EP0334840B1 - Blaues farbmittel für elektrophotographische aufzeichnungsverfahren mit positiver steuerwirkung - Google Patents
Blaues farbmittel für elektrophotographische aufzeichnungsverfahren mit positiver steuerwirkung Download PDFInfo
- Publication number
- EP0334840B1 EP0334840B1 EP87900805A EP87900805A EP0334840B1 EP 0334840 B1 EP0334840 B1 EP 0334840B1 EP 87900805 A EP87900805 A EP 87900805A EP 87900805 A EP87900805 A EP 87900805A EP 0334840 B1 EP0334840 B1 EP 0334840B1
- Authority
- EP
- European Patent Office
- Prior art keywords
- toner
- parts
- colorant
- blue
- colouring agent
- Prior art date
- Legal status (The legal status is an assumption and is not a legal conclusion. Google has not performed a legal analysis and makes no representation as to the accuracy of the status listed.)
- Expired - Lifetime
Links
Classifications
-
- G—PHYSICS
- G03—PHOTOGRAPHY; CINEMATOGRAPHY; ANALOGOUS TECHNIQUES USING WAVES OTHER THAN OPTICAL WAVES; ELECTROGRAPHY; HOLOGRAPHY
- G03G—ELECTROGRAPHY; ELECTROPHOTOGRAPHY; MAGNETOGRAPHY
- G03G9/00—Developers
-
- G—PHYSICS
- G03—PHOTOGRAPHY; CINEMATOGRAPHY; ANALOGOUS TECHNIQUES USING WAVES OTHER THAN OPTICAL WAVES; ELECTROGRAPHY; HOLOGRAPHY
- G03G—ELECTROGRAPHY; ELECTROPHOTOGRAPHY; MAGNETOGRAPHY
- G03G9/00—Developers
- G03G9/08—Developers with toner particles
- G03G9/09—Colouring agents for toner particles
- G03G9/0906—Organic dyes
- G03G9/0912—Indigoid; Diaryl and Triaryl methane; Oxyketone dyes
Definitions
- the present invention relates to the use of a blue colorant based on a triaminotriphenylmethane dye for coloring toners and developers for electrophotographic recording processes, which is specifically substituted as a highly crystalline sulfate salt and thus has particularly favorable charge control properties. Because of its color, the colorant is also suitable as a color-providing component for blue and green toners or developers or as a fining agent for black and brown toners or developers. In electrophotographic recording methods, for example, a "latent charge image" is generated on a photoconductor.
- the photoconductor used is then cleaned and is available for a new recording process.
- control agents also called charge control agents
- the extent of the control effect is important because a higher effectiveness allows a lower amount to be used.
- toner binders alone generally have a large change in the chargeability as a function of the activation time, it is the task of a charge control agent to set the sign and amount of the toner chargeability on the one hand and the driftability drift of the toner binder on the other counteract and ensure constant toner chargeability.
- Charge control agents which cannot prevent the toner or developer from showing a high charge drift (aging) over a long period of use, which can even cause the toner or developer to undergo charge reversal, are therefore unsuitable in practice.
- the aim of the present invention was therefore to find a charge control agent with a positive control effect, which can be adjusted as a function of concentration and whose charge control properties help the toner or developer to show as little aging as possible, and also as a colorant for blue and green or as a fining additive for black and yellow , red and brown toner or developer is suitable.
- nigrosines for example, nigrosines, quaternary ammonium compounds (US Pat. No. 4,560,635) or metal complexes (EP 0 141 377) are frequently used as charge control agents.
- Triphenylmethane dyes as positive charge control agents are also described in numerous patents, but the compounds claimed to date have hardly been used because they have always had certain deficiencies.
- Japanese patent applications 58-97056 and 56-46248 describe the use of special rosaniline sulfonic acid derivatives as positive charge control agents.
- DE-OS 3 527 306 describes the chlorides of certain triphenylmethane dyes as positive charge control agents.
- Japanese patent application 60-107654 the effect of halogenated triphenylmethane dyes
- Japanese patent applications 59-77447, 54-84732, 61-6661 and 52-113739 the effect of some Salts (triphenylborates, chlorides, hydrogen sulfates) of special triphenylmethane dye derivatives are described.
- color base sulfate is the product of the reaction of a phenylimino-2,5-cyclohexadien-1-ylidene-methylene) -bis-diphenylamine, the "color base” ", with sulfuric acid
- color base sulfate is the product of the reaction of a phenylimino-2,5-cyclohexadien-1-ylidene-methylene) -bis-diphenylamine, the "color base” ", with sulfuric acid
- this highly crystalline color base sulfate gives toners or developers surprisingly favorable properties with regard to their aging in triboelectric charging and is therefore particularly suitable for practical use.
- this colorant is suitable as a coloring component for blue and green or as a finishing component for black, yellow, red and brown toners or developers.
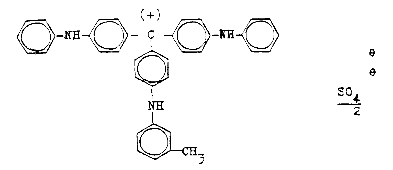
- the present invention thus relates to the use of the blue colorant, consisting essentially of the compound of the formula which in the X-ray diffraction diagram by a strong band at 2 ⁇ ° (CuK ⁇ ) 18.47, three medium-strong bands 2 ⁇ ° (CuK ⁇ ) 5.97; 12.01; 13.90 and weak broad bands at 2 ⁇ ° (CuK ⁇ ) 20.0; 21.7; 22.5; 24.8; 28.2; 30.7; 32.2 is identified as a positive charge control agent for electrophotographic toners and developers, which are used for electrophotographic copying or duplication of originals and for printing electronically, optically or magnetically stored information or in color proofing, and its use as a coloring component for blue and green toners or developers or as fining agents for black, red, yellow and brown toners or developers.
- a toner with 5% by weight of the colorant according to the invention has a chargeability of +49.1 ⁇ C / g
- a toner with 1 or 0.5% by weight of the colorant according to the invention has a chargeability of +21.5 ⁇ C / g or +15, 8 ⁇ C / g (see Examples 1 to 3 below).
- the monosulfonic acid (Reflex Blue R, CI Pigment Blue 61) of the claimed compound is used instead of the color base sulfate according to the invention, this shows a much lower charge control property in the corresponding toner.
- control agent In contrast to the control agent according to the invention, an addition of 0.5 percent by weight of this control agent (monosulfonic acid) is therefore no longer sufficient to counteract the triboelectric, negative self-chargeability of the resin (toner binder). With regard to the constancy of its charge control effect (aging), poorer properties can be seen up to the reversal of the polarity of the chargeability (comparative example 6).
- this control means is no longer able to counteract the triboelectric negative self-chargeability of the resin sufficiently.
- the highly crystalline color base sulfate according to the invention has, compared to, for example, the chlorides of the corresponding color base, significantly more favorable charge control properties (comparative example 5), just as toners or developers with the highly crystalline modification of the color base sulfate according to the invention have a significantly better long-term durability (lower signs of aging) than those with an X-ray amorphous Modification of the color base sulfate (comparative example 4).
- triphenylmethane color base (CI Solvent Blue 125) used in Comparative Examples 9, 10 and 11 is not suitable in practice, on the one hand because of its only moderate charge control ability, and on the other hand because of the poor consistency of its charge control effect (aging), which leads to the reversal of polarity of the toner leads (Comparative Example 9).
- the colorant according to the invention differs in its significantly stronger, positive charge control behavior and in the significantly better constancy of its charge control effect.
- the color and control agent according to the invention allows a toner or developer to be colored at the same time or to be beautiful and, depending on the concentration, to be controlled in a targeted triboelectric manner, which among other things. has the advantage that, in addition to the colorant, additional control agent substance does not have to be incorporated into the already complex toner formulations. This eliminates problems of compatibility, miscibility or tax funds migration.
- either dried and ground colorant or an aqueous dispersion or a press cake can be used to incorporate the colorant according to the invention into the toner binder.
- the level of electrostatic charging of the toner using the claimed colorant was measured on standard systems under the same conditions (such as the same dispersion times, same particle size distribution, same particle shape) at 23 ° C. and 50% relative atmospheric humidity.
- the toner is activated in a two-component developer by swirling the toner with a carrier (3 parts toner to 97 parts carrier) on a roller bench (150 revolutions per minute).
- the particle size is of great influence when determining the Q / M value. Care was therefore taken to ensure that the toner samples obtained from the sightings and listed in the examples below were uniform in particle size distribution.
- the desired particle fraction was activated with a carrier made of magnetite particles of size 50 to 200 ⁇ m of the 90 ⁇ m type Xerographic Carrier from Plasma Materials Inc., coated with a styrene-methacrylate copolymer 90:10.
- the measurement is carried out on a customary Q / M measuring stand (cf. J.H. Dessauer, H.E. Clark, "Xerography and related Processes", Focal Press, N.Y. 1965, page 289); by using a sieve with a mesh size of 25 ⁇ m (508 mesh per inch), from Gebrüder Kufferath, Düren, it was ensured that no carrier could be carried away during the toner blow-out.
- the Q / M value was determined to be + 49.1 ⁇ C / g.
- the Q / M value was determined to be + 34.7 ⁇ C / g.
- the Q / M value was determined to be + 28.4 ⁇ C / g.
- the Q / M value was determined to be + 21.5 ⁇ C / g.
- the Q / M value was determined to be + 15.8 ⁇ C / g.
- Example 2 The procedure was as described in Example 1, with the difference that instead of 5 parts of the colorant according to the invention, 5 parts of an X-ray amorphous form of the colorant according to the invention were used.
- the Q / M value was determined to be + 51.8 ⁇ C / g.
- the Q / M value was determined to be + 39.1 ⁇ C / g.
- the Q / M value was determined to be + 22.3 ⁇ C / g.
- the Q / M value was determined to be + 1.0 ⁇ C / g.
- the Q / M value was determined to be - 0.4 ⁇ C / g.
- the Q / M value was determined to be + 3.2 ⁇ C / g.
- the Q / M value was determined to be + 18.6 ⁇ C / g.
- the Q / M value was determined to be + 1.8 ⁇ C / g.
- the Q / M value was determined to be 5.2 ⁇ C / g.
- the Q / M value was determined to be + 4.8 ⁇ C / g.
- the Q / M value was determined to be 5.4 ⁇ C / g.
- Example 2 The procedure was as described in Example 1, with the difference that instead of 5 parts of the colorant claimed, 5 parts of the free base of a triaminotriphenylmethane colorant were incorporated into the toner.
- the colorant used for comparison is the C.I. Solvent Blue 66 (brilliant blue base SM).
- the Q / M value was determined to be + 29.2 ⁇ C / g.
- the Q / M value was determined to be + 12.7 ⁇ C / g.
- the Q / M value was determined to be - 4.8 ⁇ C / g.
- the Q / M value was determined to be + 7.2 ⁇ C / g.
- the Q / M value was determined to be + 4.0 ⁇ C / g.
- the Q / M value was determined to be - 6.5 ⁇ C / g.
Landscapes
- Physics & Mathematics (AREA)
- General Physics & Mathematics (AREA)
- Developing Agents For Electrophotography (AREA)
- Color Printing (AREA)
Description
- Die vorliegende Erfindung betrifft die Verwendung eines blauen Farbmittels auf Basis eines Triaminotriphenylmethanfarbstoffes zum Einfärben von Tonern und Entwicklern für elektrophotographische Aufzeichnungsverfahren, welches gezielt substituiert als hochkristallines Sulfatsalz vorliegt und dadurch besonders günstige Ladungssteuereigenschaften besitzt. Auf Grund seiner Farbe eignet sich das Farbmittel weiterhin als farbgebende Komponente für blaue und grüne Toner bzw. Entwickler oder als Schönungsmittel für schwarze und braune Toner bzw. Entwickler.
Bei elektrophotographischen Aufzeichnungsverfahren wird beispielsweise auf einem Photoleiter ein "latentes Ladungsbild" erzeugt. Dies erfolgt beispielsweise durch Aufladung des Photoleiters durch eine Corona-Entladung und anschließende bildmäßige Belichtung der elektrostatisch aufgeladenen Oberfläche des Photoleiters, wobei durch die Belichtung der Ladungsabfluß zur geerdeten Unterlage an den belichteten Stellen bewirkt wird. Anschließend wird das so erzeugte "latente Ladungsbild" durch Aufbringen eines Toners entwickelt.
In einem darauffolgenden Schritt wird der Toner vom Photoleiter auf beispielsweise Papier, Textilien, Folien oder Kunststoff übertragen und dort beispielsweise durch Druck, Strahlung, Hitze oder Lösungsmitteleinwirkung fixiert. Der benutzte Photoleiter wird anschließend gereinigt und steht für einen neuen Aufzeichnungsvorgang zur Verfügung.
In zahlreichen Patentschriften wird die Optimierung von Tonern beschrieben, wobei u.a. der Einfluß des Tonerbindemittels (Variation von Harz/Harzkomponenten oder Wachs/Wachskomponenten), der Einfluß von Steuermitteln oder anderen Zusatzstoffen oder der Einfluß von Carriern (bei Zweikomponentenentwicklern) und Magnetpigmenten (bei Einkomponentenentwicklern) untersucht wurden (US-PS 2 221 776). Ein Maß für die Tonerqualität ist seine spezifische Aufladbarkeit Q/M (Ladung pro Masseeinheit). - In neuerer Zeit haben insbesondere positiv aufladbare Toner an Bedeutung gewonnen, u.a. wegen ihres Einsatzes in Laserdruckern mit anorganischen Photoleitern oder in Kopierern, die mit organischen Photoleitern (OPC) zum Aufzeichnen des latenten Ladungsbildes ausgerüstet sind. Die kostengünstigen organischen Photoleiter finden vor allem wegen ihrer vielseitigen Verwendbarkeit, beispielsweise als Trommel oder Masterband, und wegen ihrer einfachen Entsorgung in zunehmendem Maße Verwendung. Um elektrophotographische Toner oder Entwickler mit positiven triboelektrischer Aufladbarkeit zu erhalten, werden häufig sogenannte Steuermittel (auch Ladungskontrollmittel genannt) zugesetzt. Neben dem Vorzeichen der Ladungssteuerung ist das Ausmaß des Steuereffektes wichtig, da eine höhere Wirksamkeit eine geringere Einsatzmenge erlaubt.
- Außer Vorzeichen und Höhe der Steuerwirkung eines Ladungskontrollmittels ist seine Auswirkung auf die Ladungskonstanz des Toners wichtig. In der Praxis ist dies insofern von zentraler Bedeutung, als der Toner im Entwicklergemisch, bevor er auf den Photoleiter übertragen wird, einer erheblichen Aktivierzeit ausgesetzt ist, weil er während des Kopier- bzw. Druckvorgangs für einen Zeitraum der Herstellung von bis zu mehreren tausend Kopien im Entwicklergemisch verbleiben kann. Die Anforderung an den Toner ist daher, daß unabhängig von der Aktivierdauer, eine möglichst gleichbleibende Toneraufladbarkeit gewährleistet ist. Da Tonerbindemittel allein in der Regel eine starke Änderung der Aufladbarkeit in Abhängigkeit von der Aktivierzeit aufweisen, ist es Aufgabe eines Ladungssteuermittels, zum einen Vorzeichen und Höhe der Toneraufladbarkeit einzustellen und zum anderen der Aufladbarkeitsdrift des Tonerbindemittels entgegenzuwirken und für Konstanz der Toneraufladbarkeit zu sorgen. Ladungssteuermittel, die nicht verhindern können, daß der Toner bzw. Entwickler bei längerer Gebrauchsdauer eine hohe Ladungsdrift zeigt (Alterung), die sogar bewirken kann, daß der Toner bzw. Entwickler eine Ladungsumkehr erfährt, sind daher für die Praxis ungeeignet.
- Ziel der vorliegenden Erfindung war es daher, ein Ladungskontrollmittel mit positiver Steuerwirkung zu finden, welche sich konzentrationsabhängig einstellen läßt und dessen Ladungskontrolleigenschaften dem Toner bzw. Entwickler zu möglichst geringen Alterungserscheinungen verhelfen und das zudem als Farbmittel für blaue und grüne oder als Schönungszusatz für schwarze, gelbe, rote und braune Toner bzw. Entwickler geeignet ist.
- Zum Erhalt positiv aufladbarer Toner bzw. Entwickler werden als Ladungssteuermittel häufig beispielsweise Nigrosine, quaternäre Ammoniumverbindungen (US-PS 4 560 635) oder Metallkomplexe (EP 0 141 377) eingesetzt. Auch Triphenylmethanfarbstoffe als positive Ladungssteuermittel werden in zahlreichen Patentschriften beschrieben, wobei die bisher beanspruchten Verbindungen aber kaum Verwendung gefunden haben, weil sie stets mit gewissen Mängeln behaftet waren.
- So wird beispielsweise in den japanischen Patentanmeldungen 58-97056 und 56-46248 die Verwendung von speziellen Rosanilinsulfonsäure-Derivaten als positive Ladungssteuermittel beschrieben. In DE-OS 3 527 306 werden die Chloride von bestimmten Triphenylmethanfarbstoffen als positive Ladungssteuermittel beschrieben. In der japanischen Patentanmeldung 60-107654 wird die Wirkung von halogenierten Triphenylmethanfarbstoffen, und in den Beispielen der japanischen Patentanmeldungen 59-77447, 54-84732, 61-6661 und 52-113739 wird die Wirkung einiger Salze (Triphenylborate, Chloride, Hydrogensulfate) spezieller Triphenylmethanfarbstoff-Derivate beschrieben.
- Überraschenderweise hat sich nun gezeigt, daß ein speziell substituiertes Triaminotriphenylmethanfarbmittel in Form seines hochkristallinen "Farbbasensulfats" (als Farbbasensulfat bezeichnet man das Produkt der Umsetzung eines Phenylimino-2,5-cyclohexadien-1-yliden-methylen)-bis-diphenylamins, der "Farbbase", mit Schwefelsäure) eine sehr hohe positive konzentrationsabhängige Steuerwirkung besitzt, und daß dieses hochkristalline Farbbasensulfat Tonern bzw. Entwicklern bei der triboelektrischen Aufladung überraschend günstige Eigenschaften hinsichtlich ihrer Alterung verleiht und somit für die Praxis besonders geeignet ist.
- Darüber hinaus ist dieses Farbmittel als farbgebende Komponente für blaue und grüne oder als Schönungskomponente für schwarze, gelbe, rote und braune Toner bzw. Entwickler geeignet.
- Gegenstand der vorliegenden Erfindung ist somit die Verwendung des blauen Farbmittels, bestehend im wesentlichen aus der Verbindung der Formel
welche im Röntgenbeugungsdiagramm durch eine starke Bande bei 2δ° (CuKα) 18,47, drei mittelstarke Banden bei 2δ° (CuKα) 5,97; 12,01; 13,90 und schwache breite Banden bei 2δ° (CuKα) 20,0; 21,7; 22,5; 24,8; 28,2; 30,7; 32,2 gekennzeichnet ist, als positives Ladungssteuermittel für elektrophotographische Toner und Entwickler, die zum elektrophotographischen Kopieren bzw. Vervielfältigen von Vorlagen sowie zum Drucken von elektronisch, optisch oder magnetisch gespeicherten Informationen oder im Colorproofing eingesetzt werden, sowie dessen Verwendung als farbgebende Komponente für blaue und grüne Toner bzw. Entwickler oder als Schönungsmittel für schwarze, rote, gelbe und braune Toner bzw. Entwickler. - So zeigt beispielsweise ein Toner mit 5 Gewichtsprozent des erfindungsgemäßen Farbmittels eine Aufladbarkeit von +49,1 µC/g, ein Toner mit 1 bzw. 0,5 Gewichtsprozent des erfindungsgemäßen Farbmittels eine Aufladbarkeit von +21,5 µC/g bzw. +15,8 µC/g (siehe nachstehende Beispiele 1 bis 3).
- Setzt man statt des erfindungsgemäßen Farbbasensulfates die Monosulfonsäure (Reflex-Blau R, C.I. Pigment Blue 61) der beanspruchten Verbindung ein, so zeigt diese im entsprechenden Toner eine sehr viel geringere Ladungssteuereigenschaft. Ein Toner mit 5 Gewichtsprozent dieses Ladungssteuermittels (Monosulfonsäure) zeigt beispielsweise eine Aufladbarkeit von lediglich +18,6 µC/g (Vergleichsbeispiel 6), ein Toner mit 1 oder 0,5 Gewichtsprozent dieses Mittels eine Aufladbarkeit von nur +4,8 µC/g bzw. -5,4 µC/g (Vergleichsbeispiele 7 und 8). Ein Zusatz von 0,5 Gewichtsprozent dieses Steuermittels (Monosulfonsäure) reicht also im Gegensatz zum erfindungsgemäßen Steuermittel nicht mehr aus, um der triboelektrischen, negativen Eigenaufladbarkeit des Harzes (Tonerbindemittels) entgegenwirken zu können. Auch hinsichtlich der Konstanz seines Ladungssteuereffektes (der Alterung) zeigen sich schlechtere Eigenschaften bis hin zur Umkehr der Polarität der Aufladbarkeit ( Vergleichsbespiel 6).
- Nach einer bestimmten Aktivierdauer ist dieses Steuermittel nicht mehr in der Lage, der triboelektrischen negativen Eigenaufladbarkeit des Harzes genügend gegenzusteuern.
- Das erfindungsgemäße hochkristalline Farbbasensulfat weist im Vergleich zu beispielsweise den Chloriden der entsprechenden Farbbase deutlich günstigere Ladungssteuereigenschaften auf (Vergleichsbeispiel 5), ebenso wie Toner bzw. Entwickler mit der hochkristallinen Modifikation des erfindungsgemäßen Farbbasensulfates eine deutlich bessere Dauerbelastbarkeit zeigen (geringere Alterungserscheinungen) als solche mit einer röntgenamorphen Modifikation des Farbbasensulfates (Vergleichsbeispiel 4).
- Gegenüber Vergleichsbeispiel 12 zeigt sich, daß die sehr gute Eignung des erfindungsgemäßen Farbmittels als positives Ladungssteuermittel u.a. in dem konsequenten Verzicht auf Sulfonsäure-Gruppen begründet ist. Bei dem im Vergleichsbeispiel 12 eingesetzten Farbmittel handelt es sich statt um das Sulfatsalz um das Tri-Sulfonsäurederivat des beanspruchten Farbmittels. Der entsprechende Toner zeigt eine Aufladbarkeit von -6,5 µC/g; eine positive Steuerwirkung ist nicht erkennbar.
- Die in den Vergleichsbeispielen 9, 10 und 11 eingesetzte Triphenylmethanfarbbase (C.I. Solvent Blue 125) ist für die Praxis nicht geeignet, zum einen wegen seines nur mäßigen Ladungssteuervermögens, zum anderen wegen der schlechten Konstanz seines Ladungssteuereffektes (Alterung), was bis zur Umkehr der Polarität des Toners führt (Vergleichsbeispiel 9).
- Die Herstellung des erfindungsgemäßen Farbmittels wird in der DE-PS 1 919 724 beschrieben.
- Gegenüber den in den Vergleichsbeispielen angeführten Triphenylmethanfarbmitteln unterscheidet sich das erfindungsgemäße Farbmittel durch sein deutlich stärkeres, positives Ladungssteuerverhalten und durch die deutlich bessere Konstanz seines Ladungssteuereffektes.
- Das erfindungsgemäße Farb- und Steuermittel erlaubt es, einen Toner oder Entwickler gleichzeitig zu färben bzw. zu schönen und, konzentrationsabhängig, gezielt triboelektrisch positiv zu steuern, was u.a. den Vorteil hat, daß neben dem Farbmittel nicht noch zusätzlich Steuermittelsubstanz in die ohnehin schon komplexen Tonerrezepturen eingearbeitet werden muß. Dadurch entfallen Probleme der Verträglichkeit, Mischbarkeit oder der Steuermittelmigration.
- Zur Einarbeitung des erfindungsgemäßen Farbmittels in das Tonerbindemittel können grundsätzlich entweder getrocknetes und gemahlenes Farbmittel oder eine wäßrige Dispersion oder ein Preßkuchen verwendet werden.
- Die Höhe der elektrostatischen Aufladung des Toners unter Verwendung des beanspruchten Farbmittels wurde an Standardsystemen unter gleichen Bedingungen (wie gleiche Dispergierzeiten, gleiche Teilchengrößenverteilung, gleiche Teilchenform) bei 23°C und 50 % relativer Luftfeuchtigkeit gemessen. Die Aktivierung des Toners in einem Zweikomponentenentwickler erfolgt durch Verwirbelung des Toners mit einem Carrier (3 Teile Toner auf 97 Teile Carrier) auf einer Rollbank (150 Umdrehungen pro Minute).
- Bei der Bestimmung des Q/M-Wertes ist die Teilchengröße von großem Einfluß. Es wurde daher streng darauf geachtet, daß die bei den Sichtungen erhaltenen und in den nachstehenden Beispielen aufgeführten Tonerproben bezüglich der Teilchengrößenverteilung einheitlich waren.
- Die nachstehenden Beispiele dienen zur Erläuterung der Erfindung, ohne sie darauf zu beschränken. Die angegebenen Teile bedeuten Gewichtsteile.
- 5 Teile des erfindungsgemäß beanspruchten Farbmittels wurden mittels eines Kneters der Firma Werner & Pfleiderer (Stuttgart) 60 Minuten in 95 Teilen Tonerbindemittel ((R)Dialec S 309 der Firma Diamond Shamrock (Styrol-Methacrylat-Copolymerisat)) dispergiert. Anschließend wurde auf der Laboruniversalmühle 100 LU (Firma Alpine, Augsburg) gemahlen und dann auf dem Zentrifugalsichter 100 MZR (Firma Alpine) klassifiziert.
- Die gewünschte Teilchenfraktion wurde mit einem Carrier aus mit Styrol-Methacrylat-Copolymerisat 90:10 beschichteten Magnetit-Teilchen der Größe 50 bis 200 µm des Typs 90 µm Xerographic Carrier der Firma Plasma Materials Inc. aktiviert.
- Die Messung erfolgt an einem üblichen Q/M-Meßstand (vgl. hierzu J.H. Dessauer, H.E. Clark, "Xerography and related Proceses", Focal Press, N.Y. 1965, Seite 289); durch Verwenden eines Siebes mit einer Maschenweite von 25 µm (508 Mesh per inch), Fa. Gebrüder Kufferath, Düren, wurde sichergestellt, daß bei den Tonerausblasungen kein Carrier mitgerissen werden kann.
- Bei einer Aktivierdauer von 30 Minuten wurde der Q/M-Wert zu + 49,1 µC/g bestimmt.
- Bei einer Aktivierdauer von 2 Stunden wurde der Q/M-Wert zu + 34,7 µC/g bestimmt.
- Bei einer Aktivierdauer von 24 Stunden wurde der Q/M-Wert zu + 28,4 µC/g bestimmt.
- Es wurde, wie in Beispiel 1 beschrieben, gearbeitet mit dem Unterschied, daß statt 5 Teilen in 95 Teilen Tonerbindemittel nur 1 Teil des erfindungsgemäßen Farbmittels in 99 Teilen Tonerbindemittel eingesetzt wurde.
- Bei einer Aktivierdauer von 30 Minuten wurde der Q/M-Wert zu + 21,5 µC/g bestimmt.
- Es wurde, wie in Beispiel 1 beschrieben, gearbeitet mit dem Unterschied, daß statt 5 Teilen in 95 Teilen Tonerbindemittel nur 0,5 Teile des erfindungsgemäßen Farbmittels in 99,5 Teilen Tonerbindemittel eingesetzt wurden.
- Bei einer Aktivierdauer von 30 Minuten wurde der Q/M-Wert zu + 15,8 µC/g bestimmt.
- Es wurde, wie in Beispiel 1 beschrieben, gearbeitet mit dem Unterschied, daß statt 5 Teilen des erfindungsgemäßen Farbmittels 5 Teilen einer röntgenamorphen Form des erfindungsgemäßen Farbmittels eingesetzt wurden.
- Bei einer Aktivierdauer von 30 Minuten wurde der Q/M-Wert zu + 51,8 µC/g bestimmt.
- Bei einer Aktivierdauer von 2 Stunden wurde der Q/M-Wert zu + 39,1 µC/g bestimmt.
- Bei einer Aktivierdauer von 24 Stunden wurde der Q/M-Wert zu + 22,3 µC/g bestimmt.
- Es wurde, wie in Beispiel 1 beschrieben, gearbeitet mit dem Unterschied, daß statt 5 Teilen des erfindungsgemäßen Farbmittels 5 Teile "Farbbasenchlorid" in den Toner eingearbeitet wurden. (Das "Farbbasenchlorid" wird hergestellt durch Umsetzen der in der DE-PS 1 919 724, Beispiel 9 aufgeführten Farbbase mit HCl).
- Bei einer Aktivierdauer von 30 Minuten wurde der Q/M-Wert zu + 1,0 µC/g bestimmt.
- Bei einer Aktivierdauer von 2 Stunden wurde der Q/M-Wert zu - 0,4 µC/g bestimmt.
- Bei einer Aktivierdauer von 24 Stunden wurde der Q/M-Wert zu + 3,2 µC/g bestimmt.
- Es wurde, wie in Beispiel 1 beschrieben, gearbeitet mit dem Unterschied, daß statt 5 Teilen des erfindungsgemäßen Farbmittels 5 Teile des herkömmlich verwendeten Triaminotriphenylmethanfarbmittels (C.I. Pigment Blue 61 (Reflex-Blau R)) in den Toner eingearbeitet wurden.
- Bei einer Aktivierdauer von 30 Minuten wurde der Q/M-Wert zu + 18,6 µC/g bestimmt.
- Bei einer Aktivierdauer von 2 Stunden wurde der Q/M-Wert zu + 1,8 µC/g bestimmt.
- Bei einer Aktivierdauer von 24 Stunden wurde der Q/M-Wert zu - 5,2 µC/g bestimmt.
- Es wurde, wie in Beispiel 6 beschrieben, gearbeitet mit dem Unterschied, daß statt 5 Teilen in 95 Teile Tonerbindemittel nur 1 Teil Reflex-Blau R in 99 Teile Tonerbindemittel eingearbeitet wurde.
- Bei einer Aktivierdauer von 30 Minuten wurde der Q/M-Wert zu + 4,8 µC/g bestimmt.
- Es wurde, wie in Beispiel 6 beschrieben, gearbeitet mit dem Unterschied, daß statt 5 Teilen in 95 Teile Tonerbindemittel nur 0,5 Teile Reflex-Blau R in 99,5 Teile Tonerbindemittel eingearbeitet wurden.
- Bei einer Aktivierdauer von 30 Minuten wurde der Q/M-Wert zu - 5,4 µC/g bestimmt.
- Es wurde, wie in Beispiel 1 beschrieben, gearbeitet mit dem Unterschied, daß statt 5 Teilen des beanspruchten Farbmittels 5 Teile der freien Base eines Triaminotriphenylmethanfarbmittels in den Toner eingearbeitet wurden. Das zum Vergleich eingesetzte Farbmittel ist das C.I. Solvent Blue 66 (Brillantblau-Base SM).
- Bei einer Aktivierdauer von 30 Minuten wurde der Q/M-Wert zu + 29,2 µC/g bestimmt.
- Bei einer Aktivierdauer von 2 Stunden wurde der Q/M-Wert zu + 12,7 µC/g bestimmt.
- Bei einer Aktivierdauer von 24 Stunden wurde der Q/M-Wert zu - 4,8 µC/g bestimmt.
- Es wurde, wie in Beispiel 9 beschrieben, gearbeitet mit dem Unterschied, daß statt 5 Teilen in 95 Teile Tonerbindemittel nur 1 Teil Brillantblau-Base SM in 99 Teile Tonerbindemittel eingearbeitet wurde.
- Bei einer Aktivierdauer von 30 Minuten wurde der Q/M-Wert zu + 7,2 µC/g bestimmt.
- Es wurde, wie in Beispiel 9 beschrieben, gearbeitet mit dem Unterschied, daß statt 5 Teilen in 95 Teile Tonerbindemittel 0,5 Teile Brillantblau-Base SM in 99,5 Teile Tonerbindemittel eingearbeitet wurden.
- Bei einer Aktivierdauer von 30 Minuten wurde der Q/M-Wert zu + 4,0 µC/g bestimmt.
- Es wurde, wie in Beispiel 1 beschrieben, gearbeitet mit dem Unterschied, daß statt 5 Teilen des erfindungsgemäßen Farbmittels 5 Teile Tintenblau RG 1 in den Toner eingearbeitet wurden.
- Bei einer Aktivierdauer von 30 Minuten wurde der Q/M-Wert zu - 6,5 µC/g bestimmt.
Claims (1)
- Verwendung des blauen Farbmittels, bestehend im wesentlichen aus der Verbindung der Formel
welche im Röntgenbeugungsdiagramm durch eine starke Bande bei 2δ° (CuKα) 18,47, drei mittelstarke Banden bei 2δ° (CuKα) 5,97; 12,01; 13,90 und schwache breite Banden bei 2δ° (CuKα) 20,0; 21,7; 22,5; 24,8; 28,2; 30,7; 32,2 gekennzeichnet ist, als positives Ladungssteuermittel für elektrophotographische Toner und Entwickler.
Applications Claiming Priority (2)
| Application Number | Priority Date | Filing Date | Title |
|---|---|---|---|
| DE3641525 | 1986-12-05 | ||
| DE19863641525 DE3641525A1 (de) | 1986-12-05 | 1986-12-05 | Blaues farbmittel fuer elektrophotographische aufzeichnungsverfahren mit positiver steuerwirkung |
Publications (2)
| Publication Number | Publication Date |
|---|---|
| EP0334840A1 EP0334840A1 (de) | 1989-10-04 |
| EP0334840B1 true EP0334840B1 (de) | 1993-03-10 |
Family
ID=6315505
Family Applications (1)
| Application Number | Title | Priority Date | Filing Date |
|---|---|---|---|
| EP87900805A Expired - Lifetime EP0334840B1 (de) | 1986-12-05 | 1987-01-07 | Blaues farbmittel für elektrophotographische aufzeichnungsverfahren mit positiver steuerwirkung |
Country Status (7)
| Country | Link |
|---|---|
| US (1) | US5061585A (de) |
| EP (1) | EP0334840B1 (de) |
| JP (1) | JPH0774918B2 (de) |
| KR (1) | KR950003308B1 (de) |
| AU (1) | AU605475B2 (de) |
| DE (2) | DE3641525A1 (de) |
| WO (1) | WO1988004442A2 (de) |
Families Citing this family (8)
| Publication number | Priority date | Publication date | Assignee | Title |
|---|---|---|---|---|
| EP0623941B1 (de) * | 1993-03-09 | 1997-08-06 | Hoechst Celanese Corporation | Polymer-Elektrete mit verbesserter Ladungsstabilität |
| DE4447593C2 (de) | 1994-10-05 | 2000-12-07 | Clariant Gmbh | Toner für elektrophotographische Entwickler, enthaltend ein Azogelbpigment |
| US6159649A (en) * | 1996-06-13 | 2000-12-12 | Clariant Gmbh | Electrophotographic, resin-containing, electret, or inkjet compositions containing magenta azo pigment and use thereof |
| DE10251394A1 (de) * | 2002-11-05 | 2004-05-13 | Clariant Gmbh | Blaues Farbmittel mit besonders hoher Reinheit und positiver triboelektrischer Steuerwirkung |
| US7442481B2 (en) | 2004-04-27 | 2008-10-28 | Xsys Print Solutions Us Llc | Charge control agent |
| US7305836B2 (en) * | 2004-05-19 | 2007-12-11 | Eden Innovations Ltd. | Cryogenic container and superconductivity magnetic energy storage (SMES) system |
| EP3885480B1 (de) | 2010-10-25 | 2024-09-11 | SWM Luxembourg Sarl | Filtrationsmaterial mit verwendung von fasermischungen mit strategisch geformten fasern und/oder ladungssteuerungsmitteln |
| JP6264903B2 (ja) * | 2014-01-29 | 2018-01-24 | 東洋インキScホールディングス株式会社 | 有機el表示装置用青色着色組成物、カラーフィルタ、および有機el表示装置 |
Family Cites Families (13)
| Publication number | Priority date | Publication date | Assignee | Title |
|---|---|---|---|---|
| FR2010820A1 (en) * | 1968-06-13 | 1970-02-20 | Eastman Kodak Co | Electrostatic image development |
| JPS5111455A (de) * | 1974-07-19 | 1976-01-29 | Ricoh Kk | |
| JPS52113739A (en) * | 1976-03-19 | 1977-09-24 | Canon Inc | Electrostatically developing toner |
| JPS6040020B2 (ja) * | 1977-12-19 | 1985-09-09 | 株式会社リコー | 電子写真用正荷電シアントナー |
| JPS5579456A (en) * | 1978-12-13 | 1980-06-14 | Ricoh Co Ltd | Dry type electrophotographic toner |
| JPS5646248A (en) * | 1979-09-20 | 1981-04-27 | Mitsubishi Chem Ind Ltd | Dry type developer |
| JPS5897056A (ja) * | 1981-12-07 | 1983-06-09 | Mitsubishi Chem Ind Ltd | 静電荷現像用トナ− |
| JPS5977447A (ja) * | 1982-10-27 | 1984-05-02 | Ricoh Co Ltd | 電気的潜像現像用トナ− |
| EP0141377B1 (de) * | 1983-11-04 | 1990-05-02 | Hodogaya Chemical Co., Ltd. | Metallkomplexe |
| JPS60107654A (ja) * | 1983-11-17 | 1985-06-13 | Hodogaya Chem Co Ltd | 電子写真用トナ− |
| JPS616661A (ja) * | 1984-06-20 | 1986-01-13 | Konishiroku Photo Ind Co Ltd | 磁性体分散型マイクロキヤリア |
| JPS6136758A (ja) * | 1984-07-30 | 1986-02-21 | Ricoh Co Ltd | 乾式電子写真用正荷電性トナ− |
| US4560635A (en) * | 1984-08-30 | 1985-12-24 | Xerox Corporation | Toner compositions with ammonium sulfate charge enhancing additives |
-
1986
- 1986-12-05 DE DE19863641525 patent/DE3641525A1/de not_active Withdrawn
-
1987
- 1987-01-07 KR KR1019880700919A patent/KR950003308B1/ko not_active Expired - Lifetime
- 1987-01-07 WO PCT/EP1987/000003 patent/WO1988004442A2/de not_active Ceased
- 1987-01-07 JP JP62500817A patent/JPH0774918B2/ja not_active Expired - Lifetime
- 1987-01-07 US US07/664,471 patent/US5061585A/en not_active Expired - Lifetime
- 1987-01-07 DE DE8787900805T patent/DE3784736D1/de not_active Expired - Lifetime
- 1987-01-07 EP EP87900805A patent/EP0334840B1/de not_active Expired - Lifetime
- 1987-01-07 AU AU68957/87A patent/AU605475B2/en not_active Expired
Also Published As
| Publication number | Publication date |
|---|---|
| DE3784736D1 (de) | 1993-04-15 |
| WO1988004442A2 (en) | 1988-06-16 |
| AU6895787A (en) | 1988-06-30 |
| WO1988004442A3 (en) | 1988-07-28 |
| EP0334840A1 (de) | 1989-10-04 |
| KR950003308B1 (ko) | 1995-04-10 |
| US5061585A (en) | 1991-10-29 |
| DE3641525A1 (de) | 1988-06-16 |
| KR890700238A (ko) | 1989-03-10 |
| JPH0774918B2 (ja) | 1995-08-09 |
| AU605475B2 (en) | 1991-01-17 |
| JPH02501506A (ja) | 1990-05-24 |
Similar Documents
| Publication | Publication Date | Title |
|---|---|---|
| EP0367162B1 (de) | Verwendung farbloser hochgradig fluorierter Ammonium- und Immoniumverbindungen als Ladungssteuermittel für elktrophotographische Aufzeichnungsverfahren | |
| DE4447593C2 (de) | Toner für elektrophotographische Entwickler, enthaltend ein Azogelbpigment | |
| DE3144017C2 (de) | Elektrostatographischer Toner | |
| EP0001785B1 (de) | Klassifiziertes elektrostatographisches Tonermaterial, Entwicklergemisch und Entwicklungsverfahren unter Verwendung dieses Gemisches | |
| EP0247576B1 (de) | Verbessertes Magentafarbmittel für elektrophotographische Aufzeichnungsverfahren | |
| DE3788024T2 (de) | Toner für elektrophotographische Verfahren, die eine Phenolverbindung enthalten. | |
| EP0551336B1 (de) | Aryl- und aralkylsulfid-, -sulfoxid- oder -sulfonverbindungen als ladungssteuermittel | |
| EP0359123B1 (de) | Verfahren zur gezielten Beeinflussung des triboelektrischen Effektes von Azopigmenten | |
| EP0393503B1 (de) | Verwendung farbloser hochgradig fluorsubstituierter Phosphoniumverbindungen als Ladungssteuermittel für elektrophotographische Aufzeichnungsverfahren | |
| EP0334840B1 (de) | Blaues farbmittel für elektrophotographische aufzeichnungsverfahren mit positiver steuerwirkung | |
| DE1522583A1 (de) | Elektrophotographisches Verfahren | |
| EP0362703B1 (de) | Chinacridone mit gezielt eingestellten triboelektrischen Effekten | |
| DE69008509T2 (de) | Farbelektrofotografie für hoch qualitative Halbtonbilder. | |
| DE68915431T2 (de) | Teilchenförmiges Tonermaterial. | |
| DE3784116T2 (de) | Toner fuer elektrophotographische verfahren, die salze von chromkomplexen enthalten. | |
| DE69023336T2 (de) | Partikeltonermaterial. | |
| DE60212050T2 (de) | Harzteilchen für Ladungssteuerung und Toner für die Entwicklung elektrostatischer Bilder | |
| DE69316095T2 (de) | Ladungskontrollmittel und positiv aufladbarer Toner zur Entwicklung elektrostatischer Bilder | |
| DE69026842T2 (de) | Entwickler für elektrostatische latente Bilder | |
| EP0230950B1 (de) | Farbmittel für elektrophotographische Aufzeichnungsverfahren | |
| DE69125509T2 (de) | Di- und trikationische negative Ladungssteuerungsmittel für Tonerzusammensetzung | |
| DE68924059T2 (de) | Toner für elektrophotographie. | |
| DE69410978T2 (de) | Mittels Reibung aufladendes Element, für positiv aufladbaren Toner | |
| DE3628894A1 (de) | Kondensationsprodukte 5-gliedriger heterocyclen mit triboelektrischer steuerwirkung fuer elektrophotographische aufzeichnungsverfahren | |
| DE69013529T2 (de) | Partikeltonermaterial. |
Legal Events
| Date | Code | Title | Description |
|---|---|---|---|
| PUAI | Public reference made under article 153(3) epc to a published international application that has entered the european phase |
Free format text: ORIGINAL CODE: 0009012 |
|
| 17P | Request for examination filed |
Effective date: 19890519 |
|
| AK | Designated contracting states |
Kind code of ref document: A1 Designated state(s): CH DE FR GB IT LI |
|
| 17Q | First examination report despatched |
Effective date: 19911007 |
|
| GRAA | (expected) grant |
Free format text: ORIGINAL CODE: 0009210 |
|
| AK | Designated contracting states |
Kind code of ref document: B1 Designated state(s): CH DE FR GB IT LI |
|
| REF | Corresponds to: |
Ref document number: 3784736 Country of ref document: DE Date of ref document: 19930415 |
|
| ITF | It: translation for a ep patent filed | ||
| GBT | Gb: translation of ep patent filed (gb section 77(6)(a)/1977) |
Effective date: 19930517 |
|
| ET | Fr: translation filed | ||
| PLBE | No opposition filed within time limit |
Free format text: ORIGINAL CODE: 0009261 |
|
| STAA | Information on the status of an ep patent application or granted ep patent |
Free format text: STATUS: NO OPPOSITION FILED WITHIN TIME LIMIT |
|
| 26N | No opposition filed | ||
| REG | Reference to a national code |
Ref country code: CH Ref legal event code: PUE Owner name: HOECHST AKTIENGESELLSCHAFT TRANSFER- CLARIANT GMBH |
|
| REG | Reference to a national code |
Ref country code: FR Ref legal event code: TP |
|
| REG | Reference to a national code |
Ref country code: GB Ref legal event code: 732E |
|
| REG | Reference to a national code |
Ref country code: GB Ref legal event code: IF02 |
|
| PG25 | Lapsed in a contracting state [announced via postgrant information from national office to epo] |
Ref country code: IT Free format text: LAPSE BECAUSE OF NON-PAYMENT OF DUE FEES;WARNING: LAPSES OF ITALIAN PATENTS WITH EFFECTIVE DATE BEFORE 2007 MAY HAVE OCCURRED AT ANY TIME BEFORE 2007. THE CORRECT EFFECTIVE DATE MAY BE DIFFERENT FROM THE ONE RECORDED. Effective date: 20050107 |
|
| PGFP | Annual fee paid to national office [announced via postgrant information from national office to epo] |
Ref country code: FR Payment date: 20051209 Year of fee payment: 20 |
|
| PGFP | Annual fee paid to national office [announced via postgrant information from national office to epo] |
Ref country code: DE Payment date: 20051212 Year of fee payment: 20 |
|
| PGFP | Annual fee paid to national office [announced via postgrant information from national office to epo] |
Ref country code: GB Payment date: 20051215 Year of fee payment: 20 |
|
| PGFP | Annual fee paid to national office [announced via postgrant information from national office to epo] |
Ref country code: CH Payment date: 20051216 Year of fee payment: 20 |
|
| REG | Reference to a national code |
Ref country code: CH Ref legal event code: PFA Owner name: CLARIANT PRODUKTE (DEUTSCHLAND) GMBH Free format text: CLARIANT GMBH#BRUENINGSTRASSE 50#65929 FRANKFURT AM MAIN (DE) -TRANSFER TO- CLARIANT PRODUKTE (DEUTSCHLAND) GMBH#BRUENINGSTRASSE 50#65929 FRANKFURT AM MAIN (DE) |
|
| REG | Reference to a national code |
Ref country code: FR Ref legal event code: CD |
|
| PG25 | Lapsed in a contracting state [announced via postgrant information from national office to epo] |
Ref country code: GB Free format text: LAPSE BECAUSE OF EXPIRATION OF PROTECTION Effective date: 20070106 |
|
| REG | Reference to a national code |
Ref country code: GB Ref legal event code: PE20 |

