JP2012156232A - 油入電気機器の診断方法 - Google Patents

油入電気機器の診断方法 Download PDF

Info

Publication number
JP2012156232A
JP2012156232A JP2011012821A JP2011012821A JP2012156232A JP 2012156232 A JP2012156232 A JP 2012156232A JP 2011012821 A JP2011012821 A JP 2011012821A JP 2011012821 A JP2011012821 A JP 2011012821A JP 2012156232 A JP2012156232 A JP 2012156232A
Authority
JP
Japan
Prior art keywords
oil
filled electrical
dbds
insulating
risk
Prior art date
Legal status (The legal status is an assumption and is not a legal conclusion. Google has not performed a legal analysis and makes no representation as to the accuracy of the status listed.)
Granted
Application number
JP2011012821A
Other languages
English (en)
Other versions
JP5442646B2 (ja
Inventor
Kota Mizuno
康太 水野
Satoru Toyama
悟 外山
Junji Tanimura
純二 谷村
Fukutaro Kato
福太郎 加藤
Takeshi Amimoto
剛 網本
Eiichi Nagao
栄一 永尾
Noboru Hosokawa
登 細川
Current Assignee (The listed assignees may be inaccurate. Google has not performed a legal analysis and makes no representation or warranty as to the accuracy of the list.)
Mitsubishi Electric Corp
Original Assignee
Mitsubishi Electric Corp
Priority date (The priority date is an assumption and is not a legal conclusion. Google has not performed a legal analysis and makes no representation as to the accuracy of the date listed.)
Filing date
Publication date
Application filed by Mitsubishi Electric Corp filed Critical Mitsubishi Electric Corp
Priority to JP2011012821A priority Critical patent/JP5442646B2/ja
Publication of JP2012156232A publication Critical patent/JP2012156232A/ja
Application granted granted Critical
Publication of JP5442646B2 publication Critical patent/JP5442646B2/ja
Expired - Fee Related legal-status Critical Current
Anticipated expiration legal-status Critical

Links

Images

Landscapes

  • Housings And Mounting Of Transformers (AREA)

Abstract

【課題】油入電気機器内の絶縁油に浸漬されたコイルの絶縁紙等の表面における硫化銅の生成量をより正確に予測し、油入電気機器の異常発生の危険度を的確に診断できる方法を提供すること。
【解決手段】油入電気機器の異常発生の危険度を評価する油入電気機器の診断方法であって、
前記油入電気機器内の絶縁油を分析する第1ステップと、前記第1ステップで得られた分析結果に基いて、前記油入電気機器内における異常発生の危険度を評価する第2ステップとを含み、前記第1ステップにおいて、絶縁油中のパラフィン炭素濃度と、ジベンジルジスルフィドおよび/またはジベンジルジスルフィドから生成するラジカルの反応生成物の濃度とを測定することを特徴とする、油入電気機器の診断方法。
【選択図】図1

Description

本発明は、変圧器等の油入電気機器の診断方法に関するものであり、より詳しくは油入電気機器内における絶縁物への硫化銅の生成を予測することで、油入電気機器の異常発生の危険度を診断する方法に関する。
変圧器等の硫化腐食は、変圧器材料の銅と絶縁油中の硫黄成分との反応により導電性の硫化銅が生成することで生じる。この硫化銅は半導体であるため、絶縁物に付着すれば絶縁性能が低下する。特に大型変圧器などではコイル絶縁のための絶縁物として絶縁紙を使用するため、この絶縁紙に硫化銅が付着したときはコイル間で短絡が発生し、変圧器が破壊される。
発明者らは、硫化銅生成にかかる反応メカニズムについて鋭意研究した結果、第一段階として絶縁油中に添加されたジベンジルジスルフィド(DBDS)がコイル銅に吸着する反応が起こり、次に、第二段階としてDBDSがコイル銅と反応しジベンジルジスルフィド−銅錯体(DBDS−Cu錯体)を生成する反応が起こり、さらに、第三段階としてDBDS−Cu錯体がベンジルラジカルおよびベンジルスルフェニルラジカルと硫化銅へと分解する反応が起こることがわかった(非特許文献1:S. Toyama, J. Tanimura, N. Yamada, E. Nagao, T. Amimoto, "Highly Sensitive Detection Method of Dibenzyl Disulfide and the Elucidation of the Mechanism of Copper Sulfide Generation in Insulating Oil", 2009年4月, IEEE TDEI Vol16, No.2, pp509-515)。
かかる知見に基づき、特許文献1(特開2010−10439号公報)、特許文献2(国際公開第2010/073748号)には、稼働中の既設変圧器から絶縁油を採取し、ジベンジルジスルフィドやその分解物、副生成物等を分析することにより、油入電気機器における硫化銅の生成を予測し、油入電気機器の異常発生の危険度を診断する方法が開示されている。
しかし、特許文献1および2に開示された方法を用いることにより、油入電気機器内に生成した硫化銅量などを予測することはできるが、それだけで、油入電気機器の異常が発生する可能性を的確に診断することはできない。油入電気機器内に生成する硫化銅の量が同じであっても、それがコイル銅表面に付着する割合と絶縁紙表面に付着する割合によって、油入電気機器の異常(絶縁破壊)が発生する可能性は異なるからである。
例えば、絶縁油にはラジカル系の酸化防止剤である2,6−ジ−t−ブチル−4−メチルフェノール(DBPC)が頻繁に添加されているが、この場合、コイル銅表面に付着する硫化銅の量が減少し、絶縁紙表面での硫化銅の生成量が増加することが、本発明者らの研究により判明している。これは、上述のDBDS−Cu錯体がベンジルラジカルおよびベンジルスルフェニルラジカルと硫化銅へと分解する反応が起こった瞬間に、DBPCが硫化銅の近傍にあれば、硫化銅とDBPCがラジカル的に結合して錯体を形成し、絶縁油中に溶解されることで銅板表面への硫化銅の付着量が減少し、結果的に絶縁紙への硫化銅の付着量が増加するためであると考えられる。
特開2010−10439号公報 国際公開第2010/073748号
S. Toyama, J. Tanimura, N. Yamada, E. Nagao, T. Amimoto, "Highly Sensitive Detection Method of Dibenzyl Disulfide and the Elucidation of the Mechanism of Copper Sulfide Generation in Insulating Oil", 2009年4月, IEEE TDEI Vol16, No.2, pp509-515
上記の問題点に鑑み、本発明は、油入電気機器内の絶縁油に浸漬されたコイルの絶縁紙等の表面における硫化銅の生成量をより正確に予測し、油入電気機器の異常発生の危険度を的確に診断できる方法を提供することを目的とする。
本発明は、油入電気機器の異常発生の危険度を評価する油入電気機器の診断方法であって、
前記油入電気機器内の絶縁油を分析する第1ステップと、
前記第1ステップで得られた分析結果に基いて、前記油入電気機器内における異常発生の危険度を評価する第2ステップとを含み、
前記第1ステップにおいて、絶縁油中のパラフィン炭素濃度と、ジベンジルジスルフィドおよび/またはジベンジルジスルフィドから生成するラジカルの反応生成物の濃度とを測定することを特徴とする、油入電気機器の診断方法である。
前記第1ステップにおいて、さらに、ジ−t−ブチル−パラクレゾールおよび/またはジ−t−ブチル−パラクレゾールから生成するラジカルの反応生成物を測定することが好ましい。
前記ジベンジルジスルフィドから生成するラジカルの反応生成物は、ベンズアルデヒド、ベンジルアルコール、ビベンジル、ジベンジルスルフィドおよびジベンジルスルホキシドからなる群から選択される少なくとも1種の化合物であることが好ましい。
前記第1ステップにおいて、ジベンジルジスルフィドから生成するラジカルとジ−t−ブチル−パラクレゾールから生成するラジカルとの反応生成物を測定することが好ましい。
前記第2ステップにおいて、前記第1ステップで測定されたパラフィン炭素濃度およびジベンジルジスルフィドおよび/またはジベンジルジスルフィドから生成するラジカルの反応生成物の濃度が、共に基準値よりも高い場合は、前記油入電気機器内における異常発生の危険度が高いと評価することが好ましい。
また、本発明は、油入電気機器内における硫化銅生成の危険度を評価するための油入電気機器の診断装置であって、
前記油入電気機器内の絶縁油を分析するための分析ユニットと、
前記分析ユニットで得られた分析結果に基いて、前記油入電気機器における異常発生の危険度を診断する診断ユニットとを含み、
前記分析ユニットは、前記絶縁油中のパラフィン炭素濃度と、ジベンジルジスルフィドおよび/またはジベンジルジスルフィドから生成するラジカルの反応生成物の濃度とを測定するためのものであることを特徴とする、油入電気機器の診断装置にも関する。
本発明の診断方法によれば、既設の油入電気機器(変圧器など)から採取した絶縁油の分析において、ジベンジルジスルフィドの濃度だけでなくパラフィン炭素濃度を測定することにより、油入電気機器内の絶縁油に浸漬されたコイルの絶縁紙等の表面における硫化銅生成の可能性を予測し、油入電気機器の異常発生の危険度を的確に評価できるという、従来にない顕著な効果が奏される。
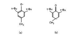
試験例1における%CPと絶縁紙表面での硫化銅生成速度の関係を示すグラフである。 試験例2における%CPと絶縁紙表面での硫化銅生成速度の関係を示すグラフである。 ジベンジルジスルフィドの消費量と、ジベンジルジスルフィドが消費されることにより生成する化合物の総和との関係を示すグラフである。 (a)はDBPCから生成するラジカルの一例を示す化学式である。(b)はDBPCから生成するラジカルの別の例を示す化学式である。 ベンジルラジカルとDBPCの反応で生成する分子量310の化合物の一例を示す化学式である。 本発明の実施の形態4による油入電気機器の診断装置の構成図である。 図6に示した油入電気機器の構成例を示す断面図である。 コイルを構成する複数の巻線層のうちの1つを示した平面図である。 図8に示した巻線層のA−A線に沿った断面を示した断面図である。
上述のとおり、硫化銅生成のメカニズムは、第一段階として、ジベンジルジスルフィド(DBDS)が銅板に吸着する反応が起こり、第二段階として、DBDSが銅と反応してDBDS−Cu錯体を生成する反応が起こり、第三段階として、DBDS−Cu錯体がベンジルラジカルおよびベンジルスルフェニルラジカルと硫化銅へと分解する反応が起こることが分かっている。
これらの硫化銅生成メカニズムに関与する化合物のうち、硫化銅だけが絶縁油に不溶で
ある。このため、銅板表面で硫化銅が生成してしまえば、当該硫化銅が絶縁紙に移行することはあり得ない。
一方、DBDS−Cu錯体は、錯体であることから油溶性を呈するため、銅板表面から絶縁紙へと移行し、絶縁紙表面に吸着され得る。このDBDS−Cu錯体が、絶縁紙表面でベンジルラジカルおよびベンジルスルフェニルラジカルと硫化銅へと分解する反応が起こった場合は、絶縁紙表面に硫化銅が生成する。
このため、DBDS−Cu錯体の溶解性が高い絶縁油を用いた場合は、絶縁紙表面における硫化銅の生成量が増加し、DBDS−Cu錯体の溶解性が低い絶縁油を用いた場合は、絶縁紙表面における硫化銅の生成量が減少する。
本発明は、油入電気機器内の絶縁油が、DBDS−Cu錯体の溶解性が高いものか、低いものかを分析することにより、絶縁紙等への硫化銅付着による油入電気機器の異常発生の危険度を的確に診断する方法である。
絶縁油の組成は、油全体を構成している炭素数に対するパラフィン鎖中の炭素原子の含有率(重量%)であるパラフィン炭素濃度(%CP)、ナフテン環中の炭素原子の含量率(重量%)であるナフテン炭素濃度(%CN)および、芳香環中の炭素原子の含量率(重量%)である芳香族炭素濃度(%CA)で表され、それらの値は、絶縁油の原料である原油の産地や精製方法により異なる。これらの組成によってDBDS−Cu錯体の溶解性は異なり、DBDSの含有量が同じ絶縁油であっても、絶縁紙への硫化銅付着量は異なるものと考えられる。
本発明者らは、鋭意検討した結果、絶縁油中のパラフィン炭素濃度(%CP)は、DBDS−Cu錯体の溶解性と相関性があり、絶縁紙表面における硫化銅の生成量と相関性があることを見出した。
また、DBDS−Cu錯体が銅板表面でラジカル的に分解した瞬間に、他のラジカルが硫黄元素の近傍にあれば、硫黄元素と他のラジカルがラジカル的に結合し、硫黄を含む錯体へと戻ることが予想される。これにより、銅板表面に生成する硫化銅の量が減少し、油溶性の錯体の量が増加するため、絶縁紙表面での硫化銅の生成量が増加すると考えられる。すなわち、DBDS由来のラジカル以外の他のラジカルが絶縁油中に共存する場合に、絶縁紙表面での硫化銅の生成量が増加するものと予想される。
このような他のラジカルとして、硫黄元素近傍に安定、且つ、多量に存在すると考えれるジ−t−ブチル−パラクレゾール(DBPC)などのラジカル系の酸化防止剤が考えられる。したがって、DBPC(および/またはDBPCから生成するラジカルの反応生成物)を測定し、DBPCの影響を考慮して油入電気機器の異常発生の危険度を評価することにより、より的確な油入電気機器の診断を行なうことができる。通常、酸化防止剤として用いられるDBPCは、2,6−ジ−t−ブチル−パラクレゾールである。
(実施の形態1)
本発明の油入電気機器の診断方法の一実施形態について説明する。本実施形態の診断方法は、油入電気機器内におけるコイルの絶縁紙等の表面での硫化銅生成に起因する異常発生の危険度を評価する油入電気機器の診断方法であり、
前記油入電気機器内の絶縁油を分析する第1ステップと、
前記第1ステップで得られた分析結果に基づいて、前記油入電気機器内における異常発生の危険度を評価する第2ステップとを含んでいる。
第1ステップにおいては、絶縁油中のパラフィン炭素濃度と、DBDSおよびDBPCの濃度とを測定する。パラフィン炭素濃度の分析方法としては、絶縁油の屈折率、密度、粘度等のデータから間接的に%CPなどを推定する方法であるn−d−M環分析法(ASTM D3238)を用いることができる。DBDSおよびDBPCの濃度は、例えばガスクロマトグラフ/質量分析装置を用いれば、0.1ppmまで定量することができる。また、DBDSは非特許文献1記載の方法を用いて検出することができる。
第2ステップにおいて、第1ステップ測定したパラフィン炭素濃度が所定の基準値よりも高く、DBDSおよび/またはDBDSから生成するラジカルの反応生成物の濃度が一定値よりも高ければ、油入電気機器内の絶縁紙等における硫化銅生成の可能性が高いと評価し、油入電気機器における異常発生の危険度が高いと評価する。
本発明においては、既設の油入電気機器(変圧器など)から採取した絶縁油の分析において、DBDSだけでなくパラフィン炭素濃度も測定することにより、油入電気機器内の絶縁油に浸漬されたコイル等の絶縁紙表面における硫化銅生成の危険度を、正確に評価することが可能となる。
本実施形態では、さらに、DBPCも測定し、DBPCの影響も加味することで、油入電気機器内の絶縁紙表面における硫化銅生成による異常発生の危険度を、より的確に評価することが可能となる。
(実施の形態2)
本実施形態は、第1ステップ(絶縁油の分析ステップ)において、DBDSおよびDBPCに代えて、DBDSから生じるラジカルの反応生成物およびDBPCの濃度を測定する点において、実施の形態1とは異なるが、それ以外は、実施の形態1と同様の診断方法である。
絶縁油中のDBDSとDBPCは、絶縁油の変圧器内での使用によって徐々に消費される。このため、使用前にDBPCおよびDBDSを含んでいた絶縁油であっても、絶縁油の長期使用後にDBDSおよびDBPCのみを測定した場合には、DBDSおよびDBPCが検出されない場合がある。このような場合には、高リスクと診断されるべきところを、誤ってリスクが低いと診断される可能性がある。
本実施形態は、DBDSを測定する代わりに、DBDSが消費されることにより生成する化合物(DBDSから生成するラジカルの反応生成物)を検出することで、このような誤った判断を回避することができる。
DBDSから生成するラジカルの反応生成物としては、例えば、ベンズアルデヒド、ベンジルアルコール、ビベンジル、ジベンジル(モノ)スルフィド、ジベンジルスルホキシドが挙げられる。これらの化合物は、例えば、ガスクロマトグラフ/質量分析法を用いて分析することができる。
図3に、後述の試験例1の試料油A−1における、DBDSの減少量(消費量)とこれらの反応生成物(ベンズアルデヒド、ベンジルアルコール、ビベンジル、ジベンジル(モノ)スルフィドおよびジベンジルスルホキシド)の総量(図3において、副生成物生成量と記載)との関係を示す。図3に示されるように、これらの反応生成物の総量(副生成物生成量)とDBDSの減少量とは相関がある。このため、DBDSが検出されない場合であってもこれらの化合物が検出されればDBDSが添加されていたと判断できる。
なお、これらの化合物は、個々の含有量としてもDBDS減少量との相関があるため、これらの化合物の少なくとも1種を測定することにより、総量を用いなくともDBDSが存在していたことを証明し得る。
また、DBPCを測定する代わりに、DBPCとペルオキシラジカルの反応生成物を適当な分析方法(例えば、ガスクロマトグラフ質量分析装置を用いる方法)により測定することで、使用開始時に電気絶縁油にDBPCが添加されていたかどうかを判断することもできる。DBPCは、容易に図4に示すようなラジカルとなり、ペルオキシラジカルなどのラジカルと反応することは広く知られている。
(実施の形態3)
本実施形態は、第1ステップ(絶縁油の分析ステップ)において、DBDSおよびDBPCに代えて、DBDSから生成するラジカルとDBPCから生じるラジカルとの反応生成物を測定する点において、実施の形態1とは異なるが、それ以外は、実施の形態1と同様の診断方法である。
なお、DBDSから生成するラジカルとDBPCから生じるラジカルとの反応生成物を測定することは、本発明の診断方法において「DBDSから生成するラジカルの反応生成物と、DBPCから生成するラジカルの反応生成物とを測定する」ことに相当する。すなわち、「DBDSから生成するラジカルの反応生成物と、DBPCから生成するラジカルの反応生成物とを測定する」とは、DBDSから生成するラジカル同士の反応生成物や、DBPCから生成するラジカル同士の反応生成物を検出する場合だけでなく、DBDSから生成するラジカルとDBPCから生成するラジカルとの反応生成物を測定する場合も包含する。
DBDSとDBPCが同時に添加されていた場合、電気絶縁油をガスクロマトグラフ/質量分析器(GC/MS)で分析すると、分子量が310の化合物が検出される。この分子量310の化合物は、例えば、4−ベンジル‐2,6‐ジ−t−ブチル−4−メチル−2,5−シクロヘキサジエノン(化学式を図5に示す)であると考えられる。該化合物は、DBPCから生成するラジカルとDBDSから生じるラジカルであるベンジルラジカルとの反応生成物である。該化合物の検出だけで、DBPCおよびDBDSを検出する実施の形態1と同様に、油入電気機器内における硫化銅の生成の危険度を評価することができる。
本実施形態の診断方法によれば、絶縁油の長期使用によって、DBDSおよびDBPCが硫化銅などの生成のために消費されていても、実施の形態1と同様に油入電気機器内の絶縁紙に硫化銅が付着する危険性が高いことを判断できる。また、1種類の化合物の測定のみによって簡便に油入電気機器の診断を行なうことができる。
なお、本発明の診断方法においては、例えば、絶縁油中のDBDSとDBPCを検出し、さらに4−ベンジル‐2,6‐ジ−t−ブチル−4−メチル−2,5−シクロヘキサジエノンなどのDBDSから生成するラジカルとDBPCから生成するラジカルとの反応生成物を検出することにより、油入電気機器内における硫化銅生成の危険度を評価してもよい。この場合、使用前の絶縁油中におけるDBDSおよびDBPCの濃度をより正確に推定することができるため、油入電気機器内における絶縁紙表面での硫化銅生成の危険度をより正確に評価することができる。
(実施の形態4)
本実施形態は、上述の実施形態における油入電気機器の診断方法を実現するための診断装置の一実施形態である。図6に、本実施形態の診断装置の構成図を示す。図6を参照して、診断装置101は、配管2と、タンク3と、採油装置4と、前処理装置5と、分析ユニット6と、診断ユニット7と、表示装置8とを備える。
図7は、図6に示した油入電気機器の構成例を示す断面図である。図7を参照して、油入電気機器1はたとえば変圧器であり、タンク50と、鉄心51,52と、コイル53と、冷却器54と、絶縁油55とを備える。
鉄心51,52と、コイル53とはタンク50に収納される。コイル53は、鉄心51,52に囲まれている。タンク50の内部は絶縁油55で満たされている。したがってコイル53は絶縁油55に浸されている。
絶縁油55はポンプ56によって油入電気機器1内を循環する。図7中の矢印によって示されるように、絶縁油55は、タンク50から出て、冷却器54により冷却される。冷却された絶縁油55はタンク50に戻る。絶縁油55は、たとえば鉱油、合成油などである。
コイル53は、一方向に積層された複数の巻線層によって構成される。図8は、コイルを構成する複数の巻線層のうちの1つを示した平面図である。図9は、図8に示した巻線層のA−A線に沿った断面を示した断面図である。
図8および図9を参照して、巻線層53Pは、紙巻導体53Lによって構成される。紙巻導体53Lは、同一平面内で螺旋状に巻かれている。紙巻導体53Lは、銅を含む導体53Mと、導体53Mを被覆する絶縁紙53Nとを有する。絶縁紙53Nはセルロース分
子を含む。
図6に戻り、タンク3は配管2によって油入電気機器1に接続される。油入電気機器1内から絶縁油55が採取される際には、油入電気機器1内の絶縁油の一部が配管2を通り、タンク3に流入する。採油装置4は、たとえばポンプであり、タンク3内の絶縁油を採取する。タンク3の絶縁油は分析ユニット6による分析に用いられる。前処理装置5は、タンク3内の絶縁油が分析ユニット6に送られる前に、絶縁油の前処理を行なう。分析ユニット6では、上述のような絶縁油についての分析が行われる。
診断ユニット7は、たとえばコンピュータにより構成されるとともに、その内部に記憶されたマップおよびプログラムに基づいて演算処理を実行する。具体的には、診断ユニット7は、分析ユニット6から絶縁油の分析値を受けて、油入電気機器電気の異常発生の危険度を診断する。
表示装置8は、診断ユニット7の診断結果、すなわち油入電気機器の異常発生の危険度を図示しない画面に表示する。これにより診断装置101による診断結果を把握することが可能になる。
以下、本発明の診断方法に関して、絶縁油(変圧器油)中に含まれるパラフィン炭素濃度およびDBDSおよびDBPCに由来する化合物の量と、絶縁紙表面での硫化銅の生成との関係を確認した試験の結果を示す。
(試験例1)
まず、ASTM D 1275Bで腐食性の硫黄を含まないことを確認済みの鉱油系変圧器油(試料油A、試料油B、試料油C)を3種類準備した。なお、n−d−M環分析法により、試料油Aの%CPは44.5%、試料油Bの%CPは49.1%、試料油Cの%CPは51.9%であることを確認した。
次に、これらの変圧器油の各々にDBDSを100ppm添加する。この変圧器油の各々を試料油A−1、B−1、C−1とする。この試料油A−1、B−1、C−1を用いて、IEC(国際電気標準会議)規格のIEC62535に準拠した方法により硫化銅の生成に関する試験を行った。すなわち、これらの試料油を15グラムと、クラフト紙を一層巻いた銅板(30mm×7.5mm×1.5mm)とを30ccの内容積を持つ瓶に封入し、シリコンゴム栓を施した後に150℃で24〜144時間の条件で加熱する。
図1に、%CPと絶縁紙表面での硫化銅生成速度の関係を示す。図1に示されるように、DBPCを含有しない絶縁油を用いた本試験例においても、%CPと硫化銅生成速度との間には良好な相関性が見られた。
図1で得られた直線がx軸と交わる点は硫化銅生成速度がゼロになるパラフィン炭素濃度を示す(%CP=41.9%)。このようなパラフィン炭素濃度は、本発明の診断方法におけるパラフィン炭素濃度の基準値とすることができる。すなわち、パラフィン炭素濃度がこの基準値以下である絶縁油は、一定量のDBDSを含有していても、絶縁紙表面に硫化銅が生成する蓋然性は低く、安全である(油入電気機器の異常発生の危険度は低い)と評価できる。他方、パラフィン炭素濃度がこの基準値よりも高い絶縁油は、一定量のDBDSを含有していれば、絶縁紙表面に硫化銅が生成する蓋然性が高い(油入電気機器の異常発生の危険度が高い)と評価できる。
なお、このような評価を行う際には、絶縁油中のDBDSの濃度をあらかじめ設定した基準値と比較した結果を考慮することにより、より的確な評価を行うことができる。DBDSの基準値は、例えば、上記パラフィン炭素濃度の基準値と同様に、あらかじめDBDSの添加量と硫化銅生成速度との関係を求める予備的試験を行い、その結果に基づいて設定することができる。
したがって、本発明の診断方法を用いれば、DBDSを含有する絶縁油について、より高精度に油入電気機器の異常発生の危険度を評価できることがわかる。
なお、DBDSの濃度は、ガスクロマトグラフ/質量分析装置などを用いれば、0.1ppmまで定量をすることができ、例えば、非特許文献1に記載の方法を用いて検出することができる。
(試験例2)
試験例1で用いた試料油A−1、B−1、C−1の各々に、さらに、DBPC(2,6−ジ−t−ブチル−パラクレゾール)を0.4重量%添加した油を試料油A−2、B−2、C−2とした。試料油A−2、B−2、C−2について、試験例1と同様にして、IEC62535に準拠した方法により硫化銅の生成に関する試験を行った。
図2に、%CPと絶縁紙表面での硫化銅生成速度の関係を示す。図2に示されるように%CPと硫化銅生成速度の関係は良好な直線性を示す。
図2で得られた直線がx軸と交わる点は、硫化銅生成速度がゼロになるパラフィン炭素濃度を示す(%CP=32.2%)。このようなパラフィン炭素濃度は、本発明の診断方法におけるパラフィン炭素濃度の基準値とすることができる。すなわち、パラフィン炭素濃度がこの基準値以下である絶縁油は、一定量のDBDSおよびDBPCを含有していても、絶縁紙表面に硫化銅が生成する蓋然性は低く、安全である(油入電気機器の異常発生の危険度は低い)と評価できる。他方、パラフィン炭素濃度がこの基準値よりも高い絶縁油は、一定量のDBDSおよびDBPCを含有していれば、絶縁紙表面に硫化銅が生成する蓋然性が高い(油入電気機器の異常発生の危険度が高い)と評価できる。
なお、このような評価を行う際には、絶縁油中のDBDSおよびDBPCの濃度をあらかじめ設定した基準値と比較した結果を考慮することにより、より的確な評価を行うことができる。DBDSおよびDBPCの基準値は、例えば、上記パラフィン炭素濃度の基準値と同様に、あらかじめDBDSおよびDBPCの添加量と硫化銅生成速度との関係を求める予備的試験を行い、その結果に基づいて設定することができる。
したがって、本発明の診断方法を用いれば、DBDSおよびDBPCを含有する絶縁油についても、より高精度に油入電気機器の異常発生の危険度を評価できることがわかる。
なお、DBDSおよびDBPCの濃度は、ガスクロマトグラフ/質量分析装置などを用いれば、0.1ppmまで定量をすることができる。また、DBDSは、例えば、非特許文献1記載の方法を用いて検出することができる。
今回開示された実施の形態および実施例はすべての点で例示であって制限的なものではないと考えられるべきである。本発明の範囲は上記した説明ではなくて特許請求の範囲によって示され、特許請求の範囲と均等の意味および範囲内でのすべての変更が含まれることが意図される。
1 油入電気機器、2 配管、3,50 タンク、6 分析ユニット、7 診断ユニット、8 表示装置、29 情報生成部、51,52 鉄心、53 コイル、53L 紙巻導体、53M 導体、53N 絶縁紙、53P 巻線層、54 冷却器、55 絶縁油、56 ポンプ、101 診断装置。

Claims (6)

  1. 油入電気機器の異常発生の危険度を評価する油入電気機器の診断方法であって、
    前記油入電気機器内の絶縁油を分析する第1ステップと、
    前記第1ステップで得られた分析結果に基いて、前記油入電気機器内における異常発生の危険度を評価する第2ステップとを含み、
    前記第1ステップにおいて、絶縁油中のパラフィン炭素濃度と、ジベンジルジスルフィドおよび/またはジベンジルジスルフィドから生成するラジカルの反応生成物の濃度とを測定することを特徴とする、油入電気機器の診断方法。
  2. 前記第1ステップにおいて、さらに、ジ−t−ブチル−パラクレゾールおよび/またはジ−t−ブチル−パラクレゾールから生成するラジカルの反応生成物を測定する、請求項1に記載の油入電気機器の診断方法。
  3. 前記ジベンジルジスルフィドから生成するラジカルの反応生成物は、ベンズアルデヒド、ベンジルアルコール、ビベンジル、ジベンジルスルフィドおよびジベンジルスルホキシドからなる群から選択される少なくとも1種の化合物である、請求項1に記載の油入電気機器の診断方法。
  4. 前記第1ステップにおいて、ジベンジルジスルフィドから生成するラジカルとジ−t−ブチル−パラクレゾールから生成するラジカルとの反応生成物を測定する、請求項1に記載の油入電気機器の診断方法。
  5. 前記第2ステップにおいて、前記第1ステップで測定されたパラフィン炭素濃度およびジベンジルジスルフィドおよび/またはジベンジルジスルフィドから生成するラジカルの反応生成物の濃度が、共に基準値よりも高い場合は、前記油入電気機器内における異常発生の危険度が高いと評価する、請求項1に記載の油入電気機器の診断方法。
  6. 油入電気機器内における硫化銅生成の危険度を評価するための油入電気機器の診断装置であって、
    前記油入電気機器内の絶縁油を分析するための分析ユニットと、
    前記分析ユニットで得られた分析結果に基いて、前記油入電気機器における異常発生の危険度を診断する診断ユニットとを含み、
    前記分析ユニットは、前記絶縁油中のパラフィン炭素濃度と、ジベンジルジスルフィドおよび/またはジベンジルジスルフィドから生成するラジカルの反応生成物の濃度とを測定するためのものであることを特徴とする、油入電気機器の診断装置。
JP2011012821A 2011-01-25 2011-01-25 油入電気機器の診断方法 Expired - Fee Related JP5442646B2 (ja)

Priority Applications (1)

Application Number Priority Date Filing Date Title
JP2011012821A JP5442646B2 (ja) 2011-01-25 2011-01-25 油入電気機器の診断方法

Applications Claiming Priority (1)

Application Number Priority Date Filing Date Title
JP2011012821A JP5442646B2 (ja) 2011-01-25 2011-01-25 油入電気機器の診断方法

Publications (2)

Publication Number Publication Date
JP2012156232A true JP2012156232A (ja) 2012-08-16
JP5442646B2 JP5442646B2 (ja) 2014-03-12

Family

ID=46837686

Family Applications (1)

Application Number Title Priority Date Filing Date
JP2011012821A Expired - Fee Related JP5442646B2 (ja) 2011-01-25 2011-01-25 油入電気機器の診断方法

Country Status (1)

Country Link
JP (1) JP5442646B2 (ja)

Cited By (1)

* Cited by examiner, † Cited by third party
Publication number Priority date Publication date Assignee Title
JP5329008B1 (ja) * 2012-11-20 2013-10-30 三菱電機株式会社 油入電気機器の診断方法およびメンテナンス方法

Citations (8)

* Cited by examiner, † Cited by third party
Publication number Priority date Publication date Assignee Title
JPS63129605A (ja) * 1986-11-20 1988-06-02 Mitsubishi Electric Corp 変圧器劣化診断装置
JPS6393614U (ja) * 1986-12-05 1988-06-17
JPH10241948A (ja) * 1997-02-28 1998-09-11 Chubu Denki Hoan Kyokai 油入変圧器の劣化度診断剤及び診断方法
JP2003194786A (ja) * 2001-12-27 2003-07-09 Masahiro Nishikawa 超音波による油劣化診断方法及びその装置
JP2004164858A (ja) * 2002-11-08 2004-06-10 Idemitsu Kosan Co Ltd 電気絶縁油組成物
JP2009004159A (ja) * 2007-06-20 2009-01-08 Idemitsu Kosan Co Ltd 電気絶縁油組成物
WO2009054155A1 (ja) * 2007-10-26 2009-04-30 Mitsubishi Electric Corporation 油入電気機器の診断方法
WO2010073748A1 (ja) * 2008-12-25 2010-07-01 三菱電機株式会社 油入電気機器における異常発生の可能性を予測する方法

Patent Citations (8)

* Cited by examiner, † Cited by third party
Publication number Priority date Publication date Assignee Title
JPS63129605A (ja) * 1986-11-20 1988-06-02 Mitsubishi Electric Corp 変圧器劣化診断装置
JPS6393614U (ja) * 1986-12-05 1988-06-17
JPH10241948A (ja) * 1997-02-28 1998-09-11 Chubu Denki Hoan Kyokai 油入変圧器の劣化度診断剤及び診断方法
JP2003194786A (ja) * 2001-12-27 2003-07-09 Masahiro Nishikawa 超音波による油劣化診断方法及びその装置
JP2004164858A (ja) * 2002-11-08 2004-06-10 Idemitsu Kosan Co Ltd 電気絶縁油組成物
JP2009004159A (ja) * 2007-06-20 2009-01-08 Idemitsu Kosan Co Ltd 電気絶縁油組成物
WO2009054155A1 (ja) * 2007-10-26 2009-04-30 Mitsubishi Electric Corporation 油入電気機器の診断方法
WO2010073748A1 (ja) * 2008-12-25 2010-07-01 三菱電機株式会社 油入電気機器における異常発生の可能性を予測する方法

Cited By (2)

* Cited by examiner, † Cited by third party
Publication number Priority date Publication date Assignee Title
JP5329008B1 (ja) * 2012-11-20 2013-10-30 三菱電機株式会社 油入電気機器の診断方法およびメンテナンス方法
WO2014080451A1 (ja) * 2012-11-20 2014-05-30 三菱電機株式会社 油入電気機器の診断方法およびメンテナンス方法

Also Published As

Publication number Publication date
JP5442646B2 (ja) 2014-03-12

Similar Documents

Publication Publication Date Title
Kohtoh et al. Aging effect on electrical characteristics of insulating oil in field transformer
JP5234440B2 (ja) 油入電気機器の寿命診断装置、油入電気機器の寿命診断方法、油入電気機器の劣化抑制装置、および油入電気機器の劣化抑制方法
CN101809688B (zh) 充油型电气设备的诊断方法
JP2010256208A (ja) 電気機器中絶縁油に対する経年劣化診断方法
JP5111619B2 (ja) 油入電気機器における異常発生の可能性を予測する方法
JP4994899B2 (ja) 油入電気機器の流動帯電診断方法
JP4494815B2 (ja) 油入電気機器の流動帯電診断方法および流動帯電抑制方法
Wada et al. Method to evaluate the degradation condition of transformer insulating oil-establishment of the evaluation method and application to field transformer oil
CN102652341B (zh) 对充油电气设备中发生异常的可能性进行预测的方法
JP5337303B2 (ja) 油入電気機器の診断方法および診断装置
JP5442646B2 (ja) 油入電気機器の診断方法
JP5079936B1 (ja) 油入電気機器の診断方法
JP5233021B2 (ja) 油入電気機器における硫化銅生成量の推定方法、異常発生の診断方法、絶縁油中のジベンジルジスルフィド初期濃度の推定方法、および、異常発生の可能性の診断方法
CN104838456B (zh) 充油电气设备的诊断方法及维护方法
JP5516601B2 (ja) 油入電気機器における硫化銅生成量の推定方法、異常発生の診断方法、絶縁油中のジベンジルジスルフィド初期濃度の推定方法、および、異常発生の可能性の診断方法
JP2023111322A (ja) 油入りケーブルの異常発生の危険度の診断方法
JP5516818B2 (ja) 油入電気機器における硫化銅生成量の推定方法、異常発生の診断方法、絶縁油中のジベンジルジスルフィド初期濃度の推定方法、および、異常発生の可能性の診断方法

Legal Events

Date Code Title Description
A621 Written request for application examination

Free format text: JAPANESE INTERMEDIATE CODE: A621

Effective date: 20120927

A977 Report on retrieval

Free format text: JAPANESE INTERMEDIATE CODE: A971007

Effective date: 20130826

A131 Notification of reasons for refusal

Free format text: JAPANESE INTERMEDIATE CODE: A131

Effective date: 20130903

A521 Request for written amendment filed

Free format text: JAPANESE INTERMEDIATE CODE: A523

Effective date: 20131101

TRDD Decision of grant or rejection written
A01 Written decision to grant a patent or to grant a registration (utility model)

Free format text: JAPANESE INTERMEDIATE CODE: A01

Effective date: 20131203

A61 First payment of annual fees (during grant procedure)

Free format text: JAPANESE INTERMEDIATE CODE: A61

Effective date: 20131218

R150 Certificate of patent or registration of utility model

Ref document number: 5442646

Country of ref document: JP

Free format text: JAPANESE INTERMEDIATE CODE: R150

Free format text: JAPANESE INTERMEDIATE CODE: R150

R250 Receipt of annual fees

Free format text: JAPANESE INTERMEDIATE CODE: R250

R250 Receipt of annual fees

Free format text: JAPANESE INTERMEDIATE CODE: R250

R250 Receipt of annual fees

Free format text: JAPANESE INTERMEDIATE CODE: R250

R250 Receipt of annual fees

Free format text: JAPANESE INTERMEDIATE CODE: R250

R250 Receipt of annual fees

Free format text: JAPANESE INTERMEDIATE CODE: R250

LAPS Cancellation because of no payment of annual fees