ES2829236T3 - Procedimiento mejorado para la preparación de sugammadex y sus productos intermedios - Google Patents
Procedimiento mejorado para la preparación de sugammadex y sus productos intermedios Download PDFInfo
- Publication number
- ES2829236T3 ES2829236T3 ES16822742T ES16822742T ES2829236T3 ES 2829236 T3 ES2829236 T3 ES 2829236T3 ES 16822742 T ES16822742 T ES 16822742T ES 16822742 T ES16822742 T ES 16822742T ES 2829236 T3 ES2829236 T3 ES 2829236T3
- Authority
- ES
- Spain
- Prior art keywords
- per
- cyclodextrin
- deoxy
- halo
- formula
- Prior art date
- Legal status (The legal status is an assumption and is not a legal conclusion. Google has not performed a legal analysis and makes no representation as to the accuracy of the status listed.)
- Active
Links
- 229920002370 Sugammadex Polymers 0.000 title claims abstract description 34
- WHRODDIHRRDWEW-VTHZAVIASA-N sugammadex Chemical compound O([C@@H]([C@@H]([C@H]1O)O)O[C@H]2[C@H](O)[C@H]([C@@H](O[C@@H]3[C@@H](CSCCC(O)=O)O[C@@H]([C@@H]([C@H]3O)O)O[C@@H]3[C@@H](CSCCC(O)=O)O[C@@H]([C@@H]([C@H]3O)O)O[C@@H]3[C@@H](CSCCC(O)=O)O[C@@H]([C@@H]([C@H]3O)O)O[C@@H]3[C@@H](CSCCC(O)=O)O[C@@H]([C@@H]([C@H]3O)O)O[C@@H]3[C@@H](CSCCC(O)=O)O[C@@H]([C@@H]([C@H]3O)O)O3)O[C@@H]2CSCCC(O)=O)O)[C@H](CSCCC(O)=O)[C@H]1O[C@@H]1[C@H](O)[C@@H](O)[C@H]3[C@@H](CSCCC(O)=O)O1 WHRODDIHRRDWEW-VTHZAVIASA-N 0.000 title claims abstract description 33
- 229960002257 sugammadex Drugs 0.000 title claims abstract description 33
- 238000000034 method Methods 0.000 title claims description 33
- 238000002360 preparation method Methods 0.000 title description 21
- 239000000543 intermediate Substances 0.000 title description 4
- 229920000858 Cyclodextrin Polymers 0.000 claims abstract description 129
- 239000000203 mixture Substances 0.000 claims abstract description 47
- CTSLXHKWHWQRSH-UHFFFAOYSA-N oxalyl chloride Chemical compound ClC(=O)C(Cl)=O CTSLXHKWHWQRSH-UHFFFAOYSA-N 0.000 claims abstract description 30
- 230000002140 halogenating effect Effects 0.000 claims abstract description 28
- FYSNRJHAOHDILO-UHFFFAOYSA-N thionyl chloride Chemical compound ClS(Cl)=O FYSNRJHAOHDILO-UHFFFAOYSA-N 0.000 claims abstract description 26
- 239000002904 solvent Substances 0.000 claims abstract description 25
- 239000002585 base Substances 0.000 claims abstract description 24
- 239000003795 chemical substances by application Substances 0.000 claims abstract description 24
- 239000011541 reaction mixture Substances 0.000 claims abstract description 21
- 239000003960 organic solvent Substances 0.000 claims abstract description 16
- 230000001476 alcoholic effect Effects 0.000 claims abstract description 14
- BTOJSYRZQZOMOK-UHFFFAOYSA-N 4-chloro-7-(4-methylphenyl)sulfonylpyrrolo[2,3-d]pyrimidine Chemical compound C1=CC(C)=CC=C1S(=O)(=O)N1C2=NC=NC(Cl)=C2C=C1 BTOJSYRZQZOMOK-UHFFFAOYSA-N 0.000 claims abstract description 11
- DKIDEFUBRARXTE-UHFFFAOYSA-N 3-mercaptopropanoic acid Chemical compound OC(=O)CCS DKIDEFUBRARXTE-UHFFFAOYSA-N 0.000 claims abstract description 10
- HFRXJVQOXRXOPP-UHFFFAOYSA-N thionyl bromide Chemical compound BrS(Br)=O HFRXJVQOXRXOPP-UHFFFAOYSA-N 0.000 claims abstract description 10
- 150000001875 compounds Chemical class 0.000 claims abstract description 9
- VEXZGXHMUGYJMC-UHFFFAOYSA-M Chloride anion Chemical group [Cl-] VEXZGXHMUGYJMC-UHFFFAOYSA-M 0.000 claims abstract description 8
- -1 alkali metal alkoxide Chemical class 0.000 claims abstract description 8
- 239000007864 aqueous solution Substances 0.000 claims abstract description 7
- 150000001649 bromium compounds Chemical group 0.000 claims abstract description 6
- 229910052783 alkali metal Inorganic materials 0.000 claims abstract description 5
- 238000004519 manufacturing process Methods 0.000 claims abstract description 4
- ZMXDDKWLCZADIW-UHFFFAOYSA-N N,N-Dimethylformamide Chemical compound CN(C)C=O ZMXDDKWLCZADIW-UHFFFAOYSA-N 0.000 claims description 123
- OKKJLVBELUTLKV-UHFFFAOYSA-N Methanol Chemical group OC OKKJLVBELUTLKV-UHFFFAOYSA-N 0.000 claims description 66
- XLYOFNOQVPJJNP-UHFFFAOYSA-N water Substances O XLYOFNOQVPJJNP-UHFFFAOYSA-N 0.000 claims description 38
- LFQSCWFLJHTTHZ-UHFFFAOYSA-N Ethanol Chemical compound CCO LFQSCWFLJHTTHZ-UHFFFAOYSA-N 0.000 claims description 29
- 239000000243 solution Substances 0.000 claims description 22
- KFZMGEQAYNKOFK-UHFFFAOYSA-N Isopropanol Chemical compound CC(C)O KFZMGEQAYNKOFK-UHFFFAOYSA-N 0.000 claims description 19
- HEMHJVSKTPXQMS-UHFFFAOYSA-M Sodium hydroxide Chemical compound [OH-].[Na+] HEMHJVSKTPXQMS-UHFFFAOYSA-M 0.000 claims description 18
- DKGAVHZHDRPRBM-UHFFFAOYSA-N Tert-Butanol Chemical compound CC(C)(C)O DKGAVHZHDRPRBM-UHFFFAOYSA-N 0.000 claims description 16
- 238000001914 filtration Methods 0.000 claims description 12
- WQDUMFSSJAZKTM-UHFFFAOYSA-N Sodium methoxide Chemical group [Na+].[O-]C WQDUMFSSJAZKTM-UHFFFAOYSA-N 0.000 claims description 10
- ZXEKIIBDNHEJCQ-UHFFFAOYSA-N isobutanol Chemical compound CC(C)CO ZXEKIIBDNHEJCQ-UHFFFAOYSA-N 0.000 claims description 10
- 238000002156 mixing Methods 0.000 claims description 9
- IAZDPXIOMUYVGZ-UHFFFAOYSA-N Dimethylsulphoxide Chemical compound CS(C)=O IAZDPXIOMUYVGZ-UHFFFAOYSA-N 0.000 claims description 8
- LRHPLDYGYMQRHN-UHFFFAOYSA-N N-Butanol Chemical compound CCCCO LRHPLDYGYMQRHN-UHFFFAOYSA-N 0.000 claims description 8
- 238000001035 drying Methods 0.000 claims description 8
- 238000002441 X-ray diffraction Methods 0.000 claims description 7
- WEVYAHXRMPXWCK-UHFFFAOYSA-N Acetonitrile Chemical compound CC#N WEVYAHXRMPXWCK-UHFFFAOYSA-N 0.000 claims description 6
- XEKOWRVHYACXOJ-UHFFFAOYSA-N Ethyl acetate Chemical group CCOC(C)=O XEKOWRVHYACXOJ-UHFFFAOYSA-N 0.000 claims description 6
- WMFOQBRAJBCJND-UHFFFAOYSA-M Lithium hydroxide Chemical group [Li+].[OH-] WMFOQBRAJBCJND-UHFFFAOYSA-M 0.000 claims description 6
- KWYUFKZDYYNOTN-UHFFFAOYSA-M Potassium hydroxide Chemical compound [OH-].[K+] KWYUFKZDYYNOTN-UHFFFAOYSA-M 0.000 claims description 6
- WYURNTSHIVDZCO-UHFFFAOYSA-N Tetrahydrofuran Chemical compound C1CCOC1 WYURNTSHIVDZCO-UHFFFAOYSA-N 0.000 claims description 6
- BDERNNFJNOPAEC-UHFFFAOYSA-N propan-1-ol Chemical compound CCCO BDERNNFJNOPAEC-UHFFFAOYSA-N 0.000 claims description 5
- SECXISVLQFMRJM-UHFFFAOYSA-N N-Methylpyrrolidone Chemical compound CN1CCCC1=O SECXISVLQFMRJM-UHFFFAOYSA-N 0.000 claims description 4
- CDBYLPFSWZWCQE-UHFFFAOYSA-L Sodium Carbonate Chemical compound [Na+].[Na+].[O-]C([O-])=O CDBYLPFSWZWCQE-UHFFFAOYSA-L 0.000 claims description 4
- 150000008044 alkali metal hydroxides Chemical group 0.000 claims description 4
- 239000011736 potassium bicarbonate Substances 0.000 claims description 4
- 229910000028 potassium bicarbonate Inorganic materials 0.000 claims description 4
- 235000015497 potassium bicarbonate Nutrition 0.000 claims description 4
- BWHMMNNQKKPAPP-UHFFFAOYSA-L potassium carbonate Chemical compound [K+].[K+].[O-]C([O-])=O BWHMMNNQKKPAPP-UHFFFAOYSA-L 0.000 claims description 4
- TYJJADVDDVDEDZ-UHFFFAOYSA-M potassium hydrogencarbonate Chemical compound [K+].OC([O-])=O TYJJADVDDVDEDZ-UHFFFAOYSA-M 0.000 claims description 4
- MFRIHAYPQRLWNB-UHFFFAOYSA-N sodium tert-butoxide Chemical compound [Na+].CC(C)(C)[O-] MFRIHAYPQRLWNB-UHFFFAOYSA-N 0.000 claims description 4
- BVKZGUZCCUSVTD-UHFFFAOYSA-M Bicarbonate Chemical class OC([O-])=O BVKZGUZCCUSVTD-UHFFFAOYSA-M 0.000 claims description 3
- YLQBMQCUIZJEEH-UHFFFAOYSA-N tetrahydrofuran Natural products C=1C=COC=1 YLQBMQCUIZJEEH-UHFFFAOYSA-N 0.000 claims description 3
- BVKZGUZCCUSVTD-UHFFFAOYSA-L Carbonate Chemical compound [O-]C([O-])=O BVKZGUZCCUSVTD-UHFFFAOYSA-L 0.000 claims description 2
- UIIMBOGNXHQVGW-DEQYMQKBSA-M Sodium bicarbonate-14C Chemical compound [Na+].O[14C]([O-])=O UIIMBOGNXHQVGW-DEQYMQKBSA-M 0.000 claims description 2
- XGZVUEUWXADBQD-UHFFFAOYSA-L lithium carbonate Chemical compound [Li+].[Li+].[O-]C([O-])=O XGZVUEUWXADBQD-UHFFFAOYSA-L 0.000 claims description 2
- 229910052808 lithium carbonate Inorganic materials 0.000 claims description 2
- HQRPHMAXFVUBJX-UHFFFAOYSA-M lithium;hydrogen carbonate Chemical compound [Li+].OC([O-])=O HQRPHMAXFVUBJX-UHFFFAOYSA-M 0.000 claims description 2
- 229910000027 potassium carbonate Inorganic materials 0.000 claims description 2
- 235000011181 potassium carbonates Nutrition 0.000 claims description 2
- FVSKHRXBFJPNKK-UHFFFAOYSA-N propionitrile Chemical compound CCC#N FVSKHRXBFJPNKK-UHFFFAOYSA-N 0.000 claims description 2
- 229910000029 sodium carbonate Inorganic materials 0.000 claims description 2
- FGUUSXIOTUKUDN-IBGZPJMESA-N C1(=CC=CC=C1)N1C2=C(NC([C@H](C1)NC=1OC(=NN=1)C1=CC=CC=C1)=O)C=CC=C2 Chemical compound C1(=CC=CC=C1)N1C2=C(NC([C@H](C1)NC=1OC(=NN=1)C1=CC=CC=C1)=O)C=CC=C2 FGUUSXIOTUKUDN-IBGZPJMESA-N 0.000 claims 1
- FXHOOIRPVKKKFG-UHFFFAOYSA-N N,N-Dimethylacetamide Chemical compound CN(C)C(C)=O FXHOOIRPVKKKFG-UHFFFAOYSA-N 0.000 claims 1
- 150000004649 carbonic acid derivatives Chemical class 0.000 claims 1
- BDAWXSQJJCIFIK-UHFFFAOYSA-N potassium methoxide Chemical compound [K+].[O-]C BDAWXSQJJCIFIK-UHFFFAOYSA-N 0.000 claims 1
- LPNYRYFBWFDTMA-UHFFFAOYSA-N potassium tert-butoxide Chemical compound [K+].CC(C)(C)[O-] LPNYRYFBWFDTMA-UHFFFAOYSA-N 0.000 claims 1
- 229940080345 gamma-cyclodextrin Drugs 0.000 abstract 4
- GDSRMADSINPKSL-HSEONFRVSA-N gamma-cyclodextrin Chemical compound OC[C@H]([C@H]([C@@H]([C@H]1O)O)O[C@H]2O[C@@H]([C@@H](O[C@H]3O[C@H](CO)[C@H]([C@@H]([C@H]3O)O)O[C@H]3O[C@H](CO)[C@H]([C@@H]([C@H]3O)O)O[C@H]3O[C@H](CO)[C@H]([C@@H]([C@H]3O)O)O[C@H]3O[C@H](CO)[C@H]([C@@H]([C@H]3O)O)O[C@H]3O[C@H](CO)[C@H]([C@@H]([C@H]3O)O)O3)[C@H](O)[C@H]2O)CO)O[C@@H]1O[C@H]1[C@H](O)[C@@H](O)[C@@H]3O[C@@H]1CO GDSRMADSINPKSL-HSEONFRVSA-N 0.000 abstract 1
- 239000000725 suspension Substances 0.000 description 33
- 238000006243 chemical reaction Methods 0.000 description 14
- 238000000746 purification Methods 0.000 description 9
- 230000026030 halogenation Effects 0.000 description 8
- 238000005658 halogenation reaction Methods 0.000 description 8
- 238000004128 high performance liquid chromatography Methods 0.000 description 8
- 239000012296 anti-solvent Substances 0.000 description 7
- 239000003921 oil Substances 0.000 description 7
- UHZYTMXLRWXGPK-UHFFFAOYSA-N phosphorus pentachloride Chemical compound ClP(Cl)(Cl)(Cl)Cl UHZYTMXLRWXGPK-UHFFFAOYSA-N 0.000 description 7
- 239000006227 byproduct Substances 0.000 description 6
- 239000003153 chemical reaction reagent Substances 0.000 description 6
- 125000005843 halogen group Chemical group 0.000 description 6
- 238000002955 isolation Methods 0.000 description 6
- RIOQSEWOXXDEQQ-UHFFFAOYSA-N triphenylphosphine Chemical compound C1=CC=CC=C1P(C=1C=CC=CC=1)C1=CC=CC=C1 RIOQSEWOXXDEQQ-UHFFFAOYSA-N 0.000 description 6
- WKBOTKDWSSQWDR-UHFFFAOYSA-N Bromine atom Chemical compound [Br] WKBOTKDWSSQWDR-UHFFFAOYSA-N 0.000 description 5
- ZAMOUSCENKQFHK-UHFFFAOYSA-N Chlorine atom Chemical compound [Cl] ZAMOUSCENKQFHK-UHFFFAOYSA-N 0.000 description 5
- 230000015572 biosynthetic process Effects 0.000 description 5
- GDTBXPJZTBHREO-UHFFFAOYSA-N bromine Substances BrBr GDTBXPJZTBHREO-UHFFFAOYSA-N 0.000 description 5
- 229910052794 bromium Inorganic materials 0.000 description 5
- 238000005660 chlorination reaction Methods 0.000 description 5
- 239000000460 chlorine Substances 0.000 description 5
- 229910052801 chlorine Inorganic materials 0.000 description 5
- 238000001228 spectrum Methods 0.000 description 5
- OAICVXFJPJFONN-UHFFFAOYSA-N Phosphorus Chemical compound [P] OAICVXFJPJFONN-UHFFFAOYSA-N 0.000 description 4
- KEAYESYHFKHZAL-UHFFFAOYSA-N Sodium Chemical compound [Na] KEAYESYHFKHZAL-UHFFFAOYSA-N 0.000 description 4
- 229940097362 cyclodextrins Drugs 0.000 description 4
- 230000007062 hydrolysis Effects 0.000 description 4
- 238000006460 hydrolysis reaction Methods 0.000 description 4
- 239000012535 impurity Substances 0.000 description 4
- 239000011574 phosphorus Substances 0.000 description 4
- 229910052698 phosphorus Inorganic materials 0.000 description 4
- 239000000843 powder Substances 0.000 description 4
- 239000000047 product Substances 0.000 description 4
- HFHDHCJBZVLPGP-UHFFFAOYSA-N schardinger α-dextrin Chemical compound O1C(C(C2O)O)C(CO)OC2OC(C(C2O)O)C(CO)OC2OC(C(C2O)O)C(CO)OC2OC(C(O)C2O)C(CO)OC2OC(C(C2O)O)C(CO)OC2OC2C(O)C(O)C1OC2CO HFHDHCJBZVLPGP-UHFFFAOYSA-N 0.000 description 4
- 239000012312 sodium hydride Substances 0.000 description 4
- 229910000104 sodium hydride Inorganic materials 0.000 description 4
- 239000007787 solid Substances 0.000 description 4
- KTUQUZJOVNIKNZ-UHFFFAOYSA-N butan-1-ol;hydrate Chemical compound O.CCCCO KTUQUZJOVNIKNZ-UHFFFAOYSA-N 0.000 description 3
- 125000004432 carbon atom Chemical group C* 0.000 description 3
- 239000013078 crystal Substances 0.000 description 3
- 229910052736 halogen Inorganic materials 0.000 description 3
- 150000002367 halogens Chemical class 0.000 description 3
- 150000003014 phosphoric acid esters Chemical class 0.000 description 3
- 238000000634 powder X-ray diffraction Methods 0.000 description 3
- 238000003756 stirring Methods 0.000 description 3
- 239000000126 substance Substances 0.000 description 3
- ZCYVEMRRCGMTRW-UHFFFAOYSA-N 7553-56-2 Chemical compound [I] ZCYVEMRRCGMTRW-UHFFFAOYSA-N 0.000 description 2
- CSCPPACGZOOCGX-UHFFFAOYSA-N Acetone Chemical compound CC(C)=O CSCPPACGZOOCGX-UHFFFAOYSA-N 0.000 description 2
- CPELXLSAUQHCOX-UHFFFAOYSA-M Bromide Chemical compound [Br-] CPELXLSAUQHCOX-UHFFFAOYSA-M 0.000 description 2
- OKTJSMMVPCPJKN-UHFFFAOYSA-N Carbon Chemical compound [C] OKTJSMMVPCPJKN-UHFFFAOYSA-N 0.000 description 2
- CURLTUGMZLYLDI-UHFFFAOYSA-N Carbon dioxide Chemical compound O=C=O CURLTUGMZLYLDI-UHFFFAOYSA-N 0.000 description 2
- 238000004458 analytical method Methods 0.000 description 2
- 238000004508 fractional distillation Methods 0.000 description 2
- BHEPBYXIRTUNPN-UHFFFAOYSA-N hydridophosphorus(.) (triplet) Chemical compound [PH] BHEPBYXIRTUNPN-UHFFFAOYSA-N 0.000 description 2
- 125000002887 hydroxy group Chemical group [H]O* 0.000 description 2
- 239000011630 iodine Substances 0.000 description 2
- 229910052740 iodine Inorganic materials 0.000 description 2
- 239000000842 neuromuscular blocking agent Substances 0.000 description 2
- 239000002547 new drug Substances 0.000 description 2
- 238000001953 recrystallisation Methods 0.000 description 2
- 0 *C(CCNC#C)=* Chemical compound *C(CCNC#C)=* 0.000 description 1
- 229920001450 Alpha-Cyclodextrin Polymers 0.000 description 1
- 229920000856 Amylose Polymers 0.000 description 1
- MPVXLKULHPREFL-UHFFFAOYSA-N CC(CCNC)=C Chemical compound CC(CCNC)=C MPVXLKULHPREFL-UHFFFAOYSA-N 0.000 description 1
- PRFXJWCWTONYHD-UHFFFAOYSA-N CCC(CCNCC)=O Chemical compound CCC(CCNCC)=O PRFXJWCWTONYHD-UHFFFAOYSA-N 0.000 description 1
- UGFAIRIUMAVXCW-UHFFFAOYSA-N Carbon monoxide Chemical compound [O+]#[C-] UGFAIRIUMAVXCW-UHFFFAOYSA-N 0.000 description 1
- WQZGKKKJIJFFOK-GASJEMHNSA-N Glucose Chemical compound OC[C@H]1OC(O)[C@H](O)[C@@H](O)[C@@H]1O WQZGKKKJIJFFOK-GASJEMHNSA-N 0.000 description 1
- VEXZGXHMUGYJMC-UHFFFAOYSA-N Hydrochloric acid Chemical compound Cl VEXZGXHMUGYJMC-UHFFFAOYSA-N 0.000 description 1
- UFHFLCQGNIYNRP-UHFFFAOYSA-N Hydrogen Chemical compound [H][H] UFHFLCQGNIYNRP-UHFFFAOYSA-N 0.000 description 1
- 206010029315 Neuromuscular blockade Diseases 0.000 description 1
- OWWLUIWOFHMHOQ-XGHATYIMSA-N Pipecuronium Chemical compound N1([C@@H]2[C@@H](OC(C)=O)C[C@@H]3CC[C@H]4[C@@H]5C[C@@H]([C@@H]([C@]5(CC[C@@H]4[C@@]3(C)C2)C)OC(=O)C)N2CC[N+](C)(C)CC2)CC[N+](C)(C)CC1 OWWLUIWOFHMHOQ-XGHATYIMSA-N 0.000 description 1
- 229920005654 Sephadex Polymers 0.000 description 1
- 239000012507 Sephadex™ Substances 0.000 description 1
- VYPSYNLAJGMNEJ-UHFFFAOYSA-N Silicium dioxide Chemical compound O=[Si]=O VYPSYNLAJGMNEJ-UHFFFAOYSA-N 0.000 description 1
- 239000002253 acid Substances 0.000 description 1
- 150000001298 alcohols Chemical class 0.000 description 1
- 150000008431 aliphatic amides Chemical class 0.000 description 1
- 125000001931 aliphatic group Chemical group 0.000 description 1
- 239000003513 alkali Substances 0.000 description 1
- 125000004429 atom Chemical group 0.000 description 1
- 229940041644 bridion Drugs 0.000 description 1
- 150000001720 carbohydrates Chemical class 0.000 description 1
- 239000001569 carbon dioxide Substances 0.000 description 1
- 229910002092 carbon dioxide Inorganic materials 0.000 description 1
- 229910002091 carbon monoxide Inorganic materials 0.000 description 1
- 238000005119 centrifugation Methods 0.000 description 1
- 239000002738 chelating agent Substances 0.000 description 1
- 230000000052 comparative effect Effects 0.000 description 1
- 238000010668 complexation reaction Methods 0.000 description 1
- 238000001816 cooling Methods 0.000 description 1
- 239000012043 crude product Substances 0.000 description 1
- 238000002425 crystallisation Methods 0.000 description 1
- 230000008025 crystallization Effects 0.000 description 1
- 238000010908 decantation Methods 0.000 description 1
- 229940079593 drug Drugs 0.000 description 1
- 239000003814 drug Substances 0.000 description 1
- 229940126534 drug product Drugs 0.000 description 1
- 229940088679 drug related substance Drugs 0.000 description 1
- 239000003480 eluent Substances 0.000 description 1
- 238000005516 engineering process Methods 0.000 description 1
- 239000002360 explosive Substances 0.000 description 1
- 239000012530 fluid Substances 0.000 description 1
- 238000005187 foaming Methods 0.000 description 1
- 238000010438 heat treatment Methods 0.000 description 1
- 230000036571 hydration Effects 0.000 description 1
- 238000006703 hydration reaction Methods 0.000 description 1
- IXCSERBJSXMMFS-UHFFFAOYSA-N hydrogen chloride Substances Cl.Cl IXCSERBJSXMMFS-UHFFFAOYSA-N 0.000 description 1
- 229910000041 hydrogen chloride Inorganic materials 0.000 description 1
- 239000013067 intermediate product Substances 0.000 description 1
- 230000026045 iodination Effects 0.000 description 1
- 238000006192 iodination reaction Methods 0.000 description 1
- 150000002500 ions Chemical class 0.000 description 1
- 239000007788 liquid Substances 0.000 description 1
- 239000000463 material Substances 0.000 description 1
- 238000005259 measurement Methods 0.000 description 1
- 238000002844 melting Methods 0.000 description 1
- 230000008018 melting Effects 0.000 description 1
- 239000002480 mineral oil Substances 0.000 description 1
- 235000010446 mineral oil Nutrition 0.000 description 1
- 150000002825 nitriles Chemical class 0.000 description 1
- 238000010899 nucleation Methods 0.000 description 1
- 229920001542 oligosaccharide Polymers 0.000 description 1
- 230000000144 pharmacologic effect Effects 0.000 description 1
- 230000000704 physical effect Effects 0.000 description 1
- 229960001260 pipecuronium Drugs 0.000 description 1
- 238000001556 precipitation Methods 0.000 description 1
- YXRDKMPIGHSVRX-OOJCLDBCSA-N rocuronium Chemical compound N1([C@@H]2[C@@H](O)C[C@@H]3CC[C@H]4[C@@H]5C[C@@H]([C@@H]([C@]5(CC[C@@H]4[C@@]3(C)C2)C)OC(=O)C)[N+]2(CC=C)CCCC2)CCOCC1 YXRDKMPIGHSVRX-OOJCLDBCSA-N 0.000 description 1
- 229960000491 rocuronium Drugs 0.000 description 1
- 238000007790 scraping Methods 0.000 description 1
- 238000007086 side reaction Methods 0.000 description 1
- 239000000741 silica gel Substances 0.000 description 1
- 229910002027 silica gel Inorganic materials 0.000 description 1
- 238000007614 solvation Methods 0.000 description 1
- 230000003637 steroidlike Effects 0.000 description 1
- KMGKABOMYQLLDJ-VKHHSAQNSA-F sugammadex sodium Chemical compound [Na+].[Na+].[Na+].[Na+].[Na+].[Na+].[Na+].[Na+].O([C@@H]([C@@H]([C@H]1O)O)O[C@H]2[C@H](O)[C@H]([C@@H](O[C@@H]3[C@@H](CSCCC([O-])=O)O[C@@H]([C@@H]([C@H]3O)O)O[C@@H]3[C@@H](CSCCC([O-])=O)O[C@@H]([C@@H]([C@H]3O)O)O[C@@H]3[C@@H](CSCCC([O-])=O)O[C@@H]([C@@H]([C@H]3O)O)O[C@@H]3[C@@H](CSCCC([O-])=O)O[C@@H]([C@@H]([C@H]3O)O)O[C@@H]3[C@@H](CSCCC([O-])=O)O[C@@H]([C@@H]([C@H]3O)O)O3)O[C@@H]2CSCCC([O-])=O)O)[C@H](CSCCC([O-])=O)[C@H]1O[C@@H]1[C@H](O)[C@@H](O)[C@H]3[C@@H](CSCCC([O-])=O)O1 KMGKABOMYQLLDJ-VKHHSAQNSA-F 0.000 description 1
- 125000000475 sulfinyl group Chemical group [*:2]S([*:1])=O 0.000 description 1
- LMBFAGIMSUYTBN-MPZNNTNKSA-N teixobactin Chemical compound C([C@H](C(=O)N[C@@H]([C@@H](C)CC)C(=O)N[C@@H](CO)C(=O)N[C@H](CCC(N)=O)C(=O)N[C@H]([C@@H](C)CC)C(=O)N[C@@H]([C@@H](C)CC)C(=O)N[C@@H](CO)C(=O)N[C@H]1C(N[C@@H](C)C(=O)N[C@@H](C[C@@H]2NC(=N)NC2)C(=O)N[C@H](C(=O)O[C@H]1C)[C@@H](C)CC)=O)NC)C1=CC=CC=C1 LMBFAGIMSUYTBN-MPZNNTNKSA-N 0.000 description 1
- 238000010998 test method Methods 0.000 description 1
- FIQMHBFVRAXMOP-UHFFFAOYSA-N triphenylphosphane oxide Chemical compound C=1C=CC=CC=1P(C=1C=CC=CC=1)(=O)C1=CC=CC=C1 FIQMHBFVRAXMOP-UHFFFAOYSA-N 0.000 description 1
- 238000000108 ultra-filtration Methods 0.000 description 1
- 238000001291 vacuum drying Methods 0.000 description 1
- BGSZAXLLHYERSY-XQIGCQGXSA-N vecuronium Chemical compound N1([C@@H]2[C@@H](OC(C)=O)C[C@@H]3CC[C@H]4[C@@H]5C[C@@H]([C@@H]([C@]5(CC[C@@H]4[C@@]3(C)C2)C)OC(=O)C)[N+]2(C)CCCCC2)CCCCC1 BGSZAXLLHYERSY-XQIGCQGXSA-N 0.000 description 1
- 229960003819 vecuronium Drugs 0.000 description 1
- 238000005406 washing Methods 0.000 description 1
Classifications
-
- C—CHEMISTRY; METALLURGY
- C08—ORGANIC MACROMOLECULAR COMPOUNDS; THEIR PREPARATION OR CHEMICAL WORKING-UP; COMPOSITIONS BASED THEREON
- C08B—POLYSACCHARIDES; DERIVATIVES THEREOF
- C08B37/00—Preparation of polysaccharides not provided for in groups C08B1/00 - C08B35/00; Derivatives thereof
- C08B37/0006—Homoglycans, i.e. polysaccharides having a main chain consisting of one single sugar, e.g. colominic acid
- C08B37/0009—Homoglycans, i.e. polysaccharides having a main chain consisting of one single sugar, e.g. colominic acid alpha-D-Glucans, e.g. polydextrose, alternan, glycogen; (alpha-1,4)(alpha-1,6)-D-Glucans; (alpha-1,3)(alpha-1,4)-D-Glucans, e.g. isolichenan or nigeran; (alpha-1,4)-D-Glucans; (alpha-1,3)-D-Glucans, e.g. pseudonigeran; Derivatives thereof
- C08B37/0012—Cyclodextrin [CD], e.g. cycle with 6 units (alpha), with 7 units (beta) and with 8 units (gamma), large-ring cyclodextrin or cycloamylose with 9 units or more; Derivatives thereof
-
- C—CHEMISTRY; METALLURGY
- C08—ORGANIC MACROMOLECULAR COMPOUNDS; THEIR PREPARATION OR CHEMICAL WORKING-UP; COMPOSITIONS BASED THEREON
- C08B—POLYSACCHARIDES; DERIVATIVES THEREOF
- C08B37/00—Preparation of polysaccharides not provided for in groups C08B1/00 - C08B35/00; Derivatives thereof
- C08B37/0003—General processes for their isolation or fractionation, e.g. purification or extraction from biomass
-
- C—CHEMISTRY; METALLURGY
- C08—ORGANIC MACROMOLECULAR COMPOUNDS; THEIR PREPARATION OR CHEMICAL WORKING-UP; COMPOSITIONS BASED THEREON
- C08L—COMPOSITIONS OF MACROMOLECULAR COMPOUNDS
- C08L5/00—Compositions of polysaccharides or of their derivatives not provided for in groups C08L1/00 or C08L3/00
- C08L5/16—Cyclodextrin; Derivatives thereof
Landscapes
- Chemical & Material Sciences (AREA)
- Health & Medical Sciences (AREA)
- Life Sciences & Earth Sciences (AREA)
- Medicinal Chemistry (AREA)
- Polymers & Plastics (AREA)
- Organic Chemistry (AREA)
- Chemical Kinetics & Catalysis (AREA)
- General Health & Medical Sciences (AREA)
- Molecular Biology (AREA)
- Engineering & Computer Science (AREA)
- Biochemistry (AREA)
- Materials Engineering (AREA)
- Sustainable Development (AREA)
- Polysaccharides And Polysaccharide Derivatives (AREA)
Abstract
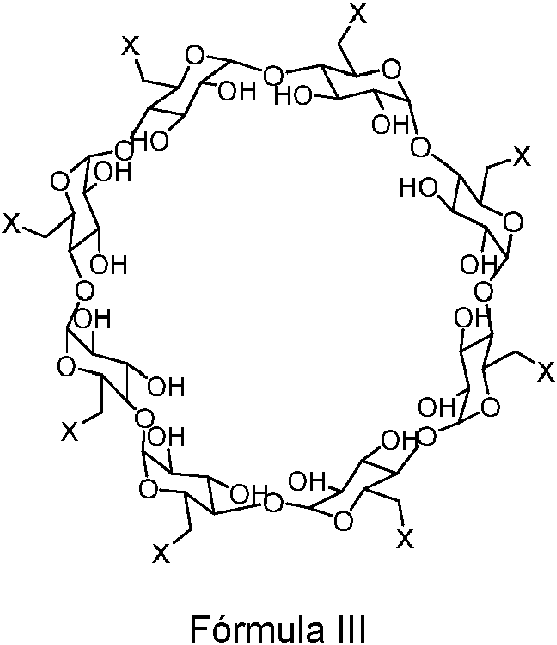
Procedimiento para preparar sugammadex de fórmula I, **(Ver fórmula)** que comprende, a) hacer reaccionar γ-ciclodextrina de fórmula II, **(Ver fórmula)** con un agente de halogenación, seleccionado de un grupo que consiste en cloruro de oxalilo, bromuro de oxalilo, cloruro de tionilo y bromuro de tionilo, en un disolvente orgánico, b) mezclar la mezcla de reacción de la etapa a) con una disolución acuosa de base y disolvente alcohólico, c) aislar 6-per-desoxi-6-per-halo-γ-ciclodextrina de compuesto de fórmula III, en la que x es bromuro o cloruro, a partir de la mezcla de reacción, **(Ver fórmula)** d) opcionalmente, secar la 6-per-desoxi-6-per-halo-γ-ciclodextrina, e) opcionalmente, purificar el compuesto de la etapa c) o d), f) hacer reaccionar la 6-per-desoxi-6-per-halo-γ-ciclodextrina con ácido 3-mercaptopropiónico en presencia de base de alcóxido de metal alcalino en un disolvente orgánico para obtener sugammadex.
Description
DESCRIPCIÓN
Procedimiento mejorado para la preparación de sugammadex y sus productos intermedios
Campo de la invención
La presente solicitud proporciona un procedimiento mejorado para la preparación de sugammadex. Más particularmente, la solicitud se refiere a un procedimiento mejorado para la preparación de 6-per-desoxi-6-per-halo-yciclodextrina y a su aislamiento como compuesto cristalino, en el que dicho halo es bromo o cloro. Esta solicitud también se refiere al uso de dicha 6-per-desoxi-6-per-halo-y-ciclodextrina cristalina para la preparación de sugammadex que mejora el rendimiento global y/o la pureza de sugammadex.
La presente solicitud proporciona un procedimiento mejorado industrialmente viable, que es eficaz y reproducible. Antecedentes de la invención
Las ciclodextrinas (CD) son una familia de oligosacáridos cíclicos que se componen de subunidades de glucopiranosa con unión a -(1,4). Según la nomenclatura aceptada general de las ciclodextrinas, una a (alfa)-ciclodextrina es una molécula de anillo de 6 miembros, una p (beta)-ciclodextrina es una molécula de anillo de 7 miembros y una y (gamma)-ciclodextrina es una molécula de anillo de 8 miembros. Las ciclodextrinas son agentes quelantes moleculares útiles. Presentan una estructura supramolecular de tipo jaula. Como resultado de fenómenos de complejación molecular, las CD se usan ampliamente en muchos productos industriales, tecnologías y métodos analíticos.
Sugammadex se comercializa como Bridion® y se conoce estructuralmente como compuesto de fórmula I. Es un derivado de y-ciclodextrina octa-sustituido con un núcleo lipófilo y una periferia hidrófila.
Sugammadex contiene ocho unidades de amilosa que se repiten, cada una con cinco átomos de carbono asimétricos, en total cuarenta átomos de carbono asimétricos para toda la molécula. La configuración original de todos los átomos de carbono asimétricos se conserva durante el procedimiento de fabricación de síntesis.
Se sabe que sugammadex es útil para la reversión del bloqueo neuromuscular inducido por agentes de bloqueo neuromuscular esteroideos (NMBA) tales como rocuronio, vecuronio y pipecuronio.
Sugammadex se dio a conocer en el documento WO01/40316A1. Esta publicación da a conocer un procedimiento para la preparación de sugammadex que implica la preparación de un agente de halogenación haciendo reaccionar trifenilfosfina, yodo y dimetilformamida seca. El agente de halogenación se hace reaccionar adicionalmente con yciclodextrina seca del compuesto de fórmula II a 70°C durante 24 h.
Fórmula II
Después de completarse la reacción, se trata la disolución obtenida con metóxido de sodio y metanol. Se evapora el metanol, después se añade agua para obtener un aceite viscoso duro. Se filtra el aceite viscoso duro y se lava tres veces con cada uno de agua y acetona para obtener 6-per-desoxi-6-per-yodo-y-ciclodextrina como un sólido amarillo. Se hace reaccionar la 6-per-desoxi-6-per-yodo-y-ciclodextrina con ácido 3-mercaptopropiónico en presencia de hidruro de sodio en dimetilformamida seca para obtener sugammadex.
El procedimiento dado a conocer en el documento WO01/40316A1 presenta las siguientes desventajas:
(i) La preparación de un agente de halogenación produce óxido de trifenilfosfina como subproducto, que es muy difícil de retirar de la masa de reacción. Normalmente se requieren múltiples lavados con un disolvente bajo atmósfera inerte para una retirada completa.
(ii) La adición de metóxido de sodio a la disolución de dimetilformamida es muy exotérmica y difícil de controlar. (iii) La mezcla de reacción es muy viscosa después de la retirada de metanol y complicada de agitar.
(iv) La filtración de aceite viscoso duro es muy lenta, lo cual hace que el lavado con disolvente sea muy difícil y requiera mucho tiempo.
(v) El rendimiento obtenido de 6-per-desoxi-6-per-yodo-y-ciclodextrina es muy bajo (aproximadamente el 40%). (vi) La pureza de 6-per-desoxi-6-per-yodo-y-ciclodextrina también es muy baja (aproximadamente el 20%).
(vii) El uso de hidruro de sodio también es muy complejo ya que está asociado con una espumación excesiva, formación de gas hidrógeno explosivo y la adición de aceite mineral a la mezcla de reacción.
El documento WO2012/025937A1 da a conocer la preparación de sugammadex mediante cloración de yciclodextrina con un agente de halogenación preparado a partir de pentacloruro de fósforo y dimetilformamida. Después de completarse la cloración se retira el disolvente para obtener un residuo viscoso. Se diluye el residuo viscoso con agua seguido por ajuste del pH 8 con hidróxido de sodio 5 M para obtener una suspensión. Después se filtra dicha suspensión, se lava con agua y se seca para dar 6-per-desoxi-6-per-cloro-y-ciclodextrina. Se hace reaccionar adicionalmente la y-ciclodextrina clorada con ácido 3-mercaptopropiónico en presencia de hidruro de sodio en dimetilformamida para dar sugammadex. Esta publicación también da a conocer que el agente de halogenación preparado reacciona selectivamente con grupos hidroxilo primario de y-ciclodextrina para proporcionar 6-per-desoxi-6-per-cloro-y-ciclodextrina.
El procedimiento dado a conocer en el documento WO2012/025937A1 presenta las siguientes desventajas:
(i) El agente de halogenación, que se prepara mediante reacción de pentacloruro de fósforo y dimetilformamida, produce numerosas especies de fósforo en la reacción con dimetilformamida, y su posterior uso para la halogenación de y-ciclodextrina también produce ésteres de fosfato como impurezas que son difíciles de retirar. (ii) La retirada de dimetilformamida tras la cloración de y-ciclodextrina produce un aceite altamente viscoso, que es muy complicado de agitar.
(iii) La adición de agua al aceite viscoso obtenido es altamente exotérmica y la manipulación de tal reacción exotérmica es muy difícil.
(iv) La filtración de 6-per-desoxi-6-per-cloro-y-ciclodextrina también es muy compleja debido a su naturaleza amorfa y se tarda mucho tiempo en la filtración.
(v) El rendimiento obtenido de 6-per-desoxi-6-per-cloro-y-ciclodextrina es muy bajo (aproximadamente el 44%). (vi) La pureza de 6-per-desoxi-6-per-cloro-y-ciclodextrina también es muy baja (aproximadamente el 22%).
El documento WO2014/125501A1 da a conocer la preparación de sugammadex mediante cloración de yciclodextrina con un agente de halogenación, preparado a partir de pentacloruro de fósforo y dimetilformamida. Después de completarse la cloración, se extingue la mezcla con agua. Se hidroliza la mezcla obtenida con disolución acuosa de hidróxido de sodio, se filtra, se lava repetidamente con agua y se seca para dar 6-per-desoxi-6-per-cloro-y-ciclodextrina. Se hace reaccionar adicionalmente la y-ciclodextrina clorada con ácido 3-mercaptopropiónico en presencia de metóxido de sodio en dimetilformamida para dar sugammadex bruto. Se purifica el sugammadex bruto mediante tratamiento con carbono activado en una mezcla de agua y metanol.
El procedimiento dado a conocer en el documento WO2014/125501A1 presenta las siguientes desventajas:
(i) El agente de halogenación, que se prepara mediante reacción de pentacloruro de fósforo y dimetilformamida, produce numerosas especies de fósforo en la reacción con dimetilformamida, y su posterior uso para la halogenación de y-ciclodextrina también produce ésteres de fosfato como impurezas que son difíciles de retirar. (ii) La filtración de 6-per-desoxi-6-per-cloro-y-ciclodextrina es muy compleja ya que se tarda mucho tiempo en la filtración debido a su naturaleza amorfa.
(iii) La pureza de 6-per-desoxi-6-per-cloro-y-ciclodextrina también es muy baja (aproximadamente el 23%).
Por tanto, los procedimientos de la técnica anterior para la preparación de sugammadex presentan las siguientes desventajas expuestas a continuación;
(i) El uso de trifenilfosfina durante la yodación de y-ciclodextrina, el uso de reactivos basados en fósforo para la halogenación de y-ciclodextrina.
Estos reactivos producen impurezas no deseadas como subproducto que es muy difícil de retirar y requiere múltiples purificaciones.
(ii) La manipulación de mezcla de reacción altamente viscosa de 6-per-desoxi-6-per-cloro-y-ciclodextrina es muy difícil.
(iii) La filtración de 6-per-desoxi-6-per-cloro-y-ciclodextrina también es muy compleja debido a su naturaleza amorfa. Finalmente, la duración de tiempo más prolongada, manipulación de reacción y múltiples purificaciones para la retirada de impurezas, no son deseables para la preparación de sugammadex y sus productos intermedios.
Sumario de la invención
En un aspecto, la solicitud proporciona un procedimiento mejorado para la preparación de sugammadex, que comprende las etapas de:
a) hacer reaccionar una y-ciclodextrina de fórmula II con un agente de halogenación seleccionado de un grupo que consiste en cloruro de oxalilo, bromuro de oxalilo, cloruro de tionilo y bromuro de tionilo, en un disolvente orgánico adecuado,
Fórmula II
b) mezclar la mezcla de reacción de la etapa a) con una disolución acuosa de base y disolvente alcohólico, c) aislar 6-per-desoxi-6-per-halo-y-ciclodextrina de fórmula III, en la que X es bromuro o cloruro, a partir de la mezcla
de reacción
d) opcionalmente, secar dicha 6-per-desoxi-6-per-halo-y-ciclodextrina,
e) opcionalmente, purificar el compuesto de la etapa c) o d),
f) hacer reaccionar la 6-per-desoxi-6-per-halo-y-ciclodextrina con ácido 3-mercaptopropiónico en presencia de base de alcóxido de metal alcalino en un disolvente orgánico adecuado para obtener sugammadex.
En otro aspecto, la presente invención se refiere a un procedimiento mejorado para preparar un producto intermedio para preparar sugammadex, concretamente 6-per-desoxi-6-per-halo-y-ciclodextrina de fórmula III, en la que x es bromuro o cloruro,
que comprende las etapas de,
a) hacer reaccionar y-ciclodextrina de fórmula II,
Fórmula II
con un agente de halogenación, seleccionado de un grupo que consiste en cloruro de oxalilo, bromuro de oxalilo, cloruro de tionilo y bromuro de tionilo, en un disolvente orgánico adecuado,
b) mezclar la mezcla de reacción de la etapa a) con una disolución acuosa de base y disolvente alcohólico, c) aislar 6-per-desoxi-6-per-halo-y-ciclodextrina a partir de la mezcla de reacción,
d) opcionalmente, secar la 6-per-desoxi-6-per-halo-y-ciclodextrina,
e) opcionalmente, purificar el compuesto de la etapa c) o d).
En aún otro aspecto, la presente invención se refiere al aislamiento de 6-per-desoxi-6-per-halo-y-ciclodextrina de fórmula III, en la que x es bromuro o cloruro, que comprende las etapas de,
a) hacer reaccionar y-ciclodextrina de fórmula II con un agente de halogenación, seleccionado de un grupo que consiste en cloruro de oxalilo, bromuro de oxalilo, cloruro de tionilo y bromuro de tionilo en dimetilformamida, b1) añadir un alcohol, seleccionado de un grupo que consiste en metanol, etanol, propanol, alcohol isopropílico, nbutanol, iso-butanol, terc-butanol,
b2) mezclar la disolución de la etapa b1) con una mezcla de agua, base y alcohol, en el que el alcohol es el mismo que el usado en la etapa b1),
b3) agitar,
c) aislar 6-per-desoxi-6-per-halo-y-ciclodextrina de fórmula III a partir de la mezcla de reacción mediante filtración. Breve descripción de los dibujos
La figura 1 es una ilustración de un espectro de XRPD de la forma cristalina I de 6-per-desoxi-6-per-cloro-yciclodextrina.
La figura 2 es una ilustración de un espectro de XRPD de la forma cristalina II de 6-per-desoxi-6-per-cloro-yciclodextrina.
La figura 3 es una ilustración de un espectro de XRPD de la forma cristalina III de 6-per-desoxi-6-per-cloro-yciclodextrina.
Descripción detallada de la invención
DEFINICIONES
Las siguientes definiciones se usan en relación con la presente solicitud a menos que el contexto indique lo contrario.
El término “anti-disolvente” se refiere a un líquido que, cuando se combina con una disolución de 6-per-desoxi-6-perhalo-y-ciclodextrina, por ejemplo, reduce la solubilidad de la 6-per-desoxi-6-per-halo-y-ciclodextrina en la disolución, provocando la cristalización o precipitación en algunos casos de manera espontánea y, en otros casos, con etapas adicionales, tales como siembra, enfriamiento, raspado y/o concentración.
El término “halo” significa halógeno. El término 6-per-desoxi-6-per-halo-y-ciclodextrina significa una y-ciclodextrina perhalogenada en la que el halógeno puede ser cloruro o bromuro. El término 6-per-desoxi-6-per-cloro-yciclodextrina significa una y-ciclodextrina perhalogenada en el que el halógeno es cloruro.
Todos los porcentajes y razones usados en el presente documento son en peso de la composición total y todas las mediciones realizadas son a aproximadamente 25°C y aproximadamente presión atmosférica, a menos que se designe lo contrario. Todas las temperaturas son en grados centígrados a menos que se especifique lo contrario. Debe interpretarse que los términos “aproximadamente”, “general”, “generalmente” y similares modifican un término o valor de tal manera que no es un valor absoluto. Tales términos se definirán por las circunstancias y los términos que modifican tal como entienden esos términos los expertos en la técnica. Esto incluye, como mínimo, el grado de error experimental esperado, error técnico y error del instrumento para una técnica dada usada para medir un valor. Tal como se usan en el presente documento, los términos “que comprende” y “comprende” significan los elementos mencionados, o sus equivalentes en cuanto a estructura o función, más cualquier otro elemento o elementos que no se mencionen. Los términos “que tiene” y “que incluye” también deben interpretarse como abiertos. Todos los intervalos mencionados en el presente documento incluyen los puntos de extremo, incluyendo los que mencionan un intervalo entre dos valores. Tanto si se indica así como si no, todos los valores mencionados en el presente
documento son aproximados tal como se define por las circunstancias, incluyendo el grado de error experimental esperado, error técnico y error del instrumento para una técnica dada usada para medir un valor.
Se entiende que el término “opcional” u “opcionalmente” significa que el acontecimiento o la circunstancia descrito en la memoria descriptiva puede producirse o no, y que la descripción incluye casos en los que se produce el acontecimiento y casos en los que no se produce.
En general, polimorfismo se refiere a la capacidad de una sustancia para existir como dos o más formas cristalinas que tienen disposiciones espaciales y/o conformaciones diferentes de moléculas en sus redes cristalinas. Por tanto, “polimorfos” se refieren a formas cristalinas diferentes de la misma sustancia pura en las que las moléculas tienen disposiciones espaciales diferentes de las moléculas, átomos y/o iones que forman el cristal. Polimorfos diferentes pueden tener propiedades físicas diferentes tales como puntos de fusión, solubilidades, espectros de difracción de rayos X, etc.
El polimorfismo también puede incluir productos de solvatación o hidratación (también conocidos como pseudopolimorfos) y formas amorfas. En algunos casos, las diferencias en estas formas pueden afectar a la calidad o rendimiento de los nuevos productos farmacológicos (Agencia europea del medicamento; “Test Procedures and Acceptance Criteria for New Drug Substances and New Drug Products”; documento CPMP/ICH/367/96, mayo de 2000).
En un aspecto, la solicitud proporciona un procedimiento mejorado para la preparación de sugammadex haciendo reaccionar y-ciclodextrina de fórmula II con un agente de halogenación, seleccionado de un grupo que consiste en cloruro de oxalilo, bromuro de oxalilo, cloruro de tionilo y bromuro de tionilo, en un disolvente orgánico adecuado para obtener 6-per-desoxi-6-per-halo-y-ciclodextrina (y-ciclodextrina halogenada). Dicha y-ciclodextrina halogenada se hace reaccionar adicionalmente con ácido 3-mercaptopropiónico en presencia de base de alcóxido de metal alcalino en un disolvente orgánico adecuado para dar sugammadex.
La halogenación de y-ciclodextrina se conoce bien en la técnica. Sin embargo, la mayoría de estos procedimientos implican el uso de reactivos de halogenación basados en fósforo. Los reactivos de halogenación basados en fósforo no son favorables ya que producen una variedad de productos secundarios que son muy difíciles de retirar a partir de la mezcla de reacción.
Los inventores de la presente solicitud han encontrado sorprendentemente que el uso de un agente de halogenación, seleccionado de un grupo que consiste en cloruro de oxalilo, bromuro de oxalilo, cloruro de tionilo y bromuro de tionilo, para la halogenación de y-ciclodextrina proporciona una reacción más limpia. Especialmente debido a la formación de subproductos gaseosos únicamente, tales como monóxido de carbono, dióxido de carbono y cloruro de hidrógeno. Estos subproductos gaseosos no requieren ninguna etapa de procedimiento adicional para su retirada a partir de la mezcla de reacción, evitando por tanto múltiples procedimientos de purificación para obtener la pureza deseada de y-ciclodextrina halogenada.
El uso de un agente de halogenación, seleccionado de un grupo que consiste en cloruro de oxalilo, bromuro de oxalilo, cloruro de tionilo y bromuro de tionilo, también evita posibles reacciones secundarias tales como la formación de ésteres de fosfato, que se producen como subproducto cuando se usan reactivos de halogenación basados en fósforo tales como pentacloruro de fósforo. Además, el uso de dicho agente de halogenación anterior de la presente solicitud reacciona selectivamente con hidroxilos primarios de y-ciclodextrina para producir el producto halogenado deseado 6-per-desoxi-6-per-halo-y-ciclodextrina, en el que halo es bromo o cloro.
Los disolventes orgánicos adecuados que pueden usarse durante la halogenación de y-ciclodextrina incluyen, pero no se limitan a, ésteres alifáticos tales como acetato de etilo; éteres alifáticos tales como tetrahidrofurano; amidas alifáticas tales como dimetilformamida; nitrilos tales como acetonitrilo, propionitrilo; dimetilsulfóxido, N-metil-2-pirrolidona y mezclas de los mismos.
La halogenación de y-ciclodextrina produce un complejo con el reactivo de halogenación y disolvente, que se hidroliza adicionalmente con una base adecuada para dar 6-per-desoxi-6-per-halo-y-ciclodextrina. Los métodos de la técnica anterior notificados para la hidrólisis del complejo métodos dan como resultado una mezcla altamente viscosa, que es muy difícil de manipular. Los inventores de la presente solicitud han encontrado sorprendentemente que la hidrólisis leve del complejo de y-ciclodextrina halogenada con una disolución acuosa de base en una mezcla de disolvente/anti-disolvente adecuada produce una suspensión que no es viscosa y es más fácil de manipular. Preferiblemente, el anti-disolvente es una mezcla de disolvente alcohólico y agua. El disolvente del par de disolvente:anti-disolvente puede seleccionarse de la lista de disolventes orgánicos tal como se comentó anteriormente, la lista de disolventes alcohólicos y base se comentan a continuación.
Según otro aspecto de la presente solicitud el uso de condición de hidrólisis leve en una mezcla de disolvente/antidisolvente adecuada para la hidrólisis del complejo de y-ciclodextrina halogenada proporciona 6-per-desoxi-6-perhalo-y-ciclodextrina cristalina, en la que halo es bromo o cloro.
Se encuentra sorprendentemente que el uso de dimetilformamida como disolvente y mezcla de agua y disolvente alcohólico como anti-disolvente produce específicamente 6-per-desoxi-6-per-halo-y-ciclodextrina cristalina.
Los disolventes alcohólicos que pueden usarse incluyen, pero no se limitan a, alcoholes C1-C4 tales como metanol, etanol, propanol, alcohol isopropílico, n-butanol, iso-butanol, terc-butanol o mezclas de los mismos.
Las bases adecuadas que pueden usarse incluyen, pero no se limitan a, álcali o hidróxido de metal alcalino tal como hidróxido de sodio, hidróxido de litio, hidróxido de potasio y similares; carbonato, bicarbonato tal como carbonato de potasio, carbonato de litio, carbonato de sodio, bicarbonato de potasio, bicarbonato de litio, bicarbonato de sodio y similares. Una razón útil de la mezcla de agua/alcohol puede estar en el intervalo de 10/1 a 1/0,1, preferiblemente desde 5/1 hasta 1/0,1 y lo más preferiblemente desde 2/1 hasta 1/0,05.
De manera interesante, también se observa que la elección del alcohol influye en el espectro cristalino de la 6-perdesoxi-6-per-halo-y-ciclodextrina aislada, en la que halo es bromo o cloro. Sin embargo, en todos los casos, el espectro cristalino se registró con muestras húmedas de 6-per-desoxi-6-per-halo-y-ciclodextrina, es decir, los cristales aislados no se sometieron a una etapa de secado adicional y/o especial, tal como calentamiento o secado a vacío.
Se sabe que la ciclodextrina y sus derivados pierden su hábito cristalino al secarse (Hunt A. et al, Carbohydrate Res.
4 de julio de 2005; 340 (9): 1631-7). No obstante, las formas cristalinas de la invención mejoran fuertemente el tiempo de filtración y la calidad del producto intermedio.
A continuación se presenta en tabla una comparación con procedimientos de la técnica anterior conocidos con respecto al tiempo de filtración y la forma polimórfica de 6-per-desoxi-6-per-cloro-y-ciclodextrina (5 g de sustancia cada uno):
Tabla 1:
A partir de los datos comparativos resulta evidente que el tiempo de filtración se ha reducido muchas veces debido a la formación de 6-per-desoxi-6-per-cloro-y-ciclodextrina cristalina en comparación con la filtración complicada de material amorfo obtenido a partir de los procedimientos de la técnica anterior conocidos. También se observa claramente que el uso de agua y disolvente alcohólico como anti-disolvente contribuye a la formación de 6-perdesoxi-6-per-cloro-y-ciclodextrina cristalina.
Las formas cristalinas aisladas de 6-per-desoxi-6-per-cloro-y-ciclodextrina tienen un rendimiento (aproximadamente el 94%) y una pureza (aproximadamente el 94%) superiores en comparación con la forma amorfa aislada de 6-perdesoxi-6-per-cloro-y-ciclodextrina de los métodos de la técnica anterior conocidos, tal como se notifica en los ejemplos de referencia 1, 2 y 3.
La presente solicitud también proporciona formas cristalinas novedosas I, II y III de 6-per-desoxi-6-per-cloro-yciclodextrina.
La forma cristalina I muestra en difracción de rayos X un pico a un ángulo de refracción theta (0), de 4,1, 5,8, 8,2, 16.8, 23,5 ± 0,2 grados; preferiblemente incluye cinco o más picos a ángulos de refracción 2 theta (0) seleccionados del grupo que consiste en 4,1, 5,8, 7,1, 8,2, 9,1, 10,0, 10,8, 11,5, 12,2, 12,9, 13,5, 14,7, 15,3, 15,8, 16,3, 16,8, 17,3, 17.8, 18,3, 18,7, 19,1, 19,6, 20,4, 20,8, 21,2, 21,6, 22,0, 22,7, 23,1, 23,5, 23,8, 24,2, 24,9, 25,5, 26,2, 26,5, 26,8, 27.5, 28,1, 28,4, 28,7, 29,3, 29,9, 30,1, 30,4, 31,0, 31,3, 32,1, 32,6, 33,4, 33,7, 34,2, 35,2, 35,7, 36,2, 36,6, 37,1, 37.6, 38,1 y 38,5 ± 0,2 grados.
La forma cristalina II muestra en difracción de rayos X un pico a un ángulo de refracción 2 theta (0), de 6,4, 11,1, 11,5, 16,1, 16,9 ± 0,2 grados; preferiblemente incluye cinco o más picos a ángulos de refracción 2 theta (0)
seleccionados del grupo que consiste en 5,5, 5,8, 6,4, 6,5, 7,4, 8,5, 9,8, 10,2, 11,1, 11,5, 12,5, 12,8, 13,6, 14,0, 14,3, 14.6, 15,0, 15,3, 15,7, 16,1, 16,3, 16,7, 16,9, 17,2, 17,6, 17,8, 18,1, 18,7, 19,4, 20,1, 20,3, 20,6, 20,8, 21,2, 21,5, 21.7, 21,9, 22,3, 22,5, 22,9, 23,1, 23,6, 24,2, 24,4, 24,8, 25,4, 25,7, 25,9, 26,4, 26,7, 27,5, 28,7, 29,1, 29,7, 30,9, 31,3, 32,4, 33,3, 33,9, 35,2, 36,0, 36,5, 38,2, 38,7, 39,6 ± 0,2 grados.
La forma cristalina III muestra en difracción de rayos X un pico a un ángulo de refracción 2 theta (0), de 7,5, 15,6, 15,9, 16,6, 17,2 ± 0,2 grados; preferiblemente incluye cinco o más picos a ángulos de refracción 2 theta (0) seleccionados del grupo que consiste en 5,5, 5,6, 5,8, 6,1, 7,0, 7,5, 7,7, 8,3, 8,8, 9,4, 10,4, 10,7, 10,9, 11,2, 11,5, 11.8, 12,4, 12,9, 13,5, 13,7, 14,1, 14,3, 14,9, 15,6, 15,9, 16,0, 16,4, 16,6, 17,2, 17,9, 18,1, 18,3, 18,6, 19,0, 19,5, 19,7, 20,2, 20,4, 20,7, 21,1, 21,9, 22,5, 23,2, 23,8, 24,0, 24,4, 25,1, 26,4, 27,2, 27,7, 28,5, 29,6, 31,6, 33,9, 34,8, 35,5, 36,2, 37,7 ± 0,2 grados.
La 6-per-desoxi-6-per-halo-y-ciclodextrina obtenida o cualquiera de sus formas cristalinas, en la que halo es bromo o cloro, puede purificarse opcionalmente mediante métodos de purificación adecuados tales como destilación fraccionada, tratamiento con ácido-base, suspensión o recristalización para lograr la pureza deseada de 6-perdesoxi-6-per-halo-y-ciclodextrina o cualquiera de sus formas cristalinas. Preferiblemente, la 6-per-desoxi-6-per-haloy-ciclodextrina en bruto puede purificarse disolviendo en disolvente orgánico adecuado seguido por adición de una mezcla de agua y disolvente alcohólico para aislar 6-per-desoxi-6-per-halo-y-ciclodextrina purificada. Dicho disolvente orgánico y disolvente alcohólico adecuados pueden seleccionarse de la lista tal como se comentó anteriormente.
Específicamente, la halogenación de y-ciclodextrina se realiza haciéndola reaccionar con un agente de halogenación, seleccionado de un grupo que consiste en cloruro de oxalilo, bromuro de oxalilo, cloruro de tionilo y bromuro de tionilo, en dimetilformamida (DMF), habitualmente en condición anhidra a aproximadamente de -15°C a 30°C, más preferiblemente a aproximadamente de -5°C a 20°C. La suspensión de dicho agente de halogenación puede prepararse mediante adición lenta a dimetilformamida a aproximadamente de -5°C a 15°C. La suspensión obtenida se calienta adicionalmente y se mezcla con y-ciclodextrina. El mezclado de y-ciclodextrina con la suspensión de dicho agente de halogenación puede lograrse mediante adición de y-ciclodextrina a la suspensión o viceversa, en ambos casos se prefiere la adición lenta. Después del mezclado, la mezcla obtenida puede agitarse a una temperatura de aproximadamente 30°C a 100°C, más preferiblemente a aproximadamente de 40°C a 90°C durante un periodo de aproximadamente 5 a 25 horas, preferiblemente durante aproximadamente de 7 a 20 horas.
La reacción puede monitorizarse mediante cualquier técnica analítica adecuada. Después de completarse la reacción, se enfría la disolución y se añade un disolvente alcohólico, preferiblemente metanol, después se agita durante un periodo de tiempo apropiado. Se añade lentamente la disolución obtenida a una disolución acuosa de base y metanol, después se agita durante un tiempo apropiado, preferiblemente durante aproximadamente de 1 a 6 horas, más preferiblemente durante aproximadamente de 1 a 4 horas. La y-ciclodextrina halogenada puede aislarse a partir de la mezcla de reacción mediante técnicas adecuadas tales como filtración, decantación o centrifugación y similares.
Opcionalmente, se seca y/o purifica la forma cristalina aislada de y-ciclodextrina halogenada, es decir 6-per-desoxi-6-per-halo-y-ciclodextrina, o puede usarse directamente para la segunda etapa. El secado opcional puede llevarse a cabo de manera adecuada usando cualquiera de una secadora de bandejas por aire, secadora de bandejas a vacío, secadora de lecho fluidizado, secadora ultrarrápida por centrifugación, secadora ultrarrápida y similares. El secado puede llevarse a cabo a cualquier temperatura adecuada y a presión atmosférica o superior, o a presiones reducidas. La purificación opcional puede llevarse a cabo mediante destilación fraccionada, tratamiento con ácidobase, suspensión o recristalización.
La 6-per-desoxi-6-per-halo-y-ciclodextrina aislada se hace reaccionar adicionalmente con ácido 3-mercaptopropiónico en presencia de una base en un disolvente adecuado para obtener sugammadex. Un disolvente adecuado es dimetilformamida (DMF). Una base adecuada es la misma que la comentada con respecto a la primera etapa de reacción.
Determinados aspectos específicos de la presente solicitud se explicarán con mayor detalle con referencia a los siguientes ejemplos, que se proporcionan únicamente con fines de ilustración y no deben interpretarse como limitativos del alcance de la divulgación de ninguna manera.
Ejemplos
Para demostrar los beneficios de la presente invención, se revisaron ejemplos de la técnica anterior y se indican como ejemplo de referencia.
Ejemplo de referencia 1 (ejemplo 3 del documento WO2001/040316A1)
Preparación de 6-per-desoxi-6-per-yodo-y-ciclodextrina
Se disolvió trifenilfosfina (15 g) en dimetilformamida (80 ml) a temperatura ambiental y se añadió lentamente yodo (15,2 g) a la disolución en 10-15 minutos. A esta mezcla se le añadió y-ciclodextrina seca (5 g) y se calentó la disolución hasta 70°C y se continuó agitando a esta temperatura durante 24 horas. Se dejó enfriar la disolución antes de la adición de metóxido de sodio (1,55 g en 25 ml de metanol). Se agitó la disolución así obtenida durante 30 minutos, se vertió en 400 ml de metanol y se evaporó a vacío para obtener un residuo aceitoso denso. A este residuo se le añadieron 250 ml de agua para obtener un sólido pegajoso oscuro, que se filtró a vacío. Se lavó el sólido con agua (3 x 50 ml) y metanol (3 x 50 ml) y se secó a vacío para obtener 2 g de 6-per-desoxi-6-per-yodo-yciclodextrina como un polvo amarillo. Rendimiento: 40%; pureza mediante HPLC: 20,3%.
Ejemplo de referencia 2 (ejemplo 1 del documento WO2012/025937A1)
Preparación de 6-per-desoxi-6-per-cloro-y-ciclodextrina
Se añadió lentamente pentacloruro de fósforo (25,6 g) a dimetilformamida (30 ml) a 0-5°C. Se agitó la suspensión a 25-30°C durante 1 hora antes de la adición de una disolución de y-ciclodextrina (5 g) en dimetilformamida (40 ml). Se calentó la suspensión así obtenida a 65-70°C y se agitó a esta temperatura durante 14 horas. Se eliminó la dimetilformamida a vacío para obtener un aceite espeso. Se añadió lentamente agua (100 ml) al aceite seguido por hidróxido de sodio al 20% hasta que el pH alcanzó el valor de 8,0. Se agitó la suspensión resultante durante 1 hora a 5-10°C. Se filtró la suspensión y se secó a vacío para obtener 2,5 gramos de 6-per-desoxi-6-per-cloro-y-ciclodextrina como un polvo amarillo. Rendimiento: 44,8%; pureza mediante HPLC: 22,4%.
Ejemplo de referencia 3 (ejemplo 1 del documento WO2014/125501A1)
Preparación de 6-per-desoxi-6-per-cloro-y-ciclodextrina
Se añadió lentamente pentacloruro de fósforo (25,6 g) a dimetilformamida (20 ml) a 25-30°C. Se agitó la suspensión a 25-30°C durante 1 hora antes de la adición de y-ciclodextrina (5 g). Se calentó la suspensión así obtenida a 65-70°C y se agitó a esta temperatura durante 15 horas. Se añadió lentamente la mezcla obtenida a agua (100 ml) y se enfrió a 10°C seguido por adición de hidróxido de sodio al 30% hasta que el pH alcanzó el valor de 7,5-8,0. Se agitó la suspensión resultante durante 2 horas a esta temperatura. Se filtró la suspensión, se lavó con agua (20 ml) y se secó a vacío para obtener 4,5 gramos de 6-per-desoxi-6-per-cloro-y-ciclodextrina como un polvo amarillo. Rendimiento: 80,7%; pureza mediante HPLC: 23,0%.
Ejemplo 1: preparación de 6-per-desoxi-6-per-cloro-y-c¡clodextr¡na
Se añadió lentamente cloruro de oxalilo (62,7 g, 32 eq.) a dimetilformamida (120 ml) a temperatura ambiente y se añadió y-ciclodextrina (20 g) a la mezcla de reacción. Se calentó la mezcla a 65-70°C y se agitó durante 15 horas, después se enfrió la disolución hasta temperatura ambiente. Se añadió lentamente metanol (160 ml) y se vertió la mezcla en una mezcla de 49,4 g de bicarbonato de potasio en 360 ml de agua y 200 ml de metanol. Se agitó la suspensión obtenida durante 2 horas, se filtró, se lavó con agua/metanol (1/1) (2 x 100 ml) y se secó a vacío para obtener 20,5 g de 6-per-desoxi-6-per-cloro-y-ciclodextrina como un polvo blanquecino. Rendimiento: 94%; pureza mediante HPLC: 92,1%.
Ejemplo 2: preparación de 6-per-desox¡-6-per-cloro-y-c¡clodextr¡na
Se añadió lentamente cloruro de oxalilo (469 g, 32 eq.) a dimetilformamida (900 ml) a 0-10°C y se agitó durante 30 minutos, después se calentó hasta 60-70°C y se añadió una mezcla de y-ciclodextrina (150 g) en dimetilformamida (300 ml) a la mezcla de reacción a 60-70°C. Se agitó la mezcla de reacción a la misma temperatura durante 15 horas, después se enfrió la disolución hasta temperatura ambiente. Se añadió lentamente metanol (1200 ml) y se vertió la mezcla en una mezcla de 463 g de bicarbonato de potasio en 2700 ml de agua y 1500 ml de metanol. Se agitó la suspensión obtenida durante 2 horas, se filtró, se lavó con agua/metanol (1/1) (2 x 750 ml) y se secó a vacío para obtener 6-per-desoxi-6-per-cloro-y-ciclodextrina en bruto.
Se disolvió el producto bruto en dimetilformamida (750 ml) y se añadió una mezcla de agua y terc-butanol (1:1) para obtener una suspensión. Se agitó la suspensión durante 1 hora, se enfrió hasta 0-10°C y se agitó de nuevo durante 2-3 horas, después se filtró. Se llevó el sólido obtenido a una mezcla de tetrahidrofurano/agua (1:1) y se calentó hasta 50-55°C y se agitó durante 30-40 minutos, se enfrió la mezcla hasta 0-10°C y se agitó durante otras 3 horas, después se filtró para obtener 6-per-desoxi-6-per-cloro-y-ciclodextrina pura.
Ejemplo 3: purificación y aislamiento de la forma cristalina I de 6-per-desox¡-6-per-cloro-y-c¡clodextr¡na
A una disolución de 6-per-desoxi-6-per-cloro-y-ciclodextrina (5 g) en dimetilformamida (25 ml) se le añadió una mezcla de agua y metanol (1:1) para obtener una suspensión. Se agitó la suspensión durante 1 hora, se filtró y se lavó la torta dos veces con una mezcla de agua y metanol (1:1) para obtener la forma cristalina I de 6-per-desoxi-6
per-cloro-Y-ciclodextrina. Pureza mediante HPLC: 94,4%.
Ejemplo 4: purificación y aislamiento de la forma cristalina II de 6-per-desoxi-6-per-cloro-Y-ciclodextrina
A una disolución de 6-per-desoxi-6-per-cloro-Y-ciclodextrina (5 g) en dimetilformamida (25 ml) se le añadió una mezcla de agua y etanol (1:1) para obtener una suspensión. Se agitó la suspensión durante 1 hora, se filtró y se lavó la torta dos veces con una mezcla de agua y etanol (1:1) para obtener la forma cristalina II de 6-per-desoxi-6-percloro-Y-ciclodextrina. Pureza mediante HPLC: 94,9%.
Ejemplo 5: purificación y aislamiento de la forma cristalina II de 6-per-desox¡-6-per-cloro-Y-c¡clodextr¡na
A una disolución de 6-per-desoxi-6-per-cloro-Y-ciclodextrina (5 g) en dimetilformamida (25 ml) se le añadió una mezcla de agua e isopropanol (1:1) para obtener una suspensión. Se agitó la suspensión durante 1 hora, se filtró y se lavó la torta dos veces con una mezcla de agua e isopropanol (1:1) para obtener la forma cristalina II de 6-perdesoxi-6-per-cloro-Y-ciclodextrina. Pureza mediante HPLC: 95,1%.
Ejemplo 6: purificación y aislamiento de la forma cristalina III de 6-per-desox¡-6-per-cloro-Y-c¡clodextr¡na
A una disolución de 6-per-desoxi-6-per-cloro-Y-ciclodextrina (5 g) en dimetilformamida (25 ml) se le añadió una mezcla de agua y terc-butanol (1:1) para obtener una suspensión. Se agitó la suspensión durante 1 hora, se filtró y se lavó la torta dos veces con una mezcla de agua y terc-butanol (1:1) para obtener la forma cristalina III de 6-perdesoxi-6-per-cloro-Y-ciclodextrina. Pureza mediante HPLC: 97,4%.
Ejemplo 7: preparación de sugammadex
Se disolvió terc-butóxido de sodio (7,98 g, 24 eq.) en dimetilsulfóxido (100 ml), después se añadieron ácido 3-mercaptopropiónico (3,62 ml, 4,4 g, 12 eq.) y 6-per-desoxi-6-per-cloro-Y-ciclodextrina (5 g, 1 eq.) para obtener una suspensión. Se calentó la suspensión hasta 70°C durante la noche. Tras completarse la reacción, se filtra la mezcla de reacción y se lavó el residuo con dimetilsulfóxido (20 ml) y etanol (3 x 50 ml). Se disolvió el residuo obtenido en agua (100 ml), se filtró y se liofilizó para obtener sugammadex bruto. Se disolvió el sugammadex bruto en agua (75 ml) y se purificó mediante ultrafiltración.
Ejemplo 8: preparación de sugammadex
Se añadió hidruro de sodio (6,1 g) a dimetilformamida (37 ml) a 0°C. Se añadió lentamente una disolución de ácido 3-mercaptopropiónico (7,3 g, 10 eq.) en dimetilformamida (12 ml) a la mezcla, teniendo cuidado de no superar 10°C. Se agitó la mezcla a 25°C durante 30 min y se añadió lentamente una mezcla de 6-per-desoxi-6-per-cloro-Y-ciclodextrina (10 g) en dimetilformamida (100 ml) manteniendo la temperatura en el intervalo de 5-10°C. Se calentó la mezcla a 75°C y se agitó a esta temperatura durante 12 horas. Se enfrió la mezcla hasta 25°, se eliminó parcialmente la DMF a vacío y se diluyó la mezcla con etanol (150 ml) para obtener una suspensión que se agitó durante 1 hora a 25°C. Se filtró la suspensión y se secó para obtener sugammadex bruto que se purificó sobre columna de gel de sílice y Sephadex G-25, usando agua como eluyente.
Claims (1)
- REIVINDICACIONESProcedimiento para preparar sugammadex de fórmula I,que comprende,a) hacer reaccionar y-ciclodextrina de fórmula II,Fórmula IIcon un agente de halogenación, seleccionado de un grupo que consiste en cloruro de oxalilo, bromuro de oxalilo, cloruro de tionilo y bromuro de tionilo, en un disolvente orgánico,b) mezclar la mezcla de reacción de la etapa a) con una disolución acuosa de base y disolvente alcohólico, c) aislar 6-per-desoxi-6-per-halo-y-ciclodextrina de compuesto de fórmula III, en la que x es bromuro o cloruro, a partir de la mezcla de reacción,d) opcionalmente, secar la 6-per-desoxi-6-per-halo-y-ciclodextrina,e) opcionalmente, purificar el compuesto de la etapa c) o d),f) hacer reaccionar la 6-per-desoxi-6-per-halo-y-ciclodextrina con ácido 3-mercaptopropiónico en presencia de base de alcóxido de metal alcalino en un disolvente orgánico para obtener sugammadex.Procedimiento para preparar 6-per-desoxi-6-per-halo-Y-ciclodextrina de fórmula III, en la que x es bromuro o cloruro,que comprende,a) hacer reaccionar y-ciclodextrina de fórmula II,Fórmula IIcon un agente de halogenación, seleccionado de un grupo que consiste en cloruro de oxalilo, bromuro de oxalilo, cloruro de tionilo y bromuro de tionilo, en un disolvente orgánico,b) mezclar la mezcla de reacción de la etapa a) con una disolución acuosa de base y disolvente alcohólico, c) aislar 6-per-desoxi-6-per-halo-y-ciclodextrina a partir de la mezcla de reacción,d) opcionalmente, secar la 6-per-desoxi-6-per-halo-y-ciclodextrina,e) opcionalmente, purificar el compuesto de la etapa c) o d).Procedimiento según cualquiera de las reivindicaciones anteriores, en el que el disolvente orgánico se selecciona de acetato de etilo, acetonitrilo, propionitrilo, tetrahidrofurano, dimetilformamida, dimetilacetamida, N-metil-2-pirrolidona, dimetilsulfóxido o mezclas de los mismos.Procedimiento según cualquiera de las reivindicaciones anteriores, en el que la base se selecciona de hidróxido, carbonatos, bicarbonatos de metal alcalino.Procedimiento según la reivindicación 4, en el que la base de hidróxido, carbonatos, bicarbonatos de metal alcalino se selecciona de hidróxido de litio, hidróxido de potasio, hidróxido de sodio, carbonato de sodio, carbonato de litio, carbonato de potasio, bicarbonato de sodio, bicarbonato de potasio, bicarbonato de litio o mezclas de los mismos.6. Procedimiento según cualquiera de las reivindicaciones anteriores, en el que el disolvente alcohólico se selecciona de metanol, etanol, propanol, alcohol isopropílico, n-butanol, isobutanol, terc-butanol o mezclas de los mismos.7. Procedimiento según la reivindicación 1, en el que la base de alcóxido de metal alcalino se selecciona de metóxido de sodio, metóxido de potasio, terc-butóxido de sodio, terc-butóxido de potasio.8. Procedimiento según la reivindicación 1, en el que el disolvente orgánico de la etapa f) es dimetilformamida.9. Procedimiento según cualquiera de las reivindicaciones anteriores, en el que la etapa a) comprende hacer reaccionar y-ciclodextrina de fórmula II con un agente de halogenación, seleccionado de un grupo que consiste en cloruro de oxalilo, bromuro de oxalilo, cloruro de tionilo y bromuro de tionilo en dimetilformamida,y en el que la etapa b) comprendeb1) añadir un alcohol, seleccionado de un grupo que consiste en metanol, etanol, propanol, alcohol isopropílico, n-butanol, iso-butanol, terc-butanol,b2) mezclar la disolución de la etapa b1) con una mezcla de agua, base y alcohol, en el que el alcohol es el mismo que el usado en la etapa b1),b3) agitar.10. Procedimiento según cualquiera de las reivindicaciones anteriores, en el que el agente de halogenación es cloruro de oxalilo o cloruro de tionilo.11. Forma cristalina de 6-per-desoxi-6-per-cloro-y-ciclodextrina que puede obtenerse mediante un procedimiento que comprende las etapas de:a) hacer reaccionar y-ciclodextrina de fórmula II con un agente de halogenación, seleccionado de un grupo que consiste en cloruro de oxalilo y cloruro de tionilo en dimetilformamida,b1) añadir un alcohol, seleccionado de un grupo que consiste en metanol, etanol, propanol, alcohol isopropílico, n-butanol, iso-butanol, terc-butanol,b2) mezclar la disolución de la etapa b1) con una mezcla de agua, base y alcohol, en la que el alcohol es el mismo que el usado en la etapa b1),b3) agitar,c) aislar 6-per-desoxi-6-per-cloro-y-ciclodextrina de fórmula III a partir de la mezcla de reacción mediante filtración,en la que la forma cristalina muestra en difracción de rayos X un pico a un ángulo de refracción theta (0), de 4,1, 5,8, 8,2, 16,8, 23,5 ± 0,2 grados, o en la que la forma cristalina muestra en difracción de rayos X un pico a un ángulo de refracción 2 theta (0), de 6,4, 11,1, 11,5, 16,1, 16,9 ± 0,2 grados, o en la que la forma cristalina muestra en difracción de rayos X un pico a un ángulo de refracción 2 theta (0), de 7,5, 15,6, 15,9, 16,6, 17,2 ± 0,2 grados.
Applications Claiming Priority (2)
| Application Number | Priority Date | Filing Date | Title |
|---|---|---|---|
| IN3843DE2015 | 2015-11-25 | ||
| PCT/IB2016/057056 WO2017089966A1 (en) | 2015-11-25 | 2016-11-23 | An improved process for the preparation of sugammadex and its intermediates |
Publications (1)
| Publication Number | Publication Date |
|---|---|
| ES2829236T3 true ES2829236T3 (es) | 2021-05-31 |
Family
ID=57750302
Family Applications (1)
| Application Number | Title | Priority Date | Filing Date |
|---|---|---|---|
| ES16822742T Active ES2829236T3 (es) | 2015-11-25 | 2016-11-23 | Procedimiento mejorado para la preparación de sugammadex y sus productos intermedios |
Country Status (8)
| Country | Link |
|---|---|
| US (1) | US10414829B2 (es) |
| EP (2) | EP3380530B1 (es) |
| KR (1) | KR102251673B1 (es) |
| CN (1) | CN108290964B (es) |
| AU (2) | AU2016359420B2 (es) |
| ES (1) | ES2829236T3 (es) |
| SI (1) | SI3380530T1 (es) |
| WO (1) | WO2017089966A1 (es) |
Families Citing this family (20)
| Publication number | Priority date | Publication date | Assignee | Title |
|---|---|---|---|---|
| EP3303413A4 (en) * | 2015-05-29 | 2019-02-06 | Alaparthi, Lakshmi Prasad | PROCESS FOR THE PREPARATION OF SUGAMMADEX AND INTERMEDIATE PRODUCTS THEREOF |
| ES2829236T3 (es) | 2015-11-25 | 2021-05-31 | Fresenius Kabi Ipsum S R L | Procedimiento mejorado para la preparación de sugammadex y sus productos intermedios |
| EP3380554B2 (en) | 2015-11-25 | 2023-10-18 | Fresenius Kabi iPSUM S.r.l. | Crystalline forms of per-chloro-gamma-cyclodextrines |
| AU2017236669B2 (en) | 2016-03-22 | 2021-02-18 | Fresenius Kabi Ipsum S.R.L. | An improved process for the preparation of sugammadex |
| JP6692941B2 (ja) * | 2016-06-29 | 2020-05-27 | 北京叡創康泰医薬研究院有限公司Beijing Creatron Institute of Pharmaceutical Research Co., Ltd. | スガマデックスの製造及び純化方法 |
| US20180312612A1 (en) * | 2017-01-23 | 2018-11-01 | Scinopharm Taiwan, Ltd. | Method for preparing sugammadex sodium |
| CN107686530B (zh) * | 2017-10-16 | 2019-09-13 | 河北坤安药业有限公司 | 一种舒更葡糖钠的合成方法 |
| ES2948930T3 (es) | 2017-11-27 | 2023-09-21 | Medichem Sa | Proceso para la síntesis de un derivado de ciclodextrina |
| WO2019159191A1 (en) * | 2018-02-19 | 2019-08-22 | Extrovis Ag Extrovis Private Limited | An improved process for preparation of sugammadex sodium |
| EP3802627A4 (en) * | 2018-06-07 | 2022-03-09 | Merck Sharp & Dohme Corp. | PROCESS FOR MANUFACTURE OF SUGAMMADEX |
| WO2020013759A1 (en) * | 2018-07-12 | 2020-01-16 | Scinopharm Taiwan Ltd. | Method for preparing sugammadex sodium |
| WO2020064811A1 (en) * | 2018-09-27 | 2020-04-02 | Werthenstein Biopharma Gmbh | Novel crystalline forms of sugammadex |
| WO2020121207A1 (en) * | 2018-12-11 | 2020-06-18 | Biophore India Pharmaceuticals Pvt. Ltd | Novel process for the purification of sugammadex sodium |
| CN109988256A (zh) * | 2019-03-26 | 2019-07-09 | 北京晨光同创医药研究院有限公司 | 一种舒更葡糖钠及其中间体的制备方法 |
| WO2020201930A1 (en) | 2019-03-29 | 2020-10-08 | Hospira, Inc. | An improved process for preparation of sugammadex acid and sugammadex sodium |
| EP3753946A1 (en) | 2019-06-18 | 2020-12-23 | Fresenius Kabi iPSUM S.r.l. | Improved process for the preparation of high purity glucagon |
| CN111320712B (zh) * | 2020-04-09 | 2022-03-04 | 江苏海悦康医药科技有限公司 | 一种舒更葡糖钠分子内硫醚杂质的合成方法 |
| CN111471121A (zh) * | 2020-04-10 | 2020-07-31 | 江苏海悦康医药科技有限公司 | 一种舒更葡糖钠二聚体杂质的合成方法 |
| CN111548434B (zh) * | 2020-05-12 | 2022-03-22 | 杭州泽邦科技有限公司 | 一种伽马环糊精的分离纯化方法 |
| US11097023B1 (en) | 2020-07-02 | 2021-08-24 | Par Pharmaceutical, Inc. | Pre-filled syringe containing sugammadex |
Family Cites Families (12)
| Publication number | Priority date | Publication date | Assignee | Title |
|---|---|---|---|---|
| TWI242015B (en) * | 1999-11-29 | 2005-10-21 | Akzo Nobel Nv | 6-mercapto-cyclodextrin derivatives: reversal agents for drug-induced neuromuscular block |
| CN101864003B (zh) | 2010-06-11 | 2012-05-02 | 漆又毛 | 一种6-脱氧硫醚氨基酸环糊精衍生物的合成方法 |
| ES2551585T3 (es) | 2010-08-25 | 2015-11-20 | Davuluri, Ramamohan Rao | Procedimiento mejorado para la preparación de Sugammadex |
| JP6249208B2 (ja) | 2012-10-31 | 2017-12-20 | 国立大学法人 名古屋工業大学 | 糖誘導体及びそれを用いた抗菌剤 |
| EP2956486B1 (en) * | 2013-02-14 | 2020-09-30 | Neuland Laboratories Ltd | An improved process for preparation of sugammadex sodium |
| CN105273095A (zh) | 2014-05-28 | 2016-01-27 | 四川海思科制药有限公司 | 一种舒更葡糖钠及其中间体的制备方法 |
| CN104628891B (zh) * | 2015-01-20 | 2017-05-03 | 中国大冢制药有限公司 | 一种6‑脱氧‑6‑卤代环糊精的制备方法 |
| CN104844732B (zh) * | 2015-03-27 | 2017-05-03 | 山东滨州智源生物科技有限公司 | 一种舒更葡糖钠的制备方法 |
| EP3303413A4 (en) * | 2015-05-29 | 2019-02-06 | Alaparthi, Lakshmi Prasad | PROCESS FOR THE PREPARATION OF SUGAMMADEX AND INTERMEDIATE PRODUCTS THEREOF |
| ES2829236T3 (es) | 2015-11-25 | 2021-05-31 | Fresenius Kabi Ipsum S R L | Procedimiento mejorado para la preparación de sugammadex y sus productos intermedios |
| EP3380554B2 (en) | 2015-11-25 | 2023-10-18 | Fresenius Kabi iPSUM S.r.l. | Crystalline forms of per-chloro-gamma-cyclodextrines |
| AU2017236669B2 (en) | 2016-03-22 | 2021-02-18 | Fresenius Kabi Ipsum S.R.L. | An improved process for the preparation of sugammadex |
-
2016
- 2016-11-23 ES ES16822742T patent/ES2829236T3/es active Active
- 2016-11-23 AU AU2016359420A patent/AU2016359420B2/en active Active
- 2016-11-23 EP EP16822742.9A patent/EP3380530B1/en active Active
- 2016-11-23 EP EP20185394.2A patent/EP3741779A1/en not_active Withdrawn
- 2016-11-23 KR KR1020187017272A patent/KR102251673B1/ko active Active
- 2016-11-23 SI SI201630950T patent/SI3380530T1/sl unknown
- 2016-11-23 WO PCT/IB2016/057056 patent/WO2017089966A1/en not_active Ceased
- 2016-11-23 US US15/779,038 patent/US10414829B2/en active Active
- 2016-11-23 CN CN201680068902.6A patent/CN108290964B/zh active Active
-
2020
- 2020-12-23 AU AU2020294230A patent/AU2020294230A1/en not_active Abandoned
Also Published As
| Publication number | Publication date |
|---|---|
| SI3380530T1 (sl) | 2021-02-26 |
| KR102251673B1 (ko) | 2021-05-13 |
| EP3380530B1 (en) | 2020-10-07 |
| AU2016359420B2 (en) | 2020-10-01 |
| CN108290964B (zh) | 2021-07-09 |
| AU2020294230A1 (en) | 2021-01-28 |
| CN108290964A (zh) | 2018-07-17 |
| AU2016359420A1 (en) | 2018-05-31 |
| EP3741779A1 (en) | 2020-11-25 |
| KR20180094916A (ko) | 2018-08-24 |
| US10414829B2 (en) | 2019-09-17 |
| WO2017089966A1 (en) | 2017-06-01 |
| US20180355070A1 (en) | 2018-12-13 |
| EP3380530A1 (en) | 2018-10-03 |
Similar Documents
| Publication | Publication Date | Title |
|---|---|---|
| ES2829236T3 (es) | Procedimiento mejorado para la preparación de sugammadex y sus productos intermedios | |
| ES2810980T3 (es) | Un proceso mejorado para la preparación de sugammadex | |
| ES2915423T3 (es) | Proceso de preparación de sugammadex | |
| ES2761899T3 (es) | Proceso para preparar Sugammadex | |
| ES2812226T3 (es) | Formas cristalinas de percloro-gamma-ciclodextrinas | |
| ES2865296T3 (es) | Cristal de 6-bromo-3-hidroxi-2-pirazincarboxamida y método para su producción | |
| ES3042782T3 (en) | Improved process for the purification of methylene blue | |
| HK40041324A (en) | An improved process for the preparation of sugammadex and its intermediates | |
| HK1261515B (en) | An improved process for the preparation of sugammadex and its intermediates | |
| HK1261515A1 (en) | An improved process for the preparation of sugammadex and its intermediates | |
| ES2272198B1 (es) | Procedimiento para la obtencion de hidrato de calcipotriol. | |
| HK40005673B (en) | An improved process for the preparation of sugammadex | |
| HK40005673A (en) | An improved process for the preparation of sugammadex | |
| HK40040566A (en) | Crystalline forms of per-chloro-gamma-cyclodextrines | |
| HK1261745A1 (en) | Crystalline forms of per-chloro-gamma-cyclodextrines | |
| HK1261745B (en) | Crystalline forms of per-chloro-gamma-cyclodextrines |













