EP0802961B2 - Compositions de carburant - Google Patents
Compositions de carburant Download PDFInfo
- Publication number
- EP0802961B2 EP0802961B2 EP96900311A EP96900311A EP0802961B2 EP 0802961 B2 EP0802961 B2 EP 0802961B2 EP 96900311 A EP96900311 A EP 96900311A EP 96900311 A EP96900311 A EP 96900311A EP 0802961 B2 EP0802961 B2 EP 0802961B2
- Authority
- EP
- European Patent Office
- Prior art keywords
- fuel oil
- fuel
- weight
- use according
- carbon atoms
- Prior art date
- Legal status (The legal status is an assumption and is not a legal conclusion. Google has not performed a legal analysis and makes no representation as to the accuracy of the status listed.)
- Revoked
Links
Classifications
-
- C—CHEMISTRY; METALLURGY
- C10—PETROLEUM, GAS OR COKE INDUSTRIES; TECHNICAL GASES CONTAINING CARBON MONOXIDE; FUELS; LUBRICANTS; PEAT
- C10L—FUELS NOT OTHERWISE PROVIDED FOR; NATURAL GAS; SYNTHETIC NATURAL GAS OBTAINED BY PROCESSES NOT COVERED BY SUBCLASSES C10G OR C10K; LIQUIFIED PETROLEUM GAS; USE OF ADDITIVES TO FUELS OR FIRES; FIRE-LIGHTERS
- C10L10/00—Use of additives to fuels or fires for particular purposes
- C10L10/08—Use of additives to fuels or fires for particular purposes for improving lubricity; for reducing wear
-
- C—CHEMISTRY; METALLURGY
- C10—PETROLEUM, GAS OR COKE INDUSTRIES; TECHNICAL GASES CONTAINING CARBON MONOXIDE; FUELS; LUBRICANTS; PEAT
- C10L—FUELS NOT OTHERWISE PROVIDED FOR; NATURAL GAS; SYNTHETIC NATURAL GAS OBTAINED BY PROCESSES NOT COVERED BY SUBCLASSES C10G OR C10K; LIQUIFIED PETROLEUM GAS; USE OF ADDITIVES TO FUELS OR FIRES; FIRE-LIGHTERS
- C10L1/00—Liquid carbonaceous fuels
- C10L1/10—Liquid carbonaceous fuels containing additives
- C10L1/14—Organic compounds
- C10L1/22—Organic compounds containing nitrogen
-
- C—CHEMISTRY; METALLURGY
- C10—PETROLEUM, GAS OR COKE INDUSTRIES; TECHNICAL GASES CONTAINING CARBON MONOXIDE; FUELS; LUBRICANTS; PEAT
- C10L—FUELS NOT OTHERWISE PROVIDED FOR; NATURAL GAS; SYNTHETIC NATURAL GAS OBTAINED BY PROCESSES NOT COVERED BY SUBCLASSES C10G OR C10K; LIQUIFIED PETROLEUM GAS; USE OF ADDITIVES TO FUELS OR FIRES; FIRE-LIGHTERS
- C10L1/00—Liquid carbonaceous fuels
- C10L1/10—Liquid carbonaceous fuels containing additives
- C10L1/14—Organic compounds
- C10L1/22—Organic compounds containing nitrogen
- C10L1/222—Organic compounds containing nitrogen containing at least one carbon-to-nitrogen single bond
- C10L1/2222—(cyclo)aliphatic amines; polyamines (no macromolecular substituent 30C); quaternair ammonium compounds; carbamates
- C10L1/2225—(cyclo)aliphatic amines; polyamines (no macromolecular substituent 30C); quaternair ammonium compounds; carbamates hydroxy containing
-
- C—CHEMISTRY; METALLURGY
- C10—PETROLEUM, GAS OR COKE INDUSTRIES; TECHNICAL GASES CONTAINING CARBON MONOXIDE; FUELS; LUBRICANTS; PEAT
- C10L—FUELS NOT OTHERWISE PROVIDED FOR; NATURAL GAS; SYNTHETIC NATURAL GAS OBTAINED BY PROCESSES NOT COVERED BY SUBCLASSES C10G OR C10K; LIQUIFIED PETROLEUM GAS; USE OF ADDITIVES TO FUELS OR FIRES; FIRE-LIGHTERS
- C10L1/00—Liquid carbonaceous fuels
- C10L1/10—Liquid carbonaceous fuels containing additives
- C10L1/14—Organic compounds
- C10L1/22—Organic compounds containing nitrogen
- C10L1/234—Macromolecular compounds
- C10L1/238—Macromolecular compounds obtained otherwise than by reactions involving only carbon-to-carbon unsaturated bonds
-
- C—CHEMISTRY; METALLURGY
- C10—PETROLEUM, GAS OR COKE INDUSTRIES; TECHNICAL GASES CONTAINING CARBON MONOXIDE; FUELS; LUBRICANTS; PEAT
- C10L—FUELS NOT OTHERWISE PROVIDED FOR; NATURAL GAS; SYNTHETIC NATURAL GAS OBTAINED BY PROCESSES NOT COVERED BY SUBCLASSES C10G OR C10K; LIQUIFIED PETROLEUM GAS; USE OF ADDITIVES TO FUELS OR FIRES; FIRE-LIGHTERS
- C10L1/00—Liquid carbonaceous fuels
- C10L1/10—Liquid carbonaceous fuels containing additives
- C10L1/14—Organic compounds
- C10L1/22—Organic compounds containing nitrogen
- C10L1/234—Macromolecular compounds
- C10L1/238—Macromolecular compounds obtained otherwise than by reactions involving only carbon-to-carbon unsaturated bonds
- C10L1/2383—Polyamines or polyimines, or derivatives thereof (poly)amines and imines; derivatives thereof (substituted by a macromolecular group containing 30C)
- C10L1/2387—Polyoxyalkyleneamines (poly)oxyalkylene amines and derivatives thereof (substituted by a macromolecular group containing 30C)
Definitions
- This invention relates to the use of an additive for providing a low sulphur fuel oil with improved lubricity and other benefits and to fuel oil compositions containing the additives.
- US-A-4,409,000 describes additives for normally liquid fuels for providing carburettor and engine detergency
- a combination of at least one hydroxyl amine of specified formula and at least one hydrocarbon soluble carboxylic dispersant is proposed for inhibiting the formation of sludge in the carburettor and engine.
- the sole exemplification relates to the use of such combinations of ingredient in gasoline.
- the compositions provide carburettor and engine detergency no other information is provided as to properties provided by these compositions.
- US-A-2,527,889 describes polyhydroxy alcohol esters as primary anti-corrosion additives in diesel engine fuel
- GB-A-1,505,302 describes ester combinations including, for example, glycerol monoesters and glycerol diesters as diesel fuel additives, for combinations being described as leading to advantage including less wear of the fuel-injection equipment, piston rings and cylinder liners.
- GB-A-1,505,302 is, however, concerned with overcoming the operational disadvantages of corrosion and wear by acidic combustion products, residues in the combustion chamber and in the exhaust system.
- the document states that these disadvantages are due to incomplete combustion under certain operating conditions.
- Typical diesel fuels available at the date of the document contained, for example, from 0.5 to 1 % by weight of sulphur, as elemental sulphur, based on the weight of the fuel.
- the sulphur content of diesel fuels has now been or will be lowered in a number of countries for environmental reasons, i.e. to reduce sulphur dioxide emissions.
- heating oil and diesel fuel sulphur content are being harmonised by the CEC at a maximum of 0.2% by weight, and, at a second stage, the maximum content in diesel fuel will be 0.05% by weight Complete conversion to the 0.05% maximum may be required during 1996.
- the process for preparing low sulphur content fuels in addition to reducing sulphur content, also reduces the content of other components of the fuel such as polyaromatic components and polar components. Reducing one or more of the sulphur, polyaromatic and polar component content of the fuel creates a new problem in use of the fuel, i. e. the ability of the fuel to lubricate the injection system of the engine is reduced such that, for example, the fuel injection pump of the engine can fall relatively early in the life of an engine, failure being, e.g. in rotary distributor pumps, in high pressure fuel injection systems such as high pressure rotary distributors, in-line pumps and unit injectors and injectors. Such severe failures are not due to corrosive wear as described in GB-A-1,505,302.
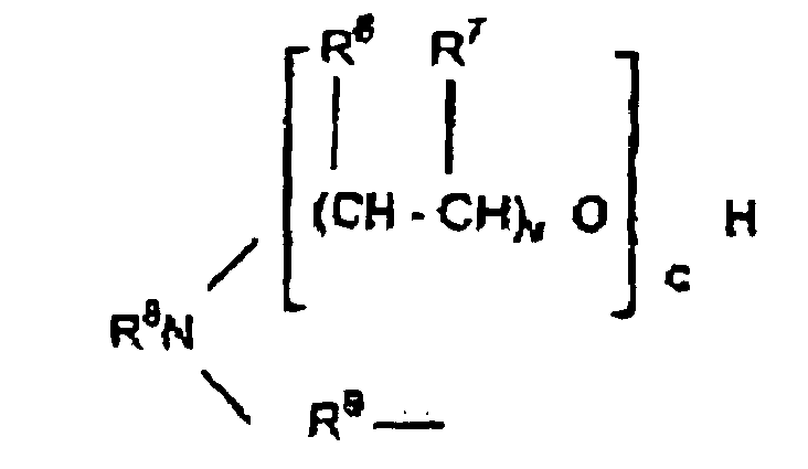
- R 1 is an alkenyl radical having one or more double bonds or an alkyl radical and containing from 12 to 50 carbon atoms, or a radical of the formula: where each of R 2 , R 3 , R 4 , R 5 , R 6 and R 7 is independently hydrogen or a lower alkyl radical; R 8 is an alkenyl radical having one or more double bonds or an alkyl radical and containing from 12 to 50 carbon atoms; R 9 is an alkylene radical containing from 2 to 35, e.g.
- each of p, q and v is an integer between 1 and 4; and each of a, b and c may be 0, providing that at least one of a, b or c is an integer between 1 and 75; in a fuel oil composition comprising major proportion of a liquid hydrocarbon middle distillate fuel oil having a sulphur content of between 0.05% and 0.005% by weight of the fuel oil, to improve the lubricity thereof.
- the additive in use of the composition in a compression-ignition internal combustion engine, is capable of forming over the range of operating conditions of the engine, at least partial mono- or multi-molecular layers of the additive on surfaces of the injection system, particularly the injector pump that are in moving contact with one another, the composition being such as to give rise, when compared with a composition lacking the additive, to one or more of a reduction in wear, a reduction in friction, or an increase in electrical contact resistance in any test where two or more loaded bodies are in relative motion under non-hydrodynamic lubricating conditions.
- the inclusion of the additive in the fuel oil has been found to give rise to the further advantage that the tendency of the fuel oil to foam is markedly reduced, whereby the antifoaming agents conventionally added thereto may be reduced or even eliminated.
- the additive which may be a single hydroxy amine compound or mixture of compounds, is capable of forming at least partial layers on certain surfaces of the engine.
- the layer formed is not necessarily complete on the contacting surface. Thus, it may cover only part of the area of that contacting surface, for example 10% or more, or 50% or more.
- the formation of such layers and the extent of their coverage of a contacting surface can be demonstrated by, for example, measuring electrical contact resistance or electrical capacitance.
- An example of a test that can be used to demonstrate one or more of a reduction in wear, a reduction in friction or an increase in electrical contact resistance according to this invention is the High Frequency Reciprocating Rig test which will be referred to hereinafter.
- the hydroxy amine compounds identified above as suitable for use in the invention must contain a group, R 1 or R 8 , attached to a nitrogen atom which is an alkyl or alkenyl group having one or more double bonds, containing 12 to 50, preferably 12 to 30, and more preferably 12 to 25 carbon atoms.
- the hydroxy functionality is provided by at least one hydroxy alkyl group attached to a nitrogen atom, either directly (as illustrated, for example, by the moiety when a is 1, or indirectly via an oxyalkylene or polyoxyalkylene linking group (when, for example, a is 2 or more.
- the hydroxy alkyl group and the oxyalkylene units of any linking group may contain from 2 to 6 carbon atoms, optionally substituted with lower alkyl radicals.
- By 'lower' alkyl is meant an alkyl group containing 6 or less carbon atoms.
- p, q and v, .if present, are equal to 1.
- the hydroxy alkyl group and the oxyalkylene units of any linking group may together form a chain having up to 75 units including the terminal hydroxy alkyl group.
- the number of oxyalkylene units does not exceed 10.
- the most preferred number represented by a, b and c in the structural formula is 1 for each of a, b and when present, c.
- radicals R 2 , R 3 , R 4 , R 5 , R 6 and R 7 are preferably hydrogen or methyl.
- R 9 is preferably an alkylene radical containing from 2 to 6 carbon atoms, which may be a straight or branched chain of carbon atoms.
- Suitable hydroxy amines may be prepared by reaction of amine, substituted with an appropriate R 1 or R 8 group and having residual amine functionality, with an alkylene oxide, such as ethylene oxide or propylene oxide.
- Suitable ethoxyamines are commercially available from Armak Company under the trade names 'Ethomeen' and 'Ethanolomeen'.
- concentration of hydroxy amine which is effective in significantly improving the lubricity of the fuel is extremely low and may readily be determined by the wear tests identified in the Examples. In general, a noticeable reduction in wear is observed using as little as 5 ppm of additive by weight of fuel. Preferred concentrations range from 10 ppm to 0.2% by weight. Although higher concentrations may be used the wear test should be used to determine the optimum concentration. For reasons of economics the minimum effective amount should be used. A concentration between 25 ppm and 1000 ppm is preferred.
- the additives of the invention are effective when used with a liquid hydrocarbon middle distillate fuel oil containing not greater than 0 ⁇ 05% by weight of sulphur, such as 0.01% by weight or less, and may be as low as 0.005% by weight.
- sulphur such as 0.01% by weight or less
- the art describes methods of reducing the sulphur concentration of hydrocarbon distillate fuel oils, such methods including for example solvent extraction, sulphuric acid treatment, and hydrodesulphurisation.
- Middle distillate fuel oils to which this invention is applicable generally boil within the range of 100°C to 500°C, e.g. 150°C to 400°C.
- the fuel oil can comprise atmospheric distillate or vacuum distillate, or cracked gas oil or a blend in any proportion of straight run and thermally and/or catalytically cracked distillates.
- the most common petroleum distillates are kerosene, jet fuels, diesel fuels, heating oils and heavy fuel oils, diesel fuels being preferred in the practice of the present invention for the above-mentioned reasons.
- the heating oil may be a straight atmospheric distillate, or it may contain amounts, e.g. up to 35% by weight of vacuum gas oil or of cracked gas oils or of both.
- the additive may be incorporated into bulk fuel oil by methods known in the art.
- the additive may be so incorporated in the form of a concentrate comprising an admixture of the additive and a liquid carrier medium compatible with the fuel oil, the additive being dispersed in the liquid medium.
- Such concentrates preferably contain from 3 to 75 wt %, more preferably 3 to 60 wt %, most preferably 10 to 50 wt % of the additive, preferably in solution in the oil.
- carrier liquid examples include organic solvents including hydrocarbon solvents, for example petroleum fractions such as naphtha, kerosene and heater oil; aromatic hydrocarbons; paraffinic hydrocarbons such as hexane and pentane; alkahols; isoparaffins; and alkoxyalkanols.
- hydrocarbon solvents for example petroleum fractions such as naphtha, kerosene and heater oil
- aromatic hydrocarbons paraffinic hydrocarbons such as hexane and pentane
- alkahols isoparaffins
- alkoxyalkanols alkoxyalkanols.
- the additives of the invention may be used singly or as mixtures of more than one additive. They may also be used in combination with one or more co-additives such as known in the art, for example the following: detergents, antioxidants (to avoid fuel degradation), corrosion inhibitors, dehazers, demulsifiers, metal deactivators, antifoaming agents, cetane improvers, cosolvents, package compatibilisers, and middle distillate cold flow improvers.
- co-additives such as known in the art, for example the following: detergents, antioxidants (to avoid fuel degradation), corrosion inhibitors, dehazers, demulsifiers, metal deactivators, antifoaming agents, cetane improvers, cosolvents, package compatibilisers, and middle distillate cold flow improvers.
- the Additive A was dissolved in the fuels I and II at various concentrations and the resulting compositions tested using the High Frequency Reciprocating Rig (or HFRR) test described in D. Wei and H. Spikes, Wear, Vol. 111, No. 2, p. 217, 1986; and R. Caprotti, C. Bovington, W. Fowler and M. Taylor, SAE paper 922183. SAE fuels and,lubes meeting Oct. 1992, San Francisco, USA.
- HFRR High Frequency Reciprocating Rig
- This test is known to provide a measure of the lubricity of a fuel.
Landscapes
- Chemical & Material Sciences (AREA)
- Oil, Petroleum & Natural Gas (AREA)
- Engineering & Computer Science (AREA)
- Organic Chemistry (AREA)
- Chemical Kinetics & Catalysis (AREA)
- General Chemical & Material Sciences (AREA)
- Combustion & Propulsion (AREA)
- Liquid Carbonaceous Fuels (AREA)
- Solid Fuels And Fuel-Associated Substances (AREA)
- Fuel-Injection Apparatus (AREA)
Claims (7)
- Utilisation d'une petite proportion d'au moins une hydroxyamine de formule :
dans laquelle R1 représente un radical alcényle ayant une ou plusieurs doubles liaisons ou un radical alkyle et contenant 12 à 50 atomes de carbone, ou un radical de formule : formules dans lesquelles chacun des groupes R2, R3, R4, R5, R6 et R7 représente indépendamment un atome d'hydrogène ou un radical alkyle inférieur ; R8 représente un radical alcényle ayant une ou plusieurs doubles liaisons ou un radical alkyle et contenant 12 à 50 atomes de carbone ; R9 représente un radical alkylène contentant 2 à 35 atomes de carbone ; chacun de p, q et v représente un nombre entier de 1 à 4 et chacun de a, b et c peut être égal à 0, sous réserve qu'au moins un de a, b et c représente un nombre entier de 1 à 75, dans une composition de fuel-oil comprenant une proportion dominante d'un fuel-oil distillé moyen hydrocarboné liquide ayant une teneur en soufre de 0,05 à 0,005 % en poids du fuel-oil, pour améliorer son pouvoir lubrifiant. - Utilisation suivant la revendication 1, dans laquelle la teneur en soufre est non supérieure à 0,01 % en poids.
- Utilisation suivant l'une quelconque des revendications précédentes, dans laquelle R1 ou R8, s'il est présent, contient 12 à 25 atomes de carbone.
- Utilisation suivant l'une quelconque des revendications précédentes, dans laquelle a, b et c, s'ils sont présents, ne dépassent pas 10.
- Utilisation suivant l'une quelconque des revendications précédentes, dans laquelle R2 à R7 représentent des atomes d'hydrogène ou des groupes méthyle.
- Utilisation suivant l'une quelconque des revendications précédentes, dans laquelle la concentration d'hydroxyamine est comprise dans l'intervalle de 1 ppm à 7 ppm en poids du fuel-oil.
Applications Claiming Priority (3)
| Application Number | Priority Date | Filing Date | Title |
|---|---|---|---|
| GB9500460 | 1995-01-10 | ||
| GBGB9500460.2A GB9500460D0 (en) | 1995-01-10 | 1995-01-10 | Fuel compositions |
| PCT/EP1996/000084 WO1996021709A1 (fr) | 1995-01-10 | 1996-01-09 | Compositions de carburant |
Publications (3)
| Publication Number | Publication Date |
|---|---|
| EP0802961A1 EP0802961A1 (fr) | 1997-10-29 |
| EP0802961B1 EP0802961B1 (fr) | 1999-03-10 |
| EP0802961B2 true EP0802961B2 (fr) | 2006-03-22 |
Family
ID=10767835
Family Applications (1)
| Application Number | Title | Priority Date | Filing Date |
|---|---|---|---|
| EP96900311A Revoked EP0802961B2 (fr) | 1995-01-10 | 1996-01-09 | Compositions de carburant |
Country Status (7)
| Country | Link |
|---|---|
| EP (1) | EP0802961B2 (fr) |
| JP (1) | JPH10512008A (fr) |
| KR (1) | KR100345016B1 (fr) |
| AT (1) | ATE177467T1 (fr) |
| DE (1) | DE69601701T3 (fr) |
| GB (1) | GB9500460D0 (fr) |
| WO (1) | WO1996021709A1 (fr) |
Families Citing this family (12)
| Publication number | Priority date | Publication date | Assignee | Title |
|---|---|---|---|---|
| EP0869163A1 (fr) * | 1997-04-03 | 1998-10-07 | Mobil Oil Corporation | Méthode de réduction du frottement du moteur |
| US6562086B1 (en) | 1997-06-26 | 2003-05-13 | Baker Hughes Inc. | Fatty acid amide lubricity aids and related methods for improvement of lubricity of fuels |
| DE19757830C2 (de) | 1997-12-24 | 2003-06-18 | Clariant Gmbh | Brennstofföle mit verbesserter Schmierwirkung |
| DE19823565A1 (de) | 1998-05-27 | 1999-12-02 | Clariant Gmbh | Mischungen von Copolymeren mit verbesserter Schmierwirkung |
| EP1122295A4 (fr) * | 1998-10-06 | 2002-02-06 | Nippon Mitsubishi Oil Corp | Additif pour essence destinee a un moteur a essence a injection directe |
| EP0997517B1 (fr) * | 1998-10-27 | 2004-01-14 | Clariant GmbH | Mélanges polymères pour l'amélioration de l'action lubrifiante de distillats moyens |
| DE19927560C2 (de) | 1999-06-17 | 2002-03-14 | Clariant Gmbh | Brennstoffölzusammensetzung |
| DE19927561C1 (de) | 1999-06-17 | 2000-12-14 | Clariant Gmbh | Verwendung hydroxylgruppenhaltiger Copolymere zur Herstellung von Brennstoffölen mit verbesserter Schmierwirkung |
| DE10000649C2 (de) | 2000-01-11 | 2001-11-29 | Clariant Gmbh | Mehrfunktionelles Additiv für Brennstofföle |
| DE50011064D1 (de) | 2000-01-11 | 2005-10-06 | Clariant Gmbh | Mehrfunktionelles Additiv für Brennstofföle |
| DE10012947A1 (de) | 2000-03-16 | 2001-09-27 | Clariant Gmbh | Mischungen aus Carbonsäuren, deren Derivate und hydroxylgruppenhaltigen Polymeren, sowie deren Verwendung zur Verbesserung der Schmierwirkung von Ölen |
| DE10012946B4 (de) * | 2000-03-16 | 2006-02-02 | Clariant Gmbh | Verwendung von öllöslichen Amphiphilen als Lösemittel für hydroxyfunktionelle Copolymere |
Citations (3)
| Publication number | Priority date | Publication date | Assignee | Title |
|---|---|---|---|---|
| US4204481A (en) † | 1979-02-02 | 1980-05-27 | Ethyl Corporation | Anti-wear additives in diesel fuels |
| US4208190A (en) † | 1979-02-09 | 1980-06-17 | Ethyl Corporation | Diesel fuels having anti-wear properties |
| DE3631225A1 (de) † | 1985-09-20 | 1987-04-23 | Toyota Motor Co Ltd | Additiv fuer dieselkraftstoff |
Family Cites Families (12)
| Publication number | Priority date | Publication date | Assignee | Title |
|---|---|---|---|---|
| US3235501A (en) * | 1962-06-11 | 1966-02-15 | Socony Mobil Oil Co Inc | Foam-inhibited oil compositions |
| NL294590A (fr) * | 1962-06-26 | |||
| US3372009A (en) * | 1964-06-18 | 1968-03-05 | Mobil Oil Corp | Liquid fuel compositions containing as anti-corrosion agent an alkyl monoalkanol amino compound |
| US3873278A (en) * | 1973-11-29 | 1975-03-25 | Du Pont | Gasoline |
| US4129508A (en) * | 1977-10-13 | 1978-12-12 | The Lubrizol Corporation | Demulsifier additive compositions for lubricants and fuels and concentrates containing the same |
| US4231883A (en) * | 1979-05-04 | 1980-11-04 | Ethyl Corporation | Lubricant composition |
| US4409000A (en) * | 1981-12-14 | 1983-10-11 | The Lubrizol Corporation | Combinations of hydroxy amines and carboxylic dispersants as fuel additives |
| NZ219531A (en) * | 1986-03-14 | 1991-10-25 | Exxon Research Engineering Co | Anti-fouling fuel compositions and additives containing amines and amine oxides |
| JPH0251591A (ja) * | 1988-06-24 | 1990-02-21 | Exxon Chem Patents Inc | パワートランスミッティング組成物において有用な添加剤の相乗的組合せ |
| EP0482253A1 (fr) * | 1990-10-23 | 1992-04-29 | Ethyl Petroleum Additives Limited | Compositions de combustible bonnes pour l'environnement, et additifs pour |
| CA2079049A1 (fr) * | 1991-10-11 | 1993-04-12 | Timothy James Henly | Compositions combustibles |
| GB9200694D0 (en) * | 1992-01-14 | 1992-03-11 | Exxon Chemical Patents Inc | Additives and fuel compositions |
-
1995
- 1995-01-10 GB GBGB9500460.2A patent/GB9500460D0/en active Pending
-
1996
- 1996-01-09 DE DE69601701T patent/DE69601701T3/de not_active Expired - Lifetime
- 1996-01-09 WO PCT/EP1996/000084 patent/WO1996021709A1/fr not_active Ceased
- 1996-01-09 KR KR1019970704690A patent/KR100345016B1/ko not_active Expired - Fee Related
- 1996-01-09 EP EP96900311A patent/EP0802961B2/fr not_active Revoked
- 1996-01-09 JP JP8521429A patent/JPH10512008A/ja active Pending
- 1996-01-09 AT AT96900311T patent/ATE177467T1/de not_active IP Right Cessation
Patent Citations (3)
| Publication number | Priority date | Publication date | Assignee | Title |
|---|---|---|---|---|
| US4204481A (en) † | 1979-02-02 | 1980-05-27 | Ethyl Corporation | Anti-wear additives in diesel fuels |
| US4208190A (en) † | 1979-02-09 | 1980-06-17 | Ethyl Corporation | Diesel fuels having anti-wear properties |
| DE3631225A1 (de) † | 1985-09-20 | 1987-04-23 | Toyota Motor Co Ltd | Additiv fuer dieselkraftstoff |
Non-Patent Citations (2)
| Title |
|---|
| Japanese Industrial Standard, Gas oil, JIS K 2204-1992 † |
| Japanese Industrial Standard, Kerosine, JIS K 2203-1982 † |
Also Published As
| Publication number | Publication date |
|---|---|
| JPH10512008A (ja) | 1998-11-17 |
| DE69601701T3 (de) | 2006-08-31 |
| KR100345016B1 (ko) | 2002-09-18 |
| DE69601701T2 (de) | 1999-11-11 |
| WO1996021709A1 (fr) | 1996-07-18 |
| DE69601701D1 (de) | 1999-04-15 |
| ATE177467T1 (de) | 1999-03-15 |
| EP0802961A1 (fr) | 1997-10-29 |
| EP0802961B1 (fr) | 1999-03-10 |
| KR19980701301A (ko) | 1998-05-15 |
| GB9500460D0 (en) | 1995-03-01 |
Similar Documents
| Publication | Publication Date | Title |
|---|---|---|
| EP0935645B1 (fr) | Composition de carburant contenant un additif a pouvoir lubrifiant | |
| EP1357170B9 (fr) | Additifs modificateurs de frottement pour compositions de combustible et méthodes d'utilisation de ceux-là | |
| AU676713B2 (en) | Fuel composition | |
| KR100533490B1 (ko) | 연소실 침적물 형성의 저감을 위한 연료 조성물용 첨가제 | |
| US6277158B1 (en) | Additive concentrate for fuel compositions | |
| KR100598442B1 (ko) | 연료 조성물용 첨가제로서의 마찰 개질제인 카르복실산의알콕시아민염 및 이의 사용 방법 | |
| KR19980701885A (ko) | 첨가제 및 연료유 조성물 | |
| EP0802961B2 (fr) | Compositions de carburant | |
| CA2326295C (fr) | Combustible a faible teneur en azote ayant un pouvoir lubrifiant ameliore | |
| EP0526129B1 (fr) | Compositions pour le contrôle de l'augmentation du besoin en octane | |
| EP0288296A1 (fr) | Composition de combustible contenant un additif pour diminuer le recul de l'assise de soupape | |
| US20060277819A1 (en) | Synergistic deposit control additive composition for diesel fuel and process thereof | |
| EP0634472A1 (fr) | Compositions pour limiter les dépôts, les émissions d'échappement et/ou la consommation de combustible dans les moteurs à combustion interne | |
| CA2209497C (fr) | Compositions de carburant hydroxy amines | |
| EP0956328A1 (fr) | Additifs a pouvoir lubrifiant destines a des compositions de mazout | |
| US4341529A (en) | Motor fuel | |
| EP0152663B1 (fr) | Additifs détergents pour combustibles comprenant des dérivés de benzophénone et compositions combustibles les contenant | |
| EP1770151A1 (fr) | Concentré d'additifs | |
| JPH1150068A (ja) | 燃料油添加剤及び該添加剤を含有する燃料油組成物 | |
| EP1721955A1 (fr) | Compositions et additifs pour carburants | |
| MXPA99003411A (es) | Composicion combustible que contiene aditivolubricante |
Legal Events
| Date | Code | Title | Description |
|---|---|---|---|
| PUAI | Public reference made under article 153(3) epc to a published international application that has entered the european phase |
Free format text: ORIGINAL CODE: 0009012 |
|
| 17P | Request for examination filed |
Effective date: 19970609 |
|
| AK | Designated contracting states |
Kind code of ref document: A1 Designated state(s): AT BE CH DE DK ES FR GB GR IE IT LI LU MC NL PT SE |
|
| GRAG | Despatch of communication of intention to grant |
Free format text: ORIGINAL CODE: EPIDOS AGRA |
|
| 17Q | First examination report despatched |
Effective date: 19980102 |
|
| GRAG | Despatch of communication of intention to grant |
Free format text: ORIGINAL CODE: EPIDOS AGRA |
|
| GRAG | Despatch of communication of intention to grant |
Free format text: ORIGINAL CODE: EPIDOS AGRA |
|
| GRAH | Despatch of communication of intention to grant a patent |
Free format text: ORIGINAL CODE: EPIDOS IGRA |
|
| GRAH | Despatch of communication of intention to grant a patent |
Free format text: ORIGINAL CODE: EPIDOS IGRA |
|
| GRAA | (expected) grant |
Free format text: ORIGINAL CODE: 0009210 |
|
| ITF | It: translation for a ep patent filed | ||
| ITF | It: translation for a ep patent filed | ||
| AK | Designated contracting states |
Kind code of ref document: B1 Designated state(s): AT BE CH DE DK ES FR GB GR IE IT LI LU MC NL PT SE |
|
| PG25 | Lapsed in a contracting state [announced via postgrant information from national office to epo] |
Ref country code: SE Free format text: THE PATENT HAS BEEN ANNULLED BY A DECISION OF A NATIONAL AUTHORITY Effective date: 19990310 Ref country code: LI Free format text: LAPSE BECAUSE OF FAILURE TO SUBMIT A TRANSLATION OF THE DESCRIPTION OR TO PAY THE FEE WITHIN THE PRESCRIBED TIME-LIMIT Effective date: 19990310 Ref country code: GR Free format text: LAPSE BECAUSE OF NON-PAYMENT OF DUE FEES Effective date: 19990310 Ref country code: ES Free format text: THE PATENT HAS BEEN ANNULLED BY A DECISION OF A NATIONAL AUTHORITY Effective date: 19990310 Ref country code: CH Free format text: LAPSE BECAUSE OF FAILURE TO SUBMIT A TRANSLATION OF THE DESCRIPTION OR TO PAY THE FEE WITHIN THE PRESCRIBED TIME-LIMIT Effective date: 19990310 Ref country code: BE Free format text: LAPSE BECAUSE OF FAILURE TO SUBMIT A TRANSLATION OF THE DESCRIPTION OR TO PAY THE FEE WITHIN THE PRESCRIBED TIME-LIMIT Effective date: 19990310 Ref country code: AT Free format text: LAPSE BECAUSE OF FAILURE TO SUBMIT A TRANSLATION OF THE DESCRIPTION OR TO PAY THE FEE WITHIN THE PRESCRIBED TIME-LIMIT Effective date: 19990310 |
|
| REF | Corresponds to: |
Ref document number: 177467 Country of ref document: AT Date of ref document: 19990315 Kind code of ref document: T |
|
| REG | Reference to a national code |
Ref country code: CH Ref legal event code: EP |
|
| REF | Corresponds to: |
Ref document number: 69601701 Country of ref document: DE Date of ref document: 19990415 |
|
| ET | Fr: translation filed | ||
| REG | Reference to a national code |
Ref country code: IE Ref legal event code: FG4D |
|
| PG25 | Lapsed in a contracting state [announced via postgrant information from national office to epo] |
Ref country code: DK Free format text: LAPSE BECAUSE OF FAILURE TO SUBMIT A TRANSLATION OF THE DESCRIPTION OR TO PAY THE FEE WITHIN THE PRESCRIBED TIME-LIMIT Effective date: 19990610 |
|
| PG25 | Lapsed in a contracting state [announced via postgrant information from national office to epo] |
Ref country code: PT Free format text: LAPSE BECAUSE OF FAILURE TO SUBMIT A TRANSLATION OF THE DESCRIPTION OR TO PAY THE FEE WITHIN THE PRESCRIBED TIME-LIMIT Effective date: 19990611 |
|
| REG | Reference to a national code |
Ref country code: CH Ref legal event code: PL |
|
| PLBI | Opposition filed |
Free format text: ORIGINAL CODE: 0009260 |
|
| PLBF | Reply of patent proprietor to notice(s) of opposition |
Free format text: ORIGINAL CODE: EPIDOS OBSO |
|
| PG25 | Lapsed in a contracting state [announced via postgrant information from national office to epo] |
Ref country code: LU Free format text: LAPSE BECAUSE OF NON-PAYMENT OF DUE FEES Effective date: 20000109 Ref country code: IE Free format text: LAPSE BECAUSE OF NON-PAYMENT OF DUE FEES Effective date: 20000109 |
|
| PG25 | Lapsed in a contracting state [announced via postgrant information from national office to epo] |
Ref country code: MC Free format text: THE PATENT HAS BEEN ANNULLED BY A DECISION OF A NATIONAL AUTHORITY Effective date: 20000131 |
|
| 26 | Opposition filed |
Opponent name: CLARIANT GMBH Effective date: 19991209 |
|
| NLR1 | Nl: opposition has been filed with the epo |
Opponent name: CLARIANT GMBH |
|
| PLBF | Reply of patent proprietor to notice(s) of opposition |
Free format text: ORIGINAL CODE: EPIDOS OBSO |
|
| PLBF | Reply of patent proprietor to notice(s) of opposition |
Free format text: ORIGINAL CODE: EPIDOS OBSO |
|
| REG | Reference to a national code |
Ref country code: IE Ref legal event code: MM4A |
|
| RAP2 | Party data changed (patent owner data changed or rights of a patent transferred) |
Owner name: EXXONMOBIL CHEMICAL PATENTS INC. |
|
| NLT2 | Nl: modifications (of names), taken from the european patent patent bulletin |
Owner name: EXXONMOBIL CHEMICAL PATENTS INC. |
|
| PLAW | Interlocutory decision in opposition |
Free format text: ORIGINAL CODE: EPIDOS IDOP |
|
| PLAW | Interlocutory decision in opposition |
Free format text: ORIGINAL CODE: EPIDOS IDOP |
|
| REG | Reference to a national code |
Ref country code: GB Ref legal event code: IF02 |
|
| APAC | Appeal dossier modified |
Free format text: ORIGINAL CODE: EPIDOS NOAPO |
|
| APAE | Appeal reference modified |
Free format text: ORIGINAL CODE: EPIDOS REFNO |
|
| RAP2 | Party data changed (patent owner data changed or rights of a patent transferred) |
Owner name: EXXONMOBIL CHEMICAL PATENTS INC. |
|
| APAC | Appeal dossier modified |
Free format text: ORIGINAL CODE: EPIDOS NOAPO |
|
| NLT2 | Nl: modifications (of names), taken from the european patent patent bulletin |
Owner name: EXXONMOBIL CHEMICAL PATENTS INC. |
|
| NLT2 | Nl: modifications (of names), taken from the european patent patent bulletin |
Owner name: EXXONMOBIL CHEMICAL PATENTS INC. |
|
| PGFP | Annual fee paid to national office [announced via postgrant information from national office to epo] |
Ref country code: GB Payment date: 20031211 Year of fee payment: 9 |
|
| APBU | Appeal procedure closed |
Free format text: ORIGINAL CODE: EPIDOSNNOA9O |
|
| RDAF | Communication despatched that patent is revoked |
Free format text: ORIGINAL CODE: EPIDOSNREV1 |
|
| RDAG | Patent revoked |
Free format text: ORIGINAL CODE: 0009271 |
|
| 27W | Patent revoked |
Effective date: 20040724 |
|
| GBPR | Gb: patent revoked under art. 102 of the ep convention designating the uk as contracting state |
Free format text: 20040724 |
|
| NLR2 | Nl: decision of opposition |
Effective date: 20040724 |
|
| APAH | Appeal reference modified |
Free format text: ORIGINAL CODE: EPIDOSCREFNO |
|
| APBW | Interlocutory revision of appeal recorded |
Free format text: ORIGINAL CODE: EPIDOSNIRAPO |
|
| RDAE | Information deleted related to despatch of communication that patent is revoked |
Free format text: ORIGINAL CODE: EPIDOSDREV1 |
|
| APBE | Information on interlocutory revision deleted |
Free format text: ORIGINAL CODE: EPIDOSDIRAPO |
|
| PGFP | Annual fee paid to national office [announced via postgrant information from national office to epo] |
Ref country code: FR Payment date: 20060104 Year of fee payment: 11 |
|
| PG25 | Lapsed in a contracting state [announced via postgrant information from national office to epo] |
Ref country code: FR Free format text: LAPSE BECAUSE OF NON-PAYMENT OF DUE FEES Effective date: 20060131 |
|
| PUAH | Patent maintained in amended form |
Free format text: ORIGINAL CODE: 0009272 |
|
| STAA | Information on the status of an ep patent application or granted ep patent |
Free format text: STATUS: PATENT MAINTAINED AS AMENDED |
|
| REG | Reference to a national code |
Ref country code: FR Ref legal event code: ST Effective date: 20060131 |
|
| 27A | Patent maintained in amended form |
Effective date: 20060322 |
|
| AK | Designated contracting states |
Kind code of ref document: B2 Designated state(s): AT BE CH DE DK ES FR GB GR IE IT LI LU MC NL PT SE |
|
| REG | Reference to a national code |
Ref country code: ES Ref legal event code: FD2A Effective date: 20000110 |
|
| NLR3 | Nl: receipt of modified translations in the netherlands language after an opposition procedure | ||
| PG25 | Lapsed in a contracting state [announced via postgrant information from national office to epo] |
Ref country code: FR Free format text: LAPSE BECAUSE OF NON-PAYMENT OF DUE FEES Effective date: 20050131 |
|
| PG25 | Lapsed in a contracting state [announced via postgrant information from national office to epo] |
Ref country code: GB Free format text: LAPSE BECAUSE OF NON-PAYMENT OF DUE FEES Effective date: 20050209 |
|
| PGFP | Annual fee paid to national office [announced via postgrant information from national office to epo] |
Ref country code: NL Payment date: 20140108 Year of fee payment: 19 Ref country code: DE Payment date: 20140131 Year of fee payment: 19 |
|
| PGFP | Annual fee paid to national office [announced via postgrant information from national office to epo] |
Ref country code: IT Payment date: 20140116 Year of fee payment: 19 |
|
| REG | Reference to a national code |
Ref country code: DE Ref legal event code: R119 Ref document number: 69601701 Country of ref document: DE |
|
| REG | Reference to a national code |
Ref country code: NL Ref legal event code: V1 Effective date: 20150801 |
|
| PG25 | Lapsed in a contracting state [announced via postgrant information from national office to epo] |
Ref country code: NL Free format text: LAPSE BECAUSE OF NON-PAYMENT OF DUE FEES Effective date: 20150801 |
|
| PG25 | Lapsed in a contracting state [announced via postgrant information from national office to epo] |
Ref country code: DE Free format text: LAPSE BECAUSE OF NON-PAYMENT OF DUE FEES Effective date: 20150801 |
|
| PG25 | Lapsed in a contracting state [announced via postgrant information from national office to epo] |
Ref country code: IT Free format text: LAPSE BECAUSE OF NON-PAYMENT OF DUE FEES Effective date: 20150109 |


