EP0424232B1 - Procédé de préparation de l'acide - Google Patents
Procédé de préparation de l'acide Download PDFInfo
- Publication number
- EP0424232B1 EP0424232B1 EP90402879A EP90402879A EP0424232B1 EP 0424232 B1 EP0424232 B1 EP 0424232B1 EP 90402879 A EP90402879 A EP 90402879A EP 90402879 A EP90402879 A EP 90402879A EP 0424232 B1 EP0424232 B1 EP 0424232B1
- Authority
- EP
- European Patent Office
- Prior art keywords
- formula
- stage
- acid
- compound
- water
- Prior art date
- Legal status (The legal status is an assumption and is not a legal conclusion. Google has not performed a legal analysis and makes no representation as to the accuracy of the status listed.)
- Expired - Lifetime
Links
- 238000000034 method Methods 0.000 title claims abstract description 25
- 238000004519 manufacturing process Methods 0.000 title description 2
- XLYOFNOQVPJJNP-UHFFFAOYSA-N water Substances O XLYOFNOQVPJJNP-UHFFFAOYSA-N 0.000 claims abstract description 40
- QTBSBXVTEAMEQO-UHFFFAOYSA-N Acetic acid Chemical compound CC(O)=O QTBSBXVTEAMEQO-UHFFFAOYSA-N 0.000 claims abstract description 29
- RUDATBOHQWOJDD-UHFFFAOYSA-N (3beta,5beta,7alpha)-3,7-Dihydroxycholan-24-oic acid Natural products OC1CC2CC(O)CCC2(C)C2C1C1CCC(C(CCC(O)=O)C)C1(C)CC2 RUDATBOHQWOJDD-UHFFFAOYSA-N 0.000 claims abstract description 26
- WFDIJRYMOXRFFG-UHFFFAOYSA-N Acetic anhydride Chemical compound CC(=O)OC(C)=O WFDIJRYMOXRFFG-UHFFFAOYSA-N 0.000 claims abstract description 24
- RUDATBOHQWOJDD-BSWAIDMHSA-N chenodeoxycholic acid Chemical compound C([C@H]1C[C@H]2O)[C@H](O)CC[C@]1(C)[C@@H]1[C@@H]2[C@@H]2CC[C@H]([C@@H](CCC(O)=O)C)[C@@]2(C)CC1 RUDATBOHQWOJDD-BSWAIDMHSA-N 0.000 claims abstract description 24
- 229960001091 chenodeoxycholic acid Drugs 0.000 claims abstract description 24
- 239000003960 organic solvent Substances 0.000 claims abstract description 22
- -1 alkali metal hypochlorite Chemical class 0.000 claims abstract description 16
- WQYVRQLZKVEZGA-UHFFFAOYSA-N hypochlorite Inorganic materials Cl[O-] WQYVRQLZKVEZGA-UHFFFAOYSA-N 0.000 claims abstract description 15
- 238000002360 preparation method Methods 0.000 claims abstract description 15
- OAKJQQAXSVQMHS-UHFFFAOYSA-N Hydrazine Chemical compound NN OAKJQQAXSVQMHS-UHFFFAOYSA-N 0.000 claims abstract description 14
- 125000002496 methyl group Chemical group [H]C([H])([H])* 0.000 claims abstract description 14
- 239000007858 starting material Substances 0.000 claims abstract description 10
- 238000007254 oxidation reaction Methods 0.000 claims abstract description 9
- 230000003647 oxidation Effects 0.000 claims abstract description 7
- 150000003512 tertiary amines Chemical class 0.000 claims abstract description 6
- 230000003197 catalytic effect Effects 0.000 claims abstract description 5
- 150000007529 inorganic bases Chemical class 0.000 claims abstract description 3
- 229910001513 alkali metal bromide Inorganic materials 0.000 claims abstract 4
- 229910052783 alkali metal Inorganic materials 0.000 claims abstract 3
- YXFVVABEGXRONW-UHFFFAOYSA-N Toluene Chemical compound CC1=CC=CC=C1 YXFVVABEGXRONW-UHFFFAOYSA-N 0.000 claims description 27
- 150000001875 compounds Chemical class 0.000 claims description 25
- XEKOWRVHYACXOJ-UHFFFAOYSA-N Ethyl acetate Chemical compound CCOC(C)=O XEKOWRVHYACXOJ-UHFFFAOYSA-N 0.000 claims description 24
- 238000006243 chemical reaction Methods 0.000 claims description 24
- 239000000203 mixture Substances 0.000 claims description 24
- LRHPLDYGYMQRHN-UHFFFAOYSA-N N-Butanol Chemical compound CCCCO LRHPLDYGYMQRHN-UHFFFAOYSA-N 0.000 claims description 18
- 239000002904 solvent Substances 0.000 claims description 17
- 150000002148 esters Chemical class 0.000 claims description 15
- 239000011541 reaction mixture Substances 0.000 claims description 14
- CSCPPACGZOOCGX-UHFFFAOYSA-N Acetone Chemical compound CC(C)=O CSCPPACGZOOCGX-UHFFFAOYSA-N 0.000 claims description 12
- 125000001495 ethyl group Chemical group [H]C([H])([H])C([H])([H])* 0.000 claims description 9
- LFQSCWFLJHTTHZ-UHFFFAOYSA-N Ethanol Chemical compound CCO LFQSCWFLJHTTHZ-UHFFFAOYSA-N 0.000 claims description 8
- BHQCQFFYRZLCQQ-OELDTZBJSA-N cholic acid Chemical compound C([C@H]1C[C@H]2O)[C@H](O)CC[C@]1(C)[C@@H]1[C@@H]2[C@@H]2CC[C@H]([C@@H](CCC(O)=O)C)[C@@]2(C)[C@@H](O)C1 BHQCQFFYRZLCQQ-OELDTZBJSA-N 0.000 claims description 8
- UFHFLCQGNIYNRP-UHFFFAOYSA-N Hydrogen Chemical compound [H][H] UFHFLCQGNIYNRP-UHFFFAOYSA-N 0.000 claims description 7
- 150000001412 amines Chemical class 0.000 claims description 7
- 229940099352 cholate Drugs 0.000 claims description 7
- 239000001257 hydrogen Substances 0.000 claims description 7
- 229910052739 hydrogen Inorganic materials 0.000 claims description 7
- XNWFRZJHXBZDAG-UHFFFAOYSA-N 2-METHOXYETHANOL Chemical compound COCCO XNWFRZJHXBZDAG-UHFFFAOYSA-N 0.000 claims description 6
- VHYFNPMBLIVWCW-UHFFFAOYSA-N 4-Dimethylaminopyridine Chemical compound CN(C)C1=CC=NC=C1 VHYFNPMBLIVWCW-UHFFFAOYSA-N 0.000 claims description 6
- 125000002777 acetyl group Chemical group [H]C([H])([H])C(*)=O 0.000 claims description 6
- 238000009835 boiling Methods 0.000 claims description 6
- 238000006389 diacetylation reaction Methods 0.000 claims description 6
- 229910052757 nitrogen Inorganic materials 0.000 claims description 6
- JHJLBTNAGRQEKS-UHFFFAOYSA-M sodium bromide Chemical compound [Na+].[Br-] JHJLBTNAGRQEKS-UHFFFAOYSA-M 0.000 claims description 6
- BHQCQFFYRZLCQQ-UHFFFAOYSA-N (3alpha,5alpha,7alpha,12alpha)-3,7,12-trihydroxy-cholan-24-oic acid Natural products OC1CC2CC(O)CCC2(C)C2C1C1CCC(C(CCC(O)=O)C)C1(C)C(O)C2 BHQCQFFYRZLCQQ-UHFFFAOYSA-N 0.000 claims description 5
- 239000004380 Cholic acid Substances 0.000 claims description 5
- 229960002471 cholic acid Drugs 0.000 claims description 5
- 235000019416 cholic acid Nutrition 0.000 claims description 5
- KXGVEGMKQFWNSR-UHFFFAOYSA-N deoxycholic acid Natural products C1CC2CC(O)CCC2(C)C2C1C1CCC(C(CCC(O)=O)C)C1(C)C(O)C2 KXGVEGMKQFWNSR-UHFFFAOYSA-N 0.000 claims description 5
- 125000004123 n-propyl group Chemical group [H]C([H])([H])C([H])([H])C([H])([H])* 0.000 claims description 5
- BSYCBEFCUGMWAQ-YDCZHVRYSA-N (8S,9S,10R,13S,14S,17R)-16-hydroxy-13-methyl-17-[(2R)-pentan-2-yl]-2,3,4,5,6,7,8,9,11,12,14,15,16,17-tetradecahydro-1H-cyclopenta[a]phenanthrene-10-carboxylic acid Chemical compound C1CC2CCCC[C@]2(C(O)=O)[C@@H]2[C@@H]1[C@@H]1CC(O)[C@H]([C@H](C)CCC)[C@@]1(C)CC2 BSYCBEFCUGMWAQ-YDCZHVRYSA-N 0.000 claims description 4
- MIHNUBCEFJLAGN-DMMBONCOSA-N 3alpha,7alpha-dihydroxy-12-oxo-5beta-cholanic acid Chemical compound C([C@H]1C[C@H]2O)[C@H](O)CC[C@]1(C)[C@@H]1[C@@H]2[C@@H]2CC[C@H]([C@@H](CCC(O)=O)C)[C@@]2(C)C(=O)C1 MIHNUBCEFJLAGN-DMMBONCOSA-N 0.000 claims description 4
- VKXXPYARELKQOY-CXFLVZIOSA-N methyl (4r)-4-[(3r,5s,7r,8r,9s,10s,12s,13r,14s,17r)-3,7-diacetyloxy-12-hydroxy-10,13-dimethyl-2,3,4,5,6,7,8,9,11,12,14,15,16,17-tetradecahydro-1h-cyclopenta[a]phenanthren-17-yl]pentanoate Chemical compound C([C@H]1C[C@H]2OC(C)=O)[C@H](OC(C)=O)CC[C@]1(C)[C@@H]1[C@@H]2[C@@H]2CC[C@H]([C@H](C)CCC(=O)OC)[C@@]2(C)[C@@H](O)C1 VKXXPYARELKQOY-CXFLVZIOSA-N 0.000 claims description 4
- 125000004573 morpholin-4-yl group Chemical group N1(CCOCC1)* 0.000 claims description 4
- 125000004433 nitrogen atom Chemical group N* 0.000 claims description 4
- DLYVTEULDNMQAR-SRNOMOOLSA-N Cholic Acid Methyl Ester Chemical compound C([C@H]1C[C@H]2O)[C@H](O)CC[C@]1(C)[C@@H]1[C@@H]2[C@@H]2CC[C@H]([C@H](C)CCC(=O)OC)[C@@]2(C)[C@@H](O)C1 DLYVTEULDNMQAR-SRNOMOOLSA-N 0.000 claims description 3
- 239000005708 Sodium hypochlorite Substances 0.000 claims description 3
- 239000003054 catalyst Substances 0.000 claims description 3
- SUKJFIGYRHOWBL-UHFFFAOYSA-N sodium hypochlorite Chemical compound [Na+].Cl[O-] SUKJFIGYRHOWBL-UHFFFAOYSA-N 0.000 claims description 3
- 125000004178 (C1-C4) alkyl group Chemical group 0.000 claims description 2
- 238000006640 acetylation reaction Methods 0.000 abstract description 8
- 230000021736 acetylation Effects 0.000 abstract description 6
- RVGVSOKFBAOUCH-JDCDKZKASA-N (4r)-4-[(8r,9s,10s,13r,14s,17r)-10,13-dimethyl-12-oxo-1,2,3,4,5,6,7,8,9,11,14,15,16,17-tetradecahydrocyclopenta[a]phenanthren-17-yl]pentanoic acid Chemical class C1CC2CCCC[C@]2(C)[C@@H]2[C@@H]1[C@@H]1CC[C@H]([C@@H](CCC(O)=O)C)[C@@]1(C)C(=O)C2 RVGVSOKFBAOUCH-JDCDKZKASA-N 0.000 abstract description 3
- 125000000217 alkyl group Chemical group 0.000 abstract description 3
- 150000001801 chenodeoxycholic acids Chemical class 0.000 abstract description 2
- 238000004821 distillation Methods 0.000 abstract description 2
- 150000003674 ursodeoxycholic acids Chemical class 0.000 abstract description 2
- 239000002812 cholic acid derivative Substances 0.000 abstract 2
- ZKGCEXPUCJDWMB-ZPMVHPDISA-N (4r)-4-[(8r,9s,10s,13r,14s,17r)-10,13-dimethyl-7-oxo-1,2,3,4,5,6,8,9,11,12,14,15,16,17-tetradecahydrocyclopenta[a]phenanthren-17-yl]pentanoic acid Chemical class C1CCCC2CC(=O)[C@H]3[C@@H]4CC[C@H]([C@@H](CCC(O)=O)C)[C@@]4(C)CC[C@@H]3[C@]21C ZKGCEXPUCJDWMB-ZPMVHPDISA-N 0.000 abstract 1
- IOOKJGQHLHXYEF-FFFIEFPASA-N 3,7-Diketocholanic acid Chemical compound C1CC(=O)C[C@H]2CC(=O)[C@H]3[C@@H]4CC[C@H]([C@@H](CCC(O)=O)C)[C@@]4(C)CC[C@@H]3[C@]21C IOOKJGQHLHXYEF-FFFIEFPASA-N 0.000 abstract 1
- 239000013067 intermediate product Substances 0.000 abstract 1
- RUDATBOHQWOJDD-UZVSRGJWSA-N ursodeoxycholic acid Chemical compound C([C@H]1C[C@@H]2O)[C@H](O)CC[C@]1(C)[C@@H]1[C@@H]2[C@@H]2CC[C@H]([C@@H](CCC(O)=O)C)[C@@]2(C)CC1 RUDATBOHQWOJDD-UZVSRGJWSA-N 0.000 abstract 1
- 229960001661 ursodiol Drugs 0.000 abstract 1
- 239000000047 product Substances 0.000 description 17
- 239000000243 solution Substances 0.000 description 14
- OKKJLVBELUTLKV-UHFFFAOYSA-N Methanol Chemical compound OC OKKJLVBELUTLKV-UHFFFAOYSA-N 0.000 description 9
- KWYUFKZDYYNOTN-UHFFFAOYSA-M Potassium hydroxide Chemical compound [OH-].[K+] KWYUFKZDYYNOTN-UHFFFAOYSA-M 0.000 description 9
- ZMANZCXQSJIPKH-UHFFFAOYSA-N Triethylamine Chemical compound CCN(CC)CC ZMANZCXQSJIPKH-UHFFFAOYSA-N 0.000 description 9
- JUJWROOIHBZHMG-UHFFFAOYSA-N Pyridine Chemical compound C1=CC=NC=C1 JUJWROOIHBZHMG-UHFFFAOYSA-N 0.000 description 8
- 238000006722 reduction reaction Methods 0.000 description 7
- YMWUJEATGCHHMB-UHFFFAOYSA-N Dichloromethane Chemical compound ClCCl YMWUJEATGCHHMB-UHFFFAOYSA-N 0.000 description 6
- UIIMBOGNXHQVGW-UHFFFAOYSA-M Sodium bicarbonate Chemical compound [Na+].OC([O-])=O UIIMBOGNXHQVGW-UHFFFAOYSA-M 0.000 description 6
- HEMHJVSKTPXQMS-UHFFFAOYSA-M Sodium hydroxide Chemical compound [OH-].[Na+] HEMHJVSKTPXQMS-UHFFFAOYSA-M 0.000 description 6
- CPELXLSAUQHCOX-UHFFFAOYSA-M Bromide Chemical compound [Br-] CPELXLSAUQHCOX-UHFFFAOYSA-M 0.000 description 5
- 239000003513 alkali Substances 0.000 description 5
- 239000002585 base Substances 0.000 description 5
- 238000007796 conventional method Methods 0.000 description 5
- 238000010438 heat treatment Methods 0.000 description 5
- IJGRMHOSHXDMSA-UHFFFAOYSA-N Atomic nitrogen Chemical compound N#N IJGRMHOSHXDMSA-UHFFFAOYSA-N 0.000 description 4
- RTZKZFJDLAIYFH-UHFFFAOYSA-N Diethyl ether Chemical compound CCOCC RTZKZFJDLAIYFH-UHFFFAOYSA-N 0.000 description 4
- QAOWNCQODCNURD-UHFFFAOYSA-N Sulfuric acid Chemical compound OS(O)(=O)=O QAOWNCQODCNURD-UHFFFAOYSA-N 0.000 description 4
- 238000010533 azeotropic distillation Methods 0.000 description 4
- 230000015572 biosynthetic process Effects 0.000 description 4
- 239000006227 byproduct Substances 0.000 description 4
- 239000012535 impurity Substances 0.000 description 4
- BDAGIHXWWSANSR-UHFFFAOYSA-N methanoic acid Natural products OC=O BDAGIHXWWSANSR-UHFFFAOYSA-N 0.000 description 4
- 230000007935 neutral effect Effects 0.000 description 4
- 239000012074 organic phase Substances 0.000 description 4
- UMJSCPRVCHMLSP-UHFFFAOYSA-N pyridine Natural products COC1=CC=CN=C1 UMJSCPRVCHMLSP-UHFFFAOYSA-N 0.000 description 4
- UHOVQNZJYSORNB-UHFFFAOYSA-N Benzene Chemical compound C1=CC=CC=C1 UHOVQNZJYSORNB-UHFFFAOYSA-N 0.000 description 3
- XTHFKEDIFFGKHM-UHFFFAOYSA-N Dimethoxyethane Chemical compound COCCOC XTHFKEDIFFGKHM-UHFFFAOYSA-N 0.000 description 3
- DNIAPMSPPWPWGF-UHFFFAOYSA-N Propylene glycol Chemical compound CC(O)CO DNIAPMSPPWPWGF-UHFFFAOYSA-N 0.000 description 3
- 125000005907 alkyl ester group Chemical group 0.000 description 3
- 239000008346 aqueous phase Substances 0.000 description 3
- 239000007864 aqueous solution Substances 0.000 description 3
- 238000002425 crystallisation Methods 0.000 description 3
- 230000008025 crystallization Effects 0.000 description 3
- 230000008030 elimination Effects 0.000 description 3
- 238000003379 elimination reaction Methods 0.000 description 3
- 230000032050 esterification Effects 0.000 description 3
- 238000005886 esterification reaction Methods 0.000 description 3
- 229910052500 inorganic mineral Inorganic materials 0.000 description 3
- 150000004702 methyl esters Chemical class 0.000 description 3
- 239000011707 mineral Substances 0.000 description 3
- 235000010755 mineral Nutrition 0.000 description 3
- 238000010992 reflux Methods 0.000 description 3
- 229910000030 sodium bicarbonate Inorganic materials 0.000 description 3
- 235000017557 sodium bicarbonate Nutrition 0.000 description 3
- WSLDOOZREJYCGB-UHFFFAOYSA-N 1,2-Dichloroethane Chemical compound ClCCCl WSLDOOZREJYCGB-UHFFFAOYSA-N 0.000 description 2
- PAMIQIKDUOTOBW-UHFFFAOYSA-N 1-methylpiperidine Chemical compound CN1CCCCC1 PAMIQIKDUOTOBW-UHFFFAOYSA-N 0.000 description 2
- OSWFIVFLDKOXQC-UHFFFAOYSA-N 4-(3-methoxyphenyl)aniline Chemical compound COC1=CC=CC(C=2C=CC(N)=CC=2)=C1 OSWFIVFLDKOXQC-UHFFFAOYSA-N 0.000 description 2
- ZAMOUSCENKQFHK-UHFFFAOYSA-N Chlorine atom Chemical compound [Cl] ZAMOUSCENKQFHK-UHFFFAOYSA-N 0.000 description 2
- VEXZGXHMUGYJMC-UHFFFAOYSA-N Hydrochloric acid Chemical compound Cl VEXZGXHMUGYJMC-UHFFFAOYSA-N 0.000 description 2
- SMEROWZSTRWXGI-UHFFFAOYSA-N Lithocholsaeure Natural products C1CC2CC(O)CCC2(C)C2C1C1CCC(C(CCC(O)=O)C)C1(C)CC2 SMEROWZSTRWXGI-UHFFFAOYSA-N 0.000 description 2
- JLTDJTHDQAWBAV-UHFFFAOYSA-N N,N-dimethylaniline Chemical compound CN(C)C1=CC=CC=C1 JLTDJTHDQAWBAV-UHFFFAOYSA-N 0.000 description 2
- WYURNTSHIVDZCO-UHFFFAOYSA-N Tetrahydrofuran Chemical compound C1CCOC1 WYURNTSHIVDZCO-UHFFFAOYSA-N 0.000 description 2
- 238000005644 Wolff-Kishner reduction reaction Methods 0.000 description 2
- 125000004429 atom Chemical group 0.000 description 2
- 229910052799 carbon Inorganic materials 0.000 description 2
- 239000000460 chlorine Substances 0.000 description 2
- 229910052801 chlorine Inorganic materials 0.000 description 2
- LYCAIKOWRPUZTN-UHFFFAOYSA-N ethylene glycol Substances OCCO LYCAIKOWRPUZTN-UHFFFAOYSA-N 0.000 description 2
- 239000012467 final product Substances 0.000 description 2
- 235000019253 formic acid Nutrition 0.000 description 2
- SMEROWZSTRWXGI-HVATVPOCSA-N lithocholic acid Chemical compound C([C@H]1CC2)[C@H](O)CC[C@]1(C)[C@@H]1[C@@H]2[C@@H]2CC[C@H]([C@@H](CCC(O)=O)C)[C@@]2(C)CC1 SMEROWZSTRWXGI-HVATVPOCSA-N 0.000 description 2
- 230000020477 pH reduction Effects 0.000 description 2
- JYVLIDXNZAXMDK-UHFFFAOYSA-N pentan-2-ol Chemical compound CCCC(C)O JYVLIDXNZAXMDK-UHFFFAOYSA-N 0.000 description 2
- OVARTBFNCCXQKS-UHFFFAOYSA-N propan-2-one;hydrate Chemical compound O.CC(C)=O OVARTBFNCCXQKS-UHFFFAOYSA-N 0.000 description 2
- 238000007127 saponification reaction Methods 0.000 description 2
- GEHJYWRUCIMESM-UHFFFAOYSA-L sodium sulfite Chemical compound [Na+].[Na+].[O-]S([O-])=O GEHJYWRUCIMESM-UHFFFAOYSA-L 0.000 description 2
- 238000003786 synthesis reaction Methods 0.000 description 2
- GETQZCLCWQTVFV-UHFFFAOYSA-N trimethylamine Chemical compound CN(C)C GETQZCLCWQTVFV-UHFFFAOYSA-N 0.000 description 2
- 238000005406 washing Methods 0.000 description 2
- NWZSZGALRFJKBT-KNIFDHDWSA-N (2s)-2,6-diaminohexanoic acid;(2s)-2-hydroxybutanedioic acid Chemical compound OC(=O)[C@@H](O)CC(O)=O.NCCCC[C@H](N)C(O)=O NWZSZGALRFJKBT-KNIFDHDWSA-N 0.000 description 1
- ZYVYEJXMYBUCMN-UHFFFAOYSA-N 1-methoxy-2-methylpropane Chemical compound COCC(C)C ZYVYEJXMYBUCMN-UHFFFAOYSA-N 0.000 description 1
- POAOYUHQDCAZBD-UHFFFAOYSA-N 2-butoxyethanol Chemical compound CCCCOCCO POAOYUHQDCAZBD-UHFFFAOYSA-N 0.000 description 1
- ZNQVEEAIQZEUHB-UHFFFAOYSA-N 2-ethoxyethanol Chemical compound CCOCCO ZNQVEEAIQZEUHB-UHFFFAOYSA-N 0.000 description 1
- 229940093475 2-ethoxyethanol Drugs 0.000 description 1
- YTTFFPATQICAQN-UHFFFAOYSA-N 2-methoxypropan-1-ol Chemical compound COC(C)CO YTTFFPATQICAQN-UHFFFAOYSA-N 0.000 description 1
- 0 CCC(C(C)CC*)[C@@](C(C)C(C(*)CC1CC(*C)CCC1)C(CC)C1)C(C)[C@]1O Chemical compound CCC(C(C)CC*)[C@@](C(C)C(C(*)CC1CC(*C)CCC1)C(CC)C1)C(C)[C@]1O 0.000 description 1
- VGGSQFUCUMXWEO-UHFFFAOYSA-N Ethene Chemical compound C=C VGGSQFUCUMXWEO-UHFFFAOYSA-N 0.000 description 1
- NTIZESTWPVYFNL-UHFFFAOYSA-N Methyl isobutyl ketone Chemical compound CC(C)CC(C)=O NTIZESTWPVYFNL-UHFFFAOYSA-N 0.000 description 1
- UIHCLUNTQKBZGK-UHFFFAOYSA-N Methyl isobutyl ketone Natural products CCC(C)C(C)=O UIHCLUNTQKBZGK-UHFFFAOYSA-N 0.000 description 1
- SJRJJKPEHAURKC-UHFFFAOYSA-N N-Methylmorpholine Chemical compound CN1CCOCC1 SJRJJKPEHAURKC-UHFFFAOYSA-N 0.000 description 1
- LSNNMFCWUKXFEE-UHFFFAOYSA-N Sulfurous acid Chemical compound OS(O)=O LSNNMFCWUKXFEE-UHFFFAOYSA-N 0.000 description 1
- 238000006856 Wolf-Kishner-Huang Minlon reduction reaction Methods 0.000 description 1
- 239000002253 acid Substances 0.000 description 1
- 150000005215 alkyl ethers Chemical class 0.000 description 1
- 150000008064 anhydrides Chemical class 0.000 description 1
- 239000003125 aqueous solvent Substances 0.000 description 1
- 150000004982 aromatic amines Chemical class 0.000 description 1
- 150000004945 aromatic hydrocarbons Chemical class 0.000 description 1
- 125000004432 carbon atom Chemical group C* 0.000 description 1
- 150000001768 cations Chemical class 0.000 description 1
- 238000005119 centrifugation Methods 0.000 description 1
- 239000007795 chemical reaction product Substances 0.000 description 1
- 239000003153 chemical reaction reagent Substances 0.000 description 1
- 239000007810 chemical reaction solvent Substances 0.000 description 1
- 125000003907 chenodeoxycholic acid group Chemical group 0.000 description 1
- 238000001704 evaporation Methods 0.000 description 1
- 238000001914 filtration Methods 0.000 description 1
- 238000004817 gas chromatography Methods 0.000 description 1
- 150000008282 halocarbons Chemical class 0.000 description 1
- IKDUDTNKRLTJSI-UHFFFAOYSA-N hydrazine monohydrate Substances O.NN IKDUDTNKRLTJSI-UHFFFAOYSA-N 0.000 description 1
- 150000002576 ketones Chemical class 0.000 description 1
- GVIZCQOBODPSLY-ZNYVGMLLSA-N methyl (4r)-4-[(3r,5s,7r,8r,9s,10s,13r,14s,17r)-3,7-diacetyloxy-10,13-dimethyl-12-oxo-1,2,3,4,5,6,7,8,9,11,14,15,16,17-tetradecahydrocyclopenta[a]phenanthren-17-yl]pentanoate Chemical compound C([C@H]1C[C@H]2OC(C)=O)[C@H](OC(C)=O)CC[C@]1(C)[C@@H]1[C@@H]2[C@@H]2CC[C@H]([C@H](C)CCC(=O)OC)[C@@]2(C)C(=O)C1 GVIZCQOBODPSLY-ZNYVGMLLSA-N 0.000 description 1
- 238000006386 neutralization reaction Methods 0.000 description 1
- 239000007800 oxidant agent Substances 0.000 description 1
- 239000012071 phase Substances 0.000 description 1
- OTYBMLCTZGSZBG-UHFFFAOYSA-L potassium sulfate Chemical compound [K+].[K+].[O-]S([O-])(=O)=O OTYBMLCTZGSZBG-UHFFFAOYSA-L 0.000 description 1
- 229910052939 potassium sulfate Inorganic materials 0.000 description 1
- 239000001120 potassium sulphate Substances 0.000 description 1
- 235000011151 potassium sulphates Nutrition 0.000 description 1
- 125000002112 pyrrolidino group Chemical group [*]N1C([H])([H])C([H])([H])C([H])([H])C1([H])[H] 0.000 description 1
- 239000000376 reactant Substances 0.000 description 1
- 235000010265 sodium sulphite Nutrition 0.000 description 1
- 230000007928 solubilization Effects 0.000 description 1
- 238000005063 solubilization Methods 0.000 description 1
- 239000000725 suspension Substances 0.000 description 1
- YLQBMQCUIZJEEH-UHFFFAOYSA-N tetrahydrofuran Natural products C=1C=COC=1 YLQBMQCUIZJEEH-UHFFFAOYSA-N 0.000 description 1
- 238000004809 thin layer chromatography Methods 0.000 description 1
Classifications
-
- C—CHEMISTRY; METALLURGY
- C07—ORGANIC CHEMISTRY
- C07J—STEROIDS
- C07J9/00—Normal steroids containing carbon, hydrogen, halogen or oxygen substituted in position 17 beta by a chain of more than two carbon atoms, e.g. cholane, cholestane, coprostane
- C07J9/005—Normal steroids containing carbon, hydrogen, halogen or oxygen substituted in position 17 beta by a chain of more than two carbon atoms, e.g. cholane, cholestane, coprostane containing a carboxylic function directly attached or attached by a chain containing only carbon atoms to the cyclopenta[a]hydrophenanthrene skeleton
Definitions
- the present invention relates to an improved process for the preparation of chenodeoxycholic acid (or 3 ⁇ , 7 ⁇ -dihydroxy-5 ⁇ -cholanic acid).
- step a it is well known that the esters of cholic acid can be diacetylated in positions 3 and 7, to obtain the corresponding esters of 3 ⁇ , 7 ⁇ -diacetoxy-12 ⁇ acid. -hydroxycholanic.
- this diacetylation is carried out in particular by esterification with acetic anhydride in pyridine, using an excess of both acetic anhydride and pyridine and, in particular, using the latter two products as reaction solvents.
- step (b) The oxidation of hydroxycholanates provided for in step (b), generally carried out using an alkaline hypochlorite and acetic acid, is also well known in the literature, this reaction being carried out using an excess of acetic acid.
- the main drawback of this reaction is that of the release of chlorine, including, among other things, control problems to avoid ecological damage.
- this reaction does not give good yields in the final product and the main reason is due to the fact that, according to conventional methods, the reaction must be carried out or completed at very high temperature, which causes the formation of quantities not negligible by-products.
- step (a) With regard to the diacetylation in 3 and 7 of cholic acid esters, provided for in step (a), it has now been found that, in general, the diacetylation in 3 and 7 is carried out better if the starting ester does not contain traces of the alcohol esterifying the alkyl cholate and that the alcohol can be removed by washing with water of an alkyl cholate solution and azeotropic distillation.
- the amount of catalyst can vary from 0.3 to 1.5% by weight relative to the product (VI).
- organic solvent there may be used an aromatic hydrocarbon such as benzene or toluene, a halogenated solvent, such as methylene chloride or 1,2-dichloroethane, an ether, such as methyl isobutyl ether or 1,2 -dimethoxyethane, a ketone, such as acetone or methyl isobutyl ketone, an ester such as ethyl acetate or a mixture of two of these solvents.
- a second solvent is added to complete the solubilization of the reactants without using excessively large volumes.
- the acetylation reaction is preferably carried out in a toluene / acetone mixture, or in ethyl acetate.
- the tertiary amine is used in amounts which can vary between 20 and 50% by weight relative to the compound (VI).
- Preferred amines are aliphatic amines such as trimethylamine or triethylamine, but heterocyclic amines such as 1-methylpiperidine or 1-methylmorpholine or aromatic amines such as pyridine can also be used.
- This acetylation is carried out at a temperature of 0-5 ° C, as in all cases of this type of acetylation.
- the final product is isolated according to conventional techniques and can optionally be crystallized from toluene or from methanol.
- the starting product which must be subjected to acetylation is dry, in particular that it does not contain the alcohol used for the prior esterification.
- a starting methyl, ethyl or n-propyl cholate which contains 5 to 30% of the esterifying alcohol.
- said alcohol can be eliminated by dissolving the starting product in a mixture formed by an organic solvent having a boiling point at ambient pressure greater than 100 ° C., preferably the same solvent which will be used for the reaction acetylation, and water and by removing water first and then, azeotropically, from the solvent / water mixture.
- the water can first be removed and then the mixture of water and alcohol still optionally present by azeotropic distillation at a temperature above 100 ° C.
- toluene as a solvent having a boiling point at ambient pressure greater than 100 ° C.
- step (b) the oxidation reaction of the alkyl esters of 3 ⁇ , 7 ⁇ -diacetoxy-12 ⁇ -hydroxy-5 ⁇ -cholanic acid (I), can be carried out so effective and without control problem by slowly adding an essentially stoichiometric amount of an alkaline hypochlorite to a solution of the 12 ⁇ -hydroxy derivative of formula (I) and acetic acid in stoichiometric amount, in the presence of an alkali bromide, to a temperature below 40 ° C, and preferably below 10 ° C.
- the methyl ester of 3 ⁇ , 7 ⁇ -diacetoxy-12 ⁇ -hydroxy-5 ⁇ -cholanic acid is used.
- This reaction can be carried out in an organic or organic-aqueous solvent, the organic solvent being a halogenated hydrocarbon, for example methylene chloride or 1,1,2-dichloroethane, ethyl acetate or an ether, for example dimethoxyethane or tetrahydrofuran.
- organic solvent being a halogenated hydrocarbon, for example methylene chloride or 1,1,2-dichloroethane, ethyl acetate or an ether, for example dimethoxyethane or tetrahydrofuran.
- the alkali bromide is preferably used in an amount of 0.30-1.15 mole per mole of starting hydroxycholanate, the cation preferably being that of the hypochlorite used.
- the hypochlorite preferably sodium hypochlorite and sodium bromide are used.
- the reaction temperature must be less than 40 ° C to avoid the release of chlorine, but it is advantageous to conduct the oxidation below 10 ° C and preferably below 0 ° C.
- reaction is terminated after 16-24 hours at a temperature between -10 and 0 ° C and the product of formula (II) is isolated according to conventional techniques.
- the product thus obtained can be isolated in crystalline form by pouring the reaction mixture into water, preferably in the presence of an alkali sulfite which serves to destroy the excess of oxidizing agent still present, by eliminating the phase aqueous and evaporating the solvent.
- the 12-oxo-cholanate thus obtained can also be purified by crystallizing it from a suitable solvent or solvent system, such as acetone or acetone-water mixtures.
- step (c) With regard to the reduction of a compound (II) to obtain chenodeoxycholic acid (III) (step (c)), it has now been found that, if the Wolff-Kishner reaction is carried out in an aqueous-organic solvent by slowly removing the water and part of the solvent by azeotropic distillation, the progress of the reduction is easily controlled and the chenodeoxycholic acid is obtained in the pure state with a practically quantitative yield.
- chenodeoxycholic acid can be obtained with good yield and substantially free of impurities, in particular lithocholic acid, by treating 3 ⁇ , 7 ⁇ -dihydroxy-12-oxo-5 ⁇ -cholanic acid. or one of its esters of formula (II) in which R 'and R "represent, hydrogen or R''represents an acetyl group and R' has the same meaning as R above, with hydrazine and an inorganic base in a mixture of water and d '' a hydroxylated organic solvent which has a boiling point at ambient pressure higher than 100 ° C and forms an azeotrope with water, at a temperature of 85-110 ° C, then the water and part of the solvent are distilled increasing the temperature of the reaction mixture to 115-145 ° C and the reaction is allowed to terminate at this temperature.
- hydroxylated organic solvent means an organic solvent chosen from alkanols and lower alkyl ethers of ethylene or propylene glycol.
- Suitable organic solvents include 2-methoxyethanol (trade name: METHYL CELLOSOLVE) 2-ethoxyethanol, 2-butoxyethanol, 2-methoxy-propanol, 1-butanol and 2-pentanol, 2-methoxyethanol and 1-butanol being preferred.
- 2-methoxyethanol trade name: METHYL CELLOSOLVE
- 2-ethoxyethanol 2-butoxyethanol
- 2-methoxy-propanol 1-butanol and 2-pentanol
- 2-methoxyethanol and 1-butanol being preferred.
- the amount of water present in the reaction mixture with the hydroxylated organic solvent can vary between 10% and 30% by volume and is preferably present in a percentage of about 20% by volume relative to the organic solvent.
- the desired end product is chenodeoxycholic acid (III)
- the amount of mineral base must be calculated so as to cause the saponification of all the esters possibly present.
- potassium hydroxide 80-85%
- hydrazine is also used, in the form of the base, in 80-85% aqueous solution.
- the reaction is started slowly by heating to the temperature of 85-110 ° C in about 45-75 minutes, then the reaction mixture is left at the same temperature for a variable period of time between 1 and 5 hours.
- reaction mixture is distilled by slowly increasing the temperature of the mixture to 115-145 ° C, then the mixture is allowed to react at the same temperature.
- aqueous phase is eliminated, washed with a sodium bicarbonate solution until neutral, and 1.1 volumes of water are added per volume of methyl 3 ⁇ , 7 ⁇ -diacetoxy-12 ⁇ -hydroxy-5 ⁇ -cholanate. Distillation is carried out at 100 ° C., and the suspension is cooled to a temperature below 50 ° C. 3.1 volumes of acetone are added thereto and the mixture is heated under reflux for one hour until a solution is obtained. Cool and allow to crystallize. We lower the temperature to 0-5 ° C for 4 hours and centrifuge by washing the crystallized product with an ice-cold water-acetone mixture 1: 1.
- Step (c) Reduction of a compound (II) into chenodeoxycholic acid
- a mixture of 50 g of methyl ester of 3 ⁇ , 7 ⁇ -diacetoxy-12-oxo-5 ⁇ -cholanic acid, 250 ml of n-butyl alcohol and 25 g of 80% hydrazine hydrate at 103 is heated. ° C and heating is continued at the same temperature for 2 hours. Then the reaction mixture is distilled down to the temperature of 117-122 ° C, 50 g of 88% potassium hydroxide are added and the reaction mixture is distilled down to the temperature of 138-142 ° C. Heating is continued at the same temperature for 24 hours.
- Example 6 The procedure is substantially as described in Example 6 using methyl cellosolve instead of n-butyl alcohol. It is heated for 10 hours instead of 24 and the chenodeoxycholic acid is isolated according to the method described in example 5. 38.1 g of pure chenodeoxycholic acid is obtained, having a titer of 98.5%, the major impurity. being water.
Landscapes
- Chemical & Material Sciences (AREA)
- Organic Chemistry (AREA)
- Health & Medical Sciences (AREA)
- General Health & Medical Sciences (AREA)
- Steroid Compounds (AREA)
- Organic Low-Molecular-Weight Compounds And Preparation Thereof (AREA)
Description
- La présente invention concerne un procédé amélioré de préparation de l'acide chénodésoxycholique (ou acide 3α, 7α-dihydroxy-5β-cholanique).
- Des nombreuses synthèses des acides chénodésoxycholique et ursodésoxycholique ont été décrites dans la littérature. On peut citer, par exemple, les synthèses décrites dans les brevets américains US 3891681, US 3945562 et US 4425273, les demandes de brevet Japonais non examinées J50088856 (Derwent 11665W9), J54079260 (Derwent 57301B), et J59039900 (Derwent 84-092393), les demandes de brevet Japonais examinées J75012434 (Derwent 38598W) , J81014120 (Derwent 71422A), et J87054439 (Derwent 38484E), les brevets tchécoslovaques CS-186067 (Chem. Abst. 100, 175130c), et CS-233418 (Chem. Abst. 106, 102613b), les brevets anglais GB-2202850 et GB-2076823, le brevet français FR-1372109, la demande de brevet hollandais NL-7908972, les brevets espagnols ES-489661 (Chem. Abst. 96, 20375m) et ES-499525 (Chem. Abst. 97, 145149t), et les brevets européens EP-63106 et EP-88637.
- En effet tous les procédés qui sont utilisés aujourd'hui au niveau industriel pour la préparation de l'acide chénodésoxycholique se placent dans le même schema réactionnel qui comprend substantiellement les étapes suivantes :
- étape (a) préparation d'un ester alkylique de l'acide 3α,7α-diacétoxy-12α-hydroxy-5β-cholanique de formule (I)
dans laquelle R est méthyle, éthyle, ou n-propyle, - étape (b) conversion d'un composé de formule (I) en un dérivé 12-oxo de formule (II)
dans laquelle R' et R'' représentent l'hydrogène ou bien R'' représente un groupe acétyle et R' a la même signification que R ci-dessus, et - étape (c) réduction d'un composé de formule (II) en acide chénodésoxycholique de formule (III)
- Chacun de ces passages est bien connu mais, dans les formes de réalisation décrites en littérature, présente des inconvenients qui posent des problèmes serieux du point de vue industriel.
- Plus particulièrement, en ce qui concerne l'étape a), il est bien connu que les esters de l'acide cholique peuvent être diacétylés en positions 3 et 7, pour obtenir les esters correspondants de l'acide 3α,7α-diacétoxy-12α-hydroxycholanique.
- Selon les méthodes classiques, cette diacétylation est conduite notamment par estérification avec l'anhydride acétique dans la pyridine, en utilisant un excès tant d'anhydride acétique que de pyridine et, notamment, en utilisant ces deux derniers produits en tant que solvants de réaction.
- Ces méthodes comportent l'utilisation de quantités de réactifs très importantes et la formation d'une quantité non négligeable de sous-produit tri-acétoxylé. Pour éviter la formation de quantités trop importantes de ce sous-produit, il est nécessaire de surveiller le déroulement de la réaction en tenant sous contrôle soit la température,soit la durée de la réaction pour l'arrêter au moment opportun.
- L'oxydation d'hydroxycholanates prévue à l'étape (b), généralement réalisée au moyen d'un hypochlorite alcalin et de l'acide acétique, est également bien connue dans la littérature, cette réaction étant conduite en utilisant un excès d'acide acétique. L'inconvenient principal de cette réaction est celui de la libération du chlore comportant, entre autres, des problèmes de contrôle pour éviter des dommages écologiques.
- La réduction du composé de formule (II) en acide chénodésoxycholique (III), bien connue comme réduction de Wolff-Kishner modifiée par Huang-Minlon, a été décrite, dans le cadre de la préparation de l'acide chénodésoxycholique, par L.F. Fieser et al., J. Am. Chem. Soc. 1950, 72 , 5530-5536 et par E. Hauser et al., Helv. Chim. Acta 1960, 43, 1595-1600 et est la méthode couramment utilisée dans le cadre de la fabrication de l'acide chénodésoxycholique.
- De toute façon, cette réaction ne donne pas de bons rendements en produit final et la raison principale est due au fait que, selon les méthodes classiques, la réaction doit être conduite ou complétée à température très élevée, ce qui provoque la formation de quantités non négligeables de sous-produits.
- On a maintenant trouvé qu'on peut améliorer chacune de ces étapes, en surmontant les problèmes posés par les méthodes connues.
- En ce qui concerne la diacétylation en 3 et en 7 d'esters de l'acide cholique, prévue à l'étape (a), on a maintenant trouvé que, de façon générale, la diacétylation en 3 et 7 s'effectue mieux si l'ester de départ ne contient pas de traces de l'alcool estérifiant le cholate d'alkyle et que l'élimination de l'alcool peut être faite par lavage à l'eau d'une solution de cholate d'alkyle et distillation azéotropique.
- On a également trouvé qu'on peut effectuer une diacétylation sélective des esters de l'acide cholique en utilisant une quantité stoechiométrique d'anhydride acétique si l'on opère en présence de quantités catalytiques d'une N,N-dialkylaniline ou d'une 4-dialkylaminopyridine et d'une quantité d'amine tertiaire inférieure à une mole d'amine par mole de produit de départ.
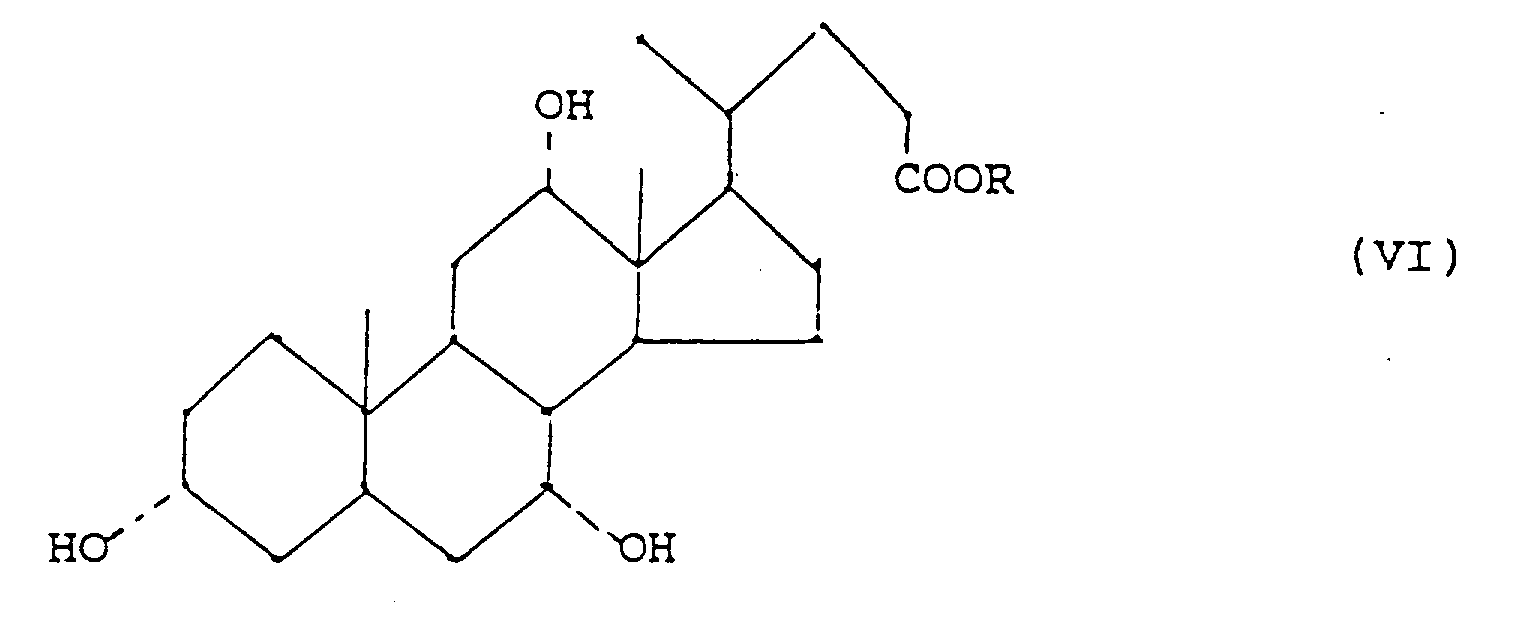
- Ainsi, la préparation de 3α,7α-diacétoxy-12α-hydroxy-5β-cholanates d'alkyle de formule (I)
dans laquelle R représente méthyle, éthyle ou n-propyle, est convenablement effectuée par acétylation des esters correspondants de l'acide cholique de formule (VI) dans laquelle R est tel que défini ci-dessus, avec la quantité stoechiométrique d'anhydride acétique dans un solvant organique en présence d'une quantité catalytique d'un composé de formule (VII) dans laquelle Y' et Y'' représentent indépendemment un alkyle de 1 à 4 atomes de carbone ou bien, ensemble, forment, avec l'atome d'azote auquel ils sont liés, un groupe pyrrolidino, pipéridino ou morpholino et Z représente un atome d'azote ou un groupe et d'une amine tertiaire en quantité inférieure à une mole d'amine par mole de produit de départ. - Le produit de départ préféré est le cholate de méthyle (formule VI, R = méthyle).
- Comme catalyseur préféré on utilise la 4-diméthylaminopyridine, ci-après indiquée "4-DMAP" (formule VII, Y' = Y" = méthyle, Z = ), mais la N,N-diméthylaniline (formule VII, Y' = Y '' = méthyle, Z = ) peut être avantageusement utilisée. La quantité de catalyseur peut varier de 0,3 à 1,5% en poids par rapport au produit (VI).
- Comme solvant organique on peut utiliser un hydrocarbure aromatique tel que le benzène ou le toluène, un solvant halogéné, tel que le chlorure de méthylène ou le 1,2-dichloroéthane, un éther, tel que le méthyl-isobutyl éther ou le 1,2-diméthoxyéthane, une cétone, telle que l'acétone ou la méthylisobutyl cétone, un ester tel que l'acetate d'éthyle ou bien un mélange de deux de ces solvants. Notamment, on ajoute un deuxième solvant pour compléter la solubilisation des réactifs sans utiliser des volumes trop importants.
- La réaction d'acétylation est conduite de préférence dans un mélange toluène/acétone, ou dans l'acétate d'éthyle.
- L'amine tertiaire est utilisée en quantités qui peuvent varier entre 20 et 50% en poids par rapport au composé (VI). Les amines préférées sont les amines aliphatiques comme la triméthylamine ou la triéthylamine, mais des amines hétérocycliques comme la 1-méthylpipéridine ou la 1-méthylmorpholine ou des amines aromatiques comme la pyridine peuvent également être utilisées.
- Cette acétylation est conduite à une température de 0-5°C, comme dans tous les cas de ce type d'acétylation.
- En général, après 10-12 heures à cette température, la réaction est complète, mais sa durée n'est pas critique au delà de 12 heures car, même laissant le mélange réactionnel à 0-5°C pendant 24 heures, on n'observe aucune formation ultérieure de sous-produits. Cela constitue l'avantage principal par rapport aux procédés classiques.
- Le produit final est isolé selon les techniques conventionnelles et peut être éventuellement cristallisé dans le toluène ou dans le méthanol.
- Pour obtenir de bons rendements en produit (I), il est souhaitable que le produit de départ qui doit être soumis à l'acétylation soit sec, notamment qu'il ne contienne pas l'alcool utilisé pour l'estérification préalable.
- On peut cependant utiliser, selon un autre aspect de la présente invention, un cholate de méthyle, d'éthyle ou de n-propyle de départ qui contient 5 à 30% de l'alcool estérifiant. Dans ce cas, on peut éliminer ledit alcool par dissolution du produit de départ dans un mélange formé par un solvant organique ayant un point d'ébullition à la pression ambiante supérieur à 100°C, de préférence le même solvant qui sera utilisé pour la réaction d'acétylation, et de l'eau et par élimination d'abord de l'eau et ensuite, azéotropiquement, du mélange solvant/eau.
- Il est préférable de dissoudre le produit de départ dans le solvant qui sera utilisé pour la réaction d'acétylation et d'utiliser une quantité d'eau de 10 à 25% en volume par rapport à la quantité de solvant organique utilisé.
- On peut éliminer d'abord l'eau et ensuite le mélange de l'eau et de l'alcool encore éventuellement présent par distillation azéotropique à une température supérieure à 100°C.
- Selon cet aspect de la présente invention, il est donc avantageux d'utiliser le toluène comme solvant ayant un point d'ébullition à la pression ambiante supérieur à 100°C.
- On a ainsi trouvé que, en ce qui concerne l'étape (b) la réaction d'oxydation des esters alkyliques de l'acide 3α, 7α-diacétoxy-12α-hydroxy-5β-cholanique (I), peut être effectuée de façon efficace et sans problème de contrôle en ajoutant lentement une quantité essentiellement stoechiométrique d'un hypochlorite alcalin à une solution du dérivé 12α-hydroxy de formule (I) et d'acide acétique en quantité stoéchiométrique, en présence d'un bromure alcalin, à une température inférieure à 40°C, et de préférence, inférieure à 10°C.
- Ainsi, la préparation du 12-oxocholanate de formule (II)
dans laquelle les deux R'' et R' représentent l'hydrogène ou bien les deux R'' représentent un groupe acétyle et R' a la même signification que R ci-dessus est plus convenablement realisée en ajoutant lentement un hypochlorite alcalin à une solution d'un 12α-hydroxy-cholanate de formule (I) dans laquelle R est tel que défini ci-dessus, contenant de l'acide acétique en quantité stoechiométrique et un bromure alcalin, à une température inférieure à 40°C, et en saponifiant éventuellement le produit ainsi obtenu, pour préparer le composé de formule (II) dans laquelle R' et R'' représentent l'hydrogène. - Comme hydroxycholanate de départ préféré on utilise l'ester méthylique de l'acide 3α,7α-diacétoxy-12α-hydroxy-5β-cholanique.
- Cette réaction peut être conduite dans un solvant organique ou organique-aqueux, le solvant organique étant un hydrocarbure halogéné, par exemple le chlorure de méthylène ou 1'1,2-dichloroéthane, l'acétate d'éthyle ou un éther, par exemple le diméthoxyéthane ou le tétrahydrofuranne.
- Le bromure alcalin est de préférence utilisé à raison de 0,30-1,15 mole par mole d'hydroxycholanate de départ, le cation étant de préférence celui de l'hypochlorite utilisé. De préférence, on utilise hypochlorite de sodium et bromure de sodium.
- La température de réaction doit être inférieure à 40°C pour éviter la libération de chlore, mais il est avantageux de conduire l'oxydation au dessous de 10°C et, de préférence, au dessous de 0°C.
- En général, selon un mode opératoire préférentiel, la réaction est terminée après 16-24 heures à une température entre -10 et 0°C et le produit de formule (II) est isolé selon les techniques conventionelles.
- Par exemple, le produit ainsi obtenu peut être isolé sous forme cristalline en versant le mélange réactionnel dans l'eau, de préférence en présence d'un sulfite alcalin qui sert à détruire l'excès d'agent oxydant encore présent, en éliminant la phase aqueuse et en évaporant le solvant.
Le 12-oxo-cholanate ainsi obtenu peut aussi être purifié en le cristallisant à partir d'un solvant ou système solvant approprié, tel que l'acétone ou les mélanges acétone-eau. - On obtient ainsi un ester de l'acide 3α,7α-diacétoxy-12-oxo-5β-cholanique qui peut être saponifié en utilisant une solution aqueuse d'hydroxyde de sodium pour isoler l'acide 3α,7α-dihydroxy-12-oxo-5β-cholanique.
- En ce qui concerne la réduction d'un composé (II) pour obtenir l'acide chénodésoxycholique (III) (étape (c)), on a maintenant trouvé que, si on conduit la réaction de Wolff-Kishner dans un solvant aqueux-organique en éliminant lentement l'eau et une partie du solvant par distillation azéotropique, le déroulement de la réduction est facilement contrôlé et l'acide chénodésoxycholique est obtenu à l'état pur avec un rendement pratiquement quantitatif.
- Plus particulièrement, on a trouvé que l'acide chénodésoxycholique peut être obtenu avec un bon rendement et substantiellement dépourvu d'impuretés, en particulier d'acide lithocholique, en traitant l'acide 3α,7α-dihydroxy-12-oxo-5β-cholanique ou un de ses esters de formule (II)
dans laquelle R' et R" représentent, l'hydrogène ou R'' représente un groupe acétyle et R' a la même signification que R ci-dessus, avec de l'hydrazine et une base minérale dans un mélange d'eau et d'un solvant organique hydroxylé qui a un point d'ébullition à pression ambiante superieur à 100°C et forme un azéotrope avec l'eau, à une température de 85-110°C, puis on distille l'eau et une partie du solvant en augmentant la température du mélange réactionnel jusqu'à 115-145°C et on laisse se terminer la réaction à cette température. - Par le terme "solvant organique hydroxylé" on entend un solvant organique choisi entre les alcanols et les éthers alkyliques inférieurs du glycol éthylénique ou propylénique.
- Des solvants organiques appropriés comprennent le 2-méthoxyéthanol (nom commercial: METHYL CELLOSOLVE) le 2-éthoxyéthanol, le 2-butoxyéthanol, le 2-méthoxy-propanol, le 1-butanol et le 2-pentanol, le 2-méthoxyéthanol et le 1-butanol étant préférés.
- La quantité d'eau présente dans le mélange réactionnel avec le solvant organique hydroxylé peut varier entre 10% et 30% en volume et est de préférence présente dans un pourcentage d'environ 20% en volume par rapport au solvant organique.
- L'utilisation de ce système solvant permet, aux conditions prévues pour cette réaction, l'élimination lente et en même temps complète de l'eau par distillation azéotropique en permettant ainsi de poursuivre la réaction jusqu'au bout.
- Le composé de départ préféré est celui de formule (II) ci-dessus, où R' = R" = H, mais 1' ester méthylique du diacétate (formule (II), R' = méthyle, R" = acétyle) convient également,
- Comme, de toute façon, le produit final souhaité est l'acide chénodésoxycholique (III), la quantité de base minérale doit être calculée de façon à provoquer la saponification de tous les esters éventuellement présents.
- Comme base minérale on utilise de préférence l'hydroxyde de potassium (80-85%), et l'hydrazine est également utilisée, sous forme de base, en solution aqueuse à 80-85%.
- La réaction est amorcée lentement par chauffage jusqu'à la température de 85-110°C en environ 45-75 minutes, puis le mélange réactionnel est laissé à la même température pour une période de temps variable entre 1 et 5 heures.
- Pour compléter la réaction, on distille le mélange réactionnel en augmentant lentement la température du mélange jusqu'à 115-145°C, puis on laisse le mélange réagir à la même temperature.
- Normalement, après 5-10 heures de chauffage, la réaction est terminée et l'acide chénodésoxycholique (III) est isolé par simple acidification et filtration.
- Un premier objet de la présente invention est donc un procédé de préparation de l'acide chénodésoxycholique se déroulant essentiellement selon les étapes suivantes:
- étape (a) - 3,7-diacétylation du cholate de méthyle, éthyle ou n-propyle pour obtenir l'ester correspondant de formule (I)
dans laquelle R est méthyle, éthyle, ou n-propyle, - étape (b) - oxydation d'un composé de formule (I) en dérivé 12-oxo de formule (II)
dans laquelle R' et R'' représentent l'hydrogène ou bien R'' représente un groupe acétyle et R' a la même signification que R ci-dessus, et - étape (c) - réduction d'un composé de formule (II) en acide chénodésoxycholique de formule (III)
caractérisé en ce que- (a) : on prépare un composé de formule (I) en traitant un ester de l'acide cholique de fomule (VI)
dans laquelle R est méthyle, éthyle ou n-propyle, avec la quantité stoechiométrique d'anhydride acétique dans un solvant organique en présence d'une quantité catalytique d'un composé de formule (VII) dans laquelle Y' et Y'' représentent indépendamment un groupe (C₁ - C₄) alkyle ou bien, ensemble, forment, avec l'atome d'azote auquel ils sont liés, un groupe pyrrolidino, pipéridino ou morpholino et Z représente un atome d'azote ou un groupe , et d'une amine tertiaire en quantité inférieure à une mole d'amine par mole de produit de départ; - (b): on oxyde un composé de formule (I) en dérivé 12-oxo de formule (II) en ajoutant lentement un hypochlorite alcalin en quantité essentiellement stoechiométrique à une solution d'un 12α-hydroxycholanate de formule (I) dans laquelle R est tel que defini ci-dessus et d'acide acétique en quantité stoechiométrique, en présence d'un bromure alcalin, à une température inferieure à 40°C, et en saponifiant éventuellement le produit ainsi obtenu pour obtenir le composé de formule (II) dans laquelle R' et R'' sont l'hydrogène; et
- (c): on réduit un composé de formule (II) en acide chénodésoxycholique (III) en traitant ledit composé de formule (II) dans laquelle R' et R'' sont tels que definis ci-dessus, avec de l'hydrazine et une base minérale dans un mélange formé par de l'eau et un solvant organique hydroxylé ayant un point d'ébullition à pression ambiante supérieur à 100°C et formant un azéotrope avec l'eau, à une température de 85-110°C, puis on distille l'eau et une partie du solvant en augmentant la température du mélange réactionnel jusqu'à 115-145°C et on laisse terminer la réaction à cette température.
- (a) : on prépare un composé de formule (I) en traitant un ester de l'acide cholique de fomule (VI)
- Il est entendu que toutes les indications concernant les conditions de réaction encore plus avantageuses qui ont été mentionnées ci-dessus pour chaque étape, s'appliquent également au procédé global de préparation de l'acide chénodésoxycholique et représentent des formes de réalisation préférés dudit procédé.
- Les exemples suivants illustrent la présente invention sans toutefois la limiter.
- On chauffe à 40°C une mélange de 105 kg de cholate de méthyle provenant directement de l'estérification de l'acide cholique avec le méthanol et contenant 15% de méthanol, 580 l de toluène et 90 l d'eau; puis on sépare la phase aqueuse, on chauffe la phase organique au reflux et on élimine l'eau azéotropiquement jusqu'à 110°C. On refroidit, on ajoute 135 l d'acétone et, à une température inférieure à 20°C, on ajoute d'abord 0,78 kg de 4-DMAP et 35 kg de triéthylamine et ensuite, lentement, 44 kg d'anhydride acétique. On porte la température à 0-5°C et on laisse le mélange réactionnel à cette température jusqu'à ce que la réaction est complète. Ensuite, on lave avec 180 l d'eau et on concentre la phase organique jusqu'à une concentration de 1:2. On amorce la cristallisation à 60°C, on isole le produit à 0-5°C par centrifugation et on le lave avec du toluène et de l'eau. Après une cristallisation dans le toluène, on obtient le 3α,7α-diacétoxy-12α-hydroxy-5β-cholanate de méthyle, identique à un échantillon authentique, ayant un titre supérieur à 99% mesuré par chromatographie en phase gazeuse. Rendement en produit cristallisé: 76% sur 90 kg estimés de produit de départ sec.
- En opérant comme décrit dans l'Exemple 1, mais en remplaçant les 35 kg de triéthylamine par 35 kg de pyridine on obtient le 3α,7α-diacétoxy-12α-hydroxy-5β-cholanate de méthyle ayant le même dégré de pureté et avec le même rendement.
- A une solution de 17 kg de 3α,7α-diacétoxy-12α-hydroxy-5β-cholanate de méthyle et 1,04 kg de bromure de sodium dans 46 kg d'acétate d'éthyle, 3,6 kg d'acide acétique et 3,4 kg d'eau, refroidie à -10°C-0°C, on ajoute en 5 heures 18,48 l d'une solution à 14,9 % poids/volume d'hypochlorite de sodium. On laisse le mélange réactionnel 16 heures à la même température, puis on ajoute 17 kg d'une solution de sulfite de sodium à 10% et on chauffe à 40°C. On élimine la phase aqueuse, on lave à une solution de bicarbonate de sodium jusqu'à neutralité, et on ajoute 1,1 volumes d'eau par volume de 3α,7α-diacétoxy-12α-hydroxy-5β-cholanate de méthyle. On distille à 100°C, et on refroidit la suspension à une température inférieure à 50°C. On y ajoute 3,1 volumes d'acetone et on chauffe au reflux pendant une heure jusqu'à l'obtention d'une solution. On refroidit et on laisse cristalliser. On abaisse la température jusqu'à 0-5°C pendant 4 heures et on centrifuge en lavant le produit cristallisé avec un mélange glacé eau-acétone 1:1. On obtient 15,57 kg de 3α,7α-diacétoxy-12-oxo-5β-cholanate de méthyle ayant un titre supérieur à 99% par rapport à un échantillon authentique. On peut aussi, après neutralisation de la solution du produit dans l'acétate d'éthyle, évaporer le solvant sur un bain d'eau, refroidir et filtrer en obtenant le3α,7α-diacétoxy-12-oxo-5β-cholanate de méthyle avec un rendement quantitatif.
- On opère comme décrit ci-dessus jusqu'à la cristallisation du 3α,7α-diacétoxy-12-oxo-5β-cholanate de méthyle, puis on ajoute 4 équivalents d'hydroxyde de sodium à 40% et on chauffe au reflux jusqu'à ce que la saponification soit complète. Par acidification avec de l'acide chlorhydrique, on obtient l'acide 3α,7α-dihydroxy-12-oxo-5β-cholanique ayant un titre supérieur à 99% par rapport à un échantillon authentique.
- A un mélange de 40 g d'acide 3α,7α-dihydroxy-12-oxo-5β-cholanique, 80 ml de METHYL CELLOSOLVE et 17 ml d'eau, on ajoute 40 g d'hydroxyde de potassium à 85% et, ensuite, 13 ml d'hydrazine à 80%. On porte la température à 110°C et on continue le chauffage à la même température pendant 4 heures. Ensuite, on distille le mélange réactionnel jusqu'à la température de 135-138°C et on le laisse à la même température pendant 8 heures. On refroidit, on ajoute 120 ml d'eau, puis on verse la solution dans 160 ml d'eau contenant 40 ml d'acide sulfurique 50 B à une température inférieure à 20°C en ajustant le pH à environ 2. On filtre et on lave jusqu'à neutralité. On obtient ainsi 40 g d'acide chénodésoxycholique pur ayant un titre de 86,5 %, les impuretés majeures étant l'eau et le sulfate de potassium. La quantité d'acide lithocholique, évaluée par chromatographie sur couche mince est << 0.05%
- On chauffe un mélange de 50g d'ester méthylique de l'acide 3α,7α-diacétoxy-12-oxo-5β-cholanique, 250 ml d'alcool n-butylique et 25 g d'hydrate d'hydrazine à 80% à 103°C et on continue le chauffage à la même température pendant 2 heures. Ensuite on distille le mélange réactionnel jusqu'à la température de 117-122°C, on ajoute 50 g d'hydroxyde de potassium à 88% et on distille le mélange réactionnel jusqu'à la température de 138-142°C. On continue le chauffage à la même température pendant 24 heures. On refroidit, on ajoute 200 ml d'eau, on distille le mélange jusqu'à l'élimination totale de l'alcool n-butylique, on refroidit, on ajoute 130 ml d'eau et d'acide formique à 60% jusqu'à pH 7-8, on ajoute 100 ml d'acétate d'éthyle et d'acide formique jusqu'à pH 4-5. On separe la phase organique qui est lavée avec une solution aqueuse de bicarbonate de sodium jusqu'à neutralité, on separe la phase organique; le produit est extrait par une solution aqueuse de bicarbonate de sodium.
La phase aqueuse est séparée et on distille jusqu'à l'élimination totale de l'acétate d'éthyle.
On refroidit et on verse la solution dans une quantité d'acide sulfurique 20% pour obtenir un pH final d'environ 2, on filtre et on lave jusqu'à neutralité. On obtient ainsi 36,8 g d'acide chénodésoxycholique pur ayant un titre de 97,2%, l'impureté majeure étant l'eau. - On opère substantiellement comme décrit dans l'exemple 6 en utilisant le méthyl cellosolve au lieu de l'alcool n-butylique. On chauffe pendant 10 heures au lieu de 24 et on isole l'acide chénodésoxycholique selon la méthode décrite dans l'exemple 5. On obtient 38,1 g d'acide chénodésoxycholique pur ayant un titre de 98,5%, l'impureté majeure étant l'eau.
Claims (11)
- Procédé de préparation de l'acide chénodésoxycholique se déroulant selon les étapes suivantes :- étape (a) : 3,7-diacétylation du cholate de méthyle, éthyle ou n-propyle pour obtenir l'ester correspondant de formule (I)
dans laquelle R est méthyle, éthyle, ou n-propyle,- étape (b) : oxydation d'un composé de formule (I) en dérivé 12-oxo de formule (II) dans laquelle R' et R'' représentent l'hydrogène ou bien R" représente un groupe acétyle et R' a la même signification que R ci-dessus, et- étape (c) : réduction d'un composé de formule (II) en acide chénodésoxycholique de formule (III) caractérisé en ce que :(a) : on prépare un composé de formule (I) telle que définie ci-dessus en traitant un ester de l'acide cholique de formule (VI) dans laquelle R est tel que défini ci-dessus avec une quantité stoechiométrique d'anhydride acétique dans un solvant organique en présence d'une quantité catalytique d'un composé de formule (VII) dans laquelle Y' et Y'' représentent indépendamment un groupe (C₁-C₄) alkyle ou bien, ensemble, forment, avec l'atome d'azote auquel ils sont liés, un groupe pyrrolidino, pipéridino ou morpholino et Z représente un atome d'azote ou un groupe , et d'une amine tertiaire en quantité inférieure à une mole d'amine par mole de produit de départ;(b) : on oxyde un composé de formule (I) en dérivé 12-oxo de formule (II) en ajoutant lentement un hypochlorite alcalin à une solution de 12α-hydroxycholanate de formule (I) dans laquelle R est tel que défini ci-dessus et d'acide acétique en quantité stoechiométrique, en présence d'un bromure alcalin, à une température inférieure à 40°C et en saponifiant éventuellement le produit ainsi obtenu pour obtenir le composé de formule (II) dans laquelle R' et R'' sont l'hydrogène;(c) : on réduit un composé de formule (II) en acide chénodésoxycholique (III) en traitant ledit composé de formule (II) dans laquelle R' et R'' sont tels que définis ci-dessus avec de l'hydrazine et une base minérale dans un mélange formé par de l'eau et un solvant organique hydroxylé ayant un point d'ébullition à pression ambiante supérieur à 100°C et formant un azéotrope avec l'eau, à une température de 85-110°C, puis on distille l'eau et une partie du solvant en augmentant la température du mélange réactionnel jusqu'à 115-145°C et on laisse se terminer la réaction à cette température. - Procédé selon la revendication 1, caractérisé en ce que comme composé de départ dans l'étape (a) on utilise un cholate de méthyle, d'éthyle ou de n-propyle qui contient 5 à 30% de l'alcool estérifiant et qu'on élimine ledit alcool par dissolution dans un mélange formé par un solvant organique ayant un point d'ébullition à la pression ambiante supérieur à 100°C et de l'eau et par élimination d'abord de l'eau et ensuite, azéotropiquement, du mélange solvant/eau.
- Procédé selon l'une des revendications 1 ou 2, caractérisé en ce que comme produit de départ dans l'étape (a) on utilise le cholate de méthyle et comme solvant organique le toluène.
- Procédé selon l'une quelconque des revendications 1 à 3, caractérisé en ce que dans l'étape (a) on utilise comme catalyseur la 4-diméthylaminopyridine.
- Procédé selon l'une quelconque des revendications 1, 2 ou 4, caractérisé en ce que l'étape (a) est conduite dans un mélange toluène/acétone, ou dans l'acétate d'éthyle.
- Procédé selon la revendication 1, caractérisé en ce que dans l'étape (b) on utilise le 3α,7α-diacétoxy-12α-hydroxy-5β-cholanate de méthyle en tant que produit de départ.
- Procédé selon la revendication 6, caractérisé en ce que dans l'étape (b) le bromure alcalin est utilisé à raison de 0,30 - 1, 15 mole par mole d'hydroxycholanate de départ.
- Procédé selon l'une quelconque des revendications 6 ou 7, caractérisé en ce que dans l'étape (b) on utilise l'hypochlorite de sodium et le bromure de sodium.
- Procédé selon la revendication 1, caractérisé en ce que dans l'étape (c) l'eau est présente dans le mélange réactionnel dans une quantité de 10 à 30% en volume par rapport au solvant organique hydroxylé.
- Procédé selon la revendication 9, caractérisé en ce que dans l'étape (c) on utilise le 2-méthoxyéthanol ou le 1-butanol en tant que solvant organique hydroxylé.
- Procédé selon l'une quelconque des revendications 9 ou 10, caractérisé en ce que dans l'étape (c) on utilise l'acide 3α, 7α-dihydroxy-12-oxo-5 β-cholanique libre en tant que produit de départ.
Applications Claiming Priority (8)
| Application Number | Priority Date | Filing Date | Title |
|---|---|---|---|
| FR8913572 | 1989-10-17 | ||
| FR8913572A FR2653129B1 (fr) | 1989-10-17 | 1989-10-17 | Procede pour la preparation de 7-oxocholanates. |
| FR8913569A FR2653126B1 (fr) | 1989-10-17 | 1989-10-17 | Procede pour la preparation de diacetoxycholanates. |
| FR8913571A FR2653128B1 (fr) | 1989-10-17 | 1989-10-17 | Procede pour la preparation de l'acide chenodesoxycholique. |
| FR8913569 | 1989-10-17 | ||
| FR8913570A FR2653127B1 (fr) | 1989-10-17 | 1989-10-17 | Procede pour la preparation de 12-oxocholanates. |
| FR8913571 | 1989-10-17 | ||
| FR8913570 | 1989-10-17 |
Publications (3)
| Publication Number | Publication Date |
|---|---|
| EP0424232A2 EP0424232A2 (fr) | 1991-04-24 |
| EP0424232A3 EP0424232A3 (en) | 1992-05-20 |
| EP0424232B1 true EP0424232B1 (fr) | 1996-02-21 |
Family
ID=27446720
Family Applications (1)
| Application Number | Title | Priority Date | Filing Date |
|---|---|---|---|
| EP90402879A Expired - Lifetime EP0424232B1 (fr) | 1989-10-17 | 1990-10-16 | Procédé de préparation de l'acide |
Country Status (7)
| Country | Link |
|---|---|
| EP (1) | EP0424232B1 (fr) |
| AT (1) | ATE134378T1 (fr) |
| DE (1) | DE69025449T2 (fr) |
| DK (1) | DK0424232T3 (fr) |
| ES (1) | ES2086388T3 (fr) |
| GR (1) | GR3019857T3 (fr) |
| IE (1) | IE73449B1 (fr) |
Cited By (2)
| Publication number | Priority date | Publication date | Assignee | Title |
|---|---|---|---|---|
| WO2017207648A1 (fr) | 2016-05-31 | 2017-12-07 | Bionice, S.L.U | Procédés et intermédiaires pour la préparation d'acide obéticholique et de dérivés de celui-ci |
| EP3431486A1 (fr) | 2017-07-18 | 2019-01-23 | Bionice, S.L.U. | Procédé et intermédiaires de synthèse de l'acide obéticholique et leurs dérivés |
Families Citing this family (5)
| Publication number | Priority date | Publication date | Assignee | Title |
|---|---|---|---|---|
| EP2105500A1 (fr) | 2008-03-26 | 2009-09-30 | Pharmazell GmbH | Nouveaux 12alpha-hydroxystéroïd-déhydrogénases, leur fabrication et leur utilisation |
| CN101215311B (zh) * | 2008-01-10 | 2010-10-27 | 辽宁百隆生物工程有限公司 | 用含量86%的鹅去氧胆酸生产熊去氧胆酸的生产方法 |
| EP2333101A1 (fr) | 2009-12-11 | 2011-06-15 | PharmaZell GmbH | Système de régénération de cofacteur NAD(P)+ et ses applications |
| CN102060902A (zh) * | 2011-01-21 | 2011-05-18 | 郑州大学 | 一种鹅去氧胆酸的合成方法 |
| ITMI20110534A1 (it) | 2011-03-31 | 2012-10-01 | Prodotti Chimici Alimentari | "nuovo processo per l'ossidazione selettiva di acidi biliari, loro sali o derivati" |
Family Cites Families (7)
| Publication number | Priority date | Publication date | Assignee | Title |
|---|---|---|---|---|
| US4360470A (en) * | 1980-10-22 | 1982-11-23 | Hoffmann-La Roche Inc. | Process and intermediates for the synthesis of Vitamin D3 metabolites and chenodeoxycholic acid |
| IT1137459B (it) * | 1981-04-14 | 1986-09-10 | Erregierre Spa | Prodesso per la preparazione di acido ursodeossicolico ad alta purezza |
| IT1167478B (it) * | 1981-07-24 | 1987-05-13 | Carlo Scolastico | Derivati dell'acido ursodesossicolico |
| FR2511007A1 (fr) * | 1981-08-07 | 1983-02-11 | Roussel Uclaf | Procede de preparation de l'acide ursodesoxycholique a partir de l'acide 3a, 7b, 12a-trihydroxycholanique et produit intermediaire utilises |
| JPS5842878B2 (ja) * | 1981-12-02 | 1983-09-22 | 名糖産業株式会社 | 12−オキソコラン酸トシルヒドラゾン化合物、その製法ならびに利用 |
| JPS58155098A (ja) * | 1982-03-09 | 1983-09-14 | Yakult Honsha Co Ltd | 微生物によるウルソデオキシコ−ル酸の製造法 |
| IT1204429B (it) * | 1986-01-09 | 1989-03-01 | Blaschim Spa | Riduzione stereoselettiva in acidi biliari |
-
1990
- 1990-10-16 EP EP90402879A patent/EP0424232B1/fr not_active Expired - Lifetime
- 1990-10-16 DK DK90402879.2T patent/DK0424232T3/da active
- 1990-10-16 DE DE69025449T patent/DE69025449T2/de not_active Expired - Lifetime
- 1990-10-16 AT AT90402879T patent/ATE134378T1/de not_active IP Right Cessation
- 1990-10-16 ES ES90402879T patent/ES2086388T3/es not_active Expired - Lifetime
- 1990-10-16 IE IE370190A patent/IE73449B1/en not_active IP Right Cessation
-
1996
- 1996-05-07 GR GR960401242T patent/GR3019857T3/el unknown
Cited By (4)
| Publication number | Priority date | Publication date | Assignee | Title |
|---|---|---|---|---|
| WO2017207648A1 (fr) | 2016-05-31 | 2017-12-07 | Bionice, S.L.U | Procédés et intermédiaires pour la préparation d'acide obéticholique et de dérivés de celui-ci |
| EP3431486A1 (fr) | 2017-07-18 | 2019-01-23 | Bionice, S.L.U. | Procédé et intermédiaires de synthèse de l'acide obéticholique et leurs dérivés |
| WO2019015914A1 (fr) | 2017-07-18 | 2019-01-24 | Bionice, S.L.U. | Procédés et intermédiaires pour la synthèse d'acide obéticholique et de dérivés de celui-ci |
| US11104702B2 (en) | 2017-07-18 | 2021-08-31 | Crystal Pharma, S.A.U. | Process and intermediates for the synthesis of obeticholic acid and derivatives thereof |
Also Published As
| Publication number | Publication date |
|---|---|
| DE69025449T2 (de) | 1996-07-11 |
| ES2086388T3 (es) | 1996-07-01 |
| IE903701A1 (en) | 1991-04-24 |
| DK0424232T3 (da) | 1996-06-17 |
| EP0424232A3 (en) | 1992-05-20 |
| ATE134378T1 (de) | 1996-03-15 |
| EP0424232A2 (fr) | 1991-04-24 |
| GR3019857T3 (en) | 1996-08-31 |
| DE69025449D1 (de) | 1996-03-28 |
| IE73449B1 (en) | 1997-06-04 |
Similar Documents
| Publication | Publication Date | Title |
|---|---|---|
| EP0424232B1 (fr) | Procédé de préparation de l'acide | |
| FR2675146A1 (fr) | Nouveaux derives sterouides de la pregna-1,4-diene-3,20-dione, leur preparation, leur application a la preparation de derives 16,17-methylene dioxy substitues et nouveaux intermediaires. | |
| EP0581980B1 (fr) | Dérivés de l'acide quinique 3- et/ou 4-substitués et procédé de préparation de dérivés de l'acide quinique 3- et/ou 4-substitués | |
| EP0520879B1 (fr) | Nouveaux stéroides 16-méthyl substitués dérivés de la pregna 1,4-diène 3,20-dione, leur préparation, leur application à la préparation de steroides 16-méthylène et nouveaux intermédiaires | |
| EP0275728B1 (fr) | Nouveaux produits stéroîdes comportant, en position 23, un radical sulfinyle, leur procédé de préparation, leur application à la préparation de produits de la série des 20-cétoprégnanes et des intermédiaires de cette application | |
| FR2700548A1 (fr) | Nouveau procédé de préparation de stéroïdes 16 alpha-méthylés. | |
| CH665423A5 (fr) | Steroides, leur procede de preparation, leur utilisation et intermediaires de cette utilisation. | |
| EP0153212B1 (fr) | Nouveaux dérivés de la 4,4-diméthyl tétrahydro-2H-pyran-2-one, leur procédé de préparation et leur application à la synthèse de dérivés cyclopropaniques | |
| CA1122592A (fr) | Procede de preparation d'oximes en 3 de derives steroides et produits concus pour sa mise en oeuvre | |
| FR2653126A1 (fr) | Procede pour la preparation de diacetoxycholanates. | |
| EP0687683B1 (fr) | Procédé de synthèse d'halogénoalkylferrocènes | |
| FR2745291A1 (fr) | Procede industriel de fabrication de trenbolone | |
| FR2923826A1 (fr) | Procede de synthese de l'acide 4-benzofurane carboxylique | |
| EP0184572A1 (fr) | Procédé de préparation d'acides alpha-hydroxy-alcanoiques | |
| EP1242439A1 (fr) | Procede pour preparer et isoler la 9-deoxo-9(z)-hydroxyiminoerythromycine a | |
| FR2653129A1 (fr) | Procede pour la preparation de 7-oxocholanates. | |
| CH629826A5 (en) | Steroids, process for preparing them and their use in the synthesis of tritium-labelled steroids | |
| EP0184573A1 (fr) | Procédé de préparation d'acides alpha-hydroxy-alcanoiques | |
| BE565092A (fr) | ||
| EP0275729A1 (fr) | Nouveaux produits stéroides comportant, en position 23, un radical cétonique, leur procédé de préparation, leur application à la préparation de produits de la série des 20-cétoprégnanes et des intermédiaires de cette application | |
| BE531133A (fr) | ||
| BE556145A (fr) | ||
| CH335662A (fr) | Procédé de préparation de dérivés de cétostéroïdes a, B-non-saturés | |
| BE561749A (fr) | ||
| BE527760A (fr) |
Legal Events
| Date | Code | Title | Description |
|---|---|---|---|
| PUAI | Public reference made under article 153(3) epc to a published international application that has entered the european phase |
Free format text: ORIGINAL CODE: 0009012 |
|
| 17P | Request for examination filed |
Effective date: 19901224 |
|
| AK | Designated contracting states |
Kind code of ref document: A2 Designated state(s): AT BE CH DE DK ES FR GB GR IT LI LU NL SE |
|
| PUAL | Search report despatched |
Free format text: ORIGINAL CODE: 0009013 |
|
| RAP1 | Party data changed (applicant data changed or rights of an application transferred) |
Owner name: ELF SANOFI |
|
| AK | Designated contracting states |
Kind code of ref document: A3 Designated state(s): AT BE CH DE DK ES FR GB GR IT LI LU NL SE |
|
| 17Q | First examination report despatched |
Effective date: 19930616 |
|
| RAP1 | Party data changed (applicant data changed or rights of an application transferred) |
Owner name: SANOFI |
|
| RTI1 | Title (correction) | ||
| GRAA | (expected) grant |
Free format text: ORIGINAL CODE: 0009210 |
|
| AK | Designated contracting states |
Kind code of ref document: B1 Designated state(s): AT BE CH DE DK ES FR GB GR IT LI LU NL SE |
|
| REF | Corresponds to: |
Ref document number: 134378 Country of ref document: AT Date of ref document: 19960315 Kind code of ref document: T |
|
| ITF | It: translation for a ep patent filed | ||
| GBT | Gb: translation of ep patent filed (gb section 77(6)(a)/1977) |
Effective date: 19960217 |
|
| REF | Corresponds to: |
Ref document number: 69025449 Country of ref document: DE Date of ref document: 19960328 |
|
| REG | Reference to a national code |
Ref country code: CH Ref legal event code: NV Representative=s name: BOVARD AG PATENTANWAELTE |
|
| REG | Reference to a national code |
Ref country code: DK Ref legal event code: T3 |
|
| REG | Reference to a national code |
Ref country code: ES Ref legal event code: FG2A Ref document number: 2086388 Country of ref document: ES Kind code of ref document: T3 |
|
| REG | Reference to a national code |
Ref country code: GR Ref legal event code: FG4A Free format text: 3019857 |
|
| PLBE | No opposition filed within time limit |
Free format text: ORIGINAL CODE: 0009261 |
|
| STAA | Information on the status of an ep patent application or granted ep patent |
Free format text: STATUS: NO OPPOSITION FILED WITHIN TIME LIMIT |
|
| 26N | No opposition filed | ||
| REG | Reference to a national code |
Ref country code: CH Ref legal event code: PFA Free format text: SANOFI TRANSFER- SANOFI-SYNTHELABO |
|
| NLS | Nl: assignments of ep-patents |
Owner name: SANOFI-SYNTHELABO |
|
| BECA | Be: change of holder's address |
Free format text: 20000928 *SANOFI-SYNTHELABO:174 AVENUE DE FRANCE, 75013 PARIS |
|
| BECH | Be: change of holder |
Free format text: 20000928 *SANOFI-SYNTHELABO:174 AVENUE DE FRANCE, 75013 PARIS |
|
| BECN | Be: change of holder's name |
Effective date: 20000928 |
|
| REG | Reference to a national code |
Ref country code: FR Ref legal event code: CA Ref country code: FR Ref legal event code: TP |
|
| REG | Reference to a national code |
Ref country code: GB Ref legal event code: 732E |
|
| REG | Reference to a national code |
Ref country code: GB Ref legal event code: IF02 |
|
| REG | Reference to a national code |
Ref country code: CH Ref legal event code: PFA Owner name: SANOFI-AVENTIS Free format text: SANOFI-SYNTHELABO#174, AVENUE DE FRANCE#75013 PARIS (FR) -TRANSFER TO- SANOFI-AVENTIS#174, AVENUE DE FRANCE#75013 PARIS (FR) |
|
| NLT1 | Nl: modifications of names registered in virtue of documents presented to the patent office pursuant to art. 16 a, paragraph 1 |
Owner name: SANOFI -AVENTIS |
|
| REG | Reference to a national code |
Ref country code: FR Ref legal event code: CD |
|
| PGFP | Annual fee paid to national office [announced via postgrant information from national office to epo] |
Ref country code: SE Payment date: 20091007 Year of fee payment: 20 Ref country code: ES Payment date: 20091117 Year of fee payment: 20 Ref country code: DK Payment date: 20091014 Year of fee payment: 20 Ref country code: DE Payment date: 20091008 Year of fee payment: 20 Ref country code: CH Payment date: 20091014 Year of fee payment: 20 Ref country code: AT Payment date: 20091013 Year of fee payment: 20 Ref country code: LU Payment date: 20091120 Year of fee payment: 20 |
|
| PGFP | Annual fee paid to national office [announced via postgrant information from national office to epo] |
Ref country code: NL Payment date: 20091004 Year of fee payment: 20 |
|
| PGFP | Annual fee paid to national office [announced via postgrant information from national office to epo] |
Ref country code: FR Payment date: 20091029 Year of fee payment: 20 Ref country code: GB Payment date: 20091014 Year of fee payment: 20 Ref country code: IT Payment date: 20091017 Year of fee payment: 20 |
|
| PGFP | Annual fee paid to national office [announced via postgrant information from national office to epo] |
Ref country code: BE Payment date: 20091019 Year of fee payment: 20 Ref country code: GR Payment date: 20090915 Year of fee payment: 20 |
|
| REG | Reference to a national code |
Ref country code: NL Ref legal event code: V4 Effective date: 20101016 |
|
| REG | Reference to a national code |
Ref country code: CH Ref legal event code: PL |
|
| BE20 | Be: patent expired |
Owner name: S.A. *SANOFI-AVENTIS Effective date: 20101016 |
|
| REG | Reference to a national code |
Ref country code: DK Ref legal event code: EUP |
|
| REG | Reference to a national code |
Ref country code: GB Ref legal event code: PE20 Expiry date: 20101015 |
|
| EUG | Se: european patent has lapsed | ||
| PG25 | Lapsed in a contracting state [announced via postgrant information from national office to epo] |
Ref country code: NL Free format text: LAPSE BECAUSE OF EXPIRATION OF PROTECTION Effective date: 20101016 |
|
| REG | Reference to a national code |
Ref country code: ES Ref legal event code: FD2A Effective date: 20110224 |
|
| PG25 | Lapsed in a contracting state [announced via postgrant information from national office to epo] |
Ref country code: GB Free format text: LAPSE BECAUSE OF EXPIRATION OF PROTECTION Effective date: 20101015 |
|
| PG25 | Lapsed in a contracting state [announced via postgrant information from national office to epo] |
Ref country code: ES Free format text: LAPSE BECAUSE OF EXPIRATION OF PROTECTION Effective date: 20101017 |
|
| PG25 | Lapsed in a contracting state [announced via postgrant information from national office to epo] |
Ref country code: DE Free format text: LAPSE BECAUSE OF EXPIRATION OF PROTECTION Effective date: 20101016 |


















