EP4122662B1 - Verfahren zum herstellen von faserplatten unter verringertem voc-ausstoss - Google Patents

Verfahren zum herstellen von faserplatten unter verringertem voc-ausstoss Download PDF

Info

Publication number
EP4122662B1
EP4122662B1 EP21187502.6A EP21187502A EP4122662B1 EP 4122662 B1 EP4122662 B1 EP 4122662B1 EP 21187502 A EP21187502 A EP 21187502A EP 4122662 B1 EP4122662 B1 EP 4122662B1
Authority
EP
European Patent Office
Prior art keywords
wood chips
vapor
process according
steam
wood
Prior art date
Legal status (The legal status is an assumption and is not a legal conclusion. Google has not performed a legal analysis and makes no representation as to the accuracy of the status listed.)
Active
Application number
EP21187502.6A
Other languages
German (de)
English (en)
French (fr)
Other versions
EP4122662A1 (de
Inventor
Bernd Bungert
Thomas Heine
Martin SCHWENDY
Christian DÜMICHEN
André HENNIG
Current Assignee (The listed assignees may be inaccurate. Google has not performed a legal analysis and makes no representation or warranty as to the accuracy of the list.)
Fiberboard GmbH
Original Assignee
Fiberboard GmbH
Priority date (The priority date is an assumption and is not a legal conclusion. Google has not performed a legal analysis and makes no representation as to the accuracy of the date listed.)
Filing date
Publication date
Priority to PT211875026T priority Critical patent/PT4122662T/pt
Application filed by Fiberboard GmbH filed Critical Fiberboard GmbH
Priority to ES21187502T priority patent/ES2985196T3/es
Priority to PL21187502.6T priority patent/PL4122662T3/pl
Priority to EP21187502.6A priority patent/EP4122662B1/de
Priority to MX2024001063A priority patent/MX2024001063A/es
Priority to PT227540754T priority patent/PT4373647T/pt
Priority to CA3226813A priority patent/CA3226813A1/en
Priority to KR1020247005173A priority patent/KR20240036043A/ko
Priority to PCT/EP2022/070535 priority patent/WO2023001978A1/de
Priority to JP2024504156A priority patent/JP7671407B2/ja
Priority to EP22754075.4A priority patent/EP4373647B1/de
Priority to ES22754075T priority patent/ES3039637T3/es
Priority to PL22754075.4T priority patent/PL4373647T3/pl
Priority to US18/290,881 priority patent/US20250100181A1/en
Priority to AU2022314224A priority patent/AU2022314224B2/en
Priority to CN202280051578.2A priority patent/CN117940259A/zh
Publication of EP4122662A1 publication Critical patent/EP4122662A1/de
Priority to CL2024000188A priority patent/CL2024000188A1/es
Application granted granted Critical
Publication of EP4122662B1 publication Critical patent/EP4122662B1/de
Active legal-status Critical Current
Anticipated expiration legal-status Critical

Links

Images

Classifications

    • BPERFORMING OPERATIONS; TRANSPORTING
    • B27WORKING OR PRESERVING WOOD OR SIMILAR MATERIAL; NAILING OR STAPLING MACHINES IN GENERAL
    • B27NMANUFACTURE BY DRY PROCESSES OF ARTICLES, WITH OR WITHOUT ORGANIC BINDING AGENTS, MADE FROM PARTICLES OR FIBRES CONSISTING OF WOOD OR OTHER LIGNOCELLULOSIC OR LIKE ORGANIC MATERIAL
    • B27N1/00Pretreatment of moulding material
    • B27N1/003Pretreatment of moulding material for reducing formaldehyde gas emission
    • BPERFORMING OPERATIONS; TRANSPORTING
    • B27WORKING OR PRESERVING WOOD OR SIMILAR MATERIAL; NAILING OR STAPLING MACHINES IN GENERAL
    • B27NMANUFACTURE BY DRY PROCESSES OF ARTICLES, WITH OR WITHOUT ORGANIC BINDING AGENTS, MADE FROM PARTICLES OR FIBRES CONSISTING OF WOOD OR OTHER LIGNOCELLULOSIC OR LIKE ORGANIC MATERIAL
    • B27N1/00Pretreatment of moulding material
    • BPERFORMING OPERATIONS; TRANSPORTING
    • B27WORKING OR PRESERVING WOOD OR SIMILAR MATERIAL; NAILING OR STAPLING MACHINES IN GENERAL
    • B27NMANUFACTURE BY DRY PROCESSES OF ARTICLES, WITH OR WITHOUT ORGANIC BINDING AGENTS, MADE FROM PARTICLES OR FIBRES CONSISTING OF WOOD OR OTHER LIGNOCELLULOSIC OR LIKE ORGANIC MATERIAL
    • B27N1/00Pretreatment of moulding material
    • B27N1/02Mixing the material with binding agent
    • B27N1/029Feeding; Proportioning; Controlling
    • BPERFORMING OPERATIONS; TRANSPORTING
    • B27WORKING OR PRESERVING WOOD OR SIMILAR MATERIAL; NAILING OR STAPLING MACHINES IN GENERAL
    • B27NMANUFACTURE BY DRY PROCESSES OF ARTICLES, WITH OR WITHOUT ORGANIC BINDING AGENTS, MADE FROM PARTICLES OR FIBRES CONSISTING OF WOOD OR OTHER LIGNOCELLULOSIC OR LIKE ORGANIC MATERIAL
    • B27N3/00Manufacture of substantially flat articles, e.g. boards, from particles or fibres
    • B27N3/04Manufacture of substantially flat articles, e.g. boards, from particles or fibres from fibres
    • BPERFORMING OPERATIONS; TRANSPORTING
    • B27WORKING OR PRESERVING WOOD OR SIMILAR MATERIAL; NAILING OR STAPLING MACHINES IN GENERAL
    • B27NMANUFACTURE BY DRY PROCESSES OF ARTICLES, WITH OR WITHOUT ORGANIC BINDING AGENTS, MADE FROM PARTICLES OR FIBRES CONSISTING OF WOOD OR OTHER LIGNOCELLULOSIC OR LIKE ORGANIC MATERIAL
    • B27N3/00Manufacture of substantially flat articles, e.g. boards, from particles or fibres
    • B27N3/08Moulding or pressing
    • B27N3/18Auxiliary operations, e.g. preheating, humidifying, cutting-off

Definitions

  • the invention relates to a method for producing fiberboard with reduced VOC emissions, in particular for producing HDF boards or MDF boards.
  • a continuous production process of wood fibers using the dry and wet method, based on lignocellulose-containing material such as wood, straw or bagasse includes, among other things, shredding the raw material into free fibers or fiber aggregates, which in subsequent steps are coated with adhesive, dried, shaped and formed into one The end product, the so-called board or wood fiber board, is pressed.
  • the release of fibers from the raw material preferably takes place in a so-called thermomechanical process in one step or in a thermal and mechanical process in at least two separate steps.
  • the wood chips are usually washed to remove dirt such as soil or stones.
  • the thermal treatment i.e. the heating of the raw material, takes place, among other things, in a first thermal treatment device at a preferred temperature of up to approximately 100 degrees Celsius, in particular under atmospheric pressure, and then in a preferably pressurized second thermal treatment device at a temperature of, for example, approximately 150 up to 190 degrees Celsius, especially under a pressure of around 4 to 13 bar.
  • the residence time of the wood chips in the thermal treatment devices can be adjusted depending on the prevailing process conditions and can be between approximately 1 and 10 minutes, for example.
  • the thermal heating in the second thermal treatment device is preferably carried out using steam.
  • the mechanical processing then takes place in what is also known as a defiberer Refiner.
  • the residence time of the wood chip raw material in the refiner is short.
  • the energy converted into mechanical energy associated with mechanical processing is converted into heat in the reduction zone and appears as exhaust gas, especially steam, in the processing system, which is generated from the moisture in the raw material.
  • the wood fibers are usually transported pneumatically to a fiber dryer, where the drying process is carried out with a large amount of air and a controlled inlet air temperature of around 140 to 200 degrees Celsius, depending on the current fiber moisture.
  • the fibers are mechanically separated from the drying air.
  • the dried fibers are then transported further for forming, pre-pressing and finally final pressing of the board.
  • the drying air is subjected to exhaust gas scrubbing. Wet washing, wet electrostatic precipitators or biofilters and biological wastewater treatment are used for this purpose.
  • the wood emissions released during the release of the fibers and drying, especially in the second thermal treatment device are transported from the first thermal treatment device via the refiner together with the fiber bulk material to the dryer, where the majority is separated from the fiber and finally moist drying air from the dryer is released into the atmosphere after the exhaust gas scrubbing.
  • These wood emissions mainly contain volatile organic substances, so-called volatile organic compounds (VOCs).
  • VOCs there are substances whose solubility in water during wet exhaust gas scrubbing is so low that their separation efficiency is only a small percentage or even approaches zero. This particularly applies to terpenes. It is therefore known that wet deposition processes only achieve an emission reduction of 10-30%.
  • the low solubility is due, on the one hand, to the inherently low solubility of the substances in water, and, on the other hand, to the strong dilution in the drying air, which extremely reduces the partial pressure and thus the thermodynamic driving force.
  • the terpenes come from the resin of the wood used. These are highly volatile oils. They are also known as turpentine.
  • the second thermal treatment device is equipped with an upper outlet for degassing the organic emissions released there.
  • the steam is introduced in the lower part of the first thermal treatment device and the wood chips that penetrate into the upper part of the first thermal treatment device are washed in the countercurrent steam during the condensation of the steam. This is achieved by the steam moving up through the wood chip column to the colder wood chips in the upper part of the first thermal treatment device.
  • the released emissions, exhaust air and steam resulting from the evaporation of moisture in the wood chips are separated and disposed of through the outlet in an appropriate device.
  • the wood chips are transported from the first thermal treatment device into the refiner by means of a screw conveyor, which compresses and dewaters the wood chips during transport.
  • EP 1597427 A1 A method is known in which the exhaust gases produced during compression are disposed of in a screw conveyor via an outlet arranged in the compression zone.
  • the system according to this document is characterized in that an exhaust gas outlet is arranged in the compression zone for the removal of evaporated moisture, which is produced when the wood chips are compressed and contains exhaust gases containing VOCs.
  • EP 2 573 258 A1 describes a method and a device for processing wood chips for the production of wood-containing pulp. With regard to washing the wood chips, it is stated that this is done by heating up to around 90°C with water heated to up to 98°C.
  • US 4,925,527 describes a process for obtaining turpentine from a TMP (thermal mechanical pulp) process in which a gas stream is removed from a refiner and fed to a condenser.
  • TMP thermo mechanical pulp
  • EP 1 021 612 A1 describes a system for the production and treatment of wood fibers, consisting of a fiber-producing part that is connected to a wood chip preheater and a beater, which serves to free the fibers from the wood chips, and at least one dryer stage, which serves to dry the fibers.
  • a steam separator part is provided, which includes a cyclone separator, the inlet of which is connected to the blower line used for the fibers and the steam obtained from the beating machine.
  • the lower outlet of the cyclone separator is connected to a conveying/drying line for the fibers via a sluice gate.
  • the upper outlet of the cyclone separator is connected to devices designed to separate volatile organic substances and recover heat from the steam from the cyclone separator.
  • US 2012/227918 A1 describes a vapor separation system for refiners comprising a blow line for transporting a fiber material mixture from a refiner to an inlet of a vapor separator.
  • the exhaust steam is discharged from the separator through an exhaust steam outlet.
  • Cleaned fiber material is discharged from the separator through an outlet that prevents a significant portion of the exhaust vapor from passing through the outlet.
  • a relay tube communicates with the outlet and a dryer duct and transports the cleaned fiber material between the two.
  • a resin inlet communicates with and supplies resin into the relay tube. The resin is mixed with the cleaned fiber material before the cleaned fiber material is dried in the dryer channel.
  • Such a process makes it possible to efficiently reduce environmentally harmful VOC emissions in the production of fiberboard in a particularly advantageous manner.
  • a resource-saving process is also possible.
  • VOC Volatile Organic Compounds
  • VOCs described in this process are terpenes, which occur as wood oil in the wood. Examples include the following substances, which can occur in the weight percentages given in brackets based on the VOCs contained: ⁇ -pinene (20-70%), ⁇ -pinene (5-20%), limonene (1-5% ), camphene (1-5%), phenol (0.2-2%).
  • Other components may include myrcene, ⁇ -, ⁇ -phellandrene, 3-carene, cymol/cymene, terpinols, ocimene.
  • controlled in the sense of the present invention means, with regard to the separation of the steam, that the amount and/or the material flow of the steam to be separated is adjustable, preferably controllable.
  • non-adjustable and/or non-controllable vapor emission points are not to be understood as a controlled separation of the vapor within the meaning of the invention.
  • fiberboard is to be understood, in a manner known per se, as boards which have wood fibers in a matrix made of a binder.
  • the fiberboards can include so-called medium-density fiberboards (MDF boards, density for example 700-800 kg/m 3 ) or low-density fiberboards (LDF, density for example ⁇ 650 kg/m 3 ).
  • MDF boards medium-density fiberboards
  • LDF low-density fiberboards
  • HDF boards high-density fiberboards
  • Such fiberboards are particularly suitable for interior house construction as sub-covering panels for roofs or external paneling for walls. The panels are also used in a variety of ways in furniture construction. It is also suitable for use as floor, ceiling or wall coverings for the interior design of rooms.
  • wood chips containing wood are provided in accordance with method step a).
  • any wood can be provided in this step, which is roughly chopped so that it can be provided as wood chips.
  • the wood used is not fundamentally limited, for example, wood selected from pine wood, spruce wood, lark wood, birch wood, beech wood, dead oak wood, alder wood, etc. can be used, but is not limited to this.
  • the raw wood can be processed into wood chips, for example, by roughly chopping the wood used as the starting material and then debarking it and cleaning it from coarse impurities, for example by removing sand components or stones.
  • the size of the wood chips is not fundamentally limited, as is generally known to those skilled in the art from the production of fiberboard.
  • the method includes thermally treating the wood chips in a thermal treatment device or in a plurality of thermal treatment devices.
  • the wood chips can be processed in particular with steam or with hot water under pressure, for example in order to remove VOCs from the wood.
  • the temperature in this process step can be at least partially in a range of above 100 ° C.
  • the can thermal treatment or can the thermal treatments serve to further purify the wood chips.
  • the wood chips are comminuted in a refiner.
  • the previously roughly chopped wood is further chopped so that it takes on the shape that is suitable for the panels to be produced.
  • This can be adjusted, for example, by adjusting the grinder or the energy thereby introduced into the wood chips and/or the duration of the treatment of the wood chips, as is generally known to those skilled in the art.
  • the wood chips can be defibered in this process step.
  • Gluing is understood to mean, in particular, the introduction of the wood chips into a matrix of binders that serve as glue.
  • the binder or glue can be, for example, a urea-formaldehyde resin, for example reinforced with melamine or phenol.
  • the glue or the binder is preferably hardenable, for example using heat, so that after hardening a stable structure is created, which can serve as a corresponding fiberboard.
  • the fiberized and glued wood chips can then be pressed according to process step e) to form a fiberboard, in particular using heat and / or electromagnetic radiation.
  • process step e the specific parameters to be used in this process step depend on the materials to be pressed, in particular on the glue or binder used.
  • steam used or produced in the method is separated from the method in a controlled manner at at least one steam emission point, the vapor being separated in a predetermined quantity range in such a way that a lower limit and an upper limit of the quantity range of the total separated steam depends on at least one specification of the wood chips used in process step a).
  • the separation of the steam can preferably take place continuously.
  • a continuous separation of the steam includes, for example, an uninterrupted separation or a constant periodic separation, i.e. comprehensively definable periodically recurring breaks.
  • the invention is based in particular on the fact that by separating steam from the process, VOCs can be separated from the production stream, since they accumulate in the steam. Appropriate vapor separation thus reduces the emission of VOCs, for example as exhaust gases or as vapors from the manufactured product, i.e. the fiberboard produced.
  • the process described here also takes advantage of the fact that terpenes, the most important VOCs in this process, have a boiling point of over 150 ° C, but it was still found that even exhaust steam streams or steam streams in general with temperatures of below 100 ° C contain a significant amount of volatiles organic substances and in particular may contain terpenes. It is therefore advantageous in the method described here that the total amount of steam separated is taken into account, regardless of its origin or the local separation point.
  • the separation of steam streams can in principle be carried out using methods from the prior art and it is advantageous that the steam is treated to collect the VOCs and is not immediately released into the environment along with the VOCs.
  • the steam can be separated using excess pressure or negative pressure.
  • the fiberboards produced can be further processed, particularly depending on their specific area of application.
  • the fiberboards produced can be sanded, sawn into smaller plates, or further layers can be applied, for example in lamination processes.
  • one or a plurality of specifications may be selected from the following specifications.
  • a specification can be the amount of wood chips used in the process.
  • the amount of both wood chips and steam can be the absolute amount in a batch process, or can be the amount of both wood chips and steam of steam in a continuous process can be the amount per unit of time. It is understandable that, regardless of the specific design and components of the wood chips, the amount of wood chips has a significant influence on the VOCs introduced into the process by the wood and thus also on the VOCs to be discharged, so that the amount of wood chips in the determination the amount of steam to be separated should preferably be taken into account.
  • a lower limit and an upper limit of the quantitative range depend on the amount of VOCs contained in the wood chips provided in process step a), in particular the terpenes contained. In particular, it can be determined or estimated how much VOC and thus in particular how much terpenes occurring in wood are contained in the wood chips per amount of wood chips. In other words, the amount of terpenes or VOCs in weight percent, based on the amount of wood chips, that occur in the wood chips can be taken into account.
  • the amount of steam to be separated can be reduced particularly reliably, since it is ensured that fluctuations in the VOCs that occur when separating the steam do not result in too little steam being separated and thus an undesirably high content of VOCs emerging.
  • the amount of steam to be separated and produced can still be safely reduced reliably and without the danger described above.
  • the amount of VOCs contained in the wood chips used in process step a), in particular the terpenes contained, is determined by examining the wood chips used or is estimated based on the type of wood chips used.
  • Determining the amount of VOCs by examining the wood chips can enable a particularly precise determination of the VOCs contained in the wood chips, see above that the determination of the amount of steam to be separated can also be carried out very precisely.
  • the amount of VOC can be determined in a manner known per se by analyzing the components of the wood chips. This can be advantageous, for example, because the VOC content can be reduced simply due to evaporation during storage or fluctuations in the VOCs contained in the same type of wood can occur.
  • An estimation of the VOCs contained in the wood chips, in particular the amount of terpenes contained, based on the type of wood chips used, i.e. in particular by considering what type of wood the wood chips are made from, can allow a particularly simple determination of the amount of VOCs, although the effort is very high can be kept low.
  • This embodiment can be based in particular on the fact that different types of wood, for example birch or spruce, often have a different amount of VOC such as terpenes, but the amount of VOC contained and in particular the amount of terpene is characteristic of the type of wood. This means that the amount of VOC can be estimated in advance by knowing the wood used, without having to carry out any analysis.
  • the amount of vapor separated can be determined with a definable safety factor, i.e. a definably larger amount of vapor can be separated than is necessary according to the terpene amount data used. This also allows a particularly safe and reliable reduction in the amount of VOCs discharged from the process.
  • the total amount of steam separated off in process step f) is in a quantity range of 0.5 to 100 times the mass, preferably 0.5 to 50 times the mass, particularly preferably 0 .5 to 10 times the mass based on the amount of terpenes in the wood chips provided.
  • This amount is significantly below the amount of steam contained in solutions from the prior art, for example in US 4,925,527 , is separated, however, is surprisingly sufficient to remove essentially the entire amount of VOCs from the process and thus significantly reduce the VOC emissions in the process for producing fiberboards described here.
  • the dry mass of the wood chips provided can also be a good indicator for determining the amount of steam to be separated. It can be advantageous if the total amount of steam separated off in process step f) is in a quantity range of 0.001 to 0.2 times the mass, preferably 0.001 to 0.1 times the mass, particularly preferably 0.001 to 0.02 -fold mass based on the dry mass of the wood chips provided.
  • the amount of vapor to be separated is significantly below the amount found in solutions from the prior art, for example US 4,925,527 is separated, however, is also surprisingly sufficient to remove almost the entire amount of VOCs from the process and thus significantly reduce the VOC emissions in the process for producing fiberboard described here. It has therefore been shown that, for example, even if the method described here or the amount of steam separated in the method is based on the dry mass of the wood chips provided, a surprisingly small amount of steam can be separated, which is sufficient to solve the problem according to the invention.
  • the dry matter of the wood or wood chips refers in particular to absolutely dry wood (atro), as is common in wood processing.
  • the dry matter of wood used can in turn be determined analytically or estimated based on known data for the type of wood used.
  • the mass can be easily determined in continuous or batch processes, as an amount per unit of time or as an absolute amount, as described above.
  • the steam emission point positioned upstream of the refiner may comprise a thermal treatment device or to be positioned between the refiner and a thermal treatment device, such as a digester. It has been shown that, particularly at these positions, VOCs, such as terpenes in particular, can be effectively removed from the process by vapor separation, so that the process can be carried out particularly effectively in this embodiment.
  • the steam emission point can also be advantageous for the steam emission point to be a steam treatment device in front of a wood chip cooker or the wood chip cooker itself or to be located between the steam treatment device and the cooker. It has also been shown that VOCs and especially terpenes can be effectively removed from the process at these emission points.
  • a vapor separation upstream of a position can be a position on the main material stream of the wood chips or a vapor return, which runs in the opposite direction to the main material flow but is still adjacent to the corresponding position of the Main material flow or due to the course of the vapor recirculation can be described as upstream.
  • a vapor return from the refiner to a thermal treatment device is to be viewed as upstream of the refiner.
  • the steam emission point positioned downstream of the refiner can be a steam separator positioned downstream of the refiner.
  • a steam separator is to be understood as a device in which steam is to be removed from the process.
  • this design can also be implemented without a lot of equipment.
  • At least one vapor emission point is generated from a liquid stream.
  • steam can emerge from a correspondingly hot liquid stream, which is then separated, or a cooler liquid stream, from which no steam emerges, can be heated until steam emerges in order to separate the steam streams generated in this way.
  • VOCs or terpenes that have escaped from the wood do not only accumulate in the vapor but can also be found in liquid streams, at least in small quantities. By vapor emission from these liquid streams, such proportions of VOCs can then be effectively removed from the process, which can further make the reduction of VOCs as a whole more effective.
  • liquid streams in which VOCs could be found include, for example, a squeezed water stream directly from a stuffing screw or a liquid stream resulting from a squeezed water stream from a stuffing screw.
  • the process can not only serve to reduce VOC emissions, but the process can be carried out much more economically due to the possibility of collecting separated vapor streams and, if necessary, treating them further. This is because the materials contained in the steam stream or other properties of the steam stream, such as its heat, can be used in the process or other processes so that costs and resources can be saved.
  • hydrosol is isolated for further treatment.
  • hydrosol is generally understood to mean the aqueous phase obtained after condensation of the vapor, which may contain corresponding water-soluble components, such as formaldehyde.
  • the separated vapor or one or more components can also be advantageous for the separated vapor or one or more components to be further treated by combustion or exposure to high temperatures, adsorption, absorption, membrane technology methods, condensation, crystallization or other suitable process engineering methods.
  • Burning or exposing to high temperatures enables, for example, thermal afterburning and thereby energetic use of the VOCs contained in the separated steam stream.
  • the other methods mentioned can all relate to the isolation or separation of individual substances.
  • the heat of a material stream occurring in the process can also be advantageous for the heat of a material stream occurring in the process, for example a separated steam stream, to be used further energetically in the process.
  • the energy inherent in the material flow can be further used in the form of heat, in particular to heat other material flows. This step can also improve economic aspects of the method according to the invention and thus save costs and resources.
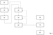
  • FIG. 1 a method according to the present invention is shown schematically. Solid arrows should indicate the main material flow and dash-dotted arrows should show vapor recirculation.
  • wood chips are provided. These are made from a fundamentally selectable wood and are provided by roughly reducing the size of the wood and in particular by coarsely washing it.
  • the wood chips are then treated in a number of thermal treatment devices. This is realized in a first thermal treatment step 20, in a second thermal treatment step 40 and in a third thermal treatment step 50.
  • VOC-containing exhaust gases have a high temperature. This means in particular a temperature greater than the boiling point of water, i.e. 100 ° C, so that this temperature can also be present at least partially during the thermal treatment.
  • the first thermal treatment step 20 takes place in a so-called pre-steam vessel at a preferred temperature of up to approximately 100 ° C, in particular under atmospheric pressure.
  • This is a first thermal treatment of the wood chips and is carried out using steam, preferably water vapor.
  • Some of the VOCs can transfer from the wood chips to the steam.
  • This VOC-containing steam can be discharged from the first thermal treatment device at a steam emission point, preferably from its upper section and, for example, via a pipeline arranged on the roof.
  • the wood chips are then washed or cleaned in a cleaning step 30 before the second thermal treatment step 40.
  • the wood chips are cleaned in a washing device in particular at a temperature above room temperature and less than or equal to the boiling temperature of water, in particular between 80 ° and 100 ° C. An increased temperature enables better separation of wood chips and foreign matter. This means that foreign substances that are not wood chips are filtered out and removed from the processing system.
  • the wood chips are preferably cleaned with a water-containing, in particular water-based, medium.
  • washing device absorbs the aforementioned VOC-containing condensate from the first thermal treatment device.
  • This VOC-containing condensate can be removed from the processing system along with VOC released during washing.
  • the second thermal treatment step 40 of the wood chips takes place in the second thermal treatment device, also called a pre-steam tank, which is designed to absorb and eliminate VOC-containing exhaust gases, in particular back into the first thermal treatment device.
  • the second thermal treatment takes place, for example, without pressure at a temperature above room temperature, in particular at a temperature less than or equal to the boiling temperature of water, i.e. less than or equal to 100 ° C. Increased temperature allows for better release of VOCs from the wood chips.
  • the VOC-containing exhaust gases are in particular removed from the second thermal treatment device and/or forwarded into the first thermal treatment device. Furthermore, VOC-containing exhaust gases from a device subsequently used to carry out the method can be fed into the second thermal treatment device in order to further heat the wood chips or to release VOCs.
  • the second thermal treatment of the wood chips can take place in the second thermal treatment device using steam, preferably water vapor.
  • steam preferably water vapor.
  • Some of the VOCs can transfer from the wood chips to the steam.
  • This VOC-containing steam can be removed from the second thermal treatment device, preferably from its upper section and, for example, via a pipeline arranged on the roof.
  • some or all of the vapor can condense and release VOCs from the wood chips as condensate.
  • This VOC-containing condensate can, for example, be passed on to a stuffing screw and/or a cooker and/or to a water treatment system.
  • the third thermal treatment step 50 can take place in particular in a so-called cooker.
  • the cooking of the wood chips in the cooker which can be designed to absorb and eliminate VOC-containing exhaust gases, takes place, for example, at a temperature above room temperature, in particular between 3 bar and 15 bar inclusive, preferably between 5 bar and 13 bar inclusive , preferably 9 bar, at a temperature greater than the boiling point of water, i.e. 100 °C, approximately 90-175 °C. Increased temperature allows for better release of VOCs from the wood chips.
  • the wood chips are preferably cleaned with a water-containing, in particular water-based, medium.
  • the first and second thermal treatments have heated and softened the wood chips such that VOCs contained in the wood chips are efficiently released from the digester.
  • a mist separator is preferably connected downstream of the cooker.
  • VOC-containing condensate can be removed from the processing system via the stuffing screw and/or via the cooker together with optional VOC released during cooking.
  • the wood chips are then shredded in a shredding step 60 or defibration step in the refiner.
  • the design and operation of the refiner can be adapted to the desired area of application of the plate.
  • a grinding energy of 50 - 200 kWh/t of wood chips can be introduced via the grinding tools, which are part of the refiner and defibrate the wood chips.
  • Lower grinding energy in the range of 50 kWh/t wood chips is suitable for floor coverings, while 150 kWh/t wood chips is suitable for high-quality furniture.
  • the defiberized wood chips or the wood fibers obtained in this way are passed through a so-called blowline and a drying step 70 takes place in a dryer for drying the wood fibers coming from the refiner.
  • a drying step 70 takes place in a dryer for drying the wood fibers coming from the refiner.
  • This can in turn be done at elevated temperatures, whereby the resulting moist atmosphere can be removed from the wood fibers by a separation step 80.
  • the exhaust air can, for example, be washed so that the final components, in particular components containing VOCs, can be washed out and, if necessary, further used or collected.
  • the dried defiberized wood chips or the wood fibers obtained in this way are processed into fiberboard in a processing step 90.
  • the fiberized wood chips can be glued and the glued, fiberized wood chips can be pressed into a plate.
  • the panel can then be finished for the specific application.
  • steam is created or additional steam is added.
  • steam used or produced in the process is continuously separated from the process at at least one steam emission point, the steam being separated off in a predetermined quantity range is such that a lower limit and an upper limit of the quantitative range of the total separated steam is determined depending on at least one specification of the wood chips used in process step a).
  • the separation of the steam to remove VOCs thus takes place depending on the VOCs introduced into the process by the wood chips or their wood. This can be done, for example, taking into account the amount and/or type of wood brought in or specifically the amount of VOCs entered.
  • the total amount of vapor separated can be in a range from 0.5 to 100 times the mass, preferably 0.5 to 50 times the mass, particularly preferably 0.5 to 10 times the mass, based on the amount of terpene provided wood chips.
  • the total amount of steam separated off can be in a quantity range from 0.001 to 0.2 times the mass, preferably 0.001 to 0.1 times the mass, particularly preferably 0.001 to 0.02 times the mass, based on the dry mass of the wood chips provided.
  • a steam emission point is to be understood in particular as a point at which steam can be separated from the process.
  • the following steam emission points are suitable for separating steam, namely the pre-steam container or a first thermal treatment device, the pre-steam container or a second thermal treatment device, the cooker or the third thermal treatment device or the refiner.
  • transport units such as a screw or conveyor units, such as after the first thermal treatment device, between the second and third thermal treatment devices, or a transport unit, such as a screw between the third thermal treatment device and the refiner, are suitable.
  • Dewatering unit such as a dewatering screw, is suitable or steam returns between individual processing units.
  • At least one gas emission point can be positioned upstream of the refiner.
  • Relevant positions include, for example, a thermal treatment device or a position in a steam return between the refiner and a thermal treatment device, a steam treatment device in front of a wood chip cooker or the wood chip cooker itself, or a steam return between the steam treatment device and the cooker.
  • At least one steam emission point may be positioned downstream of the refiner.
  • the steam emission point positioned downstream of the refiner is a steam separator positioned downstream of the refiner.
  • At least one vapor emission point is generated from a liquid stream.
  • a liquid stream examples include, for example, a squeezed water stream directly from a stuffing screw or a liquid stream resulting from a squeezed water stream from a stuffing screw.
  • the process described here allows a cost- and resource-saving way to reduce VOC emissions in the production of fiberboard, especially HDF or MDF boards.

Landscapes

  • Life Sciences & Earth Sciences (AREA)
  • Engineering & Computer Science (AREA)
  • Manufacturing & Machinery (AREA)
  • Wood Science & Technology (AREA)
  • Forests & Forestry (AREA)
  • Chemical And Physical Treatments For Wood And The Like (AREA)
  • Dry Formation Of Fiberboard And The Like (AREA)
  • Artificial Filaments (AREA)
  • Machines For Manufacturing Corrugated Board In Mechanical Paper-Making Processes (AREA)
EP21187502.6A 2021-07-23 2021-07-23 Verfahren zum herstellen von faserplatten unter verringertem voc-ausstoss Active EP4122662B1 (de)

Priority Applications (17)

Application Number Priority Date Filing Date Title
ES21187502T ES2985196T3 (es) 2021-07-23 2021-07-23 Procedimiento para producir tableros de fibra con emisiones reducidas de COV
PL21187502.6T PL4122662T3 (pl) 2021-07-23 2021-07-23 Sposób wytwarzania płyt pilśniowych o zmniejszonej emisji voc
EP21187502.6A EP4122662B1 (de) 2021-07-23 2021-07-23 Verfahren zum herstellen von faserplatten unter verringertem voc-ausstoss
PT211875026T PT4122662T (pt) 2021-07-23 2021-07-23 Método para a produção de painéis de fibras com emissões reduzidas de cov
PT227540754T PT4373647T (pt) 2021-07-23 2022-07-21 Processo para produzir painel de fibra com emissões voc reduzidas
CA3226813A CA3226813A1 (en) 2021-07-23 2022-07-21 Process for manufacturing fiber boards with reduced voc emissions
KR1020247005173A KR20240036043A (ko) 2021-07-23 2022-07-21 감소된 voc 배출을 갖는 섬유 보드의 제조 공정
PCT/EP2022/070535 WO2023001978A1 (de) 2021-07-23 2022-07-21 VERFAHREN ZUM HERSTELLEN VON FASERPLATTEN UNTER VERRINGERTEM VOC-AUSSTOß
MX2024001063A MX2024001063A (es) 2021-07-23 2022-07-21 Proceso para fabricar tableros de fibra con emisiones reducidas de voc.
JP2024504156A JP7671407B2 (ja) 2021-07-23 2022-07-21 Voc排出量を減少した繊維板を製造するためのプロセス
EP22754075.4A EP4373647B1 (de) 2021-07-23 2022-07-21 Verfahren zum herstellen von faserplatten unter verringertem voc-ausstoss
ES22754075T ES3039637T3 (en) 2021-07-23 2022-07-21 Method for producing fibreboard with reduced voc emissions
PL22754075.4T PL4373647T3 (pl) 2021-07-23 2022-07-21 Sposób produkcji płyt pilśniowych przy zmniejszonej emisji lzo
US18/290,881 US20250100181A1 (en) 2021-07-23 2022-07-21 Process for manufacturing fiber boards with reduced voc emissions
AU2022314224A AU2022314224B2 (en) 2021-07-23 2022-07-21 Process for manufacturing fiber boards with reduced voc emissions
CN202280051578.2A CN117940259A (zh) 2021-07-23 2022-07-21 用于制造具有减少的voc排放物的纤维板的方法
CL2024000188A CL2024000188A1 (es) 2021-07-23 2024-01-22 Proceso para fabricar tableros de fibra con emisiones reducidas de voc.

Applications Claiming Priority (1)

Application Number Priority Date Filing Date Title
EP21187502.6A EP4122662B1 (de) 2021-07-23 2021-07-23 Verfahren zum herstellen von faserplatten unter verringertem voc-ausstoss

Publications (2)

Publication Number Publication Date
EP4122662A1 EP4122662A1 (de) 2023-01-25
EP4122662B1 true EP4122662B1 (de) 2024-02-28

Family

ID=77050825

Family Applications (2)

Application Number Title Priority Date Filing Date
EP21187502.6A Active EP4122662B1 (de) 2021-07-23 2021-07-23 Verfahren zum herstellen von faserplatten unter verringertem voc-ausstoss
EP22754075.4A Active EP4373647B1 (de) 2021-07-23 2022-07-21 Verfahren zum herstellen von faserplatten unter verringertem voc-ausstoss

Family Applications After (1)

Application Number Title Priority Date Filing Date
EP22754075.4A Active EP4373647B1 (de) 2021-07-23 2022-07-21 Verfahren zum herstellen von faserplatten unter verringertem voc-ausstoss

Country Status (13)

Country Link
US (1) US20250100181A1 (pl)
EP (2) EP4122662B1 (pl)
JP (1) JP7671407B2 (pl)
KR (1) KR20240036043A (pl)
CN (1) CN117940259A (pl)
AU (1) AU2022314224B2 (pl)
CA (1) CA3226813A1 (pl)
CL (1) CL2024000188A1 (pl)
ES (2) ES2985196T3 (pl)
MX (1) MX2024001063A (pl)
PL (2) PL4122662T3 (pl)
PT (2) PT4122662T (pl)
WO (1) WO2023001978A1 (pl)

Families Citing this family (1)

* Cited by examiner, † Cited by third party
Publication number Priority date Publication date Assignee Title
EP4538452A1 (de) * 2023-10-10 2025-04-16 Kronotec AG Verfahren zum herstellen eines holzfaserstoffs und holzfaserstoff-herstellvorrichtung

Family Cites Families (15)

* Cited by examiner, † Cited by third party
Publication number Priority date Publication date Assignee Title
SE413784B (sv) * 1976-08-06 1980-06-23 Isel Sa Sett och anordning for att utnyttja i defibreringszonen utvecklat verme for att minimera angforbrukningen vid framstellning av massa for fiberskivor
SE428813B (sv) * 1981-10-28 1983-07-25 Sunds Defibrator Sett for framstellning av fiberskivor enligt den vata metoden
CA1277530C (en) * 1985-03-11 1990-12-11 Bengt Henry Nilsson Heat recovery with differentiated multi-flash during production of high yield pulp
US4925527A (en) 1989-02-22 1990-05-15 Ahlstromforetagen Svenska Ab Method for the recovery of turpentine and heat in a refiner pulping process
SE504639C2 (sv) * 1995-07-27 1997-03-24 Sunds Defibrator Ind Ab Förfarande vid kontinuerlig framställning av lignocellulosahaltiga skivor
SE521593C2 (sv) 1997-08-25 2003-11-18 Valmet Fibertech Ab Anläggning för framställning och behandlling av träfiber
US20020046655A1 (en) * 2000-05-16 2002-04-25 Hsu Wu-Hsiung Ernest Method and system for recovering VOC emissions
SE524788C2 (sv) 2003-02-11 2004-10-05 Metso Paper Sundsvall Ab Förfarande och anordning för framställning och behandling av träfiber
US7368037B2 (en) * 2003-05-21 2008-05-06 Masonite Corporation Refiner steam separation system for reduction of dryer emissions
DE102006020612B4 (de) * 2006-05-02 2019-03-14 SWISS KRONO Tec AG Verfahren zur Herstellung von Holzwerkstoffen mit verringerter Emission an flüchtigen organischen Verbindungen, damit erhältliche Holzwerkstoffe sowie die Verwendung bestimmter Additive zur Verminderung der Freisetzung von flüchtigen organischen Verbindungen aus Holzwerkstoffen und Holzzerkleinerungsprodukten von Lignocellulosen
SE530725C2 (sv) * 2007-11-30 2008-08-26 Metso Fiber Karlstad Ab Anordning och förfarande för kontinuerlig basning av flis vid tillverkning av cellulosamassa
EP2573258B1 (de) 2011-09-23 2014-04-30 Kronotec AG Verfahren und Vorrichtung zum Aufbereiten von Hackschnitzeln für die Herstellung von holzhaltigem Faserstoff
ES2687495T3 (es) * 2015-12-07 2018-10-25 SWISS KRONO Tec AG Procedimiento para la fabricación de un tablero de material derivado de la madera con emisión reducida de compuestos orgánicos volátiles (VOC)
SE1650664A1 (en) * 2016-05-17 2017-10-17 Valmet Oy Method for generation of clean steam in a continuous digester system
AT522983B1 (de) * 2019-09-30 2022-12-15 Andritz Ag Maschf Anlage und verfahren zur aufbringung von leim auf einen faserstoff

Also Published As

Publication number Publication date
CL2024000188A1 (es) 2024-08-09
EP4373647B1 (de) 2025-06-18
PT4122662T (pt) 2024-05-27
JP7671407B2 (ja) 2025-05-01
CA3226813A1 (en) 2023-01-26
AU2022314224A1 (en) 2024-03-07
AU2022314224B2 (en) 2025-10-23
US20250100181A1 (en) 2025-03-27
EP4122662A1 (de) 2023-01-25
MX2024001063A (es) 2024-03-27
PL4122662T3 (pl) 2024-07-15
KR20240036043A (ko) 2024-03-19
ES3039637T3 (en) 2025-10-23
PL4373647T3 (pl) 2025-09-22
ES2985196T3 (es) 2024-11-04
PT4373647T (pt) 2025-08-11
CN117940259A (zh) 2024-04-26
EP4373647A1 (de) 2024-05-29
WO2023001978A1 (de) 2023-01-26
JP2024524756A (ja) 2024-07-05

Similar Documents

Publication Publication Date Title
EP3178622B1 (de) Verfahren zur herstellung einer holzwerkstoffplatte mit reduzierter emission an flüchtigen organischen verbindungen (vocs)
DE60009165T2 (de) Herstellung von hochwertigen produkten aus abfällen
DE112021000435T5 (de) Verfahren zur herstellung einer spanplatte oder holzfaserplatte
DE1291504B (de) Trockenverfahren zur Herstellung von Holzfasern
EP1519818A1 (de) Mdf-presstechnologie
EP3615288B1 (de) Verfahren zur herstellung von osb-holzwerkstoffplatten mit reduzierter emission an flüchtigen organischen verbindungen (vocs)
EP4122662B1 (de) Verfahren zum herstellen von faserplatten unter verringertem voc-ausstoss
EP2094456B1 (de) Faserplatte und verfahren zu deren herstellung
DE10116686C2 (de) Verfahren zur Aufbereitung von Stroh und anderen Einjahrespflanzen für die Herstellung von Faser-, Span- und Dämmplatten sowie Wandelementen und anderen Formteilen und Verfahren zur Herstellung von Faser-, Span- und Dämmplatten sowie Wandelementen und anderen Formteilen
EP2974841B1 (de) Verfahren zur herstellung einer faserplatte
WO2003013809A1 (de) Umweltfreundlich hergestellte platte aus einem holzwerkstoff
EP3268190B1 (de) Verfahren zur herstellung eines holzspanwerkstoffs und darin verwendete härter für aminoplaste
WO2021170779A1 (de) Verfahren und verarbeitungsystem zum reduzieren von flüchtigen organischen verbindungen aus hackschnitzeln
DE19606262C1 (de) Verfahren und Vorrichtung zur Herstellung einer mitteldichten Faserplatte
EP1414629B8 (de) Umweltfreundlich hergestellte platte aus einem holzwerkstoff
EP3192626B1 (de) Verfahren zur behandlung von holzstaub und anlage hierfür
DE102023109083A1 (de) Verfahren zum Trocknen von Holzprodukten zum Erzeugen von Holzprodukten mit reduzierter VOC-Emission
EP4311993A1 (de) Verfahren zum trocknen von holzprodukten zum erzeugen von holzprodukten mit reduzierter voc-emission
WO2024022754A1 (de) Verfahren zum trocknen von holzprodukten zum erzeugen von holzprodukten mit reduzierter voc-emission
DE102015111431A1 (de) Trocknungs- und Beleimungsvorrichtung für lignocellulose-haltiges Material
DE202015103701U1 (de) Trocknungs- und Beleimungsvorrichtung für lignocellulose-haltiges Material
DE10024946A1 (de) Verfahren zur Herstellung einer Bindemittelflotte aus Abfallstoffen der Holzindustrie
DE19859847A1 (de) Verfahren zur Herstellung von mitteldichten Faserplatten (MDF) aus bindemittelhaltigen gebrauchten Span- und Faserplatten

Legal Events

Date Code Title Description
PUAI Public reference made under article 153(3) epc to a published international application that has entered the european phase

Free format text: ORIGINAL CODE: 0009012

STAA Information on the status of an ep patent application or granted ep patent

Free format text: STATUS: THE APPLICATION HAS BEEN PUBLISHED

AK Designated contracting states

Kind code of ref document: A1

Designated state(s): AL AT BE BG CH CY CZ DE DK EE ES FI FR GB GR HR HU IE IS IT LI LT LU LV MC MK MT NL NO PL PT RO RS SE SI SK SM TR

P01 Opt-out of the competence of the unified patent court (upc) registered

Effective date: 20230526

STAA Information on the status of an ep patent application or granted ep patent

Free format text: STATUS: REQUEST FOR EXAMINATION WAS MADE

17P Request for examination filed

Effective date: 20230725

RBV Designated contracting states (corrected)

Designated state(s): AL AT BE BG CH CY CZ DE DK EE ES FI FR GB GR HR HU IE IS IT LI LT LU LV MC MK MT NL NO PL PT RO RS SE SI SK SM TR

GRAP Despatch of communication of intention to grant a patent

Free format text: ORIGINAL CODE: EPIDOSNIGR1

STAA Information on the status of an ep patent application or granted ep patent

Free format text: STATUS: GRANT OF PATENT IS INTENDED

INTG Intention to grant announced

Effective date: 20231018

GRAS Grant fee paid

Free format text: ORIGINAL CODE: EPIDOSNIGR3

GRAA (expected) grant

Free format text: ORIGINAL CODE: 0009210

STAA Information on the status of an ep patent application or granted ep patent

Free format text: STATUS: THE PATENT HAS BEEN GRANTED

AK Designated contracting states

Kind code of ref document: B1

Designated state(s): AL AT BE BG CH CY CZ DE DK EE ES FI FR GB GR HR HU IE IS IT LI LT LU LV MC MK MT NL NO PL PT RO RS SE SI SK SM TR

REG Reference to a national code

Ref country code: GB

Ref legal event code: FG4D

Free format text: NOT ENGLISH

REG Reference to a national code

Ref country code: CH

Ref legal event code: EP

REG Reference to a national code

Ref country code: DE

Ref legal event code: R096

Ref document number: 502021002811

Country of ref document: DE

REG Reference to a national code

Ref country code: IE

Ref legal event code: FG4D

Free format text: LANGUAGE OF EP DOCUMENT: GERMAN

REG Reference to a national code

Ref country code: RO

Ref legal event code: EPE

Ref country code: PT

Ref legal event code: SC4A

Ref document number: 4122662

Country of ref document: PT

Date of ref document: 20240527

Kind code of ref document: T

Free format text: AVAILABILITY OF NATIONAL TRANSLATION

Effective date: 20240520

REG Reference to a national code

Ref country code: SE

Ref legal event code: TRGR

REG Reference to a national code

Ref country code: LT

Ref legal event code: MG9D

PG25 Lapsed in a contracting state [announced via postgrant information from national office to epo]

Ref country code: IS

Free format text: LAPSE BECAUSE OF FAILURE TO SUBMIT A TRANSLATION OF THE DESCRIPTION OR TO PAY THE FEE WITHIN THE PRESCRIBED TIME-LIMIT

Effective date: 20240628

PG25 Lapsed in a contracting state [announced via postgrant information from national office to epo]

Ref country code: LT

Free format text: LAPSE BECAUSE OF FAILURE TO SUBMIT A TRANSLATION OF THE DESCRIPTION OR TO PAY THE FEE WITHIN THE PRESCRIBED TIME-LIMIT

Effective date: 20240228

PG25 Lapsed in a contracting state [announced via postgrant information from national office to epo]

Ref country code: GR

Free format text: LAPSE BECAUSE OF FAILURE TO SUBMIT A TRANSLATION OF THE DESCRIPTION OR TO PAY THE FEE WITHIN THE PRESCRIBED TIME-LIMIT

Effective date: 20240529

REG Reference to a national code

Ref country code: NL

Ref legal event code: FP

PG25 Lapsed in a contracting state [announced via postgrant information from national office to epo]

Ref country code: HR

Free format text: LAPSE BECAUSE OF FAILURE TO SUBMIT A TRANSLATION OF THE DESCRIPTION OR TO PAY THE FEE WITHIN THE PRESCRIBED TIME-LIMIT

Effective date: 20240228

Ref country code: RS

Free format text: LAPSE BECAUSE OF FAILURE TO SUBMIT A TRANSLATION OF THE DESCRIPTION OR TO PAY THE FEE WITHIN THE PRESCRIBED TIME-LIMIT

Effective date: 20240528

PG25 Lapsed in a contracting state [announced via postgrant information from national office to epo]

Ref country code: RS

Free format text: LAPSE BECAUSE OF FAILURE TO SUBMIT A TRANSLATION OF THE DESCRIPTION OR TO PAY THE FEE WITHIN THE PRESCRIBED TIME-LIMIT

Effective date: 20240528

Ref country code: NO

Free format text: LAPSE BECAUSE OF FAILURE TO SUBMIT A TRANSLATION OF THE DESCRIPTION OR TO PAY THE FEE WITHIN THE PRESCRIBED TIME-LIMIT

Effective date: 20240528

Ref country code: LT

Free format text: LAPSE BECAUSE OF FAILURE TO SUBMIT A TRANSLATION OF THE DESCRIPTION OR TO PAY THE FEE WITHIN THE PRESCRIBED TIME-LIMIT

Effective date: 20240228

Ref country code: IS

Free format text: LAPSE BECAUSE OF FAILURE TO SUBMIT A TRANSLATION OF THE DESCRIPTION OR TO PAY THE FEE WITHIN THE PRESCRIBED TIME-LIMIT

Effective date: 20240628

Ref country code: HR

Free format text: LAPSE BECAUSE OF FAILURE TO SUBMIT A TRANSLATION OF THE DESCRIPTION OR TO PAY THE FEE WITHIN THE PRESCRIBED TIME-LIMIT

Effective date: 20240228

Ref country code: GR

Free format text: LAPSE BECAUSE OF FAILURE TO SUBMIT A TRANSLATION OF THE DESCRIPTION OR TO PAY THE FEE WITHIN THE PRESCRIBED TIME-LIMIT

Effective date: 20240529

Ref country code: FI

Free format text: LAPSE BECAUSE OF FAILURE TO SUBMIT A TRANSLATION OF THE DESCRIPTION OR TO PAY THE FEE WITHIN THE PRESCRIBED TIME-LIMIT

Effective date: 20240228

PG25 Lapsed in a contracting state [announced via postgrant information from national office to epo]

Ref country code: LV

Free format text: LAPSE BECAUSE OF FAILURE TO SUBMIT A TRANSLATION OF THE DESCRIPTION OR TO PAY THE FEE WITHIN THE PRESCRIBED TIME-LIMIT

Effective date: 20240228

PG25 Lapsed in a contracting state [announced via postgrant information from national office to epo]

Ref country code: DK

Free format text: LAPSE BECAUSE OF FAILURE TO SUBMIT A TRANSLATION OF THE DESCRIPTION OR TO PAY THE FEE WITHIN THE PRESCRIBED TIME-LIMIT

Effective date: 20240228

PG25 Lapsed in a contracting state [announced via postgrant information from national office to epo]

Ref country code: SM

Free format text: LAPSE BECAUSE OF FAILURE TO SUBMIT A TRANSLATION OF THE DESCRIPTION OR TO PAY THE FEE WITHIN THE PRESCRIBED TIME-LIMIT

Effective date: 20240228

PG25 Lapsed in a contracting state [announced via postgrant information from national office to epo]

Ref country code: EE

Free format text: LAPSE BECAUSE OF FAILURE TO SUBMIT A TRANSLATION OF THE DESCRIPTION OR TO PAY THE FEE WITHIN THE PRESCRIBED TIME-LIMIT

Effective date: 20240228

PG25 Lapsed in a contracting state [announced via postgrant information from national office to epo]

Ref country code: SK

Free format text: LAPSE BECAUSE OF FAILURE TO SUBMIT A TRANSLATION OF THE DESCRIPTION OR TO PAY THE FEE WITHIN THE PRESCRIBED TIME-LIMIT

Effective date: 20240228

PG25 Lapsed in a contracting state [announced via postgrant information from national office to epo]

Ref country code: SM

Free format text: LAPSE BECAUSE OF FAILURE TO SUBMIT A TRANSLATION OF THE DESCRIPTION OR TO PAY THE FEE WITHIN THE PRESCRIBED TIME-LIMIT

Effective date: 20240228

Ref country code: SK

Free format text: LAPSE BECAUSE OF FAILURE TO SUBMIT A TRANSLATION OF THE DESCRIPTION OR TO PAY THE FEE WITHIN THE PRESCRIBED TIME-LIMIT

Effective date: 20240228

Ref country code: EE

Free format text: LAPSE BECAUSE OF FAILURE TO SUBMIT A TRANSLATION OF THE DESCRIPTION OR TO PAY THE FEE WITHIN THE PRESCRIBED TIME-LIMIT

Effective date: 20240228

Ref country code: DK

Free format text: LAPSE BECAUSE OF FAILURE TO SUBMIT A TRANSLATION OF THE DESCRIPTION OR TO PAY THE FEE WITHIN THE PRESCRIBED TIME-LIMIT

Effective date: 20240228

REG Reference to a national code

Ref country code: ES

Ref legal event code: FG2A

Ref document number: 2985196

Country of ref document: ES

Kind code of ref document: T3

Effective date: 20241104

REG Reference to a national code

Ref country code: DE

Ref legal event code: R097

Ref document number: 502021002811

Country of ref document: DE

PLBE No opposition filed within time limit

Free format text: ORIGINAL CODE: 0009261

STAA Information on the status of an ep patent application or granted ep patent

Free format text: STATUS: NO OPPOSITION FILED WITHIN TIME LIMIT

26N No opposition filed

Effective date: 20241129

PG25 Lapsed in a contracting state [announced via postgrant information from national office to epo]

Ref country code: MC

Free format text: LAPSE BECAUSE OF FAILURE TO SUBMIT A TRANSLATION OF THE DESCRIPTION OR TO PAY THE FEE WITHIN THE PRESCRIBED TIME-LIMIT

Effective date: 20240228

PG25 Lapsed in a contracting state [announced via postgrant information from national office to epo]

Ref country code: LU

Free format text: LAPSE BECAUSE OF NON-PAYMENT OF DUE FEES

Effective date: 20240723

PG25 Lapsed in a contracting state [announced via postgrant information from national office to epo]

Ref country code: LU

Free format text: LAPSE BECAUSE OF NON-PAYMENT OF DUE FEES

Effective date: 20240723

PG25 Lapsed in a contracting state [announced via postgrant information from national office to epo]

Ref country code: SI

Free format text: LAPSE BECAUSE OF FAILURE TO SUBMIT A TRANSLATION OF THE DESCRIPTION OR TO PAY THE FEE WITHIN THE PRESCRIBED TIME-LIMIT

Effective date: 20240228

PGFP Annual fee paid to national office [announced via postgrant information from national office to epo]

Ref country code: PL

Payment date: 20250619

Year of fee payment: 5

PG25 Lapsed in a contracting state [announced via postgrant information from national office to epo]

Ref country code: IE

Free format text: LAPSE BECAUSE OF NON-PAYMENT OF DUE FEES

Effective date: 20240723

PGFP Annual fee paid to national office [announced via postgrant information from national office to epo]

Ref country code: NL

Payment date: 20250721

Year of fee payment: 5

PGFP Annual fee paid to national office [announced via postgrant information from national office to epo]

Ref country code: ES

Payment date: 20250827

Year of fee payment: 5

Ref country code: PT

Payment date: 20250710

Year of fee payment: 5

PGFP Annual fee paid to national office [announced via postgrant information from national office to epo]

Ref country code: DE

Payment date: 20250728

Year of fee payment: 5

PGFP Annual fee paid to national office [announced via postgrant information from national office to epo]

Ref country code: IT

Payment date: 20250724

Year of fee payment: 5

Ref country code: TR

Payment date: 20250716

Year of fee payment: 5

PGFP Annual fee paid to national office [announced via postgrant information from national office to epo]

Ref country code: BG

Payment date: 20250722

Year of fee payment: 5

Ref country code: BE

Payment date: 20250718

Year of fee payment: 5

Ref country code: GB

Payment date: 20250724

Year of fee payment: 5

PGFP Annual fee paid to national office [announced via postgrant information from national office to epo]

Ref country code: FR

Payment date: 20250725

Year of fee payment: 5

Ref country code: AT

Payment date: 20251020

Year of fee payment: 5

PGFP Annual fee paid to national office [announced via postgrant information from national office to epo]

Ref country code: CH

Payment date: 20250801

Year of fee payment: 5

Ref country code: SE

Payment date: 20250722

Year of fee payment: 5

PGFP Annual fee paid to national office [announced via postgrant information from national office to epo]

Ref country code: CZ

Payment date: 20250715

Year of fee payment: 5

PGFP Annual fee paid to national office [announced via postgrant information from national office to epo]

Ref country code: RO

Payment date: 20250716

Year of fee payment: 5