EP0000747A1 - Neue Organozinnhalogenide und Verfahren zu deren Herstellung - Google Patents
Neue Organozinnhalogenide und Verfahren zu deren Herstellung Download PDFInfo
- Publication number
- EP0000747A1 EP0000747A1 EP7878100533A EP78100533A EP0000747A1 EP 0000747 A1 EP0000747 A1 EP 0000747A1 EP 7878100533 A EP7878100533 A EP 7878100533A EP 78100533 A EP78100533 A EP 78100533A EP 0000747 A1 EP0000747 A1 EP 0000747A1
- Authority
- EP
- European Patent Office
- Prior art keywords
- alkyl
- radicals
- radical
- mixture
- organotin halides
- Prior art date
- Legal status (The legal status is an assumption and is not a legal conclusion. Google has not performed a legal analysis and makes no representation as to the accuracy of the status listed.)
- Granted
Links
- 150000004820 halides Chemical class 0.000 title claims abstract description 17
- 238000000034 method Methods 0.000 title claims abstract description 16
- 238000002360 preparation method Methods 0.000 title claims abstract description 5
- ATJFFYVFTNAWJD-UHFFFAOYSA-N Tin Chemical compound [Sn] ATJFFYVFTNAWJD-UHFFFAOYSA-N 0.000 claims abstract description 25
- 150000003254 radicals Chemical class 0.000 claims abstract description 18
- 239000000203 mixture Substances 0.000 claims abstract description 16
- -1 arylamino radical Chemical class 0.000 claims abstract description 15
- 150000001336 alkenes Chemical class 0.000 claims abstract description 14
- 229910052801 chlorine Inorganic materials 0.000 claims abstract description 9
- 239000000460 chlorine Substances 0.000 claims abstract description 8
- 229910000039 hydrogen halide Inorganic materials 0.000 claims abstract description 8
- 239000012433 hydrogen halide Substances 0.000 claims abstract description 8
- 125000001309 chloro group Chemical group Cl* 0.000 claims abstract description 7
- 229910052736 halogen Inorganic materials 0.000 claims abstract description 7
- 150000002367 halogens Chemical class 0.000 claims abstract description 7
- 229910052740 iodine Chemical group 0.000 claims abstract description 6
- JRZJOMJEPLMPRA-UHFFFAOYSA-N olefin Natural products CCCCCCCC=C JRZJOMJEPLMPRA-UHFFFAOYSA-N 0.000 claims abstract description 6
- ZCYVEMRRCGMTRW-UHFFFAOYSA-N 7553-56-2 Chemical group [I] ZCYVEMRRCGMTRW-UHFFFAOYSA-N 0.000 claims abstract description 5
- 125000000217 alkyl group Chemical group 0.000 claims abstract description 5
- 125000004432 carbon atom Chemical group C* 0.000 claims abstract description 5
- 239000011630 iodine Chemical group 0.000 claims abstract description 5
- WKBOTKDWSSQWDR-UHFFFAOYSA-N Bromine atom Chemical group [Br] WKBOTKDWSSQWDR-UHFFFAOYSA-N 0.000 claims abstract description 3
- GDTBXPJZTBHREO-UHFFFAOYSA-N bromine Chemical group BrBr GDTBXPJZTBHREO-UHFFFAOYSA-N 0.000 claims abstract description 3
- 229910052794 bromium Inorganic materials 0.000 claims abstract description 3
- 125000004435 hydrogen atom Chemical group [H]* 0.000 claims abstract description 3
- 125000002924 primary amino group Chemical group [H]N([H])* 0.000 claims abstract 2
- RTZKZFJDLAIYFH-UHFFFAOYSA-N Diethyl ether Chemical class CCOCC RTZKZFJDLAIYFH-UHFFFAOYSA-N 0.000 claims description 13
- 229910052739 hydrogen Inorganic materials 0.000 claims description 4
- 239000001257 hydrogen Substances 0.000 claims description 4
- UFHFLCQGNIYNRP-UHFFFAOYSA-N Hydrogen Chemical compound [H][H] UFHFLCQGNIYNRP-UHFFFAOYSA-N 0.000 claims description 2
- 125000003178 carboxy group Chemical group [H]OC(*)=O 0.000 claims description 2
- 125000002887 hydroxy group Chemical class [H]O* 0.000 claims description 2
- 125000001424 substituent group Chemical group 0.000 claims description 2
- 150000003568 thioethers Chemical class 0.000 claims description 2
- 101000623895 Bos taurus Mucin-15 Proteins 0.000 claims 1
- 239000012442 inert solvent Substances 0.000 claims 1
- 238000003786 synthesis reaction Methods 0.000 abstract description 5
- 230000015572 biosynthetic process Effects 0.000 abstract description 4
- 238000004519 manufacturing process Methods 0.000 abstract description 4
- 239000000575 pesticide Substances 0.000 abstract description 3
- 239000004033 plastic Substances 0.000 abstract description 3
- 229920003023 plastic Polymers 0.000 abstract description 3
- 239000012760 heat stabilizer Substances 0.000 abstract description 2
- 239000000543 intermediate Substances 0.000 abstract description 2
- YXFVVABEGXRONW-UHFFFAOYSA-N Toluene Chemical compound CC1=CC=CC=C1 YXFVVABEGXRONW-UHFFFAOYSA-N 0.000 description 18
- VEXZGXHMUGYJMC-UHFFFAOYSA-N Hydrochloric acid Chemical compound Cl VEXZGXHMUGYJMC-UHFFFAOYSA-N 0.000 description 15
- 229910000041 hydrogen chloride Inorganic materials 0.000 description 11
- IXCSERBJSXMMFS-UHFFFAOYSA-N hydrogen chloride Substances Cl.Cl IXCSERBJSXMMFS-UHFFFAOYSA-N 0.000 description 11
- 238000006243 chemical reaction Methods 0.000 description 9
- 239000000047 product Substances 0.000 description 5
- ZAMOUSCENKQFHK-UHFFFAOYSA-N Chlorine atom Chemical compound [Cl] ZAMOUSCENKQFHK-UHFFFAOYSA-N 0.000 description 4
- 239000007795 chemical reaction product Substances 0.000 description 4
- 150000001875 compounds Chemical class 0.000 description 4
- 239000007789 gas Substances 0.000 description 4
- 239000007788 liquid Substances 0.000 description 4
- LVHBHZANLOWSRM-UHFFFAOYSA-N methylenebutanedioic acid Natural products OC(=O)CC(=C)C(O)=O LVHBHZANLOWSRM-UHFFFAOYSA-N 0.000 description 4
- GYXGAEAOIFNGAE-UHFFFAOYSA-N 2-propan-2-ylidenebutanedioic acid Chemical compound CC(C)=C(C(O)=O)CC(O)=O GYXGAEAOIFNGAE-UHFFFAOYSA-N 0.000 description 3
- VEXZGXHMUGYJMC-UHFFFAOYSA-M Chloride anion Chemical compound [Cl-] VEXZGXHMUGYJMC-UHFFFAOYSA-M 0.000 description 3
- LFQSCWFLJHTTHZ-UHFFFAOYSA-N Ethanol Chemical compound CCO LFQSCWFLJHTTHZ-UHFFFAOYSA-N 0.000 description 3
- XEKOWRVHYACXOJ-UHFFFAOYSA-N Ethyl acetate Chemical compound CCOC(C)=O XEKOWRVHYACXOJ-UHFFFAOYSA-N 0.000 description 3
- OKKJLVBELUTLKV-UHFFFAOYSA-N Methanol Chemical compound OC OKKJLVBELUTLKV-UHFFFAOYSA-N 0.000 description 3
- 229910021627 Tin(IV) chloride Inorganic materials 0.000 description 3
- 229920000642 polymer Polymers 0.000 description 3
- 239000002904 solvent Substances 0.000 description 3
- 238000003756 stirring Methods 0.000 description 3
- HPGGPRDJHPYFRM-UHFFFAOYSA-J tin(iv) chloride Chemical compound Cl[Sn](Cl)(Cl)Cl HPGGPRDJHPYFRM-UHFFFAOYSA-J 0.000 description 3
- RYHBNJHYFVUHQT-UHFFFAOYSA-N 1,4-Dioxane Chemical compound C1COCCO1 RYHBNJHYFVUHQT-UHFFFAOYSA-N 0.000 description 2
- JAHNSTQSQJOJLO-UHFFFAOYSA-N 2-(3-fluorophenyl)-1h-imidazole Chemical compound FC1=CC=CC(C=2NC=CN=2)=C1 JAHNSTQSQJOJLO-UHFFFAOYSA-N 0.000 description 2
- ZWEHNKRNPOVVGH-UHFFFAOYSA-N 2-Butanone Chemical compound CCC(C)=O ZWEHNKRNPOVVGH-UHFFFAOYSA-N 0.000 description 2
- KXGZUQYKCPPYRL-UHFFFAOYSA-N 2-nonan-5-ylidenebutanedioic acid Chemical compound CCCCC(CCCC)=C(CC(O)=O)C(O)=O KXGZUQYKCPPYRL-UHFFFAOYSA-N 0.000 description 2
- CSCPPACGZOOCGX-UHFFFAOYSA-N Acetone Chemical compound CC(C)=O CSCPPACGZOOCGX-UHFFFAOYSA-N 0.000 description 2
- 0 C1[C@@]2[C@](C3)[C@]3*C[C@@]12 Chemical compound C1[C@@]2[C@](C3)[C@]3*C[C@@]12 0.000 description 2
- HEDRZPFGACZZDS-UHFFFAOYSA-N Chloroform Chemical compound ClC(Cl)Cl HEDRZPFGACZZDS-UHFFFAOYSA-N 0.000 description 2
- XTHFKEDIFFGKHM-UHFFFAOYSA-N Dimethoxyethane Chemical compound COCCOC XTHFKEDIFFGKHM-UHFFFAOYSA-N 0.000 description 2
- LRHPLDYGYMQRHN-UHFFFAOYSA-N N-Butanol Chemical compound CCCCO LRHPLDYGYMQRHN-UHFFFAOYSA-N 0.000 description 2
- WYURNTSHIVDZCO-UHFFFAOYSA-N Tetrahydrofuran Chemical compound C1CCOC1 WYURNTSHIVDZCO-UHFFFAOYSA-N 0.000 description 2
- 229910052782 aluminium Inorganic materials 0.000 description 2
- 239000007864 aqueous solution Substances 0.000 description 2
- 125000002915 carbonyl group Chemical group [*:2]C([*:1])=O 0.000 description 2
- MVPPADPHJFYWMZ-UHFFFAOYSA-N chlorobenzene Chemical compound ClC1=CC=CC=C1 MVPPADPHJFYWMZ-UHFFFAOYSA-N 0.000 description 2
- 238000001816 cooling Methods 0.000 description 2
- 150000002148 esters Chemical class 0.000 description 2
- 150000002431 hydrogen Chemical class 0.000 description 2
- 239000011541 reaction mixture Substances 0.000 description 2
- 239000000243 solution Substances 0.000 description 2
- 239000003381 stabilizer Substances 0.000 description 2
- VZGDMQKNWNREIO-UHFFFAOYSA-N tetrachloromethane Chemical compound ClC(Cl)(Cl)Cl VZGDMQKNWNREIO-UHFFFAOYSA-N 0.000 description 2
- XLYOFNOQVPJJNP-UHFFFAOYSA-N water Substances O XLYOFNOQVPJJNP-UHFFFAOYSA-N 0.000 description 2
- ZSEKIKINQDHHQW-OMWVKWIASA-N (E)-dodec-2-enedioic acid 2-propylidenebutanedioic acid Chemical compound CCC=C(C(O)=O)CC(O)=O.OC(=O)CCCCCCCC\C=C\C(O)=O.OC(=O)CCCCCCCC\C=C\C(O)=O ZSEKIKINQDHHQW-OMWVKWIASA-N 0.000 description 1
- QGZKDVFQNNGYKY-UHFFFAOYSA-O Ammonium Chemical compound [NH4+] QGZKDVFQNNGYKY-UHFFFAOYSA-O 0.000 description 1
- RDOXTESZEPMUJZ-UHFFFAOYSA-N COc1ccccc1 Chemical compound COc1ccccc1 RDOXTESZEPMUJZ-UHFFFAOYSA-N 0.000 description 1
- 239000004215 Carbon black (E152) Substances 0.000 description 1
- SNRUBQQJIBEYMU-UHFFFAOYSA-N Dodecane Natural products CCCCCCCCCCCC SNRUBQQJIBEYMU-UHFFFAOYSA-N 0.000 description 1
- FYYHWMGAXLPEAU-UHFFFAOYSA-N Magnesium Chemical compound [Mg] FYYHWMGAXLPEAU-UHFFFAOYSA-N 0.000 description 1
- CTQNGGLPUBDAKN-UHFFFAOYSA-N O-Xylene Chemical compound CC1=CC=CC=C1C CTQNGGLPUBDAKN-UHFFFAOYSA-N 0.000 description 1
- QOSMNYMQXIVWKY-UHFFFAOYSA-N Propyl levulinate Chemical compound CCCOC(=O)CCC(C)=O QOSMNYMQXIVWKY-UHFFFAOYSA-N 0.000 description 1
- 150000001298 alcohols Chemical class 0.000 description 1
- 125000001931 aliphatic group Chemical group 0.000 description 1
- 150000001338 aliphatic hydrocarbons Chemical class 0.000 description 1
- 150000001348 alkyl chlorides Chemical class 0.000 description 1
- 150000001350 alkyl halides Chemical class 0.000 description 1
- 150000001351 alkyl iodides Chemical class 0.000 description 1
- 238000004458 analytical method Methods 0.000 description 1
- 150000004945 aromatic hydrocarbons Chemical class 0.000 description 1
- 150000001500 aryl chlorides Chemical class 0.000 description 1
- CODNYICXDISAEA-UHFFFAOYSA-N bromine monochloride Chemical compound BrCl CODNYICXDISAEA-UHFFFAOYSA-N 0.000 description 1
- YMLFYGFCXGNERH-UHFFFAOYSA-K butyltin trichloride Chemical compound CCCC[Sn](Cl)(Cl)Cl YMLFYGFCXGNERH-UHFFFAOYSA-K 0.000 description 1
- 239000006227 byproduct Substances 0.000 description 1
- 238000004364 calculation method Methods 0.000 description 1
- 150000007942 carboxylates Chemical group 0.000 description 1
- 239000003054 catalyst Substances 0.000 description 1
- 150000001805 chlorine compounds Chemical class 0.000 description 1
- 239000013078 crystal Substances 0.000 description 1
- OGVXYCDTRMDYOG-UHFFFAOYSA-N dibutyl 2-methylidenebutanedioate Chemical compound CCCCOC(=O)CC(=C)C(=O)OCCCC OGVXYCDTRMDYOG-UHFFFAOYSA-N 0.000 description 1
- RJGHQTVXGKYATR-UHFFFAOYSA-L dibutyl(dichloro)stannane Chemical compound CCCC[Sn](Cl)(Cl)CCCC RJGHQTVXGKYATR-UHFFFAOYSA-L 0.000 description 1
- ZWWQRMFIZFPUAA-UHFFFAOYSA-N dimethyl 2-methylidenebutanedioate Chemical compound COC(=O)CC(=C)C(=O)OC ZWWQRMFIZFPUAA-UHFFFAOYSA-N 0.000 description 1
- SBOSGIJGEHWBKV-UHFFFAOYSA-L dioctyltin(2+);dichloride Chemical compound CCCCCCCC[Sn](Cl)(Cl)CCCCCCCC SBOSGIJGEHWBKV-UHFFFAOYSA-L 0.000 description 1
- 125000003438 dodecyl group Chemical group [H]C([H])([H])C([H])([H])C([H])([H])C([H])([H])C([H])([H])C([H])([H])C([H])([H])C([H])([H])C([H])([H])C([H])([H])C([H])([H])C([H])([H])* 0.000 description 1
- 150000002170 ethers Chemical class 0.000 description 1
- 125000001495 ethyl group Chemical group [H]C([H])([H])C([H])([H])* 0.000 description 1
- 238000001640 fractional crystallisation Methods 0.000 description 1
- 125000004051 hexyl group Chemical group [H]C([H])([H])C([H])([H])C([H])([H])C([H])([H])C([H])([H])C([H])([H])* 0.000 description 1
- 229930195733 hydrocarbon Natural products 0.000 description 1
- PNDPGZBMCMUPRI-UHFFFAOYSA-N iodine Chemical compound II PNDPGZBMCMUPRI-UHFFFAOYSA-N 0.000 description 1
- 150000002497 iodine compounds Chemical class 0.000 description 1
- 150000002576 ketones Chemical class 0.000 description 1
- 229910052749 magnesium Inorganic materials 0.000 description 1
- 239000011777 magnesium Substances 0.000 description 1
- 125000002496 methyl group Chemical group [H]C([H])([H])* 0.000 description 1
- AQSJGOWTSHOLKH-UHFFFAOYSA-N phosphite(3-) Chemical class [O-]P([O-])[O-] AQSJGOWTSHOLKH-UHFFFAOYSA-N 0.000 description 1
- 150000004714 phosphonium salts Chemical class 0.000 description 1
- 125000001436 propyl group Chemical group [H]C([*])([H])C([H])([H])C([H])([H])[H] 0.000 description 1
- 229920006395 saturated elastomer Polymers 0.000 description 1
- 238000007086 side reaction Methods 0.000 description 1
- 239000011877 solvent mixture Substances 0.000 description 1
- 238000004611 spectroscopical analysis Methods 0.000 description 1
- 125000004079 stearyl group Chemical group [H]C([*])([H])C([H])([H])C([H])([H])C([H])([H])C([H])([H])C([H])([H])C([H])([H])C([H])([H])C([H])([H])C([H])([H])C([H])([H])C([H])([H])C([H])([H])C([H])([H])C([H])([H])C([H])([H])C([H])([H])C([H])([H])[H] 0.000 description 1
- YLQBMQCUIZJEEH-UHFFFAOYSA-N tetrahydrofuran Natural products C=1C=COC=1 YLQBMQCUIZJEEH-UHFFFAOYSA-N 0.000 description 1
- 239000008096 xylene Substances 0.000 description 1
Classifications
-
- C—CHEMISTRY; METALLURGY
- C07—ORGANIC CHEMISTRY
- C07F—ACYCLIC, CARBOCYCLIC OR HETEROCYCLIC COMPOUNDS CONTAINING ELEMENTS OTHER THAN CARBON, HYDROGEN, HALOGEN, OXYGEN, NITROGEN, SULFUR, SELENIUM OR TELLURIUM
- C07F7/00—Compounds containing elements of Groups 4 or 14 of the Periodic Table
- C07F7/22—Tin compounds
- C07F7/2208—Compounds having tin linked only to carbon, hydrogen and/or halogen
Definitions
- the invention relates to new organotin halides and a process for their preparation.
- organotin halides such as dibutyltin dichloride, monobutyltin trichloride or dioctyltin dichloride, are very complex and, for. T. dangerous and therefore expensive because they are based on the Grignard, aluminum alkyl or Wurtz synthesis.
- tetraalkyl or tetraaryl compounds are prepared from alkyl or aryl chlorides and tin tetrachloride (Grignard, Wurtz) or from aluminum alkyls and tin tetrachloride, which are then converted into the desired tri-, di- and monoorganotin chlorides by comproportionation processes with tin tetrachloride.
- organotin halides Another possibility for the production of organotin halides is to react metallic tin and hydrogen halide with activated olefins. These are olefins of the general formula in which B, C and D represent hydrogen or a hydrocarbon radical and radical A, but optionally also radical B, contains a carbonyl group adjacent to the olefinic double bond (DT-OS 2 607 178).
- B, C and D represent hydrogen or a hydrocarbon radical and radical A, but optionally also radical B, contains a carbonyl group adjacent to the olefinic double bond (DT-OS 2 607 178).
- the mixtures of organotin di- and trihalides which can be prepared in high yields by this process are contaminated in some cases, in particular when the reaction is carried out at higher temperatures, by polymers of the starting olefins formed in side reactions, and these side products cannot be separated off practically. If, during the further processing of the organotin halides on organotin stabilize
- organotin halides can be prepared in the form of mixtures of di- and trihalides.
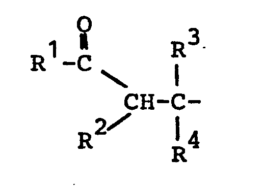
- R 1 examples are -OH, -NH 2 , -Cl, -Br. -J, alkyl and arylamino radicals such as -NH (CH 3 ), O-alkyl radicals such as - OCH3 , -OC 2 H 5 , -OC 8 H 17 , -O-CH 2 -CH 2 -OH, -O-CH 2 -CH 2 -Cl, -O-CH 2 -CH 2 -O-CH 3 , -O-CH 2 -CH 2 -S-CH 2 -CH 2 -OH, and o-aryl residues such as.
- alkyl and arylamino radicals such as -NH (CH 3 ), O-alkyl radicals such as - OCH3 , -OC 2 H 5 , -OC 8 H 17 , -O-CH 2 -CH 2 -OH, -O-CH 2 -CH 2 -Cl, -O-CH 2
- R 1 is an O-alkyl radical having 1 to 40, preferably 1 to 30 and in particular 1 to 20 carbon atoms and R 3 and R 4 are hydrogen
- R 2 is the radical with the preferred range given for R above and X represents chlorine.
- Preferred olefins are the esters of itaconic acid.
- the reaction can be carried out without solvent or in e.g. Ethers such as diethyl ether, tetrahydrofuran, dioxane or 1,2-dimethoxyethane, in esters such as ethyl acetate, in ketones such as acetone or ethyl methyl ketone, in alcohols such as methanol, ethanol and butanol, in aromatic hydrocarbons such as toluene, xylene, chlorobenzene, etc. ., in aliphatic hydrocarbons, such as petrol, chlorine-containing aliphatics such as chloroform and carbon tetrachloride, in water (as concentrated hydrochloric acid) or in an excess of olefin.
- Ethers such as diethyl ether, tetrahydrofuran, dioxane or 1,2-dimethoxyethane
- esters such as ethyl acetate
- ketones such as acetone or e
- the hydrogen halide can be introduced into the reaction in gaseous form or as an aqueous solution, especially as a concentrated aqueous solution. Hydrogen chloride is preferred.
- the metallic tin is suitable for implementation in any form, but is preferred because of its large, i.e. reactive surface is the powdered tin, but granulated tin can also be used.
- the reaction can either be designed in such a way that the olefin, solvent and tin are introduced and hydrogen halide is introduced, or the olefin / solvent mixture is saturated with hydrogen halide and only then tin is added.
- the reaction can be carried out at temperatures between 0 and Carry out 150 ° C, expediently you work between about 0 and 100, preferably at 20 to 80 ° C.
- the oraganotin halides obtainable in the reaction are mixtures of di- and monoorganotin halides of the general formula (R) 2 SnHal 2 and (R) SnHal 3 , where the radical R is the general structure is attributable. Based on the analytical and spectroscopic data, the course of the reaction and the chemistry of these olefins, this structure is very likely.
- the approximate ratio of the di to the mono compound can be calculated from the chlorine content of the reaction products, it varies widely and depends on the starting products and the process conditions (e.g. the solvent used and the rate of introduction of the hydrogen halide).
- the proportion of monoorganotin trichloride (R) SnCl 3 in the reaction mixture is generally between 0.01 and 80% by weight, ie the ratio of diorganotin chloride to monoorganotin chloride is approximately 1: 0 to 1: 4.
- the di- and trihalides can be separated by known methods, e.g. by fractional crystallization, possible, but in particular not necessary if the process products are further processed on tin stabilizers.
- the new organotin halides are valuable intermediates that can be used, for example, for the synthesis of crop protection and pesticides and as starting products for the production of heat stabilizers suitable for plastics processing.
- a 500 ml three-necked flask equipped with a stirring device, internal thermometer and a gas inlet tube was charged with 79 g (0.5 mol) dimethyl itaconate, 29.6 g (0.25 mol) tin powder and 150 ml diethyl ether.
- a total of 36.5 g (1 mol) of dry, gaseous hydrogen chloride were introduced uniformly over the course of 2.5 hours with vigorous stirring and cooling at a temperature of 20 to 25 ° C.
- the mixture was stirred at 20 to 25 ° C for a further 10 hours. After that there was no more tin.
- the ether and the excess hydrogen chloride were then removed under a water jet vacuum.
- reaction product is heated in sufficient toluene, a clear solution is formed, from which, on cooling, the connection of the structure in the form of white crystals of mp 144 to 146 ° C. fails.
- Example 2 The procedure was as in Example 2; however at a temperature of 120 to 125 ° C.
- the product of the process corresponded in all analysis values to that obtained in Example 2. It also contained no trace of polymethyl itaconate.
- Example 2 the method described in Example 1 was used. 29.6 g (0.25 mol) of tin and 36.5 g (1 mol) of hydrogen chloride gas were always used.
Landscapes
- Chemical & Material Sciences (AREA)
- Organic Chemistry (AREA)
Abstract
Description
- Die Erfindung betrifft neue Organozinnhalogenide und ein Verfahren zu deren Herstellung.
- Die bekannten technischen Verfahren zur Herstellung von Organozinnhalogeniden, wie Dibutylzinndichlorid, Monobutylzinntrichlorid oder Dioctylzinndichlorid sind sehr aufwendig sowie z. T. gefährlich und daher kostspielig, da sie auf der Grignard-, Aluminiumalkyl-oder Wurtz-Synthese basieren. Nach diesen Synthesen werden aus Alkyl- oder Arylchloriden und Zinntetrachlorid (Grignard, Wurtz) bzw. aus Aluminiumalkylen und Zinntetrachlorid Tetraalkyl- oder Tetraarylverbindungen hergestellt, die dann durch Komproportionierungsverfahren mit Zinntetrachlorid in die gewünschten Tri-, Di- und Monoorganozinnchloride überführt werden.
- Weniger problematisch sind andere, auf metallischem Zinn basierende Verfahren. Nach dieser Direkt-Synthese setzt man Zinn mit Alkylhalogeniden zu Alkylzinnhalogeniden um. Die Darstellungsmethode hat jedoch verschiedene Nachteile, etwa die erforderlichen hohen Reaktionstemperaturen, insbesondere beim Einsatz von Alkylchloriden, und die Notwendigkeit der Verwendung von Katalysatoren wie N- und P-haltigen Verbindungen zusammen mit Jod- .verbindungen (DT-ASS 1 240 081 und 1 274 580), organischen Phosphiten (DT-OS 1 468 494), Ammonium-oder Phosphoniumverbindungen (DT-AS 1 277 255 und DT-OS 1 817 549), Gemischen aus metallischem Magnesium und Jod oder Alkyljodiden (US-PS 3 440 255) usf.
- Eine weitere Möglichkeit zur Herstellung von Organozinnhalogeniden besteht darin, metallisches Zinn und Halogenwasserstoff mit aktivierten Olefinen umzusetzen. Es sind dies Olefine der allgemeinen Formel
in der B, C und D für Wasserstoff oder einen Kohlenwasserstoffrest stehen und der Rest A, gegebenenfalls aber auch noch der Rest B eine der olefinischen Doppelbindung benachbarte Carbonylgruppe enthält (DT-OS 2 607 178). Die nach diesem Verfahren in hohen Ausbeuten herstellbaren Mischungen aus Organozinndi- und-trihalogeniden sind jedoch in manchen Fällen, insbesondere wenn bei höheren Temperaturen umgesetzt wird, durch in Nebenreaktionen gebildete Polymere der Ausgangsolefine verunreinigt, und diese Nebenprodukte lassen sich praktisch nicht abtrennen. Wenn sie im Verlauf der Weiterverarbeitung der Organozinnhalogenide auf Organozinnstabilisatoren mit diesen in kunststoffmassen gelangen, führt dies zu im allgemeinen unerwünschten Trübungen der Massen. - Es wurde nun gefunden, daß bei Einsatz andersartiger Olefine, die zwar in Nachbarstellung zur olefinischen Doppelbindung ebenfalls eine Carbonylgruppe enthalten, jedoch zusätzlich durch mindestens eine, der Doppelbindung nicht benachbarte Carboxylatgruppe substituiert sind, überraschenderweise von Polymerisaten der betreffenden Olefine freie, bisher nicht beschriebene Organozinnhalogenide in Form von Mischungen aus Di- und Trihalogeniden herstellbar sind.
-
- R OH, Halogen, NH2, ein Alkyle oder Arylaminorest, ein O-Alkylrest oder ein O-Arylrest ist, wobei die beiden letztgenannten Reste auch aryl- bzw. alkylsubstituiert sein können und sowohl als solche als auch in der aryl- bzw. alkylsubstituierten Form als zusätzliche Substituenten gegebenenfalls noch Halogen oder eine Hydroxyl-, Thioäther-, Äther-und/oder Carboxylgruppe tragen,
- R2 bis R4 gleich oder verschieden sein können und die Bedeutung von 0 bis 2 Wasserstoffatomen sowie Alkylresten mit 1 bis 20 C-Atomen haben, wobei jedoch mindestens einer dieser Reste eine
-Gruppe, in der n eine Zahl von 1 bis 15 ist, darstellt, - X für Chlor, Brom oder Jod steht
-
-
-
- Zur Herstellung der neuen Organozinnhalogenide geht man in der Weise vor, daß man metallisches Zinn und Halogenwasserstoff mit einem Olefin der allgemeinen Formel
in der R1 bis R 4 die oben angegebenen Bedeutungen haben, zur Reaktion bringt. Einige typische Vertreter geeigneter Olefine seien im folgenden aufgezählt:. Itaconsäuredimethylester 2-Methylenglutarsäuredibutylester Glutaconsäure-di-äthylester 2-Methylenadipinsäuxe-di-n-octylester Propylidenbernsteinsäure-di- Traumatinsäure propylester Tetradecen-1-dicarbonsäure- Teraconsäure-di-äthylester (1,14) - Bevorzugte Olefine sind die Ester der Itaconsäure.
- Die Reaktion kann ohne Lösungsmittel oder in z.B. Äthern, wie Diäthyläther, Tetrahydrofuran, Dioxan oder 1,2-Dimethoxy-äthan, in Estern wie Äthylacetat, in Ketonen wie Aceton oder Äthylmethylketon, in Alkoholen, wie Methanol, Äthanol und Butanol, in aromatischen Kohlenwasserstoffen, wie Toluol, Xylol, Chlorbenzol usf., in aliphatischen Kohlenwasserstoffen, wie Benzinen, chlorhaltigen Aliphaten wie Chloroform und Tetrachlorkohlenstoff, in Wasser (als konz. Salzsäure) oder auch in einem Olefin-Uberschuß durchgeführt werden.
- Der Halogenwasserstoff kann in Gasform oder als wäßrige Lösung, vor allem als konzentrierte wäßrige Lösung, in die Reaktion eingebracht werden. Bevorzugt ist Chlorwasserstoff.
- Das metallische Zinn ist in jeglicher Form zur Umsetzung geeignet, bevorzugt ist jedoch aufgrund seiner großen, d.h. reaktiven Oberfläche das pulverförmige Zinn, jedoch ist auch granuliertes Zinn brauchbar.
- Die Umsetzung kann entweder so gestaltet werden,.daß man das Olefin, Lösungsmittel und Zinn vorlegt und Halogenwasserstoff einbringt oder das Olefin/Lösungsmittelgemisch mit Halogenwasserstoff sättigt und erst dann Zinn zugibt.
- Die Reaktion läßt sich bei Temperaturen zwischen 0 und 150°C durchführen, zweckmäßigerweise arbeitet man zwischen etwa O und 100, vorzugsweise bei 20 bis 80°C.
- Die bei der Umsetzung erhältlichen Oraganozinnhalogenide stellen Gemische aus Di- und Monoorganozinnhalogeniden der allgemeinen Formel (R)2SnHal2 und (R)SnHal3 dar, wobei dem.Rest R die allgemeine Struktur
zuzuschreiben ist. Diese Struktur ist aufgrund der analytischen und spektroskopischen Daten, des Reaktionsverlaufs und der Chemie dieser Olefine als sehr wahrscheinlich anzusehen. Das ungefähre Verhältnis der Di- zur Monoverbindung kann aus den Chlorgehalten der Reaktionsprodukte rechnerisch ermittelt werden, es schwankt in weiten Bereichen und hängt von den Ausgangsprodukten und den Verfahrensbedingungen (z.B. vom verwendeten Lösungsmittel und der Einleitgeschwindigkeit des Halogenwasserstoffs) ab. Der Anteil an Monoorganozinntrichlorid (R)SnCl3 im Reaktionsgemisch liegt im allgemeinen zwischen 0,01 und 80 Gew.-%, d.h. das Verhältnis von Diorganozinnchlorid zu Monoorganozinnchlorid beträgt etwa 1 : O bis 1 : 4. - Eine Trennung der Di- und Trihalogenide ist nach bekannten Methoden, z.B. durch fraktionierte Kristallisation, möglich, jedoch insbesondere dann nicht erforderlich, wenn die Verfahrensprodukte auf Zinnstabilisatoren weiterverarbeitet werden.
- Die neuen Organozinnhalogenide stellen wertvolle Zwischenprodukte dar, die sich z.B. zur Synthese von Pflanzenschutz- und Schädlingsbekämpfungsmitteln und als Ausgangsprodukte zur Herstellung von Wärmestabilisatoren für die Kunststoffverarbeitung eignen.
- Ein mit Rühreinrichtung, Innenthermometer und einem Gaseinleitrohr ausgestatteter 500-ml-Dreihalskolben wurde mit 79 g (0,5 Mol) Itaconsäuredimethylester, 29,6 g (0,25 Mol) Zinnpulver und 150 ml Diäthyläther beschickt. Innerhalb von 2,5 Stunden wurden unter kräftigem Rühren und unter Kühlung bei einer Temperatur von 20 bis 25°C gleichmäßig insgesamt 36,5 g (1 Mol) trockener, gasförmiger Chlorwasserstoff eingeleitet. Man rührte bei 20 bis 25°C noch 10 Stunden weiter. Danach war kein Zinn mehr vorhanden. Anschließend zog man unter Wasserstrahlvakuum den Äther und den überschüssigen Chlorwasserstoff ab. Zurück blieb eine helle, hochviskose Flüssigkeit, die kein Zinn-II-chlorid enthielt.
Berechnung des Anteiles an (R)2SnCl2 und (R)SnCl3 aus dem gefundenen Chlorgehalt. (R= ca. 59 % (R2)SnCl2 und ca. 41 % (R?SnCl3. - Aus den Chloranalysen ergibt sich weiterhin, daß praktisch kein Chlorwasserstoff an die Doppelbindung des Itaconsäuredimethylesters angelagert worden ist. Die gefundene Jodzahl beweist, daß praktisch kein Itaconsäureester mehr vorhanden ist.
-
- In der in Beispiel 1 beschriebenen Apparatur wurden 197,5 g (1,25 Mol) Itaconsäuredimethylester und 29,6 g (0,25 Mol) Zinnpulver vorgelegt und auf 45°C erwärmt. Innerhalb von 4 Stunden wurden bei dieser Temperatur 36,5 g (1 Mol) Chlorwasserstoffgas gleichmäßig eingeleitet. Nach weiterem 4-stündigem Rühren bei 45°C war kein Zinn mehr vorhanden. Anschließend zog man den überschüssigen Chlorwasserstoff ab und destillierte bei einer Bad-Temperatur von 120°C und 10 Torr den Itaconsäuredimethylester-Uberschuß ab. Es blieb ein helles, viskoses, Zinn-II-chlorid-freies Produkt zurück, das auch keinerlei Polymere enthielt.
- Es wurde wie in Beispiel 2 gearbeitet; jedoch bei einer Temperatur von 120 bis 125°C.
- Das Verfahrensprodukt entsprach in allen Analysenwerten dem des nach Beispiel 2 erhaltenen. Es enthielt ebenfalls keine Spur von Polymethylitaconat.
- In der in Beispiel 1 beschriebenen Apparatur wurden 60,5 g (0,25 Mol) Itaconsäure-di-n-butylester, 14,8 g (0,125 Mol) Zinnpulver und 300 ml Toluol vorgelegt und auf 80°C erwärmt.
-
- In der in Beispiel 1 beschriebenen Apparatur wurden 121 g (0,5 Mol) Itaconsäure-di-n-butylester, 29,6 g (0,25 Mol) Zinnpulver und 150 ml 1,4-Dioxan vorgelegt und auf 80°C erwärmt. Bei dieser Temperatur wurde 5 Stunden lang gasförmiger Chlorwasserstoff (5 1/Std.) eingeleitet. Nach dieser Zeit war kein Zinn mehr vorhanden. Nach der Aufarbeitung blieb eine eine helle, viskose Flüssigkeit als Reaktionsprodukt zurück.
-
- In einem mit Rühreinrichtung, Innenthermometer und Tropftrichter ausgestatteten 250-ml-Dreihalskolben wurden 60,5 g (0,25 Mol) Itaconsäure-di-n-butylester und 14,8 g (0,125 Mol) Zinnpulver vorgelegt. Bei einer Temperatur von etwa 20°C wurden innerhalb von 1 Stunde 29,6 g 37 %ige, wäßrige Salzsäure, entsprechend 10,95 g (0,3 Mol Chlorwasserstoff, zugetropft. Man rührte noch 10 Stunden bei Raumtemperatur weiter, extrahierte das von Zinnpulver-Resten nahezu freie Reaktionsgemisch mit 150 ml Toluol und trennte die Toluolphase ab. Bei 100°C/10 Torr wurde das Toluol abgezogen. Es blieb eine bräunliche Flüssigkeit als Rückstand zurück.
-
und die sich in den beiden Gemischkomponenten I und II entsprechenden Reste R1 bis R4 und X stets gleich sind.
Claims (4)
und die sich in den beiden Gemischkomponenten I und II entsprechenden Reste R 1 bis R4 und X stets gleich sind.
Applications Claiming Priority (2)
| Application Number | Priority Date | Filing Date | Title |
|---|---|---|---|
| DE19772735757 DE2735757A1 (de) | 1977-08-09 | 1977-08-09 | Neue organozinnhalogenide und verfahren zu deren herstellung |
| DE2735757 | 1977-08-09 |
Publications (2)
| Publication Number | Publication Date |
|---|---|
| EP0000747A1 true EP0000747A1 (de) | 1979-02-21 |
| EP0000747B1 EP0000747B1 (de) | 1980-06-25 |
Family
ID=6015925
Family Applications (1)
| Application Number | Title | Priority Date | Filing Date |
|---|---|---|---|
| EP78100533A Expired EP0000747B1 (de) | 1977-08-09 | 1978-07-28 | Neue Organozinnhalogenide und Verfahren zu deren Herstellung |
Country Status (6)
| Country | Link |
|---|---|
| US (1) | US4202830A (de) |
| EP (1) | EP0000747B1 (de) |
| JP (1) | JPS5430118A (de) |
| CA (1) | CA1120940A (de) |
| DE (2) | DE2735757A1 (de) |
| IT (1) | IT1098004B (de) |
Cited By (2)
| Publication number | Priority date | Publication date | Assignee | Title |
|---|---|---|---|---|
| EP0011280A1 (de) * | 1978-11-18 | 1980-05-28 | Hoechst Aktiengesellschaft | Verfahren zur Herstellung von Organozinntrihalogeniden und ihre Verwendung |
| FR2458554A1 (fr) * | 1979-05-23 | 1981-01-02 | Elf Aquitaine | Procede de preparation de trihalogenures organostanniques |
Families Citing this family (3)
| Publication number | Priority date | Publication date | Assignee | Title |
|---|---|---|---|---|
| US4285856A (en) * | 1979-02-14 | 1981-08-25 | Ciba-Geigy Corporation | Organo-tin compounds, process for their preparation and their use |
| EP0077296B1 (de) * | 1981-10-08 | 1985-08-28 | Ciba-Geigy Ag | Organozinnverbindungen |
| EP1743898A1 (de) | 2005-07-12 | 2007-01-17 | Arkema Vlissingen B.V. | Verfahren zur Herstellung von Monoalkylzinntrihalogeniden und Dialkylzinndihalogeniden |
Citations (2)
| Publication number | Priority date | Publication date | Assignee | Title |
|---|---|---|---|---|
| US3440255A (en) * | 1967-09-28 | 1969-04-22 | Sumio Matsuda | Process for preparing organotin halides |
| FR2306208A1 (fr) * | 1975-03-17 | 1976-10-29 | Akzo Nv | Procede pour preparer des dihalogenures organostanniques utiles comme intermediaires dans la preparation des stabilisants pour polymeres |
Family Cites Families (3)
| Publication number | Priority date | Publication date | Assignee | Title |
|---|---|---|---|---|
| US4105684A (en) * | 1974-09-16 | 1978-08-08 | Akzo N.V. | Process for the preparation of organotin trihalides |
| NL7412230A (nl) * | 1974-09-16 | 1976-03-18 | Akzo Nv | Werkwijze voor de bereiding van organotintri- halogeniden. |
| US4080363A (en) * | 1975-03-17 | 1978-03-21 | Akzo N.V. | Process for making organotin dihalides and trihalides and stabilizers prepared therefrom |
-
1977
- 1977-08-09 DE DE19772735757 patent/DE2735757A1/de not_active Ceased
-
1978
- 1978-07-28 DE DE7878100533T patent/DE2860030D1/de not_active Expired
- 1978-07-28 EP EP78100533A patent/EP0000747B1/de not_active Expired
- 1978-08-07 US US05/931,678 patent/US4202830A/en not_active Expired - Lifetime
- 1978-08-07 IT IT26561/78A patent/IT1098004B/it active
- 1978-08-08 CA CA000308881A patent/CA1120940A/en not_active Expired
- 1978-08-08 JP JP9587778A patent/JPS5430118A/ja active Pending
Patent Citations (2)
| Publication number | Priority date | Publication date | Assignee | Title |
|---|---|---|---|---|
| US3440255A (en) * | 1967-09-28 | 1969-04-22 | Sumio Matsuda | Process for preparing organotin halides |
| FR2306208A1 (fr) * | 1975-03-17 | 1976-10-29 | Akzo Nv | Procede pour preparer des dihalogenures organostanniques utiles comme intermediaires dans la preparation des stabilisants pour polymeres |
Cited By (3)
| Publication number | Priority date | Publication date | Assignee | Title |
|---|---|---|---|---|
| EP0011280A1 (de) * | 1978-11-18 | 1980-05-28 | Hoechst Aktiengesellschaft | Verfahren zur Herstellung von Organozinntrihalogeniden und ihre Verwendung |
| FR2458554A1 (fr) * | 1979-05-23 | 1981-01-02 | Elf Aquitaine | Procede de preparation de trihalogenures organostanniques |
| EP0021032A1 (de) * | 1979-05-23 | 1981-01-07 | Societe Nationale Elf Aquitaine | Verfahren zur Herstellung von Organozinntrihalogeniden |
Also Published As
| Publication number | Publication date |
|---|---|
| US4202830A (en) | 1980-05-13 |
| EP0000747B1 (de) | 1980-06-25 |
| JPS5430118A (en) | 1979-03-06 |
| CA1120940A (en) | 1982-03-30 |
| DE2735757A1 (de) | 1979-02-15 |
| DE2860030D1 (en) | 1980-10-30 |
| IT7826561A0 (it) | 1978-08-07 |
| IT1098004B (it) | 1985-08-31 |
Similar Documents
| Publication | Publication Date | Title |
|---|---|---|
| EP0000747B1 (de) | Neue Organozinnhalogenide und Verfahren zu deren Herstellung | |
| DE2116439B2 (de) | Verfahren zur Herstellung von Trialkylphosphinen | |
| DE69310363T2 (de) | Verfahren zur herstellung von trialkylverbindungen von metallen der gruppe 3a | |
| CH618179A5 (de) | ||
| DE2226774C3 (de) | Verfahren zur Herstellung von Distannanen der Formel R↓3↓Sn-Sn R↓3↓ | |
| DE1217951B (de) | Verfahren zur Herstellung von Alkylzinnhalogenidgemischen mit hohem Anteil an Dialkylzinndihalogeniden | |
| EP0090213A1 (de) | Verfahren zur Herstellung von Derivaten der Vinylphosphon- oder Vinylpyrophosphonsäure | |
| DE1157617C2 (de) | Verfahren zur Herstellung von einheitlichen Zinnalkylverbindungen | |
| DE3632464C2 (de) | ||
| EP0082350B1 (de) | Verfahren zur Herstellung von Methyldichlorphosphan | |
| EP0299171B1 (de) | Alkoholfreie Orthoester des Zirkoniums und Hafniums und Verfahren zu deren Herstellung | |
| EP0011280A1 (de) | Verfahren zur Herstellung von Organozinntrihalogeniden und ihre Verwendung | |
| DE2720911C3 (de) | Verfahren zur Herstellung von n-Hexyl-Carboran | |
| DE2614052C3 (de) | Verfahren zur Herstellung von Dimethylzinndihalogeniden | |
| DE2339036C3 (de) | Verfahren zur herstellung von methylthiophosphonsaeuredichlorid | |
| DE2729510A1 (de) | Neue organozinnhalogenide, verfahren zu deren herstellung und ihre verwendung | |
| EP0433473A1 (de) | Verfahren für die Direktsynthese von Organozinnverbindungen und deren Verwendung | |
| DE19624906B4 (de) | Verfahren zur Herstellung von Organozinntrihalogeniden und Diorganozinndihalogeniden | |
| DE4006043C1 (de) | ||
| EP0778281B1 (de) | Verfahren zur Herstellung methylenverbrückter Heteroverbindungen sowie neue Bis(diorganylphosphino)methane | |
| DE1126388B (de) | Verfahren zur Herstellung von Metallhalogenacetyliden | |
| AT226247B (de) | Verfahren zur Herstellung von Organozinnverbindungen | |
| EP0557465A1 (de) | Verfahren für die direktsynthese von organozinnchloriden sowie deren verwendung | |
| DD245434A1 (de) | Verfahren zur herstellung reiner diesteralkylzinndichloride | |
| DE1252680B (de) | Verfahren zur Herstellung von Phosphinsäureestern |
Legal Events
| Date | Code | Title | Description |
|---|---|---|---|
| PUAI | Public reference made under article 153(3) epc to a published international application that has entered the european phase |
Free format text: ORIGINAL CODE: 0009012 |
|
| AK | Designated contracting states |
Designated state(s): BE CH DE FR GB NL |
|
| 17P | Request for examination filed | ||
| GRAA | (expected) grant |
Free format text: ORIGINAL CODE: 0009210 |
|
| AK | Designated contracting states |
Designated state(s): BE CH DE FR GB NL |
|
| REF | Corresponds to: |
Ref document number: 2860030 Country of ref document: DE Date of ref document: 19801030 |
|
| PGFP | Annual fee paid to national office [announced via postgrant information from national office to epo] |
Ref country code: FR Payment date: 19820614 Year of fee payment: 5 |
|
| PGFP | Annual fee paid to national office [announced via postgrant information from national office to epo] |
Ref country code: BE Payment date: 19820630 Year of fee payment: 5 |
|
| PGFP | Annual fee paid to national office [announced via postgrant information from national office to epo] |
Ref country code: NL Payment date: 19820731 Year of fee payment: 5 |
|
| PGFP | Annual fee paid to national office [announced via postgrant information from national office to epo] |
Ref country code: DE Payment date: 19820930 Year of fee payment: 5 Ref country code: CH Payment date: 19820930 Year of fee payment: 5 |
|
| PG25 | Lapsed in a contracting state [announced via postgrant information from national office to epo] |
Ref country code: BE Effective date: 19830728 |
|
| PG25 | Lapsed in a contracting state [announced via postgrant information from national office to epo] |
Ref country code: CH Effective date: 19830731 |
|
| PG25 | Lapsed in a contracting state [announced via postgrant information from national office to epo] |
Ref country code: NL Effective date: 19840201 |
|
| GBPC | Gb: european patent ceased through non-payment of renewal fee | ||
| NLV4 | Nl: lapsed or anulled due to non-payment of the annual fee | ||
| PG25 | Lapsed in a contracting state [announced via postgrant information from national office to epo] |
Ref country code: FR Free format text: LAPSE BECAUSE OF NON-PAYMENT OF DUE FEES Effective date: 19840330 |
|
| REG | Reference to a national code |
Ref country code: CH Ref legal event code: PL |
|
| PG25 | Lapsed in a contracting state [announced via postgrant information from national office to epo] |
Ref country code: DE Effective date: 19840403 |
|
| REG | Reference to a national code |
Ref country code: FR Ref legal event code: ST |
|
| PG25 | Lapsed in a contracting state [announced via postgrant information from national office to epo] |
Ref country code: GB Effective date: 19881117 |
|
| PLBE | No opposition filed within time limit |
Free format text: ORIGINAL CODE: 0009261 |
|
| STAA | Information on the status of an ep patent application or granted ep patent |
Free format text: STATUS: NO OPPOSITION FILED WITHIN TIME LIMIT |
































