EP0919607A2 - Schmierstoff für die mechanische Bearbeitung bzw. Verarbeitung von Werkstoffen sowie Additiv für einen Schmierstoff - Google Patents

Schmierstoff für die mechanische Bearbeitung bzw. Verarbeitung von Werkstoffen sowie Additiv für einen Schmierstoff Download PDF

Info

Publication number
EP0919607A2
EP0919607A2 EP98122266A EP98122266A EP0919607A2 EP 0919607 A2 EP0919607 A2 EP 0919607A2 EP 98122266 A EP98122266 A EP 98122266A EP 98122266 A EP98122266 A EP 98122266A EP 0919607 A2 EP0919607 A2 EP 0919607A2
Authority
EP
European Patent Office
Prior art keywords
lubricant
phenyl
alkyl
additive
butanol
Prior art date
Legal status (The legal status is an assumption and is not a legal conclusion. Google has not performed a legal analysis and makes no representation as to the accuracy of the status listed.)
Withdrawn
Application number
EP98122266A
Other languages
English (en)
French (fr)
Other versions
EP0919607A3 (de
Inventor
Berndt Dr. Singer
Current Assignee (The listed assignees may be inaccurate. Google has not performed a legal analysis and makes no representation or warranty as to the accuracy of the list.)
Rhenus Lub GmbH and Co KG
Original Assignee
Rhenus Lub GmbH and Co KG
Rhenus Wilhelm Reiners GmbH and Co
Priority date (The priority date is an assumption and is not a legal conclusion. Google has not performed a legal analysis and makes no representation as to the accuracy of the date listed.)
Filing date
Publication date
Application filed by Rhenus Lub GmbH and Co KG, Rhenus Wilhelm Reiners GmbH and Co filed Critical Rhenus Lub GmbH and Co KG
Publication of EP0919607A2 publication Critical patent/EP0919607A2/de
Publication of EP0919607A3 publication Critical patent/EP0919607A3/de
Withdrawn legal-status Critical Current

Links

Classifications

    • CCHEMISTRY; METALLURGY
    • C10PETROLEUM, GAS OR COKE INDUSTRIES; TECHNICAL GASES CONTAINING CARBON MONOXIDE; FUELS; LUBRICANTS; PEAT
    • C10MLUBRICATING COMPOSITIONS; USE OF CHEMICAL SUBSTANCES EITHER ALONE OR AS LUBRICATING INGREDIENTS IN A LUBRICATING COMPOSITION
    • C10M129/00Lubricating compositions characterised by the additive being an organic non-macromolecular compound containing oxygen
    • C10M129/02Lubricating compositions characterised by the additive being an organic non-macromolecular compound containing oxygen having a carbon chain of less than 30 atoms
    • C10M129/04Hydroxy compounds
    • C10M129/06Hydroxy compounds having hydroxy groups bound to acyclic or cycloaliphatic carbon atoms
    • CCHEMISTRY; METALLURGY
    • C10PETROLEUM, GAS OR COKE INDUSTRIES; TECHNICAL GASES CONTAINING CARBON MONOXIDE; FUELS; LUBRICANTS; PEAT
    • C10MLUBRICATING COMPOSITIONS; USE OF CHEMICAL SUBSTANCES EITHER ALONE OR AS LUBRICATING INGREDIENTS IN A LUBRICATING COMPOSITION
    • C10M169/00Lubricating compositions characterised by containing as components a mixture of at least two types of ingredient selected from base-materials, thickeners or additives, covered by the preceding groups, each of these compounds being essential
    • C10M169/04Mixtures of base-materials and additives
    • CCHEMISTRY; METALLURGY
    • C10PETROLEUM, GAS OR COKE INDUSTRIES; TECHNICAL GASES CONTAINING CARBON MONOXIDE; FUELS; LUBRICANTS; PEAT
    • C10MLUBRICATING COMPOSITIONS; USE OF CHEMICAL SUBSTANCES EITHER ALONE OR AS LUBRICATING INGREDIENTS IN A LUBRICATING COMPOSITION
    • C10M173/00Lubricating compositions containing more than 10% water
    • CCHEMISTRY; METALLURGY
    • C10PETROLEUM, GAS OR COKE INDUSTRIES; TECHNICAL GASES CONTAINING CARBON MONOXIDE; FUELS; LUBRICANTS; PEAT
    • C10MLUBRICATING COMPOSITIONS; USE OF CHEMICAL SUBSTANCES EITHER ALONE OR AS LUBRICATING INGREDIENTS IN A LUBRICATING COMPOSITION
    • C10M173/00Lubricating compositions containing more than 10% water
    • C10M173/02Lubricating compositions containing more than 10% water not containing mineral or fatty oils
    • CCHEMISTRY; METALLURGY
    • C10PETROLEUM, GAS OR COKE INDUSTRIES; TECHNICAL GASES CONTAINING CARBON MONOXIDE; FUELS; LUBRICANTS; PEAT
    • C10MLUBRICATING COMPOSITIONS; USE OF CHEMICAL SUBSTANCES EITHER ALONE OR AS LUBRICATING INGREDIENTS IN A LUBRICATING COMPOSITION
    • C10M2203/00Organic non-macromolecular hydrocarbon compounds and hydrocarbon fractions as ingredients in lubricant compositions
    • C10M2203/10Petroleum or coal fractions, e.g. tars, solvents, bitumen
    • C10M2203/1006Petroleum or coal fractions, e.g. tars, solvents, bitumen used as base material
    • CCHEMISTRY; METALLURGY
    • C10PETROLEUM, GAS OR COKE INDUSTRIES; TECHNICAL GASES CONTAINING CARBON MONOXIDE; FUELS; LUBRICANTS; PEAT
    • C10MLUBRICATING COMPOSITIONS; USE OF CHEMICAL SUBSTANCES EITHER ALONE OR AS LUBRICATING INGREDIENTS IN A LUBRICATING COMPOSITION
    • C10M2207/00Organic non-macromolecular hydrocarbon compounds containing hydrogen, carbon and oxygen as ingredients in lubricant compositions
    • C10M2207/02Hydroxy compounds
    • C10M2207/021Hydroxy compounds having hydroxy groups bound to acyclic or cycloaliphatic carbon atoms
    • CCHEMISTRY; METALLURGY
    • C10PETROLEUM, GAS OR COKE INDUSTRIES; TECHNICAL GASES CONTAINING CARBON MONOXIDE; FUELS; LUBRICANTS; PEAT
    • C10MLUBRICATING COMPOSITIONS; USE OF CHEMICAL SUBSTANCES EITHER ALONE OR AS LUBRICATING INGREDIENTS IN A LUBRICATING COMPOSITION
    • C10M2207/00Organic non-macromolecular hydrocarbon compounds containing hydrogen, carbon and oxygen as ingredients in lubricant compositions
    • C10M2207/04Ethers; Acetals; Ortho-esters; Ortho-carbonates
    • C10M2207/044Cyclic ethers having four or more ring atoms, e.g. furans, dioxolanes
    • CCHEMISTRY; METALLURGY
    • C10PETROLEUM, GAS OR COKE INDUSTRIES; TECHNICAL GASES CONTAINING CARBON MONOXIDE; FUELS; LUBRICANTS; PEAT
    • C10MLUBRICATING COMPOSITIONS; USE OF CHEMICAL SUBSTANCES EITHER ALONE OR AS LUBRICATING INGREDIENTS IN A LUBRICATING COMPOSITION
    • C10M2207/00Organic non-macromolecular hydrocarbon compounds containing hydrogen, carbon and oxygen as ingredients in lubricant compositions
    • C10M2207/04Ethers; Acetals; Ortho-esters; Ortho-carbonates
    • C10M2207/046Hydroxy ethers
    • CCHEMISTRY; METALLURGY
    • C10PETROLEUM, GAS OR COKE INDUSTRIES; TECHNICAL GASES CONTAINING CARBON MONOXIDE; FUELS; LUBRICANTS; PEAT
    • C10MLUBRICATING COMPOSITIONS; USE OF CHEMICAL SUBSTANCES EITHER ALONE OR AS LUBRICATING INGREDIENTS IN A LUBRICATING COMPOSITION
    • C10M2207/00Organic non-macromolecular hydrocarbon compounds containing hydrogen, carbon and oxygen as ingredients in lubricant compositions
    • C10M2207/10Carboxylix acids; Neutral salts thereof
    • C10M2207/12Carboxylix acids; Neutral salts thereof having carboxyl groups bound to acyclic or cycloaliphatic carbon atoms
    • C10M2207/125Carboxylix acids; Neutral salts thereof having carboxyl groups bound to acyclic or cycloaliphatic carbon atoms having hydrocarbon chains of eight up to twenty-nine carbon atoms, i.e. fatty acids
    • C10M2207/126Carboxylix acids; Neutral salts thereof having carboxyl groups bound to acyclic or cycloaliphatic carbon atoms having hydrocarbon chains of eight up to twenty-nine carbon atoms, i.e. fatty acids monocarboxylic
    • CCHEMISTRY; METALLURGY
    • C10PETROLEUM, GAS OR COKE INDUSTRIES; TECHNICAL GASES CONTAINING CARBON MONOXIDE; FUELS; LUBRICANTS; PEAT
    • C10MLUBRICATING COMPOSITIONS; USE OF CHEMICAL SUBSTANCES EITHER ALONE OR AS LUBRICATING INGREDIENTS IN A LUBRICATING COMPOSITION
    • C10M2207/00Organic non-macromolecular hydrocarbon compounds containing hydrogen, carbon and oxygen as ingredients in lubricant compositions
    • C10M2207/28Esters
    • C10M2207/281Esters of (cyclo)aliphatic monocarboxylic acids
    • CCHEMISTRY; METALLURGY
    • C10PETROLEUM, GAS OR COKE INDUSTRIES; TECHNICAL GASES CONTAINING CARBON MONOXIDE; FUELS; LUBRICANTS; PEAT
    • C10MLUBRICATING COMPOSITIONS; USE OF CHEMICAL SUBSTANCES EITHER ALONE OR AS LUBRICATING INGREDIENTS IN A LUBRICATING COMPOSITION
    • C10M2209/00Organic macromolecular compounds containing oxygen as ingredients in lubricant compositions
    • C10M2209/10Macromolecular compoundss obtained otherwise than by reactions only involving carbon-to-carbon unsaturated bonds
    • C10M2209/103Polyethers, i.e. containing di- or higher polyoxyalkylene groups
    • C10M2209/104Polyethers, i.e. containing di- or higher polyoxyalkylene groups of alkylene oxides containing two carbon atoms only
    • CCHEMISTRY; METALLURGY
    • C10PETROLEUM, GAS OR COKE INDUSTRIES; TECHNICAL GASES CONTAINING CARBON MONOXIDE; FUELS; LUBRICANTS; PEAT
    • C10MLUBRICATING COMPOSITIONS; USE OF CHEMICAL SUBSTANCES EITHER ALONE OR AS LUBRICATING INGREDIENTS IN A LUBRICATING COMPOSITION
    • C10M2209/00Organic macromolecular compounds containing oxygen as ingredients in lubricant compositions
    • C10M2209/10Macromolecular compoundss obtained otherwise than by reactions only involving carbon-to-carbon unsaturated bonds
    • C10M2209/103Polyethers, i.e. containing di- or higher polyoxyalkylene groups
    • C10M2209/107Polyethers, i.e. containing di- or higher polyoxyalkylene groups of two or more specified different alkylene oxides covered by groups C10M2209/104 - C10M2209/106
    • CCHEMISTRY; METALLURGY
    • C10PETROLEUM, GAS OR COKE INDUSTRIES; TECHNICAL GASES CONTAINING CARBON MONOXIDE; FUELS; LUBRICANTS; PEAT
    • C10MLUBRICATING COMPOSITIONS; USE OF CHEMICAL SUBSTANCES EITHER ALONE OR AS LUBRICATING INGREDIENTS IN A LUBRICATING COMPOSITION
    • C10M2209/00Organic macromolecular compounds containing oxygen as ingredients in lubricant compositions
    • C10M2209/10Macromolecular compoundss obtained otherwise than by reactions only involving carbon-to-carbon unsaturated bonds
    • C10M2209/103Polyethers, i.e. containing di- or higher polyoxyalkylene groups
    • C10M2209/107Polyethers, i.e. containing di- or higher polyoxyalkylene groups of two or more specified different alkylene oxides covered by groups C10M2209/104 - C10M2209/106
    • C10M2209/1075Polyethers, i.e. containing di- or higher polyoxyalkylene groups of two or more specified different alkylene oxides covered by groups C10M2209/104 - C10M2209/106 used as base material
    • CCHEMISTRY; METALLURGY
    • C10PETROLEUM, GAS OR COKE INDUSTRIES; TECHNICAL GASES CONTAINING CARBON MONOXIDE; FUELS; LUBRICANTS; PEAT
    • C10MLUBRICATING COMPOSITIONS; USE OF CHEMICAL SUBSTANCES EITHER ALONE OR AS LUBRICATING INGREDIENTS IN A LUBRICATING COMPOSITION
    • C10M2209/00Organic macromolecular compounds containing oxygen as ingredients in lubricant compositions
    • C10M2209/10Macromolecular compoundss obtained otherwise than by reactions only involving carbon-to-carbon unsaturated bonds
    • C10M2209/103Polyethers, i.e. containing di- or higher polyoxyalkylene groups
    • C10M2209/108Polyethers, i.e. containing di- or higher polyoxyalkylene groups etherified
    • CCHEMISTRY; METALLURGY
    • C10PETROLEUM, GAS OR COKE INDUSTRIES; TECHNICAL GASES CONTAINING CARBON MONOXIDE; FUELS; LUBRICANTS; PEAT
    • C10NINDEXING SCHEME ASSOCIATED WITH SUBCLASS C10M RELATING TO LUBRICATING COMPOSITIONS
    • C10N2030/00Specified physical or chemical properties which is improved by the additive characterising the lubricating composition, e.g. multifunctional additives
    • C10N2030/16Antiseptic; (micro) biocidal or bactericidal
    • CCHEMISTRY; METALLURGY
    • C10PETROLEUM, GAS OR COKE INDUSTRIES; TECHNICAL GASES CONTAINING CARBON MONOXIDE; FUELS; LUBRICANTS; PEAT
    • C10NINDEXING SCHEME ASSOCIATED WITH SUBCLASS C10M RELATING TO LUBRICATING COMPOSITIONS
    • C10N2030/00Specified physical or chemical properties which is improved by the additive characterising the lubricating composition, e.g. multifunctional additives
    • C10N2030/24Emulsion properties
    • CCHEMISTRY; METALLURGY
    • C10PETROLEUM, GAS OR COKE INDUSTRIES; TECHNICAL GASES CONTAINING CARBON MONOXIDE; FUELS; LUBRICANTS; PEAT
    • C10NINDEXING SCHEME ASSOCIATED WITH SUBCLASS C10M RELATING TO LUBRICATING COMPOSITIONS
    • C10N2040/00Specified use or application for which the lubricating composition is intended
    • C10N2040/20Metal working
    • CCHEMISTRY; METALLURGY
    • C10PETROLEUM, GAS OR COKE INDUSTRIES; TECHNICAL GASES CONTAINING CARBON MONOXIDE; FUELS; LUBRICANTS; PEAT
    • C10NINDEXING SCHEME ASSOCIATED WITH SUBCLASS C10M RELATING TO LUBRICATING COMPOSITIONS
    • C10N2050/00Form in which the lubricant is applied to the material being lubricated
    • C10N2050/01Emulsions, colloids, or micelles

Definitions

  • the present invention relates to a lubricant for the mechanical processing or processing of materials with the features of the preamble of claim 1 and Additive for such a lubricant.
  • Lubricants to which an additive for physical and / or Microbiological stabilization have been added since known for a long time.
  • these additives serve the liquid or viscous lubricant, which is usually systems containing oil or fat or emulsions thereof acts to impart targeted properties.
  • additives such as 2-phenoxyalkanols
  • 2-phenoxyalkanols can be used for lubricants or cooling lubricants good tribological properties, so in particular good lubrication, cooling and flushing effects.
  • One via such an additive, in particular one via one 2-phenoxyethanol, stabilized composition has the Advantage on the related oil or fat composition or an emulsion made from it their physical stabilization by the additive has a long service life of more than two years.
  • additional Bactericides are dispensed with, particularly since 2-phenoxyalkanols 2-phenoxyethanol, has bacteriostatic properties and thus the required microbiological stabilization causes or at least with the microbiological Stabilization contributes.
  • the present invention has for its object a Lubricant and preferably a cooling lubricant available to put up a high physical and microbiological Stability and where it is even under extreme Conditions does not lead to the formation of phenols.
  • the lubricant according to the invention comprises at least one additive for the physical and / or microbiological stabilization of the liquid or viscous composition, the additive being an aromatic alcohol of the formula I.
  • m is an integer between 0 and 4 and R 1 to R 5 is hydrogen, a linear or branched C 1 -C 4 alkyl group, but R 1 to R 5 are not simultaneously hydrogen.
  • the lubricant according to the invention has a number of advantages on. So it should first be noted that the invention Lubricant even under the extreme mentioned above Conditions, i.e. when anaerobic areas occur, Non-compliance with certain limit concentrations as well with high bacterial colonization, no phenol forms, which in turn it is explained that in the in the invention Lubricant does not contain any additive on the phenyl group Ether group is present. Also surprisingly found be that in lubricants, especially cooling lubricants or concentrates of cooling lubricants, by using the one described above and represented in formula I.
  • the additive according to formula I can easily be converted into lubricants, Cooling lubricant concentrates and cooling lubricants can be incorporated, in addition to those already listed above Advantages in this case the additive formulated herewith Lubricants according to the invention not only microbiologically but also physically stabilized. This is attributed to that the addition of the additive according to formula I the Solubility of other components in lubricants, Coolants and coolant concentrates included are improved, so that they are accordingly mentioned compositions by the presence of such Additives are particularly good physically and microbiologically are stabilized and therefore have a long shelf life exhibit.
  • Lubricants are within the scope of the present application lubricants that are miscible or immiscible with water understand that applied immediately without dilution with water become. Coolant concentrates can either directly or after adding water, the latter then referred to as water-mixed cooling lubricants are.
  • the invention Lubricant for mechanical processing or processing of materials used, the term material in particular materials made of metal, plastic, glass or ceramic, while the term processing or Processing includes all the steps involved in a Machining or non-cutting processing, for example with Drilling, cutting, grinding, milling, punching, turning, reaming, Thread forming and drilling, broaching or the like.
  • the lubricant according to the invention causes a Cooling and / or lubrication is brought about, so that in particular wear of the tools is suppressed that at least protection against corrosion of the tool and / or workpiece is temporary and that metal dust and chips are removed become.
  • Lubricant emulsions which are preferred to lubricants, cooling lubricant concentrates or Cooling lubricant is used
  • additive according to formula I with other additives based on alkyl glycols, especially ethylene glycol, Propylene glycol, butylene glycol, pentylene glycol, hexylene glycol, Diethylene glycol and / or triethylene glycol, in corresponding Lubricants, coolant concentrates and / or coolants is used, which in the invention
  • Additive containing lubricant is equally well tolerated with such other additives based on monoalkyl ethers, for example methyl diglycol, ethyl diglycol, Propyl diglycol, butyl diglycol and / or derivatives or oligomers of propylene glycol and / or glycerol are.
  • Lubricant contained additive with many different built additives is compatible and hereby partially even has a synergistic effect, however surprisingly in a variety of application cases shown that the sole presence of the additive according to formula I above the lubricant provided with it, in particular the cooling lubricant or Coolant concentrate, an excellent physical and gives microbiological stability, as follows is still documented in the specific exemplary embodiments. Therefore, a particularly suitable embodiment of the Lubricant according to the invention the additive according to formula I. as the only additive to physical and microbiological Stabilization of the lubricant.
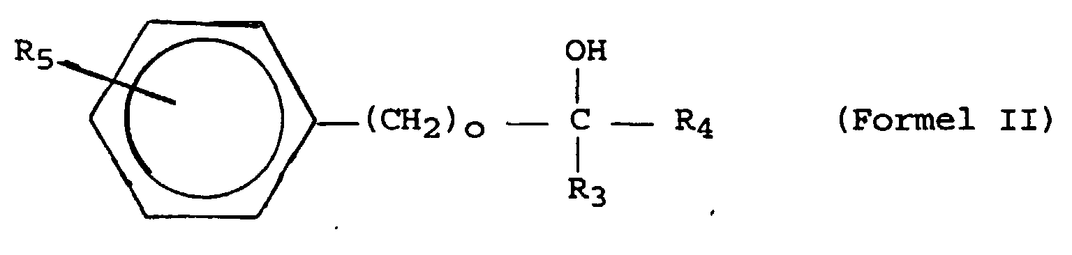
  • the additive contained in the lubricant according to the invention preferably has a structure as represented below by the formula II.
  • R 3 , R 4 , R 5 represent a hydrogen and / or a linear or branched C 1 -C 4 alkyl group, but at the same time not all hydrogen and o an integer between 0 and 4.
  • the substituent R 5 which is in particular a linear C 1 -C 4 alkyl group, occupies an ortho or para position in the formulas I and II.
  • Lubricant have the following listed as an additive concrete connections on:
  • additives which are chemically known as a C 1 -C 4 alkyl-2-phenyl-1-ethanol 1-phenyl-1-ethanol, a C 1 -C 4 alkyl-1-phenyl-1-ethanol, a 1-phenyl-1-propanol, a C 1 -C 4 alkyl-1-phenyl-1-propanol , a 2-phenyl-2-propanol, a C 1 -C 4 alkyl-2-phenyl-2-propanol, a C 1 -C 4 alkyl-3-phenyl-1-propanol, a 1-phenyl-1 -butanol, a C 1 -C 4 alkyl-1-phenyl-1-butanol, a 4-phenyl-2-butanol, a
  • the concentration preferably varies of the additive according to formula I or the above specifically mentioned type in the liquid or viscous invention Lubricant composition between 0.5% by weight and 20% by weight, in particular between 3% by weight and 18% by weight, each based on the ready-to-use lubricant composition.
  • Lubricant especially the coolant concentrate or the coolant already mixed with water
  • the chemical composition of that contained varies Emulsifier.
  • a non-ionic and / or anionic emulsifier the lubricant according to the invention or added to the cooling lubricant concentrate according to the invention, the corresponding cooling lubricant mixed with water then such an anionic and / or nonionic Has emulsifier.
  • the cooling lubricant concentrate according to the invention or the cooling lubricant already mixed with water are alkoxylated, especially ethoxylated Fatty alcohols, alkoxylated, especially ethoxylated fatty acids and / or alkoxylated, especially ethoxylated, alkyl aryl compounds and / or alkoxylated, especially ethoxylated, To view alkyl / aryl phosphoric acid esters.
  • Preferred anionic emulsifiers are such emulsifiers based on an alkali soap, an alkanolamine soap, a petroleum sulfonate, a sulfated fatty acid ester and / or an alkanolamine.
  • Concrete emulsifiers in particular those present in the lubricant, cooling lubricant or cooling lubricant concentrate according to the invention, are the C 16 -C 18 fatty alcohols or C 16 -C 18 fatty acids, which are in particular ethoxylated with 2 to 10 moles of ethylene oxide.
  • Castor oil ethoxylates which are ethoxylated with 2 to 10 mol of ethylene oxide, alkylphenol ethoxylates which are ethoxylated with 2 to 10 mol of ethylene oxide, C 18 -C 22 potassium carboxylates, ammonium carboxylates with monoethanolamine, triethanolamine, aminobutanol or monoisopropanolamine, sodium alkylbenzenesulfates with a molecular weight between 350 and 500, and tall oil fatty acid monoethanolamide are highly compatible with the previously described embodiments of the additive according to the invention, so that these specific emulsifiers are particularly preferably present in the lubricant according to the invention.
  • concentration of the emulsifier in the Lubricant is present, it should be noted that this concentration is between 0.5% by weight and 50% by weight, in particular between 3% and 30% by weight, based on the ready-to-use Lubricant varies.
  • Lubricant also has at least one Corrosion protection component.
  • This is in particular for alkali soap, alkanolamine soap, petroleum sulfonates, Alkanolamides, alkoxylated alkyl / aryl phosphoric acid esters, organic boron compounds, alkali or ammonium salts of amidocarboxylic acids, thiophosphoric acid esters and Salts, alkyl succinic acid derivatives and / or alkyl imidazoles.
  • the lubricant according to the invention as a corrosion protection component is a potassium carboxylate, preferably of a C 7 -C 12 and / or a C 18 -C 22 carboxylic acid, an ammonium carboxylate, in particular the aforementioned carboxylic acids, a sodium alkylbenzenesulfonate, preferably with a molecular weight between 350 and 500, a tall oil fatty acid monoethanolamide, an ammonium borate with monoethanolamine, triethanolamine, aminobutanol and / or monoisopropanolamine, a sulfonamidocarboxylic acid, a dialkyldithiophosphate, preferably a C 3 -C 8 dialkyldithiophosphate, a succinic acid derivative or calcium and / or heterocyclic nitrogen compounds, heterocyclic nitrogen compounds Having sulfonates, such an embodiment of the lubricant according to the invention has a high effectiveness in relation to the corrosion protection required in the mechanical processing
  • the concentration of the corrosion protection component preferably varies in the ready-to-use lubricant between 3 % By weight and 50% by weight, preferably between 5% by weight and 30 % By weight.
  • Additives, emulsifiers and corrosion protection components other embodiments of the preferred lubricant according to the invention, in which the Lubricant according to the invention further additives in a concentration between 0.2% by weight and 30% by weight, in each case related on the ready-to-use lubricant formulation.
  • These other additives are in particular: such additives that the lubricant at a high application pressure protect and / or wear the mechanical Prevent tools used in metalworking.
  • EP / AW additives fatty acid esters, especially native, synthetic and / or sulfurized native or synthetic esters, sulfurized hydrocarbons, sulfurized fatty acid esters, chlorinated paraffins, Phosphorus derivatives, sulfur-phosphorus derivatives, thiophosphoric acid esters and their salts, polyalkylene glycol and / or fatty amides to call.
  • fungicides Bactericides, defoamers, antioxidants, non-ferrous metal deactivators, Solubilizers, anti-fog additives and / or Odor improvers may be included, but in particular regarding the concentration of fungicides and bactericides It should be noted that these products are partially or completely by the additive according to the invention described at the beginning can be replaced.
  • boric acid and its salts Isothiazolinones, sodium pyrion, siloxane defoamers, ditert.butyl-hydroxytoluene, Benzotriazole, ethylhexanediol, polypropylene glycols, Polymethacrylates, phosphonates and / or usual To name fragrances.
  • Lubricant has a basic connection
  • this basic connection can be structured differently.
  • the lubricant according to the invention as Basic compound water as well as the additive according to of the formulas I and II or those specifically mentioned above Type, wherein at least one corrosion protection component may still be present can be included.
  • Lubricants in the lubricant according to the invention as a basic compound at least one mineral oil, at least one Fatty acid esters, at least one glycol, at least one polyglycol and / or contain at least one fatty alcohol, wherein especially naphthenic mineral oils, paraffin-based mineral oils, aromatic mineral oils, white oils, Poly [ ⁇ ] olefins, sulfurized hydrocarbons, chlorinated paraffins, native esters, preferably vegetable and / or animal triglycerides, synthetic fatty acid esters, in particular Mono- and / or dicarboxylic acid esters, synthetic polycarboxylic acid esters, synthetic polyester, synthetic Kornplexester and / or synthetic triglycerides, preferably medium chain triglycerides, sulfurized native and / or synthetic Contain esters.
  • rapeseed oil modified rape oil, castor oil, castor oil derivatives, trimethylolpropanoic acid ester, Ethylene glycols, propylene glycols, polyethylene glycol, Amine ethoxylates and / or polyamine ethoxylates.
  • the polyethylene glycols include, in particular, polyethylene glycol, preferably with an ethylene oxide / propylene oxide ratio of 1/0 and a molecular weight of 200 ⁇ 20, polyethylene glycol 600 with an ethylene oxide / propylene oxide ratio of 1/0 and a molecular weight of 600 ⁇ 60 as well as a Polyethylene glycol, which is sold under the trade name B11 / 300 is available and an ethylene oxide / propylene oxide ratio of 1/1 and has a molecular weight of 300 ⁇ 40 call.
  • Preferred fatty alcohols are cetyl alcohol, oleyl alcohol and Guebert alcohols ( ⁇ '-branched alcohols), where especially oleyl alcohol with an iodine value between 90 and 95 as the base compound of the lubricant according to the invention gives excellent properties.
  • the lubricant according to the invention has at least one mineral oil as the base compound, it is particularly advantageous if this mineral oil has a viscosity between 2 and 1,500 mm 2 / s and a density between 800 kg / m 3 and 950 kg / m 3 , the viscosity values at 40 ° C and the density values at 15 ° C.
  • Lubricant in which at least one as a basic connection Mineral oil is present it is also recommended that you do so a mineral oil is selected whose aromatic content less than 10% by weight, the content of polycyclic aromatics less than 3% by weight and its concentration Benz [a] pyrene is less than 3 ppm.
  • the lubricant according to the invention contains at least one of the aforementioned native and / or synthetic fatty acid esters as the base compound, the viscosity of the fatty acid ester advantageously varies between 20 mm 2 / s and 100 mm 2 / s, while the neutralization number is in particular less than 15, the Viscosity values can be measured at 40 ° C.
  • Such embodiments of the lubricant according to the invention which as a base compound at least one glycol and / or contain at least one polyglycol, preferably have such Products based on the molecular weight of the glycol or polyglycol varies between 60 and 30,000.
  • a fatty alcohol is found to be special advantageously shown that the relevant fatty alcohol Has an iodine number between 40 and 130.
  • a lubricant which is a miscible with water or mixed cooling lubricant
  • Cooling lubricant then those listed above Basic compounds as droplets with a size smaller than 100 nm, in particular with a size between 90 nm and 35 nm.
  • Such a water miscible or mixed cooling lubricant can also be called a microemulsion become.
  • the additive according to the formulas I and II as well as the specific type mentioned above preferably in amine-free lubricants, amine-free Coolant concentrates and / or amine-free coolants is used.
  • the present invention further relates to an additive for the physical and / or microbiological stabilization of a lubricant, in particular a cooling lubricant concentrate or a cooling lubricant, of the type described above.
  • the additive according to the invention which is an aromatic alcohol, has a composition as described in detail above and is subsequently represented by the formula I.
  • R 1 to R 5 are hydrogen, a linear and / or branched C 1 -C 4 alkyl group and m is an integer between 0 and 4, but R 1 to R 5 is not simultaneously hydrogen.
  • the additive according to the invention has all the advantages, such as they above in connection with the invention Lubricant are described so that to avoid repetition reference is made to the above statements, which also apply analogously to the additive according to the invention.
  • the additive according to the invention does not form any phenols, if within the lubricant with a high bacterial population anaerobic conditions prevail and when concentration of the previously described and in formulas I and II reproduced additive according to the invention in the lubricant falls below a predetermined limit.
  • Lubricant has been exposed, that in the presence of the additive according to the invention in Lubricant for the addition of bactericides and / or fungicides can largely be dispensed with that the invention Lubricant at least with regard to the additive is very readily biodegradable without the biological Degradation phenols are formed and that come in all of the usual Lubricants that shown in formulas I and II additive according to the invention can be incorporated without problems, without segregation occurring.
  • the lubricant mixed with the additive according to the invention of such lubricants in which this invention Additive is not present in particular also differs in that the added with the additive according to the invention Lubricant an even and constant distribution of droplets of the base compound, making the superior Lubricating effect of the additive according to the invention offset lubricant compared to conventional Lubricants in mechanical processing or processing of materials, in particular materials made of metal, Plastic, glass or ceramics.
  • This Advantage is also particularly evident when the lubricant mixed with the additive according to the invention Cooling lubricant or a cooling lubricant concentrate is, wherein such a coolant concentrate is then preferred mixed with water to form the cooling lubricant becomes.
  • the additive according to the invention preferably has such a structure as is represented by structural formula II.
  • R 3 , R 4 , R 5 represent a hydrogen and / or a linear or branched C 1 -C 4 alkyl group, but at the same time not all hydrogen and o an integer between 0 and 4.
  • the additive according to the invention is a C 1 -C 4 alkyl-2-phenyl-1-ethanol, a 1-phenyl-1-ethanol, a C 1 -C 4 alkyl-1-phenyl-1- ethanol, a 1-phenyl-1-propanol, a C 1 -C 4 alkyl-1-phenyl-1-propanol, a 2-phenyl-2-propanol, a C 1 -C 4 alkyl-2-phenyl- 2-propanol, a C 1 -C 4 alkyl-3-phenyl-1-propanol, a 1-phenyl-1-butanol, a C 1 -C 4 alkyl-1-phenyl-1-butanol, a 4- Phenyl-2-butanol, a C 1 -C 4 alkyl-4-phenyl-2-butanol, a 2-phenyl-2-butanol, a C 1 -C 4 alkyl-2-ethanol,
  • the cooling lubricants contained 1 - 3 as an additive for microbiological and physical stabilization 4- (ethylphenyl) -benzyl alcohol in three different concentrations, which are given in Table 1 above.
  • the cooling lubricants contained 4 to 6 as an additive for microbiological and physical stabilization 2- (o-methylphenyl) -ethanol in three different concentrations, which are given in Table 2 above.
  • the cooling lubricants contained 7 to 9 as an additive for microbiological and physical stabilization 1-phenyl-1-propanol in three different concentrations, which are given in Table 3 above.
  • the cooling lubricants contained 10 to 12 as an additive for microbiological and physical stabilization 1-phenyl-2-propanol in three different concentrations, which are given in Table 4 above.
  • the composition of the cooling lubricants 25 - 33 is shown in Tables 9 a to 9 c below.
  • cooling lubricants 1 - 33 For the cooling lubricants 1 - 33 mentioned above note that for the production of these cooling lubricants the same mineral oils, fatty acid esters, fatty alcohol ethoxylates, Petroleum sulfonates, aliphatic fatty acids, KOH 45, defoamers and nonferrous metal inhibitors were used, wherein only in the examples 1 - 24 the concentration and the chemical structure of the respective additive, which, however, is always a phenyl alcohol of the above acted specifically, distinguished, while in the embodiments 25-33 this additive by the conventional additive phenoxyethanol, 2,2-dimethyl-3-phenyl-1-propanol and by the linear alcohols 3-phenyl-1-propanol and 4-phenyl-1-butanol was replaced or none Additive contained.
  • the standard emulsion For the test series to check the antimicrobial effectiveness, 95 g of a 2%, highly contaminated standard emulsion were mixed with 5 g of the cooling lubricant concentrates 1 - 33 in question, the standard emulsion having a total bacterial count of at least 10 7 colony-forming units / ml, determined by means of the aforementioned Dipslides at an incubation time of 24 h and 30 ° C. Furthermore, the standard emulsion contained the maximum amount of fungi and yeasts detectable with these dip slides. The ATP content of the standard emulsion corresponded to 2,300,000 RLE (relative light units).
  • the lubricant according to embodiment 35 contained as Additive 1-phenyl-1-propanol, while in the embodiment 37 was included as an additive 1-phenyl-2-propanol.
  • the respective lubricant was used immediately after manufacture visually assessed. It should be noted that the lubricants at a lubricant temperature of 50 ° C 34 and 36 showed phase separation while the lubricants 35 and 37 formed a homogeneous, clear liquid.
  • the lubricants were at a lubricant temperature of 20 ° C 34 and 36 cloudy, while lubricants 35 and 37 remained clear.
  • the lubricants were at a lubricant temperature of 0 ° C 34 and 36 still cloudy while the lubricants 35 and 37 remained clear.
  • the lubricant according to embodiment 39 contained as Additive 1-phenyl-1-propanol, while in the embodiment 41 was included as an additive 1-phenyl-2-propanol.
  • the respective lubricant was used immediately after manufacture visually assessed. It should be noted that the lubricants at a lubricant temperature of 50 ° C 38 and 40 showed a phase separation while the lubricants 39 and 41 formed a homogeneous, clear liquid.
  • the lubricants were at a lubricant temperature of 20 ° C 38 and 40 cloudy, while the lubricants 39 and 41 remained clear.

Landscapes

  • Chemical & Material Sciences (AREA)
  • Chemical Kinetics & Catalysis (AREA)
  • General Chemical & Material Sciences (AREA)
  • Oil, Petroleum & Natural Gas (AREA)
  • Organic Chemistry (AREA)
  • Lubricants (AREA)

Abstract

Es wird ein Schmierstoff für die mechanische Bearbeitung bzw. Verarbeitung von Werkstoffen, enthaltend mindestens eine Basisverbindung sowie mindestens ein Additiv zur physikalischen und/oder mikrobiologischen Stabilisierung des Schmierstoffes auf der Basis eines aromatischen Alkohols beschrieben. Hierbei weist der Schmierstoff als Additiv einen aromatischen Alkohol der Formel I
Figure 80000001
auf, wobei in Formel I R1 bis R5 Wasserstoff, eine lineare und/oder verzweigte C1-C4-Alkylgruppe und m eine ganze Zahl zwischen 0 und 4 bedeuten und wobei in Formel I jedoch R1 bis R5 nicht gleichzeitig Wasserstoff sind.

Description

Die vorliegende Erfindung betrifft einen Schmierstoff für die mechanische Bearbeitung bzw. Verarbeitung von Werkstoffen mit den Merkmalen des Oberbegriffs des Patentanspruchs 1 sowie Additiv für einen derartigen Schmierstoff.
Schmierstoffe, denen ein Additiv zur physikalischen und/oder mikrobiologischen Stabilisierung Zugesetzt werden, sind seit langem bekannt. Hierbei dienen diese Additive dazu, dem flüssigen oder viskosen Schmierstoff, bei dem es sich in der Regel um öl- oder fetthaltige Systeme oder Emulsionen davon handelt, gezielte Eigenschaften zu verleihen.
So wurden z.B. noch vor fünf bis zehn Jahren den sogenannten biostabilen wassermischbaren Kühlschmierstoffe Additive auf der Basis von Borsäure oder Diethanolamin zugesetzt, wobei derartige Zusammensetzungen heute praktisch restlos vom Markt verschwunden sind. Ebenso ist man bemüht, stickstoffhaltige, schwefelhaltige oder phosphorhaltige Additive in Schmierstoffen weitestgehend zu vermeiden, wobei dies bei den modernen aminfreien Kühlschmierstoffen heute weitestgehend gelungen ist.
Durch den Einsatz spezieller Additive, wie zum Beispiel 2-Phenoxyalkanole, lassen sich bei Schmierstoffen bzw. Kühlschmierstoffen gute tribologischen Eigenschaften, so insbesondere gute Schmier-, Kühl- und Spülwirkungen, erreichen. Eine über ein derartiges Additiv, insbesondere eine über ein 2-Phenoxyethanol, stabilisierte Zusammensetzung weist den Vorteil auf, daß die diesbezügliche öl- oder fetthaltige Zusammensetzung oder eine hieraus hergestellte Emulsion aufgrund ihrer physikalischen Stabilisierung durch das Additiv eine hohe Standzeit von mehr als zwei Jahren besitzt. Auch kann hierbei in der Regel auf den Einsatz von zusätzlichen Bakteriziden verzichtet werden, da 2-Phenoxyalkanole, insbesondere 2-Phenoxyethanol, bakteriostatische Eigenschaften besitzt und somit die erforderliche mikrobiologische Stabilisierung bewirkt oder zumindestens mit zur mikrobiologischen Stabilisierung beiträgt.
Das zuvor beschriebene bekannte Additiv auf der Basis von 2-Phenoxyalkanolen, insbesondere das 2-Phenoxyethanol, hat jedoch den Nachteil, daß es unter bestimmten Bedingungen zu einem unerwünschten Abbau zu Phenolen kommen kann, insbesondere dann, wenn diese zuvor genannten Additive bzw. das zuvor genannte Additiv in Schmierstoffen und insbesondere in Kühlschmierstoffen verwendet werden bzw. wird. Ein derartiger unerwünschter Abbau der Phenoxyalkanole und insbesondere des 2-Phenoxyethanols ist immer dann zu befürchten, wenn die Konzentration des Additivs auf der Basis von 2-Phenoxyalkanolen, insbesondere von 2-Phenoxyethanol, in der Emulsion unterhalb einer bestimmten Grenzkonzentration liegt, wenn außerdem eine hohe mikrobielle Besiedelung der Emulsion vorliegt und wenn zusätzlich noch sauerstoffarme, d.h. anaerobe, Bereiche in der Emulsion vorhanden sind. Letzteres kann dann auftreten, wenn die diesbezügliche wäßrige Emulsion der flüssigen oder viskosen Zusammensetzung für längere Zeit nicht mit Luft vermischt wurde, was beispielsweise bei wäßrigen Emulsionen eines Schmierstoffes bzw. Kühlschmierstoffes der Fall sein kann, wenn diese Emulsionen aufgrund von Betriebsunterbrechungen über einen längeren Zeitraum nicht benutzt werden, so daß dementsprechend kein Vermischen der Emulsionen mit Luft stattfindet.
Darüber hinaus wurde bereits versucht, Schmierstoffe durch Zusatz von 3-Phenyl-1-propanol zu stabilisieren, wobei jedoch die US 5,614,538 zu dem Ergebnis kommt, daß ein derartiges Additiv nur dann vertretbare antibakterielle Werte ergibt, wenn gleichzeitig mit dem 3-Phenyl-1-propanol ein weiteres Additiv auf der Basis von Pyrithion anwesend ist.
Der vorliegenden Erfindung liegt die Aufgabe zugrunde, einen Schmierstoff und vorzugsweise einen Kühlschmierstoff zur Verfügung zu stellen, der eine hohe physikalische und mikrobiologische Stabilität besitzt und bei dem es selbst unter extremen Bedingungen nicht zu einer Bildung von Phenolen kommt.
Diese Aufgabe wird erfindungsgemäß durch einen Schmierstoff mit den kennzeichnenden Merkmalen des Patentanspruchs 1 gelöst.
Der erfindungsgemäße Schmierstoff umfaßt neben einer Basisverbindung mindestens ein Additiv zur physikalischen und/oder mikrobiologischen Stabilisierung der flüssigen oder viskosen Zusammensetzung, wobei das Additiv ein aromatischer Alkohol gemäß Formel I ist.
Figure 00040001
In dieser Formel I bedeuten m eine ganze Zahl zwischen 0 und 4 und R1 bis R5 Wasserstoff, eine lineare oder verzweigte C1-C4-Alkylgruppe, wobei jedoch R1 bis R5 nicht gleichzeitig Wasserstoff sind.
Der erfindungsgemäße Schmierstoff weist eine Reihe von Vorteilen auf. So ist zunächst festzuhalten, daß der erfindungsgemäße Schmierstoff selbst unter den zuvor angesprochenen extremen Bedingungen, d.h. beim Auftreten von anaeroben Bereichen, Nichteinhaltung von bestimmten Grenzkonzentrationen sowie bei hoher Keimbesiedelung, kein Phenol ausbildet, was dadurch erklärlich wird, daß bei dem in dem erfindungsgemäßen Schmierstoff enthaltenen Additiv an der Phenylgruppe keine Ethergruppe vorhanden ist. Auch konnte überraschend festgestellt werden, daß in Schmierstoffen, insbesondere Kühlschmierstoffen oder Konzentraten von Kühlschmierstoffen, durch Verwendung des zuvor beschriebenen und in Formel I wiedergegebenen Additivs die Konzentration dieses Additivs im Vergleich zu einem herkömmlichen Additiv, insbesondere einem solchen auf der Basis von Phenoxyethanol, deutlich gesenkt werden konnte, da der erfindungsgemäße Schmierstoff sowohl bezüglich der physikalischen als auch der mikrobiologischen Stabilisierung bessere Eigenschaften besitzt als die herkömmlichen Schmierstoffe. Diese verbesserten Eigenschaften des erfindungsgemäßen Schmierstoffes führen dazu, daß der Einsatz von Bakteriziden in entsprechenden flüssigen oder viskosen Schmierstoff-Zusammensetzungen deutlich reduziert werden kann, so daß derartige flüssige Schmierstoff-Zusammensetzungen, insbesondere auch die zuvor genannten Kühlschmierstoffe bzw Kühlschmierstoff-Konzentrate, größtenteils gänzlich auf derartige Bakterizide verzichten. Ferner kann in derartigen Zusammensetzungen sogar auf Fungizide verzichtet werden, sofern das in der Formel I beschriebene Additiv in der entsprechenden Zusammensetzung in der erforderlichen Konzentration enthalten ist. Sollte man aus speziellen Gründen nicht auf die Fungizide verzichten wollen, so ist zumindestens durch Anwendung des in Formel I beschriebenen Additivs die Konzentration dieser Fungizide in dem erfindungsgemäßen Schmierstoff reduziert.
Bedingt dadurch, daß das in dem erfindungsgemäßen Schmierstoff enthaltene Additiv gemäß Formel I als sehr sicher bezüglich seiner toxikologischen Daten eingestuft wurde, sind die hiermit formulierten erfindungsgemäßen Schmierstoff-Zusammensetzungen unbedenklich anzuwenden. Auch ist das in dem erfindungsgemäßen Schmierstoff enthaltene Additiv in entsprechender Verdünnung sehr gut biologisch abbaubar und bereitet in biologischen Kläranlagen keinerlei Probleme, zumal beim biologischen Abbau in den entsprechenden Kläranlagen kein Phenol ausgebildet wird. Ferner konnte festgestellt werden, daß sich das Additiv gemäß Formel I problemlos in Schmierstoffe, Kühlschmierstoffkonzentrate sowie Kühlschmierstoffe einarbeiten läßt, wobei neben den bereits zuvor aufgeführten Vorteilen in diesem Fall das Additiv die hiermit formulierten erfindungsgemäßen Schmierstoffe nicht nur mikrobiologisch sondern auch physikalisch stabilisiert. Dies wird darauf zurückgeführt, daß der Zusatz des Additivs gemäß Formel I die Löslichkeit von anderen Komponenten, die in Schmierstoffen, Kühlschmierstoffen sowie in Kühlschmierstoffkonzentraten enthalten sind, verbessert, so daß dementsprechend diese konkret genannten Zusammensetzungen durch Anwesenheit eines derartigen Additivs besonders gut physikalisch und mikrobiologisch stabilisiert sind und hierdurch eine hohe Lagerbeständigkeit aufweisen.
Unter Schmierstoffe im Rahmen der vorliegenden Anmeldung sind mit Wasser mischbare oder nicht mischbare Schmierstoffe zu verstehen, die ohne Verdünnung mit Wasser sofort angewendet werden. Kühlschmierstoffkonzentrate können entweder direkt oder nach Zusatz von Wasser verwendet werden, wobei letztere dann als wassergemischte Kühlschmierstoffe zu bezeichnen sind.
Wie bereits vorstehend ausgeführt ist, wird der erfindungsgemäße Schmierstoff für die mechanische Bearbeitung bzw. Verarbeitung von Werkstoffen verwendet, wobei der Begriff Werkstoff insbesondere Werkstoffe aus Metall, Kunststoff, Glas oder Keramik, abdeckt, während der Begriff Verarbeitung bzw. Bearbeitung alle Arbeitsschritte umfaßt, die im Rahmen einer spanenden oder spanlosen Bearbeitung, so zum Beispiel beim Bohren, Schneiden, Schleifen, Fräsen, Stanzen, Drehen, Reiben, Gewindeformen und -bohren, Räumen o. dgl., anfallen. Hierbei bewirkt der erfindungsgemäße Schmierstoff, daß eine Kühlung und/oder Schmierung herbeigeführt wird, so daß insbesondere ein Verschleiß der Werkzeuge unterdrückt wird, daß ein Korrosionsschutz von Werkzeug und/oder Werkstück zumindestens temporär gegeben ist und daß Metallstaub und Späne abgeführt werden.
Wird das Additiv gemäß Formel I zur Stabilisierung von entsprechenden Schmierstoffemulsionen, bei denen es sich vorzugsweise um Schmierstoffe, Kühlschmierstoffkonzentrate oder Kühlschmierstoff handelt, eingesetzt, so konnte ferner überraschend festgestellt werden, daß abhängig von den jeweiligen Bestandteilen dieser zuvor konkret genannten Zusammensetzungen sogar die in diesen Zusammensetzungen enthaltenen Emulgatoren bezüglich ihrer Konzentration reduziert werden können, ohne daß dabei das Problem auftrat, daß sich derartige, über das Additiv gemäß Formel I stabilisierte Zusammensetzungen entmischten. Selbst bei solchen Zusammensetzungen, die ohne Anwesenheit dieses Additivs eine deutliche Entmischung zeigten, konnte festgestellt werden, daß bereits durch Zusatz einer entsprechend verringerten Menge des in dem erfindungsgemäßen Schmierstoff enthaltenen Additivs wieder eine dauerhafte Vermischung aller Bestandteile der Zusammensetzung stattfand, wodurch die Wirksamkeit des Additivs gemäß Formel I in bezug auf eine physikalische Stabilisierung des erfindungsgemäßen Schmierstoffes besonders deutlich demonstriert werden konnte.
Bedingt dadurch, daß das in dem erfindungsgemäßen Schmierstoff enthaltene Additiv ein aromatischer Alkohol der zuvor angegebenen Zusammensetzung ist, besteht zwischen diesem Additiv und anderen Additiven, die alkoholische OH-Gruppen enthalten, eine hohe Verträglichkeit. Dies wiederum führt dazu, daß das in dem erfindungsgemäßen Schmierstoff enthaltene Additiv gemäß Formel I mit anderen, alkoholische OH-Gruppen aufweisenden Additiven synergistisch wirkt, so daß bereits eine relativ geringe Konzentration des Additivs gemäß Formel I sowie der zuvor genannten Additiven mit alkoholischen OH-Gruppen eine ausgezeichnete Stabilisierung der flüssigen oder viskosen Schmierstoffzusammensetzung, insbesondere bei Kühlschmierstoffen oder Kühlschmierstoffkonzentraten, herbeiführt.
Die zuvor konkret aufgeführten Vorteile treten immer dann auf, wenn das Additiv gemäß Formel I mit anderen Additiven auf der Basis von Alkylglykolen, insbesondere Ethylenglykol, Propylenglykol, Butylenglykol, Pentylenglykol, Hexylenglykol, Diethylenglykol und/oder Triethylenglykol, in entsprechenden Schmierstoffen, Kühlschmierstoffkonzentraten und/oder Kühlschmierstoffen verwendet wird, wobei das in dem erfindungsgemäßen Schmierstoff enthaltene Additiv ebenso gut verträglich mit solchen anderen Additiven ist, die auf Basis von Monoalkylethern, so zum Beispiel Methyldiglykol, Ethyldiglykol, Propyldiglykol, Butyldiglykol und/oder Derivaten bzw. Oligomeren des Propylenglykols und/oder des Glycerins aufgebaut sind.
Obwohl das in Formel I wiedergegebene und in dem erfindungsgemäßen Schmierstoff enthaltene Additiv mit vielen anders aufgebauten Additiven verträglich ist und hiermit teilweise sogar eine synergistische Wirkung hervorruft, hat sich jedoch überraschenderweise bei einer Vielzahl von anwendungsfallen gezeigt, daß die alleinige Anwesenheit des Additivs gemäß vorstehender Formel I dem hiermit versehenen Schmierstoff, insbesondere den hiermit versetzten Kühlschmierstoff oder Kühlschmierstoffkonzentrat, eine hervorragende physikalische und mikrobiologische Stabilität verleiht, wie dies nachfolgend noch bei den konkreten Ausführungsbeispielen belegt ist. Von daher weist eine besonders geeignete Ausführungsform des erfindungsgemäßen Schmierstoffes das Additiv gemäß Formel I als einziges Additiv zur physikalischen und mikrobiologischen Stabilisierung des Schmierstoffes auf.
Vorzugsweise besitzt das in dem erfindungsgemäßen Schmierstoff enthaltene Additiv eine Aufbau, wie dieser nachfolgend durch die Formel II wiedergegeben ist.
Figure 00100001
In der Formel II bedeuten R3, R4, R5 ein Wasserstoff und/oder eine lineare oder verzweigte C1-C4-Alkylgruppe, jedoch gleichzeitig nicht alle Wasserstoff und o eine ganze Zahl zwischen 0 und 4.
Insbesondere nimmt der Substituent R5, der insbesondere eine lineare C1-C4-Alkylgruppe darstellt, in den Formeln I und II eine ortho- oder para-Stellung ein.
Besonders geeignete Ausführungsformen des erfindungsgemäßen Schmierstoffes weisen als Additiv die nachfolgend aufgelisteten konkreten Verbindungen auf:
1-Phenyl-2-propanol, C1-C4-Alkyl-1-phenyl-2-propanol, 2-Phenyl-1-propanol, C1-C4-Alkyl-2-phenyl-1-propanol, 1-Phenyl-2-propanol, C1-C4-Alkyl-1-phenyl-2-propanol, 3-Phenyl-2-butanol, C1-C4-Alkyl-3-phenyl-2-butanol, 2-Phenyl-1-butanol, C1-C4-Alkyl-2-phenyl-1-butanol, C1-C4-Alkyl-4-phenyl-1-butanol, 2-Phenyl-2-methyl-1-propanol, C1-C4-Alkyl-2-phenyl-2-methyl-1-propanol, 1-Phenyl-2-methyl-1-propanol, C1-C4-Alkyl-1-phenyl-2-methyl-1-propanol, C1-C4-Alkyl-5-phenyl-1-pentanol, 5-Phenyl-2-pentanol, C1-C4-Alkyl-5-phenyl-2-pentanol, 5-Phenyl-3-pentanol (=1-Phenyl-3-pentanol), C1-C4-Alkyl-5-phenyl-3-pentanol, 1-Phenyl-2-pentanol, C1-C4-Alkyl-1-phenyl-2-pentanol, 2-Phenyl-1-pentanol, C1-C4-Alkyl-2-phenyl-1-pentanol, 2-Phenyl-3-methyl-1-butanol, C1-C4-Alkyl-2-phenyl-3-methyl-1-butanol, 1-Phenyl-3-methyl-1-butanol, C1-C4-Alkyl-1-phenyl-3-methyl-1-butanol, 3-Phenyl-2-methyl-1-butanol, C1-C4-Alkyl-3-phenyl-2-methyl-1-butanol, 2-Phenyl-2-methyl-1-butanol, C1-C4-Alkyl-2-phenyl-2-methyl-1-butanol, 1-Phenyl-2-methyl-1-butanol, C1-C4-Alkyl-1-phenyl-2-methyl-1-butanol, 3-Phenyl-3-methyl-2-butanol, C1-C4-Alkyl-3-phenyl-3-methyl-2-butanol, 2-Phenyl-3-methyl-2-butanol, C1-C4-Alkyl-2-phenyl-3-methyl-2-butanol, 1-Phenyl-3-methyl-2-butanol, C1-C4-Alkyl-1-phenyl-3-methyl-2-butanol, 1-Phenyl-2-methyl-2-butanol, C1-C4-Alkyl-1-phenyl-2-methyl-2-butanol, 3-Phenyl-2-methyl-2-butanol, C1-C4-Alkyl-3-phenyl-2-methyl-2-butanol, 4-Phenyl-2-methyl-2-butanol und/oder C1-C4-Alkyl-4-phenyl-2-methyl-2-butanol, wobei die zuvor angesprochenen Alkylgruppen vorzugsweise lineare Alkylgruppen sind und in ortho- oder para-Stellung vorgesehen sind.
Besonders gute Eigenschaften in bezug auf eine physikalische und mikrobiologische Stabilisierung der jeweiligen Ausführungsform des erfindungsgemäßen Schmierstoffes, insbesondere des Kühlschmierstoffkonzentrates oder des Kühlschmierstoffes, besitzen solche Additive, die chemisch als ein C1-C4-Alkyl-2-phenyl-1-ethanol, ein 1-Phenyl-1-ethanol, ein C1-C4-Alkyl-1-phenyl-1-ethanol, ein 1-Phenyl-1-propanol, ein C1-C4-Alkyl-1-phenyl-1-propanol, ein 2-Phenyl-2-propanol, ein C1-C4-Alkyl-2-phenyl-2-propanol, ein C1-C4-Alkyl-3-phenyl-1-propanol, ein 1-Phenyl-1-butanol, ein C1-C4-Alkyl-1-phenyl-1-butanol, ein 4-Phenyl-2-butanol, ein C1-C4-Alkyl-4-phenyl-2-butanol, ein 2-Phenyl-2-butanol, ein C1-C4-Alkyl-2-phenyl-2-butanol, ein 5-Phenyl-3-pentanol, ein C1-C4-Alkyl-5-phenyl-3-pentanol, ein 1-Phenyl-1-pentanol, ein C1-C4-Alkyl-1-phenyl-1-pentanol und/oder Derivate davon anzusprechen sind.
Bezüglich der Konzentration, in der das zuvor beschriebene Additiv in der erfindungsgemäßen flüssigen oder viskosen Schmierstoffzusammensetzung, insbesondere in dem Kühlschmierstoffkonzentrat oder in dem Kühlschmierstoff, vorhanden ist, ist festzuhalten, daß sich diese Konzentration nach der jeweiligen flüssigen oder viskosen Zusammensetzung richtet. Allgemein ist hierzu festzustellen, daß insbesondere bei relativ instabilen Schmierstoffzusammensetzungen, die zudem noch eine lange Lagerzeit besitzen sollen, höhere Konzentrationen des Additivs gemäß Formel I oder der vorstehend konkret genannten Art vorzusehen sind, während an sich stabile Schmierstoffzusammensetzungen, die recht kurzfristig verbraucht werden, relativ geringe Konzentrationen dieses Additivs in der Regel aufweisen. Vorzugsweise variiert die Konzentration des Additivs gemäß Formel I oder der vorstehend konkret genannten Art in der flüssigen oder viskosen erfindungsgemäßen Schmierstoffzusammensetzung zwischen 0,5 Gew.% und 20 Gew.%, insbesondere zwischen 3 Gew.% und 18 Gew.%, jeweils bezogen auf die anwendungsfertige Schmierstoffzusammensetzung.
Wie bereits mehrfach beschrieben ist, handelt es sich bei dem erfindungsgemäßen Schmierstoff insbesondere um einen Kühlschmierstoff oder um ein Kühlschmierstoffkonzentrat. Hierbei ist unter dem Begriff Kühlschmierstoffkonzentrat ein solches Produkt zu verstehen, das entweder selbst direkt angewandt wird oder insbesondere durch Zusatz von Wasser in den entsprechenden anwendungsfertigen Kühlschmierstoff überführt wird, wobei ein derartiges wassermischbares Kühlschmierstoffkonzentrat bzw. ein wassermischbarer Kühlschmierstoff neben der mindestens einen Basisverbindung und den zuvor beschriebenen Ausführungsformen des Additivs noch vorzugsweise mindestens einen Emulgator enthält.
Abhängig von dem Anwendungsgebiet des erfindungsgemäßen Schmierstoffes, insbesondere des Kühlschmierstoffkonzentrates oder des bereits mit Wasser vermischten Kühlschmierstoffes, variiert die chemische Zusammensetzung des hierin enthaltenen Emulgators. Vorzugsweise wird ein nichtionischer und/oder anionischer Emulgator dem erfindungsgemäßen Schmierstoff oder dem erfindungsgemäßen Kühlschmierstoffkonzentrat zugesetzt, wobei der entsprechende mit Wasser vermischte Kühlschmierstoff dann einen derartigen anionischen und/oder nichtionischen Emulgator aufweist.
Als nichtionische Emulgatoren, die in dem erfindungsgemäßen Schmierstoff, dem erfindungsgemäßen Kühlschmierstoffkonzentrat oder dem bereits mit Wasser vermischten Kühlschmierstoff enthalten sind, sind alkoxylierte, insbesondere ethoxylierte Fettalkohole, alkoxylierte, insbesondere ethoxylierte Fettsäuren und/oder alkoxylierte, insbesondere ethoxylierte Alkyl-Arylverbindungen und/oder alkoxylierte, insbesondere ethoxylierte, Alkyl-/Arylphosphorsäurerester anzusehen.
Bevorzugte anionische Emulgatoren stellen solche Emulgatoren dar, die auf der Basis einer Alkaliseife, einer Alkanolaminseife, eines Petroleumsulfonat, eines sulfatierter Fettsäureester und/oder einem Alkanolamin aufgebaut sind.
Konkrete, insbesondere in dem erfindungsgemäßen Schmierstoff, Kühlschmierstoff oder Kühlschmierstoffkonzentrat vorhandene Emulgatoren sind die C16-C18-Fettalkohole bzw. C16-C18-Fettsäuren, die insbesondere mit 2 bis 10 Mol Ethylenoxid ethoxyliert sind. Ebenso zeigen Rizinusölethoxylate, die mit 2 bis 10 Mol Ethylenoxid ethoxyliert sind, Alkylphenolethoxylate, die mit 2 bis 10 Mol Ethylenoxid ethoxyliert sind, C18-C22-Kaliumcarboxylate, Ammoniumcarboxylate mit Monoethanolamin, Triethanolamin, Aminobutanol oder Monoisopropanolamin, Natriumalkylbenzolsulfate mit einem Molekulargewicht zwischen 350 und 500, und Tallölfettsäuremonoethanolamid eine hohe Verträglichkeit mit den zuvor beschriebenen Ausführungsformen des erfindungsgemäßen Additivs, so daß diese konkreten Emulgatoren besonders bevorzugt in dem erfindungsgemäßen Schmierstoff vorhanden sind.
Bezüglich der Konzentration des Emulgators, der in dem erfindungsgemäßen Schmiermittel vorhanden ist, ist festzuhalten, daß diese Konzentration zwischen 0,5 Gew.% und 50 Gew.%, insbesondere zwischen 3 Gew.% und 30 Gew.%, bezogen auf den anwendungsfertigen Schmierstoff variiert.
Bei einer geeigneten Weiterbildung des erfindungsgemäßen Schmierstoffs weist dieser desweiteren mindestens eine Korrosionsschutzkomponente auf. Hierbei handelt es sich insbesondere um Alkaliseife, Alkanolaminseife, Petroleumsulfonate, Alkanolamide, alkoxylierter Alkyl-/Aryl-Phosphorsäureester, organische Borverbindungen, Alkali- bzw. Ammoniumsalze von Amidocarbonsäuren, Thiophosphorsäureester und Salze, Alkylbernsteinsäurederivate und/oder Alkylimidazole.
Insbesondere dann, wenn der erfindungsgemäße Schmierstoff als Korrosionsschutzkomponente ein Kaliumcarboxylat, vorzugsweise von einer C7-C12- und/oder einer C18-C22-Carbonsäure, ein Ammoniumcarboxylat, insbesondere der zuvor genannten Carbonsäuren, ein Natriumalkylbenzolsulfonat, vorzugsweise mit einem Molekulargewicht zwischen 350 und 500, ein Tallölfettsäuremonoethanolamid, ein Ammoniumborat mit Monoethanolamin, Triethanolamin, Aminobutanol und/oder Monoisopropanolamin, eine Sulfonamidocarbonsäure, ein Dialkyldithiophosphat, vorzugsweise ein C3-C8-Dialkyldithio-phosphat, ein Bernsteinsäurederivat, heterocyclische Stickstoffverbindungen mit Alkylresten und/oder Calcium-Sulfonate aufweist, besitzt eine derartige Ausführungsform des erfindungsgemäßes Schmierstoffes eine hohe Wirksamkeit in bezug auf den bei der mechanischen Bearbeitung von metallischen Werkstoffen erforderlichen Korrosionsschutz.
Vorzugsweise variiert die Konzentration der Korrosionsschutzkomponente im anwendungsfertigen Schmierstoff zwischen 3 Gew.% und 50 Gew.%, vorzugsweise zwischen 5 Gew.% und 30 Gew.%.
Neben der Basisverbindung und den zuvor beschriebenen Additiven gemäß der Formeln I und II bzw. den konkret zuvor aufgeführten Additiven, den Emulgatoren sowie den Korrosionsschutzkomponenten werden andere Ausführungsformen des erfindungsgemäßen Schmierstoffes bevorzugt, bei denen der erfindungsgemäße Schmierstoff weitere Zusätze in einer Konzentration zwischen 0,2 Gew.% und 30 Gew.%, jeweils bezogen auf die anwendungsfertige Schmierstofformulierung, enthält. Bei diesen weiteren Zusätze handelt es sich insbesondere um solche Zusätze, die den Schmierstoff bei einem hohen Anwendungsdruck schützen und/oder einen Verschleiß der für die mechanische Metallbearbeitung eingesetzten Werkzeuge verhindern. Hier sind insbesondere als weitere Zusätze, die in Fachkreisen auch als EP/AW-Additive benannt sind, Fettsäureester, insbesondere native, synthetische und/oder geschwefelte native bzw. synthetische Ester, geschwefelte Kohlenwasserstoffe, geschwefelte Fettsäureester, Chlorparaffine, Phosphor-Derivate, Schwefel-Phosphor-Derivate, Thiophosphorsäureester und deren Salze, Polyalkylenglykol und/oder Fettamide zu nennen.
Besonders gute Eigenschaften vermitteln solche EP/AW-Additive, die auf der Basis von Rüböl, geblasenem Rüböl, geschwefeltem Rüböl, Polymerestern vom Trimethylolpropan-Typ, geschwefelten Kohlenwasserstoffen mit Schwefelbrücken mit 3 bis 5 Schwefelatomen, Dialkyldithiophosphaten, insbesondere C3-C8-Dialkyldithiophosphaten, Oleylalkoholen und/oder Tallölfettsäuremonoethanolamid aufgebaut sind.
Ferner können in dem erfindungsgemäßen Schmierstoff noch Fungizide, Bakterizide, Entschäumer, Antioxidantien, Buntmetalldesaktivatoren, Lösungsvermittler, Antinebelzusätze und/oder Geruchsverbesserer enthalten sein, wobei jedoch insbesondere bezüglich der Konzentration an Fungiziden und Bakteriziden festzuhalten ist, daß diese Produkte teilweise oder vollständig durch das eingangs beschriebene erfindungsgemäße Additiv ersetzt werden können. Als konkrete Zusätze der vorstehend genannten Art sind insbesondere Borsäure und ihre Salze, Isothiazolinone, Natriumpyrion, Siloxanentschäumer, Ditert.Butyl-Hydroxytoluol, Benzotriazol, Ethylhexandiol, Polypropylenglykole, Polymethacrylate, Phosphonate und/oder übliche Duftstoffe zu nennen.
Wie bereits eingangs ausgeführt ist, weist der erfindungsgemäße Schmierstoff eine Basisverbindung auf, wobei diese Basisverbindung unterschiedlich aufgebaut sein kann. Im einfachsten Fall enthält der erfindungsgemäße Schmierstoff als Basisverbindung Wasser sowie desweiteren das Additiv gemäß der Formeln I und II oder der vorstehend konkret genannten Art, wobei hierin noch ggf. mindestens eine Korrosionsschutzkomponente enthalten sein kann.
So ist bei einer weiteren Gruppe der erfindungsgemäßen Schmierstoffe in dem erfindungsgemäßen Schmierstoff als Basisverbindung mindestens ein Mineralöl, mindestens ein Fettsäureester, mindestens ein Glykol, mindestens ein Polyglykol und/oder mindestens ein Fettalkohol enthalten, wobei es sich dabei insbesondere um naphthenbasische Mineralöle, paraffinbasische Mineralöle, aromatische Mineralöle, Weißöle, Poly[α]olefine, geschwefelte Kohlenwasserstoffe, Chlorparaffine, native Ester, vorzugsweise pflanzliche und/oder tierische Triglyceride, synthetische Fettsäureester, insbesondere Mono- und/oder Dicarbonsäureester, synthetische Polycarbonsäureester, synthetische Polyester, synthetische Kornplexester und/oder synthetische Triglyceride, vorzugsweise mittelkettige Triglyceride, geschwefelte native und/oder synthetische Ester enthalten. Hierzu zählen desweiteren Rüböl, modifiziertes Rüböl, Rizinusöl, Rizinusölderivate, Trimethylolpropansäureester, Ethylenglykole, Propylenglykole, Polyethylenglykol, Aminethoxylate und/oder Polyaminethoxylate. Bei den Polyethylenglykolen sind insbesondere Polyethylenglykol, vorzugsweise mit einem Ethylenoxid/Propylenoxid-Verhältnis von 1/0 und einem Molekulargewicht von 200 ± 20, Polyethylenglykol 600 mit einem Ethylenoxid/Propylenoxid-Verhältnis von 1/0 und einem Molekulargewicht von 600 ± 60 sowie ein Polyethylenglykol, das unter der Handelsbezeichnung B11/300 erhältlich ist und ein Ethylenoxid/Propylenoxid-Verhältnis von 1/1 und ein Molekulargewicht von 300 ± 40 aufweist, zu nennen.
Bevorzugte Fettalkohole stellen Cetylalkohol, Oleylalkohol sowie Guebert-Alkohole (α'-verzweigte Alkohole) dar, wobei insbesondere Oleylalkohol mit einer Jodzahl zwischen 90 und 95 als Basisverbindung dem erfindungsgemäßen Schmierstoff hervorragende Eigenschaften verleiht.
Weist der erfindungsgemäße Schmierstoff als Basisverbindung mindestens ein Mineralöl auf, so ist es besonders vorteilhaft, wenn dieses Mineralöl eine Viskosität zwischen 2 und 1.500 mm2/s und eine Dichte zwischen 800 kg/m3 und 950 kg/m3 besitzt, wobei die Viskositätswerte bei 40 °C und die Dichtewerte bei 15 °C bestimmt werden.
Bezüglich der Ausführungsformen des erfindungsgemäßes Schmierstoffes, bei denen als Basisverbindung mindestens ein Mineralöl vorhanden ist, empfiehlt es sich ferner, daß hierfür ein Mineralöl ausgewählt wird, dessen Aromatengehalt kleiner als 10 Gew.%, dessen Gehalt an polycyklischen Aromaten kleiner als 3 Gew.% und dessen Konzentration an Benz[a]pyren kleiner als 3 ppm ist.
Enthält hingegen der erfindungsgemäße Schmierstoff als Basisverbindung mindestens einen der zuvor genannten nativen und/oder synthetischen Fettsäureester, so variiert vorteilhafterweise die Viskosität des Fettsäureesters zwischen 20 mm2/s und 100 mm2/s, während die Neutralisationszahl insbesondere kleiner als 15 ist, wobei die Viskositätswerte bei 40 °C gemessen werden.
Solche Ausführungsformen des erfindungsgemäßen Schmierstoffes, die als Basisverbindung mindestens ein Glykol und/oder mindestens ein Polyglykol enthalten, weisen vorzugsweise solche Produkte auf, bei denen das Molekulargewicht des Glykols bzw. Polyglykols zwischen 60 und 30.000 variiert.
Für andere Ausführungsformen des erfindungsgemäßen Schmierstoffes, bei denen im Schmierstoff als Basisverbindung mindestens ein Fettalkohol enthalten ist, hat sich als besonders vorteilhaft gezeigt, daß der diesbezügliche Fettalkohol eine Jodzahl zwischen 40 und 130 aufweist.
Wie bereits vorstehend wiederholt ausgeführt ist, handelt es sich bei dem erfindungsgemäßen Schmierstoff insbesondere um einen solchen Schmierstoff, der ein mit Wasser vermischbarer oder vermischter Kühlschmierstoff ist, wobei in einer besonders vorteilhaften Ausführungsform dieser Variante des erfindungsgemäßen Kühlschmierstoffes dann die zuvor aufgeführten Basisverbindungen als Tröpfchen mit einer Größe kleiner als 100 nm, insbesondere mit einer Größe zwischen 90 nm und 35 nm, vorliegen. Ein derartiger, mit Wasser vermischbarer bzw. vermischter Kühlschmierstoff kann auch als Mikroemulsion bezeichnet werden.
Insbesondere ist festzuhalten, daß das Additiv gemäß der Formeln I und II sowie der vorstehend genannten konkreten Art vorzugsweise in aminfreien Schmierstoffen, aminfreien Kühlschmierstoffkonzentraten und/oder aminfreien Kühlschmierstoffen verwendet wird.
Die vorliegende Erfindung betrifft desweiteren ein Additiv zur physikalischen und/oder mikrobiologischen Stabilisierung eines Schmierstoffes, insbesondere eines Kühlschmierstoffkonzentrates oder eines Kühlschmierstoffes, der vorstehend beschriebenen Art. Hierbei weist das erfindungsgemäße Additiv, das ein aromatischer Alkohol ist, eine Zusammensetzung auf, wie diese vorstehend ausgiebig beschrieben und nachfolgend durch die Formel I wiedergegeben ist.
Figure 00210001
In der Formel I bedeuten R1 bis R5 Wasserstoff, eine lineare und/oder verzweigte C1-C4-Alkylgruppe und m eine ganze Zahl zwischen 0 und 4, wobei jedoch R1 bis R5 nicht gleichzeitig Wasserstoff ist.
Das erfindungsgemäße Additiv weist alle die Vorteile auf, wie sie vorstehend im Zusammenhang mit dem erfindungsgemäßen Schmierstoff beschrieben sind, so daß zur Vermeidung von Wiederholungen auf die vorstehenden Ausführungen verwiesen wird, die analog auch bei dem erfindungsgemäßen Additiv gelten.
Insbesondere ist hierzu nochmals kurz festzuhalten, daß das erfindungsgemäße Additiv selbst dann keine Phenole ausbildet, wenn innerhalb des Schmierstoffes bei einer hohen Keimbesiedelung anaerobe Bedingungen vorherrschen und wenn die Konzentration des zuvor beschriebenen und in den Formeln I und II wiedergegebenen erfindungsgemäßen Additivs im Schmierstoff einen vorgegebenen Grenzwert unterschreitet. Als weitere Vorteil ist, wie bereits vorstehend bei den Vorteilen des erfindungsgemäßen Schmierstoffes herausgestellt wurde, festzuhalten, daß bei Anwesenheit des erfindungsgemäßen Additivs im Schmierstoff auf einen Zusatz von Bakteriziden und/oder Fungiziden weitestgehend verzichtet werden kann, daß der erfindungsgemäße Schmierstoff zumindestens bezuglich des Additivs sehr gut biologisch abbaubar ist, ohne daß beim biologischen Abbau Phenole ausgebildet werden und daß sich in alle üblichen Schmierstoffen das in den Formeln I und II wiedergegebene erfindungsgemäße Additiv problemlos einarbeiten läßt, ohne daß es dabei zu einer Entmischung kommt. Neben den bereits zuvor bei dem erfindungsgemäßen Schmierstoff aufgeführten Vorteilen ist als weiterer Vorteil festzuhalten, daß sich der mit dem erfindungsgemäßen Additiv versetzte Schmierstoff von solchen Schmierstoffen, in denen dieses erfindungsgemäße Additiv nicht vorhanden ist, insbesondere auch dadurch unterscheidet, daß der mit dem erfindungsgemäßen Additiv versetzte Schmierstoff eine gleichmäßige und gleichbleibende Verteilung von Tröpfchen der Basisverbindung aufweist, wodurch die überragende Schmierwirkung des mit dem erfindungsgemäßen Additiv versetzten Schmierstoffes im Vergleich zu herkömmlichen Schmierstoffen bei der mechanischen Bearbeitung bzw. Verarbeitung von Werkstoffen, insbesondere von Werkstoffen aus Metall, Kunststoff, Glas oder Keramik, erklärlich wird. Dieser Vorteil kommt auch insbesondere dann zum Ausdruck, wenn der mit dem erfindungsgemäßen Additiv versetzte Schmierstoff ein Kühlschmierstoff bzw. ein Kühlschmierstoffkonzentrat ist, wobei ein derartiges Kühlschmierstoffkonzentrat dann vorzugsweise unter Ausbildung des Kühlschmierstoffes mit Wasser vermischt wird.
Vorzugsweise weist das erfindungsgemäße Additiv eine solchen Aufbau auf, wie dieser durch die Strukturformel II wiedergegeben ist.
Figure 00230001
In der Formel II bedeuten R3, R4, R5 ein Wasserstoff und/oder eine lineare oder verzweigte C1-C4-Alkylgruppe, jedoch gleichzeitig nicht alle Wasserstoff und o eine ganze Zahl zwischen 0 und 4.
Insbesondere handelt es sich bei dem erfindungsgemäßen Additiv um ein C1-C4-Alkyl-2-phenyl-1-ethanol, ein 1-Phenyl-1-ethanol, ein C1-C4-Alkyl-1-phenyl-1-ethanol, ein 1-Phenyl-1-propanol, ein C1-C4-Alkyl-1-phenyl-1-propanol, ein 2-Phenyl-2-propanol, ein C1-C4-Alkyl-2-phenyl-2-propanol, ein C1-C4-Alkyl-3-phenyl-1-propanol, ein 1-Phenyl-1-butanol, ein C1-C4-Alkyl-1-phenyl-1-butanol, ein 4-Phenyl-2-butanol, ein C1-C4-Alkyl-4-phenyl-2-butanol, ein 2-Phenyl-2-butanol, ein C1-C4-Alkyl-2-phenyl-2-butanol, ein 5-Phenyl-3-pentanol, ein C1-C4-Alkyl-5-phenyl-3-pentanol, ein 1-Phenyl-1-pentanol und/oder ein C1-C4-Alkyl-1-phenyl-1-pentanol oder um eine Mischung der zuvor genannten Verbindungen.
Zur Vermeidung von weiteren Wiederholungen wird auf die zuvor wiedergegebenen Ausführungen zum erfindungsgemäßen Schmierstoff verwiesen, die analog auch für das erfindungsgemäße Additiv gelten.
Der erfindungsgemäße Schmierstoff bzw. das erfindungsgemäße Additiv werden nachfolgend anhand von Ausführungsbeispielen näher erläutert.
Ausführungsbeispiele 1 - 3
Es wurden drei Kühlschmierstoffzusammensetzungen nach den üblichen Techniken erstellt, wobei die nachfolgend mit 1 bis 3 bezeichneten Kühlschmierstoffe folgende Zusammensetzung aufwiesen:
Ausführungsbeispiel
1 2 3
Mineralöl 51,4 51,4 48,9
Fettsäureester 10 10 10
Fettalkoholethoxylate 6,2 6,2 6,2
Petroleumsulfonate 6 6 6
aliphatische Fettsäuren 7,9 7,9 7,9
KOH 45 5,2 5,2 5,2
Sonstiges 0,8 0,8 0,8
Wasser 10 7,5 7,5
Additiv 2,5 5 7,5
Sonstiges = Buntmetallinhibitor und Entschäumer
KOH 45 = 45 Gew.% Kaliumhydroxid (fest) in Wasser
Hierbei enthielten die Kühlschmierstoffe 1 - 3 als Additiv zur mikrobiologischen und physikalischen Stabilisierung 4-(Ethylphenyl) -benzylalkohol in drei unterschiedlichen Konzentrationen, die vorstehend in der Tabelle 1 angegeben sind.
Ausführungsbeispiele 4 - 6
Es wurden drei Kühlschmierstoffzusammensetzungen nach den üblichen Techniken erstellt, wobei die nachfolgend mit 4 bis 6 bezeichneten Kühlschmierstoffe folgende Zusammensetzung aufwiesen:
Ausführungsbeispiel
4 5 6
Mineralöl 51,4 51,4 48,9
Fettsäureester 10 10 10
Fettalkoholethoxylate 6,2 6,2 6,2
Petroleumsulfonate 6 6 6
aliphatische Fettsäuren 7,9 7,9 7,9
KOH 45 5,2 5,2 5,2
Sonstiges 0,8 0,8 0,8
Wasser 10 7,5 7,5
Additiv 2,5 5 7,5
Sonstiges = Buntmetallinhibitor und Entschäumer
KOH 45 = 45 Gew.% Kaliumhydroxid (fest) in Wasser
Hierbei enthielten die Kühlschmierstoffe 4 bis 6 als Additiv zur mikrobiologischen und physikalischen Stabilisierung 2-(o-Methylphenyl)-ethanol in drei unterschiedlichen Konzentrationen, die vorstehend in der Tabelle 2 angegeben sind.
Ausführungsbeispiele 7 - 9
Es wurden drei Kühlschmierstoffzusammensetzungen nach den üblichen Techniken erstellt, wobei die nachfolgend mit 7 bis 9 bezeichneten Kühlschmierstoffe folgende Zusammensetzung aufwiesen:
Ausführungsbeispiel
7 8 9
Mineralöl 51,4 51,4 48,9
Fettsäureester 10 10 10
Fettalkoholethoxylate 6,2 6,2 6,2
Petroleumsulfonate 6 6 6
aliphatische Fettsäuren 7,9 7,9 7,9
KOH 45 5,2 5,2 5,2
Sonstiges 0,8 0,8 0,8
Wasser 10 7,5 7,5
Additiv 2,5 5 7,5
Sonstiges = Buntmetallinhibitor und Entschäumer
KOH 45 = 45 Gew.% Kaliumhydroxid (fest) in Wasser
Hierbei enthielten die Kühlschmierstoffe 7 bis 9 als Additiv zur mikrobiologischen und physikalischen Stabilisierung 1-Phenyl-1-propanol in drei unterschiedlichen Konzentrationen, die vorstehend in der Tabelle 3 angegeben sind.
Ausführungsbeispiele 10 - 12
Es wurden drei Kühlschmierstoffzusammensetzungen nach den üblichen Techniken erstellt, wobei die nachfolgend mit 10 bis 12 bezeichneten Kühlschmierstoffe folgende Zusammensetzung aufwiesen:
Ausführungsbeispiel
10 11 12
Mineralöl 51,4 51,4 48,9
Fettsäureester 10 10 10
Fettalkoholethoxylate 6,2 6,2 6,2
Petroleumsulfonate 6 6 6
aliphatische Fettsäuren 7,9 7,9 7,9
KOH 45 5,2 5,2 5,2
Sonstiges 0,8 0,8 0,8
Wasser 10 7,5 7,5
Additiv 2,5 5 7,5
Sonstiges = Buntmetallinhibitor und Entschäumer
KOH 45 = 45 Gew.% Kaliumhydroxid (fest) in Wasser
Hierbei enthielten die Kühlschmierstoffe 10 bis 12 als Additiv zur mikrobiologischen und physikalischen Stabilisierung 1-Phenyl-2-propanol in drei unterschiedlichen Konzentrationen, die vorstehend in der Tabelle 4 angegeben sind.
Ausführungsbeispiele 13 - 15
Es wurden drei Kühlschmierstoffzusammensetzungen nach den üblichen Techniken erstellt, wobei die nachfolgend mit 13 bis 15 bezeichneten Kühlschmierstoffe folgende Zusammensetzung aufwiesen:
Ausführungsbeispiel
13 14 15
Mineralöl 51,4 51,4 48,9
Fettsäureester 10 10 10
Fettalkoholethoxylate 6,2 6,2 6,2
Petroleumsulfonate 6 6 6
aliphatische Fettsäuren 7,9 7,9 7,9
KOH 45 5,2 5,2 5,2
Sonstiges 0,8 0,8 0,8
Wasser 10 7,5 7,5
Additiv 2,5 5 7,5
Sonstiges = Buntmetallinhibitor und Entschäumer
KOH 45 = 45 Gew.% Kaliumhydroxid (fest) in Wasser
Hierbei enthielten die Kühlschmierstoffe 13 bis 15 als Additiv zur mikrobiologischen und physikalischen Stabilisierung 2-Phenyl-2-propanol in drei unterschiedlichen Konzentrationen, die vorstehend in der Tabelle 5 angegeben sind.
Ausführungsbeispiele 16 - 18
Es wurden drei Kühlschmierstoffzusammensetzungen nach den üblichen Techniken erstellt, wobei die nachfolgend mit 16 bis 18 bezeichneten Kühlschmierstoffe folgende Zusammensetzung aufwiesen:
Ausführungsbeispiel
16 17 18
Mineralöl 51,4 51,4 48,9
Fettsäureester 10 10 10
Fettalkoholethoxylate 6,2 6,2 6,2
Petroleumsulfonate 6 6 6
aliphatische Fettsäuren 7,9 7,9 7,9
KOH 45 5,2 5,2 5,2
Sonstiges 0,8 0,8 0,8
Wasser 10 7,5 7,5
Additiv 2,5 5 7,5
Sonstiges = Buntmetallinhibitor und Entschäumer
KOH 45 = 45 Gew.% Kaliumhydroxid (fest) in Wasser
Hierbei enthielten die Kühlschmierstoffe 16 bis 18 als Additiv zur mikrobiologischen und physikalischen Stabilisierung 2-Phenyl-1-propanol in drei unterschiedlichen Konzentrationen, die vorstehend in der Tabelle 6 angegeben sind.
Ausführungsbeispiele 19 - 21
Es wurden drei Kühlschmierstoffzusammensetzungen nach den üblichen Techniken erstellt, wobei die nachfolgend mit 19 bis 21 bezeichneten Kühlschmierstoffe folgende Zusammensetzung aufwiesen:
Ausführungsbeispiel
19 20 21
Mineralöl 51,4 51,4 48,9
Fettsäureester 10 10 10
Fettalkoholethoxylate 6,2 6,2 6,2
Petroleumsulfonate 6 6 6
aliphatische Fettsäuren 7,9 7,9 7,9
KOH 45 5,2 5,2 5,2
Sonstiges 0,8 0,8 0,8
Wasser 10 7,5 7,5
Additiv 2,5 5 7,5
Sonstiges = Buntmetallinhibitor und Entschäumer
KOH 45 = 45 Gew.% Kaliumhydroxid (fest) in Wasser
Hierbei enthielten die Kühlschmierstoffe 19 bis 21 als Additiv zur mikrobiologischen und physikalischen Stabilisierung 2-Phenyl-2-butanol in drei unterschiedlichen Konzentrationen, die vorstehend in der Tabelle 7 angegeben sind.
Ausführungsbeispiele 22 - 24
Es wurden drei Kühlschmierstoffzusammensetzungen nach den üblichen Techniken erstellt, wobei die nachfolgend mit 22 bis 24 bezeichneten Kühlschmierstoffe folgende Zusammensetzung aufwiesen:
Ausführungsbeispiel
22 23 24
Mineralöl 51,4 51,4 48,9
Fettsäureester 10 10 10
Fettalkoholethoxylate 6,2 6,2 6,2
Petroleumsulfonate 6 6 6
aliphatische Fettsäuren 7,9 7,9 7,9
KOH 45 5,2 5,2 5,2
Sonstiges 0,8 0,8 0,8
Wasser 10 7,5 7,5
Additiv 2,5 5 7,5
Sonstiges = Buntmetallinhibitor und Entschäumer
KOH 45 = 45 Gew.% Kaliumhydroxid (fest) in Wasser
Hierbei enthielten die Kühlschmierstoffe 22 bis 24 als Additiv zur mikrobiologischen und physikalischen Stabilisierung 3-Phenyl-2-butanol in drei unterschiedlichen Konzentrationen, die vorstehend in der Tabelle 8 angegeben sind.
Ausführungsbeispiele 25 - 33
Um einen Vergleich gegenüber den zuvor beschriebenen Ausführungsbeispielen 1 - 24 zu haben, wurden neun Kühlschmierstoffe 25 - 33 hergestellt, wobei diese Kühlschmierstoffe 25 - 33 als Additiv unterschiedliche, nicht im Rahmen der vorliegenden Anmeldung beanspruchte Additive bzw. kein Additiv aufwiesen, wie diese in den nachfolgenden Tabellen 9 a bis 9 c wiedergegeben sind.
Die Zusammensetzung der Kühlschmierstoffe 25 - 33 ist in den nachfolgenden Tabellen 9 a bis 9 c wiedergegeben.
Ausführungsbeispiel
25 26 27
Mineralöl 53,9 52 49
Fettsäureester 10 10 8
Fettalkoholethoxylate 6,2 6,2 6,2
Petroleumsulfonate 6 6 6
aliphatische Fettsäuren 7,9 7,9 7,9
KOH 45 5,2 5,2 5,2
Sonstiges 0,8 0,8 0,8
Wasser 10 6,9 6,9
Phenoxyethanol 0 5 10
Sonstiges = Buntmetallinhibitor und Entschäumer
KOH 45 = 45 Gew.% Kaliumhydroxid (fest) in Wasser
Ausführungsbeispiel
28 29 30
Mineralöl 52 49 52
Fettsäureester 10 8 10
Fettalkoholethoxylate 6,2 6,2 6,2
Petroleumsulfonate 6 6 6
aliphatische Fettsäuren 7,9 7,9 7,9
KOH 45 5,2 5,2 5,2
Sonstiges 0,8 0,8 0,8
Wasser 6,9 6,9 6,9
3-Phenyl-1-propanol 5 10 0
4-Phenyl-1-butanol 0 0 5
Sonstiges = Buntmetallinhibitor und Entschäumer
KOH 45 = 45 Gew.% Kaliumhydroxid (fest) in Wasser
Ausführungsbeispiel
31 32 33
Mineralöl 49 52 49
Fettsäureester 8 10 8
Fettalkoholethoxylate 6,2 6,2 6,2
Petroleumsulfonate 6 6 6
aliphatische Fettsäuren 7,9 7,9 7,9
KOH 45 5,2 5,2 5,2
Sonstiges 0,8 0,8 0,8
Wasser 6,9 6,9 6,9
4-Phenyl-1-butanol 10 0 0
2.2-Dimethyl-3-phenyl-
1-propanol 0 5 10
Sonstiges = Buntmetallinhibitor und Entschäumer
KOH 45 = 45 Gew.% Kaliumhydroxid (fest) in Wasser
Zu den zuvor angesprochenen Kühlschmierstoffen 1 - 33 ist festzuhalten, daß zur Herstellung dieser Kühlschmierstoffe die selben Mineralöle, Fettsäureester, Fettalkoholethoxylate, Petroleumsulfonate, aliphatische Fettsäuren, KOH 45, Entschäumer und Buntermetallinhibitoren verwendet wurden, wobei sich lediglich bei den Ausfünrungsbeispielen 1 - 24 die Konzentration und der chemische Aufbau des jeweiligen Additivs, bei dem es sich jedoch immer um einen Phenylalkohol der vorstehend konkret genannten Art handelte, unterscheiden, während in den Ausführungsbeispielen 25 - 33 dieses Additiv durch das herkömmliche Additiv Phenoxyethanol, 2.2-Dimethyl-3-phenyl-1-propanol sowie durch die linearen Alkohole 3-Phenyl-1-propanol und 4-Phenyl-1-butanol ersetzt wurde bzw. kein Additiv enthielt.
Zum Nachweis der Wirksamkeit des erfindungsgemäßen Additivs wurden die zuvor beschriebenen Kühlschmierstoffe 1 - 33 jeweils unmittelbar nach ihrer Herstellung als auch nach einer Lagerzeit von sechs Monaten untersucht. Hierbei wurde im Rahmen dieser Untersuchung die Dispersität einer 1 %-igen wäßrigen Frischemulsion mit dem "Zeta-Master" (Fa. Malvern) bestimmt. Desweiteren wurde der Phenolgehalt durch Kapillarzonenelektrophorese gemessen. Der Nachweis der antimikrobiellen Wirksamkeit verlief über die Abnahme des Gehaltes an ATP (Adenosintriphosphat) sowie über die Bestimmung der Pilze und Hefebesiedelung mittels Dip-slids der Firma Easycult. Für das ATP-Monitoring wurde das Luminometer "HY-LITE" (Fa. Merck) verwendet, gemessen nach Verdünnung der jeweils zu untersuchenden Emulsion im Verhältnis 1:100 mit Wasser.
Für die Testreihe zur Überprüfung der antimikrobiellen Effektivität wurden jeweils 95 ml einer 2 %igen, hochkontaminierten Standardemulsion mit 5 g der betreffenden Kühlschmierstoffkonzentrate 1 - 33 versetzt, wobei die Standardemulsion eine Gesamtkeimzahl von mindestens 107 kolonienbildenden Einheiten/ml aufwies, bestimmt mittels der zuvor genannten Dipslides bei 24 h Bebrütungsdauer und 30°C. Desweiteren enthielt die Standardemulsion die Höchstmenge an mit diesen Dip-slides nachweisbaren Pilzen und Hefen. Der ATP-Gehalt der Standardemulsion entsprach 2.300.000 RLE (Relative Lichteinheiten).
Nach einer Verweilzeit von 48 h, 72 h und 96 h bei Raumtemperatur erfolgten jeweils die weiteren ATP-Messungen sowie die Ermittlung der Pilzbesiedelungen. Zu deren Nachweis wurden die mit dem jeweiligen Kühlschmierstoff benetzten Dip-slides während 120 Stunden bei einer Temperatur von 30 °C bebrütet. Die Bestimmung des Hefenbefalls erfolgte nach 96 h Einwirkzeit unter den gleichen Inkubationsbedingungen wie für Pilze angegeben.
Der Phenolgehalt, in Frischemulsionen aufgrund der hohen Reinheit des verwendeten Phenoxyethanols < 1 ppm, wurde nach einer Einwirkzeit von 48 h erneut ermittelt.
Nach einer Lagerzeit von sechs Monaten bei Raumtemperatur wurde ein Großteil der zuvor aufgeführten Kühlschmierstoffe 1 - 33 erneut untersucht.
Die Meßergebnisse sind in den folgenden Tabellen I bis VIII wiedergegeben.
A. Ergebnisse unmittelbar nach der Herstellung
Figure 00370001
Figure 00380001
Figure 00390001
Figure 00400001
ATP-Messungen und Bestimmung des Pilzbefalls nach einer Einwirkzeit von 96 h
KSS-Nr. Bezeichnung des Wirkstoffes WG-Gehalt [%] ATP [RLE] x 1.000 Rest-ATP-Aktivität [%] Pilzbefall
2 4-(Ethylphenyl)-benzylalkohol 5.0 370 8.8
3 7.5 11.2 0.27
5 2-(o-Methylphenyl)-ethanol 5.0 530 12.6
6 7.5 15.3 0.36
8 1-Phenyl-1-propanol 5.0 2.300 54.8
9 7.5 1.2 0.31
11 1-Phenyl-2-propanol 5.0 5.700 136
12 7.5 17.1 0.41
14 2-Phenyl-2-propanol 5.0 410 9.8
15 7.5 9.1 0.22
17 2-Phenyl-1-propanol 5.0 170 4.0
18 7.5 7.5 0.18
20 2-Phenyl-2-butanol 5.0 830 20
21 7.5 12.4 0.30
23 3-Phenyl-2-butanol 5.0 640 15
24 7.5 14.3 0.34
25 Kein Wirkstoff enthalten 0 4.200 100
26 Phenoxyethanol 5.0 5.300 126
27 10.0 3.800 90
28 3-Phenyl-1-propanol 5.0 3.980 95
29 10.0 3.360 80
30 4-Phenyl-1-butanol 5.0 4.500 107
31 10.0 3.100 74 +
32 2.2.-Dimethyl-3-phenyl-1-propanol 15.0 4.820 115
33 10.0 840 20
Auswertung der Hefenbesiedelungen nach 96 h Einwirkzeit
KSS-Nr. Bezeichnung des Wirkstoffes WG-Gehalt [%] Hefebefall [KBE/ml]
3 4-(Ethylphenyl)-benzylalkohol 7.5 o.B.
6 2-(o-Methylphenyl)-ethanol 7.5 o.B.
9 1-Phenyl-1-propanol 7.5 o.B.
12 1-Phenyl-2-propanol 7.5 o.B.
15 2-Phenyl-2-propanol 7.5 o.B.
18 2-Phenyl-1-propanol 7.5 o.B.
21 2-Phenyl-2-butanol 7.5 o.B
24 3-Phenyl-2-butanol 7.5 o.B.
25 Kein Wirkstoff enthalten 0 105
27 Phenoxyethanol 10.0 o.B.
29 3-Phenyl-1-propanol 10.0 104
31 4-Phenyl-1-butanol 10.0 104
33 2.2-Dimethyl-3-phenyl-1-propanol 10.0 106
B. Ergebnisse nach 6-monatiger Lagerung bei Raumtemperatur
Figure 00420001
ATP-Messungen und Bestimmung des Pilzbefalls nach einer Einwirkzeit von 72
KSS-Nr. Bezeichnung des Wirkstoffes WG-Gehalt [%] ATP [RLE] x 1.000 Rest-ATP-Aktivität [%] Pilzbefall
2 4-(Ethylphenyl)-benzylalkohol 5.0 580 11
3 7.5 47.7 0.9
5 2-(o-Methylphenyl)-ethanol 5.0 930 18
6 7.5 84.8 1.6 ()
8 1-Phenyl-1-propanol 5.0 538 10
9 7.5 100.7 1.9
11 1-Phenyl-2-propanol 5.0 1430 27
12 7.5 138 2.6
14 2-Phenyl-2-propanol 5.0 901 17 ()
15 7.5 111 2.1
17 2-Phenyl-1-propanol 5.0 265 5.0
18 7.5 31.8 0.6
20 2-Phenyl-2-butanol 5.0 1000 19
21 7.5 87.5 1.7
23 3-Phenyl-2-butanol 5.0 980 18
24 7.5 90.4 1.7
25 Kein Wirkstoff enthalten 0 530 100
26 Phenoxyethanol 5.0 4820 91
27 10.0 2800 53 + (+)
28 3-Phenyl-1-propanol 5.0 4560 86
29 10.0 2490 47
30 4-Phenyl-1-butanol 5.0 4700 89
31 10.0 1590 39
32 2.2.-Dimethyl-3-phenyl-5.0 1-propanol 4000 75
33 10.0 1750 33
Auswertung der Hefenbesiedelungen nach 96 h Einwirkzeit
KSS-Nr. Bezeichnung des Wirkstoffes WG-Gehalt [%] Hefebefal [KBE/ml]
3 4-(Ethylphenyl)-benzylalkohol 7.5 o.B.
6 2-(o-Methylphenyl)-ethanol 7.5 o.B.
9 1-Phenyl-1-propanol 7.5 o.B.
12 1-Phenyl-2-propanol 7.5 o.B.
15 2-Phenyl-2-propanol 7.5 o.B.
18 2-Phenyl-1-propanol 7.5 o.B.
21 2-Phenyl-2-butanol 7.5 o.B
24 3-Phenyl-2-butanol 7.5 o.B.
25 Kein Wirkstoff enthalten 0 10 6
27 Phenoxyethanol 10.0 10 3
29 3-Phenyl-1-propanol 10.0 10 4
31 4-Phenyl-1-butanol 10.0 10 5
33 2.2-Dimethyl-3-phenyl-1-propanol 10.0 10 6
Ausführungsbeispiele 34 - 37
Es wurden vier weitere Schmierstoffe 34 - 37 nach den üblichen Techniken erstellt, wobei die Schmierstoffe 34 - 37 die in Tabelle 10 wiedergegebenen Bestandteile aufwiesen:
Ausführungsbeispiel
34 35 36 37
Mineralöl 94,5 84,5 94,5 84,5
Fettsäureester 3,4 3,4 3,4 3,4
Petroleumsulfonate 0,7 0,7 0,7 0,7
Sonstiges 1,4 1,4 1,4 1,4
Additiv 0 10 0 10
Sonstiges = Entschäumer, Buntmetallinhibitor, Antinebelzusatz und Antioxidans
Der Schmierstoff gemäß Ausführungsbeispiel 35 enthielt als Additiv 1-Phenyl-1-propanol, während im Ausführungsbeispiel 37 als Additiv 1-Phenyl-2-propanol enthalten war.
Der jeweilige Schmierstoff wurde unmittelbar nach der Herstellung visuell beurteilt. Hierbei ist festzustellen, daß bei einer Schmierstofftemperatur von 50 °C die Schmierstoffe 34 und 36 eine Phasentrennung zeigten, wahrend die Schmierstoffe 35 und 37 eine homogene, klare Flüssigkeit ausbildeten.
Bei einer Schmierstofftemperatur von 20 °C waren die Schmierstoffe 34 und 36 trübe, wahrend die Schmierstoffe 35 und 37 klar (blank) blieben.
Bei einer Schmierstofftemperatur von 0 °C waren die Schmierstoffe 34 und 36 nach wie vor trübe, während die Schmierstoffe 35 und 37 klar blieben.
Ausführungsbeispiele 38 - 41
Es wurden vier Schmierstoffe 38 - 41 nach den üblichen Techniken erstellt, wobei die Schmierstoffe 38 - 41 die in Tabelle 11 wiedergegebenen Bestandteile aufwiesen:
Ausführungsbeispiel
38 39 40 41
Glykole/Polyglykole 44,2 40,2 44,2 40,2
aliphatische Fettsäuren 14 14 14 14
Borverbindungen 8,5 8,5 8,5 8,5
KOH 45 8 8 8 8
Sonstiges 9,7 9,7 9,7 9,7
Wasser 15,6 9,6 15,6 9,6
Additiv 0 10 0 10
Sonstiges = Entschäumer, Buntmetallinhibitor, Netzmittel und Geruchsverbesserer
KOH 45 = 45 Gew.% Kaliumhydroxid (fest) in Wasser
Der Schmierstoff gemäß Ausführungsbeispiel 39 enthielt als Additiv 1-Phenyl-1-propanol, während im Ausführungsbeispiel 41 als Additiv 1-Phenyl-2-propanol enthalten war.
Der jeweilige Schmierstoff wurde unmittelbar nach der Herstellung visuell beurteilt. Hierbei ist festzustellen, daß bei einer Schmierstofftemperatur von 50 °C die Schmierstoffe 38 und 40 eine Phasentrennung Zeigten, während die Schmierstoffe 39 und 41 eine homogene klare Flüssigkeit ausbildeten.
Bei einer Schmierstofftemperatur von 20 °C waren die Schmierstoffe 38 und 40 trübe, während die Schmierstoffe 39 und 41 klar blieben.
Alle in den Tabellen 1 bis 11 wiedergegebenen Angaben zu den Einzelbestandteile der Kühlschmierstoffe bzw. Schmierstoffe stellen Gewichtsprozent dar.

Claims (26)

  1. Schmierstoff für die mechanische Bearbeitung bzw. Verarbeitung von Werkstoffen, enthaltend mindestens eine Basisverbindung sowie mindestens ein Additiv zur physikalischen und/oder mikrobiologischen Stabilisierung des Schmierstoffes auf der Basis eines aromatischen Alkohols, dadurch gekennzeichnet, daß das Additiv ein aromatischer Alkohol der Formel I ist
    Figure 00480001
    , und daß in Formel I
    R1 bis R5 Wasserstoff, eine lineare und/oder verzweigte C1-C4-Alkylgruppe und
    m eine ganze Zahl zwischen 0 und 4 bedeuten, wobei jedoch R1 bis R5 nicht gleichzeitig Wasserstoff ist.
  2. Schmierstoff nach Anspruch 1, dadurch gekennzeichnet, daß der Schmierstoff als Additiv zur physikalischen und/oder mikrobiologischen Stabilisierung ein einziges Additiv auf der Basis der Formel I enthält.
  3. Schmierstoff nach Anspruch 1 oder 2, dadurch gekennzeichnet, daß das Additiv die chemische Strukturformel
    Figure 00490001
    besitzt, wobei in Formel II
    R3, R4, R5 ein Wasserstoff und/oder eine lineare oder verzweigte C1-C4-Alkylgruppe, jedoch gleichzeitig nicht alle Wasserstoff und
    o eine ganze Zahl zwischen 0 und 4 bedeuten.
  4. Schmierstoff nach einem der vorangehenden Ansprüche, dadurch gekennzeichnet, daß das Additiv ein C1-C4-Alkyl-2-phenyl-1-ethanol, ein 1-Phenyl-1-ethanol, ein C1-C4-Alkyl-1-phenyl-1-ethanol, ein 1-Phenyl-1-propanol, ein C1-C4-Alkyl-1-phenyl-1-propanol, ein 2-Phenyl-2-propanol, ein C1-C4-Alkyl-2-phenyl-2-propanol, ein C1-C4-Alkyl-3-phenyl-1-propanol, ein 1-Phenyl-1-butanol, ein C1-C4-Alkyl-1-phenyl-1-butanol, ein 4-Phenyl-2-butanol, ein C1-C4-Alkyl-4-phenyl-2-butanol, ein 2-Phenyl-2-butanol, ein C1-C4-Alkyl-2-phenyl-2-butanol, ein 5-Phenyl-3-pentanol, ein C1-C4-Alkyl-5-phenyl-3-pentanol, ein 1-Phenyl-1-pentanol und/oder ein C1-C4-Alkyl-1-phenyl-1-pentanol ist.
  5. Schmierstoff nach einem der vorangehenden Ansprüche, dadurch gekennzeichnet, daß in dem Schmierstoff oder in einem entsprechenden Schmierstoffkonzentrat das Additiv in einer Konzentration zwischen 0,5 Gew.% und 20 Gew.%, vorzugsweise in einer Konzentration zwischen 3 Gew.% und 18 Gew.%, vorhanden ist.
  6. Schmierstoff nach Anspruch 5, dadurch gekennzeichnet, daß der Schmierstoff ein Kühlschmierstoff ist.
  7. Schmierstoff nach Anspruch 6, dadurch gekennzeichnet, daß der Schmierstoff ein wassermischbarer Kühlschmierstoff ist und desweiteren mindestens einen Bmulgator enthält.
  8. Schmierstoff nach Anspruch 7, dadurch gekennzeichnet, daß in dem Schmierstoff ein nichtionischer und/oder anionischer Emulgator vorhanden ist.
  9. Schmierstoff nach Anspruch 7 oder 8, dadurch gekennzeichnet, daß in dem Schmierstoff als nichtionischer Emulgator ein alkoxylierter, insbesondere ethoxylierter Fettalkohol, eine alkoxylierte, insbesondere ethoxylierte Fettsäure und/oder eine alkoxylierte, insbesondere ethoxylierte Alkyl-Arylverbindung und/oder ein alkoxylierter, insbesondere ethoxylierter, Alkyl-/Arylphosphorsäurerester vorhanden ist.
  10. Schmierstoff nach einem der Ansprüche 7 bis 9, dadurch gekennzeichnet, daß in dem Schmierstoff als anionischer Emulgator eine Alkaliseife, eine Alkanolaminseife, ein Petroleumsulfonat, ein sulfatierter Fettsäureester und/oder ein Alkanolamin enthalten ist.
  11. Schmierstoff nach einem der Ansprüche 7 bis 10, dadurch gekennzeichnet, daß die Konzentration des Emulgators zwischen 0,5 Gew.% und 50 Gew.%, vorzugsweise zwischen 3 Gew.% und 30 Gew.%, bezogen auf den anwendungsfertigen Schmierstoff oder auf das Kühlschmierstoffkonzentrat variiert.
  12. Schmierstoff nach einem der vorangehenden Ansprüche, dadurch gekennzeichnet, daß der Schmierstoff desweiteren mindestens eine Korrosionsschutzkomponente aufweist.
  13. Schmierstoff nach Anspruch 12, dadurch gekennzeichnet, daß die Konzentration der Korrosionsschutzkomponente im anwendungsfertigen Schmierstoff zwischen 3 Gew.% und 50 Gew.%, insbesondere zwischen 5 Gew.% und 30 Gew.%, variiert.
  14. Schmierstoff nach einem der vorangehenden Ansprüche, dadurch gekennzeichnet, daß der Schmierstoff weitere Zusätze in einer Konzentration zwischen 0,2 Gew.% und 30 Gew.% enthält, wobei die weiteren Zusätze den Schmierstoff bei einem hohen Anwendungsdruck schützen und/oder einem Verschleiß der für die Metallbearbeitung eingesetzten Werkzeuge verhindern.
  15. Schmierstoff nach einem der vorangehenden Ansprüche, dadurch gekennzeichnet, daß in dem Schmierstoff noch Fungizide, Bakterizide, Entschäumer, Antioxidantien, Buntmetallinhibitoren, Lösungsvermittler, Antinebelzusätze, und/oder Geruchsverbesserer enthalten sind.
  16. Schmierstoff nach einem der vorangehenden Ansprüche, dadurch gekennzeichnet, daß der Schmierstoff als Basisverbindung mindestens ein Mineralöl, mindestens einen Fettsäureester, mindestens ein Glykol, mindestens ein Polyglykol und/oder mindestens einen Fettalkohol aufweist.
  17. Schmierstoff nach Anspruch 16, dadurch gekennzeichnet, daß der Schmierstoff als Basisverbindung mindestens ein Mineralöl mit einer Viskosität zwischen 2 und 1.500 mm2/s und einer Dichte zwischen 800 kg/m3 und 950 kg/m3 aufweist.
  18. Schmierstoff nach Anspruch 16 oder 17, dadurch gekennzeichnet, daß der Schmierstoff als Basisverbindung mindestens ein Mineralöl mit einem Aromatengehalt kleiner als 10 Gew.%, einem Gehalt an polycyklischen Aromaten kleiner als 3 Gew.% und eine Konzentration an Benz[a]pyren kleiner als 3 ppm aufweist.
  19. Schmierstoff nach einem der vorangehenden Ansprüche, dadurch gekennzeichnet, daß der Schmierstoff als Basisverbindung mindestens einen nativen und/oder synthetischen Fettsäureester enthält, wobei die Viskosität des Fettsäureesters zwischen 20 mm2/s bis 100 mm2/s variiert und die Neutralisationszahl kleiner als 15 ist.
  20. Schmierstoff nach einem der vorangehenden Ansprüche, dadurch gekennzeichnet, daß der Schmierstoff als Basisverbindung mindestens ein Glykol und/oder Polyglykol enthält, wobei das Molekulargewicht des Glykols bzw. Polyglykols zwischen 60 und 30.000 variiert.
  21. Schmierstoff nach einem der vorangehenden Ansprüche, dadurch gekennzeichnet, daß der Schmierstoff als Basisverbindung mindestens einen Fettalkohol enthält, wobei die Jodzahl des Fettalkohols zwischen 40 und 130 variiert.
  22. Schmierstoff nach einem der vorangehenden Ansprüche, dadurch gekennzeichnet, daß der Schmierstoff ein mit Wasser vermischter Kühlschmierstoff ist und die Basisverbindung im Kühlschmierstoff als Tropfchen mit einer Größe kleiner als 100 nm vorliegt.
  23. Schmierstoff nach Anspruch 22, dadurch gekennzeichnet, daß die Tröpfchen des Kühlschmierstoffes eine Größe zwischen 90 nm und 35 nm aufweisen.
  24. Additiv zur physikalischen und/oder mikrobiologischen Stabilisierung eines Schmierstoffes nach einem der vorangehenden Ansprüche, dadurch gekennzeichnet, daß das Additiv ein aromatischer Alkohol der Formel I ist
    Figure 00540001
    , und daß in Formel I
    R1 bis R5 Wasserstoff, eine lineare und/oder verzweigte C1-C4-Alkylgruppe und
    m eine ganze Zahl zwischen 0 und 4 bedeuten, wobei jedoch R1 bis R5 nicht gleichzeitig Wasserstoff ist.
  25. Additiv nach Anspruch 24, dadurch gekennzeichnet, daß das Additiv die chemische Strukturformel
    Figure 00540002
    besitzt, wobei in Formel II
    R3, R4, R5 ein Wasserstoff und/oder eine lineare oder verzweigte C1-C4-Alkylgruppe, jedoch gleichzeitig nicht alle Wasserstoff und
    o eine ganze Zahl zwischen 0 und 4 bedeuten.
  26. Additiv nach einem der Ansprüche 24 oder 25, dadurch gekennzeichnet, daß das Additiv ein C1-C4-Alkyl-2-phenyl-1-ethanol, ein 1-Phenyl-1-ethanol, ein C1-C4-Alkyl-1-phenyl-1-ethanol, ein 1-Phenyl-1-propanol, ein C1-C4-Alkyl-1-phenyl-1-propanol, ein 2-Phenyl-2-propanol, ein C1-C4-Alkyl-2-phenyl-2-propanol, ein C1-C4-Alkyl-3-phenyl-1-propanol, ein 1-Phenyl-1-butanol, ein C1-C4-Alkyl-1-phenyl-1-butanol, ein 4-Phe-nyl-2-butanol, ein C1-C4-Alkyl-4-phenyl-2-butanol, ein 2-Phenyl-2-butanol, ein C1-C4-Alkyl-2-phenyl-2-butanol, ein 5-Phenyl-3-pentanol, ein C1-C4-Alkyl-5-phenyl-3-pentanol, ein 1-Phenyl-1-pentanol und/oder ein C1-C4-Alkyl-1-phenyl-1-pentanol ist.
EP98122266A 1997-11-26 1998-11-24 Schmierstoff für die mechanische Bearbeitung bzw. Verarbeitung von Werkstoffen sowie Additiv für einen Schmierstoff Withdrawn EP0919607A3 (de)

Applications Claiming Priority (2)

Application Number Priority Date Filing Date Title
DE19752370 1997-11-26
DE19752370 1997-11-26

Publications (2)

Publication Number Publication Date
EP0919607A2 true EP0919607A2 (de) 1999-06-02
EP0919607A3 EP0919607A3 (de) 2000-08-09

Family

ID=7849859

Family Applications (1)

Application Number Title Priority Date Filing Date
EP98122266A Withdrawn EP0919607A3 (de) 1997-11-26 1998-11-24 Schmierstoff für die mechanische Bearbeitung bzw. Verarbeitung von Werkstoffen sowie Additiv für einen Schmierstoff

Country Status (2)

Country Link
EP (1) EP0919607A3 (de)
DE (1) DE19854151A1 (de)

Cited By (1)

* Cited by examiner, † Cited by third party
Publication number Priority date Publication date Assignee Title
EP0976493A3 (de) * 1998-07-24 2002-12-18 Rhenus Lub GmbH & Co. KG Verfahren zur Kühlung und/oder Schmierung

Families Citing this family (2)

* Cited by examiner, † Cited by third party
Publication number Priority date Publication date Assignee Title
DE102011077654B4 (de) * 2011-06-16 2020-12-03 BSH Hausgeräte GmbH Verfahren zur Herstellung eines Blechteils durch Umformen
CN110747688B (zh) * 2019-10-14 2023-03-24 浙江理工大学 矿物油类的造纸烘缸用乳液剥离剂组合物及其制备方法

Family Cites Families (9)

* Cited by examiner, † Cited by third party
Publication number Priority date Publication date Assignee Title
DE1642026B2 (de) * 1967-08-03 1978-08-24 Bayer Ag, 5090 Leverkusen Mikrobizide Mittel
DE2020349A1 (de) * 1970-04-25 1971-11-11 Goldschmidt Ag Th Biocide Zubereitung
CH560658A5 (de) * 1970-11-20 1975-04-15 Lilly Co Eli
DE2405004C3 (de) * 1974-02-02 1979-11-29 Haarmann & Reimer Gmbh, 3450 Holzminden Desodorierende Mittel
US4446161A (en) * 1982-03-29 1984-05-01 General Foods Corporation Aromatic, monohydric alcohols as preservatives for foods
US4770670A (en) * 1986-12-22 1988-09-13 Arco Chemical Company Fire resistant microemulsions containing phenyl alcohols as cosurfactants
IT1223113B (it) * 1987-11-13 1990-09-12 Ross Sergio Del Fluidi acquosi per lavorazioni meccaniche
DE4217690C1 (en) * 1992-05-25 1993-09-23 Schuelke & Mayr Gmbh, 2000 Norderstedt, De Disinfectant for use in animal stalls - contains aldehyde(s), alkyl:alkanol(s) and phenoxy:alkanol(s)
DE4447361A1 (de) * 1994-12-21 1996-06-27 Schuelke & Mayr Gmbh Biozide Alkohole, ihre Herstellung und ihre Verwendung

Cited By (1)

* Cited by examiner, † Cited by third party
Publication number Priority date Publication date Assignee Title
EP0976493A3 (de) * 1998-07-24 2002-12-18 Rhenus Lub GmbH & Co. KG Verfahren zur Kühlung und/oder Schmierung

Also Published As

Publication number Publication date
EP0919607A3 (de) 2000-08-09
DE19854151A1 (de) 1999-09-09

Similar Documents

Publication Publication Date Title
EP1102830B1 (de) Wassermischbares kühlschmierstoff-konzentrat
EP3114254B1 (de) Verwendung von n-methyl-n-acylglucamin als korrosionsinhibitor
DE69820429T2 (de) Gegen Hydrolyse beständiges Borat enthaltendes Handschaltgetriebe-Schmieröladditiv zum Erhöhen der Dauerhaftigkeit von Synchrongetrieben
DE3688442T2 (de) Waessrige fluessigkeiten.
EP1652909B1 (de) Korrosionsschutzmittel für funktionelle Flüssigkeiten, wassermischbares Konzentrat und dessen Verwendung
DE69525723T2 (de) Motorölzusammensetzung
WO2015131987A1 (de) Korrosionsinhibierende zusammensetzungen
DE2558201B2 (de) Schmierölgemisch
DE2833171A1 (de) Lagerbestaendige schmieroelmasse
DE3609039A1 (de) Kaltwalzoel fuer metallische materialien
DE112015000678T5 (de) Wasserverdünnbarer Hochleistungsschmiersatz für Metallbearbeitungsanwendungen mit mehreren Metallen
DE3611027A1 (de) Kaltwalzoel fuer stahl
DE60105777T2 (de) Wasserlösliche warmwalzzusamensetzungen für aluminium und aluminiumlegierungen
EP2110426B1 (de) Metallbearbeitungsflüssigkeit und metallbearbeitungsverfahren
DE69317643T2 (de) Flammfestes Hydrauliköl
DE19956237A1 (de) Emulgatorsystem und dieses enthaltende Metallbearbeitungsemulsion
DE102016208486A1 (de) Metallbearbeitungs- und Hydraulikflüssigkeit
EP3036313A2 (de) Additiv für ölbasierte schmiermittel mit verbesserten extreme-pressure-eigenschaften
DE2524543A1 (de) Bakterizid wirkender zusatz fuer oel-in-wasser-emulsionen
DE2821386C3 (de) Antioxidationsmittelsystem für Schmieröle
EP0919607A2 (de) Schmierstoff für die mechanische Bearbeitung bzw. Verarbeitung von Werkstoffen sowie Additiv für einen Schmierstoff
EP0658182B1 (de) Aminfreie kühlschmierstoffe
EP1273653A1 (de) Etherdiamine oder N-Alkyl-Diaminopropan oder deren Mischung als Schmiermittel
DE102007004325A1 (de) Kühlschmierstoff für die wässrige Zerspanung von aluminiumlegiertem Magnesium
EP2796447A1 (de) Neue schwefelbrückenhaltige Verbindungen, Verfahren zu deren Herstellung und deren Verwendung

Legal Events

Date Code Title Description
PUAI Public reference made under article 153(3) epc to a published international application that has entered the european phase

Free format text: ORIGINAL CODE: 0009012

AK Designated contracting states

Kind code of ref document: A2

Designated state(s): AT BE CH CY DE DK ES FI FR GB GR IE IT LI LU MC NL PT SE

AX Request for extension of the european patent

Free format text: AL;LT;LV;MK;RO;SI

RIC1 Information provided on ipc code assigned before grant

Free format text: 7C 10M 173/00 A, 7C 10M 129/06 B, 7A 01N 31/04 B, 7C 07C 33/20 B, 7C 10N 30:16 Z

RAP3 Party data changed (applicant data changed or rights of an application transferred)

Owner name: RHENUS LUB GMBH & CO. KG

PUAL Search report despatched

Free format text: ORIGINAL CODE: 0009013

AK Designated contracting states

Kind code of ref document: A3

Designated state(s): AT BE CH CY DE DK ES FI FR GB GR IE IT LI LU MC NL PT SE

AX Request for extension of the european patent

Free format text: AL;LT;LV;MK;RO;SI

17P Request for examination filed

Effective date: 20010131

AKX Designation fees paid

Free format text: AT BE CH CY DE DK ES FI FR GB GR IE IT LI LU MC NL PT SE

17Q First examination report despatched

Effective date: 20040826

STAA Information on the status of an ep patent application or granted ep patent

Free format text: STATUS: THE APPLICATION IS DEEMED TO BE WITHDRAWN

18D Application deemed to be withdrawn

Effective date: 20050601