JP2010059363A - ポリフェニレンエーテル樹脂組成物、プリプレグ、金属張積層板、及びプリント配線板 - Google Patents
ポリフェニレンエーテル樹脂組成物、プリプレグ、金属張積層板、及びプリント配線板 Download PDFInfo
- Publication number
- JP2010059363A JP2010059363A JP2008228759A JP2008228759A JP2010059363A JP 2010059363 A JP2010059363 A JP 2010059363A JP 2008228759 A JP2008228759 A JP 2008228759A JP 2008228759 A JP2008228759 A JP 2008228759A JP 2010059363 A JP2010059363 A JP 2010059363A
- Authority
- JP
- Japan
- Prior art keywords
- polyphenylene ether
- resin composition
- prepreg
- compound
- epoxy compound
- Prior art date
- Legal status (The legal status is an assumption and is not a legal conclusion. Google has not performed a legal analysis and makes no representation as to the accuracy of the status listed.)
- Granted
Links
Landscapes
- Reinforced Plastic Materials (AREA)
- Laminated Bodies (AREA)
- Compositions Of Macromolecular Compounds (AREA)
- Epoxy Resins (AREA)
- Manufacturing Of Printed Circuit Boards (AREA)
Abstract
【解決手段】(A)数平均分子量1000〜5000のポリフェニレンエーテル、(B)分子構造内にナフタレン環を有するエポキシ化合物、(C)シアネートエステル化合物、(D)リン系難燃剤、及び(E)硬化触媒が配合されたポリフェニレンエーテル樹脂組成物を用いる。
【選択図】なし
Description
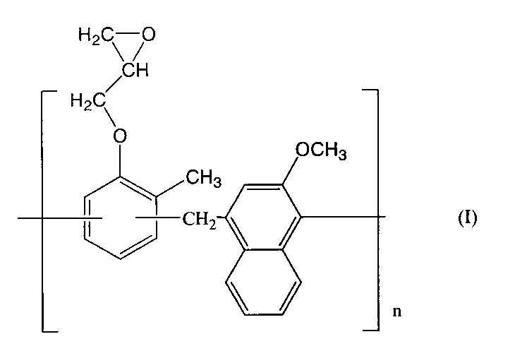
で表されるエポキシ化合物またはその誘導体であることが、タック性を充分に抑制できる点から好ましい。
で表されるエポキシ化合物等のナフタレン含有ノボラック型エポキシ化合物またはその誘導体が特に好ましく用いられる。
トルエン250質量部を攪拌装置及び攪拌羽根を装備したフラスコに入れた。前記フラスコを内温90℃に制御しながら、数平均分子量25000のPPE(SABICジャパン社製の「ノリル640―111」)90質量部、ビスフェノールA 7質量部、過酸化ベンゾイル7質量部を入れ、2時間撹拌を続けて反応させることにより、数平均分子量2500のポリフェニレンエーテル(PPE1)の溶液(固形分濃度29%)を調製した。なお、数平均分子量は、ゲルパーミエーションクロマトグラフ(GPC)で測定したスチレン換算の値である。
ビスフェノールA 7質量部、過酸化ベンゾイル7質量部を用いた代わりに、ビスフェノールA 3.6質量部、過酸化ベンゾイル3.6質量部用いた以外は、製造例1と同様にして反応させることにより、数平均分子量4000のポリフェニレンエーテル(PPE2)の溶液を調製した。
はじめに、本実施例で用いた原材料をまとめて示す。
〈エポキシ化合物〉
・上記式(I)で示される構造を有する、平均エポキシ基数2〜3個の縮合多環型エポキシ化合物であるエピクロンHP5000(DIC(株)製)
・上記式(I)で示される構造を有する、平均エポキシ基数4〜6個の縮合多環型エポキシ化合物であるエピクロンEXA9900(DIC(株)製)
・ジシクロペンタジエン型エポキシ化合物であるエピクロンHP7200(DIC(株)製)
・ビスフェノールA型エポキシ化合物であるエピクロン840(DIC(株)製)
・フェノールノボラック型エポキシ化合物であるエピクロンN−740(DIC(株)製)
〈シアネートエステル化合物〉
・2,2−ビス(4−シアナートフェニル)プロパン(ロンザジャパン社製のBADCy)
〈難燃剤〉
・リン系難燃剤(大塚製薬(株)製のSPB−100、フォスファゼン系化合物)
・リン系難燃剤(クラリアントジャパン社製OP935、ホスフィン酸塩系化合物)
〈硬化触媒〉
・オクタン酸亜鉛(DIC(株)製、亜鉛濃度18%)
[樹脂ワニスの調製]
ポリフェニレンエーテルのトルエン溶液を90℃にまで加熱し、表1に記載の配合割合になるように、エポキシ化合物及びシアネートエステル化合物を添加した後、30分間撹拌して完全に溶解させた。そして、さらに硬化触媒、難燃剤、無機フィラーを添加して、ボールミルで分散させることによりワニスを得た。
10×10cmのプリプレグの試験片を作成し、その表面に人差し指を押し当て、その触感を以下の基準で判定した。
タック「有」:タック感を感じる。
JIS−Z−0237に準拠される傾斜式ボールタック法(J.Dow法)に基づきボールタックテスター(安田精機製作所製)を用いて試験を実施した。試験は温度23℃、相対湿度50%の雰囲気下で実施し、JISB 1501に準拠される”ボールの呼び”の32倍の数値から表記される32種のボールを用いた。試験結果は見いだした最大のボールナンバーをもって表し、三回の試験回数の平均値より求めた。タックが無いサンプルについては0と表記した。
穴直径0.3mmの連通穴が2mmピッチ間隔で1000個形成された、縦150mm、横100mm、厚み0.8mmの寸法のコア材を用意した。そして、前記コア材の片面に、得られたプリプレグと銅箔とをその順に積層し、他の片面には銅箔のみを積層した。そして、前記積層体を220℃×2時間、圧力3MPaの条件で加熱プレスにより成形した。そして、1000個の穴のうち完充填された穴の個数を数え、その割合を求めた。
セイコーインスツルメンツ(株)製の粘弾性スペクトロメータ「DMS100」を用いて銅張積層板のガラス転移温度(Tg)を測定した。このとき、曲げモジュールで周波数を10Hzとして測定を行い、昇温速度5℃/minの条件で室温から280℃まで昇温した際にtanδが極大を示す温度をガラス転移温度(Tg)とした。
JIS C 6481 の規格に準じて、1MHzにおける銅張積層板の誘電率及び誘電正接を求めた。
所定の大きさに切り出した銅張積層板の難燃性を、UL 94の燃焼試験法に準じて燃焼試験を行い、判定した。
JIS C 6481 の規格に準じて、所定の大きさに切り出した銅張積層板を所定の温度に設定した恒温槽に1時間放置した後、取り出した。そして、処理された試験片を目視で観察してフクレが発生しなかったときの最高温度を求めた。
Claims (6)
- (A)数平均分子量1000〜5000のポリフェニレンエーテル、(B)分子構造内にナフタレン環を有するエポキシ化合物、(C)シアネートエステル化合物、(D)リン系難燃剤、及び(E)硬化触媒が配合されたことを特徴とするポリフェニレンエーテル樹脂組成物。
- 前記リン系難燃剤が、フォスファゼン系化合物又はホスフィン酸塩系化合物である請求項1または2に記載のポリフェニレンエーテル樹脂組成物。
- 請求項1〜3の何れか1項に記載のポリフェニレンエーテル樹脂組成物を繊維質基材に含浸及び乾燥させて得られることを特徴とするプリプレグ。
- 請求項4に記載のプリプレグに金属箔を積層して、加熱加圧成形して得られることを特徴とする金属張積層板。
- 請求項5に記載された金属張積層板の表面の金属箔を部分的に除去することにより回路形成して得られたことを特徴とするプリント配線板。
Priority Applications (1)
| Application Number | Priority Date | Filing Date | Title |
|---|---|---|---|
| JP2008228759A JP5276389B2 (ja) | 2008-09-05 | 2008-09-05 | ポリフェニレンエーテル樹脂組成物、プリプレグ、金属張積層板、及びプリント配線板 |
Applications Claiming Priority (1)
| Application Number | Priority Date | Filing Date | Title |
|---|---|---|---|
| JP2008228759A JP5276389B2 (ja) | 2008-09-05 | 2008-09-05 | ポリフェニレンエーテル樹脂組成物、プリプレグ、金属張積層板、及びプリント配線板 |
Publications (2)
| Publication Number | Publication Date |
|---|---|
| JP2010059363A true JP2010059363A (ja) | 2010-03-18 |
| JP5276389B2 JP5276389B2 (ja) | 2013-08-28 |
Family
ID=42186532
Family Applications (1)
| Application Number | Title | Priority Date | Filing Date |
|---|---|---|---|
| JP2008228759A Active JP5276389B2 (ja) | 2008-09-05 | 2008-09-05 | ポリフェニレンエーテル樹脂組成物、プリプレグ、金属張積層板、及びプリント配線板 |
Country Status (1)
| Country | Link |
|---|---|
| JP (1) | JP5276389B2 (ja) |
Cited By (19)
| Publication number | Priority date | Publication date | Assignee | Title |
|---|---|---|---|---|
| JP2010138364A (ja) * | 2008-02-12 | 2010-06-24 | Mitsubishi Gas Chemical Co Inc | 樹脂組成物、プリプレグおよび金属箔張り積層板 |
| JP2010229311A (ja) * | 2009-03-27 | 2010-10-14 | Dic Corp | 硬化性樹脂組成物、その硬化物、及び電子部品用樹脂材料 |
| JP2011246516A (ja) * | 2010-05-24 | 2011-12-08 | Panasonic Electric Works Co Ltd | 樹脂組成物、樹脂ワニス、プリプレグ、金属張積層板、及びプリント配線板 |
| WO2012081691A1 (ja) | 2010-12-17 | 2012-06-21 | 日本ゼオン株式会社 | 架橋性樹脂成形体、架橋樹脂成形体、及び積層体 |
| JP2013185080A (ja) * | 2012-03-08 | 2013-09-19 | Dic Corp | 硬化性樹脂組成物、その硬化物、及びプリント配線基板 |
| JP2013245287A (ja) * | 2012-05-25 | 2013-12-09 | Dic Corp | 硬化性組成物、硬化物、及びプリント配線基板 |
| KR20140015496A (ko) * | 2011-03-24 | 2014-02-06 | 미츠비시 가스 가가쿠 가부시키가이샤 | 수지 조성물, 프리프레그 및 수지 시트 그리고 금속박 피복 적층판 |
| JP2014198778A (ja) * | 2013-03-29 | 2014-10-23 | 旭化成イーマテリアルズ株式会社 | ポリフェニレンエーテル組成物 |
| JP2014198780A (ja) * | 2013-03-29 | 2014-10-23 | 旭化成イーマテリアルズ株式会社 | ポリフェニレンエーテル樹脂組成物 |
| CN104271671A (zh) * | 2012-03-29 | 2015-01-07 | 三菱瓦斯化学株式会社 | 树脂组合物、预浸料、树脂片和覆金属箔层叠板 |
| WO2015064064A1 (ja) * | 2013-10-31 | 2015-05-07 | パナソニックIpマネジメント株式会社 | 熱硬化性樹脂組成物、プリプレグ、金属張積層板、及びプリント配線板 |
| JP2015086329A (ja) * | 2013-10-31 | 2015-05-07 | パナソニックIpマネジメント株式会社 | 樹脂組成物、プリプレグ、金属張積層板、及びプリント配線板 |
| US9051465B1 (en) | 2012-02-21 | 2015-06-09 | Park Electrochemical Corporation | Thermosetting resin composition containing a polyphenylene ether and a brominated fire retardant compound |
| US9243164B1 (en) | 2012-02-21 | 2016-01-26 | Park Electrochemical Corporation | Thermosetting resin composition containing a polyphenylene ether and a brominated fire retardant compound |
| DE102014019207A1 (de) | 2014-12-19 | 2016-06-23 | Airbus Defence and Space GmbH | Hochtemperaturbeständige Duromere auf der Grundlage von Naphthalin-basierten Epoxidharzen und Cyanatestern sowie Verbesserung der Schlagzähigkeit |
| EP3112419A1 (de) | 2015-06-30 | 2017-01-04 | Airbus Defence and Space GmbH | Flammenfeste und hochtemperaturbeständige duromere auf der grundlage von naphthalin-basierten epoxidharzen und cyanatestern |
| KR20200117884A (ko) | 2019-04-05 | 2020-10-14 | 신에쓰 가가꾸 고교 가부시끼가이샤 | 슬러리 조성물, 해당 슬러리 조성물의 경화물, 해당 경화물을 사용한 기판, 필름 및 프리프레그 |
| KR20200119741A (ko) | 2019-04-10 | 2020-10-20 | 신에쓰 가가꾸 고교 가부시끼가이샤 | 저유전 방열필름용 조성물 및 저유전 방열필름 |
| WO2023008524A1 (ja) | 2021-07-28 | 2023-02-02 | 三菱ケミカル株式会社 | 樹脂組成物、樹脂シート、積層体、シート硬化物及び回路基板材料 |
Families Citing this family (1)
| Publication number | Priority date | Publication date | Assignee | Title |
|---|---|---|---|---|
| CN107234851B (zh) * | 2017-06-23 | 2019-03-26 | 重庆德凯实业股份有限公司 | 高频高速覆铜板制作方法及其覆铜板 |
Citations (4)
| Publication number | Priority date | Publication date | Assignee | Title |
|---|---|---|---|---|
| JP2004091748A (ja) * | 2002-09-04 | 2004-03-25 | Asahi Kasei Chemicals Corp | 難燃性硬化性樹脂組成物 |
| JP2005105099A (ja) * | 2003-09-30 | 2005-04-21 | Hitachi Chem Co Ltd | 難燃性樹脂組成物、並びにこれを用いたプリプレグ、金属張積層板及びプリント配線板 |
| WO2008044766A1 (en) * | 2006-10-13 | 2008-04-17 | Ajinomoto Co., Inc. | Resin composition |
| JP2010138364A (ja) * | 2008-02-12 | 2010-06-24 | Mitsubishi Gas Chemical Co Inc | 樹脂組成物、プリプレグおよび金属箔張り積層板 |
-
2008
- 2008-09-05 JP JP2008228759A patent/JP5276389B2/ja active Active
Patent Citations (4)
| Publication number | Priority date | Publication date | Assignee | Title |
|---|---|---|---|---|
| JP2004091748A (ja) * | 2002-09-04 | 2004-03-25 | Asahi Kasei Chemicals Corp | 難燃性硬化性樹脂組成物 |
| JP2005105099A (ja) * | 2003-09-30 | 2005-04-21 | Hitachi Chem Co Ltd | 難燃性樹脂組成物、並びにこれを用いたプリプレグ、金属張積層板及びプリント配線板 |
| WO2008044766A1 (en) * | 2006-10-13 | 2008-04-17 | Ajinomoto Co., Inc. | Resin composition |
| JP2010138364A (ja) * | 2008-02-12 | 2010-06-24 | Mitsubishi Gas Chemical Co Inc | 樹脂組成物、プリプレグおよび金属箔張り積層板 |
Cited By (31)
| Publication number | Priority date | Publication date | Assignee | Title |
|---|---|---|---|---|
| JP2010138364A (ja) * | 2008-02-12 | 2010-06-24 | Mitsubishi Gas Chemical Co Inc | 樹脂組成物、プリプレグおよび金属箔張り積層板 |
| JP2010229311A (ja) * | 2009-03-27 | 2010-10-14 | Dic Corp | 硬化性樹脂組成物、その硬化物、及び電子部品用樹脂材料 |
| JP2011246516A (ja) * | 2010-05-24 | 2011-12-08 | Panasonic Electric Works Co Ltd | 樹脂組成物、樹脂ワニス、プリプレグ、金属張積層板、及びプリント配線板 |
| WO2012081691A1 (ja) | 2010-12-17 | 2012-06-21 | 日本ゼオン株式会社 | 架橋性樹脂成形体、架橋樹脂成形体、及び積層体 |
| US8759463B2 (en) | 2010-12-17 | 2014-06-24 | Zeon Corporation | Cross-linkable resin shaped article, cross-linked resin shaped article and laminate |
| KR20140015496A (ko) * | 2011-03-24 | 2014-02-06 | 미츠비시 가스 가가쿠 가부시키가이샤 | 수지 조성물, 프리프레그 및 수지 시트 그리고 금속박 피복 적층판 |
| US20140073721A1 (en) * | 2011-03-24 | 2014-03-13 | Mitsubishi Gas Chemical Company, Inc. | Resin composition, prepreg and resin sheet and metal foil-clad laminate |
| US9318402B2 (en) * | 2011-03-24 | 2016-04-19 | Mitsubishi Gas Chemical Company, Inc. | Resin composition, prepreg and resin sheet and metal foil-clad laminate |
| US9051465B1 (en) | 2012-02-21 | 2015-06-09 | Park Electrochemical Corporation | Thermosetting resin composition containing a polyphenylene ether and a brominated fire retardant compound |
| US9243164B1 (en) | 2012-02-21 | 2016-01-26 | Park Electrochemical Corporation | Thermosetting resin composition containing a polyphenylene ether and a brominated fire retardant compound |
| JP2013185080A (ja) * | 2012-03-08 | 2013-09-19 | Dic Corp | 硬化性樹脂組成物、その硬化物、及びプリント配線基板 |
| US9394439B2 (en) * | 2012-03-29 | 2016-07-19 | Mitsubishi Gas Chemical Company, Inc. | Resin composition, prepreg, resin sheet, and metal foil-clad laminate |
| CN104271671A (zh) * | 2012-03-29 | 2015-01-07 | 三菱瓦斯化学株式会社 | 树脂组合物、预浸料、树脂片和覆金属箔层叠板 |
| EP2832797A4 (en) * | 2012-03-29 | 2016-01-13 | Mitsubishi Gas Chemical Co | RESIN COMPOSITION, PREPREG, RESIN SHEET, AND LAMINATE COATED WITH METALLIC SHEET |
| US20150017449A1 (en) * | 2012-03-29 | 2015-01-15 | Mitsubishi Gas Chemical Company, Inc. | Resin composition, prepreg, resin sheet, and metal foil-clad laminate |
| JP2013245287A (ja) * | 2012-05-25 | 2013-12-09 | Dic Corp | 硬化性組成物、硬化物、及びプリント配線基板 |
| JP2014198780A (ja) * | 2013-03-29 | 2014-10-23 | 旭化成イーマテリアルズ株式会社 | ポリフェニレンエーテル樹脂組成物 |
| JP2014198778A (ja) * | 2013-03-29 | 2014-10-23 | 旭化成イーマテリアルズ株式会社 | ポリフェニレンエーテル組成物 |
| WO2015064064A1 (ja) * | 2013-10-31 | 2015-05-07 | パナソニックIpマネジメント株式会社 | 熱硬化性樹脂組成物、プリプレグ、金属張積層板、及びプリント配線板 |
| JP2015086329A (ja) * | 2013-10-31 | 2015-05-07 | パナソニックIpマネジメント株式会社 | 樹脂組成物、プリプレグ、金属張積層板、及びプリント配線板 |
| US9708468B2 (en) | 2013-10-31 | 2017-07-18 | Panasonic Intellectual Property Management Co., Ltd. | Thermosetting resin composition, prepreg, metal clad laminate plate, and printed wiring board |
| WO2016095903A1 (de) | 2014-12-19 | 2016-06-23 | Airbus Defence and Space GmbH | Hochtemperaturbeständige duromere auf der grundlage von naphthalin-basierten epoxidharzen und cyanatestern sowie verbesserung der schlagzähigkeit |
| DE102014019207A1 (de) | 2014-12-19 | 2016-06-23 | Airbus Defence and Space GmbH | Hochtemperaturbeständige Duromere auf der Grundlage von Naphthalin-basierten Epoxidharzen und Cyanatestern sowie Verbesserung der Schlagzähigkeit |
| EP3112419A1 (de) | 2015-06-30 | 2017-01-04 | Airbus Defence and Space GmbH | Flammenfeste und hochtemperaturbeständige duromere auf der grundlage von naphthalin-basierten epoxidharzen und cyanatestern |
| US10077359B2 (en) | 2015-06-30 | 2018-09-18 | Airbus Defence and Space GmbH | Flame-retardant, high temperature resistant thermosets on the basis of naphthalene-based epoxy resins and cyanate esters |
| KR20200117884A (ko) | 2019-04-05 | 2020-10-14 | 신에쓰 가가꾸 고교 가부시끼가이샤 | 슬러리 조성물, 해당 슬러리 조성물의 경화물, 해당 경화물을 사용한 기판, 필름 및 프리프레그 |
| US11530324B2 (en) | 2019-04-05 | 2022-12-20 | Shin-Etsu Chemical Co., Ltd. | Slurry composition, cured product of the slurry composition, and substrate, film and prepreg using the cured product |
| KR20200119741A (ko) | 2019-04-10 | 2020-10-20 | 신에쓰 가가꾸 고교 가부시끼가이샤 | 저유전 방열필름용 조성물 및 저유전 방열필름 |
| US11608438B2 (en) | 2019-04-10 | 2023-03-21 | Shin-Etsu Chemical Co., Ltd. | Low-dielectric heat dissipation film composition and low-dielectric heat dissipation film |
| WO2023008524A1 (ja) | 2021-07-28 | 2023-02-02 | 三菱ケミカル株式会社 | 樹脂組成物、樹脂シート、積層体、シート硬化物及び回路基板材料 |
| KR20240040735A (ko) | 2021-07-28 | 2024-03-28 | 미쯔비시 케미컬 주식회사 | 수지 조성물, 수지 시트, 적층체, 시트 경화물 및 회로 기판 재료 |
Also Published As
| Publication number | Publication date |
|---|---|
| JP5276389B2 (ja) | 2013-08-28 |
Similar Documents
| Publication | Publication Date | Title |
|---|---|---|
| JP5276389B2 (ja) | ポリフェニレンエーテル樹脂組成物、プリプレグ、金属張積層板、及びプリント配線板 | |
| JP5264133B2 (ja) | エポキシ樹脂組成物、そのエポキシ樹脂組成物を用いたプリプレグ及び金属張積層板 | |
| JP7316572B2 (ja) | 樹脂組成物、並びに、それを用いたプリプレグ、樹脂付きフィルム、樹脂付き金属箔、金属張積層板及び配線基板 | |
| TWI803529B (zh) | 聚伸苯醚樹脂組成物、以及、使用其之預浸體、附樹脂之薄膜、附樹脂之金屬箔、覆金屬積層板及配線基板 | |
| JP5899496B2 (ja) | 樹脂組成物、樹脂ワニス、プリプレグ、金属張積層板、及びプリント配線板 | |
| US12534584B2 (en) | Resin composition, prepreg, resin-attached film, resin-attached metal foil, metal-cladded laminate sheet, and wiring board | |
| JP2018001632A (ja) | 樹脂付き金属箔、積層板、プリント配線板及び多層プリント配線板 | |
| KR102546848B1 (ko) | 금속장 적층판, 수지를 갖는 금속 부재, 및 배선판 | |
| JP5265449B2 (ja) | 樹脂組成物、樹脂組成物の製造方法、プリプレグ、金属張積層板、及びプリント配線板 | |
| WO2019188185A1 (ja) | 樹脂組成物、並びに、それを用いたプリプレグ、樹脂付きフィルム、樹脂付き金属箔、金属張積層板及び配線基板 | |
| JP5186456B2 (ja) | 樹脂組成物、プリプレグ、金属張積層板、及びプリント配線板 | |
| KR20220038379A (ko) | 수지 조성물, 프리프레그, 수지 부가 필름, 수지 부가 금속박, 금속 클래드 적층판, 및 배선판 | |
| JP5469320B2 (ja) | ポリフェニレンエーテル樹脂組成物、プリプレグ、金属張積層板、及びプリント配線板 | |
| JP6697759B2 (ja) | 金属張積層板、金属張積層板の製造方法、樹脂付き金属部材、樹脂付き金属部材の製造方法、配線板、及び配線板の製造方法 | |
| JP5165639B2 (ja) | ポリフェニレンエーテル樹脂組成物、プリプレグ、金属張積層板、及びプリント配線板 | |
| JP5756922B2 (ja) | 樹脂組成物、樹脂ワニス、プリプレグ、金属張積層板、及びプリント配線板 | |
| JP5681951B2 (ja) | 樹脂組成物、樹脂ワニス、プリプレグ、金属張積層板、及びプリント配線板 | |
| JP5793640B2 (ja) | プリント配線板用エポキシ樹脂組成物、そのプリント配線板用エポキシ樹脂組成物を用いたプリント配線板用プリプレグ及びプリント配線板用金属張積層板 | |
| JP2012197361A (ja) | 樹脂組成物、樹脂ワニス、プリプレグ、金属張積層板、及びプリント配線板 | |
| JP5919576B2 (ja) | プリント配線板用エポキシ樹脂組成物、そのプリント配線板用エポキシ樹脂組成物を用いたプリント配線板用プリプレグ及びプリント配線板用金属張積層板 | |
| JP5793641B2 (ja) | ポリフェニレンエーテル樹脂組成物、プリプレグ、金属張積層板、及びプリント配線板 | |
| WO2018012445A1 (ja) | 金属張積層板及びプリント配線板 | |
| JP6025129B2 (ja) | 樹脂組成物、樹脂ワニス、プリプレグ、金属張積層板、及びプリント配線板 | |
| JP2018008496A (ja) | 金属張積層板及びその製造方法 | |
| JP2004059703A (ja) | エポキシ樹脂組成物、プリプレグ及び積層板 |
Legal Events
| Date | Code | Title | Description |
|---|---|---|---|
| A621 | Written request for application examination |
Free format text: JAPANESE INTERMEDIATE CODE: A621 Effective date: 20110121 |
|
| A711 | Notification of change in applicant |
Free format text: JAPANESE INTERMEDIATE CODE: A712 Effective date: 20120111 |
|
| A977 | Report on retrieval |
Free format text: JAPANESE INTERMEDIATE CODE: A971007 Effective date: 20120608 |
|
| A131 | Notification of reasons for refusal |
Free format text: JAPANESE INTERMEDIATE CODE: A131 Effective date: 20120612 |
|
| A521 | Written amendment |
Free format text: JAPANESE INTERMEDIATE CODE: A523 Effective date: 20120808 |
|
| TRDD | Decision of grant or rejection written | ||
| A01 | Written decision to grant a patent or to grant a registration (utility model) |
Free format text: JAPANESE INTERMEDIATE CODE: A01 Effective date: 20130514 |
|
| A61 | First payment of annual fees (during grant procedure) |
Free format text: JAPANESE INTERMEDIATE CODE: A61 Effective date: 20130517 |
|
| R150 | Certificate of patent or registration of utility model |
Free format text: JAPANESE INTERMEDIATE CODE: R150 Ref document number: 5276389 Country of ref document: JP Free format text: JAPANESE INTERMEDIATE CODE: R150 |
