JP2008123714A - 電解液および電池 - Google Patents

電解液および電池 Download PDF

Info

Publication number
JP2008123714A
JP2008123714A JP2006303038A JP2006303038A JP2008123714A JP 2008123714 A JP2008123714 A JP 2008123714A JP 2006303038 A JP2006303038 A JP 2006303038A JP 2006303038 A JP2006303038 A JP 2006303038A JP 2008123714 A JP2008123714 A JP 2008123714A
Authority
JP
Japan
Prior art keywords
group
carbonate
negative electrode
chemical formula
examples
Prior art date
Legal status (The legal status is an assumption and is not a legal conclusion. Google has not performed a legal analysis and makes no representation as to the accuracy of the status listed.)
Pending
Application number
JP2006303038A
Other languages
English (en)
Other versions
JP2008123714A5 (ja
Inventor
Toru Kotani
徹 小谷
Masayuki Ihara
将之 井原
Hiroyuki Yamaguchi
裕之 山口
Tadahiko Kubota
忠彦 窪田
Current Assignee (The listed assignees may be inaccurate. Google has not performed a legal analysis and makes no representation or warranty as to the accuracy of the list.)
Sony Corp
Original Assignee
Sony Corp
Priority date (The priority date is an assumption and is not a legal conclusion. Google has not performed a legal analysis and makes no representation as to the accuracy of the date listed.)
Filing date
Publication date
Application filed by Sony Corp filed Critical Sony Corp
Priority to JP2006303038A priority Critical patent/JP2008123714A/ja
Publication of JP2008123714A publication Critical patent/JP2008123714A/ja
Publication of JP2008123714A5 publication Critical patent/JP2008123714A5/ja
Pending legal-status Critical Current

Links

Images

Classifications

    • YGENERAL TAGGING OF NEW TECHNOLOGICAL DEVELOPMENTS; GENERAL TAGGING OF CROSS-SECTIONAL TECHNOLOGIES SPANNING OVER SEVERAL SECTIONS OF THE IPC; TECHNICAL SUBJECTS COVERED BY FORMER USPC CROSS-REFERENCE ART COLLECTIONS [XRACs] AND DIGESTS
    • Y02TECHNOLOGIES OR APPLICATIONS FOR MITIGATION OR ADAPTATION AGAINST CLIMATE CHANGE
    • Y02EREDUCTION OF GREENHOUSE GAS [GHG] EMISSIONS, RELATED TO ENERGY GENERATION, TRANSMISSION OR DISTRIBUTION
    • Y02E60/00Enabling technologies; Technologies with a potential or indirect contribution to GHG emissions mitigation
    • Y02E60/10Energy storage using batteries

Landscapes

  • Secondary Cells (AREA)
  • Battery Electrode And Active Subsutance (AREA)

Abstract

【課題】サイクル特性および保存特性を向上させることが可能な電池を提供する。
【解決手段】正極21および負極22と共に電解液を備え、正極21と負極22との間に設けられたセパレータ23に電解液が含浸されている。この電解液の溶媒は、4−フルオロ−1,3−ジオキソラン−2−オンなどのフッ素化環状炭酸エステルおよび炭酸フルオロメチルメチルなどのフッ素化鎖状炭酸エステルの双方を含んでいる。それらの双方を含んでいない場合と比較して、電解液の分解が抑制され、その電解液が電気化学的に安定化する。
【選択図】図1

Description

本発明は、溶媒および電解質塩を含む電解液、ならびにそれを用いた電池に関する。
近年、カメラ一体型VTR(video tape recorder )、携帯電話あるいはノートパソコンなどのポータブル電子機器が広く普及しており、その小型化、軽量化および長寿命化が強く求められている。これに伴い、ポータブル電子機器の電源として、電池、特に軽量で高エネルギー密度を得ることが可能な二次電池の開発が進められている。
中でも、充放電反応にリチウムの吸蔵および放出を利用する二次電池(いわゆるリチウムイオン二次電池)は、鉛電池やニッケルカドミウム電池と比較して大きなエネルギー密度が得られるため、大いに期待されている。この二次電池では、負極活物質として炭素材料が広く用いられているが、最近では、電池容量のさらなる向上が求められていることから、炭素材料に代えてケイ素あるいはスズなどを用いることが検討されている。ケイ素の理論容量(4199mAh/g)およびスズの理論容量(994mAh/g)は黒鉛の理論容量(372mAh/g)よりも格段に大きいため、電池容量の大幅な向上を期待できるからである。負極活物質としてケイ素あるいはスズの薄膜を用いた二次電池については、リチウムが吸蔵および放出された場合においても負極活物質の微粉化が抑制されるため、高い放電容量が得られることが報告されている(例えば、特許文献1参照。)。
国際公開WO01/031724号パンフレット
ところが、負極活物質としてケイ素あるいはスズを用いた場合には、リチウムが吸蔵された場合に活性が高くなるため、電解液の溶媒として環状炭酸エステルなどの高誘電率溶媒と鎖状炭酸エステルなどの低粘度溶媒とを併用すると、主に鎖状炭酸エステルが分解されやすく、しかもリチウムが不活性化しやすいことが懸念されていた。この場合には、充放電過程において負極活物質の微粉化が十分に抑制されないと、充放電効率が低下するため、十分なサイクル特性および保存特性が得られない。
そこで、サイクル特性および保存特性を向上させる方法として、ハロゲンを構成元素として有する環状あるいは鎖状の炭酸エステルを電解液に含有させる方法が知られている(例えば、特許文献2〜6参照。)。この方法により特性が向上する理由としては、初期の充電時において負極の表面に高イオン透過性および高安定性の被膜が形成されるため、電解液の分解反応が抑制されるからであると推測される。
特開平10−144346号公報 特開平10−247519号公報 特開2004−014134号公報 特開2006−190635号公報 特開2006−261092号公報
最近の電子機器では、高性能化および多機能化が益々進行する傾向にあるため、二次電池の充放電が頻繁に繰り返されることにより、サイクル特性が低下しやすい傾向にある。しかも、CPU(central processing unit )に代表される電子部品の高性能化などの要因に伴って発熱量が益々増加する傾向にあるため、二次電池が高温雰囲気に晒されることにより、保存特性も低下しやすい傾向にある。このため、二次電池のサイクル特性および保存特性に関してより一層の向上が望まれている。
本発明はかかる問題点に鑑みてなされたもので、その目的は、サイクル特性および保存特性を向上させることが可能な電解液および電池を提供することにある。
本発明による電解液は、溶媒と、電解質塩とを含むものであり、溶媒が、化1で表される環状炭酸エステルと、化2で表される鎖状炭酸エステルとを含むものである。
Figure 2008123714
(R1〜R4は水素基、フッ素基、アルキル基あるいはフッ素化アルキル基であり、それらは互いに同一でもよいし異なってもよいが、それらのうちの少なくとも1つはフッ素基あるいはフッ素化アルキル基である。)
Figure 2008123714
(R5およびR6は水素基、フッ素基、アルキル基あるいはフッ素化アルキル基であり、それらは互いに同一でもよいし異なってもよいが、それらのうちの少なくとも1つはフッ素基あるいはフッ素化アルキル基である。)
本発明による電池は、正極および負極と共に電解液を備えたものであり、電解液が、溶媒と、電解質塩とを含み、溶媒が、化3で表される環状炭酸エステルと、化4で表される鎖状炭酸エステルとを含むものである。
Figure 2008123714
(R1〜R4は水素基、フッ素基、アルキル基あるいはフッ素化アルキル基であり、それらは互いに同一でもよいし異なってもよいが、それらのうちの少なくとも1つはフッ素基あるいはフッ素化アルキル基である。)
Figure 2008123714
(R5およびR6は水素基、フッ素基、アルキル基あるいはフッ素化アルキル基であり、それらは互いに同一でもよいし異なってもよいが、それらのうちの少なくとも1つはフッ素基あるいはフッ素化アルキル基である。)
本発明の電解液によれば、溶媒が化1に示した環状炭酸エステルおよび化2に示した鎖状炭酸エステルの双方を含んでいるので、それらの双方を含んでいない場合と比較して、電池などの電気化学デバイスに用いられた場合に分解反応が抑制される。これにより、本発明の電解液を用いた電池では、その電解液が電気化学的に安定化するため、サイクル特性および保存特性を向上させることができる。
以下、本発明の実施の形態について、図面を参照して詳細に説明する。
本発明の一実施の形態に係る電解液は、電池などの電気化学デバイスに用いられるものであり、溶媒と、電解質塩とを含むものである。この溶媒は、化5で表される環状炭酸エステルと、化6で表される鎖状炭酸エステルとを含んでいる。化5に示した環状炭酸エステルおよび化6に示した鎖状炭酸エステルの双方を含んでいるのは、電気化学デバイスに用いられた場合に分解反応が抑制され、電気化学的に安定化するため、サイクル特性および保存特性が向上するからである。なお、化6に示したR5およびR6の炭素数は、例えば、5以下であるのが好ましい。電解液の粘度が高くなりすぎることを回避し、イオン伝導性を確保するためである。
Figure 2008123714
(R1〜R4は水素基、フッ素基、アルキル基あるいはフッ素化アルキル基であり、それらは互いに同一でもよいし異なってもよいが、それらのうちの少なくとも1つはフッ素基あるいはフッ素化アルキル基である。)
Figure 2008123714
(R5およびR6は水素基、フッ素基、アルキル基あるいはフッ素化アルキル基であり、それらは互いに同一でもよいし異なってもよいが、それらのうちの少なくとも1つはフッ素基あるいはフッ素化アルキル基である。)
溶媒中における化5に示した環状炭酸エステルの含有量は1重量%以上50重量%以下の範囲内であり、溶媒中における化6に示した鎖状炭酸エステルの含有量は1重量%以上50重量%以下の範囲内であるのが好ましい。より高い効果が得られるからである。詳細には、それぞれの含有量が1重量%よりも少ないと、電解液の分解抑制作用が極端に低下するため、十分なサイクル特性および保存特性が得られないおそれがあり、一方、含有量が50重量%よりも多いと、イオン伝導性が極端に低下するため、やはり十分なサイクル特性および保存特性が得られないおそれがあるからである。
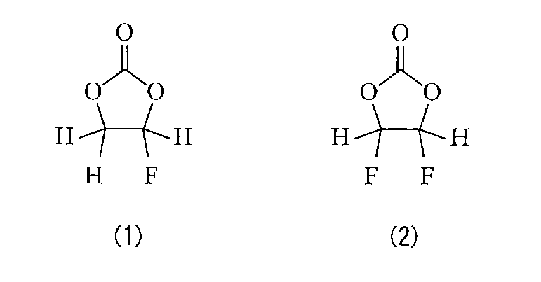
化5に示した環状炭酸エステルとしては、例えば、化7の(1)で表される4−フルオロ−1,3−ジオキソラン−2−オンあるいは化7の(2)で表される4,5−ジフルオロ−1,3−ジオキソラン−2−オンなどが挙げられる。また、上記した環状炭酸エステルとしては、例えば、テトラフルオロ−1,3−ジオキソラン−2−オン、4,5−ビストリフルオロメチル−1,3−ジオキソラン−2−オン、4−トリフルオロメチル−1,3−ジオキソラン−2−オン、4,5−ジフルオロ−4,5−ジメチル−1,3−ジオキソラン−2−オン、4−メチル−5,5−ジフルオロ−1,3−ジオキソラン−2−オン、4−エチル−5,5−ジフルオロ−1,3−ジオキソラン−2−オン、4−トリフルオロメチル−5−フルオロ−1,3−ジオキソラン−2−オン、4−トリフルオロメチル−5−メチル−1,3−ジオキソラン−2−オン、4−フルオロ−4,5−ジメチル−1,3−ジオキソラン−2−オン、4,4−ジフルオロ−5−(1,1−ジフルオロエチル)−1,3−ジオキソラン−2−オン、4−エチル−5−フルオロ−1,3−ジオキソラン−2−オン、4−エチル−4,5−ジフルオロ−1,3−ジオキソラン−2−オン、4−エチル−4,5,5−トリフルオロ−1,3−ジオキソラン−2−オンあるいは4−フルオロ−4−メチル−1,3−ジオキソラン−2−オンなども挙げられる。これらは単独で用いられてもよいし、複数種が混合されて用いられてもよい。中でも、化5に示した環状炭酸エステルとしては、4−フルオロ−1,3−ジオキソラン−2−オンおよび4,5−ジフルオロ−1,3−ジオキソラン−2−オンのうちの少なくとも1種が好ましい。容易に入手可能であると共に、十分な効果が得られるからである。特に、4,5−ジフルオロ−1,3−ジオキソラン−2−オンとしては、より高い効果を得るために、シス異性体よりもトランス異性体が好ましい。
Figure 2008123714
化6に示した鎖状炭酸エステルとしては、例えば、化8の(1)で表される炭酸フルオロメチルメチルあるいは化8の(2)で表される炭酸ビス(フルオロメチル)などが挙げられる。また、上記した鎖状炭酸エステルとしては、例えば、炭酸ジフルオロメチルメチル、炭酸フルオロエチルエチルあるいは炭酸ビス(フルオロエチル)などもが挙げられる。これらは単独で用いられてもよいし、複数種が混合されて用いられてもよい。中でも、化6に示した鎖状炭酸エステルとしては、炭酸フルオロメチルメチルおよび炭酸ビス(フルオロメチル)のうちの少なくとも1種が好ましい。容易に入手可能であると共に、十分な効果が得られるからである。
Figure 2008123714
特に、溶媒は、化5に示した環状炭酸エステルとして4,5−ジフルオロ−1,3−ジオキソラン−2−オンを含むと共に、化6に示した鎖状炭酸エステルとして炭酸ビス(フルオロメチル)を含むのが好ましい。この組み合わせにおいて、より高い効果が得られるからである。
なお、溶媒は、例えば、化5に示した環状炭酸エステルおよび化6に示した鎖状炭酸エステルに加えて、他の溶媒(例えば、有機溶剤などの非水溶媒)を含んでいてもよい。この他の溶媒としては、例えば、炭酸エチレン、炭酸プロピレン、炭酸ブチレン、炭酸ジメチル、炭酸ジエチル、炭酸エチルメチル、炭酸メチルプロピル、γ−ブチロラクトン、γ−バレロラクトン、1,2−ジメトキシエタン、テトラヒドロフラン、2−メチルテトラヒドロフラン、テトラヒドロピラン、1,3−ジオキソラン、4−メチル−1,3−ジオキソラン、1,3−ジオキサン、1,4−ジオキサン、酢酸メチル、酢酸エチル、プロピオン酸メチル、プロピオン酸エチル、酪酸メチル、イソ酪酸メチル、トリメチル酢酸メチル、トリメチル酢酸エチル、アセトニトリル、グルタロニトリル、アジポニトリル、メトキシアセトニトリル、3−メトキシプロピオニトリル、N,N−ジメチルホルムアミド、N−メチルピロリジノン、N−メチルオキサゾリジノン、N,N’−ジメチルイミダゾリジノン、ニトロメタン、ニトロエタン、スルホラン、燐酸トリメチル、ジメチルスルホキシドあるいはジメチルスルホキシド燐酸などが挙げられる。電解液を備えた電気化学デバイスにおいて、優れた容量特性、サイクル特性および保存特性が得られるからである。これらは単独で用いられてもよいし、複数種が混合されて用いられてもよい。中でも、溶媒は、炭酸エチレン、炭酸プロピレン、炭酸ジメチル、炭酸ジエチルおよび炭酸エチルメチルからなる群のうちの少なくとも1種を含んでいるのが好ましい。十分な効果が得られるからである。この場合には、特に、高粘度(高誘電率)溶媒(例えば、比誘電率ε≧30)である炭酸エチレンあるいは炭酸プロピレンと、低粘度溶媒(例えば、粘度≦1mPa・s)である炭酸ジメチル、炭酸ジエチルあるいは炭酸エチルメチルとを混合して含んでいるのが好ましい。電解質塩の解離性およびイオンの移動度が向上するため、より高い効果が得られるからである。
電解質塩は、例えば、リチウム塩などの軽金属塩を含んでいる。このリチウム塩としては、例えば、六フッ化リン酸リチウム(LiPF6 )、四フッ化ホウ酸リチウム(LiBF4 )、過塩素酸リチウム(LiClO4 )、六フッ化ヒ酸リチウム(LiAsF6 )、テトラフェニルホウ酸リチウム(LiB(C6 5 4 )、メタンスルホン酸リチウム(LiCH3 SO3 )、トリフルオロメタンスルホン酸リチウム(LiCF3SO3)、テトラクロロアルミン酸リチウムLiAlCl4 、六フッ化ケイ酸リチウム(Li2 SiF6 )、塩化リチウム(LiCl)、臭化リチウム(LiBr)、ビス(トリフルオロメタンスルホニル)イミドリチウム(LiN(CF3 SO2 2 )、ビス(ペンタフルオロエタンスルホニル)イミドリチウム(LiN(C25 SO22)、(トリフルオロメタンスルホニル)(ペンタフルオロエタンスルホニル)イミドリチウム(LiN(CF3 SO2 )(C2 5 SO2 ))、(トリフルオロメタンスルホニル)(ヘプタフルオロプロパンスルホニル)イミドリチウム(LiN(CF3 SO2 )(C3 7 SO2 ))、(トリフルオロメタンスルホニル)(ノナフルオロブタンスルホニル)イミドリチウム(LiN(CF3 SO2 )(C4 9 SO2 ))、1,2−パーフルオロエタンジスルホニルイミドリチウム、1,3−パーフルオロプロパンジスルホニルイミドリチウム、1,3−パーフルオロブタンジスルホニルイミドリチウム、1,4−パーフルオロブタンジスルホニルイミドリチウムあるいはリチウムトリス(トリフルオロメタンスルホニル)メチド(LiC(CF3 SO2 3 )などが挙げられる。電解液を備えた電気化学デバイスにおいて、優れた容量特性、サイクル特性および保存特性が得られるからである。これらは単独で用いられてもよいし、複数種が混合されて用いられてもよい。中でも、電解質塩は、六フッ化リン酸リチウム、四フッ化ホウ酸リチウム、過塩素酸リチウムおよび六フッ化ヒ酸リチウムからなる群のうちの少なくとも1種を含んでいるのが好ましい。より高い効果が得られるからである。特に、六フッ化リン酸リチウムを含んでいれば、内部抵抗が低下してサイクル特性および保存特性がより向上すると共に、四フッ化ホウ酸リチウムを含んでいれば、保存特性がより向上する。
なお、電解質塩は、例えば、化9で表される化合物を含んでいてもよい。保存特性がより向上するからである。中でも、化9に示した化合物としては、中心元素M2がホウ素である化合物が好ましい。十分な効果が得られるからである。特に、電解質塩は、六フッ化リン酸リチウム、四フッ化ホウ酸リチウム、過塩素酸リチウム、六フッ化ヒ酸リチウムおよび化9に示した化合物からなる群のうちの少なくとも1種を含んでいるのが好ましい。より高い効果が得られるからである。
Figure 2008123714
(R1は−OC−R3−CO−、−OC−C(R4)(R5)−あるいは−OC−CO−であり、R2はハロゲン基、アルキル基、ハロゲン化アルキル基、アリール基あるいはハロゲン化アリール基である。ただし、R3はアルキレン基、ハロゲン化アルキレン基、アリーレン基あるいはハロゲン化アリーレン基であり、R4およびR5はアルキル基、ハロゲン化アルキル基、アリール基あるいはハロゲン化アリール基である。X1およびX2は酸素あるいは硫黄である。M1は短周期型周期表における1A族元素あるいは2A族元素、またはアルミニウムであり、M2は遷移金属元素、または短周期型周期表における3B族元素、4B族元素あるいは5B族元素である。なお、aは1〜4の整数であり、bは0あるいは1〜8の整数であり、c、d、eおよびfは1〜3の整数である。)
化9に示した化合物としては、例えば、ビス[オキソラト−O,O’]ホウ酸リチウム、ジフルオロ[オキソラト−O,O’]ホウ酸リチウム、ジフルオロ[3,3,3−トリフルオロ−2−オキシド−2−トリフルオロメチルプロピオナト(2−)−O,O’]ホウ酸リチウム、ビス[3,3,3−トリフルオロ−2−オキシド−2−トリフルオロメチルプロピオナト(2−)−O,O’]ホウ酸リチウム、テトラフルオロ[オキソラト−O,O’]リン酸リチウムあるいはジフルオロビス[オキソラト−O,O’]リン酸リチウムなどが挙げられる。これらは単独で用いられてもよいし、複数種が混合されて用いられてもよい。
溶媒中における電解質塩の含有量は、0.3mol/kg以上3.0mol/kg以下の範囲内であるのが好ましい。この範囲外ではイオン伝導性が極端に低下するため、容量特性などが十分に得られないおそれがあるからである。
なお、電解液は、例えば、さらに、上記した以外の他の化合物を添加剤として含んでいてもよい。電解液を備えた電気化学デバイスにおいて、保存特性がより向上するからである。この添加剤としては、例えば、スルトン(環状スルホン酸エステル)、酸無水物、あるいは不飽和結合を有する環状炭酸エステルなどが挙げられる。これらは単独で用いられてもよいし、複数種が混合されて用いられてもよい。一例を挙げると、酸無水物としては、例えば、無水コハク酸、無水グルタル酸あるいは無水マレイン酸などが挙げられる。スルトンとしては、例えば、プロパンスルトンあるいはプロペンスルトンなどが挙げられる。不飽和結合を有する環状炭酸エステルとしては、例えば、炭酸ビニレンあるいは炭酸ビニルエチレンなどが挙げられる。電解液中における添加剤の含有量は、0.5重量%以上3重量%以下の範囲内であるのが好ましい。十分な効果が得られるからである。
この電解液によれば、溶媒が化5に示した環状炭酸エステルおよび化6に示した鎖状炭酸エステルの双方を含んでいるので、それらの双方を含んでいない場合と比較して、電池などの電気化学デバイスに用いられた場合に分解反応が抑制される。これにより、電気化学デバイスにおいて電解液が電気化学的に安定化するため、サイクル特性および保存特性の向上に寄与することができる。この場合には、特に、溶媒中における化5に示した環状炭酸エステルおよび化6に示した鎖状炭酸エステルの含有量がいずれも1重量%以上50重量%以下の範囲内であれば、より高い効果を得ることができる。
次に、上記した電解液の使用例について説明する。ここで、電気化学デバイスの一例として電池を例に挙げると、電解液は以下のようにして電池に用いられる。
(第1の電池)
図1は、第1の電池の断面構成を表している。この電池は、負極の容量が電極反応物質であるリチウムの吸蔵および放出に基づく容量成分により表されるものであり、いわゆるリチウムイオン二次電池である。図1では、いわゆる円筒型と呼ばれる電池構造を示している。
この二次電池は、ほぼ中空円柱状の電池缶11の内部に、正極21および負極22がセパレータ23を介して巻回された巻回電極体20と、一対の絶縁板12,13とが収納されたものである。電池缶11は、例えば、ニッケル(Ni)めっきが施された鉄(Fe)により構成されており、その一端部および他端部はそれぞれ閉鎖および開放されている。一対の絶縁板12,13は、巻回電極体20を挟み、その巻回周面に対して垂直に延在するように配置されている。
電池缶11の開放端部には、電池蓋14と、その内側に設けられた安全弁機構15および熱感抵抗素子(Positive Temperature Coefficient;PTC素子)16とがガスケット17を介してかしめられることにより取り付けられており、電池缶11の内部は密閉されている。電池蓋14は、例えば、電池缶11と同様の材料により構成されている。安全弁機構15は、熱感抵抗素子16を介して電池蓋14と電気的に接続されている。この安全弁機構15では、内部短絡あるいは外部からの加熱などに起因して内圧が一定以上となった場合に、ディスク板15Aが反転することにより電池蓋14と巻回電極体20との間の電気的接続が切断されるようになっている。熱感抵抗素子16は、温度の上昇に応じて抵抗が増大することにより電流を制限し、大電流に起因する異常な発熱を防止するものである。ガスケット17は、例えば、絶縁材料により構成されており、その表面にはアスファルトが塗布されている。
巻回電極体20の中心には、例えば、センターピン24が挿入されている。この巻回電極体20では、アルミニウムなどにより構成された正極リード25が正極21に接続されており、ニッケルなどにより構成された負極リード26が負極22に接続されている。正極リード25は、安全弁機構15に溶接されることにより電池蓋14と電気的に接続されており、負極リード26は、電池缶11に溶接されることにより電気的に接続されている。
図2は、図1に示した巻回電極体20の一部を拡大して表している。正極21は、例えば、対向する一対の面を有する正極集電体21Aの両面に、正極活物質層21Bが設けられたものである。正極集電体21Aは、例えば、アルミニウム、ニッケルあるいはステンレスなどの金属材料により構成されている。正極活物質層21Bは、例えば、正極活物質として、電極反応物質であるリチウムを吸蔵および放出することが可能な正極材料のいずれか1種または2種以上を含んでいる。この正極活物質層21Bは、必要に応じて、導電剤や結着剤などを含んでいてもよい。
リチウムを吸蔵および放出することが可能な正極材料としては、例えば、コバルト酸リチウム、ニッケル酸リチウムあるいはそれらを含む固溶体(Li(Nix Coy Mnz )O2 );x、yおよびzの値はそれぞれ0<x<1,0<y<1,0<z<1,x+y+z=1である。)、またはスピネル構造を有するマンガン酸リチウム(LiMn2 4 )あるいはその固溶体(Li(Mn2-v Niv )O4 ;vの値はv<2である。)などのリチウム複合酸化物や、リン酸鉄リチウム(LiFePO4 )などのオリビン構造を有するリン酸化合物などが好ましい。高いエネルギー密度を得ることができるからである。また、上記した他、例えば、酸化チタン、酸化バナジウムあるいは二酸化マンガンなどの酸化物や、二硫化鉄、二硫化チタンあるいは硫化モリブデンなどの二硫化物や、硫黄や、ポリアニリンあるいはポリチオフェンなどの導電性高分子も挙げられる。
負極22は、例えば、対向する一対の面を有する負極集電体22Aの両面に、負極活物質層22Bが設けられたものである。負極集電体22Aは、例えば銅(Cu)、ニッケルあるいはステンレスなどの金属材料により構成されている。負極活物質層22Bは、リチウムを吸蔵および放出することが可能な負極材料のいずれか1種または2種以上を含んでいる。この負極活物質層22Bは、必要に応じて、導電剤あるいは結着剤などを含んでいてもよい。
リチウムを吸蔵および放出することが可能な負極材料としては、例えば、リチウムを吸蔵および放出することが可能であると共に金属元素および半金属元素のうちの少なくとも1種を構成元素として含む材料が挙げられる。このような負極材料を用いれば、高いエネルギー密度を得ることができるので好ましい。この負極材料は、金属元素あるいは半金属元素の単体でも合金でも化合物でもよく、またはそれらの1種または2種以上の相を少なくとも一部に有するようなものでもよい。なお、本発明における合金は、2種以上の金属元素からなるものに加えて、1種以上の金属元素と1種以上の半金属元素とを含むものも含む。本発明における合金は、非金属元素を含んでいてもよい。この組織には、固溶体、共晶(共融混合物)、金属間化合物あるいはそれらのうちの2種以上が共存するものがある。
この負極材料を構成する金属元素あるいは半金属元素としては、例えば、リチウムと合金を形成することが可能な金属元素あるいは半金属元素が挙げられる。具体的には、マグネシウム(Mg)、ホウ素、アルミニウム、ガリウム(Ga)、インジウム(In)、ケイ素(Si)、ゲルマニウム(Ge)、スズ(Sn)、鉛(Pb)、ビスマス(Bi)、カドミウム(Cd)、銀(Ag)、亜鉛(Zn)、ハフニウム(Hf)、ジルコニウム(Zr)、イットリウム(Y)、パラジウム(Pd)あるいは白金(Pt)などが挙げられる。このうち、特に好ましいのは、ケイ素およびスズのうちの少なくとも1種である。リチウムを吸蔵および放出する能力が特に大きく、高いエネルギー密度が得られるからである。
ケイ素およびスズのうちの少なくとも1種を含む負極材料としては、例えば、ケイ素の単体、合金、あるいは化合物、またはスズの単体、合金、あるいは化合物、またはそれらの1種あるいは2種以上の相を少なくとも一部に有する材料が挙げられる。これらは単独で用いられてもよいし、複数種が混合されて用いられてもよい。
ケイ素の合金としては、例えば、ケイ素以外の第2の構成元素として、スズ、ニッケル、銅、鉄、コバルト、マンガン、亜鉛、インジウム、銀、チタン、ゲルマニウム、ビスマス、アンチモンおよびクロムからなる群のうちの少なくとも1種を含むものが挙げられる。スズの合金としては、例えば、スズ以外の第2の構成元素として、ケイ素、ニッケル、銅、鉄、コバルト(Co)、マンガン(Mn)、亜鉛、インジウム、銀、チタン(Ti)、ゲルマニウム、ビスマス、アンチモン(Sb)およびクロム(Cr)からなる群のうちの少なくとも1種を含むものが挙げられる。
ケイ素の化合物あるいはスズの化合物としては、例えば、酸素(O)あるいは炭素(C)を含むものが挙げられ、スズまたはケイ素に加えて、上記した第2の構成元素を含んでいてもよい。
特に、ケイ素およびスズのうちの少なくとも1種を含む材料としては、例えば、スズを第1の構成元素とし、そのスズに加えて第2の構成元素と第3の構成元素とを含むものが好ましい。第2の構成元素は、コバルト、鉄、マグネシウム、チタン、バナジウム(V)、クロム、マンガン、ニッケル、銅、亜鉛、ガリウム、ジルコニウム、ニオブ(Nb)、モリブデン(Mo)、銀、インジウム、セリウム(Ce)、ハフニウム、タンタル(Ta)、タングステン(W)、ビスマスおよびケイ素からなる群のうちの少なくとも1種である。第3の構成元素は、ホウ素、炭素、アルミニウムおよびリンからなる群のうちの少なくとも1種である。第2の元素および第3の元素を含むことにより、サイクル特性が向上するからである。
中でも、負極材料としては、スズ、コバルトおよび炭素を構成元素として含み、炭素の含有量が9.9質量%以上29.7質量%以下の範囲内、スズおよびコバルトの合計に対するコバルトの割合(Co/(Sn+Co))が30質量%以上70質量%以下の範囲内であるCoSnC含有材料が好ましい。このような組成範囲において、高いエネルギー密度が得られると共に優れたサイクル特性が得られるからである。
このCoSnC含有材料は、必要に応じて、さらに他の構成元素を含んでいてもよい。他の構成元素としては、例えばケイ素、鉄、ニッケル、クロム、インジウム、ニオブ、ゲルマニウム、チタン、モリブデン、アルミニウム、リン、ガリウムあるいはビスマスなどが好ましく、それらの2種以上を含んでいてもよい。容量あるいはサイクル特性がさらに向上するからである。
なお、CoSnC含有材料は、スズ、コバルトおよび炭素を含む相を有しており、この相は結晶性の低いまたは非晶質な構造を有していることが好ましい。また、CoSnC含有材料では、構成元素である炭素の少なくとも一部が、他の構成元素である金属元素あるいは半金属元素と結合していることが好ましい。サイクル特性の低下は、スズなどが凝集あるいは結晶化することによるものであると考えられるが、炭素が他の元素と結合することにより、そのような凝集または結晶化が抑制されるからである。
元素の結合状態を調べる測定方法としては、例えばX線光電子分光法(X-ray Photoelectron Spectroscopy;XPS)が挙げられる。このXPSでは、金原子の4f軌道(Au4f)のピークが84.0eVに得られるようにエネルギー較正された装置において、グラファイトであれば、炭素の1s軌道(C1s)のピークは284.5eVに現れる。また、表面汚染炭素であれば、284.8eVに現れる。これに対して、炭素元素の電荷密度が高くなる場合、例えば、炭素が金属元素あるいは半金属元素と結合している場合には、C1sのピークは284.5eVよりも低い領域に現れる。すなわち、CoSnC含有材料について得られるC1sの合成波のピークが284.5eVよりも低い領域に現れる場合には、CoSnC含有材料に含まれる炭素の少なくとも一部が他の構成元素である金属元素あるいは半金属元素と結合している。
なお、XPSでは、例えば、スペクトルのエネルギー軸の補正に、C1sのピークを用いる。通常、表面には表面汚染炭素が存在しているので、表面汚染炭素のC1sのピークを284.8eVとし、これをエネルギー基準とする。XPSにおいて、C1sのピークの波形は、表面汚染炭素のピークとCoSnC含有材料中の炭素のピークとを含んだ形として得られるので、例えば、市販のソフトウエアを用いて解析することにより、表面汚染炭素のピークと、CoSnC含有材料中の炭素のピークとを分離する。波形の解析では、最低束縛エネルギー側に存在する主ピークの位置をエネルギー基準(284.8eV)とする。
リチウムを吸蔵および放出することが可能な負極材料としては、例えば、炭素材料、金属酸化物あるいは高分子化合物なども挙げられる。もちろん、これらの負極材料を上記した負極材料と共に用いるようにしてもよい。炭素材料としては、例えば、易黒鉛化炭素、(002)面の面間隔が0.37nm以上の難黒鉛化炭素あるいは(002)面の面間隔が0.34nm以下の黒鉛などが挙げられる。より具体的には、熱分解炭素類、コークス類、グラファイト類、ガラス状炭素繊維、有機高分子化合物焼成体、炭素繊維、活性炭あるいはカーボンブラック類などがある。このうち、コークス類には、ピッチコークス、ニードルコークスあるいは石油コークスなどがあり、有機高分子化合物焼成体というのは、フェノール樹脂やフラン樹脂などを適当な温度で焼成し、炭素化したものをいう。炭素材料は、リチウムの吸蔵および放出に伴う結晶構造の変化が非常に少ないため、例えば、その他の負極材料と共に用いることにより、高エネルギー密度を得ることができると共に優れたサイクル特性を得ることができる上、さらに導電剤としても機能するので好ましい。金属酸化物としては、例えば、酸化鉄、酸化ルテニウムあるいは酸化モリブデンなどが挙げられ、高分子化合物としては、例えば、ポリアセチレン、ポリアニリンあるいはポリピロールなどが挙げられる。
導電剤としては、例えば、黒鉛、カーボンブラックあるいはケチェンブラックなどの炭素材料が挙げられる。これらは単独で用いられてもよいし、複数種が混合されて用いられてもよい。なお、導電剤は、導電性を有する材料であれば、金属材料あるいは導電性高分子などであってもよい。
結着剤としては、例えば、スチレンブタジエン系ゴム、フッ素系ゴムあるいはエチレンプロピレンジエンなどの合成ゴムや、ポリフッ化ビニリデンなどの高分子材料が挙げられる。これらは単独で用いられてもよいし、複数種が混合されて用いられてもよい。ただし、図1に表したように、正極21および負極22が巻回されている場合には、柔軟性に富むスチレンブタジエン系ゴムあるいはフッ素系ゴムなどを用いることが好ましい。
この二次電池では、正極活物質と負極活物質との間で量を調整することにより、正極活物質による充電容量よりも、負極活物質の充電容量の方が大きくなり、完全充電時においても負極22にリチウム金属が析出しないようになっている。
セパレータ23は、正極21と負極22とを隔離し、両極の接触による電流の短絡を防止しつつ、リチウムイオンを通過させるものである。このセパレータ23は、例えば、ポリテトラフルオロエチレン、ポリプロピレンあるいはポリエチレンなどからなる合成樹脂製の多孔質膜、またはセラミック製の多硬質膜により構成されており、これらの2種以上の多孔質膜を積層した構造とされていてもよい。中でも、ポリオレフィン製の多孔質膜は、ショート防止効果に優れ、かつ、シャットダウン効果による電池の安全性向上を図ることができるので好ましい。特に、ポリエチレンは、100℃以上160℃以下の範囲内でシャットダウン効果を得ることができると共に、電気化学的安定性にも優れているので好ましい。また、ポリプロピレンも好ましく、他にも化学的安定性を備えた樹脂であれば、ポリエチレンあるいはポリプロピレンと共重合させたものであったり、ブレンド化したものであってもよい。
セパレータ23には、液状の電解質として、上記した電解液が含浸されている。優れたサイクル特性および保存特性が得られるからである。
この二次電池は、例えば、以下のようにして製造される。
まず、正極集電体21Aの両面に正極活物質層21Bを形成することにより、正極21を作製する。この正極活物質層21Bを形成する際には、正極活物質の粉末と、導電剤と、結着剤とを混合した正極合剤をN−メチル−2−ピロリドンなどの溶剤に分散させることによりペースト状の正極合剤スラリーとし、その正極合剤スラリーを正極集電体21Aに塗布して乾燥させたのちに圧縮成型する。また、正極21と同様の手順にしたがって負極集電体22Aの両面に負極活物質層22Bを形成することにより、負極22を作製する。
続いて、正極集電体21Aに正極リード25を溶接して取り付けると共に、負極集電体22Aに負極リード26を溶接して取り付ける。続いて、正極21および負極22をセパレータ23を介して巻回させることにより巻回電極体20を形成し、正極リード25の先端部を安全弁機構15に溶接すると共に負極リード26の先端部を電池缶11に溶接したのち、巻回電極体20を一対の絶縁板12,13で挟みながら電池缶11の内部に収納する。続いて、電池缶11の内部に電解液を注入してセパレータ23に含浸させる。最後に、電池缶11の開口端部に電池蓋14、安全弁機構15および熱感抵抗素子16をガスケット17を介してかしめることにより固定する。これにより、図1および図2に示した二次電池が完成する。
この二次電池では、充電を行うと、例えば、正極21からリチウムイオンが放出され、電解液を介して負極22に吸蔵される。一方、放電を行うと、例えば、負極22からリチウムイオンが放出され、電解液を介して正極21に吸蔵される。
この二次電池によれば、負極22の容量がリチウムの吸蔵および放出に基づく容量成分により表される場合に、上記した電解液を備えるようにしたので、サイクル特性および保存特性を向上させることができる。
次に、第2および第3の電池について説明するが、第1の電池と共通の構成要素については、同一符号を付して、その説明は省略する。
(第2の電池)
第2の電池は、負極22の構成が異なる点を除き、第1の電池と同様の構成、作用および効果を有しており、同様の手順により製造される。
負極22は、第1の電池と同様に、負極集電体22Aの両面に負極活物質層22Bが設けられたものである。負極活物質層22Bは、例えば、ケイ素あるいはスズを構成元素として含む負極活物質を含有している。具体的には、例えば、ケイ素の単体、合金あるいは化合物、またはスズの単体、合金あるいは化合物を含有しており、それらの2種以上を含有していてもよい。ケイ素およびスズは、リチウムを吸蔵および放出する能力が大きく、高いエネルギー密度を得ることができるので好ましい。
この負極活物質層22Bは、例えば、気相法、液相法、溶射法あるいは焼成法、またはそれらの2種以上の方法を用いて形成されたものであり、負極活物質層22Bと負極集電体22Aとが界面の少なくとも一部において合金化していることが好ましい。具体的には、界面において負極集電体22Aの構成元素が負極活物質層22Bに拡散し、あるいは負極活物質層22Bの構成元素が負極集電体22Aに拡散し、またはそれらの構成元素が互いに拡散し合っていることが好ましい。充放電に伴う負極活物質層22Bの膨張および収縮による破壊を抑制することができると共に、負極活物質層22Bと負極集電体22Aとの間の電子伝導性を向上させることができるからである。
なお、気相法としては、例えば、物理堆積法あるいは化学堆積法、具体的には真空蒸着法、スパッタ法、イオンプレーティング法、レーザーアブレーション法、熱化学気相成長(CVD;Chemical Vapor Deposition )法あるいはプラズマ化学気相成長法などが挙げられる。液相法としては、電気鍍金あるいは無電解鍍金などの公知の手法を用いることができる。焼成法とは、例えば、粒子状の負極活物質を結着剤などと混合して溶剤に分散させることにより塗布したのち、結着剤などの融点よりも高い温度で熱処理する方法である。焼成法に関しても公知の手法が利用可能であり、例えば、雰囲気焼成法、反応焼成法あるいはホットプレス焼成法が挙げられる。
(第3の電池)
第3の電池は、負極22の容量がリチウムの析出および溶解に基づく容量成分により表されるものであり、いわゆるリチウム金属二次電池である。この二次電池は、負極活物質層22Bがリチウム金属により構成されている点を除き、第1の電池と同様の構成を有しており、同様の手順により製造される。
この二次電池では、負極活物質としてリチウム金属を用いており、これにより高いエネルギー密度を得ることができるようになっている。負極活物質層22Bは、組み立て時から既に有するようにしてもよいが、組み立て時には存在せず、充電時に析出したリチウム金属により構成されるようにしてもよい。また、負極活物質層22Bを集電体としても利用することにより、負極集電体22Aを省略するようにしてもよい。
この二次電池では、充電を行うと、例えば、正極21からリチウムイオンが放出され、電解液を介して負極集電体22Aの表面にリチウム金属となって析出する。一方、放電を行うと、例えば、負極活物質層22Bからリチウム金属がリチウムイオンとなって溶出し、電解液を介して正極21に吸蔵される。
この二次電池によれば、負極22の容量がリチウムの析出および溶解に基づく容量成分により表される場合に、上記した電解液を備えるようにしたので、サイクル特性および保存特性を向上させることができる。
(第4の電池)
図3は、第4の電池の分解斜視構成を表している。この電池は、正極リード31および負極リード32が取り付けられた巻回電極体30をフィルム状の外装部材40の内部に収容したものであり、この電池構造はいわゆるラミネート型と呼ばれている。
正極リード31および負極リード32は、例えば、それぞれ外装部材40の内部から外部に向かって同一方向に導出されている。正極リード31は、例えば、アルミニウムなどの金属材料により構成されており、負極リード32は、例えば、銅、ニッケルあるいはステンレスなどの金属材料により構成されている。正極リード31および負極リード32を構成するそれぞれの金属材料は、薄板状または網目状とされている。
外装部材40は、例えば、ナイロンフィルム、アルミニウム箔およびポリエチレンフィルムがこの順に貼り合わされた矩形状のアルミラミネートフィルムにより構成されている。この外装部材40では、例えば、ポリエチレンフィルムが巻回電極体30と対向していると共に、各外縁部が融着あるいは接着剤により互いに密着されている。外装部材40と正極リード31および負極リード32との間には、外気の侵入を防止するための密着フィルム41が挿入されている。この密着フィルム41は、正極リード31および負極リード32に対して密着性を有する材料、例えば、ポリエチレン、ポリプロピレン、変性ポリエチレンあるいは変性ポリプロピレンなどのポリオレフィン樹脂により構成されている。
なお、外装部材40は、上記した3層構造のアルミラミネートフィルムに代えて、他の構造を有するラミネートフィルムにより構成されていてもよいし、またはポリプロピレンなどの高分子フィルムあるいは金属フィルムにより構成されていてもよい。
図4は、図3に示した巻回電極体30のIV−IV線に沿った断面構成を表している。この電極巻回体30は、正極33および負極34がセパレータ35および電解質36を介して積層されたのちに巻回されたものであり、その最外周部は保護テープ37により保護されている。
正極33は、例えば、正極集電体33Aの両面に正極活物質層33Bが設けられたものである。負極34は、例えば、負極集電体34Aの両面に負極活物質層34Bが設けられたものであり、その負極活物質層34Bが正極活物質層33Bと対向するように配置されている。正極集電体33A、正極活物質層33B、負極集電体34A、負極活物質層34Bおよびセパレータ35の構成は、それぞれ上記第1あるいは第2の電池における正極集電体21A、正極活物質層21B、負極集電体22A、負極活物質層22Bおよびセパレータ23の構成と同様である。
電解質36は、上記した電解液と、それを保持する高分子化合物とを含んでおり、いわゆるゲル状になっている。ゲル状の電解質は、高いイオン伝導率(例えば、室温で1mS/cm以上)が得られると共に漏液が防止されるので好ましい。
高分子化合物としては、例えば、ポリアクリロニトリル、ポリフッ化ビニリデン、ポリフッ化ビニリデンとポリヘキサフルオロピレンとの共重合体、ポリテトラフルオロエチレン、ポリヘキサフルオロプロピレン、ポリエチレンオキサイド、ポリプロピレンオキサイド、ポリフォスファゼン、ポリシロキサン、ポリ酢酸ビニル、ポリビニルアルコール、ポリメタクリル酸メチル、ポリアクリル酸、ポリメタクリル酸、スチレン−ブタジエンゴム、ニトリル−ブタジエンゴム、ポリスチレンあるいはポリカーボネートなどが挙げられる。これらは単独で用いられてもよいし、複数種が混合されて用いられてもよい。特に、電気化学的安定性の点から、ポリアクリロニトリル、ポリフッ化ビニリデン、ポリヘキサフルオロプロピレンあるいはポリエチレンオキサイドなどを用いることが好ましい。電解液中における高分子化合物の添加量は、両者の相溶性によっても異なるが、例えば5質量%以上50質量%以下の範囲であるのが好ましい。
電解質塩の含有量は、上記した電解液について説明した場合と同様である。ただし、この場合の溶媒とは、液状の溶媒だけでなく、電解質塩を解離させることが可能なイオン伝導性を有するものまで含む広い概念である。したがって、イオン伝導性を有する高分子化合物を用いる場合には、その高分子化合物も溶媒に含まれる。
なお、電解質36としては、電解液を高分子化合物に保持させたものに代えて、電解液をそのまま用いてもよい。この場合には、電解液がセパレータ35に含浸される。
この二次電池は、例えば、以下のようにして製造される。
まず、電解液と、高分子化合物と、混合溶剤とを含む前駆溶液を調製し、正極33および負極34のそれぞれに塗布したのちに混合溶剤を揮発させることにより、電解質36を形成する。続いて、正極集電体33Aに正極リード31を取り付けると共に、負極集電体34Aに負極リード32を取り付ける。続いて、電解質36が形成された正極33および負極34をセパレータ35を介して積層させたのち、長手方向に巻回させると共に最外周部に保護テープ37を接着させることにより、巻回電極体30を形成する。続いて、例えば、外装部材40の間に巻回電極体30を挟み込み、その外装部材40の外縁部同士を熱融着などで密着させることにより巻回電極体30を封入する。その際、正極リード31および負極リード32と外装部材40との間に、密着フィルム41を挿入する。これにより、図3および図4に示した二次電池が完成する。
なお、この二次電池は、以下のようにして製造されてもよい。まず、正極33および負極34にそれぞれ正極リード31および負極リード32を取り付けたのち、それらの正極33および負極34をセパレータ35を介して積層および巻回させると共に最外周部に保護テープ37を接着させることにより、巻回電極体30の前駆体である巻回体を形成する。続いて、外装部材40の間に巻回体を挟み込み、一辺の外周縁部を除く残りの外周縁部を熱融着などで密着させることにより、袋状の外装部材40の内部に収納する。続いて、電解液と、高分子化合物の原料であるモノマーと、重合開始剤と、必要に応じて重合禁止剤などの他の材料とを含む電解質用組成物を調製し、袋状の外装部材40の内部に注入したのち、外装部材40の開口部を熱融着などで密封する。最後に、モノマーを熱重合させて高分子化合物とすることにより、ゲル状の電解質36を形成する。これにより、図3および図4に示した二次電池が完成する。
この二次電池の作用および効果は、上記した第1あるいは第2の二次電池と同様である。
本発明の具体的な実施例について詳細に説明する。
(1)半金属系負極(電子ビーム蒸着法)
負極活物質としてケイ素を用いて、図1および図2に示した円筒型の二次電池を製造した。この際、負極22の容量がリチウムの吸蔵および放出に基づく容量成分により表されるリチウムイオン二次電池となるようにした。
(実施例1)
まず、正極21を作製した。すなわち、炭酸リチウム(Li2 CO3 )と炭酸コバルト(CoCO3 )とを0.5:1のモル比で混合したのち、空気中において900℃で5時間焼成することにより、リチウム・コバルト複合酸化物(LiCoO2 )を得た。続いて、正極活物質としてリチウム・コバルト複合酸化物91質量部と、導電剤としてグラファイト6質量部と、結着剤としてポリフッ化ビニリデン3質量部とを混合することにより正極合剤としたのち、N−メチル−2−ピロリドンに分散させることにより、ペースト状の正極合剤スラリーとした。最後に、帯状のアルミニウム箔(12μm厚)からなる正極集電体21Aの両面に正極合剤スラリーを塗布して乾燥させたのち、ロールプレス機で圧縮成型することにより、正極活物質層21Bを形成した。こののち、正極集電体21Aの一端に、アルミニウム製の正極リード25を溶接して取り付けた。
また、銅箔(15μm厚)からなる負極集電体22Aの両面に、電子ビーム蒸着法によりケイ素からなる負極活物質層22Bを形成することにより、負極22を作製した。こののち、負極集電体22Aの一端に、ニッケル製の負極リード26を取り付けた。
続いて、正極21と、微多孔性ポリプロピレンフィルム(25μm厚)からなるセパレータ23と、負極22とをこの順に積層してから渦巻状に多数回巻回させたのち、巻き終わり部分を粘着テープで固定することにより、巻回電極体20を形成した。続いて、ニッケルめっきが施された鉄製の電池缶11を準備したのち、巻回電極体20を一対の絶縁板12,13で挟み、負極リード26を電池缶11に溶接すると共に正極リード25を安全弁機構15に溶接して、その巻回電極体20を電池缶11の内部に収納した。続いて、電池缶11の内部に、減圧方式により電解液を注入した。
この電解液の溶媒としては、炭酸エチレン(EC)と、炭酸ジエチル(DEC)と、化5に示した環状炭酸エステルである4−フルオロ−1,3−ジオキソラン−2−オン(FEC)と、化6に示した鎖状炭酸エステルである炭酸フルオロメチルメチル(FDMC)とを混合したものを用い、その溶媒の組成を重量比でEC:DEC:FEC:FDMC=20:60:10:10とした。また、電解質塩としては、六フッ化リン酸リチウム(LiPF6 )を用い、電解液中における電解質塩の濃度を1mol/kgとした。
続いて、表面にアスファルトが塗布されたガスケット17を介して電池缶11をかしめることにより、安全弁機構15、熱感抵抗素子16および電池蓋14を固定した。これにより、電池缶11の内部の気密性が確保され、円筒型の二次電池が完成した。
(比較例1−1)
溶媒としてECおよびDECのみを用いたことを除き、実施例1−1と同様の手順を経た。その際、溶媒の組成を重量比でEC:DEC=30:70とした。
(比較例1−2〜1−4)
溶媒として、ECおよびDECと共に、ハロゲンを構成元素として有する環状炭酸エステルを用いたことを除き、実施例1−1と同様の手順を経た。その際、上記した環状炭酸エステルとして、化5に示した環状炭酸エステルであるFEC(比較例1−2)、4−クロロ−1,3−ジオキソラン−2−オン(ClEC;比較例1−3)および4−ブロモ−1,3−ジオキソラン−2−オン(BrEC;比較例1−4)を用い、溶媒の組成を重量比でEC:DEC:FEC(あるいはClEC,BrEC)=20:70:10とした。
(比較例1−5〜1−8)
溶媒として、ECおよびDECと共に、ハロゲンを構成元素として有する鎖状炭酸エステルを用いたことを除き、実施例1−1と同様の手順を経た。その際、上記した鎖状炭酸エステルとして、化6に示した鎖状炭酸エステルである炭酸フルオロメチルメチル(FDMC;比較例1−5)、炭酸クロロメチルメチル(ClDMC;比較例1−6)、炭酸ブロモメチルメチル(BrDMC;比較例1−7)および炭酸(1−クロロエチル)エチル(ClDEC;比較例1−8)を用い、溶媒の組成を重量比でEC:DEC:FDMC(あるいはClDMC,BrDMC,ClDEC)=30:60:10とした。
(比較例1−9〜1−13)
溶媒として、ECおよびDECと共に、ハロゲンを構成元素として有する環状炭酸エステルおよびハロゲンを構成元素として有する鎖状炭酸エステルを用いたことを除き、実施例1−1と同様の手順を経た。その際、上記した環状炭酸エステルおよび鎖状炭酸エステルとして、FECおよびClDMC(比較例1−9)、FECおよびClDEC(比較例1−10)、ClECおよびFDMC(比較例1−11)、ClECおよびClDMC(比較例1−12)、ならびにClECおよびClDEC(比較例1−13)を用い、溶媒の組成を重量比でEC:DEC:FEC(あるいはClEC):FDMC(あるいはClDMC,ClDEC)=20:60:10:10とした。
これらの実施例1および比較例1−1〜1−13の二次電池についてサイクル特性および保存特性を調べたところ、表1に示した結果が得られた。
サイクル特性を調べる際には、以下の手順により二次電池を繰り返し充放電したのち、放電容量維持率を算出した。まず、23℃の雰囲気中において2サイクル充放電することにより、2サイクル目の放電容量を求めた。続いて、同雰囲気中において100サイクル充放電することにより、102サイクル目の放電容量を求めた。最後に、放電容量維持率(%)=(102サイクル目の放電容量/2サイクル目の放電容量)×100を算出した。1サイクルの充放電条件としては、0.2Cの充電電流で上限電圧4.2Vまで定電流定電圧充電したのち、0.2Cの放電電流で終止電圧2.5Vまで定電流放電した。この「0.2C」とは、理論容量を5時間で放電しきる電流値である。
保存特性を調べる際には、以下の手順により二次電池を保存したのち、放電容量維持率を算出した。まず、23℃の雰囲気中において2サイクル充放電することにより、2サイクル目の放電容量(保存前の放電容量)を求めた。続いて、再度充電した状態において80℃の恒温槽中に10日間保存したのち、23℃の雰囲気中において放電することにより放電容量(保存後の放電容量)を求めた。最後に、放電容量維持率(%)=(保存後の放電容量/保存前の放電容量)×100を算出した。1サイクルの充放電条件は、常温サイクル特性を調べた場合と同様にした。
なお、サイクル特性および保存特性を調べる際の手順および条件等は、以降の一連の実施例および比較例に関する同特性の評価についても同様である。
Figure 2008123714
表1に示したように、溶媒がFECおよびFDMCの双方を含んでいる実施例1−1では、それらの双方を含んでいない比較例1−1〜1−13と比較して、サイクル特性および保存特性の放電容量維持率が高くなった。
詳細には、溶媒がハロゲンを構成元素として有する環状炭酸エステルおよびハロゲンを構成元素として有する鎖状炭酸エステルの双方を含んでいない場合(比較例1−1)について比較すると、サイクル特性および保存特性の放電容量維持率は、FECおよびFDMCの双方を含んでいる実施例1(78%および80%)において、FECおよびFDMCのいずれをも含んでいない比較例1−1(26%および64%)よりも高くなった。
溶媒がハロゲンを構成元素として有する環状炭酸エステルのみを含んでいる場合(比較例1−2〜1−4)について比較すると、サイクル特性および保存特性の放電容量維持率は、実施例1において、FECのみを含んでいる比較例1−2(48%および60%)よりも高くなった。なお、FECに代えてClECおよびBrECを含んでいる比較例1−3(35%および62%),1−4(25%および59%)では、FECを含んでいる比較例1−2と保存特性の放電容量維持率がほぼ同等であったが、その比較例1−2よりもサイクル特性の放電容量維持率が大幅に低くなった。この結果は、環状炭酸エステルに含まれるハロゲンの種類を比較すると、サイクル特性を向上させるためには塩素および臭素よりもフッ素が好ましいことを表している。
溶媒がハロゲンを構成元素として有する鎖状炭酸エステルのみを含んでいる場合(比較例1−5〜1−8)について比較すると、サイクル特性および保存特性の放電容量維持率は、実施例1において、FDMCのみを含んでいる比較例1−5(36%および70%)よりも高くなった。なお、FDMCに代えてClDMC、BrDMCおよびClDECを含んでいる比較例1−6(27%および67%),1−7(23%および60%),1−8(28%および69%)では、FDMCを含んでいる比較例1−5と保存特性の放電容量維持率がほぼ同等であったが、その比較例1−5よりもサイクル特性の放電容量維持率が大幅に低くなった。この結果は、鎖状炭酸エステルに含まれるハロゲンの種類を比較すると、サイクル特性を向上させるためには塩素および臭素よりもフッ素が好ましいことを表している。
溶媒がハロゲンを構成元素として有する環状炭酸エステルおよびハロゲンを構成元素として有する鎖状炭酸エステルの双方を含んでいる場合(比較例1−9〜1−13)について比較すると、サイクル特性および保存特性の放電容量維持率は、実施例1において、FECおよびClDMCを含んでいる比較例1−9(48%および62%)、FECおよびClDECを含んでいる比較例1−10(47%および63%)、ClECおよびFDMCを含んでいる比較例1−11(43%および67%)、ClECおよびClDMCを含んでいる比較例1−12(39%および64%)、ならびにClECおよびClDECを含んでいる比較例1−13(41%および65%)よりも高くなった。なお、上記したようにハロゲンの種類として塩素および臭素よりもフッ素が好ましいことは、サイクル特性の放電容量維持率がFECを含んでいない比較例1−12,1−13よりもFECを含んでいる比較例1−9,1−10においてそれぞれ高くなっており、あるいはFDMCを含んでいない比較例1−12,1−13よりもFDMCを含んでいる比較例1−11において高くなっていることからも明らかである。
このことから、負極22が負極活物質としてケイ素(電子ビーム蒸着法)を含むと共に電解液の溶媒がECおよびDECを含む二次電池では、その溶媒が化5に示した環状炭酸エステルおよび化6に示した鎖状炭酸エステルの双方を含むことにより、サイクル特性および保存特性が向上することが確認された。
(実施例2−1〜2−12)
溶媒として、ECおよびDECと共に、化5に示した環状炭酸エステルであるFECおよび化6に示した鎖状炭酸エステルであるFDMCを用い、その溶媒の組成を重量比でEC:DEC:FEC:FDMC=0:0:50:50(実施例2−1)、25:25:25:25(実施例2−2)、0:50:30:20(実施例2−3) 、20:50:10:20(実施例2−4)、20:65:10:5(実施例2−5)、25:50:5:20(実施例2−6)、25:60:5:10(実施例2−7)、25:65:5:5(実施例2−8)、29:50:1:20(実施例2−9)、29:60:1:10(実施例2−10)、29:65:1:5(実施例2−11)および29:69:1:1(実施例2−12)としたことを除き、実施例1−1と同様の手順を経た。
(比較例2−1〜2−4)
溶媒の組成を重量比でEC:DEC:FEC:FDMC=0:50:50:0(比較例2−1)、50:0:0:50(比較例2−2)、29:70:1:0(比較例2−3)および30:69:0:1(比較例2−4)にしたことを除き、実施例2−1〜2−12と同様の手順を経た。
これらの実施例2−1〜2−12および比較例2−1〜2−4の二次電池についてサイクル特性および保存特性を調べたところ、表2に示した結果が得られた。なお、表2には、実施例1−1および比較例1−1,1−2,1−5の特性も併せて示した。
Figure 2008123714
表2に示したように、サイクル特性および保存特性の放電容量維持率は、溶媒がFECおよびFDMCの双方を含んでいる実施例1−1,2−1〜2−12において、それらの双方を含んでいない比較例1−1,1−2,1−5,2−1〜2−4よりも高くなった。詳細には、放電容量維持率は、FECおよびFDMCの双方を含んでいる実施例1−1,2−1〜2−12(30%〜79%および65%〜82%)において、それらをいずれも含んでいない比較例1−1(26%および64%)よりも高くなった。また、FECおよびFDMCの含有量が50重量%である実施例2−1(78%および65%)および比較例2−1(74%および54%),2−2(44%および64%)、10重量%である実施例1−1(78%および80%)および比較例1−2(48%および60%),1−5(36%および70%)、ならびに1重量%である実施例2−12(30%および70%)および比較例2−3(27%および62%),2−4(26%および69%)をそれぞれ比較すると、放電容量維持率は、いずれの場合においても実施例において比較例よりも高くなった。特に、実施例1−1,2−1〜2−12について上記した結果が得られた場合におけるFECおよびFDMCの含有量の下限および上限は、FECおよびFDMCに共通してそれぞれ1重量%および50重量%であった。このことから、負極22が負極活物質としてケイ素(電子ビーム蒸着法)を含むと共に電解液の溶媒がECおよびDECを含む二次電池では、その溶媒が化5に示した環状炭酸エステルとしてFECを含むと共に化6に示した鎖状炭酸エステルとしてFDMCを含むことにより、サイクル特性および保存特性が向上することが確認された。この場合には、電解液中におけるFECおよびFDMCの含有量として、1重量%以上50重量%以下の範囲内が好ましいことも確認された。
(実施例3−1〜3−13)
溶媒としてFECに代えてDFECを用いたことを除き、実施例2−1〜2−4,1−1,2−5〜2−12と同様の手順を経た。
(比較例3−1〜3−3)
溶媒としてFECに代えてDFECを用いたことを除き、比較例2−1,1−2,2−3と同様の手順を経た。
これらの実施例3−1〜3−13および比較例3−1〜3−3の二次電池についてサイクル特性および保存特性を調べたところ、表3に示した結果が得られた。なお、表3には、比較例1−1,1−5,2−2,2−4の特性も併せて示した。
Figure 2008123714
表3に示したように、サイクル特性および保存特性の放電容量維持率は、溶媒がDFECおよびFDMCの双方を含んでいる実施例3−1〜3−13において、それらの双方を含んでいない比較例1−1,1−5,2−2,2−4,3−1〜3−3よりも高くなった。詳細には、放電容量維持率は、DFECおよびFDMCの双方を含んでいる実施例3−1〜3−13(42%〜82%および68%〜82%)において、それらをいずれも含んでいない比較例1−1(26%および64%)よりも高くなった。また、DFECおよびFDMCの含有量が50重量%である実施例3−1(80%および70%)および比較例3−1(78%および56%),2−2(44%および64%)、10重量%である実施例3−5(80%および79%)および比較例3−2(72%および62%),1−5(36%および70%)、ならびに1重量%である実施例3−13(42%および70%)および比較例3−3(35%および63%),2−4(26%および69%)をそれぞれ比較すると、放電容量維持率は、いずれの場合においても実施例において比較例よりも高くなった。特に、実施例3−1〜3−13について上記した結果が得られた場合におけるDFECおよびFDMCの含有量の下限および上限は、DFECおよびFDMCに共通してそれぞれ1重量%および50重量%であった。このことから、負極22が負極活物質としてケイ素(電子ビーム蒸着法)を含むと共に電解液の溶媒がECおよびDECを含む二次電池では、その溶媒が化5に示した環状炭酸エステルとしてDFECを含むと共に化6に示した鎖状炭酸エステルとしてFDMCを含むことにより、サイクル特性および保存特性が向上することが確認された。この場合には、電解液中におけるDFECおよびFDMCの含有量として、1重量%以上50重量%以下の範囲内が好ましいことも確認された。
(実施例4−1〜4−13)
溶媒としてFDMCに代えてDFDMCを用いたことを除き、実施例2−1〜2−4,1−1,2−5〜2−12と同様の手順を経た。
(比較例4−1〜4−3)
溶媒としてFDMCに代えてDFDMCを用いたことを除き、比較例2−2,1−5,2−4と同様の手順を経た。
これらの実施例4−1〜4−13および比較例4−1〜4−3の二次電池についてサイクル特性および保存特性を調べたところ、表4に示した結果が得られた。なお、表4には、比較例1−1,1−2,2−1,2−3の特性も併せて示した。
Figure 2008123714
表4に示したように、サイクル特性および保存特性の放電容量維持率は、溶媒がFECおよびDFDMCの双方を含んでいる実施例4−1〜4−13において、それらの双方を含んでいない比較例1−1,1−2,2−1,2−3,4−1〜4−3よりも高くなった。詳細には、放電容量維持率は、FECおよびDFDMCの双方を含んでいる実施例4−1〜4−13(32%〜79%および65%〜82%)において、それらをいずれも含んでいない比較例1−1(26%および64%)よりも高くなった。また、FECおよびDFDMCの含有量が50重量%である実施例4−1(79%および68%)および比較例2−1(74%および54%),4−1(49%および67%)、10重量%である実施例4−5(79%および80%)および比較例1−2(48%および60%),4−2(43%および70%)、ならびに1重量%である実施例4−13(32%および70%)および比較例2−3(27%および62%),4−3(27%および69%)を比較すると、放電容量維持率は、いずれの場合においても実施例において比較例よりも高くなった。特に、実施例4−1〜4−13について上記した結果が得られた場合におけるFECおよびDFDMCの含有量の下限および上限は、FECおよびDFDMCに共通してそれぞれ1重量%および50重量%であった。このことから、負極22が負極活物質としてケイ素(電子ビーム蒸着法)を含むと共に電解液の溶媒がECおよびDECを含む二次電池では、その溶媒が化5に示した環状炭酸エステルとしてFECを含むと共に化6に示した鎖状炭酸エステルとしてDFDMCを含むことにより、サイクル特性および保存特性が向上することが確認された。この場合には、電解液中におけるFECおよびDFDMCの含有量として、1重量%以上50重量%以下の範囲内が好ましいことも確認された。
(実施例5−1〜5−13)
溶媒としてFECおよびFDMCに代えてそれぞれDFECおよびDFDMCを用いたことを除き、実施例2−1〜2−4,1−1,2−5〜2−12と同様の手順を経た。
これらの実施例5−1〜5−13の二次電池についてサイクル特性および保存特性を調べたところ、表5に示した結果が得られた。なお、表5には、比較例1−1,3−1〜3−3,4−1〜4−3の特性も併せて示した。
Figure 2008123714
表5に示したように、サイクル特性および保存特性の放電容量維持率は、溶媒がDFECおよびDFDMCの双方を含んでいる実施例5−1〜5−13において、それらの双方を含んでいない比較例1−1,3−1〜3−3,4−1〜4−3よりも高くなった。詳細には、放電容量維持率は、DFECおよびDFDMCの双方を含んでいる実施例5−1〜5−13(48%〜85%および68%〜83%)において、それらをいずれも含んでいない比較例1−1(26%および64%)よりも高くなった。また、DFECおよびDFDMCの含有量が50重量%である実施例5−1(82%および70%)および比較例3−1(78%および56%),4−1(49%および67%)、10重量%である実施例5−5(84%および80%)および比較例3−2(72%および62%),4−2(43%および70%)、ならびに1重量%である実施例5−13(48%および71%)および比較例3−3(35%および63%),4−3(27%および69%)をそれぞれ比較すると、放電容量維持率は、いずれの場合においても実施例において比較例よりも高くなった。特に、実施例5−1〜5−13について上記した結果が得られた場合におけるDFECおよびDFDMCの含有量の下限および上限は、DFECおよびDFDMCに共通してそれぞれ1重量%および50重量%であった。このことから、負極22が負極活物質としてケイ素(電子ビーム蒸着法)を含むと共に電解液の溶媒がECおよびDECを含む二次電池では、その溶媒が化5に示した環状炭酸エステルとしてDFECを含むと共に化6に示した鎖状炭酸エステルとしてDFDMCを含むことにより、サイクル特性および保存特性が向上することが確認された。この場合には、電解液中におけるDFECおよびDFDMCの含有量として、1重量%以上50重量%以下の範囲内が好ましいことも確認された。
また、表2〜表5に示した結果から、化5に示した環状炭酸エステルおよび化6に示した鎖状炭酸エステルの種類が異なることを除いて共通の組成を有する実施例1−1,3−5,4−5,5−5を比較すると、サイクル特性の放電容量維持率は、FECおよびFDMCを含んでいる実施例1−1(78%)よりも、FECに代えてDFECを含んでいる実施例3−5(80%)およびFDMCに代えてDFDMCを含んでいる実施例4−5(79%)において高くなり、さらにDFECおよびDFDMCを含んでいる実施例5−5(84%)において高くなった。このことから、サイクル特性を向上させるためには、FECおよびFDMCよりもそれぞれDFECおよびDFDMCが好ましく、特にDFECおよびDFDMCの組み合わせが好ましいことが確認された。
(実施例6−1〜6−11)
溶媒としてECに代えて炭酸プロピレン(PC)を用いたことを除き、実施例5−2,5−4〜5−13と同様の手順を経た。
(比較例6−1〜6−6)
溶媒としてECに代えてPCを用いたことを除き、比較例1−1,4−1,3−2,4−2,3−3,4−3と同様の手順を経た。
これらの実施例6−1〜6−11および比較例6−1〜6−6の二次電池についてサイクル特性および保存特性を調べたところ、表6に示した結果が得られた。なお、表6には、比較例3−1の特性も併せて示した。
Figure 2008123714
表6に示したように、サイクル特性および保存特性の放電容量維持率は、溶媒がDFECおよびDFDMCの双方を含んでいる実施例6−1〜6−11において、それらの双方を含んでいない比較例3−1,6−1〜6−6よりも高くなった。詳細には、放電容量維持率は、DFECおよびDFDMCの双方を含んでいる実施例6−1〜6−11(49%〜84%および72%〜83%)において、それらをいずれも含んでいない比較例6−1(25%および69%)よりも高くなった。また、DFECおよびDFDMCの含有量が10重量%である実施例6−3(83%および81%)および比較例6−3(73%および63%),6−4(42%および71%)、ならびに1重量%である実施例6−11(49%および72%)および比較例6−5(34%および68%),6−6(26%および70%)を比較すると、放電容量維持率は、いずれの場合においても実施例において比較例よりも高くなった。このことから、負極22が負極活物質としてケイ素(電子ビーム蒸着法)を含むと共に電解液の溶媒が化5に示した環状炭酸エステルおよび化6に示した鎖状炭酸エステルの双方を含む二次電池では、上記した環状炭酸エステルおよび鎖状炭酸エステル以外の他の溶媒の種類を変更した場合においても、サイクル特性および保存特性が向上することが確認された。なお、ここでは溶媒がDFECおよびDFDMCを含む場合についてしか説明していないが、溶媒がPCおよびDECを含む場合においても、その溶媒がFECおよびFDMC、DFECおよびFDMC、あるいはFECおよびDFDMCを含むことにより、表2〜表4に示した結果と同様の結果が得られることは言うまでもない。
(実施例7−1〜7−5)
電解液に2−プロペンスルトン(PRS;実施例7−1)、コハク酸無水物(SCAH;実施例7−2)、炭酸ビニレン(VC;実施例7−3)、四フッ化ホウ酸リチウム(LiBF4 ;実施例7−4)およびビス[オキソラト−O,O’]ホウ酸リチウム(LiBOB;実施例7−5)をそれぞれ加えたことを除き、実施例5−5と同様の手順を経た。その際、電解液中における添加剤の含有量を1重量%とした。
これらの実施例7−1〜7−5の二次電池についてサイクル特性および保存特性を調べたところ、表7に示した結果が得られた。なお、表7には、実施例5−5の特性も併せて示した
Figure 2008123714
表7に示したように、保存特性の放電容量維持率は、PRS、SCAH、VC、LiBFおよびLiBOBを含んでいる実施例7−1〜7−5(82%〜85%)において、それらを含んでいない実施例5−5(80%)よりも高くなった。なお、サイクル特性の放電容量維持率は、実施例7−1〜7−5(83%〜84%)において実施例5−5(84%)とほぼ同等であった。このことから、電解液の溶媒が化5に示した環状炭酸エステルおよび化6に示した鎖状炭酸エステルの双方を含む場合には、その電解液にスルトン、酸無水物、不飽和結合を有する環状炭酸エステルあるいは他のリチウム塩を加えることにより、保存特性がより向上することが確認された。
(2)半金属系負極(焼結法)
(実施例8−1〜8−13)
焼結法により負極活物質層22Bを形成したことを除き、実施例5−1〜5−13と同様の手順を経た。負極22を作製する際には、まず、負極活物質として平均粒径2μmのケイ素粉末90質量部と、結着剤としてポリフッ化ビニリデン粉末10質量部とを混合し、N−メチル−2−ピロリドンに分散させたのち、銅箔(20μm厚)からなる負極集電体22Aの両面に塗布して乾燥させた。続いて、負極集電体22Aの片面側における負極活物質層22Bの厚さが15μmとなるように圧縮成型した。最後に、350℃で3時間に渡って加熱したのち、冷却後に帯状に裁断した。
(比較例8−1〜8−7)
実施例8−1〜8−13と同様に焼結法により負極活物質層22Bを形成したことを除き、比較例1−1,3−1,4−1,3−2,4−2,3−3,4−3と同様の手順を経た。
これらの実施例8−1〜8−13および比較例8−1〜8−7の二次電池についてサイクル特性および保存特性を調べたところ、表8に示した結果が得られた。
Figure 2008123714
表8に示したように、サイクル特性および保存特性の放電容量維持率は、溶媒がDFECおよびDFDMCの双方を含んでいる実施例8−1〜8−13において、それらの双方を含んでいない比較例8−1〜8−7よりも高くなった。詳細には、放電容量維持率は、実施例8−1〜8−13(48%〜82%および68%〜83%)において比較例8−1(25%および67%)よりも高くなった。また、DFECおよびDFDMCの含有量ごとに、実施例8−1(73%および74%)および比較例8−2(68%および54%),8−3(42%および73%)、実施例8−5(82%および80%)および比較例8−4(65および60%),8−5(38%および72%)、ならびに実施例8−13(48%および72%)および比較例8−6(30%および65%),8−7(26%および71%)を比較すると、放電容量維持率は、いずれの場合においても実施例において比較例よりも高くなった。特に、実施例8−1〜8−13におけるDFECおよびDFDMCの含有量の下限および上限は、それぞれ1重量%および50重量%であった。このことから、負極22が負極活物質としてケイ素(焼結法)を含むと共に電解液の溶媒がECおよびDECを含む二次電池では、その溶媒が化5に示した環状炭酸エステルとしてDFECを含むと共に化6に示した鎖状炭酸エステルとしてDFDMCを含むことによりサイクル特性および保存特性が向上し、特に、電解液中におけるDFECおよびDFDMCの含有量としては1重量%以上50重量%以下の範囲内が好ましいことが確認された。
(3)合金系負極
負極活物質としてスズ合金を用いて、図1および図2に示した円筒型の二次電池をリチウムイオン二次電池となるように製造した。
(実施例9−1〜9−13)
負極22の作製手順を除き、実施例2−1〜2−4,1−1,2−5〜2−12と同様の手順を経た。負極22を作製する際には、まず、スズ・コバルト・インジウム・チタン合金粉末と、炭素粉末とを混合したのち、メカノケミカル反応を利用してCoSnC含有材料を合成した。このCoSnC含有材料の組成を分析したところ、スズの含有量は48質量%、コバルトの含有量は23質量%、炭素の含有量は20質量%であり、スズとコバルトとの合計に対するコバルトの割合Co/(Sn+Co)は32質量%であった。続いて、負極活物質としてCoSnC含有材料粉末80質量部と、導電剤として黒鉛12質量部と、結着剤としてポリフッ化ビニリデン8質量部とを混合し、N−メチル−2−ピロリドンに分散させた。最後に、銅箔(15μm厚)からなる負極集電体22Aの両面に塗布して乾燥させたのちに圧縮成形することにより、負極活物質層22Bを形成した。
(比較例9−1〜9−7)
実施例9−1〜9−13と同様に負極活物質としてCoSnC含有材料を用いて負極活物質層22Bを形成したことを除き、比較例1−1,2−1,2−2,1−2,1−5,2−3,2−4と同様の手順を経た。
これらの実施例9−1〜9−13および比較例9−1〜9−7の二次電池についてサイクル特性および保存特性を調べたところ、表9に示した結果が得られた。
Figure 2008123714
表9に示したように、サイクル特性および保存特性の放電容量維持率は、表2の結果と同様に、溶媒がFECおよびFDMCの双方を含んでいる実施例9−1〜9−13において、それらの双方を含んでいない比較例9−1〜9−7よりも高くなった。詳細には、放電容量維持率は、実施例9−1〜9−13(52%〜77%および63%〜82%)において比較例9−1(50%および62%)よりも高くなった。また、FECおよびFDMCの含有量ごとに、実施例9−1(77%および63%)および比較例9−2(76%および52%),9−3(52%および62%)、実施例9−5(71%および80%)および比較例9−4(68%および55%),9−5(56%および77%)、ならびに実施例9−13(52%および72%)および比較例9−6(51%および60%),9−7(50%および71%)を比較すると、放電容量維持率は、いずれの場合においても実施例において比較例よりも高くなった。特に、実施例9−1〜9−13におけるFECおよびFDMCの含有量の下限および上限は、それぞれ1重量%および50重量%であった。このことから、負極22が負極活物質としてCoSnC含有材料を含むと共に電解液の溶媒がECおよびDECを含む二次電池では、その溶媒が化5に示した環状炭酸エステルとしてFECを含むと共に化6に示した鎖状炭酸エステルとしてFDMCを含むことによりサイクル特性および保存特性が向上し、特に、電解液中におけるFECおよびFDMCの含有量としては1重量%以上50重量%以下の範囲内が好ましいことが確認された。
(実施例10−1〜10−13)
実施例9−1〜9−13と同様に負極活物質としてCoSnC含有材料を用いて負極活物質層22Bを形成したことを除き、実施例3−1〜3−13と同様の手順を経た。
(比較例10−1〜10−3)
実施例9−1〜9−13と同様に負極活物質層22Bを形成したことを除き、比較例3−1〜3−3と同様の手順を経た。
これらの実施例10−1〜10−13および比較例10−1〜10−3の二次電池についてサイクル特性および保存特性を調べたところ、表10に示した結果が得られた。なお、表10には、比較例9−1,9−3,9−5,9−7の特性も併せて示した。
Figure 2008123714
表10に示したように、サイクル特性および保存特性の放電容量維持率は、表3の結果と同様に、溶媒がDFECおよびFDMCの双方を含んでいる実施例10−1〜10−13において、それらの双方を含んでいない比較例9−1,9−3,9−5,9−7,10−1〜10−3よりも高くなった。詳細には、放電容量維持率は、実施例10−1〜10−13(56%〜82%および73%〜82%)において比較例9−1(50%および62%)よりも高くなった。また、DFECおよびFDMCの含有量ごとに、実施例10−1(82%および75%)および比較例10−1(80%および55%),9−3(52%および62%)、実施例10−5(80%および79%)および比較例10−2(76%および57%),9−5(56%および77%)、ならびに実施例10−13(56%および74%)および比較例10−3(55%および61%),9−7(50%および71%)を比較すると、放電容量維持率は、いずれの場合においても実施例において比較例よりも高くなった。特に、実施例10−1〜10−13におけるDFECおよびFDMCの含有量の下限および上限は、それぞれ1重量%および50重量%であった。このことから、負極22が負極活物質としてCoSnC含有材料を含むと共に電解液の溶媒がECおよびDECを含む二次電池では、電解液の溶媒が化5に示した環状炭酸エステルとしてDFECを含むと共に化6に示した鎖状炭酸エステルとしてFDMCを含むことによりサイクル特性および保存特性が向上し、特に、電解液中におけるDFECおよびFDMCの含有量としては1重量%以上50重量%以下の範囲内が好ましいことが確認された。
(実施例11−1〜11−13)
実施例9−1〜9−13と同様に負極活物質としてCoSnC含有材料を用いて負極活物質層22Bを形成したことを除き、実施例4−1〜4−13と同様の手順を経た。
(比較例11−1〜11−3)
実施例9−1〜9−13と同様に負極活物質層22Bを形成したことを除き、比較例4−1〜4−3と同様の手順を経た。
これらの実施例11−1〜11−13および比較例11−1〜11−3の二次電池についてサイクル特性および保存特性を調べたところ、表11に示した結果が得られた。なお、表11には、比較例9−1,9−2,9−4,9−6の特性も併せて示した。
Figure 2008123714
表11に示したように、サイクル特性および保存特性の放電容量維持率は、表4の結果と同様に、溶媒がFECおよびDFDMCの双方を含んでいる実施例11−1〜11−13において、それらの双方を含んでいない比較例9−1,9−2,9−4,9−6,11−1〜11−3よりも高くなった。詳細には、放電容量維持率は、実施例11−1〜11−13(53%〜78%および65%〜85%)において比較例9−1(50%および62%)よりも高くなった。また、FECおよびDFDMCの含有量ごとに、実施例11−1(78%および65%)および比較例9−2(76%および52%),11−1(57%および64%)、実施例11−5(72%および80%)および比較例9−4(68%および55%),11−2(56%および77%)、ならびに実施例11−13(53%および74%)および比較例9−6(51%および60%),11−3(50%および73%)を比較すると、放電容量維持率は、いずれの場合においても実施例において比較例よりも高くなった。特に、実施例11−1〜11−13におけるFECおよびDFDMCの含有量の下限および上限は、それぞれ1重量%および50重量%であった。このことから、負極22が負極活物質としてCoSnC含有材料を含むと共に電解液の溶媒がECおよびDECを含む二次電池では、電解液の溶媒が化5に示した環状炭酸エステルとしてFECを含むと共に化6に示した鎖状炭酸エステルとしてDFDMCを含むことによりサイクル特性および保存特性が向上し、特に、電解液中におけるFECおよびDFDMCの含有量としては1重量%以上50重量%以下の範囲内が好ましいことが確認された。
(実施例12−1〜12−13)
実施例9−1〜9−13と同様に負極活物質としてCoSnC含有材料を用いて負極活物質層22Bを形成したことを除き、実施例5−1〜5−13と同様の手順を経た。
これらの実施例12−1〜12−13の二次電池についてサイクル特性および保存特性を調べたところ、表12に示した結果が得られた。なお、表12には、比較例9−1,10−1〜10−3,11−1〜11−3の特性も併せて示した。
Figure 2008123714
表12に示したように、サイクル特性および保存特性の放電容量維持率は、表5の結果と同様に、溶媒がDFECおよびDFDMCの双方を含んでいる実施例12−1〜12−13において、それらの双方を含んでいない比較例9−1,10−1〜10−3,11−1〜11−3よりも高くなった。詳細には、放電容量維持率は、実施例12−1〜12−13(58%〜82%および74%〜83%)において比較例9−1(50%および62%)よりも高くなった。また、DFECおよびDFDMCの含有量ごとに、実施例12−1(82%および76%)および比較例10−1(80%および55%),11−1(57%および64%)、実施例12−5(81%および81%)および比較例10−2(76%および57%),11−2(56%および77%)、ならびに実施例12−13(58%および75%)および比較例10−3(55%および61%),11−3(50%および73%)を比較すると、放電容量維持率は、いずれの場合においても実施例において比較例よりも高くなった。特に、実施例12−1〜12−13におけるDFECおよびDFDMCの含有量の下限および上限は、それぞれ1重量%および50重量%であった。このことから、負極22が負極活物質としてCoSnC含有材料を含むと共に電解液の溶媒がECおよびDECを含む二次電池では、電解液の溶媒が化5に示した環状炭酸エステルとしてDFECを含むと共に化6に示した鎖状炭酸エステルとしてDFDMCを含むことによりサイクル特性および保存特性が向上し、特に、電解液中におけるDFECおよびDFDMCの含有量としては1重量%以上50重量%以下の範囲内が好ましいことが確認された。
また、表9〜表12に示した結果から、化5に示した環状炭酸エステルおよび化6に示した鎖状炭酸エステルの種類が異なることを除いて共通の組成を有する実施例9−5,10−5,11−5,12−5を比較すると、サイクル特性の放電容量維持率は、表2〜表5に示した結果と同様に、実施例9−5(71%)よりも実施例10−5(80%)および実施例11−5(72%)において高くなり、さらに実施例12−5(81%)において高くなった。このことから、サイクル特性を向上させるためにはFECおよびFDMCよりもそれぞれDFECおよびDFDMCが好ましく、特にDFECおよびDFDMCの組み合わせが好ましいことが確認された。
(4)炭素系負極
負極活物質として黒鉛を用いて、図1および図2に示した円筒型の二次電池をリチウムイオン二次電池となるように製造した。
(実施例13−1)
負極22の作製手順を除き、実施例1−1と同様の手順を経た。負極22を作製する際には、負極活物質として人造黒鉛粉末90質量部と、結着剤としてポリフッ化ビニリデン10質量部とを混合して負極合剤としたのち、N−メチル−2−ピロリドンに分散させた。そして、帯状の銅箔(15μm厚)からなる負極集電体22Aの両面に塗布して乾燥させたのちに圧縮成型することにより、負極活物質層22Bを形成した。
(実施例13−2〜13−4)
実施例13−1と同様に負極活物質層22Bを形成したことを除き、実施例3−5,4−5,5−5と同様の手順を経た。
(比較例13−1〜13−5)
実施例13−1と同様に負極活物質層22Bを形成したことを除き、比較例1−1,1−2,3−2,1−5,4−2と同様の手順を経た。
これらの実施例13−1〜13−4および比較例13−1〜13−5の二次電池についてサイクル特性および保存特性を調べたところ、表13に示した結果が得られた。
Figure 2008123714
表13に示したように、サイクル特性および保存特性の放電容量維持率は、表2〜表6および表8〜表12に示した結果と同様に、化5に示した環状炭酸エステル(FECあるいはDFEC)および化6に示した鎖状炭酸エステル(FDMCあるいはDFDMC)の双方を含んでいる実施例13−1〜13−4(94%および81%〜85%)において、それらの双方を含んでいない比較例13−1(90%および75%)よりも高くなり、いずれか一方のみを含んでいる比較例13−2〜13−4(91%〜93%および72%〜79%)よりも高くなった。このことから、負極22が負極活物質として人造黒鉛を含むと共に電解液の溶媒がECおよびDECを含む二次電池では、その溶媒が化5に示した環状炭酸エステルおよび化6に示した鎖状炭酸エステルの双方を含むことにより、サイクル特性および保存特性が向上することが確認された。また、実施例13−1〜13−4の比較から明らかなように、保存特性を向上させるためには、FECおよびFDMCよりもそれぞれDFECおよびDFDMCが好ましく、特にDFECおよびDFDMCの組み合わせが好ましいことが確認された。
上記した表1〜表13の結果から明らかなように、負極活物質として用いる材料および負極活物質層22Bの形成方法に関係なく、電解液の溶媒が化5に示した環状炭酸エステルおよび化6に示した鎖状炭酸エステルの双方を含むことにより、サイクル特性および保存特性が向上することが確認された。特に、高いエネルギー密度が得られるケイ素あるいはスズを含む材料を負極活物質として用いた場合において、サイクル特性および保存特性の双方について放電容量維持率の上昇率が増加したことから、より高い効果が得られることがわかった。この結果は、負極活物質としてエネルギー密度が高い半金属材料を用いると、炭素材料を用いる場合よりも負極22における電解液の分解反応が生じやすくなることから、化5に示した環状炭酸エステルおよび化6に示した鎖状炭酸エステルによる電解液の分解抑制効果が際立って発揮されたものと考えられる。
以上、実施の形態および実施例を挙げて本発明を説明したが、本発明は上記した実施の形態および実施例において説明した態様に限定されず、種々の変形が可能である。例えば、本発明の電解液の使用用途は、必ずしも電池に限らず、電池以外の他の電気化学デバイスであっても良い。他の用途としては、例えば、キャパシタなどが挙げられる。
また、上記実施の形態および実施例では、本発明の電池の電解質として、電解液、あるいは電解液を高分子化合物に保持させたゲル状電解質を用いる場合について説明したが、他の種類の電解質を用いるようにしてもよい。他の電解質としては、例えば、イオン伝導性セラミックス、イオン伝導性ガラスあるいはイオン性結晶などのイオン伝導性無機化合物と電解液とを混合したものや、他の無機化合物と電解液とを混合したものや、これらの無機化合物とゲル状電解質とを混合したものなどが挙げられる。
また、上記実施の形態および実施例では、本発明の電池として、負極の容量がリチウムの吸蔵および放出に基づく容量成分により表されるリチウムイオン二次電池、あるいは負極活物質にリチウム金属を用い、負極の容量がリチウムの析出および溶解に基づく容量成分により表されるリチウム金属二次電池について説明したが、必ずしもこれに限られるものではない。本発明の電池は、リチウムを吸蔵および放出することが可能な負極材料の充電容量を正極の充電容量よりも小さくすることにより、負極の容量がリチウムの吸蔵および放出に基づく容量成分とリチウムの析出および溶解に基づく容量成分とを含み、かつそれらの容量成分の和により表される二次電池についても同様に適用可能である。
また、上記実施の形態および実施例では、電極反応物質としてリチウムを用いる場合について説明したが、ナトリウム(Na)あるいはカリウム(K)などの他の1A族元素や、マグネシウムあるいはカルシウム(Ca)などの2A族元素や、アルミニウムなどの他の軽金属を用いてもよい。この場合においても、負極活物質として、上記実施の形態で説明した負極材料を用いることが可能である。
また、上記実施の形態または実施例では、本発明の電池の電池構造として、円筒型またはラミネートフィルム型を例に挙げて説明したが、本発明の電池は、コイン型、ボタン型あるいは角型などの他の形状を有する二次電池、または積層構造などの他の構造を有する二次電池についても同様に適用可能である。また、本発明は、二次電池に限らず、一次電池などの他の電池についても同様に適用可能である。
また、上記実施の形態および実施例では、本発明の電解液中における化5に示した環状炭酸エステルおよび化6に示した鎖状炭酸エステルの含有量について、実施例の結果から導き出された適正範囲を説明しているが、その説明は、含有量が上記した範囲外となる可能性を完全に否定するものではない。すなわち、上記した適正範囲は、あくまで本発明の効果を得る上で特に好ましい範囲であり、本発明の効果が得られるのであれば、含有量が上記した範囲から多少外れてもよい。
本発明の一実施の形態に係る電解液を用いた第1の電池の構成を表す断面図である。 図1に示した巻回電極体の一部を拡大して表す断面図である。 本発明の一実施の形態に係る電解液を用いた第3の電池の構成を表す分解斜視図である。 図3に示した巻回電極体のIV−IV線に沿った構成を表す断面図である。
符号の説明
11…電池缶、12,13…絶縁板、14…電池蓋、15…安全弁機構、15A…ディスク板、16…熱感抵抗素子、17…ガスケット、20,30…巻回電極体、21,33…正極、21A,33A…正極集電体、21B,33B…正極活物質層、22,34…負極、22A,34A…負極集電体、22B,34B…負極活物質層、23,35…セパレータ、24…センターピン、25,31…正極リード、26,32…負極リード、36…電解質、37…保護テープ、40…外装部材、41…密着フィルム。

Claims (23)

  1. 溶媒と、電解質塩とを含む電解液であって、
    前記溶媒は、化1で表される環状炭酸エステルと、化2で表される鎖状炭酸エステルとを含む
    ことを特徴とする電解液。
    Figure 2008123714
    (R1〜R4は水素基、フッ素基、アルキル基あるいはフッ素化アルキル基であり、それらは互いに同一でもよいし異なってもよいが、それらのうちの少なくとも1つはフッ素基あるいはフッ素化アルキル基である。)
    Figure 2008123714
    (R5およびR6は水素基、フッ素基、アルキル基あるいはフッ素化アルキル基であり、それらは互いに同一でもよいし異なってもよいが、それらのうちの少なくとも1つはフッ素基あるいはフッ素化アルキル基である。)
  2. 前記溶媒中における前記環状炭酸エステルおよび前記鎖状炭酸エステルの含有量は、いずれも1重量%以上50重量%以下の範囲内であることを特徴とする請求項1記載の電解液。
  3. 前記環状炭酸エステルは、化3の(1)で表される4−フルオロ−1,3−ジオキソラン−2−オンおよび化3の(2)で表される4,5−ジフルオロ−1,3−ジオキソラン−2−オンのうちの少なくとも1種を含むことを特徴とする請求項1記載の電解液。
    Figure 2008123714
  4. 前記鎖状炭酸エステルは、化4の(1)で表される炭酸フルオロメチルメチルおよび化4の(2)で表される炭酸ビス(フルオロメチル)のうちの少なくとも1種を含むことを特徴とする請求項1記載の電解液。
    Figure 2008123714
  5. 前記溶媒は、前記環状炭酸エステルとして4,5−ジフルオロ−1,3−ジオキソラン−2−オンを含むと共に、前記鎖状炭酸エステルとして炭酸ビス(フルオロメチル)を含むことを特徴とする請求項1記載の電解液。
  6. 前記溶媒は、炭酸エチレン、炭酸プロピレン、炭酸ジメチル、炭酸ジエチルおよび炭酸エチルメチルからなる群のうちの少なくとも1種を含むことを特徴とする請求項1記載の電解液。
  7. さらに、スルトンを含むことを特徴とする請求項1記載の電解液。
  8. さらに、酸無水物を含むことを特徴とする請求項1記載の電解液。
  9. さらに、不飽和結合を有する環状炭酸エステルを含むことを特徴とする請求項1記載の電解液。
  10. 前記電解質塩は、六フッ化リン酸リチウム、四フッ化ホウ酸リチウム、過塩素酸リチウム、六フッ化ヒ酸リチウムおよび化5で表される化合物からなる群のうちの少なくとも1種を含むことを特徴とする請求項1記載の電解液。
    Figure 2008123714
    (R1は−OC−R3−CO−、−OC−C(R4)(R5)−あるいは−OC−CO−であり、R2はハロゲン基、アルキル基、ハロゲン化アルキル基、アリール基あるいはハロゲン化アリール基である。ただし、R3はアルキレン基、ハロゲン化アルキレン基、アリーレン基あるいはハロゲン化アリーレン基であり、R4およびR5はアルキル基、ハロゲン化アルキル基、アリール基あるいはハロゲン化アリール基である。X1およびX2は酸素(O)あるいは硫黄(S)である。M1は短周期型周期表における1A族元素あるいは2A族元素、またはアルミニウム(Al)であり、M2は遷移金属元素、または短周期型周期表における3B族元素、4B族元素あるいは5B族元素である。なお、aは1〜4の整数であり、bは0あるいは1〜8の整数であり、c、d、eおよびfは1〜3の整数である。)
  11. 前記化5に示したM2は、ホウ素(B)であることを特徴とする請求項10記載の電解液。
  12. 正極および負極と共に電解液を備えた電池であって、
    前記電解液は、溶媒と、電解質塩とを含み、
    前記溶媒は、化6で表される環状炭酸エステルと、化7で表される鎖状炭酸エステルとを含む
    ことを特徴とする電池。
    Figure 2008123714
    (R1〜R4は水素基、フッ素基、アルキル基あるいはフッ素化アルキル基であり、それらは互いに同一でもよいし異なってもよいが、それらのうちの少なくとも1つはフッ素基あるいはフッ素化アルキル基である。)
    Figure 2008123714
    (R5およびR6は水素基、フッ素基、アルキル基あるいはフッ素化アルキル基であり、それらは互いに同一でもよいし異なってもよいが、それらのうちの少なくとも1つはフッ素基あるいはフッ素化アルキル基である。)
  13. 前記溶媒中における前記環状炭酸エステルおよび前記鎖状炭酸エステルの含有量は、いずれも1重量%以上50重量%以下の範囲内であることを特徴とする請求項12記載の電池。
  14. 前記環状炭酸エステルは、化8の(1)で表される4−フルオロ−1,3−ジオキソラン−2−オンおよび化8の(2)で表される4,5−ジフルオロ−1,3−ジオキソラン−2−オンのうちの少なくとも1種を含むことを特徴とする請求項12記載の電池。
    Figure 2008123714
  15. 前記鎖状炭酸エステルは、化9の(1)で表される炭酸フルオロメチルメチルおよび化9の(2)で表される炭酸ビス(フルオロメチル)のうちの少なくとも1種を含むことを特徴とする請求項12記載の電池。
    Figure 2008123714
  16. 前記溶媒は、前記環状炭酸エステルとして4,5−ジフルオロ−1,3−ジオキソラン−2−オンを含むと共に、前記鎖状炭酸エステルとして炭酸ビス(フルオロメチル)を含むことを特徴とする請求項12記載の電池。
  17. 前記溶媒は、炭酸エチレン、炭酸プロピレン、炭酸ジメチル、炭酸ジエチルおよび炭酸エチルメチルからなる群のうちの少なくとも1種を含むことを特徴とする請求項12記載の電池。
  18. さらに、スルトンを含むことを特徴とする請求項12記載の電池。
  19. さらに、酸無水物を含むことを特徴とする請求項12記載の電池。
  20. さらに、不飽和結合を有する環状炭酸エステルを含むことを特徴とする請求項12記載の電池。
  21. 前記電解質塩は、六フッ化リン酸リチウム、四フッ化ホウ酸リチウム、過塩素酸リチウム、六フッ化ヒ酸リチウムおよび化10で表される化合物からなる群のうちの少なくとも1種を含むことを特徴とする請求項12記載の電池。
    Figure 2008123714
    (R1は−OC−R3−CO−、−OC−C(R4)(R5)−あるいは−OC−CO−であり、R2はハロゲン基、アルキル基、ハロゲン化アルキル基、アリール基あるいはハロゲン化アリール基である。ただし、R3はアルキレン基、ハロゲン化アルキレン基、アリーレン基あるいはハロゲン化アリーレン基であり、R4およびR5はアルキル基、ハロゲン化アルキル基、アリール基あるいはハロゲン化アリール基である。X1およびX2は酸素あるいは硫黄である。M1は短周期型周期表における1A族元素あるいは2A族元素、またはアルミニウムであり、M2は遷移金属元素、または短周期型周期表における3B族元素、4B族元素あるいは5B族元素である。なお、aは1〜4の整数であり、bは0あるいは1〜8の整数であり、c、d、eおよびfは1〜3の整数である。)
  22. 前記化10に示したM2は、ホウ素であることを特徴とする請求項21記載の電池。
  23. 前記負極は、ケイ素(Si)の単体、合金および化合物、ならびにスズ(Sn)の単体、合金および化合物からなる群のうちの少なくとも1種を含有することを特徴とする請求項12記載の電池。
JP2006303038A 2006-11-08 2006-11-08 電解液および電池 Pending JP2008123714A (ja)

Priority Applications (1)

Application Number Priority Date Filing Date Title
JP2006303038A JP2008123714A (ja) 2006-11-08 2006-11-08 電解液および電池

Applications Claiming Priority (1)

Application Number Priority Date Filing Date Title
JP2006303038A JP2008123714A (ja) 2006-11-08 2006-11-08 電解液および電池

Publications (2)

Publication Number Publication Date
JP2008123714A true JP2008123714A (ja) 2008-05-29
JP2008123714A5 JP2008123714A5 (ja) 2009-12-17

Family

ID=39508268

Family Applications (1)

Application Number Title Priority Date Filing Date
JP2006303038A Pending JP2008123714A (ja) 2006-11-08 2006-11-08 電解液および電池

Country Status (1)

Country Link
JP (1) JP2008123714A (ja)

Cited By (17)

* Cited by examiner, † Cited by third party
Publication number Priority date Publication date Assignee Title
WO2010014387A3 (en) * 2008-07-29 2010-05-06 3M Innovative Properties Company Electrolyte composition, lithium-containing electrochemical cell, battery pack, and device including the same
WO2010128584A1 (ja) * 2009-05-08 2010-11-11 パナソニック株式会社 非水溶媒、並びにそれを用いた非水電解液および非水系二次電池
CN102136600A (zh) * 2010-01-27 2011-07-27 三洋电机株式会社 非水系二次电池
US8445142B2 (en) 2009-05-21 2013-05-21 Samsung Sdi Co., Ltd. Organic electrolytic solution and lithium battery employing the same
US8568920B2 (en) 2009-05-08 2013-10-29 Samsung Sdi Co., Ltd. Electrolytic solution and lithium battery employing the same
WO2017026094A1 (ja) * 2015-08-11 2017-02-16 ソニー株式会社 非水電解液、その非水電解液を用いた非水電解液二次電池、並びにその非水電解液二次電池を用いた電池パック及び電子機器
US9673450B2 (en) 2011-09-02 2017-06-06 Solvay Sa Lithium ion battery
US9979050B2 (en) 2011-09-02 2018-05-22 Solvay Sa Fluorinated electrolyte compositions
WO2018123359A1 (ja) 2016-12-27 2018-07-05 ダイキン工業株式会社 電解液、電気化学デバイス、リチウムイオン二次電池及びモジュール
US10044066B2 (en) 2012-06-01 2018-08-07 Solvary SA Fluorinated electrolyte compositions
US10074874B2 (en) 2012-06-01 2018-09-11 Solvay Sa Additives to improve electrolyte performance in lithium ion batteries
WO2018179767A1 (ja) 2017-03-31 2018-10-04 ダイキン工業株式会社 電解液、電気化学デバイス、リチウムイオン二次電池及びモジュール
WO2019042741A1 (en) * 2017-09-01 2019-03-07 Solvay Sa FLUORINATED LIQUID ELECTROLYTE FOR ELECTROCHEMICAL CELLS COMPRISING A LITHIUM METAL ANODE
US10686220B2 (en) 2013-04-04 2020-06-16 Solvay Sa Nonaqueous electrolyte compositions
US11201353B2 (en) 2016-12-20 2021-12-14 Daikin Industries, Ltd. Electrolyte solution, electrochemical device, lithium ion secondary battery, and module
CN114730941A (zh) * 2019-11-18 2022-07-08 雅宝公司 用于电池电解质的阻燃剂
WO2023087937A1 (zh) * 2021-11-18 2023-05-25 宁德新能源科技有限公司 一种电化学装置及电子装置

Citations (13)

* Cited by examiner, † Cited by third party
Publication number Priority date Publication date Assignee Title
JPH10247519A (ja) * 1997-03-03 1998-09-14 Sanyo Electric Co Ltd リチウム二次電池
JPH11195429A (ja) * 1998-01-05 1999-07-21 Hitachi Ltd 非水電解液二次電池
JP2002352852A (ja) * 2001-05-23 2002-12-06 Mitsubishi Chemicals Corp 非水系電解液二次電池
JP2003142152A (ja) * 2001-11-01 2003-05-16 Japan Storage Battery Co Ltd 非水電解質二次電池
JP2004047413A (ja) * 2001-12-11 2004-02-12 Hitachi Maxell Ltd 非水電解液およびそれを用いた非水電解液電池
JP2004087437A (ja) * 2002-08-29 2004-03-18 Mitsui Chemicals Inc リチウム二次電池
JP2004172113A (ja) * 2002-11-06 2004-06-17 Toshiba Corp 非水電解質二次電池
JP2005078820A (ja) * 2003-08-28 2005-03-24 Japan Storage Battery Co Ltd 非水電解質二次電池
JP2005093293A (ja) * 2003-09-18 2005-04-07 Sanyo Electric Co Ltd 非水溶媒系二次電池
JP2006172811A (ja) * 2004-12-14 2006-06-29 Sony Corp 電池
WO2007043526A1 (ja) * 2005-10-12 2007-04-19 Mitsui Chemicals, Inc. 非水電解液及びそれを用いたリチウム二次電池
JP2007250415A (ja) * 2006-03-17 2007-09-27 Mitsui Chemicals Inc 非水電解液及びそれを用いたリチウム二次電池
JP2007294433A (ja) * 2006-03-31 2007-11-08 Sanyo Electric Co Ltd 非水電解液二次電池

Patent Citations (13)

* Cited by examiner, † Cited by third party
Publication number Priority date Publication date Assignee Title
JPH10247519A (ja) * 1997-03-03 1998-09-14 Sanyo Electric Co Ltd リチウム二次電池
JPH11195429A (ja) * 1998-01-05 1999-07-21 Hitachi Ltd 非水電解液二次電池
JP2002352852A (ja) * 2001-05-23 2002-12-06 Mitsubishi Chemicals Corp 非水系電解液二次電池
JP2003142152A (ja) * 2001-11-01 2003-05-16 Japan Storage Battery Co Ltd 非水電解質二次電池
JP2004047413A (ja) * 2001-12-11 2004-02-12 Hitachi Maxell Ltd 非水電解液およびそれを用いた非水電解液電池
JP2004087437A (ja) * 2002-08-29 2004-03-18 Mitsui Chemicals Inc リチウム二次電池
JP2004172113A (ja) * 2002-11-06 2004-06-17 Toshiba Corp 非水電解質二次電池
JP2005078820A (ja) * 2003-08-28 2005-03-24 Japan Storage Battery Co Ltd 非水電解質二次電池
JP2005093293A (ja) * 2003-09-18 2005-04-07 Sanyo Electric Co Ltd 非水溶媒系二次電池
JP2006172811A (ja) * 2004-12-14 2006-06-29 Sony Corp 電池
WO2007043526A1 (ja) * 2005-10-12 2007-04-19 Mitsui Chemicals, Inc. 非水電解液及びそれを用いたリチウム二次電池
JP2007250415A (ja) * 2006-03-17 2007-09-27 Mitsui Chemicals Inc 非水電解液及びそれを用いたリチウム二次電池
JP2007294433A (ja) * 2006-03-31 2007-11-08 Sanyo Electric Co Ltd 非水電解液二次電池

Cited By (33)

* Cited by examiner, † Cited by third party
Publication number Priority date Publication date Assignee Title
WO2010014387A3 (en) * 2008-07-29 2010-05-06 3M Innovative Properties Company Electrolyte composition, lithium-containing electrochemical cell, battery pack, and device including the same
US8568920B2 (en) 2009-05-08 2013-10-29 Samsung Sdi Co., Ltd. Electrolytic solution and lithium battery employing the same
CN102084534A (zh) * 2009-05-08 2011-06-01 松下电器产业株式会社 非水溶剂、使用了该非水溶剂的非水电解液以及非水系二次电池
US20110159382A1 (en) * 2009-05-08 2011-06-30 Toru Matsui Nonaqueous solvent, and nonaqueous electrolyte solution and nonaqueous secondary battery using the same
WO2010128584A1 (ja) * 2009-05-08 2010-11-11 パナソニック株式会社 非水溶媒、並びにそれを用いた非水電解液および非水系二次電池
US8445142B2 (en) 2009-05-21 2013-05-21 Samsung Sdi Co., Ltd. Organic electrolytic solution and lithium battery employing the same
CN102136600A (zh) * 2010-01-27 2011-07-27 三洋电机株式会社 非水系二次电池
US8999589B2 (en) 2010-01-27 2015-04-07 Sanyo Electric Co., Ltd. Nonaqueous secondary battery
US9673450B2 (en) 2011-09-02 2017-06-06 Solvay Sa Lithium ion battery
US9979050B2 (en) 2011-09-02 2018-05-22 Solvay Sa Fluorinated electrolyte compositions
US10044066B2 (en) 2012-06-01 2018-08-07 Solvary SA Fluorinated electrolyte compositions
US10074874B2 (en) 2012-06-01 2018-09-11 Solvay Sa Additives to improve electrolyte performance in lithium ion batteries
US10916805B2 (en) 2013-04-04 2021-02-09 Solvay Sa Nonaqueous electrolyte compositions
US10686220B2 (en) 2013-04-04 2020-06-16 Solvay Sa Nonaqueous electrolyte compositions
WO2017026094A1 (ja) * 2015-08-11 2017-02-16 ソニー株式会社 非水電解液、その非水電解液を用いた非水電解液二次電池、並びにその非水電解液二次電池を用いた電池パック及び電子機器
CN107851848A (zh) * 2015-08-11 2018-03-27 株式会社村田制作所 非水性电解液、使用所述非水性电解液的非水性电解质二次电池、以及使用所述非水性电解质二次电池的电池组、和电子设备
US11050089B2 (en) 2015-08-11 2021-06-29 Murata Manufacturing Co., Ltd. Non-aqueous electrolyte solution, non-aqueous electrolyte secondary battery using non-aqueous electrolyte solution, battery pack using non-aqueous electrolyte secondary battery, and electronic apparatus
JP2017037798A (ja) * 2015-08-11 2017-02-16 ソニー株式会社 非水電解液、その非水電解液を用いた非水電解液二次電池、並びにその非水電解液二次電池を用いた電池パック及び電子機器
US20180226686A1 (en) * 2015-08-11 2018-08-09 Murata Manufacturing Co., Ltd. Non-aqueous electrolyte solution, non-aqueous electrolyte secondary battery using non-aqueous electrolyte solution, battery pack using non-aqueous electrolyte secondary battery, and electronic apparatus
CN107851848B (zh) * 2015-08-11 2020-09-22 株式会社村田制作所 非水性电解液、使用所述非水性电解液的非水性电解质二次电池、以及使用所述非水性电解质二次电池的电池组、和电子设备
US11201353B2 (en) 2016-12-20 2021-12-14 Daikin Industries, Ltd. Electrolyte solution, electrochemical device, lithium ion secondary battery, and module
CN110100348A (zh) * 2016-12-27 2019-08-06 大金工业株式会社 电解液、电化学器件、锂离子二次电池和组件
JPWO2018123359A1 (ja) * 2016-12-27 2019-08-08 ダイキン工業株式会社 電解液、電気化学デバイス、リチウムイオン二次電池及びモジュール
US10978742B2 (en) 2016-12-27 2021-04-13 Daikin Industries, Ltd. Electrolytic solution, electrochemical device, lithium-ion secondary cell, and module
WO2018123359A1 (ja) 2016-12-27 2018-07-05 ダイキン工業株式会社 電解液、電気化学デバイス、リチウムイオン二次電池及びモジュール
CN110100348B (zh) * 2016-12-27 2024-04-16 大金工业株式会社 电解液、电化学器件、锂离子二次电池和组件
WO2018179767A1 (ja) 2017-03-31 2018-10-04 ダイキン工業株式会社 電解液、電気化学デバイス、リチウムイオン二次電池及びモジュール
US11489204B2 (en) 2017-03-31 2022-11-01 Daikin Industries, Ltd. Electrolyte solution, electrochemical device, lithium ion secondary battery and module
US11888122B2 (en) 2017-03-31 2024-01-30 Daikin Industries, Ltd. Electrolyte solution, electrochemical device, lithium ion secondary battery and module
WO2019042741A1 (en) * 2017-09-01 2019-03-07 Solvay Sa FLUORINATED LIQUID ELECTROLYTE FOR ELECTROCHEMICAL CELLS COMPRISING A LITHIUM METAL ANODE
CN114730941A (zh) * 2019-11-18 2022-07-08 雅宝公司 用于电池电解质的阻燃剂
CN114730941B (zh) * 2019-11-18 2024-03-05 雅宝公司 用于电池电解质的阻燃剂
WO2023087937A1 (zh) * 2021-11-18 2023-05-25 宁德新能源科技有限公司 一种电化学装置及电子装置

Similar Documents

Publication Publication Date Title
JP4379743B2 (ja) 電解液および二次電池
KR101438185B1 (ko) 전지
US8940439B2 (en) Secondary battery, electronic device, electric power tool, electrical vehicle, and electric power storage system
JP4775346B2 (ja) リチウムイオン二次電池
JP4780337B2 (ja) リチウムイオン二次電池
JP2008234988A (ja) 負極およびその製造方法、ならびに電池およびその製造方法
JP4836767B2 (ja) リチウムイオン二次電池
JP2011044352A (ja) 電解質および電池
JP2009026691A (ja) 負極、電池およびそれらの製造方法
CN101908642A (zh) 电解液和电池
CN102142577B (zh) 非水电解质电池
JP2009054287A (ja) 電解液および電池
JP2010192327A (ja) 非水電解液および非水電解液二次電池
JP2012003994A (ja) 非水電解質電池および非水電解質
JP2008123714A (ja) 電解液および電池
JP2008135273A (ja) 電解液および電池
JP4506782B2 (ja) 二次電池用電解液および二次電池
JP2009032491A (ja) 電解液および電池
JP5217512B2 (ja) 二次電池用電解液、二次電池および電子機器
EP4287339B1 (en) Non-aqueous electrolyte solution for lithium secondary battery and lithium secondary battery including the same
JP4538753B2 (ja) リチウムイオン二次電池用電解液およびリチウムイオン二次電池
JP2007242545A (ja) 電解質および電池
JP2009054286A (ja) 電解液および電池
JP2008146930A (ja) 電解液および電池
JP5168593B2 (ja) リチウムイオン二次電池

Legal Events

Date Code Title Description
A521 Written amendment

Free format text: JAPANESE INTERMEDIATE CODE: A523

Effective date: 20091028

A621 Written request for application examination

Free format text: JAPANESE INTERMEDIATE CODE: A621

Effective date: 20091028

A977 Report on retrieval

Free format text: JAPANESE INTERMEDIATE CODE: A971007

Effective date: 20120131

A131 Notification of reasons for refusal

Free format text: JAPANESE INTERMEDIATE CODE: A131

Effective date: 20120605

A521 Written amendment

Free format text: JAPANESE INTERMEDIATE CODE: A523

Effective date: 20120806

A131 Notification of reasons for refusal

Free format text: JAPANESE INTERMEDIATE CODE: A131

Effective date: 20130328

A02 Decision of refusal

Free format text: JAPANESE INTERMEDIATE CODE: A02

Effective date: 20130717