EP0903399A1 - Schmierstoffzusammensetzungen mit Thiophosphorsäureestern und Dithiophosphorsäureestern - Google Patents
Schmierstoffzusammensetzungen mit Thiophosphorsäureestern und Dithiophosphorsäureestern Download PDFInfo
- Publication number
- EP0903399A1 EP0903399A1 EP98810894A EP98810894A EP0903399A1 EP 0903399 A1 EP0903399 A1 EP 0903399A1 EP 98810894 A EP98810894 A EP 98810894A EP 98810894 A EP98810894 A EP 98810894A EP 0903399 A1 EP0903399 A1 EP 0903399A1
- Authority
- EP
- European Patent Office
- Prior art keywords
- formula
- ester
- thiophosphoric
- alkyl
- composition according
- Prior art date
- Legal status (The legal status is an assumption and is not a legal conclusion. Google has not performed a legal analysis and makes no representation as to the accuracy of the status listed.)
- Granted
Links
- 0 C*(*(C)(C)C)N Chemical compound C*(*(C)(C)C)N 0.000 description 1
Classifications
-
- C—CHEMISTRY; METALLURGY
- C10—PETROLEUM, GAS OR COKE INDUSTRIES; TECHNICAL GASES CONTAINING CARBON MONOXIDE; FUELS; LUBRICANTS; PEAT
- C10M—LUBRICATING COMPOSITIONS; USE OF CHEMICAL SUBSTANCES EITHER ALONE OR AS LUBRICATING INGREDIENTS IN A LUBRICATING COMPOSITION
- C10M141/00—Lubricating compositions characterised by the additive being a mixture of two or more compounds covered by more than one of the main groups C10M125/00 - C10M139/00, each of these compounds being essential
- C10M141/10—Lubricating compositions characterised by the additive being a mixture of two or more compounds covered by more than one of the main groups C10M125/00 - C10M139/00, each of these compounds being essential at least one of them being an organic phosphorus-containing compound
-
- C—CHEMISTRY; METALLURGY
- C10—PETROLEUM, GAS OR COKE INDUSTRIES; TECHNICAL GASES CONTAINING CARBON MONOXIDE; FUELS; LUBRICANTS; PEAT
- C10M—LUBRICATING COMPOSITIONS; USE OF CHEMICAL SUBSTANCES EITHER ALONE OR AS LUBRICATING INGREDIENTS IN A LUBRICATING COMPOSITION
- C10M129/00—Lubricating compositions characterised by the additive being an organic non-macromolecular compound containing oxygen
- C10M129/02—Lubricating compositions characterised by the additive being an organic non-macromolecular compound containing oxygen having a carbon chain of less than 30 atoms
- C10M129/16—Ethers
- C10M129/18—Epoxides
-
- C—CHEMISTRY; METALLURGY
- C10—PETROLEUM, GAS OR COKE INDUSTRIES; TECHNICAL GASES CONTAINING CARBON MONOXIDE; FUELS; LUBRICANTS; PEAT
- C10M—LUBRICATING COMPOSITIONS; USE OF CHEMICAL SUBSTANCES EITHER ALONE OR AS LUBRICATING INGREDIENTS IN A LUBRICATING COMPOSITION
- C10M129/00—Lubricating compositions characterised by the additive being an organic non-macromolecular compound containing oxygen
- C10M129/02—Lubricating compositions characterised by the additive being an organic non-macromolecular compound containing oxygen having a carbon chain of less than 30 atoms
- C10M129/68—Esters
- C10M129/76—Esters containing free hydroxy or carboxyl groups
-
- C—CHEMISTRY; METALLURGY
- C10—PETROLEUM, GAS OR COKE INDUSTRIES; TECHNICAL GASES CONTAINING CARBON MONOXIDE; FUELS; LUBRICANTS; PEAT
- C10M—LUBRICATING COMPOSITIONS; USE OF CHEMICAL SUBSTANCES EITHER ALONE OR AS LUBRICATING INGREDIENTS IN A LUBRICATING COMPOSITION
- C10M133/00—Lubricating compositions characterised by the additive being an organic non-macromolecular compound containing nitrogen
- C10M133/02—Lubricating compositions characterised by the additive being an organic non-macromolecular compound containing nitrogen having a carbon chain of less than 30 atoms
- C10M133/04—Amines, e.g. polyalkylene polyamines; Quaternary amines
-
- C—CHEMISTRY; METALLURGY
- C10—PETROLEUM, GAS OR COKE INDUSTRIES; TECHNICAL GASES CONTAINING CARBON MONOXIDE; FUELS; LUBRICANTS; PEAT
- C10M—LUBRICATING COMPOSITIONS; USE OF CHEMICAL SUBSTANCES EITHER ALONE OR AS LUBRICATING INGREDIENTS IN A LUBRICATING COMPOSITION
- C10M133/00—Lubricating compositions characterised by the additive being an organic non-macromolecular compound containing nitrogen
- C10M133/02—Lubricating compositions characterised by the additive being an organic non-macromolecular compound containing nitrogen having a carbon chain of less than 30 atoms
- C10M133/04—Amines, e.g. polyalkylene polyamines; Quaternary amines
- C10M133/06—Amines, e.g. polyalkylene polyamines; Quaternary amines having amino groups bound to acyclic or cycloaliphatic carbon atoms
- C10M133/08—Amines, e.g. polyalkylene polyamines; Quaternary amines having amino groups bound to acyclic or cycloaliphatic carbon atoms containing hydroxy groups
-
- C—CHEMISTRY; METALLURGY
- C10—PETROLEUM, GAS OR COKE INDUSTRIES; TECHNICAL GASES CONTAINING CARBON MONOXIDE; FUELS; LUBRICANTS; PEAT
- C10M—LUBRICATING COMPOSITIONS; USE OF CHEMICAL SUBSTANCES EITHER ALONE OR AS LUBRICATING INGREDIENTS IN A LUBRICATING COMPOSITION
- C10M137/00—Lubricating compositions characterised by the additive being an organic non-macromolecular compound containing phosphorus
- C10M137/02—Lubricating compositions characterised by the additive being an organic non-macromolecular compound containing phosphorus having no phosphorus-to-carbon bond
- C10M137/04—Phosphate esters
- C10M137/08—Ammonium or amine salts
-
- C—CHEMISTRY; METALLURGY
- C10—PETROLEUM, GAS OR COKE INDUSTRIES; TECHNICAL GASES CONTAINING CARBON MONOXIDE; FUELS; LUBRICANTS; PEAT
- C10M—LUBRICATING COMPOSITIONS; USE OF CHEMICAL SUBSTANCES EITHER ALONE OR AS LUBRICATING INGREDIENTS IN A LUBRICATING COMPOSITION
- C10M137/00—Lubricating compositions characterised by the additive being an organic non-macromolecular compound containing phosphorus
- C10M137/02—Lubricating compositions characterised by the additive being an organic non-macromolecular compound containing phosphorus having no phosphorus-to-carbon bond
- C10M137/04—Phosphate esters
- C10M137/10—Thio derivatives
- C10M137/105—Thio derivatives not containing metal
-
- C—CHEMISTRY; METALLURGY
- C10—PETROLEUM, GAS OR COKE INDUSTRIES; TECHNICAL GASES CONTAINING CARBON MONOXIDE; FUELS; LUBRICANTS; PEAT
- C10M—LUBRICATING COMPOSITIONS; USE OF CHEMICAL SUBSTANCES EITHER ALONE OR AS LUBRICATING INGREDIENTS IN A LUBRICATING COMPOSITION
- C10M2207/00—Organic non-macromolecular hydrocarbon compounds containing hydrogen, carbon and oxygen as ingredients in lubricant compositions
- C10M2207/04—Ethers; Acetals; Ortho-esters; Ortho-carbonates
- C10M2207/042—Epoxides
-
- C—CHEMISTRY; METALLURGY
- C10—PETROLEUM, GAS OR COKE INDUSTRIES; TECHNICAL GASES CONTAINING CARBON MONOXIDE; FUELS; LUBRICANTS; PEAT
- C10M—LUBRICATING COMPOSITIONS; USE OF CHEMICAL SUBSTANCES EITHER ALONE OR AS LUBRICATING INGREDIENTS IN A LUBRICATING COMPOSITION
- C10M2207/00—Organic non-macromolecular hydrocarbon compounds containing hydrogen, carbon and oxygen as ingredients in lubricant compositions
- C10M2207/28—Esters
- C10M2207/287—Partial esters
-
- C—CHEMISTRY; METALLURGY
- C10—PETROLEUM, GAS OR COKE INDUSTRIES; TECHNICAL GASES CONTAINING CARBON MONOXIDE; FUELS; LUBRICANTS; PEAT
- C10M—LUBRICATING COMPOSITIONS; USE OF CHEMICAL SUBSTANCES EITHER ALONE OR AS LUBRICATING INGREDIENTS IN A LUBRICATING COMPOSITION
- C10M2207/00—Organic non-macromolecular hydrocarbon compounds containing hydrogen, carbon and oxygen as ingredients in lubricant compositions
- C10M2207/28—Esters
- C10M2207/287—Partial esters
- C10M2207/288—Partial esters containing free carboxyl groups
-
- C—CHEMISTRY; METALLURGY
- C10—PETROLEUM, GAS OR COKE INDUSTRIES; TECHNICAL GASES CONTAINING CARBON MONOXIDE; FUELS; LUBRICANTS; PEAT
- C10M—LUBRICATING COMPOSITIONS; USE OF CHEMICAL SUBSTANCES EITHER ALONE OR AS LUBRICATING INGREDIENTS IN A LUBRICATING COMPOSITION
- C10M2207/00—Organic non-macromolecular hydrocarbon compounds containing hydrogen, carbon and oxygen as ingredients in lubricant compositions
- C10M2207/28—Esters
- C10M2207/287—Partial esters
- C10M2207/289—Partial esters containing free hydroxy groups
-
- C—CHEMISTRY; METALLURGY
- C10—PETROLEUM, GAS OR COKE INDUSTRIES; TECHNICAL GASES CONTAINING CARBON MONOXIDE; FUELS; LUBRICANTS; PEAT
- C10M—LUBRICATING COMPOSITIONS; USE OF CHEMICAL SUBSTANCES EITHER ALONE OR AS LUBRICATING INGREDIENTS IN A LUBRICATING COMPOSITION
- C10M2209/00—Organic macromolecular compounds containing oxygen as ingredients in lubricant compositions
- C10M2209/10—Macromolecular compoundss obtained otherwise than by reactions only involving carbon-to-carbon unsaturated bonds
- C10M2209/103—Polyethers, i.e. containing di- or higher polyoxyalkylene groups
- C10M2209/104—Polyethers, i.e. containing di- or higher polyoxyalkylene groups of alkylene oxides containing two carbon atoms only
-
- C—CHEMISTRY; METALLURGY
- C10—PETROLEUM, GAS OR COKE INDUSTRIES; TECHNICAL GASES CONTAINING CARBON MONOXIDE; FUELS; LUBRICANTS; PEAT
- C10M—LUBRICATING COMPOSITIONS; USE OF CHEMICAL SUBSTANCES EITHER ALONE OR AS LUBRICATING INGREDIENTS IN A LUBRICATING COMPOSITION
- C10M2215/00—Organic non-macromolecular compounds containing nitrogen as ingredients in lubricant Compositions
- C10M2215/02—Amines, e.g. polyalkylene polyamines; Quaternary amines
-
- C—CHEMISTRY; METALLURGY
- C10—PETROLEUM, GAS OR COKE INDUSTRIES; TECHNICAL GASES CONTAINING CARBON MONOXIDE; FUELS; LUBRICANTS; PEAT
- C10M—LUBRICATING COMPOSITIONS; USE OF CHEMICAL SUBSTANCES EITHER ALONE OR AS LUBRICATING INGREDIENTS IN A LUBRICATING COMPOSITION
- C10M2215/00—Organic non-macromolecular compounds containing nitrogen as ingredients in lubricant Compositions
- C10M2215/02—Amines, e.g. polyalkylene polyamines; Quaternary amines
- C10M2215/04—Amines, e.g. polyalkylene polyamines; Quaternary amines having amino groups bound to acyclic or cycloaliphatic carbon atoms
-
- C—CHEMISTRY; METALLURGY
- C10—PETROLEUM, GAS OR COKE INDUSTRIES; TECHNICAL GASES CONTAINING CARBON MONOXIDE; FUELS; LUBRICANTS; PEAT
- C10M—LUBRICATING COMPOSITIONS; USE OF CHEMICAL SUBSTANCES EITHER ALONE OR AS LUBRICATING INGREDIENTS IN A LUBRICATING COMPOSITION
- C10M2215/00—Organic non-macromolecular compounds containing nitrogen as ingredients in lubricant Compositions
- C10M2215/02—Amines, e.g. polyalkylene polyamines; Quaternary amines
- C10M2215/04—Amines, e.g. polyalkylene polyamines; Quaternary amines having amino groups bound to acyclic or cycloaliphatic carbon atoms
- C10M2215/042—Amines, e.g. polyalkylene polyamines; Quaternary amines having amino groups bound to acyclic or cycloaliphatic carbon atoms containing hydroxy groups; Alkoxylated derivatives thereof
-
- C—CHEMISTRY; METALLURGY
- C10—PETROLEUM, GAS OR COKE INDUSTRIES; TECHNICAL GASES CONTAINING CARBON MONOXIDE; FUELS; LUBRICANTS; PEAT
- C10M—LUBRICATING COMPOSITIONS; USE OF CHEMICAL SUBSTANCES EITHER ALONE OR AS LUBRICATING INGREDIENTS IN A LUBRICATING COMPOSITION
- C10M2215/00—Organic non-macromolecular compounds containing nitrogen as ingredients in lubricant Compositions
- C10M2215/24—Organic non-macromolecular compounds containing nitrogen as ingredients in lubricant Compositions having hydrocarbon substituents containing thirty or more carbon atoms, e.g. nitrogen derivatives of substituted succinic acid
- C10M2215/26—Amines
-
- C—CHEMISTRY; METALLURGY
- C10—PETROLEUM, GAS OR COKE INDUSTRIES; TECHNICAL GASES CONTAINING CARBON MONOXIDE; FUELS; LUBRICANTS; PEAT
- C10M—LUBRICATING COMPOSITIONS; USE OF CHEMICAL SUBSTANCES EITHER ALONE OR AS LUBRICATING INGREDIENTS IN A LUBRICATING COMPOSITION
- C10M2219/00—Organic non-macromolecular compounds containing sulfur, selenium or tellurium as ingredients in lubricant compositions
- C10M2219/04—Organic non-macromolecular compounds containing sulfur, selenium or tellurium as ingredients in lubricant compositions containing sulfur-to-oxygen bonds, i.e. sulfones, sulfoxides
- C10M2219/044—Sulfonic acids, Derivatives thereof, e.g. neutral salts
-
- C—CHEMISTRY; METALLURGY
- C10—PETROLEUM, GAS OR COKE INDUSTRIES; TECHNICAL GASES CONTAINING CARBON MONOXIDE; FUELS; LUBRICANTS; PEAT
- C10M—LUBRICATING COMPOSITIONS; USE OF CHEMICAL SUBSTANCES EITHER ALONE OR AS LUBRICATING INGREDIENTS IN A LUBRICATING COMPOSITION
- C10M2223/00—Organic non-macromolecular compounds containing phosphorus as ingredients in lubricant compositions
- C10M2223/02—Organic non-macromolecular compounds containing phosphorus as ingredients in lubricant compositions having no phosphorus-to-carbon bonds
- C10M2223/04—Phosphate esters
- C10M2223/043—Ammonium or amine salts thereof
-
- C—CHEMISTRY; METALLURGY
- C10—PETROLEUM, GAS OR COKE INDUSTRIES; TECHNICAL GASES CONTAINING CARBON MONOXIDE; FUELS; LUBRICANTS; PEAT
- C10M—LUBRICATING COMPOSITIONS; USE OF CHEMICAL SUBSTANCES EITHER ALONE OR AS LUBRICATING INGREDIENTS IN A LUBRICATING COMPOSITION
- C10M2223/00—Organic non-macromolecular compounds containing phosphorus as ingredients in lubricant compositions
- C10M2223/02—Organic non-macromolecular compounds containing phosphorus as ingredients in lubricant compositions having no phosphorus-to-carbon bonds
- C10M2223/04—Phosphate esters
- C10M2223/047—Thioderivatives not containing metallic elements
-
- C—CHEMISTRY; METALLURGY
- C10—PETROLEUM, GAS OR COKE INDUSTRIES; TECHNICAL GASES CONTAINING CARBON MONOXIDE; FUELS; LUBRICANTS; PEAT
- C10N—INDEXING SCHEME ASSOCIATED WITH SUBCLASS C10M RELATING TO LUBRICATING COMPOSITIONS
- C10N2040/00—Specified use or application for which the lubricating composition is intended
- C10N2040/04—Oil-bath; Gear-boxes; Automatic transmissions; Traction drives
-
- C—CHEMISTRY; METALLURGY
- C10—PETROLEUM, GAS OR COKE INDUSTRIES; TECHNICAL GASES CONTAINING CARBON MONOXIDE; FUELS; LUBRICANTS; PEAT
- C10N—INDEXING SCHEME ASSOCIATED WITH SUBCLASS C10M RELATING TO LUBRICATING COMPOSITIONS
- C10N2040/00—Specified use or application for which the lubricating composition is intended
- C10N2040/04—Oil-bath; Gear-boxes; Automatic transmissions; Traction drives
- C10N2040/042—Oil-bath; Gear-boxes; Automatic transmissions; Traction drives for automatic transmissions
-
- C—CHEMISTRY; METALLURGY
- C10—PETROLEUM, GAS OR COKE INDUSTRIES; TECHNICAL GASES CONTAINING CARBON MONOXIDE; FUELS; LUBRICANTS; PEAT
- C10N—INDEXING SCHEME ASSOCIATED WITH SUBCLASS C10M RELATING TO LUBRICATING COMPOSITIONS
- C10N2040/00—Specified use or application for which the lubricating composition is intended
- C10N2040/04—Oil-bath; Gear-boxes; Automatic transmissions; Traction drives
- C10N2040/044—Oil-bath; Gear-boxes; Automatic transmissions; Traction drives for manual transmissions
-
- C—CHEMISTRY; METALLURGY
- C10—PETROLEUM, GAS OR COKE INDUSTRIES; TECHNICAL GASES CONTAINING CARBON MONOXIDE; FUELS; LUBRICANTS; PEAT
- C10N—INDEXING SCHEME ASSOCIATED WITH SUBCLASS C10M RELATING TO LUBRICATING COMPOSITIONS
- C10N2040/00—Specified use or application for which the lubricating composition is intended
- C10N2040/04—Oil-bath; Gear-boxes; Automatic transmissions; Traction drives
- C10N2040/046—Oil-bath; Gear-boxes; Automatic transmissions; Traction drives for traction drives
-
- C—CHEMISTRY; METALLURGY
- C10—PETROLEUM, GAS OR COKE INDUSTRIES; TECHNICAL GASES CONTAINING CARBON MONOXIDE; FUELS; LUBRICANTS; PEAT
- C10N—INDEXING SCHEME ASSOCIATED WITH SUBCLASS C10M RELATING TO LUBRICATING COMPOSITIONS
- C10N2040/00—Specified use or application for which the lubricating composition is intended
- C10N2040/08—Hydraulic fluids, e.g. brake-fluids
-
- C—CHEMISTRY; METALLURGY
- C10—PETROLEUM, GAS OR COKE INDUSTRIES; TECHNICAL GASES CONTAINING CARBON MONOXIDE; FUELS; LUBRICANTS; PEAT
- C10N—INDEXING SCHEME ASSOCIATED WITH SUBCLASS C10M RELATING TO LUBRICATING COMPOSITIONS
- C10N2040/00—Specified use or application for which the lubricating composition is intended
- C10N2040/20—Metal working
-
- C—CHEMISTRY; METALLURGY
- C10—PETROLEUM, GAS OR COKE INDUSTRIES; TECHNICAL GASES CONTAINING CARBON MONOXIDE; FUELS; LUBRICANTS; PEAT
- C10N—INDEXING SCHEME ASSOCIATED WITH SUBCLASS C10M RELATING TO LUBRICATING COMPOSITIONS
- C10N2050/00—Form in which the lubricant is applied to the material being lubricated
- C10N2050/10—Form in which the lubricant is applied to the material being lubricated semi-solid; greasy
Definitions
- the invention relates to improved compositions with thiophosphoric acid esters and Dithiophosphoric acid esters or phosphoric acid thioesters and the use of these Lubricant compositions to improve the performance properties of Lubricants such as greases, metalworking, gear or hydraulic fluids.
- Additives are added to the lubricants mentioned, which perform demanding tasks, such as high load-bearing capacity, wear and corrosion protection as well as antioxidant effects, have to meet.
- Zinc dialkyldithiophosphates are suitable for this, but one strives to replace them with metal-free connections for reasons of environmental protection.
- Suitable hydraulic fluids the specifications of the leading hydraulic machine manufacturers, e.g. Meet Denison HFO (Denison Hydraulics) or Vickers M-2980-S (Vickers) and be compatible with water. Furthermore, they should be in accordance with the specifications of DIN 51524 and Denison HFO achieve an error load level (FLS) of at least 10 in the FZG test.
- FLS error load level
- dithiophosphoric acid esters of the type: known which are commercially available under the trade name Irgalube®63 (trademark of Ciba Specialty Chemicals).
- US Pat. No. 5,531,911 describes zinc-free hydraulic fluids which contain phosphorus and sulfur-containing additive components.
- One component is a triphenylthiophosphate (IRGALUBE TPPT) thiophosphoric acid ester. This is combined with IRGALUBE 63 dithiophosphoric acid esters and optional oil additive components, eg ammonium sulfonates.
- IRGALUBE TPPT triphenylthiophosphate
- Such formulations are disadvantageous because of their lack of compatibility with water.
- the contamination of a hydraulic oil with water is particularly important in mobile hydraulic systems often.
- hydrolytic degradation takes place with formation of corrosive decomposition products, which the metals used in the hydraulic systems, e.g. Steel and copper alloys, attack and cause damage to the hydraulic pumps. It can also agglomerations of these decomposition products, the filters of bypass filtration systems To block. Since the service life of hydraulic systems is characterized by fine filtering The filter mesh sizes of modern bypass filtration systems are significantly longer reduced from 30 ⁇ m to 6 ⁇ m today. Therefore, only such are Hydraulic oils to be used which, when contaminated with water, contain only the smallest quantities of Form hydrolytic decomposition products.
- the present invention has for its object compositions with improved Establish compatibility with water, which has a much lower tendency to Have formation of unwanted hydrolysis products.
- compositions with thiophosphoric acid esters combined with dithiophosphoric acid esters or phosphoric acid thioesters Addition of another additive component from the group of polyol partial esters, amines and Epoxies have a significantly lower tendency to form when contaminated with water have corrosive hydrolysis products and very good filtration properties.
- oil additives e.g. B. ammonium phosphate esters, can Increase load-bearing capacity and reach FZG error load levels ⁇ 10.
- a particularly preferred embodiment relates to compositions in which the phosphorus content the thiophosphoric acid component b), combined with the dithiophosphoric acid ester or phosphoric acid thioester component c), based on the composition with components a), b) and c), is less than 400 ppm.
- a very particularly preferred embodiment relates to compositions in which the Phosphorus content of the thiophosphoric acid component b), combined with the dithiophosphoric acid ester or phosphoric acid thioester component c) and the Ammonium phosphate ester component e), based on the total composition, less than 400 ppm.
- compositions are multifunctional wear protection additives - with additional ones antioxidant effect - for lubricants such as greases, metalworking, gear or hydraulic fluids are particularly suitable. They are largely free of metal and ash and meet the specified specifications.
- These mixtures have the addition of Additive component from the group of polyol partial esters, amines and epoxides (component d)) very good filtration properties when contaminated with water.
- FZG error load levels ⁇ 10 can be achieved with other oil additives (components e).
- Such mixtures meet the hydraulic machine specifications of leading manufacturers, especially Denison HFO.
- a base oil with a lubricating viscosity is used for the production of greases, metalworking, Gear and hydraulic fluids can be used.
- Suitable greases, metalworking, gear and hydraulic fluids are based, for example, on mineral or synthetic oils or mixtures thereof.
- the lubricants are familiar to the person skilled in the art and in the relevant specialist literature, for example in Chemistry and Technology of Lubricants; Mortier, RM and Orszulik, ST (Editors); 1992 Blackie and Son Ltd. for GB, VCH-Publishers NY for US, ISBN 0-216-92921-0, see pages 208 ff and 269 ff; in Kirk-Othmer Encyclopedia of Chemical Technology, Fourth Edition 1969, J. Wiley & Sons, New York, Vol. 13, page 533 ff. (Hydraulic Fluids); Performance Testing of Hydraulic Fluids; R.
- the lubricants are in particular oils and fats, for example based on mineral oil or vegetable and animal oils, fats, tallow and wax or their mixtures.
- Vegetable and animal oils, fats, tallow and wax are, for example, palm kernel oil, palm oil, Olive oil, rape oil, rapeseed oil, linseed oil, soybean oil, cotton oil, sunflower oil, coconut oil, Corn oil, castor oil, walnut oil and mixtures thereof, fish oils, and their chemically modified, e.g. epoxidized and sulfoxidized, or genetically engineered Molds, such as genetically engineered soybean oil.
- Examples of synthetic lubricants include aliphatic based lubricants or aromatic carboxy esters, polymeric esters, polyalkylene oxides, phosphoric acid esters, Poly- ⁇ -olefins or silicones, the diester of a dibasic acid with a monohydric alcohol, such as Dioctyl sebacate or dinonyl adipate, a trieste of Trimethylolpropane with a monohydric acid or with a mixture of such acids, such as e.g.
- mineral oils e.g. Poly-a-olefins
- the lubricants mentioned or mixtures thereof can also be mixed with an organic one. or inorganic. Thickener must be offset (basic grease). Metalworking fluids and hydraulic fluids can be made from the same substances as described above for the lubricants. Often these are also Emulsions of such substances in water or other liquids.
- R 1 , R 2 and R 3 with the meaning C 3 -C 20 hydrocarbon radical are preferably C 3 -C 20 alkyl, C 5 -C 12 cycloalkyl, C 5 -C 12 cycloalkyl-C 1 -C 4 - alkyl, phenyl, C 7 -C 20 alkylphenyl, C 7 -C 20 alkoxyphenyl, naphthyl and C 7 -C 9 phenylalkyl.
- C 3 -C 20 alkyl comprises branched or unbranched alkyl radicals.
- Examples include n-propyl, isopropyl, n-butyl, isobutyl, t-butyl, n-pentyl, isopentyl, n-hexyl, 2-ethylbutyl, 1-methylpentyl, 1,3-dimethylbutyl, n-heptyl, 3-heptyl , 1-methylhexyl, isoheptyl, n-octyl, 2-ethylhexyl, 1,1,3,3-tetramethylbutyl, 1-methylheptyl, n-nonyl, 1,1,3-trimethylhexyl, n-decyl, n-undecyl, n -Dodecyl, 1-methylundecyl, n-tridecyl, n-tetradecyl, n-pent
- a particularly preferred radical for R 1 , R 2 and R 3 is isopropyl.
- the meanings of R 1 , R 2 and R 3 can be the same or different.
- Thiophosphoric acid esters of the formula I are known, for example US Pat. No. 5,531,911.
- C 5 -C 12 cycloalkyl are, for example, cyclopentyl or hexyl.
- C 5 -C 12 cycloalkyl-C 1 -C 4 alkyl is, for example, cyclopentylmethyl, 2-cyclopentylethyl, cyclohexylmethyl or 2-cyclohexylethyl.
- C 7 -C 20 alkylphenyl is phenyl which is substituted, for example, by one to three of the C 1 -C 4 alkyl radicals described above or one or two C 1 -C 6 alkyl radicals or a C 1 -C 12 alkyl radical.
- C 7 -C 20 alkoxyphenyl is phenyl which is substituted, for example, by one to three C 1 -C 4 alkoxy radicals, in particular methoxy or ethoxy, or one or two C 1 -C 6 alkoxy radicals or a C 1 -C 12 alkoxy radical is, which are analogous to the alkyl radicals mentioned above.
- C 7 -C 9 phenylalkyl is, for example, benzyl, 1-phenyl-1-ethyl or 2-phenyl-1-ethyl.
- the preparation of these thiophosphoric esters is described in EP-A-368 803 .
- Preferred thiophosphoric acid esters of the formula I ' are triarylthiophosphate mixtures of the IRGALUBE 211 type with the ingredients such as n-decylphenyl-nnonylphenylphenylthiophosphate, o-tert.-butylphenyl-o-isopropylphenylphenylthiophosphate or n-hexylphenylphenylthiophosphate.
- component b) from a triphenylthiophosphate (IRGALUBE TPPT) thiophosphoric acid ester IRGALUBE TPPT
- X is preferably sulfur.
- R 1 , R 2 and R 3 with the meaning of unsubstituted C 3 -C 20 hydrocarbon radical have the meanings given above under component b) - thiophosphoric acid esters -, in particular C 3 -C 20 alkyl.
- R 1 and R 2 are unsubstituted C 3 -C 10 hydrocarbon radicals and R 3 represents a substituted C 3 -C 10 hydrocarbon radical.
- a substituted C 3 -C 10 hydrocarbon radical R 3 is preferably by Carboxy or esterified carboxy substituted C 2 -C 4 alkyl, for example of the sub-formula: wherein R x and R y are hydrogen or C 1 -C 4 alkyl, or the corresponding carboxylate salt.
- A is 2-carboxyeth-1-yl or 2-C 1 -C 4 -alkoxycarbonyleth-1-yl, for example methoxycarbonyleth-1-yl or ethoxycarbonylethl -yl, or carboxylate salts thereof.
- the component b) used is a dithiophosphoric acid ester of the IRGALUBE 63 type, which has the structural formula given further, optionally in a mixture with another dithiophosphoric acid ester of the formula II, in which R 1 and R 2 is isopropyl, isobutyl or 2 -Ethylhexyl mean, and R 3 has the meaning of partial formula A, wherein R x and R y are hydrogen, and 2-carboxy-1-ethyl.
- Dithiophosphoric acid esters and phosphoric acid thioesters are known. Their manufacture is described, for example, in US Pat. Nos. 4,333,841; 4,544,492 and 3,784,588 and in British Patent 1,569,730 .
- the phosphorus content of the components is b) and c), based on the composition with components a), b) and c), less than 400 ppm.
- the phosphorus content is of components b) and c) based on the composition with the components a), b) and c) 150 - 390 ppm, especially 160 - 370 ppm.
- the weight ratio of components b) and c) with one another can range from approximately 10:90 to 95: 5 Weight percent vary.
- Suitable oil additives are polyol partial esters, e.g. B. from the group the mono- and diglycerides, monoacetylated or diacetylated monoglycerides, polyglycerol fatty acid esters, Sorbitan fatty acid esters and partial fatty acid esters of polyoxyethylene sorbitan. These oil additives are added in a concentration of approx. 0.01 - 2.0%.
- Suitable mono- and diglycerides are from glycerin by esterification of one or two Hydroxy groups with one or two acid residues of saturated or unsaturated carboxylic acids and an even number of 8-20 C atoms.
- the acid residue of a saturated carboxylic acid with an even number of 8-20 C atoms, which esterified the polyglycerol base, is preferably straight-chain with 12, 14, 16 and 18 carbon atoms, e.g. n-dodecanoyl, n-tetradecanoyl, n-hexadecanoyl or n-octadecanoyl.
- the acid residue of an unsaturated carboxylic acid with an even number of 8-20 C atoms, which esterifies the glycerol base is preferably straight-chain with 12, 14, 16 and 18 C atoms and has 1 double bond, e.g. 9-cis-dodecenoyl, 9-cis-tetradecenoyl, 9-cis-hexadecenoyl or 9-cis-octadecenoyl.
- Particularly suitable mono- and diglycerides are Loxiol® G 10 and G 16 (Henkel), Nutrisoft® 100 (Grünau), Kessco GMO (Akzo) or Edenor®GMO, GDO (Henkel) commercially available.
- a suitable monoacetylated or diacetylated monoglyceride is a monoglyceride that in addition to the acyl residue of a fatty acid, preferably one or two acetyl residues having.
- the acyl radical is preferably derived from one of the unsaturated fatty acids mentioned with more than ten and an even number of carbon atoms.
- a monoglyceride is preferred, which consists of a mixture of monoacetylated or diacetylated monoglycerides using the usual separation methods, e.g. fractional distillation, available is.
- acetylated monoglycerides which are commercially available under the trademark MYVACET (Eastman) are available.
- Acetylated MYVACET series monoglycerides find as lubricants, plasticizers, non-ionic emulsifiers and solubilizers technical use. They are particularly preferred commercially under the name MYVACET 5-07, 7-00, 7-07, 9-08, 9-40 and 9-45 K products available.
- a suitable polyglycerol fatty acid ester consists of an essentially pure or a mixture of different polyglycerol fatty acid esters, in which the polyglycerol base preferably contains up to and including 10 glycerol units with 1-10 acid residues the stated saturated or unsaturated carboxylic acids and an even number of 8-20 C atoms are esterified.
- Suitable polyglycerol fatty acid esters with a uniformly defined structure are, for example diglycerol monocaprate, diglycerol monolaurate, diglycerol diisostearate, diglycerol monoisostearate, diglycerol tetrastearate (polyglycerol 2-tetrastearate), triglycerol monooleate (polyglyceryl 3-monooleate), triglycerol monolaurate, triglycerol monostearate (polyglycerol 3-stearate), triglycerol monoisosterate, hexaglycerol dioleate (polyglycerol 6-dioleates), hexaglycerol distearate (polyglycerol 6-distearate), decaglycerol dioleate (polyglycerol 10-dioleates), decaglycerol tetraoleates (polyglycerol 10-tetra
- CTFA nomenclature is given in brackets. These products are commercially under the word trademark Caprol® (trademark of Karlshamns USA Inc., Columbus Ohio). Exact product names: CAPROL 2G4S, 3GO, 3GS, 6G2O, 6G2S, 10G2O, 10G4O, 10G10O, 10G10S. Other products are under the names DGLC-MC, DGLC-ML, DGLC-DISOS, DGLC-MISOS, TGLC-ML and TGLC-MISOS available from Solvay Alkali GmbH, D-3002 Hanover.
- a suitable sorbitan fatty acid ester preferably consists of an essentially pure one or a mixture of different sorbitan fatty acid esters, wherein the sorbitan base with 1-3 acid residues of one of the above-mentioned saturated or unsaturated, straight-chain Carboxylic acids and an even number of 8-20 carbon atoms is esterified.
- Suitable sorbitan fatty acid esters are especially sorbitan monolaurate, monopalmitate, monostearate, tristearate, monooleate, sesquioleate and trioleate.
- Span® trademark of Atlas, Wilmington USA
- exact product names: ARLACEL 20, 40, 60, 80, 83, 85 and C Crill / (trademark of Croda Chemicals Ltd., Cowick Hall, Snaith Goole GB)
- Crill / trademark of Croda Chemicals Ltd., Cowick Hall, Snaith Goole GB
- Dehymuls® trademark of Henkel, Düsseldorf DE
- exact product names: DEHYMULS SML, SMO, SMS, SSO, Famodan® trademark of Grindsted Products, Grindsted Denmark
- the partial fatty acid ester of polyoxyethylene sorbitan mentioned preferably consists of a substantially pure or a mixture of different esters of sorbitan, wherein the structure of the fatty acid groups and the length of the polyoxyethylene chains vary.
- the Sorbitan is preferably etherified by three polyoxyethylene chains and by a fatty acid group esterified.
- the sorbitan can only be produced by one or two polyoxyethylene chains etherified and correspondingly esterified by two or three fatty acid groups.
- the sorbitan base body is hydrophilic by at least two and at most four Groups substituted, the polyoxyethylene chains under the term hydrophilic group and fatty acid groups can be summarized.
- the polyoxyethylene chain is straight-chain and preferably has 4-10, in particular 4-8, Ethylene oxide units.
- the ester groups on the sorbitan base are of a saturated one or unsaturated, straight-chain carboxylic acid with an even number of 8-20 C atoms derived.
- the ester group derived from this carboxylic acid is preferably straight chain with 12, 14, 16 and 18 carbon atoms, e.g. n-dodecanoyl, n-tetradecanoyl, n-hexadecanoyl or n-octadecanoyl.
- An even numbered unsaturated carboxylic acid Ester group derived from 8-20 C atoms is preferably straight-chain with 12, 14, 16 and 18 carbon atoms, e.g. Oleoyl.
- Suitable partial fatty acid esters of polyoxyethylene sorbitan are under the word sign Tween® commercially available from ICI and the chemical names polyoxyethylene (20 or 4) sorbitan monolaurate (TWEEN 20 and 21), polyoxyethylene (20) sorbitan monopalmitate or monostearate (TWEEN 40 and 60), polyoxyethylene (4 or 20) sorbitan monostearate or tristearate (TWEEN 61 and 65), polyoxyethylene (20 or 5) sorbitan monooleate (TWEEN 80 or 81) or polyoxyethylene (20) sorbitan trioleate (TWEEN 85) are known.
- Suitable amines are, for example, primary or secondary amines with the C 1 -C 20 -alkyl radicals described above, in particular C 2 -C 20 -alkyl, which can be substituted by hydroxyl (alkanolamines) or interrupted by oxygen (etheramines), or polyoxyalkylene diamines or polyoxyalkylene polyamines, furthermore primary or secondary amines with C 5 -C 6 cycloalkyl radicals, for example cyclopentyl or cyclohexyl radicals.
- Suitable alkanolamines are e.g. Ethanolamine, isopropanolamine, 2-amino-2-methyl-1-propanol, 2- (2-aminoethoxy) ethanol, 3-amino-1-propanol, 2-amino-1-butanol, 2-amino-2-methyl-1,3-propanediol or 2-amino-2-ethyl-1,3-propanediol.
- Suitable alkanolamines are e.g. under the word signs Ethomeen and Propomeen (Armak Chemical Div. Of Akzona, Inc., Chicago USA) commercially available, e.g. the products ETHOMEEN C / 15, C / 20, C / 25, O / 12, S / 15, S / 20, T / 12, T / 15 or T / 25 or the corresponding Products from the PROPOMEEN range.
- Ethomeen and Propomeen Armak Chemical Div. Of Akzona, Inc., Chicago USA
- Suitable ether amines are primary ether amines, which come under the word Surfam (Mars Chemical Co., Atlanta USA) are commercially available, e.g. the products SURFAM P14B (decyloxypropylamine) or P16A or P17B (tridecyloxypropylamine).
- Suitable polyoxyalkylene diamines are e.g. B. Ethoxylomeen® alkoxylated diamines (Armak), e.g. the products T / 13 and T / 20.
- Suitable polyoxyalkylene polyamines are e.g. commercially available under the word mark JEFFAMINE (Jefferson Chemical Co.), e.g. the products D-230, D-400, D-1000, D-2000 or T-403.
- Suitable epoxides are, for example, C 4 -C 20 epoxyalkanes, for example epoxybutane, or esters of C 10 -C 20 fatty acids, namely esters of epoxidized fatty acids with monohydric alcohols or polyhydric alcohols, for example glycerides.
- Epoxidized esters of fatty acids with monohydric alcohols for example straight-chain and branched C 1 -C 10 alkyl-C 1 -C 10 alkoxy, aryl or C 5 -C 8 cycloalkyl esters of C 10 -C 20 fatty acids, for example, are preferred Cyclopentyl or cyclohexyl, n-butyl, n-hexyl, benzyl, methoxyethyl, n-octyl, phenyl or tert-butylphenyl epoxy stearate or oleate, and epoxidized soybean oil or linseed oil or epoxidized natural oils and fats, the are known for a high content of unsaturated fatty acids.
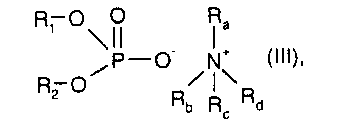
- R 1 and R 2 are C 1 -C 20 hydrocarbon radicals and R a , R b , R c and R d independently of one another are hydrogen or C 1 -C 20 hydrocarbon radicals.
- R 1 and R 2 and R a , R b , R c and R d with the meaning C 1 -C 20 hydrocarbon radical are preferably C 1 -C 7 alkyl, for example methyl, ethyl, n-propyl, isopropyl, n-butyl, isobutyl, t- Butyl, n-pentyl, isopentyl, n-hexyl, 2-ethylbutyl, 1-methylpentyl, 1,3-dimethylbutyl or n-heptyl.
- the ammonium phosphate ester is used in a low concentration of approximately 200 to 500 ppm added. This additive gives the hydraulic oil a particularly good load-bearing capacity (FZG error load levels ⁇ 10).
- the total phosphorus content is components b), c) and e), based on the total composition, less than 400 ppm.
- the lubricant compositions mentioned, e.g. Greases, gear, metalworking and hydraulic fluids can additionally contain other additives that are added to improve their basic properties even further. These include: antioxidants, Metal deactivators, rust inhibitors, viscosity index improvers, pour point depressants, Dispersants, detergents, high-pressure additives and antiwear additives. Such additives are added in the amounts customary for them in the range of each about 0.01 to 10.0% by weight. The following are examples of other additives:
- Alkylated monophenols e.g. 2,6-di-tert-butyl-4-methylphenol, 2-butyl-4,6-dimethylphenol, 2,6-di-tert-butyl-4-ethylphenol, 2,6-di-tert- butyl-4-n-butylphenol, 2,6-di-tert-butyl-4-isobutylphenol, 2,6-di-cyclopentyl-4-methylphenol, 2- (a-methylcyclohexyl) -4,6-dimethylphenol, 2, 6-di-octadecyl-4-methylphenol, 2,4,6-tri-cyclohexylphenol, 2,6-di-tert-butyl-4-methoxymethylphenol, linear or branched nonylphenols such as 2,6-di-nonyl, for example -4-methylphenol, 2,4-dimethyl-6- (1'-methyl-undec-1'-yl) phenol, 2,
- Alkylthiomethylphenols for example 2,4-dioctylthiomethyl-6-tert-butylphenol, 2,4-dioctylthiomethyl-6-methylphenol, 2,4-dioctylthiomethyl-6-ethylphenol, 2,6-didodecylthiomethyl-4 -nonylphenol.
- Hydroquinones and alkali hydroquinones for example 2,6-di-tert-butyl-4-methoxyphenol, 2,5-di-tert-butyl-hydroquinone, 2,5-di-tert-amyl-hydroquinone, 2,6-diphenyl- 4-octadecyloxyphenol, 2,6-di-tert-butyl-hydroquinone, 2,5-di-tert-butyl-4-hydroxyanisole, 3,5-di-tert-butyl-4-hydroxyanisole, 3,5-di- tert-butyl-4-hydroxyphenyl stearate, bis (3,5-di-tert-butyl-4-hydroxyphenyl) adipate.
- Tocopherols e.g. ⁇ -, ⁇ -, ⁇ - or ⁇ - and mixtures thereof (vitamin E).
- Hydroxylated thiodiphenyl ethers for example 2,2'-thio-bis (6-tert-butyl-4-methylphenol), 2,2'-thio-bis (4-octylphenol), 4,4'-thio-bis (6-tert -butyl-3-methylphenol), 4,4'-thio-bis (6-tert-butyl-2-methylphenol), 4,4'-thio-bis (3,6-di-sec.-amylphenol), 4,4'-bis (2,6-dimethyl-4-hydroxyphenyl) disulfide.
- Alkylidene bisphenols for example 2,2'-methylene-bis (6-tert-butyl-4-methylphenol), 2,2'-methylene-bis (6-tert-butyl-4-ethylphenol), 2,2'- Methylene bis [4-methyl-6- (a-methylcyclohexyl) phenol], 2,2'-methylene bis (4-methyl-6-cyclohexylphenol), 2,2'-methylene bis (6-nonyl- 4-methyphenol), 2,2'-methylene-bis (4,6-di-tert-butylphenol), 2,2'-ethylidene-bis (4,6-di-tert-butylphenol), 2,2'- Ethylidene-bis (6-tert-butyl-4-isobutylphenol), 2,2'-methylene-bis [6- (a-methylbenzyl) -4-nonylphenol], 2,2'-methylene-bis [6- (a , a-dimethylbenzyl)
- O-, N- and S-benzyl compounds for example 3,5,3 ', 5'-tetra-tert-butyl-4,4'-dihydroxydibenzyl ether, octadecyl-4-hydroxy-3,5-dimethylbenzyl-mercaptoacetate, tridecyl- 4-hydroxy-3,5-di-tert-butylbenzyl mercaptoacetate, tris (3,5-di-tert-butyl-4-hydroxybenzyl) amine, bis (4-tert-butyl-3-hydroxy-2,6) -dimethylbenzyl) dithioterephthalate, bis (3,5-di-tert-butyl-4-hydroxybenzyl) sulfide, isooctyl-3,5-di-tert-butyl-4-hydroxybenzyl-mercaptoacetate.
- hydroxybenzylated malonates e.g. dioctadecyl-2,2-bis (3,5-di-tert-butyl-2-hydroxybenzyl) malonate, di-octadecyl-2- (3-tert-butyl-4-hydroxy-5-methylbenzyl) -malonate, di-dodecyl-mercaptoethyl-2,2-bis (3,5-di-tert-butyl-4-hydroxybenzyl) -malonate, di- [4- (1,1,3,3-tetramethyl-butyl) -phenyl] -2,2-bis (3,5-di-tert-butyl-4-hydroxybenzyl) malonate.
- Hydroxybenzyl aromatics for example 1,3,5-tris (3,5-di-tert-butyl-4-hydroxybenzyl) -2,4,6-trimethylbenzene, 1,4-bis (3,5-di-tert- butyl-4-hydroxybenzyl) -2,3,5,6-tetramethylbenzene, 2,4,6-tris (3,5-di-tert-butyl-4-hydroxybenzyl) phenol.
- Triazine compounds e.g. 2,4-bis-octylmercapto-6- (3,5-di-tert-butyl-4-hydroxyanilino) -1,3,5-triazine, 2-octylmercapto-4,6-bis (3,5 -di-tert-butyl-4-hydroxyanilino) -1,3,5-triazine, 2-octylmercapto-4,6-bis (3,5-di-tert-butyl-4-hydroxyphenoxy) -1,3,5 -triazine, 2,4,6-tris (3,5-di-tert-butyl-4-hydroxyphenoxy) -1,2,3-triazine, 1,3,5-tris (3,5-di-tert- butyl-4-hydroxybenzyl) isocyanurate, 1,3,5-tris (4-tert-butyl-3-hydroxy-2,6-dimethylbenzyl) isocyanurate, 2,
- esters of beta (3,5-di-tert-butyl-4-hydroxyphenyl) propionic acid with mono- or polyhydric alcohols such as with methanol, ethanol, n-octanol, i-octanol, octadecanol, 1,6-hexanediol , 1,9-nonanediol, ethylene glycol, 1,2-propanediol, neopentyl glycol, thiodiethylene glycol, diethylene glycol, triethylene glycol, pentaerythritol, tris (hydroxyethyl) isocyanurate, N, N'-bis (hydroxyethyl) oxalic acid diamide, 3-thiaundecanol, 3 -Thiapentadecanol, trimethylhexanediol, trimethylolpropane, 4-hydroxymethyl-1-phospha-2,6,7-trioxabi
- esters of beta (5-tert-butyl-4-hydroxy-3-methylphenyl) propionic acid with mono- or polyhydric alcohols such as with methanol, ethanol, n-octanol, i-octanol, octadecanol, 1,6-hexanediol , 1,9-nonanediol, ethylene glycol, 1,2-propanediol, neopentyl glycol, thiodiethylene glycol, diethylene glycol, triethylene glycol, pentaerythritol, tris (hydroxyethyl) isocyanurate, N, N'-bis (hydroxyethyl) oxalic acid diamide, 3-thiaundecanol, 3- Thiapentadecanol, trimethylhexanediol, trimethylolpropane, 4-hydroxymethyl-1-phospha-2,6,7-trioxabicyclo [2.
- esters of beta- (3,5-dicyclohexyl-4-hydroxyphenyl) propionic acid with mono- or polyhydric alcohols such as with methanol, ethanol, octanol, octadecanol, 1,6-hexanediol, 1,9-nonanediol, ethylene glycol, 1 , 2-propanediol, neopentylglycol, thiodiethylene glycol, diethylene glycol, triethylene glycol, pentaerythritol, tris (hydroxyethyl) isocyanurate, N, N'-bis (hydroxyethyl) oxalic acid diamide, 3-thiaundecanol, 3-thiapentadecanol, trimethylhexanediol, trimethylolpropane, trimethyl 1-phospha-2,6,7-trioxabicyclo [2.2.2] octane.
- esters of 3,5-di-tert-butyl-4-hydroxyphenylacetic acid with mono- or polyhydric alcohols such as with methanol, ethanol, octanol, octadecanol, 1,6-hexanediol, 1,9-nonanediol, ethylene glycol, 1,2 Propanediol, neopentyl glycol, thiodiethylene glycol, diethylene glycol, triethylene glycol, pentaerythritol, tris (hydroxyethyl) isocyanurate, N, N'-bis (hydroxyethyl) oxalic acid diamide, 3-thiaundecanol, 3-thiapentadecanol, trimethylhexanediol, trimethylolpropanediol, trimethylolpropanediol, trimethylolpropanediol phospha-2,6,7-trio
- Amine antioxidants such as N, N'-di-isopropyl-p-phenylenediamine, N, N'-di-sec-butyl-p-phenylenediamine, N, N'-bis (1,4-dimethyl-pentyl) -p -phenylenediamine, N, N'-bis (1-ethyl-3-methylpentyl) -p-phenylenediamine, N, N'-bis (1-methyl-heptyl) -p-phenylenediamine, N, N'-dicyclohexyl- p-phenylenediamine, N, N'-diphenyl-p-phenylenediamine, N, N'-di- (naphthyl-2) -p-phenylenediamine, N-isopropyl-N'-phenyl-p-phenylenediamine, N- (1, 3-dimethyl-butyl) -N'
- metal deactivators e.g. for copper:
- viscosity index improvers polyacrylates, polymethacrylates, vinyl pyrrolidone / methacrylate copolymers, polyvinyl pyrrolidones, polybutenes, olefin copolymers, styrene / acrylate copolymers, polyethers.
- pour point depressants poly (meth) acrylates, ethylene-vinyl acetate copolymer, alkylpolystyrenes, fumarate copolymers, alkylated naphthalene derivatives.
- dispersants / surfactants polybutenylsuccinic acid amides or imides, polybutenylphosphonic acid derivatives, basic magnesium, calcium and barium sulfonates and phenolates.
- Sulfur and halogen containing compounds such as chlorinated paraffins, sulfurized olefins or vegetable oils (soybean oil, rapeseed oil), alkyl or aryl di- or trisulfides, benzotriazoles or their derivatives such as bis (2-ethylhexyl) aminomethyl tolutriazole, dithiocarbamates such as methylene bis-dibutyldithiocarbamate, Derivatives of 2-mercaptobenzothiazole such as 1- [N, N-bis (2-ethylhexyl) aminomethyl] -2-mercapto-1H-1,3-benzothiazole, Derivatives of 2,5-dimercapto-1,3,4-thiadiazole such as 2,5-bis (tert.nonyldithio) -1,3,4-thiadiazole.
- benzotriazoles or their derivatives such as bis (2-ethylhexyl) aminomethyl to
- friction reducers eg oil from lard, oleic acid, tallow, rapeseed oil, sulfurized fats, amines. Further examples are mentioned in EP 565487.
- Emulsifiers petroleum sulfonates, amines such as polyoxyethylated fatty amines, nonionic surface-active substances; Buffer: alkanolamines; Biocides: triazines, thiazolinones, tris-nitromethane, morpholine, sodium pyridene ethiol ; Processing speed improvers: calcium and barium sulfonates;
- the components mentioned can be added to the lubricants in a manner known per se become. It is also possible to use a concentrate or a so-called additive package produce that according to the consumption at the use concentrations for the corresponding Lubricant can be diluted.
- the components are put together in the concentrate so that it is at room temperature is liquid without the addition of base oil a) or a solvent.
- the invention also relates to a method for improving the performance properties of lubricants, characterized by adding components b), c) and d), preferably in a concentration related to the phosphorus content of these components on the total composition, is less than 400 ppm.
- the invention also relates to the use of compounds of the components b) c) and d), preferably in the concentration mentioned, as additives in motor oils, Turbine oils, gear oils, hydraulic fluids, metal working fluids or greases.
- the various blends were made using an ISO VG 46 mineral oil (kinematic viscosity at 40 ° C: 42 - 50 CSt) and a basic additive mixture, which typically used for hydraulic fluids.
- This basic additive mixture is free of metal salts and is used with 0.29 - 0.47% (wt.%).
- she is a combination of an aromatic amine antioxidant (e.g. Irganox® L 57), a hindered Phenol antioxidant (e.g. Irganox® L 135) and smaller proportions of other common ones Additives such as pour point depressants (e.g. Plexol® 154), anti-foaming agents (e.g. Mobilad® C402), demulsifying additives (e.g.
- Synperonic® PEL81 corrosion inhibitors (e.g. Irgacor® NPA) and metal deactivators (e.g. Irgamet® 39).
- corrosion inhibitors e.g. Irgacor® NPA
- metal deactivators e.g. Irgamet® 39.
- the additives and mixtures used and the results of the tests performed are shown in the table. Wording 9, 10, 11, 12, 13, 14 correspond to the claimed composition of the present Invention.
- the other formulations are for comparison, especially with the state of the art (state of T. I and II).
Landscapes
- Chemical & Material Sciences (AREA)
- Chemical Kinetics & Catalysis (AREA)
- General Chemical & Material Sciences (AREA)
- Oil, Petroleum & Natural Gas (AREA)
- Organic Chemistry (AREA)
- Lubricants (AREA)
Abstract
Description
RADIASURF7125, 7135, 7145 und 7155, erhältlich.
< 0,45 mm
Claims (16)
- Zusammensetzungen enthaltend:a) ein Grundöl mit schmierender Viskosität;b) mindestens einen Thiophosphorsäureester der Formel: worin R1, R2 und R3 C3-C20-Kohlenwasserstoffreste darstellen; undc) mindestens einen Dithiophosphorsäureester oder Phosphorsäurethioester der Formel: worin X Sauerstoff oder Schwefel und R1, R2 und R3 unsubstituierte oder substituierte C3-C20-Kohlenwasserstoffreste darstellen; undd) mindestens ein Öladditiv aus der Gruppe der Polyolpartialester, Amine und Epoxide.
- Zusammensetzungen gemäss Anspruch 1 enthaltenda) ein Grundöl mit schmierender Viskosität, welches man für Fette, Metallbearbeitungs-, Getriebe- und Hydraulikflüssigkeiten verwendet;b) mindestens einen Thiophosphorsäureester der Formel I, worin R1, R2 und R3 C3-C20-Kohlenwasserstoffreste darstellen;c) mindestens einen Dithiophosphorsäureester der Formel II, worin X Schwefel und R1, R2 und R3 unsubstituierte C3-C10-Kohlenwasserstoffreste oder worin R1 und R2 unsubstituierte C3-C10-Kohlenwasserstoffreste und R3 einen substituierten C3-C10-Kohlenwasserstoffrest darstellen;d) mindestens ein Öladditiv aus der Gruppe der Polyolpartialester, Amine und Epoxide;e) ein Ammoniumphosphatester der Formel: worin R1 und R2 C1-C20-Kohlenwasserstoffreste und Ra, Rb, Rc und Rd unabhängig voneinander Wasserstoff oder C1-C20-Kohlenwasserstoffreste darstellen; undf) übliche Öladditive.
- Zusammensetzungen gemäss Anspruch 1 oder 2, dadurch gekennzeichnet, dass der Phosphorgehalt der Thiophosphorsäureester-Komponente b), kombiniert mit der Dithiophosphorsäureester- oder Phosphorsäurethioester-Komponente c), bezogen auf die Zusammensetzung mit den Komponenten a), b) und c), weniger als 400 ppm beträgt.
- Zusammensetzung gemäss Anspruch 2 enthaltend die Komponenten a) bis f) mit den genannten Bedeutungen, dadurch gekennzeichnet, dass der Phosphorgehalt der Komponenten b), c) und e), bezogen auf die Gesamtzusammensetzung, weniger als 400 ppm beträgt.
- Zusammensetzung gemäss Anspruch 2 enthaltend die Komponenten a) bis f) mit den genannten Bedeutungen, dadurch gekennzeichnet, dass der Phosphorgehalt der Komponenten b) und c), bezogen auf die Zusammensetzung mit den Komponenten a), b) und c), 150 - 390 ppm beträgt.
- Zusammensetzung gemäss Anspruch 2 enthaltend die Komponenten a) bis f) mit den genannten Bedeutungen, dadurch gekennzeichnet, dass der Phosphorgehalt der Komponenten b) und c), bezogen auf die Zusammensetzung mit den Komponenten a), b) und c), 160 - 370 ppm beträgt.
- Zusammensetzung gemäss Anspruch 1 enthaltend b) mindestens einen Thiophosphorsäureester der Formel I, worin R1, R2 und R3 Substituenten aus der Gruppe C3-C20-Alkyl, C5-C12-Cycloalkyl, C7-C12-Bicycloalkyl, Phenyl, C7-C18-Alkylphenyl, C7-C18-Alkoxyphenyl, Naphthyl und C7-C9-Phenylalkyl bedeuten.
- Zusammensetzung gemäss Anspruch 1 enthaltend c) mindestens einen Dithiophosphorsäureester der Formel II, worin X Schwefel, R1 und R2 C3-C10-Alkyl und R3 durch Carboxy oder verestertes Carboxy substituiertes C2-C4-Alkyl bedeuten, oder Salze davon.
- Zusammensetzung gemäss Anspruch 1 enthaltend c) mindestens einen Dithiophosphorsäureester der Formel II, worin X Schwefel, R1 und R2 C3-C10-Alkyl und R3 2-Carboxyeth-1-yl oder 2-C1-C4-Alkoxycarbonyleth-1-yl bedeuten, oder Salze davon.
- Zusammensetzung gemäss Anspruch 2 enthaltend e) mindestens ein Ammoniumphosphatester der Formel III, worin R1 und R2 C1-C20-Alkyl, einer der Reste Ra, Rb, Rc und Rd Wasserstoff und die anderen Reste C1-C20-Alkyl darstellen.
- Zusammensetzung gemäss Anspruch 1 enthaltenda) ein Grundöl mit schmierender Viskosität, welches man für Fette, Metallbearbeitungs-, Getriebe- und Hydraulikflüssigkeiten verwendet;b) mindestens einen Thiophosphorsäureester aus der Gruppe der Thiophosphorsäureester der Formel I, worin R1, R2 und R3 Phenyl bedeuten, oder Gemische von Thiophosphorsäureestern der Formel I', worin x 0 bis 2,7, y 3 - (x + z), z 0 bis 3 - (x + y) und x + y + z = 3 ist, und Ar Phenyl oder C7-C18-Alkylphenyl darstellen;c) mindestens einen Dithiophosphorsäureester der Formel II, worin X Schwefel, R1 und R2 C3-C10-Alkyl und R3 2-Carboxyeth-1-yl oder 2-C1-C4-Alkoxycarbonyleth-1-yl bedeuten, oder Salze davon, d) mindestens ein Öladditiv aus der Gruppe der Polyolpartialester, Amine und Epoxide, dadurch gekennzeichnet, dass der Phosphorgehalt der Thiophosphorsäureester-Komponente b) kombiniert mit der Dithiophosphorsäureester- oder Phosphorsäurethioester-Komponente c) bezogen auf die Zusammensetzung mit den Komponenten a), b) und c) weniger als 400 ppm beträgt.
- Zusammensetzung gemäss Anspruch 2 enthaltenda) ein Grundöl mit schmierender Viskosität, welches man für Fette, Metallbearbeitungs-, Getriebe- und Hydraulikflüssigkeiten verwendet;b) mindestens einen Thiophosphorsäureester aus der Gruppe der Thiophosphorsäureester der Formel I, worin R1, R2 und R3 Phenyl bedeuten, oder Gemische von Thiophosphorsäureestern der Formel I', worin x 0 bis 2,7, y 3 - (x + z), z 0 bis 3 - (x + y) und x + y + z = 3 ist, und Ar Phenyl oder C7-C18-Alkylphenyl darstellen;c) mindestens einen Dithiophosphorsäureester der Formel II, worin X Schwefel, R1 und R2 C3-C10-Alkyl und R3 2-Carboxyeth-1-yl oder 2-C1-C4-Alkoxycarbonyleth-1-yl bedeuten, oder Salze davon,d) mindestens ein Öladditiv aus der Gruppe der Polyolpartialester, Amine und Epoxide; unde) mindestens ein Ammoniumphosphatester der Formel III, worin R1 und R2 C1-C20-Alkyl, einer der Reste Ra, Rb, Rc und Rd Wasserstoff und die anderen Reste C1-C20-Alkyl darstellen; undf) übliche Öladditive, dadurch gekennzeichnet, dass der Phosphorgehalt der Komponenten b), c) und e), bezogen auf die Gesamtzusammensetzung, weniger als 400 ppm beträgt.
- Konzentrat enthaltendb) mindestens einen Thiophosphorsäureester der Formel: worin R1, R2 und R3 C3-C20-Kohlenwasserstoffreste darstellen; undc) mindestens einen Dithiophosphorsäureester oder Phosphorsäurethioester der Formel: worin X Sauerstoff oder Schwefel und R1, R2 und R3 unsubstituierte oder substituierte C3-C20-Kohlenwasserstoffreste darstellen; undd) mindestens ein Öladditiv aus der Gruppe der Polyolpartialester, Amine und Epoxide;
- Verfahren zur Verbesserung der Gebrauchseigenschaften von Schmierstoffen, dadurch gekennzeichnet, dass man diesen mindestens eine Zusammensetzung gemäss Anspruch 1 zusetzt.
- Verwendung einer Zusammensetzung gemäss Anspruch 1 zur Verbesserung der Gebrauchseigenschaften von Schmierstoffen.
Applications Claiming Priority (2)
| Application Number | Priority Date | Filing Date | Title |
|---|---|---|---|
| CH2202/97 | 1997-09-18 | ||
| CH220297 | 1997-09-18 |
Publications (2)
| Publication Number | Publication Date |
|---|---|
| EP0903399A1 true EP0903399A1 (de) | 1999-03-24 |
| EP0903399B1 EP0903399B1 (de) | 2007-02-14 |
Family
ID=4228284
Family Applications (1)
| Application Number | Title | Priority Date | Filing Date |
|---|---|---|---|
| EP98810894A Expired - Lifetime EP0903399B1 (de) | 1997-09-18 | 1998-09-09 | Schmierstoffzusammensetzungen mit Thiophosphorsäureestern und Dithiophosphorsäureestern |
Country Status (5)
| Country | Link |
|---|---|
| US (1) | US6531429B2 (de) |
| EP (1) | EP0903399B1 (de) |
| JP (1) | JP4114180B2 (de) |
| KR (1) | KR100538777B1 (de) |
| DE (1) | DE59813902D1 (de) |
Cited By (6)
| Publication number | Priority date | Publication date | Assignee | Title |
|---|---|---|---|---|
| WO2002102945A1 (en) * | 2001-06-14 | 2002-12-27 | Ciba Specialty Chemicals Holding Inc. | Improved antiwear performance of engine oils with $g(b)-dithiophosphorylated propionic acids |
| EP1529830A1 (de) * | 2003-11-04 | 2005-05-11 | Chevron Oronite S.A. | Aschefreie Zusatzformulierungen für Hydrauliköl |
| WO2006100188A1 (en) * | 2005-03-21 | 2006-09-28 | Ciba Specialty Chemicals Holding Inc. | Antiwear lubricant compositions for use in combustion engines |
| EP2147967A1 (de) * | 2008-07-14 | 2010-01-27 | Afton Chemical Corporation | Thermisch stabiles, zinkfreies Verschleißschutzmittel |
| WO2011035865A1 (en) * | 2009-09-23 | 2011-03-31 | Cognis Ip Management Gmbh | Lubricant compositions |
| CN112080333A (zh) * | 2020-08-27 | 2020-12-15 | 统一石油化工有限公司 | 一种长寿命手动变速箱油组合物 |
Families Citing this family (40)
| Publication number | Priority date | Publication date | Assignee | Title |
|---|---|---|---|---|
| GB2353290A (en) * | 1999-08-17 | 2001-02-21 | Exxon Research Engineering Co | Stabilized lubricating formulation and method |
| JP2001303086A (ja) * | 2000-04-18 | 2001-10-31 | Chevron Oronite Ltd | 潤滑油組成物および添加剤組成物 |
| MXPA04001356A (es) * | 2001-08-14 | 2004-10-27 | United Soybean Board | Fluidos de labrado de metales de alto funcionamiento de ester de metilo a base de soya. |
| WO2003020855A1 (en) * | 2001-09-05 | 2003-03-13 | United Soybean Board | Soybean oil based metalworking fluids |
| US20040241309A1 (en) * | 2003-05-30 | 2004-12-02 | Renewable Lubricants. | Food-grade-lubricant |
| US20060211585A1 (en) * | 2003-09-12 | 2006-09-21 | Renewable Lubricants, Inc. | Vegetable oil lubricant comprising Fischer Tropsch synthetic oils |
| NZ545920A (en) * | 2003-09-12 | 2009-10-30 | Renewable Lubricants Inc | Vegetable oil lubricant comprising all-hydroprocessed synthetic oils |
| US7759294B2 (en) * | 2003-10-24 | 2010-07-20 | Afton Chemical Corporation | Lubricant compositions |
| US7595288B2 (en) * | 2004-02-06 | 2009-09-29 | Henkel Kommanditgesellschaft Auf Aktien | Antimicrobial metal working fluids |
| US20080058235A1 (en) * | 2004-03-25 | 2008-03-06 | Katsuya Takigawa | Lubricative Composition for Industrial Machinery and Equipment |
| JP2005290181A (ja) * | 2004-03-31 | 2005-10-20 | Nippon Oil Corp | ギヤ油組成物 |
| JP2005307202A (ja) * | 2004-03-25 | 2005-11-04 | Nippon Oil Corp | 潤滑油組成物 |
| JP2005307203A (ja) * | 2004-03-25 | 2005-11-04 | Nippon Oil Corp | 潤滑油組成物 |
| JP4641381B2 (ja) * | 2004-03-31 | 2011-03-02 | Jx日鉱日石エネルギー株式会社 | 抄紙機用潤滑油組成物 |
| US20060090393A1 (en) * | 2004-10-29 | 2006-05-04 | Rowland Robert G | Epoxidized ester additives for reducing lead corrosion in lubricants and fuels |
| WO2006078035A1 (ja) * | 2005-01-24 | 2006-07-27 | Nsk Ltd. | 転がり軸受、ハブユニット軸受用グリース組成物及び車両用ハブユニット軸受 |
| US7579306B2 (en) * | 2005-03-02 | 2009-08-25 | Chemtura Corporation | Method for improving the oxidative stability of industrial fluids |
| US7648948B2 (en) | 2005-04-08 | 2010-01-19 | Exxonmobil Chemical Patents Inc. | Additive system for lubricants |
| BRPI0610628A8 (pt) * | 2005-04-26 | 2016-03-08 | Renewable Lubricants Inc | lubrificante, processo para aprimorar a lubrificação de equipamento |
| US7754664B2 (en) * | 2006-09-19 | 2010-07-13 | Ut-Battelle, Llc | Lubricants or lubricant additives composed of ionic liquids containing ammonium cations |
| WO2008038701A1 (en) * | 2006-09-28 | 2008-04-03 | Idemitsu Kosan Co., Ltd. | Lubricating oil composition |
| US7772168B2 (en) | 2006-11-30 | 2010-08-10 | R.T. Vanderbilt Company, Inc. | Vegetable oil lubricating composition |
| KR20170134779A (ko) * | 2009-01-20 | 2017-12-06 | 더루우브리졸코오포레이션 | 마모 성질이 개량된 유압 조성물 |
| US20100210487A1 (en) * | 2009-02-16 | 2010-08-19 | Chemtura Coproration | Fatty sorbitan ester based friction modifiers |
| US9296969B2 (en) * | 2009-02-16 | 2016-03-29 | Chemtura Corporation | Fatty sorbitan ester based friction modifiers |
| JP5965231B2 (ja) * | 2012-07-12 | 2016-08-03 | 出光興産株式会社 | 緩衝器用潤滑油組成物 |
| WO2014078702A1 (en) | 2012-11-16 | 2014-05-22 | Basf Se | Lubricant compositions comprising epoxide compounds to improve fluoropolymer seal compatibility |
| US20140171348A1 (en) * | 2012-12-14 | 2014-06-19 | Exxonmobil Research And Engineering Company | Ionic liquids as lubricating oil base stocks, cobase stocks and multifunctional functional fluids |
| GB201317278D0 (en) * | 2013-09-30 | 2013-11-13 | Croda Int Plc | Gear oil composition |
| JP6050213B2 (ja) * | 2013-11-01 | 2016-12-21 | Jxエネルギー株式会社 | 潤滑油組成物 |
| CN107001967B (zh) * | 2014-11-04 | 2020-08-21 | Jxtg能源株式会社 | 冷冻机油 |
| US9732301B2 (en) * | 2014-11-05 | 2017-08-15 | Infineum International Limited | Power transmitting fluids with improved materials compatibility |
| JP6669343B2 (ja) * | 2015-02-27 | 2020-03-18 | 出光興産株式会社 | 生分解性潤滑油組成物 |
| US20180216023A1 (en) * | 2015-07-24 | 2018-08-02 | Evonik Oil Additives Gmbh | Use of polyclycerin esters as friction modifiers in lubricant formulations |
| EP3393530B1 (de) * | 2015-12-23 | 2022-08-31 | Henkel AG & Co. KGaA | Metallbearbeitungsflüssigkeit |
| US10800991B2 (en) * | 2016-03-31 | 2020-10-13 | Idemitsu Kosan Co., Ltd. | Lubricating oil composition, and precision reduction gear using same |
| WO2017171020A1 (ja) * | 2016-03-31 | 2017-10-05 | 出光興産株式会社 | 潤滑油組成物及びそれを使用した精密減速機 |
| US9995110B2 (en) * | 2016-06-29 | 2018-06-12 | Peter Kris Cleven | Methods and systems for stimulating and restimulating a well |
| CA3066365A1 (en) * | 2017-06-20 | 2018-12-27 | The Lubrizol Corporation | Lubricating composition |
| CN114657012B (zh) * | 2022-04-20 | 2023-01-03 | 卡松科技股份有限公司 | 一种高清洁高压无灰抗磨液压油组合物及其制备方法 |
Citations (5)
| Publication number | Priority date | Publication date | Assignee | Title |
|---|---|---|---|---|
| GB1043488A (en) * | 1963-12-27 | 1966-09-21 | Shell Int Research | Lubricating oil compositions containing organo phosphorus complexes, the preparation thereof and the complexes thus prepared |
| GB1506196A (en) * | 1974-02-11 | 1978-04-05 | Stauffer Chemical Co | Fluids in particular hydraulic fluids containing ammonium salts of phosphorus acids |
| US4431552A (en) * | 1982-11-26 | 1984-02-14 | Chevron Research Company | Lubricant composition containing an alkali-metal borate and a mixture of phosphates, monothiophosphates and dithiophosphates in a critical ratio |
| GB2178446A (en) * | 1985-07-31 | 1987-02-11 | Chevron Res | Lubricant additive composition containing a neutralized mixture of phosphates |
| US5531911A (en) * | 1994-02-11 | 1996-07-02 | The Lubrizol Corporation | Metal free hydraulic fluid with amine salt |
Family Cites Families (10)
| Publication number | Priority date | Publication date | Assignee | Title |
|---|---|---|---|---|
| US2250049A (en) | 1938-12-19 | 1941-07-22 | Dow Chemical Co | Mixed triaryl thiophosphates |
| US3254027A (en) | 1962-04-05 | 1966-05-31 | Sinclair Research Inc | Lubricating oil compositions |
| GB1287331A (en) | 1970-01-29 | 1972-08-31 | Ciba Geigy Uk Ltd | Phosphorodithioic acid esters |
| US4333841A (en) | 1978-10-19 | 1982-06-08 | Ciba-Geigy Corporation | Dithiophosphate lubricant additives |
| US4544492A (en) | 1983-05-09 | 1985-10-01 | Ciba-Geigy Corporation | Lubricant compositions |
| DE58904011D1 (de) | 1988-11-08 | 1993-05-13 | Ciba Geigy Ag | Schmierstoffzusammensetzungen. |
| TW279839B (de) | 1992-06-02 | 1996-07-01 | Ciba Geigy Ag | |
| JPH0680981A (ja) * | 1992-08-31 | 1994-03-22 | Tonen Corp | 内燃機関用潤滑油組成物 |
| ATE175438T1 (de) * | 1993-09-13 | 1999-01-15 | Exxon Research Engineering Co | Schmiermittelzusammensetzungen enthaltend eine kombination von verschleissschutz-additiven |
| JPH08183986A (ja) | 1994-12-27 | 1996-07-16 | Tonen Corp | 流体継手用流体組成物 |
-
1998
- 1998-09-09 DE DE59813902T patent/DE59813902D1/de not_active Expired - Lifetime
- 1998-09-09 EP EP98810894A patent/EP0903399B1/de not_active Expired - Lifetime
- 1998-09-18 JP JP28339698A patent/JP4114180B2/ja not_active Expired - Fee Related
- 1998-09-18 KR KR1019980038646A patent/KR100538777B1/ko not_active Expired - Fee Related
-
2001
- 2001-08-17 US US09/932,762 patent/US6531429B2/en not_active Expired - Lifetime
Patent Citations (5)
| Publication number | Priority date | Publication date | Assignee | Title |
|---|---|---|---|---|
| GB1043488A (en) * | 1963-12-27 | 1966-09-21 | Shell Int Research | Lubricating oil compositions containing organo phosphorus complexes, the preparation thereof and the complexes thus prepared |
| GB1506196A (en) * | 1974-02-11 | 1978-04-05 | Stauffer Chemical Co | Fluids in particular hydraulic fluids containing ammonium salts of phosphorus acids |
| US4431552A (en) * | 1982-11-26 | 1984-02-14 | Chevron Research Company | Lubricant composition containing an alkali-metal borate and a mixture of phosphates, monothiophosphates and dithiophosphates in a critical ratio |
| GB2178446A (en) * | 1985-07-31 | 1987-02-11 | Chevron Res | Lubricant additive composition containing a neutralized mixture of phosphates |
| US5531911A (en) * | 1994-02-11 | 1996-07-02 | The Lubrizol Corporation | Metal free hydraulic fluid with amine salt |
Cited By (10)
| Publication number | Priority date | Publication date | Assignee | Title |
|---|---|---|---|---|
| WO2002102945A1 (en) * | 2001-06-14 | 2002-12-27 | Ciba Specialty Chemicals Holding Inc. | Improved antiwear performance of engine oils with $g(b)-dithiophosphorylated propionic acids |
| EP1529830A1 (de) * | 2003-11-04 | 2005-05-11 | Chevron Oronite S.A. | Aschefreie Zusatzformulierungen für Hydrauliköl |
| WO2006100188A1 (en) * | 2005-03-21 | 2006-09-28 | Ciba Specialty Chemicals Holding Inc. | Antiwear lubricant compositions for use in combustion engines |
| CN101146898B (zh) * | 2005-03-21 | 2012-01-11 | 西巴特殊化学品控股有限公司 | 在燃机中使用的抗磨损润滑剂组合物 |
| EP2147967A1 (de) * | 2008-07-14 | 2010-01-27 | Afton Chemical Corporation | Thermisch stabiles, zinkfreies Verschleißschutzmittel |
| WO2011035865A1 (en) * | 2009-09-23 | 2011-03-31 | Cognis Ip Management Gmbh | Lubricant compositions |
| EP2305782A1 (de) * | 2009-09-23 | 2011-04-06 | Cognis IP Management GmbH | Schmiermittelzusammensetzungen |
| US8969267B2 (en) | 2009-09-23 | 2015-03-03 | Cognis Ip Management Gmbh | Lubricant compositions |
| CN112080333A (zh) * | 2020-08-27 | 2020-12-15 | 统一石油化工有限公司 | 一种长寿命手动变速箱油组合物 |
| CN112080333B (zh) * | 2020-08-27 | 2022-09-13 | 统一石油化工有限公司 | 一种长寿命手动变速箱油组合物 |
Also Published As
| Publication number | Publication date |
|---|---|
| KR19990029924A (ko) | 1999-04-26 |
| US6531429B2 (en) | 2003-03-11 |
| EP0903399B1 (de) | 2007-02-14 |
| DE59813902D1 (de) | 2007-03-29 |
| US20020016266A1 (en) | 2002-02-07 |
| JP4114180B2 (ja) | 2008-07-09 |
| JPH11217577A (ja) | 1999-08-10 |
| KR100538777B1 (ko) | 2006-04-28 |
Similar Documents
| Publication | Publication Date | Title |
|---|---|---|
| EP0903399B1 (de) | Schmierstoffzusammensetzungen mit Thiophosphorsäureestern und Dithiophosphorsäureestern | |
| DE60029049T2 (de) | Stabilisierte hydroraffinierte und hydroentparaffinierte Schmiermittelzusammensetzungen | |
| DE4317943B4 (de) | Dithiophosphorsäurederivate als Schmiermitteladditive | |
| EP0819754A1 (de) | Beta-Dithiophosphorylierte Propionsäure in Schmierstoffen | |
| DE10145952B4 (de) | Schmiermittel mit einem Gehalt an mit 5-tert.-Butyl-4-hydroxy-3-methylphenyl substituierten Fettsäureestern und deren Verwendung | |
| DE19824790B4 (de) | Nonylierte Diphenylamine | |
| EP2142624A2 (de) | Gemischte schmiermittelzusammensetzung | |
| US20090221458A1 (en) | Succinic acid semi-amides as anti-corrosive agents | |
| US7026438B2 (en) | Liquid phenolic sulphur-containing antioxidants | |
| EP0849282A2 (de) | Polymere multifunktionelle Schmierstoffadditive | |
| DE19834951A1 (de) | Heterocyclische Thioether als Additive für Schmiermittel | |
| DE4317980B9 (de) | Bis-Dithiophosphorsäurederivate als Schmiermitteladditive | |
| EP0737684B1 (de) | (Benz)Triazolreste enthaltende Verbindungen, deren Herstellung und deren Verwendung als Metalldesaktivatoren und Korrosionsschutzmittel | |
| CA2466737C (en) | Aqueous functional fluids with antioxidants | |
| EP0524145B1 (de) | Multifunktionelle Schmierstoff-Additive | |
| US20090105102A1 (en) | Benzotriazole Compositions | |
| EP0894793A1 (de) | Phosphorfreie multifunktionelle Schmiermitteladditive | |
| EP0595771B1 (de) | Phosphorfreie Schmiermitteladditive | |
| DE102015204009B4 (de) | Verwendung einer Schmierstoffzusammensetzung zur Schmierung eines Doppelkupplungsgetriebes | |
| US20110212864A1 (en) | Benzotriazole compositions | |
| DE4317911A1 (de) | Trisamidodithionodiphosphate |
Legal Events
| Date | Code | Title | Description |
|---|---|---|---|
| PUAI | Public reference made under article 153(3) epc to a published international application that has entered the european phase |
Free format text: ORIGINAL CODE: 0009012 |
|
| AK | Designated contracting states |
Kind code of ref document: A1 Designated state(s): DE FR GB IT SE |
|
| AX | Request for extension of the european patent |
Free format text: AL;LT;LV;MK;RO;SI |
|
| AKX | Designation fees paid |
Free format text: DE FR GB IT SE |
|
| 17P | Request for examination filed |
Effective date: 19990820 |
|
| 17Q | First examination report despatched |
Effective date: 20010308 |
|
| GRAP | Despatch of communication of intention to grant a patent |
Free format text: ORIGINAL CODE: EPIDOSNIGR1 |
|
| RIC1 | Information provided on ipc code assigned before grant |
Ipc: C10M 141/10 20060101AFI20060731BHEP |
|
| GRAS | Grant fee paid |
Free format text: ORIGINAL CODE: EPIDOSNIGR3 |
|
| GRAA | (expected) grant |
Free format text: ORIGINAL CODE: 0009210 |
|
| AK | Designated contracting states |
Kind code of ref document: B1 Designated state(s): DE FR GB IT SE |
|
| REG | Reference to a national code |
Ref country code: GB Ref legal event code: FG4D Free format text: NOT ENGLISH |
|
| GBT | Gb: translation of ep patent filed (gb section 77(6)(a)/1977) |
Effective date: 20070214 |
|
| REF | Corresponds to: |
Ref document number: 59813902 Country of ref document: DE Date of ref document: 20070329 Kind code of ref document: P |
|
| REG | Reference to a national code |
Ref country code: SE Ref legal event code: TRGR |
|
| ET | Fr: translation filed | ||
| PLBE | No opposition filed within time limit |
Free format text: ORIGINAL CODE: 0009261 |
|
| STAA | Information on the status of an ep patent application or granted ep patent |
Free format text: STATUS: NO OPPOSITION FILED WITHIN TIME LIMIT |
|
| 26N | No opposition filed |
Effective date: 20071115 |
|
| PGFP | Annual fee paid to national office [announced via postgrant information from national office to epo] |
Ref country code: SE Payment date: 20120927 Year of fee payment: 15 |
|
| REG | Reference to a national code |
Ref country code: SE Ref legal event code: EUG |
|
| PG25 | Lapsed in a contracting state [announced via postgrant information from national office to epo] |
Ref country code: SE Free format text: LAPSE BECAUSE OF NON-PAYMENT OF DUE FEES Effective date: 20130910 |
|
| REG | Reference to a national code |
Ref country code: FR Ref legal event code: PLFP Year of fee payment: 18 |
|
| PGFP | Annual fee paid to national office [announced via postgrant information from national office to epo] |
Ref country code: GB Payment date: 20150930 Year of fee payment: 18 |
|
| PGFP | Annual fee paid to national office [announced via postgrant information from national office to epo] |
Ref country code: FR Payment date: 20150928 Year of fee payment: 18 |
|
| PGFP | Annual fee paid to national office [announced via postgrant information from national office to epo] |
Ref country code: IT Payment date: 20150925 Year of fee payment: 18 Ref country code: DE Payment date: 20151130 Year of fee payment: 18 |
|
| REG | Reference to a national code |
Ref country code: DE Ref legal event code: R119 Ref document number: 59813902 Country of ref document: DE |
|
| GBPC | Gb: european patent ceased through non-payment of renewal fee |
Effective date: 20160909 |
|
| REG | Reference to a national code |
Ref country code: FR Ref legal event code: ST Effective date: 20170531 |
|
| PG25 | Lapsed in a contracting state [announced via postgrant information from national office to epo] |
Ref country code: DE Free format text: LAPSE BECAUSE OF NON-PAYMENT OF DUE FEES Effective date: 20170401 Ref country code: FR Free format text: LAPSE BECAUSE OF NON-PAYMENT OF DUE FEES Effective date: 20160930 Ref country code: GB Free format text: LAPSE BECAUSE OF NON-PAYMENT OF DUE FEES Effective date: 20160909 |
|
| PG25 | Lapsed in a contracting state [announced via postgrant information from national office to epo] |
Ref country code: IT Free format text: LAPSE BECAUSE OF NON-PAYMENT OF DUE FEES Effective date: 20160909 |
















