミダゾ[1,2-a]ピリジン-2-イル)ビシクロ[1.1.1]ペンタン-1-カルボン酸メチル(50mg、109μmol)を投入し、セプタムキャップで密閉し、アルゴン雰囲気下に置いた。THF(10mL)を添加し、続いて、メチルクロロマグネシウムの調製された溶液(0.4mLのTHF中3M溶液からTHFで1mLまで希釈する)を滴加した。得られた混合物を24時間撹拌し、次いで、撹拌しながら酢酸(0.1mL)及び水(0.2mL)を添加することによりクエンチした。有機相を分離し、減圧下で濃縮して、油を得、これをHPLCにより精製して、6-(ジフルオロメチル)-N-(7-エトキシ-2-(3-(2-ヒドロキシプロパン-2-イル)ビシクロ[1.1.1]ペンタン-1-イル)イミダゾ[1,2-a]ピリジン-6-イル)ピコリンアミド(7.8mg、17μmol)を得た。LCMS (ESI) m/z 457.2 (M+H)。1H NMR (400 MHz, クロロホルム-d) δ 10.52 (s, 1H), 9.39 (s, 1H), 8.36 (d, J = 7.7 Hz, 1H), 8.09 (t, J = 7.7 Hz, 1H), 7.82 (d, J = 7.7 Hz, 1H), 7.24 (s, 1H), 6.90 (s, 1H), 4.17 (q, J = 7.2 Hz, 2H), 2.03 (m, 9H), 1.23 (m, 6H)。
実施例130:6-(ジフルオロメチル)-N-(7-エトキシ-2-(3-(ヒドロキシメチル)ビシクロ[1.1.1]ペンタン-1-イル)イミダゾ[1,2-a]ピリジン-6-イル)ピコリンアミド
3-(6-(6-(ジフルオロメチル)ピコリンアミド)-7-エトキシイミダゾ[1,2-a]ピリジン-2-イル)ビシクロ[1.1.1]ペンタン-1-カルボン酸メチル(40.0mg、87.6μmol)をTHF(2mL)中に溶解し、-20℃まで冷却した。LiAlH(30.00mg、790.42μmol)のジエチルエーテル(4mL)中溶液を、温度をおよそ-10℃に維持しながら添加した。混合物を10分間撹拌し、NaOH水溶液の添加によりクエンチした。層を分離し、有機溶液を減圧下で濃縮して、粗製残留物を得、HPLCに供して、純粋な6-(ジフルオロメチル)-N-(7-エトキシ-2-(3-(ヒドロキシメチル)ビシクロ[1.1.1]ペンタン-1-イル)イミダゾ[1,2-a]ピリジン-6-イル)ピコリンアミド(2.8mg、6.54μmol、7.46%収率、100%純度)を得た。LCMS (ESI) m/z 429.0 (M+H)。1H NMR (400 MHz, メタノール-d4) δ 9.39 (s, 1H), 8.31 (d, J = 7.8 Hz, 1H), 8.21 (t, J = 7.8 Hz, 1H), 7.89 (d, J = 7.8 Hz, 1H), 7.44 (s, 1H), 6.99 - 6.62 (m, 2H), 4.23 (q, J = 6.9 Hz, 2H), 3.60 (s, 2H), 2.03 (s, 6H), 1.57 (t, J = 6.9 Hz, 3H)。
実施例131:N-(2-シクロプロピル-7-エトキシイミダゾ[1,2-a]ピリジン-6-イル)-6-モルホリノピコリンアミド
Figure 0007576552000143
ステップa:6-フルオロピリジン-2-カルボン酸tert-ブチル(545mg、2.76mmol)、炭酸セシウム(1.80g、5.53mmol)、及びモルホリン(361mg、4.15mmol、361μL)を、N-メチルピロリドン(10mL)中で100℃にて一晩加熱した。室温に冷却後、混合物を水(50mL)で希釈し、DCM(2×25mL)で抽出した。有機相を硫酸ナトリウム上で乾燥し、蒸発させて、粗製の6-モルホリノピリジン-2-カルボン酸tert-ブチル(400mg、1.36mmol、49%収率)を得、これを更に精製することなく使用した。H NMR: (500 MHz, CDCl): 7.58 (t, J = 8.0 Hz, 1H);7.39 (d, J = 7.5 Hz, 1H);6.77 (d, J = 8.5 Hz, 1H);3.83 (t, J = 4.5 Hz, 4H);3.59 (t, J = 4.5 Hz, 4H);1.61 (s, 9H)。
ステップb:6-モルホリノピリジン-2-カルボン酸tert-ブチル6(400mg、1.51mmol)を、ジオキサン中の10%HCl溶液(30mL)に添加した。触媒量の水を添加し、溶液を室温にて一晩維持した。その後、溶媒を蒸発させ、残留物をCHCNから再結晶化させた。得られた結晶を濾過し、冷CHCNで洗浄し、乾燥して、6-モルホリノピリジン-2-カルボン酸HCl(190mg、780μmol、51.6%収率)を得た。H NMR: (500 MHz DMSO-d): 7.70 (t, J = 8.5 Hz, 1H);7.33 (d, J = 7.0 Hz, 1H);7.06 (d, J = 8.5 Hz, 1H);3.69 (t, J = 4.5 Hz, 4H);3.51 (t, J = 4.5 Hz, 4H)。
ステップc:バイアルに、6-モルホリノピリジン-2-カルボン酸塩酸塩(64.6mg、265μmol)、HATU(117.9mg、309.29μmol)、DIPEA(114.2mg、883.68μmol、154.3μL)、2-シクロプロピル-7-エトキシ-イミダゾ[1,2-a]ピリジン-6-アミン(48.0mg、221μmol)、及びDMF(10mL)を投入した。バイアルをキャッピングし、40℃で一晩加熱した。この過程の後、揮発性物質を蒸発させ、残留物を10mLのDCM中に溶解した。この溶液を水(5mL)及び炭酸水素ナトリウム溶液(5ml)で洗浄し、蒸発乾固した。残留物をHPLCにより精製して、N-(2-シクロプロピル-7-エトキシ-イミダゾ[1,2-a]ピリジン-6-イル)-6-モルホリノ-ピリジン-2-カルボキサミド(16.0mg、39.3μmol、17.8%収率)を得た。LCMS (ESI) m/z 408.2 (M+H)H NMR (400 MHz, CDCl): 10.36 (s, 1H);9.42 (s, 1H);7.68 (t, J = 7.5 Hz, 1H);7.61 (d, J = 7.5 Hz 1H);7.19 (s, 1H);6.81 (m, 2H);4.11 (q, J = 6.8, Hz, 2H), 3.84 (t, J = 4.2 Hz, 4H);3.57 (t, J = 4.2 Hz, 4H);1.95 (m, 1H);1.49 (t, J = 6.8 Hz, 3H);0.89 (m, 4H)。
実施例132:N-(2-シクロプロピル-7-エトキシイミダゾ[1,2-a]ピリジン-6-イル)-6-(1-ヒドロキシシクロブチル)ピコリンアミド
Figure 0007576552000144
ステップa:2-ブロモ-6-クロロ-ピリジン(10.6g、55.0mmol)を、アルゴン下でTHF(800mL)中に溶解し、-80℃まで冷却した。温度を-70℃未満に保ちながら、ブチルリチウム(3.87g、60.5mmol、1M)のTHF溶液をゆっくりと添加した。溶液をこの温度で2時間撹拌した。この過程で、混合物の色が黄色から暗赤色に変化した。シクロブタノン(4.62g、66.0mmol、4.91mL)を混合物に滴添加し、得られた溶液を室温で6時間撹拌した。反応物を飽和NHCl水溶液の添加によりクエンチした。有機相を分離し、蒸発させた。残留物をシリカゲルクロマトグラフィーにより精製して、1-(6-クロロ-2-ピリジル)シクロブタノール(2.85g、15.5mmol、28.2%収率)を得た。H NMR: (500 MHz, CDCl): 7.81 (t, J=8.0 Hz, 1H);7.53 (d, J=7.5 Hz, 1H);7.34 (d, J=7.5 Hz, 1H);5.84 (s, 1H);2.49 (m, 2H);2.19 (m, 2H);1.89 (m, 1H);1.79 (m, 1H)。
ステップb:1-(6-クロロ-2-ピリジル)シクロブタノール(1.00g、5.45mmol)、トリエチルアミン(661mg、6.54mmol、910μL)、Pd(dppf)Cl(199mg、273μmol)、及びメタノール(100mL)をスチール製オートクレーブ内に入れ、一酸化炭素雰囲気(38000トル)下で120℃で36時間加熱した。変換(TLCによりモニタリングされる)が完了したら、溶媒を除去し、残留物をMTBEで処理し、シリカパッドを通して濾過した。溶媒を蒸発させて、6-(1-ヒドロキシシクロブチル)ピリジン-2-カルボン酸メチル(700mg、3.38mmol、62%収率)を赤みがかった油として得、これを更に精製することなく次のステップに使用した。H NMR: (500 MHz, CDCl): 8.03 (t, J = 8.0 Hz, 1H);7.92 (d, J = 7.5 Hz, 1H);7.79 (d, J = 7.5 Hz, 1H);5.18 (s, 1H);3.99 (s, 3H);2.60 (m, 2H);2.51 (m, 2H);2.12 (m, 1H);1.92 (m, 1H)。
ステップc:6-(1-ヒドロキシシクロブチル)ピリジン-2-カルボン酸メチル(700mg、3.38mmol)のTHF(60mL)中溶液に、10mLの水酸化リチウム一水和物の水溶液(428mg、10.2mmol)を一度に添加した。混合物を室温にて一晩撹拌した。次いで、溶媒を蒸発させ、残留物を水(30mL)中に溶解した。この溶液をDCM(2×20mL)で洗浄し、水(10mL)中の硫酸水素ナトリウム(3.27g、27.2mmol)の添加により酸性化した。混合物をDCM(2×30mL)で抽出し、層を分離し、合わせた有機相を硫酸ナトリウムで乾燥し、濃縮して、6-(1-ヒドロキシシクロブチル)ピリジン-2-カルボン酸(323mg、1.67mol、49.5%収率)を白色の結晶性粉末として得、これを更に精製することなく次のステップに使用した。H NMR: (500 MHz, CDCl): 8.17 (t, J = 8.0 Hz, 1H);8.01 (d, J = 7.5 Hz, 1H);7.90 (d, J = 7.5 Hz, 1H);7.25-6.3 (broad s, 2H);2.63 (m, 2H);2.54 (m, 2H);2.15 (m, 1H);1.90 (m, 1H) 。
ステップd:バイアルに、6-(1-ヒドロキシシクロブチル)ピリジン-2-カルボン酸(80.9mg、419μmol、クロリド)、HATU(172mg、451μmol)、DIPEA(125mg、966μmol、170μL)、及び2-シクロプロピル-7-エトキシ-イミダゾ[1,2-a]ピリジン-6-アミン(70.0mg、322μmol)を投入し、DMF(10mL)を添加した。バイアルをキャッピングし、40℃で一晩加熱した。この過程の後、揮発性物質を蒸発させ、残留物をDCM(10mL)中に溶解した。溶液を水(5mL)及び重炭酸ナトリウム飽和水溶液(5mL)で洗浄し、蒸発乾固した。残留物をHPLCにより精製して、N-(2-シクロプロピル-7-エトキシ-イミダゾ[1,2-a]ピリジン-6-イル)-6-(1-ヒドロキシシクロブチル)ピリジン-2-カルボキサミド(7.0mg、18μmol、5.5%収率)を得た。LCMS (ESI) m/z 393.0 (M+H)H NMR: (500 MHz, CDCl): 10.47 (s, 1H);9.39 (s, 1H);8.16 (d, J = 6.5 Hz, 1H);7.96 (t, J = 6.5 Hz, 1H);7.77 (d, J = 6.5 Hz, 1H);7.24 (s, 1H);7.17 (s, 1H);6.80 (s, 1H);4.12 (q, J = 6.8 Hz, 2H);2.57 (m, 2H);2.45 (m, 2H);2.10 (m, 2H);1.91 (m, 2H);1.53 (t, J = 7.3 Hz, 3H), 0.89 (m, 4H)。
実施例133:N-(7-エトキシ-2-(テトラヒドロ-2H-ピラン-4-イル)イミダゾ[1,2-a]ピリジン-6-イル)-6-メトキシピコリンアミド
Figure 0007576552000145
ステップa:バイアルに、5-ブロモ-4-エトキシ-ピリジン-2-アミン(497mg、2.29mmol)、NaHCO(577mg、6.87mmol)、及び2-ブロモ-1-テトラヒドロピラン-4-イル-エタノン(379mg、1.83mmol)を投入した。EtOH(9mL)を添加し、混合物を80℃で一晩加熱した。反応物を室温に冷却し、MeOH及びシリカを添加し、混合物を濃縮した。シリカゲルクロマトグラフィーによる精製により、6-ブロモ-7-エトキシ-2-テトラヒドロピラン-4-イル-イミダゾ[1,2-a]ピリジン(410mg、1.26mmol、55%収率)を得た。LCMS (ESI) m/z 325.4 (M+H)
ステップb:4mLのバイアルに、6-ブロモ-7-エトキシ-2-テトラヒドロピラン-4-イル-イミダゾ[1,2-a]ピリジン(100mg、307μmol)、Pd(OAc)(13.8mg、61.5μmol)、(5-ジフェニルホスファニル-9,9-ジメチル-キサンテン-4-イル)-ジフェニルホスファン(71mg、123μmol)、CsCO(200mg、615μmol)、及び6-メトキシピリジン-2-カルボキサミド(117mg、768μmol)を投入した。バイアルをセプタムキャップでキャッピングし、Nによりパージした。ジオキサン(3mL)を室温で添加し、バイアルをパラフィルムで密閉し、100℃で一晩加熱した。反応物を室温に冷却し、セライトを通して濾過し、濃縮し、TFAで改質した質量分析計直結HPLCにより精製して、N-(7-エトキシ-2-テトラヒドロピラン-4-イル-イミダゾ[1,2-a]ピリジン-6-イル)-6-メトキシ-ピリジン-2-カルボキサミド2,2,2-トリフルオロ酢酸塩(37.1mg、93.6μmol、30.4%収率)を白色固体として得た。LCMS (ESI) m/z 397.5 (M+H)H NMR (500 MHz, メタノール-d) δ ppm 1.62 (t, J=6.71 Hz, 3 H) 1.79 - 1.90 (m, 2 H) 1.95 - 2.08 (m, 2 H) 3.09 - 3.20 (m, 1 H) 3.56 - 3.70 (m, 2 H) 4.02 - 4.15 (m, 5 H) 4.45 (q, J=7.33 Hz, 2 H) 7.11 (d, J=9.16 Hz, 1 H) 7.24 (s, 1 H) 7.83 - 7.97 (m, 3 H) 9.83 (s, 1 H)。
実施例134:N-(7-エトキシ-2-((テトラヒドロフラン-3-イル)メチル)イミダゾ[1,2-a]ピリジン-6-イル)-6-メトキシピコリンアミド
実施例134は、2-ブロモ-1-テトラヒドロピラン-4-イル-エタノンの代わりに1-クロロ-3-(テトラヒドロフラン-3-イル)プロパン-2-オンを使用して、実施例133について記載されたのと同様の方法で調製された。LCMS (ESI) m/z 397.5 (M+H)H NMR (500 MHz DMSO-d) δ ppm 1.51 (t, J=6.71 Hz, 3 H) 1.61 (dd, J=12.51, 7.63 Hz, 1 H) 1.98 - 2.11 (m, 1 H) 2.57 - 2.65 (m, 1 H) 2.85 (d, J=7.32 Hz, 2 H) 3.68 (q, J=7.73 Hz, 1 H) 3.75 - 3.85 (m, 2 H) 4.05 (s, 3 H) 4.42 (q, J=7.12 Hz, 2 H) 7.21 (d, J=8.55 Hz, 1 H) 7.35 (s, 1 H) 7.84 (d, J=7.32 Hz, 1 H) 8.03 (dd, J=8.55, 7.32 Hz, 1 H) 8.15 (s, 1 H) 9.79 (s, 1 H) 10.49 (s, 1 H)。
実施例135及び136:6-(ジフルオロメチル)-N-(7-エトキシ-2-((1r,3r)-3-イソプロポキシシクロブチル)イミダゾ[1,2-a]ピリジン-6-イル)ピコリンアミド及び6-(ジフルオロメチル)-N-(7-エトキシ-2-((1s,3s)-3-イソプロポキシシクロブチル)イミダゾ[1,2-a]ピリジン-6-イル)ピコリンアミド
Figure 0007576552000146
6-(ジフルオロメチル)-N-[7-エトキシ-2-(3-ヒドロキシシクロブチル)イミダゾ[1,2-a]ピリジン-6-イル]ピリジン-2-カルボキサミド(127mg、316μmol)のアセトン(630μL)中溶液を、2-ヨードプロパン(107mg、631μmol、63μL)及び酸化銀(I)(76.8mg、331μmol)で処理した。次いで、混合物を60℃で一晩加熱した。混合物を濾過し、濃縮し、HPLC(CHIRALPAK IB 30×250mm、5um、方法:0.1%のDEAを含有するCO中15%のMeOH(流速:100ml/分、ABPR 120バール、MBPR 40psi、カラム温度40℃)、収集モードは、290nmでのUV収集モニタリングであった)により精製して、6-(ジフルオロメチル)-N-[7-エトキシ-2-(3-イソプロポキシシクロブチル)イミダゾ[1,2-a]ピリジン-6-イル]ピリジン-2-カルボキサミド(4.5mg、10μmol、3.2%収率)及び6-(ジフルオロメチル)-N-[7-エトキシ-2-(3-イソプロポキシシクロブチル)イミダゾ[1,2-a]ピリジン-6-イル]ピリジン-2-カルボキサミド(1.7mg、3.8μmol、1.2%収率)を得た。
実施例135:6-(ジフルオロメチル)-N-(7-エトキシ-2-((1r,3r)-3-イソプロポキシシクロブチル)イミダゾ[1,2-a]ピリジン-6-イル)ピコリンアミド
LCMS (ESI) m/z 445.3 (M+H)H NMR (500 MHz, メタノール-d) δ ppm 1.16 (d, J=6.10 Hz, 6 H) 1.60 (t, J=6.71 Hz, 3 H) 2.02 - 2.20 (m, 2 H) 2.61 - 2.74 (m, 2 H) 3.03 - 3.12 (m, 1 H) 3.64 - 3.75 (m, 1 H) 4.04 - 4.14 (m, 1 H) 4.28 (q, J=6.92 Hz, 2 H) 6.69 - 6.98 (m, 2 H) 7.50 (s, 1 H) 7.93 (d, J=7.94 Hz, 1 H) 8.24 (t, J=7.94 Hz, 1 H) 8.37 (d, J=7.94 Hz, 1 H) 9.44 (s, 1 H) 。
実施例136:6-(ジフルオロメチル)-N-(7-エトキシ-2-((1s,3s)-3-イソプロポキシシクロブチル)イミダゾ[1,2-a]ピリジン-6-イル)ピコリンアミド
LCMS (ESI) m/z 445.3 (M+H)H NMR (500 MHz, メタノール-d) δ ppm 1.16 (d, J=6.10 Hz, 7 H) 1.59 (t, J=7.02 Hz, 3 H) 2.39 - 2.56 (m, 4 H) 3.45 - 3.56 (m, 1 H) 3.66 (dt, J=12.21, 6.10 Hz, 1 H) 4.27 (q, J=6.71 Hz, 2 H) 4.36 - 4.45 (m, 1 H) 6.69 - 6.96 (m, 2 H) 7.55 (s, 1 H) 7.92 (d, J=7.94 Hz, 1 H) 8.23 (t, J=7.94 Hz, 1 H) 8.35 (d, J=7.94 Hz, 1 H) 9.43 (s, 1 H)。
実施例137:N-(7-エトキシ-2-(1-(テトラヒドロフラン-3-イル)エチル)イミダゾ[1,2-a]ピリジン-6-イル)-6-(トリフルオロメチル)ピコリンアミド
Figure 0007576552000147
実施例137を、2-(1,2,4-トリアゾール-1-イル)酢酸の代わりに2-(テトラヒドロフラン-3-イル)プロパン酸を使用したことを除いて、実施例82と同様に調製して、実施例137を4つのジアステレオマーの混合物として得た。LCMS (ESI) m/z 449.3(M+H)。ジアステレオマーの分離を、SFCキラル分離(カラム:Chiralpak IC、250mm30mm、5mkm、溶出勾配:0.1%のDEAを含有するCO中40%のEtOH(流速:100mL/分、ABPR 120バール、MBPR 40psi、カラム温度40℃))により達成して、立体化学が適宜割り当てられた4つのジアステレオマーを得た。
Figure 0007576552000148
実施例138:N-(7-エトキシ-2-((R)-1-((S)-テトラヒドロフラン-3-イル)エチル)イミダゾ[1,2-a]ピリジン-6-イル)-6-(トリフルオロメチル)ピコリンアミド
Figure 0007576552000149
LCMS (ESI) m/z 449.3 (M+H);>99%ee;H NMR (400 MHz, クロロホルム-d) δ ppm 1.38 (d, J=7.03 Hz, 3 H) 1.58 (t, J=6.90 Hz, 3 H) 1.66 - 1.76 (m, 1 H) 2.08 - 2.16 (m, 1 H) 2.58 - 2.66 (m, 1 H) 2.76 - 2.83 (m, 1 H) 3.41 - 3.49 (m, 1 H) 3.72 - 3.79 (m, 2 H) 3.89 (td, J=8.28, 3.76 Hz, 1 H) 4.17 (q, J=6.94 Hz, 2 H) 6.90 (s, 1 H) 7.19 (s, 1 H) 7.87 (dd, J=7.78, 0.75 Hz, 1 H) 8.13 (t, J=7.91 Hz, 1 H) 8.43 (d, J=7.78 Hz, 1 H) 9.38 (s, 1 H) 10.58 (s, 1 H)。
実施例139:N-(7-エトキシ-2-((S)-1-((R)-テトラヒドロフラン-3-イル)エチル)イミダゾ[1,2-a]ピリジン-6-イル)-6-(トリフルオロメチル)ピコリンアミド
Figure 0007576552000150
LCMS (ESI) m/z 449.3 (M+H);96%ee;H NMR (400 MHz, クロロホルム-d) δ ppm 1.38 (d, J=6.78 Hz, 3 H) 1.57 (s, 1 H) 1.57 - 1.62 (m, 2 H) 1.67 - 1.76 (m, 1 H) 2.07 - 2.17 (m, 1 H) 2.58 - 2.68 (m, 1 H) 2.81 (dq, J=9.29, 6.94 Hz, 1 H) 3.43 - 3.49 (m, 1 H) 3.72 - 3.79 (m, 2 H) 3.90 (td, J=8.28, 4.02 Hz, 1 H) 4.18 (q, J=7.03 Hz, 2 H) 6.92 (s, 1 H) 7.20 (s, 1 H) 7.88 (dd, J=7.78, 0.75 Hz, 1 H) 8.14 (t, J=7.78 Hz, 1 H) 8.44 (d, J=7.78 Hz, 1 H) 9.39 (s, 1 H) 10.59 (s, 1 H)。
実施例140:N-(7-エトキシ-2-((S)-1-((S)-テトラヒドロフラン-3-イル)エチル)イミダゾ[1,2-a]ピリジン-6-イル)-6-(トリフルオロメチル)ピコリンアミド
Figure 0007576552000151
LCMS (ESI) m/z 449.3 (M+H);96%ee;H NMR (400 MHz, クロロホルム-d) δ ppm 1.33 (d, J=7.03 Hz, 3 H) 1.56 - 1.65 (m, 4 H) 1.88 (dtd, J=12.17, 7.59, 7.59, 4.27 Hz, 1 H) 2.54 - 2.68 (m, 1 H) 2.82 (dq, J=9.22, 6.88 Hz, 1 H) 3.56 (t, J=8.03 Hz, 1 H) 3.69 - 3.77 (m, 1 H) 3.80 - 3.86 (m, 1 H) 4.00 (t, J=7.91 Hz, 1 H) 4.18 (q, J=7.03 Hz, 2 H) 6.91 - 6.97 (m, 1 H) 7.22 (s, 1 H) 7.88 (dd, J=7.78, 1.00 Hz, 1 H) 8.14 (t, J=7.91 Hz, 1 H) 8.44 (d, J=7.53 Hz, 1 H) 9.40 (s, 1 H) 10.60 (s, 1 H)。
実施例141:N-(7-エトキシ-2-((R)-1-((R)-テトラヒドロフラン-3-イル)エチル)イミダゾ[1,2-a]ピリジン-6-イル)-6-(トリフルオロメチル)ピコリンアミド
Figure 0007576552000152
LCMS (ESI) m/z 449.3 (M+H);>99%ee;H NMR (400 MHz, クロロホルム-d) δ ppm 1.34 (d, J=7.03 Hz, 3 H) 1.56 - 1.68 (m, 4 H) 1.88 (dtd, J=12.27, 7.61, 7.61, 4.39 Hz, 1 H) 2.55 - 2.68 (m, 1 H) 2.82 (dq, J=9.29, 6.94 Hz, 1 H) 3.57 (t, J=8.03 Hz, 1 H) 3.72 (td, J=8.22, 7.15 Hz, 1 H) 3.83 (dt, J=8.28, 4.14 Hz, 1 H) 4.00 (t, J=7.91 Hz, 1 H) 4.16 - 4.24 (m, 2 H) 6.90 - 7.01 (m, 1 H) 7.22 (s, 1 H) 7.85 - 7.93 (m, 1 H) 7.88 (dd, J=7.78, 0.75 Hz, 1 H) 7.87 - 7.87 (m, 1 H) 8.14 (t, J=7.78 Hz, 1 H) 8.11 - 8.18 (m, 1 H) 8.44 (s, 1 H) 8.46 (s, 1 H) 9.40 (s, 1 H) 10.60 (s, 1 H)。
実施例142:N-(7-エトキシ-2-(フルオロ(テトラヒドロフラン-3-イル)メチル)イミダゾ[1,2-a]ピリジン-6-イル)-6-(トリフルオロメチル)ピコリンアミド
Figure 0007576552000153
実施例142を、2-(1,2,4-トリアゾール-1-イル)酢酸の代わりに2-フルオロ-2-(テトラヒドロフラン-3-イル)酢酸を使用したことを除いて、実施例82と同様に調製して、実施例142を4つのジアステレオマーの混合物として得た。LCMS (ESI) m/z 453.3(M+H)。ジアステレオマーの分離を、SFCキラル分離(カラム:Chiralpak OX-H、250mm*30mm、5mkm、溶出勾配:0.1%のDEAを含有するCO中30%のEtOH(流速:100mL/分、ABPR 120バール、MBPR 40psi、カラム温度40℃))により達成して、立体化学が適宜割り当てられた4つのジアステレオマーを得た。
Figure 0007576552000154
実施例143:N-(7-エトキシ-2-((R)-フルオロ((R)-テトラヒドロフラン-3-イル)メチル)イミダゾ[1,2-a]ピリジン-6-イル)-6-(トリフルオロメチル)ピコリンアミド
Figure 0007576552000155
LCMS (ESI) m/z 453.3 (M+H);>99%ee;H NMR (400 MHz, メタノール-d) δ ppm 1.58 (t, J=6.90 Hz, 3 H) 2.04 - 2.23 (m, 2 H) 3.07 - 3.15 (m, 1 H) 3.51 (dd, J=8.53, 6.53 Hz, 1 H) 3.75 - 3.85 (m, 2 H) 3.92 (td, J=8.09, 5.40 Hz, 1 H) 4.27 (q, J=6.86 Hz, 2 H) 5.36 - 5.53 (m, 1 H) 6.94 (s, 1 H) 7.84 (d, J=3.01 Hz, 1 H) 8.06 (dd, J=7.91, 0.88 Hz, 1 H) 8.30 (t, J=7.91 Hz, 1 H) 8.42 (d, J=7.78 Hz, 1 H) 9.50 (s, 1 H)。
実施例144:N-(7-エトキシ-2-((S)-フルオロ((S)-テトラヒドロフラン-3-イル)メチル)イミダゾ[1,2-a]ピリジン-6-イル)-6-(トリフルオロメチル)ピコリンアミド
Figure 0007576552000156
LCMS (ESI) m/z 453.2 (M+H);86%ee;H NMR (400 MHz, メタノール-d) δ ppm 1.56 (t, J=6.90 Hz, 3 H) 2.04 - 2.23 (m, 2 H) 3.08 - 3.16 (m, 1 H) 3.50 (ddd, J=8.91, 6.27, 0.88 Hz, 1 H) 3.73 - 3.85 (m, 2 H) 3.92 (td, J=8.09, 5.40 Hz, 1 H) 4.23 (q, J=6.86 Hz, 2 H) 5.31 - 5.48 (m, 1 H) 6.88 (s, 1 H) 7.77 (d, J=3.01 Hz, 1 H) 8.04 (dd, J=7.78, 1.00 Hz, 1 H) 8.28 (t, J=7.91 Hz, 1 H) 8.40 (d, J=7.78 Hz, 1 H) 9.44 (s, 1 H)。
実施例145:N-(7-エトキシ-2-((S)-フルオロ((R)-テトラヒドロフラン-3-イル)メチル)イミダゾ[1,2-a]ピリジン-6-イル)-6-(トリフルオロメチル)ピコリンアミド
Figure 0007576552000157
LCMS (ESI) m/z 453.2 (M+H);96%ee;H NMR (400 MHz, メタノール-d) δ ppm 1.54 - 1.67 (m, 4 H) 1.88 - 1.98 (m, 1 H) 3.03 - 3.16 (m, 1 H) 3.73 (q, J=8.03 Hz, 1 H) 3.83 - 3.89 (m, 1 H) 3.92 - 3.97 (m, 2 H) 4.27 (q, J=6.94 Hz, 2 H) 5.30 - 5.47 (m, 1 H) 6.94 (s, 1 H) 7.83 (d, J=3.26 Hz, 1 H) 8.07 (dd, J=7.78, 0.75 Hz, 1 H) 8.31 (t, J=7.91 Hz, 1 H) 8.45 (d, J=7.78 Hz, 1 H) 9.51 (s, 1 H)。
実施例146:N-(7-エトキシ-2-((R)-フルオロ((S)-テトラヒドロフラン-3-イル)メチル)イミダゾ[1,2-a]ピリジン-6-イル)-6-(トリフルオロメチル)ピコリンアミド
Figure 0007576552000158
LCMS (ESI) m/z 453.2 (M+H);75%ee;H NMR (400 MHz, メタノール-d) δ ppm 1.55 - 1.65 (m, 4 H) 1.89 - 1.98 (m, 1 H) 3.06 - 3.15 (m, 1 H) 3.70 - 3.77 (m, 1 H) 3.87 (td, J=7.72, 5.15 Hz, 1 H) 3.94 (d, J=6.27 Hz, 2 H) 4.28 (q, J=7.03 Hz, 2 H) 5.30 - 5.47 (m, 1 H) 6.94 (s, 1 H) 7.83 (d, J=3.01 Hz, 1 H) 8.07 (dd, J=7.78, 1.00 Hz, 1 H) 8.31 (t, J=7.91 Hz, 1 H) 8.45 (d, J=7.78 Hz, 1 H) 9.51 (s, 1 H)。
実施例147:N-(8-エトキシ-2-(テトラヒドロ-2H-ピラン-4-イル)イミダゾ[1,2-a]ピラジン-6-イル)-6-メトキシピコリンアミド
Figure 0007576552000159
ステップa:6-ブロモ-8-エトキシ-2-(テトラヒドロ-2H-ピラン-4-イル)イミダゾ[1,2-a]ピラジンを、中間体2について記載された合成手順に従って、5-ブロモ-3-エトキシピラジン-2-アミンを、2-ブロモ-1-シクロプロピル-エタノンの代わりに2-ブロモ-1-(テトラヒドロ-2H-ピラン-4-イル)エタン-1-オンと縮合することにより調製した。LCMS (ESI) m/z 327.0 (M+H)
ステップb:N-(8-エトキシ-2-(テトラヒドロ-2H-ピラン-4-イル)イミダゾ[1,2-a]ピラジン-6-イル)-6-メトキシピコリンアミドを、6-(ジフルオロメチル)ピコリンアミドの代わりに6-メトキシピコリンアミドを使用したことを除いて、実施例28について記載された手順に従って調製した。LCMS (ESI) m/z 497.2 (M+H)H NMR (400 MHz, メタノール-d) δ ppm 1.73 - 1.87 (m, 2 H) 1.96 - 2.03 (m, 2 H) 2.93 - 3.01 (m, 1 H) 3.58 (td, J=11.67, 2.01 Hz, 2 H) 3.98 - 4.06 (m, 2 H) 5.31 (s, 2 H) 7.11 (d, J=1.51 Hz, 1 H) 7.31 - 7.43 (m, 3 H) 7.55 - 7.59 (m, 2 H) 7.61 (s, 1 H) 8.04 (dd, J=7.78, 0.75 Hz, 1 H) 8.28 (t, J=7.91 Hz, 1 H) 8.44 (d, J=7.78 Hz, 1 H) 8.89 (d, J=1.51 Hz, 1 H)。
実施例148:6-(ジフルオロメチル)-N-(7-(2-(ジメチルアミノ)エトキシ)-2-(テトラヒドロ-2H-ピラン-4-イル)イミダゾ[1,2-a]ピリジン-6-イル)ピコリンアミド
実施例148を、ヨードメタンの代わりに2-ブロモ-N,N-ジメチルエタン-1-アミンを使用したことを除いて、実施例105と同様に調製して、6-(ジフルオロメチル)-N-(7-(2-(ジメチルアミノ)エトキシ)-2-(テトラヒドロ-2H-ピラン-4-イル)イミダゾ[1,2-a]ピリジン-6-イル)ピコリンアミドを得た。LCMS (ESI) m/z: 460.2 (M+H)HNMR: (400 MHz, MeOD-d) δ: 9.80 (s, 1H), 8.42 (d, J = 8.0 Hz, 1 H), 8.27 (t, J = 8.0 Hz, 1 H), 7.98 (d, J = 8.0 Hz, 1 H), 7.94 (s, 1 H), 7.48 (s, 1 H), 7.00 (t, J = 56.0 Hz, 1 H), 4.84-4.82 (m, 2 H), 4.09-4.05 (m, 2 H), 3.88-3.86 (m, 2 H), 3.62 (t, J = 8.0 Hz, 2 H), 3.22-3.16 (m, 1 H), 3.10 (s, 6 H), 2.07-2.03 (m, 2 H), 1.91-1.83 (m, 2 H)。
実施例149:N-(2-(1,1-ジフルオロ-3-メトキシプロピル)-7-エトキシイミダゾ[1,2-a]ピリジン-6-イル)-6-(ジフルオロメチル)ピコリンアミド
Figure 0007576552000160
ステップa:2-メトキシエタン-1-オール(5.00g、65.7mmol)及びトリエチルアミン(9.97g、98.6mmol)のDCM(200mL)中溶液に、メタンスルホニルクロリド(8.75g、76.4mmol)を0℃で滴加した。混合物を20℃で1時間撹拌した。混合物を1.0NのNaOH(100mL)、ブライン(100mL)で洗浄し、NaSO上で乾燥し、濾過した。濾液を濃縮して、メタンスルホン酸2-メトキシエチル(6.00g、59%収率)を無色油として得、これを更に精製することなく次のステップに直接使用した。H NMR: (500 MHz, CDCl) δ: 4.70-4.80 (m, 2H), 3.60-3.70 (m, 2H), 3.40 (s, 3H), 3.06 (s, 3H)。
ステップb:1,3-ジチアン-2-カルボン酸エチル(2.00g、10.4mmol)及びメタンスルホン酸2-メトキシエチル(3.00g、19.5mmol)のDMF(20mL)中溶液に、NaH(389mg、9.73mmol、60重量%)を0℃で添加した。混合物を20℃で16時間撹拌した。反応物を飽和KHSO水溶液でpH=5までクエンチし、次いで、これを水(50mL)で希釈し、EtOAc(50mL×3)で抽出した。合わせた有機層をブライン(100mL)で洗浄し、NaSO上で乾燥し、濾過した。濾液を減圧下で濃縮して、残留物を得、これをカラムクロマトグラフィー(PE/EtOAc=10/1~3/1)により精製して、2-(2-メトキシエチル)-1,3-ジチアン-2-カルボン酸エチル(1.00g、41%収率)を無色油として得た。H NMR: (500 MHz, CDCl) δ: 4.26 (q, J = 7.5 Hz, 2H), 3.60 (t, J = 7.0 Hz, 2H), 3.30 (s, 3H), 3.20-3.30 (m, 2H), 2.60-2.70 (m, 2H), 2.35 (t, J = 7.0 Hz, 2H), 2.15-2.20 (m, 1H), 1.80-1.90 (m, 1H), 1.36 (t, J = 7.0 Hz, 3H)。
ステップc:2-(2-メトキシエチル)-1,3-ジチアン-2-カルボン酸エチル(1.00g、3.99mmol)のCHCN(20mL)及び水(5mL)中溶液に、臭素酸ナトリウム(1.81g、12.0mmol)及び硝酸アンモニウムセリウム(18.7mg、0.04mmol)を添加した。混合物を20℃で1時間撹拌した。反応物を飽和NaSO水溶液(30mL)でクエンチし、DCM(30mL×3)で洗浄した。合わせた有機層をブライン(50mL)で洗浄し、NaSO上で乾燥し、濾過した。濾液を減圧下で濃縮し、4-メトキシ-2-オキソブタン酸エチル(400mg、63%収率)を無色油として得、これを更に精製することなく使用した。HNMR: (500 MHz, CDCl) δ: 4.33 (q, J = 7.5 Hz, 2H), 3.73 (t, J = 6.0 Hz, 2H), 3.35 (s, 3H), 3.10 (t, J = 6.0 Hz, 2H), 1.36 (t, J = 7.0 Hz, 3H)。
ステップd:4-メトキシ-2-オキソブタン酸エチル(700mg、4.37mmol)のDCM(20mL)中溶液に、ビス(2-メトキシエチル)アミノ硫黄トリフルオリド(2.90g、13.1mmol)を0℃で添加した。混合物を20℃で16時間撹拌した。反応物をNaHCO飽和水溶液(30mL)でクエンチし、これをDCM(30mL×3)で抽出した。合わせた有機層をブライン(50mL)で洗浄し、NaSO上で乾燥し、濾過した。濾液を減圧下で濃縮して、残留物を得、これをシリカゲルクロマトグラフィー(PE/EtOAc=10/1~3/1)により精製して、2,2-ジフルオロ-4-メトキシブタン酸エチル(300mg、38%収率)を黄色油として得た。HNMR (500 MHz, CDCl) δ: 4.31 (q, J = 7.0 Hz, 2H), 3.55 (t, J = 6.5 Hz, 2H), 3.29 (s, 3H), 2.40-2.50 (m, 2H), 1.35 (t, J = 7.0 Hz, 3H)。
ステップe:2,2-ジフルオロ-4-メトキシブタン酸エチル(400mg、2.20mmol)のTHF(2mL)、MeOH(2mL)、及び水(1mL)中溶液に、LiOH(263mg、11.0mmol)を0℃で添加した。混合物を20℃で1時間撹拌した。反応物を水(30mL)で希釈し、有機層を除去し、減圧下で濃縮して、残留物を得た。HCl(1M)をpH=2まで添加し、混合物をDCM(30mL×5)で抽出した。合わせた有機層をブライン(30mL)で洗浄し、NaSO上で乾燥し、濾過した。濾液を減圧下で濃縮し、2,2-ジフルオロ-4-メトキシブタン酸(270mg、80%収率)を黄色油として得、これを更に精製することなく使用した。H NMR: (500 MHz, CDCl) δ: 6.33 (brs, 1H), 3.64 (t, J = 8.0 Hz, 2H), 3.36 (s, 3H), 2.40-2.50 (m, 2H)。
ステップf:2,2-ジフルオロ-4-メトキシブタン酸(130mg、0.844mmol)のTHF(5mL)中溶液に、塩化オキサリル(118mg、0.928mmol)及び一滴のDMFを0℃で添加した。混合物を0℃で1時間撹拌した後、CHCN(5mL)及びトリメチルシリルジアゾメタン(2M、0.845mL、1.69mmol)を添加した。混合物を20℃で2時間撹拌し、次いで、混合物にジオキサン中のHCl(4M、0.42mL、1.68mmol)を添加した。得られた混合物を20℃で1時間撹拌した。反応物をNaHCO飽和水溶液(20mL)でクエンチし、これをEtOAc(30mL×3)で抽出した。合わせた有機層をブライン(50mL)で洗浄し、NaSO上で乾燥し、濾過した。濾液を減圧下で濃縮し、1-クロロ-3,3-ジフルオロ-5-メトキシペンタン-2-オン(100mg)を黄色油として得、これを更に精製することなく次のステップに使用した。HNMR: (500 MHz, CDCl) δ: 4.49 (s, 2H), 3.54 (t, J = 7.0 Hz, 2H), 3.26 (s, 3H), 2.40-2.50 (m, 2H)。
ステップg:中間体3c:N-(6-アミノ-4-エトキシピリジン-3-イル)-6-(ジフルオロメチル)ピコリンアミド(41mg、0.14mmol)及び1-クロロ-3,3-ジフルオロ-5-メトキシペンタン-2-オン(50mg、0.27mmol)のEtOH(5mL)中溶液に、NaHCO(23mg、0.27μmol)及びKI(2mg、0.013mmol)を添加した。混合物を80℃にて16時間加熱した。混合物を濾過して、濾液を減圧下で濃縮して、残留物を得、これを分取HPLCにより精製して、N-(2-(1,1-ジフルオロ-3-メトキシプロピル)-7-エトキシイミダゾ[1,2-a]ピリジン-6-イル)-6-(ジフルオロメチル)ピコリンアミド(12mg、20%収率)をオフホワイトの固体として得た。LCMS (ESI) m/z: 441.2 (M+H)HNMR: (500 MHz, MeOD) δ: 9.55 (s, 1H), 8.36 (d, J = 8.0 Hz, 1H), 8.24 (t, J = 7.5 Hz, 1H), 8.00-7.90 (m, 2H), 7.00-6.95 (m, 1H), 6.90-6.70 (m, 1H), 4.31 (q, J = 7.0 Hz, 2H), 3.56 (t, J = 7.0 Hz, 2H), 3.29 (s, 3H), 2.70-2.60 (m, 2H), 1.61 (t, J = 7.0 Hz, 3H)。
実施例150:6-(ジフルオロメチル)-N-(7-エトキシ-2-(テトラヒドロチオフェン-3-イル)イミダゾ[1,2-a]ピリジン-6-イル)ピコリンアミド
実施例150を、2-(1,2,4-トリアゾール-1-イル)酢酸の代わりにテトラヒドロチオフェン-3-カルボン酸を使用したことを除いて、実施例82と同様に調製して、6-(ジフルオロメチル)-N-(7-エトキシ-2-(テトラヒドロチオフェン-3-イル)イミダゾ[1,2-a]ピリジン-6-イル)ピコリンアミドを得た。LCMS (ESI) m/z: 419.1 (M+H)H NMR: (500 MHz, MeOD) δ: 9.75 (s, 1H), 9.40 (d, J = 7.5 Hz, 1H), 8.28 (t, J = 8.0 Hz, 1H), 8.00-7.90 (m, 2H), 7.24 (s, 1H), 7.00-6.80 (m, 1H), 4.45 (q, J = 7.0 Hz, 2H), 3.80-3.70 (m, 1H), 3.10-3.00 (m, 4H), 2.60-2.50 (m, 1H), 2.40-2.30 (m, 1H ) 1.67 (t, J = 7.0 Hz, 3H)。
実施例151:6-(ジフルオロメチル)-N-(7-エトキシ-2-((テトラヒドロ-2H-ピラン-4-イル)メチル)イミダゾ[1,2-a]ピリジン-6-イル)ピコリンアミド
実施例151を、2-(1,2,4-トリアゾール-1-イル)酢酸の代わりに2-(テトラヒドロ-2H-ピラン-4-イル)酢酸を使用したことを除いて、実施例82と同様に調製して、6-(ジフルオロメチル)-N-(7-エトキシ-2-(テトラヒドロチオフェン-3-イル)イミダゾ[1,2-a]ピリジン-6-イル)ピコリンアミドを得た。LCMS (ESI) m/z: 431.2 (M+H)HNMR: (400 MHz, MeOD-d) δ: 9.60 (s, 1H), 8.29 (d, J = 7.78 Hz, 1H), 8.16 (t, J = 7.78 Hz, 1H), 8.09 (br s, 0.5 H), 7.86 (d, J = 7.78 Hz, 1H), 7.71 (s, 1H), 7.11 (s, 1H), 6.96-6.56 (m, 1H), 4.32 (q, J = 7.03 Hz, 2H), 3.85 (br, dd, J = 11.29, 3.26 Hz, 2H), 3.32 (br t, J = 10.92 Hz, 2H), 2.66 (d, J = 7.03 Hz, 2H), 1.83-1.97 (m, 1H), 1.55 (t, J = 6.90 Hz, 4H), 1.38-1.15 (m, 3H)。
実施例152:N-(2-(2-シアノプロパン-2-イル)-7-エトキシイミダゾ[1,2-a]ピリジン-6-イル)-6-(ジフルオロメチル)ピコリンアミド
実施例152を、2-(1,2,4-トリアゾール-1-イル)酢酸の代わりに2-シアノ-2-メチルプロパン酸を使用したことを除いて、実施例82と同様に調製して、N-(2-(2-シアノプロパン-2-イル)-7-エトキシイミダゾ[1,2-a]ピリジン-6-イル)-6-(ジフルオロメチル)ピコリンアミドを得た。LCMS (ESI) m/z: 400.2 (M+H)H NMR: (500 MHz, MeOD) δ: 9.52 (s, 1H), 8.35 (d, J = 8.0 Hz, 1H), 8.24 (t, J = 7.5 Hz, 1H), 8.09 (brs, 1H), 7.93 (d, J = 7.5 Hz, 1H), 7.78 (s, 1H), 6.70-7.00 (m, 2H), 4.31 (q, J = 7.0 Hz, 2H), 1.80 (s, 6H), 1.61 (t, J = 7.0 Hz, 3H)。
実施例153:6-(ジフルオロメチル)-N-(7-エトキシ-2-(3-メトキシビシクロ[1.1.1]ペンタン-1-イル)イミダゾ[1,2-a]ピリジン-6-イル)ピコリンアミド
実施例153は、3-フルオロビシクロ[1.1.1]ペンタン-1-カルボン酸の代わりに3-メトキシビシクロ[1.1.1]ペンタン-1-カルボン酸を使用して、実施例127について記載されたのと同様の方法で調製された。LCMS (ESI) m/z 429.2 (M+H)。1H NMR (400 MHz, メタノール-d4) δ 9.42 (s, 1H), 8.34 (d, J = 7.8 Hz, 1H), 8.22 (t, J = 7.8 Hz, 1H), 7.91 (d, J = 7.8 Hz, 1H), 7.50 (s, 1H), 6.95-6.68 (m, 2H), 4.26 (q, J = 7.0 Hz, 2H), 3.35 (s, 3H), 2.21 (s, 6H), 1.59 (t, J = 7.0 Hz, 3H)。
実施例154:N-(7-エトキシ-2-((テトラヒドロフラン-3-イル)メチル)イミダゾ[1,2-a]ピリジン-6-イル)-4-メチルオキサゾール-2-カルボキサミド
Figure 0007576552000161
ステップa:中間体3a:4-エトキシピリジン-2,5-ジアミン(200mg、1.31mmol)のDMF(3mL)中溶液に、HATU(549mg、1.44mmol)、DIPEA(500mg、3.93mmol、690μL)、及び4-メチルオキサゾール-2-カルボン酸ナトリウム(167mg、1.11mmol)を添加した。混合物を30℃で3時間撹拌した。混合物をHO(50mL)で希釈し、EA(50mL×4)で抽出した。合わせた有機層をHO(50mL)及びブライン(50mL)で洗浄し、NaSO上で乾燥し、濾過し、減圧下で濃縮した。化合物であるN-(6-アミノ-4-エトキシ-3-ピリジル)-4-メチル-オキサゾール-2-カルボキサミド(363mg、粗製、LCMSによると82.3%)を褐色固体として得、これを更に精製することなく次のステップに使用した。LCMS (ESI) m/z 263.2 (M+H)
ステップb:シールドチューブ内で、N-(6-アミノ-4-エトキシ-3-ピリジル)-4-メチル-オキサゾール-2-カルボキサミド(363mg、1.14mmol)、1-クロロ-3-テトラヒドロフラン-3-イル-プロパン-2-オン(549mg、3.42mmol)、及びNaHCO(287mg、3.42mmol)のEtOH(10mL)中混合物を、80℃で16時間加熱した。混合物を室温に冷却し、HO(25mL)で希釈し、EtOAc(4×25mL)で抽出した。合わせた有機層をHO(50mL)及びブライン(50mL)で洗浄し、NaSO上で乾燥し、濾過し、減圧下で濃縮した。HPLCによる精製により、N-[7-エトキシ-2-(テトラヒドロフラン-3-イルメチル)イミダゾ[1,2-a]ピリジン-6-イル]-4-メチル-オキサゾール-2-カルボキサミド(21mg、5.9%収率)を得た。LCMS (ESI) m/z 371.4 (M+H)H NMR (400 MHz DMSO-d):δ 9.60 (s, 1H), 9.02 (s, 1H), 8.14 (s, 1H), 7.63 (s, 1H), 7.01 (s, 1H), 4.20 (q, J = 7.0 Hz, 2H), 3.67-3.82 (m, 2H), 3.50 - 3.71 (m, 1H), 3.39 (t, J = 7.6 Hz, 1H), 2.67 (d, J = 7.2 Hz, 2H), 2.52 - 2.62 (m, 1H), 2.21 (s, 3H), 1.88 - 2.01 (m, 1H), 1.51 - 1.64 (m, 1H), 1.39 (t, J = 7.0 Hz, 3H)。
実施例155:N-(7-エトキシ-2-((テトラヒドロフラン-3-イル)メチル)イミダゾ[1,2-a]ピリジン-6-イル)-1-(メチル)-1H-ピラゾール-3-カルボキサミド
実施例155は、1-イソプロピルピラゾール-3-カルボン酸の代わりに1-メチル-1H-ピラゾール-3-カルボン酸を使用して、実施例154について記載されたのと同様の方法で調製された。LCMS (ESI) m/z 370.0 (M+H)H NMR (400 MHz, CDCl):δ 9.33 (s, 1H), 9.22 (s, 1H), 7.40 (d, J = 2.2 Hz, 1H), 7.18 (s, 1H), 6.86 - 6.81 (m, 2H), 4.17 (q, J = 7.4 Hz, 2H), 3.95 (s, 3H), 3.89 (m, J = 7.6 Hz, 2H), 3.75 (q, J = 7.7 Hz, 1H), 3.55 - 3.43 (m, 1H), 2.83 - 2.62 (m, 2H), 2.11 - 1.92 (m, 1H), 1.72 - 1.58 (m 1H), 1.54 (t, J = 7.4 Hz, 3H)。
実施例156:6-(ジフルオロメチル)-N-(7-エトキシ-2-(1-メチル-2-オキソピロリジン-3-イル)イミダゾ[1,2-a]ピリジン-6-イル)ピコリンアミド
実施例156は、1-メチル-2-オキソピペリジン-4-カルボン酸の代わりに1-メチル-2-オキソピロリジン-3-カルボン酸を使用して、実施例75について記載されたのと同様の方法で調製された。H NMR (400 MHz DMSO-d):δ 10.47 (s, 1H), 9.42 (s, 1H), 8.39 - 8.22 (m, 2H), 8.00 (dd, J = 5.8, 3.1 Hz, 1H), 7.76 (s, 1H), 7.24 - 6.94 (m, 2H), 4.22 (q, J = 6.9 Hz, 2H), 3.66 (t, J = 8.4 Hz, 1H), 3.51-3.33 (m, 2H), 2.78 (s, 3H), 2.44 - 2.17 (m, 2H), 1.49 (t, J = 6.9 Hz, 3H)。LCMS (ESI) m/z 430.2 (M+H)
実施例157:N-(7-エトキシ-2-((テトラヒドロフラン-3-イル)メチル)イミダゾ[1,2-a]ピリジン-6-イル)-1-メチル-1H-イミダゾール-4-カルボキサミド
実施例157は、1-イソプロピルピラゾール-3-カルボン酸の代わりに1-メチル-1H-イミダゾール-4-カルボン酸を使用して、実施例154について記載されたのと同様の方法で調製された。LCMS (ESI) m/z 370.2 (M+H)H NMR (400 MHz, メタノール-d):δ 9.31 (s, 1H), 7.75 (s, 1H), 7.65 (s, 1H), 7.47 (s, 1H), 6.86 (s, 1H), 4.26 (q, J = 7.0 Hz, 2H), 3.91 - 3.82 (m, 2H), 3.79 (s, 3H), 3.79 - 3.71 (m, 1H), 3.50 (t, J = 7.4 Hz, 1H), 2.75 (d, J = 7.4 Hz, 2H), 2.69 (m, 1H), 2.14-2.01 (m, 1H), 1.74-1.61 (m, 1H), 1.55 (t, J = 7.0 Hz, 3H)。
実施例158:N-(7-エトキシ-2-((テトラヒドロフラン-3-イル)メチル)イミダゾ[1,2-a]ピリジン-6-イル)-3-メチル-1,2,4-オキサジアゾール-5-カルボキサミド
実施例158は、4-メチルオキサゾール-2-カルボン酸ナトリウムの代わりに3-メチル-1,2,4-オキサジアゾール-5-カルボン酸ナトリウムを使用して、実施例154について記載されたのと同様の方法で調製された。LCMS (ESI) m/z 372.2 (M+H)H NMR (400 MHz DMSO-d):δ 10.15 (s, 1H), 8.94 (s, 1H), 7.63 (s, 1H), 7.00 (s, 1H), 4.18 (q, J = 7.0 Hz, 2H), 3.71-3.80 (m, 2H), 3.63 (q, J = 7.4 Hz, 1H), 3.40 (t, J = 7.4 Hz, 1H), 2.67 (d, J = 7.4 Hz, 2H), 2.55 (m, 1H), 2.50 (s, 3H), 1.89-2.06 (m, 1H), 1.53-1.66 (m, 1H), 1.37 (t, J = 7.0 Hz, 3H)。
実施例159:N-(7-エトキシ-2-((テトラヒドロフラン-3-イル)メチル)イミダゾ[1,2-a]ピリジン-6-イル)-2-メチルオキサゾール-4-カルボキサミド
実施例159は、4-メチルオキサゾール-2-カルボン酸ナトリウムの代わりに2-メチルオキサゾール-4-カルボン酸を使用して、実施例154について記載されたのと同様の方法で調製された。LCMS (ESI) m/z 371.2 (M+H)H NMR (400 MHz, メタノール-d):δ 9.30 (s, 1H), 8.39 (s, 1H), 7.48 (s, 1H), 6.88 (s, 1H), 4.27 (q, J = 6.9 Hz, 2H), 3.87 (q, J = 7.2, 2H), 3.81-3.72 (m, 1H), 3.56 - 3.44 (m, 1H), 2.76 (d, J = 7.2 Hz, 2H), 2.73 - 2.62 (m, 1H), 2.52 (s, 3H), 2.12-2.03 (m, 1H), 1.72-1.61 (m, 1H), 1.55 (t, J = 6.9 Hz, 3H)。
実施例160:N-(2-(4-シアノテトラヒドロ-2H-ピラン-4-イル)-7-エトキシイミダゾ[1,2-a]ピリジン-6-イル)-6-(ジフルオロメチル)ピコリンアミド
Figure 0007576552000162
ステップa:4-シアノテトラヒドロ-2H-ピラン-4-カルボン酸エチル(2.00g、10.9mmol)のHO(10mL)及びCHOH(20mL)中溶液に、LiOH(784mg、32.8mmol)を添加した。混合物を20℃で16時間撹拌した。1MのHCl水溶液をpH=3まで混合物に添加した。水層が残るまで混合物を減圧下で濃縮した。水層をEtOAc(30mL×3)で抽出した。合わせた有機層をブライン(50mL)で洗浄し、NaSO上で乾燥し、濾過した。濾液を減圧下で濃縮して、4-シアノテトラヒドロ-2H-ピラン-4-カルボン酸(900mg、5.80mmol、53.1%収率)を白色固体として得、これを更に精製することなく使用した。H NMR: (400 MHz, CDCl) δ: 6.38 (brs, 1H), 4.01-4.05 (m, 2H), 3.82-3.75 (m, 2H), 2.23-2.15 (m, 2H), 2.10-2.06 (m, 2H)。
ステップb:DIPEA(283mg、2.19mmol、380μL)及びカルボノクロリド酸イソブチル(264mg、1.94mmol、250μL)を、4-シアノテトラヒドロ-2H-ピラン-4-カルボン酸のTHF(20mL)中溶液に0℃で滴加した。混合物を0℃で3時間撹拌した。次いで、ジアゾメチル(トリメチル)シランのEtO溶液(2M、1.3mL)を0℃で滴加し、混合物を0℃で1時間撹拌し、次いで、25℃で14時間撹拌した。混合物を0℃まで冷却し、HBr(652mg、3.87mmol、440μL、48%純度)を添加した。反応混合物を0℃で1時間撹拌し、NaHCO飽和水溶液の添加によりpH=7までクエンチした。混合物をEtOAc(20mL×3)で抽出し、合わせた有機層をブライン(50mL)で洗浄し、NaSO上で乾燥し、濾過した。濾液を減圧下で濃縮して、4-(2-ブロモアセチル)テトラヒドロ-2H-ピラン-4-カルボニトリル(150mg、646μmol、50.1%収率)を得、これを直接次のステップで使用した。
ステップc:中間体3c:N-(6-アミノ-4-エトキシピリジン-3-イル)-6-(ジフルオロメチル)ピコリンアミド(50.0mg、162mmol)及び4-(2-ブロモアセチル)テトラヒドロ-2H-ピラン-4-カルボニトリル(150mg、647.1mmol)のEtOH(5mL)中溶液に、NaHCO(40.9mg、486mmol)を添加した。反応混合物を80℃で12時間撹拌した。溶液を20℃まで冷却し、減圧下で濃縮して、残留物を得、これを分取HPLCにより精製して、N-(2-(4-シアノテトラヒドロ-2H-ピラン-4-イル)-7-エトキシイミダゾ[1,2-a]ピリジン-6-イル)-6-(ジフルオロメチル)ピコリンアミド(3.0mg、6.8μmol、4.2%収率)をオフホワイトの固体として得た。LCMS (ESI) m/z: 442.1 (M+H)H NMR: (400 MHz, MeOD) δ: 9.59 (s, 1H), 8.38 (d, J = 7.6 Hz, 1H), 8.25 (t, J = 7.6 Hz, 1H), 7.95 (d, J = 7.6 Hz, 1H), 7.89 (brs, 1H), 7.03 (s, 1H), 6.99-6.71 (m, 1H), 4.35 (q, J = 6.8 Hz, 2H), 4.07-4.03 (m, 2H), 3.88-3.82 (m, 2H), 2.30-2.18 (m, 4H), 1.63 (t, J = 6.8 Hz, 3H)。
実施例161:1-(ジフルオロメチル)-N-(7-((3-メチルオキセタン-3-イル)メトキシ)-2-(テトラヒドロ-2H-ピラン-4-イル)イミダゾ[1,2-a]ピリジン-6-イル)-1H-ピラゾール-4-カルボキサミド
実施例161を、ステップaにおいてシクロブチルメタノールの代わりに(3-メチルオキセタン-3-イル)メタノールを使用したこと、及びステップbにおいて2-ブロモ-1-シクロプロピルエタン-1-オンの代わりに2-ブロモ-1-(テトラヒドロ-2H-ピラン-4-イル)エタン-1-オンを使用したこと、及びステップcにおいて6-(ジフルオロメチル)ピコリンアミドの代わりに1-(ジフルオロメチル)-1H-ピラゾール-4-カルボキサミドを使用したことを除いて、実施例5と同様に調製して、1-(ジフルオロメチル)-N-(7-((3-メチルオキセタン-3-イル)メトキシ)-2-(テトラヒドロ-2H-ピラン-4-イル)イミダゾ[1,2-a]ピリジン-6-イル)-1H-ピラゾール-4-カルボキサミドを得た。LCMS (ESI) m/z: 462.2 (M+H)HNMR: (400 MHz, MeOD-d) δ: 9.34 (s, 1H), 8.72 (s, 1H), 8.23 (s, 1H), 7.82 (s, 1H), 7.58 (t, J = 56.0 Hz, 1H), 7.28 (s, 1H), 4.77 (d, J = 4.0 Hz, 2H), 4.61 (d, J = 4.0 Hz, 2H), 4.32 (s, 2H), 4.08-4.05 (m, 2H), 3.65-3.56 (m, 2H), 3.17-3.11 (m, 1H), 2.05-2.01 (m, 2H), 1.90-1.81 (m, 2H), 1.42 (s, 3H)。
実施例162:1-(ジフルオロメチル)-N-(2-(テトラヒドロ-2H-ピラン-4-イル)イミダゾ[1,2-a]ピラジン-6-イル)-1H-ピラゾール-4-カルボキサミド
実施例162を、ステップaにおいて2-ブロモ-1-シクロプロピルエタン-1-オンの代わりに2-ブロモ-1-(テトラヒドロ-2H-ピラン-4-イル)エタン-1-オンを使用したこと、及びステップcにおいて6-(ジフルオロメチル)ピコリンアミドの代わりに1-(ジフルオロメチル)-1H-ピラゾール-4-カルボキサミドを使用したことを除いて、実施例31と同様に調製して、1-(ジフルオロメチル)-N-(2-(テトラヒドロ-2H-ピラン-4-イル)イミダゾ[1,2-a]ピラジン-6-イル)-1H-ピラゾール-4-カルボキサミドを得た。LCMS (ESI) m/z: 363.1 (M+H)HNMR: (400 MHz, MeOD-d) δ: 9.31 (d, J = 4.0 Hz, 1H), 8.78 (s, 1H), 8.76 (s, 1H), 8.27 (s, 1H), 7.93 (s, 1H), 7.59 (t, J = 56.0 Hz, 1H), 4.07-4.03 (m, 2H), 3.61 (t, J = 12.0 Hz, 2H), 3.14-3.06 (m, 1H), 2.04-2.00 (m, 2H), 1.93-1.83 (m, 2H)。
実施例163:N-(7-((3-メチルオキセタン-3-イル)メトキシ)-2-((テトラヒドロフラン-3-イル)メチル)イミダゾ[1,2-a]ピリジン-6-イル)-6-(トリフルオロメチル)ピコリンアミド
実施例163を、ステップaにおいてシクロブチルメタノールの代わりに(3-メチルオキセタン-3-イル)メタノールを代用したこと、及びステップbにおいて2-ブロモ-1-シクロプロピルエタン-1-オンの代わりに1-クロロ-3-(テトラヒドロフラン-3-イル)プロパン-2-オンを代用したこと、及びステップcにおいて6-(ジフルオロメチル)ピコリンアミドの代わりに6-(トリフルオロメチル)ピコリンアミドを代用したことを除いて、実施例5の調製について記載されたのと同じ合成手順により調製して、N-(7-((3-メチルオキセタン-3-イル)メトキシ)-2-((テトラヒドロフラン-3-イル)メチル)イミダゾ[1,2-a]ピリジン-6-イル)-6-(トリフルオロメチル)ピコリンアミドを得た。LCMS (ESI) m/z 491.2 (M+H)H NMR (400 MHz, MeOD-d) δ ppm 9.48 (s, 1 H), 8.45 (d, J = 8.0 Hz, 1 H), 8.29 (t, J = 8.0 Hz, 1 H), 8.05 (d, J = 8.0 Hz, 1 H), 7.51 (s, 1 H), 6.99 (s, 1 H), 4.67 (d, J = 8.0 Hz, 2 H), 4.57 (d, J = 8.0 Hz, 2 H), 4.39 (s, 2 H), 3.93-3.86 (m, 2 H), 3.78 (q, J = 8.0 Hz, 1 H), 3.54-3.50 (m, 1 H), 2.79-2.77 (m, 2 H), 2.75-2.64 (m, 1 H), 2.14-2.06 (m, 1 H), 1.75-1.66 (m, 1 H), 1.57 (s, 3 H)。
実施例163のエナンチオマーは、以下の条件下でキラルSFCにより分離された:
CHIRALPAK AD-H 30×250mm、5 m
方法:0.1%のDEAを含有するCO中40%のEtOH(流速:100mL/分、ABPR 120バール、MBPR 40psi、カラム温度40℃)
実施例164:(R)-N-(7-((3-メチルオキセタン-3-イル)メトキシ)-2-((テトラヒドロフラン-3-イル)メチル)イミダゾ[1,2-a]ピリジン-6-イル)-6-(トリフルオロメチル)ピコリンアミド
実施例164は、SFCキラル分離によるピーク1であり、立体化学が適宜割り当てられる。(>99%ee)
LCMS (ESI) m/z 491.2 (M+H)H NMR (400 MHz, MeOD-d) δ ppm 9.48 (s, 1 H), 8.45 (d, J = 8.0 Hz, 1 H), 8.29 (t, J = 8.0 Hz, 1 H), 8.05 (d, J = 8.0 Hz, 1 H), 7.51 (s, 1 H), 6.99 (s, 1 H), 4.67 (d, J = 8.0 Hz, 2 H), 4.57 (d, J = 8.0 Hz, 2 H), 4.39 (s, 2 H), 3.933.86 (m, 2 H), 3.78 (q, J = 8.0 Hz, 1 H), 3.54-3.50 (m, 1 H), 2.79-2.77 (m, 2 H), 2.75-2.64 (m, 1 H), 2.14-2.06 (m, 1 H), 1.75-1.66 (m, 1 H), 1.57 (s, 3 H)。
実施例165:(S)-N-(7-((3-メチルオキセタン-3-イル)メトキシ)-2-((テトラヒドロフラン-3-イル)メチル)イミダゾ[1,2-a]ピリジン-6-イル)-6-(トリフルオロメチル)ピコリンアミド
実施例165は、SFCキラル分離によるピーク2であり、立体化学が適宜割り当てられる(>99%ee)。
LCMS (ESI) m/z 491.2 (M+H)H NMR (400 MHz, MeOD-d) δ ppm 9.48 (s, 1 H), 8.45 (d, J = 8.0 Hz, 1 H), 8.29 (t, J = 8.0 Hz, 1 H), 8.05 (d, J = 8.0 Hz, 1 H), 7.51 (s, 1 H), 6.99 (s, 1 H), 4.67 (d, J = 8.0 Hz, 2 H), 4.57 (d, J = 8.0 Hz, 2 H), 4.39 (s, 2 H), 3.93-3.86 (m, 2 H), 3.78 (q, J = 8.0 Hz, 1 H), 3.54-3.50 (m, 1 H), 2.79-2.77 (m, 2 H), 2.75-2.64 (m, 1 H), 2.14-2.06 (m, 1 H), 1.75-1.66 (m, 1 H), 1.57 (s, 3 H)。
実施例166:N-(7-((3-メチルオキセタン-3-イル)メトキシ)-2-(テトラヒドロ-2H-ピラン-4-イル)イミダゾ[1,2-a]ピリジン-6-イル)-6-(トリフルオロメチル)ピコリンアミド
実施例166を、ステップaにおいてシクロブチルメタノールの代わりに(3-メチルオキセタン-3-イル)メタノールを使用したこと、及びステップbにおいて2-ブロモ-1-シクロプロピルエタン-1-オンの代わりに2-ブロモ-1-(テトラヒドロ-2H-ピラン-4-イル)エタン-1-オンを使用したこと、及びステップcにおいて6-(ジフルオロメチル)ピコリンアミドの代わりに6-(トリフルオロメチル)ピコリンアミドを使用したことを除いて、実施例5と同様の方法で調製して、N-(7-((3-メチルオキセタン-3-イル)メトキシ)-2-(テトラヒドロ-2H-ピラン-4-イル)イミダゾ[1,2-a]ピリジン-6-イル)-6-(トリフルオロメチル)ピコリンアミドを得た。LCMS (ESI) m/z: 491.2 (M+H)HNMR: (400 MHz, MeOD-d) δ: 9.86 (s, 1H), 8.54 (d, J = 8.0 Hz, 1 H), 8.36 (t, J = 8.0 Hz, 1 H), 8.14 (d, J = 8.0 Hz, 1 H), 7.93 (s, 1 H), 7.41 (s, 1 H), 4.68 (d, J = 8.0 Hz, 2 H), 4.62-4.59 (m, 4 H), 4.09-4.07 (m, 2 H), 3.62 (t, J = 8.0 Hz, 2 H), 3.21-3.15 (m, 1 H), 2.06-2.03 (m, 2 H), 1.91-1.82 (m, 2 H), 1.60 (s, 3H)。
実施例167:6-(ジフルオロメチル)-N-(7-(イソプロポキシ)-2-(テトラヒドロ-2H-ピラン-4-イル)イミダゾ[1,2-a]ピリジン-6-イル)ピコリンアミド
実施例167を、ヨードメタンの代わりに2-ヨードプロパンを使用したことを除いて、実施例105と同様に調製して、6-(ジフルオロメチル)-N-(7-イソプロポキシ-2-(テトラヒドロ-2H-ピラン-4-イル)イミダゾ[1,2-a]ピリジン-6-イル)ピコリンアミドを得た。LCMS (ESI) m/z: 431.2 (M+H)HNMR: (400 MHz, MeOD-d) δ: 9.77 (s, 1H), 8.38 (d, J = 8.0 Hz, 1 H), 8.26 (t, J = 8.0 Hz, 1 H), 7.96 (d, J = 8.0 Hz, 1 H), 7.88 (s, 1 H), 7.30 (s, 1 H), 6.88 (t, J = 56.0 Hz, 1 H), 5.10-5.01 (m, 1 H), 4.08-4.05 (m, 2 H), 3.61 (t, J = 8.0 Hz, 2 H), 3.20-3.12 (m, 1 H), 2.06-2.02 (m, 2 H), 1.90-1.79 (m, 2 H), 1.58 (d, J = 8.0 Hz, 6 H)。
実施例168:N-(2-(シクロプロピル(ヒドロキシ)メチル)-7-エトキシイミダゾ[1,2-a]ピリジン-6-イル)-6-(トリフルオロメチル)ピコリンアミド
Figure 0007576552000163
ステップa:N-(7-エトキシ-2-(ヒドロキシメチル)イミダゾ[1,2-a]ピリジン-6-イル)-6-(トリフルオロメチル)ピコリンアミド(70mg、184μmol)のDCM(2.4mL)中溶液に、室温で二酸化マンガン(160mg、1.84mmol)を添加した。14時間撹拌後、反応混合物をセライトを通して濾過し、濃縮して、N-(7-エトキシ-2-ホルミルイミダゾ[1,2-a]ピリジン-6-イル)-6-(トリフルオロメチル)ピコリンアミドを得、100%収率と仮定してこれを更に精製することなく使用した。LCMS (ESI) m/z 379.1 (M+H)+。
ステップb:N-(7-エトキシ-2-ホルミルイミダゾ[1,2-a]ピリジン-6-イル)-6-(トリフルオロメチル)ピコリンアミド(70mg、184μmol)のTHF(0.9mL)中溶液に、ブロモ(シクロプロピル)マグネシウム(0.5MのTHF溶液、0.7mL)を-78℃で添加した。1時間撹拌後、反応混合物を飽和NHCl水溶液の添加によりクエンチした。層を分離し、水相をEtOAc(3×10mL)で抽出し、MgSO上で乾燥し、濾過し、濃縮し、逆相カラムでのTFAで改質した質量分析計直結HPLC(5~95%の水対アセトニトリルの勾配)により精製して、N-(2-(シクロプロピル(ヒドロキシ)メチル)-7-エトキシイミダゾ[1,2-a]ピリジン-6-イル)-6-(トリフルオロメチル)ピコリンアミド2,2,2-トリフルオロアセテート(1.70mg、2ステップで2%収率)を得た。LCMS (ESI) m/z 421.3 (M+H)+,H NMR (400 MHz, メタノール-d4) δ ppm 0.50 (s, 1 H) 0.59 (s, 1 H) 0.71 (d, J=8.03 Hz, 1 H) 1.28 - 1.32 (m, 1 H) 1.58 - 1.62 (m, 1 H) 1.64 - 1.69 (m, 3 H) 4.24 (d, J=8.28 Hz, 1 H) 4.43 - 4.49 (m, 2 H) 7.25 (s, 1 H) 8.03 (s, 1 H) 8.13 (d, J=8.03 Hz, 1 H) 8.36 (t, J=7.65 Hz, 1 H) 8.52 (d, J=8.03 Hz, 1 H) 9.81 (s, 1 H)。
ジアステレオマーの分離を、SFCキラル分離(カラム:Chiralpak AD-H、250mm30mm、5mkm、溶出勾配:0.1%のDEAを含有するCO中40%のIPA(流速:100mL/分、ABPR 120バール、MBPR 60psi、カラム温度40℃))により達成して、立体化学が適宜割り当てられた2つのエナンチオマーを得た。
実施例169:(S)-N-(2-(シクロプロピル(ヒドロキシ)メチル)-7-エトキシイミダゾ[1,2-a]ピリジン-6-イル)-6-(トリフルオロメチル)ピコリンアミド
ピーク1:LCMS (ESI) m/z 421.3 (M+H)+,100%ee, H NMR (400 MHz, メタノール-d) δ ppm 0.50 (s, 1 H) 0.59 (s, 1 H) 0.71 (d, J=8.03 Hz, 1 H) 1.28 - 1.32 (m, 1 H) 1.58 - 1.62 (m, 1 H) 1.64 - 1.69 (m, 3 H) 4.24 (d, J=8.28 Hz, 1 H) 4.43 - 4.49 (m, 2 H) 7.25 (s, 1 H) 8.03 (s, 1 H) 8.13 (d, J=8.03 Hz, 1 H) 8.36 (t, J=7.65 Hz, 1 H) 8.52 (d, J=8.03 Hz, 1 H) 9.81 (s, 1 H)。実施例168の分離により得、立体化学を適宜割り当てる。
実施例170:(R)-N-(2-(シクロプロピル(ヒドロキシ)メチル)-7-エトキシイミダゾ[1,2-a]ピリジン-6-イル)-6-(トリフルオロメチル)ピコリンアミド
ピーク2:LCMS (ESI) m/z 421.3 (M+H)+, 100%ee, H NMR (400 MHz, メタノール-d4) δ ppm 0.50 (s, 1 H) 0.59 (s, 1 H) 0.71 (d, J=8.03 Hz, 1 H) 1.28 - 1.32 (m, 1 H) 1.58 - 1.62 (m, 1 H) 1.64 - 1.69 (m, 3 H) 4.24 (d, J=8.28 Hz, 1 H) 4.43 - 4.49 (m, 2 H) 7.25 (s, 1 H) 8.03 (s, 1 H) 8.13 (d, J=8.03 Hz, 1 H) 8.36 (t, J=7.65 Hz, 1 H) 8.52 (d, J=8.03 Hz, 1 H) 9.81 (s, 1 H)。実施例168のキラル分離により得、立体化学を適宜割り当てる。
実施例171:6-(ジフルオロメチル)-N-(7-エトキシ-2-(5-オキサスピロ[2.4]ヘプタン-1-イル)イミダゾ[1,2-a]ピリジン-6-イル)ピコリンアミド
Figure 0007576552000164
ステップa:フラスコに、5-オキサスピロ[2.4]ヘプタン-1-カルボン酸(600mg、3.90mmol)、DCM(5mL)、触媒量のDMF、及び塩化オキサリル(590mg、4.29mmol)を投入した。溶液を室温で20時間維持し、維持したらジアゾメチル(トリメチル)シランのヘキサン溶液(ヘキサン中2M、2.25mL)を添加し、混合物を室温で20時間維持した。塩酸水溶液(15%、2当量)を添加し、混合物を4時間撹拌した。反応混合物をNaHCO飽和水溶液の添加によりpH7に塩基化した。有機相を分離し、減圧下で濃縮し、30ミリバール(沸点140℃)で蒸留して、2-クロロ-1-(5-オキサスピロ[2.4]ヘプタン-1-イル)エタン-1-オン(340mg、51.1%収率)を得た。H NMR (400 MHz, クロロホルム-d):δ 4.15 (dd, J = 4.8, 2.0 Hz, 2H), 3.59-3.91 (m, 4H), 2.31-2.44 (m, 1H), 1.73-2.08 (m, 2H), 1.27-1.59 (m, 2H)。
ステップb:2-クロロ-1-(5-オキサスピロ[2.4]ヘプタン-1-イル)エタン-1-オン(300mg、1.37mmol)及び中間体3c:N-(6-アミノ-4-エトキシピリジン-3-イル)-6-(ジフルオロメチル)ピコリンアミド(407mg、1.06mmol)を、プロピオニトリル(20mL)中で還流させながら20時間加熱した。NaCOの飽和水溶液(2mL)を添加し、得られた混合物を3時間撹拌した。有機相を分離し、減圧下で濃縮した。得られた残留物をHPLCにより精製して、6-(ジフルオロメチル)-N-(7-エトキシ-2-(5-オキサスピロ[2.4]ヘプタン-1-イル)イミダゾ[1,2-a]ピリジン-6-イル)ピコリンアミド(23mg、5.0%収率)を4つのジアステレオマーの混合物として得た。LCMS (ESI) m/z 429.2 (M+H)。1H NMR (400 MHz, メタノール-d):δ 9.35-9.37 (m, 1H), 8.29-8.31 (m, 1H), 8.18-8.21 (m, 1H), 7.8-7.90 (m, 1H), 7.39-7.42 (m, 1H), 6.66-6.94 (m, 2H), 4.19-4.24 (m, 2H), 3.43-3.95 (m, 4H), 2.03-2.25 (m, 2H), 1.66-1.85 (m, 1H), 1.51-1.60 (m, 3H), 1.18-1.31 (m, 2H)。
スキームIV:
実施例172~198は、以下の通りのスキームIVに従って調製された。
Figure 0007576552000165
ステップa:NaHCO(185.10mg、2.21mmol)を、4-Amg、1.40mmol)のEtOH(6mL)中溶液に添加し、反応物を85℃で18時間加熱した。冷却した反応をCelite(登録商標)を通して濾過し、EtOAcで洗浄し、濾液を減圧下で蒸発させた。ドライロードを介したカラムクロマトグラフィー(ヘプタン中0~60%のEtOAc:EtOH)により残留物を精製して、7-(ベンジルオキシ)-6-ブロモ-2-(テトラヒドロ-2H-ピラン-4-イル)イミダゾ[1,2-a]ピリジン(233.70mg、41.05%収率)を得た。ステップb:7-(ベンジルオキシ)-6-ブロモ-2-(テトラヒドロ-2H-ピラン-4-イル)イミダゾ[1,2-a]ピリジン(9.54g、24.63mmol)、6-(ジフルオロメチル)ピコリンアミド(5.3g、30.79mmol)、CsCO(16.05g、49.26mmol)、及びキサントホス(2.85g、4.93mmol)、ならびにジオキサン中のPd(OAc)(250mL)の混合物を脱気し、反応物をアルゴン(ガス)下で100℃にて一晩加熱した。反応物を室温に冷却し、EtOAcで希釈し、濾過し、濾液を減圧下で濃縮した。粗生成物をシリカゲルカラムクロマトグラフィー(0~100%のMeCN/MeOHにより溶出する)により精製して、N-(7-(ベンジルオキシ)-2-(テトラヒドロ-2H-ピラン-4-イル)イミダゾ[1,2-a]ピリジン-6-イル)-6-(ジフルオロメチル)ピコリンアミド(4.1g、34.1%収率)を黄色固体として得た。LCMS (ESI) m/z 479.2(M+H)
ステップc:N-(7-(ベンジルオキシ)-2-(テトラヒドロ-2H-ピラン-4-イル)イミダゾ[1,2-a]ピリジン-6-イル)-6-(ジフルオロメチル)ピコリンアミド(4.1g、8.57mmol)及び10%のPd/C(400mg)をMeOH(300mL)中に溶解し、反応物を1psiのH下及び室温で24時間撹拌した。懸濁液をCelite(登録商標)を通して濾過し、濾液を減圧下で蒸発させた。固体をDCM(500mL)で洗浄し、溶媒を減圧下で除去して、N-(7-ヒドロキシ-2-(テトラヒドロ-2H-ピラン-4-イル)イミダゾ[1,2-a]ピリジン-6-イル)-6-(ジフルオロメチル)ピコリンアミド(2.6g、6.69mmol、78.1%収率)を黄褐色の固体として得、これを精製することなく使用した。LCMS (ESI) m/z 389.2(M+H)
ステップd:適切なハロゲン化アルキル(1.2当量)を、6-(ジフルオロメチル)-N-(7-ヒドロキシ-2-(テトラヒドロ-2H-ピラン-4-イル)イミダゾ[1,2-a]ピリジン-6-イル)ピコリンアミド(1当量)、KCO(3当量)、KI(0.5当量)、及びDMF(2mL)の混合物に添加し、反応物を90℃で8時間撹拌した。冷却した溶液を50℃にて減圧下で蒸発させ、残留物をDMSO(0.5mL)中に溶解し、濾紙を通して濾過した。溶液をMeOH/HOまたはMeCN/HOにより溶出する分取HPLCにより精製して、標記化合物を得た。
実施例172:N-(7-(シアノメトキシ)-2-(テトラヒドロ-2H-ピラン-4-イル)イミダゾ[1,2-a]ピリジン-6-イル)-6-(ジフルオロメチル)ピコリンアミド:Sm:2-クロロアセトニトリル;淡褐色固体として5.7mg、11.4%;HPLC勾配:HO-MeCN 20~70%;LCMS (ESI) m/z 428.2(M+H)H NMR (500 MHz DMSO-d+CCl) δ ppm 1.74 (m, 2H), 1.93 (d, J= 12.6 Hz, 2H), 2.89 (t, J= 13.2 Hz, 1H), 3.47 (t, J= 10.9 Hz, 2H), 3.94 (m, 2H), 5.33 (s, 2H), 6.94 (t, J= 54.8 Hz, 1H), 7.28 (s, 1H), 7.54 (s, 1H), 7.95 (d, J= 7.7 Hz, 1H), 8.28 (t, J= 7.7 Hz, 1H), 8.35 (d, J= 7.7 Hz, 1H), 9.44 (s, 1H), 10.30 (m, 1H)。
実施例173:N-(7-(1-シアノエトキシ)-2-(テトラヒドロ-2H-ピラン-4-イル)イミダゾ[1,2-a]ピリジン-6-イル)-6-(ジフルオロメチル)ピコリンアミド:SM:2-ブロモプロピオニトリル;褐色固体として8mg、16.0%;HPLC勾配:HO-MeCN 20~70%;LCMS (ESI) m/z 442.2(M+H)
実施例174:6-(ジフルオロメチル)-N-(7-イソブトキシ-2-(テトラヒドロ-2H-ピラン-4-イル)イミダゾ[1,2-a]ピリジン-6-イル)ピコリンアミド:SM:1-ブロモ-2‐メチルプロパン;4.7mg、6.71%(黄色固体)、HPLC勾配:HO-MeOH+NH/50~100%;LCMS (ESI) m/z 445.2(M+H)
実施例175:N-(7-(シクロペンチルオキシ)-2-(テトラヒドロ-2H-ピラン-4-イル)イミダゾ[1,2-a]ピリジン-6-イル)-6-(ジフルオロメチル)ピコリンアミド:SM:ブロモシクロブタン;褐色油として3.6mg、7.2%、HPLC勾配:HO-MeOH、50~100%、LCMS (ESI) m/z 443.2(M+H)
実施例176:N-(7-シクロブトキシ-2-(テトラヒドロ-2H-ピラン-4-イル)イミダゾ[1,2-a]ピリジン-6-イル)-6-(ジフルオロメチル)ピコリンアミド:SM:ブロモシクロブタン、黄色固体として8.3mg、16.6%、HPLC勾配:HO/HO-MeOH+NH/50~100%、LCMS (ESI) m/z 471(M+H)
実施例177:6-(ジフルオロメチル)-N-(7-(2,2-ジメチルシクロブトキシ)-2-(テトラヒドロ-2H-ピラン-4-イル)イミダゾ[1,2-a]ピリジン-6-イル)ピコリンアミド:SM:2-ブロモ-1,1-ジメチルシクロブタン、黄色固体として.3mg、16.6%、HPLC勾配:HO/HO-MeOH+NH/50~100%、LCMS (ESI) m/z 471(M+H)
実施例178:6-(ジフルオロメチル)-N-(7-((3-メチルシクロペンチル)オキシ)-2-(テトラヒドロ-2H-ピラン-4-イル)イミダゾ[1,2-a]ピリジン-6-イル)ピコリンアミド:SM:1-ブロモ-3-メチルシクロペンタン、褐色固体として14.9mg、29.8%、HPLC勾配:HO-MeOH、50~100%、LCMS (ESI) m/z 471.2(M+H)H NMR (400 MHz DMSO-d+CCl) δ ppm 1.12 (d, J= 7.0 Hz, 3H), 1.41 (m, 2H), 1.72 (m, 2H), 1.97 (m, 3H), 2.19 (m, 3H), 2.85 (t, 1H), 2.96 (m, 1H), 3.47 (t, J= 11.6 Hz, 2H), 3.94 (m, 2H), 5.02 (m, 1H), 6.85 (m, 2H), 7.42 (s, 1H), 7.93 (d, J= 7.7 Hz, 1H), 8.26 (t, J= 7.9 Hz, 1H), 8.35 (d, J= 7.6 Hz, 1H), 9.41 (m, 1H), 10.45 (m, 1H)。
実施例179:N-(7-((3-シアノシクロペンチル)オキシ)-2-(テトラヒドロ-2H-ピラン-4-イル)イミダゾ[1,2-a]ピリジン-6-イル)-6-(ジフルオロメチル)ピコリンアミド:SM:3-ブロモシクロペンタン-1-カルボニトリル、褐色固体として9.4mg、18.8%、HPLC勾配:HO-MeOH、40~90%、LCMS (ESI) m/z 482.2(M+H)H NMR (500 MHz DMSO-d+CCl) δ ppm 1.73 (m, 2H), 1.92 (m, 2H), 2.05 (m, 1H), 2.26 (m, 4H), 2.75 (m, 2H), 3.19 (m, 1H), 3.46 (t, J= 11.4 Hz, 2H), 3.94 (d, J= 11.1 Hz, 2H), 5.18 (m, 1H), 6.97 (m, 2H), 7.46 (s, 1H), 7.93 (t, J= 7.1 Hz, 1H), 8.25 (m, 1H), 8.34 (d, J= 7.8 Hz, 1H), 9.42 (m, 1H), 10.40 (m, 1H)。
実施例180:6-(ジフルオロメチル)-N-(7-((3,3-ジメチルシクロペンチル)オキシ)-2-(テトラヒドロ-2H-ピラン-4-イル)イミダゾ[1,2-a]ピリジン-6-イル)ピコリンアミド:SM:3-ブロモ-1,1-ジメチルシクロペンタン、黄色固体として15.3mg、30.6%、HPLC勾配:HO-MeOH+NH、50~100%、LCMS (ESI) m/z 485.2(M+H)H NMR (400 MHz DMSO-d+CCl) δ ppm 1.10 (s, 3H), 1.17 (s, 3H), 1.56 (m, 1H), 1.73 (m, 3H), 1.83 (m, 1H), 1.92 (m, 2H), 2.07 (m, 2H), 2.35 (m, 1H), 2.85 (t, J= 11.2 Hz, 1H), 3.47 (t, J= 11.1 Hz, 2H), 3.93 (m, 2H), 5.05 (m, 1H), 6.84 (m, 2H), 7.42 (s, 1H), 7.93 (d, J= 7.8 Hz, 1H), 8.26 (t, J= 7.8 Hz, 1H), 8.35 (d, J= 7.7 Hz, 1H), 9.42 (s, 1H), 10.42 (s, 1H)。
実施例181:6-(ジフルオロメチル)-N-(7-((1-メチル-2-オキソピロリジン-3-イル)オキシ)-2-(テトラヒドロ-2H-ピラン-4-イル)イミダゾ[1,2-a]ピリジン-6-イル)ピコリンアミド;SM:3-ブロモ-1-メチルピロリジン-2-オン、褐色固体として9.4mg、18.8%、HPLC勾配:HO-MeOH、40~90%、LCMS (ESI) m/z 486.2(M+H)H NMR (500 MHz DMSO-d+CCl) δ ppm 1.73 (m, 2H), 1.92 (m, 2H), 2.19 (m, 1H), 2.83 (m, 2H), 2.92 (s, 3H), 3.47 (m, 3H), 3.54 (m, 1H), 3.94 (d, J= 10.7 Hz, 2H), 5.10 (t, J= 7.2 Hz, 1H), 6.93 (t, J= 54.9 Hz, 1H), 7.27 (s, 1H), 7.48 (s, 1H), 7.92 (d, J= 7.6 Hz, 1H), 8.26 (t, J= 7.8 Hz, 1H), 8.33 (d, J= 7.7 Hz, 1H), 9.40 (s, 1H), 10.57 (m, 1H)。
実施例182:6-(ジフルオロメチル)-N-(7-(オキセタン-3-イルオキシ)-2-(テトラヒドロ-2H-ピラン-4-イル)イミダゾ[1,2-a]ピリジン-6-イル)ピコリンアミド;SM:3-ヨードオキセタン、褐色固体として6.8mg、13.6%、HPLC勾配:HO-MeOH、40~90%、LCMS (ESI) m/z 445.2(M+H)
実施例183:6-(ジフルオロメチル)-N-(2-(テトラヒドロ-2H-ピラン-4-イル)-7-((テトラヒドロフラン-3-イル)オキシ)イミダゾ[1,2-a]ピリジン-6-イル)ピコリンアミド;SM:3-ブロモオキソラン、淡褐色固体として18mg、36%、HPLC勾配:HO-MeOH、40~90%、LCMS (ESI) m/z 459.0(M+H);1H NMR (500 MHz DMSO-d6+CCl) δ ppm 1.72 (m, 2H), 1.92 (m, 2H), 2.24 (m, 1H), 2.38 (m, 1H), 2.86 (t, J= 11.5 Hz, 1H), 3.46 (t, J= 11.4 Hz, 2H), 3.91 (m, 3H), 3.99 (m, 2H), 4.04 (m, 1H), 5.25 (s, 1H), 6.88 (t, J= 49.3 Hz, 1H), 7.01 (s, 1H), 7.45 (s, 1H), 7.92 (d, J= 7.7 Hz, 1H), 8.26 (t, J= 7.8 Hz, 1H), 8.33 (d, J= 7.8 Hz, 1H), 9.41 (s, 1H), 10.48 (s, 1H)。
実施例184:6-(ジフルオロメチル)-N-(7-((5,5-ジメチルテトラヒドロフラン-3-イル)オキシ)-2-(テトラヒドロ-2H-ピラン-4-イル)イミダゾ[1,2-a]ピリジン-6-イル)ピコリンアミド;SM:4-ブロモ-2,2-ジメチルジオキソラン、褐色固体として8.6mg、17.2%、HPLC勾配:HO-MeOH、50~100%、LCMS (ESI) m/z 487.2(M+H)
実施例185:6-(ジフルオロメチル)-N-(2-(テトラヒドロ-2H-ピラン-4-イル)-7-((テトラヒドロ-2H-ピラン-4-イル)オキシ)イミダゾ[1,2-a]ピリジン-6-イル)ピコリンアミド;SM:4-ヨードオキサン、褐色固体として7.5mg、11.4%、HPLC勾配:HO-MeOH、40~90%、LCMS (ESI) m/z 473.2(M+H)
実施例186:6-(ジフルオロメチル)-N-(7-(((2R,4S)-2-メチルテトラヒドロ-2H-ピラン-4-イル)オキシ)-2-(テトラヒドロ-2H-ピラン-4-イル)イミダゾ[1,2-a]ピリジン-6-イル)ピコリンアミド;SM:トランスrac-(2R,4S)-4-ブロモ-2-メチルオキサン、5.2mg、10.4%、淡褐色固体、HPLC勾配:HO-MeOH、40~90%、LCMS (ESI) m/z 487.0(M+H)
実施例187:6-(ジフルオロメチル)-N-(7-(((2R,4R,6S*)-2,6-ジメチルテトラヒドロ-2H-ピラン-4-イル)オキシ)-2-(テトラヒドロ-2H-ピラン-4-イル)イミダゾ[1,2-a]ピリジン-6-イル)ピコリンアミド、SM:rac-(2R,4s,6S)-4-ブロモ-2,6-ジメチルオキサン、黄色固体として5.4mg、10.8%、HPLC勾配:HO-MeOH+NH/60~100、LCMS (ESI) m/z 501.0(M+H)
実施例188:6-(ジフルオロメチル)-N-(7-(2-フルオロエトキシ)-2-(テトラヒドロ-2H-ピラン-4-イル)イミダゾ[1,2-a]ピリジン-6-イル)ピコリンアミド;SM:2-フルオロエチルブロミド、黄色固体として9.7mg、13.86%、HPLC勾配:HO-MeOH+NH 40~90%、LCMS (ESI) m/z 435.2(M+H)H NMR (400 MHz, CDCl) δ ppm 1.84 (m, 2H), 2.01 (m, 2H), 2.96 (t, 1H), 3.55 (t, J= 10.9 Hz, 2H), 4.06 (m, 2H), 4.35 (m, 2H), 4.91 (m, 2H), 6.66 (t, J= 55.2 Hz, 1H), 6.88 (s, 1H), 7.22 (s, 1H), 7.82 (d, J= 7.8 Hz, 1H), 8.08 (t, J= 7.8 Hz, 1H), 8.35 (d, J= 7.7 Hz, 1H), 9.42 (s, 1H), 10.60 (s, 1H)。
実施例189:6-(ジフルオロメチル)-N-(7-(3-(ジフルオロメチル)シクロブトキシ)-2-(テトラヒドロ-2H-ピラン-4-イル)イミダゾ[1,2-a]ピリジン-6-イル)ピコリンアミド;SM:1-ブロモ-3-(ジフルオロメチル)シクロブテン、褐色固体として13mg、18.57%、HPLC勾配:HO-MeOH+NH 40~90%、LCMS (ESI) m/z 493.2(M+H)H NMR (400 MHz, CDCl) δ ppm 1.82 (m, 2H), 2.00 (m, 3H), 2.34 (m, 1H), 2.54 (m, 1H), 2.73 (m, 2H), 2.94 (m, 1H), 3.55 (t, J= 11.1 Hz, 2H), 4.05 (m, 2H), 4.83 (m, 1H), 5.87 (m, 1H), 6.68 (m, 2H), 7.20 (s, 1H), 7.82 (d, J= 7.8 Hz, 1H), 8.08 (t, J= 7.7 Hz, 1H), 8.36 (m, 1H), 9.41 (s, 1H), 10.47 (s, 1H)。
実施例190:6-(ジフルオロメチル)-N-(7-((1R,3R)-3-エトキシシクロブトキシ)-2-(テトラヒドロ-2H-ピラン-4-イル)イミダゾ[1,2-a]ピリジン-6-イル)ピコリンアミド;SM:トランス-1-ブロモ-3-エトキシシクロブタン、褐色固体として11.2mg、16%、HPLC勾配:HO-MeOH+NH 50~100%、LCMS (ESI) m/z 487.2(M+H);1H NMR (400 MHz, CDCl) δ ppm 1.20 (t, J= 7.0 Hz, 3H), 1.83 (m, 2H), 2.00 (m, 2H), 2.26 (m, 2H), 2.57 (t, J= 9.6 Hz, 1H), 2.94 (m, 1H), 3.02 (m, 1H), 3.44 (m, 2H), 3.54 (t, J= 11.7 Hz, 2H), 3.82 (m, 1H), 4.05 (m, 2H), 4.39 (m, 1H), 6.68 (m, 2H), 7.20 (s, 1H), 7.82 (d, J= 7.8 Hz, 1H), 8.08 (t, J= 7.8 Hz, 1H), 8.36 (d, J= 7.5 Hz, 1H), 9.41 (s, 1H), 10.46 (m, 1H)。
実施例191:N-(7-((3,3-ジフルオロシクロブチル)メトキシ)-2-(テトラヒドロ-2H-ピラン-4-イル)イミダゾ[1,2-a]ピリジン-6-イル)-6-(ジフルオロメチル)ピコリンアミド;SM:3-(ブロモメチル)-1,1-ジフルオロシクロブタン、褐色油として49.1mg、70.1%、HPLC勾配:HO-MeOH+NH 50~100%、LCMS (ESI) m/z 493.2(M+H)H NMR (400 MHz DMSO-d+CCl) δ ppm 1.71 (m, 2H), 1.92 (m, 2H), 2.44 (m, 2H), 2.84 (m, 4H), 3.46 (t, J= 11.6 Hz, 2H), 3.93 (m, 2H), 4.26 (d, J= 5.2 Hz, 2H), 6.95 (m, 2H), 7.45 (s, 1H), 7.93 (d, J= 7.5 Hz, 1H), 8.26 (t, J= 7.8 Hz, 1H), 8.35 (d, J= 7.6 Hz, 1H), 9.43 (s, 1H), 10.32 (s, 1H) 。
実施例192:N-(7-(2-(ジフルオロメトキシ)エトキシ)-2-(テトラヒドロ-2H-ピラン-4-イル)イミダゾ[1,2-a]ピリジン-6-イル)-6-(ジフルオロメチル)ピコリンアミド;SM:1-ブロモ-2-(ジフルオロメトキシ)エタン、ベージュ色の固体として3.5mg、5%収率、HPLC勾配:HO-MeOH+NH/30~80%、LCMS (ESI) m/z 48.2(M+H)H NMR (400 MHz, CDCl) δ ppm 1.85 (m, 2H), 2.01 (m, 2H), 2.96 (m, 1H), 3.55 (t, J= 14.8, 8.8 Hz, 2H), 4.05 (m, 2H), 4.34 (m, 4H), 6.40 (m, 3H), 6.89 (s, 1H), 7.83 (d, J= 7.5 Hz, 1H), 8.09 (t, J= 7.9 Hz, 1H), 8.37 (d, J= 7.8 Hz, 1H), 9.45 (s, 1H), 10.40 (s, 1H) 。
実施例193:6-(ジフルオロメチル)-N-(7-((テトラヒドロ-2H-ピラン-3-イル)メトキシ)-2-(テトラヒドロ-2H-ピラン-4-イル)イミダゾ[1,2-a]ピリジン-6-イル)ピコリンアミド;SM:3-(ブロモメチル)オキサン、褐色油として2.4mg、3.43%、HPLC勾配:HO-MeOH+NH/30~80%、LCMS (ESI) m/z 487.2(M+H)
実施例194:N-(7-((5-オキサスピロ[2.4]ヘプタン-1-イル)メトキシ)-2-(テトラヒドロ-2H-ピラン-4-イル)イミダゾ[1,2-a]ピリジン-6-イル)-6-(ジフルオロメチル)ピコリンアミド、SM:1-(ブロモメチル)-5-オキサスピロ[2.4]ヘプタン、褐色油として24mg、34.3%、HPLC勾配:HO-MeOH+NH 30~80%、LCMS (ESI) m/z 499.2(M+H)H NMR (400 MHz DMSO-d+CCl) δ ppm 0.68 (m, 1H), 1.18 (m, 1H), 1.72 (m, 2H), 1.90 (m, 2H), 2.01 (m, 1H), 2.42 (m, 1H), 2.86 (t, J= 14.4 Hz, 1H), 3.19 (d, J= 4.3 Hz, 1H), 3.46 (t, J= 11.0 Hz, 2H), 3.77 (m, 4H), 3.96 (m, 3H), 4.26 (m, 1H), 6.91 (m, 2H), 7.44 (s, 1H), 7.94 (d, J= 7.8 Hz, 1H), 8.27 (t, J= 7.8 Hz, 1H), 8.36 (d, J= 7.7 Hz, 1H), 9.45 (m, 1H), 10.27 (m, 1H)。
実施例195:6-(ジフルオロメチル)-N-(2-(テトラヒドロ-2H-ピラン-4-イル)-7-(2-(テトラヒドロフラン-3-イル)エトキシ)イミダゾ[1,2-a]ピリジン-6-イル)ピコリンアミド、SM:3-(2-ブロモエチル)オキソラン、ベージュ色の固体として25mg、35.7%、HPLC勾配:HO-MeOH+NH 40~90%、LCMS (ESI) m/z 487.2(M+H)H NMR (400 MHz DMSO-d+CCl) δ ppm 1.68 (m, 3H), 1.92 (m, 2H), 2.04 (m, 2H), 2.13 (m, 1H), 2.54 (m, 1H), 2.86 (m, 1H), 3.46 (m, 3H), 3.67 (q, J= 7.8 Hz, 1H), 3.79 (m, 1H), 3.91 (m, 3H), 4.22 (m, 2H), 6.91 (m, 2H), 7.44 (s, 1H), 7.94 (d, J= 7.6 Hz, 1H), 8.26 (t, J= 7.8 Hz, 1H), 8.36 (d, J= 8.0 Hz, 1H), 9.44 (s, 1H), 10.33 (s, 1H) 。
実施例196:N-(7-((2,2-ジフルオロシクロプロピル)メトキシ)-2-(テトラヒドロ-2H-ピラン-4-イル)イミダゾ[1,2-a]ピリジン-6-イル)-6-(ジフルオロメチル)ピコリンアミド;SM:2-(ブロモメチル)-1,1-ジフルオロシクロプロパン、淡褐色固体として22.6mg、32.3%収率、HPLC勾配:HO-MeOH+NH 40~90%、LCMS (ESI) m/z 479.2(M+H)H NMR (400 MHz DMSO-d6+CCl4) δ ppm: 1.56 (m, 1H), 1.74 (m, 3H), 1.92 (m, 2H), 2.33 (m, 1H), 2.87 (m, 1H), 3.46 (t, J= 13.5 Hz, 2H), 3.94 (m, 2H), 4.25 (t, J= 9.7 Hz, 1H), 4.34 (m, 1H), 6.90 (m, 2H), 7.46 (s, 1H), 7.94 (d, J= 7.6 Hz, 1H), 8.35 (d, J= 7.7 Hz, 1H), 8.27 (t, J= 7.7 Hz, 1H), 9.44 (s, 1H), 10.45 (s, 1H)。
実施例197:6-(ジフルオロメチル)-N-(7-((3-メチルテトラヒドロフラン-3-イル)メトキシ)-2-(テトラヒドロ-2H-ピラン-4-イル)イミダゾ[1,2-a]ピリジン-6-イル)ピコリンアミド;SM:3-(ブロモメチル)-3-メチルオキソラン、褐色固体として18.6mg、26.6%収率、HPLC勾配:HO-MeOH+NH 50~100%、LCMS (ESI) m/z 487.2(M+H)H NMR (400 MHz DMSO-d+CCl)zδ ppm: 1.38 (s, 3H), 1.72 (m, 2H), 1.82 (m, 1H), 1.93 (m, 2H), 2.05 (dd, J= 13.0, 7.4 Hz, 1H), 2.87 (m, 1H), 3.48 (m, 3H), 3.85 (m, 3H), 3.93 (m, 2H), 4.04 (dd, J= 24.3, 9.1 Hz, 2H), 6.86 (m, 2H), 7.45 (s, 1H), 7.94 (d, J= 7.6 Hz, 1H), 8.27 (t, J= 7.8 Hz, 1H), 8.37 (d, J= 7.8 Hz, 1H), 9.46 (s, 1H), 10.36 (m, 1H) 。
実施例198:6-(ジフルオロメチル)-N-(7-((1-(ジフルオロメチル)シクロブチル)メトキシ)-2-(テトラヒドロ-2H-ピラン-4-イル)イミダゾ[1,2-a]ピリジン-6-イル)ピコリンアミド、SM:1-(ブロモメチル)-1-(ジフルオロメチル)シクロブテン、ベージュ色の固体として10.9mg、15.6%、HPLC勾配:HO-MeOH+NH 30~80%、LCMS (ESI) m/z 507.2(M+H)H NMR (400 MHz DMSO-d) δ ppm: 1.73 (m, 2H), 1.93 (m, 2H), 2.06 (m, 3H), 2.14 (m, 1H), 2.37 (m, 2H), 2.88 (t, J= 11.4 Hz, 1H), 3.47 (t, J= 12.0 Hz, 2H), 3.94 (m, 2H), 4.34 (s, 2H), 6.16 (t, J= 56.7 Hz, 1H), 6.82 (t, J= 55.0 Hz, 1H), 7.09 (s, 1H), 7.47 (s, 1H), 7.94 (d, J= 7.6 Hz, 1H), 8.26 (t, J= 7.8 Hz, 1H), 8.36 (d, J= 7.6 Hz, 1H), 9.46 (s, 1H), 10.27 (s, 1H)。
実施例199:N-(8-(ベンジルオキシ)-2-(1-メチル-2-オキサビシクロ[2.1.1]ヘキサン-4-イル)イミダゾ[1,2-a]ピラジン-6-イル)-6-(ジフルオロメチル)ピコリンアミドを、8-ベンジルオキシ-6-ブロモ-2-(1-メチル-2-オキサビシクロ[2.1.1]ヘキサン-4-イル)イミダゾ[1,2-a]ピラジンを得るためのステップaでの縮合反応剤が2-ブロモ-1-(1-メチル-2-オキサビシクロ[2.1.1]ヘキサン-4-イル)エタン-1-オン及び3-ベンジルオキシ-5-ブロモピラジン-2-アミンであり、ステップbがスキーム4と同様にして進められる、スキームIまたはIVと同様の方法で調製して、実施例199を淡黄色固体として得た。LCMS (ESI) m/z 492.3 (M+H)H NMR (400 MHz, メタノール-d) δ ppm: 1.51 (s, 3H), 1.91 (dd, J=1.63, 4.64 Hz, 2H), 2.08-2.25 (m, 2H), 4.05 (s, 2H), 5.68 (s, 2H), 6.78-7.13 (m, 1H), 7.31-7.49 (m, 3H), 7.55-7.70 (m, 2H), 7.87-8.03 (m, 2H), 8.27 (t, J=7.78 Hz, 1H), 8.35-8.50 (m, 1H), 9.07 (s, 1H) 。
実施例200:6-(ジフルオロメチル)-N-(8-ヒドロキシ-2-(1-メチル-2-オキサビシクロ[2.1.1]ヘキサン-4-イル)イミダゾ[1,2-a]ピラジン-6-イル)ピコリンアミドを、MeOH中のPd/Cを使用した1気圧での水素化により調製して、実施例200を白色固体として得た(10.8mg)。LCMS (ESI) m/z 402.2 (M+H)H NMR (600 MHz, メタノール-d) δ ppm: 1.51 (s, 3H), 1.82-1.94 (m, 2H), 2.10-2.22 (m, 2H), 3.98-4.09 (m, 2H), 6.76-7.03 (m, 1H), 7.71 (s, 1H), 7.99 (d, J=8.07 Hz, 1H), 8.21-8.31 (m, 2H), 8.38 (d, J=7.34 Hz, 1H)。
実施例201:6-(ジフルオロメチル)-N-(8-エトキシ-2-(1-メチル-2-オキサビシクロ[2.1.1]ヘキサン-4-イル)イミダゾ[1,2-a]ピラジン-6-イル)ピコリンアミドは、以下の通りの実施例200のアルキル化により調製された。
DMF(2mL)中の実施例200:6-(ジフルオロメチル)-N-(8-ヒドロキシ-2-(1-メチル-2-オキサビシクロ[2.1.1]ヘキサン-4-イル)イミダゾ[1,2-a]ピラジン-6-イル)ピコリンアミド(34.10mg、84.96μmol)及びKCO(28.00mg、202.59μmol)を含有する密閉された容器に、ヨウ化エチル(14.30mg、91.68μmol)をシリンジにより添加し、反応物を50℃で2時間加熱した。冷却した反応物を水とEtOAcとの間で分配し、層を分離した。水層をEtOAcで抽出し、合わせた有機相を減圧下で濃縮し、粗製物をシリカゲルカラムクロマトグラフィー(ヘプタン中50~100%のEtOAc)により精製して、6-(ジフルオロメチル)-N-(8-エトキシ-2-(1-メチル-2-オキサビシクロ[2.1.1]ヘキサン-4-イル)イミダゾ[1,2-a]ピラジン-6-イル)ピコリンアミドを白色固体として22mgを得た(22mg)。LCMS (ESI) m/z 430.2 (M+H)H NMR (400 MHz, CDCl) δ ppm: 1.53 (s, 3H), 1.51-1.54 (m, 3H), 1.87-2.15 (m, 4H), 4.09 (s, 2H), 4.69 (q, J=7.03 Hz, 2H), 6.59-6.96 (m, 1H), 7.49 (s, 1H), 7.88 (d, J=7.53 Hz, 1H), 8.12 (t, J=7.78 Hz, 1H), 8.41 (d, J=7.53 Hz, 1H), 8.93 (s, 1H), 9.82 (s, 1H)。
実施例202~231は、以下の通りのスキームVにより調製された。
Figure 0007576552000166
ステップa:EtOH(200mL)中のナトリウムエトキシド(39.2g、576.18mmol)を、4-クロロ-5-ニトロピリジン-2-アミン(40.0g、230.47mmol)のEtOH(500mL)中懸濁液に添加し、反応物を還流下で12時間撹拌した。冷却した反応物を減圧下で濃縮し、残留物を水(250mL)中に懸濁させた。結晶性沈殿物を濾過により分離し、水で洗浄して、4-エトキシ-5-ニトロピリジン-2-アミン(34.3g、81.3%収率)を橙色固体として得た。LCMS (ESI) m/z 184.0(M+H)
ステップb:4-エトキシ-5-ニトロピリジン-2-アミン(20.0g、109.19mmol)、2-ブロモ-1-(オキサン-4-イル)エタン-1-オン(45.22g、218.38mmol)、及びNaHCO(18.34g、218.38mmol)のEtOH(200mL)中混合物を、80℃で48時間加熱した。混合物を室温に冷却し、次いで、HO(100mL)で希釈し、DCM(3×100mL)で抽出した。合わせた有機層をブラインで洗浄し、NaSO上で乾燥し、濾過し、減圧下で蒸発させて、7-エトキシ-6-ニトロ-2-(テトラヒドロ-2H-ピラン-4-イル)イミダゾ[1,2-a]ピリジン(24.0g、75.5%収率)を褐色固体として得、これを更に精製することなく使用した。LCMS (ESI) m/z 292.2 (M+H)
ステップc:鉄粉(46g、823.89mmol)を、7-エトキシ-6-ニトロ-2-(テトラヒドロ-2H-ピラン-4-イル)イミダゾ[1,2-a]ピリジン(24.0g、82.39mmol)、EtOH(300mL)、HO(20mL)、NHCl(100mg)、及び12NのHCl(2mL)の溶液に何度かに分けて添加し、反応物を還流下で5時間撹拌した。NHOHを添加して、反応物を中性化し、混合物を濾過し、残留物を熱EtOHで洗浄した。濾液を減圧下で蒸発させて、中間体24:7-エトキシ-2-(テトラヒドロ-2H-ピラン-4-イル)イミダゾ[1,2-a]ピリジン-6-アミン(9.1g、34.82mmol、%収率)を淡黄色固体として得た。LCMS (ESI) m/z 262.2(M+H)
以下の通りのステップd条件1を使用して、実施例202~222を調製した。全ての合成が60mgスケール(生成物)で行われた。中間体24:7-エトキシ-2-(オキサン-4-イル)イミダゾ[1,2-a]ピリジン-6-アミン(1.0当量)を、適切なカルボン酸(1.1当量)及びEDC(1.21当量)のDMSO(0.8mL)中混合物に添加した。反応混合物を室温で24時間撹拌した。LCMSにより完全な変換が示された後、反応混合物を濾過し、溶液を分取HPLC(Waters SunFire C18 19100 5mkmカラム;移動相としてHO-MeOHの勾配混合物)により精製して、目的の生成物を得た。
以下の通りのステップd条件2を使用して、実施例223~224を調製した。中間体24:7-エトキシ-2-(オキサン-4-イル)イミダゾ[1,2-a]ピリジン-6-アミン(1.0当量)を、適切なカルボン酸(1.1当量)、EDC(1.05当量)、HOAt(1.05当量)、及びDIPEA(2.5当量)のDMF(1mL)中混合物に添加し、反応物を室温で16時間撹拌した。
ステップd条件3を使用して、実施例225~231を調製した。メタンスルホニルクロリド(1.2当量)を、適切な酸(1.2当量)及び1-メチル-1H-イミダゾール(2.4当量)のDMF中溶液(1mL)に滴加した。得られた混合物を30分間撹拌し、中間体24:7-エトキシ-2-(オキサン-4-イル)イミダゾ[1,2-a]ピリジン-6-アミン(1.0当量)を添加し、反応物を室温で1時間撹拌し、続いて、100℃で更に2時間撹拌した。LCMSにより完全な変換が示された後、混合物を蒸発させ、残留物をDMSO(1mL)中に溶解し、分取HPLC(Waters SunFire C18 19100 5μmカラム;移動相としてHO-MeOHの勾配混合物)により精製して、標記化合物を得た。
実施例202:N-(7-エトキシ-2-(テトラヒドロ-2H-ピラン-4-イル)イミダゾ[1,2-a]ピリジン-6-イル)-2-エチルチアゾール-4-カルボキサミド;SM:2-エチル-1,3-チアゾール-4-カルボン酸、1.3mg、1.19%、HPLC勾配:HO-MeOH/50~100%、LCMS (ESI) m/z 401.2(M+H)
実施例203:2-シクロプロピル-N-(7-エトキシ-2-(テトラヒドロ-2H-ピラン-4-イル)イミダゾ[1,2-a]ピリジン-6-イル)チアゾール-4-カルボキサミド;SM:2-シクロプロピル-1,3-チアゾール-4-カルボン酸、15.1mg、14.5%、HPLC勾配:HO-MeOH/50~100%、LCMS (ESI) m/z 413.2(M+H)H NMR (400 MHz DMSO-d+CCl) δ ppm 1.13-1.24 (m, 4H), 1.58 (t, J=6.9 Hz, 3H), 1.68-1.78 (m, 2H), 1.87-1.95 (m, 2H), 2.37-2.45 (m, 1H), 2.80-2.90 (m, 1H), 3.43-3.51 (m, 2H), 3.90-3.97 (m, 2H), 4.22 (q, J=6.9 Hz, 2H), 6.90 (s, 1H), 7.40 (s, 1H), 8.04 (s, 1H), 9.31 (s, 1H), 9.70 (s, 1H)。
実施例204:N-(7-エトキシ-2-(テトラヒドロ-2H-ピラン-4-イル)イミダゾ[1,2-a]ピリジン-6-イル)-1-メチル-1H-ピラゾール-3-カルボキサミド、SM:1-メチル-1H-ピラゾール-3-カルボン酸、29.9mg、24.41%、HPLC勾配:HO-MeOH/30~80%、LCMS (ESI) m/z 370.2(M+H)H NMR (400 MHz DMSO-d+CCl) δ ppm 1.57 (t, J=7.0, 7.0 Hz, 3H), 1.66-1.76 (m, 2H), 1.88-1.96 (m, 2H), 2.78-2.91 (m, 1H), 3.42-3.50 (m, 2H), 3.91-3.97 (m, 2H), 4.00 (s, 3H), 4.23-4.32 (m, 2H), 6.70-6.74 (m, 1H), 6.90 (s, 1H), 7.39 (s, 1H), 7.72-7.77 (m, 1H), 9.12 (s, 1H), 9.31 (s, 1H) 。
実施例205:N-(7-エトキシ-2-(テトラヒドロ-2H-ピラン-4-イル)イミダゾ[1,2-a]ピリジン-6-イル)-1-エチル-1H-ピラゾール-3-カルボキサミド、SM:1-エチル-1H-ピラゾール-3-カルボン酸、18.6mg、19.17%、HPLC勾配:HO-MeOH/35~85%、LCMS (ESI) m/z 384.2(M+H)H NMR (400 MHz, CDCl) δ ppm 1.47-1.58 (m, 6H), 1.75-1.89 (m, 2H), 1.96-2.04 (m, 2H), 2.88-2.99 (m, 1H), 3.48-3.59 (m, 2H), 4.00-4.08 (m, 2H), 4.13-4.18 (m, 2H), 4.18-4.25 (m, 2H), 6.78-6.86 (m, 2H), 7.16 (s, 1H), 7.42 (d, J=2.4 Hz, 1H), 9.29 (s, 1H), 9.34 (s, 1H) 。
実施例206:N-(7-エトキシ-2-(テトラヒドロ-2H-ピラン-4-イル)イミダゾ[1,2-a]ピリジン-6-イル)-1-イソプロピル-1H-ピラゾール-3-カルボキサミド、SM:1-(プロパン-2-イル)-1H-ピラゾール-3-カルボン酸、19.9mg、20.22%、HPLC勾配:HO-MeOH/35~85%、LCMS (ESI) m/z 398.2(M+H)H NMR (400 MHz, CDCl) δ ppm 1.49-1.57 (m, 9H), 1.82 (qd, J=12.2, 4.3 Hz, 2H), 1.95-2.02 (m, 2H), 2.88-3.00 (m, 1H), 3.54 (td, J=11.6, 2.1 Hz, 2H), 4.01-4.08 (m, 2H), 4.15 (q, J=6.9, Hz, 2H), 4.45-4.56 (m, 1H), 6.79-6.85 (m, 2H), 7.16 (s, 1H), 7.45 (d, J=2.4 Hz, 1H), 9.33 (s, 1H), 9.36 (s, 1H)。
実施例207:1-(tert-ブチル)-N-(7-エトキシ-2-(テトラヒドロ-2H-ピラン-4-イル)イミダゾ[1,2-a]ピリジン-6-イル)-1H-ピラゾール-3-カルボキサミド;SM:1-(tert-ブチル)-1H-ピラゾール-3-カルボン酸、32.4mg、30.99%、HPLC勾配:HO-MeOH/40~90%。LCMS (ESI) m/z 412.2 (M+H)H NMR (400 MHz, CDCl) δ ppm 1.54 (t, J= 7.0 Hz, 3H), 1.61 (s, 9H), 1.82 (qd, J=12.3, 12.3, 12.1, 4.2 Hz, 2H), 1.98-2.03 (m, 2H), 2.88-2.98 (m, 1H), 3.50-3.58 (m, 2H), 4.01-4.07 (m, 2H), 4.14 (q, J=6.9 Hz, 2H), 6.80-6.85 (m, 2H), 7.16 (s, 1H), 7.55 (d, J=2.4 Hz, 1H), 9.33 (s, 1H), 9.45 (s, 1H)。
実施例208:1-シクロペンチル-N-(7-エトキシ-2-(テトラヒドロ-2H-ピラン-4-イル)イミダゾ[1,2-a]ピリジン-6-イル)-1H-ピラゾール-3-カルボキサミド;SM:1-シクロペンチル-1H-ピラゾール-3-カルボン酸、16mg、15.9%、HPLC勾配:HO-MeOH/40~90%。LCMS (ESI) m/z 424.2(M+H)H NMR (400 MHz, CDCl) δ ppm 1.54 (t, J=6.9 Hz, 3H), 1.74-1.88 (m, 3H), 1.88-1.96 (m, 2H), 1.97-2.10 (m, 5H), 2.11-2.21 (m, 2H), 2.89-2.99 (m, 1H), 3.48-3.59 (m, 2H), 4.00-4.08 (m, 2H), 4.14 (q, J=6.9 Hz, 2H), 4.65-4.68 (m, 1H), 6.82 (d, J=2.4 Hz, 1H), 6.84 (s, 1H), 7.16 (s, 1H), 7.44 (d, J=2.4 Hz, 1H), 9.34 (s, 1H), 9.36 (s, 1H)。
実施例209:1-(2,2-ジフルオロシクロプロピル)-N-(7-エトキシ-2-(テトラヒドロ-2H-ピラン-4-イル)イミダゾ[1,2-a]ピリジン-6-イル)-1H-ピラゾール-3-カルボキサミド、SM:1-(2,2-ジフルオロシクロプロピル)-1H-ピラゾール-3-カルボン酸、16.3mg、17.06%、HPLC勾配:HO-MeOH/30~80%。LCMS (ESI) m/z 432.2(M+H)H NMR (400 MHz, CDCl) δ ppm 1.54 (t, J=6.9 Hz, 3H), 1.82 (qd, J=12.5, 4.3 Hz, 2H), 1.97-2.04 (m, 2H), 2.09-2.19 (m, 1H), 2.24-2.34 (m, 1H), 2.88-3.00 (m, 1H), 3.49-3.59 (m, 2H), 4.0-4.08 (m, 2H), 4.16 (q, J=6.5, Hz, 3H), 6.84 (s, 1H), 6.90 (d, J=2.3 Hz, 1H), 7.17 (s, 1H), 7.56 (d, J=2.0 Hz, 1H), 9.24 (s, 1H), 9.32 (s, 1H) 。
実施例210:N-(7-エトキシ-2-(テトラヒドロ-2H-ピラン-4-イル)イミダゾ[1,2-a]ピリジン-6-イル)-5-フルオロ-1-メチル-1H-ピラゾール-3-カルボキサミド;SM:5-フルオロ-1-メチル-1H-ピラゾール-3-カルボン酸、24.2mg、26.1%、HPLC勾配:HO-MeOH/30~80%。LCMS (ESI) m/z 441.0 (M+H);1H NMR (400 MHz DMSO-d+CCl) δ ppm 1.56 (t, J=6.9Hz, 3H), 1.67-1.77 (m, 2H), 1.88-1.95 (m, 2H), 2.82-2.89 (m, 1H), 3.43-3.51 (m, 2H), 3.86 (s, 3H), 3.91-3.96 (m, 2H), 4.26 (q, J=6.9 Hz, 2H), 6.36 (d, J=5.8 Hz, 1H), 6.91 (s, 1H), 7.40 (s, 1H), 9.08 (s, 1H), 9.27 (s, 1H)。
実施例211:N-(7-エトキシ-2-(テトラヒドロ-2H-ピラン-4-イル)イミダゾ[1,2-a]ピリジン-6-イル)-3-メトキシ-4-メチルチオフェン-2-カルボキサミド;SM:3-メトキシ-4-メチルチオフェン-2-カルボン酸、7.4mg、8.43%、HPLC勾配:HO-MeOH/50~100%。LCMS (ESI) m/z 416.2 (M+H)
実施例212:N-(7-エトキシ-2-(テトラヒドロ-2H-ピラン-4-イル)イミダゾ[1,2-a]ピリジン-6-イル)-2-フルオロベンズアミド;SM:2-フルオロ安息香酸、18.7mg、17.08%、HPLC勾配:HO-MeOH/40~90%。LCMS (ESI) m/z 384.1 (M+H)H NMR (400 MHz, CDCl) δ ppm 1.53 (t, J=7.0 Hz, 3H), 1.82 (td, J=12.9, 4.4 Hz, 2H), 1.96-2.04 (m, 2H), 2.89-2.99 (m, 1H), 3.49-3.59 (m, 2H), 4.00-4.08 (m, 2H), 4.15 (q, J=6.9 Hz, 2H), 6.84 (s, 1H), 7.13-7.22 (m, 2H), 7.31 (t, J=7.5 Hz, 1H), 7.49-7.56 (m, 1H), 8.18 (td, J=7.9, 1.8 Hz, 1H), 9.32 (d, J=17.0 Hz, 1H), 9.44 (s, 1H)。
実施例213:N-(7-エトキシ-2-(テトラヒドロ-2H-ピラン-4-イル)イミダゾ[1,2-a]ピリジン-6-イル)-2-メトキシベンズアミド;SM:2-メトキシ安息香酸、14.2mg、14.66%、HPLC勾配:HO-MeOH/50~100%。LCMS (ESI) m/z 396.1 (M+H)
実施例214:N-(7-エトキシ-2-(テトラヒドロ-2H-ピラン-4-イル)イミダゾ[1,2-a]ピリジン-6-イル)-2-フルオロ-3-メチルベンズアミド;SM:2-フルオロ-3-メチル安息香酸、16.3mg、15.8%、HPLC勾配:HO-MeOH/50~100%。LCMS (ESI) m/z 398.2 (M+H);1H NMR (400 MHz DMSO-d+CCl) δ ppm 1.55 (t, J= 6.9 Hz, 3H), 1.67-1.78 (m, 2H), 1.88-1.96 (m, 2H), 2.36-2.41 (m, 3H), 2.81-2.91 (m, 1H), 3.42-3.51 (m, 2H), 3.90-3.97 (m, 2H), 4.24 (q, J=6.9 Hz, 2H), 6.92 (s, 1H), 7.23 (t, J=7.7 Hz, 1H), 7.41 (s, 1H), 7.43-7.50 (m, 1H), 7.84-7.92 (m, 1H), 9.27 (d, J=15.0 Hz, 1H), 9.38 (s, 1H)。
実施例215:N-(7-エトキシ-2-(テトラヒドロ-2H-ピラン-4-イル)イミダゾ[1,2-a]ピリジン-6-イル)-2-フルオロ-3-メトキシベンズアミド;SM:2-フルオロ-3-メトキシ安息香酸、19.6mg、18.48%、HPLC勾配:HO-MEOH。LCMS (ESI) m/z 414.2 (M+H);1H NMR (400 MHz DMSO-d+CCl) δ ppm 1.55 (t, J=7.0 Hz, 3H), 1.68-1.79 (m, 2H), 1.88-1.96 (m, 2H), 2.81-2.90 (m, 1H), 3.46 (t, J=11.1 Hz, 2H), 3.91-3.96 (m, 5H), 4.19-4.27 (m, 2H), 6.91 (s, 1H), 7.23-7.33 (m, 2H), 7.41 (s, 1H), 7.53-7.59 (m, 1H), 9.25 (d, J=14.4 Hz, 1H), 9.36 (s, 1H)。
実施例216:N-(7-エトキシ-2-(テトラヒドロ-2H-ピラン-4-イル)イミダゾ[1,2-a]ピリジン-6-イル)ピコリンアミド;SM:ピリジン-2-カルボン酸、14.7mg、14.3%。HPLC勾配:HO-MeOH/30~80%。LCMS (ESI) m/z 380.2 (M+H);1H NMR (400 MHz, メタノール-d) δ ppm 1.59 (t, J=6.9 Hz, 3H), 1.68-1.78 (m, 2H), 1.97-2.06 (m, 2H), 2.92-3.00 (m, 1H), 3.56-3.64 (m, 2H), 4.01-4.08 (m, 2H), 4.31 (q, J=6.9 Hz, 2H), 6.92 (s, 1H), 7.51 (s, 1H), 7.60-7.66 (m, 1H), 8.01-8.08 (m, 1H), 8.24 (d, J=7.8 Hz, 1H), 9.49 (s, 1H)
実施例217:N-(7-エトキシ-2-(テトラヒドロ-2H-ピラン-4-イル)イミダゾ[1,2-a]ピリジン-6-イル)-6-エチルピコリンアミド;SM:6-エチルピリジン-2-カルボン酸、22.9mg、20.98%。HPLC勾配:HO-MeOH/50~100%。LCMS (ESI) m/z 395.2 (M+H);1H NMR (400 MHz DMSO-d+CCl) δ ppm 1.41 (t, J=7.5 Hz, 3H), 1.60 (t, J=6.9 Hz, 3H), 1.67-1.79 (m, 2H), 1.88-1.96 (m, 2H), 2.84-2.95 (m, 3H), 3.41-3.52 (m, 2H), 3.90-3.97 (m, 2H), 4.24 (q, J=7.0 Hz, 2H), 6.92 (s, 1H), 7.42 (s, 1H), 7.45 (d, J=7.6 Hz, 1H), 7.91 (t, J=7.7 Hz, 1H), 8.01 (d, J=7.6 Hz, 1H), 9.44 (s, 1H), 10.61 (s, 1H)。
実施例218:N-(7-エトキシ-2-(テトラヒドロ-2H-ピラン-4-イル)イミダゾ[1,2-a]ピリジン-6-イル)-6-イソプロピルピコリンアミド;SM:6-(プロパン-2-イル)ピリジン-2-カルボン酸、20.1mg、22.35%、HPLC勾配:HO-MeOH/50~100%。LCMS (ESI) m/z 409.2 (M+H);1H NMR (400 MHz DMSO-d+CCl) δ ppm 1.38 (d, J=6.8 Hz, 6H), 1.60 (t, J=7.0 Hz, 3H), 1.69-1.79 (m, 2H), 1.89-1.96 (m, 2H), 2.80-2.91 (m, 1H), 3.12-3.19 (m, 1H), 3.42-3.52 (m, 2H), 3.90-3.98 (m, 2H), 4.24 (q, J=6.8 Hz, 2H), 6.93 (s, 1H), 7.42 (s, 1H), 7.46 (d, J=7.7 Hz, 1H), 7.92 (t, J=7.7 Hz, 1H), 8.01 (d, J=7.5 Hz, 1H), 9.45 (s, 1H), 10.62 (s, 1H)。
実施例219:N-(7-エトキシ-2-(テトラヒドロ-2H-ピラン-4-イル)イミダゾ[1,2-a]ピリジン-6-イル)-5-フルオロピコリンアミド;SM:5-フルオロピリジン-2-カルボン酸、4.6mg、4.32%。HPLC勾配:HO-MeOH/30~80%。LCMS (ESI) m/z 385.2(M+H)
実施例220:N-(7-エトキシ-2-(テトラヒドロ-2H-ピラン-4-イル)イミダゾ[1,2-a]ピリジン-6-イル)-6-イソプロポキシピコリンアミド;SM:6-(プロパン-2-イルオキシ)ピリジン-2-カルボン酸、13.8mg、12.7%、HPLC勾配:HO-MEOH。LCMS (ESI) m/z 425.2 (M+H);1H NMR (400 MHz DMSO-d+CCl) δ ppm 1.42 (d, J=6.1 Hz, 6H), 1.54 (t, J=6.9 Hz, 3H), 1.71-1.73 (m, 2H), 1.88-1.95 (m, 2H), 2.85 (tt, J=11.3, 3.8, Hz, 1H), 3.42-3.51 (m, 2H), 3.90-3.97 (m, 2H), 4.25 (q, J=6.9 Hz, 2H), 5.44-5.52 (m, 1H), 6.92 (d, J=8.2 Hz, 1H), 6.94 (s, 1H), 7.42 (s, 1H), 7.76 (d, J=7.2 Hz, 1H), 7.86 (t, J=7.7 Hz, 1H), 9.47 (s, 1H), 10.15 (s, 1H) 。
実施例221:N-(7-エトキシ-2-(テトラヒドロ-2H-ピラン-4-イル)イミダゾ[1,2-a]ピリジン-6-イル)-2,3-ジヒドロチエノ[3,4-b][1,4]ジオキシン-5-カルボキサミド;SM:2H,3H-チエノ[3,4-b][1,4]ジオキシン-5-カルボン酸、14.8mg、16.8%。HPLC勾配:HO-MeOH/40~90%。LCMS (ESI) m/z 430.2 (M+H)
実施例222:N-(7-エトキシ-2-(テトラヒドロ-2H-ピラン-4-イル)イミダゾ[1,2-a]ピリジン-6-イル)-5,6,7,8-テトラヒドロインドリジン-1-カルボキサミド;SM:5,6,7,8-テトラヒドロインドリジン-1-カルボン酸、12.7mg、11.77%。HPLC勾配:HO-MeOH/50~100%。LCMS (ESI) m/z 395.2 (M+H);1H NMR (400 MHz DMSO-d+CCl) δ ppm 1.54 (t, J=6.9 Hz, 3H), 1.70-1.72 (m, 2H), 1.84-1.89 (m, 2H), 1.89-1.94 (m, 2H), 1.94-2.02 (m, 2H), 2.84 (tt, J=11.2, 3.9 Hz, 1H), 3.09 (t, J=6.4 Hz, 2H), 3.45 (td, J=11.5, 2.2 Hz, 2H), 3.89-3.96 (m, 2H), 3.98 (t, J=5.9 Hz, 2H), 4.21 (q, J=6.9 Hz, 2H), 6.33 (d, J=3.1 Hz, 1H), 6.55 (d, J=3.0 Hz, 1H), 6.85 (s, 1H), 7.34 (s, 1H), 8.02 (s, 1H), 9.22 (s, 1H)。
実施例223:N-(7-エトキシ-2-(テトラヒドロ-2H-ピラン-4-イル)イミダゾ[1,2-a]ピリジン-6-イル)-2-メチルチアゾール-4-カルボキサミド;SM:2-メチルチアゾール-4-カルボン酸、8.5mg、17%。HPLC勾配:HO-MeOH/40~90%。LCMS (ESI) m/z 387.0 (M+H)
実施例224:N-(7-エトキシ-2-(テトラヒドロ-2H-ピラン-4-イル)イミダゾ[1,2-a]ピリジン-6-イル)-6-メチルピコリンアミド;SM:6-ピコリン-2-カルボン酸、11.9mg、23.8%。HPLC勾配:HO-MeOH/40~90%。LCMS (ESI) m/z 381.0 (M+H)
実施例225:N-(7-エトキシ-2-(テトラヒドロ-2H-ピラン-4-イル)イミダゾ[1,2-a]ピリジン-6-イル)-2,3-ジヒドロ-1H-ピロリジン-7-カルボキサミド;SM:2,3-ジヒドロ-1H-ピロリジン-7-カルボン酸、5mg、5%。HPLC勾配:HO-MeOH/65~90%。LCMS (ESI) m/z 395.2 (M+H)
実施例226:N-(7-エトキシ-2-(テトラヒドロ-2H-ピラン-4-イル)イミダゾ[1,2-a]ピリジン-6-イル)-2-メトキシピリミジン-4-カルボキサミド;SM:2-メトキシピリミジン-4-カルボン酸、5.5mg、4.92%。HPLC勾配:HO-MeOH/50~100%。LCMS (ESI) m/z 398.2 (M+H)
実施例227:6-(1,1-ジフルオロエチル)-N-(7-エトキシ-2-(テトラヒドロ-2H-ピラン-4-イル)イミダゾ[1,2-a]ピリジン-6-イル)ピコリンアミド;SM:6-(1,1-ジフルオロエチル)ピコリン酸、10.2mg、10.64%。HPLC勾配:HO-MeOH/55~100%。LCMS (ESI) m/z 431.0 (M+H)
実施例228:3-(ジフルオロメチル)-N-(7-エトキシ-2-(テトラヒドロ-2H-ピラン-4-イル)イミダゾ[1,2-a]ピリジン-6-イル)ベンズアミド;SM:3-(ジフルオロメチル)安息香酸、19.6mg、18.74%。HPLC勾配:HO-MeOH/50~90%。LCMS (ESI) m/z 416.2 (M+H);1H NMR (400 MHz DMSO-d) δ ppm 1.52 (t, J= 6.9 Hz, 3H), 1.74 (qd, J=12.1, 4.3 Hz, 2H), 1.90-2.03 (m, 2H), 2.92-2.95 (m, 1H), 3.48 (td, J=11.6, 2.1 Hz, 2H), 3.92-3.99 (m, 2H), 4.26 (q, J=6.9 Hz, 2H), 6.85-7.10 (m, 2H), 7.58 (s, 1H), 7.65 (t, J= 7.7 Hz, 1H), 7.77 (d, J=7.6 Hz, 1H), 8.10 (d, J=7.8 Hz, 1H), 8.15 (s, 1H), 9.08 (s, 1H), 9.47 (s, 1H)。
実施例229:N-(7-エトキシ-2-(テトラヒドロ-2H-ピラン-4-イル)イミダゾ[1,2-a]ピリジン-6-イル)-3-メチルベンズアミド;SM:3-メチル安息香酸、20.4mg、18.3%。HPLC勾配:HO-MeCN/35~60%。LCMS (ESI) m/z 380.2 (M+H)H NMR (400 MHz DMSO-d+CCl) δ ppm 1.52 (t, J=6.9 Hz, 3H), 1.67-1.79 (m, 2H), 1.88-1.96 (m, 2H), 2.46 (s, 3H), 2.80-2.91 (m, 1H), 3.42-3.52 (m, 2H), 3.90-3.98 (m, 2H), 4.22 (q, J=6.8 Hz, 2H), 6.89 (s, 1H), 7.35-7.39 (m, 2H), 7.41 (s, 1H), 7.69 (d, J=6.7 Hz, 1H), 7.73 (s, 1H), 8.95 (s, 1H), 9.08 (s, 1H) 。
実施例230:1-(ジフルオロメチル)-N-(7-エトキシ-2-(テトラヒドロ-2H-ピラン-4-イル)イミダゾ[1,2-a]ピリジン-6-イル)-1H-ピラゾール-3-カルボキサミド;SM:1-(ジフルオロメチル)-1H-ピラゾール-3-カルボン酸、20.4mg、19.19%。HPLC勾配:HO-MeOH/50~100%。LCMS (ESI) m/z 380.2 (M+H)H NMR (400 MHz DMSO-d+CCl) δ ppm 1.56 (t, J=6.9 Hz, 3H), 1.67-1.75 (m, 2H), 1.90-1.96 (m, 2H), 2.81-2.90 (m, 1H), 3.44-3.50 (m, 2H), 3.91-3.96 (m, 2H), 4.26 (q, J=7.1 Hz, 2H), 6.92 (s, 1H), 6.95 (d, J=2.5 Hz, 1H), 7.42 (s, 1H), 7.78 (t, J=58.9 Hz, 1H), 8.27 (d, J=2.6 Hz, 1H), 9.24 (s, 1H), 9.28 (s, 1H) 。
実施例231:N-(7-エトキシ-2-(テトラヒドロ-2H-ピラン-4-イル)イミダゾ[1,2-a]ピリジン-6-イル)-2-(トリフルオロメチル)チアゾール-4-カルボキサミド;SM:2-(トリフルオロメチル)-1,3-チアゾール-4-カルボン酸、27.4mg、24.5%。HPLC勾配:HO-MeOH/45~80%。LCMS (ESI) m/z 441.0 (M+H)H NMR (400 MHz DMSO-d+CCl) δ ppm 1.56 (t, J=6.9 Hz, 3H), 1.67-1.78 (m, 2H), 1.89-1.96 (m, 2H), 2.83-2.90 (m, 1H), 3.43-3.51 (m, 2H), 3.91-3.97 (m, 2H), 4.25 (q, J=6.9 Hz, 2H), 6.96 (s, 1H), 7.46 (s, 1H), 8.82 (s, 1H), 9.32 (s, 1H), 9.65 (s, 1H)。
中間体18:7-イソプロポキシ-2-(テトラヒドロ-2H-ピラン-4-イル)イミダゾ[1,2-a]ピリジン-6-アミン
Figure 0007576552000167
ステップa:5-ブロモ-4-イソプロポキシピリジン-2-アミン(13.50g、58.42mmol)、硫酸銅(93.24mg、584.20μmol)、及び25%のNHOH水溶液(160mL)の混合物を、密閉された容器内で140℃にて一晩加熱した。冷却した反応物を減圧下で蒸発させ、飽和KCO水溶液(150mL)を添加し、混合物をDCM(3×120mL)で抽出した。合わせた有機抽出物をNaSO上で乾燥し、濾過し、減圧下で濃縮して、中間体18a:4-イソプロポキシピリジン-2,5-ジアミン(8.80g、88.29%収率)を暗褐色の固体として得た。LCMS (ESI) m/z: 168.2 (M+H)
ステップb:4-イソプロポキシピリジン-2,5-ジアミン(3.03g、18.12mmol)、2-クロロ-1-(テトラヒドロ-2H-ピラン-4-イル)エタン-1-オン(3.24g、19.93mmol)、及びNaHCO(4.57g、54.36mmol)のEtOH(150mL)中混合物を、還流下で72時間加熱した。冷却した混合物を濾過し、濾液を減圧下で濃縮した。残留物をHPLCにより精製して、中間体18:7-イソプロポキシ-2-(テトラヒドロ-2H-ピラン-4-イル)イミダゾ[1,2-a]ピリジン-6-アミン(1.44g、28.86%収率)を得た。LCMS (ESI) m/z 276.2(M+H)。実施例232:4-(ジフルオロメチル)-N-(7-イソプロポキシ-2-(テトラヒドロ-2H-ピラン-4-イル)イミダゾ[1,2-a]ピリジン-6-イル)チオフェン-2-カルボキサミドは、実施例1のステップbについて記載されたのと同様の方法で調製された。中間体18(30mg、108.95μmol)及び4-(ジフルオロメチル)チオフェン-2-カルボン酸(29.12mg、163.43μmol)のピリジン(544.75μL)中混合物に、T3P(登録商標)(346.66mg、544.75μmol、50%純度)を添加し、反応物を室温で2時間撹拌した。混合物をEtOAcと水との間で分配し、層を分離し、水層をEtOAcで抽出し、ブラインで洗浄し、MgSO上で乾燥し、濾過し、減圧下で蒸発した。粗生成物をTFAで改質した質量分析計直結HPLCにより精製して、4-(ジフルオロメチル)-N-(7-イソプロポキシ-2-(テトラヒドロ-2H-ピラン-4-イル)イミダゾ[1,2-a]ピリジン-6-イル)チオフェン-2-カルボキサミド2,2,2-トリフルオロ酢酸塩(25.30mg、53.32%収率)を得た。LCMS (ESI) m/z 337.1 (M+H)H NMR (500 MHz DMSO-d) δ ppm 1.39 (br d, J=5.49 Hz, 12H), 1.64 - 1.77 (m, 4H), 1.95 (br d, J=11.60 Hz, 4H), 3.97 (br d, J=10.38 Hz, 14H), 4.95 - 5.02 (m, 4H), 7.25 (s, 2H), 7.97 (s, 1H), 8.20 (s, 1H), 8.30 (s, 1H), 9.14 (s, 1H), 10.07 (s, 2H)。
実施例233:N-(7-イソプロポキシ-2-(テトラヒドロ-2H-ピラン-4-イル)イミダゾ[1,2-a]ピリジン-6-イル)-2-(2-メチルピリジン-4-イル)オキサゾール-4-カルボキサミドは、実施例232について記載されたのと同様の方法で調製された。中間体18(70mg、254.22μmol)及び2-(2-メチル-4-ピリジル)オキサゾール-4-カルボン酸(51.91mg、254.22μmol)のピリジン(2.00mL)中混合物に、T3P(登録商標)(808.88mg、1.27mmol、50%純度)を室温で添加し、反応物を一晩撹拌した。反応物をEtOAc(5mL)と水(2mL)との間で分配し、相を分離し、水相をEtOAc(5mL×2)で抽出した。合わせた有機抽出物を無水MgSO上で乾燥し、濾過し、濾液を減圧下で濃縮した。粗製物をTFAで改質した質量分析計直結逆相HPLC(5~70%のHO対MeCNの勾配)により精製して、N-(7-イソプロポキシ-2-(テトラヒドロ-2H-ピラン-4-イル)イミダゾ[1,2-a]ピリジン-6-イル)-2-(2-メチルピリジン-4-イル)オキサゾール-4-カルボキサミド2,2,2-トリフルオロ酢酸塩(39.30mg、26.86%収率)を白色固体として得た。LCMS (ESI) m/z 462.3 (M+H)H NMR (400 MHz, メタノール-d) δ ppm 1.62 (d, J=6.02 Hz, 6H), 1.80 - 1.93 (m, 2H), 2.01 - 2.11 (m, 2H), 2.81 - 2.95 (m, 3H), 3.12 - 3.24 (m, 1H), 3.63 (td, J=11.73, 2.13 Hz, 2H), 4.09 (dt, J=9.66, 2.20 Hz, 2H), 5.09-5.11 (m, 1H), 7.36 (s, 1H), 7.79 - 7.91 (m, 1H), 8.35 (dd, J=6.02, 1.76 Hz, 1H), 8.38 - 8.47 (m, 1H), 8.85 - 8.94 (m, 1H), 8.94 - 9.02 (m, 1H), 9.62 - 9.77 (m, 1H)。
実施例234:6-(ジフルオロメチル)-N-(2-(3-メトキシプロピル)イミダゾ[1,2-a]ピリジン-6-イル)ピコリンアミドを、2-ブロモ-1-シクロプロピル-エタノンの代わりに1-クロロ-5-メトキシペンタン-2-オンが使用された、中間体7及び実施例30について記載されたのと同様の方法で調製して、6-(ジフルオロメチル)-N(2-(3-メトキシプロピル)イミダゾ[1,2-a]ピリジン-6-イル]ピコリンアミド(30mg、12.17%収率)を褐色固体として得た。LCMS (ESI) m/z 361.2 (M+H)H NMR (500 MHz, CDCl) δ ppm 1.91-2.16 (m, 2H), 2.87 (t, J= 7.6 Hz, 2H), 3.36 (s, 3H), 3.47 (t, J= 6.4 Hz, 2H), 6.74 (t, J= 5.2 Hz, 1H), 7.08 (d, J=9.6 Hz, 1H), 7.41 (s, 1H), 7.54 (d, J= 9.6 Hz, 1H), 7.87 (d, J= 7.7 Hz, 1H), 8.12 (t, J= 7.7 Hz, 1H), 8.41 (d, J= 7.7 Hz, 1H), 9.29 (s, 1H), 9.70 (s, 1H)。
実施例235:N-(2-(3-オキサビシクロ[3.1.0]ヘキサン-6-イル)-7-エトキシイミダゾ[1,2-a]ピリジン-6-イル)-1-(2,2,2-トリフルオロエチル)-1H-ピラゾール-3-カルボキサミド
Figure 0007576552000168
ステップa:5-ブロモ-4-エトキシピリジン-2-アミン(1.69g、7.80mmol)、1-(3-オキサビシクロ[3.1.0]ヘキサン-6-イル)-2-クロロエタン-1-オン(1.25g、7.80mmol)、及びNaHCO(1.97g、23.40mmol)のEtOH(19.50mL)中混合物を、80℃で一晩加熱した。混合を室温に冷却し、シリカゲルを添加し、混合物を濃縮した。固体をシリカゲルカラムクロマトグラフィーにより精製して、6-ブロモ-7-エトキシ-2-(3-オキサビシクロ[3.1.0]ヘキサン-6-イル)イミダゾ[1,2-a]ピリジン(1.50g、59.50%収率)を得た。LCMS (ESI) m/z: 324.9 (M+H)
ステップb:6-ブロモ-7-エトキシ-2-(3-オキサビシクロ[3.1.0]ヘキサン-6-イル)イミダゾ[1,2-a]ピリジン、NaOtBu(628.28mg、6.54mmol)、Pd(dba)(128.29mg、140.10μmol)、及びBINAP(232.62mg、373.60μmol)のトルエン(4.67mL)中混合物を、密閉し、Nによりパージした。ジフェニルメタンイミン(940.38μL、5.60mmol)を添加し、反応物を100℃で一晩加熱した。冷却した反応物をシリカゲル上に濃縮し、カラムクロマトグラフィーにより精製して、2-(3-オキサビシクロ[3.1.0]ヘキサン-6-イル)-7-エトキシイミダゾ[1,2-a]ピリジン-6-アミン(1.90g、96.07%収率)を得た。
ステップc:DIPEA(74.76mg、578.49μmol)を、2-(3-オキサビシクロ[3.1.0]ヘキサン-6-イル)-7-エトキシイミダゾ[1,2-a]ピリジン-6-アミン(50mg、192.83μmol)、HATU(73.51mg、192.83μmol)、及び1-(2,2,2-トリフルオロエチル)ピラゾール-3-カルボン酸(37.43mg、192.83μmol)のDMF(292.17μL)中混合物に0℃で添加し、反応物を室温で一晩撹拌した。反応をブラインでクエンチし、EtOAc(3×)で抽出し、合わせた有機相をブラインで洗浄し、乾燥し、濾過し、減圧下で濃縮した。粗製物を逆相HPLCにより精製して、N-(2-(3-オキサビシクロ[3.1.0]ヘキサン-6-イル)-7-エトキシイミダゾ[1,2-a]ピリジン-6-イル)-1-(2,2,2-トリフルオロエチル)-1H-ピラゾール-3-カルボキサミド2,2,2-トリフルオロ酢酸塩(3.30mg、3.12%収率)を黄色固体として得た。LCMS (ESI) m/z 436.0 (M+H)H NMR (500 MHz DMSO-d) δ ppm 1.48 (t, J=7.02 Hz, 3H), 1.95 (s, 1H), 2.18 (br d, J=3.05 Hz, 2H), 3.73 (s, 2H), 3.94 (d, J=8.55 Hz, 2H), 4.39 (d, J=6.71 Hz, 2H), 5.34 (br d, J=9.16 Hz, 2H), 6.91 - 7.07 (m, 1H), 7.26 (s, 1H), 7.97 - 8.18 (m, 2H), 9.44 (s, 1H)。
実施例236:6-(シクロブトキシ)-N-(7-エトキシ-2-(テトラヒドロ-2H-ピラン-4-イル)イミダゾ[1,2-a]ピリジン-6-イル)ピコリンアミドを、標準的なアミドカップリングにより中間体24が6-(シクロブトキシ)ピリジン-2-カルボン酸とカップリングされた、実施例202について記載されたのと同様の方法で調製して、6-シクロブトキシ-N-(7-エトキシ-2-(テトラヒドロ-2H-ピラン-4-イル)イミダゾ[1,2-a]ピリジン-6-イル)ピコリンアミドを白色固体として得た(10mg、4.43%収率)。LCMS (ESI) m/z 437.2 (M+H)H NMR (400 MHz, CDCl) δ 1.60 (t, J = 6.9 Hz, 3H), 1.63-2.07 (m, 6H), 2.12-2.29 (m, 2H), 2.51-2.63 (m, 2H), 2.90-2.99 (m, 1H), 3.55 (t, J = 11.5 Hz, 2H), 4.06 (d, J = 11.3 Hz, 2H), 4.14-4.29 (m, 2H), 5.29 (t, J = 7.6 Hz, 1H), 6.87-6.94 (m, 2H), 7.19 (s, 1H), 7.64-7.87 (m, 2H), 9.51 (s, 1H), 10.17 (s, 1H)。
実施例237:6-(ジメチルアミノ)-N-(7-エトキシ-2-(テトラヒドロ-2H-ピラン-4-イル)イミダゾ[1,2-a]ピリジン-6-イル)ピコリンアミドは、実施例202について記載されたのと同様の方法で調製された。標準的なアミドカップリングにより中間体24を6-ブロモピリジン-2-カルボン酸とカップリングして、6-ブロモ-N-(7-エトキシ-2-テトラヒドロピラン-4-イル-イミダゾ[1,2-a]ピリジン-6-イル)ピコリンアミド(118mg、27.65%収率)を白色固体として得、これを更に精製することなく次のステップに使用した。LCMS (ESI) m/z 445.2 (M+H)
ステップb:6-ブロモ-N-(7-エトキシ-2-テトラヒドロピラン-4-イル-イミダゾ[1,2-a]ピリジン-6-イル)ピコリンアミド(110mg、247.02μmol)をTHF(10mL)中に溶解し、過剰量のジメチルアミン水溶液、ピペリジン-2-カルボン酸(1.60mg、12.35μmol)、及びヨウ化銅(I)(2.35mg、12.35μmol)を添加した。混合物をスチール製オートクレーブ内で80℃にて一晩加熱した。冷却した混合物を減圧下で濃縮し、残留物をクロロホルム(10mL)中に溶解し、水(5mL)で洗浄し、乾燥し、蒸発した。粗製物を、水/MeOH 65~100%により溶出する分取HPLC(SunFire C18 100×19mm、5um)により精製して、実施例237:6-(ジメチルアミノ)-N-(7-エトキシ-2-(テトラヒドロ-2H-ピラン-4-イル)イミダゾ[1,2-a]ピリジン-6-イル)ピコリンアミド(48mg、46%収率)を得た。LCMS (ESI) m/z 410.2 (M+H)H NMR (400 MHz DMSO-d) δ ppm: 1.44 (t, J = 6.3 Hz, 3H), 1.59-1.74 (m, 2H), 1.89 (d, J = 13.5 Hz, 2H), 2.80-2.93 (m, 1H), 3.14 (s, 6H), 3.45 (t, J = 11.3 Hz, 2H), 3.91 (d, J = 11.1 Hz, 2H), 4.20 (q, J = 6.3 Hz, 2H), 6.95 (d, J = 8.4 Hz, 1H), 7.02 (s, 1H), 7.36 (d, J = 7.2 Hz, 1H), 7.63 (s, 1H), 7.74 (t, J = 7.9 Hz, 1H), 9.46 (s, 1H), 10.48 (s, 1H)。
実施例238:N-(2-シクロプロピル-7-エトキシイミダゾ[1,2-a]ピリジン-6-イル)-6-(テトラヒドロフラン-3-イル)ピコリンアミドを、標準的なアミドカップリングにより中間体5cを6-(テトラヒドロフラン-3-イル)ピコリン酸とカップリングした、実施例2について記載されたのと同様の方法で調製して、N-(2-シクロプロピル-7-エトキシイミダゾ[1,2-a]ピリジン-6-イル)-6-(テトラヒドロフラン-3-イル)ピコリンアミド(4.2mg、10.7μmol、3.3%収率)を得た。LCMS (ESI) m/z 393.0 (M+H)H NMR (500 MHz, メタノール-d) δ ppm 0.82 (m, 2H), 0.93 (m, 2H), 1.59 (t, J= 7.0 Hz, 3H), 1.96 (m, 1H), 2.34 (m, 1H), 2.42 (m, 1H), 3.73 (m, 1H), 4.00 (m, 2H), 4.10 (m, 1H), 4.23 (m, 3H), 6.80 (s, 1H), 7.40 (s, 1H), 7.55 (d, J= 7.0 Hz, 1H), 7.95 (t, J= 7.0 Hz, 1H), 8.04 (d, J= 7.0 Hz, 1H), 9.40 (s, 1H)。
6-(テトラヒドロフラン-3-イル)ピコリン酸は、以下の通りに調製された。
Figure 0007576552000169
ステップa:2-ブロモ-6-(テトラヒドロフラン-3-イル)ピリジン(1.24g、5.45mmol)、TEA(661.26mg、6.54mmol)、及びPd(dppf)Cl(199.23mg、272.50μmol)のMeOH(100mL)中混合物を、密閉された容器内でCO雰囲気下(38000トル)で110℃にて24時間加熱した。反応混合物を減圧下で濃縮し、残留物をMTBE中に懸濁し、シリカゲルパッドを通して濾過した。濾液を減圧下で蒸発させ、6-(テトラヒドロフラン-3-イル)ピコリン酸メチル(400mg、35.42%収率)を赤みがかった油として得た。H NMR: (500 MHz, CDCl) δ ppm 2.18 (m, 1H), 2.45 (m, 1H), 3.75 (m, 1H), 3.93 (m, 2H), 4.00 (s, 3H), 4.11 (m, 1H), 4.18 (m, 1H), 7.45 (d, J=7.5 Hz, 1H), 7.79 (t, J=7.5 Hz, 1H), 7.98 (d, J= 7.5 Hz, 1H)。
ステップb:LiOH.HO(242.98mg、5.79mmol)の水(10mL)中溶液を、6-(テトラヒドロフラン-3-イル)ピコリン酸メチル(400mg、1.93mmol)のTHF(60mL)中溶液に1度に添加し、反応物を室温で一晩撹拌した。反応物を減圧下で濃縮し、残留物を水(30mL)中に溶解した。この溶液をDCM(2×20mL)で洗浄し、水(10mL)中の硫酸水素ナトリウム(1.85g、15.44mmol)の添加により酸性化した。混合物をDCM(2×30mL)で抽出し、有機相をNaSO上で乾燥し、減圧下で蒸発させて、6-(テトラヒドロフラン-3-イル)ピコリン酸(40mg、10.73%収率)を褐色油として得た。H NMR: (500 MHz, CDCl) δ ppm 2.20 (m, 1H), 2.43 (m, 1H), 3.69 (m, 1H), 3.95 (m, 1H), 4.11 (m, 2H), 4.20 (m, 1H), 7.51 (d, J=7.5Hz, 1H), 7.90 (t, J=7.5Hz, 1H), 8.08 (d, J=7.5Hz, 1H) 。
実施例239:6-(1,2-ジフルオロエチル)-N-(7-エトキシ-2-(テトラヒドロ-2H-ピラン-4-イル)イミダゾ[1,2-a]ピリジン-6-イル)ピコリンアミドを、標準的なアミドカップリングにより中間体24が6-(1,2-ジフルオロエチル)ピコリン酸メチルとカップリングされた、実施例2について記載されたのと同様の方法で調製して、実施例239を得た(6.9mg、6.9%)。LCMS (ESI) m/z 432.4 (M+H)H NMR (400 MHz, メタノール-d) δ ppm: 1.59 (t, J = 6.9 Hz, 3H), 1.74-1.86 (m, 2H), 1.93-2.02 (m, 2H), 2.87-2.98 (m, 1H), 3.52-3.69 (m, 2H), 4.03 (d, J = 11.5 Hz, 2H), 4.24 (q, J = 6.9 Hz, 2H), 4.88-5.10 (m, 2H), 5.74-6.05 (m, 1H), 6.86 (s, 1H), 7.47 (s, 1H), 7.80 (d, J = 7.7 Hz, 1H), 8.12 (t, J = 7.8 Hz, 1H), 8.20 (d, J = 7.8 Hz, 1H), 9.42 (s, 1H)。6-(1,2-ジフルオロエチル)ピコリン酸は、以下の通りに調製された。6-ブロモピコリン酸メチル(5.00g、23.1mmol)及びトリブチル(ビニル)スタナン(8.76g、27.6mmol)のジオキサン(150mL)中混合物に、ビス(トリフェニルホスフィン)パラジウム(II)二塩化物(1.62g、2.31mmol)を添加し、混合物をNにより脱気し、次いで、100℃で16時間撹拌した。冷却した反応物をKF水溶液(200mL)でクエンチし、EtOAc(200mL×3)で抽出した。合わせた有機抽出物をブライン(300mL)で洗浄し、NaSO上で乾燥し、濾過した。濾液を減圧下で濃縮し、残留物をCombiflash(登録商標)を使用したシリカゲルでのカラムクロマトグラフィー(PE/EtOAc=10/1~3/1)により精製して、6-ビニルピコリン酸メチル(3.50g、93%収率)を黄色油として得た。H NMR (500MHz, CDCl) δ ppm: 4.02 (s, 3H), 5.60 (d, J = 11.0 Hz, 1H), 6.23 (d, J = 18.0 Hz, 1H), 7.00-6.80 (m, 1H), 7.62 (d, J = 7.5 Hz, 1H), 7.81 (t, J = 8.0 Hz, 1H), 8.01 (d, J = 7.5 Hz, 1H)。
ステップb:6-ビニルピコリン酸メチル(500mg、3.06mmol)の水(2mL)及びtBuOH(2mL)中溶液に、N-メチルモルホリン-N-オキシド(430mg、3.67mmol)及びKOsO(56mg、0.153mmol)を添加し、反応物を10~15℃で1時間撹拌した。反応物を飽和NaSO水溶液(50mL)でクエンチし、DCM/MeOH(10/1、50mL×10)で抽出した。合わせた有機抽出物をNaSO上で乾燥し、濾過し、濾液を減圧下で濃縮して、6-(1,2-ジヒドロキシエチル)ピコリン酸メチル(400mg、66%収率)を黄色油として得た。LCMS (ESI) m/z: 197.8 (M+H)
ステップc:6-(1,2-ジヒドロキシエチル)ピコリン酸メチル(400mg、2.03mmol)のDCM(20mL)中溶液に、DAST(1.35g、6.09mmol)を0℃で添加し、反応物を10~15℃で16時間撹拌した。反応物を飽和NaHCO水(30mL)でクエンチし、DCM(30mL×3)で抽出した。合わせた有機抽出物をブライン(50mL)で洗浄し、NaSO上で乾燥し、濾過し、減圧下で濃縮した。残留物を、Combiflash(登録商標)を使用したシリカゲルカラムクロマトグラフィー(PE/EtOAc=10/1~3/1)により精製して、6-(1,2-ジフルオロエチル)ピコリン酸メチル(300mg、73%収率)をオフホワイトの固体として得た。H NMR (500MHz, クロロホルム-d) δ ppm: 4.02 (m, 3H), 4.70-5.10 (m, 2H), 5.80-6.00 (m, 1H), 7.76 (d, J = 8.0 Hz, 1H), 7.95 (t, J = 8.0 Hz, 1H), 8.12 (d, J = 8.0 Hz, 1H) 。
ステップd:6-(1,2-ジフルオロエチル)ピコリン酸メチル(300mg、1.49mmol)のMeOH(5mL)及び水(1mL)中溶液に、LiOH(107mg、4.47mmol)を添加し、反応物を10~15℃で12時間撹拌した。混合物を1MのHClでpHに酸性化し、次いで、減圧下で濃縮した。残った水層をEtOAc(30mL×3)で抽出し、合わせた有機抽出物をブライン(50mL)で洗浄し、NaSO上で乾燥し、濾過した。濾液を減圧下で蒸発させて、6-(1,2-ジフルオロエチル)ピコリン酸(250mg、90%収率)を黄色油として得た。H NMR: (500 MHz DMSO-d) δ ppm: 4.70-5.10 (m, 2H), 5.90-6.10 (m, 2H), 7.70-7.80 (m, 1H), 8.00-8.15 (m, 2H)。
実施例240:N-(7-エトキシ-2-(テトラヒドロ-2H-ピラン-4-イル)イミダゾ[1,2-a]ピリジン-6-イル)-2,3-ジヒドロフロ[2,3-b]ピリジン-5-カルボキサミドを、標準的なアミドカップリングにより中間体24が2,3-ジヒドロフロ[2,3-b]ピリジン-6-カルボン酸とカップリングされた、実施例202について記載されたのと同様の方法で調製して、N-(7-エトキシ-2-(テトラヒドロ-2H-ピラン-4-イル)イミダゾ[1,2-a]ピリジン-6-イル)-2,3-ジヒドロフロ[2,3-b]ピリジン-5-カルボキサミドを得た(24.5mg、22.1%収率)。LCMS (ESI) m/z 409.2 (M+H)H NMR (400 MHz, クロロホルム-d) δ ppm: 1.56 (t, J = 7.0 Hz, 3H), 1.76-1.89 (m, 2H), 1.95-2.05 (m, 2H), 2.89-3.00 (m, 1H), 3.27-3.37 (m, 2H), 3.49-3.60 (m, 2H), 3.94-4.06 (m, 2H), 4.18 (q, J = 7.0 Hz, 2H), 4.66-4.75 (m, 2H), 6.84 (s, 1H), 7.16 (s, 1H), 7.63 (d, J = 7.4 Hz, 1H), 7.78 (d, J = 7.4 Hz, 1H), 9.40 (s, 1H), 10.25 (s, 1H)。2,3-ジヒドロフロ[2,3-b]ピリジン-6-カルボン酸は、以下の通りに調製された。2,3-ジヒドロフロ[2,3-b]ピリジン-6-カルボン酸メチル(1.3g、7.26mmol)、KCO(2.51g、18.1mmol)のHO(15mL)及びEtOH(10mL)中混合物を、室温で48時間撹拌した。混合物を減圧下で留去し、HO及び活性炭を添加し、混合物を濾過した。濾液を濃HClを使用してpH約4~5に酸性化し、沈殿物を濾過して分離し、水で洗浄し、空気乾燥した。固体を2-プロパノールから再結晶させて、2,3-ジヒドロフロ[2,3-b]ピリジン-6-カルボン酸(280mg)を淡黄色固体として得た。LCMS (ESI) m/z 166 (M+H)H NMR (500 MHz DMSO-d) δ ppm: 3.21-3.29 (m, 2H), 4.54-4.61 (m, 2H), 7.50 (d, J = 7.3 Hz, 1H), 7.67 (d, J = 7.3 Hz, 1H)。水/MeOH 66%
実施例241:N-(2-(2-シアノプロパン-2-イル)-7-エトキシイミダゾ[1,2-a]ピリジン-6-イル)-2-メチルチアゾール-4-カルボキサミド
Figure 0007576552000170
ステップa:塩化オキサリル(1.23g、9.72mmol)を、2-シアノ-2-メチル-プロパン酸1(1.00g、8.84mmol)のベンゼン(20mL)中溶液に添加し、反応物を室温で20時間撹拌した。反応物を減圧下で蒸発させ、粗製の2-シアノ-2-メチル-プロパノイルクロリドをベンゼン(30mL)中に溶解した。ジアゾメタン(958.51mg、22.80mmol)のMTBE(30mL)中溶液を0℃で添加し、反応物を15℃で4時間撹拌した。温度を15℃未満に維持しながらHCl水溶液(15mL、15%)を滴加し、層を分離した。有機相を減圧下で蒸発させ、生成物を留去して、4-クロロ-2,2-ジメチル-3-オキソ-ブタンニトリル(1.00g、75.31%収率)を得た。H NMR (500 MHz, クロロホルム-d) δ ppm: 1.60 (s, 6H), 4.61 (s, 2H)。
ステップb:4-クロロ-2,2-ジメチル-3-オキソ-ブタンニトリル(1.00g、6.87mmol)及び4-エトキシ-5-ニトロピリジン-2-アミン(1.26g、6.87mmol)を、プロピオニトリル(25mL)中で105℃にて48時間加熱した。溶媒を減圧下で蒸発させ、残留物をEtOAc(50mL)と5%のNaCO水溶液(20mL)との間で分配し、層を分離した。有機溶液を減圧下で濃縮し、DCMにより溶出するシリカゲルカラムクロマトグラフィーにより残留物を精製して、2-(7-エトキシ-6-ニトロ-イミダゾ[1,2-a]ピリジン-2-イル)-2-メチルプロパンニトリル(201.45mg、10.69%収率)を得た。H NMR (400 MHz, クロロホルム-d) δ ppm: 1.51 (t, J = 6.9 Hz, 3H), 1.78 (s, 6H), 4.17 (q, J = 6.9 Hz, 2H), 6.96 (s, 1H), 7.55 (s, 1H), 8.84 (s, 1H)。
ステップc:2-(7-エトキシ-6-ニトロ-イミダゾ[1,2-a]ピリジン-2-イル)-2-メチルプロパンニトリル(200mg、0.510mmol)、鉄粉(570.17mg、10.21mmol)、塩化アンモニウム(54.61mg、1.02mmol)、及び濃HCl(触媒)のEtOH(20mL)中混合物を、50℃で20時間加熱した。反応混合物を濾過し、溶媒を減圧下で蒸発させた。残留物をEtOAc(20mL)中に懸濁させ、水(10mL)で洗浄し、溶媒を減圧下で蒸発させて、2-(6-アミノ-7-エトキシイミダゾ[1,2-a]ピリジン-2-イル)-2-メチルプロパンニトリル(100mg、56.14%収率)を得た。LCMS (ESI) m/z 245.2 (M+H)
ステップd:2-メチルチアゾール-4-カルボン酸(38.68mg、0.27mmol)、TEA(27.34mg、0.27mmol)、及びHATU(103mg、0.27mmol)をMeCN(5mL)中に溶解し、溶液を室温で1時間撹拌した。2-(6-アミノ-7-エトキシイミダゾ[1,2-a]ピリジン-2-イル)-2-メチルプロパンニトリル(33mg、0.135mmol)を添加し、反応物を60℃で48時間加熱した。溶媒を減圧下で蒸発させ、残留物をEtOAc(20mL)で希釈し、水(10mL)で洗浄した。溶媒を減圧下で蒸発させ、残留物を分取HPLCにより精製して、N-(2-(2-シアノプロパン-2-イル)-7-エトキシイミダゾ[1,2-a]ピリジン-6-イル)-2-メチルチアゾール-4-カルボキサミド(12.20mg、24.45%収率)を得た。LCMS (ESI) m/z 370.2 (M+H)H NMR (400 MHz, クロロホルム-d) δ ppm 1.57 (t, J = 7.0 Hz, 3H), 1.78 (s, 6H), 2.75 (s, 3H), 4.19 (q, J = 7.0 Hz, 2H), 6.90 (s, 1H), 7.43 (s, 1H), 8.03 (s, 1H), 9.39 (s, 1H), 9.77 (s, 1H)。
実施例242:6-(ジフルオロメチル)-N-(7-エトキシ-2-(3-メトキシプロピル)イミダゾ[1,2-a]ピリミジン-6-イル)ピコリンアミドは、実施例2と同様の方法で調製された。1-クロロ-5-メトキシペンタン-2-オン(1.13g、7.50mmol)及び5-ブロモ-4-エトキシピリミジン-2-アミン(818.05mg、3.75mmol)を使用して、7-エトキシ-2-(3-メトキシプロピル)イミダゾ[1,2-a]ピリミジン-6-アミン塩酸塩(50mg、41%収率)を黄色固体として得る。LCMS (ESI) m/z 264(M+H)。続いて、6-(ジフルオロメチル)ピコリン酸との標準的なペプチドカップリング条件により、6-(ジフルオロメチル)-N-[7-エトキシ-2-(3-メトキシプロピル)イミダゾ[1,2-a]ピリミジン-6-イル]ピリジン-2-カルボキサミド(1.70mg、4.19μmol、2.74%収率)を黄色固体として得る。LCMS (ESI) m/z 406.0 (M+H)H NMR (400 MHz, メタノール-d4) δ ppm 1.55 (t, J= 7.1 Hz, 3H), 1.94-2.02 (m, 2H), 2.72-2.78 (m, 2H), 3.33 (s, 1H), 3.41-3.49 (m, 2H), 4.63 (q, J= 7.1 Hz, 2H), 6.85 (t, J= 54.0 Hz, 1H), 7.40 (s, 1H), 7.94 (d, J= 7.8 Hz 1H), 8.24 (t, J= 7.8 Hz, 1H), 8.36 (d, J= 7.8 Hz, 1H), 9.59 (s, 1H)。
実施例243:N-(2-シクロプロピル-7-エトキシイミダゾ[1,2-a]ピリミジン-6-イル)-6-(ジフルオロメチル)ピコリンアミド
Figure 0007576552000171
N-(2-シクロプロピル-7-エトキシイミダゾ[1,2-a]ピリミジン-6-イル)-6-(ジフルオロメチル)ピコリンアミドは、1-クロロ-5-メトキシペンタン-2-オンの代わりに2-クロロ-1-シクロプロピル-エタノンが使用されたことを除いて、実施例242:6-(ジフルオロメチル)-N-(7-エトキシ-2-(3-メトキシプロピル)イミダゾ[1,2-a]ピリミジン-6-イル)ピコリンアミド(上記)と同様に、4-エトキシピリミジン-2-アミンから調製された(5.90mg、4.06%収率)。LCMS (ESI) m/z 374.2 (M+H)H NMR (400 MHz, メタノール-d) δ ppm 0.80-0.99 (m, 4H), 1.54 (t, J= 7.1 Hz, 3H), 1.90 -2.01 (m, 1H), 4.63 (q, J= 7.1 Hz, 2H), 6.85 (t, J= 54 Hz, 1H), 7.41 (s, 1H), 7.94 (d, J= 7.9 Hz, 1H), 8.24 (t, J= 7.9 Hz, 1H), 8.35 (d, J= 7.9 Hz, 1H), 9.57 (s, 1H)。
実施例244:2-シクロプロピル-N-(8-メトキシ-2-(テトラヒドロ-2H-ピラン-4-イル)イミダゾ[1,2-a]ピリジン-6-イル)チアゾール-4-カルボキサミドは、スキームVの実施例202と同様の方法で調製された。4-エトキシ-5-ニトロピリジン-2-アミンの代わりに3-メトキシ-5-ニトロピリジン-2-アミンを使用して、8-メトキシ-2-(テトラヒドロ-2H-ピラン-4-イル)イミダゾ[1,2-a]ピリジン-6-アミン(3.50g、44.6%収率、86.3%)を褐色固体として得、更に精製することなく使用した。LCMS (ESI) m/z 248.2 (M+H)H NMR (500 MHz, CDCl):δ 1.73-1.87 (m, 2H), 1.96-2.07 (m, 2H), 2.95-3.01 (m, 1H), 3.50-3.55 (m, 2H), 3.93 (s, 3H), 3.97-4.08 (m, 2H), 5.53 (br s, 2H), 6.05 (s, 1H), 7.12 (s, 1H), 7.27 (s, 1H)。続いて、2-シクロプロピルチアゾール-4-カルボン酸との標準的なペプチドカップリング条件により、2-シクロプロピル-N-(8-メトキシ-2-(テトラヒドロ-2H-ピラン-4-イル)イミダゾ[1,2-a]ピリジン-6-イル)チアゾール-4-カルボキサミドを褐色固体として得た(80.6mg、20.0%収率)。LCMS (ESI) m/z 399.2 (M+H)H NMR (400 MHz DMSO-d):δ ppm: 1.09-1.13 (m, 2H), 1.17-1.22 (m, 2H), 1.62-1.72 (m, 2H), 1.87-1.91 (m, 2H), 2.78- 2.98 (m, 1H), 3.40-3.49 (m, 2H), 3.91 (s, 3H), 3.86-3.95 (m, 2H), 7.03 (s, 1H), 7.75 (s, 1H), 8.19 (s, 1H), 8.88 (s, 1H), 10.00 (br s, 1H)。
実施例245:N-(2-(2-シアノプロパン-2-イル)-7-エトキシイミダゾ[1,2-a]ピリジン-6-イル)-6-(1,2-ジフルオロエチル)ピコリンアミド
Figure 0007576552000172
ステップa:6-(1,2-ジフルオロエチル)ピリジン-2-カルボン酸(150mg、0.801mmol)及び塩化オキサリル(111.91mg、0.881mmol)をベンゼン(5mL)中で室温にて一晩撹拌した。減圧下で溶媒を除去して、6-(1,2-ジフルオロエチル)ピコリノイルクロリド(175mg)を得、これを更に精製することなく次のステップに使用した。
ステップb:実施例241(ステップc):2-(6-アミノ-7-エトキシイミダゾ[1,2-a]ピリジン-2-イル)-2-メチルプロパンニトリル(50mg、0.204mmol)及び6-(1,2-ジフルオロエチル)ピコリノイルクロリド(63.12mg、0.307mmol)のDCM(20mL)中溶液を-40℃まで冷却した。TEA(42mg、0.409mmol)を添加し、反応物を室温で3時間撹拌した。混合物を水(20mL)で洗浄し、減圧下で蒸発させた。粗製物をHPLCにより精製して、N-(2-(2-シアノプロパン-2-イル)-7-エトキシイミダゾ[1,2-a]ピリジン-6-イル)-6-(1,2-ジフルオロエチル)ピコリンアミド(21.20mg、25.05%収率)を得た。LCMS (ESI) m/z 414.2 (M+H)H NMR (400 MHz DMSO-d) δ ppm 1.51 (t, J=6.9 Hz, 3H), 1.71 (s, 6H), 4.24 (q, J= 6.9 Hz, 2H), 4.89-5.25 (m, 2H), 6.08 (m, 1H), 7.16 (s, 1H), 7.87 (d, J=7.3Hz, 1H), 7.94 (s, 1H), 8.15-8.29 (m, 2H), 9.46 (s, 1H), 10.45 (s, 1H)。
実施例246:6-(ジフルオロメチル)-N-(7-エトキシ-2-(1-メチル-6-オキソピペリジン-2-イル)イミダゾ[1,2-a]ピリジン-6-イル)ピコリンアミド
Figure 0007576552000173
6-(ジフルオロメチル)-N-(7-エトキシ-2-(1-メチル-6-オキソピペリジン-2-イル)イミダゾ[1,2-a]ピリジン-6-イル)ピコリンアミドは、実施例75に記載の手順に従って、1-メチル-6-オキソピペリジン-2-カルボン酸及び中間体3c:N-(6-アミノ-4-エトキシピリジン-3-イル)-6-(ジフルオロメチル)ピコリンアミドから調製された(18.6mg、2.64%収率)。LCMS (ESI) m/z 444.2 (M+H)H NMR 400 MHz, メタノール-d):δ ppm 1.60 (t, J= 7.0 Hz, 3H), 1.48 - 1.88 (m, 2H), 2.04-2.25 (m, 2H), 2.38-2.49 (m, 2H), 2.91 (s, 3H), 4.29 (q, J= 7.0 Hz, 2H), 4.70-4.78 (m, 1H), 6.94 (t, J= 55.4 Hz, 1H), 6.97 (s, 1H), 7.63 (s, 1H), 7.92 (d, J= 7.8 Hz, 1H), 8.23 (t, J= 7.8 Hz, 2H), 8.36 (d, J= 7.8 Hz, 1H), 9.49 (s, 1H)。
実施例247:6-(ジフルオロメチル)-N-(7-エトキシ-2-(1-メチル-2-オキサビシクロ[2.1.1]ヘキサン-4-イル)イミダゾ[1,2-a]ピリジン-6-イル)ピコリンアミド
Figure 0007576552000174
2-クロロ-1-(1-メチル-2-オキサビシクロ[2.1.1]ヘキサン-4-イル)エタン-1-オン(200mg、1.15mmol)、中間体3c:N-(6-アミノ-4-エトキシピリジン-3-イル)-6-(ジフルオロメチル)ピコリンアミド(354.52mg、1.15mmol)、及びNaHCO(96.61mg、1.15mmol)のEtOH(15mL)中混合物を、還流下で12時間加熱した。混合物を室温に冷却し、減圧下で濃縮した。残留物をEtOAc(10mL)中に溶解し、水(10mL)で洗浄し、乾燥し、減圧下で蒸発させた。粗生成物を水/65%~70%のMeOHにより溶出する分取HPLC(SunFire C18 150×19 5um)により精製して、6-(ジフルオロメチル)-N-(7-エトキシ-2-(1-メチル-2-オキサビシクロ[2.1.1]ヘキサン-4-イル)イミダゾ[1,2-a]ピリジン-6-イル)ピコリンアミド(106mg、20.87%収率)を得た。LCMS (ESI) m/z 429.2 (M+H)H NMR (400 MHz DMSO-d) δ ppm: 1.42 (s, 3H), 1.49 (t, J = 6.9 Hz, 3H), 1.69-1.77 (m, 2H), 1.91-1.99 (m, 2H), 3.86 (s, 2H), 4.22 (q, J = 6.9 Hz, 2H), 7.07 (s, 1H), 7.11 (t, J = 54.0 Hz, 1H), 7.76 (s, 1H), 8.00 (dd, J = 5.7, 3.3 Hz, 1H), 8.16-8.45 (m, 2H), 9.41 (s, 1H), 10.48 (s, 1H) 。
実施例248:6-(ジフルオロメチル)-N-(7-エトキシ-2-(1-メチル-2-オキサビシクロ[2.2.1]ヘプタン-4-イル)イミダゾ[1,2-a]ピリジン-6-イル)ピコリンアミド
Figure 0007576552000175
中間体3c:N-(6-アミノ-4-エトキシピリジン-3-イル)-6-(ジフルオロメチル)ピコリンアミド(81.71mg、0.265mmol)、2-クロロ-1-(1-メチル-2-オキサビシクロ[2.2.1]ヘプタン-4-イル)エタン-1-オン(50mg、0.265mmol)、及びNaHCO(66.80mg、0.795mmol)のEtOH(662.60μL)中混合物を、80℃で一晩加熱した。冷却した反応物を濾過し、減圧下で濃縮し、残留物をTFAで改質した質量分析計直結HPLCにより精製して、6-(ジフルオロメチル)-N-(7-エトキシ-2-(1-メチル-2-オキサビシクロ[2.2.1]ヘプタン-4-イル)イミダゾ[1,2-a]ピリジン-6-イル)ピコリンアミド2,2,2-トリフルオロ酢酸塩(9.10mg、6.18%収率)を得た。LCMS (ESI) m/z 442.9 (M+H)H NMR (500 MHz DMSO-d):δ ppm 1.41 (s, 3H), 1.56 (t, J=7.02 Hz, 3H), 1.70-1.78 (m, 1H), 1.84 (td, J = 12.06, 4.58 Hz, 1H), 1.94 (s, 2H), 1.98-2.11 (m, 2H), 3.84 (d, J=6.71 Hz, 1H), 3.92 (dd, J=6.41, 3.36 Hz, 1H), 4.33-4.50 (m, 2H), 6.89-7.35 (m, 2H), 8.06 (dd, J=7.32, 1.83 Hz, 1H), 8.27-8.43 (m, 2H), 9.72 (br s, 1H), 10.63 (s, 1H)。
実施例249:N-(2-((1S,6R)-3-オキサビシクロ[4.1.0]ヘプタン-6-イル)-7-エトキシイミダゾ[1,2-a]ピリジン-6-イル)-6-(ジフルオロメチル)ピコリンアミド
Figure 0007576552000176
N-(2-((1S,6R)-3-オキサビシクロ[4.1.0]ヘプタン-6-イル)-7-エトキシイミダゾ[1,2-a]ピリジン-6-イル)-6-(ジフルオロメチル)ピコリンアミドは、実施例82に記載の手順に従って、シス3-オキサビシクロ[4.1.0]ヘプタン-6-カルボン酸及び中間体3c:N-(6-アミノ-4-エトキシピリジン-3-イル)-6-(ジフルオロメチル)ピコリンアミドから調製された。H NMR (400 MHz DMSO-d):δ ppm 0.89-0.91 (m, 1H), 1.24-1.28 (m, 1H), 1.42-1.51 (m, 4H), 1.95-2.02 (m, 1H), 2.27-2.33 (m, 1H), 3.35-3.37 (m, 1H), 3.49-3.55 (m, 1H), 3.72-3.80 (m, 1H), 3.82-3.96 (m, 1H), 4.17-4.22 (m, 2H), 6.89-7.18 (m, 2H), 7.72 (s, 1H), 7.99 (t, J = 4.4 Hz, 1H), 8.31 (d, J = 4.7 Hz, 2H), 9.36 (s, 1H), 10.46 (s, 1H)。
実施例250:N-(2-((2R,6S)-2,6-ジメチルテトラヒドロ-2H-ピラン-4-イル)-7-エトキシイミダゾ[1,2-a]ピリジン-6-イル)-6-(トリフルオロメチル)ピコリンアミド
Figure 0007576552000177
中間体4:N-(6-アミノ-4-エトキシピリジン-3-イル)-6-(トリフルオロメチル)ピコリンアミド(171.12mg、524.47μmol)、2-クロロ-1-(2,6-ジメチルテトラヒドロピラン-4-イル)エタン-1-オン(100mg、524.47μmol)、及びNaHCO(132.18mg、1.57mmol)のEtOH(1.31mL)中混合物を密閉し、反応物を85℃で18時間加熱した。冷却した反応物を濾過し、濾液を減圧下で濃縮した。残留物を分取HPLCにより精製して、N-[2-(2,6-ジメチルテトラヒドロピラン-4-イル)-7-エトキシイミダゾ[1,2-a]ピリジン-6-イル]-6-(トリフルオロメチル)ピコリンアミド(46mg、18.97%収率)を得た。この化合物を、CHIRALPAK-OX-H 30×250mm、5μmカラムを使用し、100mL/分、ABPR 120バール、カラム温度40℃で、0.1%のDEAを含有するCO中30%のEtOHにより溶出するSFCにより更に精製して、ジアステレオ異性体1(cis立体化学)を得た(Rf=1.86分)。H NMR (400 MHz, メタノール-d) δ ppm 1.26 (d, J=6.27 Hz, 6 H) 1.38 (d, J=11.29 Hz, 3H), 1.61 (t, J=6.90 Hz, 4H), 2.01-2.08 (m, 2H), 2.95-3.07 (m, 1H), 3.61-3.81 (m, 3H), 4.29 (d, J=6.78 Hz, 3H), 6.92 (s, 1H), 7.49 (s, 1H), 8.09 (d, J=7.78 Hz, 1H), 8.34 (s, 1H), 8.44 - 8.57 (m, 1H), 9.48 (s, 1H)。
更なる溶出により、2.37分で第2のジアステレオ異性体(トランス立体化学)を得た。
実施例251及び252:N-(7-エトキシ-2-((テトラヒドロフラン-3-イル)メチル)イミダゾ[1,2-a]ピリジン-6-イル)-2-(1-メチル-1H-ピラゾール-4-イル)オキサゾール-4-カルボキサミド、エナンチオマー1及び2。
Figure 0007576552000178
実施例22:N-(7-エトキシ-2-((テトラヒドロフラン-3-イル)メチル)イミダゾ[1,2-a]ピリジン-6-イル)-2-(1-メチル-1H-ピラゾール-4-イル)オキサゾール-4-カルボキサミドを、SFC(CHIRALPAK AD-H 30×250mm、5μmカラムを使用し、流速100mL/分、ABPR 120バール、カラム温度40℃で、0.1%のDEAを含有するCO中40%のEtOHにより溶出する)により更に精製して、エナンチオマー1(Rf=3.63分)を得た。
更なる溶出により、エナンチオマー2(Rf=4.01分)を得た。
実施例253及び254:6-(ジフルオロメチル)-N-(7-エトキシ-2-((1R,2S)-2-フルオロシクロプロピル)イミダゾ[1,2-a]ピリジン-6-イル)ピコリンアミド及び6-(ジフルオロメチル)-N-(7-エトキシ-2-((1S,2R)-2-フルオロシクロプロピル)イミダゾ[1,2-a]ピリジン-6-イル)ピコリンアミド
Figure 0007576552000179
ステップa:トランス-2-フルオロシクロプロパン-1-カルボン酸(500mg、4.80mmol)のDCM(5mL)中溶液に、SOCl(571.53mg、4.80mmol)及びDMF(2滴)を添加し、反応物を0℃で1時間撹拌した。混合物を減圧下で濃縮し、残留物をTHF(5mL)及びMeCN(3mL)で希釈し、溶液を0℃まで冷却した。TMSCHN(2M、4.80mL)を添加し、反応物を0℃で1時間撹拌した。HCl(4M、2.40mL)を添加し、反応物を室温に温め、1時間撹拌した。反応物を飽和NaHCO水溶液(30mL)でクエンチし、EtOAc(50mL×3)で抽出した。合わせた有機層をブライン(20mL)で洗浄し、NaSO上で乾燥し、濾過し、濾液を減圧下で蒸発させて、トランス-2-クロロ-1-(2-フルオロシクロプロピル)エタン-1-オン(170mg、粗製)を黄色油として得た。H NMR: (400 MHz, クロロホルム-d) δ pm: 1.49-1.58 (m, 1H), 1.58-1.68 (m, 1H), 2.66-2.75 (m, 1H), 4.25 (s, 2H), 4.70-4.89 (m, 1H)。
ステップb:トランス2-クロロ-1-(2-フルオロシクロプロピル)エタン-1-オン(170mg、1.24mmol)のEtOH(1mL)中溶液に、NaHCO(209.18mg、2.49mmol)、中間体3c:N-(6-アミノ-4-エトキシピリジン-3-イル)-6-(ジフルオロメチル)ピコリンアミド(170mg、551.45μmol)、及びKI(20.67mg、124.50μmol)を添加し、反応物を80℃で14時間撹拌した。反応物を冷却し、濾過し、濾液を減圧下で濃縮した。残留物を分取HPLC(カラム:Phenomenex Synergi C18 150×30mm×4μm、水(0.05%のHCl)-MeCN、27%~47%)により精製して、トランス6-(ジフルオロメチル)-N-(7-エトキシ-2-(2-フルオロシクロプロピル)イミダゾ[1,2-a]ピリジン-6-イル)ピコリンアミド(30mg、6.10%収率)を褐色固体として得た。LCMS (ESI) m/z 391.0(M+H)。生成物を分取SFC(カラム:DAICEL CHIRALCEL OJ-H(250mm×30mm、5um)、0.1%のNHOH EtOH、0%~15%により溶出する)により更に精製して、白色固体としてジアステレオ異性体1(7.30mg、24.24%収率)、Rf=2.001分、LCMS (ESI) m/z 391.0 (M+H)H NMR: (500 MHz, メタノール-d) δ ppm: 1.26-1.32 (m, 1H), 1.60-1.70 (m, 4H), 2.50-2.57 (m, 1H), 4.36-4.41 (m, 2H), 4.91-4.94 (m, 1H), 6.74-6.97 (m, 1H), 7.11 (s, 1H), 7.70 (s, 1H), 7.96 (d, J = 8.0 Hz, 1H), 8.24-8.28 (m, 1H), 8.38 (d, J = 8.0 Hz, 1H), 9.62 (s, 1H)及び白色固体としてジアステレオ異性体2(6.50mg、21.69%収率)を得た。H NMR: (500 MHz, メタノール-d) δ ppm: 1.21-1.29 (m, 1H), 1.51-1.59 (m, 1H), 1.61 (t, J = 7.0 Hz, 3H), 2.43-2.51 (m, 1H), 4.28-4.33 (m, 2H), 4.85-4.88 (m, 1H), 6.72-6.95 (m, 2H), 7.57 (s, 1H), 7.93 (d, J = 7.5 Hz, 1H), 8.22-8.26 (m, 1H), 8.35 (d, J = 7.5 Hz, 1H), 9.48 (s, 1H)。
実施例255:N-(7-エトキシ-2-((テトラヒドロフラン-3-イル)メチル)イミダゾ[1,2-a]ピリジン-6-イル)-2-(1H-ピラゾール-4-イル)オキサゾール-4-カルボキサミド
Figure 0007576552000180
N-(7-エトキシ-2-((テトラヒドロフラン-3-イル)メチル)イミダゾ[1,2-a]ピリジン-6-イル)-2-(1H-ピラゾール-4-イル)オキサゾール-4-カルボキサミドは、実施例22に記載の方法に従って、4-(4,4,5,5-テトラメチル-1,3,2-ジオキサボロラン-2-イル)-1H-ピラゾール及び中間体3c:N-(6-アミノ-4-エトキシピリジン-3-イル)-6-(ジフルオロメチル)ピコリンアミド塩酸塩から調製された。LCMS (ESI) m/z 423.0 (M+H)H NMR (500 MHz DMSO-d):δ ppm 1.62 (t, J= 6.9 Hz, 3H), 1.74-1.65 (m, 1H), 2.01 - 2.12 (m, 1H), 2.71 - 2.80 (m, 1H), 2.81 (d, J= 7.4 Hz, 2H), 3.50-3.59 (m, 1H), 3.71 - 3.82 (m, 1H), 3.85 - 3.96 (m, 2H), 4.23 (q, J= 6.9 Hz, 2H), 6.90 (s, 1H), 7.23 (s, 1H), 8.15 (s, 2H), 8.25 (s, 1H), 9.35 (s, 1H), 9.42 (s, 1H)。
実施例256:6-(ジフルオロメチル)-N-(7-エトキシ-2-(3-メチルシクロヘキシル)イミダゾ[1,2-a]ピリジン-6-イル)ピコリンアミド
Figure 0007576552000181
6-(ジフルオロメチル)-N-(7-エトキシ-2-(3-メチルシクロヘキシル)イミダゾ[1,2-a]ピリジン-6-イル)ピコリンアミドは、実施例121に記載されたのと同様の合成手順に従って、4-メトキシシクロヘキサン-1-カルボン酸及び中間体3c:N-(6-アミノ-4-エトキシピリジン-3-イル)-6-(ジフルオロメチル)ピコリンアミド塩酸塩から調製された。LCMS (ESI) m/z 445.1 (M+H)H NMR (500 MHz, メタノール-d) δ ppm: 1.34-1.55 (m, 4H), 1.64 (t, J = 6.94 Hz, 3H), 1.95-1.99 (m, 1H), 2.00-2.10 (m, 1H), 2.17-2.20 (m, 1H), 2.46-2.49 (m, 1H), 2.83-2.89 (m, 1H), 3.34-3.37 (m, 1H), 3.41 (s, 3H), 4.38 (q, J = 6.97 Hz, 2H), 6.96-6.73 (m, 1H), 7.10 (s, 1H), 7.70 (s, 1H), 7.95 (d, J = 7.78 Hz, 1H), 8.25 (t, J = 7.78 Hz, 1H), 8.37 (d, J = 7.78 Hz, 1H), 9.62 (s, 1H) 。
実施例257:6-(ジフルオロメチル)-N-(2-((1,1-ジオキシドテトラヒドロチオフェン-3-イル)メチル)-7-エトキシイミダゾ[1,2-a]ピリジン-6-イル)ピコリンアミド
Figure 0007576552000182
ステップa:DIPEA(739.72mg、5.72mmol)及びカルボノクロリド酸イソブチル(689.76mg、5.05mmol)を、2-(1,1-ジオキシドテトラヒドロチオフェン-3-イル)酢酸(600mg、3.37mmol)のTHF(5mL)中混合物に0℃で滴加し、反応物を3時間撹拌した。ジアゾメチル(トリメチル)シラン(2M、3.37mL)を0℃で滴加し、反応物を0℃で1時間撹拌し、室温で更に14時間撹拌した。反応混合物を0℃まで冷却し、HBr(2.84g、16.83mmol、48%純度)を添加し、反応物を0℃で1時間撹拌した。反応物を飽和NaHCO水溶液でクエンチし、混合物をEtOAc(20mL×3)で抽出し、合わせた有機相をブライン(50mL)で洗浄し、NaSO上で乾燥し、濾過した。濾液を減圧下で蒸発させ、1-ブロモ-3-(1,1-ジオキシドテトラヒドロチオフェン-3-イル)プロパン-2-オン(210mg、24.45%収率)を得、これを精製することなく使用した。
ステップb:中間体3c:N-(6-アミノ-4-エトキシピリジン-3-イル)-6-(ジフルオロメチル)ピコリンアミド(20mg、0.065mmol)及び1-ブロモ-3-(1,1-ジオキシドテトラヒドロチオフェン-3-イル)プロパン-2-オン(100mg、0.392mmol)のEtOH(5mL)中溶液に、NaHCO(16.35mg、0.195mmol)を添加した。反応物を80℃で16時間撹拌した。混合物を濾過し、濾液を減圧下で濃縮した。残留物を、ギ酸で調節した分取HPLCにより精製して、6-(ジフルオロメチル)-N-(2-((1,1-ジオキシドテトラヒドロチオフェン-3-イル)メチル)-7-エトキシイミダゾ[1,2-a]ピリジン-6-イル)ピコリンアミド(1mg、2.15μmol、20.01%収率)を褐色固体として得た。LCMS (ESI) m/z 465.0 (M+H)H NMR (400 MHz, メタノール-d) δ ppm: 1.61 (t, J = 7.2 Hz, 3H), 1.99-2.04 (m, 1H), 2.35-2.38 (m, 1H), 2.85-2.91 (m, 4H), 3.19-3.23 (m, 1H), 3.25-3.31 (m, 2H), 4.29 (q, J = 6.8 Hz, 2H), 6.70-6.99 (m, 2H), 7.57 (s, 1H), 7.94 (d, J = 7.6 Hz, 1H), 8.25 (t, J = 8.0 Hz, 1H), 8.37 (d, J = 8.0 Hz, 1H), 9.47 (s, 1H)。
中間体19a:6-(ジフルオロメチル)-N-(7-イソプロポキシイミダゾ[1,2-a]ピリジン-6-イル)ピコリンアミド
Figure 0007576552000183
ステップa:DMF(1滴)、続いて、塩化オキサリル(1.61g、12.71mmol)を6-(ジフルオロメチル)ピコリン酸(2.0g、11.55mmol)のベンゼン(20mL)中溶液に添加し、反応物を室温で一晩撹拌した。反応物を減圧下で蒸発させて、6-(ジフルオロメチル)ピコリノイルクロリドを得た。4-イソプロポキシピリジン-2,5-ジアミン(1.0g、5.98mmol)及びTEA(1.21g、11.96mmol)のDCM(30mL)中溶液を-40℃まで冷却し、6-(ジフルオロメチル)ピコリノイルクロリド(1.20g、6.28mmol)のDCM(5mL)中溶液を添加し、反応物を室温で2時間撹拌した。混合物を水(20mL)及びブライン(20mL)で洗浄し、NaSO上で乾燥し、減圧下で蒸発させて、中間体19a:N-(6-アミノ-4-イソプロポキシピリジン-3-イル)-6-(ジフルオロメチル)ピコリンアミド(1.50g、77.82%収率)を得、これを更に精製することなく次のステップに使用した。H NMR (400 MHz, クロロホルム-d) δ ppm 1.42 (d, J= 6.1 Hz, 6H), 4.38 (br s, 2H), 4.61-4.63 (m, 1H), 6.05 (br s, 1H), 6.63 (t, J= 55.4 Hz, 1H), 7.76 (d, J= 7.9 Hz, 1H), 8.04 (t, J= 7.8 Hz, 1H), 8.35 (d, J= 7.9 Hz, 1H), 9.12 (s, 1H), 10.15 (s, 1H)。
ステップb:2-クロロアセトアルデヒド(150.25mg、957.01μmol)を、N-(6-アミノ-4-イソプロポキシピリジン-3-イル)-6-(ジフルオロメチル)ピコリンアミド(118.64mg、368.08μmol)のMeCN(2.38mL)中溶液に添加し、反応物を還流下で1時間撹拌した。冷却した混合物をジオキサン中の4NのHCl(0.1mL)で酸性化し、次いで、減圧下で濃縮した。残留物をMeOH、水(1滴)中に懸濁させ、混合物をMeOH~2Nのメタノール性アンモニアにより溶出するHypersep(商標)SCX(樹脂に結合したスルホン酸エステル)でのイオン交換クロマトグラフィーにより精製して、中間体19b:6-(ジフルオロメチル)-N-(7-イソプロポキシイミダゾ[1,2-a]ピリジン-6-イル)ピコリンアミドを得た。LCMS (ESI) m/z 347.0 (M+H)H NMR (500 MHz, クロロホルム-d) δ ppm: 1.46 (d, J=6.10 Hz, 6H), 4.96-5.07 (m, 1H), 7.01-7.28 (m, 1H), 7.36 (br s, 1H), 7.75 (s, 1H), 8.04 (d, J=6.71 Hz, 1H), 8.16 (br s, 1H), 8.29-8.41 (m, 2H), 9.72 (s, 1H), 9.69-9.73 (m, 1H), 10.61 (s, 1H)。
実施例258:6-(ジフルオロメチル)-N-(2-(3-フルオロビシクロ[1.1.1]ペンタン-1-イル)-7-イソプロポキシイミダゾ[1,2-a]ピリジン-6-イル)ピコリンアミドを、2-クロロ-1-(3-フルオロビシクロ[1.1.1]ペンタン-1-イル)エタン-1-オン(250mg、1.54mmol)及び中間体19aの混合物を用いて、実施例55におけるような標準的な縮合反応条件により調製して、6-(ジフルオロメチル)-N-(2-(3-フルオロビシクロ[1.1.1]ペンタン-1-イル)-7-イソプロポキシイミダゾ[1,2-a]ピリジン-6-イル)ピコリンアミド(110mg、18.17%収率)を得た。LCMS (ESI) m/z 431.2 (M+H)H NMR (400 MHz DMSO-d) δ ppm 1.41 (d, J= 6.0 Hz, 6H), 2.34 (d, J= 2.6 Hz, 6H), 4.83-4.85 (m, 1H), 6.93-7.31 (m, 2H), 7.75 (s, 1H), 7.96-8.05 (m, 1H), 8.24-8.36 (m, 2H), 9.43 (s, 1H), 10.50 (s, 1H)。
実施例259:6-(ジフルオロメチル)-N-(7-イソプロポキシ-2-(1-メチル-2-オキサビシクロ[3.1.1]ヘプタン-5-イル)イミダゾ[1,2-a]ピリジン-6-イル)ピコリンアミドを、中間体19a:N-(6-アミノ-4-イソプロポキシピリジン-3-イル)-6-(ジフルオロメチル)ピコリンアミド(15.0mg、46.54μmol)及び2-ブロモ-1-(1-メチル-2-オキサビシクロ[3.1.1]ヘプタン-5-イル)エタノン(16.50mg、47.47μmol)の混合物を用いて、実施例55におけるような標準的な縮合反応条件により調製して、6-(ジフルオロメチル)-N-(7-イソプロポキシ-2-(1-メチル-2-オキサビシクロ[3.1.1]ヘプタン-5-イル)イミダゾ[1,2-a]ピリジン-6-イル)ピコリンアミドをオフホワイトの固体として得た(19.20mg)。LCMS (ESI) m/z 457.3 (M+H)H NMR (500 MHz, クロロホルム-d) δ ppm 1.35 (s, 3H), 1.52 (d, J=6.10 Hz, 6H), 2.27 (s, 4H), 2.39 (t, J=6.87 Hz, 2H), 4.23 (t, J=6.87 Hz, 2H), 4.64-4.78 (m, 1H), 6.50-6.83 (m, 1H), 7.01 (s, 1H), 7.19 (s, 1H), 7.84 (d, J=7.78 Hz, 1H), 8.11 (t, J=7.78 Hz, 1H), 8.39 (d, J=7.78 Hz, 1H), 9.44 (s, 1H), 10.57 (s, 1H)。
実施例260:N-(2-(2-オキサビシクロ[2.2.1]ヘプタン-4-イル)-7-イソプロポキシイミダゾ[1,2-a]ピリジン-6-イル)-6-(ジフルオロメチル)ピコリンアミドを、2-ブロモ-1-(2-オキサビシクロ[2.2.1]ヘプタン-4-イル)エタノン(25.94mg、118.4μmol)及び中間体19a:N-(6-アミノ-4-イソプロポキシピリジン-3-イル)-6-(ジフルオロメチル)ピコリンアミド(36mg、111.7μmol)の混合物を用いて、実施例55におけるような標準的な縮合反応条件により調製して、N-(2-(2-オキサビシクロ[2.2.1]ヘプタン-4-イル)-7-イソプロポキシイミダゾ[1,2-a]ピリジン-6-イル)-6-(ジフルオロメチル)ピコリンアミド(42mg)を淡黄色固体として得た。LCMS (ESI) m/z 443.3 (M+H)H NMR (400 MHz, クロロホルム-d) δ ppm 1.51 (d, J=6.02 Hz, 6H), 1.76-2.21 (m, 6H), 3.83-4.05 (m, 2H), 4.61-4.79 (m, 1H), 6.46-6.83 (m, 1H), 6.95 (s, 1H), 7.29 (s, 1H), 7.84 (d, J=7.03 Hz, 1H), 8.11 (t, J=7.78 Hz, 1H), 8.38 (d, J=7.78 Hz, 1H), 9.44 (s, 1H), 10.56 (s, 1H)。
実施例261:2-(6-(6-(ジフルオロメチル)ピコリンアミド)-7-イソプロポキシイミダゾ[1,2-a]ピリジン-2-イル)-2-メチルプロパン酸メチルを、中間体a:N-(6-アミノ-4-イソプロポキシピリジン-3-イル)-6-(ジフルオロメチル)ピコリンアミド(57mg、176.85μmol)及び4-ブロモ-2,2-ジメチル-3-オキソ-ブタン酸メチルの混合物を用いて、実施例55におけるような標準的な縮合反応条件により調製して、2-(6-(6-(ジフルオロメチル)ピコリンアミド)-7-イソプロポキシイミダゾ[1,2-a]ピリジン-2-イル)-2-メチルプロパン酸メチルを白色固体として得た(15mg)。LCMS (ESI) m/z 447.4 (M+H);1H NMR (400 MHz, メタノール-d) δ ppm: 1.52 (d, J=6.02 Hz, 6H), 1.63 (s, 6H), 3.67 (s, 3H), 4.87-4.90 (m, 1H), 6.68-7.01 (m, 2H), 7.63 (d, J=0.75 Hz, 1H), 7.93 (d, J=7.03 Hz, 1H), 8.24 (t, J=7.65 Hz, 1H), 8.37 (dd, J=0.75, 7.78 Hz, 1H), 9.49 (d, J=0.75 Hz, 1H)。
実施例262:2-(6-(6-(ジフルオロメチル)ピコリンアミド)-7-イソプロポキシイミダゾ[1,2-a]ピリジン-2-イル)-2-メチルプロパン酸を、実施例261の標準的なエステル加水分解により調製して、2-(6-(6-(ジフルオロメチル)ピコリンアミド)-7-イソプロポキシイミダゾ[1,2-a]ピリジン-2-イル)-2-メチルプロパン酸を白色固体として得た(9mg)。LCMS (ESI) m/z 433.3 (M+H)H NMR (400 MHz, メタノール-d) δ ppm: 1.57 (d, J=6.02 Hz, 6H), 1.65 (s, 6H), 4.94-5.06 (m, 1H), 6.68-7.03 (m, 1H), 7.11 (s, 1H), 7.76 (s, 1H), 7.96 (d, J=7.28 Hz, 1H), 8.27 (t, J=7.78 Hz, 1H), 8.40 (dd, J=1.00, 7.78 Hz, 1H), 9.65 (s, 1H)。
実施例263:6-(ジフルオロメチル)-N-(2-(1,3-ジメチル-1H-ピラゾール-4-イル)-7-イソプロポキシイミダゾ[1,2-a]ピリジン-6-イル)ピコリンアミドを、中間体19a:N-(6-アミノ-4-イソプロポキシピリジン-3-イル)-6-(ジフルオロメチル)ピコリンアミド(80mg、248.21μmol)及び2-ブロモ-1-(1,3-ジメチルピラゾール-4-イル)エタン-1-オン(53.88mg、248.21μmol)の混合物を用いて、実施例55におけるような標準的な縮合反応条件により調製して、6-(ジフルオロメチル)-N-(2-(1,3-ジメチル-1H-ピラゾール-4-イル)-7-イソプロポキシイミダゾ[1,2-a]ピリジン-6-イル)ピコリンアミド(26.80mg、24.51%収率)を得た。LCMS (ESI) m/z 441.3 (M+H)H NMR (500 MHz DMSO-d) δ ppm 1.47 (d, J=5.49 Hz, 6H), 1.47 - 1.51 (m, 1H), 2.35 - 2.40 (m, 4H), 3.82 - 3.87 (m, 3H), 4.99 - 5.09 (m, 1H), 7.04 - 7.29 (m, 2H), 8.01 - 8.06 (m, 2H), 8.21 (br s, 1H), 8.33 - 8.39 (m, 2H), 9.66 (br s, 1H), 10.61 (s, 1H) 。
実施例264:6-(ジフルオロメチル)-N-(2-(3-(ジフルオロメチル)-1-メチル-1H-ピラゾール-4-イル)-7-イソプロポキシイミダゾ[1,2-a]ピリジン-6-イル)ピコリンアミドを、中間体19a:N-(6-アミノ-4-イソプロポキシピリジン-3-イル)-6-(ジフルオロメチル)ピコリンアミド(80mg、248.21μmol)及び2-クロロ-1-(3-(ジフルオロメチル)-1-メチル-1H-ピラゾール-4-イル)エタン-1-オン(77.66mg、372.32μmol)の混合物を用いて、実施例55におけるような標準的な縮合反応条件により調製して、6-(ジフルオロメチル)-N-(2-(3-(ジフルオロメチル)-1-メチル-1H-ピラゾール-4-イル)-7-イソプロポキシイミダゾ[1,2-a]ピリジン-6-イル)ピコリンアミド(26.40mg、22.32%収率)を得た。LCMS (ESI) m/z 477.3 (M+H)H NMR (500 MHz DMSO-d) δ ppm 1.48 (d, J=6.10 Hz, 7 H), 3.94 - 4.03 (m, 3H), 5.09 (br s, 1H), 7.02 - 7.42 (m, 3H), 8.05 (dd, J=7.32, 1.22 Hz, 1H), 8.28 - 8.44 (m, 3H), 9.80 (br s, 1H), 10.63 (s, 1H)。
実施例265:6-(ジフルオロメチル)-N-(7-イソプロポキシ-2-((テトラヒドロフラン-3-イル)メチル)イミダゾ[1,2-a]ピリジン-6-イル)ピコリンアミドを、中間体19a:N-(6-アミノ-4-イソプロポキシピリジン-3-イル)-6-(ジフルオロメチル)ピコリンアミド(150mg、465.39μmol)及び1-ブロモ-3-(テトラヒドロフラン-3-イル)プロパン-2-オン(104.74mg、465.39μmol)の溶液を用いて、実施例55におけるような標準的な縮合反応条件により調製して、6-(ジフルオロメチル)-N-(7-イソプロポキシ-2-((テトラヒドロフラン-3-イル)メチル)イミダゾ[1,2-a]ピリジン-6-イル)ピコリンアミド(58.90mg、29.40%収率)を得た。LCMS (ESI) m/z 431.2 (M+H)H NMR (400 MHz DMSO-d):δ 1.41 (d, J= 5.9 Hz, 6H), 1.55-1.66 (m, 1H), 1.94-2.04 (m, 1H), 2.53-2.61 (m, 1H), 2.64-2.70 (m, 2H), 3.38-3.43 (m, 1H), 3.60-3.68 (m, 1H), 3.71-3.81 (m, 2H), 4.83-4.91 (m, 1H), 6.94-7.31 (m, 2H), 7.68 (s, 1H), 8.00 (dd, J= 6.0, 2.9 Hz, 1H), 8.27-8.36 (m, 2H), 9.42 (s, 1H), 10.50 (s, 1H)。
1-ブロモ-3-(テトラヒドロフラン-3-イル)プロパン-2-オンは、以下の通りに調製された。2-(テトラヒドロフラン-3-イル)酢酸(2.0g、15.37mmol)のDCM(50mL)中溶液に、塩化オキサリル(3.90g、30.74mmol)をアルゴン(ガス)下で0℃にて添加し、反応物を30℃で16時間撹拌した。混合物を減圧下で濃縮し、残留物を無水DCM(20mL×3)と共に同時蒸発させて、2-(テトラヒドロフラン-3-イル)アセチルクロリド(2.50g)を黄色がかった油として得た。これをTHF(100mL)中に溶解し、ジアゾメタン(MTBE中1Mの溶液、67.28mL)を5℃で滴加した。溶液をこの温度で0.5時間撹拌し、次いで、0℃まで冷却し、HBr水溶液(7M、4.81mL)を滴加した。得られた混合物を室温で40分間撹拌し、次いで、飽和NaHCO水溶液(100mL)で希釈し、層を分離し、水層をMTBE(50mL)で抽出した。合わせた有機相をブライン(20mL)で洗浄し、NaSO上で乾燥し、濾過し、減圧下で濃縮して、1-ブロモ-3-(テトラヒドロフラン-3-イル)プロパン-2-オンを黄色の液体として得(3.2g)、これを更に精製することなく次のステップに使用した。H NMR (400 MHz, CDCl):δ 1.42-1.53 (m, 1H), 2.06-2.16 (m, 1H), 2.57-2.67 (m, 1H), 2.68-2.86 (m, 2H), 3.29-3.37 (m, 1H), 3.68-3.75 (m, 1H), 3.77-3.87 (m, 3H), 3.87-3.95 (m, 1H)。
ステップb:中間体a:N-(6-アミノ-4-イソプロポキシピリジン-3-イル)-6-(ジフルオロメチル)ピコリンアミド(150mg、465.39μmol)及び1-ブロモ-3-(テトラヒドロフラン-3-イル)プロパン-2-オン(104.74mg、465.39μmol)のEtOH(10mL)中溶液を、還流下で48時間加熱した。溶媒を減圧下で蒸発させ、HO(10mL)及びNaHCO(78.19mg、930.78μmol)を添加し、生成物をCHCl(3×10mL)で抽出した。合わせた有機相をNaSO上で乾燥し、濾過し、減圧下で蒸発させた。粗生成物を分取HPLC(YMC-Actus Triart C18 100×20mm、5um、水/MeOH+0.1%容量の0.25のNH水溶液 55~90%により溶出する)により精製して、6-(ジフルオロメチル)-N-(7-イソプロポキシ-2-((テトラヒドロフラン-3-イル)メチル)イミダゾ[1,2-a]ピリジン-6-イル)ピコリンアミド(58.90mg、29.40%収率)を得た。LCMS (ESI) m/z 431.2 (M+H)H NMR (400 MHz DMSO-d):δ 1.41 (d, J= 5.9 Hz, 6H), 1.55-1.66 (m, 1H), 1.94-2.04 (m, 1H), 2.53-2.61 (m, 1H), 2.64-2.70 (m, 2H), 3.38-3.43 (m, 1H), 3.60-3.68 (m, 1H), 3.71-3.81 (m, 2H), 4.83-4.91 (m, 1H), 6.94-7.31 (m, 2H), 7.68 (s, 1H), 8.00 (dd, J= 6.0, 2.9 Hz, 1H), 8.27-8.36 (m, 2H), 9.42 (s, 1H), 10.50 (s, 1H)。
実施例266:N-(7-イソプロポキシ-2-テトラヒドロピラン-4-イル-イミダゾ[1,2-a]ピリジン-6-イル)-6-(トリフルオロメチル)ピコリンアミド
Figure 0007576552000184
ステップa:DIPEA(2.32g、17.94mmol)を、4-イソプロポキシピリジン-2,5-ジアミン(1.00g、5.98mmol)、HATU(2.28g、5.98mmol)、及び6-(トリフルオロメチル)ピコリン酸(1.14g、5.98mmol)のDMF(9.06mL)中混合物に0℃で添加し、反応物を一晩室温で撹拌した。反応物をブラインでクエンチし、EtOAc(3×)で抽出し、合わせた有機抽出物をブラインで洗浄し、MgSO上で乾燥し、濾過し、減圧下で濃縮した。粗製物をシリカゲルカラムクロマトグラフィー(ドライロード、ヘプタン中0~100%の3:1のEtOAc:EtOH+1%TEA)により精製して、N-(6-アミノ-4-イソプロポキシ-3-ピリジル)-6-(トリフルオロメチル)ピコリンアミドを黄色固体として得た。
ステップb:N-(6-アミノ-4-イソプロポキシ-3-ピリジル)-6-(トリフルオロメチル)ピコリンアミド(100mg、293.86μmol)、2-ブロモ-1-テトラヒドロピラン-4-イル-エタノン(30.42mg、146.93μmol)、及びNaHCO(74.06mg、881.58μmol)のMeCN(705.26μL)及びトルエン(470.18μL)中混合物を、90℃で一晩加熱した。反応物を室温に冷却し、濾過し、濾液を減圧下で蒸発させた。残留物をTFAで改質した質量分析計直結分取HPLCにより精製して、N-(7-イソプロポキシ-2-テトラヒドロピラン-4-イル-イミダゾ[1,2-a]ピリジン-6-イル)-6-(トリフルオロメチル)ピコリンアミド(25.90mg、19.65%収率)を得た。LCMS (ESI) m/z 449.4 (M+H)H NMR (500 MHz DMSO-d) δ ppm 1.47 (d, J=6.10 Hz, 6H), 1.63 - 1.79 (m, 2H), 1.96 (br dd, J=12.82, 1.83 Hz, 2H), 3.06 - 3.19 (m, 1H), 3.46 - 3.54 (m, 1H), 3.91 - 4.01 (m, 2H), 5.07 - 5.16 (m, 1H), 7.39 (s, 1H), 8.14 (s, 1H), 8.30 (dd, J=7.32, 1.22 Hz, 1H), 8.44 - 8.53 (m, 2H), 9.76 (s, 1H), 10.56 (s, 1H)
実施例267:1-(ジフルオロメチル)-N-(2-(ジフルオロメチル)-7-イソプロポキシイミダゾ[1,2-a]ピリジン-6-イル)-1H-ピラゾール-3-カルボキサミド
Figure 0007576552000185
ステップa:1-(ジフルオロメチル)-1H-ピラゾール-3-カルボン酸(1.00g、6.17mmol)のDCM(20mL)中溶液に、塩化オキサリル(1.57g、12.34mmol)をアルゴン(ガス)下で0℃にて添加し、反応物を30℃で16時間撹拌した。混合物を減圧下で濃縮し、残留物を無水DCM(10mL×3)と共に共沸して、1-(ジフルオロメチル)-1H-ピラゾール-3-カルボニルクロリドを黄色がかった油として得た。4-イソプロポキシピリジン-2,5-ジアミン(1.03g、6.16mmol)及びTEA(1.23g、12.2mmol)のDCM(50mL)中溶液を-40℃まで冷却し、1-(ジフルオロメチル)-1H-ピラゾール-3-カルボニルクロリド(1.11g、6.16mmol)のDCM(10mL)中溶液を滴加した。得られた混合物を-40℃で1時間撹拌し、次いで、室温で一晩撹拌した。反応混合物をブラインで洗浄し、NaSO上で乾燥し、濾過し、減圧下で濃縮して、N-(6-アミノ-4-イソプロポキシピリジン-3-イル)-1-(ジフルオロメチル)-1H-ピラゾール-3-カルボキサミド(1.90g、99%収率)を暗褐色の固体として得た。LCMS (ESI) m/z: 312.2 (M+H)
ステップb:N-(6-アミノ-4-イソプロポキシピリジン-3-イル)-1-(ジフルオロメチル)-1H-ピラゾール-3-カルボキサミド(200mg、578.24μmol)及び3-ブロモ-1,1-ジフルオロプロパン-2-オン(150.02mg、607.15μmol)のEtOH(10mL)中混合物を、還流下で48時間加熱した。溶媒を減圧下で留去し、HO(10mL)及びNaHCO(97.16mg、1.16mmol)を添加し、混合物をCHCl(3×10mL)で抽出した。合わせた有機相をNaSO上で乾燥し、濾過し、減圧下で蒸発させた。粗製物をTFAで改質した質量分析計直結分取HPLCにより精製して、1-(ジフルオロメチル)-N-(2-(ジフルオロメチル)-7-イソプロポキシイミダゾ[1,2-a]ピリジン-6-イル)-1H-ピラゾール-3-カルボキサミド(69.1mg、31.0%収率)を得た。LCMS (ESI) m/z 386.2 (M+H)H NMR (400 MHz DMSO-d):δ 1.39 (d, J = 6.0 Hz, 6H), 4.84-4.93 (m, 1H), 6.89-7.23 (m, 3H), 7.96 (t, J = 58.6 Hz, 1H), 8.20 (s, 1H), 8.47 (d, J = 2.7 Hz, 1H), 9.35 (s, 1H), 9.41 (s, 1H)。
中間体19:N-(6-アミノ-5-メトキシピリジン-3-イル)-6-(ジフルオロメチル)ピコリンアミド
Figure 0007576552000186
ステップa:5-ブロモ-3-メトキシピリジン-2-アミン(3.00g、14.78mmol)及びBocO(12.9g、59.2mmol)のDCM(59.12mL)中溶液に、DMAP(1.81g、14.78mmol)及びTEA(4.49g、44.34mmol、6.15mL)を添加し、反応物を25℃で一晩撹拌した。冷却した混合物を減圧下で濃縮し、シリカゲルカラムクロマトグラフィーにより精製して、(5-ブロモ-3-メトキシピリジン-2-イル)(tert-ブトキシカルボニル)カルバミン酸tert-ブチルを得た。LCMS (ESI) m/z: 403.1 (M+H)
ステップb:(5-ブロモ-3-メトキシピリジン-2-イル)(tert-ブトキシカルボニル)カルバミン酸tert-ブチル(3.90g、9.67mmol)、Pd(OAc)(434.24mg、1.93mmol)、キサントホス(2.24g、3.87mmol)、CsCO(6.30g、19.34mmol)、及び6-(ジフルオロメチル)ピコリンアミド(4.16g、24.17mmol)の混合物をNによりパージした。ジオキサン(96.70mL)を室温で添加し、反応容器を密閉し、80℃で一晩加熱した。冷却した反応混合物をCelite(登録商標)を通して濾過し、濾液を減圧下で濃縮した。残留物をカラムクロマトグラフィーにより精製して、(tert-ブトキシカルボニル)(5-(6-(ジフルオロメチル)ピコリンアミド)-3-メトキシピリジン-2-イル)カルバミン酸tert-ブチルを得、これは幾らかの不純物を含有した。LCMS (ESI) m/z: 495.2 (M+H)
ステップc:(tert-ブトキシカルボニル)(5-(6-(ジフルオロメチル)ピコリンアミド)-3-メトキシピリジン-2-イル)カルバミン酸tert-ブチル(6.40g、12.94mmol)のDCM(32.35mL)中溶液に、TFA(14.75g、129.40mmol)を添加し、反応物を室温で撹拌した。LCMSにより反応が完了したことが示されたら、混合物を減圧下で蒸発させて、N-(6-アミノ-5-メトキシ-3-ピリジル)-6-(ジフルオロメチル)ピリジン-2-カルボキサミド2,2,2-トリフルオロ酢酸塩を得た。LCMS (ESI) m/z: 295.0 (M+H)
実施例268、269、及び270:6-(ジフルオロメチル)-N-(8-メトキシ-2-(テトラヒドロ-2H-ピラン-3-イル)イミダゾ[1,2-a]ピリジン-6-イル)ピコリンアミド、エナンチオマー1及び2は、中間体19:N-(6-アミノ-5-メトキシ-3-ピリジル)-6-(ジフルオロメチル)ピリジン-2-カルボキサミド2,2,2-トリフルオロ酢酸塩(242.49mg、824.06μmol)及び2-クロロ-1-テトラヒドロピラン-3-イル-エタノン(134mg、824.06μmol)の混合物を用いて、標準的な縮合反応条件により調製された。
粗生成物を逆相HPLCにより精製して、実施例268:6-(ジフルオロメチル)-N-(8-メトキシ-2-(テトラヒドロ-2H-ピラン-3-イル)イミダゾ[1,2-a]ピリジン-6-イル)ピコリンアミドを得た。LCMS (ESI) m/z 403.2 (M+H)H NMR (500 MHz DMSO-d) δ ppm 1.51 - 1.93 (m, 4H), 2.04 - 2.21 (m, 1H), 3.42 - 3.56 (m, 1H), 3.69 - 3.97 (m, 2H), 4.03 (br dd, J=10.68, 3.36Hz, 1H), 4.10 (s, 3H), 6.87 - 7.24 (m, 1H), 7.80 (br s, 1H), 8.05 (br d, J=6.71 Hz, 1H), 8.18 - 8.43 (m, 2H), 9.35 (s, 1H), 10.89 (br s, 1H)。
この化合物を、CHIRALPAK IB 30×250mm、5μmカラムを使用し、100mL/分の流速、MBPR 40psi、40℃のカラム温度で、0.1%のDEAを含有するCO中30%のMeOHにより溶出するSFCにより更に精製して、エナンチオマー1(Rf=2.58分)を得た。
更なる溶出により、エナンチオマー2(Rf=2.90分)を得た。
実施例271:6-(ジフルオロメチル)-N-(8-メトキシ-2-((1r*,3r*)-3-メトキシ-1-メチルシクロブチル)イミダゾ[1,2-a]ピリジン-6-イル)ピコリンアミドを、中間体19:N-(6-アミノ-5-メトキシ-3-ピリジル)-6-(ジフルオロメチル)ピコリンアミド(100mg、0.340mmol)及び2-クロロ-1-(3-メトキシ-1-メチルシクロブチル)エタン-1-オン(120mg、0.680mmol)を用いて、標準的な縮合反応条件下で調製して、6-(ジフルオロメチル)-N-(8-メトキシ-2-((1r*,3r*)-3-メトキシ-1-メチルシクロブチル)イミダゾ[1,2-a]ピリジン-6-イル)ピコリンアミド(10mg、7%収率、Rf=1.579分)をオフホワイトの固体として得た。LCMS (ESI) m/z 417.0 (M+H)H NMR (500MHz, メタノール-d) δ ppm: 1.59 (s, 3H), 2.05-2.15 (m, 2H), 2.75-2.85 (m, 2H), 3.25 (s, 3H), 3.90-3.95 (m, 1H), 3.60-3.65 (m, 1H), 4.12 (s, 3H), 6.75-7.00 (m, 1H), 7.38 (s, 1H), 7.92 (s, 1H), 7.96 (d, J = 8.0 Hz, 1H), 8.10-8.20 (m, 1H), 8.24 (t, J = 8.0 Hz, 1H), 8.37 (d, J = 8.0 Hz, 1H), 9.13 (s, 1H)。
実施例272:N-(8-クロロ-7-エトキシ-2-(テトラヒドロ-2H-ピラン-4-イル)イミダゾ[1,2-a]ピリジン-6-イル)-6-(ジフルオロメチル)ピコリンアミド
Figure 0007576552000187
ステップa:NCS(677.13mg、5.07mmol)を、5-ブロモ-4-エトキシピリジン-2-アミン(1.00g、4.61mmol)のDMF(4.61mL)中溶液に添加し、反応物を一晩撹拌した。溶液を飽和NaHCO水溶液及びブラインで処理し、次いで、EtOAcで抽出した。合わせた有機抽出物を乾燥し、濾過し、減圧下で蒸発させて、5-ブロモ-3-クロロ-4-エトキシピリジン-2-アミンを得、これを更に精製することなく使用した。H NMR (500 MHz, メタノール-d) δ ppm 1.33 - 1.56 (m, 4H), 4.07 - 4.25 (m, 2H), 7.91 - 7.97 (m, 1H)。
ステップb:5-ブロモ-3-クロロ-4-エトキシピリジン-2-アミン(1.24g、4.94mmol)及びBocO(4.31g、19.76mmol)のDCM(16.47mL)中溶液に、DMAP(602.92mg、4.94mmol)及びTEA(1.50g、14.82mmol)を添加し、反応物を25℃で一晩撹拌した。混合物を減圧下で濃縮し、残留物をシリカゲルカラムクロマトグラフィーにより精製して、(5-ブロモ-3-クロロ-4-エトキシピリジン-2-イル)(tert-ブトキシカルボニル)カルバミン酸tert-ブチル(900mg、40.33%収率)を得た。H NMR (500 MHz, CDCl) δ ppm 0.83 - 0.99 (m, 5H), 1.43 (s, 13H), 4.22 - 4.34 (m, 2H), 8.27 - 8.60 (m, 1H)。
ステップc:(5-ブロモ-3-クロロ-4-エトキシピリジン-2-イル)(tert-ブトキシカルボニル)カルバミン酸tert-ブチル(898.96mg、1.99mmol)、キサントホス(230.29mg、398.00μmol)、CsCO(1.30g、3.98mmol)、Pd(dba)(182.23mg、199μmol)、及び6-(ジフルオロメチル)ピコリンアミド(342.54mg、1.99mmol)を投入したバイアルをNによりパージし、セプタムを備えたスクリューキャップで密閉した。トルエン(19.90mL)を添加し、バイアルを密閉し、100℃で一晩加熱した。冷却した混合物にシリカを添加し、溶媒を減圧下で除去した。固体をシリカゲルカラムクロマトグラフィーにより精製して、(tert-ブトキシカルボニル)(3-クロロ-5-(6-(ジフルオロメチル)ピコリンアミド)-4-エトキシピリジン-2-イル)カルバミン酸tert-ブチル(260mg、24.06%収率)を得た。H NMR (500 MHz, CDCl) δ ppm 1.60 (s, 3H), 4.18 - 4.49 (m, 2H), 6.56 - 6.93 (m, 1H), 7.90 (d, J=7.94 Hz, 1H), 8.02 - 8.21 (m, 1H), 8.31 - 8.50 (m, 1H), 9.60 (s, 1H), 9.46 - 9.75 (m, 1H)。
ステップd:(tert-ブトキシカルボニル)(3-クロロ-5-(6-(ジフルオロメチル)ピコリンアミド)-4-エトキシピリジン-2-イル)カルバミン酸tert-ブチル(260mg、478.86μmol)をDCM(1.60mL)中に溶解し、TFA(1.09g、9.58mmol)を添加した。溶液を室温で撹拌し、次いで、減圧下で蒸発させて、N-(6-アミノ-5-クロロ-4-エトキシ-3-ピリジル)-6-(ジフルオロメチル)ピリジン-2-カルボキサミド2,2,2-トリフルオロ酢酸塩を得た。LCMS (ESI) m/z: 342.9 (M+H)
ステップe:N-(6-アミノ-5-クロロ-4-エトキシ-3-ピリジル)-6-(ジフルオロメチル)ピリジン-2-カルボキサミド2,2,2-トリフルオロ酢酸塩(116.00mg、338.46μmol)、2-ブロモ-1-テトラヒドロピラン-4-イル-エタン-1-オン(70.08mg、338.46μmol)、及びNaHCO(85.30mg、1.02mmol)のEtOH(846.15μL)中混合物を、80℃で一晩加熱した。反応物を室温に冷却し、濾過し、濾液を減圧下で濃縮した。残留物を逆相HPLCにより精製して、N-(8-クロロ-7-エトキシ-2-(テトラヒドロ-2H-ピラン-4-イル)イミダゾ[1,2-a]ピリジン-6-イル)-6-(ジフルオロメチル)ピコリンアミド(2.20mg、4.88μmol、1.44%収率)を得た。LCMS (ESI) m/z 450.9 (M+H)H NMR (500 MHz DMSO-d) δ ppm 1.52 (t, J=7.02 Hz, 3H), 1.70 (qd, J=12.31, 3.97 Hz, 2H), 1.94 (br dd, J=12.51, 2.14 Hz, 2H), 3.30 - 3.40 (m, 1H), 3.44 - 3.57 (m, 1H), 3.95 (br dd, J=11.29, 2.14 Hz, 2H), 4.25 - 4.43 (m, 2H), 6.99 - 7.38 (m, 1H), 8.05 (dd, J=7.02, 1.53 Hz, 1H), 8.26 - 8.44 (m, 2H), 9.56 (br s, 1H), 10.42 (br s, 1H)。
中間体20:N-(5-アミノピラジン-2-イル)-6-(ジフルオロメチル)ピコリンアミド
Figure 0007576552000188
N-(5-アミノピラジン-2-イル)-6-(ジフルオロメチル)ピコリンアミドは、実施例272のステップb及びcに記載の方法に従って、5-ブロモピラジン-2-アミン及び6-(ジフルオロメチル)ピリジン-2-カルボキサミドから調製された。LCMS (ESI) m/z 266.0(M+H)
実施例273:N-(2-(6-オキサスピロ[3.4]オクタン-2-イル)イミダゾ[1,2-a]ピラジン-6-イル)-6-(ジフルオロメチル)ピコリンアミド
Figure 0007576552000189
中間体20:N-(5-アミノピラジン-2-イル)-6-(ジフルオロメチル)ピコリンアミド(100mg、377.05μmol)、2-クロロ-1-(6-オキサスピロ[3.4]オクタン-2-イル)エタン-1-オン(71.13mg、377.05μmol)のMeCN(754.10μL)及びトルエン(189μL)中混合物を、80℃で一晩加熱した。反応混合物を室温に冷却し、濾過し、濾液を減圧下で濃縮した。粗製物をTFAで改質した質量分析計直結分取HPLCにより精製して、N-(2-(6-オキサスピロ[3.4]オクタン-2-イル)イミダゾ[1,2-a]ピラジン-6-イル)-6-(ジフルオロメチル)ピコリンアミド2,2,2-トリフルオロ酢酸塩(3mg、5.85μmol、1.55%収率)を得た。LCMS (ESI) m/z 400.0 (M+H)H NMR (500 MHz DMSO-d) δ ppm 2.26 - 2.39 (m, 4H), 3.60 - 3.80 (m, 4H), 7.00 - 7.33 (m, 1H), 8.01 (dd, J=7.32, 1.22 Hz, 1H), 8.19 (d, J=3.05 Hz, 1H), 8.29 - 8.40 (m, 2H), 8.93 (s, 1H), 9.38 (t, J=1.53 Hz, 1H), 10.33 (s, 1H)。
実施例274:6-(ジフルオロメチル)-N-(2-(1-メチル-2-オキサビシクロ[2.1.1]ヘキサン-4-イル)イミダゾ[1,2-a]ピラジン-6-イル)ピコリンアミドを、中間体20:N-(5-アミノピラジン-2-イル)-6-(ジフルオロメチル)ピリジン-2-カルボキサミド(912.36mg、3.44mmol)及び2-クロロ-1-(1-メチル-2-オキサビシクロ[2.1.1]ヘキサン-4-イル)エタン-1-オン(300.35mg、1.72mmol)の混合物を用いて、実施例273におけるような縮合条件下で調製して、6-(ジフルオロメチル)-N-(2-(1-メチル-2-オキサビシクロ[2.1.1]ヘキサン-4-イル)イミダゾ[1,2-a]ピラジン-6-イル)ピコリンアミド2,2,2-トリフルオロ酢酸塩(2mg、0.23%収率)を得た。LCMS (ESI) m/z 499.8 (M+H)H NMR (500 MHz, メタノール-d) δ ppm 1.52 (s, 4H), 1.95 (dd, J=4.58, 1.53 Hz, 3H), 2.18 (dd, J=4.58, 1.53 Hz, 2H), 4.07 (s, 2H), 6.71 - 7.07 (m, 1H), 7.97 (d, J=7.33 Hz, 1H), 8.13 (s, 1H), 8.26 (t, J=7.63 Hz, 1H), 8.40 (d, J=7.94 Hz, 1H), 8.91 (s, 1H), 9.52 (d, J=1.22 Hz, 1H) 。
実施例275:N-(2-(テトラヒドロ-2H-ピラン-4-イル)イミダゾ[1,2-a]ピラジン-6-イル)-2,3-ジヒドロベンゾフラン-7-カルボキサミド
Figure 0007576552000190
ステップa:(5-ブロモピラジン-2-イル)カルバミン酸tert-ブチル(200mg、729.63μmol)のトルエン(5.00mL)中溶液に、2,3-ジヒドロベンゾフラン-7-カルボキサミド(130.96mg、802.59μmol)、Pd(dba)(66.81mg、72.96μmol)、キサントホス(84.44mg、145.93μmol)、及びCsCO(475.46mg、1.46mmol)を添加し、反応物をN下で105℃にて12時間撹拌した。冷却した混合物を減圧下で濃縮し、残留物をCombiflash(登録商標)を使用したシリカゲルクロマトグラフィー(PE/EtOAc=10/1~3/1)により精製して、(5-(2,3-ジヒドロベンゾフラン-7-カルボキシアミド)ピラジン-2-イル)カルバミン酸tert-ブチル(140mg、51.15%収率)を黄色固体として得た。LCMS (ESI) m/z: 357.2 (M+H)
ステップb:(5-(2,3-ジヒドロベンゾフラン-7-カルボキシアミド)ピラジン-2-イル)カルバミン酸tert-ブチル(140mg、392.84μmol)のDCM(5mL)中溶液に、TFA(5mL)を添加し、反応物を10℃で2時間撹拌した。反応物をNaHCO水溶液を使用して中性化し、次いで、DCM(20mL×3)で抽出した。合わせた有機抽出物をNaSO上で乾燥し、濾過し、減圧下で蒸発させて、N-(5-アミノピラジン-2-イル)-2,3-ジヒドロベンゾフラン-7-カルボキサミド(100mg、粗製)を黄色固体として得た。LCMS (ESI) m/z: 257.1 (M+H)
ステップc:N-(5-アミノピラジン-2-イル)-2,3-ジヒドロベンゾフラン-7-カルボキサミド(50mg、195.11μmol)のDMSO(500μL)及びMeCN(2mL)中溶液に、2-ブロモ-1-(テトラヒドロ-2H-ピラン-4-イル)エタン-1-オン(121.20mg、585.33μmol)及びNaHCO(32.78mg、390.22μmol)を添加し、反応物に115℃で2時間マイクロ波を照射した。冷却した混合物を減圧下で濃縮し、残留物を分取HPLC(カラム:Phenomenex Synergi C18 100×30mm×3um、水/10mMのNHHCO-MeCN 29%~59%により溶出する)により精製して、N-(2-(テトラヒドロ-2H-ピラン-4-イル)イミダゾ[1,2-a]ピラジン-6-イル)-2,3-ジヒドロベンゾフラン-7-カルボキサミド(6.90mg、9.42%収率)を黄色固体として得た。LCMS (ESI) m/z 365.0 (M+H)H NMR (500 MHz, メタノール-d) δ ppm: 1.90 (qd, J = 12.13 Hz, 3.74 Hz, 2H), 2.05 (d, J = 11.75 Hz, 2H), 3.12 (t, J = 11.67 Hz, 1H), 3.36-3.40 (m, 4H), 3.64 (t, J = 11.75 Hz, 2H), 4.08 (d, J = 7.63 Hz, 2H), 7.06 (t, J = 7.55 Hz, 1H), 7.50 (d, J = 7.17 Hz, 1H), 7.89 (d, J = 7.48 Hz, 1H), 7.98 (s, 1H), 8.78 (s, 1H), 9.43 (s, 1H)。
実施例276及び277:6-(ジフルオロメチル)-N-(8-メトキシ-2-((1S*,4R*)-1-メチル-2-オキサビシクロ[2.2.1]ヘプタン-4-イル)イミダゾ[1,2-a]ピラジン-6-イル)ピコリンアミド及び6-(ジフルオロメチル)-N-(8-メトキシ-2-((1R*,4S*)-1-メチル-2-オキサビシクロ[2.2.1]ヘプタン-4-イル)イミダゾ[1,2-a]ピラジン-6-イル)ピコリンアミド
Figure 0007576552000191
ステップa:5-ブロモ-3-メトキシピラジン-2-アミン(4.0g、19.6mmol)のDCM(39mL)中溶液に、DMAP(2.4g、19.6mmol)、TEA(8.1mL、58.8mmol)、及び(Boc)O(18mL、78.4mmol)を添加し、反応物を25℃で一晩撹拌した。反応物を減圧下で濃縮し、粗製物をシリカゲルカラムクロマトグラフィー(ドライロード、ヘプタン中の3:1のEtOAC/EtOH、0~100%)により精製して、(5-ブロモ-3-メトキシピラジン-2-イル)(tert-ブトキシカルボニル)カルバミン酸tert-ブチル(7.5g、94%収率)を得た。LCMS (ESI) m/z 250.0 (M-Boc-tBu+H)
ステップb:(5-ブロモ-3-メトキシピラジン-2-イル)(tert-ブトキシカルボニル)カルバミン酸tert-ブチル(1.5g、3.71mmol)、6-(ジフルオロメチル)ピコリンアミド(958mg、5.57mmol)、Pd(dba)(340mg、0.37mmol)、キサントホス(429mg、0.74mmol)、及びCsCO(2.42g、7.42mmol)を投入したバイアルをNによりパージし、セプタムを備えたスクリューキャップで密閉した。トルエン(10.6mL)をシリンジにより添加し、反応物を100℃で16時間加熱した。冷却した混合物を水でクエンチし、層を分離し、水相をEtOAc(3×)で抽出した。合わせた有機抽出物をMgSO上で乾燥し、濾過し、減圧下で濃縮した。粗製物をシリカゲルカラムクロマトグラフィー(ドライロード、ヘプタン中の3:1のEtOAc/EtOH、0~40%)により精製して、(tert-ブトキシカルボニル)(5-(6-(ジフルオロメチル)ピコリンアミド)-3-メトキシピラジン-2-イル)カルバミン酸tert-ブチル(1.67g、91%収率)を得た。LCMS (ESI) m/z 340.1 (M+H)
ステップc:TFA(4.6mL、60.5mmol)及び(tert-ブトキシカルボニル)(5-(6-(ジフルオロメチル)ピコリンアミド)-3-メトキシピラジン-2-イル)カルバミン酸tert-ブチル(3.0g、6.05mmol)のDCM(12.1mL)中混合物を室温で16時間撹拌した。反応物を減圧下で濃縮し、残留物をEtOAc及びNaHCOの飽和水溶液で希釈し、層を分離した。水相をEtOAc(3×)で抽出し、合わせた有機抽出物をブラインで洗浄し、MgSO上で乾燥し、濾過し、減圧下で蒸発させて、N-(5-アミノ-6-メトキシ-ピラジン-2-イル)-6-(ジフルオロメチル)ピコリンアミド(840mg、47%収率)を得、これを更に精製することなく使用した。LCMS (ESI) m/z 296.1 (M+H)
ステップd:N-(5-アミノ-6-メトキシ-ピラジン-2-イル)-6-(ジフルオロメチル)ピコリンアミド(150mg、508μmol)、2-ブロモ-1-(1-メチル-2-オキサビシクロ[2.2.1]ヘプタン-4-イル)エタノン(177mg、762μmol)、及びNaHCO(128mg、1.52mmol)のMeCN(2.0mL)及びトルエン(1.3mL)中混合物を90℃で16時間加熱した。冷却した反応物をCelite(登録商標)を通して濾過し、濾液を減圧下で濃縮し、溶出するTFAで改質した逆相HPLCにより粗製物を精製して、6-(ジフルオロメチル)-N-(8-メトキシ-2-(1-メチル-2-オキサビシクロ[2.2.1]ヘプタン-4-イル)イミダゾ[1,2-a]ピラジン-6-イル)ピコリンアミド2,2,2-トリフルオロ酢酸塩(100mg、46%収率)を得た。この生成物をSFC(CHIRALPAK AD-H 30×250mm、5μmカラムを使用;0.1%のDEAを含有するCO中45%のEtOHにより溶出;流速:100mL/分)により更に精製して、6-(ジフルオロメチル)-N-(8-メトキシ-2-((1S*,4R*)-1-メチル-2-オキサビシクロ[2.2.1]ヘプタン-4-イル)イミダゾ[1,2-a]ピラジン-6-イル)ピコリンアミド(16.6mg、99%純度、100%ee)を得た。このエナンチオマーの立体化学を適宜割り当てた。LCMS (ESI) m/z 430.3 (M+H)H NMR (400 MHz, CDCl) δ ppm 1.47 (s, 3H), 1.79 - 1.89 (m, 2H), 1.93 - 1.98 (m, 1H), 2.01 - 2.05 (m, 1H), 2.09 - 2.22 (m, 2H), 4.00 (d, J=6.53 Hz, 1H), 4.12 (dd, J=6.53, 3.26 Hz, 1H), 4.20 (s, 3H), 6.61 - 6.94 (m, 1H), 7.46 (s, 1H), 7.88 (d, J=7.28 Hz, 1H), 8.12 (t, J=7.78 Hz, 1H), 8.41 (dd, J=7.78, 0.75 Hz, 1H), 8.95 (s, 1H), 9.86 (s, 1H)。
更なる溶出によりジアステレオ異性体2を得た。
H NMR (400 MHz, CDCl)δ ppm 1.47 (s, 3H), 1.78 - 1.87 (m, 2H), 1.93 - 1.99 (m, 1H), 2.00 - 2.06 (m, 1H), 2.11 - 2.21 (m, 2H), 4.00 (d, J=6.53 Hz, 1H), 4.12 (dd, J=6.53, 3.26 Hz, 1H), 4.19 - 4.24 (m, 3H), 6.60 - 6.93 (m, 1H), 7.46 (s, 1H), 7.88 (d, J=7.78 Hz, 1H), 8.12 (t, J=7.78 Hz, 1H), 8.41 (dd, J=7.78, 0.75 Hz, 1H), 8.91 - 9.02 (m, 1H), 9.86 (s, 1H) 。
実施例278:N-(2-(1,4-ジオキサン-2-イル)-8-メトキシイミダゾ[1,2-a]ピラジン-6-イル)-6-(ジフルオロメチル)ピコリンアミドを、実施例277(ステップc):N-(5-アミノ-6-メトキシ-ピラジン-2-イル)-6-(ジフルオロメチル)ピコリンアミド(50mg、169.35μmol)及び2-クロロ-1-(1,4-ジオキサン-2-イル)エタン-1-オン(64.55mg、372.57μmol)の混合物を用いて、標準的な縮合反応条件下で調製して、N-(2-(1,4-ジオキサン-2-イル)-8-メトキシイミダゾ[1,2-a]ピラジン-6-イル)-6-(ジフルオロメチル)ピコリンアミド(9.30mg、12.87%収率)を得た。LCMS (ESI) m/z 406.2 (M+H)H NMR (500 MHz DMSO-d) δ ppm 3.54 - 3.63 (m, 2H), 3.75 - 3.83 (m, 2H), 3.86 - 3.90 (m, 1H), 3.99 (dd, J=11.60, 3.05 Hz, 1H), 4.11 (s, 3H), 4.74 (dd, J=10.07, 2.75 Hz, 1H), 7.07 - 7.31 (m, 1H), 8.04 (dd, J=7.32, 1.83 Hz, 1H), 8.19 (s, 1H), 8.29 - 8.37 (m, 2H), 9.08 (s, 1H), 9.98 (s, 1H)。
実施例279:6-(ジフルオロメチル)-N-(7-イソプロポキシ-2-(1-メチル-2-オキサビシクロ[2.1.1]ヘキサン-4-イル)イミダゾ[1,2-a]ピリミジン-6-イル)ピコリンアミド
Figure 0007576552000192
ステップa:CHCl(256.8mL)中の4-イソプロポキシピリミジン-2-アミン(5.90g、38.52mmol)をNBS(6.86g、38.52mmol)で処理し、反応物を暗下にて一晩撹拌した。反応物を飽和NaHCO水溶液で洗浄し、層を分離し、有機層を乾燥し、減圧下で蒸発させて、5-ブロモ-4-イソプロポキシピリミジン-2-アミンを得、これを更に精製することなく使用した。LCMS (ESI) m/z 232.0 (M+H)
ステップb:5-ブロモ-4-イソプロポキシピリミジン-2-アミン(8.82g、38.0mmol)及び(Boc)O(24.88g、114.0mmol)のDCM(95.0mL)中溶液に、DMAP(4.64g、38.0mmol)及びTEA(15.81mL、114.0mmol)を添加し、反応物を25℃で一晩撹拌した。反応混合物を減圧下で濃縮し、粗製物をカラムクロマトグラフィーにより精製して、(5-ブロモ-4-イソプロポキシピリミジン-2-イル)(tert-ブトキシカルボニル)カルバミン酸tert-ブチル(5.80g、35.31%収率)を得た。H NMR (500 MHz, CDCl) δ ppm 1.42 (d, J=6.10 Hz, 8 H) 1.47 - 1.53 (m, 32H) 5.35 (d, J=6.10 Hz, 1H) 8.55 (s, 1H) 。
ステップc:(5-ブロモ-4-イソプロポキシピリミジン-2-イル)(tert-ブトキシカルボニル)カルバミン酸tert-ブチル(2.00g、4.63mmol)、キサントホス(1.07g、1.85mmol)、CsCO(3.02g、9.26mmol)、Pd(dba)(847.96mg、926.00μmol)、及び6-(ジフルオロメチル)ピリジン-2-カルボキサミド(1.59g、9.26mmol)の混合物をN下でパージし、反応バイアルをセプタムで密閉した。ジオキサン(46.30mL)を添加し、バイアルを密閉し、反応物を80℃で一晩加熱した。反応物を室温に冷却し、シリカゲルを添加し、混合物を減圧下で濃縮し、粉末をカラムクロマトグラフィー(ヘプタン中5~100%のEtOAc)により精製して、(tert-ブトキシカルボニル)(5-(6-(ジフルオロメチル)ピコリンアミド)-4-イソプロポキシピリミジン-2-イル)カルバミン酸tert-ブチル(1.30g、53.63%収率)を得た。LCMS (ESI) m/z 523.9 (M+H)
ステップd:(tert-ブトキシカルボニル)(5-(6-(ジフルオロメチル)ピコリンアミド)-4-イソプロポキシピリミジン-2-イル)カルバミン酸tert-ブチル(1.30g、2.48mmol)をDCM(8.27mL)中に溶解し、TFA(5.66g、49.60mmol)を添加し、溶液を室温で1時間撹拌した。溶液を減圧下で濃縮して、N-(2-アミノ-4-イソプロポキシピリミジン-5-イル)-6-(ジフルオロメチル)ピコリンアミド2,2,2-トリフルオロ酢酸塩を得た。LCMS (ESI) m/z 323.9 (M+H)
ステップe:N-(2-アミノ-4-イソプロポキシピリミジン-5-イル)-6-(ジフルオロメチル)ピコリンアミドトリフルオロ酢酸塩(295.14mg、0.913mmol)、2-ブロモ-1-(1-メチル-2-オキサビシクロ[2.1.1]ヘキサン-4-イル)エタノン(200.0mg、0.913mmol)、及びNaHCO(230.08mg、2.74mmol)のEtOH(2.28mL)中混合物を80℃で一晩加熱した。反応物を室温に冷却し、濾過し、減圧下で濃縮し、残留物をTFAで改質した質量分析計直結分取HPLCにより精製して、6-(ジフルオロメチル)-N-(7-イソプロポキシ-2-(1-メチル-2-オキサビシクロ[2.1.1]ヘキサン-4-イル)イミダゾ[1,2-a]ピリミジン-6-イル)ピコリンアミド2,2,2-トリフルオロ酢酸塩(78.10mg、15.37%収率)を得た。LCMS (ESI) m/z 443.9 (M+H)H NMR (500 MHz, メタノール-d) δ ppm 1.52 (s, 3H) 1.60 (d, J=6.10 Hz, 6H) 1.97 (dd, J=4.58, 1.53 Hz, 2H) 2.18 (d, J=4.88 Hz, 2H) 4.03 (s, 2H) 5.63 (五重線, J=6.10 Hz, 1H) 6.71 - 7.03 (m, 1H) 7.86 (s, 1H) 7.99 (d, J=7.94 Hz, 1H) 8.28 (t, J=7.94 Hz, 1H) 8.40 (d, J=7.94 Hz, 1H) 。
実施例280:3-(ジフルオロメチル)-N-(2-モルホリノイミダゾ[1,2-a]ピリジン-6-イル)ベンズアミド
Figure 0007576552000193
ステップa:1-ブロモ-2-(2-ブロモエトキシ)エタン(1.07g、4.62mmol)及びDIPEA(1.19g、9.24mmol)を、6-ブロモイミダゾ[1,2-a]ピリジン-2-アミントリフルオロ酢酸塩(1.0g、3.08mmol)のDMA(10.27mL)中溶液に添加し、反応物を120℃で一晩加熱した。冷却した溶液をブラインで希釈し、EtOAcで抽出し、乾燥し、減圧下で濃縮し、カラムクロマトグラフィーにより精製して、4-(6-ブロモイミダゾ[1,2-a]ピリジン-2-イル)モルホリン(191mg、21.98%収率)を得た。H NMR (400 MHz, CDCl) δ ppm 3.21 - 3.34 (m, 4H), 3.77 - 3.92 (m, 5 H), 6.85 (s, 1H), 7.06 - 7.20 (m, 1H), 7.28 (d, J=0.75 Hz, 2H), 8.07 - 8.23 (m, 1H)。
ステップb:4-(6-ブロモイミダゾ[1,2-a]ピリジン-2-イル)モルホリン(191.01mg、677μmol)、Pd(OAc)(30.40mg、135.40μmol)、キサントホス(156.69mg、270.80μmol)、CsCO(441.16mg、1.35mmol)、及び6-(ジフルオロメチル)ピコリンアミド(291.33mg、1.69mmol)の混合物をNによりパージし、ジオキサン(6.77mL)を添加し、反応容器を密閉し、100℃で一晩加熱した。冷却した反応混合物をCelite(登録商標)を通して濾過し、濾液を減圧下で濃縮した。粗生成物を分取HPLC(XSelect CSH Prep C18 OBD 5μm 50×100mmカラム、MeCN(10~55%)中のHO/0.2%のNHOHにより80mL/分で15分かけて溶出する)により精製して、3-(ジフルオロメチル)-N-(2-モルホリノイミダゾ[1,2-a]ピリジン-6-イル)ベンズアミド(5.0mg、1.98%収率)を得た。LCMS (ESI) m/z 374.2 (M+H)H NMR (500 MHz, メタノール-d) δ ppm 3.21 - 3.28 (m, 4H), 3.81 - 3.94 (m, 4H), 6.78 - 7.09 (m, 1H), 7.25 (s, 1H), 7.35 (d, J=9.16 Hz, 1H), 7.40 - 7.50 (m, 1H), 7.95 (d, J=7.94 Hz, 1H), 8.24 (s, 1H), 8.32 - 8.42 (m, 1H), 9.18 (d, J=1.83 Hz, 1H)。
実施例281:1-(ジフルオロメチル)-N-(8-メトキシ-2-(テトラヒドロ-2H-ピラン-4-イル)イミダゾ[1,2-a]ピリジン-6-イル)-1H-ピラゾール-3-カルボキサミド
Figure 0007576552000194
ステップa:5-ブロモ-3-メトキシピリジン-2-アミン(1.00g、4.93mmol)、2-ブロモ-1-(テトラヒドロ-2H-ピラン-4-イル)エタン-1-オン(1.02g、4.93mmol)、及びNaHCO(1.24g、14.79mmol)のEtOH(12.32mL)中混合物を80℃で一晩加熱した。混合物を室温に冷却し、シリカゲルを添加し、混合物を減圧下で濃縮し、粉末をドライロードを介したシリカゲルクロマトグラフィー(ヘプタン中0~50%の3:1のEtOAC/EtOHにより溶出する)により精製して、6-ブロモ-8-メトキシ-2-(テトラヒドロ-2H-ピラン-4-イル)イミダゾ[1,2-a]ピリジン(740mg、48.24%収率)を得た。LCMS (ESI) m/z 313 (M+H)
ステップb:6-ブロモ-8-メトキシ-2-(テトラヒドロ-2H-ピラン-4-イル)イミダゾ[1,2-a]ピリジン(200mg、642.74μmol)、キサントホス(148.76mg、257.10μmol)、Pd(OAc)(28.86mg、128.55μmol)、CsCO(418.84mg、1.29mmol)、及び1-(ジフルオロメチル)-1H-ピラゾール-3-カルボキサミド(310.65mg、1.93mmol)の混合物をNによりパージし、ジオキサン(4.28mL)を添加し、反応容器を密閉し、100℃で一晩加熱した。混合物を室温に冷却し、Celite(登録商標)を通して濾過し、濾液を減圧下で濃縮し、残留物をTFAで改質した質量分析計直結HPLCにより精製して、1-(ジフルオロメチル)-N-(8-メトキシ-2-(テトラヒドロ-2H-ピラン-4-イル)イミダゾ[1,2-a]ピリジン-6-イル)-1H-ピラゾール-3-カルボキサミド(8.90mg、22.74μmol、3.54%収率)を得た。LCMS (ESI) m/z 392.2 (M+H)H NMR (400 MHz, CDCl) δ ppm 1.83 - 1.92 (m, 2H), 2.09 (br dd, J=12.93, 1.88 Hz, 2H), 3.04 - 3.12 (m, 1H), 3.54 - 3.61 (m, 2H), 4.03 (s, 3H), 4.07 - 4.11 (m, 1H), 4.07 - 4.11 (m, 1H), 6.43 (s, 1H), 7.10 (d, J=2.76Hz, 1H), 7.24 (s, 1H), 7.34 - 7.40 (m, 1H), 7.93 (d, J=2.76Hz, 1H), 8.53 (br s, 1H), 8.79 (d, J=1.51Hz, 1H)。
実施例282:6-(ジフルオロメチル)-N-(8-メトキシ-2-(3-メトキシプロピル)イミダゾ[1,2-a]ピリジン-6-イル)ピコリンアミド
Figure 0007576552000195
ステップa:4-メトキシブタン酸メチル(5g、37.83mmol)のTHF(50mL)中溶液に、LiOH.HO(3.17g、75.66mmol)及び水(50mL)を添加し、反応物を20℃で12時間撹拌した。HCl水溶液で混合物をpH<2に酸性化し、次いで、DCM(50mL×2)で抽出した。合わせた有機抽出物を水(30mL)で洗浄し、NaSO上で乾燥し、濾過し、減圧下で蒸発させて、4-メトキシブタン酸(4g、89%収率)を白色固体として得た。H NMR (500 MHz, CDCl) δ ppm: 1.89-1.94 (m, 2H), 2.47 (t, J = 7.0 Hz, 2H), 3.35 (s, 3H), 3.44 (t, J = 6.0 Hz, 2H), 11.37 (br s, 1H)。
ステップb:4-メトキシブタン酸(2g、16.93mmol)のDCM(20mL)中溶液に、(COCl)(4.3g、33.86mmol)を添加し、反応物を20℃で4時間撹拌した。混合物を濾過し、濾液を減圧下で濃縮し、残留物をTHF(20mL)及びMeCN(20mL)中に溶解した。TMSCHN(12.63mL、25.26mmol、ヘキサン中2M)を添加し、混合物を0℃で1時間撹拌し、次いで、12MのHCl(4.2mL、50.43mmol)を添加した。反応物を0℃で30分間撹拌し、NaHCO水溶液によりpH>7に塩基化し、混合物をDCM(20mL×2)で抽出した。有機層を水(20mL)で洗浄し、NaSO上で乾燥し、濾過し、減圧下で蒸発させて、1-クロロ-5-メトキシペンタン-2-オン(2.2g、86%収率)を無色液体として得た。H NMR (500 MHz, CDCl) δ ppm: 1.94-1.88 (m, 2H), 2.49 (t, J = 7.0 Hz, 2H), 3.31 (s, 3H), 3.40 (t, J = 6.0 Hz, 2H), 4.11 (s, 2H)。
ステップc:1-クロロ-5-メトキシペンタン-2-オン(500mg、2.46mmol)及び5-ブロモ-3-メトキシピリジン-2-アミン(445.04mg、2.96mmol)のEtOH(10mL)中溶液に、KI(81.76mg、0.49mmol)及びNaHCO(620.64mg、7.39mmol)を添加し、反応物を80℃で4時間撹拌した。冷却した混合物を減圧下で蒸発させ、残留物をシリカゲルクロマトグラフィー(2/1~0/1のPE/EtOAc)により精製して、6-ブロモ-8-メトキシ-2-(3-メトキシプロピル)イミダゾ[1,2-a]ピリジン(300mg、40%収率)を褐色の液体として得た。H NMR (500 MHz, CDCl) δ: 2.00-2.07 (m, 2H), 2.84 (t, J = 7.0 Hz, 2H), 3.34 (s, 3H), 3.53 (t, J = 6.5 Hz, 2H), 3.99 (s, 3H), 6.50-6.51 (m, 1H), 7.29 (s, 1H), 7.83-7.85 (m, 1H)。
ステップd:6-ブロモ-8-メトキシ-2-(3-メトキシプロピル)イミダゾ[1,2-a]ピリジン(100mg、0.33mmol)及び6-(ジフルオロメチル)ピコリンアミド(57.54mg、0.33mmol)のトルエン(5mL)中混合物に、Pd(OAc)(7.5mg、0.03mmol)、キサントホス(38.68mg、0.07mmol)、及びCsCO(217.82mg、0.57mmol)を添加した。混合物を110℃で4時間撹拌し、次いで、冷却した混合物を減圧下で蒸発させた。残留物を分取HPLC(Phenomenex Synergi C18 150×30mm×4μm、水(0.05%のHCl)-25%~45%のMeOH)により精製して、6-(ジフルオロメチル)-N-(8-メトキシ-2-(3-メトキシプロピル)イミダゾ[1,2-a]ピリジン-6-イル)ピコリンアミド塩酸塩(12mg、9%収率)を白色固体として得た。LCMS (ESI) m/z 391.0 (M+H)H NMR (400 MHz, メタノール) δ: 2.00-2.08 (m, 2H), 2.98-2.93 (m, 2H), 3.36 (s, 3H), 3.50 (t, J = 6.0 Hz, 2H), 4.19 (s, 3H), 6.93 (t, J = 54.8 Hz, 1H), 7.79 (s, 1H), 7.97 (d, J = 7.6 Hz, 1H), 8.05 (s, 1H), 8.25 (t, J = 8.0 Hz, 1H), 8.37-8.40 (m, 1H), 9.33-9.34 (m, 1H)。
実施例283及び284:N-(2-((1S,2S)-2-シアノシクロブチル)-8-メトキシイミダゾ[1,2-a]ピリジン-6-イル)-6-(ジフルオロメチル)ピコリンアミド及びN-(2-((1R,2R)-2-シアノシクロブチル)-8-メトキシイミダゾ[1,2-a]ピリジン-6-イル)-6-(ジフルオロメチル)ピコリンアミド
Figure 0007576552000196
N-(2-(2-シアノシクロブチル)-8-メトキシイミダゾ[1,2-a]ピリジン-6-イル)-6-(ジフルオロメチル)ピコリンアミドは、実施例281に記載されたのと同様の合成手順に従って、トランス-2-シアノシクロブタン-1-カルボン酸、5-ブロモ-3-メトキシピリジン-2-アミン、及び6-(ジフルオロメチル)ピコリンアミドから調製された。CHIRALPAK AD-H 30×250mm、5μmカラムを使用し、0.1%のDEAを含有するCO中45%のMeOHにより溶出するSFC(流速:100mL/分、ABPR 120バール、MBPR 40psi、カラム温度40℃)によりこれを更に精製して、ジアステレオ異性体1(18.7mg)を得た。H NMR (400 MHz, CDCl) δ ppm 2.31 - 2.40 (m, 3H) 2.59 - 2.67 (m, 1H) 3.58 - 3.65 (m, 1H) 3.89 - 3.95 (m, 1H) 4.08 (s, 3H) 6.51 (d, J=1.51 Hz, 1H) 6.60 - 6.90 (m, 1H) 7.39 - 7.44 (m, 1H) 7.86 (d, J=7.78 Hz, 1H) 8.11 (t, J=7.78 Hz, 1H) 8.40 (d, J=7.28 Hz, 1H) 8.87 (d, J=1.51 Hz, 1H) 9.65 (s, 1H) 。
更なる溶出によりジアステレオ異性体2を得た(17.2mg)。H NMR (400 MHz, CDCl)δ ppm 2.30 - 2.41 (m, 3H) 2.57 - 2.66 (m, 1H) 3.57 - 3.65 (m, 1H) 3.87 - 3.95 (m, 1H) 4.08 (s, 3H) 6.51 (d, J=1.51 Hz, 1H) 6.60 - 6.89 (m, 1H) 7.43 (s, 1H) 7.86 (d, J=7.78 Hz, 1H) 8.11 (t, J=7.78 Hz, 1H) 8.40 (dd, J=8.03, 0.75 Hz, 1H) 8.87 (d, J=1.51 Hz, 1H) 9.65 (s, 1H)。
立体化学を適宜割り当てた。
実施例285及び286:6-(ジフルオロメチル)-N-(8-エトキシ-2-(テトラヒドロ-2H-ピラン-3-イル)イミダゾ[1,2-a]ピリジン-6-イル)ピコリンアミド、エナンチオマー1及び2
Figure 0007576552000197
ステップa:5-ブロモ-3-エトキシピリジン-2-アミン(1.00g、4.61mmol)、2-ブロモ-1-(テトラヒドロ-2H-ピラン-3-イル)エタン-1-オン(954.55mg、4.61mmol)、及びNaHCO(1.16g、13.83mmol)のMeCN(9.22mL)中混合物を、80℃で一晩加熱した。反応物を室温に冷却し、フリットを通して濾過し、濾液を減圧下で濃縮した。残留物をヘプタン中0~30%のEtOAcにより溶出するシリカゲルカラムクロマトグラフィーにより精製して、6-ブロモ-8-エトキシ-2-(テトラヒドロ-2H-ピラン-3-イル)イミダゾ[1,2-a]ピリジン(715mg、2.20mmol、47.69%収率)を得た。LCMS (ESI) m/z 324.9 (M+H)
ステップb:6-ブロモ-8-エトキシ-2-(テトラヒドロ-2H-ピラン-3-イル)イミダゾ[1,2-a]ピリジン(260mg、799.51μmol)、キサントホス(185.04mg、319.80μmol)、CsCO(520.99mg、1.60mmol)、Pd(OAc)(35.90mg、159.90μmol)、及び6-(ジフルオロメチル)ピコリンアミド(412.86mg、2.40mmol)を投入したバイアルをNによりパージし、セプタムを備えたスクリューキャップで密閉した。ジオキサン(5.33mL)を添加し、バイアルを密閉し、100℃で一晩加熱した。冷却した反応混合物を濾過し、減圧下で濃縮した。Sunfire Prep C18 OBD 5μm 50×100mmカラムを使用し、HO(5~55%のMeCN中の0.1%TFA)により12分(流速:50mL/分)にわたり溶出するHPLCにより、粗生成物を精製して、6-(ジフルオロメチル)-N-(8-エトキシ-2-(テトラヒドロ-2H-ピラン-3-イル)イミダゾ[1,2-a]ピリジン-6-イル)ピコリンアミド(35.3mg、10.66%)を得た。
CHIRALPAK IB 30×250mm、5μmカラムを使用し、0.1%のDEAを含有するCO2中40%のMeOH(流速:100mL/分、ABPR 120バール、MBPR 40psi、カラム温度40℃)により溶出するSFCにより、この生成物を更に精製して、エナンチオマー1を得た。H NMR (400 MHz, CDCl) δ ppm 1.60 (t, J=7.03Hz, 3H), 1.71 - 1.90 (m, 4H) 2.18 - 2.27 (m, 1H), 3.11 - 3.24 (m, 1H), 3.53 - 3.64 (m, 2H), 3.88 - 3.96 (m, 1H), 4.20 (dd, J=11.04, 3.01Hz, 1H), 4.30 (q, J=7.03Hz, 2H), 6.48 (s, 1H), 6.59 - 6.89 (m, 1H), 7.40 (s, 1H), 7.86 (d, J=7.78 Hz, 1H), 8.12 (t, J=7.78 Hz, 1H), 8.41 (d, J=7.78 Hz, 1H), 8.87 (s, 1H), 9.63 (s, 1H)。
更なる溶出によりエナンチオマー2を得た。H NMR (400 MHz, CDCl) δ ppm 1.60 (t, J=7.03Hz, 3H), 1.70 - 1.87 (m, 4H), 2.14 - 2.26 (m, 1H), 3.10 - 3.23 (m, 1H), 3.51 - 3.64 (m, 2H), 3.89 - 3.98 (m, 1H), 4.20 (dd, J=10.92, 2.64Hz, 1H), 4.30 (q, J=7.03Hz, 2H), 6.47 (s, 1H), 6.57 - 6.89 (m, 1H), 7.40 (s, 1H), 7.86 (d, J=7.78 Hz, 1H), 8.11 (t, J=7.78 Hz, 1H), 8.41 (d, J=7.78 Hz, 1H), 8.87 (s, 1H), 9.62 (s, 1H) 。
実施例287及び288:N-(8-エトキシ-2-(テトラヒドロ-2H-ピラン-3-イル)イミダゾ[1,2-a]ピリジン-6-イル)-6-(トリフルオロメチル)ピコリンアミド、エナンチオマー1及び2
Figure 0007576552000198
N-(8-エトキシ-2-(テトラヒドロ-2H-ピラン-3-イル)イミダゾ[1,2-a]ピリジン-6-イル)-6-(トリフルオロメチル)ピコリンアミドは、実施例285及び286に記載の方法に従って、5-ブロモ-3-エトキシピリジン-2-アミン及び(6-トリフルオロメチル)ピコリンアミドから調製された。LCMS (ESI) m/z 435.2(M+H)
CHIRALPAK OX-H 30×250mm、5μmカラムを使用し、0.1%のDEAを含有するCO中40%のEtOH(流速:100mL/分、ABPR 120バール、MBPR 40psi、カラム温度40℃)により溶出するSFCにより、この化合物を更に精製して、エナンチオマー1を得た。H NMR (400 MHz, CDCl) δ ppm 1.59 - 1.70 (m, 3H), 1.71 - 1.91 (m, 3H), 2.26 (br s, 1H), 3.10 - 3.26 (m, 1H), 3.54 - 3.65 (m, 2H), 3.93 - 4.02 (m, 1H), 4.24 (br d, J=10.29 Hz, 1H), 4.30 - 4.39 (m, 2H), 6.48 (br s, 1H), 7.41 (s, 1H), 7.89 - 7.99 (m, 1H), 8.15 - 8.23 (m, 1H), 8.51 (br d, J=7.78 Hz, 1H), 8.87 (br s, 1H), 9.59 (br s, 1H)。
更なる溶出によりエナンチオマー2を得た。H NMR (400 MHz, CDCl) δ ppm 1.62 (t, J=7.03 Hz, 3H), 1.71 - 1.88 (m, 3H), 2.18 - 2.27 (m, 1H), 3.13 - 3.24 (m, 1H), 3.52 - 3.65 (m, 2H), 3.89 - 4.01 (m, 1H), 4.17 - 4.28 (m, 1H), 4.33 (q, J=7.03 Hz, 2H), 6.48 (d, J=1.76 Hz, 1H), 7.42 (s, 1H), 7.93 (d, J=8.03 Hz, 1H), 8.18 (t, J=7.91 Hz, 1H), 8.51 (d, J=7.78 Hz, 1H), 8.87 (d, J=1.51 Hz, 1H), 9.60 (s, 1H)。
実施例289:N-(8-(2,2-ジフルオロエトキシ)-2-(テトラヒドロ-2H-ピラン-4-イル)イミダゾ[1,2-a]ピリジン-6-イル)-6-(ジフルオロメチル)ピコリンアミド
Figure 0007576552000199
ステップa:1-ブロモピロリジン-2,5-ジオン(511mg、2.87mmol)を、3-(2,2-ジフルオロエトキシ)ピリジン-2-アミン(500mg、2.87mmol)のMeCN(8.20mL)中混合物に0℃で添加し、反応物を室温で2時間撹拌した。反応物を飽和NaHCO水溶液でクエンチし、EtOAc(3×)で抽出し、合わせた有機抽出物をブラインで洗浄し、MgSO上で乾燥し、濾過し、減圧下で蒸発させて、5-ブロモ-3-(2,2-ジフルオロエトキシ)ピリジン-2-アミン(620mg、85.37%収率)を得、これを更に精製することなく使用した。LCMS (ESI) m/z 255.1 (M+H)
ステップb:5-ブロモ-3-(2,2-ジフルオロエトキシ)ピリジン-2-アミン(250mg、987.99μmol)、2-ブロモ-1-(テトラヒドロ-2H-ピラン-4-イル)エタン-1-オン(163.66mg、790.39μmol)、及びNaHCO(249mg、2.96mmol)のMeCN(1.69mL)及びトルエン(1.13mL)中混合物を90℃で一晩加熱した。反応物を室温に冷却し、シリカゲルを添加し、混合物を減圧下で濃縮した。固体をシリカゲルでのドライロードカラムクロマトグラフィー(ヘプタン中0~100%の3:1のEtOAc/EtOH)により精製して、6-ブロモ-8-(2,2-ジフルオロエトキシ)-2-テトラヒドロピラン-4-イル-イミダゾ[1,2-a]ピリジン(70mg、19.62%収率)を得た。LCMS (ESI) m/z 363.1 (M+H)
ステップc:6-ブロモ-8-(2,2-ジフルオロエトキシ)-2-テトラヒドロピラン-4-イル-イミダゾ[1,2-a]ピリジン(70mg、193.81μmol)、キサントホス(44.86mg、77.52μmol)、CsCO(126.29mg、387.62μmol)、Pd(OAc)(8.70mg、38.76μmol)、及び6-(ジフルオロメチル)ピコリンアミド(100.08mg、581.43μmol)の混合物をNによりパージし、ジオキサン(3.23mL)を添加し、反応容器を密閉し、100℃で一晩加熱した。反応物を室温に冷却し、濾過し、濾液を減圧下で濃縮した。XSelect CSH Prep C18 OBD 5μm 50×100mmカラムを使用し、5~70%のMeCN中のHO/0.2%NHOHにより12分(流速:50mL/分)にわたり溶出する分取HPLCにより粗生成物を精製して、N-(8-(2,2-ジフルオロエトキシ)-2-(テトラヒドロ-2H-ピラン-4-イル)イミダゾ[1,2-a]ピリジン-6-イル)-6-(ジフルオロメチル)ピコリンアミド(24.70mg、54.60μmol、28.17%収率)を得た。H NMR (400 MHz, CDCl) δ ppm 1.74 - 1.93 (m, 2H), 2.11 (br d, J=13.05 Hz, 2H), 3.15 (br t, J=11.80 Hz, 1H), 3.59 (td, J=11.73, 1.88 Hz, 2H), 4.09 (dd, J=11.55, 2.51 Hz, 2H), 4.57 (td, J=12.80, 4.27 Hz, 2H), 6.18 - 6.50 (m, 1H), 6.63 - 6.93 (m, 1H), 6.72 (br s, 1H), 7.41 (s, 1H), 7.90 (d, J=7.03 Hz, 1H), 8.15 (t, J=7.91 Hz, 1H), 8.44 (dd, J=7.78, 0.75 Hz, 1H), 9.02 (s, 1H), 9.74 (s, 1H)。
実施例290:6-(ジフルオロメチル)-N-(8-エチル-2-(テトラヒドロ-2H-ピラン-4-イル)イミダゾ[1,2-a]ピリジン-6-イル)ピコリンアミド
Figure 0007576552000200
ステップa:5-ブロモ-3-エチルピリジン-2-アミン(200mg、994.73μmol)、2-ブロモ-1-(テトラヒドロ-2H-ピラン-4-イル)エタン-1-オン(205.98mg、994.73μmol)、及びNaHCO(250.70mg、2.98mmol)のMeCN(1.71mL)及びトルエン(1.14mL)中混合物を90℃で一晩加熱した。反応混合物を室温に冷却し、濾過し、濾液にシリカゲルを添加し、混合物を減圧下で濃縮した。固体をシリカゲルカラムクロマトグラフィーにより精製して、6-ブロモ-8-エチル-2-テトラヒドロピラン-4-イル-イミダゾ[1,2-a]ピリジン(230mg、74.78%収率)を得た。LCMS (ESI) m/z 311.1 (M+H)
ステップb:6-ブロモ-8-エチル-2-テトラヒドロピラン-4-イル-イミダゾ[1,2-a]ピリジン(230mg、743.86μmol)、キサントホス(172.16mg、297.54μmol)、CsCO(484.73mg、1.49mmol)、Pd(OAc)(33.40mg、148.77μmol)、及び6-(ジフルオロメチル)ピコリンアミド(384.12mg、2.23mmol)の混合物をNによりパージし、ジオキサン(4.96mL)を添加し、反応容器を密閉し、室温で加熱し、100℃で一晩加熱した。反応混合物を室温に冷却し、濾過し、減圧下で濃縮し、TFAで改質した質量分析計直結HPLCにより精製して、6-(ジフルオロメチル)-N-(8-エチル-2-(テトラヒドロ-2H-ピラン-4-イル)イミダゾ[1,2-a]ピリジン-6-イル)ピコリンアミド2,2,2-トリフルオロ酢酸塩(64mg、21.49%収率)を得た。LCMS (ESI) m/z 401.3 (M+H)H NMR (400 MHz, CDCl) δ ppm 1.46 (t, J=7.40 Hz, 3H), 1.76 - 1.91 (m, 2H), 2.10 - 2.21 (m, 2H), 3.15 (q, J=7.45 Hz, 2H), 3.28 -3.38 (m, 1H), 3.63 (td, J=11.92, 1.76 Hz, 2H), 4.13 (dd, J=11.80, 3.26 Hz, 1H), 4.04 - 4.18 (m, 1H), 6.65 - 6.96 (m, 1H), 7.49 (s, 2H), 7.96 (d, J=7.03 Hz, 1H), 8.20 (t, J=7.91 Hz, 1H), 8.39 - 8.48 (m, 1H), 9.57 (d, J=1.51 Hz, 1H), 10.00 (s, 1H)。
実施例291:1-(2,2-ジフルオロエチル)-N-(2-(1-(2,2-ジフルオロエチル)アゼチジン-3-イル)-7-エトキシイミダゾ[1,2-a]ピリジン-6-イル)-1H-ピラゾール-3-カルボキサミド
Figure 0007576552000201
ステップa:5-ブロモ-4-エトキシピリジン-2-アミン(868.24mg、4.00mmol)、3-(2-ブロモアセチル)アゼチジン-1-カルボン酸tert-ブチル(1.0g、3.60mmol)、及びNaHCO(1.01g、12.0mmol)のEtOH(10mL)中混合物を80℃で一晩加熱した。反応物を室温に冷却し、シリカゲルを添加し、混合物を減圧下で濃縮し、シリカゲルクロマトグラフィーにより精製して、3-(6-ブロモ-7-エトキシイミダゾ[1,2-a]ピリジン-2-イル)アゼチジン-1-カルボン酸(1.00g、63.09%収率)tert-ブチルを得た。LCMS (ESI) m/z 398.1 (M+H)
ステップb:3-(6-ブロモ-7-エトキシイミダゾ[1,2-a]ピリジン-2-イル)アゼチジン-1-カルボン酸tert-ブチル(1.00g、2.52mmol)をHCl(4M、3.15mL)中に溶解し、溶液を室温で2時間撹拌した。反応物を減圧下で蒸発させて、2-(アゼチジン-3-イル)-6-ブロモ-7-エトキシイミダゾ[1,2-a]ピリジン塩酸塩を得た。LCMS (ESI) m/z 296.0 (M+H)
ステップc:60%のNaH(220mg、5.50mmol)を、2-(アゼチジン-3-イル)-6-ブロモ-7-エトキシイミダゾ[1,2-a]ピリジン塩酸塩(831.55mg、2.50mmol)のTHF(6.25mL)中溶液に添加し、溶液を30分間撹拌した。トリフルオロメタンスルホン酸2,2-ジフルオロエチル(802.91mg、3.75mmol)を添加し、室温で反応物を一晩撹拌した。溶液をNHCl水溶液でクエンチし、EtOAcで抽出し、乾燥し、減圧下で濃縮した。粗生成物をシリカゲルカラムクロマトグラフィーにより精製して、6-ブロモ-2-(1-(2,2-ジフルオロエチル)アゼチジン-3-イル)-7-エトキシイミダゾ[1,2-a]ピリジン(170mg、18.88%収率)を得た。LCMS (ESI) m/z 360.1 (M+H)
ステップd:6-ブロモ-2-(1-(2,2-ジフルオロエチル)アゼチジン-3-イル)-7-エトキシ-イミダゾ[1,2-a]ピリジン(50mg、138.81μmol)、Pd(OAc)(6.23mg、27.76μmol)、キサントホス(32.13mg、55.52μmol)、CsCO(90.46mg、277.62μmol)、及び1-(2,2-ジフルオロエチル)ピラゾール-3-カルボキサミド(60.78mg、347.03μmol)の混合物をNによりパージし、ジオキサン(1.39mL)を添加し、反応容器を密閉し、反応物を80℃で一晩加熱した。冷却した反応混合物をCelite(登録商標)を通して濾過し、濾液を減圧下で濃縮した。残留物を逆相HPLCにより精製して、1-(2,2-ジフルオロエチル)-N-(2-(1-(2,2-ジフルオロエチル)アゼチジン-3-イル)-7-エトキシイミダゾ[1,2-a]ピリジン-6-イル)-1H-ピラゾール-3-カルボキサミド(6.20mg、13.64μmol、9.83%収率)を得た。LCMS (ESI) m/z 455.2 (M+H)H NMR (500 MHz DMSO-d) δ ppm 1.44 (t, J=6.71 Hz, 3H), 2.85 (td, J=16.18, 4.27 Hz, 3H), 4.22 (d, J=7.32 Hz, 3H), 4.78 (td, J=15.26, 3.05 Hz, 3H), 5.82 - 6.14 (m, 1H), 6.30 - 6.55 (m, 1H), 6.86 (d, J=2.44 Hz, 1H), 7.06 (s, 1H), 7.71 (s, 1H), 7.99 (s, 1H), 9.16 - 9.30 (m, 2H)。
実施例292:6-(ジフルオロメチル)-N-(7-(2-ヒドロキシプロパン-2-イル)-2-(テトラヒドロ-2H-ピラン-4-イル)イミダゾ[1,2-a]ピリジン-6-イル)ピコリンアミド
Figure 0007576552000202
ステップa:2-アミノ-5-ブロモピリジン-4-カルボン酸メチル(400mg、1.73mmol)、2-ブロモ-1-テトラヒドロピラン-4-イル-エタン-1-オン(358.21mg、1.73mmol)、及びNaHCO(290.67mg、3.46mmol)のMeCN(3.46mL)及びトルエン(2.31mL)中混合物を90℃で一晩加熱した。反応物を室温に冷却し、シリカゲルを添加し、混合物を減圧下で濃縮した。固体をドライロードを介したシリカゲルカラムクロマトグラフィー(ヘプタン中0~100%の3:1のEtOAC/EtOH)により精製して、6-ブロモ-2-(テトラヒドロ-2H-ピラン-4-イル)イミダゾ[1,2-a]ピリジン-7-カルボン酸メチル(350mg、59.65%収率)を得た。LCMS (ESI) m/z 341.1 (M+H)
ステップb:6-ブロモ-2-(テトラヒドロ-2H-ピラン-4-イル)イミダゾ[1,2-a]ピリジン-7-カルボン酸メチル(349.37mg、1.03mmol)、キサントホス(238.39mg、412μmol)、CsCO(671.19mg、2.06mmol)、Pd(OAc)(46.25mg、206.00μmol)、及び6-(ジフルオロメチル)ピコリンアミド(531.88mg、3.09mmol)の混合物をNによりパージし、ジオキサン(6.87mL)を添加し、反応容器を密閉し、100℃で一晩加熱した。反応物を室温に冷却し、濾過し、シリカゲルを添加し、混合物を減圧下で濃縮した。固体をドライロードを介したシリカゲルカラムクロマトグラフィー(ヘプタン中0~100%の3:1のEtOAc/EtOH)により精製して、6-(6-(ジフルオロメチル)ピコリンアミド)-2-(テトラヒドロ-2H-ピラン-4-イル)イミダゾ[1,2-a]ピリジン-7-カルボン酸メチル(210.00mg、487.92μmol、47.37%収率)を得た。LCMS (ESI) m/z 431.3(M+H)
ステップc:MeMgBr(3M、774.47uL)を、6-(6-(ジフルオロメチル)ピコリンアミド)-2-(テトラヒドロ-2H-ピラン-4-イル)イミダゾ[1,2-a]ピリジン-7-カルボン酸メチル(100mg、232.34μmol)のTHF(2.32mL)中溶液に0℃で滴加し、反応物を3時間撹拌した。反応物をNHCl水溶液でクエンチし、EtOAc(3×)で抽出し、合わせた有機抽出物をMgSO上で乾燥し、濾過し、減圧下で濃縮した。粗生成物をTFAで改質した質量分析計直結HPLCにより精製して、6-(ジフルオロメチル)-N-(7-(2-ヒドロキシプロパン-2-イル)-2-(テトラヒドロ-2H-ピラン-4-イル)イミダゾ[1,2-a]ピリジン-6-イル)ピコリンアミド2,2,2-トリフルオロ酢酸塩(65.60mg、49.78%収率)を得た。LCMS (ESI) m/z 431.3 (M+H)H NMR (400 MHz, CDCl) δ ppm 1.72 (br d, J=4.27 Hz, 1H), 1.61 - 1.70 (m, 6H), 1.64 - 1.72 (m, 1H), 1.86 (br d, J=12.30 Hz, 2H), 2.81 - 2.87 (m, 1H), 3.29 (br t, J=11.55 Hz, 2H), 3.81 - 3.92 (m, 3H), 6.50 - 6.82 (m, 1H), 7.17 (s, 1H), 7.33 (s, 1H), 7.76 (d, J=7.53 Hz, 1H), 8.01 (t, J=7.78 Hz, 1H), 8.29 (d, J=7.53 Hz, 1H), 9.40 (s, 1H), 12.06 (s, 1H)。
実施例293:6-(ジフルオロメチル)-N-(7-フルオロ-2-(テトラヒドロ-2H-ピラン-4-イル)イミダゾ[1,2-a]ピリジン-6-イル)ピコリンアミド
Figure 0007576552000203
ステップa:5-ブロモ-4-フルオロピリジン-2-アミン(500mg、2.62mmol)、2-ブロモ-1-(テトラヒドロ-2H-ピラン-4-イル)エタン-1-オン(542.04mg、2.62mmol)のMeCN(9.83mL)及びトルエン(3.28mL)中混合物を100℃で一晩加熱した。反応物を室温に冷却し、シリカゲルを添加し、混合物を減圧下で濃縮した。生成物をカラムクロマトグラフィーにより精製して、6-ブロモ-7-フルオロ-2-(テトラヒドロ-2H-ピラン-4-イル)イミダゾ[1,2-a]ピリジン(520mg、66.35%収率)を得た。LCMS (ESI) m/z 381.3 (M+H)
ステップb:6-ブロモ-7-フルオロ-2-(テトラヒドロ-2H-ピラン-4-イル)イミダゾ[1,2-a]ピリジン(520mg、1.74mmol)、Pd(OAc)(78.13mg、348μmol)、キサントホス(402.33mg、696μmol)、CsCO(1.13g、3.48mmol)、及び6-(ジフルオロメチル)ピコリンアミド(748.04mg、4.35mmol)の混合物をNによりパージし、ジオキサン(17.40mL)を添加し、反応容器を密閉し、100℃で一晩加熱した。反応混合物を室温に冷却し、Celite(登録商標)を通して濾過し、濾液を減圧下で濃縮した。残留物を質量分析計直結HPLCにより精製して、6-(ジフルオロメチル)-N-(7-フルオロ-2-(テトラヒドロ-2H-ピラン-4-イル)イミダゾ[1,2-a]ピリジン-6-イル)ピコリンアミド(32.50mg、4.78%収率)を得た。H NMR (400 MHz, メタノール-d) δ ppm: 1.78 - 2.10 (m, 3H), 3.02 (s, 1H), 3.53 - 3.69 (m, 2H), 4.06 (br d, J=11.29 Hz, 2H), 6.71 - 7.06 (m, 1H), 7.36 (d, J=11.04 Hz, 1H), 7.71 (s, 1H), 7.93 - 8.07 (m, 1H), 8.27 (s, 1H), 8.39 (d, J=1.00 Hz, 1H), 9.35 (d, J=7.28 Hz, 1H)。
実施例294:N-(2-クロロ-7-イソプロポキシイミダゾ[1,2-a]ピリジン-6-イル)-6-(ジフルオロメチル)ピコリンアミド
Figure 0007576552000204
ステップa:TEA(117.99mg、1.17mmol)を、2-クロロ酢酸(100.17mg、1.06mmol)及び水(1.06mL)の混合物に滴加し、溶液を10分間撹拌した。5-ブロモ-4-イソプロポキシピリジン-2-アミン(293.95mg、1.27mmol)を添加し、反応混合物を90℃で2時間加熱した。反応物を室温に冷却し、EtOHを添加し、混合物を0℃で30分間撹拌した。得られた混合物を濾過し、固体を乾燥して、2-(5-ブロモ-2-イミノ-4-イソプロポキシピリジン-1(2H)-イル)酢酸を得た。LCMS (ESI) m/z 290.0 (M+H)
ステップb:2-(5-ブロモ-2-イミノ-4-イソプロポキシピリジン-1(2H)-イル)酢酸(91.00mg、314.74μmol)のトルエン(3mL)中溶液に、オキシ塩化リン(V)(58.50uL、629.48μmol)を添加し、混合物をマイクロ波照射下で120℃まで2時間温めた。冷却した混合物を氷水中に注ぎ込み、10分間撹拌し、相を分離した。水相を1NのNaOHにより中性化し、EtOAcで抽出し、NaSO上で乾燥し、濾過し、減圧下で濃縮した。粗製物をシリカゲルカラムクロマトグラフィー(0~100%のEtOAc/ヘプタン)により精製して、6-ブロモ-2-クロロ-7-イソプロポキシイミダゾ[1,2-a]ピリジンを得た。LCMS (ESI) m/z 290.8 (M+H)
ステップc:6-ブロモ-2-クロロ-7-イソプロポキシイミダゾ[1,2-a]ピリジン(60mg、207.21μmol)、6-(ジフルオロメチル)ピコリンアミド(37mg、214.95μmol)、キサントホス-Pd-G3(19.65mg、20.72μmol)、及びCsCO(135.03mg、414.42μmol)のトルエン(2.07mL)中混合物を90℃で一晩加熱した。冷却した混合物を減圧下で濃縮し、残留物をMeOH中に懸濁させ、PTFEを通して濾過し、0.1%のNHOH水溶液(5~75%のMeCN中の0.1%NHOH水溶液)により溶出する逆相HPLCにより精製して、N-(2-クロロ-7-イソプロポキシイミダゾ[1,2-a]ピリジン-6-イル)-6-(ジフルオロメチル)ピコリンアミドを得た。LCMS (ESI) m/z 380.9(M+H)H NMR (500 MHz DMSO-d) δ ppm: 1.43 (d, J=6.10 Hz, 7H), 4.93 (五重線, J=6.03 Hz, 1H), 6.98-7.29 (m, 2H), 7.97-8.06 (m, 2H), 8.28-8.40 (m, 2H), 9.52 (s, 1H), 10.56 (s, 1H)。
実施例295:6-(ジフルオロメチル)-N-(7-メトキシ-8-メチル-2-(1-メチル-2-オキサビシクロ[2.1.1]ヘキサン-4-イル)イミダゾ[1,2-a]ピリジン-6-イル)ピコリンアミド
Figure 0007576552000205
6-(ジフルオロメチル)-N-(7-メトキシ-8-メチル-2-(1-メチル-2-オキサビシクロ[2.1.1]ヘキサン-4-イル)イミダゾ[1,2-a]ピリジン-6-イル)ピコリンアミド2,2,2-トリフルオロ酢酸塩は、3-(2,2-ジフルオロエトキシ)ピリジン-2-アミンの代わりに4-メトキシ-3-メチルピリジン-2-アミンが使用されたこと、及び2-ブロモ-1-(テトラヒドロ-2H-ピラン-4-イル)エタン-1-オンの代わりに2-ブロモ-1-(1-メチル-2-オキサビシクロ[2.1.1]ヘキサン-4-イル)エタン-1-オンが使用されたことを除いて、実施例289に記載されたのと同じ合成手順に従って調製された(38.50mg、33.67%収率)。LCMS (ESI) m/z 429.3 (M+H)H NMR (400 MHz, CDCl) δ ppm 2.00 - 2.09 (m, 2H), 2.27 - 2.34 (m, 2H), 2.69 (s, 3H), 4.10 - 4.14 (m, 4H), 6.60 - 6.91 (m, 1H), 7.43 (s, 1H), 7.95 (d, J=7.03 Hz, 1H), 8.19 (t, J=7.78 Hz, 1H), 8.41 - 8.46 (m, 1H), 9.66 (s, 1H), 10.62 (s, 1H)。
実施例296:6-(ジフルオロメチル)-N-(8-メチル-2-(テトラヒドロ-2H-ピラン-4-イル)イミダゾ[1,2-a]ピラジン-6-イル)ピコリンアミド
Figure 0007576552000206
ステップa:5-ブロモ-3-メチルピラジン-2-アミン(300.85mg、1.60mmol)、2-ブロモ-1-(テトラヒドロ-2H-ピラン-4-イル)エタン-1-オン(331.30mg、1.60mmol)、及びNaHCO(403.25mg、4.80mmol)のEtOH(6.40mL)中混合物を、80℃で一晩加熱した。2-ブロモ-1-(テトラヒドロ-2H-ピラン-4-イル)エタン-1-オン(331.30mg、1.60mmol)及びトルエン(2mL)を更に添加し、反応物を95℃で6時間加熱した。反応物を室温に冷却し、シリカゲルを添加し、混合物を減圧下で濃縮し、ドライロードを介して精製(12g、ヘプタン中0~50%の3:1のEtOAc/EtOH)して、6-ブロモ-8-メチル-2-テトラヒドロピラン-4-イル-イミダゾ[1,2-a]ピラジン(140mg、29.54%収率)を得た。LCMS (ESI) m/z 295.9 (M+H)
ステップb:6-(ジフルオロメチル)-N-(8-メチル-2-(テトラヒドロ-2H-ピラン-4-イル)イミダゾ[1,2-a]ピラジン-6-イル)ピコリンアミドは、実施例281に記載されたのと同様の方法に従って、6-ブロモ-8-メチル-2-テトラヒドロピラン-4-イル-イミダゾ[1,2-a]ピラジンから調製された(12.70mg、13.87%収率)。LCMS (ESI) m/z 388.2 (M+H)H NMR (500 MHz DMSO-d) δ ppm 1.69 - 1.81 (m, 2H) 1.95 (br dd, J=12.82, 2.44 Hz, 2H) 2.75 (s, 3H) 3.04 (tt, J=11.60, 3.97 Hz, 1H) 3.49 (td, J=11.60, 1.83 Hz, 1H) 3.95 (dt, J=9.46, 2.29 Hz, 2H) 7.06 - 7.33 (m, 1H) 8.04 (dd, J=7.02, 1.53 Hz, 1H) 8.15 (s, 1H) 8.30 - 8.39 (m, 2H) 9.27 (s, 1H) 10.22 (s, 1H)
実施例297及び298:6-(ジフルオロメチル)-N-(8-メトキシ-2-(テトラヒドロ-2H-ピラン-3-イル)イミダゾ[1,2-a]ピラジン-6-イル)ピコリンアミド、エナンチオマー1及び2
Figure 0007576552000207
6-(ジフルオロメチル)-N-(8-メトキシ-2-(テトラヒドロ-2H-ピラン-3-イル)イミダゾ[1,2-a]ピラジン-6-イル)ピコリンアミドは、実施例285及び286に記載されたのと同様の方法に従って、5-ブロモ-3-メトキシピラジン-2-アミン、2-ブロモ-1-(テトラヒドロ-2H-ピラン-3-イル)エタン-1-オン、及び6-(ジフルオロメチル)ピコリンアミドから調製された。LCMS (ESI) m/z 404.3 (M+H)
CHIRALPAK AD-H 30×250mm、5μmカラム、0.1%のDEAを含有するCO2中40%のMeOH(流速:100mL/分、ABPR 120バール、MBPR 40psi、カラム温度40℃)を使用するSFCにより、この化合物を更に精製して、エナンチオマー1を得た。H NMR (400 MHz, CDCl)δ ppm 1.71 - 1.81 (m, 2H), 1.89 - 1.98 (m, 1H), 2.14 - 2.20 (m, 1H), 3.05 - 3.17 (m, 1H), 3.49 (d, J=5.52Hz, 1H), 3.50 - 3.57 (m, 1H), 3.64 (dd, J=11.04, 9.79 Hz, 1H), 3.95 (dt, J=10.92, 3.45 Hz, 1H), 4.16 (ddd, J=11.04, 4.14, 1.88 Hz, 1H), 4.19 (s, 3H), 6.62 - 6.95 (m, 1H), 7.49 (s, 1H), 7.83 - 7.88 (m, 1H), 8.11 (t, J=7.78 Hz, 1H), 8.41 (dd, J=7.78, 0.75 Hz, 1H), 8.94 (s, 1H), 9.85 (s, 1H)
更なる溶出によりエナンチオマー2を得た。
H NMR (400 MHz, CDCl) δ ppm 1.74 - 1.78 (m, 1H), 1.90 - 1.97 (m, 1H), 2.18 (br dd, J=12.80, 4.02 Hz, 1H), 3.10 - 3.17 (m, 1H), 3.49 (d, J=5.52 Hz, 1H), 3.51 - 3.58 (m, 1H), 3.64 (dd, J=11.04, 9.79 Hz, 1H), 3.89 - 3.98 (m, 1H), 4.14 - 4.18 (m, 1H), 4.20 (s, 3H), 6.62 - 6.94 (m, 1H), 7.49 (s, 1H), 7.88 (d, J=7.78 Hz, 1H), 8.12 (t, J=7.91 Hz, 1H), 8.41 (dd, J=7.78, 0.75 Hz, 1H), 8.94 (s, 1H), 9.85 (s, 1H)
実施例299及び300:N-(8-メトキシ-2-(テトラヒドロ-2H-ピラン-3-イル)イミダゾ[1,2-a]ピラジン-6-イル)-6-(トリフルオロメチル)ピコリンアミド、エナンチオマー1及び2
Figure 0007576552000208
N-(8-メトキシ-2-(テトラヒドロ-2H-ピラン-3-イル)イミダゾ[1,2-a]ピラジン-6-イル)-6-(トリフルオロメチル)ピコリンアミド、エナンチオマー1及び2は、実施例285及び286に記載されたのと同様の方法に従って、5-ブロモ-3-メトキシピラジン-2-アミン、2-ブロモ-1-(テトラヒドロ-2H-ピラン-3-イル)エタン-1-オン、及び6-(トリフルオロメチル)ピコリンアミドから調製された。LCMS (ESI) m/z 422.2(M+H)。CHIRALPAK IB 30×250mm、5μmカラムを使用し、0.1%のDEAを含有するCO中45%のEtOH(流速:100mL/分、ABPR 120バール、MBPR 40psi、カラム温度40℃)により溶出するSFCにより、エナンチオマーを分離して、エナンチオマー1を得た。
H NMR (400 MHz, メタノール-d) δ ppm 1.74 - 1.82 (m, 2H), 1.86 - 1.95 (m, 1H), 2.15 - 2.23 (m, 1H), 3.04 - 3.13 (m, 1H), 3.53 - 3.62 (m, 2H), 3.91 - 3.99 (m, 1H), 4.09 - 4.17 (m, 1H), 4.22 (s, 3H), 7.88 (s, 1H), 8.10 (dd, J=7.78, 1.00 Hz, 1H), 8.34 (t, J=7.91 Hz, 1H), 8.51 (d, J=7.78 Hz, 1H), 9.05 (s, 1H)。
更なる溶出によりエナンチオマー2を得た。
H NMR (400 MHz, メタノール-d) δ ppm 1.71 - 1.82 (m, 2H), 1.86 - 1.96 (m, 1H), 2.20 (br dd, J=12.93, 3.89 Hz, 1H), 3.01 - 3.12 (m, 1H), 3.53 - 3.62 (m, 2H), 3.92 - 3.97 (m, 1H), 4.10 - 4.17 (m, 1H), 4.22 (s, 3H), 7.88 (s, 1H), 8.11 (dd, J=7.78, 1.00 Hz, 1H), 8.29 - 8.37 (m, 1H), 8.51 (d, J=7.78 Hz, 1H), 9.05 (s, 1H)。
実施例301及び302:N-(8-(ジフルオロメトキシ)-2-(テトラヒドロ-2H-ピラン-3-イル)イミダゾ[1,2-a]ピラジン-6-イル)-6-(ジフルオロメチル)ピコリンアミド、エナンチオマー1及び
Figure 0007576552000209
N-(8-(ジフルオロメトキシ)-2-(テトラヒドロ-2H-ピラン-3-イル)イミダゾ[1,2-a]ピラジン-6-イル)-6-(ジフルオロメチル)ピコリンアミドは、実施例295に記載されたのと同じ合成手順に従って、2-アミノ-3-(ジフルオロメトキシ)ピラジン、2-ブロモ-1-(テトラヒドロ-2H-ピラン-3-イル)エタン-1-オン、及び6-(ジフルオロメチル)ピコリンアミドから調製された。LCMS (ESI) m/z 439.2 (M+H)
LUX Cellulose-4 LC 4.6×150mm、3μmカラムを使用し、0.1%のDEAを含有するCO2中40%のMeOH(流速:100mL/分、ABPR 120バール、MBPR 40psi、カラム温度40℃)により溶出するSFCにより、この生成物を更に精製して、エナンチオマー1を得た。H NMR (400 MHz, CDCl) δ ppm 1.74 - 1.94 (m, 3H), 2.22 (br d, J=9.29 Hz, 1H), 3.09 - 3.20 (m, 1H), 3.51 - 3.66 (m, 2H), 3.93 -4.00 (m, 1H), 4.20 (dd, J=11.04, 2.76 Hz, 1H), 6.63 - 6.92 (m, 1H), 6.96 (d, J=1.51 Hz, 1H), 7.33 - 7.71 (m, 2H), 7.90 (d, J=7.28 Hz, 1H), 8.15 (t, J=7.78 Hz, 1H), 8.44 (d, J=7.78 Hz, 1H), 9.21 (d, J=1.51 Hz, 1H), 9.69 (s, 1H) 。
更なる溶出によりエナンチオマー2を得た。H NMR (400 MHz, CDCl) δ ppm 1.64 - 1.76 (m, 2H), 2.00 - 2.09 (m, 1H), 2.18 - 2.26 (m, 1H), 3.32 - 3.40 (m, 1H), 3.75 - 3.84 (m, 2H), 3.90 (dd, J=11.17, 6.15 Hz, 1H), 4.06 (dd, J=11.55, 3.51 Hz, 1H), 6.66 - 7.11 (m, 2H), 7.63 (s, 1H), 7.79 (s, 1H), 7.96 (d, J=7.78 Hz, 1H), 8.19 (t, J=7.78 Hz, 1H), 8.44 (d, J=7.28 Hz, 1H), 9.56 (d, J=1.76 Hz, 1H), 10.11 (br s, 1H)。
実施例303:6-(ジフルオロメチル)-N-(2-(テトラヒドロ-2H-ピラン-4-イル)-8-(2,2,2-トリフルオロエトキシ)イミダゾ[1,2-a]ピラジン-6-イル)ピコリンアミド
Figure 0007576552000210
6-(ジフルオロメチル)-N-(2-(テトラヒドロ-2H-ピラン-4-イル)-8-(2,2,2-トリフルオロエトキシ)イミダゾ[1,2-a]ピラジン-6-イル)ピコリンアミド2,2,2-トリフルオロ酢酸塩は、実施例293に記載の合成手順に従って、5-ブロモ-3-(2,2,2-トリフルオロエトキシ)ピラジン-2-アミン、2-ブロモ-1-(テトラヒドロ-2H-ピラン-4-イル)エタン-1-オン、及び6-(ジフルオロメチル)ピコリンアミドから調製された(8.50mg、18.03μmol、5.27%収率)。LCMS (ESI) m/z 472.1 (M+H)H NMR (400 MHz, CDCl) δ ppm 1.74 - 1.93 (m, 2H), 2.09 (br dd, J=12.92, 1.88 Hz, 2H), 3.26 (tt, J=11.86, 3.70 Hz, 1H), 3.62 (td, J=11.86, 1.88 Hz, 2H), 4.12 (dd, J=11.67, 2.89 Hz, 2H), 5.03 (q, J=8.11 Hz, 2H), 6.66 - 6.97 (m, 1H), 7.57 (s, 1H), 7.94 (d, J=7.78 Hz, 1H), 8.17 (t, J=7.91Hz, 1H), 8.44 (dd, J=7.78, 0.75 Hz, 1H), 9.16 (s, 1H), 9.98 (s, 1H)
実施例304:6-(ジフルオロメチル)-N-(8-メトキシ-2-(テトラヒドロ-2H-ピラン-4-イル)イミダゾ[1,2-a]ピリジン-6-イル)ピコリンアミド
Figure 0007576552000211
Pd(dba)(5.54mg、0.0096mmol)、キサントホス(11.16mg、0.0193mmol)、及びCsCO(62.82mg、0.193mmol)を、実施例281(ステップa):6-ブロモ-8-メトキシ-2-(テトラヒドロ-2H-ピラン-4-イル)イミダゾ[1,2-a]ピリジン(30mg、0.0964mmol)及び6-(ジフルオロメチル)ピコリンアミド(49.79mg、0.289mmol)のトルエン(5mL)中溶液に添加し、反応物をNによりパージした。反応物を110℃で12時間撹拌し、混合物を減圧下で濃縮し、残留物をMeCN:0.225%のギ酸水溶液により溶出する分取HPLCにより精製して、6-(ジフルオロメチル)-N-(8-メトキシ-2-(テトラヒドロ-2H-ピラン-4-イル)イミダゾ[1,2-a]ピリジン-6-イル)ピコリンアミド(1.50mg、0.373mmol、3.87%収率)を褐色固体として得た。LCMS (ESI) m/z 403.0 (M+H)H NMR (500 MHz, メタノール-d) δ: 1.83-1.88 (m, 2H), 2.00-2.04 (m, 2H), 3.01-3.06 (m, 1H), 3.57-3.63 (m, 2H), 4.03-4.07 (m, 2H), 4.09 (s, 3H), 6.79-7.02 (m, 1H), 7.24 (s, 1H), 7.96 (d, J = 6.4 Hz, 1H), 8.24 (t, J = 6.4 Hz, 1H), 8.38 (d, J = 6.4 Hz, 1H), 9.06 (s, 1H)。
実施例305:N-(8-メトキシ-2-(テトラヒドロ-2H-ピラン-4-イル)イミダゾ[1,2-a]ピリジン-6-イル)-2-メチルチアゾール-4-カルボキサミド
Figure 0007576552000212
2-メチルチアゾール-4-カルボキサミド(58.49mg、411.35μmol)、実施例280(ステップa):6-ブロモ-8-メトキシ-2-(テトラヒドロ-2H-ピラン-4-イル)イミダゾ[1,2-a]ピリジン(80mg、257.09μmol)、ヨウ化銅(29.38mg、154.26μmol)、及びKCO(106.60mg、771.28μmol)の混合物をNによりパージし、ジオキサン(2.14mL)及びトランス-N,N’-ジメチルシクロヘキサン-1,2-ジアミン(21.94mg、154.26μmol)を添加し、反応容器を密閉し、100℃で24時間加熱した。反応物を室温に冷却し、Celite(登録商標)を通して濾過し、濾液を減圧下で濃縮し、残留物をTFAで改質した質量分析計直結HPLCにより精製して、N-(8-メトキシ-2-(テトラヒドロ-2H-ピラン-4-イル)イミダゾ[1,2-a]ピリジン-6-イル)-2-メチルチアゾール-4-カルボキサミド2,2,2-トリフルオロ酢酸塩(28.80mg)を得た。LCMS (ESI) m/z 373.1 (M+H)H NMR (400 MHz, メタノール-d) δ ppm 1.71-1.77 (m, 2H), 1.94-1.97 (m, 2H), 2.80 (s, 3H), 3.08-3.11 (m, 1H), 3.45-3.49 (m, 2H), 3.94-3.97 (m, 2H), 4.08 (s, 3H), 7.89 (s, 1H), 8.31 (s, 1H), 9.32 (s, 1H), 10.73 (s, 1H)。
実施例306:N-(2-((1R,5S,6s)-3-オキサビシクロ[3.1.0]ヘキサン-6-イル)-8-エトキシイミダゾ[1,2-a]ピリジン-6-イル)-6-(ジフルオロメチル)ピコリンアミド
Figure 0007576552000213
ステップa:5-ブロモ-3-エトキシピリジン-2-アミン(50mg、0.231mmol)及び1-rac-3-オキサビシクロ[3.1.0]ヘキサン-6-イル)-2-ブロモエタン-1-オン(85.02mg、0.415mmol)のEtOH(1mL)中溶液に、NaHCO(58.06mg、0.691mmol)を添加し、反応混合物を80℃で12時間撹拌した。反応混合物を室温に冷却し、減圧下で濃縮した。粗生成物をEtOAc/DCM=1/3により溶出するシリカゲルカラムクロマトグラフィーにより精製して、2-((1R,5S,6s)-3-オキサビシクロ[3.1.0]ヘキサン-6-イル)-6-ブロモ-8-エトキシイミダゾ[1,2-a]ピリジン(20mg、26.87%収率)を黄色油として得た。LCMS (ESI) m/z 322.9 (M+H)H NMR (500 MHz, CDCl) δ: 1.59 (t, J = 7.0 Hz, 3H), 2.03 (br s, 1H), 3.81 (d, J = 8.5 Hz, 1H), 4.02 (d, J = 8.0 Hz, 1H), 4.24 (q, J = 7.0 Hz, 2H), 6.50 (s, 1H), 7.25 (s, 1H), 7.80 (s, 1H)。
ステップb:2-((1R,5S,6s)-3-オキサビシクロ[3.1.0]ヘキサン-6-イル)-6-ブロモ-8-エトキシイミダゾ[1,2-a]ピリジン(30mg、0.0964mmol)及び6-(ジフルオロメチル)ピコリンアミド(69.24mg、0.402mmol)をトルエン(10mL)中に溶解した。Pd(dba)(11.56mg、0.0201mmol)、キサントホス(23.27mg、0.0402mmol)、及びCsCO(131.06mg、0.402mmol)を添加し、反応混合物をNによりパージし、110℃で12時間撹拌した。冷却した混合物を減圧下で濃縮し、残留物を分取HPLC(カラム:Welch Xtimate C18 150×25mm×5μm、水/10mMのNHHCO-MeCN(33%~63%)により溶出する)により精製して、N-(2-((1R,5S,6s)-3-オキサビシクロ[3.1.0]ヘキサン-6-イル)-8-エトキシイミダゾ[1,2-a]ピリジン-6-イル)-6-(ジフルオロメチル)ピコリンアミド(45mg、53.45%収率)を黄色固体として得た。LCMS (ESI) m/z 415.0 (M+H)H NMR (500 MHz, メタノール-d) δ: 1.55 (t, J = 7.0 Hz, 3H), 1.92 (t, J = 3.5 Hz, 1H), 2.11 (brs, 2H), 3.80 (d, J = 8.0 Hz, 2H), 3.99 (d, J = 8.0 Hz, 2H), 4.27 (q, J = 7.0 Hz, 2H), 6.77-7.00 (m, 2H), 7.57 (s, 1H), 7.92 (d, J = 7.0 Hz, 1H), 8.21 (t, J = 7.5 Hz, 1H), 8.33 (d, J = 7.5 Hz, 1H), 8.87 (s, 1H)。
実施例307:N-(8-(ジフルオロメトキシ)-2-(テトラヒドロ-2H-ピラン-4-イル)イミダゾ[1,2-a]ピリジン-6-イル)-6-(ジフルオロメチル)ピコリンアミド
Figure 0007576552000214
ステップa:5-ブロモ-3-(ジフルオロメトキシ)ピリジン-2-アミン(399.16mg、1.67mmol)、2-ブロモ-1-テトラヒドロピラン-4-イル-エタン-1-オン(345.79mg、1.67mmol)、及びNaHCO(420.89mg、5.01mmol)のMeCN(2.86mL)中混合物を90℃で一晩加熱した。反応物を室温に冷却し、シリカを添加し、混合物を減圧下で濃縮し、ドライロードを介したカラムクロマトグラフィー(ヘプタン中0~50%の3:1のEtOAC/EtOH)により精製して、6-ブロモ-8-(ジフルオロメトキシ)-2-(テトラヒドロ-2H-ピラン-4-イル)イミダゾ[1,2-a]ピリジン(480mg、82.80%収率)を得た。LCMS (ESI) m/z 349.0 (M+H)
ステップb:6-ブロモ-8-(ジフルオロメトキシ)-2-(テトラヒドロ-2H-ピラン-4-イル)イミダゾ[1,2-a]ピリジン(75mg、216.04μmol)、キサントホス(25.0mg、43.21μmol)、Pd(dba)(19.78mg、21.60μmol)、CsCO(140.78mg、432.08μmol)、及び6-(ジフルオロメチル)ピコリンアミド(55.78mg、324.06μmol)の混合物をNによりパージし、トルエン(2.16mL)を添加し、反応容器を密閉し、100℃で一晩加熱した。反応物を室温に冷却し、Celite(登録商標)を通して濾過し、減圧下で濃縮し、粗製物をTFAで改質した質量分析計直結HPLCにより精製して、N-(8-(ジフルオロメトキシ)-2-(テトラヒドロ-2H-ピラン-4-イル)イミダゾ[1,2-a]ピリジン-6-イル)-6-(ジフルオロメチル)ピコリンアミド2,2,2-トリフルオロ酢酸塩を得た。(44mg、46.46%収率)。LCMS (ESI) m/z 439.2 (M+H)H NMR (500 MHz DMSO-d) δ ppm 1.72 - 1.76 (m, 2H), 1.97 (br d, J=2.44 Hz, 2H), 3.06 (br s, 1H), 3.49 (td, J=11.60, 1.83 Hz, 2H), 3.95 - 3.98 (m, 3H), 6.98 - 7.21 (m, 1H), 7.44 - 7.75 (m, 2H), 7.87 (br s, 1H), 8.02 - 8.07 (m, 1H), 8.19 (br s, 1H), 8.31 - 8.35 (m, 3H), 9.42 (br s, 1H), 10.90 (br s, 1H)。
実施例308:N-(8-クロロ-2-(テトラヒドロ-2H-ピラン-4-イル)イミダゾ[1,2-a]ピリジン-6-イル)-6-(ジフルオロメチル)ピコリンアミド
Figure 0007576552000215
ステップa:5-ブロモ-3-クロロピリジン-2-アミン(600mg、2.89mmol)、NaHCO(728.90mg、8.67mmol)、及び2-ブロモ-1-(テトラヒドロ-2H-ピラン-4-イル)エタン-1-オン(718.61mg、3.47mmol)のMeCN(5.78mL)及びトルエン(2.48mL)中混合物を100℃で一晩撹拌した。冷却した混合物をMeOHで希釈し、シリカゲルを添加し、混合物を減圧下で濃縮し、粉末を精製(ヘプタン中0~100%の3:1のEtOAc:EtOH)して、6-ブロモ-8-クロロ-2-(テトラヒドロ-2H-ピラン-4-イル)イミダゾ[1,2-a]ピリジン(560mg、61.40%収率)を得た。LCMS (ESI) m/z 316.9 (M+H)
ステップb:N-(8-クロロ-2-(テトラヒドロ-2H-ピラン-4-イル)イミダゾ[1,2-a]ピリジン-6-イル)-6-(ジフルオロメチル)ピコリンアミド2,2,2-トリフルオロ酢酸塩は、実施例307に記載されたのと同じ方法に従って、6-ブロモ-8-クロロ-2-(テトラヒドロ-2H-ピラン-4-イル)イミダゾ[1,2-a]ピリジン及び6-(ジフルオロメチル)ピコリンアミドから調製された(19.40mg、30.10%収率)。LCMS (ESI) m/z 407.2 (M+H)H NMR (500 MHz DMSO-d) δ ppm 1.67 - 1.77 (m, 3H), 1.95 (br dd, J=12.82, 1.83 Hz, 2H), 3.04 (br t, J=11.29 Hz, 1H), 3.48 (td, J=11.75, 2.14 Hz, 1H), 3.95 (dt, J=9.61, 1.91 Hz, 2H), 6.95 - 7.21 (m, 1H), 7.99 - 8.05 (m, 1H), 8.05 - 8.22 (m, 1H), 8.07 - 8.18 (m, 1H), 8.29 - 8.35 (m, 2H), 9.42 (br s, 1H), 10.83 (br s, 1H)。
実施例309:N-(7-メトキシ-2-(1-メチル-2-オキサビシクロ[2.1.1]ヘキサン-4-イル)イミダゾ[1,2-a]ピリジン-6-イル)-6-(トリフルオロメチル)ピコリンアミド
Figure 0007576552000216
ステップa:5-ブロモ-4-メトキシピリジン-2-アミン(100mg、0.493mmol)及び2-ブロモ-1-(1-メチル-2-オキサビシクロ[2.1.1]ヘキサン-4-イル)エタン-1-オン(171mg、0.625mmol)のtBuOH(2mL)中混合物に、NaHCO(83mg、0.985mmol)を添加し、反応物を100℃で16時間撹拌した。冷却した混合物を減圧下で濃縮し、Combiflash(登録商標)を使用したカラムクロマトグラフィー(PE/EtOAc=1/1)により残留物を精製して、6-ブロモ-7-メトキシ-2-(1-メチル-2-オキサビシクロ[2.1.1]ヘキサン-4-イル)イミダゾ[1,2-a]ピリジン(70mg、39.6%収率)を黄色固体として得た。LCMS (ESI) m/z 324.8 (M+H)
ステップb:6-ブロモ-7-メトキシ-2-(1-メチル-2-オキサビシクロ[2.1.1]ヘキサン-4-イル)イミダゾ[1,2-a]ピリジン(40mg、0.124mmol)及び6-(トリフルオロメチル)ピコリンアミド(28mg、0.149mmol)のトルエン(3mL)中溶液に、Pd(dba)(11mg、0.012mmol)、キサントホス(14mg、0.025mmol)、及びCsCO(80mg、0.248mmol)を添加し、Nにより脱気し、混合物を110℃で16時間撹拌した。冷却した混合物を(30mL)で希釈し、EtOAc(30mL×3)で抽出した。合わせた有機抽出物をブライン(50mL)で洗浄し、NaSO上で乾燥し、濾過した。濾液を減圧下で濃縮し、水/10mMのNHHCO-MeCN(42~72%)により溶出する分取HPLC(カラム:Welch Xtimate C18 150×25mm×5μm)により残留物を精製して、N-(7-メトキシ-2-(1-メチル-2-オキサビシクロ[2.1.1]ヘキサン-4-イル)イミダゾ[1,2-a]ピリジン-6-イル)-6-(トリフルオロメチル)ピコリンアミド(12.3mg、22.8%収率)をオフホワイトの固体として得た。LCMS (ESI) m/z 433.1 (M+H)H NMR (500MHz, メタノール-d) δ ppm: 1.50 (s, 3H), 1.80-1.90 (m, 2H), 2.10-2.20 (m, 2H), 4.01 (s, 2H), 4.09 (s, 3H), 6.97 (s, 1H), 7.61 (s, 1H), 8.07 (d, J = 8.0 Hz, 1H), 8.32 (t, J = 8.0 Hz, 1H), 8.48 (d, J = 8.0 Hz, 1H), 9.49 (s, 1H)。
中間体21:6-ブロモ-7-イソプロポキシ-2-(テトラヒドロ-2H-ピラン-4-イル)イミダゾ[1,2-a]ピリジン
Figure 0007576552000217
5-ブロモ-4-イソプロポキシピリジン-2-アミン(100mg、0.433mmol)及び2-ブロモ-1-(テトラヒドロ-2H-ピラン-4-イル)エタン-1-オン(99mg、0.476mmol)のi-PrOH(2mL)中溶液に、NaHCO(73mg、0.865mmol)を添加し、反応混合物を100℃で24時間撹拌した。冷却した混合物を減圧下で濃縮し、Combiflash(登録商標)を使用したシリカゲルカラムクロマトグラフィー(PE/EtOAc=3/1~1/1)により残留物を精製して、6-ブロモ-7-イソプロポキシ-2-(テトラヒドロ-2H-ピラン-4-イル)イミダゾ[1,2-a]ピリジン(80mg、55%収率)を黄色油として得た。LCMS (ESI) m/z 340.8 (M+H)
実施例310:6-(1,2-ジフルオロエチル)-N-(7-(イソプロポキシ)-2-(テトラヒドロ-2H-ピラン-4-イル)イミダゾ[1,2-a]ピリジン-6-イル)ピコリンアミド
Figure 0007576552000218
ステップa:実施例239のように調製された6-(1,2-ジフルオロエチル)ピコリン酸(250mg、1.34mmol)のDCM(5mL)中溶液に、SOCl(191mg、1.61mmol)及びDMF(1滴)を0℃で添加し、反応物を10~15℃で16時間撹拌した。混合物を減圧下で濃縮し、残留物をTHF(5mL)で希釈し、NH4OH(1.68g、13.4mmol、28%純度)を添加した。混合物を20℃で1時間撹拌し、次いで、水(20mL)で希釈し、EtOAc(30mL×3)で抽出した。合わせた有機抽出物をブライン(50mL)で洗浄し、NaSO上で乾燥し、濾過した。濾液を減圧下で蒸発させて、6-(1,2-ジフルオロエチル)ピコリンアミド(150mg、60%収率)をオフホワイトの固体として得た。H NMR (500 MHz DMSO-d) δ ppm: 5.00-5.20 (m, 2H), 5.90-6.10 (m, 1H), 7.40-7.50 (m, 2H), 8.00-8.10 (m, 1H), 8.10-8.20 (m, 1H), 8.20 (br s, 1H)。
ステップb:6-ブロモ-7-イソプロポキシ-2-(テトラヒドロ-2H-ピラン-4-イル)イミダゾ[1,2-a]ピリジン(50mg、0.147mmol)及び6-(1,2-ジフルオロエチル)ピコリンアミド(41mg、0.221mmol)のトルエン(5mL)中溶液に、Pd(dba)(14mg、0.015mmol)、キサントホス(17mg、0.029mmol)、及びCsCO(96mg、0.295mmol)を添加し、混合物をNにより脱気し、110℃で6時間撹拌した。冷却した混合物を(30mL)で希釈し、EtOAc(30mL×3)で抽出した。合わせた有機抽出物をブライン(50mL)で洗浄し、NaSO上で乾燥し、濾過した。濾液を減圧下で濃縮し、残留物をHClで改質した分取HPLCにより精製して、6-(1,2-ジフルオロエチル)-N-(7-イソプロポキシ-2-(テトラヒドロ-2H-ピラン-4-イル)イミダゾ[1,2-a]ピリジン-6-イル)ピコリンアミド塩酸塩(12.5mg、18%収率)をオフホワイトの固体として得た。LCMS (ESI) m/z 445.1 (M+H)H NMR (500MHz, メタノール-d) δ ppm: 1.60 (d, J = 6.0 Hz, 6H), 1.80-1.90 (m, 2H), 2.00-2.10 (m, 2H), 3.10-3.20 (m, 1H), 3.60-3.70 (m, 2H), 4.00-4.10 (m, 2H), 5.00-5.20 (m, 3H), 5.80-6.00 (m, 1H), 7.28 (s, 1H), 7.80-7.90 (m, 2H), 8.10-8.20 (m, 1H), 8.30-8.40 (m, 1H), 9.81 (s, 1H)。
実施例311:N-(2-(3-シアノビシクロ[1.1.1]ペンタン-1-イル)-7-イソプロポキシイミダゾ[1,2-a]ピリジン-6-イル)-2-メトキシベンズアミド
Figure 0007576552000219
ステップa:3-シアノビシクロ[1.1.1]ペンタン-1-カルボン酸(200mg、1.46mmol)のDCM(10mL)中溶液に、(COCl)(370.64mg、2.92mmol)を添加し、反応物を25℃で2時間撹拌した。混合物を減圧下で濃縮し、残留物をTHF(5mL)及びMeCN(5mL)中に溶解し、溶液を0℃まで冷却した。TMSCHN(1.1mL、2.19mmol、ヘキサン中2M)を添加し、反応物を0℃で1時間撹拌した。Hbr(738.30mg、4.38mmol、水中48%)を添加し、混合物を0℃で30分間撹拌した。混合物をNaHCO水溶液によりpH>7に塩基化し、EtOAc(20mL)で希釈し、水(10mL×2)で洗浄した。有機層をNaSO上で乾燥し、濾過し、減圧下で蒸発させて、3-(2-ブロモアセチル)ビシクロ[1.1.1]ペンタン-1-カルボニトリル(250mg、71%収率)を黄色の液体として得た。H NMR (500 MHz, CDCl) δ: 2.61 (s, 6H), 3.88-4.13 (m, 2H)。
ステップb:3-(2-ブロモアセチル)ビシクロ[1.1.1]ペンタン-1-カルボニトリル(250mg、1.17mmol)及び5-ブロモ-4-イソプロポキシピリジン-2-アミン(269.89mg、1.17mmol)のt-BuOH(3mL)中混合物に、NaHCO(294.35mg、3.50mmol)を添加し、反応物を80℃で12時間撹拌した。冷却した混合物を減圧下で濃縮し、残留物をシリカゲルクロマトグラフィー(5/1~1/1のPE/EtOAc)により精製して、3-(6-ブロモ-7-イソプロポキシイミダゾ[1,2-a]ピリジン-2-イル)ビシクロ[1.1.1]ペンタン-1-カルボニトリル(300mg、66%収率)を黄色の液体として得た。H NMR (500 MHz, CDCl) δ: 1.43 (d, J = 6.0 Hz, 6H), 2.60 (s, 6H), 4.53-4.62 (m, 1H), 6.85 (s, 1H), 7.17 (s, 1H), 8.16 (s, 1H)。
ステップc:3-(6-ブロモ-7-イソプロポキシイミダゾ[1,2-a]ピリジン-2-イル)ビシクロ[1.1.1]ペンタン-1-カルボニトリル(80mg、0.23mmol)及び2-メトキシベンズアミド(41.91mg、0.28mmol)のトルエン(4mL)中混合物に、Pd(dba)(21.16mg、0.02mmol)、キサントホス(26.74mg、0.05mmol)、及びCsCO(150.57mg、0.46mmol)を添加し、反応物を110℃で12時間撹拌した。冷却した混合物をCelite(登録商標)を通して濾過し、濾液を減圧下で蒸発させた。水(0.05%のHCl)-25%~45%のMeCNにより溶出する分取HPLC(Phenomenex Synergi C18 150×30mm×4um)により残留物を精製して、N-(2-(3-シアノビシクロ[1.1.1]ペンタン-1-イル)-7-イソプロポキシイミダゾ[1,2-a]ピリジン-6-イル)-2-メトキシベンズアミド塩酸塩(23mg、23%収率)を白色固体として得た。LCMS (ESI) m/z 417.1 (M+H) H NMR (500 MHz, メタノール-d) δ: 1.62 (d, J = 6.5 Hz, 6H), 2.75 (s, 6H), 4.18 (s, 3H), 5.08-5.16 (m, 1H), 7.18-7.21 (m, 1H), 7.27 (s, 1H), 7.30-7.32 (m, 1H), 7.63-7.66 (m, 1H), 7.94 (s, 1H), 8.20-8.23 (m, 1H), 9.91 (s, 1H), 10.67 (s, 1H)。
実施例312:6-(ジフルオロメチル)-N-(2-(テトラヒドロ-2H-ピラン-4-イル)-7-(トリフルオロメチル)イミダゾ[1,2-a]ピリジン-6-イル)ピコリンアミド
Figure 0007576552000220
ステップa:5-ブロモ-4-(トリフルオロメチル)ピリジン-2-アミン(400.07mg、1.66mmol)、2-ブロモ-1-(テトラヒドロ-2H-ピラン-4-イル)エタン-1-オン(343.65mg、1.66mmol)、及びNaHCO(418.29mg、4.98mmol)のEtOH(6.64mL)中混合物を80℃で6時間加熱した。2-ブロモ-1-(テトラヒドロ-2H-ピラン-4-イル)エタン-1-オン(343.65mg、1.66mmol)を更に添加し、反応物を一晩加熱した。反応混合物を室温に冷却し、シリカゲルを添加し、混合物を減圧下で濃縮した。固体をドライロードを介したシリカゲルカラムクロマトグラフィー(ヘプタン中0~30%の3:1のEtOAc/EtOH)により精製して、6-ブロモ-2-テトラヒドロピラン-4-イル-7-(トリフルオロメチル)イミダゾ[1,2-a]ピリジン(250mg、43.13%収率)を得た。LCMS (ESI) m/z 351.0 (M+H)
ステップb:6-(ジフルオロメチル)-N-(2-(テトラヒドロ-2H-ピラン-4-イル)-7-(トリフルオロメチル)イミダゾ[1,2-a]ピリジン-6-イル)ピコリンアミドは、実施例307(ステップb)に記載されたのと同じ方法に従って、6-ブロモ-2-テトラヒドロピラン-4-イル-7-(トリフルオロメチル)イミダゾ[1,2-a]ピリジン及び6-(ジフルオロメチル)ピコリンアミドから調製された(35.80mg、37.85%収率)。LCMS (ESI) m/z 441.2 (M+H)H NMR (500 MHz DMSO-d) δ ppm 1.71 - 1.80 (m, 2H), 1.96 (br dd, J=13.12, 2.14 Hz, 2H), 3.08 (tt, J=11.37, 3.89 Hz, 1H), 3.50 (td, J=11.60, 1.83 Hz, 1H), 3.95 (dt, J=9.16, 2.14 Hz, 2H), 6.98 - 7.22 (m, 1H), 8.03 - 8.06 (m, 1H), 8.09 (s, 1H), 8.15 (s, 1H), 8.29 - 8.36 (m, 2H), 9.18 (s, 1H), 10.38 (s, 1H)。
実施例313:6-(ジフルオロメチル)-N-(7-(1-メトキシエチル)-2-(テトラヒドロ-2H-ピラン-4-イル)イミダゾ[1,2-a]ピリジン-6-イル)ピコリンアミド
Figure 0007576552000221
ステップa:2-アミノピリジン-4-メタノール(1g、8.06mmol)のMeCN(10mL)中溶液に、NBS(1.43g、8.06mmol)を0℃で添加し、反応物を0℃で1時間撹拌した。混合物を濾過し、濾過ケーキをMeCN(5mL)で洗浄した。固体を減圧下で乾燥して、2-アミノ-5-ブロモピリジン-4-イル)メタノール(800mg、48%収率)を白色固体として得た。H NMR (500 MHz DMSO-d) δ: 4.35 (d, J =5.5 Hz, 2H), 5.45 (t, J =5.5 Hz, 1H), 6.11 (s, 2H), 6.66 (s, 1H), 7.86 (s, 1H)。
ステップb:2-アミノ-5-ブロモピリジン-4-イル)メタノール(200mg、0.99mmol)及びNaHCO(249.26mg、2.96mmol)のEtOH(10mL)中混合物に、2-ブロモ-1-(テトラヒドロ-2H-ピラン-4-イル)エタン-1-オン(203.96mg、0.99mmol)を添加し、反応物を80℃で4時間撹拌した。冷却した反応物を減圧下で濃縮し、残留物を分取TLC(DCM/MeOH=15/1)により精製して、(6-ブロモ-2-(テトラヒドロ-2H-ピラン-4-イル)イミダゾ[1,2-a]ピリジン-7-イル)メタノール(140mg、45%収率)を白色固体として得た。H NMR (500 MHz DMSO-d) δ ppm: 1.64-1.68 (m, 2H), 1.89-1.93 (m, 2H), 2.89-2.93 (m, 1H), 3.42-3.48 (m, 2H), 3.90-3.93 (m, 2H), 4.50 (d, J =5.5 Hz, 2H), 5.56 (t, J =5.5 Hz, 1H), 7.49 (s, 1H), 7.64 (s, 1H), 8.81 (s, 1H)。
ステップc:(6-ブロモ-2-(テトラヒドロ-2H-ピラン-4-イル)イミダゾ[1,2-a]ピリジン-7-イル)メタノール(100mg、0.32mmol)のDCM(10mL)中混合物に、MnO(419.1mg、4.82mmol)を添加し、反応物を40℃で12時間撹拌した。混合物をCelite(登録商標)を通して濾過し、DCM(10mL)で洗浄した。濾液を減圧下で蒸発させて、6-ブロモ-2-(テトラヒドロ-2H-ピラン-4-イル)イミダゾ[1,2-a]ピリジン-7-カルバルデヒド(90mg、90%収率)を白色固体として得た。H NMR (500 MHz DMSO-d) δ ppm: 1.73-1.67 (m, 2H), 1.91-1.94 (m, 2H), 3.00-3.05 (m, 1H), 3.44-3.50 (m, 2H), 3.91-3.94 (m, 2H), 7.93 (s, 1H), 8.08 (s, 1H), 8.97 (s, 1H), 10.09 (s, 1H)。
ステップd:6-ブロモ-2-(テトラヒドロ-2H-ピラン-4-イル)イミダゾ[1,2-a]ピリジン-7-カルバルデヒド(100mg、0.32mmol)のTHF(10mL)中溶液に、MeMgBr(0.54mL、1.62mmol)を0℃で添加し、混合物を15℃で2時間撹拌した。混合物を水(1mL)でクエンチし、減圧下で蒸発させた。残留物を分取TLC(DCM/MeOH=10/1)により精製して、1-(6-ブロモ-2-(テトラヒドロ-2H-ピラン-4-イル)イミダゾ[1,2-a]ピリジン-7-イル)エタン-1-オール(50mg、47%収率)を無色液体として得た。LCMS (ESI) m/z 327.0 (M+H)
ステップe:1-(6-ブロモ-2-(テトラヒドロ-2H-ピラン-4-イル)イミダゾ[1,2-a]ピリジン-7-イル)エタン-1-オール(50mg、0.15mmol)のTHF(5mL)中溶液に、NaH(12.30mg、0.31mmol)を0℃で添加し、反応混合物を15℃で30分間撹拌した。MeI(490mg、3.45mmol)を0℃で添加し、反応物を15℃で2時間撹拌した。混合物を水(10mL)でクエンチし、EtOAc(10mL×2)で抽出した。合わせた有機抽出物をブライン(5mL)で洗浄し、濾過し、減圧下で蒸発させた。残留物を分取TLC(EtOAc)により精製して、6-ブロモ-7-(1-メトキシエチル)-2-(テトラヒドロ-2H-ピラン-4-イル)イミダゾ[1,2-a]ピリジン(30mg、51%収率)を無色液体として得た。LCMS (ESI) m/z 341.0 (M+H)
ステップf:6-ブロモ-7-(1-メトキシエチル)-2-(テトラヒドロ-2H-ピラン-4-イル)イミダゾ[1,2-a]ピリジン(30mg、0.088mmol)及び6-(ジフルオロメチル)ピコリンアミド(18.27mg、0.11mmol)のトルエン(4mL)中混合物に、Pd(dba)(8.10mg、0.01mmol)、キサントホス(10.23mg、0.02mmol)、及びCsCO(57.63mg、0.18mmol)を添加した。混合物を100℃で12時間撹拌した。減圧下で溶媒を除去した。残留物を分取HPLC(Phenomenex Synergi C18 150×30mm×4μm、水(0.05%のHCl)-27%~47%のMeOH)により精製して、6-(ジフルオロメチル)-N-(7-(1-メトキシエチル)-2-(テトラヒドロ-2H-ピラン-4-イル)イミダゾ[1,2-a]ピリジン-6-イル)ピコリンアミド(4mg、10%収率)を無色液体として得た。LCMS (ESI) m/z 431.0 (M+H)H NMR (500 MHz, メタノール-d) δ ppm: 1.62 (d, J = 6.5 Hz, 3H), 1.86-1.92 (m, 2H), 2.04-2.07 (m, 2H), 3.23-3.31 (m, 1H), 3.53 (s, 3H), 3.62 (t, J = 12.0 Hz, 2H), 4.06-4.10 (m, 2H), 4.90-4.93 (m, 1H), 6.73-6.96 (m, 1H), 7.82 (s, 1H), 7.99-7.96 (m, 1H), 8.12 (s, 1H), 8.25-8.29 (m, 1H), 8.40-8.42 (m, 1H), 9.92 (s, 1H)。
実施例314:6-(ジフルオロメチル)-N-(7-(メトキシメチル)-2-(テトラヒドロ-2H-ピラン-4-イル)イミダゾ[1,2-a]ピリジン-6-イル)ピコリンアミド
Figure 0007576552000222
ステップa:実施例313(ステップb):(6-ブロモ-2-(テトラヒドロ-2H-ピラン-4-イル)イミダゾ[1,2-a]ピリジン-7-イル)メタノール(200mg、642.74μmol)のTHF(6.43mL)中溶液に、NaH(38.56mg、964.11μmol、60%純度)を0℃で添加し、溶液を15分間撹拌し、次いで、ヨードメタン(127.72mg、899.84μmol)を添加し、反応物を室温で2時間撹拌した。混合物を水でクエンチし、EtOAc(3×)で抽出し、MgSO上で乾燥し、濾過し、減圧下で濃縮した。粗生成物をシリカゲルカラムクロマトグラフィー(ヘプタン中0~50%の3:1のEtOAc/EtOH)により精製して、6-ブロモ-7-(メトキシメチル)-2-テトラヒドロピラン-4-イル-イミダゾ[1,2-a]ピリジン(120mg、57.41%収率)を得た。LCMS (ESI) m/z 327.0 (M+H)
ステップb:6-(ジフルオロメチル)-N-(7-(メトキシメチル)-2-(テトラヒドロ-2H-ピラン-4-イル)イミダゾ[1,2-a]ピリジン-6-イル)ピコリンアミド2,2,2-トリフルオロ酢酸塩は、実施例315に記載の方法に従って、6-ブロモ-7-(メトキシメチル)-2-テトラヒドロピラン-4-イル-イミダゾ[1,2-a]ピリジン及び6-(ジフルオロメチル)ピコリンアミドから調製された(37.70mg、90.53μmol、45.29%収率)。LCMS (ESI) m/z 417.2 (M+H)H NMR (500 MHz DMSO-d) δ ppm 1.69 - 1.77 (m, 2H), 1.92 - 2.00 (m, 2H), 3.17 (br t, J=11.29 Hz, 1H), 3.46 - 3.53 (m, 1H), 3.57 (s, 1H), 3.54 - 3.60 (m, 1H), 3.98 (br dd, J=11.29, 2.14 Hz, 2H), 4.74 - 4.87 (m, 1H), 4.81 (s, 1H), 7.01 - 7.26 (m, 1H), 7.92 (s, 1H), 8.06 (d, J=7.32 Hz, 1H), 8.29 (br s, 1H), 8.33 - 8.40 (m, 2H), 9.69 (s, 1H), 11.08 (s, 1H)。
実施例315:N-(7-(ジフルオロメチル)-2-(テトラヒドロ-2H-ピラン-4-イル)イミダゾ[1,2-a]ピリジン-6-イル)-6-メチルピコリンアミド
Figure 0007576552000223
ステップa:実施例313(ステップc):6-ブロモ-2-(テトラヒドロ-2H-ピラン-4-イル)イミダゾ[1,2-a]ピリジン-7-カルバルデヒド(248mg、802.17μmol)のDCM(10.03mL)中混合物に、2-メトキシ-N-(2-メトキシエチル)-N-(トリフルオロ-λ4-スルファニル)エタンアミン(887.36mg、2.01mmol、50%純度)を0℃で添加し、反応物を室温に自然昇温させ、一晩撹拌した。反応物を飽和NaHCO水溶液でクエンチし、DCM(3×)で抽出し、MgSO上で乾燥し、濾過し、減圧下で濃縮した。残留物をシリカゲルカラムクロマトグラフィー(ヘプタン中0~40%のEtOAc)により精製して、6-ブロモ-7-(ジフルオロメチル)-2-(テトラヒドロ-2H-ピラン-4-イル)イミダゾ[1,2-a]ピリジンを得た(100mg、301.97μmol、37.64%収率)。LCMS (ESI) m/z 333.0 (M+H)
ステップb:N-(7-(ジフルオロメチル)-2-(テトラヒドロ-2H-ピラン-4-イル)イミダゾ[1,2-a]ピリジン-6-イル)-6-メチルピコリンアミド2,2,2-トリフルオロ酢酸塩は、実施例306のステップbに記載されたのと同じ方法に従って、6-ブロモ-7-(ジフルオロメチル)-2-(テトラヒドロ-2H-ピラン-4-イル)イミダゾ[1,2-a]ピリジン及び6-メチルピコリンアミドから調製された(52mg、89.14%収率)。LCMS (ESI) m/z 387.3 (M+H)H NMR (500 MHz DMSO-d) δ ppm 1.74 (qd, J=12.11, 3.97 Hz, 2H), 1.96 (br d, J=12.82 Hz, 2H), 2.63 (s, 3H), 3.14 (br t, J=11.60 Hz, 1H), 3.47- 3.53 (m, 1H), 3.92 - 3.98 (m, 2H), 7.25 - 7.49 (m, 1H), 7.60 - 7.65 (m, 1H), 7.98 - 8.07 (m, 2H), 8.22 (br s, 1H), 9.48 (br s, 1H), 10.72 (br s, 1H)。
実施例316:N-(2-(1-シアノエチル)-7-エトキシイミダゾ[1,2-a]ピリジン-6-イル)-6-(ジフルオロメチル)ピコリンアミド
Figure 0007576552000224
ステップa:5-ブロモ-4-エトキシピリジン-2-アミン(1.00g、4.61mmol)のEtOH(10mL)中溶液に、NaHCO(774.07mg、9.22mmol)及び1-ブロモブタン-2,3-ジオン(760.11mg、4.61mmol)を添加し、反応物を80℃で14時間撹拌した。冷却した反応物をCelite(登録商標)を通して濾過し、濾液を減圧下で濃縮した。combi-flash(DCM/MeOH=20/1)を使用したシリカゲルカラムクロマトグラフィーにより残留物を精製し、分取TLC(DCM/MeOH=20/1)により更に精製して、1-(6-ブロモ-7-エトキシイミダゾ[1,2-a]ピリジン-2-イル)エタン-1-オン(200mg、15%収率)を黄色固体として得た。H NMR (400 MHz, クロロホルム-d) δ ppm: 1.54 (t, J = 6.8 Hz, 3H), 2.68 (s, 3H), 4.18-4.12 (m, 2H), 6.92 (s, 1H), 7.94 (s, 1H), 8.28 (s, 1H)。
ステップb:TosMIC(77.58mg、0.4mmol)のDMSO(5mL)及びMeOH(0.5mL)中混合物に、KOt-Bu(148.63mg、1.32mmol)を添加し、混合物を15℃で15分撹拌した。1-(6-ブロモ-7-エトキシイミダゾ[1,2-a]ピリジン-2-イル)エタン-1-オン(75mg、0.26mmol)を添加し、反応物を15℃で45分間撹拌した。混合物を水(20mL)で希釈し、EtOAc(10mL×2)で抽出した。合わせた有機抽出物をブライン(10mL)で洗浄し、NaSO上で乾燥し、濾過し、減圧下で蒸発させた。残留物を分取TLC(DCM/MeOH=20/1)により精製して、2-(6-ブロモ-7-エトキシイミダゾ[1,2-a]ピリジン-2-イル)プロパンニトリル(60mg、73%収率)を白色固体として得た。H NMR (300 MHz, CDCl): 1.53 (t, J = 6.8 Hz, 3H), 1.75 (d, J = 7.2 Hz, 3H), 4.04-4.16 (m, 3H), 6.86 (s, 1H), 7.43 (s, 1H), 8.21 (s, 1H)。
ステップc:2-(6-ブロモ-7-エトキシイミダゾ[1,2-a]ピリジン-2-イル)プロパンニトリル(30mg、0.1mmol)及び6-(ジフルオロメチル)ピコリンアミド(21.07mg、0.12mmol)のトルエン(4mL)中混合物に、Pd(dba)(9.34mg、0.01mmol)、キサントホス(11.8mg、0.02mmol)、及びCsCO(66.46mg、0.2mmol)を添加し、反応物を100℃で12時間撹拌した。冷却した混合物を減圧下で蒸発させ、残留物を酸で調節した分取HPLCにより精製して、N-(2-(1-シアノエチル)-7-エトキシイミダゾ[1,2-a]ピリジン-6-イル)-6-(ジフルオロメチル)ピコリンアミド(10mg、25%収率)を白色固体として得た。LCMS (ESI) m/z 386.0 (M+H)H NMR (500 MHz, メタノール-d) δ ppm: 1.68 (t, J = 7.0 Hz, 3H), 1.81 (d, J = 7.0 Hz, 3H), 4.46-4.51 (m, 2H), 4.57-4.62 (m, 1H), 6.96-6.99 (m, 1H), 7.33 (s, 1H), 7.96-7.99 (m, 1H), 8.15 (s, 1H), 8.26-8.30 (m, 1H), 8.39-8.42 (m, 1H), 9.82 (s, 1H), 10.77 (s, 1H)。
中間体22:6-ブロモ-2-(1-メチル-2-オキサビシクロ[2.1.1]ヘキサン-4-イル)-7-((1,1,1-トリフルオロプロパン-2-イル)オキシ)イミダゾ[1,2-a]ピリジン
Figure 0007576552000225
ステップa:5-ブロモ-4-(2,2,2-トリフルオロプロパン-2-イル)オキシ)ピリジン-2-アミンは、実施例306のステップaに記載されたのと同じ方法に従って、4-((1,1,1-トリフルオロプロパン-2-イル)オキシ)ピリジン-2-アミンから調製された(850mg、87.70%収率)。LCMS (ESI) m/z 284.9 (M+H)
ステップb:NaHCO(442.06mg、5.26mmol)、5-ブロモ-4-(2,2,2-トリフルオロプロパン-2-イル)オキシ)ピリジン-2-アミン(500mg、1.75mmol)、及び2-ブロモ-1-(1-メチル-2-オキサビシクロ[2.1.1]ヘキサン-4-イル)エタン-1-オン(384.27mg、1.75mmol)のMeCN(2.92mL)及びトルエン(2.92mL)中混合物を、90℃で一晩撹拌した。反応混合物を室温に冷却し、MeOH及びシリカゲルを添加し、混合物を減圧下で濃縮した。固体をシリカゲルカラムクロマトグラフィー(ヘプタン中0~50%の3:1のEtOAc:EtOH)により精製して、6-ブロモ-2-(1-メチル-2-オキサビシクロ[2.1.1]ヘキサン-4-イル)-7-((1,1,1-トリフルオロプロパン-2-イル)オキシ)イミダゾ[1,2-a]ピリジン(500mg、70.51%収率)を得た。LCMS (ESI) m/z 405.1, 407.1 (M+H)
実施例317、318、及び319:2-メトキシ-N-(2-(1-メチル-2-オキサビシクロ[2.1.1]ヘキサン-4-イル)-7-((1,1,1-トリフルオロプロパン-2-イル)オキシ)イミダゾ[1,2-a]ピリジン-6-イル)ニコチンアミド、ならびに2-メトキシ-N-(2-(1-メチル-2-オキサビシクロ[2.1.1]ヘキサン-4-イル)-7-((1,1,1-トリフルオロプロパン-2-イル)オキシ)イミダゾ[1,2-a]ピリジン-6-イル)ニコチンアミドのエナンチオマー1及び2
Figure 0007576552000226
実施例317:2-メトキシ-N-(2-(1-メチル-2-オキサビシクロ[2.1.1]ヘキサン-4-イル)-7-((1,1,1-トリフルオロプロパン-2-イル)オキシ)イミダゾ[1,2-a]ピリジン-6-イル)ニコチンアミド2,2,2-トリフルオロ酢酸塩は、実施例307のステップbに記載の方法に従って、中間体22:6-ブロモ-2-(1-メチル-2-オキサビシクロ[2.1.1]ヘキサン-4-イル)-7-((1,1,1-トリフルオロプロパン-2-イル)オキシ)イミダゾ[1,2-a]ピリジン及び2-メトキシピリジン-3-カルボキサミドから調製された(47.20mg、64.78%収率)。LCMS (ESI) m/z 477.3 (M+H)H NMR (500 MHz DMSO-d) δ ppm 1.42 - 1.52 (m, 3H), 1.64 (d, J=6.71Hz, 3H), 1.86 (br d, J=3.66Hz, 2H), 2.13 (br s, 2H), 3.85 - 4.01 (m, 2H), 4.07 - 4.19 (m, 3H), 5.91 (br s, 1H), 7.32 (dd, J=7.94, 4.88 Hz, 1H), 7.62 (br s, 1H), 8.08 - 8.29 (m, 1H), 8.45 - 8.54 (m, 1H), 9.85 (br s, 1H), 10.31 (br s, 1H) 。
LUX Cellulose-4 LC 30×250mm、5μmカラムを使用し、0.1%のDEAを含有するCO中40%のMeOH(流速:100mL/分、ABPR 120バール、MBPR 40psi、カラム温度40℃)により溶出するSFCにより、この化合物を更に精製して、エナンチオマー1を得た。
H NMR (400 MHz, CDCl) δ ppm 1.58 (s, 2H), 1.67 - 1.79 (m, 1H), 1.72 (br d, J=4.52 Hz, 2H), 2.01 (br s, 2H), 2.17 (br d, J=12.80 Hz, 2H), 4.10 (s, 2H), 4.24 (s, 3H), 4.98 (br s, 1H), 7.18 (dd, J=7.53, 4.77 Hz, 1H), 7.36 (s, 1H), 8.41 (br d, J=3.26 Hz, 1H), 8.61 (dd, J=7.53, 2.01 Hz, 1H), 9.75 (br d, J=8.03 Hz, 1H), 10.36 (br s, 1H)。
更なる溶出によりエナンチオマー2を得た。
H NMR (400 MHz, CDCl) δ ppm 1.57 (s, 3H) 1.72 (d, J=6.53 Hz, 3H) 1.97 - 2.04 (m, 2H) 2.25 (br s, 2H) 4.10 (s, 2H) 4.24 (s, 3H) 5.01 (br s, 1H) 7.18 (dd, J=7.53, 4.77 Hz, 1H) 7.35 (s, 1H) 8.41 (br d, J=3.51 Hz, 1H) 8.61 (dd, J=7.78, 2.01 Hz, 1H) 9.78 (br s, 1H) 10.39 (br s, 1H)。
実施例320:N-(7-(シクロプロポキシ)-2-(テトラヒドロ-2H-ピラン-4-イル)イミダゾ[1,2-a]ピリジン-6-イル)-6-(ジフルオロメチル)ピコリンアミド
Figure 0007576552000227
ステップa:4-(シクロプロポキシ)ピリジン-2-アミン(600.72mg、4.00mmol)のMeCN(8mL)中混合物に、1-ブロモピロリジン-2,5-ジオン(711.92mg、4.00mmol)を0℃で添加し、反応物を室温で2時間撹拌した。反応物を飽和NaHCO水溶液でクエンチし、EtOAc(3×)で抽出し、合わせた有機層をブラインで洗浄し、MgSO上で乾燥し、濾過し、減圧下で蒸発させて、5-ブロモ-4-(シクロプロポキシ)ピリジン-2-アミン(900mg、3.93mmol、98.22%収率)を得た。LCMS (ESI) m/z 229.0 (M+H)
ステップb:5-ブロモ-4-(シクロプロポキシ)ピリジン-2-アミン(700.95mg、3.06mmol)、2-ブロモ-1-(テトラヒドロ-2H-ピラン-4-イル)エタン-1-オン(633.60mg、3.06mmol)、及びNaHCO(771.21mg、9.18mmol、357.04uL)のMeCN(4.37mL)及びトルエン(4.37mL)中混合物を、90℃で一晩加熱した。反応混合物を室温に冷却し、シリカゲルを添加し、混合物を減圧下で濃縮した。固体をドライロードを介したシリカゲルカラムクロマトグラフィー(ヘプタン中0~30%の3:1のEtOAc/EtOH)により精製して、6-ブロモ-7-(シクロプロポキシ)-2-テトラヒドロピラン-4-イル-イミダゾ[1,2-a]ピリジン(650mg、1.93mmol、62.99%収率)を得た。LCMS (ESI) m/z 337.0(M+H)
ステップc:N-(7-シクロプロポキシ-2-(テトラヒドロ-2H-ピラン-4-イル)イミダゾ[1,2-a]ピリジン-6-イル)-6-(ジフルオロメチル)ピコリンアミド2,2,2-トリフルオロ酢酸塩は、実施例307のステップaに記載の方法に従って、6-ブロモ-7-(シクロプロポキシ)-2-テトラヒドロピラン-4-イル-イミダゾ[1,2-a]ピリジン及び6-(ジフルオロメチル)ピコリンアミドから調製された(42.80mg、99.90μmol、48.12%収率)。LCMS (ESI) m/z 429.3 (M+H)H NMR (500 MHz DMSO-d) δ ppm 0.93 - 0.99 (m, 2H) 1.01 - 1.05 (m, 2H) 1.64 - 1.80 (m, 2H) 1.96 (br dd, J=12.51, 2.14 Hz, 2H) 3.13 (br t, J=11.90 Hz, 1H) 3.47 - 3.51 (m, 2H) 3.95 - 3.99 (m, 2H) 4.41 (br d, J=3.05 Hz, 1H) 7.05 - 7.30 (m, 1H) 7.53 (s, 1H) 8.06 (dd, J=6.71, 2.44 Hz, 1H) 8.15 (s, 1H) 8.34 - 8.38 (m, 1H) 9.72 (s, 1H) 10.41 (s, 1H)。
実施例321:N-(7-クロロ-8-メチル-2-(テトラヒドロ-2H-ピラン-4-イル)イミダゾ[1,2-a]ピリジン-6-イル)-3-(ジフルオロメチル)ベンズアミド
Figure 0007576552000228
6-ブロモ-7-クロロ-8-メチル-2-(テトラヒドロ-2H-ピラン-4-イル)イミダゾ[1,2-a]ピリジンは、実施例320のステップa及びbに記載されたのと同じ合成手順に従って、4-クロロ-3-メチルピリジン-2-アミン及び2-ブロモ-1-(テトラヒドロ-2H-ピラン-4-イル)エタン-1-オンから調製された(560mg、1.77mmol、61.40%収率)。LCMS (ESI) m/z 316.9 (M+H)
ステップc:6-ブロモ-7-クロロ-8-メチル-2-(テトラヒドロ-2H-ピラン-4-イル)イミダゾ[1,2-a]ピリジン(110mg、333.72μmol)、キサントホス(32.83mg、56.73μmol)、Pd(dba)(24.45mg、26.70μmol)、CsCO(217.46mg、667.44μmol)、及び6-(ジフルオロメチル)ピコリンアミド(54.57mg、317.03μmol)を投入したバイアルをNによりパージし、セプタムを備えたスクリューキャップで密閉した。トルエン(2.43mL)を室温で添加し、バイアルを密閉し、100℃で一晩加熱した。反応混合物を室温に冷却し、濾過し、減圧下で濃縮し、残留物をTFAで改質した質量分析計直結HPLCにより精製して、N-(7-クロロ-8-メチル-2-(テトラヒドロ-2H-ピラン-4-イル)イミダゾ[1,2-a]ピリジン-6-イル)-3-(ジフルオロメチル)ベンズアミド2,2,2-トリフルオロ酢酸塩(80.10mg、190.33μmol、57.03%収率)を得た。LCMS (ESI) m/z 421.3 (M+H)H NMR (400 MHz, CDCl) δ ppm 1.83 (qd, J=12.34, 4.14 Hz, 2H), 2.11 (br d, J=10.79 Hz, 2H), 2.70 - 2.87 (m, 3H), 3.21 - 3.36 (m, 1H), 3.56 - 3.68 (m, 2H), 4.13 (dd, J=11.67, 3.39 Hz, 2H), 6.59 - 6.90 (m, 1H), 7.49 (s, 1H), 7.95 (d, J=7.78 Hz, 1H), 8.18 (t, J=7.78 Hz, 1H), 8.42 (d, J=7.78 Hz, 1H), 9.81 (s, 1H), 10.79 (s, 1H)。
実施例322:6-(ジフルオロメチル)-N-(8-フルオロ-7-イソプロポキシ-2-(1-メチル-2-オキサビシクロ[2.1.1]ヘキサン-4-イル)イミダゾ[1,2-a]ピリジン-6-イル)ピコリンアミド
Figure 0007576552000229
ステップa:2-クロロ-3-フルオロピリジン-4-オール(5.00g、33.89mmol)及びKCO(14.05g、101.67mmol)のアセトン(169.45mL)中溶液に、2-ヨードプロパン(11.52g、67.78mmol)を添加し、反応物を50℃で2日間加熱した。冷却した混合物を濾過し、減圧下で濃縮し、残留物をカラムクロマトグラフィーにより精製して、2-クロロ-3-フルオロ-4-イソプロポキシピリジン(5.10g、26.90mmol、79.37%収率)を得た。LCMS (ESI) m/z: 189.9 (M+H)+。
ステップb:2-クロロ-3-フルオロ-4-イソプロポキシピリジン(5.10g、26.90mmol)、カルバミン酸t-ブチル(4.41g、37.66mmol)、キサントホス-Pd-G3(1.28g、1.35mmol)、及びCsCO(17.53g、53.80mmol)のトルエン(100mL)中混合物を脱気し、反応物を70℃で一晩撹拌した。冷却した混合物を減圧下で蒸発させた。残留物をジオキサン(65mL)中に懸濁させ、4MのHCl(13mL)を添加し、全ての出発物質が消費されるまで反応物を室温で撹拌した。溶液を減圧下で濃縮し、粗製物をシリカゲルカラムクロマトグラフィーにより精製して、3-フルオロ-4-イソプロポキシピリジン-2-アミン塩酸塩(1.30g、29.4%)を得た。LCMS (ESI) m/z 171.0 (M+H)
ステップc:3-フルオロ-4-イソプロポキシピリジン-2-アミン塩酸塩(1.30g、7.64mmol)及びNBS(1.36g、7.64mmol)のMeCN(76.4mL)中混合物を、室温で10分間撹拌した。反応物を飽和NaHCO水溶液で希釈し、EtOAcで抽出し、合わせた有機抽出物をNaSO上で乾燥し、濾過し、減圧下で濃縮した。粗生成物をEtOAc中0~10%のEtOHの勾配を使用したシリカゲルカラムクロマトグラフィーにより精製して、5-ブロモ-3-フルオロ-4-イソプロポキシピリジン-2-アミン(1.32g、5.30mmol)を得た。LCMS (ESI) m/z 248.9 (M+H)
ステップd:5-ブロモ-3-フルオロ-4-イソプロポキシピリジン-2-アミン(1.20g、4.82mmol)、2-ブロモ-1-(1-メチル-2-オキサビシクロ[2.1.1]ヘキサン-4-イル)エタン-1-オン(1.06g、4.82mmol)、及びNaHCO(1.21g、14.46mmol)のMeCN(28.92mL)中混合物を80℃で一晩加熱した。反応物を室温に冷却し、濾過し、減圧下で濃縮した。粗製物をヘプタン中0~100%のEtOAcを使用したシリカゲルカラムクロマトグラフィーにより精製して、6-ブロモ-8-フルオロ-7-イソプロポキシ-2-(1-メチル-2-オキサビシクロ[2.1.1]ヘキサン-4-イル)イミダゾ[1,2-a]ピリジン(750mg、42.12%収率)を得た。LCMS (ESI) m/z 370.9 (M+H)
ステップe:6-ブロモ-8-フルオロ-7-イソプロポキシ-2-(1-メチル-2-オキサビシクロ[2.1.1]ヘキサン-4-イル)イミダゾ[1,2-a]ピリジン(51mg、138.13μmol)、6-(ジフルオロメチル)ピコリンアミド(33.29mg、193.38μmol)、キサントホス-Pd-G3(13.10mg、13.81μmol)、及びCsCO(90.01mg、276.3μmol)のトルエン(1.35mL)中混合物をN下で100℃にて一晩撹拌した。冷却した反応物を水とEtOAcとの間で分配し、有機相を減圧下で濃縮した。粗製物をシリカゲルカラムクロマトグラフィー(0~100%のEtOAc-ヘプタン)により精製して、6-(ジフルオロメチル)-N-(8-フルオロ-7-イソプロポキシ-2-(1-メチル-2-オキサビシクロ[2.1.1]ヘキサン-4-イル)イミダゾ[1,2-a]ピリジン-6-イル)ピコリンアミドを得た。LCMS (ESI) m/z 461.0 (M+H)H NMR (500 MHz DMSO-d) δ ppm 1.37-1.46 (m, 9H), 1.77 (dd, J=1.37, 4.27 Hz, 2H), 2.01 (dd, J=1.37, 4.27 Hz, 2H), 3.89 (s, 2H), 4.72 (td, J=5.78, 12.40 Hz, 1H), 7.01-7.30 (m, 1H), 7.98-8.11 (m, 2H), 8.25-8.40 (m, 2H), 9.38 (s, 1H), 10.43 (s, 1H)。
実施例323:2-(ジフルオロメトキシ)-N-(8-フルオロ-7-イソプロポキシ-2-(1-メチル-2-オキサビシクロ[2.1.1]ヘキサン-4-イル)イミダゾ[1,2-a]ピリジン-6-イル)ニコチンアミド
Figure 0007576552000230
ステップa:2-(ジフルオロメトキシ)ニコチン酸メチル(PCT国際出願2018、第2018065962号)(260mg、1.28mmol)のTHF(2mL)中溶液に、NHOH(3mL)を添加し、反応物を40℃で2時間撹拌した。混合物を1MのHCl水溶液を使用して中性化し、水(50mL)で希釈し、次いで、EtOAc(100mL×3)で抽出した。合わせた有機抽出物をブライン(50mL)で洗浄し、NaSO上で乾燥し、濾過した。濾液を減圧下で濃縮し、残留物をCombiflash(登録商標)を使用したシリカゲルカラムクロマトグラフィー(PE/EtOAc=10/1~3/1)により精製して、2-(ジフルオロメトキシ)ニコチンアミド(200mg、74.75%収率)を白色固体として得た。LCMS (ESI) m/z 188.0 (M+H)H NMR (500MHz, CDCl) δ ppm: 6.02-5.85 (m, 1H), 7.29 (dd, J = 5.0 Hz, 8.0 Hz, 1H), 7.50-7.79 (m, 1H), 8.32 (dd, J = 2.0 Hz, 5.0 Hz, 1H), 8.62 (dd, J = 2.0 Hz, 8.0 Hz, 1H)。
ステップb:実施例322のステップd:6-ブロモ-8-フルオロ-7-イソプロポキシ-2-(1-メチル-2-オキサビシクロ[2.1.1]ヘキサン-4-イル)イミダゾ[1,2-a]ピリジン(30mg、81.25μmol)のトルエン(2mL)中溶液に、2-(ジフルオロメトキシ)ニコチンアミド(30.57mg、162.50μmol)、キサントホス(9.40mg、16.25μmol)、CsCO(52.95mg、162.50μmol)、及びPd(dba)(7.44mg、8.12μmol)をN下で添加し、反応物を100℃で16時間撹拌した。冷却した反応混合物を濾過し、水/10mMのNHHCO-42~72%のMeCNにより溶出する分取HPLC(カラム:Welch Xtimate C18 150×25mm×5μm)により濾液を精製して、2-(ジフルオロメトキシ)-N-(8-フルオロ-7-イソプロポキシ-2-(1-メチル-2-オキサビシクロ[2.1.1]ヘキサン-4-イル)イミダゾ[1,2-a]ピリジン-6-イル)ニコチンアミドをオフホワイトの固体として得た。
LCMS (ESI) m/z 477.2 (M+H)H NMR (500MHz, メタノール-d) δ ppm: 1.48 (d, J = 6.0 Hz, 6H), 1.52 (s, 3H), 1.90 (dd, J = 1.5 Hz, 4.5 Hz, 2H), 2.15 (dd, J = 1.5 Hz, 4.5 Hz, 2H), 4.04 (s, 2H), 4.96-5.02 (m, 1H), 7.45 (dd, J = 5.0 Hz, 7.5Hz, 1H), 7.75-8.09 (m, 2H), 8.45 (dd, J = 2.0 Hz, 5.0 Hz, 1H), 8.60 (dd, J = 2.0 Hz, 7.5 Hz, 1H), 9.45 (s, 1H)。
実施例324:1-(ジフルオロメチル)-N-(8-フルオロ-7-イソプロポキシ-2-(1-メチル-2-オキサビシクロ[2.1.1]ヘキサン-4-イル)イミダゾ[1,2-a]ピリジン-6-イル)-2-オキソ-1,2-ジヒドロピリジン-3-カルボキサミド
Figure 0007576552000231
ステップa:1-(ジフルオロメチル)-2-オキソ-ピリジン-3-カルボン酸(499.28mg、2.64mmol)のDCM(4.40mL)中溶液に、(COCl)(368.60mg、2.90mmol)を添加し、反応物を一晩撹拌した。DIPEA(682.39mg、5.28mmol)、続いて、アンモニア(0.4M、13.20mL)を添加し、溶液を室温で撹拌した。混合物を減圧下で濃縮し、残留物をブライン中に再溶解し、EtOAcで抽出した。合わせた有機抽出物をブラインで洗浄し、乾燥し、減圧下で蒸発させて、1-(ジフルオロメチル)-2-オキソ-ピリジン-3-カルボキサミドを得、これを更に精製することなく使用した。H NMR (400 MHz, メタノール-d) δ ppm: 6.68 (t, J=7.03 Hz, 1H) 7.65 - 7.94 (m, 1H) 8.03 (dd, J=7.28, 2.26 Hz, 1H) 8.46 - 8.60 (m, 1H) 。
ステップb:実施例322のステップd:6-ブロモ-8-フルオロ-7-イソプロポキシ-2-(1-メチル-2-オキサビシクロ[2.1.1]ヘキサン-4-イル)イミダゾ[1,2-a]ピリジン(90mg、243.75μmol)、XPhos Pd G3(10.41mg、12.19μmol)、KPO(103.48mg、487.50μmol)、及び1-(ジフルオロメチル)-2-オキソ-ピリジン-3-カルボキサミド(91.71mg、487.50μmol)の混合物をNによりパージし、セプタムを備えたスクリューキャップで密閉した。tBuOH(1.22mL)を添加し、バイアルを密閉し、80℃で一晩加熱した。反応混合物を室温に冷却し、濾過し、水で希釈し、EtOAcで抽出した。合わせた有機抽出物を乾燥し、減圧下で濃縮し、残留物をTFAで調節した逆相HPLCにより精製して、1-(ジフルオロメチル)-N-(8-フルオロ-7-イソプロポキシ-2-(1-メチル-2-オキサビシクロ[2.1.1]ヘキサン-4-イル)イミダゾ[1,2-a]ピリジン-6-イル)-2-オキソ-1,2-ジヒドロピリジン-3-カルボキサミド2,2,2-トリフルオロ酢酸塩(2.40mg、4.07μmol、1.67%収率)を得た。LCMS (ESI) m/z 476.9 (M+H)H NMR (500 MHz, メタノール-d) δ ppm: 1.54 (s, 3H), 1.59 (d, J=5.49 Hz, 5H), 1.94 - 2.05 (m, 3H), 2.10 - 2.28 (m, 2H), 4.06 (s, 2H), 5.26 (td, J=6.10, 1.83 Hz, 1H), 6.80 (t, J=7.02 Hz, 1H), 7.77 - 8.21 (m, 3H), 8.72 (dd, J=7.33, 1.83 Hz, 1H), 9.78 (s, 1H), 12.35 (s, 1 H)。
実施例325:N-(8-フルオロ-7-イソプロポキシ-2-(1-メチル-2-オキサビシクロ[2.2.1]ヘプタン-4-イル)イミダゾ[1,2-a]ピリジン-6-イル)-1-メチル-1H-ピラゾール-3-カルボキサミド
Figure 0007576552000232
ステップa:実施例322のステップc:5-ブロモ-3-フルオロ-4-イソプロポキシピリジン-2-アミン(775.90mg、3.09mmol)、2-ブロモ-1-(1-メチル-2-オキサビシクロ[2.2.1]ヘプタン-4-イル)エタン-1-オン(720.28mg、3.09mmol)、及びKCO(854.14mg、6.18mmol)のMeCN(30.90mL)中混合物を80℃で一晩加熱した。冷却する反応混合物を減圧下で濃縮し、残留物を0~100%のEtOAc-ヘプタンの勾配を使用したシリカゲルカラムクロマトグラフィーにより精製して、6-ブロモ-8-フルオロ-7-イソプロポキシ-2-(1-メチル-2-オキサビシクロ[2.2.1]ヘプタン-4-イル)イミダゾ[1,2-a]ピリジンを得た。LCMS (ESI) m/z 383.0 (M+H)
ステップb:6-ブロモ-8-フルオロ-7-イソプロポキシ-2-(1-メチル-2-オキサビシクロ[2.2.1]ヘプタン-4-イル)イミダゾ[1,2-a]ピリジン(123mg、320.94μmol)、1-メチルピラゾール-3-カルボキサミド(48.19mg、385.13μmol)、キサントホス-Pd-G3(30.44mg、32.09μmol)、及びCsCO(418.27mg、1.28mmol)のトルエン(3.21mL)中混合物をNにより脱気し、反応物を80℃で一晩撹拌した。冷却した混合物を減圧下で蒸発させ、残留物を逆相HPLC(水中5%~70%のMeCNの酸性勾配)により精製した。LCMS (ESI) m/z 428.0 (M+H)H NMR (500 MHz, メタノール-d) δ ppm: 1.48 (d, J=4.27 Hz, 6H), 1.50 (s, 3H), 1.79-1.94 (m, 2H), 1.97-2.04 (m, 2H), 2.07-2.14 (m, 1H), 2.14-2.22 (m, 1H), 3.94-3.98 (m, 1H), 4.03 (s, 3H), 4.04-4.08 (m, 1H), 4.80-4.86 (m, 1H), 6.85 (d, J=2.29 Hz, 1H), 7.74 (dd, J=2.67, 6.94 Hz, 2H), 9.25 (d, J=1.22 Hz, 1H)。
実施例326、327、及び328:N-(7-(sec-ブトキシ)-8-フルオロ-2-(1-メチル-2-オキサビシクロ[2.1.1]ヘキサン-4-イル)イミダゾ[1,2-a]ピリジン-6-イル)-2-メトキシニコチンアミド、ならびにN-(7-(sec-ブトキシ)-8-フルオロ-2-(1-メチル-2-オキサビシクロ[2.1.1]ヘキサン-4-イル)イミダゾ[1,2-a]ピリジン-6-イル)-2-メトキシニコチンアミドのエナンチオマー1及び2
Figure 0007576552000233
ステップa:2-クロロ-3-フルオロピリジン-4-オール(1.00g、6.78mmol)、KCO(2.81g、20.34mmol)、及び2-ヨードブタン(2.50g、13.56mmol)のアセトン(33.90mL)中混合物を還流下で一晩加熱した。冷却した混合物を濾過し、固体をEtOAc中に溶解し、水で洗浄した。有機溶液をNaSO上で乾燥し、減圧下で蒸発させて、4-(sec-ブトキシ)-2-クロロ-3-フルオロピリジンを得た。LCMS (ESI) m/z 203.0 (M+H)
ステップb:4-(sec-ブトキシ)-2-クロロ-3-フルオロピリジン(891.95mg、4.38mmol)、KCO(1.21g、8.76mmol)、BrettPhos Pd G3(396.68mg、438.0μmol)、及びカルバミン酸tert-ブチル(1.02g、8.76mmol)のtBuOH(43.80mL)中混合物をNにより脱気し、反応物を80℃で一晩撹拌した。冷却した反応物を水で希釈し、EtOAcで抽出し、合わせた有機抽出物を減圧下で蒸発させた。粗生成物をシリカゲルカラムクロマトグラフィー(0~100%のEtOAc-ヘプタン)により精製して、(4-(sec-ブトキシ)-3-フルオロピリジン-2-イル)カルバミン酸tert-ブチルを得た。次いで、これをジオキサン中4NのHCl中で2時間撹拌し、減圧下で蒸発させて、4-(sec-ブトキシ)-3-フルオロピリジン-2-アミンを得た。LCMS (ESI) m/z 185.0 (M+H)
ステップc:4-(sec-ブトキシ)-3-フルオロピリジン-2-アミン(220mg、1.19mmol)のMeCN(10mL)中溶液に、NBS(211.80mg、1.19mmol)を添加し、反応物を1時間撹拌した。反応物を水で希釈し、EtOAcで抽出した。合わせた有機抽出物を減圧下で蒸発させ、残留物をシリカゲルカラムクロマトグラフィー(0~100%のEtOAc-ヘプタン)により精製して、5-ブロモ-4-(sec-ブトキシ)-3-フルオロピリジン-2-アミンを得た。LCMS (ESI) m/z 264.0 (M+H)
ステップd:5-ブロモ-4-(sec-ブトキシ)-3-フルオロピリジン-2-アミン(80mg、304.06μmol)、2-ブロモ-1-(1-メチル-2-オキサビシクロ[2.1.1]ヘキサン-4-イル)エタン-1-オン(66.61mg、304.06μmol)、及びNaHCO3(76.63mg、912.18μmol)のMeCN(5mL)中混合物を80℃で一晩加熱した。反応物を室温に冷却し、フリットを通して濾過し、濾液を減圧下で濃縮した。残留物をシリカゲルカラムクロマトグラフィー(ヘプタン中0~100%のEtOAc)により精製して、6-ブロモ-7-(sec-ブトキシ)-8-フルオロ-2-(1-メチル-2-オキサビシクロ[2.1.1]ヘキサン-4-イル)イミダゾ[1,2-a]ピリジン(36mg、93.93μmol、30.89%収率)を得た。LCMS (ESI) m/z 383.0(M+H)
ステップd:6-ブロモ-7-(sec-ブトキシ)-8-フルオロ-2-(1-メチル-2-オキサビシクロ[2.1.1]ヘキサン-4-イル)イミダゾ[1,2-a]ピリジン(36mg、93.93μmol)、ならびに2-メトキシニコチンアミド(17.15mg、112.72μmol)、キサントホス-Pd-G3(8.91mg、9.39μmol)、及びCsCO(122.42mg、375.72μmol)のトルエン(469.65uL)中混合物をNにより脱気し、80℃で一晩加熱した。冷却した反応物を減圧下で蒸発させ、残留物をTFAで改質した逆相HPLCにより精製して、N-(7-(sec-ブトキシ)-8-フルオロ-2-(1-メチル-2-オキサビシクロ[2.1.1]ヘキサン-4-イル)イミダゾ[1,2-a]ピリジン-6-イル)-2-メトキシニコチンアミド2,2,2-トリフルオロ酢酸塩を得た。LCMS (ESI) m/z 455.0 (M+H)
CHIRALPAK IB 30×250mm、5μmを使用し、0.1%のDEAを含有するCO中30%のMeOH(流速:100mL/分、ABPR 120バール、MBPR 40psi、カラム温度40℃)により溶出するSFCにより、この化合物を更に精製して、エナンチオマー1を得た。
H NMR (500 MHz DMSO-d) δ ppm: 0.98 (t, J=7.40 Hz, 3H), 1.34 (d, J=6.10 Hz, 3H), 1.43 (s, 3H), 1.65-1.74 (m, 1H), 1.76 (dd, J=1.60, 4.20 Hz, 2H), 1.78-1.87 (m, 1H), 2.00 (dd, J=1.45, 4.20 Hz, 2H), 3.88 (s, 2H), 4.17 (s, 3H), 4.56-4.63 (m, 1H), 7.29 (t, J=6.18 Hz, 1H), 7.97 (d, J=3.05 Hz, 1H), 8.42-8.49 (m, 2H), 9.42 (s, 1H), 10.27 (s, 1H)。
更なる溶出により第2のエナンチオマーを得た。
H NMR (500 MHz DMSO-d) δ ppm: 0.98 (t, J=7.40 Hz, 3H), 1.34 (d, J=6.10 Hz, 3H), 1.43 (s, 3H), 1.66-1.74 (m, 1H), 1.76 (dd, J=1.53, 4.27 Hz, 2H), 1.78-1.88 (m, 1H), 2.00 (dd, J=1.45, 4.35 Hz, 2H), 3.88 (s, 2H), 4.17 (s, 3H), 4.56-4.65 (m, 1H), 7.29 (t, J=6.18 Hz, 1H), 7.97 (d, J=3.05 Hz, 1H), 8.40-8.50 (m, 2H), 9.42 (s, 1H), 10.27 (s, 1H)。
実施例329:6-(2,2-ジフルオロエトキシ)-N-(8-フルオロ-7-イソプロポキシ-2-(1-メチル-2-オキサビシクロ[2.1.1]ヘキサン-4-イル)イミダゾ[1,2-a]ピリジン-6-イル)ピコリンアミド
Figure 0007576552000234
ステップa:トリフェニルホスフィン(固体支持体上、1.77g、5.39mmol、80%純度)、シクロペンタノール(437.86mg、5.09mmol)、及びDIAD(1.10g、5.42mmol)を、THF(20mL)中の2-クロロ-3-フルオロピリジン-4-オール(500mg、3.39mmol)に逐次的に添加し、反応物を室温で2時間撹拌した。混合物を濾過し、減圧下で濃縮した。得られた固体をシリカゲルカラムクロマトグラフィー(0~65%のEtOAc-ヘプタン)により精製して、2-クロロ-4-(シクロペンチルオキシ)-3-フルオロピリジンを得た。LCMS (ESI) m/z 215.9 (M+H)
6-(2,2-ジフルオロエトキシ)-N-(8-フルオロ-7-イソプロポキシ-2-(1-メチル-2-オキサビシクロ[2.1.1]ヘキサン-4-イル)イミダゾ[1,2-a]ピリジン-6-イル)ピコリンアミド2,2,2-トリフルオロ酢酸塩は、実施例326に記載されたのと同様の合成手順に従って、2-クロロ-4-(シクロペンチルオキシ)-3-フルオロピリジン及び2-メトキシニコチンアミドから調製された。LCMS (ESI) m/z 467.0 (M+H)HNMR (500 MHz, メタノール-d) δ ppm: 1.42 (s, 3H), 1.62-1.73 (m, 2H), 1.74-1.84 (m, 2H), 1.89 (dd, J=1.68, 4.58 Hz, 2H), 1.99-2.07 (m, 4H), 2.12 (dd, J=1.68, 4.58 Hz, 2H), 3.95 (s, 2H), 4.15 (s, 3H), 5.48-5.57 (m, 1H), 7.14 (dd, J=4.81, 7.55 Hz, 1H), 7.97 (d, J=2.29 Hz, 1H), 8.33 (dd, J=1.91, 4.81 Hz, 1H), 8.47 (dd, J=1.83, 7.63 Hz, 1H), 9.68 (s, 1H), 10.30 (s, 1H)。
実施例330:6-(ジフルオロメチル)-N-(2-(テトラヒドロ-2H-ピラン-4-イル)イミダゾ[1,2-a]ピラジン-6-イル)ピコリンアミド
Figure 0007576552000235
ステップa:2-ブロモ-1-(テトラヒドロ-2H-ピラン-4-イル)エタン-1-オン(3.20g、15.43mmol)及び5-ブロモピラジン-2-アミン(1.79g、10.29mmol)のEtOH(100mL)中溶液を80℃で6時間加熱した。NaHCO(1.73g、20.58mmol)を添加し、更に12時間加熱し続けた。混合物を室温に冷却し、無機固体を濾過して取り除き、溶媒を減圧下で蒸発させた。残留物をHPLCにより精製して、6-ブロモ-2-テトラヒドロピラン-4-イル-イミダゾ[1,2-a]ピラジン(770mg、26.52%収率)を得た。LCMS (ESI) m/z 283.0 (M+H)
ステップb:6-(ジフルオロメチル)ピコリンアミド(91.51mg、531.65μmol)、6-ブロモ-2-テトラヒドロピラン-4-イル-イミダゾ[1,2-a]ピラジン(125mg、443.04μmol)、KOtBu(69.60mg、620.26μmol)、及び(R)-(+)-BINAP(27.59mg、44.30μmol)のジオキサン(50mL)中混合物をアルゴン(ガス)下で脱気した。Pd(dba)(12.74mg、22.15μmol)を添加し、反応物を還流下で2日間加熱した。冷却した混合物を減圧下で濃縮し、残留物をMeCN(50mL)中に懸濁させた。懸濁液をシリカパッドを通して濾過し、濾液を蒸発させた。得られる褐色固体をHPLCにより精製して、6-(ジフルオロメチル)-N-(2-(テトラヒドロ-2H-ピラン-4-イル)イミダゾ[1,2-a]ピラジン-6-イル)ピコリンアミド(17.60mg、10.64%収率)を得た。LCMS (ESI) m/z 374.2 (M+H)H NMR (400 MHz, CDCl) ppm: 1.77-1.95 (m, 2H), 1.96-2.07 (m, 2H), 3.00-3.12 (m, 1H), 3.44-3.62 (m, 2H), 4.03-4.12 (m, 2H), 6.71 (t, J = 55.0 Hz, 1H), 7.54 (s, 1H), 7.86 (d, J = 7.8 Hz, 1H), 8.10 (t, J = 7.8 Hz, 1H), 8.39 (d, J = 7.8 Hz, 1H), 8.84 (s, 1H), 9.33 (s, 1H), 10.18 (s, 1H)。
実施例331:N-(7-クロロ-8-メトキシ-2-(テトラヒドロ-2H-ピラン-4-イル)イミダゾ[1,2-a]ピリジン-6-イル)-6-(ジフルオロメチル)ピコリンアミド
Figure 0007576552000236
N-(7-クロロ-8-メトキシ-2-(テトラヒドロ-2H-ピラン-4-イル)イミダゾ[1,2-a]ピリジン-6-イル)-6-(ジフルオロメチル)ピコリンアミド2,2,2-トリフルオロ酢酸塩は、実施例322に記載されたのと同様の方法に従って、4-クロロ-3-メトキシピリジン-2-アミン、2-ブロモ-1-(テトラヒドロ-2H-ピラン-4-イル)エタン-1-オン、及び6-(ジフルオロメチル)ピコリンアミドから調製された。LCMS (ESI) m/z 437.2 (M+H)H NMR (400 MHz, CDCl) δ ppm 1.86 (qd, J=12.42, 4.39 Hz, 2H), 2.14 (br dd, J=12.80, 2.01Hz, 2H), 3.33 (tt, J=11.95, 3.61Hz, 1H), 3.64 (td, J=11.92, 1.76Hz, 2H), 4.15 (dd, J=11.80, 3.26Hz, 2H), 4.23 (s, 3H), 6.61 - 6.92 (m, 1H), 7.54 (s, 1H), 7.97 (d, J=7.78 Hz, 1H), 8.21 (t, J=7.78 Hz, 1H), 8.44 (d, J=7.28 Hz, 1H), 9.66 - 9.78 (m, 1H), 10.76 (s, 1H)。
実施例332:2-シクロプロピル-N-(2-(テトラヒドロ-2H-ピラン-4-イル)イミダゾ[1,2-a]ピラジン-6-イル)チアゾール-4-カルボキサミド
Figure 0007576552000237
ステップa:2-ブロモ-1-(テトラヒドロ-2H-ピラン-4-イル)エタン-1-オン(400mg、1.93mmol)及び5-ブロモピラジン-2-アミン(134.45mg、772.72μmol)のtBuOH(5mL)中溶液に、NaHCO(194.75mg、2.32mmol)を添加し、反応物を100℃で96時間撹拌した。反応物を室温に冷却し、減圧下で濃縮し、粗製物を分取HPLCにより精製して、6-ブロモ-2-(テトラヒドロ-2H-ピラン-4-イル)イミダゾ[1,2-a]ピラジン(150mg、489.12μmol、63.36%収率)を黄色油として得た。LCMS (ESI) m/z 281.9 (M+H)
ステップb:6-ブロモ-2-(テトラヒドロ-2H-ピラン-4-イル)イミダゾ[1,2-a]ピラジン(30mg、0.177mmol)及び2-シクロプロピルチアゾール-4-カルボキサミド(45.99mg、0.284mmol)のトルエン(4mL)中溶液に、Pd(dba)(10.19mg、0.0177mmol)、キサントホス(20.51mg、0.0284mmol)、及びCsCO(173.23mg、0.531mmol)を添加し、反応物をNによりパージした。反応混合物を110℃で12時間攪拌し、次いで、冷却し、減圧下で蒸発させた。残留物を分取HPLC(カラム:Phenomenex Synergi C18 150×30mm×4um;水/0.05%のHCl-27%~47%のMeCNにより溶出する)により精製して、2-シクロプロピル-N-(2-(テトラヒドロ-2H-ピラン-4-イル)イミダゾ[1,2-a]ピラジン-6-イル)チアゾール-4-カルボキサミド塩酸塩(2.00mg、0.055mmol、3.88%収率)を褐色固体として得た。LCMS (ESI) m/z 370.0 (M+H)H NMR (500 MHz, メタノール-d) δ ppm: 1.16-1.19 (m, 2H), 1.24-1.27 (m, 2H), 1.88-1.92 (m, 2H), 2.05-2.08 (m, 2H), 2.45-2.51 (m, 1H), 3.30-3.32 (m, 1H), 3.60-3.66 (m, 2H), 4.06-4.10 (m, 2H), 8.23 (s, 1H), 8.30 (s, 1H), 9.15 (d, J = 0.5 Hz, 1H), 9.64 (d, J = 1.0 Hz, 1H)。
実施例333:2-(ジフルオロメチル)-N-(8-メトキシ-2-(テトラヒドロ-2H-ピラン-4-イル)イミダゾ[1,2-a]ピラジン-6-イル)オキサゾール-4-カルボキサミド
Figure 0007576552000238
2-(ジフルオロメチル)-N-(8-メトキシ-2-(テトラヒドロ-2H-ピラン-4-イル)イミダゾ[1,2-a]ピラジン-6-イル)オキサゾール-4-カルボキサミド2,2,2-トリフルオロ酢酸塩は、実施例308に記載の合成手順に従って、5-ブロモ-3-メトキシピラジン-2-アミン、2-ブロモ-1-(テトラヒドロ-2H-ピラン-4-イル)エタン-1-オン、及び2-(ジフルオロメチル)オキサゾール-4-カルボキサミドから調製された(32.70mg、63.81μmol、39.84%収率)。LCMS (ESI) m/z 394.3 (M+H)H NMR (500 MHz DMSO-d) δ ppm 1.63 - 1.76 (m, 2H), 1.91 (br dd, J=13.12, 2.14 Hz, 2H), 2.97 (tt, J=11.22, 3.74 Hz, 1H), 3.49 (d, J=2.44 Hz, 1H), 3.93 (dt, J=9.46, 1.98 Hz, 2H), 4.09 (s, 3H), 6.96 - 7.48 (m, 1H), 8.06 (s, 1H), 8.89 (s, 1H), 9.14 (s, 1H), 9.98 (br s, 1H)。
実施例334:6-シクロプロピル-N-(8-メトキシ-2-(テトラヒドロ-2H-ピラン-4-イル)イミダゾ[1,2-a]ピラジン-6-イル)ピコリンアミド
Figure 0007576552000239
6-シクロプロピル-N-(8-メトキシ-2-(テトラヒドロ-2H-ピラン-4-イル)イミダゾ[1,2-a]ピラジン-6-イル)ピコリンアミド塩酸塩は、実施例309に記載されたのと同様の合成手順に従って、5-ブロモ-3-メトキシピラジン-2-アミン、2-ブロモ-1-(テトラヒドロ-2H-ピラン-4-イル)エタン-1-オン、及び6-(シクロプロピル)ピコリンアミドから褐色固体として調製された(5mg、7.62%収率)。LCMS (ESI) m/z 394.0 (M+H)H NMR (500 MHz, メタノール-d) δ: 1.24-1.15 (m, 4H), 1.85-1.94 (m, 2H), 2.03-2.07 (m, 2H), 2.31-2.37 (m, 1H), 3.30-3.31 (m, 1H), 3.59-3.64 (m, 2H), 4.06-4.10 (m, 2H), 4.34 (s, 3H), 7.57 (d, J = 7.5 Hz, 1H), 8.03 (t, J = 7.5 Hz, 1H), 8.10 (d, J = 6.5 Hz, 1H), 8.27 (s, 1H), 9.28 (d, J = 1.0 Hz, 1H)。
実施例335:2-メトキシ-N-(2-(1-メチル-2-オキサビシクロ[2.1.1]ヘキサン-4-イル)-8-プロポキシイミダゾ[1,2-a]ピラジン-6-イル)ベンズアミド
Figure 0007576552000240
2-メトキシ-N-(2-(1-メチル-2-オキサビシクロ[2.1.1]ヘキサン-4-イル)-8-プロポキシイミダゾ[1,2-a]ピラジン-6-イル)ベンズアミド2,2,2-トリフルオロ酢酸塩は、実施例321に記載されたのと同じ合成手順を使用して、3-プロポキシピラジン-2-アミン、2-ブロモ-1-(1-メチル-2-オキサビシクロ[2.1.1]ヘキサン-4-イル)エタン-1-オン及び2-メトキシベンズアミドから調製された(28.50mg、53.12μmol、22.01%収率)。LCMS (ESI) m/z 423.4 (M+H)H NMR (500 MHz DMSO-d) δ ppm 0.97 - 1.05 (m, 4H), 1.44 (s, 4H), 1.79 (dd, J=4.27, 1.22 Hz, 2H), 1.83 - 1.91 (m, 3H), 2.04 (dd, J=4.27, 1.22 Hz, 2H), 3.91 (s, 2H) 4.01 (s, 3H), 4.45 (t, J=6.71 Hz, 2H), 7.14 (t, J=7.63 Hz, 1H), 7.26 (d, J=7.94 Hz, 1H), 7.58 (td, J=7.94, 1.83 Hz, 1H), 7.89 (dd, J=7.63, 1.53Hz, 1H), 8.11 (s, 1H), 8.97 (s, 1H), 10.26 (s, 1H)。
実施例336:N-(8-イソプロポキシ-2-(1-メチル-2-オキサビシクロ[2.1.1]ヘキサン-4-イル)イミダゾ[1,2-a]ピラジン-6-イル)ピラゾロ[1,5-a]ピリジン-7-カルボキサミド
Figure 0007576552000241
ステップa:3-イソプロポキシピラジン-2-アミン(2.50g、16.32mmol)のMeCN(32mL)中溶液に、1-ブロモピロリジン-2,5-ジオン(2.90g、16.32mmol)を0℃で添加し、反応物を室温で2時間撹拌した。混合物を飽和NaHCO水溶液でクエンチし、EtOAc(3×)で抽出し、合わせた有機抽出物をMgSO上で乾燥し、濾過し、減圧下で濃縮した。粗製物をシリカゲルカラムクロマトグラフィー(ドライロード、ヘプタン中の3:1のEtOAc/EtOH、0~50%)により精製して、5-ブロモ-3-イソプロポキシピラジン-2-アミン(1.4g、40%収率)を得た。LCMS (ESI) m/z 234.1 (M+H)
ステップb:5-ブロモ-3-イソプロポキシピラジン-2-アミン(400mg、1.72mmol)、2-ブロモ-1-(1-メチル-2-オキサビシクロ[2.1.1]ヘキサン-4-イル)エタン-1-オン(376mg、1.72mmol)、及びNaHCO(433mg、5.16mmol)のMeCN(3.4mL)及びトルエン(3.4mL)中混合物を90℃で16時間加熱した。冷却した反応物にシリカ及びMeOHを添加し、混合物を減圧下で濃縮した。粉末をシリカゲルカラムクロマトグラフィー(ドライロード、ヘプタン中の3:1 EtOAC/EtOHの0~30%勾配)により精製して、6-ブロモ-8-イソプロポキシ-2-(1-メチル-2-オキサビシクロ[2.1.1]ヘキサン-4-イル)イミダゾ[1,2-a]ピラジン(350mg、57%収率)を得た。LCMS (ESI) m/z 354.1 (M+H)
ステップc:6-ブロモ-8-イソプロポキシ-2-(1-メチル-2-オキサビシクロ[2.1.1]ヘキサン-4-イル)イミダゾ[1,2-a]ピラジン(60mg、170.3μmol)、ピラゾロ[1,5-a]ピリジン-7-カルボキサミド(41mg、255.5μmol)、Pd(dba)(15.6mg、17μmol)、キサントホス(19.7mg、34μmol)、及びCsCO(111mg、340μmol)を投入したバイアルをNによりパージし、セプタムを備えたスクリューキャップで密閉した。トルエン(1.7mL)をシリンジにより添加し、反応物を100℃で16時間加熱した。反応物を室温に冷却し、混合物をCelite(登録商標)を通して濾過し、濾液を減圧下で濃縮した。残留物をTFAで改質した質量分析計直結HPLCにより精製して、N-(8-イソプロポキシ-2-(1-メチル-2-オキサビシクロ[2.1.1]ヘキサン-4-イル)イミダゾ[1,2-a]ピラジン-6-イル)ピラゾロ[1,5-a]ピリジン-7-カルボキサミド2,2,2-トリフルオロ酢酸塩(34.5mg、46%収率)を得た。LCMS (ESI) m/z 433.3 (M+H)H NMR (500 MHz DMSO-d) δ ppm 1.40 - 1.50 (m, 9H) 1.79 (dd, J=4.27, 1.83Hz, 2H) 2.04 (dd, J=4.27, 1.83 Hz, 2H) 3.91 (s, 2H) 5.55 (spt, J=6.21 Hz, 1H) 6.98 (d, J=2.44 Hz, 1H) 7.51 (dd, J=8.85, 7.02Hz, 1H) 7.89 - 8.02 (m, 1H) 8.07 - 8.20 (m, 2H) 8.35 (d, J=2.44 Hz, 1H) 9.08 (s, 1H) 12.93 (s, 1H)。
実施例337:N-(8-イソプロポキシ-2-(1-メチル-2-オキサビシクロ[2.1.1]ヘキサン-4-イル)イミダゾ[1,2-a]ピラジン-6-イル)-2-メトキシニコチンアミド
Figure 0007576552000242
実施例336(ステップb):6-ブロモ-8-イソプロポキシ-2-(1-メチル-2-オキサビシクロ[2.1.1]ヘキサン-4-イル)イミダゾ[1,2-a]ピラジン(60mg、170.3μmol)、2-メトキシニコチンアミド(39mg、255.5μmol)、Pd(dba)(15.6mg、17μmol)、キサントホス(19.7mg、34μmol)、及びCsCO(111mg、340μmol)を投入したバイアルをNによりパージし、セプタムを備えたスクリューキャップで密閉した。トルエン(1.7mL)をシリンジにより添加し、混合物を100℃で16時間加熱した。室温に冷却後、混合物をCelite(登録商標)を通して濾過し、減圧下で濃縮し、0.1%TFAで改質したHO中5~95%のMeCNの勾配により溶出する逆相HPLCにより精製して、N-[8-イソプロポキシ-2-(1-メチル-2-オキサビシクロ[2.1.1]ヘキサン-4-イル)イミダゾ[1,2-a]ピラジン-6-イル]-2-メトキシ-ピリジン-3-カルボキサミド2,2,2-トリフルオロ酢酸塩(25.8mg、36%収率)を得た。LCMS (ESI) m/z 424.3 (M+H)H NMR (500 MHz DMSO-d) δ ppm 1.38 - 1.49 (m, 9H) 1.78 (dd, J=3.97, 1.53 Hz, 2H) 2.02 (dd, J=4.27, 1.83 Hz, 2H) 3.90 (s, 2H) 4.05 (s, 3H) 5.49 (spt, J=6.21 Hz, 1H) 7.20 (dd, J=7.32, 4.88 Hz, 1H) 8.08 (s, 1H) 8.20 (dd, J=7.32, 1.83 Hz, 1H) 8.38 (dd, J=4.88, 1.83 Hz, 1H) 8.93 (s, 1H) 10.29 (s, 1H)。
実施例338:N-(8-イソプロポキシ-2-(1-メチル-2-オキサビシクロ[2.1.1]ヘキサン-4-イル)イミダゾ[1,2-a]ピラジン-6-イル)-4-メトキシピラゾロ[1,5-a]ピリジン-3-カルボキサミド
Figure 0007576552000243
ステップa:3-メトキシピリジン(500mg、4.58mmol)のMeCN(10mL)中溶液に、(2,4-ジニトロフェニル)ヒドロキシルアミン(760.26mg、3.82mmol)を添加し、反応物を40℃で4時間撹拌した。混合物を濾過し、減圧下で濃縮して、橙色固体(1.18g)を得た。これを、DMF(3mL)、KCO(529.34mg、3.83mmol)、及びプロピオル酸エチル(450.87mg、4.60mmol)中に溶解し、反応物を25℃で16時間撹拌した。反応混合物を水(30mL)で希釈し、EtOAc(100mL×3)で抽出した。合わせた有機抽出物をブライン(100mL)で洗浄し、NaSO上で乾燥し、濾過し、減圧下で濃縮した。残留物をシリカゲルカラムクロマトグラフィー(PE/EtOAc=10/1~1/1)により精製して、4-メトキシピラゾロ[1,5-a]ピリジン-3-カルボン酸エチル(490mg、52.29%収率)を褐色油として得た。H NMR (500 MHz, CDCl) δ ppm 1.37 (t, J= 7.0 Hz, 3H), 3.98 (s, 3H), 4.33 (q, J= 7.0 Hz, 2H), 6.63 (d, J= 7.5 Hz, 1H), 6.83-6.79 (m, 1H), 8.15 (d, J= 6.5 Hz, 1H), 8.34 (s, 1H)。
ステップb:4-メトキシピラゾロ[1,5-a]ピリジン-3-カルボン酸エチル(490mg、2.22mmol)のMeOH(5mL)及びHO(5mL)中溶液に、NaOH(266.40mg、6.66mmol)を添加し、反応物を20℃で2時間撹拌した。1MのHClを添加して、反応物を中性化し、混合物を減圧下で濃縮した。水層を真空凍結乾燥により濃縮して、4-メトキシピラゾロ[1,5-a]ピリジン-3-カルボン酸(492mg、粗製)を褐色固体として得、これを更に精製することなく使用した。
ステップc:4-メトキシピラゾロ[1,5-a]ピリジン-3-カルボン酸(490.04mg、2.55mmol)のDCM(10mL)中溶液に、DMF(1滴)及びSOCl(1.52g、12.75mmol)を0℃で添加し、反応物を0℃で2時間撹拌し、続いて、室温で更に12時間撹拌した。反応物を減圧下で濃縮し、残留物をTHF(10mL)中に溶解し、溶液を0℃まで冷却した。NHOH(408.33mg、11.65mmol)を添加し、反応物を0℃で12時間撹拌した。反応物を減圧下で蒸発させ、4-メトキシピラゾロ[1,5-a]ピリジン-3-カルボキサミド(420mg)を得、これを更に精製することなく使用した。
ステップd:4-メトキシピラゾロ[1,5-a]ピリジン-3-カルボキサミド(32.5mg、170.3μmol)及び実施例336(ステップb):6-ブロモ-8-イソプロポキシ-2-(1-メチル-2-オキサビシクロ[2.1.1]ヘキサン-4-イル)イミダゾ[1,2-a]ピラジン(30mg、85.17μmol)のトルエン(3mL)中溶液に、CsCO(83.25mg、255.51μmol)、Pddba(7.80mg、8.52μmol)、及びキサントホス(9.86mg、17.03μmol)を添加し、反応混合物をNによりパージし、110℃で12時間撹拌した。冷却した混合物を減圧下で濃縮し、水/10mMのNHHCO-33%~63%のMeCNにより溶出する分取HPLC(カラム:Welch Xtimate C18 150×25mm×5um)により残留物を精製して、N-(8-イソプロポキシ-2-(1-メチル-2-オキサビシクロ[2.1.1]ヘキサン-4-イル)イミダゾ[1,2-a]ピラジン-6-イル)-4-メトキシピラゾロ[1,5-a]ピリジン-3-カルボキサミド(8.3mg、98.21%純度)を褐色固体として得た。LCMS (ESI) m/z 463.3 (M+H)H NMR (500 MHz DMSO-d) δ ppm 1.43 (s, 3H), 1.46 (d, J = 6.0 Hz, 6H), 1.78-1.76 (m, 2H), 2.02-2.01 (m, 2H), 3.89 (s, 2H), 4.21 (s, 3H), 5.52-5.47 (m, 1H), 7.11-7.07 (m, 1H), 7.15 (d, J = 8.0 Hz, 1H), 8.07 (s, 1H), 8.51 (s, 1H), 8.53 (d, J = 6.5 Hz, 1H), 8.92 (s, 1H), 10.58 (s, 1H)。
実施例339:6-(ジフルオロメチル)-N-(8-イソプロポキシ-2-(テトラヒドロ-2H-ピラン-4-イル)イミダゾ[1,2-a]ピラジン-6-イル)ピコリンアミド
Figure 0007576552000244
6-(ジフルオロメチル)-N-(8-イソプロポキシ-2-(テトラヒドロ-2H-ピラン-4-イル)イミダゾ[1,2-a]ピラジン-6-イル)ピコリンアミド2,2,2-トリフルオロ酢酸塩は、実施例336に記載の方法に従って、3-イソプロポキシピラジン-2-アミン、2-ブロモ-1-(テトラヒドロ-2H-ピラン-4-イル)エタン-1-オン及び(6-ジフルオロメチル)ピコリンアミドから調製された。LCMS (ESI) m/z 432.3 (M+H)H NMR (500 MHz DMSO-d) δ ppm 1.64 - 1.76 (m, 3H), 1.92 (br dd, J=12.82, 2.44 Hz, 3H), 2.96 (tt, J=11.52, 3.74 Hz, 1H), 3.47 (br dd, J=11.60, 9.77 Hz, 4H), 3.94 (dt, J=9.46, 2.29 Hz, 2H), 5.54 - 5.59 (m, 1H), 6.96 - 7.30 (m, 2H), 8.01 - 8.05 (m, 2H), 8.30 - 8.38 (m, 2H), 8.97 (s, 1H), 9.94 (s, 1H)。
実施例340:N-(8-シクロブトキシ-2-(1-メチル-2-オキサビシクロ[2.1.1]ヘキサン-4-イル)イミダゾ[1,2-a]ピラジン-6-イル)-2-シクロプロピルオキサゾール-4-カルボキサミド
Figure 0007576552000245
N-[8-(シクロブトキシ)-2-(1-メチル-2-オキサビシクロ[2.1.1]ヘキサン-4-イル)イミダゾ[1,2-a]ピラジン-6-イル]-2-シクロプロピル-オキサゾール-4-カルボキサミド2,2,2-トリフルオロ酢酸塩は、実施例336に記載されたのと同じ合成手順に従って、3-(シクロブトキシ)ピラジン-2-アミン、2-ブロモ-1-(1-メチル-2-オキサビシクロ[2.1.1]ヘキサン-4-イル)エタン-1-オン、及び2-シクロプロピルオキサゾール-4-カルボキサミドから調製された(17mg、35.55%収率)。LCMS (ESI) m/z 436.2 (M+H)H NMR (500 MHz DMSO-d) δ ppm 1.02 - 1.17 (m, 4H), 1.43 (s, 3H), 1.65 - 1.78 (m, 1H), 1.75 - 1.81 (m, 2H), 1.82 - 1.93 (m, 1H), 1.98 - 2.06 (m, 2H), 2.14 - 2.28 (m, 3H), 3.90 (s, 2H), 5.38 (五重線, J=7.48 Hz, 1H), 8.10 (s, 1H), 8.66 - 8.90 (m, 1H), 9.34 (s, 1H)。
実施例341:N-(8-シクロブトキシ-2-(1-メチル-2-オキサビシクロ[2.2.1]ヘプタン-4-イル)イミダゾ[1,2-a]ピラジン-6-イル)-2-シクロプロピルオキサゾール-4-カルボキサミド
Figure 0007576552000246
N-(8-シクロブトキシ-2-(1-メチル-2-オキサビシクロ[2.2.1]ヘプタン-4-イル)イミダゾ[1,2-a]ピラジン-6-イル)-2-シクロプロピルオキサゾール-4-カルボキサミドは、実施例336に記載されたのと同様の合成手順に従って、3-(シクロブトキシ)ピラジン-2-アミン、2-ブロモ-1-(1-メチル-2-オキサビシクロ[2.1.1]ヘプタン-4-イル)エタン-1-オン、及び2-シクロプロピルオキサゾール-4-カルボキサミドから調製された(14.90mg、33.15μmol、31.27%収率)。LCMS (ESI) m/z 450.2 (M+H)H NMR (500 MHz DMSO-d) δ ppm 1.03 - 1.14 (m, 4H), 1.38 (s, 3H), 1.63 - 1.85 (m, 5 H), 1.92 - 1.98 (m, 1H), 2.01 - 2.10 (m, 1H), 2.16 - 2.28 (m, 3H), 3.78 (d, J=6.71 Hz, 1H), 3.91 (dd, J=6.41, 3.36 Hz, 1H), 5.31 - 5.43 (m, 1H), 8.09 (s, 1H), 8.64 - 8.87 (m, 1H), 9.33 (s, 1H) 。
実施例342:6-(ジフルオロメチル)-N-(8-(ピロリジン-1-イル)-2-(テトラヒドロ-2H-ピラン-4-イル)イミダゾ[1,2-a]ピラジン-6-イル)ピコリンアミド
Figure 0007576552000247
6-(ジフルオロメチル)-N-(8-(ピロリジン-1-イル)-2-(テトラヒドロ-2H-ピラン-4-イル)イミダゾ[1,2-a]ピラジン-6-イル)ピコリンアミド2,2,2-トリフルオロ酢酸塩は、実施例336に記載の合成手順に従って、5-ブロモ-3-(ピロリジン-1-イル)ピラジン-2-アミン、2-ブロモ-1-(テトラヒドロ-2H-ピラン-4-イル)エタン-1-オン、及び6-(ジフルオロメチル)ピコリンアミドから調製された(7.10mg、9.30%収率)。H NMR (500 MHz DMSO-d) δ ppm 1.64 - 1.74 (m, 3H), 1.89 - 2.00 (m, 8 H), 2.93 (tt, J=11.29, 3.97 Hz, 1H), 3.47 (td, J=11.60, 1.83 Hz, 3H), 3.91 - 3.95 (m, 3H), 6.99 - 7.31 (m, 3H), 7.86 (s, 1H), 8.01 (dd, J=6.71, 1.83 Hz, 1H), 8.31 - 8.35 (m, 2H), 8.59 (s, 1H), 9.66 (s, 1H)。
実施例343:N-(7-エトキシ-2-(テトラヒドロ-2H-ピラン-4-イル)イミダゾ[1,2-a]ピリミジン-6-イル)-2,3-ジヒドロベンゾフラン-7-カルボキサミド
Figure 0007576552000248
ステップa:4-エトキシピリミジン-2-アミン(500mg、3.59mmol)のDCM(15.00mL)中溶液に、NIS(808.35mg、3.59mmol)を添加し、反応物を25℃で16時間撹拌した。混合物を減圧下で濃縮し、残留物をCombiflash(登録商標)を使用したシリカゲルカラムクロマトグラフィー(PE/EtOAc=10/1~3/1)により精製して、4-エトキシ-5-ヨードピリミジン-2-アミン(500mg、52.55%収率)を白色固体として得た。LCMS (ESI) m/z 265.8 (M+H)H NMR (500 MHz, CDCl) δ ppm: 1.40 (t, J = 7.0 Hz, 3H), 4.37 (q, J = 7.0 Hz, 2H), 4.89 (s, 1H), 8.24 (s, 1H)。
ステップb:4-エトキシ-5-ヨードピリミジン-2-アミン(400mg、1.51mmol)のEtOH(10mL)中溶液に、2-ブロモ-1-(テトラヒドロ-2H-ピラン-4-イル)エタン-1-オン(468.99mg、2.27mmol)及びNaHCO(253.71mg、3.02mmol)を添加し、反応物を85℃で24時間撹拌した。溶液を減圧下で濃縮し、残留物をCombiflash(登録商標)を使用したシリカゲルカラムクロマトグラフィー(PE/EtOAc=10/1~1/3)により精製して、7-エトキシ-6-ヨード-2-(テトラヒドロ-2H-ピラン-4-イル)イミダゾ[1,2-a]ピリミジン(130mg、313.51μmol、20.76%収率、90%純度)を黄色固体として得た。LCMS (ESI) m/z 374.0 (M+H)
ステップc:7-エトキシ-6-ヨード-2-(テトラヒドロ-2H-ピラン-4-イル)イミダゾ[1,2-a]ピリミジン(30mg、80.39μmol)のトルエン(3mL)中溶液に、2,3-ジヒドロベンゾフラン-7-カルボキサミド(19.68mg、120.58μmol)、Pd(dba)(7.36mg、8.04μmol)、キサントホス(9.30mg、16.08μmol)、及びCsCO(52.39mg、160.78μmol)を添加し、反応物を110℃で12時間撹拌した。冷却した混合物を減圧下で濃縮し、水(25%~55%のMeCN中の0.225%ギ酸)により溶出する分取HPLC(カラム:Phenomenex Synergi C18 150×30mm×5um)により残留物を精製して、N-(7-エトキシ-2-(テトラヒドロ-2H-ピラン-4-イル)イミダゾ[1,2-a]ピリミジン-6-イル)-2,3-ジヒドロベンゾフラン-7-カルボキサミド(2.60mg、7.59%収率、95.79%純度)を黄色固体として得た。LCMS (ESI) m/z 409.0 (M+H)H NMR (400 MHz, メタノール-d4) δ: 1.64 (t, J = 7.04 Hz, 3H), 1.78-1.88 (m, 2H), 2.01 (d, J = 12.91 Hz, 2H), 3.07-3.12 (m, 1H), 3.38 (t, J = 8.80 Hz, 2H), 3.59 (t, J = 11.35 Hz, 2H), 4.06 (d, J = 11.74 Hz, 2H), 4.72 (q, J = 7.04 Hz, 2H), 4.88-4.93 (m, 2H), 7.06 (t, J = 7.63 Hz, 1H), 7.51 (d, J = 7.43 Hz, 1H), 7.75 (s, 1H), 7.88 (d, J = 7.43 Hz, 1H), 9.91 (s, 1H), 10.40 (s, 1H)。
実施例344:6-(ジフルオロメチル)-N-(7-エトキシ-2-(1-メチル-2-オキサビシクロ[2.1.1]ヘキサン-4-イル)イミダゾ[1,2-a]ピリミジン-6-イル)ピコリンアミド
Figure 0007576552000249
ステップa:4-エトキシ-5-ヨードピリミジン-2-アミン(100mg、377.29μmol)及び2-ブロモ-1-(1-メチル-2-オキサビシクロ[2.1.1]ヘキサン-4-イル)エタン-1-オン(107.45mg、490.47μmol)のt-BuOH(1.50mL)中溶液に、NaHCO(63.39mg、754.57μmol)を添加し、反応物を100℃で16時間撹拌した。混合物を水(50mL)で希釈し、EtOAc(100mL×3)で抽出した。合わせた有機層をブライン(50mL)で洗浄し、NaSO上で乾燥し、濾過した。濾液を減圧下で濃縮して、残留物を得、これをCombiflash(登録商標)(PE/EtOAc=5/1~1/5)を使用したカラムクロマトグラフィーにより精製して、7-エトキシ-6-ヨード-2-(1-メチル-2-オキサビシクロ[2.1.1]ヘキサン-4-イル)イミダゾ[1,2-a]ピリミジン(20mg、10.32%収率)を黄色固体として得た。LCMS (ESI) m/z 386.0 (M+H)
ステップb:7-エトキシ-6-ヨード-2-(1-メチル-2-オキサビシクロ[2.1.1]ヘキサン-4-イル)イミダゾ[1,2-a]ピリミジン(34mg、88.27μmol)のトルエン(2mL)中溶液に、6-(ジフルオロメチル)ピコリンアミド(22.79mg、132.40μmol)、キサントホス(10.21mg、17.65μmol)、CsCO(57.52mg、176.53μmol)、及びPd(dba)(8.08mg、8.83μmol)をN下で添加し、反応物を100℃で16時間撹拌した。冷却した反応混合物を濾過し、濾液を分取HPLC(カラム:Welch Xtimate C18 150×25mm×5μm、水/10mMのNHHCO-42~72%のMeCNにより溶出する)により精製して、6-(ジフルオロメチル)-N-(7-エトキシ-2-(1-メチル-2-オキサビシクロ[2.1.1]ヘキサン-4-イル)イミダゾ[1,2-a]ピリミジン-6-イル)ピコリンアミド(15.40mg、40.63%収率)をオフホワイトの固体として得た。LCMS (ESI) m/z 430.1 (M+H)H NMR (500 MHz, メタノール-d) δ ppm: 1.51 (s, 1H), 1.57 (t, J = 7.0 Hz, 3H), 1.87 (dd, J = 1.5 Hz, 5.0 Hz, 2H), 2.11 (dd, J = 1.5 Hz, 4.5 Hz, 2H), 4.65 (t, J = 7.0 Hz, 2H), 4.01 (s, 2H), 6.76-6.99 (m, 1H), 7.53 (s, 1H), 7.96 (d, J = 8.0 Hz, 1H), 8.26 (t, J = 8.0 Hz, 1H), 8.38 (d, J = 7.5 Hz, 1H), 9.65 (s, 1H)。
実施例345:N-(7-イソプロポキシ-2-(1-メチル-2-オキサビシクロ[2.1.1]ヘキサン-4-イル)イミダゾ[1,2-a]ピリミジン-6-イル)ピラゾロ[1,5-a]ピリジン-7-カルボキサミド
Figure 0007576552000250
ステップa:5-ブロモ-4-イソプロポキシ-ピリミジン-2-アミン(1.38g、5.93mmol)、2-ブロモ-1-(1-メチル-2-オキサビシクロ[2.1.1]ヘキサン-4-イル)エタン-1-オン(1.56g、7.12mmol)、及びNaHCO(1.50g、17.80mmol)のEtOH(17.80mL)中混合物を80℃で一晩加熱した。反応混合物を室温に冷却し、シリカゲルを添加し、混合物を減圧下で濃縮し、シリカゲルカラムクロマトグラフィーにより精製して、6-ブロモ-7-イソプロポキシ-2-(1-メチル-2-オキサビシクロ[2.1.1]ヘキサン-4-イル)イミダゾ[1,2-a]ピリミジン(330mg、15.79%収率)を得た。LCMS (ESI) m/z 351.9 (M+H)H NMR (400 MHz, CDCl) δ ppm 1.44 (d, J=6.27 Hz, 6H), 1.53 (s, 3H), 1.93 (dd, J=4.52, 1.76 Hz, 2H), 2.08 (dd, J=4.52, 1.76 Hz, 2H), 4.06 (s, 2H), 5.43 - 5.62 (m, 1H), 7.11 (s, 1H), 8.35 (s, 1H)。
ステップb:6-ブロモ-7-イソプロポキシ-2-(1-メチル-2-オキサビシクロ[2.1.1]ヘキサン-4-イル)イミダゾ[1,2-a]ピリミジン(50mg、141.95μmol)、CsCO(92.50mg、283.90μmol)、キサントホス Pd G3;DCM(14.67mg、14.19μmol)、及びピラゾロ[1,5-a]ピリジン-7-カルボキサミド(45.75mg、283.90μmol)を投入したバイアルをNによりパージし、セプタムを備えたスクリューキャップで密閉した。トルエン(2.84mL)を室温で添加し、バイアルを密閉し、100℃で一晩加熱した。反応物を室温に冷却し、濾過し、減圧下で濃縮した。残留物をTFAで改質した質量分析計直結HPLCにより精製して、N-(7-イソプロポキシ-2-(1-メチル-2-オキサビシクロ[2.1.1]ヘキサン-4-イル)イミダゾ[1,2-a]ピリミジン-6-イル)ピラゾロ[1,5-a]ピリジン-7-カルボキサミド2,2,2-トリフルオロ酢酸塩(15.60mg、20.15%収率)を得た。LCMS (ESI) m/z 433.0 (M+H)H NMR (500 MHz DMSO-d) δ ppm 1.45 (s, 3H) 1.59 (d, J=6.10 Hz, 6H), 1.84 (br d, J=3.05 Hz, 2H), 2.11 (br d, J=1.83 Hz, 2H), 3.92 (s, 2H), 5.30 - 5.56 (m, 1H), 7.03 (d, J=2.44 Hz, 1H), 7.55 (dd, J=8.85, 7.02 Hz, 1H) 7.93 - 8.06 (m, 1H) 8.16 (dd, J=8.55, 1.22 Hz, 1H), 8.36 (d, J=2.44 Hz, 1H), 9.99 (br s, 1H), 13.66 (br s, 1H)。
実施例346:N-(7-イソプロポキシ-2-(1-メチル-2-オキサビシクロ[2.1.1]ヘキサン-4-イル)イミダゾ[1,2-a]ピリミジン-6-イル)-2-メトキシニコチンアミド
Figure 0007576552000251
実施例346(ステップa):6-ブロモ-7-イソプロポキシ-2-(1-メチル-2-オキサビシクロ[2.1.1]ヘキサン-4-イル)イミダゾ[1,2-a]ピリミジン(100mg、283.91μmol)、CsCO(185.0mg、567.82μmol)、キサントホス Pd G3;DCM(29.3mg、28.4μmol)、及び2-メトキシニコチンアミド(86.39mg、567.82μmol)を投入したバイアルをNによりパージし、セプタムを備えたスクリューキャップで密閉した。トルエン(2.84mL)を室温で添加し、バイアルを密閉し、80℃で一晩加熱した。冷却した混合物を濾過し、減圧下で濃縮し、残留物をTFAで改質した質量分析計直結HPLCにより精製して、N-(7-イソプロポキシ-2-(1-メチル-2-オキサビシクロ[2.1.1]ヘキサン-4-イル)イミダゾ[1,2-a]ピリミジン-6-イル)-2-メトキシニコチンアミド2,2,2-トリフルオロ酢酸塩(66.50mg、43.58%収率)を得た。LCMS (ESI) m/z 424.1 (M+H)H NMR (500 MHz, メタノール-d) δ ppm 1.54 (s, 3H) 1.65 (d, J=6.10 Hz, 6H) 1.98 (dd, J=4.27, 1.83 Hz, 2H) 2.20 (dd, J=4.58, 1.53Hz, 2H), 4.05 (s, 2H) 4.30 (s, 3H) 5.70 (dt, J=12.36, 6.33 Hz, 1H) 7.27 (dd, J=7.33, 4.88 Hz, 1H) 7.87 (s, 1H) 8.46 (dd, J=4.88, 1.8 3Hz, 1H) 8.59 (dd, J=7.32, 1.83 Hz, 1H) 10.00 (s, 1H) 10.55 - 10.68 (m, 1H) 。
中間体23:6-ヨード-7-イソプロポキシ-2-(1-メチル-2-オキサビシクロ[2.1.1]ヘキサン-4-イル)イミダゾ[1,2-a]ピリミジン
Figure 0007576552000252
ステップa:4-イソプロポキシピリミジン-2-アミン(800mg、5.22mmol)のMeCN(50mL)中溶液に、1-ヨードピロリジン-2,5-ジオン(1.41g、6.26mmol)を添加し、反応物を30℃で16時間撹拌した。混合物を減圧下で濃縮し、残留物をシリカゲルクロマトグラフィー(EtOAc/PE=30%)により精製して、5-ヨード-4-イソプロポキシピリミジン-2-アミン(1.10g、3.55mmol、68.01%収率)を粘着性の油として得た。LCMS (ESI) m/z 279.8 (M+H)
ステップb:5-ヨード-4-イソプロポキシピリミジン-2-アミン(1.00g、3.58mmol)及び2-ブロモ-1-(1-メチル-2-オキサビシクロ[2.1.1]ヘキサン-4-イル)エタン-1-オン(997mg、4.55mmol)のt-BuOH(2mL)中混合物に、NaHCO(602mg、7.17mmol)を添加し、反応物を100℃で16時間撹拌した。混合物を減圧下で濃縮して、残留物を得、これをCombiflash(登録商標)(PE/EtOAc=1/1)により精製して、6-ヨード-7-イソプロポキシ-2-(1-メチル-2-オキサビシクロ[2.1.1]ヘキサン-4-イル)イミダゾ[1,2-a]ピリミジン(1.00g、70%収率)を黄色固体として得た。LCMS (ESI) m/z 399.9 (M+H)H NMR (500MHz, CDCl) δ ppm: 1.42 (d, J = 6.0 Hz, 6H), 1.52 (s, 3H), 1.85-1.90 (m, 2H), 2.05-2.10 (m, 2H), 4.04 (s, 2H), 5.40-5.50 (m, 1H), 7.07 (s, 1H), 8.46 (s, 1H) 。
実施例347:3,3-ジフルオロ-N-(7-イソプロポキシ-2-(1-メチル-2-オキサビシクロ[2.1.1]ヘキサン-4-イル)イミダゾ[1,2-a]ピリミジン-6-イル)-2,3-ジヒドロベンゾフラン-7-カルボキサミド
Figure 0007576552000253
ステップa:3,3-ジフルオロ-2,3-ジヒドロベンゾフラン-7-カルボン酸(70mg、0.350mmol)のDCM(2mL)中溶液に、SOCl(54.09mg、0.455mmol)及びDMF(1滴)を0℃で添加し、反応物を10~15℃で12時間撹拌した。混合物を減圧下で濃縮し、残留物をTHF(2mL)で希釈し、NHOH(713.95mg、5.71mmol)を添加し、反応物を15℃で1時間撹拌した。混合物を水(30mL)で希釈し、EtOAc(30mL×3)で抽出した。合わせた有機抽出物をブライン(50mL)で洗浄し、NaSO上で乾燥し、濾過した。濾液を減圧下で蒸発させて、3,3-ジフルオロ-2,3-ジヒドロベンゾフラン-7-カルボキサミド(50mg、71.78%収率)を白色固体として得た。HNMR (500 MHz, CDCl) δ ppm 4.80 (t, J= 15.0 Hz, 2H), 5.81 (br s, 1H), 7.24 (t, J= 8.0 Hz, 1H), 7.72 (d, J= 7.5 Hz, 1H), 8.29 (d, J= 7.0 Hz, 1H)。
ステップb:中間体23:6-ヨード-7-イソプロポキシ-2-(1-メチル-2-オキサビシクロ[2.1.1]ヘキサン-4-イル)イミダゾ[1,2-a]ピリミジン(50mg、125μmol)及び3,3-ジフルオロ-2,3-ジヒドロベンゾフラン-7-カルボキサミド(37.41mg、187.9μmol)のトルエン(2mL)中溶液に、キサントホス(14.49mg、25.1μmol)、Pd(dba)(11.47mg、12.5μmol)、及びCsCO(81.61mg、250.5μmol)を添加し、反応物をNにより脱気し、110℃で6時間撹拌した。冷却した混合物を(30mL)で希釈し、EtOAc(30mL×3)で抽出した。合わせた有機抽出物をブライン(50mL)で洗浄し、NaSO上で乾燥し、濾過した。濾液を減圧下で濃縮し、残留物を塩基で調節した分取HPLCにより精製して、3,3-ジフルオロ-N-(7-イソプロポキシ-2-(1-メチル-2-オキサビシクロ[2.1.1]ヘキサン-4-イル)イミダゾ[1,2-a]ピリミジン-6-イル)-2,3-ジヒドロベンゾフラン-7-カルボキサミド(20mg、33.94%収率)を白色固体として得た。LCMS (ESI) m/z 471.1 (M+H)H NMR (500 MHz, メタノール-d) δ ppm 1.49 (s, 3H), 1.54 (d, J = 6.0 Hz, 6H), 1.86-1.83 (m, 2H), 2.10-2.06 (m, 2H), 4.02-3.98 (m, 2H), 5.03 (t, J = 8.0 Hz, 2H), 5.48 (d, J = 12.0 Hz, 1H), 7.29 (t, J = 8.0 Hz, 1H), 7.45 (s, 1H), 7.79 (d, J = 8.0 Hz, 1H), 8.22 (d, J = 8.0 Hz, 1H), 9.61 (s, 1H)。
実施例348:N-(7-イソプロポキシ-2-(1-メチル-2-オキサビシクロ[2.1.1]ヘキサン-4-イル)イミダゾ[1,2-a]ピリミジン-6-イル)-[1,2,4]トリアゾロ[1,5-a]ピリジン-5-カルボキサミド
Figure 0007576552000254
中間体23:6-ヨード-7-イソプロポキシ-2-(1-メチル-2-オキサビシクロ[2.1.1]ヘキサン-4-イル)イミダゾ[1,2-a]ピリミジン(30mg、75μmol)及び[1,2,4]トリアゾロ[1,5-a]ピリジン-5-カルボキサミド(18.28mg、112.7mmol)のトルエン(3mL)中溶液に、Pd(dba)(6.88mg、7μmol)、キサントホス(8.70mg、150.3μmol)、及びCsCO(48.97mg、150.3μmol)を添加し、反応物をNにより脱気し、次いで、110℃で6時間撹拌した。冷却した混合物を水(30mL)で希釈し、層を分離し、水層をEtOAc(30mL×3)で抽出した。合わせた有機層をブライン(50mL)で洗浄し、NaSO上で乾燥し、濾過し、減圧下で濃縮した。水(NHHCO)-25%~55%のMeCNにより溶出する分取HPLC(Welch Xtimate C18 150×30mm×5μmカラム)により残留物を精製して、N-(7-イソプロポキシ-2-(1-メチル-2-オキサビシクロ[2.1.1]ヘキサン-4-イル)イミダゾ[1,2-a]ピリミジン-6-イル)-[1,2,4]トリアゾロ[1,5-a]ピリジン-5-カルボキサミド(10.60mg、32.55%収率)をオフホワイトの固体として得た。LCMS (ESI) m/z 471.1 (M+H)HNMR (500MHz, メタノール-d) δ ppm 1.50 (s, 3H), 1.61 (d, J = 6.5 Hz, 6H), 1.86 (d, J = 4.5 Hz, 2H), 2.10 (d, J = 4.5 Hz, 2H), 4.01 (s, 2H), 5.56-5.58 (m, 1H), 7.53 (s, 1H), 7.94-7.96 (m, 1H), 8.12 (d, J = 8.5, 1H), 8.26 (d, J = 7.0, 1H), 8.73 (s, 1H), 9.78 (s, 1H)。
実施例349:4-フルオロ-N-(7-イソプロポキシ-2-(1-メチル-2-オキサビシクロ[2.1.1]ヘキサン-4-イル)イミダゾ[1,2-a]ピリミジン-6-イル)ピラゾロ[1,5-a]ピリジン-3-カルボキサミド
Figure 0007576552000255
ステップa:4-フルオロピラゾロ[1,5-a]ピリジン-3-カルボン酸(110mg、610.64μmol)のDCM(10mL)中溶液に、DMF(1滴)及びSOCl(363.24mg、3.05mmol)を0℃で添加し、反応物を0℃で2時間撹拌し、続いて、25℃で更に12時間撹拌した。反応物を減圧下で濃縮し、残留物をTHF(10mL)中に溶解し、溶液を0℃まで冷却した。NHOH(21.35mg、609.33μmol)を添加し、反応物を0℃で12時間撹拌した。反応物を減圧下で濃縮して、4-フルオロピラゾロ[1,5-a]ピリジン-3-カルボキサミド(85mg、粗製)を得た。
ステップb:4-フルオロピラゾロ[1,5-a]ピリジン-3-カルボキサミド(26.92mg、150.28μmol)及び中間体23:6-ヨード-7-イソプロポキシ-2-(1-メチル-2-オキサビシクロ[2.1.1]ヘキサン-4-イル)イミダゾ[1,2-a]ピリミジン(30mg、75.14μmol)のトルエン(3.00mL)中溶液に、CsCO(73.45mg、225.42μmol)、Pddba(6.88mg、7.51μmol)、及びキサントホス(8.70mg、15.03μmol)を逐次的に添加し、混合物をNによりパージした。反応物を110℃で12時間撹拌し、次いで、減圧下で濃縮した。水/10mMのNHHCO-33%~66%のMeCNにより溶出する分取HPLC(カラム:Welch Xtimate C18 150×25mm×5um)により残留物を精製して、4-フルオロ-N-(7-イソプロポキシ-2-(1-メチル-2-オキサビシクロ[2.1.1]ヘキサン-4-イル)イミダゾ[1,2-a]ピリミジン-6-イル)ピラゾロ[1,5-a]ピリジン-3-カルボキサミド(11.30mg、33.39%収率)を褐色固体として得た。LCMS (ESI) m/z 451.2 (M+H)HNMR (500 MHz, メタノール-d) δ ppm : 1.49-1.53 (m, 9H), 1.84-1.86 (m, 2H), 2.08-2.10 (m, 2H), 3.99 (s, 2H), 5.52-5.58 (m, 1H), 7.08-7.11 (m, 1H), 7.37-7.42 (m, 1H), 7.47 (s, 1H), 8.53 (s, 1H), 8.61 (d, J = 7.0 Hz, 1H), 9.55 (s, 1H)。
実施例350:N-(7-シクロプロポキシ-2-(1-メチル-2-オキサビシクロ[2.1.1]ヘキサン-4-イル)イミダゾ[1,2-a]ピリミジン-6-イル)-2-メトキシベンズアミド
Figure 0007576552000256
ステップa:DMF(47.98mL)中の5-ブロモ-4-クロロピリミジン-2-アミン(4.00g、19.19mmol)に、シクロプロパノール(1.67g、28.79mmol)及びCsCO(12.51g、38.38mmol)を添加し、反応物を70℃で2時間加熱した。冷却した溶液をブラインで希釈し、EtOAcで抽出し、乾燥し、減圧下で濃縮した。残留物をカラムクロマトグラフィーにより精製して、5-ブロモ-4-シクロプロポキシピリミジン-2-アミン(2.00g、8.69mmol、45.30%収率)を得た。LCMS (ESI) m/z 231.9 (M+H)
ステップb:5-ブロモ-4-シクロプロポキシピリミジン-2-アミン(600mg、2.61mmol)、2-ブロモ-1-(1-メチル-2-オキサビシクロ[2.1.1]ヘキサン-4-イル)エタン-1-オン(571.36mg、2.61mmol)、及びNaHCO(657.30mg、7.83mmol)のEtOH(6.53mL)中混合物を80℃で一晩加熱した。反応物を室温に冷却し、シリカゲルを添加し、混合物を減圧下で濃縮し、ドライロードシリカゲルカラムクロマトグラフィーにより精製して、6-ブロモ-7-シクロプロポキシ-2-(1-メチル-2-オキサビシクロ[2.1.1]ヘキサン-4-イル)イミダゾ[1,2-a]ピリミジン(300mg、856.63μmol、32.82%収率)を得た。LCMS (ESI) m/z 349.9 (M+H)
ステップc:6-ブロモ-7-シクロプロポキシ-2-(1-メチル-2-オキサビシクロ[2.1.1]ヘキサン-4-イル)イミダゾ[1,2-a]ピリミジン(50mg、142.77μmol)、CsCO(93.04mg、285.54μmol)、キサントホス Pd G3:DCM(14.75mg、14.28μmol)、及び2-メトキシベンズアミド(43.16mg、285.54μmol)の混合物をNによりパージし、トルエン(2.84mL)を添加し、反応容器を密閉し、反応物を100℃で一晩加熱した。冷却した混合物を減圧下で濃縮し、濾過し、残留物を逆相HPLCにより精製して、N(7-シクロプロポキシ-2-(1-メチル-2-オキサビシクロ[2.1.1]ヘキサン-4-イル)イミダゾ[1,2-a]ピリミジン-6-イル]-2-メトキシベンズアミドトリフルオロ酢酸塩(27.10mg、50.80μmol、35.58%収率)を得た。LCMS (ESI) m/z 421.1 (M+H)
実施例351:6-(ジフルオロメチル)-N-(3-フルオロ-8-メトキシ-2-(テトラヒドロ-2H-ピラン-4-イル)イミダゾ[1,2-a]ピリジン-6-イル)ピコリンアミド
Figure 0007576552000257
実施例305:6-(ジフルオロメチル)-N-(8-メトキシ-2-(テトラヒドロ-2H-ピラン-4-イル)イミダゾ[1,2-a]ピリジン-6-イル)ピコリンアミド(120mg、298.22μmol)、DMAP(36.43mg、298.22μmol)、及びビス(テトラフルオロホウ酸)1-クロロメチル-4-フルオロ-1,4-ジアゾニアビシクロ[2.2.2]オクタン(211.29mg、596.44μmol)のクロロホルム(1.79mL)及び水(1.19mL)中混合物を0℃で2時間撹拌し、次いで、室温に温め、一晩撹拌した。反応物を飽和NaCO水溶液でクエンチし、EtOAcで抽出し、減圧下で濃縮し、粗生成物をTFAで改質した質量分析計直結HPLCにより精製して、6-(ジフルオロメチル)-N-(3-フルオロ-8-メトキシ-2-(テトラヒドロ-2H-ピラン-4-イル)イミダゾ[1,2-a]ピリジン-6-イル)ピコリンアミド2,2,2-トリフルオロ酢酸塩(28.80mg、22.97%)を得た。LCMS (ESI) m/z 421.3 (M+H)H NMR (400 MHz, CDCl) δ ppm 1.99 - 2.10 (m, 4H,) 3.27 - 3.37 (m, 1H), 3.55 - 3.63 (m, 2H), 4.09 - 4.17 (m, 5H), 6.62 - 6.91 (m, 1H), 6.99 - 7.04 (m, 1H), 7.94 (d, J=7.78 Hz, 1H), 8.15 - 8.20 (m, 1H), 8.40 - 8.45 (m, 1H), 9.09 (s, 1H), 9.99 (br s, 1H)。
実施例352:6-(ジフルオロメチル)-N-(3-フルオロ-7-イソプロポキシ-2-(テトラヒドロ-2H-ピラン-4-イル)イミダゾ[1,2-a]ピリジン-6-イル)ピコリンアミド
Figure 0007576552000258
MeCN(1.36mL)中の6-(ジフルオロメチル)-N-(7-イソプロポキシ-2-(テトラヒドロ-2H-ピラン-4-イル)イミダゾ[1,2-a]ピリジン-6-イル)ピコリンアミド(実施例167)(50mg、116.16μmol)に、ビス(テトラフルオロホウ酸)1-クロロメチル-4-フルオロ-1,4-ジアゾニアビシクロ[2.2.2]オクタン(41.15mg、116.16μmol)のTHF(291.43uL)及び水(291.43uL)中溶液を0℃で添加し、反応物を室温に温め、一晩撹拌した。混合物を飽和NaCO水溶液でクエンチし、EtOAcで抽出し、合わせた有機抽出物を減圧下で濃縮した。残留物をHPLC(XSelect CSH Prep C18 OBD 5μm 50×100mmカラムを使用、水/0.2%NHOH-20~75%のMeCNにより溶出)により精製して、6-(ジフルオロメチル)-N-(3-フルオロ-7-イソプロポキシ-2-(テトラヒドロ-2H-ピラン-4-イル)イミダゾ[1,2-a]ピリジン-6-イル)ピコリンアミド(0.5mg)を得た。LCMS (ESI) m/z 449.3 (M+H)H NMR (600 MHz, CDCl) δ ppm 1.52 (d, J=5.87 Hz, 8 H), 1.96 - 2.07 (m, 5H), 3.09 (br t, J=11.01Hz, 1H), 3.57 (td, J=11.56, 2.57 Hz, 2H), 4.03 - 4.10 (m, 2H), 4.73 (dt, J=11.74, 5.87 Hz, 1H), 6.57 - 6.78 (m, 1H), 6.94 (br s, 1H), 7.85 (d, J=7.34 Hz, 1H), 8.12 (t, J=7.70 Hz, 1H), 8.39 (d, J=8.07 Hz, 1H), 9.29 (s, 1H), 10.62 (s, 1H)。
実施例353:N-(3-クロロ-7-イソプロポキシ-2-(テトラヒドロ-2H-ピラン-4-イル)イミダゾ[1,2-a]ピリジン-6-イル)-6-(ジフルオロメチル)ピコリンアミド
Figure 0007576552000259
6-(ジフルオロメチル)-N-(7-イソプロポキシ-2-(テトラヒドロ-2H-ピラン-4-イル)イミダゾ[1,2-a]ピリジン-6-イル)ピコリンアミド(実施例167)(50mg、116.16μmol)のTHF(580uL)及びEtOH(580uL)中溶液に、1-クロロピロリジン-2,5-ジオン(15.51mg、116.16μmol)を0℃で添加し、反応物を室温で1.5時間撹拌した。反応物を飽和NaHCO水溶液でクエンチし、EtOAc(3×)で抽出し、合わせた有機抽出物をブラインで洗浄し、MgSO上で乾燥し、濾過し、減圧下で濃縮した。粗製物をTFAで改質した質量分析計直結HPLCにより精製して、N-(3-クロロ-7-イソプロポキシ-2-テトラヒドロピラン-4-イルイミダゾ[1,2-a]ピリジン-6-イル)-6-(ジフルオロメチル)ピコリンアミド2,2,2-トリフルオロ酢酸塩(20.70mg、35.40μmol、30.47%収率)を得た。LCMS (ESI) m/z 465.2 (M+H)H NMR (500 MHz DMSO-d) δ ppm 1.46 (d, J=6.10 Hz, 6H), 1.74 (br dd, J=12.82, 1.83 Hz, 2H), 1.84 - 1.94 (m, 2H), 3.10 (br t, J=11.60 Hz, 1H), 3.44 - 3.53 (m, 1H), 3.97 (br dd, J=11.29, 3.36 Hz, 2H), 4.96 - 5.05 (m, 1H), 7.03 - 7.29 (m, 1H), 7.36 (s, 1H), 8.00 - 8.06 (m, 1H), 8.34 - 8.38 (m, 1H), 9.35 (s, 1H), 10.66 (s, 1H)
実施例354:N-(3-クロロ-7-エトキシ-2-(2-ヒドロキシプロパン-2-イル)イミダゾ[1,2-a]ピリジン-6-イル)-6-(ジフルオロメチル)ピコリンアミドは、実施例353に記載されたのと同様の条件下で、かつ実施例353に記載されたのと同様の方法を使用して、実施例100を反応させることにより調製された(3.80mg、34.9%)。LCMS (ESI) m/z 391.3 (M+H)H NMR (500 MHz DMSO-d) δ ppm 1.54 (t, J=7.02 Hz, 4H) 1.58 (s, 8 H) 4.31 - 4.37 (m, 2H) 7.07 - 7.20 (m, 1H) 7.23 - 7.29 (m, 2H) 8.01 -8.07 (m, 1H) 8.34 - 8.39 (m, 2H) 9.36 (s, 1H) 10.64 (s, 1H) 。
以下の化合物は、実施例1~354に記載のものと同様の手順により合成された。
実施例355:6-(ジフルオロメチル)-N-(2-((テトラヒドロフラン-3-イル)メチル)イミダゾ[1,2-a]ピリジン-6-イル)ピコリンアミド;LCMS (ESI) m/z 373.0 (M+H)H NMR (500 MHz, クロロホルム-d) δ ppm 1.64-1.76 (m, 1H), 2.02-2.13 (m, 1H), 2.66-2.92 (m, 3H), 3.54 (dd, J = 8.5, 6.1 Hz, 1H), 3.78 (q, J = 7.6 Hz, 1H), 3.91 (dt, J = 8.2, 6.0 Hz, 2H), 6.73 (t, J = 55.1 Hz, 1H), 7.09 (dd, J = 9.6, 2.1 Hz, 1H), 7.40 (s, 1H), 7.53 (d, J = 9.4 Hz, 1H), 7.86 (d, J = 7.8 Hz, 1H), 8.11 (t, J = 7.8 Hz, 1H), 8.40 (d, J = 7.8 Hz, 1H), 9.23-9.36 (m, 1H), 9.71 (s, 1H)。
実施例356:6-(ジフルオロメチル)-N-(2-(テトラヒドロ-2H-ピラン-4-イル)イミダゾ[1,2-a]ピリジン-6-イル)ピコリンアミド;LCMS (ESI) m/z 373.2 (M+H)H NMR (400 MHz, クロロホルム-d) δ ppm 1.24-1.27 (m, 1H), 1.85-1.87 (m, 1H), 1.96-2.11 (m, 2H), 3.01-3.08 (m, 1H), 3.57 (t, J= 11.6 Hz, 2H), 4.07 (d, J= 11.6 Hz, 2H), 6.73 (t, J= 55.1 Hz, 1H), 7.18 (d, J= 9.2 Hz, 1H), 7.40 (s, 1H), 7.64 (d, J= 9.2 Hz, 1H), 7.86 (d, J= 7.8 Hz, 1H), 8.11 (t, J= 7.8 Hz, 1H), 8.40 (d, J= 7.8 Hz, 1H), 9.36 (s, 1H), 9.74 (s, 1H)
実施例357:6-(ジフルオロメチル)-N-(2-(1-メチル-2-オキサビシクロ[2.1.1]ヘキサン-4-イル)イミダゾ[1,2-a]ピリジン-6-イル)ピコリンアミド;LCMS (ESI) m/z 385.0 (M+H)HNMR (500MHz, メタノール-d) δ ppm: 1.51 (s, 3H), 1.89-1.92 (m, 2H), 2.13-2.14 (m, 2H), 4.04 (s, 2H), 6.90 (t, J = 55.0 Hz, 1H), 7.51-7.58 (m, 2H), 7.80 (s, 1H), 7.95 (d, J = 8.0 Hz, 1H), 8.24 (t, J = 7.5 Hz, 1H), 8.37 (d, J = 7.5 Hz, 1H), 9.32 (s, 1H)
実施例358:N-(2-(2-シアノプロパン-2-イル)-7-エトキシイミダゾ[1,2-a]ピリジン-6-イル)-2-イソプロピルオキサゾール-4-カルボキサミド;LCMS (ESI) m/z 382.2 (M+H)H NMR (400 MHz, クロロホルム-d) δ ppm 1.38 (d, J=6.9 Hz, 6H), 1.57 (t, J= 7.0 Hz, 3H), 1.78 (s, 6H), 3.07-3.14 (m, 1H), 4.17 (q, J = 7.0 Hz, 2H), 6.89 (s, 1H), 7.43 (s, 1H), 8.17 (s, 1H), 9.34 (s, 1H), 9.41 (s, 1H)。
実施例359:N-(2-(2-シアノプロパン-2-イル)-7-エトキシイミダゾ[1,2-a]ピリジン-6-イル)-2-(ジフルオロメチル)オキサゾール-4-カルボキサミド;LCMS (ESI) m/z 390.0 (M+H)H NMR (400 MHz DMSO-d) δ ppm 1.42 (t, J=6.9 Hz, 3H), 1.70 (s, 6H), 4.23 (q, J= 6.9 Hz, 2H), 7.14 (s, 1H), 7.36 (t, J=51.9 Hz, 1H), 7.91 (s, 1H), 9.12 (s, 1H), 9.18 (s, 1H), 9.39 (s, 1H)。
実施例360:N-(2-(2-シアノプロパン-2-イル)-7-エトキシイミダゾ[1,2-a]ピリジン-6-イル)-2-シクロプロピルオキサゾール-4-カルボキサミド;LCMS (ESI) m/z 380.2 (M+H)H NMR (400 MHz DMSO-d) δ ppm 1.00-1.04 (m, 2H), 1.11-1.16 (m, 2H), 1.45 (t, J=6.9 Hz, 3H), 1.70 (s, 6H), 2.18-2.25 (m, 1H), 4.23 (q, J= 6.9 Hz, 2H), 7.28 (s, 1H), 7.91 (s, 1H), 8.68 (s, 1H), 9.27 (s, 1H), 9.29 (s, 1H)。
実施例361:6-シクロプロポキシ-N-(7-エトキシ-2-(テトラヒドロ-2H-ピラン-4-イル)イミダゾ[1,2-a]ピリジン-6-イル)ピコリンアミド;LCMS (ESI) m/z 423.2 (M+H)HNMR (400 MHz, クロロホルム-d) δ ppm: 0.78-0.88 (m, 4H), 1.44 (t, J = 7.0 Hz, 3H), 1.76-1.91 (m, 2H), 2.02 (d, J = 13.0 Hz, 2H), 2.96 (t, J = 11.7 Hz, 1H), 3.55 (t, J = 11.4 Hz, 2H), 3.91-4.25 (m, 4H), 4.34-4.45 (m, 1H), 6.79-6.97 (m, 2H), 7.19 (s, 1H), 7.77 (t, J = 7.8 Hz, 1H), 7.88 (d, J = 7.3 Hz, 1H), 9.50 (s, 1H), 10.37 (s, 1H)。
実施例362:6-(ジフルオロメトキシ)-N-(7-エトキシ-2-(テトラヒドロ-2H-ピラン-4-イル)イミダゾ[1,2-a]ピリジン-6-イル)ピコリンアミド;LCMS (ESI) m/z 433.2 (M+H)H NMR: (400 MHz, クロロホルム-d) δ ppm: 1.58 (t, J = 7.0 Hz, 3H), 1.74-1.85 (m, 2H), 2.01 (m, 2H), 2.90-2.99 (m, 1H), 3.55 (t, J = 11.4 Hz, 2H), 4.05 (m, 2H), 4.17 (q, J = 7.0 Hz, 2H), 6.87 (s, 1H), 7.12 (d, J = 7.8 Hz, 1H), 7.45 (s, 1H), 7.27-7.63 (t, J = 75 Hz, 1H), 7.97 (t, J = 7.8 Hz, 1H), 8.08 (d, J = 7.8 Hz, 1H), 9.44 (s, 1H), 10.07 (s, 1H)。
実施例363:N-(7-エトキシ-2-(テトラヒドロ-2H-ピラン-4-イル)イミダゾ[1,2-a]ピリジン-6-イル)-6-(2,2,2-トリフルオロエトキシ)ピコリンアミド;LCMS (ESI) m/z 465.2 (M+H)H NMR (400 MHz, メタノール-d) δ ppm: 1.57 (t, J = 6.9 Hz, 3H), 1.74-1.87 (m, 2H), 1.98 (d, J = 13.2 Hz, 2H), 2.91-3.00 (m, 1H), 3.58 (t, J = 11.6 Hz, 2H), 4.03 (d, J = 11.6 Hz, 2H), 4.24 (q, J = 7.1 Hz, 2H), 5.00 (q, J = 8.6 Hz, 2H), 6.86 (s, 1H), 7.17 (d, J = 8.1 Hz, 1H), 7.47 (s, 1H), 7.86-8.08 (m, 2H), 9.46 (s, 1H)。
実施例364:N-(7-エトキシ-2-(テトラヒドロ-2H-ピラン-4-イル)イミダゾ[1,2-a]ピリジン-6-イル)-6-(メトキシメチル)ピコリンアミド;LCMS (ESI) m/z 411.2 (M+H)H NMR (400 MHz, クロロホルム-d) δ ppm: 1.59 (t, J = 6.9 Hz, 3H), 1.79-1.89 (m, 2H), 2.00 (d, J = 13.7 Hz, 2H), 3.52-3.63 (m, 2H), 2.94 (t, J = 11.4 Hz, 1H), 3.50 (s, 3H), 4.05 (d, J = 11.4 Hz, 2H), 4.17 (q, J = 6.9 Hz, 2H), 4.61 (s, 2H), 6.85 (s, 1H), 7.18 (s, 1H), 7.61 (d, J = 7.7 Hz, 1H), 7.91 (t, J = 7.7 Hz, 1H), 8.13 (d, J = 7.7 Hz, 1H), 9.41 (s, 1H), 10.60 (s, 1H)
実施例365:6-シアノ-N-(7-エトキシ-2-(テトラヒドロ-2H-ピラン-4-イル)イミダゾ[1,2-a]ピリジン-6-イル)ピコリンアミド;LCMS (ESI) m/z 392.2 (M+H)H NMR (400 MHz, クロロホルム-d) δ ppm: 1.61 (t, J = 7.0 Hz, 3H), 1.73-1.89 (m, 2H), 2.03 (d, J = 13.5 Hz, 2H), 2.95-3.05 (m, 1H), 3.56 (t, J = 11.4 Hz, 2H), 4.06 (d, J = 11.5 Hz, 2H), 4.21 (t, J = 6.9 Hz, 2H), 6.93 (s, 1H), 7.20 (s, 1H), 7.88 (d, J = 7.7 Hz, 1H), 8.10 (t, J = 7.9 Hz, 1H), 8.47 (d, J = 7.9 Hz, 1H), 9.39 (s, 1H), 10.36 (s, 1H)
実施例366:6-シクロプロピル-N-(7-エトキシ-2-(テトラヒドロ-2H-ピラン-4-イル)イミダゾ[1,2-a]ピリジン-6-イル)ピコリンアミド;LCMS (ESI) m/z 407.3 (M+H)H NMR: (400 MHz, クロロホルム-d): 1.01-1.19 (m, 4H), 1.62 (t, J = 7.0 Hz, 3H), 1.81 (t , J = 6.8 Hz, 2H), 2.00 (m, 3H), 2.95 (m, 1H), 3.54 (t, J = 6.9 Hz, 2H), 4.04 (m, 2H), 4.17 (q, J = 7.0 Hz, 2H), 6.90 (s, 1H), 7.10 (s, 1H), 7.38 (d, J = 7.7 Hz, 1H), 7.72 (t, J = 7.7 Hz, 1H), 7.96 (d, J = 7.6 Hz, 1H), 9.45 (s, 1H), 10.54 (s, 1H)
実施例367:N-(7-エトキシ-2-(テトラヒドロ-2H-ピラン-4-イル)イミダゾ[1,2-a]ピリジン-6-イル)-6-(テトラヒドロフラン-3-イル)ピコリンアミド;LCMS (ESI) m/z 437.1 (M+H)H NMR (400 MHz, メタノール-d) δ ppm: 1.68 (t, J = 6.9 Hz, 3H), 1.76-1.89 (m, 2H), 1.98-2.07 (m, 2H), 2.28-2.44 (m, 2H), 3.09-3.16 (m, 1H), 3.60-3.76 (m, 3H), 3.92-4.24 (m, 5H), 4.46 (q, J = 7.0 Hz, 2H), 7.25 (s, 1H), 7.63 (d, J = 7.6 Hz, 1H), 7.89 (s, 1H), 8.00 (t, J = 7.7 Hz, 1H), 8.12 (d, J = 7.4 Hz, 1H), 9.82 (s, 1H)。
実施例368:N-(7-エトキシ-2-(テトラヒドロ-2H-ピラン-4-イル)イミダゾ[1,2-a]ピリミジン-6-イル)-6-メトキシピコリンアミド;LCMS (ESI) m/z 398.0 (M+H)H NMR (400 MHz, メタノール-d) δ ppm: 1.51 (t, J = 7.1 Hz, 3H), 1.73-1.85 (m, 2H), 1.93-2.01 (m, 2H), 2.85-2.99 (m, 1H), 3.25-3.35 (m, 5H), 4.60 (q, J = 7.1 Hz, 2H), 7.04 (d, J = 7.9 Hz, 1H), 7.43 (s, 1H), 7.79 (d, J = 7.9 Hz, 1H), 7.87 (t, J = 7.9 Hz, 1H), 9.62 (s, 1H)
実施例369:N-(7-エトキシ-2-((テトラヒドロフラン-3-イル)メチル)イミダゾ[1,2-a]ピリジン-6-イル)-6,7-ジヒドロ-5H-シクロペンタ[b]ピリジン-2-カルボキサミド;LCMS (ESI) m/z 407.2 (M+H)H NMR (400 MHz, クロロホルム-d) δ ppm: 1.54-1.61 (m, 3H), 1.63-1.73 (m, 1H), 1.98-2.10 (m, 1H), 2.14-2.24 (m, 2H), 2.65-2.81 (m, 3H), 2.96-3.07 (m, 4H), 3.45-3.55 (m, 1H), 3.71-3.81 (m, 1H), 3.84-3.94 (m, 2H), 4.18 (q, J = 6.9 Hz, 2H), 6.83 (s, 1H), 7.19 (s, 1H), 7.66 (d, J = 8.0 Hz, 1H), 7.99 (d, J = 8.0 Hz, 1H), 9.40 (s, 1H), 10.61 (s, 1H)。
実施例370:6-(ジフルオロメチル)-N-(8-メチル-2-(テトラヒドロ-2H-ピラン-4-イル)イミダゾ[1,2-a]ピリジン-6-イル)ピコリンアミド2,2,2-トリフルオロ酢酸塩;LCMS (ESI) m/z 387.3 (M+H)H NMR (500 MHz DMSO-d) δ ppm 1.71-1.79 (m, 3H), 1.96 (br dd, J=12.82, 1.83 Hz, 3H), 2.54 (s, 4H), 3.12-3.20 (m, 1H), 3.34 (br s, 1H), 3.49 (td, J=11.60, 1.83 Hz, 1H), 3.96-4.00 (m, 2H), 7.00-7.25 (m, 1H), 7.83 (s, 1H), 8.03-8.08 (m, 1H), 8.15 (s, 1H), 8.31-8.37 (m, 2H), 9.28 (s, 1H), 10.47 (s, 1H)。
実施例371:N-(7-(メトキシメチル)-2-(テトラヒドロ-2H-ピラン-4-イル)イミダゾ[1,2-a]ピリジン-6-イル)-6-メチルピコリンアミド2,2,2-トリフルオロ酢酸塩;LCMS (ESI) m/z 381.3 (M+H)H NMR (500 MHz DMSO-d) δ ppm 1.67-1.80 (m, 2H), 1.95-2.05 (m, 2H), 2.65 (s, 3H), 3.09-3.21 (m, 1H), 3.45-3.52 (m, 1H), 3.60 (s, 2H), 3.95-3.99 (m, 2H), 4.81 (s, 2H), 7.63 (dd, J=7.02, 1.53 Hz, 1H), 7.93 (s, 1H), 8.00-8.06 (m, 2H), 8.30 (s, 1H), 9.73 (s, 1H), 11.20 (s, 1H)。
実施例372:6-(ジフルオロメチル)-N-(7-エトキシ-2-(テトラヒドロ-2H-ピラン-4-イル)イミダゾ[1,2-a]ピリミジン-6-イル)ピコリンアミド;LCMS (ESI) m/z 418 (M+H)H NMR (400 MHz, メタノール-d) δ ppm 1.55 (t, J = 7.0 Hz, 3H), 1.72-1.85 (m, 2H), 1.94-2.03 (m, 2H), 2.88-2.98 (m, 1H), 3.52-3.62 (m, 2H), 3.98- 4.06 (m, 2H), 4.64 (q, J = 7.0 Hz, 2H), 6.85 (t, J = 55.0 Hz, 1H), 7.42 (s, 1H), 7.94 (d, J = 7.8 Hz 1H), 8.24 (t, J = 7.8 Hz, 1H), 8.36 (d, J = 8.0 Hz, 1H), 9.61 (s, 1H)。
実施例373:N-(7-エトキシ-2-((テトラヒドロフラン-3-イル)メチル)イミダゾ[1,2-a]ピリジン-6-イル)-1-メチル-2-オキソ-1,2-ジヒドロピリジン-3-カルボキサミド;LCMS (ESI) m/z 397.0 (M+H)H NMR (400 MHz, メタノール-d) δ ppm: 1.58 (t, J = 6.9 Hz, 3H), 1.62-1.74 (m, 1H), 2.02-2.13 (m, 1H), 2.57-2.81 (m, 3H), 3.42-3.57 (m, 1H), 3.68 (s, 3H), 3.76 (q, J= 7.6 Hz, 1H), 3.88 (dt, J= 14.1, 7.7 Hz, 2H), 4.25 (q, J= 7.0 Hz, 2H), 6.55 (t, J= 7.0 Hz, 1H), 6.83 (s, 1H), 7.44 (s, 1H), 7.96 (dd, J= 6.4, 2.2 Hz, 1H), 8.51 (dd, J= 7.4, 2.2 Hz, 1H), 9.46 (s, 1H)。
実施例374:N-(2-(3-オキサビシクロ[3.1.0]ヘキサン-6-イル)-7-エトキシイミダゾ[1,2-a]ピリジン-6-イル)-1-(2,2-ジフルオロシクロプロピル)-1H-ピラゾール-3-カルボキサミド;LCMS (ESI) m/z 430.0(M+H)
実施例375:N-(2-(3-オキサビシクロ[3.1.0]ヘキサン-6-イル)-7-エトキシイミダゾ[1,2-a]ピリジン-6-イル)-2-シクロプロピルオキサゾール-4-カルボキサミド;LCMS (ESI) m/z 395.0(M+H)
実施例376:N-(2-(3-オキサビシクロ[3.1.0]ヘキサン-6-イル)-7-エトキシイミダゾ[1,2-a]ピリジン-6-イル)-2-(ジフルオロメチル)オキサゾール-4-カルボキサミド2,2,2-トリフルオロ酢酸塩;LCMS (ESI) m/z 405.1 (M+H)H NMR (500 MHz DMSO-d) δ ppm 1.47 (t, J=7.02 Hz, 4H), 1.96 (s, 1H), 2.19 (br d, J=3.66 Hz, 2H), 3.72 (d, J=8.55 Hz, 2H), 3.94 (d, J=8.55 Hz, 2H), 4.39 (d, J=7.32 Hz, 2H), 7.20-7.52 (m, 2H), 8.01 (s, 1H), 9.10-9.28 (m, 1H), 9.41 (s, 1H), 9.60 (s, 1H)
実施例377:N-(2-(3-オキサビシクロ[3.1.0]ヘキサン-6-イル)-7-エトキシイミダゾ[1,2-a]ピリジン-6-イル)-2-(トリフルオロメチル)チアゾール-4-カルボキサミド2,2,2-トリフルオロ酢酸塩;LCMS (ESI) m/z 438.9(M+H)
実施例378:3-(ジフルオロメチル)-2-フルオロ-N-(7-イソプロポキシ-2-(テトラヒドロ-2H-ピラン-4-イル)イミダゾ[1,2-a]ピリジン-6-イル)ベンズアミド2,2,2-トリフルオロ酢酸塩;LCMS (ESI) m/z 448.3 (M+H)H NMR (500 MHz DMSO-d) δ ppm 1.64-1.75 (m, 3H), 1.88-1.96 (m, 2H), 3.04-3.15 (m, 1H), 3.40-3.55 (m, 1H), 3.47-3.53 (m, 1H), 3.97 (dt, J=9.77, 2.14 Hz, 2H), 5.04 (dt, J=12.06, 5.88 Hz, 1H), 7.20-7.45 (m, 2H), 7.55 (t, J=7.63 Hz, 1H), 7.90 (br t, J=7.02 Hz, 1H), 7.99 (br t, J=7.02 Hz, 1H), 8.04 (s, 1H), 9.51 (s, 1H), 10.01 (br d, J=4.27 Hz, 1H)。
実施例379:N-(7-イソプロポキシ-2-(テトラヒドロ-2H-ピラン-4-イル)イミダゾ[1,2-a]ピリジン-6-イル)-2,3-ジヒドロベンゾフラン-7-カルボキサミド;LCMS (ESI) m/z 422.1 (M+H)H NMR (400 MHz, クロロホルム-d) δ ppm 1.47 (d, J= 6.1Hz, 6H), 1.74-1.90 (m, 2H), 2.01 (d, J= 13.4 Hz, 2H), 2.86-2.99 (m, 1H), 3.32 (t, J= 8.7 Hz, 2H), 3.54 (t, J= 11.7 Hz, 2H), 4.05 (d, J= 11.9 Hz, 2H), 4.54-4.94 (m, 3H), 6.84 (s, 1H), 7.00 (t, J= 8.0 Hz, 1H), 7.15 (s, 1H), 7.35 (d, J= 7.3 Hz, 1H), 7.95 (d, J= 7.9 Hz, 1H), 9.52 (s, 1H), 10.15 (s, 1H)
実施例380:N-(7-イソプロポキシ-2-(テトラヒドロ-2H-ピラン-4-イル)イミダゾ[1,2-a]ピリジン-6-イル)-6-(テトラヒドロフラン-3-イル)ピコリンアミド塩酸塩;LCMS (ESI) m/z 451.1 (M+H)H NMR: (400 MHz, メタノール-d) δ: 1.60 (d, J = 5.87 Hz, 6H), 1.85 (qd, J = 12.19, 4.11 Hz, 2H), 2.05 (d, J = 12.13 Hz, 2H), 2.30-2.40 (m, 1H), 2.40-2.50 (m, 1H), 3.17 (t, J = 11.93 Hz, 1H), 3.62 (t, J = 11.15 Hz, 2H), 3.78 (q, 7.83 Hz, 1H), 3.98 (q, J = 7.83 Hz, 1H), 4.03-4.10 (m, 3H), 4.10-4.14 (m, 1H), 4.25 (t, J = 8.02 Hz, 1H), 5.11 (t, J = 11.74, 5.87 Hz, 1H), 7.34 (s, 1H), 7.63 (d, J = 7.43 Hz, 1H), 7.89 (s, 1H), 8.01 (t, J = 7.83 Hz, 1H), 8.12 (d, J = 7.43 Hz, 1H), 9.83 (s, 1H)。
実施例381:N-(7-イソプロポキシ-2-(テトラヒドロ-2H-ピラン-4-イル)イミダゾ[1,2-a]ピリジン-6-イル)ピラゾロ[1,5-a]ピリジン-2-カルボキサミド2,2,2-トリフルオロ酢酸塩;LCMS (ESI) m/z 442.9 (M+Na)H NMR (500 MHz DMSO-d) δ ppm 1.49 (d, J=6.10 Hz, 6H), 1.71 (br dd, J=12.21, 3.66 Hz, 2H), 1.96 (br dd, J=12.51, 2.14 Hz, 2H), 3.12 (s, 1H), 3.42-3.59 (m, 1H), 3.97 (dt, J=9.77, 2.14 Hz, 2H), 5.11 (dt, J=12.21, 6.10 Hz, 1H), 7.15 (td, J=6.87, 1.53 Hz, 1H), 7.23 (s, 1H), 7.34 (s, 1H), 7.36-7.44 (m, 1H), 7.87 (d, J=9.16 Hz, 1H), 8.12 (s, 1H), 8.83 (d, J=7.94 Hz, 1H), 9.66 (s, 1H), 9.71 (s, 1H)。
実施例382:N-(7-イソプロポキシ-2-(テトラヒドロ-2H-ピラン-4-イル)イミダゾ[1,2-a]ピリジン-6-イル)ピラゾロ[1,5-a]ピリミジン-2-カルボキサミド2,2,2-トリフルオロ酢酸塩;LCMS (ESI) m/z 421.0 (M+H)H NMR (500 MHz, メタノール-d) δ ppm 1.58 (d, J=6.10 Hz, 6H), 1.85 (br dd, J=12.82, 3.66 Hz, 3H), 2.03 (br dd, J=12.82, 1.83 Hz, 2H), 3.09- 3.19 (m, 1H), 3.61 (td, J=11.60, 1.83 Hz, 3H), 3.98-4.16 (m, 3H), 5.07 (dt, J=12.21, 6.10 Hz, 1H), 7.20 (dd, J=7.32, 4.27 Hz, 1H), 7.27 (d, J=6.10 Hz, 2H), 7.88 (s, 1H), 8.59-8.70 (m, 1H), 9.06 (s, 1H), 9.74 (s, 1H)
実施例383:N-(7-イソプロポキシ-2-(テトラヒドロ-2H-ピラン-4-イル)イミダゾ[1,2-a]ピリジン-6-イル)-1-(2-メトキシエチル)-1H-ピラゾール-3-カルボキサミド2,2,2-トリフルオロ酢酸塩;LCMS (ESI) m/z 428.1 (M+H)H NMR (500 MHz DMSO-d) δ ppm 1.46 (d, J=6.10 Hz, 6H), 1.70 (br dd, J=12.51, 3.97 Hz, 2H), 1.95 (br dd, J=12.51, 2.14 Hz, 2H), 3.11 (br s, 1H), 3.49 (br d, J=1.83 Hz, 2H), 3.79 (t, J=5.19 Hz, 2H), 3.97 (br dd, J=11.90, 2.14 Hz, 2H), 4.41 (t, J=5.19 Hz, 2H), 5.09 (s, 1H), 6.85 (d, J=2.44 Hz, 1H), 7.32 (s, 1H), 7.97 (d, J=2.44 Hz, 1H), 8.11 (s, 1H), 9.44 (s, 1H), 9.60 (s, 1H)
実施例384:N-(7-イソプロポキシ-2-(テトラヒドロ-2H-ピラン-4-イル)イミダゾ[1,2-a]ピリジン-6-イル)-1-メチル-1H-ピラゾール-3-カルボキサミド;LCMS (ESI) m/z 384.0 (M+H)H NMR (400MHz, メタノール-d) δ ppm: 1.56 (d, J = 6.0 Hz, 6H), 1.80-1.90 (m, 2H), 2.10-2.00 (m, 2H), 3.10-3.20 (m, 1H), 3.60-3.70 (m, 2H), 4.01 (s, 3H), 4.10-4.20 (m, 2H), 5.00-5.10 (m, 1H), 6.85 (s, 1H), 7.26 (s, 1H), 7.73 (d, J = 2.0 Hz, 1H), 7.86 (s, 1H), 9.67 (s, 1H)
実施例385:1-(ジフルオロメチル)-N-(7-イソプロポキシ-2-(テトラヒドロ-2H-ピラン-4-イル)イミダゾ[1,2-a]ピリジン-6-イル)-1H-ピラゾール-3-カルボキサミド;LCMS (ESI) m/z 420.0 (M+H)H NMR (400 MHz, メタノール-d) δ: 1.53 (d, J = 6.11 Hz, 6H), 1.77-1.88 (m, 2H), 2.01 (dd, J = 12.84 Hz, 1.83 Hz, 2H), 3.17-3.09 (m, 1H), 3.59 (td, J = 11.74 Hz, 1.71 Hz, 2H), 4.04 (dd, J = 11.62 Hz, 2.57 Hz, 2H), 5.04 (dt, J = 12.10 Hz, 5.93 Hz, 1H), 7.05 (d, J = 2.69 Hz, 1H), 7.27 (s, 1H), 7.50-7.61 (m, 1H), 7.85 (s, 1H), 8.24 (d, J = 2.69 Hz, 1H), 9.64 (s, 1H)
実施例386:N-(7-イソプロポキシ-2-(テトラヒドロ-2H-ピラン-4-イル)イミダゾ[1,2-a]ピリジン-6-イル)-2-メチルオキサゾール-4-カルボキサミド;LCMS (ESI) m/z 358.0 (M+H)H NMR (500 MHz, メタノール-d) δ: 1.55 (d, J = 5.95 Hz, 6H), 1.80-1.90 (m, 2H), 2.04 (d, J = 11.75 Hz, 2H), 2.54 (s, 3H), 3.10-3.20 (m, 1H), 3.55-3.65 (m, 2H), 4.06 (dd, J = 11.52, 2.98 Hz, 2H), 5.03-5.10 (m, 1H), 7.31 (s, 1H), 7.86 (s, 1H), 8.47 (s, 1H), 9.66 (s, 1H)
実施例387:N-(7-イソプロポキシ-2-(テトラヒドロ-2H-ピラン-4-イル)イミダゾ[1,2-a]ピリジン-6-イル)-2-(テトラヒドロ-2H-ピラン-4-イル)オキサゾール-4-カルボキサミド2,2,2-トリフルオロ酢酸塩;LCMS (ESI) m/z 455.1 (M+H)H NMR (500 MHz DMSO-d) δ ppm: 1.46 (d, J=5.49 Hz, 6H), 1.62-1.85 (m, 4H), 1.88-2.06 (m, 4H), 3.11 (tt, J=11.67, 3.89 Hz, 1H), 3.25 (tt, J=10.83, 3.81 Hz, 1H), 3.44-3.59 (m, 3H), 3.82-4.04 (m, 4H), 5.04-5.12 (m, 1H), 7.34 (s, 1H), 8.13 (s, 1H), 8.90 (s, 1H), 9.53 (s, 1H), 9.60 (s, 1H)。
実施例388:3,3-ジフルオロ-N-(7-イソプロポキシ-2-(1-メチル-2-オキサビシクロ[2.1.1]ヘキサン-4-イル)イミダゾ[1,2-a]ピリジン-6-イル)-2,3-ジヒドロベンゾフラン-7-カルボキサミド;LCMS (ESI) m/z 470.0 (M+H)H NMR (500MHz, メタノール-d) δ ppm: 1.51 (s, 3H), 1.54 (d, J = 6.0 Hz, 6H), 1.80-1.90 (m, 2H), 2.10-2.20 (m, 2H), 4.01 (s, 2H), 5.05 (t, J = 15.5 Hz, 2H), 6.92 (s, 1H), 7.30-7.40 (m, 1H), 7.60 (s, 1H), 7.80-7.90 (m, 1H), 8.30-8.40 (m, 1H), 9.57 (s, 1H)
実施例389:N-(7-(ジフルオロメチル)-2-(テトラヒドロ-2H-ピラン-4-イル)イミダゾ[1,2-a]ピリジン-6-イル)-6-メトキシピコリンアミド2,2,2-トリフルオロ酢酸塩;LCMS (ESI) m/z 403.2 (M+H)H NMR (500 MHz DMSO-d) δ ppm 1.68-1.79 (m, 2H), 1.96 (br d, J=12.82 Hz, 2H), 3.11 (br t, J=11.29 Hz, 1H), 3.49 (br t, J=10.99 Hz, 1H), 3.96 (br dd, J=11.60, 1.83 Hz, 2H), 4.02 (s, 3H), 7.19 (d, J=8.55 Hz, 1H), 7.27-7.51 (m, 1H), 7.81 (d, J=7.32 Hz, 1H), 8.02 (dd, J=15.87, 8.55 Hz, 2H), 8.21 (br s, 1H), 9.57 (s, 1H), 10.49 (s, 1H)。
実施例390:N-(7-(ジフルオロメチル)-2-(1-メチル-2-オキサビシクロ[2.1.1]ヘキサン-4-イル)イミダゾ[1,2-a]ピリジン-6-イル)-1-メチル-1H-ピラゾール-3-カルボキサミド2,2,2-トリフルオロ酢酸塩;LCMS (ESI) m/z 388.2 (M+H)H NMR (500 MHz DMSO-d) δ ppm 1.43-1.47 (m, 3H), 1.83 (dd, J=4.27, 1.22 Hz, 2H), 2.04-2.10 (m, 2H), 3.93 (s, 2H), 3.98 (s, 2H), 6.79 (d, J=2.44 Hz, 1H), 7.07-7.32 (m, 1H), 7.81-7.93 (m, 1H), 8.12 (s, 1H), 8.98 (s, 1H), 9.88 (s, 1H)
実施例391:N-(7-(ジフルオロメチル)-2-(1-メチル-2-オキサビシクロ[2.1.1]ヘキサン-4-イル)イミダゾ[1,2-a]ピリジン-6-イル)-2-メトキシニコチンアミド2,2,2-トリフルオロ酢酸塩;LCMS (ESI) m/z 415.2 (M+H)H NMR (500 MHz DMSO-d) δ ppm: 1.45 (s, 3H), 1.78-1.87 (m, 2H), 2.08 (dd, J=4.58, 1.53 Hz, 2H), 3.94 (s, 2H), 4.09 (s, 3H), 7.17-7.42 (m, 2H), 7.95 (s, 1H), 8.18 (s, 1H), 8.38 (dd, J=7.63, 2.14 Hz, 1H), 8.44 (dd, J=4.58, 2.14 Hz, 1H), 9.34-9.43 (m, 1H), 9.39 (s, 1H), 10.29 (s, 1H)
実施例392:N-(7-(ジフルオロメチル)-2-(1-メチル-2-オキサビシクロ[2.1.1]ヘキサン-4-イル)イミダゾ[1,2-a]ピリジン-6-イル)-6-メチルピコリンアミド2,2,2-トリフルオロ酢酸塩;LCMS (ESI) m/z 399.2 (M+H)H NMR (500 MHz DMSO-d) δ ppm 1.45 (s, 3H), 1.83 (dd, J=3.97, 1.53 Hz, 2H), 2.08 (dd, J=4.27, 1.22 Hz, 2H), 2.62 (s, 2H), 2.64 (br s, 1H), 3.94 (s, 2H), 7.14-7.43 (m, 1H), 7.55-7.63 (m, 1H), 7.95 (s, 1H), 8.00 (d, J=4.88 Hz, 1H), 8.18 (s, 1H), 9.35 (s, 1H), 10.63 (s, 1H)。
実施例393:6-(ジフルオロメチル)-N-(7-(ジフルオロメチル)-2-(1-メチル-2-オキサビシクロ[2.1.1]ヘキサン-4-イル)イミダゾ[1,2-a]ピリジン-6-イル)ピコリンアミド2,2,2-トリフルオロ酢酸塩;LCMS (ESI) m/z 435.1 (M+H)H NMR (500 MHz DMSO-d) δ ppm: 1.45 (s, 3H), 1.79-1.87 (m, 2H), 2.08 (dd, J=4.27, 1.83 Hz, 2H), 3.94 (s, 2H), 6.97-7.39 (m, 2H) 7.94 (s, 1H), 8.04 (dd, J=6.41, 2.14 Hz, 1H), 8.16 (s, 1H), 8.28-8.38 (m, 2H), 9.23 (s, 1H), 10.54 (s, 1H)
実施例394:N-(7-(ジフルオロメトキシ)-2-(テトラヒドロ-2H-ピラン-4-イル)イミダゾ[1,2-a]ピリジン-6-イル)-6-(ジフルオロメチル)ピコリンアミド;LCMS (ESI) m/z 439.2 (M+H)H NMR (500 MHz DMSO-d) δ ppm 1.67-1.78 (m, 3H), 1.95 (br dd, J=12.82, 1.83 Hz, 3H), 3.12 (br t, J=11.60 Hz, 1H), 3.46-3.52 (m, 2H), 3.92-3.99 (m, 2H), 7.00-7.25 (m, 1H), 7.47-7.77 (m, 2H), 8.06 (dd, J=7.32, 1.83 Hz, 1H), 8.15 (br s, 1H), 8.31-8.39 (m, 2H), 9.64 (br s, 1H), 10.44 (s, 1H)。
実施例395:N-(7-(ジフルオロメトキシ)-2-(1-メチル-2-オキサビシクロ[2.1.1]ヘキサン-4-イル)イミダゾ[1,2-a]ピリジン-6-イル)-6-(ジフルオロメチル)ピコリンアミド2,2,2-トリフルオロ酢酸塩;LCMS (ESI) m/z 451.2 (M+H)H NMR (500 MHz DMSO-d) δ ppm 1.45 (s, 4H), 1.75-1.87 (m, 2H), 2.05-2.13 (m, 2H), 3.93 (s, 2H), 6.99-7.26 (m, 1H), 7.38-7.71 (m, 2H), 8.05 (dd, J=6.71, 1.83 Hz, 1H), 8.16 (br s, 1H), 8.30-8.40 (m, 2H), 9.56 (br s, 1H), 10.41 (s, 1H)
実施例396:N-(7-(ジフルオロメトキシ)-2-(1-メチル-2-オキサビシクロ[2.1.1]ヘキサン-4-イル)イミダゾ[1,2-a]ピリジン-6-イル)-2-メトキシニコチンアミド2,2,2-トリフルオロ酢酸塩;LCMS (ESI) m/z 431.3 (M+H)H NMR (500 MHz DMSO-d) δ ppm 1.45 (s, 3H), 1.79-1.88 (m, 2H), 2.08 (br d, J=3.05Hz, 2H), 3.92 (s, 2H), 4.15 (s, 3H), 7.31 (dd, J=7.32, 4.88 Hz, 1H), 7.45-7.66 (m, 2H), 8.16 (br s, 1H), 8.40-8.52 (m, 1H), 9.74 (br s, 1H), 10.52 (br s, 1H)
実施例397:N-(7-(ジフルオロメトキシ)-2-(1-メチル-2-オキサビシクロ[2.1.1]ヘキサン-4-イル)イミダゾ[1,2-a]ピリジン-6-イル)-1-メチル-1H-ピラゾール-3-カルボキサミド2,2,2-トリフルオロ酢酸塩;LCMS (ESI) m/z 404.2 (M+H)H NMR (500 MHz DMSO-d) δ ppm 1.44 (s, 3H), 1.75-1.83 (m, 2H), 2.04 (br d, J=3.66 Hz, 2H), 3.90 (s, 2H), 3.98 (s, 3H), 6.80 (d, J=1.83 Hz, 1H), 7.25-7.58 (m, 2H), 7.91 (d, J=1.83 Hz, 1H), 7.98 (br s, 1H), 9.18 (br s, 1H), 9.45 (br s, 1H)
実施例398:6-(ジフルオロメチル)-N-(2-(1-メチル-2-オキサビシクロ[2.1.1]ヘキサン-4-イル)-7-((1,1,1-トリフルオロプロパン-2-イル)オキシ)イミダゾ[1,2-a]ピリジン-6-イル)ピコリンアミド2,2,2-トリフルオロ酢酸塩;LCMS (ESI) m/z 497.2 (M+H)H NMR (500 MHz DMSO-d) δ ppm 1.46 (s, 3H), 1.62 (d, J=6.10 Hz, 3H), 1.86 (br d, J=3.05 Hz, 2H), 2.13 (br s, 2H), 3.94 (s, 2H), 5.85 (br s, 1H), 6.95-7.21 (m, 1H), 7.62 (br s, 1H), 8.06 (dd, J=6.71, 1.83 Hz, 1H), 8.22 (br s, 1H), 8.32-8.40 (m, 2H), 9.75 (br s, 1H), 10.55 (br s, 1H)
実施例399:1-メチル-N-(2-(1-メチル-2-オキサビシクロ[2.1.1]ヘキサン-4-イル)-7-((1,1,1-トリフルオロプロパン-2-イル)オキシ)イミダゾ[1,2-a]ピリジン-6-イル)-1H-ピラゾール-3-カルボキサミド2,2,2-トリフルオロ酢酸塩;LCMS (ESI) m/z 450.3 (M+H)H NMR (500 MHz DMSO-d) δ ppm 1.46 (s, 3H), 1.58 (d, J=6.10 Hz, 3H), 1.81-1.91 (m, 2H), 2.14 (br d, J=3.05 Hz, 2H), 3.88-4.00 (m, 4H), 5.83 (br s, 1H), 6.83 (d, J=1.83 Hz, 1H), 7.57 (s, 1H), 7.94 (d, J=2.44 Hz, 1H), 8.20 (br s, 1H), 9.45 (br s, 1H), 9.54 (br s, 1H)
実施例400:N-(2-クロロ-7-イソプロポキシイミダゾ[1,2-a]ピリジン-6-イル)-2-メトキシベンズアミド2,2,2-トリフルオロ酢酸塩;LCMS (ESI) m/z 360.0 (M+H)H NMR (400 MHz DMSO-d) δ ppm: 1.44 (d, J=6.02 Hz, 6H), 4.10 (s, 4H), 4.88-4.99 (m, 1H), 7.15 (s, 1H), 7.16-7.22 (m, 1H), 7.33 (d, J=8.03 Hz, 1H), 7.59-7.68 (m, 1H), 7.99 (s, 1H), 8.10 (dd, J=1.76, 7.78 Hz, 1H), 9.64 (s, 1H), 10.40 (s, 1H)
実施例401:N-(2-クロロ-7-イソプロポキシイミダゾ[1,2-a]ピリジン-6-イル)-2-メトキシニコチンアミド;LCMS (ESI) m/z 361.0 (M+H)H NMR (400 MHz, メタノール-d) δ ppm: 1.58 (d, J=6.02 Hz, 6H), 4.27 (s, 3H), 7.12 (s, 1H), 7.20-7.25 (m, 1H), 7.92 (s, 1H), 8.41 (dd, J=2.01, 4.77 Hz, 1H), 8.57 (dd, J=2.01, 7.53 Hz, 1H), 9.76 (s, 1H)
実施例402:N-(2-クロロ-7-イソプロポキシイミダゾ[1,2-a]ピリジン-6-イル)-3-フルオロ-2-メトキシベンズアミド2,2,2-トリフルオロ酢酸塩;LCMS (ESI) m/z 378.0 (M+H)H NMR (400 MHz DMSO-d) δ ppm: 1.42 (d, J=6.02 Hz, 6H), 4.11 (d, J=2.01 Hz, 5H), 4.89-4.99 (m, 1H), 7.16 (s, 1H), 7.30-7.37 (m, 1H), 7.55-7.63 (m, 1H), 7.84-7.90 (m, 1H), 8.00 (s, 1H), 9.58 (s, 1H), 10.47 (s, 1H)。
実施例403:6-(ジフルオロメチル)-N-(7-イソプロポキシ-2-(3-メトキシプロピル)イミダゾ[1,2-a]ピリジン-6-イル)ピコリンアミド塩酸塩;LCMS (ESI) m/z 419.0 (M+H)H NMR (500 MHz, メタノール-d) δ ppm: 1.59 (d, J = 6.0 Hz, 6H), 2.00-2.06 (m, 2H), 2.90-2.94 (m, 2H), 3.37 (s, 3H), 3.50 (t, J = 6.0 Hz, 2H), 5.05-5.10 (m, 1H), 6.76-6.99 (m, 1H), 7.30 (s, 1H), 7.86 (s, 1H), 7.96-7.98 (m, 1H), 8.26-8.30 (m, 1H), 8.39-8.42 (m, 1H), 9.78 (s, 1H)。
実施例404:6-(ジフルオロメチル)-N-(7-イソブチル-2-(テトラヒドロ-2H-ピラン-4-イル)イミダゾ[1,2-a]ピリジン-6-イル)ピコリンアミド;LCMS (ESI) m/z 429.3 (M+H)H NMR (500 MHz DMSO-d) δ ppm 0.94 (d, J=6.71 Hz, 7H), 1.71-1.79 (m, 2H), 1.95-2.02 (m, 3H), 2.83 (d, J=6.71 Hz, 2H), 3.12-3.22 (m, 1H), 3.50 (br dd, J=11.60, 9.77 Hz, 3H), 3.93-4.00 (m, 2H), 7.01-7.25 (m, 1H), 7.77 (s, 1H), 8.05-8.08 (m, 1H), 8.21 (s, 1H), 8.34-8.38 (m, 2H), 9.45 (s, 1H), 10.46 (s, 1H)
実施例405:N-(7-クロロ-2-(テトラヒドロ-2H-ピラン-4-イル)イミダゾ[1,2-a]ピリジン-6-イル)-6-(ジフルオロメチル)ピコリンアミド2,2,2-トリフルオロ酢酸塩;LCMS (ESI) m/z 407.2 (M+H)H NMR (500 MHz DMSO-d) δ ppm 1.69-1.78 (m, 2H), 1.95 (br dd, J=12.82, 2.44 Hz, 2H), 3.09 (br t, J=10.99 Hz, 1H), 3.49 (td, J=11.60, 1.83 Hz, 1H), 3.96 (dt, J=9.61, 1.91 Hz, 2H), 6.98-7.30 (m, 1H), 8.07 (dd, J=6.71, 1.83 Hz, 1H), 8.12 (br s, 1H), 8.33-8.39 (m, 2H), 9.47 (br s, 1H), 10.60 (s, 1H)
実施例406:6-(ジフルオロメチル)-N-(8-メチル-2-(1-メチル-2-オキサビシクロ[2.1.1]ヘキサン-4-イル)イミダゾ[1,2-a]ピリジン-6-イル)ピコリンアミド;LCMS (ESI) m/z 399.3 (M+H)H NMR (500 MHz, クロロホルム-d) δ ppm: 1.55-1.60 (m, 3H) 2.01-2.08 (m, 2H) 2.30-2.35 (m, 2H) 2.75-2.79 (m, 3H) 4.12 (s, 2H) 6.63-6.89 (m, 1H) 7.50-7.55 (m, 2H) 7.95 (d, J=6.71 Hz, 1H) 8.19 (t, J=7.94 Hz, 1H) 8.45 (d, J=7.33 Hz, 1H) 9.56 (d, J=1.22 Hz, 1H) 10.00 (s, 1H)
実施例407:3-フルオロ-2-メトキシ-N-(8-メチル-2-(1-メチル-2-オキサビシクロ[2.1.1]ヘキサン-4-イル)イミダゾ[1,2-a]ピリジン-6-イル)ベンズアミド;LCMS (ESI) m/z 396.3 (M+H)H NMR (500 MHz DMSO-d) δ ppm 1.44 (s, 3H), 1.77 (br s, 2H), 2.02 (br s, 2H), 3.90 (s, 2H), 3.93 (d, J=1.83 Hz, 2H), 7.10 (br s, 1H), 7.24 (td, J=7.94, 4.88 Hz, 1H), 7.39 (d, J=7.94 Hz, 1H), 7.46 (td, J=10.07, 1.22 Hz, 1H), 7.92 (br s, 1H), 9.12 (br s, 1H), 10.36 (br s, 1H)
実施例408:N-(8-メチル-2-(1-メチル-2-オキサビシクロ[2.1.1]ヘキサン-4-イル)イミダゾ[1,2-a]ピリジン-6-イル)ピラゾロ[1,5-a]ピリジン-7-カルボキサミド2,2,2-トリフルオロ酢酸塩;LCMS (ESI) m/z 388.3 (M+H)H NMR (500 MHz DMSO-d) δ ppm: 1.47 (s, 3H), 1.88 (br s, 2H), 2.17 (br s, 2H), 3.97 (s, 2H), 6.98 (d, J=2.44 Hz, 1H), 7.50 (dd, J=9.16, 7.32 Hz, 1H), 7.86 (dd, J=7.02, 1.53 Hz, 1H), 8.01-8.16 (m, 1H), 8.30 (d, J=2.44 Hz, 1H), 9.55 (br s, 1H), 12.78 (br s, 1H)
実施例409:1-メチル-N-(8-メチル-2-(1-メチル-2-オキサビシクロ[2.1.1]ヘキサン-4-イル)イミダゾ[1,2-a]ピリジン-6-イル)-1H-ピラゾール-3-カルボキサミド2,2,2-トリフルオロ酢酸塩;LCMS (ESI) m/z 352.2 (M+H)H NMR (500 MHz DMSO-d) δ ppm: 1.41-1.51 (m, 3H), 1.81-1.94 (m, 2H), 2.12-2.24 (m, 2H), 3.92-3.98 (m, 2H), 3.99 (s, 3H), 6.81 (d, J=2.44 Hz, 1H), 6.96-7.22 (m, 1H), 7.90 (d, J=2.44 Hz, 1H), 8.02 (br s, 1H), 8.37 (br s, 1H), 9.40 (br s, 1H), 10.62 (br s, 1H)
実施例410:6-(ジフルオロメチル)-N-(8-メチル-2-(テトラヒドロ-2H-ピラン-4-イル)イミダゾ[1,2-a]ピリジン-6-イル)ピコリンアミド2,2,2-トリフルオロ酢酸塩;LCMS (ESI) m/z 387.3 (M+H)H NMR (500 MHz DMSO-d) δ ppm 1.72-1.81 (m, 2H), 1.98 (br dd, J=12.82, 1.83 Hz, 2H), 2.60 (s, 3H), 3.11-3.19 (m, 1H), 3.47-3.55 (m, 2H), 3.95-4.02 (m, 2H), 6.96-7.20 (m, 2H), 7.99-8.12 (m, 2H), 8.29-8.34 (m, 2H), 9.51 (br s, 1H), 10.94 (br s, 1H)
実施例411:6-(ジフルオロメチル)-N-(8-メトキシ-2-((テトラヒドロフラン-3-イル)メチル)イミダゾ[1,2-a]ピリジン-6-イル)ピコリンアミド;LCMS (ESI) m/z 403.2 (M+H)H NMR (500 MHz, メタノール-d) δ ppm: 1.67-1.74 (m, 1H), 2.05-2.12 (m, 1H), 2.69- 2.76 (m, 1H), 2.82 (d, J = 7.5 Hz, 2H), 3.30-3.53 (m, 1H), 3.75-3.80 (m, 1H), 3.85-3.92 (m, 2H), 4.05 (s, 3H), 6.79-7.03 (m, 2H), 7.66 (s, 1H), 7.95 (d, J = 9.0 Hz, 1H), 8.23 (t, J = 7.5 Hz, 1H), 8.36 (d, J = 7.5 Hz, 1H), 8.94 (s, 1H)
実施例412:N-(8-メトキシ-2-(テトラヒドロ-2H-ピラン-4-イル)イミダゾ[1,2-a]ピリジン-6-イル)-1-メチル-1H-ピラゾール-3-カルボキサミド2,2,2-トリフルオロ酢酸塩;H NMR (500 MHz DMSO-d) δ ppm 1.67-1.78 (m, 2H) 1.95 (br dd, J=12.82, 1.83 Hz, 2H) 3.04-3.14 (m, 1H) 3.47 (td, J=11.60, 1.83 Hz, 1H) 3.92-3.98 (m, 2H) 4.00 (s, 2H) 4.07 (s, 3H) 6.82 (d, J=1.83 Hz, 1H) 7.77-7.86 (m, 1H) 7.91 (d, J=2.44 Hz, 1H) 8.29 (s, 1H) 9.27 (s, 1H) 10.56 (br s, 1H)
実施例413:6-(ジフルオロメチル)-N-(8-エトキシ-2-(テトラヒドロ-2H-ピラン-4-イル)イミダゾ[1,2-a]ピリジン-6-イル)ピコリンアミド;LCMS (ESI) m/z 417.1 (M+H)H NMR (500 MHz, メタノール-d) δ : 1.55 (t, J = 7.0 Hz, 3H), 1.75-1.90 (m, 2H), 2.01 (d, J = 13.0 Hz, 2H), 2.94-3.01 (m, 1H), 3.59 (t, J = 11.5 Hz, 2H), 4.03 (dd, J = 11.0 Hz, J = 3.0 Hz, 2H), 4.27 (q, J = 7.0 Hz, 2H), 7.00-6.70 (m, 2H), 7.60 (s, 1H), 7.92 (d, J = 8.0 Hz, 1H), 8.20 (t, J = 8.0 Hz, 1H), 8.33 (d, J = 8.0 Hz, 1H), 8.90 (s, 1H)
実施例414:6-(ジフルオロメチル)-N-(8-エトキシ-2-(1-メチル-2-オキサビシクロ[2.1.1]ヘキサン-4-イル)イミダゾ[1,2-a]ピリジン-6-イル)ピコリンアミド2,2,2-トリフルオロ酢酸塩;LCMS (ESI) m/z 429.3 (M+H)H NMR (400 MHz, クロロホルム-d) δ ppm: 1.53-1.57 (m, 5H), 2.04 (dd, J=4.77, 1.76 Hz, 2H), 2.30 (dd, J=4.77, 1.76 Hz, 2H), 4.10 (s, 2H), 4.33 (q, J=7.03 Hz, 2H), 6.61-6.92 (m, 1H), 6.96 (d, J=1.51 Hz, 1H), 7.47 (s, 1H), 7.93 (d, J=8.03 Hz, 1H), 8.17 (t, J=7.91 Hz, 1H), 8.42 (d, J=7.78 Hz, 1H), 9.20 (d, J=1.26 Hz, 1H), 9.92 (s, 1H)。
実施例415:N-(8-エトキシ-2-(テトラヒドロ-2H-ピラン-4-イル)イミダゾ[1,2-a]ピリジン-6-イル)-6-(トリフルオロメチル)ピコリンアミド塩酸塩;LCMS (ESI) m/z 435.0 (M+H)H NMR (500 MHz, メタノール-d) δ : 1.60 (t, J = 7.5 Hz, 3H, 1.80-2.00 (m, 2H), 2.06 (d, J = 12.5 Hz, 2H), 3.21 (t, J = 12.0 Hz, 1H), 3.62 (t, J = 12.0 Hz, 2H), 4.07 (dd, J = 11.0 Hz, J = 3.0 Hz, 2H), 4.45 (q, J = 7.0 Hz, 2H), 7.77 (s, 1H), 8.06-8.14 (m, 2H), 8.33 (t, J = 8.0 Hz, 1H), 8.48 (d, J = 8.0 Hz, 1H), 9.32 (s, 1H)
実施例416:N-(2-((1R,5S,6s)-3-オキサビシクロ[3.1.0]ヘキサン-6-イル)-8-エトキシイミダゾ[1,2-a]ピリジン-6-イル)-6-(トリフルオロメチル)ピコリンアミド;LCMS (ESI) m/z 433.0 (M+H)H NMR (500 MHz, メタノール-d) δ: 1.57 (t, J = 7.0 Hz, 3H), 1.95 (t, J = 3.5 Hz, 1H), 2.12 (t, J = 3.5 Hz, 2H), 3.83 (d, J = 8.5 Hz, 2H), 4.02 (d, J = 8.0 Hz, 2H), 4.30 (q, J = 7.0 Hz, 2H), 7.00 (d, J = 1.5 Hz, 1H), 7.61 (s, 1H), 8.08 (d, J = 8.0 Hz, 1H), 8.32 (t, J = 8.0 Hz, 1H), 8.48 (d, J = 8.0 Hz, 1H), 8.89 (s, 1H)
実施例417:N-(2-((1R,5S,6s)-3-オキサビシクロ[3.1.0]ヘキサン-6-イル)-8-エトキシイミダゾ[1,2-a]ピリジン-6-イル)-6-メチルピコリンアミド;LCMS (ESI) m/z 378.4 (M+H)H NMR(500 MHz, メタノール-d) δ: 1.56 (t, J = 7.0 Hz, 3H), 1.93 (t, J = 3.5 Hz, 1H), 2.12 (br s, 2H), 2.67 (s, 3H), 3.81 (d, J = 8.0 Hz, 2H), 4.00 (d, J = 8.5 Hz, 2H), 4.29 (q, J = 7.0 Hz, 2H), 6.96 (s, 1H), 7.49 (d, J = 7.5 Hz, 1H), 7.59 (s, 1H), 7.89 (t, J = 7.5 Hz, 1H), 8.01 (d, J = 7.5 Hz, 1H), 8.87 (s, 1H)
実施例418:6-(ジフルオロメチル)-N-(8-イソプロポキシ-2-(テトラヒドロ-2H-ピラン-4-イル)イミダゾ[1,2-a]ピリジン-6-イル)ピコリンアミド2,2,2-トリフルオロ酢酸塩;LCMS (ESI) m/z 431.3 (M+H)H NMR (500 MHz DMSO-d) δ ppm 1.48 (d, J=6.10 Hz, 7H), 1.74 (qd, J=12.31, 3.97 Hz, 2H), 1.97 (br dd, J=12.51, 2.14 Hz, 2H), 3.11 (br s, 1H), 3.48 (td, J=11.60, 1.83 Hz, 1H), 3.93-4.03 (m, 2H), 4.91 (五重線, J=6.10 Hz, 1H), 6.99-7.23 (m, 1H), 7.82 (br s, 1H), 8.06 (dd, J=7.02, 2.14 Hz, 1H), 8.28-8.37 (m, 2H), 9.32 (br s, 1H), 10.86 (br s, 1H)。
実施例419:N-(8-(ジフルオロメトキシ)-2-(1-メチル-2-オキサビシクロ[2.1.1]ヘキサン-4-イル)イミダゾ[1,2-a]ピリジン-6-イル)-6-(ジフルオロメチル)ピコリンアミド;LCMS (ESI) m/z 451.2 (M+H)H NMR (400 MHz, クロロホルム-d) δ ppm: 1.56 (s, 3H), 2.02-2.08 (m, 2H), 2.32 (dd, J=4.77, 1.76 Hz, 2H), 4.11 (s, 2H), 6.64-7.08 (m, 2H), 7.57-7.60 (m, 2H), 7.92-7.97 (m, 1H), 8.17 (t, J=7.91 Hz, 1H), 8.42 (d, J=7.78 Hz, 1H), 9.56 (d, J=1.76 Hz, 1H), 10.05 (s, 1H)
実施例420:N-(8-(ジフルオロメトキシ)-2-(1-メチル-2-オキサビシクロ[2.1.1]ヘキサン-4-イル)イミダゾ[1,2-a]ピリジン-6-イル)-2-メトキシニコチンアミド2,2,2-トリフルオロ酢酸塩;LCMS (ESI) m/z 431.2 (M+H)H NMR (500 MHz DMSO-d) δ ppm 1.44 (s, 3H), 1.73-1.84 (m, 2H), 2.05-2.12 (m, 2H), 3.92 (s, 2H), 4.00 (s, 3H), 7.18 (dd, J=7.32, 4.88 Hz, 1H), 7.37 (br s, 1H), 7.43-7.75 (m, 1H), 8.08 (dd, J=7.63, 2.14 Hz, 1H), 8.17 (br s, 1H), 8.37 (dd, J=4.88, 1.83 Hz, 1H), 9.25 (br s, 1H), 10.45 (br s, 1H)。
実施例421:N-(8-(ジフルオロメトキシ)-2-(1-メチル-2-オキサビシクロ[2.1.1]ヘキサン-4-イル)イミダゾ[1,2-a]ピリジン-6-イル)-2,3-ジヒドロベンゾフラン-7-カルボキサミド2,2,2-トリフルオロ酢酸塩;LCMS (ESI) m/z 442.1 (M+H)H NMR (500 MHz DMSO-d) δ ppm 1.44 (s, 3H), 1.80 (dd, J=4.27, 1.22 Hz, 2H), 2.03-2.09 (m, 2H), 3.29 (t, J=8.85 Hz, 1H), 3.51-3.60 (m, 3H), 3.92 (s, 2H), 4.75 (t, J=8.55 Hz, 2H), 6.97-7.04 (m, 1H), 7.39 (br s, 1H), 7.44-7.51 (m, 1H), 7.53-7.62 (m, 1H), 8.13 (br s, 1H), 9.23 (br s, 1H), 9.95 (br s, 1H)。
実施例422:N-(8-(ジフルオロメトキシ)-2-(1-メチル-2-オキサビシクロ[2.1.1]ヘキサン-4-イル)イミダゾ[1,2-a]ピリジン-6-イル)ピラゾロ[1,5-a]ピリジン-7-カルボキサミド2,2,2-トリフルオロ酢酸塩;LCMS (ESI) m/z 440.1 (M+H)H NMR (500 MHz DMSO-d) δ ppm 1.45 (s, 3H), 1.76-1.85 (m, 2H), 2.04-2.11 (m, 2H), 3.93 (s, 2H), 6.96 (d, J=2.44 Hz, 1H), 7.40 (br s, 1H), 7.44-7.54 (m, 1H), 7.67 (s, 1H), 7.77-7.84 (m, 1H), 8.01-8.09 (m, 1H), 8.17 (s, 1H), 8.29 (d, J=2.44 Hz, 1H), 9.32 (s, 1H), 12.51 (s, 1H)。
実施例423:N-(8-(ジフルオロメトキシ)-2-(1-メチル-2-オキサビシクロ[2.1.1]ヘキサン-4-イル)イミダゾ[1,2-a]ピリジン-6-イル)-1-メチル-1H-ピラゾール-3-カルボキサミド2,2,2-トリフルオロ酢酸塩;LCMS (ESI) m/z 404.2 (M+H)H NMR (500 MHz DMSO-d) δ ppm 3.89 (s, 3H), 4.08 (dd, J=11.29, 3.97 Hz, 1H), 4.37 (dd, J=10.07, 3.97 Hz, 1H), 4.52 (dd, J=11.29, 7.02 Hz, 1H), 4.79-4.86 (m, 1H), 5.59-5.67 (m, 1H), 5.71 (dd, J=10.38, 1.83 Hz, 1H), 6.14 (dd, J=17.09, 1.83 Hz, 1H), 6.38 (dd, J=17.09, 10.38 Hz, 1H), 6.89-6.94 (m, 1H), 8.00-8.08 (m, 1H), 8.24 (s, 1H), 8.76-8.83 (m, 1H)
実施例424:N-(8-フルオロ-7-イソプロポキシ-2-(1-メチル-2-オキサビシクロ[2.1.1]ヘキサン-4-イル)イミダゾ[1,2-a]ピリジン-6-イル)-2-メトキシベンズアミド2,2,2-トリフルオロ酢酸塩;LCMS (ESI) m/z 440.0 (M+H)H NMR (500 MHz DMSO-d) δ ppm: 1.35-1.51 (m, 10H), 1.82 (br d, J=3.20 Hz, 2H), 2.08 (br s, 2H), 3.92 (s, 4H), 4.12 (s, 4H), 4.92 (br s, 1H), 7.20 (t, J=7.25 Hz, 1H), 7.36 (d, J=8.09 Hz, 1H), 7.58-7.71 (m, 1H), 8.06-8.18 (m, 2H), 9.58 (br s, 1H), 10.43 (s, 1H)
実施例425:2-フルオロ-N-(8-フルオロ-7-イソプロポキシ-2-(1-メチル-2-オキサビシクロ[2.1.1]ヘキサン-4-イル)イミダゾ[1,2-a]ピリジン-6-イル)-3-メチルベンズアミド2,2,2-トリフルオロ酢酸塩;LCMS (ESI) m/z 442.0 (M+H)H NMR (500 MHz, メタノール-d) δ ppm: 1.52 (s, 3H), 1.54 (d, J=5.49 Hz, 6H), 1.97 (dd, J=1.83, 4.58 Hz, 2H), 2.20 (dd, J=1.68, 4.58 Hz, 2H), 2.40 (d, J=2.29 Hz, 3H), 4.05 (s, 2H), 5.14-5.24 (m, 1H), 7.29 (t, J=7.71 Hz, 1H), 7.51-7.61 (m, 1H), 7.85-7.95 (m, 1H), 8.02 (d, J=2.44 Hz, 1H), 9.58 (s, 1H)
実施例426:N-(8-フルオロ-7-イソプロポキシ-2-(1-メチル-2-オキサビシクロ[2.1.1]ヘキサン-4-イル)イミダゾ[1,2-a]ピリジン-6-イル)-6-メトキシピコリンアミド;LCMS (ESI) m/z 441.2 (M+H)H NMR (500 MHz DMSO-d) δ ppm: 1.38 (d, J=6.10 Hz, 6H), 1.43 (s, 3H), 1.76 (dd, J=1.60, 4.35 Hz, 2H), 2.01 (dd, J=1.45, 4.20 Hz, 2H), 3.89 (s, 2H), 4.07 (s, 3H), 4.71-4.86 (m, 1H), 7.18 (dd, J=0.76, 8.24 Hz, 1H), 7.82 (dd, J=0.69, 7.25 Hz, 1H), 7.94-8.06 (m, 2H), 9.39 (s, 1H), 10.19 (s, 1H)
実施例427:6-(ジフルオロメチル)-N-(7-メトキシ-8-メチル-2-(テトラヒドロ-2H-ピラン-4-イル)イミダゾ[1,2-a]ピリジン-6-イル)ピコリンアミド;LCMS (ESI) m/z 417.3 (M+H)H NMR (400 MHz, クロロホルム-d) δ ppm 1.72-1.90 (m, 2H), 2.07-2.16 (m, 2H), 2.66 (s, 3H), 3.25 (tt, J=12.02, 3.80 Hz, 1H), 3.53-3.66 (m, 2H), 4.05-4.14 (m, 5H), 6.58-6.91 (m, 1H), 7.36 (s, 1H), 7.92 (d, J=7.78 Hz, 1H), 8.17 (t, J=7.78 Hz, 1H), 8.42 (d, J=7.78 Hz, 1H), 9.64 (s, 1H), 10.58 (s, 1H)。
実施例428:N-(8-フルオロ-7-イソプロポキシ-2-(1-メチル-2-オキサビシクロ[2.1.1]ヘキサン-4-イル)イミダゾ[1,2-a]ピリジン-6-イル)-2-メトキシニコチンアミド;LCMS (ESI) m/z 441.0 (M+H)H NMR (500 MHz DMSO-d) δ ppm: 1.40 (d, J=6.10 Hz, 6H), 1.43 (s, 3H), 1.73-1.79 (m, 2H), 1.97-2.04 (m, 2H), 3.89 (s, 2H), 3.97 (s, 1H), 4.74-4.83 (m, 1H), 7.26-7.33 (m, 1H), 7.98 (d, J=3.05 Hz, 1H), 8.46 (d, J=6.10 Hz, 2H), 9.42 (s, 1H), 10.27 (s, 1H)
実施例429:6-(2,2-ジフルオロエトキシ)-N-(8-フルオロ-7-イソプロポキシ-2-(1-メチル-2-オキサビシクロ[2.1.1]ヘキサン-4-イル)イミダゾ[1,2-a]ピリジン-6-イル)ピコリンアミド2,2,2-トリフルオロ酢酸塩;LCMS (ESI) m/z 490.9 (M+H)H NMR (500 MHz DMSO-d) δ ppm: 1.41 (d, J=5.49 Hz, 6H), 1.45 (s, 3H), 1.81 (dd, J=3.97, 1.53 Hz, 2H), 2.07 (br d, J=3.66 Hz, 2H), 3.92 (s, 2H), 4.78 (td, J=14.50, 3.97 Hz, 2H), 4.89 (br s, 1H), 6.29-6.68 (m, 1H), 7.30 (d, J=8.55 Hz, 1H), 7.90 (d, J=7.32 Hz, 1H), 7.99-8.17 (m, 2H), 9.44 (br s, 1H), 10.14 (s, 1H)
実施例430:2-(ジフルオロメチル)-N-(8-フルオロ-7-イソプロポキシ-2-(1-メチル-2-オキサビシクロ[2.1.1]ヘキサン-4-イル)イミダゾ[1,2-a]ピリジン-6-イル)オキサゾール-4-カルボキサミド2,2,2-トリフルオロ酢酸塩;LCMS (ESI) m/z 451.0 (M+H)H NMR (500 MHz, メタノール-d) δ ppm: 1.52 (s, 3H), 1.56 (dd, J=0.76, 6.10 Hz, 6H), 1.99 (dd, J=1.68, 4.58 Hz, 2H), 2.22 (dd, J=1.60, 4.65 Hz, 2H), 3.35 (s, 6H), 4.05 (s, 2H), 5.12-5.24 (m, 1H), 6.90-7.18 (m, 1H), 8.08 (d, J=2.29 Hz, 1H), 8.84 (s, 1H), 9.56 (d, J=0.92 Hz, 1H)
実施例431:2-シクロプロピル-N-(8-フルオロ-7-イソプロポキシ-2-(1-メチル-2-オキサビシクロ[2.1.1]ヘキサン-4-イル)イミダゾ[1,2-a]ピリジン-6-イル)オキサゾール-4-カルボキサミド;LCMS (ESI) m/z 441.0 (M+H)H NMR (500 MHz, メタノール-d) δ 1.07-1.14 (m, 2H), 1.15-1.23 (m, 2H), 1.55 (dd, J=0.76, 6.10 Hz, 7H), 1.52 (s, 4H), 1.91-2.03 (m, 2H), 2.12-2.25 (m, 3H), 4.04 (s, 2H), 5.05-5.19 (m, 1H), 8.02 (d, J=2.44 Hz, 1H), 8.42 (s, 1H), 9.51 (s, 1H)
実施例432:N-(8-フルオロ-7-イソプロポキシ-2-(1-メチル-2-オキサビシクロ[2.1.1]ヘキサン-4-イル)イミダゾ[1,2-a]ピリジン-6-イル)-1-メチル-1H-ピラゾール-3-カルボキサミド2,2,2-トリフルオロ酢酸塩;LCMS (ESI) m/z 414.0 (M+H)H NMR (500 MHz, メタノール-d) δ ppm: 1.52 (s, 3H), 1.55 (dd, J=0.69, 6.03 Hz, 6H), 1.98 (dd, J=1.75, 4.65 Hz, 2H), 2.21 (dd, J=1.68, 4.58 Hz, 2H), 3.98-4.08 (m, 5H), 5.06-5.18 (m, 1H), 6.86 (d, J=2.29 Hz, 1H), 7.74 (d, J=2.29 Hz, 1H), 8.04 (d, J=2.44 Hz, 1H), 9.52 (s, 1H)
実施例433:N-(8-フルオロ-7-イソプロポキシ-2-(1-メチル-2-オキサビシクロ[2.1.1]ヘキサン-4-イル)イミダゾ[1,2-a]ピリジン-6-イル)ピラゾロ[1,5-a]ピリミジン-7-カルボキサミド;LCMS (ESI) m/z 451.1 (M+H)H NMR (500 MHz, クロロホルム-d) δ ppm: 1.53 (s, 3H), 1.54 (d, J = 6.0 Hz, 6H), 1.97-1.99 (m, 2H), 2.11-2.13 (m, 2H), 4.10 (s, 2H), 5.07-5.10 (m, 1H), 6.99 (d, J = 2.5 Hz, 1H), 7.41 (d, J = 3.0 Hz, 1H), 7.91 (d, J = 4.5 Hz, 1H), 8.32 (d, J = 2.5 Hz, 1H), 8.77 (d, J = 4.5 Hz, 1H), 9.48 (s, 1H), 13.11 (s, 1H)。
実施例434:N-(8-フルオロ-7-イソプロポキシ-2-(1-メチル-2-オキサビシクロ[2.1.1]ヘキサン-4-イル)イミダゾ[1,2-a]ピリジン-6-イル)-[1,2,4]トリアゾロ[1,5-a]ピリジン-5-カルボキサミド;LCMS (ESI) m/z 451.1 (M+H)H NMR (500 MHz, メタノール-d) δ ppm: 1.49 (s, 3H), 1.51-1.54 (m, 6H), 1.88-1.92 (m, 2H), 2.12-2.15 (m, 2H), 4.03 (s, 2H), 5.01-5.07 (m, 1H), 7.74 (s, 1H), 7.90-7.93 (m, 1H), 8.09 (d, J = 8.0 Hz, 1H), 8.23 (d, J = 6.5 Hz, 1H), 8.76 (s,1H), 9.54 (s, 1H)。
実施例435:N-(8-フルオロ-7-イソプロポキシ-2-(1-メチル-2-オキサビシクロ[2.2.1]ヘプタン-4-イル)イミダゾ[1,2-a]ピリジン-6-イル)-2-メトキシニコチンアミド2,2,2-トリフルオロ酢酸塩;LCMS (ESI) m/z 455.0 (M+H)H NMR (500 MHz, メタノール-d) δ ppm: 1.46 (s, 4H), 1.49 (d, J=6.10 Hz, 6H), 1.76-1.92 (m, 3H), 1.96-2.02 (m, 2H), 2.05-2.13 (m, 1H), 2.13-2.22 (m, 1H), 3.95 (d, J=6.41 Hz, 1H), 4.05 (dd, J=3.13, 6.48 Hz, 1H), 4.27 (s, 3H), 4.93-5.02 (m, 1H), 7.22 (dd, J=4.88, 7.63 Hz, 1H), 7.73 (d, J=2.90 Hz, 1H), 8.40 (dd, J=1.98, 4.88 Hz, 1H), 8.55 (dd, J=1.83, 7.48 Hz, 1H), 9.46 (s, 1H)
実施例436:N-(7-シクロブトキシ-8-フルオロ-2-(1-メチル-2-オキサビシクロ[2.1.1]ヘキサン-4-イル)イミダゾ[1,2-a]ピリジン-6-イル)-2-メトキシニコチンアミド2,2,2-トリフルオロ酢酸塩;LCMS (ESI) m/z 453.0 (M+H)HNMR (500 MHz, メタノール-d) δ ppm: 1.54 (s, 4H), 1.62 (s, 1H), 1.72-1.84 (m, 2H), 2.01 (dd, J=1.75, 4.65 Hz, 3H), 2.24 (dd, J=1.37, 4.73 Hz, 3H), 2.42-2.54 (m, 2H), 2.59-2.69 (m, 2H), 3.68-3.73 (m, 1H), 4.06 (s, 2H), 4.28-4.31 (m, 3H), 7.26 (dd, J=4.88, 7.48 Hz, 1H), 8.06-8.12 (m, 1H), 8.46 (dd, J=1.91, 4.81 Hz, 1H), 8.60 (dd, J=1.98, 7.78 Hz, 1H), 9.81 (s, 1H)
実施例437:N-(7-(シクロペンチルオキシ)-8-フルオロ-2-(1-メチル-2-オキサビシクロ[2.1.1]ヘキサン-4-イル)イミダゾ[1,2-a]ピリジン-6-イル)-1-メチル-1H-ピラゾール-3-カルボキサミド2,2,2-トリフルオロ酢酸塩;LCMS (ESI) m/z 440.0 (M+H)HNMR (500 MHz, メタノール-d) δ ppm: 1.52 (s, 3H), 1.76-1.86 (m, 2H), 1.95-2.07 (m, 7H), 2.09-2.17 (m, 2H), 2.20 (dd, J=1.68, 4.58 Hz, 2H), 4.00 (s, 3H), 4.04 (s, 2H), 5.50-5.58 (m, 1H), 6.86 (d, J=2.44 Hz, 1H), 7.74 (d, J=2.44 Hz, 1H), 8.02 (d, J=2.14 Hz, 1H), 9.50 (s, 1H)。
実施例438:6-エチル-N-(2-(テトラヒドロ-2H-ピラン-4-イル)イミダゾ[1,2-a]ピラジン-6-イル)ピコリンアミド;LCMS (ESI) m/z 404.2 (M+H)H NMR (400 MHz, メタノール-d) δ ppm: 1.40 (t, J = 7.6 Hz, 3H), 1.83-1.95 (m, 2H), 1.99-2.07 (m, 2H), 2.96 (q, J = 7.6 Hz, 2H), 3.06-3.15 (m, 1H), 3.62 (td, J = 11.6 Hz, 2.4 Hz, 2H), 4.02-4.08 (m, 2H), 7.54 (d, J = 7.6 Hz, 1H), 7.92-7.99 (m, 2H), 8.08 (d, J = 7.6 Hz, 1H), 8.81 (d, J = 0.8 Hz, 1H), 9.44 (d, J = 1.6 Hz, 1H)
実施例439:2-(ジフルオロメチル)-N-(8-メトキシ-2-(1-メチル-2-オキサビシクロ[2.1.1]ヘキサン-4-イル)イミダゾ[1,2-a]ピラジン-6-イル)オキサゾール-4-カルボキサミド;LCMS (ESI) m/z 406.2 (M+H)H NMR (500 MHz DMSO-d) δ ppm 1.43 (s, 3H), 1.77 (dd, J=4.27, 1.22 Hz, 2H), 2.01 (d, J=4.27 Hz, 2H), 3.90 (s, 2H), 4.08 (s, 3H), 7.26-7.49 (m, 1H), 8.12 (s, 1H), 8.88 (s, 1H), 9.14 (s, 1H), 9.95 (s, 1H)
実施例440:2-エトキシ-N-(8-メトキシ-2-(1-メチル-2-オキサビシクロ[2.1.1]ヘキサン-4-イル)イミダゾ[1,2-a]ピラジン-6-イル)オキサゾール-4-カルボキサミド;LCMS (ESI) m/z 400.3 (M+H)H NMR (500 MHz DMSO-d) δ ppm 1.40-1.43 (m, 7H), 1.77 (dd, J=4.27, 1.22 Hz, 2H), 2.01 (dd, J=4.27, 1.83 Hz, 2H), 3.89 (s, 2H), 4.07 (s, 4H), 4.51-4.58 (m, 3H), 8.12 (s, 1H), 8.44 (s, 1H), 8.85 (s, 1H), 9.28 (s, 1H)
実施例441:N-(8-メトキシ-2-(1-メチル-2-オキサビシクロ[2.1.1]ヘキサン-4-イル)イミダゾ[1,2-a]ピラジン-6-イル)-1-メチル-1H-ピラゾール-3-カルボキサミド;LCMS (ESI) m/z 369.2 (M+H)H NMR (500 MHz DMSO-d) δ ppm 1.43 (s, 3H), 1.77 (dd, J=4.27, 1.22 Hz, 2H), 2.02 (dd, J=4.27, 1.83 Hz, 2H), 3.90 (s, 2H), 3.98 (s, 3H), 4.08 (s, 3H), 6.84 (d, J=2.44 Hz, 1H), 7.90 (d, J=2.44 Hz, 1H), 8.12 (s, 1H), 8.87 (s, 1H), 9.28 (s, 1H)
実施例442:N-(8-メトキシ-2-(1-メチル-2-オキサビシクロ[2.1.1]ヘキサン-4-イル)イミダゾ[1,2-a]ピラジン-6-イル)ピラゾロ[1,5-a]ピリジン-7-カルボキサミド;LCMS (ESI) m/z 405.3 (M+H)H NMR (500 MHz DMSO-d) δ ppm 1.44 (s, 5H), 1.78 (dd, J=4.27, 1.83 Hz, 3H), 2.00-2.05 (m, 3H), 3.91 (s, 3H), 4.12 (s, 5H), 6.99 (d, J=2.44 Hz, 1H), 7.51 (dd, J=8.55, 7.32 Hz, 1H), 7.97 (dd, J=7.32, 1.22Hz, 1H), 8.11 (d, J=1.22 Hz, 1H), 8.16 (s, 1H), 8.37 (d, J=2.44 Hz, 1H), 9.12 (s, 1H), 12.99 (s, 2H)
実施例443:2-メトキシ-N-(8-メトキシ-2-(1-メチル-2-オキサビシクロ[2.1.1]ヘキサン-4-イル)イミダゾ[1,2-a]ピラジン-6-イル)ベンズアミド;LCMS (ESI) m/z 395.3 (M+H)H NMR (500 MHz DMSO-d) δ ppm 1.44 (s, 3H), 1.78 (dd, J=3.97, 1.53 Hz, 2H), 2.02 (dd, J=4.27, 1.83 Hz, 2H), 3.90 (s, 2H), 4.02 (s, 3H), 4.07 (s, 2H), 7.07-7.18 (m, 1H), 7.27 (d, J=8.55 Hz, 1H), 7.53-7.63 (m, 1H), 7.91 (dd, J=7.32, 1.83 Hz, 1H), 8.11 (s, 1H), 8.99 (s, 1H), 10.27 (s, 1H)。
実施例444:2-フルオロ-N-(8-メトキシ-2-(1-メチル-2-オキサビシクロ[2.1.1]ヘキサン-4-イル)イミダゾ[1,2-a]ピラジン-6-イル)-3-メチルベンズアミド;LCMS (ESI) m/z 397.2 (M+H)H NMR (500 MHz DMSO-d) δ ppm 1.44 (s, 4H), 1.78 (dd, J=4.58, 1.53 Hz, 2H), 2.02 (dd, J=4.58, 1.53 Hz, 2H), 2.31 (s, 4H), 3.90 (s, 2H), 4.01- 4.05 (m, 1H), 4.05 (s, 1H), 7.20-7.25 (m, 1H), 7.43-7.52 (m, 2H), 8.11 (s, 1H), 8.97 (s, 1H), 10.60 (s, 1H)
実施例445:N-(8-メトキシ-2-(1-メチル-2-オキサビシクロ[2.1.1]ヘキサン-4-イル)イミダゾ[1,2-a]ピラジン-6-イル)-2,3-ジヒドロベンゾフラン-7-カルボキサミド2,2,2-トリフルオロ酢酸塩;LCMS (ESI) m/z 407.2 (M+H)H NMR (500 MHz DMSO-d) δ ppm 1.43 (s, 3H), 1.77 (dd, J=3.97, 1.53 Hz, 2H), 2.02 (dd, J=4.27, 1.22 Hz, 2H), 3.32 (t, J=8.55 Hz, 1H), 3.90 (s, 2H), 4.07 (s, 3H), 4.87 (t, J=8.55 Hz, 2H), 6.98-7.19 (m, 2H), 7.52 (dd, J=7.32, 1.22 Hz, 1H), 7.77 (d, J=7.32 Hz, 1H), 8.11 (s, 1H), 9.01 (s, 1H), 9.73 (s, 1H)。
実施例446:3,3-ジフルオロ-N-(8-メトキシ-2-(1-メチル-2-オキサビシクロ[2.1.1]ヘキサン-4-イル)イミダゾ[1,2-a]ピラジン-6-イル)-2,3-ジヒドロベンゾフラン-7-カルボキサミド;LCMS (ESI) m/z 443.1 (M+H)H NMR: (500MHz, メタノール-d) δ ppm: 1.51 (s, 3H), 1.80-1.90 (m, 2H), 2.10-2.20 (m, 2H), 4.04 (s, 2H), 4.18 (s, 3H), 5.02 (t, J = 16.0 Hz, 2H), 7.30-7.40 (m, 1H), 7.70-7.80 (m, 1H), 7.91 (m, 1H), 8.20-8.30 (m, 1H), 9.03 (s, 1H)
実施例447:2-メトキシ-N-(8-メトキシ-2-(1-メチル-2-オキサビシクロ[2.1.1]ヘキサン-4-イル)イミダゾ[1,2-a]ピラジン-6-イル)ニコチンアミド2,2,2-トリフルオロ酢酸塩;LCMS (ESI) m/z 396.3 (M+H)H NMR (500 MHz DMSO-d) δ ppm 1.44 (s, 3H), 1.78 (dd, J=4.27, 1.22 Hz, 2H), 2.03 (dd, J=4.27, 1.83 Hz, 2H), 3.90 (s, 2H), 4.08 (d, J=4.27 Hz, 5H), 7.21 (dd, J=7.94, 4.88 Hz, 1H), 8.13 (s, 1H), 8.23 (dd, J=7.32, 1.83 Hz, 1H), 8.39 (dd, J=4.88, 1.83 Hz, 1H), 8.99 (s, 1H), 10.32 (s, 1H)。
実施例448:6-メトキシ-N-(8-メトキシ-2-(1-メチル-2-オキサビシクロ[2.1.1]ヘキサン-4-イル)イミダゾ[1,2-a]ピラジン-6-イル)ピコリンアミド2,2,2-トリフルオロ酢酸塩;LCMS (ESI) m/z 396.3 (M+H)H NMR (500 MHz DMSO-d) δ ppm 1.44 (s, 3H), 1.78 (dd, J=4.27, 1.83 Hz, 2H), 2.03 (dd, J=4.27, 1.83 Hz, 2H), 3.91 (s, 2H), 4.05 (s, 3H), 4.10 (s, 3H), 7.15-7.20 (m, 1H), 7.80 (d, J=7.32 Hz, 1H), 7.96-8.03 (m, 1H), 8.14 (s, 1H), 8.97 (s, 1H), 9.93 (s, 1H)
実施例449:N-(8-メトキシ-2-(1-メチル-2-オキサビシクロ[2.1.1]ヘキサン-4-イル)イミダゾ[1,2-a]ピラジン-6-イル)-6-(トリフルオロメチル)ピコリンアミド2,2,2-トリフルオロ酢酸塩;LCMS (ESI) m/z 434.2 (M+H)H NMR (400 MHz, クロロホルム-d) δ ppm: 1.58 (s, 3H), 2.07 - 2.13 (m, 2H), 2.29 - 2.34 (m, 2H), 4.15 (s, 2H), 4.28 (s, 3H), 7.65 (s, 1H), 7.99 (dd, J=7.78, 1.00 Hz, 1H), 8.21 (t, J=7.66 Hz, 1H), 8.50 (d, J=7.78 Hz, 1H), 9.19 (s, 1H), 10.13 (s, 1H)
実施例450:6-(ジフルオロメチル)-N-(8-メトキシ-2-(テトラヒドロ-2H-ピラン-4-イル)イミダゾ[1,2-a]ピラジン-6-イル)ピコリンアミド;LCMS (ESI) m/z 404.2 (M+H)H NMR (500 MHz DMSO-d) δ ppm 1.71 (td, J=12.06, 3.97 Hz, 2H), 1.91 (br dd, J=12.82, 1.83 Hz, 2H), 2.96 (ddd, J=11.44, 7.48, 3.66 Hz, 1H), 3.43-3.51 (m, 2H), 3.93 (dt, J=9.46, 1.98 Hz, 2H), 4.09 (s, 2H), 7.07-7.30 (m, 3H), 8.02-8.05 (m, 1H), 8.31-8.36 (m, 2H), 9.00 (s, 1H)。
実施例451:N-(8-メトキシ-2-(テトラヒドロ-2H-ピラン-4-イル)イミダゾ[1,2-a]ピラジン-6-イル)-6-(トリフルオロメチル)ピコリンアミド2,2,2-トリフルオロ酢酸塩;LCMS (ESI) m/z 422.3 (M+H)H NMR (500 MHz DMSO-d) δ ppm 1.67-1.76 (m, 3H), 1.89-1.96 (m, 2H), 2.96 (ddt, J=15.26, 7.78, 3.74, 3.74 Hz, 2H), 3.47 (td, J=11.60,1.83 Hz, 2H), 3.93 (dt, J=9.46, 1.98 Hz, 2H), 4.09 (s, 3H), 8.05 (s, 1H), 8.24 (br d, J=7.32 Hz, 1H), 8.39-8.44 (m, 1H), 8.44-8.48 (m, 1H), 8.99 (s, 1H)
実施例452:1-(2,2-ジフルオロエチル)-N-(8-メトキシ-2-(テトラヒドロ-2H-ピラン-4-イル)イミダゾ[1,2-a]ピラジン-6-イル)-1H-ピラゾール-3-カルボキサミド;LCMS (ESI) m/z 407.2 (M+H)H NMR (500 MHz DMSO-d) δ ppm: 1.66-1.75 (m, 2H), 1.88-1.95 (m, 2H), 2.95 (tt, J=11.44, 3.81 Hz, 1H), 3.46 (td, J=11.75, 2.14 Hz, 2H), 3.90-3.96 (m, 2H), 4.04-4.10 (m, 3H), 4.80 (td, J=15.26, 3.66 Hz, 3H), 6.37-6.61 (m, 3H), 6.92 (d, J=2.44 Hz, 1H), 7.96-8.03 (m, 2H), 8.86 (s, 1H)
実施例453:N-(8-メトキシ-2-(テトラヒドロ-2H-ピラン-4-イル)イミダゾ[1,2-a]ピラジン-6-イル)-2,3-ジヒドロベンゾフラン-7-カルボキサミド;LCMS (ESI) m/z 395.2 (M+H)H NMR (500 MHz DMSO-d) δ ppm 1.67-1.73 (m, 2H), 1.90 (br dd, J=12.82, 2.44 Hz, 2H), 2.94 (ddd, J=15.26, 7.32, 3.66 Hz, 2H), 3.43-3.49 (m, 2H), 3.90-3.96 (m, 3H), 4.05-4.08 (m, 3H), 4.86 (br t, J=8.85 Hz, 2H), 7.03-7.08 (m, 1H), 7.50-7.53 (m, 1H), 7.76 (br d, J=6.71 Hz, 1H), 7.99-8.03 (m, 1H), 8.99 (s, 1H), 9.70 (s, 1H)。
実施例454:3,3-ジフルオロ-N-(8-メトキシ-2-(テトラヒドロ-2H-ピラン-4-イル)イミダゾ[1,2-a]ピラジン-6-イル)-2,3-ジヒドロベンゾフラン-7-カルボキサミド;LCMS (ESI) m/z 431.0 (M+H)HNMR: (400 MHz DMSO-d) δ ppm: 1.66-1.70 (m, 2H), 1.88-1.91 (m, 2H), 2.91-2.95 (m, 1H), 3.43-3.48 (m, 2H), 3.90-3.93 (m, 2H), 4.05 (s, 3H), 5.02-5.10 (t, J = 16 Hz, 2H), 7.29-7.33 (m, 1H), 7.90 (d, J = 7.6 Hz, 1H), 8.00 (s, 1H), 8.06 (d, J = 7.6 Hz, 1H), 8.97 (s, 1H), 9.80 (s, 1H)。
実施例455:N-(8-メトキシ-2-(テトラヒドロ-2H-ピラン-4-イル)イミダゾ[1,2-a]ピラジン-6-イル)-6-メチルピコリンアミド;H NMR (500 MHz DMSO-d) δ ppm: 1.62-1.72 (m, 2H), 1.86-1.96 (m, 2H), 2.64 (s, 3H), 2.98 (tt, J=11.52, 3.74 Hz, 1H), 3.48 (td, J=11.60, 2.44 Hz, 1H), 3.94 (dt, J=9.61, 1.91 Hz, 2H), 4.11 (s, 3H), 7.60 (dd, J=6.71, 1.83 Hz, 1H), 7.95-8.04 (m, 2H), 8.07 (s, 1H), 9.01 (s, 1H), 10.05 (s, 1H)
実施例456:6-イソプロピル-N-(8-メトキシ-2-(テトラヒドロ-2H-ピラン-4-イル)イミダゾ[1,2-a]ピラジン-6-イル)ピコリンアミド;LCMS (ESI) m/z 396.3 (M+H)H NMR (500 MHz DMSO-d) δ ppm 1.34 (d, J=6.71 Hz, 6H), 1.70 (qd, J=12.21, 4.27 Hz, 2H), 1.92 (br d, J=13.43 Hz, 2H), 2.93-3.02 (m, 1H), 3.20 (dt, J=13.89, 6.79 Hz, 1H), 3.47 (t, J=11.29 Hz, 1H), 3.93 (br d, J=11.60 Hz, 2H), 4.10 (s, 3H), 7.62-7.70 (m, 1H), 7.98-8.09 (m, 2H), 8.99 (s, 1H), 10.09 (s, 1H)
実施例457:2-メトキシ-N-(8-メトキシ-2-(テトラヒドロ-2H-ピラン-4-イル)イミダゾ[1,2-a]ピラジン-6-イル)ベンズアミド2,2,2-トリフルオロ酢酸塩;LCMS (ESI) m/z 383.2 (M+H)H NMR (500 MHz DMSO-d) δ ppm 1.66-1.81 (m, 2H), 1.92 (br dd, J=12.82, 2.44 Hz, 2H), 2.98 (tt, J=11.52, 3.74 Hz, 1H), 3.47 (td, J=11.60, 1.83 Hz, 1H), 3.94 (dt, J=9.46, 1.98 Hz, 2H), 4.02 (s, 3H), 4.09 (s, 3H), 7.13-7.21 (m, 1H), 7.27 (d, J=8.55 Hz, 1H), 7.56-7.65 (m, 1H), 7.91 (dd, J=7.63, 1.53 Hz, 1H), 8.07 (s, 1H), 9.02 (s, 1H), 10.31 (s, 1H)。
実施例458:2-メトキシ-N-(8-メトキシ-2-(テトラヒドロ-2H-ピラン-4-イル)イミダゾ[1,2-a]ピラジン-6-イル)ニコチンアミド2,2,2-トリフルオロ酢酸塩;LCMS (ESI) m/z 384.2 (M+H)H NMR (500 MHz DMSO-d) δ ppm 1.68-1.74 (m, 2H), 1.92 (br dd, J=13.12, 2.14 Hz, 3H), 2.95-3.02 (m, 1H), 3.36-3.60 (m, 1H), 3.37-3.55 (m, 1H), 3.38-3.74 (m, 1H), 3.47 (td, J=11.60, 1.83 Hz, 1H), 3.89-3.97 (m, 3H), 4.07-4.12 (m, 6H), 7.21 (dd, J=7.32, 4.88 Hz, 1H), 8.07 (s, 1H), 8.23 (dd, J=7.63, 2.14 Hz, 1H), 8.40 (dd, J=4.88, 1.83 Hz, 1H), 9.01 (s, 1H), 10.35 (s, 1H)
実施例459:2-エトキシ-N-(8-メトキシ-2-(テトラヒドロ-2H-ピラン-4-イル)イミダゾ[1,2-a]ピラジン-6-イル)ニコチンアミド;LCMS (ESI) m/z 398.3 (M+H)H NMR (500 MHz DMSO-d) δ ppm 1.50-1.55 (m, 3H), 1.65-1.74 (m, 2H), 1.88-1.93 (m, 2H), 2.90-2.97 (m, 1H), 3.43-3.52 (m, 1H), 3.92 -3.96 (m, 2H), 4.06 (s, 2H), 4.56 (q, J=7.32 Hz, 2H), 7.24 (dd, J=7.94, 4.88 Hz, 1H), 8.02 (s, 1H), 8.34-8.42 (m, 2H), 8.97 (s, 1H), 10.42 (s, 1H)。
実施例460:N-(8-メトキシ-2-(テトラヒドロ-2H-ピラン-4-イル)イミダゾ[1,2-a]ピラジン-6-イル)-2-プロポキシニコチンアミド;LCMS (ESI) m/z 412.4 (M+H)H NMR (500 MHz DMSO-d) δ ppm 1.17 (t, J=7.32 Hz, 3H), 1.61-1.74 (m, 2H), 1.89-1.95 (m, 4H), 2.96 (tt, J=11.44, 3.81 Hz, 1H), 3.47 (td, J=11.60, 1.83 Hz, 1H), 3.93 (dt, J=9.46, 1.98 Hz, 2H), 4.05 (s, 2H), 4.49 (t, J=6.10 Hz, 2H), 7.25 (dd, J=7.32, 4.88 Hz, 1H), 8.03 (s, 1H), 8.38 -8.42 (m, 1H), 9.00 (s, 1H), 10.34 (s, 1H)
実施例461:N-(8-メトキシ-2-(テトラヒドロ-2H-ピラン-4-イル)イミダゾ[1,2-a]ピラジン-6-イル)-1-メチル-1H-ピラゾール-3-カルボキサミド塩酸塩;LCMS (ESI) m/z 357.1 (M+H)H NMR (500 MHz, メタノール-d) δ: 1.88-1.91 (m, 2H), 2.03 (d, J = 10.0 Hz, 2H), 3.20-3.24 (m, 1H), 3.60 (t, J = 20.0 Hz, 2H), 4.02 (s, 3H), 4.05-4.08 (m, 2H), 4.31 (s, 3H), 6.88 (d, J = 5.0 Hz, 1H), 7.73 (s, 1H), 8.23 (s, 1H), 9.20 (d, J = 5.0 Hz, 1H)
実施例462:1-イソプロピル-N-(8-メトキシ-2-(テトラヒドロ-2H-ピラン-4-イル)イミダゾ[1,2-a]ピラジン-6-イル)-1H-ピラゾール-3-カルボキサミド2,2,2-トリフルオロ酢酸塩;H NMR (500 MHz DMSO-d) δ ppm 1.50 (d, J=6.71 Hz, 7 H), 1.65-1.73 (m, 2H), 1.92 (br dd, J=13.12, 2.14 Hz, 2H, 2.96-3.02 (m, 1H), 3.47 (td, J=11.60, 2.44 Hz, 1H), 3.58 (br s, 1H), 3.93 (dt, J=9.16, 2.14 Hz, 3H), 4.11 (s, 3H), 4.65 (spt, J=6.71 Hz, 1H), 6.85 (d, J=2.44 Hz, 1H), 7.99 (d, J=2.44 Hz, 1H), 8.09 (s, 1H), 8.91 (s, 1H), 9.33 (br s, 1H)
実施例463:1-エチル-N-(8-メトキシ-2-(テトラヒドロ-2H-ピラン-4-イル)イミダゾ[1,2-a]ピラジン-6-イル)-1H-ピラゾール-3-カルボキサミド2,2,2-トリフルオロ酢酸塩;H NMR (500 MHz DMSO-d) δ ppm 1.45 (t, J=7.32 Hz, 3H), 1.65-1.73 (m, 2H), 1.92 (br dd, J=12.82, 2.44 Hz, 2H), 2.99 (tt, J=11.37, 3.89 Hz, 1H), 3.44-3.49 (m, 1H), 3.93 (dt, J=9.61, 1.91 Hz, 2H), 4.10 (s, 3H), 4.28 (q, J=7.32 Hz, 2H), 6.85 (d, J=2.44 Hz, 1H), 7.96 (d, J=2.44 Hz, 1H), 8.09 (s, 1H), 8.91 (s, 1H), 9.35 (br s, 1H)
実施例464:1-イソブチル-N-(8-メトキシ-2-(テトラヒドロ-2H-ピラン-4-イル)イミダゾ[1,2-a]ピラジン-6-イル)-1H-ピラゾール-3-カルボキサミド;H NMR (500 MHz DMSO-d) δ ppm 0.87 (d, J=6.71 Hz, 7H), 1.66-1.73 (m, 2H), 1.91 (br dd, J=12.82, 1.83 Hz, 2H), 2.16-2.24 (m, 1H), 2.90-3.02 (m, 1H), 3.47 (td, J=11.60, 2.44 Hz, 1H), 3.90-3.98 (m, 2H), 4.04-4.09 (m, 5H), 6.85 (d, J=2.44 Hz, 1H), 7.93 (d, J=2.44 Hz, 1H), 8.04 (s, 1H), 8.87 (s, 1H), 9.24 (s, 1H)
実施例465:2-メトキシ-N-(8-メトキシ-2-(1-メチル-2-オキサビシクロ[2.2.1]ヘプタン-4-イル)イミダゾ[1,2-a]ピラジン-6-イル)ベンズアミド2,2,2-トリフルオロ酢酸塩;LCMS (ESI) m/z 409.2 (M+H)H NMR (500 MHz DMSO-d) δ ppm 1.39 (s, 4H), 1.64-1.71 (m, 1H), 1.76-1.88 (m, 4H), 1.94-1.98 (m, 1H), 2.04 -2.10 (m, 1H), 3.79 (d, J=6.10 Hz, 1H), 3.93 (dd, J=6.41, 3.36 Hz, 1H), 4.03 (s, 3H), 4.08 (s, 3H), 7.14 (t, J=7.94 Hz, 1H), 7.27 (d, J=8.55 Hz, 1H), 7.59 (td, J=7.94, 1.83 Hz, 1H), 7.91 (dd, J=7.63, 1.53 Hz, 1H), 8.11 (s, 1H), 8.99 (s, 1H), 10.28 (s, 1H)。
実施例466:3-フルオロ-2-メトキシ-N-(8-メトキシ-2-(1-メチル-2-オキサビシクロ[2.2.1]ヘプタン-4-イル)イミダゾ[1,2-a]ピラジン-6-イル)ベンズアミド2,2,2-トリフルオロ酢酸塩;LCMS (ESI) m/z 427.3 (M+H)H NMR (500 MHz DMSO-d) δ ppm 1.39 (s, 4H), 1.66-1.74 (m, 1H), 1.76-1.87 (m, 4H), 1.94-1.98 (m, 1H), 2.01 -2.11 (m, 1H), 3.79 (d, J=6.10 Hz, 1H), 3.93 (dd, J=6.41, 3.36 Hz, 1H), 3.99 (d, J=1.22 Hz, 3H), 4.06 (s, 3H), 7.24 (td, J=7.94, 4.88 Hz, 1H), 7.42-7.53 (m, 2H), 8.11 (s, 1H), 8.97 (s, 1H), 10.53 (s, 1H)
実施例467:2-フルオロ-N-(8-メトキシ-2-(1-メチル-2-オキサビシクロ[2.2.1]ヘプタン-4-イル)イミダゾ[1,2-a]ピラジン-6-イル)-3-メチルベンズアミド2,2,2-トリフルオロ酢酸塩;LCMS (ESI) m/z 411.3 (M+H)H NMR (500 MHz DMSO-d) δ ppm 1.39 (s, 5H), 1.66-1.73 (m, 2H), 1.74-1.88 (m, 5H), 1.94-1.98 (m, 2H), 2.02 -2.11 (m, 2H), 2.31 (d, J=1.22 Hz, 4H), 3.78 (d, J=6.71 Hz, 1H), 3.89-3.97 (m, 1H), 4.05 (s, 3H), 7.18-7.27 (m, 1H), 7.40-7.51 (m, 2H), 8.10 (s, 1H), 8.96 (s, 1H), 10.60 (s, 1H)
実施例468:2-メトキシ-N-(8-メトキシ-2-(1-メチル-2-オキサビシクロ[2.2.1]ヘプタン-4-イル)イミダゾ[1,2-a]ピラジン-6-イル)ニコチンアミド2,2,2-トリフルオロ酢酸塩;LCMS (ESI) m/z 410.2 (M+H)H NMR (500 MHz DMSO-d) δ ppm 1.39 (s, 3H), 1.66-1.81 (m, 2H), 1.82-1.88 (m, 2H), 1.91-1.98 (m, 1H), 2.02-2.10 (m, 1H), 3.78 (d, J=6.10 Hz, 1H), 3.93 (dd, J=6.41, 3.36 Hz, 1H), 4.08 (d, J=2.44 Hz, 5H), 7.18-7.26 (m, 1H), 8.10 (s, 1H), 8.23 (dd, J=7.32, 1.83 Hz, 1H), 8.39 (dd, J=4.88, 1.83 Hz, 1H), 8.98 (s, 1H), 10.31 (s, 1H)
実施例469:N-(8-メトキシ-2-(1-メチル-2-オキサビシクロ[2.2.1]ヘプタン-4-イル)イミダゾ[1,2-a]ピラジン-6-イル)-2,3-ジヒドロベンゾフラン-7-カルボキサミド2,2,2-トリフルオロ酢酸塩;LCMS (ESI) m/z 421.2 (M+H)H NMR (500 MHz DMSO-d) δ ppm 1.39 (s, 3H), 1.64-1.74 (m, 1H), 1.75-1.90 (m, 3H), 1.93-1.97 (m, 1H), 2.01 -2.11 (m, 1H), 3.32 (t, J=8.55 Hz, 1H), 3.78 (d, J=6.10 Hz, 1H), 3.92 (dd, J=6.41, 3.36 Hz, 1H), 4.07 (s, 3H), 4.87 (t, J=8.85 Hz, 2H), 6.99-7.09 (m, 1H), 7.52 (dd, J=7.32, 1.22 Hz, 1H), 7.77 (d, J=6.71 Hz, 1H), 8.10 (s, 1H), 9.00 (s, 1H), 9.73 (s, 1H)
実施例470:N-(8-メトキシ-2-(1-メチル-2-オキサビシクロ[2.2.1]ヘプタン-4-イル)イミダゾ[1,2-a]ピラジン-6-イル)ピラゾロ[1,5-a]ピリジン-7-カルボキサミド2,2,2-トリフルオロ酢酸塩;LCMS (ESI) m/z 419.3 (M+H)H NMR (500 MHz DMSO-d) δ ppm 1.39 (s, 3H), 1.66-1.74 (m, 1H), 1.78-1.85 (m, 2H), 1.85-1.89 (m, 1H), 1.95-1.99 (m, 1H), 2.04-2.13 (m, 1H), 3.79 (d, J=6.10 Hz, 1H), 3.91-3.96 (m, 1H), 4.12 (s, 3H), 6.98-7.01 (m, 1H), 7.51 (dd, J=8.85, 7.02 Hz, 1H), 7.97 (dd, J=7.02, 1.53 Hz, 1H), 8.10 (dd, J=8.55, 1.22 Hz, 1H), 8.15 (s, 1H), 8.37 (d, J=2.44 Hz, 1H), 9.12 (s, 1H), 13.00 (s, 1H)
実施例471:N-(8-メトキシ-2-(1-メチル-2-オキサビシクロ[2.2.1]ヘプタン-4-イル)イミダゾ[1,2-a]ピラジン-6-イル)-2-メチルオキサゾール-4-カルボキサミド2,2,2-トリフルオロ酢酸塩;LCMS (ESI) m/z 384.2 (M+H)H NMR (500 MHz DMSO-d) δ ppm 1.38 (s, 3H), 1.61-1.74 (m, 1H), 1.75-1.89 (m, 3H), 1.90-1.96 (m, 1H), 2.02-2.11 (m, 1H), 2.53 (s, 4H), 3.77 (d, J=6.71 Hz, 1H), 3.89-3.96 (m, 1H), 4.07 (s, 3H), 8.10 (s, 1H), 8.73-8.88 (m, 1H), 9.41 (s, 1H)
実施例472:2-シクロプロピル-N-(8-メトキシ-2-(1-メチル-2-オキサビシクロ[2.2.1]ヘプタン-4-イル)イミダゾ[1,2-a]ピラジン-6-イル)オキサゾール-4-カルボキサミド2,2,2-トリフルオロ酢酸塩;LCMS (ESI) m/z 410.2 (M+H)H NMR (500 MHz DMSO-d) δ ppm 1.03-1.16 (m, 4H), 1.38 (s, 3H), 1.66-1.73 (m, 1H), 1.75-1.87 (m, 3H), 1.90-1.99 (m, 1H), 2.02-2.11 (m, 1H), 2.19-2.26 (m, 1H), 3.78 (d, J=6.71 Hz, 1H), 3.86-3.95 (m, 1H), 4.08 (s, 3H), 8.10 (s, 1H), 8.69-8.87 (m, 1H), 9.37 (s, 1H)
実施例473:N-(8-エトキシ-2-(1-メチル-2-オキサビシクロ[2.1.1]ヘキサン-4-イル)イミダゾ[1,2-a]ピラジン-6-イル)-2-メチルオキサゾール-4-カルボキサミド;LCMS (ESI) m/z 384.2 (M+H)H NMR (500 MHz, メタノール-d) δ ppm: 1.52 (s, 3H), 1.56 (t, J = 7.5 Hz, 3H), 1.80-1.90 (m, 2H), 2.10-2.20 (m, 2H), 2.56 (s, 3H), 4.05 (s, 2H), 4.60-4.70 (m, 2H), 7.89 (s, 1H), 8.46 (s, 1H), 8.92 (s, 1H)
実施例474:N-(8-エトキシ-2-(テトラヒドロ-2H-ピラン-4-イル)イミダゾ[1,2-a]ピラジン-6-イル)-6-メチルピコリンアミド2,2,2-トリフルオロ酢酸塩;H NMR (500 MHz DMSO-d) δ ppm 1.46 (t, J=7.02 Hz, 3H), 1.65-1.76 (m, 2H), 1.89-1.95 (m, 2H), 2.64 (s, 3H), 2.98 (tt, J=11.44, 4.12 Hz, 1H), 3.47 (td, J=11.60, 1.83 Hz, 1H), 3.94 (dt, J=9.46, 2.29 Hz, 2H), 4.57 (q, J=7.32 Hz, 2H), 7.58-7.63 (m, 1H), 7.96-8.03 (m, 1H), 8.02-8.09 (m, 1H), 9.01 (s, 1H), 10.03 (s, 1H)。
実施例475:6-(ジフルオロメチル)-N-(8-エトキシ-2-(テトラヒドロ-2H-ピラン-4-イル)イミダゾ[1,2-a]ピラジン-6-イル)ピコリンアミド2,2,2-トリフルオロ酢酸塩;LCMS (ESI) m/z 418.3 (M+H)H NMR (500 MHz DMSO-d) δ ppm 1.46 (t, J=7.02 Hz, 3H), 1.66-1.76 (m, 1H), 1.72-1.74 (m, 1H) 1.86-1.96 (m, 2H), 2.96-3.03 (m, 1H), 3.48 (td, J=11.60, 1.83 Hz, 1H), 3.94 (dt, J=9.61, 1.91 Hz, 2H), 4.57 (q, J=6.92 Hz, 2H), 7.06-7.32 (m, 1H), 8.03 (dd, J=7.02, 1.53 Hz, 1H), 8.08 (s, 1H), 8.32-8.37 (m, 2H), 9.02 (s, 1H), 9.97 (s, 1H)
実施例476:6-(ジフルオロメチル)-N-(8-プロポキシ-2-(テトラヒドロ-2H-ピラン-4-イル)イミダゾ[1,2-a]ピラジン-6-イル)ピコリンアミド2,2,2-トリフルオロ酢酸塩;LCMS (ESI) m/z 432.3 (M+H)H NMR (500 MHz DMSO-d) δ ppm 1.04 (t, J=7.63 Hz, 3H), 1.67-1.74 (m, 2H), 1.85-1.95 (m, 3H), 2.94-3.01 (m, 1H), 3.46 (br d, J=9.77 Hz, 1H), 3.92-3.98 (m, 2H), 4.47 (t, J=6.71 Hz, 2H), 7.07-7.31 (m, 1H), 8.04-8.08 (m, 1H), 8.31-8.37 (m, 1H), 9.00 (s, 1H), 9.95 (s, 1H)。
実施例477:N-(8-イソプロポキシ-2-(1-メチル-2-オキサビシクロ[2.1.1]ヘキサン-4-イル)イミダゾ[1,2-a]ピラジン-6-イル)-2-メトキシベンズアミド2,2,2-トリフルオロ酢酸塩;LCMS (ESI) m/z 423.4 (M+H)H NMR (500 MHz DMSO-d) δ ppm 1.39-1.49 (m, 10H), 1.78 (dd, J=4.58, 1.53 Hz, 2H), 2.02 (dd, J=4.58, 1.53 Hz, 2H), 3.90-4.04 (m, 4H), 5.43-5.54 (m, 1H), 7.14 (t, J=7.94 Hz, 1H), 7.26 (d, J=8.55 Hz, 1H), 7.49-7.65 (m, 1H), 7.88 (dd, J=7.63, 1.53 Hz, 1H), 8.08 (s, 1H), 8.94 (s, 1H), 10.24 (s, 1H)
実施例478:2-フルオロ-N-(8-イソプロポキシ-2-(1-メチル-2-オキサビシクロ[2.1.1]ヘキサン-4-イル)イミダゾ[1,2-a]ピラジン-6-イル)-3-メチルベンズアミド2,2,2-トリフルオロ酢酸塩;LCMS (ESI) m/z 425.4 (M+H)H NMR (500 MHz DMSO-d) δ ppm 1.35-1.46 (m, 13H), 1.76-1.80 (m, 3H), 2.00-2.04 (m, 3H), 2.31 (s, 4H), 3.84-3.92 (m, 2H), 5.44-5.54 (m, 1H), 7.18-7.24 (m, 1H), 7.43-7.53 (m, 2H), 8.04-8.15 (m, 1H), 8.90-9.10 (m, 1H), 10.56 (s, 1H)
実施例479:4-フルオロ-N-(8-イソプロポキシ-2-(1-メチル-2-オキサビシクロ[2.1.1]ヘキサン-4-イル)イミダゾ[1,2-a]ピラジン-6-イル)-2-メトキシベンズアミド2,2,2-トリフルオロ酢酸塩;LCMS (ESI) m/z 441.2 (M+H)H NMR (500 MHz DMSO-d) δ ppm 1.41-1.45 (m, 7H) 1.72-1.84 (m, 1H) 2.00-2.06 (m, 1H) 3.90 (s, 4H) 3.97-4.05 (m, 6H) 5.48 (dt, J=12.36, 6.33 Hz, 1H) 6.97 (td, J=8.24, 2.44 Hz, 1H) 7.15-7.23 (m, 1H) 7.91 (t, J=7.94 Hz, 1H) 8.07 (s, 1H) 8.91 (s, 1H) 10.13 (s, 1H)
実施例480:N-(8-イソプロポキシ-2-(1-メチル-2-オキサビシクロ[2.1.1]ヘキサン-4-イル)イミダゾ[1,2-a]ピラジン-6-イル)-[1,2,4]トリアゾロ[1,5-a]ピリジン-5-カルボキサミド;LCMS (ESI) m/z 434.2 (M+H)H NMR (500MHz, メタノール-d) δ ppm: 1.51 (s, 3H), 1.53 (d, J = 6.5 Hz, 6H), 1.90-1.91 (m, 2H), 2.16 (d, J = 6.0 Hz, 2H), 4.05 (s, 2H), 5.65-5.67 (m, 2H), 7.90-7.93 (m, 2H), 8.10 (d, J = 7.5, 1H), 8.23 (d, J = 7.5, 1H), 8.74 (s, 1H), 9.09 (s, 1H)。
実施例481:N-(8-イソプロポキシ-2-(1-メチル-2-オキサビシクロ[2.1.1]ヘキサン-4-イル)イミダゾ[1,2-a]ピラジン-6-イル)ピラゾロ[1,5-a]ピリミジン-7-カルボキサミド;LCMS (ESI) m/z 434.1 (M+H)H NMR (400 MHz, クロロホルム-d) δ ppm: 1.53 (s, 3H), 1.54 (d, J = 6.0 Hz, 6H), 1.98-2.00 (m, 2H), 2.10-2.12 (m, 2H), 4.10 (s, 2H), 5.65-5.72 (m, 1H), 6.97 (d, J = 2.0 Hz, 1H), 7.50 (s, 1H), 7.90 (d, J = 3.6 Hz, 1H), 8.36 (s, 1H), 8.75 (d, J = 4.4 Hz, 1H), 8.97 (s, 1H), 12.81 (s, 1H)。
実施例482:4-フルオロ-N-(8-イソプロポキシ-2-(1-メチル-2-オキサビシクロ[2.1.1]ヘキサン-4-イル)イミダゾ[1,2-a]ピラジン-6-イル)ピラゾロ[1,5-a]ピリジン-3-カルボキサミド;LCMS (ESI) m/z 451.2 (M+H)H NMR (500 MHz, メタノール-d) δ ppm: 1.49 (s, 3H), 1.50 (d, J = 1 Hz, 6H), 1.88-1.90 (m, 2H), 2.14-2.16 (m, 2H), 4.04 (s, 2H), 5.59-5.65 (m, 1H), 7.05-7.09 (m, 1H), 7.28-7.32 (m, 1H), 7.86 (s, 1H), 8.57 (d, J = 7 Hz, 1H), 8.50 (s, 1H), 8.91 (s, 1H)。
実施例483:N-(2-(1-(フルオロメチル)-2-オキサビシクロ[2.1.1]ヘキサン-4-イル)-8-イソプロポキシイミダゾ[1,2-a]ピラジン-6-イル)-2-メトキシベンズアミド2,2,2-トリフルオロ酢酸塩;LCMS (ESI) m/z 441.3 (M+H)H NMR (500 MHz DMSO-d) δ ppm 1.43 (d, J=6.10 Hz, 6H), 1.88 (dd, J=4.27, 1.83 Hz, 2H), 2.18 (dd, J=4.58, 1.53 Hz, 2H), 4.00 (d, J=7.94 Hz, 6H), 4.64-4.76 (m, 2H), 5.43-5.53 (m, 1H), 6.93-7.19 (m, 1H), 7.26 (d, J=8.55 Hz, 1H), 7.58 (td, J=7.94, 1.83 Hz, 1H), 7.85-7.89 (m, 1H), 8.14 (s, 1H), 8.95 (s, 1H), 10.26 (s, 1H)。
実施例484:N-(8-シクロブトキシ-2-(1-メチル-2-オキサビシクロ[2.1.1]ヘキサン-4-イル)イミダゾ[1,2-a]ピラジン-6-イル)-2-メチルオキサゾール-4-カルボキサミド;LCMS (ESI) m/z 410.2 (M+H)H NMR (500 MHz DMSO-d) δ ppm 1.43 (s, 3H), 1.63-1.74 (m, 1H), 1.75-1.80 (m, 2H), 1.79-1.90 (m, 1H), 2.02 (dd, J=4.58, 1.53 Hz, 2H), 2.16-2.27 (m, 2H), 2.53 (s, 4H), 3.90 (s, 2H), 5.32-5.39 (m, 1H), 8.10 (s, 1H), 8.73-8.86 (m, 1H), 9.40 (s, 1H)
実施例485:N-(8-シクロブトキシ-2-(1-メチル-2-オキサビシクロ[2.1.1]ヘキサン-4-イル)イミダゾ[1,2-a]ピラジン-6-イル)-2-(ジフルオロメチル)オキサゾール-4-カルボキサミド2,2,2-トリフルオロ酢酸塩;LCMS (ESI) m/z 446.2 (M+H);1H NMR (500 MHz DMSO-d) δ ppm 1.43 (s, 3H), 1.64-1.73 (m, 1H), 1.78 (dd, J=4.58, 1.53 Hz, 2H), 1.80-1.88 (m, 1H), 2.02 (dd, J=4.27, 1.83 Hz, 2H), 2.14-2.26 (m, 2H), 3.90 (s, 2H), 5.39 (五重線, J=7.48 Hz, 1H), 7.25-7.49 (m, 1H), 8.11 (s, 1H), 8.85-9.15 (m, 1H), 9.90 (s, 1H)。
実施例486:N-(8-シクロブトキシ-2-(1-メチル-2-オキサビシクロ[2.2.1]ヘプタン-4-イル)イミダゾ[1,2-a]ピラジン-6-イル)-2-メチルオキサゾール-4-カルボキサミド2,2,2-トリフルオロ酢酸塩;LCMS (ESI) m/z 424.3 (M+H)H NMR (500 MHz DMSO-d) δ ppm 1.38 (s, 3H), 1.66-1.89 (m, 7 H), 1.93-2.00 (m, 1H), 2.03-2.10 (m, 1H), 2.16-2.25 (m, 2H), 3.78 (d, J=6.71 Hz, 1H), 3.91 (dd, J=6.41, 3.36 Hz, 1H), 5.32-5.39 (m, 1H), 8.08 (s, 1H), 8.70-8.88 (m, 1H), 9.38 (s, 1H)
実施例487:3,3-ジフルオロ-N-(7-イソプロポキシ-2-(テトラヒドロ-2H-ピラン-4-イル)イミダゾ[1,2-a]ピリミジン-6-イル)-2,3-ジヒドロベンゾフラン-7-カルボキサミド;LCMS (ESI) m/z 459.0 (M+H)H NMR (400MHz, メタノール-d) δ: 1.46 (d, J = 6.0 Hz, 6H), 1.64-1.67 (m, 2H), 1.86-1.89 (m, 2H), 2.80-2.90 (m, 1H), 3.45-3.48 (m, 2H), 3.89-3.93 (m, 2H), 5.14-5.22 (m, 2H), 5.33-5.37 (m, 1H), 7.36-7.39 (m, 1H), 7.56 (s, 1H), 7.98 (d, J = 8.0 Hz, 1H), 8.20 (d, J = 7.6 Hz, 1H), 9.65 (s, 1H), 9.79 (s, 1H)。
実施例488:N-(7-イソプロポキシ-2-(1-メチル-2-オキサビシクロ[2.1.1]ヘキサン-4-イル)イミダゾ[1,2-a]ピリミジン-6-イル)-2-メトキシベンズアミド;LCMS (ESI) m/z 423.0 (M+H)H NMR (400 MHz, メタノール-d) δ: 1.49 (s, 3H), 1.54 (d, J = 6.0 Hz, 6H), 1.84 (d, J = 4.4 Hz, 2H), 2.09 (d, J = 3.2 Hz, 2H), 3.99 (s, 2H), 4.13 (s, 3H), 5.55-5.62 (m, 1H), 7.10-7.15 (m, 1H), 7.23 (d, J = 8.4 Hz, 1H), 7.45 (s, 1H), 7.55-7.59 (m,1H), 8.15 (d, J = 8.0 Hz, 1H), 9.68 (s, 1H)
実施例489:3-フルオロ-N-(7-イソプロポキシ-2-(1-メチル-2-オキサビシクロ[2.1.1]ヘキサン-4-イル)イミダゾ[1,2-a]ピリミジン-6-イル)-2-メトキシベンズアミド2,2,2-トリフルオロ酢酸塩;H NMR (500 MHz DMSO-d) δ ppm 1.45 (s, 4H), 1.51 (d, J=6.10 Hz, 7H), 1.83 (br d, J=2.44 Hz, 2H), 2.10 (br s, 2H), 3.92 (s, 2H), 4.15 (d, J=1.83 Hz, 3H), 5.37-5.65 (m, 1H), 7.35 (d, J=4.88 Hz, 1H), 7.52-7.76 (m, 1H), 7.85 (dd, J=7.94, 1.22 Hz, 1H), 7.90-8.11 (m, 1H), 9.70-10.06 (m, 1H), 10.51 (br s, 1H)
実施例490:2-フルオロ-N-(7-イソプロポキシ-2-(1-メチル-2-オキサビシクロ[2.1.1]ヘキサン-4-イル)イミダゾ[1,2-a]ピリミジン-6-イル)-3-メチルベンズアミド;LCMS (ESI) m/z 425.1 (M+H)H NMR (400MHz, メタノール-d) δ ppm: 1.40-1.50 (m, 9H), 1.80-1.90 (m, 2H), 2.00-2.10 (m, 2H), 2.39 (s, 3H), 4.00 (s, 2H), 5.50-5.60 (m, 1H), 7.26 (t, J = 8.0 Hz, 1H), 7.50-7.60 (m, 2H), 7.85 (t, J = 7.2 Hz, 1H), 9.55 (s, 1H)
実施例491:N-(7-イソプロポキシ-2-(1-メチル-2-オキサビシクロ[2.1.1]ヘキサン-4-イル)イミダゾ[1,2-a]ピリミジン-6-イル)-6-メチルピコリンアミド;LCMS (ESI) m/z 408.1 (M+H)H NMR (500MHz, メタノール-d) δ 1.49 (s, 3H), 1.54 (d, J = 6.5 Hz, 6H), 1.80-1.90 (m, 2H), 2.00-2.10 (m, 2H), 2.64 (s, 3H), 3.99 (s, 2H), 5.50-5.60 (m, 1H), 7.40-7.50 (m, 2H), 7.90 (t, J = 7.5 Hz, 1H), 8.01 (t, J = 7.5 Hz, 1H), 9.61 (s, 1H)
実施例492:6-シクロプロピル-N-(7-イソプロポキシ-2-(1-メチル-2-オキサビシクロ[2.1.1]ヘキサン-4-イル)イミダゾ[1,2-a]ピリミジン-6-イル)ピコリンアミド;LCMS (ESI) m/z 434.1 (M+H)H NMR (500 MHz, メタノール-d) δ ppm: 1.49 (s, 3H), 1.56-1.57 (m, 6H), 1.84-1.87 (m, 2H), 2.07-2.11 (m, 2H), 3.99 (s, 2H), 2.20-2.24 (m, 1H), 5.56-5.63 (m, 1H), 7.49-7.56 (m, 2H), 7.85-7.87 (t, J = 10.0 Hz, 1H), 7.93-7.95 (t, J = 10.0 Hz, 1H), 9.63-9.65 (d, J = 10.0 Hz, 1H)
実施例493:N-(7-イソプロポキシ-2-(1-メチル-2-オキサビシクロ[2.1.1]ヘキサン-4-イル)イミダゾ[1,2-a]ピリミジン-6-イル)-6-(テトラヒドロフラン-3-イル)ピコリンアミド;LCMS (ESI) m/z 464.1 (M+H)H NMR (500 MHz, メタノール-d) δ ppm: 1.50 (s, 3H), 1.54 (d, J = 6.26 Hz, 6H), 1.85 (dd, J = 4.50, 1.60 Hz, 2H), 2.09 (dd, J = 4.58, 1.53 Hz, 2H), 2.40-2.30 (m, 1H), 2.40-2.50 (m, 1H), 3.75 (q, J = 7.74 Hz, 1H), 3.95-4.00 (m, 3H), 4.00-4.05 (m, 1H), 4.13 (td, J = 8.09, 5.04 Hz, 1H), 4.25 (t, J = 8.01 Hz, 1H), 5.59 (q, J = 6.22 Hz, 1H), 7.49 (s, 1H), 7.57 (d, J = 7.63 Hz, 1H), 7.96 (t, J = 7.71 Hz, 1H), 8.04-8.07 (m, 1H), 9.64 (s, 1H)
実施例494:6-シクロプロポキシ-N-(7-イソプロポキシ-2-(1-メチル-2-オキサビシクロ[2.1.1]ヘキサン-4-イル)イミダゾ[1,2-a]ピリミジン-6-イル)ピコリンアミド;LCMS (ESI) m/z 450.1 (M+H)H NMR (400 MHz, メタノール-d) δ ppm: 0.83-0.93 (m, 4H), 1.47-1.50 (t, J = 15.0 Hz, 9H), 1.87-1.89 (t, J = 10.0 Hz, 2H), 2.12-2.13 (m, 2H), 4.01 (s, 2H), 4.42-4.46 (m, 1H), 5.58-5.64 (m, 1H), 7.06-7.08 (d, J = 10.0 Hz, 1H), 7.61 (s, 1H), 7.85-7.94 (m, 2H), 9.77 (s, 1H)
実施例495:N-(7-イソプロポキシ-2-(1-メチル-2-オキサビシクロ[2.1.1]ヘキサン-4-イル)イミダゾ[1,2-a]ピリミジン-6-イル)ピラゾロ[1,5-a]ピリミジン-7-カルボキサミド;LCMS (ESI) m/z 434.0 (M+H)H NMR (500 MHz, メタノール-d) δ ppm 1.52 (s, 3H), 1.60 (d, J=6.10 Hz, 6H), 1.86 (dd, J=4.58, 1.53 Hz, 2H), 2.03-2.15 (m, 2H), 4.00 (s, 2H), 5.49 (dt, J=12.36, 6.33 Hz, 1H), 6.93 (d, J=2.44 Hz, 1H), 7.41 (s, 1H), 7.79 (d, J=4.27 Hz, 1H), 8.36 (d, J=2.44 Hz, 1H), 8.72 (d, J=4.27 Hz, 1H), 9.67 (s, 1H)
実施例496:1-(ジフルオロメチル)-N-(7-イソプロポキシ-2-(1-メチル-2-オキサビシクロ[2.1.1]ヘキサン-4-イル)イミダゾ[1,2-a]ピリミジン-6-イル)-2-オキソ-1,2-ジヒドロピリジン-3-カルボキサミド2,2,2-トリフルオロ酢酸塩;LCMS (ESI) m/z 460.0 (M+H);1H NMR (500 MHz, メタノール-d4) δ ppm: 1.53 (s, 3H) 1.60 (d, J=6.10 Hz, 6H) 1.98 (dd, J=4.88, 1.83 Hz, 2H) 2.20 (dd, J=4.88, 1.83 Hz, 2H) 4.04 (s, 2H) 5.50-5.74 (m, 1H) 6.81 (t, J=7.02 Hz, 1H) 7.81-8.15 (m, 2H) 8.19-8.25 (m, 1H) 8.72 (dd, J=7.33, 1.83 Hz, 1H) 9.94 (s, 1H), 12.24 (s, 1H)
実施例497:N-(7-イソプロポキシ-2-(1-メチル-2-オキサビシクロ[2.1.1]ヘキサン-4-イル)イミダゾ[1,2-a]ピリミジン-6-イル)-1-メチル-1H-ピラゾール-3-カルボキサミド;LCMS (ESI) m/z 397.0 (M+H)H NMR (500 MHz DMSO-d) δ ppm: 1.42-1.52 (m, 8 H), 1.69-1.85 (m, 2H), 2.02-2.18 (m, 2H), 3.85-3.93 (m, 2H), 3.99 (s, 3H), 5.32-5.47 (m, 1H), 6.83 (d, J=2.44 Hz, 1H), 7.38 (s, 1H), 7.94 (s, 2H), 9.25 (br s, 1H), 9.45-9.72 (m, 1H)
実施例498:1-(ジフルオロメチル)-N-(7-イソプロポキシ-2-(1-メチル-2-オキサビシクロ[2.1.1]ヘキサン-4-イル)イミダゾ[1,2-a]ピリミジン-6-イル)-1H-ピラゾール-3-カルボキサミド;LCMS (ESI) m/z 433.0 (M+H)H NMR (500 MHz DMSO-d) δ ppm: 1.40-1.50 (m, 11H), 1.71-1.85 (m, 2H), 1.97-2.13 (m, 2H), 3.90 (s, 2H), 5.32-5.49 (m, 1H), 7.07 (d, J=2.44 Hz, 1H), 7.80-8.23 (m, 2H), 8.49 (d, J=2.44 Hz, 1H), 9.38-9.68 (m, 2H)
実施例499:N-(7-イソプロポキシ-2-(1-メチル-2-オキサビシクロ[2.1.1]ヘキサン-4-イル)イミダゾ[1,2-a]ピリミジン-6-イル)-2-(トリフルオロメチル)チアゾール-4-カルボキサミド;LCMS (ESI) m/z 468.0 (M+H)H NMR (500MHz, メタノール-d) δ 1.51-1.52 (m, 6H), 1.52-1.53 (m, 3H), 1.87 (d, J = 4.5 Hz, 2H), 2.12 (d, J = 4.5 Hz, 2H), 4.02 (s, 2H), 5.56 (t, J = 6.0 Hz, 1H), 7.51-7.66 (m, 1H), 8.74-8.81 (m, 1H), 9.54 (s, 1H)。
実施例500:N-(2-(3-オキサビシクロ[3.1.0]ヘキサン-6-イル)-7-イソプロポキシイミダゾ[1,2-a]ピリミジン-6-イル)-1-メチル-1H-ピラゾール-3-カルボキサミド塩酸塩;LCMS (ESI) m/z 383.0 (M+H)H NMR (500 MHz, メタノール-d) δ: 1.56-1.57 (d, J = 6.0 Hz, 6H), 1.96-1.97 (m, 1H), 2.19 (d, J = 2 Hz, 2H), 3.79-3.81 (d, J = 8.5 Hz, 2H), 4.02-4.04 (m, 5H), 5.59-5.64 (m, 1H), 6.88-6.89 (d, J = 2.0 Hz, 2H), 7.67-7.74 (t, J = 2.5 Hz, 1H), 9.70-9.74 (t, J = 9.5 Hz, 1H)
実施例501:N-(2-(3-オキサビシクロ[3.1.0]ヘキサン-6-イル)-7-イソプロポキシイミダゾ[1,2-a]ピリミジン-6-イル)-1-イソプロピル-1H-ピラゾール-3-カルボキサミド塩酸塩;LCMS (ESI) m/z 411.1 (M+H)H NMR (500 MHz, メタノール-d) δ: 1.51-1.98 (m, 9H), 2.20-2.21 (d, J = 3.0 Hz, 1H), 3.79-3.81 (d, J = 8.5 Hz, 2H), 4.02-4.04 (d, J = 9.0 Hz, 2H), 4.63-4.68 (m, 1H), 7.69 (s, 1H), 5.57-5.62 (m, 1H), 6.86-6.88 (d, J = 12.0 Hz, 1H), 7.82-7.83 (d, J = 2.0 Hz, 1H), 9.72 (s, 1H)
実施例502:N-(2-(3-オキサビシクロ[3.1.0]ヘキサン-6-イル)-7-イソプロポキシイミダゾ[1,2-a]ピリミジン-6-イル)-1-(ジフルオロメチル)-1H-ピラゾール-3-カルボキサミド塩酸塩;LCMS (ESI) m/z 383.0 (M+H)H NMR(500 MHz, メタノール-d) δ ppm: 1.55 (d, J = 6.0 Hz, 6H), 1.97 (t, J = 3.5 Hz, 1H), 2.20 (d, J = 3.5 Hz, 2H), 3.80 (d, J = 8.5 Hz, 2H), 4.03 (d, J = 8.5 Hz 2H), 5.61 (t, J = 6.0 Hz, 1H), 7.08 (d, J = 3.0 Hz, 1H), 7.80 (s, 1H), 8.27 (d, J = 3.0 Hz, 1H), 9.72 (s, 1H)
実施例503:N-(2-(3-オキサビシクロ[3.1.0]ヘキサン-6-イル)-7-イソプロポキシイミダゾ[1,2-a]ピリミジン-6-イル)-1-(2,2-ジフルオロエチル)-1H-ピラゾール-3-カルボキサミド;LCMS (ESI) m/z 433.1 (M+H)H NMR (400 MHz, メタノール) δ ppm: 1.55-1.60 (m, 6H), 1.98 (t, J = 3.6 Hz, 1H), 2.20-2.22 (m, 2H), 3.81 (d, J = 8.8 Hz, 2H), 4.02-4.05 (m, 2H), 4.69-4.78 (m, 2H), 5.58-5.66 (m, 2H), 6.13-6.43 (m, 1H), 6.95 (d, J = 2.4 Hz, 1H), 7.70 (s, 1H), 7.87-7.89 (m, 1H), 9.40 (s, 1H), 9.73 (s, 1H)
実施例504:N-(2-(3-オキサビシクロ[3.1.0]ヘキサン-6-イル)-7-イソプロポキシイミダゾ[1,2-a]ピリミジン-6-イル)-2-イソプロピルオキサゾール-4-カルボキサミド;LCMS (ESI) m/z 412.0 (M+H)H NMR (500 MHz, メタノール-d) δ ppm: 1.41 (d, J = 7.0 Hz, 6H), 1.57 (d, J = 6.5 Hz, 6H), 1.97 (t, J = 3.5 Hz, 1H), 2.21 (d, J = 3.0 Hz, 2H), 3.18-3.21 (m, 1H), 3.80 (d, J = 8.5 Hz, 2H), 4.03 (d, J = 8.5 Hz, 2H), 5.60 (t, J = 6.0 Hz, 1H), 7.69 (s, 1H), 8.52 (s, 1H), 9.73 (s, 1H)。
実施例505:N-(7-シクロプロポキシ-2-(1-メチル-2-オキサビシクロ[2.1.1]ヘキサン-4-イル)イミダゾ[1,2-a]ピリミジン-6-イル)-2-メトキシニコチンアミド2,2,2-トリフルオロ酢酸塩;LCMS (ESI) m/z 422.0 (M+H)H NMR (500 MHz, メタノール-d) δ ppm 1.05-1.15 (m, 4H), 1.54 (s, 3H), 1.99 (dd, J=4.27, 1.83 Hz, 2H), 2.21 (dd, J=4.88, 1.83 Hz, 2H), 4.05 (s, 2H), 4.27 (s, 3H), 4.70-4.77 (m, 1H), 7.26 (dd, J=7.33, 4.88 Hz, 1H), 7.91 (s, 1H), 8.45 (dd, J=4.88, 1.83 Hz, 1H), 8.57 (dd, J=7.33, 1.83 Hz, 1H), 9.99 (s, 1H)
実施例506:6-(ジフルオロメチル)-N-(8-メトキシ-2-((テトラヒドロ-2H-ピラン-4-イル)メチル)イミダゾ[1,2-a]ピリジン-6-イル)ピコリンアミド;LCMS (ESI) m/z 417.2 (M+H)H NMR (500 MHz DMSO-d) δ ppm 1.15-1.33 (m, 4H), 1.56 (br dd, J=12.82, 1.83 Hz, 3H), 1.85-2.01 (m, 1H), 2.56 (d, J=6.71 Hz, 4H), 3.26 (br d, J=1.83 Hz, 2H), 3.82 (br dd, J=11.29, 2.75 Hz, 3H), 3.94 (s, 4H), 6.93-7.20 (m, 2H), 7.77 (s, 1H), 8.00 (t, J=4.27 Hz, 1H), 8.25-8.35 (m, 2H), 8.97 (d, J=1.83 Hz, 1H)。
実施例507:6-(ジフルオロメチル)-N-(8-メトキシ-2-(6-オキサスピロ[3.4]オクタン-2-イル)イミダゾ[1,2-a]ピリジン-6-イル)ピコリンアミド;LCMS (ESI) m/z 429.3 (M+H)H NMR (500 MHz DMSO-d) δ ppm 1.93-1.97 (m, 1H), 2.04-2.09 (m, 1H), 2.10-2.21 (m, 2H), 2.35-2.40 (m, 3H), 3.60-3.76 (m, 6H), 4.09-4.13 (m, 3H), 6.97-7.22 (m, 1H), 7.84 (br s, 1H), 8.05 (dd, J=6.71, 1.83 Hz, 1H), 8.31-8.39 (m, 2H), 9.34 (br s, 1H), 10.90 (br s, 1H)。
実施例508:6-(ジフルオロメチル)-N-(8-メトキシ-2-(1-メチル-2-オキサビシクロ[2.1.1]ヘキサン-4-イル)イミダゾ[1,2-a]ピリジン-6-イル)ピコリンアミド2,2,2-トリフルオロ酢酸塩;H NMR (500 MHz DMSO-d) δ ppm 1.45 (s, 4H) 1.86 (br d, J=4.27 Hz, 2H) 2.16 (br d, J=3.66 Hz, 2H) 3.94 (s, 2H) 4.10 (s, 3H) 6.90-7.27 (m, 1H) 7.80 (br s, 1H) 8.05 (dd, J=6.41, 2.14 Hz, 1H) 8.28-8.40 (m, 2H) 9.32 (br s, 1H) 10.89 (br s, 1H)
実施例509:N-(2-(8-オキサビシクロ[3.2.1]オクタン-3-イル)-8-メトキシイミダゾ[1,2-a]ピリジン-6-イル)-6-(ジフルオロメチル)ピコリンアミド2,2,2-トリフルオロ酢酸塩;LCMS (ESI) m/z 429.2 (M+H)H NMR (500 MHz DMSO-d) δ ppm 1.66-1.95 (m, 9H), 4.09 (s, 3H), 4.31 (br d, J=7.32 Hz, 1H), 4.42 (br s, 1H), 6.88-7.31 (m, 1H), 8.05 (dd, J=6.71, 2.44 Hz, 1H), 8.17-8.42 (m, 2H), 9.33 (br s, 1H), 10.88 (br s, 1H)
実施例510:6-(ジフルオロメチル)-N-(2-(2,2-ジメチルテトラヒドロ-2H-ピラン-4-イル)-8-メトキシイミダゾ[1,2-a]ピリジン-6-イル)ピコリンアミド2,2,2-トリフルオロ酢酸塩;LCMS (ESI) m/z 431.3 (M+H)H NMR (400 MHz, クロロホルム-d) δ ppm: 1.31 (d, J=9.29 Hz, 6H) 1.60 (t, J=12.93 Hz, 1H) 1.66-1.77 (m, 1H) 2.06 (br d, J=12.55 Hz, 2H) 3.42 (br t, J=12.55 Hz, 1H) 3.79-3.94 (m, 2H) 4.10 (s, 3H) 6.62-6.91 (m, 1H) 7.09 (s, 1H) 7.44 (s, 1H) 7.92 (d, J=7.78 Hz, 1H) 8.16 (t, J=7.78 Hz, 1H) 8.41 (d, J=7.78 Hz, 1H) 9.22 (s, 1H) 10.04 (s, 1H)
実施例511:N-(2-(3-シアノビシクロ[1.1.1]ペンタン-1-イル)-8-メトキシイミダゾ[1,2-a]ピリジン-6-イル)-6-(ジフルオロメチル)ピコリンアミド2,2,2-トリフルオロ酢酸塩;LCMS (ESI) m/z 410.2 (M+H)H NMR (500 MHz DMSO-d) δ ppm 2.66 (s, 5H), 4.05 (s, 3H), 6.89-7.30 (m, 1H), 7.65 (br s, 1H), 8.04 (dd, J=6.10, 3.05 Hz, 1H), 8.18-8.41 (m, 2H), 9.23 (br s, 1H), 10.80 (br s, 1H)
実施例512:6-(ジフルオロメチル)-N-(2-(3-(ジフルオロメチル)ビシクロ[1.1.1]ペンタン-1-イル)-8-メトキシイミダゾ[1,2-a]ピリジン-6-イル)ピコリンアミド2,2,2-トリフルオロ酢酸塩;LCMS (ESI) m/z 435.2 (M+H)H NMR (500 MHz DMSO-d) δ ppm 2.25 (s, 6H) 4.07 (s, 3H) 5.99-6.37 (m, 1H) 6.93-7.24 (m, 1H) 8.04 (dd, J=6.10, 2.44 Hz, 1H) 8.23 -8.41 (m, 2H) 9.26 (br s, 1H) 10.84 (br s, 1H)
実施例513:N-(2-(2,2-ジフルオロシクロプロピル)-8-メトキシイミダゾ[1,2-a]ピリジン-6-イル)-6-(ジフルオロメチル)ピコリンアミド、エナンチオマー1;LCMS (ESI) m/z 395.0 (M+H)H NMR (500MHz, メタノール-d) δ ppm: 1.90-2.00 (m, 2H), 2.85-2.95 (m, 1H), 4.05 (s, 3H), 6.75-7.00 (m, 1H), 7.05 (s, 1H), 7.72 (s, 1H), 7.94 (d, J = 8.0 Hz, 1H), 8.22 (t, J = 8.0 Hz, 1H), 8.35 (d, J = 7.5 Hz, 1H), 8.95 (s, 1H)
実施例514:N-(2-(2,2-ジフルオロシクロプロピル)-8-メトキシイミダゾ[1,2-a]ピリジン-6-イル)-6-(ジフルオロメチル)ピコリンアミド、エナンチオマー2;LCMS (ESI) m/z 395.0 (M+H)HNMR (500MHz, メタノール-d) δ ppm: 1.90-2.00 (m, 2H), 2.85-2.95 (m, 1H), 4.06 (s, 3H), 6.75-7.00 (m, 1H), 7.07 (s, 1H), 7.74 (s, 1H), 7.95 (d, J = 8.0 Hz, 1H), 8.24 (t, J = 8.0 Hz, 1H), 8.37 (d, J = 7.5 Hz, 1H), 8.97 (s, 1H)
実施例515:6-(ジフルオロメチル)-N-(7-メトキシ-2-(1-メチル-2-オキサビシクロ[2.1.1]ヘキサン-4-イル)イミダゾ[1,2-a]ピリジン-6-イル)ピコリンアミド2,2,2-トリフルオロ酢酸塩;LCMS (ESI) m/z 415.0 (M+H)H NMR (500 MHz DMSO-d) δ ppm: 1.46 (s, 3H) 1.88 (dd, J=4.27, 1.83 Hz, 2H) 2.15 (d, J=4.27 Hz, 2H) 3.94 (s, 2H) 4.19 (s, 3H) 6.97 - 7.47 (m, 2H) 8.07 (dd, J=7.02, 1.53 Hz, 1H) 8.32 - 8.45 (m, 2H) 9.71 (s, 1H) 10.44 (s, 1H)
実施例516:N-(7-エトキシ-2-(テトラヒドロ-2H-ピラン-4-イル)イミダゾ[1,2-a]ピリジン-6-イル)-6-(2-メトキシエトキシ)ピコリンアミド;LCMS (ESI) m/z 441.1 (M+H)H NMR (400 MHz, メタノール-d) δ 1.39 (t, J = 6.9 Hz, 3H), 1.60-1.87 (m, 2H), 1.95 (d, J = 13.2 Hz, 2H), 2.76-2.91 (m, 1H), 3.43 (s, 3H), 3.56 (dd, J = 12.1, 9.7, 2H), 3.73-3.64 (m, 2H), 3.90-4.12 (m, 4H), 4.29 (t, J = 6.9, Hz, 2H), 6.54 (s, 1H), 6.77 (d, J = 8.2 Hz, 1H), 7.26 (s, 1H), 7.56 (d, J = 7.2 Hz, 1H), 7.60-7.73 (m, 1H), 9.19 (s, 1H)
実施例517:6-(ジフルオロメチル)-N-(7-エトキシ-2-(1-メチル-2-オキサビシクロ[2.2.2]オクタン-4-イル)イミダゾ[1,2-a]ピリジン-6-イル)ピコリンアミド2,2,2-トリフルオロ酢酸塩;LCMS (ESI) m/z 457.0 (M+H)H NMR (500 MHz DMSO-d) δ ppm 0.96 (s, 3H), 1.36-1.57 (m, 2H), 1.36-1.63 (m, 1H), 1.37-1.48 (m, 4H), 1.72-1.76 (m, 1H), 1.76-1.88 (m, 2H), 1.88-2.09 (m, 2H), 3.78 (s, 2H), 4.17-4.35 (m, 2H), 6.87-7.29 (m, 2H), 7.87-8.05 (m, 2H), 8.15-8.28 (m, 2H), 10.35-10.53 (m, 1H)
実施例518:N-(2-(3-オキサビシクロ[3.1.0]ヘキサン-1-イル)-7-エトキシイミダゾ[1,2-a]ピリジン-6-イル)-6-(ジフルオロメチル)ピコリンアミド;LCMS (ESI) m/z 415.0 (M+H)H NMR (500 MHz DMSO-d) δ ppm 0.76-0.86 (m, 1H), 1.09 (dd, J=8.24, 4.58 Hz, 1H) 1.31 (t, J=7.02 Hz, 3H), 1.90 (br d, J=4.27 Hz, 1H), 3.56-3.73 (m, 3H), 3.80 (d, J=7.94 Hz, 1H), 4.11-4.23 (m, 2H), 6.74-7.06 (m, 2H), 7.82 (dd, J=6.71, 1.83 Hz, 1H), 7.95 (br s, 1H) 8.05-8.17 (m, 2H), 9.44 (br s, 1H), 10.38 (s, 1H)
実施例519:シス-6-(ジフルオロメチル)-N-(7-エトキシ-2-(2-フルオロシクロプロピル)イミダゾ[1,2-a]ピリジン-6-イル)ピコリンアミド塩酸塩;LCMS (ESI) m/z 391.1 (M+H)H NMR: (400 MHz, メタノール-d) δ ppm: 1.45-1.55 (m, 2H), 1.68 (t, J = 7.2 Hz, 3H), 2.28-2.35 (m, 1H), 4.43-4.50 (m, 2H), 4.96-5.16 (m, 1H), 6.73-7.02 (m, 1H), 7.26 (s, 1H), 7.94-7.99 (m, 2H), 8.26-8.30 (m, 1H), 8.41 (d, J = 8.0 Hz, 1H), 9.78 (s, 1H), 10.76 (s, 1H)
実施例520:N-(7-エトキシ-2-(3-メチルビシクロ[1.1.1]ペンタン-1-イル)イミダゾ[1,2-a]ピリジン-6-イル)-6-(トリフルオロメチル)ピコリンアミド2,2,2-トリフルオロ酢酸塩;LCMS (ESI) m/z 431.5(M+H)
実施例521:N-(2-(3-シアノビシクロ[1.1.1]ペンタン-1-イル)-7-エトキシイミダゾ[1,2-a]ピリジン-6-イル)-6-(トリフルオロメチル)ピコリンアミド2,2,2-トリフルオロ酢酸塩;LCMS (ESI) m/z 442.5(M+H)
実施例522:N-(2-(3-(ジフルオロメチル)ビシクロ[1.1.1]ペンタン-1-イル)-7-エトキシイミダゾ[1,2-a]ピリジン-6-イル)-6-(トリフルオロメチル)ピコリンアミド2,2,2-トリフルオロ酢酸塩;LCMS (ESI) m/z 467.5(M+H)
実施例523:N-(7-エトキシ-2-(3-(メトキシメチル)ビシクロ[1.1.1]ペンタン-1-イル)イミダゾ[1,2-a]ピリジン-6-イル)-6-(トリフルオロメチル)ピコリンアミド;LCMS (ESI) m/z 461.1(M+H)
実施例524:N-(7-エトキシ-2-(3-メトキシプロピル)イミダゾ[1,2-a]ピリジン-6-イル)-6-メトキシピコリンアミド;LCMS (ESI) m/z 385.2 (M+H)H NMR (400 MHz, クロロホルム-d) δ ppm: 1.52 (t, J = 6.9 Hz, 3H), 2.16 - 1.95 (m, 2H), 2.78 (t, J = 7.6 Hz, 2H), 3.34 (s, 3H), 3.44 (t, J = 6.4 Hz, 2H), 4.05 (s, 3H), 4.16 (q, J = 6.9 Hz, 2H), 6.85 (s, 1H), 6.95 (d, J = 8.2 Hz, 1H), 7.21 (s, 1H), 7.77 (t, J = 7.7 Hz, 1H), 7.85 (d, J = 7.2 Hz, 1H), 9.45 (s, 1H), 10.40 (s, 1H)
実施例525:6-(ジフルオロメチル)-N-(7-イソプロポキシ-2-(1-メチル-1H-ピラゾール-5-イル)イミダゾ[1,2-a]ピリジン-6-イル)ピコリンアミド;LCMS (ESI) m/z 427.3 (M+H)H NMR (500 MHz DMSO-d) δ ppm 1.48 (d, J=5.49 Hz, 8H), 4.12 (s, 3H), 5.01-5.10 (m, 1H), 6.69 (br s, 1H), 6.94-7.29 (m, 1H), 7.34 (s, 1H), 7.52 (s, 1H), 8.05 (dd, J=7.02, 1.53 Hz, 1H), 8.33-8.40 (m, 2H), 8.51 (br s, 1H), 9.68 (br s, 1H), 10.64 (s, 1H)
実施例526:N-(2-シクロプロピル-7-イソプロポキシイミダゾ[1,2-a]ピリジン-6-イル)-6-(ジフルオロメチル)ピコリンアミド;LCMS (ESI) m/z 387.2 (M+H)H NMR (400 MHz DMSO-d) δ ppm: 0.75-0.81 (m, 2H), 0.82-0.89 (m, 2H), 1.40 (d, J = 6.0 Hz, 6H), 1.89-1.97 (m, 1H), 4.75-4.91 (m, 1H), 6.92-7.31 (m, 2H), 7.96-8.03 (m, 1H), 7.67 (s, 1H), 8.24-8.39 (m, 2H), 9.38 (s, 1H), 10.48 (s, 1H)
実施例527:6-(ジフルオロメチル)-N-(7-イソプロポキシ-2-(1-メトキシ-2-メチルプロパン-2-イル)イミダゾ[1,2-a]ピリジン-6-イル)ピコリンアミド;LCMS (ESI) m/z 433.4 (M+H)H NMR (400 MHz, メタノール-d) δ ppm: 1.37 (s, 6H), 1.54 (d, J=6.02 Hz, 6H), 3.34 (s, 3H), 3.54 (s, 2H), 6.68-7.03 (m, 2H), 7.51 (s, 1H), 7.93 (d, J=7.78 Hz, 1H), 8.24 (t, J=7.78 Hz, 1H), 8.37 (dd, J=1.00, 7.78 Hz, 1H), 9.47 (s, 1H)
実施例528:N-(2-シクロプロピル-7-イソプロポキシイミダゾ[1,2-a]ピリジン-6-イル)-1-(ジフルオロメチル)-1H-ピラゾール-3-カルボキサミド;LCMS (ESI) m/z 376.4 (M+H)H NMR (400 MHz DMSO-d) δ ppm: 0.74-0.80 (m, 2H), 0.82-0.89 (m, 2H), 1.36 (d, J = 6.0 Hz, 6H), 1.87-1.98 (m, 1H), 4.71-4.85 (m, 1H), 7.03 (d, J = 2.1 Hz, 2H), 7.64 (s, 1H), 7.79-8.11 (m, 1H) 8.46 (d, J = 2.8 Hz, 1H), 9.14 (d, J = 5.6 Hz, 1H), 9.34 (s, 1H)
実施例529:N-(7-イソプロポキシ-2-(1-メチル-2-オキサビシクロ[2.1.1]ヘキサン-4-イル)イミダゾ[1,2-a]ピリジン-6-イル)-2-メチルオキサゾール-4-カルボキサミド;LCMS (ESI) m/z 397.1 (M+H)H NMR (400 MHz, メタノール-d) δ ppm: 1.49-1.55 (m, 3H), 1.57 (d, J=6.27 Hz, 6H), 1.95-2.04 (m, 2H), 2.18-2.29 (m, 2H), 2.51-2.62 (m, 3H), 4.01-4.09 (m, 2H), 5.01-5.15 (m, 1H), 7.23-7.37 (m, 1H), 7.87-8.04 (m, 1H), 8.43-8.54 (m, 1H), 9.63-9.77 (m, 1H)
実施例530:6-(ジフルオロメチル)-N-(7-イソプロポキシ-2-(テトラヒドロフラン-3-イル)イミダゾ[1,2-a]ピリジン-6-イル)ピコリンアミド2,2,2-トリフルオロ酢酸塩;LCMS (ESI) m/z 417.0 (M+H)H NMR (500 MHz DMSO-d) δ ppm 1.48 (d, J=6.10 Hz, 7H), 1.83-1.95 (m, 1H), 2.02-2.11 (m, 1H), 2.19-2.31 (m, 1H), 2.32-2.40 (m, 1H), 3.89-3.97 (m, 3H) 4.97-5.09 (m, 1H) 6.94-7.36 (m, 1H), 7.64 (s, 1H) 8.07 (dd, J=7.02, 1.53 Hz, 1H), 8.29-8.50 (m, 3H), 9.78 (s, 1H), 10.65 (s, 1H)
実施例531:N-(2-(1,4-ジオキサン-2-イル)-7-イソプロポキシイミダゾ[1,2-a]ピリジン-6-イル)-6-(ジフルオロメチル)ピコリンアミド;LCMS (ESI) m/z 433.2 (M+H)H NMR (500 MHz DMSO-d) δ ppm 1.40-1.45 (m, 7 H), 3.55-3.62 (m, 1H), 3.72-3.79 (m, 2H), 3.84 (br d, J=2.44Hz, 1H), 3.93-3.97 (m, 1H), 4.66 (dd, J=10.07, 2.75 Hz, 1H), 4.85-4.93 (m, 1H), 7.01-7.26 (m, 2H), 7.84 (s, 1H), 7.97-8.05 (m, 1H), 8.28-8.36 (m, 2H), 9.50 (s, 1H), 10.53 (s, 1H)
実施例532:6-(ジフルオロメチル)-N-(7-イソプロポキシ-2-(1-メチル-2-オキサビシクロ[2.1.1]ヘキサン-4-イル)イミダゾ[1,2-a]ピリジン-6-イル)ピコリンアミド;LCMS (ESI) m/z 442.9 (M+H)H NMR (500 MHz, メタノール-d4) δ ppm 1.52 (s, 3H) 1.59 (d, J=6.10 Hz, 6H) 1.98 (dd, J=4.27, 1.83 Hz, 2H) 2.21 (dd, J=4.58, 1.53 Hz, 2H) 4.04 (s, 2H) 5.03 - 5.14 (m, 1H) 6.67 - 7.08 (m, 1 H) 7.27 (s, 1H) 7.91 - 8.00 (m, 2H) 8.27 (t, J=7.94 Hz, 1H) 8.40 (d, J=7.94 Hz, 1H) 9.79 (s, 1H)
実施例533:6-(ジフルオロメチル)-N-(7-イソプロポキシ-2-(1,3,3-トリメチル-2-オキサビシクロ[2.1.1]ヘキサン-4-イル)イミダゾ[1,2-a]ピリジン-6-イル)ピコリンアミド;LCMS (ESI) m/z 471.3 (M+H)HNMR (400 MHz, クロロホルム-d) δ ppm: 1.41 (s, 6H), 1.46 (s, 3H), 1.51 (d, J=6.02 Hz, 6H), 1.85-2.00 (m, 2H), 2.36 (dd, J=1.63, 4.64 Hz, 2H), 4.70 (spt, J=5.90 Hz, 1H), 6.49-6.85 (m, 1H), 6.98 (s, 1H), 7.28 (s, 1H), 7.84 (d, J=7.78 Hz,1H), 8.11 (t, J=7.78 Hz, 1H), 8.39 (d, J=7.78 Hz, 1H), 9.44 (s, 1H), 10.56 (s, 1H)。
実施例534:6-(ジフルオロメチル)-N-(7-イソプロポキシ-2-(1-メチル-2-オキサビシクロ[2.2.1]ヘプタン-4-イル)イミダゾ[1,2-a]ピリジン-6-イル)ピコリンアミド;LCMS (ESI) m/z 457.2 (M+H)H NMR (400 MHz, クロロホルム-d) δ ppm: 1.48 (s, 3H) 1.51 (d, J=6.02 Hz, 6H), 1.75-2.28 (m, 6H), 3.96 (d, J=6.27 Hz, 1H), 4.10 (dd, J=3.26, 6.53 Hz, 1H), 4.70 (五重線, J=6.02 Hz, 1H), 6.47-6.85 (m, 1H), 6.95 (s, 1H), 7.84 (d, J=7.28 Hz, 1H), 8.10 (t, J=7.78 Hz, 1H), 8.32-8.43 (m, 1H), 9.44 (s, 1H), 10.56 (s, 1H)
実施例535:6-(ジフルオロメチル)-N-(2-(3-フルオロビシクロ[1.1.1]ペンタン-1-イル)-8-メトキシイミダゾ[1,2-a]ピリジン-6-イル)ピコリンアミド;LCMS (ESI) m/z 403.1 (M+H)H NMR (500 MHz, メタノール-d) δ ppm: 2.57 (d, J = 2.29 Hz, 6H), 4.19 (s, 3H), 6.80-7.03 (m, 1H), 7.70 (s, 1H), 7.98 (d, J = 7.78 Hz, 1H), 8.12 (s, 1H), 8.26 (t, J = 7.78 Hz, 1H), 8.40 (d, J = 7.78 Hz, 1H), 9.34 (d, J = 0.92 Hz, 1H)。
実施例536:6-(ジフルオロメチル)-N-(2-(3-(ジフルオロメチル)ビシクロ[1.1.1]ペンタン-1-イル)-7-イソプロポキシイミダゾ[1,2-a]ピリジン-6-イル)ピコリンアミド;LCMS (ESI) m/z 463.0 (M+H)H NMR (500 MHz DMSO-d) δ ppm 1.48 (d, J=6.10 Hz, 7H), 2.26 (s, 5H), 5.03-5.14 (m, 1H), 6.00-6.36 (m, 1H), 6.95-7.27 (m, 1H), 7.32 (s, 1H), 7.98-8.09 (m, 1H), 8.16 (br s, 1H), 8.31-8.43 (m, 2H), 9.71 (s, 1H), 10.64 (s, 1H)
実施例537:N-(2-(3-オキサビシクロ[3.1.0]ヘキサン-6-イル)-7-イソプロポキシイミダゾ[1,2-a]ピリジン-6-イル)-6-(ジフルオロメチル)ピコリンアミド2,2,2-トリフルオロ酢酸塩;LCMS (ESI) m/z 429.0 (M+H)H NMR (500 MHz DMSO-d) δ ppm 1.46 (d, J=6.10 Hz, 6H), 1.95 (s, 1H), 2.17 (d, J=3.66 Hz, 2H), 3.71 (d, J=8.55 Hz, 2H), 3.93 (d, J=8.55 Hz, 2H), 5.02-5.14 (m, 1H), 6.98-7.28 (m, 1H), 7.34 (s, 1H), 8.01-8.15 (m, 2H), 8.27-8.42 (m, 2H), 9.69 (s, 1H), 10.61 (s, 1H)
実施例538:6-(ジフルオロメチル)-N-(2-(3-フルオロフェニル)-7-イソプロポキシイミダゾ[1,2-a]ピリジン-6-イル)ピコリンアミド2,2,2-トリフルオロ酢酸塩;LCMS (ESI) m/z 441.3 (M+H)H NMR (500 MHz DMSO-d) δ ppm 1.49 (d, J=6.10 Hz, 9H), 4.99-5.15 (m, 2H), 7.04-7.31 (m, 2H), 7.30-7.37 (m, 2H), 7.55-7.65 (m, 1H), 7.68-7.77 (m, 3H), 8.04-8.07 (m, 1H), 8.34-8.39 (m, 2H), 8.68 (br s, 1H), 9.69 (s, 1H), 10.65 (s, 2H)
実施例539:N-(2-(3-フルオロビシクロ[1.1.1]ペンタン-1-イル)-7-イソプロポキシイミダゾ[1,2-a]ピリジン-6-イル)-6-(トリフルオロメチル)ピコリンアミド2,2,2-トリフルオロ酢酸塩;LCMS (ESI) m/z 448.9 (M+H)H NMR (500 MHz DMSO-d) δ ppm 1.46 (d, J=6.10 Hz, 6H), 2.52 (br d, J=1.83 Hz, 3H), 5.06-5.22 (m, 1H), 7.34 (s, 1H) 8.30 (dd, J=7.32, 1.22 Hz, 1H), 8.41-8.60 (m, 2H), 9.73 (s, 1H), 10.55 (s, 1H)
実施例540:N-(7-イソプロポキシ-2-(1-メチル-2-オキサビシクロ[2.1.1]ヘキサン-4-イル)イミダゾ[1,2-a]ピリジン-6-イル)-2-(2-メチルピリジン-4-イル)オキサゾール-4-カルボキサミド2,2,2-トリフルオロ酢酸塩;LCMS (ESI) m/z 474.4 (M+H)H NMR (400 MHz, メタノール-d) δ ppm: 1.54 (s, 3H), 1.63 (d, J=6.02 Hz, 6H), 1.94-2.04 (m, 2H), 2.20-2.29 (m, 2H), 2.91 (s, 3H), 4.05-4.10 (m, 2H), 5.10-5.17 (m, 1H), 7.33-7.44 (m, 1H), 7.92-8.01 (m, 1H), 8.41 (dd, J=1.76, 6.02 Hz, 1H), 8.44-8.55 (m, 1H), 8.88-8.96 (m, 1H), 8.96-9.04 (m, 1H), 9.68 (s, 1H)
実施例541:N-(2-(ビシクロ[1.1.1]ペンタン-1-イル)-7-イソプロポキシイミダゾ[1,2-a]ピリジン-6-イル)-2-(2-メチルピリジン-4-イル)オキサゾール-4-カルボキサミド2,2,2-トリフルオロ酢酸塩;LCMS (ESI) m/z 444.4 (M+H)H NMR (400 MHz, メタノール-d) δ ppm: 1.62 (d, J=6.02 Hz, 6H), 2.25-2.36 (m, 6H), 2.63-2.70 (m, 1H), 2.90 (s, 3H), 5.09 (spt, J=6.11Hz, 1H), 7.23-7.37 (m, 1H), 7.80-7.88 (m, 1H), 8.38 (dd, J=1.76, 6.02 Hz, 1H), 8.46 (d, J=1.51Hz, 1H), 8.90 (d, J=6.02 Hz, 1H), 8.95-9.04 (m, 1H), 9.58-9.72 (m, 1H)
実施例542:N-(2-(3-(ジフルオロメチル)ビシクロ[1.1.1]ペンタン-1-イル)-7-イソプロポキシイミダゾ[1,2-a]ピリジン-6-イル)-2-(2-メチルピリジン-4-イル)オキサゾール-4-カルボキサミド2,2,2-トリフルオロ酢酸塩;LCMS (ESI) m/z 494.3 (M+H)H NMR (400 MHz, メタノール-d) δ 1.63 (d, J=6.02 Hz, 6H), 2.37 (s, 6H), 2.84 (s, 3H), 5.07-5.15 (m, 1H), 5.78-6.12 (m, 1H), 7.31 (s, 1H), 7.93 (s, 1H), 8.24 (dd, J=1.13, 5.90 Hz, 1H), 8.28-8.36 (m, 1H), 8.84 (d, J=5.77 Hz, 1H), 8.89-8.99 (m, 1H), 9.68 (s, 1H)。
実施例543:N-(7-イソプロポキシ-2-(3-メトキシシクロブチル)イミダゾ[1,2-a]ピリジン-6-イル)-2-(2-メチルピリジン-4-イル)オキサゾール-4-カルボキサミド2,2,2-トリフルオロ酢酸塩;LCMS (ESI) m/z 462.4 (M+H)H NMR (400 MHz, メタノール-d) δ ppm: 1.63 (d, J=6.02 Hz, 6H), 2.05 (s, 3H), 2.11-2.25 (m, 2H), 2.53-2.59 (m, 1H), 2.78 (s, 3H), 2.80-2.91 (m, 1H), 3.98-4.21 (m, 1H), 5.10 (td, J=6.02, 12.05 Hz, 1H), 7.27-7.35 (m, 1H), 7.84-8.00 (m, 3H), 8.11 (d, J=6.02 Hz, 1H), 8.20 (s, 1H), 8.78 (d, J=5.77 Hz, 1H), 8.87-8.94 (m, 1H), 9.65-9.71 (m, 1H)
実施例544:N-(2-(2-オキサビシクロ[2.1.1]ヘキサン-4-イル)-8-メトキシイミダゾ[1,2-a]ピリジン-6-イル)-6-(ジフルオロメチル)ピコリンアミド2,2,2-トリフルオロ酢酸塩;LCMS (ESI) m/z 401.2 (M+H)H NMR (400 MHz, メタノール-d) δ ppm 2.03 (dd, J=4.64, 1.13 Hz, 2H), 2.38-2.43 (m, 2H), 4.04 (s, 2H), 4.18-4.24 (m, 3H), 4.69-4.75 (m, 1H), 6.79-7.08 (m, 1H), 7.85 (s, 1H), 8.00 (d, J=7.78 Hz, 1H), 8.20-8.22 (m, 1H), 8.27 (t, J=7.91 Hz, 1H), 8.41 (d, J=7.78 Hz, 1H), 9.40 (d, J=1.00 Hz, 1H), 9.38-9.42 (m, 1H)
実施例545:N-(8-クロロ-7-エトキシ-2-(テトラヒドロ-2H-ピラン-4-イル)イミダゾ[1,2-a]ピリジン-6-イル)-6-(ジフルオロメチル)ピコリンアミド;LCMS (ESI) m/z 480.9(M+H)
実施例546:N-(8-フルオロ-7-イソプロポキシ-2-(1-メチル-2-オキサビシクロ[2.1.1]ヘキサン-4-イル)イミダゾ[1,2-a]ピリジン-6-イル)-1-イソプロピル-1H-ピラゾール-3-カルボキサミド2,2,2-トリフルオロ酢酸塩;LCMS (ESI) m/z 442.0 (M+H)H NMR (500 MHz DMSO-d) δ ppm 1.40-1.46 (m, 8H), 1.50 (d, J=6.71 Hz, 6H), 1.79 (dd, J=4.27, 1.22 Hz, 2H), 2.04 (br d, J=3.66 Hz, 2H), 3.90 (s, 2H), 4.66 (dt, J=12.97, 6.64 Hz, 1H), 4.72-4.81 (m, 1H), 6.81 (d, J=2.44 Hz, 1H), 8.02 (d, J=2.44 Hz, 1H), 8.05-8.15 (m, 1H), 9.28 (br s,1H), 9.32-9.46 (m, 1H)
実施例547:1-(ジフルオロメチル)-N-(8-フルオロ-7-イソプロポキシ-2-(1-メチル-2-オキサビシクロ[2.1.1]ヘキサン-4-イル)イミダゾ[1,2-a]ピリジン-6-イル)-1H-ピラゾール-3-カルボキサミド;LCMS (ESI) m/z 450.0 (M+H)H NMR (500 MHz DMSO-d) δ ppm 1.38 (d, J=6.10 Hz, 6H), 1.44 (s, 3H), 1.80 (dd, J=4.58, 1.53 Hz, 2H), 2.05 (br d, J=3.05 Hz, 2H), 3.91 (s, 2H), 4.69 (br s, 1H), 7.07 (d, J=3.05 Hz, 1H), 7.79-8.18 (m, 2H), 8.48 (d, J=3.05 Hz, 1H), 9.15 (s, 1H), 9.55 (s, 1H)
実施例548:N-(8-フルオロ-7-イソプロポキシ-2-(1-メチル-2-オキサビシクロ[2.1.1]ヘキサン-4-イル)イミダゾ[1,2-a]ピリジン-6-イル)ピラゾロ[1,5-a]ピリジン-7-カルボキサミド2,2,2-トリフルオロ酢酸塩;LCMS (ESI) m/z 450.0 (M+H)H NMR (500 MHz DMSO-d) δ ppm 1.45 (s, 3H), 1.49 (d, J=6.10 Hz, 6H), 1.81 (dd, J=4.27, 1.22 Hz, 2H), 2.07 (br d, J=3.05 Hz, 2H), 3.92 (s, 2H), 4.88-5.09 (m, 1H), 7.02 (d, J=2.44 Hz, 1H), 7.53 (dd, J=8.85, 7.02 Hz, 1H), 8.02 (dd, J=7.32, 1.22 Hz, 1H), 8.14 (dd, J=8.55, 1.22 Hz, 2H), 8.36 (d, J=2.44 Hz, 1H), 9.67 (s, 1H), 13.34 (br s, 1H)
実施例549:6-(ジフルオロメチル)-N-(8-メトキシ-2-(テトラヒドロ-2H-ピラン-3-イル)イミダゾ[1,2-a]ピラジン-6-イル)ピコリンアミド;LCMS (ESI) m/z 404.2 (M+H)H NMR (500 MHz DMSO-d) δ ppm 1.63-1.70 (m, 2H), 1.75-1.86 (m, 1H), 2.02-2.13 (m, 1H), 2.97 (tt, J=10.30, 4.04Hz, 1H), 3.40-3.59 (m, 4H), 3.81-3.89 (m, 1H), 3.99-4.04 (m, 1H), 4.10 (s, 3H), 7.06-7.30 (m, 1H), 7.06-7.30 (m, 1H), 8.03 (dd, J=7.02, 1.53Hz, 1H), 8.10 (s, 1H), 8.31-8.37 (m, 2H), 9.02 (s, 1H), 9.99 (s, 1H)
実施例550:N-(2-(3-オキサビシクロ[3.1.0]ヘキサン-1-イル)-8-メトキシイミダゾ[1,2-a]ピラジン-6-イル)-6-(ジフルオロメチル)ピコリンアミド2,2,2-トリフルオロ酢酸塩;HNMR (500 MHz DMSO-d) δ ppm 0.83 (t, J=4.58 Hz, 1H), 1.20 (dd, J=7.94, 4.27 Hz, 1H), 1.85 (ddd, J=7.94, 4.88, 3.05 Hz, 1H), 3.64-3.73 (m, 2H), 3.88-3.94 (m, 2H), 3.98 (s, 2H), 6.94-7.17 (m, 1H), 7.91 (dd, J=7.32, 1.83Hz, 1H), 8.00 (s, 1H), 8.18-8.25 (m, 2H), 8.86 (s, 1H), 9.86 (s, 1H)。
実施例551:N-(2-(3-オキサビシクロ[3.1.0]ヘキサン-6-イル)-8-メトキシイミダゾ[1,2-a]ピラジン-6-イル)-6-(ジフルオロメチル)ピコリンアミド2,2,2-トリフルオロ酢酸塩;LCMS (ESI) m/z 402.2 (M+H)H NMR (500 MHz DMSO-d) δ ppm 1.90 (t, J=3.36 Hz, 1H), 2.09 (d, J=3.66 Hz, 2H), 3.71 (d, J=8.55 Hz, 2H), 3.91 (d, J=8.55 Hz, 2H), 4.09 (s, 3H), 7.07-7.30 (m, 1H), 8.00-8.09 (m, 2H), 8.29-8.36 (m, 2H), 8.99 (s, 1H), 9.97 (s, 1H)
実施例552:6-(ジフルオロメチル)-N-(2-(3-(ジフルオロメチル)ビシクロ[1.1.1]ペンタン-1-イル)-8-メトキシイミダゾ[1,2-a]ピラジン-6-イル)ピコリンアミド2,2,2-トリフルオロ酢酸塩;LCMS (ESI) m/z 436.2 (M+H)H NMR (500 MHz DMSO-d) δ ppm 2.16 (s, 6H), 4.10 (s, 3H), 6.01-6.27 (m, 1H), 7.03-7.32 (m, 1H), 8.03 (dd, J=7.02, 2.14 Hz, 1H), 8.11 (s, 1H,) 8.31-8.35 (m, 1H), 9.01 (s, 1H), 9.98 (s, 1H)
実施例553:6-(ジフルオロメチル)-N-(8-メトキシ-2-(3-メトキシビシクロ[1.1.1]ペンタン-1-イル)イミダゾ[1,2-a]ピラジン-6-イル)ピコリンアミド2,2,2-トリフルオロ酢酸塩;LCMS (ESI) m/z 416.2 (M+H)H NMR (400 MHz, クロロホルム-d) δ ppm 2.40-2.46 (m, 6H) 3.38-3.41 (m, 3H) 4.28 (s, 3H) 6.65-6.96 (m, 1H) 7.59 (s, 1H) 7.92-7.98 (m, 1H) 8.18 (t, J=7.78 Hz, 1H) 8.42-8.45 (m, 1H) 9.15 (s, 1H) 10.14 (s, 1H) 12.43-12.49 (m, 1H)
実施例554:6-(ジフルオロメチル)-N-(8-メトキシ-2-(1-メチル-2-オキサビシクロ[2.1.1]ヘキサン-4-イル)イミダゾ[1,2-a]ピラジン-6-イル)ピコリンアミド2,2,2-トリフルオロ酢酸塩;LCMS (ESI) m/z 416.2 (M+H)H NMR (400 MHz, クロロホルム-d) δ ppm 1.56 (s, 3H) 2.03-2.10 (m, 2H) 2.25-2.31 (m, 2H) 4.11 (s, 2H) 4.26 (s, 3H) 6.64-6.94 (m, 1H) 7.59 (s, 1H) 7.93 (dd, J=7.78, 0.75 Hz, 1H) 8.16 (t, J=7.91 Hz, 1H) 8.42 (dd, J=7.78, 0.75 Hz, 1H) 9.14 (s, 1H) 10.11 (s, 1H)
実施例555:6-(ジフルオロメチル)-N-(8-メトキシ-2-(1-メチル-2-オキサビシクロ[3.1.1]ヘプタン-5-イル)イミダゾ[1,2-a]ピラジン-6-イル)ピコリンアミド;LCMS (ESI) m/z 430.3(M+H)
実施例556:N-(2-(3-オキサビシクロ[4.1.0]ヘプタン-7-イル)-8-メトキシイミダゾ[1,2-a]ピラジン-6-イル)-6-(ジフルオロメチル)ピコリンアミド2,2,2-トリフルオロ酢酸塩;LCMS (ESI) m/z 416.3 (M+H)H NMR (400 MHz, クロロホルム-d) δ ppm 1.78-1.86 (m, 1H), 1.91-2.06 (m, 1H), 1.93-2.04 (m, 2H), 2.19 (t, J=4.77 Hz, 1H), 3.27-3.39 (m, 1H), 3.73 (ddd, J=11.61, 6.21, 2.76 Hz, 1H), 3.94 (dd, J=11.80, 3.51 Hz, 1H), 4.09 (d, J=11.55 Hz, 1H), 4.24 (s, 3H), 6.65-6.97 (m, 1H), 7.52 (s, 1H), 7.94 (d, J=8.03 Hz, 1H), 8.17 (t, J=7.91 Hz, 1H), 8.44 (dd, J=7.78, 0.75 Hz, 1H), 9.07 (s, 1H), 10.06 (s, 1H)
実施例557:6-(ジフルオロメチル)-N-(8-メトキシ-2-(6-オキサスピロ[3.4]オクタン-2-イル)イミダゾ[1,2-a]ピラジン-6-イル)ピコリンアミド2,2,2-トリフルオロ酢酸塩;LCMS (ESI) m/z 430.3 (M+H)H NMR (400 MHz, クロロホルム-d) δ ppm 2.04 (t, J=7.15 Hz, 1H), 2.19 (t, J=6.78 Hz, 1H), 2.40-2.50 (m, 1H), 2.52-2.65 (m, 3H), 3.78 (s, 1H), 3.85-4.00 (m, 4H), 4.27 (d, J=0.75 Hz, 3H), 6.65-6.94 (m, 1H), 7.55-7.62 (m, 1H), 7.94 (d, J=7.78 Hz, 1H), 8.17 (t, J=7.91 Hz, 1H), 8.42 (d, J=7.78 Hz, 1H), 9.17 (d, J=3.01 Hz, 1H), 10.14 (s, 1H)
実施例558:6-(ジフルオロメチル)-N-(8-メトキシ-2-(6-オキサスピロ[2.5]オクタン-1-イル)イミダゾ[1,2-a]ピラジン-6-イル)ピコリンアミド2,2,2-トリフルオロ酢酸塩;LCMS (ESI) m/z 430.3 (M+H)H NMR (500 MHz DMSO-d) δ ppm 0.98 (dd, J=8.55, 4.27 Hz, 1H) 1.11 (t, J=4.88 Hz, 1H) 1.33 (ddd, J=10.07, 6.71, 3.36 Hz, 1H) 1.55 (br s, 1H) 1.46-1.52 (m, 2H) 2.04 (dd, J=8.55, 5.49 Hz, 1H) 3.62-3.71 (m, 2H) 4.10 (s, 3H) 6.99-7.30 (m, 3H) 8.04 (dd, J=7.32, 1.22 Hz, 1H) 8.11 (s, 1H) 8.31-8.37 (m, 2H) 9.00 (s, 1H) 9.99 (s, 1H)
実施例559:6-(ジフルオロメチル)-N-(2-(1-(フルオロメチル)-2-オキサビシクロ[2.1.1]ヘキサン-4-イル)-8-メトキシイミダゾ[1,2-a]ピラジン-6-イル)ピコリンアミド;LCMS (ESI) m/z 434.2 (M+H)H NMR (500 MHz DMSO-d) δ ppm 1.88 (dd, J=4.27, 1.22 Hz, 2H) 2.14-2.19 (m, 2H) 3.99 (s, 2H) 4.11 (s, 3H) 4.65-4.77 (m, 3H) 7.06 -7.29 (m, 1H) 8.00-8.06 (m, 1H) 8.20 (s, 1H) 8.30-8.35 (m, 2H) 9.02 (s, 1H) 9.99 (s, 1H)
実施例560:6-(ジフルオロメチル)-N-(2-(2,2-ジメチルテトラヒドロ-2H-ピラン-4-イル)-8-メトキシイミダゾ[1,2-a]ピラジン-6-イル)ピコリンアミド2,2,2-トリフルオロ酢酸塩;LCMS (ESI) m/z 423.3 (M+H)H NMR (500 MHz DMSO-d) δ ppm 1.17-1.20 (m, 4H), 1.27 (s, 4H), 1.47-1.59 (m, 2H), 1.84-1.91 (m, 2H), 3.15 (tt, J=12.51, 3.66Hz, 1H), 3.70-3.75 (m, 2H), 4.11 (s, 3H), 7.06-7.31 (m, 1H), 8.02-8.10 (m, 2H), 8.30-8.37 (m, 2H), 9.03 (s, 1H), 10.00 (s, 1H)
実施例561;N-(2-(2-オキサビシクロ[2.2.2]オクタン-4-イル)-8-メトキシイミダゾ[1,2-a]ピラジン-6-イル)-6-(ジフルオロメチル)ピコリンアミド;LCMS (ESI) m/z 444.3 (M+H)H NMR (400 MHz, クロロホルム-d) δ ppm 1.21 (s, 2H), 1.76-1.86 (m, 2H), 2.03 (td, J=11.17, 5.27 Hz, 2H), 2.08-2.24 (m, 1H), 2.17 (td, J=11.55, 5.02Hz, 2H), 4.12-4.16 (m, 2H,) 4.24 (s, 2H), 6.63-6.93 (m, 1H), 7.47 (s, 1H), 7.93 (d, J=7.03Hz, 1H), 8.15 (t, J=7.78 Hz, 1H), 8.41 (d, J=7.78 Hz, 1H), 9.11 (s, 1H), 10.07 (s, 1H) 実施例562:N-(2-シクロプロピル-8-メトキシイミダゾ[1,2-a]ピラジン-6-イル)-6-(ジフルオロメチル)ピコリンアミド2,2,2-トリフルオロ酢酸塩;LCMS (ESI) m/z 360.2 (M+H)H NMR (500 MHz DMSO-d) δ ppm 0.81-0.85 (m, 2H), 0.92-0.97 (m, 2H), 2.02-2.06 (m, 1H), 4.08 (s, 3H), 6.98-7.29 (m, 2H), 8.01-8.05 (m, 2H), 8.29-8.36 (m, 2H), 8.97 (s, 1H), 9.95 (s, 1H)。
実施例563:6-(ジフルオロメチル)-N-(8-メトキシ-2-(2-(トリフルオロメトキシ)エチル)イミダゾ[1,2-a]ピラジン-6-イル)ピコリンアミド2,2,2-トリフルオロ酢酸塩;LCMS (ESI) m/z 432.3 (M+H)H NMR (400 MHz, クロロホルム-d) δ ppm 3.41 (t, J=5.65 Hz, 2H), 4.29-4.32 (m, 3H), 4.35-4.42 (m, 2H), 6.67-6.97 (m, 1H), 7.68-7.74 (m, 1H), 7.96 (d, J=7.03 Hz, 1H), 8.19 (t, J=7.91 Hz, 1H), 8.45 (d, J=7.78 Hz, 1H), 9.17-9.22 (m, 1H), 10.14 (s, 1H)
実施例564:6-(ジフルオロメチル)-N-(7-メトキシ-2-(3-メトキシシクロブチル)イミダゾ[1,2-a]ピリミジン-6-イル)ピコリンアミド;LCMS (ESI) m/z 404.0 (M+H)H NMR (500 MHz DMSO-d) δ ppm 2.02-2.13 (m, 2H) 2.32-2.44 (m, 2H) 2.62-2.72 (m, 1H) 3.16-3.22 (m, 2H) 3.86-3.96 (m, 1H) 4.21 (s, 3H) 6.94-7.34 (m, 1H) 7.90-8.02 (m, 1H) 8.08 (dd, J=6.71, 1.83 Hz, 1H) 8.27-8.43 (m, 2H) 9.71-9.91 (m, 1H) 10.16-10.33 (m, 1H)
実施例565:6-(ジフルオロメチル)-N-(7-メトキシ-2-(3-メトキシビシクロ[1.1.1]ペンタン-1-イル)イミダゾ[1,2-a]ピリミジン-6-イル)ピコリンアミド;H NMR (500 MHz DMSO-d) δ ppm 2.24 (s, 6H), 3.28 (s, 1H) 4.20 (s, 3H) 7.01-7.31 (m, 1H) 7.92 (br s, 1H) 8.08 (dd, J=6.71, 2.44 Hz, 1H), 8.26-8.42 (m, 2H) 10.26 (s, 1H)
実施例566:6-(ジフルオロメチル)-N-(2-(3-フルオロビシクロ[1.1.1]ペンタン-1-イル)-7-メトキシイミダゾ[1,2-a]ピリミジン-6-イル)ピコリンアミド2,2,2-トリフルオロ酢酸塩;H NMR (500 MHz DMSO-d) δ ppm 2.37-2.46 (m, 5H), 4.15 (s, 3H), 6.98-7.37 (m, 1H), 7.88 (br s, 1H), 8.05 (dd, J=6.41, 2.75 Hz, 1H), 8.20 -8.39 (m, 2H), 9.67-9.76 (m, 1H), 10.21 (s, 1H)
実施例567:6-(ジフルオロメチル)-N-(7-メトキシ-2-(1-メチル-2-オキサビシクロ[2.1.1]ヘキサン-4-イル)イミダゾ[1,2-a]ピリミジン-6-イル)ピコリンアミド2,2,2-トリフルオロ酢酸塩;H NMR (500 MHz, メタノール-d) δ ppm 1.52 (s, 3H), 1.91-2.05 (m, 2H), 2.13-2.24 (m, 2H), 4.03 (s, 2H), 4.37 (s, 3H), 6.68-7.15 (m, 1H), 7.89 (s, 1H) 8.00 (d, J=7.94 Hz, 1H), 8.28 (t, J=7.63 Hz, 1H), 8.41 (d, J=7.94 Hz, 1H), 9.93 (s, 1H)
実施例568:N-(2-(3-オキサビシクロ[3.1.0]ヘキサン-6-イル)-7-メトキシイミダゾ[1,2-a]ピリミジン-6-イル)-6-(ジフルオロメチル)ピコリンアミド2,2,2-トリフルオロ酢酸塩;LCMS (ESI) m/z 402.0 (M+H)H NMR (500 MHz DMSO-d) δ ppm 1.90 (br s, 1H), 2.15 (br s, 2H), 3.72 (d, J=7.94 Hz, 2H), 3.92 (d, J=8.55 Hz, 2H), 4.17 (s, 3H), 6.97-7.34 (m, 1H), 7.83 (br s, 1H), 8.01-8.13 (m, 1H), 8.30-8.42 (m, 2H), 10.13-10.31 (m, 1H)。
実施例569:6-(ジフルオロメチル)-N-(7-メトキシ-2-(テトラヒドロ-2H-ピラン-3-イル)イミダゾ[1,2-a]ピリミジン-6-イル)ピコリンアミド;H NMR (500 MHz DMSO-d) δ ppm: 1.58-1.86 (m, 4H) 2.01-2.15 (m, 1H) 3.01 (br s, 1H) 3.24-3.60 (m, 1H) 3.84 (dt, J=10.99, 3.66 Hz, 1H) 3.97-4.06 (m, 1H) 4.19 (s, 3H) 6.98-7.50 (m, 1H) 7.92 (br s, 1H)
実施例570:N-(7-エトキシ-2-(テトラヒドロ-2H-ピラン-4-イル)イミダゾ[1,2-a]ピリミジン-6-イル)-6,7-ジヒドロ-5H-シクロペンタ[b]ピリジン-2-カルボキサミド塩酸塩;LCMS (ESI) m/z 408.2 (M+H)H NMR (400 MHz, メタノール-d) δ : 1.62 (t, J = 7.2 Hz, 3H), 1.79-1.90 (m, 2H), 2.02 (d, J = 12.4 Hz, 2H), 2.20-2.27 (m, 2H), 3.05-3.18 (m, 5H), 3.57-3.64 (m, 2H), 4.07 (dd, J = 11.6 Hz, J = 2.8 Hz, 2H), 4.80 (q, J = 7.2 Hz, 2H), 7.78-7.86 (m, 2H), 8.03 (d, J = 7.6 Hz, 1H), 9.90 (s, 1H)
実施例571:6-(ジフルオロメチル)-N-(7-イソプロポキシ-2-(テトラヒドロ-2H-ピラン-3-イル)イミダゾ[1,2-a]ピリミジン-6-イル)ピコリンアミド2,2,2-トリフルオロ酢酸塩;LCMS (ESI) m/z 432.0 (M+H)H NMR (500 MHz DMSO-d) δ ppm 1.50 (d, J=6.10 Hz, 8H), 1.60-1.92 (m, 4H), 2.03-2.17 (m, 2H), 3.84 (br d, J=10.99 Hz, 2H), 3.95-4.09 (m, 1H), 5.34-5.56 (m, 1H), 7.06 (s, 1H), 7.17 (s, 1H), 7.28 (s, 1H) 7.90 (br s, 1H), 8.06 (s, 1H), 8.25-8.38 (m, 2H), 9.79 (br s, 1H), 10.40 (s, 1H)
実施例572:N-(2-(3-オキサビシクロ[3.1.0]ヘキサン-6-イル)-7-イソプロポキシイミダゾ[1,2-a]ピリミジン-6-イル)-6-(ジフルオロメチル)ピコリンアミド2,2,2-トリフルオロ酢酸塩;LCMS (ESI) m/z 430.0 (M+H)H NMR (500 MHz DMSO-d) δ ppm 1.50 (d, J=6.71 Hz, 6H), 3.59-3.67 (m, 1H), 3.71 (d, J=8.55 Hz, 2H), 3.82 (d, J=8.55 Hz, 1H), 3.93 (d,J=8.55 Hz, 2H), 4.03 (s, 2H), 5.38-5.51 (m, 1H), 7.06 (s, 1H), 7.17 (s, 1H), 7.28 (s, 1H), 7.88 (s, 1H) 7.98-8.10 (m, 1H), 8.24-8.48 (m, 2H), 9.79 (s, 1H), 10.40 (s, 1H)
実施例573:N-(2-(ビシクロ[1.1.1]ペンタン-1-イル)-7-イソプロポキシイミダゾ[1,2-a]ピリミジン-6-イル)-6-(ジフルオロメチル)ピコリンアミド2,2,2-トリフルオロ酢酸塩;LCMS (ESI) m/z 414.0 (M+H)H NMR (500 MHz DMSO-d) δ ppm 1.50 (d, J=6.10 Hz, 6H) 2.17 (s, 5 H) 5.35-5.52 (m, 1H) 7.06-7.31 (m, 1H) 7.79-7.97 (m, 1H) 8.03 -8.17 (m, 1H) 8.24-8.44 (m, 2H) 9.79 (br s, 1H) 10.41 (br s, 1H)
実施例574:6-(ジフルオロメチル)-N-(2-(1-メチル-2-オキサビシクロ[2.1.1]ヘキサン-4-イル)-8-プロポキシイミダゾ[1,2-a]ピラジン-6-イル)ピコリンアミド;LCMS (ESI) m/z 444.2 (M+H)H NMR (400 MHz, メタノール-d) δ ppm: 1.14 (t, J=7.40 Hz, 3H), 1.51 (s, 3H), 9.01 (s, 1H), 1.82-2.03 (m, 4H), 2.10-2.24 (m, 2H), 4.04 (s, 2H), 4.44-4.72 (m, 2H), 6.70-7.08 (m, 1H), 7.89 (s, 1H), 7.95 (d, J=7.03 Hz, 1H), 8.24 (t, J=7.78 Hz, 1H), 8.31-8.44 (m, 1H)
実施例575:N-(3-クロロ-7-イソプロポキシ-2-(1-メチル-2-オキサビシクロ[2.1.1]ヘキサン-4-イル)イミダゾ[1,2-a]ピリジン-6-イル)-6-(ジフルオロメチル)ピコリンアミド2,2,2-トリフルオロ酢酸塩;LCMS (ESI) m/z 477.3 (M+H)H NMR (500 MHz DMSO-d) δ ppm 1.40-1.49 (m, 9H) 1.80-1.95 (m, 2H) 2.15 (dd, J=4.27, 1.83 Hz, 2H) 3.97 (s, 2H) 4.95 (五重線, J=6.10 Hz, 1H) 7.04-7.27 (m, 1H) 7.33 (s, 1H) 8.01-8.08 (m, 1H) 8.35 (d, J=4.88 Hz, 1H) 9.32 (s, 1H) 10.64 (s, 1H)
実施例576:N-(3-クロロ-7-イソプロポキシ-2-(1-メチル-2-オキサビシクロ[2.1.1]ヘキサン-4-イル)イミダゾ[1,2-a]ピリミジン-6-イル)-6-(ジフルオロメチル)ピコリンアミド2,2,2-トリフルオロ酢酸塩;LCMS (ESI) m/z 478.3 (M+H)H NMR (600 MHz DMSO-d) δ ppm 1.45 (s, 3H), 1.48 (d, J=6.60 Hz, 7H), 1.85 (dd, J=4.04, 1.83 Hz, 2H), 2.14 (dd, J=4.40, 1.47 Hz, 2H), 3.95 (s, 2H), 5.35-5.45 (m, 1H), 7.06-7.28 (m, 1H), 8.02-8.08 (m, 1H), 8.34-8.37 (m, 2H), 9.34 (s, 1H), 10.40 (s, 1H)。
実施例577:N-(8-フルオロ-7-イソプロポキシ-2-(1-メチル-2-オキサビシクロ[2.1.1]ヘキサン-4-イル)イミダゾ[1,2-a]ピリジン-6-イル)ピラゾロ[1,5-a]ピリミジン-3-カルボキサミド
Figure 0007576552000260
ステップa:6-ブロモ-8-フルオロ-7-イソプロポキシ-2-(1-メチル-2-オキサビシクロ[2.1.1]ヘキサン-4-イル)イミダゾ[1,2-a]ピリジン(実施例322のステップdを参照のこと)(120mg、325μmol)、KCO(89mg、650μmol)、tBu-Brett Phos Pd G3(14.73mg、16.25μmol)の溶液をN2雰囲気下に置き、tBuOH(325.00uL)を添加した。バイアルを密閉し、溶液を70℃まで一晩加熱した。次いで、MeOH及びシリカを添加し、溶媒を除去した。カラムクロマトグラフィー(5~100%のEtOAc)による精製により、N-[8-フルオロ-7-イソプロポキシ-2-(1-メチル-2-オキサビシクロ[2.1.1]ヘキサン-4-イル)イミダゾ[1,2-a]ピリジン-6-イル]カルバミン酸tert-ブチル(90mg、221μmol、68%収率)を得た。LCMS (ESI) m/z 406.0 (M+H)+;1H NMR (400 MHz, クロロホルム-d) a ppm 1.33 (dd, J=6.15, 0.88 Hz, 5 H) 1.38 (s, 11 H) 1.44 - 1.48 (m, 5 H) 1.85 - 1.92 (m, 2 H) 1.94 - 2.07 (m, 3 H) 3.95 - 4.03 (m, 2 H) 4.59 - 4.68 (m, 1 H) 7.26 (d, J=3.26 Hz, 1 H) 8.01 (d, J=1.76 Hz, 1 H)。
ステップb:N-[8-フルオロ-7-イソプロポキシ-2-(1-メチル-2-オキサビシクロ[2.1.1]ヘキサン-4-イル)イミダゾ[1,2-a]ピリジン-6-イル]カルバミン酸tert-ブチル(90mg、221μmol)をHCl(4M、1.39mL)中に溶解し、室温で撹拌した。次いで、溶液を濃縮して、8-フルオロ-7-イソプロポキシ-2-(1-メチル-2-オキサビシクロ[2.1.1]ヘキサン-4-イル)イミダゾ[1,2-a]ピリジン-6-アミンを得、定量的収率と仮定して、これを更に精製することなく使用した。LCMS (ESI) m/z 306.0 (M+H)+。
ステップc:8-フルオロ-7-イソプロポキシ-2-(1-メチル-2-オキサビシクロ[2.1.1]ヘキサン-4-イル)イミダゾ[1,2-a]ピリジン-6-アミン(67mg、219μmol)、ピラゾロ[1,5-a]ピリミジン-3-カルボン酸(53.6mg、329μmol)のピリジン(550μL)中混合物に、T3P(登録商標)(698mg、1.10mmol、650μL、50%純度)を室温にて添加し、室温で24時間撹拌し、EtOAc(10mL)及び水(10mL)で希釈した。層を分離し、水層をEtOAc(2×10mL)で抽出し、濃縮し、酸で改質した質量分析計直結逆相HPLCにより残留物を精製して、N-[8-フルオロ-7-イソプロポキシ-2-(1-メチル-2-オキサビシクロ[2.1.1]ヘキサン-4-イル)イミダゾ[1,2-a]ピリジン-6-イル]ピラゾロ[1,5-a]ピリミジン-3-カルボキサミドを得た(1.0mg、1.8μmol、0.81%収率、トリフルオロ酢酸塩)。H NMR (500 MHz, メタノール-d) δ ppm 1.54 (s, 3 H) 1.63 (d, J=6.10 Hz, 6 H) 1.99 (dd, J=4.58, 1.53 Hz, 2 H) 2.22 (dd, J=4.27, 1.83 Hz, 2 H) 4.07 (s, 2 H) 5.27 (td, J=5.95, 1.53 Hz, 1 H) 7.35 (dd, J=6.71, 4.27 Hz, 1 H) 8.03 (d, J=3.05 Hz, 1 H) 8.74 (s, 1 H) 8.93 (dd, J=4.27, 1.22 Hz, 1 H) 9.21 (dd, J=7.02, 1.53 Hz, 1 H) 9.70 (s, 1 H) 10.75 (s, 1 H)。
アッセイ
本発明の化合物を、IRAK4活性を阻害する能力について評価した。本明細書に記載される本発明の化合物の阻害特性は、以下のアッセイのいずれかで試験することにより証明され得る。
生化学アッセイ
10μMのATPによる2時間の生化学アッセイは、MesoScale Detection(MSD)フォーマットを用いる。キナーゼ反応は、ビオチン標識されたペプチド(IRAK1活性化ループ配列360~389)のIRAK4によるリン酸化に基づく。
30μlでのキナーゼ反応を、50mMのHepes(pH7.5)、60mMのNaCl、5mMのMgCl、0.25mMのMnCl、2mMのDTT、0.01%のBSA、0.01%のTween-20、及び1%のDMSO(化合物のDMSO保存液由来)中の1nMのIRAK4、1.6μMのビオチン化ペプチド基質、及び10μMのATPを用いて、384ウェルのポリプロピレンアッセイプレートのウェルで室温にて2時間実施する。活性を11μlの70mMのEDTA(pH8)でクエンチする。
リン酸化されたビオチン化ペプチド基質を検出するために、30μlのクエンチされた反応混合物を、384ウェルのストレプトアビジンがコーティングされたMesoScaleプレートの対応するウェルに添加する(Meso Scale Discovery #L21SA-1)。穏やかに混合しながら、室温にて1時間プレートを1時間インキュベーションした後、プレートのウェルを、50mMのTris(pH7.5)、150mMのNaCl、0.02%のTween-20で3回洗浄する。
次いで、50mMのTris(pH7.5)、150mMのNaCl、0.02%のTween-20+2%のBSA中の25μl容量の1:500の抗P-トレオニンウサギポリクローナル抗体+1:500のヤギ抗ウサギスルホタグ抗体(Meso Scale Discovery R32AB-1)を各ウェルに添加する。穏やかに混合しながら、室温にて1時間プレートを1時間インキュベーションした後、プレートのウェルを、50mMのTris(pH7.5)、150mMのNaCl、0.02%のTween-20で3回洗浄する。40μl容量の2X MSD読み取り緩衝液(Meso Scale Discovery R92TC-1)を各ウェルに添加し、直ちにプレートをMSD Plate Reader(Meso Scale Discovery)で読み取る。
1mMのATPによる2時間のIRAK4生化学アッセイを、上記の通りに、しかし、100pMのIRAK4及び1mMのATPを用いて実行した。
効力データ表:
Figure 0007576552000261
Figure 0007576552000262
Figure 0007576552000263
Figure 0007576552000264
Figure 0007576552000265
Figure 0007576552000266
Figure 0007576552000267
Figure 0007576552000268
Figure 0007576552000269
Figure 0007576552000270
Figure 0007576552000271
Figure 0007576552000272
Figure 0007576552000273
Figure 0007576552000274
Figure 0007576552000275
Figure 0007576552000276
発明の態様
[態様1]式(I):
の化合物またはその薬学的に許容される塩であって、式中、
は、ハロゲン、C1~5アルキル、C3~6シクロアルキル、-C1~2アルキル-C3~6シクロアルキル、C(O)NR、C1~4アルキル-NR、窒素、硫黄、及び酸素から独立して選択される1~2個のヘテロ原子を含有する4~7員の完全飽和複素環、5~6員ヘテロアリール、フェニル、-C1~2アルキル-C4~7複素環であって、前記C4~7複素環が完全飽和であっても、部分飽和であってもよく、窒素、硫黄、及び酸素から独立して選択される1~2個のヘテロ原子を含有する、前記-C1~2アルキル-C4~7複素環、-C1~2アルキル-C5~6ヘテロアリールであって、前記ヘテロアリールが、窒素、硫黄、及び酸素から独立して選択される1、2、または3個のヘテロ原子を含有する、前記-C1~2アルキル-C5~6ヘテロアリール、-C1~4アルキル-O-C1~2アルキル、-C1~2アルキル-O-C5~6ヘテロアリールであって、前記ヘテロアリールが、窒素、硫黄、及び酸素から独立して選択される1または2個のヘテロ原子を含有する、前記-C1~2アルキル-O-C5~6ヘテロアリール、5~10員の完全飽和架橋炭素環、窒素及び酸素から独立して選択される1~2個のヘテロ原子を有する5~10員の架橋複素環系、窒素及び酸素から独立して選択される1~2個のヘテロ原子を有する5~10員の縮合二環式複素環系、ならびに窒素及び酸素から独立して選択される1~2個のヘテロ原子を有する5~10員のスピロ二環式複素環系からなる群から選択され、Rは、ハロ、ニトリル、オキソ、-C(O)OH、ハロ置換C1~4アルキル、ヒドロキシ置換C1~4アルキル、C1~4アルキル、窒素及び酸素から独立して選択される1~2個のヘテロ原子を含有するC4~7複素環、C1~4アルキル-O-C1~2アルキル、ヒドロキシ、C(O)R、ならびにC1~4アルコキシから独立して選択される1、2、または3つの置換基で任意に置換されていてもよく、
は、水素、C1~4アルキル、またはハロゲンであるか、あるいは
及びRは、それらの間にある原子と共にまとめられて、4~7員の部分飽和炭素環または1個の窒素を有する部分飽和複素環を形成し、前記窒素はC1~4アルキルで任意に置換されていてもよく、
及びRは、水素、ヒドロキシ置換C1~4アルキル、及びC1~4アルキルから独立して選択されるか、または
及びRは、それらが結合している窒素と共にまとめられて、4~7員の飽和複素環であって、前記環が窒素及び酸素から選択される追加のヘテロ原子を任意に有する、前記飽和複素環を形成し、前記窒素は、C1~4アルキルで任意に置換されていてもよく、
は、C1~4アルキル、ハロ置換C1~4アルキル、またはO-C1~4アルキルであり、
は、
ix.窒素、酸素、及び硫黄から独立して選択される1~2個のヘテロ原子を有する5または6員のヘテロアリールであって、Rからなる群から独立して選択される1~3つの置換基で任意に置換されている、前記ヘテロアリール、
x.Rからなる群から独立して選択される1~3つの置換基で任意に置換されたフェニル、
xi.1~2個の窒素原子を有する6員の部分飽和複素環であって、Rからなる群から独立して選択される1~3つの置換基で任意に置換されていてもよい、前記複素環、ならびに
xii.窒素及び酸素から独立して選択される1、2、または3個のヘテロ原子を任意に有する8~10員の縮合二環系であって、Rからなる群から独立して選択される1~3つの置換基で任意に置換されている前記環系からなる群から選択され、
及びXは、N、CH、及びCRから独立して選択され、ただし、X及びXのうちの少なくとも1つはCRであり、
は、ハロゲン、ニトリル、NR、-OR、ならびに窒素及び酸素から独立して選択される1または2個のヘテロ原子を含有する4~7員の部分飽和または完全飽和複素環から選択され、前記C1~4アルキル及び前記複素環は、R4aから選択される1~3つの置換基で任意に置換されており、
4aは、各出現において、水素、オキソ、C1~4アルキル、ハロ置換C1~4アルキル、C1~4アルコキシ、及びC3~6シクロアルキルから独立して選択されるか、または2つのR4a基は、それらが結合している炭素と共にまとめられ、組み合わさって、3~8員のスピロシクロアルキルを形成してもよく、
は、水素、C3~6シクロアルキル、窒素及び酸素から独立して選択される1もしくは2個のヘテロ原子を含有する4~7員の部分飽和もしくは完全飽和複素環、またはC1~5アルキルであり、Rで表される前記C3~6シクロアルキル、前記4~7員の部分飽和または完全飽和複素環、及び前記C1~5アルキルは、ハロゲン、ヒドロキシル、ニトリル、オキソ、NR、ハロ置換C1~4アルキル、C1~4アルコキシ、ハロ置換C1~4アルコキシ、C3~6シクロアルキル、フェニル、ならびに窒素及び酸素から選択される1または2個のヘテロ原子を含有する4~7員の部分飽和または完全飽和複素環から独立して選択される1~3つの置換基で任意に置換されており、前記C3~6シクロアルキル、フェニル、及び4~7員の複素環は、1~3つのR10で任意に置換されていてもよく、
10は、オキソ、ハロ、ハロ置換C1~4アルキル、及びC1~4アルキルから独立して選択され、
は、各出現において、C1~4アルキル、ニトリル、オキソ、ハロ、ハロ置換C1~4アルキル、-NR1112、C1~4アルコキシ、ハロ置換C1~4アルコキシ、C3~6シクロアルキル、C3~6シクロアルコキシ、窒素及び酸素から選択される1または2個のヘテロ原子を含有する4~7員の部分飽和または完全飽和複素環、ならびに窒素、酸素、及び硫黄から独立して選択される1~2個のヘテロ原子を有する5または6員ヘテロアリールから独立して選択され、前記C3~6シクロアルキル及びヘテロアリールは、C1~4アルキル、ヒドロキシ、及びハロゲンからなる群から独立して選択される1~2つの置換基で任意に置換されていてもよく、前記C1~4アルキル及びC1~4アルコキシは、C1~4アルコキシで任意に置換されていてもよく、
11及びR12は、それぞれ、水素、-C(O)C1~4アルキル、及びC1~4アルキルから独立して選択されるか、あるいはR11及びR12は、組み合わさって、窒素または酸素から選択される1個の追加のヘテロ原子を任意に含有する4~6員の飽和環を形成してもよく、前記追加の窒素は、C1~4アルキルで任意に置換されていてもよく、
ただし、XがCRであり、XがCHであり、Rがハロゲンである場合、Rは窒素及び酸素から選択される1または2個のヘテロ原子を含有する4~7員の部分飽和または完全飽和複素環ではなく、ただし、前記化合物は、
ではない、前記化合物またはその薬学的に許容される塩。
[態様2]式(I):
の化合物またはその薬学的に許容される塩であって、式中、
は、C1~5アルキル、C3~6シクロアルキル、-C1~2アルキル-C3~6シクロアルキル、C(O)NR、C1~4アルキル-NR、窒素、硫黄、及び酸素から独立して選択される1~2個のヘテロ原子を含有する4~7員の完全飽和複素環、-C1~2アルキル-C4~7複素環であって、前記C4~7複素環が完全飽和であっても、部分飽和であってもよく、窒素、硫黄、及び酸素から独立して選択される1~2個のヘテロ原子を含有する、前記-C1~2アルキル-C4~7複素環、-C1~2アルキル-C5~6ヘテロアリールであって、前記ヘテロアリールが、窒素、硫黄、及び酸素から独立して選択される1、2、または3個のヘテロ原子を含有する、前記-C1~2アルキル-C5~6ヘテロアリール、-C1~4アルキル-O-C1~2アルキル、-C1~2アルキル-O-C5~6ヘテロアリールであって、前記ヘテロアリールが、窒素、硫黄、及び酸素から独立して選択される1または2個のヘテロ原子を含有する、前記-C1~2アルキル-O-C5~6ヘテロアリール、5~10員の完全飽和架橋炭素環、窒素及び酸素から独立して選択される1~2個のヘテロ原子を有する5~10員の縮合二環式複素環系、ならびに窒素及び酸素から独立して選択される1~2個のヘテロ原子を有する5~10員のスピロ二環式複素環系からなる群から選択され、Rは、ハロ、ニトリル、オキソ、ハロ置換C1~4アルキル、ヒドロキシ置換C1~4アルキル、C1~4アルキル、窒素及び酸素から独立して選択される1~2個のヘテロ原子を含有するC4~7複素環、C1~4アルキル-O-C1~2アルキル、ヒドロキシ、C(O)R、ならびにC1~4アルコキシから独立して選択される1、2、または3つの置換基で任意に置換されていてもよく、
は、水素、C1~4アルキル、またはハロゲンであるか、あるいは
及びRは、それらの間にある原子と共にまとめられて、4~7員の部分飽和炭素環または1個の窒素を有する部分飽和複素環を形成し、前記窒素はC1~4アルキルで任意に置換されていてもよく、
及びRは、水素、ヒドロキシ置換C1~4アルキル、及びC1~4アルキルから独立して選択されるか、または
及びRは、それらが結合している窒素と共にまとめられて、4~7員の飽和複素環であって、前記環が窒素及び酸素から選択される追加のヘテロ原子を任意に有する、前記飽和複素環を形成し、前記窒素は、C1~4アルキルで任意に置換されていてもよく、
は、C1~4アルキル、ハロ置換C1~4アルキル、またはO-C1~4アルキルであり、
は、
xiii.窒素、酸素、及び硫黄から独立して選択される1~2個のヘテロ原子を有する5または6員のヘテロアリールであって、Rからなる群から独立して選択される1~3つの置換基で任意に置換されている、前記ヘテロアリール、
xiv.Rからなる群から独立して選択される1~3つの置換基で任意に置換されたフェニル、
xv.1~2個の窒素原子を有する6員の部分飽和複素環であって、Rからなる群から独立して選択される1~3つの置換基で任意に置換されていてもよい、前記複素環、ならびに
xvi.窒素及び酸素から独立して選択される1、2、または3個のヘテロ原子を任意に有する8~10員の縮合二環系であって、Rからなる群から独立して選択される1~3つの置換基で任意に置換されている前記環系からなる群から選択され、
及びXは、N、CH、及びCRから独立して選択され、XまたはXのうちの1つのみがCRであってもよく、
は、ハロゲン、ニトリル、NR、-OR、ならびに窒素及び酸素から独立して選択される1または2個のヘテロ原子を含有する4~7員の部分飽和または完全飽和または部分飽和複素環から選択され、前記複素環は、R4aから選択される1~3つの置換基で任意に置換されており、
4aは、各出現において、水素、オキソ、C1~4アルキル、ハロ置換C1~4アルキル、及びC3~6シクロアルキルから独立して選択されるか、または2つのR4a基は、それらが結合している炭素と共にまとめられ、組み合わさって、3~8員のスピロシクロアルキルを形成してもよく、
は、水素、またはハロゲン、ヒドロキシル、NR、C1~4アルコキシ、C3~6シクロアルキル、フェニル、ならびに窒素及び酸素から選択される1もしくは2個のヘテロ原子を含有する4~7員の部分飽和もしくは完全飽和複素環から独立して選択される1~3つの置換基を有する任意に置換されたC1~5アルキルであり、前記C3~6シクロアルキル、フェニル、及び4~7員の複素環は、1~3つのR10で任意に置換されていてもよく、
10は、オキソ、ハロ、ハロ置換C1~4アルキル、及びC1~4アルキルから独立して選択され、
は、各出現において、C1~4アルキル、オキソ、ハロ、ハロ置換C1~4アルキル、-NR1112、C1~4アルコキシ、ハロ置換C1~4アルコキシ、C3~6シクロアルキル、ならびに窒素、酸素、及び硫黄から独立して選択される1~2個のヘテロ原子を有する5または6員ヘテロアリールから独立して選択され、前記C3~6シクロアルキル及びヘテロアリールは、C1~4アルキル、ヒドロキシ、及びハロゲンからなる群から独立して選択される1~2つの置換基で任意に置換されていてもよく、
11及びR12は、それぞれ、水素、-C(O)C1~4アルキル、及びC1~4アルキルから独立して選択されるか、あるいはR11及びR12は、組み合わさって、窒素または酸素から選択される1個の追加のヘテロ原子を任意に含有する4~6員の飽和環を形成してもよく、前記追加の窒素は、C1~4アルキルで任意に置換されていてもよい、前記化合物またはその薬学的に許容される塩。
[態様3]XがNまたはCHである、式(Ia):
の態様1または2に記載の化合物またはその薬学的に許容される塩。
[態様4]XがNまたはCHである、式(Ib):
の態様1または2に記載の化合物またはその薬学的に許容される塩。
[態様5]Rが、
i.ピリジル、オキサゾリル、ピラジニル、オキサジアゾリル、チアゾリル、ピラゾリル、及びイミダゾリルから選択される5~6員ヘテロアリールであって、Rからなる群から独立して選択される1~2つの置換基で任意に置換されている、前記ヘテロアリール、
ii.Rからなる群から独立して選択される1~2つの置換基で任意に置換されたフェニル、
iii.Rからなる群から独立して選択される1~2つの置換基で任意に置換されたピリジニル-2(1H)-オン、ならびに
iv.1,3-ジヒドロイソベンゾフラン、4-メチル-3,4-ジヒドロ-2H-ベンゾ[b][1,4]オキサジン、5,6-ジヒドロ-4H-ピロロ[1,2-b]ピラゾール、6,7-ジヒドロ-5H-シクロペンタ[b]ピリジン、ピラゾロ[1,5-a]ピリミジン、インドリン-2-オン、2,3-ジヒドロベンゾフラン、1-メチル-2-オキソ-1,2,3,4-テトラヒドロキノリン、3,4-ジヒドロキノリン-2(1H)-オン、及びイソクロマンからなる群から選択される8~10員の縮合二環系であって、Rからなる群から独立して選択される1~2つの置換基で任意に置換されている、前記縮合二環系からなる群から選択される、態様1~4のいずれかに記載の化合物またはその薬学的に許容される塩。
[態様6]式(IIa):
の態様1または2に記載の化合物またはその薬学的に許容される塩。
[態様7]式(IIc):
の態様1または2に記載の化合物またはその薬学的に許容される塩。
[態様8]前記化合物が、式(IIe):
により表されるか、またはその薬学的に許容される塩である、態様1に記載の化合物またはその薬学的に許容される塩。
[態様9]前記化合物が、以下の式:
により表されるか、またはその薬学的に許容される塩であり、R8aが、C1~4アルキル、ハロ置換C1~4アルキル、またはハロゲンである、態様1に記載の化合物またはその薬学的に許容される塩。
[態様10]Rが、水素、またはハロゲン、ヒドロキシル、NR、C1~4アルコキシ、フェニル、ならびに窒素及び酸素から選択される1もしくは2個のヘテロ原子を含有する4~7員の部分飽和もしくは完全飽和複素環から独立して選択される1~3つの置換基を有する任意に置換されたC1~5アルキルであり、前記フェニル及び4~7員の複素環が、1~3つのR10で任意に置換されていてもよく、
10が、オキソ、ハロ、ハロ置換C1~4アルキル、及びC1~4アルキルから独立して選択される、態様9に記載の化合物またはその薬学的に許容される塩。
[態様11]RがC1~5アルキルである、態様9に記載の化合物またはその薬学的に許容される塩。
[態様12]Rが、ピリジル、オキサゾリル、ピラジニル、オキサジアゾリル、チアゾリル、ピラゾリル、イミダゾリルから選択され、前記Rが、ハロ、ハロ置換C1~4アルキル、-NR1112、及びC1~4アルキルからなる群から独立して選択される1~2つの置換基で任意に置換されている、先行態様のいずれかに記載の化合物またはその薬学的に許容される塩またはその薬学的に許容される塩。
[態様13]Rが、ハロ、ハロ置換C1~4アルキル、-NR1112、及びC1~4アルキルからなる群から独立して選択される1~2つの置換基で任意に置換されたピリジニル-2(1H)-オンである、態様1~11のいずれかに記載の化合物またはその薬学的に許容される塩またはその薬学的に許容される塩。
[態様14]Rがフェニルであり、前記フェニルが、ハロ、ハロ置換C1~4アルキル、-NR1112、及びC1~4アルキルからなる群から独立して選択される1~2つの置換基で任意に置換されている、態様1~11のいずれかに記載の化合物またはその薬学的に許容される塩またはその薬学的に許容される塩。
[態様15]Rが、1,3-ジヒドロイソベンゾフラン、4-メチル-3,4-ジヒドロ-2H-ベンゾ[b][1,4]オキサジン、5,6-ジヒドロ-4H-ピロロ[1,2-b]ピラゾール、6,7-ジヒドロ-5H-シクロペンタ[b]ピリジン、インドリン-2-オン、2,3-ジヒドロベンゾフラン、ピラゾロ[1,5-a]ピリミジン、1-メチル-2-オキソ-1,2,3,4-テトラヒドロキノリン、3,4-ジヒドロキノリン-2(1H)-オン、及びイソクロマンからなる群から選択され、前記Rが、ハロ、ハロ置換C1~4アルキル、-NR1112、及びC1~4アルキルからなる群から独立して選択される1~2つの置換基で任意に置換されている、態様1~11のいずれかに記載の化合物またはその薬学的に許容される塩またはその薬学的に許容される塩。
[態様16]Rが、窒素及び酸素から独立して選択される1~3個のヘテロ原子を含有する8~10員の縮合二環式ヘテロアリール、または窒素及び酸素から独立して選択される1~3個のヘテロ原子を含有する8~10員の縮合二環式複素環であり、Rにより表される前記8~10員の縮合二環式ヘテロアリール及び前記8~10員の縮合二環式複素環が、ハロ、ハロ置換C1~4アルキル、-NR1112、C1~4アルコキシ、及びC1~4アルキルからなる群から独立して選択される1または2つの置換基で任意に置換されている、態様1~11のいずれかに記載の化合物またはその薬学的に許容される塩。
[態様17]Rが、2,3-ジヒドロフロ[2,3-b]ピリジン、5,6,7,8-テトラヒドロインドリジン、2,3-ジヒドロチエノ[3,4-b][1,4]ジオキシン、6,7-ジヒドロ-5H-シクロペンタ[b]ピリジン、2,3-ジヒドロベンゾフラン、2,3-ジヒドロ-1H-ピロリジン、ピラゾロ[1,5-a]ピリジン、ピラゾロ[1,5-a]ピリミジン、及び[1,2,4]トリアゾロ[1,5-a]ピリジンから選択され、これらの各々が、ハロ、ハロ置換C1~4アルキル、-NR1112、C1~4アルコキシ、及びC1~4アルキルからなる群から独立して選択される1または2つの置換基で任意に置換されている、態様16に記載の化合物またはその薬学的に許容される塩。
[態様18]Rが、Rから独立して選択される1または2つの置換基で任意に置換されたピリジルであり、
が、ニトリル、ハロ、C1~4アルキル、ハロ置換C1~4アルキル、C1~4アルコキシ、ハロ置換C1~4アルコキシ、C3~6シクロアルキル、C3~6シクロアルコキシ、-NR1112、ならびに窒素及び酸素から選択される1または2個のヘテロ原子を含有する4~7員の完全飽和複素環であり、前記C1~4アルキル及びC1~4アルコキシが、C1~4アルコキシで任意に置換されており、
11及びR12が、それぞれ独立して、水素またはC1~4アルキルである、態様1~11のいずれかに記載の化合物またはその薬学的に許容される塩。
[態様19]
が2-ピリジルまたは3-ピリジルであり、これらの各々がRから独立して選択される1または2つの置換基で任意に置換されている、態様18に記載の化合物またはその薬学的に許容される塩。
[態様20]Rが、各出現において、独立して、テトラヒドロフラン、F、-CN、-CH、-CH(CH、-CHCH、-CHF-CHF、-CHF、-CFCH、-CF、-OCH、-OCH(CH、-OCHF、-OCHCF、-OCHCHF、-OCHCHOCH、-CHOCH、-O-シクロプロピル、-O-シクロブチル、シクロプロピル、または-N(CHである、態様18もしくは19に記載の化合物またはその薬学的に許容される塩。
[態様21]Rが、ハロゲン、ヒドロキシル、NR、C1~4アルコキシ、C3~6シクロアルキル、フェニル、ならびに窒素及び酸素から選択される1または2個のヘテロ原子を含有する4~7員の部分飽和または完全飽和複素環から独立して選択される1~3つの置換基を有する任意に置換されたC1~5アルキルであり、前記C3~6シクロアルキル、フェニル、及び4~7員の複素環が、1~3つのR10で任意に置換されていてもよい、式(IV):
の態様1もしくは2のいずれかに記載の化合物またはその薬学的に許容される塩。
[態様22]Rが、C1~4アルキル、ハロゲン、ハロ置換C1~4アルキル、ヒドロキシル、及びC1~4アルコキシからなる群から独立して選択される1もしくは2つの置換基で任意に置換されたC3~6シクロアルキルであるか、またはRが、ハロゲン、ハロ置換C1~4アルキル、ヒドロキシ置換C1~4アルキル、ヒドロキシル、C1~4アルコキシ、及びC3~6シクロアルキルからなる群から独立して選択される1もしくは3つの置換基で任意に置換されているC1~5アルキルであり、前記C3~6シクロアルキルが、ハロゲン、ハロ置換C1~4アルキル、ヒドロキシル、及びC1~4アルコキシからなる群から独立して選択される1または2つの置換基で任意に置換されている、態様21に記載の化合物またはその薬学的に許容される塩。
[態様23]Rが、C1~4アルキル、ハロゲン、ハロ置換C1~4アルキル、ヒドロキシル、及びC1~4アルコキシからなる群から独立して選択される1または2つの置換基で任意に置換されたC3~6シクロアルキルである、態様21に記載の化合物またはその薬学的に許容される塩。
[態様24]Rが、ハロゲン、ハロ置換C1~4アルキル、ヒドロキシル、C1~4アルコキシ、及びC3~6シクロアルキルからなる群から独立して選択される1または3つの置換基で任意に置換されているC1~5アルキルであり、前記C3~6シクロアルキルが、ハロゲン、ハロ置換C1~4アルキル、ヒドロキシル、及びC1~4アルコキシからなる群から独立して選択される1または2つの置換基で任意に置換されている、態様21に記載の化合物またはその薬学的に許容される塩。
[態様25]Rが、C1~4アルキル、ハロゲン、ハロ置換C1~4アルキル、ヒドロキシル、及びC1~4アルコキシからなる群から独立して選択される1または2つの置換基で任意に置換されたC3~6シクロアルキルであり、
が、C1~4アルキル及びハロ置換C1~4アルキルから独立して選択される1または2つの置換基で任意に置換されている、態様21に記載の化合物またはその薬学的に許容される塩。
[態様26]Rが、窒素及び酸素から独立して選択される1~3個のヘテロ原子を含有する5~10員の架橋複素環であり、前記5~10員の架橋複素環が、C1~4アルキル、ハロゲン、ハロ置換C1~4アルキル、ヒドロキシル、及びC1~4アルコキシから独立して選択される1または3つの置換基で任意に置換されている、態様1~20のいずれかに記載の化合物またはその薬学的に許容される塩。
[態様27]Rが、窒素及び酸素から独立して選択される1または2個のヘテロ原子を含有する6~8員架橋複素環であり、前記6~8員架橋複素環が、C1~4アルキル、ハロゲン、ハロ置換C1~4アルキル、ヒドロキシル、及びC1~4アルコキシから独立して選択される1または2つの置換基で任意に置換されている、態様26に記載の化合物またはその薬学的に許容される塩。
[態様28]Rが、2-オキサビシクロ[2.1.1]ヘキサン-4-イル、8-オキサビシクロ[3.2.1]オクタン-3-イル、2-オキサビシクロ[2.2.1]ヘプタン-4-イル、2-オキサビシクロ[2.2.2]オクタン-4-イル、2-オキサビシクロ[3.1.1]ヘプタン-5-イルから選択され、これらの各々が、C1~4アルキル、ハロゲン、ハロ置換C1~4アルキル、ヒドロキシル、及びC1~4アルコキシから独立して選択される1~3つの置換基で任意に置換されている、態様26に記載の化合物またはその薬学的に許容される塩。
[態様29]Rが、-CH及び-CHFから独立して選択される1~3つの置換基で任意に置換されている、態様27もしくは28に記載の化合物またはその薬学的に許容される塩。
[態様30]Rが、ハロゲン、-C(=O)NR、C1~4アルキル、C3~6シクロアルキル、-C1~2アルキル-C3~6シクロアルキル、-C1~4アルキル-O-C1~2アルキル、-C1~2アルキル-C4~7複素環、-C1~2アルキル-C5~6ヘテロアリール、-C1~2アルキル-O-C5~6ヘテロアリール、4~6員の完全飽和複素環、5~6員ヘテロアリール、フェニル、5~6員架橋炭素環、6~8員の縮合二環式複素環、6~8員のスピロ二環式複素環、及び6~8員の架橋二環式複素環から選択され、Rが、ハロ、ヒドロキシル、ニトリル、C1~4アルキル、C1~4アルコキシ、ハロ置換C1~4アルキル、ヒドロキシル置換C1~4アルキル、C1~4アルキル-O-C1~2アルキル、-C(=O)OH、-C(=O)-C1~4アルキル、-C(=O)OC1~4アルキル、及び4~6員の複素環から独立して選択される1~3つの置換基で任意に置換されており、
及びRが、それぞれ独立して、HまたはC1~4アルキルである、態様1~20のいずれかに記載の化合物またはその薬学的に許容される塩。
[態様31]Rが、-Cl、-C(=O)N(CH、-CH、-CHCH、-CHF、-CHF、-CFCH、-CHCHCHOCH、-CFCHCHOCH、-CHOCHCH、-CHOCH、-C(CHCHOCH、-C(CHOH、-CHCHCHOH、-CHCHC(CHOH、-CHCHFCHOH、-CHCHOCF、-CHO-(ピリジン-2-イル)、-CH-(1,2,4-トリアゾール-1-イル)、-C(CHCN、-CH(CH)CN、-C(CHC(=O)OCH、-C(CHC(=O)OH、-CH(OH)-シクロプロピル、-CH-テトラヒドロフラン、-CH(CH)-テトラヒドロフラン、-CHF-テトラヒドロフラン、-CH-テトラヒドロピラニル、-CH-(1,4-ジオキサン-2-イル)、-CH-(2-オキソピロリジン-1-イル)、-CH-(ピリジン-2-イルオキシ)、-CH-モルホリニル、シクロプロピル、シクロブチル、シクロペンチル、及びシクロヘキシルから選択されるC3~6シクロアルキル、F、-CH、-OCH、-CN、CHF、-C(CHOH、-CHOH、及び-CHOCHで任意に置換されたビシクロ[1.1.1]ペンタン-1-イル、3-オキサビシクロ[4.1.0]ヘプタン-6-イル、3-オキサビシクロ[3.1.0]ヘキサン-6-イル、及び3-オキサビシクロ[3.1.0]ヘキサン-1-イルから選択される6~8員の縮合二環式複素環、5-オキサスピロ[2.4]ヘプタン-1-イル、6-オキサスピロ[2.5]オクタン-1-イル、及び6-オキサスピロ[3.4]オクタン-2-イルから選択される6~8員の縮合二環式複素環、テトラヒドロフラン-3-イル、テトラヒドロ-2H-ピラン-4-イル、テトラヒドロ-2H-ピラン-3-イル、アゼチジニル、テトラヒドロチオフェン-3-イル、ピロリジン-3-イル、2-オキソピロリジン-3-イル、ピペリジン-4-イル、1-メチル-6-オキソピペリジン-2-イル、モルホリニル、及び1,4-ジオキサン-2-イルから選択される4~6員の完全飽和複素環、-Fで任意に置換されたフェニル、-CH及び-CHFから独立して選択される1または2つの置換基で任意に置換されたピラゾリル、2-オキサビシクロ[2.1.1]ヘキサン-4-イル、8-オキサビシクロ[3.2.1]オクタン-3-イル、2-オキサビシクロ[2.2.1]ヘプタン-4-イル、2-オキサビシクロ[2.2.2]オクタン-4-イルから選択される6~8員の架橋二環式複素環から選択され、前記C3~6シクロアルキルが、F、-CN、-OH、-OCH、-OCH(CH、及び-CHOHから独立して選択される1~2つの置換基で任意に置換されており、-CH、OCHCH、-OH、CN、-CHCHF、-CHCHOCH、-C(=O)CH、及びオキセタン-3-イルから独立して選択される1~2つの置換基で任意に置換されており、前記6~8員の架橋二環式複素環が、-CHから独立して選択される1~2つの置換基で任意に置換されている、態様30に記載の化合物。
[態様32]前記化合物が、式(V)、(VI)、(VII)、もしくは(VIII):
で表されるか、またはそれらの薬学的に許容される塩であり、
が、酸素及び窒素から独立して選択される1~2個のヘテロ原子を含有する6~8員の架橋複素環であり、前記6~8員の架橋複素環が、C1~4アルキル、ハロゲン、ハロ置換C1~4アルキル、ヒドロキシル、及びC1~4アルコキシから独立して選択される1または2つの置換基で任意に置換されており、
が、ピリジル、ピリジニル-2(1H)-オン、酸素及び窒素から独立して選択される1~2個のヘテロ原子を有する9~10員の縮合二環式複素環、または酸素及び窒素から独立して選択される1~3個のヘテロ原子を有する9~10員の縮合二環式ヘテロアリールであり、Rで表される前記ピリジル、9~10員の縮合二環式複素環、及び9~10員の縮合二環式ヘテロアリールが、それぞれ、C1~4アルキル、ハロゲン、ハロ置換C1~4アルキル、ヒドロキシル、及びC1~4アルコキシから独立して選択される1~2つの置換基で任意に置換されており、
8bが、Hまたはハロゲンであり、
が、C1~5アルキルである、態様1に記載の化合物またはその薬学的に許容される塩。
[態様33]Rが、C1~4アルキルで任意に置換された、酸素原子を有する6または7員の架橋複素環であり、
が、ピリジル、ピリジニル-2(1H)-オン、酸素原子を有する9員の縮合二環式複素環、または2もしくは3個の窒素原子を有する9員の縮合二環式ヘテロアリールであり、Rで表される前記ピリジル、前記9員の縮合二環式複素環、及び前記9員の縮合二環式ヘテロアリールが、それぞれ、ハロゲン、ハロ置換C1~4アルキル、及びC1~4アルコキシから独立して選択される1~2つの置換基で任意に置換されており、
8bが、HまたはFであり、
が、C1~4アルキルである、態様32に記載の化合物またはその薬学的に許容される塩。
[態様34]Rが、2-オキサビシクロ[2.1.1]ヘキサン-4-イル、8-オキサビシクロ[3.2.1]オクタン-3-イル、2-オキサビシクロ[2.2.1]ヘプタン-4-イル、2-オキサビシクロ[2.2.2]オクタン-4-イル、2-オキサビシクロ[3.1.1]ヘプタン-5-イルから選択され、これらの各々が、C1~4アルキルで任意に置換されており、
が、2-ピリジル、3-ピリジル、ピリジニル-2(1H)-オン、2,3-ジヒドロベンゾフラン、ピラゾロ[1,5-a]ピリジン、及び[1,2,4]トリアゾロ[1,5-a]ピリジンから選択され、これらの各々が、ハロ、ハロ置換C1~4アルキル、及びC1~4アルコキシから独立して選択される1~2つの置換基で任意に置換されており、
が、C1~4アルキルである、態様32に記載の化合物またはその薬学的に許容される塩。
[態様35]Rが、2-オキサビシクロ[2.1.1]ヘキサン-4-イル、8-オキサビシクロ[3.2.1]オクタン-3-イル、2-オキサビシクロ[2.2.1]ヘプタン-4-イル、2-オキサビシクロ[2.2.2]オクタン-4-イル、2-オキサビシクロ[3.1.1]ヘプタン-5-イルから選択され、これらの各々が、メチルで任意に置換されており、
が、2-ピリジル、3-ピリジル、ピリジニル-2(1H)-オン、2,3-ジヒドロベンゾフラン、ピラゾロ[1,5-a]ピリジン、及び[1,2,4]トリアゾロ[1,5-a]ピリジンから選択され、これらの各々が、-F、-CHF、及び-OCHから独立して選択される1~2つの置換基で任意に置換されており、
が、-CH、-CHCH、または-C(CHである、態様34に記載の化合物またはその薬学的に許容される塩。
[態様36]N-(7-エトキシ-2-エチルイミダゾ[1,2-a]ピリジン-6-イル)-6-(トリフルオロメチル)ピコリンアミド、
N-(2-シクロプロピル-7-エトキシイミダゾ[1,2-a]ピリジン-6-イル)-6-(トリフルオロメチル)ピコリンアミド、
N-(2-シクロプロピル-7-エトキシイミダゾ[1,2-a]ピリジン-6-イル)-6-(ジフルオロメチル)ピコリンアミド、
N-(2-シクロプロピル-7-メトキシイミダゾ[1,2-a]ピリジン-6-イル)-6-(ジフルオロメチル)ピコリンアミド、
N-(7-(シクロブチルメトキシ)-2-シクロプロピルイミダゾ[1,2-a]ピリジン-6-イル)-6-(ジフルオロメチル)ピコリンアミド、
-3-イル)メトキシ)イミダゾ[1,2-a]ピリジン-6-イル)-6-(ジフルオロメチル)ピコリンアミド、
N-(2-シクロプロピル-7-(2-(2-オキソピリジン-1(2H)-イル)プロポキシ)イミダゾ[1,2-a]ピリジン-6-イル)-6-(ジフルオロメチル)ピコリンアミド、
(R)-N-(2-シクロプロピル-7-(2-(2-オキソピリジン-1(2H)-イル)プロポキシ)イミダゾ[1,2-a]ピリジン-6-イル)-6-(ジフルオロメチル)ピコリンアミド、
6-(ジフルオロメチル)-N-(7-エトキシ-2-(1-メチル-2-オキソピペリジン-4-イル)イミダゾ[1,2-a]ピリジン-6-イル)ピコリンアミド、
(S)-N-(2-シクロプロピル-7-(2-(2-オキソピリジン-1(2H)-イル)プロポキシ)イミダゾ[1,2-a]ピリジン-6-イル)-6-(ジフルオロメチル)ピコリンアミド、
(S)-N-(2-シクロプロピル-7-(2-(5-オキソピロリジン-2-イル)エトキシ)イミダゾ[1,2-a]ピリジン-6-イル)-6-(ジフルオロメチル)ピコリンアミド、
N-(7-(ベンジルオキシ)-2-シクロプロピルイミダゾ[1,2-a]ピリジン-6-イル)-6-(ジフルオロメチル)ピコリンアミド、
N-(2-シクロプロピル-7-ヒドロキシイミダゾ[1,2-a]ピリジン-6-イル)-6-(ジフルオロメチル)ピコリンアミド、
N-(2-シクロプロピル-7-(((2S,3S,4S)-3-エチル-4-フルオロ-5-オキソピロリジン-2-イル)メトキシ)イミダゾ[1,2-a]ピリジン-6-イル)-6-(ジフルオロメチル)ピコリンアミド、
6-(ジフルオロメチル)-N-(7-エトキシ-2-(3-メトキシプロピル)イミダゾ[1,2-a]ピリジン-6-イル)ピコリンアミド、
6-(ジフルオロメチル)-N-(7-エトキシ-2-(2-メトキシエチル)イミダゾ[1,2-a]ピリジン-6-イル)ピコリンアミド、
6-(ジフルオロメチル)-N-(7-エトキシ-2-((テトラヒドロフラン-3-イル)メチル)イミダゾ[1,2-a]ピリジン-6-イル)ピコリンアミド、
(S)-6-(ジフルオロメチル)-N-(7-エトキシ-2-((テトラヒドロフラン-3-イル)メチル)イミダゾ[1,2-a]ピリジン-6-イル)ピコリンアミド、
(R)-6-(ジフルオロメチル)-N-(7-エトキシ-2-((テトラヒドロフラン-3-イル)メチル)イミダゾ[1,2-a]ピリジン-6-イル)ピコリンアミド、
6-(ジフルオロメチル)-N-(7-エトキシ-2-(1-ヒドロキシ-2-メチルプロパン-2-イル)イミダゾ[1,2-a]ピリジン-6-イル)ピコリンアミド、
N-(7-エトキシ-2-(ヒドロキシメチル)イミダゾ[1,2-a]ピリジン-6-イル)-6-(トリフルオロメチル)ピコリンアミド、
6-(ジフルオロメチル)-N-(7-エトキシ-2-(5-オキサスピロ[2.4]ヘプタン-1-イル)イミダゾ[1,2-a]ピリジン-6-イル)ピコリンアミド、
N-(7-エトキシ-2-(2-ヒドロキシプロパン-2-イル)イミダゾ[1,2-a]ピリジン-6-イル)-6-(トリフルオロメチル)ピコリンアミド、
N-(7-エトキシ-2-(フルオロメチル)イミダゾ[1,2-a]ピリジン-6-イル)-6-(トリフルオロメチル)ピコリンアミド、
6-(ジフルオロメチル)-N-(7-エトキシ-2-(3-ヒドロキシプロピル)イミダゾ[1,2-a]ピリジン-6-イル)ピコリンアミド、
N-(2-シクロプロピル-7-(4-(2,2-ジフルオロエチル)ピペラジン-1-イル)イミダゾ[1,2-a]ピリジン-6-イル)-6-(トリフルオロメチル)ピコリンアミド、
N-(2-シクロプロピル-7-(シクロプロピルメトキシ)イミダゾ[1,2-a]ピリジン-6-イル)-6-(ジフルオロメチル)ピコリンアミド、
N-(2-シクロプロピル-7-(2,2,2-トリフルオロエトキシ)イミダゾ[1,2-a]ピリジン-6-イル)-6-(ジフルオロメチル)ピコリンアミド、
6-(ジフルオロメチル)-N-(7-エトキシ-2-(3-ヒドロキシ-3-メチルブチル)イミダゾ[1,2-a]ピリジン-6-イル)ピコリンアミド、
N-(2-シクロプロピル-8-エトキシイミダゾ[1,2-a]ピリジン-6-イル)-6-(ジフルオロメチル)ピコリンアミド、
N-(2-シクロプロピル-7-エトキシ-3-フルオロイミダゾ[1,2-a]ピリジン-6-イル)-6-(ジフルオロメチル)ピコリンアミド、
N-(2-シクロプロピルイミダゾ[1,2-a]ピリジン-6-イル)-6-(ジフルオロメチル)ピコリンアミド、
N-(2-シクロプロピルイミダゾ[1,2-a]ピラジン-6-イル)-6-(ジフルオロメチル)ピコリンアミド、
6-アセトアミド-N-(7-エトキシ-2-エチルイミダゾ[1,2-a]ピリジン-6-イル)ピコリンアミド、
N-(2-(3,3-ジフルオロシクロブチル)-7-エトキシイミダゾ[1,2-a]ピリジン-6-イル)-6-(トリフルオロメチル)ピコリンアミド、
N-(7-エトキシ-2-エチルイミダゾ[1,2-a]ピリジン-6-イル)-5,6-ジメチルピコリンアミド、
N-(7-エトキシ-2-エチルイミダゾ[1,2-a]ピリジン-6-イル)-3,4-ジフルオロベンズアミド、
N-(7-エトキシ-2-エチルイミダゾ[1,2-a]ピリジン-6-イル)-3-フルオロ-6-(トリフルオロメチル)ピコリンアミド、
N-(7-エトキシ-2-エチルイミダゾ[1,2-a]ピリジン-6-イル)-1,3-ジヒドロイソベンゾフラン-5-カルボキサミド、
N-(7-エトキシ-2-エチルイミダゾ[1,2-a]ピリジン-6-イル)-5,6-ジヒドロ-4H-ピロロ[1,2-b]ピラゾール-2-カルボキサミド、
N-(7-エトキシ-2-エチルイミダゾ[1,2-a]ピリジン-6-イル)-4-メチル-3,4-ジヒドロ-2H-ベンゾ[b][1,4]オキサジン-8-カルボキサミド、
N-(7-エトキシ-2-エチルイミダゾ[1,2-a]ピリジン-6-イル)-2,4-ジフルオロベンズアミド、
N-(7-エトキシ-2-エチルイミダゾ[1,2-a]ピリジン-6-イル)-2-オキソインドリン-6-カルボキサミド、
N-(7-エトキシ-2-エチルイミダゾ[1,2-a]ピリジン-6-イル)-2,3-ジヒドロベンゾフラン-6-カルボキサミド、
N-(7-エトキシ-2-エチルイミダゾ[1,2-a]ピリジン-6-イル)イソクロマン-7-カルボキサミド、
1-(ジフルオロメチル)-N-(7-エトキシ-2-エチルイミダゾ[1,2-a]ピリジン-6-イル)-1H-ピラゾール-3-カルボキサミド、
N-(7-エトキシ-2-エチルイミダゾ[1,2-a]ピリジン-6-イル)-4,5-ジメチルピコリンアミド、
5-クロロ-N-(7-エトキシ-2-エチルイミダゾ[1,2-a]ピリジン-6-イル)ピコリンアミド、
N-(7-エトキシ-2-エチルイミダゾ[1,2-a]ピリジン-6-イル)イソクロマン-6-カルボキサミド、
N-(7-エトキシ-2-エチルイミダゾ[1,2-a]ピリジン-6-イル)-4,5-ジメチルチアゾール-2-カルボキサミド、
N-(7-エトキシ-2-エチルイミダゾ[1,2-a]ピリジン-6-イル)-6,7-ジヒドロ-5H-シクロペンタ[b]ピリジン-2-カルボキサミド、
N-(7-エトキシ-2-エチルイミダゾ[1,2-a]ピリジン-6-イル)-5-フルオロ-6-(トリフルオロメチル)ピコリンアミド、
N-(2-シクロプロピル-7-メトキシイミダゾ[1,2-a]ピリジン-6-イル)-1-メチル-2-オキソ-1,2-ジヒドロピリジン-3-カルボキサミド、
N-(2-シクロプロピル-7-エトキシイミダゾ[1,2-a]ピリジン-6-イル)ピラゾロ[1,5-a]ピリミジン-2-カルボキサミド、
N-(2-シクロプロピル-7-エトキシイミダゾ[1,2-a]ピリジン-6-イル)-3-(トリフルオロメチル)ベンズアミド、
N-(7-エトキシ-2-(エトキシメチル)イミダゾ[1,2-a]ピリジン-6-イル)-6-(トリフルオロメチル)ピコリンアミド、
N-(7-エトキシ-2-(メトキシメチル)イミダゾ[1,2-a]ピリジン-6-イル)-6-(トリフルオロメチル)ピコリンアミド、
N-(2-(ジフルオロメチル)-7-エトキシイミダゾ[1,2-a]ピリジン-6-イル)-6-(トリフルオロメチル)ピコリンアミド、
N-(7-エトキシ-2,3-ジメチルイミダゾ[1,2-a]ピリジン-6-イル)-6-(トリフルオロメチル)ピコリンアミド、
N-(7-エトキシ-2-(テトラヒドロフラン-3-イル)イミダゾ[1,2-a]ピリジン-6-イル)-6-(トリフルオロメチル)ピコリンアミド、
N-(7-エトキシ-2-((テトラヒドロフラン-2-イル)メチル)イミダゾ[1,2-a]ピリジン-6-イル)-6-(トリフルオロメチル)ピコリンアミド、
N-(2-(アゼチジン-3-イル)-7-エトキシイミダゾ[1,2-a]ピリジン-6-イル)-6-(トリフルオロメチル)ピコリンアミド、
N-(7-エトキシ-2-(ピロリジン-3-イル)イミダゾ[1,2-a]ピリジン-6-イル)-6-(トリフルオロメチル)ピコリンアミド、
N-(7-エトキシ-2-(ピペリジン-4-イル)イミダゾ[1,2-a]ピリジン-6-イル)-6-(トリフルオロメチル)ピコリンアミド、
N-(7-エトキシ-1,2,3,4-テトラヒドロイミダゾ[1,2-a:5,4-c’]ジピリジン-8-イル)-6-(トリフルオロメチル)ピコリンアミド、
N-(7-エトキシ-2-(1-メチルアゼチジン-3-イル)イミダゾ[1,2-a]ピリジン-6-イル)-6-(トリフルオロメチル)ピコリンアミド、
N-(7-エトキシ-2-(1-メチルピロリジン-3-イル)イミダゾ[1,2-a]ピリジン-6-イル)-6-(トリフルオロメチル)ピコリンアミド、
N-(7-エトキシ-2-(1-メチルピペリジン-4-イル)イミダゾ[1,2-a]ピリジン-6-イル)-6-(トリフルオロメチル)ピコリンアミド、
N-(2-(1-アセチルアゼチジン-3-イル)-7-エトキシイミダゾ[1,2-a]ピリジン-6-イル)-6-(トリフルオロメチル)ピコリンアミド、
N-(2-(1-アセチルピロリジン-3-イル)-7-エトキシイミダゾ[1,2-a]ピリジン-6-イル)-6-(トリフルオロメチル)ピコリンアミド、
N-(2-(1-アセチルピペリジン-4-イル)-7-エトキシイミダゾ[1,2-a]ピリジン-6-イル)-6-(トリフルオロメチル)ピコリンアミド、
N-(2-シクロプロピル-7-エトキシイミダゾ[1,2-a]ピリジン-6-イル)-2-(2,2,2-トリフルオロエトキシ)ニコチンアミド、
N-(2-シクロプロピル-7-エトキシイミダゾ[1,2-a]ピリジン-6-イル)-2-オキソ-1-(2,2,2-トリフルオロエチル)-1,2-ジヒドロピリジン-3-カルボキサミド、
6-(ジフルオロメチル)-N-(7-エトキシ-2-エチルイミダゾ[1,2-a]ピリミジン-6-イル)ピコリンアミド、
N-(7-エトキシ-2-((テトラヒドロフラン-3-イル)メチル)イミダゾ[1,2-a]ピリミジン-6-イル)-6-(トリフルオロメチル)ピコリンアミド、
6-(ジフルオロメチル)-N-(2-エチル-8-フルオロイミダゾ[1,2-a]ピリジン-6-イル)ピコリンアミド、
6-(ジフルオロメチル)-N-(7-エトキシ-2-(1-(2,2,2-トリフルオロエチル)アゼチジン-3-イル)イミダゾ[1,2-a]ピリジン-6-イル)ピコリンアミド、
N-(2-(1-(2,2-ジフルオロエチル)アゼチジン-3-イル)-7-エトキシイミダゾ[1,2-a]ピリジン-6-イル)-6-(ジフルオロメチル)ピコリンアミド、
6-(ジフルオロメチル)-N-(7-エトキシ-2-(1-(オキセタン-3-イル)アゼチジン-3-イル)イミダゾ[1,2-a]ピリジン-6-イル)ピコリンアミド、
6-(ジフルオロメチル)-N-(7-エトキシ-2-(1-(2-メトキシエチル)アゼチジン-3-イル)イミダゾ[1,2-a]ピリジン-6-イル)ピコリンアミド、
N-(2-(1-アセチルアゼチジン-3-イル)-7-エトキシイミダゾ[1,2-a]ピリジン-6-イル)-6-(ジフルオロメチル)ピコリンアミド、
N-(2-((1H-1,2,4-トリアゾール-1-イル)メチル)-7-エトキシイミダゾ[1,2-a]ピリジン-6-イル)-6-(ジフルオロメチル)ピコリンアミド、
N-(2-((1,4-ジオキサン-2-イル)メチル)-7-エトキシイミダゾ[1,2-a]ピリジン-6-イル)-6-(ジフルオロメチル)ピコリンアミド、
6-(ジフルオロメチル)-N-(7-エトキシ-2-((1-メチル-1H-ピラゾール-3-イル)メチル)イミダゾ[1,2-a]ピリジン-6-イル)ピコリンアミド、
6-(ジフルオロメチル)-N-(7-エトキシ-2-((2-オキソピロリジン-1-イル)メチル)イミダゾ[1,2-a]ピリジン-6-イル)ピコリンアミド、
6-(ジフルオロメチル)-N-(7-エトキシ-2-((ピリジン-2-イルオキシ)メチル)イミダゾ[1,2-a]ピリジン-6-イル)ピコリンアミド、
6-(ジフルオロメチル)-N-(7-エトキシ-2-((2-オキソピリジン-1(2H)-イル)メチル)イミダゾ[1,2-a]ピリジン-6-イル)ピコリンアミド、
6-(ジフルオロメチル)-N-(7-エトキシ-2-(4-ヒドロキシテトラヒドロ-2H-ピラン-4-イル)イミダゾ[1,2-a]ピリジン-6-イル)ピコリンアミド、
6-(ジフルオロメチル)-N-(7-エトキシ-2-(4-エトキシテトラヒドロ-2H-ピラン-4-イル)イミダゾ[1,2-a]ピリジン-6-イル)ピコリンアミド、
1-(ジフルオロメチル)-N-(7-エトキシ-2-(3-メトキシプロピル)イミダゾ[1,2-a]ピリジン-6-イル)-1H-ピラゾール-3-カルボキサミド、
N-(2-((1R,6R,7R)-3-オキサビシクロ[4.1.0]ヘプタン-7-イル)-7-エトキシイミダゾ[1,2-a]ピリジン-6-イル)-6-(ジフルオロメチル)ピコリンアミド、
N-(2-シクロプロピルイミダゾ[1,2-a]ピリミジン-6-イル)-6-(トリフルオロメチル)ピコリンアミド、
(S)-N-(7-エトキシ-2-((テトラヒドロフラン-3-イル)メチル)イミダゾ[1,2-a]ピリミジン-6-イル)-6-(トリフルオロメチル)ピコリンアミド、
(R)-N-(7-エトキシ-2-((テトラヒドロフラン-3-イル)メチル)イミダゾ[1,2-a]ピリミジン-6-イル)-6-(トリフルオロメチル)ピコリンアミド、
N-(7-エトキシ-2-((1r,3r)-3-ヒドロキシシクロブチル)イミダゾ[1,2-a]ピリジン-6-イル)-6-(トリフルオロメチル)ピコリンアミド、
N-(7-エトキシ-2-((1s,3s)-3-ヒドロキシシクロブチル)イミダゾ[1,2-a]ピリジン-6-イル)-6-(トリフルオロメチル)ピコリンアミド、
6-(ジフルオロメチル)-N-(7-エトキシ-2-(1-(ヒドロキシメチル)シクロプロピル)イミダゾ[1,2-a]ピリジン-6-イル)ピコリンアミド、
6-(ジフルオロメチル)-N-(7-エトキシ-2-(2-フルオロ-3-ヒドロキシプロピル)イミダゾ[1,2-a]ピリジン-6-イル)ピコリンアミド、
6-(ジフルオロメチル)-N-(7-エトキシ-2-(2-ヒドロキシプロパン-2-イル)イミダゾ[1,2-a]ピリジン-6-イル)ピコリンアミド、
N-(2-シクロプロピル-7-(2-メトキシエトキシ)イミダゾ[1,2-a]ピリジン-6-イル)-6-(ジフルオロメチル)ピコリンアミド、
N-(2-シクロプロピル-7-(2-モルホリノエトキシ)イミダゾ[1,2-a]ピリジン-6-イル)-6-(ジフルオロメチル)ピコリンアミド、
N-(8-(ベンジルオキシ)-2-(テトラヒドロ-2H-ピラン-4-イル)イミダゾ[1,2-a]ピリジン-6-イル)-6-(トリフルオロメチル)ピコリンアミド、
N-(8-ヒドロキシ-2-(テトラヒドロ-2H-ピラン-4-イル)イミダゾ[1,2-a]ピリジン-6-イル)-6-(トリフルオロメチル)ピコリンアミド、
N-(8-メトキシ-2-テトラヒドロピラン-4-イル-イミダゾ[1,2-a]ピリジン-6-イル)-6-(トリフルオロメチル)ピコリンアミド、
N-(8-ブロモ-2-(テトラヒドロ-2H-ピラン-4-イル)イミダゾ[1,2-a]ピリジン-6-イル)-6-(トリフルオロメチル)ピコリンアミド、
N-(8-(3,6-ジヒドロ-2H-ピラン-4-イル)-2-(テトラヒドロ-2H-ピラン-4-イル)イミダゾ[1,2-a]ピリジン-6-イル)-6-(トリフルオロメチル)ピコリンアミド、
6-(6-(ジフルオロメチル)ピコリンアミド)-7-エトキシ-N、N-ジメチルイミダゾ[1,2-a]ピリジン-2-カルボキサミド、
N-(2-(1,1-ジフルオロエチル)-7-エトキシイミダゾ[1,2-a]ピリジン-6-イル)-6-(ジフルオロメチル)ピコリンアミド、
6-(ジフルオロメチル)-N-(2-(3,3-ジフルオロプロピル)-7-エトキシイミダゾ[1,2-a]ピリジン-6-イル)ピコリンアミド、
6-(ジフルオロメチル)-N-(7-エトキシ-2-(1-フルオロシクロプロピル)イミダゾ[1,2-a]ピリジン-6-イル)ピコリンアミド、
N-(7-エトキシ-2-(テトラヒドロ-2H-ピラン-3-イル)イミダゾ[1,2-a]ピリジン-6-イル)-6-(トリフルオロメチル)ピコリンアミド、
N-(2-(2,2-ジメチルテトラヒドロ-2H-ピラン-4-イル)-7-エトキシイミダゾ[1,2-a]ピリジン-6-イル)-6-(トリフルオロメチル)ピコリンアミド、
6-(ジフルオロメチル)-N-(7-エトキシ-2-((1r,3r)-3-メトキシシクロブチル)イミダゾ[1,2-a]ピリジン-6-イル)ピコリンアミド、
6-(ジフルオロメチル)-N-(7-エトキシ-2-((1s,3s)-3-メトキシシクロブチル)イミダゾ[1,2-a]ピリジン-6-イル)ピコリンアミド、
6-(ジフルオロメチル)-N-(7-エトキシ-2-(テトラヒドロ-2H-ピラン-4-イル)イミダゾ[1,2-a]ピリジン-6-イル)ピコリンアミド、
N-(2-シクロプロピル-7-エトキシイミダゾ[1,2-a]ピリジン-6-イル)-6-メトキシピコリンアミド、
N-(2-シクロプロピル-7-エトキシイミダゾ[1,2-a]ピリジン-6-イル)-6-(トリフルオロメトキシ)ピコリンアミド、
N-(2-シクロプロピル-7-エトキシイミダゾ[1,2-a]ピリジン-6-イル)-2,3-ジヒドロベンゾフラン-7-カルボキサミド、
N-(2-シクロプロピル-7-エトキシイミダゾ[1,2-a]ピリジン-6-イル)-6-(トリフルオロメチル)ピラジン-2-カルボキサミド、
6-(ジフルオロメチル)-N-(7-エトキシ-2-(モルホリノメチル)イミダゾ[1,2-a]ピリジン-6-イル)ピコリンアミド、
N-(7-エトキシ-2-((テトラヒドロフラン-3-イル)メチル)イミダゾ[1,2-a]ピリジン-6-イル)-1-イソプロピル-1H-ピラゾール-3-カルボキサミド、
N-(7-エトキシ-2-((テトラヒドロフラン-3-イル)メチル)イミダゾ[1,2-a]ピリジン-6-イル)-1-(2,2,2-トリフルオロエチル)-1H-ピラゾール-3-カルボキサミド、
1-(ジフルオロメチル)-N-(7-エトキシ-2-((テトラヒドロフラン-3-イル)メチル)イミダゾ[1,2-a]ピリジン-6-イル)-1H-ピラゾール-3-カルボキサミド、
1-(2,2-ジフルオロエチル)-N-(7-エトキシ-2-((テトラヒドロフラン-3-イル)メチル)イミダゾ[1,2-a]ピリジン-6-イル)-1H-ピラゾール-3-カルボキサミド、
6-(ジフルオロメチル)-N-(7-エトキシ-2-(モルホリン-4-カルボニル)イミダゾ[1,2-a]ピリジン-6-イル)ピコリンアミド、
6-(ジフルオロメチル)-N-(7-エトキシ-2-(3-フルオロビシクロ[1.1.1]ペンタン-1-イル)イミダゾ[1,2-a]ピリジン-6-イル)ピコリンアミド、
6-(ジフルオロメチル)-N-(7-エトキシ-2-(1-メトキシシクロプロピル)イミダゾ[1,2-a]ピリジン-6-イル)ピコリンアミド、
6-(ジフルオロメチル)-N-(7-エトキシ-2-(3-(2-ヒドロキシプロパン-2-イル)ビシクロ[1.1.1]ペンタン-1-イル)イミダゾ[1,2-a]ピリジン-6-イル)ピコリンアミド、
6-(ジフルオロメチル)-N-(7-エトキシ-2-(3-(ヒドロキシメチル)ビシクロ[1.1.1]ペンタン-1-イル)イミダゾ[1,2-a]ピリジン-6-イル)ピコリンアミド、
N-(2-シクロプロピル-7-エトキシイミダゾ[1,2-a]ピリジン-6-イル)-6-モルホリノピコリンアミド、
N-(2-シクロプロピル-7-エトキシイミダゾ[1,2-a]ピリジン-6-イル)-6-(1-ヒドロキシシクロブチル)ピコリンアミド、
N-(7-エトキシ-2-(テトラヒドロ-2H-ピラン-4-イル)イミダゾ[1,2-a]ピリジン-6-イル)-6-メトキシピコリンアミド、
N-(7-エトキシ-2-((テトラヒドロフラン-3-イル)メチル)イミダゾ[1,2-a]ピリジン-6-イル)-6-メトキシピコリンアミド、
6-(ジフルオロメチル)-N-(7-エトキシ-2-((1r,3r)-3-イソプロポキシシクロブチル)イミダゾ[1,2-a]ピリジン-6-イル)ピコリンアミド、
6-(ジフルオロメチル)-N-(7-エトキシ-2-((1s,3s)-3-イソプロポキシシクロブチル)イミダゾ[1,2-a]ピリジン-6-イル)ピコリンアミド、
N-(7-エトキシ-2-(1-(テトラヒドロフラン-3-イル)エチル)イミダゾ[1,2-a]ピリジン-6-イル)-6-(トリフルオロメチル)ピコリンアミド、
N-(7-エトキシ-2-((R)-1-((S)-テトラヒドロフラン-3-イル)エチル)イミダゾ[1,2-a]ピリジン-6-イル)-6-(トリフルオロメチル)ピコリンアミド、
N-(7-エトキシ-2-((S)-1-((R)-テトラヒドロフラン-3-イル)エチル)イミダゾ[1,2-a]ピリジン-6-イル)-6-(トリフルオロメチル)ピコリンアミド、
N-(7-エトキシ-2-((S)-1-((S)-テトラヒドロフラン-3-イル)エチル)イミダゾ[1,2-a]ピリジン-6-イル)-6-(トリフルオロメチル)ピコリンアミド、
N-(7-エトキシ-2-((R)-1-((R)-テトラヒドロフラン-3-イル)エチル)イミダゾ[1,2-a]ピリジン-6-イル)-6-(トリフルオロメチル)ピコリンアミド、
N-(7-エトキシ-2-(フルオロ(テトラヒドロフラン-3-イル)メチル)イミダゾ[1,2-a]ピリジン-6-イル)-6-(トリフルオロメチル)ピコリンアミド、
N-(7-エトキシ-2-((R)-フルオロ((R)-テトラヒドロフラン-3-イル)メチル)イミダゾ[1,2-a]ピリジン-6-イル)-6-(トリフルオロメチル)ピコリンアミド、
N-(7-エトキシ-2-((S)-フルオロ((S)-テトラヒドロフラン-3-イル)メチル)イミダゾ[1,2-a]ピリジン-6-イル)-6-(トリフルオロメチル)ピコリンアミド、
N-(7-エトキシ-2-((S)-フルオロ((R)-テトラヒドロフラン-3-イル)メチル)イミダゾ[1,2-a]ピリジン-6-イル)-6-(トリフルオロメチル)ピコリンアミド、
N-(7-エトキシ-2-((R)-フルオロ((S)-テトラヒドロフラン-3-イル)メチル)イミダゾ[1,2-a]ピリジン-6-イル)-6-(トリフルオロメチル)ピコリンアミド、
6-(ジフルオロメチル)-N-(7-エトキシ-2-(1-メチル-2-オキソピロリジン-3-イル)イミダゾ[1,2-a]ピリジン-6-イル)ピコリンアミド、
N-(8-エトキシ-2-(テトラヒドロ-2H-ピラン-4-イル)イミダゾ[1,2-a]ピラジン-6-イル)-6-メトキシピコリンアミド、
6-(ジフルオロメチル)-N-(2-エチル-[1,2,4]トリアゾロ[1,5-a]ピリジン-6-イル)ピコリンアミド、
N-(2-(1,1-ジフルオロ-3-メトキシプロピル)-7-エトキシイミダゾ[1,2-a]ピリジン-6-イル)-6-(ジフルオロメチル)ピコリンアミド、
6-(ジフルオロメチル)-N-(7-エトキシ-2-(テトラヒドロチオフェン-3-イル)イミダゾ[1,2-a]ピリジン-6-イル)ピコリンアミド、
6-(ジフルオロメチル)-N-(7-エトキシ-2-((テトラヒドロ-2H-ピラン-4-イル)メチル)イミダゾ[1,2-a]ピリジン-6-イル)ピコリンアミド、
N-(2-(2-シアノプロパン-2-イル)-7-エトキシイミダゾ[1,2-a]ピリジン-6-イル)-6-(ジフルオロメチル)ピコリンアミド、
6-(ジフルオロメチル)-N-(7-エトキシ-2-(3-メトキシビシクロ[1.1.1]ペンタン-1-イル)イミダゾ[1,2-a]ピリジン-6-イル)ピコリンアミド、
N-(7-エトキシ-2-((テトラヒドロフラン-3-イル)メチル)イミダゾ[1,2-a]ピリジン-6-イル)-4-メチルオキサゾール-2-カルボキサミド、
N-(7-エトキシ-2-((テトラヒドロフラン-3-イル)メチル)イミダゾ[1,2-a]ピリジン-6-イル)-1-メチル-1H-ピラゾール-3-カルボキサミド、
N-(7-エトキシ-2-((テトラヒドロフラン-3-イル)メチル)イミダゾ[1,2-a]ピリジン-6-イル)-2-(1-メチル-1H-ピラゾール-4-イル)オキサゾール-4-カルボキサミド、
N-(2-((1R,5S,6s)-3-オキサビシクロ[3.1.0]ヘキサン-6-イル)-7-エトキシイミダゾ[1,2-a]ピリジン-6-イル)-6-(ジフルオロメチル)ピコリンアミド、
N-(7-エトキシ-2-((テトラヒドロフラン-3-イル)メチル)イミダゾ[1,2-a]ピリジン-6-イル)-1-メチル-1H-1,2,4-トリアゾール-3-カルボキサミド、
N-(7-エトキシ-2-((テトラヒドロフラン-3-イル)メチル)イミダゾ[1,2-a]ピリジン-6-イル)-1-メチル-1H-イミダゾール-4-カルボキサミド、
N-(7-エトキシ-2-((テトラヒドロフラン-3-イル)メチル)イミダゾ[1,2-a]ピリジン-6-イル)-3-メチル-1,2,4-オキサジアゾール-5-カルボキサミド、
N-(7-エトキシ-2-((テトラヒドロフラン-3-イル)メチル)イミダゾ[1,2-a]ピリジン-6-イル)-2-メチルオキサゾール-4-カルボキサミド、
N-(2-(4-シアノテトラヒドロ-2H-ピラン-4-イル)-7-エトキシイミダゾ[1,2-a]ピリジン-6-イル)-6-(ジフルオロメチル)ピコリンアミド、
1-(ジフルオロメチル)-N-(7-((3-メチルオキセタン-3-イル)メトキシ)-2-(テトラヒドロ-2H-ピラン-4-イル)イミダゾ[1,2-a]ピリジン-6-イル)-1H-ピラゾール-4-カルボキサミド、
1-(ジフルオロメチル)-N-(2-(テトラヒドロ-2H-ピラン-4-イル)イミダゾ[1,2-a]ピラジン-6-イル)-1H-ピラゾール-4-カルボキサミド、
N-(7-((3-メチルオキセタン-3-イル)メトキシ)-2-((テトラヒドロフラン-3-イル)メチル)イミダゾ[1,2-a]ピリジン-6-イル)-6-(トリフルオロメチル)ピコリンアミド、
(R)-N-(7-((3-メチルオキセタン-3-イル)メトキシ)-2-((テトラヒドロフラン-3-イル)メチル)イミダゾ[1,2-a]ピリジン-6-イル)-6-(トリフルオロメチル)ピコリンアミド、
(S)-N-(7-((3-メチルオキセタン-3-イル)メトキシ)-2-((テトラヒドロフラン-3-イル)メチル)イミダゾ[1,2-a]ピリジン-6-イル)-6-(トリフルオロメチル)ピコリンアミド、
N-(7-((3-メチルオキセタン-3-イル)メトキシ)-2-(テトラヒドロ-2H-ピラン-4-イル)イミダゾ[1,2-a]ピリジン-6-イル)-6-(トリフルオロメチル)ピコリンアミド、
6-(ジフルオロメチル)-N-(7-イソプロポキシ-2-(テトラヒドロ-2H-ピラン-4-イル)イミダゾ[1,2-a]ピリジン-6-イル)ピコリンアミド、
6-(ジフルオロメチル)-N-(7-(2-(ジメチルアミノ)エトキシ)-2-(テトラヒドロ-2H-ピラン-4-イル)イミダゾ[1,2-a]ピリジン-6-イル)ピコリンアミド、
6-(ジフルオロメチル)-N-(2-(2-ヒドロキシプロパン-2-イル)ピラゾロ[1,5-a]ピリジン-5-イル)ピコリンアミド、
5-(6-(ジフルオロメチル)ピコリンアミド)-N,N-ジメチルピラゾロ[1,5-a]ピリジン-2-カルボキサミド、
N-(2-(モルホリン-4-カルボニル)ピラゾロ[1,5-a]ピリジン-5-イル)-6-(トリフルオロメチル)ピコリンアミド、
N-(2-(1-モルホリノエチル)ピラゾロ[1,5-a]ピリジン-5-イル)-6-(トリフルオロメチル)ピコリンアミド、
N-(2-シクロプロピル-6-メトキシピラゾロ[1,5-a]ピリジン-5-イル)-6-(ジフルオロメチル)ピコリンアミド、
N-(2-シクロプロピル-7-((3-メチルオキセタン-3-イル)メトキシ)イミダゾ[1,2-a]ピリジン-6-イル)-6-(ジフルオロメチル)ピコリンアミド、
N-(2-(シクロプロピル(ヒドロキシ)メチル)-7-エトキシイミダゾ[1,2-a]ピリジン-6-イル)-6-(トリフルオロメチル)ピコリンアミド、
(S)-N-(2-(シクロプロピル(ヒドロキシ)メチル)-7-エトキシイミダゾ[1,2-a]ピリジン-6-イル)-6-(トリフルオロメチル)ピコリンアミド、及び(R)-N-(2-(シクロプロピル(ヒドロキシ)メチル)-7-エトキシイミダゾ[1,2-a]ピリジン-6-イル)-6-(トリフルオロメチル)ピコリンアミド、またはこれらの薬学的に許容される塩からなる群から選択される、態様1に記載の化合物。
[態様37]先行態様のいずれかに記載の化合物またはその薬学的に許容される塩を含む医薬組成物。
[態様38]1種以上の追加の医薬品(複数可)を更に含む、態様37に記載の医薬組成物。
[態様39]対象のiRak4により媒介される疾患を処置する方法であって、態様1~16のいずれかに記載の化合物もしくはその薬学的に許容される塩または態様37~38のいずれかに記載の医薬組成物を前記対象に投与することを含む、前記方法。
[態様40]前記iRak4により媒介される疾患が、関節リウマチ、乾癬性関節炎、変形性関節炎、全身性エリテマトーデス、ループス腎炎、強直性脊椎炎、骨粗鬆症、全身性硬化症、多発性硬化症、乾癬、I型糖尿病、II型糖尿病、炎症性腸疾患、クローン病、潰瘍性大腸炎、高IgD血症、周期性発熱症候群、クリオピリン関連周期性症候群、シュニッツラー症候群、全身型若年性特発性関節炎、成人発症スチル病、痛風、偽性痛風、SAPHO症候群、カストルマン病、敗血症、脳卒中、アテローム硬化症、セリアック病、IL-1受容体アンタゴニスト欠損症、アルツハイマー病、パーキンソン病、及びがんからなる群から選択される、態様39に記載の方法。
[態様41]前記iRakにより媒介される疾患が、自己免疫疾患、炎症性疾患、骨疾患、代謝疾患、神経疾患及び神経変性疾患及び/または神経障害及び神経変性障害、心血管疾患、アレルギー、喘息、ホルモン関連疾患、虚血性脳卒中、脳虚血、低酸素、外傷性脳損傷、慢性外傷性脳症、てんかん、多発性硬化症、パーキンソン病、ならびに筋萎縮性側索硬化症からなる群から選択される、態様39に記載の方法。

Claims (18)

  1. 式(I’):
    の化合物またはその薬学的に許容される塩であって、式中、
    は、ハロゲン、C1~5アルキル、C3~6シクロアルキル、-C1~2アルキル-C3~6シクロアルキル、C(O)NR、C1~4アルキル-NR、窒素、硫黄、及び酸素から独立して選択される1~2個のヘテロ原子を含有する4~7員の完全飽和複素環、5~6員ヘテロアリール、フェニル、-C1~2アルキル-C4~7複素環であって、前記C4~7複素環が完全飽和であっても、部分飽和であってもよく、窒素、硫黄、及び酸素から独立して選択される1~2個のヘテロ原子を含有する、前記-C1~2アルキル-C4~7複素環、-C1~2アルキル-C5~6ヘテロアリールであって、前記ヘテロアリールが、窒素、硫黄、及び酸素から独立して選択される1、2、または3個のヘテロ原子を含有する、前記-C1~2アルキル-C5~6ヘテロアリール、-C1~4アルキル-O-C1~2アルキル、-C1~2アルキル-O-C5~6ヘテロアリールであって、前記ヘテロアリールが、窒素、硫黄、及び酸素から独立して選択される1または2個のヘテロ原子を含有する、前記-C1~2アルキル-O-C5~6ヘテロアリール、5~10員の完全飽和架橋炭素環、窒素及び酸素から独立して選択される1~2個のヘテロ原子を有する5~10員の架橋複素環系、窒素及び酸素から独立して選択される1~2個のヘテロ原子を有する5~10員の縮合二環式複素環系、ならびに窒素及び酸素から独立して選択される1~2個のヘテロ原子を有する5~10員のスピロ二環式複素環系からなる群から選択され、Rは、ハロ、ニトリル、オキソ、-C(O)OH、ハロ置換C1~4アルキル、ヒドロキシ置換C1~4アルキル、C1~4アルキル、窒素及び酸素から独立して選択される1~2個のヘテロ原子を含有するC4~7複素環、C1~4アルキル-O-C1~2アルキル、ヒドロキシ、C(O)R、ならびにC1~4アルコキシから独立して選択される1、2、または3つの置換基で任意に置換されていてもよく、
    は、水素、C1~4アルキル、またはハロゲンであるか、あるいは
    及びRは、それらの間にある原子と共にまとめられて、4~7員の部分飽和炭素環または1個の窒素を有する部分飽和複素環を形成し、前記窒素はC1~4アルキルで任意に置換されていてもよく、
    及びRは、水素、ヒドロキシ置換C1~4アルキル、及びC1~4アルキルから独立して選択されるか、または
    及びRは、それらが結合している窒素と共にまとめられて、4~7員の飽和複素環であって、前記環が窒素及び酸素から選択される追加のヘテロ原子を任意に有する、前記飽和複素環を形成し、前記窒素は、C1~4アルキルで任意に置換されていてもよく、
    は、C1~4アルキル、ハロ置換C1~4アルキル、またはO-C1~4アルキルであり、
    は、
    i.窒素、酸素、及び硫黄から独立して選択される1~2個のヘテロ原子を有する5または6員のヘテロアリールであって、Rからなる群から独立して選択される1~3つの置換基で任意に置換されている、前記ヘテロアリール、
    ii.Rからなる群から独立して選択される1~3つの置換基で任意に置換されたフェニル、
    iii.1~2個の窒素原子を有する6員の部分飽和複素環であって、Rからなる群から独立して選択される1~3つの置換基で任意に置換されていてもよい、前記複素環、ならびに
    iv.窒素及び酸素から独立して選択される1、2、または3個のヘテロ原子を任意に有する8~10員の縮合二環系であって、Rからなる群から独立して選択される1~3つの置換基で任意に置換されている前記環系からなる群から選択され、
    及びXは、N、CH、及びCRから独立して選択され、ただし、X及びXのうちの少なくとも1つはCRであり、
    は、C1~4アルキル、ハロ置換C1~4アルキル、ヒドロキシ置換C1~4アルキル、ハロゲン、ニトリル、NR、-OR、ならびに窒素及び酸素から独立して選択される1または2個のヘテロ原子を含有する4~7員の部分飽和または完全飽和複素環から選択され、前記C1~4アルキル及び前記複素環は、R4aから選択される1~3つの置換基で任意に置換されており、
    4aは、各出現において、水素、オキソ、C1~4アルキル、ハロ置換C1~4アルキル、C1~4アルコキシ、及びC3~6シクロアルキルから独立して選択されるか、または2つのR4a基は、それらが結合している炭素と共にまとめられ、組み合わさって、3~8員のスピロシクロアルキルを形成してもよく、
    は、水素、C3~6シクロアルキル、窒素及び酸素から独立して選択される1もしくは2個のヘテロ原子を含有する4~7員の部分飽和もしくは完全飽和複素環、またはC1~5アルキルであり、Rで表される前記C3~6シクロアルキル、前記4~7員の部分飽和または完全飽和複素環、及び前記C1~5アルキルは、ハロゲン、ヒドロキシル、ニトリル、オキソ、NR、ハロ置換C1~4アルキル、C1~4アルコキシ、ハロ置換C1~4アルコキシ、C3~6シクロアルキル、フェニル、ならびに窒素及び酸素から選択される1または2個のヘテロ原子を含有する4~7員の部分飽和または完全飽和複素環から独立して選択される1~3つの置換基で任意に置換されており、前記C3~6シクロアルキル、フェニル、及び4~7員の複素環は、1~3つのR10で任意に置換されていてもよく、
    10は、オキソ、ハロ、ハロ置換C1~4アルキル、及びC1~4アルキルから独立して選択され、
    は、各出現において、C1~4アルキル、ニトリル、オキソ、ハロ、ハロ置換C1~4アルキル、-NR1112、C1~4アルコキシ、ハロ置換C1~4アルコキシ、C3~6シクロアルキル、C3~6シクロアルコキシ、窒素及び酸素から選択される1または2個のヘテロ原子を含有する4~7員の部分飽和または完全飽和複素環、ならびに窒素、酸素、及び硫黄から独立して選択される1~2個のヘテロ原子を有する5または6員ヘテロアリールから独立して選択され、前記C3~6シクロアルキル及びヘテロアリールは、C1~4アルキル、ヒドロキシ、及びハロゲンからなる群から独立して選択される1~2つの置換基で任意に置換されていてもよく、前記C1~4アルキル及びC1~4アルコキシは、C1~4アルコキシで任意に置換されていてもよく、
    11及びR12は、それぞれ、水素、-C(O)C1~4アルキル、及びC1~4アルキルから独立して選択されるか、あるいはR11及びR12は、組み合わさって、窒素または酸素から選択される1個の追加のヘテロ原子を任意に含有する4~6員の飽和環を形成してもよく、前記追加の窒素は、C1~4アルキルで任意に置換されていてもよく、
    ただし、XがCRであり、XがCHであり、Rがハロゲンである場合、Rは窒素及び酸素から選択される1または2個のヘテロ原子を含有する4~7員の部分飽和または完全飽和複素環ではなく、ただし、前記化合物は、
    ではない、前記化合物またはその薬学的に許容される塩。
  2. がNまたはCHである、式(Ia):
    の、あるいは
    がNまたはCHである、式(Ib):
    の、
    請求項1に記載の化合物またはその薬学的に許容される塩。
  3. 式(IIa)、(IIc)、または(IIe):
    の請求項1に記載の化合物またはその薬学的に許容される塩。
  4. 前記化合物が、以下の式:
    により表されるか、またはその薬学的に許容される塩であり、R8aが、C1~4アルキル、ハロ置換C1~4アルキル、またはハロゲンであり、
    任意に、Rが、水素、またはハロゲン、ヒドロキシル、NR、C1~4アルコキシ、フェニル、ならびに窒素及び酸素から選択される1もしくは2個のヘテロ原子を含有する4~7員の部分飽和もしくは完全飽和複素環から独立して選択される1~3つの置換基を有する任意に置換されたC1~5アルキルであってもよく、前記フェニル及び4~7員の複素環が、1~3つのR10で任意に置換されていてもよく、かつ
    10が、オキソ、ハロ、ハロ置換C1~4アルキル、及びC1~4アルキルから独立して選択されてもよい、請求項1に記載の化合物またはその薬学的に許容される塩。
  5. がC1~5アルキルである、請求項4に記載の化合物またはその薬学的に許容される塩。
  6. (i)Rが、ピリジル、オキサゾリル、ピラジニル、オキサジアゾリル、チアゾリル、ピラゾリル、イミダゾリルから選択され、前記Rが、ハロ、ハロ置換C1~4アルキル、-NR1112、及びC1~4アルキルからなる群から独立して選択される1~2つの置換基で任意に置換されている、
    (ii)Rが、ハロ、ハロ置換C1~4アルキル、-NR1112、及びC1~4アルキルからなる群から独立して選択される1~2つの置換基で任意に置換されたピリジニル-2(1H)-オンである、
    (iii)Rがフェニルであり、前記フェニルが、ハロ、ハロ置換C1~4アルキル、-NR1112、及びC1~4アルキルからなる群から独立して選択される1~2つの置換基で任意に置換されている、
    (iv)Rが、1,3-ジヒドロイソベンゾフラン、4-メチル-3,4-ジヒドロ-2H-ベンゾ[b][1,4]オキサジン、5,6-ジヒドロ-4H-ピロロ[1,2-b]ピラゾール、6,7-ジヒドロ-5H-シクロペンタ[b]ピリジン、インドリン-2-オン、2,3-ジヒドロベンゾフラン、ピラゾロ[1,5-a]ピリミジン、1-メチル-2-オキソ-1,2,3,4-テトラヒドロキノリン、3,4-ジヒドロキノリン-2(1H)-オン、及びイソクロマンからなる群から選択され、前記Rが、ハロ、ハロ置換C1~4アルキル、-NR1112、及びC1~4アルキルからなる群から独立して選択される1~2つの置換基で任意に置換されている、
    (v)Rが、窒素及び酸素から独立して選択される1~3個のヘテロ原子を含有する8~10員の縮合二環式ヘテロアリール、または窒素及び酸素から独立して選択される1~3個のヘテロ原子を含有する8~10員の縮合二環式複素環であり、Rにより表される前記8~10員の縮合二環式ヘテロアリール及び前記8~10員の縮合二環式複素環が、ハロ、ハロ置換C1~4アルキル、-NR1112、C1~4アルコキシ、及びC1~4アルキルからなる群から独立して選択される1または2つの置換基で任意に置換されている、または
    (vi)Rが、2,3-ジヒドロフロ[2,3-b]ピリジン、5,6,7,8-テトラヒドロインドリジン、2,3-ジヒドロチエノ[3,4-b][1,4]ジオキシン、6,7-ジヒドロ-5H-シクロペンタ[b]ピリジン、2,3-ジヒドロベンゾフラン、2,3-ジヒドロ-1H-ピロリジン、ピラゾロ[1,5-a]ピリジン、ピラゾロ[1,5-a]ピリミジン、及び[1,2,4]トリアゾロ[1,5-a]ピリジンから選択され、これらの各々が、ハロ、ハロ置換C1~4アルキル、-NR1112、C1~4アルコキシ、及びC1~4アルキルからなる群から独立して選択される1または2つの置換基で任意に置換されている、
    請求項1~5のいずれか1項に記載の化合物またはその薬学的に許容される塩。
  7. が、Rから独立して選択される1または2つの置換基で任意に置換されたピリジルであり、
    が、ニトリル、ハロ、C1~4アルキル、ハロ置換C1~4アルキル、C1~4アルコキシ、ハロ置換C1~4アルコキシ、C3~6シクロアルキル、C3~6シクロアルコキシ、-NR1112、ならびに窒素及び酸素から選択される1または2個のヘテロ原子を含有する4~7員の完全飽和複素環であり、前記C1~4アルキル及びC1~4アルコキシが、C1~4アルコキシで任意に置換されており、
    11及びR12が、それぞれ独立して、水素またはC1~4アルキルであり、
    任意に、Rが2-ピリジルまたは3-ピリジルであってもよく、これらの各々はRから独立して選択される1または2つの置換基で任意に置換されている、請求項1~5のいずれか1項に記載の化合物またはその薬学的に許容される塩。
  8. が、各出現において、独立して、テトラヒドロフラン、F、-CN、-CH、-CH(CH、-CHCH、-CHF-CHF、-CHF、-CFCH、-CF、-OCH、-OCH(CH、-OCHF、-OCHCF、-OCHCHF、-OCHCHOCH、-CHOCH、-O-シクロプロピル、-O-シクロブチル、シクロプロピル、または-N(CHである、請求項7に記載の化合物またはその薬学的に許容される塩。
  9. が、ハロゲン、ヒドロキシル、NR、C1~4アルコキシ、C3~6シクロアルキル、フェニル、ならびに窒素及び酸素から選択される1または2個のヘテロ原子を含有する4~7員の部分飽和または完全飽和複素環から独立して選択される1~3つの置換基を有する任意に置換されたC1~5アルキルであり、前記C3~6シクロアルキル、フェニル、及び4~7員の複素環が、1~3つのR10で任意に置換されていてもよい、式(IV):
    の請求項1に記載の化合物またはその薬学的に許容される塩。
  10. (i)Rが、C1~4アルキル、ハロゲン、ハロ置換C1~4アルキル、ヒドロキシル、及びC1~4アルコキシからなる群から独立して選択される1もしくは2つの置換基で任意に置換されたC3~6シクロアルキルであるか、またはRが、ハロゲン、ハロ置換C1~4アルキル、ヒドロキシ置換C1~4アルキル、ヒドロキシル、C1~4アルコキシ、及びC3~6シクロアルキルからなる群から独立して選択される1もしくは3つの置換基で任意に置換されているC1~5アルキルであり、前記C3~6シクロアルキルが、ハロゲン、ハロ置換C1~4アルキル、ヒドロキシル、及びC1~4アルコキシからなる群から独立して選択される1または2つの置換基で任意に置換されている、
    (ii)Rが、C1~4アルキル、ハロゲン、ハロ置換C1~4アルキル、ヒドロキシル、及びC1~4アルコキシからなる群から独立して選択される1または2つの置換基で任意に置換されたC3~6シクロアルキルである、
    (iii)Rが、ハロゲン、ハロ置換C1~4アルキル、ヒドロキシル、C1~4アルコキシ、及びC3~6シクロアルキルからなる群から独立して選択される1または3つの置換基で任意に置換されているC1~5アルキルであり、前記C3~6シクロアルキルが、ハロゲン、ハロ置換C1~4アルキル、ヒドロキシル、及びC1~4アルコキシからなる群から独立して選択される1または2つの置換基で任意に置換されている、
    (iv)Rが、C1~4アルキル、ハロゲン、ハロ置換C1~4アルキル、ヒドロキシル、及びC1~4アルコキシからなる群から独立して選択される1または2つの置換基で任意に置換されたC3~6シクロアルキルであり、
    が、C1~4アルキル及びハロ置換C1~4アルキルから独立して選択される1または2つの置換基で任意に置換されている、
    (v)Rが、窒素及び酸素から独立して選択される1~3個のヘテロ原子を含有する5~10員の架橋複素環であり、前記5~10員の架橋複素環が、C1~4アルキル、ハロゲン、ハロ置換C1~4アルキル、ヒドロキシル、及びC1~4アルコキシから独立して選択される1または3つの置換基で任意に置換されている、
    (vi)Rが、窒素及び酸素から独立して選択される1または2個のヘテロ原子を含有する6~8員架橋複素環であり、前記6~8員架橋複素環が、C1~4アルキル、ハロゲン、ハロ置換C1~4アルキル、ヒドロキシル、及びC1~4アルコキシから独立して選択される1または2つの置換基で任意に置換されており、任意に、Rが、-CH及び-CHFから独立して選択される1~3つの置換基で任意に置換されていてもよい、
    (vii)Rが、2-オキサビシクロ[2.1.1]ヘキサン-4-イル、8-オキサビシクロ[3.2.1]オクタン-3-イル、2-オキサビシクロ[2.2.1]ヘプタン-4-イル、2-オキサビシクロ[2.2.2]オクタン-4-イル、2-オキサビシクロ[3.1.1]ヘプタン-5-イルから選択され、これらの各々が、C1~4アルキル、ハロゲン、ハロ置換C1~4アルキル、ヒドロキシル、及びC1~4アルコキシから独立して選択される1~3つの置換基で任意に置換されており、任意に、Rが、-CH及び-CHFから独立して選択される1~3つの置換基で任意に置換されていてもよい、または
    (viii)Rが、ハロゲン、-C(=O)NR、C1~4アルキル、C3~6シクロアルキル、-C1~2アルキル-C3~6シクロアルキル、-C1~4アルキル-O-C1~2アルキル、-C1~2アルキル-C4~7複素環、-C1~2アルキル-C5~6ヘテロアリール、-C1~2アルキル-O-C5~6ヘテロアリール、4~6員の完全飽和複素環、5~6員ヘテロアリール、フェニル、5~6員架橋炭素環、6~8員の縮合二環式複素環、6~8員のスピロ二環式複素環、及び6~8員の架橋二環式複素環から選択され、Rが、ハロ、ヒドロキシル、ニトリル、C1~4アルキル、C1~4アルコキシ、ハロ置換C1~4アルキル、ヒドロキシル置換C1~4アルキル、C1~4アルキル-O-C1~2アルキル、-C(=O)OH、-C(=O)-C1~4アルキル、-C(=O)OC1~4アルキル、及び4~6員の複素環から独立して選択される1~3つの置換基で任意に置換されており、
    及びRが、それぞれ独立して、HまたはC1~4アルキルである、
    請求項9に記載の化合物またはその薬学的に許容される塩。
  11. が、
    (i)-Cl、-C(=O)N(CH、-CH、-CHCH、-CHF、-CHF、-CFCH、-CHCHCHOCH、-CFCHCHOCH、-CHOCHCH、-CHOCH、-C(CHCHOCH、-C(CHOH、-CHCHCHOH、-CHCHC(CHOH、-CHCHFCHOH、-CHCHOCF、-CHO-(ピリジン-2-イル)、-CH-(1,2,4-トリアゾール-1-イル)、-C(CHCN、-CH(CH)CN、-C(CHC(=O)OCH、-C(CHC(=O)OH、-CH(OH)-シクロプロピル、-CH-テトラヒドロフラン、-CH(CH)-テトラヒドロフラン、-CHF-テトラヒドロフラン、-CH-テトラヒドロピラニル、-CH-(1,4-ジオキサン-2-イル)、-CH-(2-オキソピロリジン-1-イル)、-CH-(ピリジン-2-イルオキシ)、-CH-モルホリニル;
    (ii)シクロプロピル、シクロブチル、シクロペンチル、及びシクロヘキシルから選択されるC3~6シクロアルキルであって、F、-CN、-OH、-OCH、-OCH(CH、及び-CHOHから独立して選択される1~2つの置換基で任意に置換されている、C3~6シクロアルキル;
    (iii)F、-CH、-OCH、-CN、CHF、-C(CHOH、-CHOH、又は-CHOCHで任意に置換されたビシクロ[1.1.1]ペンタン-1-イル;
    (iv)3-オキサビシクロ[4.1.0]ヘプタン-6-イル、3-オキサビシクロ[3.1.0]ヘキサン-6-イル、及び3-オキサビシクロ[3.1.0]ヘキサン-1-イルから選択される6又は7員の縮合二環式複素環;
    (v)5-オキサスピロ[2.4]ヘプタン-1-イル、6-オキサスピロ[2.5]オクタン-1-イル、及び6-オキサスピロ[3.4]オクタン-2-イルから選択される6~8員の縮合二環式複素環;
    (vi)テトラヒドロフラン-3-イル、テトラヒドロ-2H-ピラン-4-イル、テトラヒドロ-2H-ピラン-3-イル、アゼチジニル、テトラヒドロチオフェン-3-イル、ピロリジン-3-イル、2-オキソピロリジン-3-イル、ピペリジン-4-イル、1-メチル-6-オキソピペリジン-2-イル、モルホリニル、及び1,4-ジオキサン-2-イルから選択される4~6員の完全飽和複素環;
    (vii)-Fで任意に置換されたフェニル;
    (viii)-CH及び-CHFから独立して選択される1または2つの置換基で任意に置換されたピラゾリル;
    (ix)2-オキサビシクロ[2.1.1]ヘキサン-4-イル、8-オキサビシクロ[3.2.1]オクタン-3-イル、2-オキサビシクロ[2.2.1]ヘプタン-4-イル、2-オキサビシクロ[2.2.2]オクタン-4-イルから選択される6~8員の架橋二環式複素環であって、-CHから独立して選択される1~2つの置換基で任意に置換されている、6~8員の架橋二環式複素環
    から選択される、請求項1~10のいずれか1項に記載の化合物。
  12. 前記化合物が、式(V)、(VI)、(VII)、もしくは(VIII):
    で表されるか、またはそれらの薬学的に許容される塩であり、
    が、酸素及び窒素から独立して選択される1~2個のヘテロ原子を含有する6~8員の架橋複素環であり、前記6~8員の架橋複素環が、C1~4アルキル、ハロゲン、ハロ置換C1~4アルキル、ヒドロキシル、及びC1~4アルコキシから独立して選択される1または2つの置換基で任意に置換されており、
    が、ピリジル、ピリジニル-2(1H)-オン、酸素及び窒素から独立して選択される1~2個のヘテロ原子を有する9~10員の縮合二環式複素環、または酸素及び窒素から独立して選択される1~3個のヘテロ原子を有する9~10員の縮合二環式ヘテロアリールであり、Rで表される前記ピリジル、9~10員の縮合二環式複素環、及び9~10員の縮合二環式ヘテロアリールが、それぞれ、C1~4アルキル、ハロゲン、ハロ置換C1~4アルキル、ヒドロキシル、及びC1~4アルコキシから独立して選択される1~2つの置換基で任意に置換されており、
    8bが、Hまたはハロゲンであり、
    が、C1~5アルキルである、請求項1に記載の化合物またはその薬学的に許容される塩。
  13. が、2-オキサビシクロ[2.1.1]ヘキサン-4-イル、8-オキサビシクロ[3.2.1]オクタン-3-イル、2-オキサビシクロ[2.2.1]ヘプタン-4-イル、2-オキサビシクロ[2.2.2]オクタン-4-イル、2-オキサビシクロ[3.1.1]ヘプタン-5-イルから選択され、これらの各々が、メチルで任意に置換されており、
    が、2-ピリジル、3-ピリジル、ピリジニル-2(1H)-オン、2,3-ジヒドロベンゾフラン、ピラゾロ[1,5-a]ピリジン、及び[1,2,4]トリアゾロ[1,5-a]ピリジンから選択され、これらの各々が、-F、-CHF、及び-OCHから独立して選択される1~2つの置換基で任意に置換されており、
    が、-CH、-CHCH、または-C(CHである、請求項12に記載の化合物またはその薬学的に許容される塩。
  14. N-(7-エトキシ-2-エチルイミダゾ[1,2-a]ピリジン-6-イル)-6-(トリフルオロメチル)ピコリンアミド、
    N-(2-シクロプロピル-7-エトキシイミダゾ[1,2-a]ピリジン-6-イル)-6-(トリフルオロメチル)ピコリンアミド、
    N-(2-シクロプロピル-7-エトキシイミダゾ[1,2-a]ピリジン-6-イル)-6-(ジフルオロメチル)ピコリンアミド、
    N-(2-シクロプロピル-7-メトキシイミダゾ[1,2-a]ピリジン-6-イル)-6-(ジフルオロメチル)ピコリンアミド、
    N-(7-(シクロブチルメトキシ)-2-シクロプロピルイミダゾ[1,2-a]ピリジン-6-イル)-6-(ジフルオロメチル)ピコリンアミド、
    N-(2-シクロプロピル-7-((3-メチルオキセタン-3-イル)メトキシ)イミダゾ[1,2-a]ピリジン-6-イル)-6-(ジフルオロメチル)ピコリンアミド、
    N-(2-シクロプロピル-7-(2-(2-オキソピリジン-1(2H)-イル)プロポキシ)イミダゾ[1,2-a]ピリジン-6-イル)-6-(ジフルオロメチル)ピコリンアミド、
    (R)-N-(2-シクロプロピル-7-(2-(2-オキソピリジン-1(2H)-イル)プロポキシ)イミダゾ[1,2-a]ピリジン-6-イル)-6-(ジフルオロメチル)ピコリンアミド、
    6-(ジフルオロメチル)-N-(7-エトキシ-2-(1-メチル-2-オキソピペリジン-4-イル)イミダゾ[1,2-a]ピリジン-6-イル)ピコリンアミド、
    (S)-N-(2-シクロプロピル-7-(2-(2-オキソピリジン-1(2H)-イル)プロポキシ)イミダゾ[1,2-a]ピリジン-6-イル)-6-(ジフルオロメチル)ピコリンアミド、
    (S)-N-(2-シクロプロピル-7-(2-(5-オキソピロリジン-2-イル)エトキシ)イミダゾ[1,2-a]ピリジン-6-イル)-6-(ジフルオロメチル)ピコリンアミド、
    N-(7-(ベンジルオキシ)-2-シクロプロピルイミダゾ[1,2-a]ピリジン-6-イル)-6-(ジフルオロメチル)ピコリンアミド、
    N-(2-シクロプロピル-7-ヒドロキシイミダゾ[1,2-a]ピリジン-6-イル)-6-(ジフルオロメチル)ピコリンアミド、
    N-(2-シクロプロピル-7-(((2S,3S,4S)-3-エチル-4-フルオロ-5-オキソピロリジン-2-イル)メトキシ)イミダゾ[1,2-a]ピリジン-6-イル)-6-(ジフルオロメチル)ピコリンアミド、
    6-(ジフルオロメチル)-N-(7-エトキシ-2-(3-メトキシプロピル)イミダゾ[1,2-a]ピリジン-6-イル)ピコリンアミド、
    6-(ジフルオロメチル)-N-(7-エトキシ-2-(2-メトキシエチル)イミダゾ[1,2-a]ピリジン-6-イル)ピコリンアミド、
    6-(ジフルオロメチル)-N-(7-エトキシ-2-((テトラヒドロフラン-3-イル)メチル)イミダゾ[1,2-a]ピリジン-6-イル)ピコリンアミド、
    (S)-6-(ジフルオロメチル)-N-(7-エトキシ-2-((テトラヒドロフラン-3-イル)メチル)イミダゾ[1,2-a]ピリジン-6-イル)ピコリンアミド、
    (R)-6-(ジフルオロメチル)-N-(7-エトキシ-2-((テトラヒドロフラン-3-イル)メチル)イミダゾ[1,2-a]ピリジン-6-イル)ピコリンアミド、
    6-(ジフルオロメチル)-N-(7-エトキシ-2-(1-ヒドロキシ-2-メチルプロパン-2-イル)イミダゾ[1,2-a]ピリジン-6-イル)ピコリンアミド、
    N-(7-エトキシ-2-(ヒドロキシメチル)イミダゾ[1,2-a]ピリジン-6-イル)-6-(トリフルオロメチル)ピコリンアミド、
    6-(ジフルオロメチル)-N-(7-エトキシ-2-(5-オキサスピロ[2.4]ヘプタン-1-イル)イミダゾ[1,2-a]ピリジン-6-イル)ピコリンアミド、
    N-(7-エトキシ-2-(2-ヒドロキシプロパン-2-イル)イミダゾ[1,2-a]ピリジン-6-イル)-6-(トリフルオロメチル)ピコリンアミド、
    N-(7-エトキシ-2-(フルオロメチル)イミダゾ[1,2-a]ピリジン-6-イル)-6-(トリフルオロメチル)ピコリンアミド、
    6-(ジフルオロメチル)-N-(7-エトキシ-2-(3-ヒドロキシプロピル)イミダゾ[1,2-a]ピリジン-6-イル)ピコリンアミド、
    N-(2-シクロプロピル-7-(4-(2,2-ジフルオロエチル)ピペラジン-1-イル)イミダゾ[1,2-a]ピリジン-6-イル)-6-(トリフルオロメチル)ピコリンアミド、
    N-(2-シクロプロピル-7-(シクロプロピルメトキシ)イミダゾ[1,2-a]ピリジン-6-イル)-6-(ジフルオロメチル)ピコリンアミド、
    N-(2-シクロプロピル-7-(2,2,2-トリフルオロエトキシ)イミダゾ[1,2-a]ピリジン-6-イル)-6-(ジフルオロメチル)ピコリンアミド、
    6-(ジフルオロメチル)-N-(7-エトキシ-2-(3-ヒドロキシ-3-メチルブチル)イミダゾ[1,2-a]ピリジン-6-イル)ピコリンアミド、
    N-(2-シクロプロピル-8-エトキシイミダゾ[1,2-a]ピリジン-6-イル)-6-(ジフルオロメチル)ピコリンアミド、
    N-(2-シクロプロピル-7-エトキシ-3-フルオロイミダゾ[1,2-a]ピリジン-6-イル)-6-(ジフルオロメチル)ピコリンアミド、
    N-(2-シクロプロピルイミダゾ[1,2-a]ピリジン-6-イル)-6-(ジフルオロメチル)ピコリンアミド、
    N-(2-シクロプロピルイミダゾ[1,2-a]ピラジン-6-イル)-6-(ジフルオロメチル)ピコリンアミド、
    6-アセトアミド-N-(7-エトキシ-2-エチルイミダゾ[1,2-a]ピリジン-6-イル)ピコリンアミド、
    N-(2-(3,3-ジフルオロシクロブチル)-7-エトキシイミダゾ[1,2-a]ピリジン-6-イル)-6-(トリフルオロメチル)ピコリンアミド、
    N-(7-エトキシ-2-エチルイミダゾ[1,2-a]ピリジン-6-イル)-5,6-ジメチルピコリンアミド、
    N-(7-エトキシ-2-エチルイミダゾ[1,2-a]ピリジン-6-イル)-3,4-ジフルオロベンズアミド、
    N-(7-エトキシ-2-エチルイミダゾ[1,2-a]ピリジン-6-イル)-3-フルオロ-6-(トリフルオロメチル)ピコリンアミド、
    N-(7-エトキシ-2-エチルイミダゾ[1,2-a]ピリジン-6-イル)-1,3-ジヒドロイソベンゾフラン-5-カルボキサミド、
    N-(7-エトキシ-2-エチルイミダゾ[1,2-a]ピリジン-6-イル)-5,6-ジヒドロ-4H-ピロロ[1,2-b]ピラゾール-2-カルボキサミド、
    N-(7-エトキシ-2-エチルイミダゾ[1,2-a]ピリジン-6-イル)-4-メチル-3,4-ジヒドロ-2H-ベンゾ[b][1,4]オキサジン-8-カルボキサミド、
    N-(7-エトキシ-2-エチルイミダゾ[1,2-a]ピリジン-6-イル)-2,4-ジフルオロベンズアミド、
    N-(7-エトキシ-2-エチルイミダゾ[1,2-a]ピリジン-6-イル)-2-オキソインドリン-6-カルボキサミド、
    N-(7-エトキシ-2-エチルイミダゾ[1,2-a]ピリジン-6-イル)-2,3-ジヒドロベンゾフラン-6-カルボキサミド、
    N-(7-エトキシ-2-エチルイミダゾ[1,2-a]ピリジン-6-イル)イソクロマン-7-カルボキサミド、
    1-(ジフルオロメチル)-N-(7-エトキシ-2-エチルイミダゾ[1,2-a]ピリジン-6-イル)-1H-ピラゾール-3-カルボキサミド、
    N-(7-エトキシ-2-エチルイミダゾ[1,2-a]ピリジン-6-イル)-4,5-ジメチルピコリンアミド、
    5-クロロ-N-(7-エトキシ-2-エチルイミダゾ[1,2-a]ピリジン-6-イル)ピコリンアミド、
    N-(7-エトキシ-2-エチルイミダゾ[1,2-a]ピリジン-6-イル)イソクロマン-6-カルボキサミド、
    N-(7-エトキシ-2-エチルイミダゾ[1,2-a]ピリジン-6-イル)-4,5-ジメチルチアゾール-2-カルボキサミド、
    N-(7-エトキシ-2-エチルイミダゾ[1,2-a]ピリジン-6-イル)-6,7-ジヒドロ-5H-シクロペンタ[b]ピリジン-2-カルボキサミド、
    N-(7-エトキシ-2-エチルイミダゾ[1,2-a]ピリジン-6-イル)-5-フルオロ-6-(トリフルオロメチル)ピコリンアミド、
    N-(2-シクロプロピル-7-メトキシイミダゾ[1,2-a]ピリジン-6-イル)-1-メチル-2-オキソ-1,2-ジヒドロピリジン-3-カルボキサミド、
    N-(2-シクロプロピル-7-エトキシイミダゾ[1,2-a]ピリジン-6-イル)ピラゾロ[1,5-a]ピリミジン-2-カルボキサミド、
    N-(2-シクロプロピル-7-エトキシイミダゾ[1,2-a]ピリジン-6-イル)-3-(トリフルオロメチル)ベンズアミド、
    N-(7-エトキシ-2-(エトキシメチル)イミダゾ[1,2-a]ピリジン-6-イル)-6-(トリフルオロメチル)ピコリンアミド、
    N-(7-エトキシ-2-(メトキシメチル)イミダゾ[1,2-a]ピリジン-6-イル)-6-(トリフルオロメチル)ピコリンアミド、
    N-(2-(ジフルオロメチル)-7-エトキシイミダゾ[1,2-a]ピリジン-6-イル)-6-(トリフルオロメチル)ピコリンアミド、
    N-(7-エトキシ-2,3-ジメチルイミダゾ[1,2-a]ピリジン-6-イル)-6-(トリフルオロメチル)ピコリンアミド、
    N-(7-エトキシ-2-(テトラヒドロフラン-3-イル)イミダゾ[1,2-a]ピリジン-6-イル)-6-(トリフルオロメチル)ピコリンアミド、
    N-(7-エトキシ-2-((テトラヒドロフラン-2-イル)メチル)イミダゾ[1,2-a]ピリジン-6-イル)-6-(トリフルオロメチル)ピコリンアミド、
    N-(2-(アゼチジン-3-イル)-7-エトキシイミダゾ[1,2-a]ピリジン-6-イル)-6-(トリフルオロメチル)ピコリンアミド、
    N-(7-エトキシ-2-(ピロリジン-3-イル)イミダゾ[1,2-a]ピリジン-6-イル)-6-(トリフルオロメチル)ピコリンアミド、
    N-(7-エトキシ-2-(ピペリジン-4-イル)イミダゾ[1,2-a]ピリジン-6-イル)-6-(トリフルオロメチル)ピコリンアミド、
    N-(7-エトキシ-1,2,3,4-テトラヒドロイミダゾ[1,2-a:5,4-c’]ジピリジン-8-イル)-6-(トリフルオロメチル)ピコリンアミド、
    N-(7-エトキシ-2-(1-メチルアゼチジン-3-イル)イミダゾ[1,2-a]ピリジン-6-イル)-6-(トリフルオロメチル)ピコリンアミド、
    N-(7-エトキシ-2-(1-メチルピロリジン-3-イル)イミダゾ[1,2-a]ピリジン-6-イル)-6-(トリフルオロメチル)ピコリンアミド、
    N-(7-エトキシ-2-(1-メチルピペリジン-4-イル)イミダゾ[1,2-a]ピリジン-6-イル)-6-(トリフルオロメチル)ピコリンアミド、
    N-(2-(1-アセチルアゼチジン-3-イル)-7-エトキシイミダゾ[1,2-a]ピリジン-6-イル)-6-(トリフルオロメチル)ピコリンアミド、
    N-(2-(1-アセチルピロリジン-3-イル)-7-エトキシイミダゾ[1,2-a]ピリジン-6-イル)-6-(トリフルオロメチル)ピコリンアミド、
    N-(2-(1-アセチルピペリジン-4-イル)-7-エトキシイミダゾ[1,2-a]ピリジン-6-イル)-6-(トリフルオロメチル)ピコリンアミド、
    N-(2-シクロプロピル-7-エトキシイミダゾ[1,2-a]ピリジン-6-イル)-2-(2,2,2-トリフルオロエトキシ)ニコチンアミド、
    N-(2-シクロプロピル-7-エトキシイミダゾ[1,2-a]ピリジン-6-イル)-2-オキソ-1-(2,2,2-トリフルオロエチル)-1,2-ジヒドロピリジン-3-カルボキサミド、
    6-(ジフルオロメチル)-N-(7-エトキシ-2-エチルイミダゾ[1,2-a]ピリミジン-6-イル)ピコリンアミド、
    N-(7-エトキシ-2-((テトラヒドロフラン-3-イル)メチル)イミダゾ[1,2-a]ピリミジン-6-イル)-6-(トリフルオロメチル)ピコリンアミド、
    6-(ジフルオロメチル)-N-(2-エチル-8-フルオロイミダゾ[1,2-a]ピリジン-6-イル)ピコリンアミド、
    6-(ジフルオロメチル)-N-(7-エトキシ-2-(1-(2,2,2-トリフルオロエチル)アゼチジン-3-イル)イミダゾ[1,2-a]ピリジン-6-イル)ピコリンアミド、
    N-(2-(1-(2,2-ジフルオロエチル)アゼチジン-3-イル)-7-エトキシイミダゾ[1,2-a]ピリジン-6-イル)-6-(ジフルオロメチル)ピコリンアミド、
    6-(ジフルオロメチル)-N-(7-エトキシ-2-(1-(オキセタン-3-イル)アゼチジン-3-イル)イミダゾ[1,2-a]ピリジン-6-イル)ピコリンアミド、
    6-(ジフルオロメチル)-N-(7-エトキシ-2-(1-(2-メトキシエチル)アゼチジン-3-イル)イミダゾ[1,2-a]ピリジン-6-イル)ピコリンアミド、
    N-(2-(1-アセチルアゼチジン-3-イル)-7-エトキシイミダゾ[1,2-a]ピリジン-6-イル)-6-(ジフルオロメチル)ピコリンアミド、
    N-(2-((1H-1,2,4-トリアゾール-1-イル)メチル)-7-エトキシイミダゾ[1,2-a]ピリジン-6-イル)-6-(ジフルオロメチル)ピコリンアミド、
    N-(2-((1,4-ジオキサン-2-イル)メチル)-7-エトキシイミダゾ[1,2-a]ピリジン-6-イル)-6-(ジフルオロメチル)ピコリンアミド、
    6-(ジフルオロメチル)-N-(7-エトキシ-2-((1-メチル-1H-ピラゾール-3-イル)メチル)イミダゾ[1,2-a]ピリジン-6-イル)ピコリンアミド、
    6-(ジフルオロメチル)-N-(7-エトキシ-2-((2-オキソピロリジン-1-イル)メチル)イミダゾ[1,2-a]ピリジン-6-イル)ピコリンアミド、
    6-(ジフルオロメチル)-N-(7-エトキシ-2-((ピリジン-2-イルオキシ)メチル)イミダゾ[1,2-a]ピリジン-6-イル)ピコリンアミド、
    6-(ジフルオロメチル)-N-(7-エトキシ-2-((2-オキソピリジン-1(2H)-イル)メチル)イミダゾ[1,2-a]ピリジン-6-イル)ピコリンアミド、
    6-(ジフルオロメチル)-N-(7-エトキシ-2-(4-ヒドロキシテトラヒドロ-2H-ピラン-4-イル)イミダゾ[1,2-a]ピリジン-6-イル)ピコリンアミド、
    6-(ジフルオロメチル)-N-(7-エトキシ-2-(4-エトキシテトラヒドロ-2H-ピラン-4-イル)イミダゾ[1,2-a]ピリジン-6-イル)ピコリンアミド、
    1-(ジフルオロメチル)-N-(7-エトキシ-2-(3-メトキシプロピル)イミダゾ[1,2-a]ピリジン-6-イル)-1H-ピラゾール-3-カルボキサミド、
    N-(2-((1R,6R,7R)-3-オキサビシクロ[4.1.0]ヘプタン-7-イル)-7-エトキシイミダゾ[1,2-a]ピリジン-6-イル)-6-(ジフルオロメチル)ピコリンアミド、
    N-(2-シクロプロピルイミダゾ[1,2-a]ピリミジン-6-イル)-6-(トリフルオロメチル)ピコリンアミド、
    (S)-N-(7-エトキシ-2-((テトラヒドロフラン-3-イル)メチル)イミダゾ[1,2-a]ピリミジン-6-イル)-6-(トリフルオロメチル)ピコリンアミド、
    (R)-N-(7-エトキシ-2-((テトラヒドロフラン-3-イル)メチル)イミダゾ[1,2-a]ピリミジン-6-イル)-6-(トリフルオロメチル)ピコリンアミド、
    N-(7-エトキシ-2-((1r,3r)-3-ヒドロキシシクロブチル)イミダゾ[1,2-a]ピリジン-6-イル)-6-(トリフルオロメチル)ピコリンアミド、
    N-(7-エトキシ-2-((1s,3s)-3-ヒドロキシシクロブチル)イミダゾ[1,2-a]ピリジン-6-イル)-6-(トリフルオロメチル)ピコリンアミド、
    6-(ジフルオロメチル)-N-(7-エトキシ-2-(1-(ヒドロキシメチル)シクロプロピル)イミダゾ[1,2-a]ピリジン-6-イル)ピコリンアミド、
    6-(ジフルオロメチル)-N-(7-エトキシ-2-(2-フルオロ-3-ヒドロキシプロピル)イミダゾ[1,2-a]ピリジン-6-イル)ピコリンアミド、
    6-(ジフルオロメチル)-N-(7-エトキシ-2-(2-ヒドロキシプロパン-2-イル)イミダゾ[1,2-a]ピリジン-6-イル)ピコリンアミド、
    N-(2-シクロプロピル-7-(2-メトキシエトキシ)イミダゾ[1,2-a]ピリジン-6-イル)-6-(ジフルオロメチル)ピコリンアミド、
    N-(2-シクロプロピル-7-(2-モルホリノエトキシ)イミダゾ[1,2-a]ピリジン-6-イル)-6-(ジフルオロメチル)ピコリンアミド、
    N-(8-(ベンジルオキシ)-2-(テトラヒドロ-2H-ピラン-4-イル)イミダゾ[1,2-a]ピリジン-6-イル)-6-(トリフルオロメチル)ピコリンアミド、
    N-(8-ヒドロキシ-2-(テトラヒドロ-2H-ピラン-4-イル)イミダゾ[1,2-a]ピリジン-6-イル)-6-(トリフルオロメチル)ピコリンアミド、
    N-(8-メトキシ-2-テトラヒドロピラン-4-イル-イミダゾ[1,2-a]ピリジン-6-イル)-6-(トリフルオロメチル)ピコリンアミド、
    N-(8-ブロモ-2-(テトラヒドロ-2H-ピラン-4-イル)イミダゾ[1,2-a]ピリジン-6-イル)-6-(トリフルオロメチル)ピコリンアミド、
    N-(8-(3,6-ジヒドロ-2H-ピラン-4-イル)-2-(テトラヒドロ-2H-ピラン-4-イル)イミダゾ[1,2-a]ピリジン-6-イル)-6-(トリフルオロメチル)ピコリンアミド、
    6-(6-(ジフルオロメチル)ピコリンアミド)-7-エトキシ-N、N-ジメチルイミダゾ[1,2-a]ピリジン-2-カルボキサミド、
    N-(2-(1,1-ジフルオロエチル)-7-エトキシイミダゾ[1,2-a]ピリジン-6-イル)-6-(ジフルオロメチル)ピコリンアミド、
    6-(ジフルオロメチル)-N-(2-(3,3-ジフルオロプロピル)-7-エトキシイミダゾ[1,2-a]ピリジン-6-イル)ピコリンアミド、
    6-(ジフルオロメチル)-N-(7-エトキシ-2-(1-フルオロシクロプロピル)イミダゾ[1,2-a]ピリジン-6-イル)ピコリンアミド、
    N-(7-エトキシ-2-(テトラヒドロ-2H-ピラン-3-イル)イミダゾ[1,2-a]ピリジン-6-イル)-6-(トリフルオロメチル)ピコリンアミド、
    N-(2-(2,2-ジメチルテトラヒドロ-2H-ピラン-4-イル)-7-エトキシイミダゾ[1,2-a]ピリジン-6-イル)-6-(トリフルオロメチル)ピコリンアミド、
    6-(ジフルオロメチル)-N-(7-エトキシ-2-((1r,3r)-3-メトキシシクロブチル)イミダゾ[1,2-a]ピリジン-6-イル)ピコリンアミド、
    6-(ジフルオロメチル)-N-(7-エトキシ-2-((1s,3s)-3-メトキシシクロブチル)イミダゾ[1,2-a]ピリジン-6-イル)ピコリンアミド、
    6-(ジフルオロメチル)-N-(7-エトキシ-2-(テトラヒドロ-2H-ピラン-4-イル)イミダゾ[1,2-a]ピリジン-6-イル)ピコリンアミド、
    N-(2-シクロプロピル-7-エトキシイミダゾ[1,2-a]ピリジン-6-イル)-6-メトキシピコリンアミド、
    N-(2-シクロプロピル-7-エトキシイミダゾ[1,2-a]ピリジン-6-イル)-6-(トリフルオロメトキシ)ピコリンアミド、
    N-(2-シクロプロピル-7-エトキシイミダゾ[1,2-a]ピリジン-6-イル)-2,3-ジヒドロベンゾフラン-7-カルボキサミド、
    N-(2-シクロプロピル-7-エトキシイミダゾ[1,2-a]ピリジン-6-イル)-6-(トリフルオロメチル)ピラジン-2-カルボキサミド、
    6-(ジフルオロメチル)-N-(7-エトキシ-2-(モルホリノメチル)イミダゾ[1,2-a]ピリジン-6-イル)ピコリンアミド、
    N-(7-エトキシ-2-((テトラヒドロフラン-3-イル)メチル)イミダゾ[1,2-a]ピリジン-6-イル)-1-イソプロピル-1H-ピラゾール-3-カルボキサミド、
    N-(7-エトキシ-2-((テトラヒドロフラン-3-イル)メチル)イミダゾ[1,2-a]ピリジン-6-イル)-1-(2,2,2-トリフルオロエチル)-1H-ピラゾール-3-カルボキサミド、
    1-(ジフルオロメチル)-N-(7-エトキシ-2-((テトラヒドロフラン-3-イル)メチル)イミダゾ[1,2-a]ピリジン-6-イル)-1H-ピラゾール-3-カルボキサミド、
    1-(2,2-ジフルオロエチル)-N-(7-エトキシ-2-((テトラヒドロフラン-3-イル)メチル)イミダゾ[1,2-a]ピリジン-6-イル)-1H-ピラゾール-3-カルボキサミド、
    6-(ジフルオロメチル)-N-(7-エトキシ-2-(モルホリン-4-カルボニル)イミダゾ[1,2-a]ピリジン-6-イル)ピコリンアミド、
    6-(ジフルオロメチル)-N-(7-エトキシ-2-(3-フルオロビシクロ[1.1.1]ペンタン-1-イル)イミダゾ[1,2-a]ピリジン-6-イル)ピコリンアミド、
    6-(ジフルオロメチル)-N-(7-エトキシ-2-(1-メトキシシクロプロピル)イミダゾ[1,2-a]ピリジン-6-イル)ピコリンアミド、
    6-(ジフルオロメチル)-N-(7-エトキシ-2-(3-(2-ヒドロキシプロパン-2-イル)ビシクロ[1.1.1]ペンタン-1-イル)イミダゾ[1,2-a]ピリジン-6-イル)ピコリンアミド、
    6-(ジフルオロメチル)-N-(7-エトキシ-2-(3-(ヒドロキシメチル)ビシクロ[1.1.1]ペンタン-1-イル)イミダゾ[1,2-a]ピリジン-6-イル)ピコリンアミド、
    N-(2-シクロプロピル-7-エトキシイミダゾ[1,2-a]ピリジン-6-イル)-6-モルホリノピコリンアミド、
    N-(2-シクロプロピル-7-エトキシイミダゾ[1,2-a]ピリジン-6-イル)-6-(1-ヒドロキシシクロブチル)ピコリンアミド、
    N-(7-エトキシ-2-(テトラヒドロ-2H-ピラン-4-イル)イミダゾ[1,2-a]ピリジン-6-イル)-6-メトキシピコリンアミド、
    N-(7-エトキシ-2-((テトラヒドロフラン-3-イル)メチル)イミダゾ[1,2-a]ピリジン-6-イル)-6-メトキシピコリンアミド、
    6-(ジフルオロメチル)-N-(7-エトキシ-2-((1r,3r)-3-イソプロポキシシクロブチル)イミダゾ[1,2-a]ピリジン-6-イル)ピコリンアミド、
    6-(ジフルオロメチル)-N-(7-エトキシ-2-((1s,3s)-3-イソプロポキシシクロブチル)イミダゾ[1,2-a]ピリジン-6-イル)ピコリンアミド、
    N-(7-エトキシ-2-(1-(テトラヒドロフラン-3-イル)エチル)イミダゾ[1,2-a]ピリジン-6-イル)-6-(トリフルオロメチル)ピコリンアミド、
    N-(7-エトキシ-2-((R)-1-((S)-テトラヒドロフラン-3-イル)エチル)イミダゾ[1,2-a]ピリジン-6-イル)-6-(トリフルオロメチル)ピコリンアミド、
    N-(7-エトキシ-2-((S)-1-((R)-テトラヒドロフラン-3-イル)エチル)イミダゾ[1,2-a]ピリジン-6-イル)-6-(トリフルオロメチル)ピコリンアミド、
    N-(7-エトキシ-2-((S)-1-((S)-テトラヒドロフラン-3-イル)エチル)イミダゾ[1,2-a]ピリジン-6-イル)-6-(トリフルオロメチル)ピコリンアミド、
    N-(7-エトキシ-2-((R)-1-((R)-テトラヒドロフラン-3-イル)エチル)イミダゾ[1,2-a]ピリジン-6-イル)-6-(トリフルオロメチル)ピコリンアミド、
    N-(7-エトキシ-2-(フルオロ(テトラヒドロフラン-3-イル)メチル)イミダゾ[1,2-a]ピリジン-6-イル)-6-(トリフルオロメチル)ピコリンアミド、
    N-(7-エトキシ-2-((R)-フルオロ((R)-テトラヒドロフラン-3-イル)メチル)イミダゾ[1,2-a]ピリジン-6-イル)-6-(トリフルオロメチル)ピコリンアミド、
    N-(7-エトキシ-2-((S)-フルオロ((S)-テトラヒドロフラン-3-イル)メチル)イミダゾ[1,2-a]ピリジン-6-イル)-6-(トリフルオロメチル)ピコリンアミド、
    N-(7-エトキシ-2-((S)-フルオロ((R)-テトラヒドロフラン-3-イル)メチル)イミダゾ[1,2-a]ピリジン-6-イル)-6-(トリフルオロメチル)ピコリンアミド、
    N-(7-エトキシ-2-((R)-フルオロ((S)-テトラヒドロフラン-3-イル)メチル)イミダゾ[1,2-a]ピリジン-6-イル)-6-(トリフルオロメチル)ピコリンアミド、
    6-(ジフルオロメチル)-N-(7-エトキシ-2-(1-メチル-2-オキソピロリジン-3-イル)イミダゾ[1,2-a]ピリジン-6-イル)ピコリンアミド、
    N-(8-エトキシ-2-(テトラヒドロ-2H-ピラン-4-イル)イミダゾ[1,2-a]ピラジン-6-イル)-6-メトキシピコリンアミド、
    6-(ジフルオロメチル)-N-(2-エチル-[1,2,4]トリアゾロ[1,5-a]ピリジン-6-イル)ピコリンアミド、
    N-(2-(1,1-ジフルオロ-3-メトキシプロピル)-7-エトキシイミダゾ[1,2-a]ピリジン-6-イル)-6-(ジフルオロメチル)ピコリンアミド、
    6-(ジフルオロメチル)-N-(7-エトキシ-2-(テトラヒドロチオフェン-3-イル)イミダゾ[1,2-a]ピリジン-6-イル)ピコリンアミド、
    6-(ジフルオロメチル)-N-(7-エトキシ-2-((テトラヒドロ-2H-ピラン-4-イル)メチル)イミダゾ[1,2-a]ピリジン-6-イル)ピコリンアミド、
    N-(2-(2-シアノプロパン-2-イル)-7-エトキシイミダゾ[1,2-a]ピリジン-6-イル)-6-(ジフルオロメチル)ピコリンアミド、
    6-(ジフルオロメチル)-N-(7-エトキシ-2-(3-メトキシビシクロ[1.1.1]ペンタン-1-イル)イミダゾ[1,2-a]ピリジン-6-イル)ピコリンアミド、
    N-(7-エトキシ-2-((テトラヒドロフラン-3-イル)メチル)イミダゾ[1,2-a]ピリジン-6-イル)-4-メチルオキサゾール-2-カルボキサミド、
    N-(7-エトキシ-2-((テトラヒドロフラン-3-イル)メチル)イミダゾ[1,2-a]ピリジン-6-イル)-1-メチル-1H-ピラゾール-3-カルボキサミド、
    N-(7-エトキシ-2-((テトラヒドロフラン-3-イル)メチル)イミダゾ[1,2-a]ピリジン-6-イル)-2-(1-メチル-1H-ピラゾール-4-イル)オキサゾール-4-カルボキサミド、
    N-(2-((1R,5S,6s)-3-オキサビシクロ[3.1.0]ヘキサン-6-イル)-7-エトキシイミダゾ[1,2-a]ピリジン-6-イル)-6-(ジフルオロメチル)ピコリンアミド、
    N-(7-エトキシ-2-((テトラヒドロフラン-3-イル)メチル)イミダゾ[1,2-a]ピリジン-6-イル)-1-メチル-1H-1,2,4-トリアゾール-3-カルボキサミド、
    N-(7-エトキシ-2-((テトラヒドロフラン-3-イル)メチル)イミダゾ[1,2-a]ピリジン-6-イル)-1-メチル-1H-イミダゾール-4-カルボキサミド、
    N-(7-エトキシ-2-((テトラヒドロフラン-3-イル)メチル)イミダゾ[1,2-a]ピリジン-6-イル)-3-メチル-1,2,4-オキサジアゾール-5-カルボキサミド、
    N-(7-エトキシ-2-((テトラヒドロフラン-3-イル)メチル)イミダゾ[1,2-a]ピリジン-6-イル)-2-メチルオキサゾール-4-カルボキサミド、
    N-(2-(4-シアノテトラヒドロ-2H-ピラン-4-イル)-7-エトキシイミダゾ[1,2-a]ピリジン-6-イル)-6-(ジフルオロメチル)ピコリンアミド、
    1-(ジフルオロメチル)-N-(7-((3-メチルオキセタン-3-イル)メトキシ)-2-(テトラヒドロ-2H-ピラン-4-イル)イミダゾ[1,2-a]ピリジン-6-イル)-1H-ピラゾール-4-カルボキサミド、
    1-(ジフルオロメチル)-N-(2-(テトラヒドロ-2H-ピラン-4-イル)イミダゾ[1,2-a]ピラジン-6-イル)-1H-ピラゾール-4-カルボキサミド、
    N-(7-((3-メチルオキセタン-3-イル)メトキシ)-2-((テトラヒドロフラン-3-イル)メチル)イミダゾ[1,2-a]ピリジン-6-イル)-6-(トリフルオロメチル)ピコリンアミド、
    (R)-N-(7-((3-メチルオキセタン-3-イル)メトキシ)-2-((テトラヒドロフラン-3-イル)メチル)イミダゾ[1,2-a]ピリジン-6-イル)-6-(トリフルオロメチル)ピコリンアミド、
    (S)-N-(7-((3-メチルオキセタン-3-イル)メトキシ)-2-((テトラヒドロフラン-3-イル)メチル)イミダゾ[1,2-a]ピリジン-6-イル)-6-(トリフルオロメチル)ピコリンアミド、
    N-(7-((3-メチルオキセタン-3-イル)メトキシ)-2-(テトラヒドロ-2H-ピラン-4-イル)イミダゾ[1,2-a]ピリジン-6-イル)-6-(トリフルオロメチル)ピコリンアミド、
    6-(ジフルオロメチル)-N-(7-イソプロポキシ-2-(テトラヒドロ-2H-ピラン-4-イル)イミダゾ[1,2-a]ピリジン-6-イル)ピコリンアミド、
    6-(ジフルオロメチル)-N-(7-(2-(ジメチルアミノ)エトキシ)-2-(テトラヒドロ-2H-ピラン-4-イル)イミダゾ[1,2-a]ピリジン-6-イル)ピコリンアミド、
    -(2-(シクロプロピル(ヒドロキシ)メチル)-7-エトキシイミダゾ[1,2-a]ピリジン-6-イル)-6-(トリフルオロメチル)ピコリンアミド、
    (S)-N-(2-(シクロプロピル(ヒドロキシ)メチル)-7-エトキシイミダゾ[1,2-a]ピリジン-6-イル)-6-(トリフルオロメチル)ピコリンアミド、及び
    (R)-N-(2-(シクロプロピル(ヒドロキシ)メチル)-7-エトキシイミダゾ[1,2-a]ピリジン-6-イル)-6-(トリフルオロメチル)ピコリンアミド
    からなる群から選択される、請求項1に記載の化合物またはその薬学的に許容される塩。
  15. 請求項1~14のいずれか1項に記載の化合物またはその薬学的に許容される塩を含む医薬組成物であって、任意に、1種以上の追加の医薬品(複数可)を更に含んでもよい、医薬組成物。
  16. 対象のIRAK4により媒介される疾患を処置する方法における使用のための、請求項15に記載の医薬組成物。
  17. 前記IRAK4により媒介される疾患が、関節リウマチ、乾癬性関節炎、変形性関節炎、全身性エリテマトーデス、ループス腎炎、強直性脊椎炎、骨粗鬆症、全身性硬化症、多発性硬化症、乾癬、I型糖尿病、II型糖尿病、炎症性腸疾患、クローン病、潰瘍性大腸炎、高IgD血症、周期性発熱症候群、クリオピリン関連周期性症候群、シュニッツラー症候群、全身型若年性特発性関節炎、成人発症スチル病、痛風、偽性痛風、SAPHO症候群、カストルマン病、敗血症、脳卒中、アテローム硬化症、セリアック病、IL-1受容体アンタゴニスト欠損症、アルツハイマー病、パーキンソン病、がんからなる群から選択される、請求項16に記載の医薬組成物。
  18. 前記IRAK4により媒介される疾患が、自己免疫疾患、炎症性疾患、骨疾患、代謝疾患、神経疾患及び神経変性疾患及び/または神経障害及び神経変性障害、心血管疾患、アレルギー、喘息、ホルモン関連疾患、虚血性脳卒中、脳虚血、低酸素、外傷性脳損傷、慢性外傷性脳症、てんかん、多発性硬化症、パーキンソン病、ならびに筋萎縮性側索硬化症からなる群から選択される、請求項16に記載の医薬組成物。
JP2021541206A 2019-01-18 2020-01-17 イミダゾ[1,2-a]ピリジニル誘導体及び疾患の処置におけるその使用 Active JP7576552B2 (ja)

Applications Claiming Priority (3)

Application Number Priority Date Filing Date Title
US201962794098P 2019-01-18 2019-01-18
US62/794,098 2019-01-18
PCT/US2020/014126 WO2020150626A1 (en) 2019-01-18 2020-01-17 Imidazo[1,2-a]pyridinyl derivatives as irak4 inhibitors

Publications (3)

Publication Number Publication Date
JP2022517410A JP2022517410A (ja) 2022-03-08
JPWO2020150626A5 JPWO2020150626A5 (ja) 2023-01-27
JP7576552B2 true JP7576552B2 (ja) 2024-10-31

Family

ID=69724065

Family Applications (1)

Application Number Title Priority Date Filing Date
JP2021541206A Active JP7576552B2 (ja) 2019-01-18 2020-01-17 イミダゾ[1,2-a]ピリジニル誘導体及び疾患の処置におけるその使用

Country Status (5)

Country Link
US (1) US20220089592A1 (ja)
EP (1) EP3911652A1 (ja)
JP (1) JP7576552B2 (ja)
MA (1) MA54755A (ja)
WO (1) WO2020150626A1 (ja)

Families Citing this family (22)

* Cited by examiner, † Cited by third party
Publication number Priority date Publication date Assignee Title
CA3119773A1 (en) 2018-11-30 2020-06-04 Kymera Therapeutics, Inc. Irak degraders and uses thereof
GB201904373D0 (en) * 2019-03-29 2019-05-15 Galapagos Nv Novel compounds and pharamaceutical compositions thereof for the treatment of inflammatory disorders
GB201904375D0 (en) * 2019-03-29 2019-05-15 Galapagos Nv Novel compounds and pharmaceutical compositions thereof for the treatment of inflammatory disorders
GB201904374D0 (en) * 2019-03-29 2019-05-15 Galapagos Nv Novel compunds and pharmaceutical composistions thereof for the treatment of inflammatory disorders
WO2020259626A1 (zh) * 2019-06-26 2020-12-30 南京明德新药研发有限公司 作为irak4抑制剂的咪唑并吡啶类化合物
MX2021015995A (es) 2019-06-28 2022-03-11 Kymera Therapeutics Inc Degradadores de cinasas asociadas al receptor de interleucina-1 (irak) y usos de los mismos.
US12558427B2 (en) 2019-07-17 2026-02-24 Kymera Therapeutics, Inc. IRAK degraders and uses thereof
US12551564B2 (en) 2019-12-10 2026-02-17 Kymera Therapeutics, Inc. IRAK degraders and uses thereof
CN115052627A (zh) 2019-12-17 2022-09-13 凯麦拉医疗公司 Irak降解剂和其用途
AR124451A1 (es) * 2020-12-22 2023-03-29 Biogen Ma Inc DERIVADOS DE IMIDAZO[1,2-a]PIRIDINILO Y SU USO EN EL TRATAMIENTO DE ENFERMEDADES
AU2021409544A1 (en) * 2020-12-22 2023-07-06 Biogen Ma Inc. 2h-indazole derivatives as irak4 inhibitors and their use in the treatment of disease
WO2022135338A1 (zh) * 2020-12-25 2022-06-30 南京明德新药研发有限公司 酰胺噁唑类化合物
CA3202360A1 (en) 2020-12-30 2022-07-07 Nello Mainolfi Irak degraders and uses thereof
CN112724079A (zh) * 2021-02-04 2021-04-30 康化(上海)新药研发有限公司 一种6-甲氧基吡啶甲酸甲酯的合成方法
JP2024525580A (ja) 2021-07-07 2024-07-12 バイオジェン・エムエイ・インコーポレイテッド Irak4タンパク質の分解をターゲティングするための化合物
TW202330546A (zh) * 2021-12-31 2023-08-01 香港商愛科諾生物醫藥(香港)有限公司 具有irak4抑制活性的化合物,包含其的藥物組合物,及其應用
WO2024020522A1 (en) * 2022-07-22 2024-01-25 Arvinas Operations, Inc. Compounds and methods for the targeted degradation of irak-4
US20240124450A1 (en) 2022-09-21 2024-04-18 Pfizer Inc. Novel SIK Inhibitors
WO2024067845A1 (zh) * 2022-09-29 2024-04-04 武汉人福创新药物研发中心有限公司 作为irak4降解剂的咪唑并吡啶类化合物及其用途
CN121464131A (zh) * 2022-12-21 2026-02-03 深蓝治疗有限公司 Mllt1和mllt3抑制剂化合物
EP4389747A1 (en) * 2022-12-21 2024-06-26 Dark Blue Therapeutics Ltd Imidazo[1,2-a]pyridine and imidazo[1,2-a]pyrazine derivatives as mllt1 and mllt3 inhibitors
CN115959976A (zh) * 2022-12-30 2023-04-14 安徽诺全药业有限公司 一种甲氧基取代双环戊烷衍生物的制备方法

Citations (4)

* Cited by examiner, † Cited by third party
Publication number Priority date Publication date Assignee Title
WO2005016928A1 (ja) 2003-08-15 2005-02-24 Banyu Pharmaceutical Co., Ltd. イミダゾピリジン誘導体
WO2013042137A1 (en) 2011-09-19 2013-03-28 Aurigene Discovery Technologies Limited Bicyclic heterocycles as irak4 inhibitors
JP2016530231A (ja) 2013-06-25 2016-09-29 エフ.ホフマン−ラ ロシュ アーゲーF. Hoffmann−La Roche Aktiengesellschaft 脊髄性筋萎縮を処置するための化合物
JP2017520570A (ja) 2014-06-25 2017-07-27 エフ.ホフマン−ラ ロシュ アーゲーF. Hoffmann−La Roche Aktiengesellschaft 脊髄性筋萎縮症を処置するためのイミダゾ[1,2−a]ピラジン−1−イルベンズアミド化合物

Family Cites Families (10)

* Cited by examiner, † Cited by third party
Publication number Priority date Publication date Assignee Title
ES2282275T3 (es) * 2000-08-01 2007-10-16 Societe De Conseils De Recherches Et D'applications Scientifiques (S.C.R.A.S.) Derivados de imidazolilo.
CA2514733A1 (en) 2003-02-28 2004-09-16 Transform Pharmaceuticals, Inc. Pharmaceutical co-crystal compositions of drugs such as carbamazepine, celecoxib, olanzapine, itraconazole, topiramate, modafinil, 5-fluorouracil, hydrochlorothiazide, acetaminophen, aspirin, flurbiprofen, phenytoin and ibuprofen
WO2011036461A1 (en) * 2009-09-24 2011-03-31 Centro Nacional De Investigaciones Oncόlogicas (Cnio) Fused imidazo [3, 2 - d] pyrazines as pi3 kinase inhibitors
CN102796103A (zh) * 2011-05-23 2012-11-28 南京英派药业有限公司 6-(芳基甲酰)咪唑并[1,2-a]嘧啶和6-(芳基甲酰)[1,2,4]三唑并[4,3-a]嘧啶作为Hedgehog抑制剂及其应用
GB201321730D0 (en) * 2013-12-09 2014-01-22 Ucb Pharma Sa Therapeutic agents
PT3466955T (pt) * 2014-01-13 2021-01-29 Aurigene Discovery Tech Ltd Método de preparação de derivados de oxazolo[4,5-b] piridina e tiazolo[4,5-b] piridina como inibidores de irak-4 para o tratamento do cancro
US9981910B2 (en) 2016-10-07 2018-05-29 Abbvie S.Á.R.L. Substituted pyrrolidines and methods of use
CN110835338A (zh) * 2018-08-17 2020-02-25 浙江海正药业股份有限公司 咪唑并吡啶类衍生物及其制备方法和其在医药上的用途
GB201904375D0 (en) * 2019-03-29 2019-05-15 Galapagos Nv Novel compounds and pharmaceutical compositions thereof for the treatment of inflammatory disorders
EP3990454A1 (en) * 2019-06-27 2022-05-04 Biogen MA Inc. Imidazo[1,2-a]pyridinyl derivatives and their use in the treatment of disease

Patent Citations (4)

* Cited by examiner, † Cited by third party
Publication number Priority date Publication date Assignee Title
WO2005016928A1 (ja) 2003-08-15 2005-02-24 Banyu Pharmaceutical Co., Ltd. イミダゾピリジン誘導体
WO2013042137A1 (en) 2011-09-19 2013-03-28 Aurigene Discovery Technologies Limited Bicyclic heterocycles as irak4 inhibitors
JP2016530231A (ja) 2013-06-25 2016-09-29 エフ.ホフマン−ラ ロシュ アーゲーF. Hoffmann−La Roche Aktiengesellschaft 脊髄性筋萎縮を処置するための化合物
JP2017520570A (ja) 2014-06-25 2017-07-27 エフ.ホフマン−ラ ロシュ アーゲーF. Hoffmann−La Roche Aktiengesellschaft 脊髄性筋萎縮症を処置するためのイミダゾ[1,2−a]ピラジン−1−イルベンズアミド化合物

Also Published As

Publication number Publication date
JP2022517410A (ja) 2022-03-08
US20220089592A1 (en) 2022-03-24
EP3911652A1 (en) 2021-11-24
MA54755A (fr) 2021-11-24
WO2020150626A1 (en) 2020-07-23

Similar Documents

Publication Publication Date Title
JP7576552B2 (ja) イミダゾ[1,2-a]ピリジニル誘導体及び疾患の処置におけるその使用
JP7576581B2 (ja) イミダゾ[1,2-a]ピリジニル誘導体及び疾患の処置におけるそれらの使用
JP7001682B2 (ja) 置換1H-イミダゾ[4,5-b]ピリジン-2(3H)-オン及びGLUN2B受容体調節因子としてのそれらの使用
KR102319857B1 (ko) P2x7 조절제
IL274938B1 (en) New compounds and their pharmaceutical preparations for the treatment of diseases
CN114585609B (zh) 2h-吲唑衍生物及其在疾病治疗中的用途
ES2976515T3 (es) Compuestos y composiciones para tratar afecciones asociadas con la actividad del receptor APJ
CA2979024A1 (en) Fused bicyclic heteroaryl derivatives having activity as phd inhibitors
WO2016064957A1 (en) Bicyclic heteroaryl amine compounds as pi3k inhibitors
JP2023510874A (ja) 置換ピラゾロ-ピリミジンおよびその使用
JP2025516586A (ja) Tyk2阻害剤
CN116867781A (zh) 作为irak4抑制剂的咪唑并[1,2-a]吡啶衍生物及其在治疗疾病中的用途
JP2025523848A (ja) チロシンキナーゼ2阻害剤及びその使用
CN119866338A (zh) 酪氨酸激酶2抑制剂及其用途
KR20260022448A (ko) 디히드로피리미딘-2,4(1h,3h)-디온을 함유하는 폴리시클릭 유도체 및 이의 약학적 조성물, 이의 제조 방법 및 이의 용도
EA047455B1 (ru) ПРОИЗВОДНЫЕ ИМИДАЗО[1,2-а]ПИРИДИНИЛА И ИХ ПРИМЕНЕНИЕ В ЛЕЧЕНИИ ЗАБОЛЕВАНИЙ

Legal Events

Date Code Title Description
A521 Request for written amendment filed

Free format text: JAPANESE INTERMEDIATE CODE: A523

Effective date: 20230117

A621 Written request for application examination

Free format text: JAPANESE INTERMEDIATE CODE: A621

Effective date: 20230117

A977 Report on retrieval

Free format text: JAPANESE INTERMEDIATE CODE: A971007

Effective date: 20231225

A131 Notification of reasons for refusal

Free format text: JAPANESE INTERMEDIATE CODE: A131

Effective date: 20240111

A521 Request for written amendment filed

Free format text: JAPANESE INTERMEDIATE CODE: A523

Effective date: 20240411

A131 Notification of reasons for refusal

Free format text: JAPANESE INTERMEDIATE CODE: A131

Effective date: 20240613

A521 Request for written amendment filed

Free format text: JAPANESE INTERMEDIATE CODE: A523

Effective date: 20240913

TRDD Decision of grant or rejection written
A01 Written decision to grant a patent or to grant a registration (utility model)

Free format text: JAPANESE INTERMEDIATE CODE: A01

Effective date: 20240930

A61 First payment of annual fees (during grant procedure)

Free format text: JAPANESE INTERMEDIATE CODE: A61

Effective date: 20241021

R150 Certificate of patent or registration of utility model

Ref document number: 7576552

Country of ref document: JP

Free format text: JAPANESE INTERMEDIATE CODE: R150