JP7253233B2 - フィルタ装置、フィルタプログラム、フィルタ設計プログラム、参照信号生成装置及び参照信号生成プログラム - Google Patents
フィルタ装置、フィルタプログラム、フィルタ設計プログラム、参照信号生成装置及び参照信号生成プログラム Download PDFInfo
- Publication number
- JP7253233B2 JP7253233B2 JP2019039430A JP2019039430A JP7253233B2 JP 7253233 B2 JP7253233 B2 JP 7253233B2 JP 2019039430 A JP2019039430 A JP 2019039430A JP 2019039430 A JP2019039430 A JP 2019039430A JP 7253233 B2 JP7253233 B2 JP 7253233B2
- Authority
- JP
- Japan
- Prior art keywords
- transfer function
- reference signal
- controller
- output signal
- input
- Prior art date
- Legal status (The legal status is an assumption and is not a legal conclusion. Google has not performed a legal analysis and makes no representation as to the accuracy of the status listed.)
- Active
Links
- 230000007274 generation of a signal involved in cell-cell signaling Effects 0.000 title claims description 28
- 230000006870 function Effects 0.000 claims description 261
- 238000012546 transfer Methods 0.000 claims description 191
- 238000004364 calculation method Methods 0.000 claims description 30
- 238000011156 evaluation Methods 0.000 claims description 24
- 238000013461 design Methods 0.000 claims description 17
- 230000004044 response Effects 0.000 claims description 14
- 238000006243 chemical reaction Methods 0.000 claims description 13
- 238000010586 diagram Methods 0.000 description 17
- 238000012795 verification Methods 0.000 description 8
- 238000004088 simulation Methods 0.000 description 7
- 238000000034 method Methods 0.000 description 5
- 230000005540 biological transmission Effects 0.000 description 4
- 238000004891 communication Methods 0.000 description 2
- 230000000694 effects Effects 0.000 description 2
- 238000012545 processing Methods 0.000 description 2
- 230000032683 aging Effects 0.000 description 1
- 230000000368 destabilizing effect Effects 0.000 description 1
- 230000014509 gene expression Effects 0.000 description 1
- 230000002093 peripheral effect Effects 0.000 description 1
- 238000005070 sampling Methods 0.000 description 1
Images
Landscapes
- Feedback Control In General (AREA)
Description
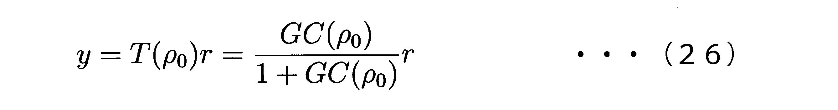
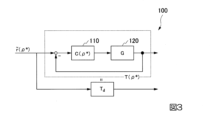
図3の上下のブロックの出力が等しくなるように、
y0=T(ρ*)r(~)(ρ*)=Tdr(~)(ρ*)
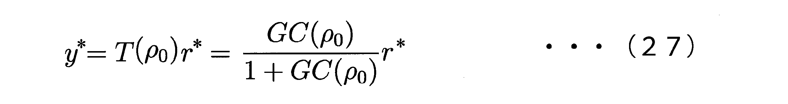
とし、T(ρ*)≒Tdとみなすと、T(ρ*)は、制御対象Gと制御器C(ρ*)からなる閉ループ系であるから、C(ρ*)を実装し、本来の参照信号rを印加することで、
y(ρ*)=GC(ρ*)/(1+GC(ρ*))r≒Tdr
となり、ρ*を用いた閉ループ系の応答y(ρ*)が所望の応答Tdrとなる。
よって、仮想制御器の伝達関数C(ρ*)は、パラメータρ*により与えられる。また、目標伝達関数Tdと、仮想制御器の伝達関数C(ρ*)と、制御対象120の伝達関数Gとの関係は、図3に示すような関係となり、数式で表現すると、後述する式(24)のような関係となる。
Claims (15)
- 制御対象に入力される入力信号を取得し、前記入力信号の入力に応じて前記制御対象から出力される出力信号を取得する入出力信号取得部と、
前記制御対象を制御している実装済制御器の伝達関数のパラメータを前記入力信号及び前記出力信号に基づくデータ駆動制御により更新して仮想制御器の伝達関数を演算する伝達関数演算部と、
前記制御対象の伝達関数、前記実装済制御器の伝達関数及び前記仮想制御器の伝達関数を使用して前記制御対象及び前記実装済制御器を含む閉ループ系に入力される更新前参照信号を前記制御対象に目標出力信号又は前記出力信号よりも前記目標出力信号に近似している近似目標出力信号を出力させる更新後参照信号に変換する参照信号変換部と、
を備えるフィルタ装置。 - コンピュータに、
制御対象に入力される入力信号を取得し、前記入力信号の入力に応じて前記制御対象から出力される出力信号を取得する入出力信号取得機能と、
前記制御対象を制御している実装済制御器の伝達関数のパラメータを前記入力信号及び前記出力信号に基づくデータ駆動制御により更新して仮想制御器の伝達関数を演算する伝達関数演算機能と、
前記制御対象の伝達関数、前記実装済制御器の伝達関数及び前記仮想制御器の伝達関数を使用して前記制御対象及び前記実装済制御器を含む閉ループ系に入力される更新前参照信号を前記制御対象に目標出力信号又は前記出力信号よりも前記目標出力信号に近似している近似目標出力信号を出力させる更新後参照信号に変換する参照信号変換機能と、
を実現させるためのフィルタプログラム。 - コンピュータに、
制御対象に入力される入力信号を取得し、前記入力信号の入力に応じて前記制御対象から出力される出力信号を取得する入出力信号取得機能と、
前記制御対象を制御している実装済制御器の伝達関数のパラメータを前記入力信号及び前記出力信号に基づくデータ駆動制御により更新して仮想制御器の伝達関数を演算する伝達関数演算機能と、
前記制御対象の伝達関数、前記実装済制御器の伝達関数及び前記仮想制御器の伝達関数を使用して前記制御対象及び前記実装済制御器を含む閉ループ系に入力される更新前参照信号を前記制御対象に目標出力信号又は前記出力信号よりも前記目標出力信号に近似している近似目標出力信号を出力させる更新後参照信号に変換するフィルタを設計するフィルタ設計機能と、
を実現させるためのフィルタ設計プログラム。 - 制御対象に入力される入力信号を取得し、前記入力信号の入力に応じて前記制御対象から出力される出力信号を取得する入出力信号取得部と、
前記制御対象を制御している実装済制御器の伝達関数のパラメータを前記入力信号及び前記出力信号に基づくデータ駆動制御により更新して仮想制御器の伝達関数を演算する伝達関数演算部と、
前記制御対象の伝達関数、前記実装済制御器の伝達関数及び前記仮想制御器の伝達関数を使用して前記制御対象及び前記実装済制御器を含む閉ループ系に入力される更新前参照信号から前記制御対象に目標出力信号又は前記出力信号よりも前記目標出力信号に近似している近似目標出力信号を出力させる更新後参照信号を生成する参照信号生成部と、
を備える参照信号生成装置。 - コンピュータに、
制御対象に入力される入力信号を取得し、前記入力信号の入力に応じて前記制御対象から出力される出力信号を取得する入出力信号取得機能と、
前記制御対象を制御している実装済制御器の伝達関数のパラメータを前記入力信号及び前記出力信号に基づくデータ駆動制御により更新して仮想制御器の伝達関数を演算する伝達関数演算機能と、
前記制御対象の伝達関数、前記実装済制御器の伝達関数及び前記仮想制御器の伝達関数を使用して前記制御対象及び前記実装済制御器を含む閉ループ系に入力される更新前参照信号から前記制御対象に目標出力信号又は前記出力信号よりも前記目標出力信号に近似している近似目標出力信号を出力させる更新後参照信号を生成する参照信号生成機能と、
を実現させるための参照信号生成プログラム。
Priority Applications (1)
| Application Number | Priority Date | Filing Date | Title |
|---|---|---|---|
| JP2019039430A JP7253233B2 (ja) | 2019-03-05 | 2019-03-05 | フィルタ装置、フィルタプログラム、フィルタ設計プログラム、参照信号生成装置及び参照信号生成プログラム |
Applications Claiming Priority (1)
| Application Number | Priority Date | Filing Date | Title |
|---|---|---|---|
| JP2019039430A JP7253233B2 (ja) | 2019-03-05 | 2019-03-05 | フィルタ装置、フィルタプログラム、フィルタ設計プログラム、参照信号生成装置及び参照信号生成プログラム |
Publications (2)
| Publication Number | Publication Date |
|---|---|
| JP2020144506A JP2020144506A (ja) | 2020-09-10 |
| JP7253233B2 true JP7253233B2 (ja) | 2023-04-06 |
Family
ID=72354157
Family Applications (1)
| Application Number | Title | Priority Date | Filing Date |
|---|---|---|---|
| JP2019039430A Active JP7253233B2 (ja) | 2019-03-05 | 2019-03-05 | フィルタ装置、フィルタプログラム、フィルタ設計プログラム、参照信号生成装置及び参照信号生成プログラム |
Country Status (1)
| Country | Link |
|---|---|
| JP (1) | JP7253233B2 (ja) |
Citations (2)
| Publication number | Priority date | Publication date | Assignee | Title |
|---|---|---|---|---|
| JP2009237916A (ja) | 2008-03-27 | 2009-10-15 | Yaskawa Electric Corp | サーボ制御装置 |
| WO2016092872A1 (ja) | 2014-12-11 | 2016-06-16 | 富士電機株式会社 | 制御装置、そのプログラム、プラント制御方法 |
Family Cites Families (1)
| Publication number | Priority date | Publication date | Assignee | Title |
|---|---|---|---|---|
| JP5430535B2 (ja) * | 2010-10-25 | 2014-03-05 | 本田技研工業株式会社 | プラントの制御装置 |
-
2019
- 2019-03-05 JP JP2019039430A patent/JP7253233B2/ja active Active
Patent Citations (2)
| Publication number | Priority date | Publication date | Assignee | Title |
|---|---|---|---|---|
| JP2009237916A (ja) | 2008-03-27 | 2009-10-15 | Yaskawa Electric Corp | サーボ制御装置 |
| WO2016092872A1 (ja) | 2014-12-11 | 2016-06-16 | 富士電機株式会社 | 制御装置、そのプログラム、プラント制御方法 |
Also Published As
| Publication number | Publication date |
|---|---|
| JP2020144506A (ja) | 2020-09-10 |
Similar Documents
| Publication | Publication Date | Title |
|---|---|---|
| US10120396B2 (en) | Control device for machine apparatus and gain determination method for friction compensation | |
| US10935939B2 (en) | Machine learning device, servo control apparatus, servo control system, and machine learning method | |
| JP2005070940A (ja) | Pidパラメータ調整装置 | |
| CN108885787B (zh) | 训练图像修复模型的方法、图像修复方法、装置、介质及设备 | |
| JP6740279B2 (ja) | 調整装置及び調整方法 | |
| EP3304817B1 (en) | Interaction of devices in a networked environment | |
| JP2020064439A (ja) | 制御モデル同定方法、制御モデル同定装置及びプログラム | |
| JP2021081786A (ja) | 推論システム、推論装置、推論方法及び推論プログラム | |
| JP7253233B2 (ja) | フィルタ装置、フィルタプログラム、フィルタ設計プログラム、参照信号生成装置及び参照信号生成プログラム | |
| CN108388136B (zh) | 一种具有非线性输入的柔性弦线系统的振动控制方法 | |
| JP2016164697A (ja) | 位置制御システム | |
| Ordóñez et al. | Adaptive control for a class of nonlinear systems with a time-varying structure | |
| JP2017208012A (ja) | 制御装置、水中航走体、制御方法およびプログラム | |
| JP2019133626A (ja) | 情報処理方法及び情報処理システム | |
| KR20210022696A (ko) | 피드백 제어 방법, 및 피드백 제어 장치 | |
| JPH09136698A (ja) | 航空機舵面のサーボ制御システム | |
| Nguyen et al. | More efficient interpolating control | |
| JP2017182179A (ja) | 制御システム | |
| Grimble | Reduced‐order non‐linear generalised minimum variance control for quasi‐linear parameter varying systems | |
| Kirange et al. | Optimising SMIB system stability: FOPID controller tuning via Harris hawks optimisation | |
| CN116075782B (zh) | 参数调整装置及参数调整方法 | |
| KR102419020B1 (ko) | 시선 안정화 제어 장치 및 제어 방법 | |
| Coral-Enriquez et al. | An extended state repetitive observer formulation for periodic/polynomial signal rejection in feedback control schemes: H. Coral-Enriquez et al. | |
| JP6838454B2 (ja) | 制御方法、制御装置及び制御プログラム | |
| KR102890676B1 (ko) | 사용자 프롬프트 기반 이미지 생성 방법 및 그 시스템 |
Legal Events
| Date | Code | Title | Description |
|---|---|---|---|
| A621 | Written request for application examination |
Free format text: JAPANESE INTERMEDIATE CODE: A621 Effective date: 20220301 |
|
| A977 | Report on retrieval |
Free format text: JAPANESE INTERMEDIATE CODE: A971007 Effective date: 20230220 |
|
| TRDD | Decision of grant or rejection written | ||
| A01 | Written decision to grant a patent or to grant a registration (utility model) |
Free format text: JAPANESE INTERMEDIATE CODE: A01 Effective date: 20230307 |
|
| A61 | First payment of annual fees (during grant procedure) |
Free format text: JAPANESE INTERMEDIATE CODE: A61 Effective date: 20230317 |
|
| R150 | Certificate of patent or registration of utility model |
Ref document number: 7253233 Country of ref document: JP Free format text: JAPANESE INTERMEDIATE CODE: R150 |


























































