DE69918596T2 - Computertomograph mit iterativer Rekonstruktion - Google Patents

Computertomograph mit iterativer Rekonstruktion Download PDF

Info

Publication number
DE69918596T2
DE69918596T2 DE69918596T DE69918596T DE69918596T2 DE 69918596 T2 DE69918596 T2 DE 69918596T2 DE 69918596 T DE69918596 T DE 69918596T DE 69918596 T DE69918596 T DE 69918596T DE 69918596 T2 DE69918596 T2 DE 69918596T2
Authority
DE
Germany
Prior art keywords
pixel
pixels
projection
global
plane
Prior art date
Legal status (The legal status is an assumption and is not a legal conclusion. Google has not performed a legal analysis and makes no representation as to the accuracy of the status listed.)
Expired - Fee Related
Application number
DE69918596T
Other languages
English (en)
Other versions
DE69918596D1 (de
Inventor
John M. Heumann
Current Assignee (The listed assignees may be inaccurate. Google has not performed a legal analysis and makes no representation or warranty as to the accuracy of the list.)
Agilent Technologies Inc
Original Assignee
Agilent Technologies Inc
Priority date (The priority date is an assumption and is not a legal conclusion. Google has not performed a legal analysis and makes no representation as to the accuracy of the date listed.)
Filing date
Publication date
Application filed by Agilent Technologies Inc filed Critical Agilent Technologies Inc
Publication of DE69918596D1 publication Critical patent/DE69918596D1/de
Application granted granted Critical
Publication of DE69918596T2 publication Critical patent/DE69918596T2/de
Anticipated expiration legal-status Critical
Expired - Fee Related legal-status Critical Current

Links

Classifications

    • G06T12/20
    • GPHYSICS
    • G06COMPUTING OR CALCULATING; COUNTING
    • G06TIMAGE DATA PROCESSING OR GENERATION, IN GENERAL
    • G06T11/002D [Two Dimensional] image generation
    • G06T11/003Reconstruction from projections, e.g. tomography
    • G06T11/006Inverse problem, transformation from projection-space into object-space, e.g. transform methods, back-projection, algebraic methods
    • GPHYSICS
    • G06COMPUTING OR CALCULATING; COUNTING
    • G06TIMAGE DATA PROCESSING OR GENERATION, IN GENERAL
    • G06T2211/00Image generation
    • G06T2211/40Computed tomography
    • G06T2211/428Real-time
    • YGENERAL TAGGING OF NEW TECHNOLOGICAL DEVELOPMENTS; GENERAL TAGGING OF CROSS-SECTIONAL TECHNOLOGIES SPANNING OVER SEVERAL SECTIONS OF THE IPC; TECHNICAL SUBJECTS COVERED BY FORMER USPC CROSS-REFERENCE ART COLLECTIONS [XRACs] AND DIGESTS
    • Y10TECHNICAL SUBJECTS COVERED BY FORMER USPC
    • Y10STECHNICAL SUBJECTS COVERED BY FORMER USPC CROSS-REFERENCE ART COLLECTIONS [XRACs] AND DIGESTS
    • Y10S378/00X-ray or gamma ray systems or devices
    • Y10S378/901Computer tomography program or processor

Landscapes

  • Physics & Mathematics (AREA)
  • Engineering & Computer Science (AREA)
  • Theoretical Computer Science (AREA)
  • General Physics & Mathematics (AREA)
  • Mathematical Physics (AREA)
  • Mathematical Optimization (AREA)
  • Mathematical Analysis (AREA)
  • Pure & Applied Mathematics (AREA)
  • Algebra (AREA)
  • Analysing Materials By The Use Of Radiation (AREA)
  • Image Processing (AREA)
  • Image Analysis (AREA)
  • Apparatus For Radiation Diagnosis (AREA)

Description

  • Gebiet der Erfindung
  • Diese Erfindung bezieht sich allgemein auf eine berechnete Rekonstruktion eines Querschnittsbilds aus mehreren Ansichten und genauer gesagt auf eine berechnete Tomographie und insbesondere auf eine berechnete Tomographie mit einem Strahl.
  • Hintergrund der Erfindung
  • Die Technik eines Rekonstruierens eines Querschnittsbilds eines Objekts aus mehreren Projektionen wird allgemein als eine Tomographie bezeichnet. Bei einer typischen exemplarischen Anwendung projiziert eine Strahlungsquelle X-Wellenlänge-Strahlung durch ein Objekt auf ein elektronisches Sensorarray. Durch ein Vorsehen einer relativen Bewegung zwischen einem oder mehreren des Objekts, der Quelle und des Sensorarrays werden mehrere Ansichten erhalten. Ein Bild einer Scheibe durch das Objekt oder ein dreidimensionales Bild des Objekts kann dann durch eine Verwendung von ordnungsgemäßen mathematischen Transformationen der mehreren Ansichten approximiert werden. Die vielleicht am besten bekannte praktische Anwendung ist die medizinische rechnergestützte Tomographie-Abtastvorrichtung (CT-Abtastvorrichtung, auch rechnergestützte Tomographie oder rechnergestützte axiale Tomographie (CAT) genannt). Eine Tomographie ist auch bei einer automatisierten Überprüfung von Industrieprodukten von Interesse. Jedoch sind aufgrund von Kosten, einer Geschwindigkeit oder der erforderlichen Mechanik, um mehrere Bilder zu erhalten, viele der Ansätze für eine Tomographie, die für medizinische Anwendungen geeignet sind, für eine Herstellungsumgebung nicht geeignet. Man betrachte zum Beispiel eine Überprüfung von Lötverbindungen für elektronische Anordnungen in einer Produktionsumgebung. Es gibt viele Lötverbindungen, die überprüft werden sollen, und die erforderliche Testzeit ist kurz. Idealerweise ist der Überprüfungsprozess in Echtzeit als ein Teil eines Rückkoppelungssteuersystems für den Herstellungsprozess. Bei vielen Herstellungsumgebungen besteht ein Bedarf, die Integrität von zigtausenden von Lötverbindungen innerhalb einer Minute oder weniger zu verifizieren.
  • Innerhalb einer Röntgenabsorptionstomographie ist eine Anzahl von Bilderzeugungstechniken auf eine Rekonstruktion von Querschnittsscheiben anwendbar. Bei einer Laminographie werden die Röntgenstrahlquelle und der Sensor auf eine koordinierte Weise relativ zu dem Objekt bewegt, das betrachtet werden soll, so dass Abschnitte eines Objekts außerhalb einer ausgewählten Brennebene zu einem unscharfen Bild bei dem Sensor führen (siehe z. B. US-Patent Nr. 4,926,452). Brennebenenbilder werden in einem analogen Mittelwertbildungsprozess rekonstruiert. Der Vorteil besteht darin, dass ein extensives Computerverarbeiten von Strahlgleichungen für eine Bildrekonstruktion nicht erforderlich ist, was eine Laminographie relativ schnell und wirtschaftlich macht. Ein Nachteil besteht darin, dass lediglich eine Ebene zu einer Zeit rekonstruiert werden kann (eine teilweise Lösung für dieses Problem kann in dem US-Patent Nr. 5,259,012 gefunden werden). Ein anderer Nachteil besteht darin, dass defokussierte Regionen, während dieselben unscharf sind, immer noch in dem laminographischen Bild erscheinen, was zu einer Schattenbildung und einem reduzierten Kontrast führt. Da reale Objekte sich typischerweise über und unter die ausgewählte Brennebene erstrecken, resultiert eine laminographische Verschmierung. Schließlich kann eine Aufbauverstärkung zwischen den fokussierten Bildern zu Artefakten bei der Rekonstruktion führen, die von echten Objekten schwierig zu unterscheiden sein können.
  • Eine Tomosynthese ist eine Näherung an eine Laminographie, bei der mehrere Projektionen (oder Ansichten) erfasst und kombiniert werden. Wenn die Anzahl von Ansichten groß wird, wird das resultierende kombinierte Bild identisch zu dem, das unter Verwendung einer Laminographie mit der gleichen Geometrie erhalten wird. Ein Hauptvorteil einer Tomosynthese gegenüber einer Laminographie besteht darin, dass die Brennebene, die betrachtet werden soll, durch ein Verschieben der projizierten Bilder vor einer Rekombination ausgewählt werden kann, nachdem die Projektionen erhalten werden. Eine Tomosynthese kann als ein analoges Verfahren zum Beispiel durch ein Übereinanderlegen von Lagen eines belichteten Films durchgeführt werden. Bei einer digitalen Tomosynthese werden die einzelnen Ansichten in Pixel geteilt und über eine Computersoftware digitalisiert und kombiniert. Wie eine Laminographie leidet jedoch eine digitale Tomosynthese unter dem Nachteil, dass alle Schichten eines Objekts zu jedem rekonstruierten Querschnitt beitragen, was zu Schattenbildungsartefakten und einem reduzierten Kontrast führt. Teilweise Lösungen für diese Probleme sind durch Ansätze geliefert, bei denen die einzigen Bereiche der Bilder, die ausgewählt sind, die Bereiche sind, die eine maximale Intensität oder eine minimale Intensität aufweisen. Aufbauartefakte resultieren jedoch immer noch und einige Aufbauartefakte können durch diese Ansätze sogar betont werden.
  • Eine Fächerstrahl-Tomographie ist eine Version einer rechnergestützten Tomographie. Eine Röntgenstrahlquelle, die einen fächerförmigen planaren Ausgang aufweist, ist an einer Seite eines Objekts positioniert, das betrachtet werden soll, und eine einzige Linie von Sensoren ist an der gegenüberliegenden Seite des Objekt positioniert, das betrachtet werden soll. Die Quelle und die Sensoren werden synchron in einer Ebene um das stationäre Objekt herum gedreht. Alternativ kann das Objekt gedreht werden, während die Quelle und der Sensor stationär bleiben. Für Objekte mit einer relativ geringen Absorption von Röntgenstrahlen (beispielsweise biologische Gewebe) resultiert dieses Verfahren in einem zufriedenstellenden Bild einer Scheibe durch das Objekt in der Drehungsebene. Ein dreidimensionales Bild des Objekts kann durch ein elektronisches „Sta peln" einer Reihe von benachbarten Scheiben erhalten werden. Für elektronische Anordnungen kann die Drehungsebene relativ zu der Anordnung wichtig sein. Man betrachte zum Beispiel eine gedruckte Schaltungsplatine mit bleibasierten Lötverbindungen in der Oberflächenebene der Platine. Eine Fächerstrahlscheibe entlang der Ebene von Lötverbindungen ist einer wesentlichen Schattenbildung unterzogen, da jeder Strahl durch die Platine viele Lötverbindungen schneiden kann. Zusätzlich können Röntgenstrahlen mit einer ausreichenden Energie, um mehrere Bleilötverbindungen zu durchlaufen, einige Komponenten in der elektronischen Anordnung beschädigen. Deshalb ist es für eine elektronische Schaltungsplatine bevorzugt, dass der Weg der Röntgenstrahlen in einem erheblichen Winkel relativ zu der Ebene der Platine ist, vorzugsweise derart, dass ein jeglicher Strahl höchstens eine Lötverbindung in einer jeglichen Bildscheibe durchläuft. Deshalb ist es bevorzugt, dass die Drehungsebene näherungsweise orthogonal zu der Ebene der Platine ist. Dies bedeutet, dass der Abstand von der Quelle zu dem Sensor größer sein muss als die Breite oder Höhe des größten Objekts, das betrachtet werden soll. Wie es weiter unten erörtert ist, gibt es andere Abtastwege, die für große Objekte in einer Industrieumgebung zweckmäßiger sein können. Es ist möglich, eine gedruckte Schaltungsplatine durch ein Stapeln von Fächerstrahlscheiben abzubilden, die orthogonal zu der Ebene der Platine sind. Es ist jedoch nützlich, Daten für alle Lötverbindungen innerhalb eines Bereichs zu einer Zeit zu erhalten, zum Beispiel für alle Lötverbindungen für eine integrierte Schaltung. Zusätzlich ist im Allgemeinen die Bildqualität aus gestapelten Scheiben nicht so hoch wie die Bildqualität, die aus einer echten dreidimensionalen Tomographie erhalten werden kann.
  • Eine dreidimensionale berechnete Tomographie weist die Fähigkeit für eine genauere Bildrekonstruktion als eine Laminographie oder eine Tomosynthese auf, aber auf Kosten einer Geschwindigkeit (Berechnungszeit). Eine dreidimensionale berechnete Tomographie erfordert typischerweise viele Pro jektionen und ist rechenintensiv. Ein Ansatz für eine dreidimensionale rechnergestützte Tomographie besteht darin, eine Röntgenstrahlquelle, die einen kegelförmigen dreidimensionalen Strahlausgang aufweist, an einer Seite eines Objekts zu positionieren, das betrachtet werden soll, und ein zweidimensionales Array von Sensoren an der gegenüberliegenden Seite des Objekts zu positionieren, das betrachtet werden soll, und die Quelle/das Array relativ zu dem Objekt synchron zu bewegen. Es gibt viele geeignete Abtastwege. Für eine vollständige Rekonstruktion eines beliebigen Objekts muss der Abtastweg das Objekt umgeben. Die Quelle kann zum Beispiel in orthogonalen Kreisen um das Objekt bewegt werden, das betrachtet werden soll, oder die Quelle kann entlang einem schraubenförmigen Weg oder einem anderen Weg entlang einem Zylinder bewegt werden, der das Objekt umgibt, das betrachtet werden soll. Dieser Ansatz, eine Tomographie mit einem Strahl genannt, ist in vielen Fällen für ein Rekonstruieren von dreidimensionalen Bildern bevorzugt und ist möglicherweise für eine Analyse einer elektronischen Anordnung aufgrund der resultierenden Bildqualität bevorzugt.
  • Ein theoretischer mathematischer Ansatz für ein Rekonstruieren eines Objekts aus Projektionen desselben wurde durch J. Radon 1917 entwickelt und die grundlegenden Transformationen werden nun als Radon-Transformationen bezeichnet. In jüngerer Zeit haben Forscher verschiedene Verfahren für eine Rekonstruktion mit einem Strahl vorgeschlagen. Siehe zum Beispiel:
    • A.K. Louis und F. Natterer, "Mathematical Problems of Computerized Tomography," Proceedings of the IEEE, Bd. 71, Nr. 3, S. 379–389 (März 1983).
    • R.M. Lewitt, "Reconstruction Algorithms: Transform Methods," Proceedings of the IEEE, Bd. 71, Nr. 3, S. 390–408 (März 1983).
    • Y. Censor, "Finite Series-Expansion Reconstruction Methods," Proceedings of the IEEE, Bd. 71, Nr. 3, S. 409–419 (März 1983).
    • B.D. Smith, "Cone-beam tomography: recent advances and a tutorial review,"Optical Engineering, Bd. 29, Nr. 5, S. 524–534 (Mai 1990).
    • C. Jacobson, "Fourier Methods in 3D-Reconstruction from Cone-Beam Data," Ph.D. Dissertation, Dissertation Nr. 427, Department of Electrical Engineering, Linköping University, Linköping, Schweden (1996).
  • Allgemein betrifft jedes Verfahren verschiedene Kompromisse, wie beispielsweise Bildqualität (Näherungen, Rauschen, Unschärfe und Artifakte) gegenüber Berechnungszeit und einer Schwierigkeit eines Erhaltens der erforderlichen Ansichten. Es gibt einen anhaltenden Bedarf nach wirtschaftlichen Systemen mit einer verbesserten Rechengeschwindigkeit, während eine geeignete Bildqualität geliefert wird.
  • Zusammenfassung der Erfindung
  • Die Erfindung ist in dem beigefügten Verfahrensanspruch 1 dargelegt.
  • Mehrere beispielhafte Ausführungsbeispiele sind bereitgestellt, bei denen ein Satz von Näherungen und zugeordneten Verfahren die Rechenkomplexität und die Menge an Projektionsdaten reduziert, die für eine Tomographie verarbeitet werden sollen. Für viele diagnostische Zwecke ist eine vollständige dreidimensionale Bildrekonstruktion nicht notwendig und einige Querschnittsebenen können ausreichend sein. Bei jedem der exemplarischen Ausführungsbeispiele ist eine Bildrekonstruktionsberechnung durch ein Beschränken der rekonstruierten Bilder auf einen relativ kleinen Satz von dünnen Querschnittebenen vereinfacht und schneller gemacht. Dies reduziert die Anzahl von Bildelementen, die berechnet werden müssen, und vereinfacht die Berechnung des Schnitts eines Strahls mit einem Bildelement. Ein verbes sertes Verfahren zum Teilen von mehreren Ebenen in Pixel für eine Projektion mit einem Strahl reduziert eine Rechenkomplexität weiter.
  • Kurze Beschreibung der Zeichnungen
  • 1 ist eine Querschnittsansicht durch eine gedruckte Schaltungsanordnung, die interessierende Ebenen zu einem Betrachten gemäß der Erfindung darstellt.
  • 2 ist eine perspektivische Ansicht eines kreisförmigen abgetasteten berechneten Tomographiesystems mit einem Strahl.
  • 3 ist eine perspektivische Ansicht eines Kubus, der in kubische Voxel unterteilt wurde.
  • 4 ist eine perspektivische Ansicht eines Objekts, das durch nicht zusammenhängende Schichten approximiert ist.
  • 5 ist eine perspektivische Ansicht eines Voxels, das durch ein Volumen einer Strahlung geschnitten wird.
  • 6 ist eine perspektivische Ansicht einer einzigen Schicht eines Objekts, die einen Strahl darstellt, der mehrere Voxel schneidet.
  • 7 ist eine perspektivische Ansicht eines berechneten Tomographiesystems mit einem Strahl, wobei ein Objekt durch nicht zusammenhängende dünne Ebenen approximiert wird, gemäß der Erfindung.
  • 8 ist eine perspektivische Ansicht eines berechneten Tomographiesystems mit einem Strahl, wobei ein Objekt durch nicht zusammenhängende dünne Ebenen approximiert wird, wobei die Ebenen unterschiedliche Pixeldichten aufweisen, gemäß der Erfindung.
  • 9 ist eine Seitenansicht des berechneten Tomographiesystems mit einem Strahl von 7 und 8, die verschiedene Definitionen für Gleichungen darstellt.
  • 10A und 10B sind Flussdiagramme eines Verfahrens gemäß der Erfindung.
  • Detaillierte Beschreibung des bevorzugten Ausführungsbeispiels der Erfindung
  • 1 zeigt eine gedruckte Schaltungsanordnung, die eine beispielhafte Anwendung der Erfindung darstellt. In 1 weist eine doppelseitige gedruckte Schaltungsplatine 100 mehrere Komponenten auf, die an jede von zwei äußeren Oberflächen gelötet sind. Die Komponenten 102 und 104 sind auf eine erste Oberfläche befestigt. Eine Komponente 108 ist auf eine zweite Oberfläche befestigt. Eine Komponente 106 ist eine Durchgangsloch-Komponente, die auf die zweite Oberfläche befestigt ist, aber mit Anschlussleitungen, die beide Oberflächen der Platine 100 durchlaufen. Die Komponente 102 weist ein Kugelraster-Array von Lötverbindungen auf. Die Komponente 104 stellt eine Knickflügel-Oberflächenbefestigungsvorrichtung dar. Die Komponente 108 ist eine J-Anschlussleitung-Oberflächenbefestigungsvorrichtung. Eine Ebene, die durch eine gestrichelte Linie 110 gezeigt ist, gerade weg von der ersten Oberfläche der Schaltungsplatine 100, durchläuft die Anschlussleitungen und Lötkehlen der Komponenten 102, 104 und 106. Eine andere Ebene, die durch eine gestrichelte Linie 112 gezeigt ist, gerade weg von der zweiten Oberfläche der Schaltungsplatine 100, durchläuft die Anschlussleitungen und Lötkehlen der Kompontenten 106 und 108. Während es nützlich wäre, ein dreidimensionales Bild jeder Lötverbindung zu haben, liefern die Bildebenen 110 und 112 ausreichende Informationen, um zu bestimmen, dass jede Komponentenanschlussleitung vorhanden ist, und liefern nützliche Informationen für eine Überprüfung der verschiedenen Lötverbindungen.
  • 2 stellt ein Tomographiesystem mit einem Strahl dar. Eine Röntgenstrahlquelle 200 emittiert Röntgenstrahlen in einem kegelförmigen Muster. Die Röntgenstrahlen durchlaufen ein abzubildendes Objekt 202. Die Röntgenstrahlen werden durch ein Array von Sensoren 204 erfasst. Um mehrere Ansichten zu erhalten, kann sich die Röntgenstrahlquelle 200 in einem kreisförmigen Weg bewegen, wie es dargestellt ist, wobei sich die Sensoren 204 in einem koordinierten kreisförmigen Weg bewegen. Es ist anzumerken, dass Röntgenstrahlen durch ein Beschießen der Oberfläche einer Röntgenstrahlröhre mit einem Elektronenstrahl erzeugt werden können. Durch ein elektronisches Ablenken des Elektronenstrahls wird die Röntgenstrahlquelle wirksam bewegt. Es ist ferner anzumerken, dass in der folgenden Erörterung angenommen wird, dass die Röntgenstrahlquelle ausreichend klein ist, um als eine Punktquelle behandelt zu werden. Es gibt viele andere geeignete Bewegungswege zu einem Erhalten von mehreren Bildern und die folgende Erörterung ist nicht auf einen jeglichen speziellen Bewegungsweg begrenzt. Aus dem Hintergrund-Abschnitt rufe man sich in Erinnerung, dass für eine vollständige dreidimensionale Rekonstruktion eines Objekts der Abtastweg das Objekt umgeben muss. Der Weg, der in 2 dargestellt ist, ist nicht zu einem Liefern von Daten für eine exakte, mathematisch vollständige, dreidimensionale Rekonstruktion eines beliebigen Objekts 202 in der Lage. Derselbe liefert jedoch ausreichende Daten für eine praktische Anwendung, die begrenzten Ebenen, die rekonstruiert werden sollen, wie es unten erörtert ist, vorausgesetzt. Zusätzlich ist anzumerken, dass der Abtastweg, der in 2 dargestellt ist, zu einem Abtasten von großen, nahezu planaren Objekten zweckmäßig ist. Große planare Objekte können in zwei Dimensionen übersetzt werden, um eine Bilderzeugung von unterschiedlichen Teilen des Objekts zu liefern, ohne zu erfordern, dass die Quelle und der Sensor vollständig um ein großes Volumen herum bewegt werden müssen.
  • Eine herkömmliche digitale Tomographie approximiert ein Objekt durch diskrete Volumenelemente, die Voxel genannt werden. 3 stellt ein kubisches Objekt 300 dar, das in 125 (5 × 5 × 5) identisch proportionierte kubische Voxel geteilt wurde. Für eine dreidimensionale Bilderzeugung des Objekts 300 muss die Dichte (oder ein Absorptionskoeffizient oder eine Materialdicke) von jedem der 125 Voxel aus den Daten rekonstruiert werden, die in mehreren Ansichten des Objekts 300 dargestellt sind, wie es durch ein Array von Sensoren erfasst wird, wie beispielsweise dem Array 204 in 2.
  • Für viele Anwendungen ist ein vollständiges dreidimensionales Bild nicht notwendig. Für eine Überprüfung der doppelseitigen Schaltungsplatine von 1 zum Beispiel können zwei Bildebenen (110 und 112) ausreichend sein, um eine Lötverbindungsqualität zu bestimmen. 4 stellt zwei Schichten von Voxeln für das Objekt 300 von 3 dar. Es ist anzumerken, dass in diesem Patentdokument zwei Schichten für eine Einfachheit verwendet werden, aber die Verfahren im Allgemeinen mehr als zwei Schichten verwenden. Es ist ebenfalls anzumerken, dass zwei parallele Schichten dargestellt sind, aber die Verfahren sind auf nicht parallele Schichten anwendbar. Es ist anzumerken, dass, falls lediglich zwei Schichten, wie es in 4 dargestellt ist, ausreichende Bildinformationen für eine spezielle Anwendung liefern können, die Anzahl von Voxeln, die rekonstruiert werden soll, wesentlich reduziert ist. Für die Voxel, die in 3 und 4 dargestellt sind, ist die Anzahl von Schichten von fünf auf zwei reduziert, aber bei einer typischen Anwendung könnte die Anzahl von Schichten von hunderten oder tausenden von Schichten zu einer kleinen Anzahl von Schichten (weniger als zehn) reduziert sein.
  • 5 stellt eine Strahlung von einer Punktquelle 500 dar, die ein kubisches Voxel 502 auf ein quadratisches Sensorelement 504 durchläuft. Linien, die die vier Ecken des Sensorelements 504 mit der Punktquelle 500 verbindet, definieren einen fünfseitigen Körper. Man nehme an, dass das Voxel 502 mit einem Material gefüllt ist, das eine einheitliche Absorption aufweist. Bei einer Röntgenabsorptionsbilderzeugung bestimmt dann der Schnitt des fünfseitigen Strahlungskörpers mit dem kubischen Voxel 502 die Absorption aufgrund des Voxels 502. Typischerweise ist eine Strahlung als ein Satz von Strahlen modelliert, wobei jeder Strahl eine einzige Linie ist. Der Volumenschnitt von 5 wird dann durch ein Integrieren über alle Strahlen erhalten, die ein Voxel schneiden.
  • Die relative Dämpfung eines monochromatischen Strahls einer Röntgenstrahlung, wie derselbe ein absorbierendes Material (in dem Nichtbeugungsfall) durchläuft ist durch die folgende Gleichung gegeben:
    Figure 00110001
  • Wobei: σ der lineare Absorptionskoeffizient ist und das Integral entlang dem Strahlenweg berechnet wird. Ein Nehmen des natürlichen log beider Seiten resultiert in der folgenden Form:
    Figure 00110002
  • Eine diskrete Näherung an das Linienintegral wird typischerweise in der Praxis verwendet wie folgt:
    Figure 00110003
    wobei yi eine gemessene Projektion ist, aij eine Basisfunktion ist (ein Maß des Schnitts zwischen dem Strahl i und einem Voxel y, das, einen geradlinigen Strahl und eine ein heitliche Absorption innerhalb eines Voxels vorausgesetzt, die Weglänge des Strahls i durch das Voxel j ist) und xj der wirksame lineare Absorptionskoeffizient innerhalb des Voxels ist (unbekannt).
  • Jeder Strahl jeder Projektion führt zu einer einzigen Gleichung ähnlich der Gleichung 1. Das resultierende System von Gleichungen wird typischerweise nicht linear unabhängig sein. Es gab viele Vorschläge für Verfahren für näherungsweise Lösungen für die resultierenden Systeme von Gleichungen. Siehe zum Beispiel den Artikel von Lewitt und den Artikel von Censor, auf die in dem Hintergrund-Abschnitt Bezug genommen wird. Transformationsverfahren, wie beispielsweise Fourier-Verfahren und eine gefilterte Rückprojektion, stützen sich auf diskrete Näherungen an Lösungen der inversen Radon-Transformation. Im Gegensatz zu Transformationsverfahren stehen Reihenexpansionsverfahren, die als den Anfangspunkt derselben einen Satz von diskreten Strahlgleichungen wie bei Gleichung 1 nehmen. Beispiele von Reihenexpansionsverfahren umfassen eine direkte Inversion oder eine Pseudoinversion der diskreten Strahlgleichungen zusätzlich zu iterativen Verfahren, wie beispielsweise der Algebraischen Rekonstruktionstechnik (ART = Algebraic Reconstruction Technique). Variationen umfassen die Simultane Iterative Rekonstruktionstechnik (SIRT = Simultaneous Iterative Reconstructive Technique), die Simultane Algebraische Rekonstruktionstechnik (SART = Simultaneous Algebraic Reconstruction Technique), Maximale Entropie (MENT = Maximum Entropy) und viele andere. In diesem Patentdokument wird ein SIRT-ähnliches Verfahren für eine Darstellung verwendet.
  • Ein einziger Strahl kann mit mehreren Voxeln in einer einzigen Schicht von Voxeln in Wechselwirkung treten, da ein Strahl durch eine jegliche der sechs Flächen (Oberflächen) desselben oder einen jeglichen der acht Vertizes desselben oder eine jegliche der zwölf Kanten desselben in ein Voxel eintreten oder dasselbe verlassen kann. In 6 zum Bei spiel schneidet ein einziger Strahl 600 zwei der vier dargestellten Voxel. Der Strahl 600 tritt in die obere Fläche des Voxels (2,1) ein, durchläuft die gemeinsame Fläche zwischen den Voxeln (2,1) und (2,2) und tritt aus der unteren Fläche des Voxels (2,2) aus. Unter Annahme eines geradlinigen Strahls und einer einheitlichen Absorption innerhalb eines Voxels ist die Basisfunktion für einen Strahl die Weglänge des Strahls innerhalb eines Voxels. Folglich müssen die Basisfunktionen (aij) getrennt für jeden Strahl und jedes Voxel berechnet werden. Selbst bei einer Zweischichtnäherung existiert keine einfache Beziehung zwischen den Basisfunktionen für einen gegebenen Strahl in der oberen und der unteren Schicht. Man nehme jedoch an, dass die Schichten in 4 unendlich dünn werden dürfen. Bei der Begrenzung, wenn sich die Dicke Null nähert, approximiert jede Schicht eine Ebene und die Voxel werden mit zweidimensionalen Pixeln ersetzt. Dann nähert sich die Wahrscheinlichkeit, dass ein Strahl durch eine andere Fläche als die obere oder die untere Fläche eintritt oder austritt, Null und eine Berechnung der Basisfunktionen ist stark vereinfacht. Jeder Strahl schneidet dann genau ein Pixel pro Schicht und die Weglänge innerhalb des Pixels hängt lediglich von dem Winkel des Strahls und nicht von der Schicht ab. Insbesondere wird die Basisfunktion proportional zu 1/cos(Φ), wobei Φ der Azimut-Winkel des Strahls (der Winkel des Strahls relativ zu der Oberflächennormalen) ist. Die resultierenden Basisfunktionen können während des Betriebs berechnet werden oder können vorberechnet und gespeichert werden.
  • Bei einem Interpretieren des rekonstruierten Querschnittsbilds wird angenommen, dass das absorbierende Material in einer dünnen Schicht konzentriert ist, obwohl die tatsächliche Verteilung über eine viel größere Dicke gestreut sein kann. Physikalisch korrekte Werte einer Absorption müssen nicht negativ sein und müssen kleiner oder gleich dem Produkt des linearen Absorptionskoeffizienten und der maximalen Weglänge innerhalb des Voxels vor der Dünnschichtnähe rung sein. Folglich sind für eine Mehr-Dünnschichtnäherung algebraische Rekonstruktionstechniken gegenüber Transformationsverfahren bevorzugt, weil bei algebraischen Rekonstruktionen Beschränkungen auf den Absorptionswerten während eines Aktualisierens eingegliedert werden können.
  • 7 stellt ein System mit einem Strahl mit zwei dünnen Ebenen (700, 702) und einen Teil eines Sensorarrays 708 dar. Das Sensorarray 708 ist für eine Einfachheit einer Darstellung als 5 × 5 Elemente aufweisend gezeigt, aber bei einem typischen System kann das Detektorarray in der Größenordnung von 2048 mal 2048 Elementen sein. In 7 schneidet ein Strahl im Allgemeinen entsprechend numerierte Pixel in jeder Ebene nicht. Es ist anzumerken, dass ein Strahl 704 ein Pixel (3,5) für die Ebene 700 schneidet und ein Pixel (4,5) für die Ebene 702 schneidet. Gleichermaßen schneidet ein Strahl 706 ein Pixel (3,4) für die Ebene 700 und schneidet ein Pixel (4,4) für die Ebene 702. In 7 sind Pixel innerhalb jeder Ebene alle als die gleiche Größe aufweisend gezeigt. Alternativ können relativ kleine Pixel in interessierenden Bereichen verwendet werden und größere Pixel können außerhalb eines interessierenden Bereichs verwendet werden. Im Allgemeinen gibt es keine spezielle erforderliche Beziehung zwischen der Größe eines Elements in dem Sensorarray 708 und der Größe eines Pixels in einer Objektebene. Es ist ebenfalls anzumerken, dass es allgemein üblich ist, Elemente des Sensorarrays in größere Erfassungsbereiche zu gruppieren. Das Sensorarray kann zum Beispiel in Bereiche von 2 × 2 Sensorelementen für eine größere wirksame Sensorelementgröße geteilt werden. In der folgenden Erörterung bezieht sich „wirksame Sensorelemente" auf ein einziges Sensorelement oder auf eine Gruppe von Elementen, die als ein einziges Sensorelement behandelt werden.
  • Eine Berechnung kann weiter vereinfacht werden, falls jede der Ebenen eine unterschiedliche Pixelgröße haben darf, die durch eine Vergrößerung bei jeder Ebene bestimmt ist (eine Vergrößerung ist umgekehrt proportional zu einem Abstand von der Quelle). Insbesondere wird eine Berechnung vereinfacht, falls jede Ebene eine Pixelgröße aufweist, derart, dass bei einer speziellen Projektion für einen speziellen Wert von I und J ein Strahl, der die Mitte eines speziellen wirksamen Sensorelements (I,J) schneidet, die Mitte eines Pixels (I,J) auf jeder Objektebene schneidet.
  • 8 stellt ein System mit einem Strahl dar, bei dem ein Strahl die gleichen entsprechenden Pixel für jede Objektebene schneidet. In 8 sind ein Koordinatenursprung und eine Pixelgröße auf jeder der Objektebenen definiert, derart, dass ein Strahl von einer Punktquelle zu der Mitte eines wirksamen Sensorelements (I,J) die Mitte eines Elements (I,J) auf jeder Objektebene durchläuft. Ein Strahl 804 schneidet ein wirksames Element (4,4) eines Sensorarrays 808 und schneidet ein Pixel (4,4) auf Objektebenen 800 und 802. Ein Strahl 806 schneidet ein wirksames Element (4,3) auf einem Sensorarray 808 und schneidet ein Pixel (4,3) auf den Objektebenen 800 und 802. Pixel auf der Objektebene 800 sind proportionsmäßig kleiner als Pixel auf der Objektebene 802. Pixel auf der Objektebene 802 sind proportionsmäßig kleiner als wirksame Sensorelemente in dem Sensorarray 808. Es ist anzumerken, dass bei der gezeigten Geometrie die Ebenen 800 und 802 einen unterschiedlichen Ursprung für jede Projektion aufweisen werden. Man betrachtet das Problem eines Schnitts eines Strahlungskörpers, der aus einem Satz von Strahlen besteht (wie es in 5 dargestellt ist), für das System von 8. In 8 definiert jedes wirksame Sensorelement in dem Sensorarray 808 in Verbindung mit einer Punktquelle einen dreidimensionalen Strahlungskörper, der genau die Fläche eines Pixel in jeder Objektebene zusammenfasst. Im Gegensatz zu den Systemen, die durch 5 und 7 dargestellt sind, vereinfacht deshalb das System von 8 eine Integration von Strahlen über einer Schnittfläche mit einem Pixel wesentlich, da Basisfunktionen für entsprechende Pixel in jeder Ebene identisch sind. In der Praxis kann es ausreichend sein, Basisfunktionen als proportional zu 1/cos(Φ) zu approximieren. Für jedes Pixel ist die Schnittfläche mit der Strahlung, die auf das wirksame Sensorelement auftrifft, immer genau die Fläche des Pixels.
  • 9 stellt einige der mathematischen Beziehungen für eine Anordnung, wie dieselbe in 8 dargestellt ist, mit zwei parallelen Objektebenen dar. In 9 gibt es eine untere Objektebene 900 und eine obere Objektebene 902. Innerhalb jeder Objektebene gibt es eine interessierende Region, die durch eine durchgezogene Linie innerhalb der Objektebene angegeben ist. Das abzubildende Objekt kann sich über die interessierende Region hinaus erstrecken, wie es durch gestrichelte Linien in den Objektebenen angegeben ist. Für eine gedruckte Schaltungsplatine, die auf der Größenordnung von 300 mm mal 300 mm in einer Gesamtfläche ist, kann zum Beispiel eine interessierende Region zu einem Bilderzeugen in dem Bereich von 5 mm mal 5 mm bis zu 30 mm mal 30 mm sein. Das Gesamtobjekt wird dann durch ein Bewegen der interessierenden Region abgetastet, entweder durch ein Bewegen der Quelle und des Sensorarrays oder durch ein Bewegen des Objekts. Ein Koordinatensystem ist gewählt, so dass die z-Achse normal zu den zwei Objektebenen und auf der interessierenden Region zentriert ist. Die untere Objektebene 900 ist bei z = 0 und die obere Ebjektebene ist bei z = zu, die Quelle 904 ist bei z = zs und das Sensorarray 906 ist bei z = –zd. Eine gestrichelte Linie 908 verbindet die Punktquelle 904 mit der Mitte des Sensorarrays 906. Es ist anzumerken, dass die gestrichelte Linie 908 z = 0 durchläuft und dass Φ der Winkel eines Strahls (zum Beispiel 908) relativ zu der z-Achse ist.
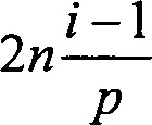
  • Es gibt P Projektionen. Für jede Projektion wird die gesamte interessierende Region der unteren Objektebene 900 abgebildet. Für jede Projektion wird ein Bereich auf der oberen Objektebene 902 abgebildet, der etwas kleiner als die interessierende Region ist. Für die obere Objektebene 902 wird ein Übersatz der gesamten interessierenden Region durch ei ne Verbindung der P Projektionen abgebildet. Jede Projektion bildet M × N Pixel auf jeder Objektebene ab. Unter Annahme einer kreisförmigen Abtastung für die i-te Projektion ist die Quelle 904 bei einem Winkel von:
    Figure 00170001
    in der Ebene von z = zs bei einem Abstand rs von der z-Achse positioniert.
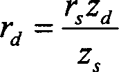
  • Das Sensorarray 906 ist bei
    Figure 00170002
    in der Ebene z = –zd bei einer Winkelposition zentriert, die komplementär zu der Winkelposition der Quelle ist. Eine Kalibrierung kann durchgeführt werden, um Variationen bei einer Beleuchtung und eine Sensorelementempfindlichkeit zu korrigieren. Die Strahlprojektionsgleichungen werden durch ein Nehmen des Logarithmus der relativen Intensität (-ln(I/I0)) linearisiert.
  • Jede Projektion bildet M × N-Pixel in der unteren Objektebene 900 mit einer Vergrößerung von
    Figure 00170003
    ab.
  • Jede Projektion bildet M × N-Pixel in der oberen Objektebene 902 mit einer Vergrößerung von
    Figure 00170004
    ab.
  • Es ist anzumerken, dass eine Vergrößerung bei dem Sensorarray eins beträgt und sich erhöht, wenn sich eine Ebene der Quelle nähert.
  • Die Mitte der Projektion für die obere Objektebene 902 wird um
    Figure 00170005
    Pixel weg von der z-Achse verschoben, wobei ε die lineare Größe einer Kante eines wirksamen Sensorelements ist (es ist anzumerken, dass quadratische Pixel zu Darstellungszwecken angenommen werden, aber nicht erforderlich sind). Die Gesamtanzahl von Pixeln in der interessierenden Region der unteren Objektebene und die Gesamtanzahl von Sensoren in dem Sensorarray 906 ist M × N. Die Ge samtanzahl von Pixeln in der interessierenden Region in der oberen Objektebene 902 ist (M + 2σ) × (N + 2σ).
  • Wie es oben beschrieben ist, sind die Basisfunktionen (aij) für beide Pixel, die durch einen einzigen Strahl geschnitten werden, gleich und nur durch den Azimuth-Winkel Φ bestimmt. Wie es oben (Gleichung 1) beschrieben ist, ist eine diskrete Form der Strahlgleichung: yi = Σaijxj oder y = Ax, wobei ein fettgedruckter Kleinbuchstabe einen Vektor bezeichnet und ein fettgedruckter Großbuchstabe eine Matrix bezeichnet.
  • Ein typischer iterativer Ansatz zum Lösen der Strahlgleichungen lautet wie folgt:
    Figure 00180001
    wobei i eine Projektionszahl ist, x ein Spaltenvektor von Absorptionswerten ist, yi ein Spaltenvektor von natürlichen logs von relativen Intensitätsmessungen ist, ai die Transposition der i-ten Zeile der M×N-Matrix von Basisfunktionen A = (aij) ist und λk eine Schrittgröße oder eine Entspannungskonstante für die k-te Iteration ist (0 < λk < 2). Jedes Pixel jeder Objektebene wird bei jeder Iteration aktualisiert und Korrekturen werden über alle Strahlen und Projektionen gemittelt, bevor Änderungen an den Werten von x vorgenommen werden. Unter Verwendung einer variablen Pixelgröße, wie es oben erörtert ist, mit einem Strahl durch die Mitte jedes Sensorpixels schneiden keine zwei Strahlen bei einer einzigen Projektion das gleiche Pixel in einer gegebenen Objektebene. Durch einen Vorberechnen aller Strahlen, die ein spezielles Pixel schneiden, ist es möglich, die Berechnung durch globale Pixel anstelle durch Strahlen zu ordnen, um eine Speicherung von akkumulierten Korrekturen zu minimieren. Bei auf Null initialisierten Werten von x und bei einer Schrittgröße (λ) von zwei für die erste Iteration und einer Schrittgröße von eins danach ergibt das obige Verfahren gute Rekonstruktionen bei nur drei Iterationen. Bei einem Testfall ist das obige Verfahren mit wie in 8 definierten Pixeln und zwei Rekonstruktionsschichten mehr als eine Größenordnung schneller als eine dreidimensionale Rekonstruktion, selbst wenn ein Fünf-Ebenen-Mehrauflösungsansatz mit kleinen Voxeln lediglich auf den zwei interessierenden Ebenen und großen Voxeln anderswo verwendet wird.
  • Nachdem die Korrekturwerte von x für jedes Projektionspixel berechnet sind, müssen für jede Iteration die verschiedenen Projektionen für die obere Ebene 902 zusammengeführt werden. Ein exemplarisches Verfahren ist wie folgt. Der interessierende Bereich für die obere Ebene 902 wird in (M + 2σ) × (N + 2σ) globale Pixel geteilt. Die M × N-Pixel für eine spezielle Projektion richten sich eventuell nicht vollkommen mit den globalen Pixeln aus. Jeder Strahl jeder Projektion wird behandelt, als ob derselbe die Mitte des globalen Pixels schneidet, das am nähesten zum Schnitt des Strahls mit der interessierenden Ebene liegt. Verbindungen (d.h. wenn der Strahl die Grenze zwischen zwei oder mehr benachbarten globalen Pixeln schneidet) können unter Verwendung eines jeglichen beliebigen deterministischen Verfahrens gebrochen werden, solange dasselbe konsistent angewendet wird. Alternativ kann ein Korrekturwert für ein globales Pixel aus Korrekturwerten für Pixel von einzelnen Projektionen durch eine zweidimensionale Interpolation von Korrekturwerten aus benachbarten Projektionspixeln berechnet werden.
  • 10A und 10B stellen ein exemplarisches Verfahren dar. In 10A werden für jede Projektion (Schritte 1000, 1004 und 1006) M × N Intensitätswerte durch das M × N-Sensorarray gemessen (Schritt 1002). In 10B werden für jede Iteration (Schritte 1008, 1030 und 1032) und für jede Bildebene (Schritte 1010, 1024 und 1028) und für jeden Satz von gemessenen Projektionsdaten (Schritte 1012, 1016 und 1018) Korrekturwerte für M × N Projektionspixel berechnet (Schritt 1014). Die Korrekturwerte für jedes globale Pixel werden dann aus Korrekturwerten für Projektionspixel berechnet (Schritt 1020) und für jedes globale Pixel wird der Korrekturwert zu dem vorhergehenden berechneten Bildwert addiert (Schritt 1022). Wie es oben angemerkt ist, ist es als eine Alternative möglich, die Berechnung durch globale Pixel anstatt durch Strahlen zu ordnen, ohne Korrekturwerte für einzelne Projektionen zu speichern. Es ist ferner anzumerken, dass es nicht notwendig ist, dass der Schritt 1020 ein ausdrücklich getrennter Schritt ist. Insbesondere falls der Korrekturwert für ein Projektionspixel dem nähesten globalen Pixel zugewiesen ist, dann können Korrekturwerte für globale Pixel direkt in dem Schritt 1014 berechnet werden, ohne Korrekturwerte für Projektionspixel getrennt berechnen zu müssen.
  • Bei einem System wie in 8 ist eine Berechnung stark vereinfacht, falls die Ebenen parallel zu dem Sensorarray sind, so dass eine Pixelgröße einheitlich innerhalb einer Ebene ist. Bei einem System wie in 7 jedoch, bei dem es keine Beziehung zwischen der Größe eines wirksamen Sensorelements und einer Objektebenenpixelgröße gibt, müssen die Ebenen nicht parallel sein und die Ebenen können sich außerhalb der interessierenden Region schneiden. Objektebenen können parallel zu der z-Achse oder bei einer jeglichen anderen interessierenden Ausrichtung sein.
  • Die vorhergehende Beschreibung der vorliegenden Erfindung wurde zu Zwecken einer Darstellung und einer Beschreibung vorgelegt. Dieselbe soll nicht erschöpfend sein oder die Erfindung auf die präzise offenbarte Form begrenzen und andere Modifikationen und Variationen können angesichts der obigen Lehren möglich sein. Das Ausführungsbeispiel wurde gewählt und beschrieben, um die Grundlagen der Erfindung und die praktische Anwendung derselben am besten zu erläu tern, um dadurch anderen Fachleuten auf dem Gebiet zu ermöglichen, die Erfindung in verschiedenen Ausführungsbeispielen und verschiedenen Modifikationen am besten zu verwenden, wie dieselben für die spezielle betrachtete Verwendung geeignet sind. Die beigefügten Ansprüche sollen aufgefasst werden, um andere alternative Ausführungsbeispiele der Erfindung zu umfassen, außer insofern es durch den Stand der Technik begrenzt ist.

Claims (7)

  1. Ein Verfahren zum Berechnen eines Bilds für ein tomographisches System mit einem Strahl, wobei das Verfahren die folgenden Schritte aufweist: Approximieren eines abzubildenden Objekts als eine Mehrzahl von Ebenen (700, 702, 800, 802, 900, 902), wobei die Ebenen zumindest teilweise nicht-benachbart sind, wobei jede Ebene eine Mehrzahl von Voxeln aufweist, wobei jedes Voxel eine obere Oberfläche und eine untere Oberfläche aufweist, die der oberen Oberfläche gegenüberliegt, wobei jede Ebene ausreichend dünn ist, so daß es im wesentlichen eine Wahrscheinlichkeit von Null gibt, daß ein Stahl in eine andere Oberfläche eines jeglichen Voxels eintritt oder dieselbe verläßt, als die obere Oberfläche oder die untere Oberfläche; und Approximieren einer Lösung für Strahlgleichungen für die Ebenen.
  2. Das Verfahren gemäß Anspruch 1, bei dem die Ebenen parallel sind.
  3. Das Verfahren gemäß Anspruch 1, bei dem sich die Ebenen innerhalb einer interessierenden Region nicht schneiden.
  4. Das Verfahren gemäß Anspruch 1, das ferner folgenden Schritt aufweist: Zuweisen einer Pixelgröße für jede Ebene, derart, daß eine wirksame Vergrößerung bei einer speziellen Ebene (800, 802) umgekehrt proportional zu dem Abstand der speziellen Ebene von einer Strahlungsquelle ist.
  5. Das Verfahren gemäß Anspruch 4, das ferner folgenden Schritt aufweist: Zuweisen von Pixelpositionen für jede Ebene, in jeder Projektion, derart, daß eine Linie von der Strahlungsquelle zu einer Mitte eines wirksamen Sensorelements durch die Mitte eines Pixels in jeder Ebene verläuft.
  6. Das Verfahren gemäß Anspruch 5, das ferner folgende Schritte aufweist: Teilen eines gesamten interessierenden Bereichs in einer speziellen Ebene in globale Pixel; Zuweisen eines Anfangsbildwerts zu jedem globalen Pixel; Berechnen eines Korrekturwerts für jedes Projektionspixel für jede Projektion auf der speziellen Ebene; Bestimmen eines Projektionspixels, das einem speziellen globalen Pixel physisch am nähesten ist; und Korrigieren des Bildwerts des speziellen globalen Pixels durch ein Addieren des Korrekturwerts des nähesten Projektionspixels zu dem Bildwert des speziellen globalen Pixels.
  7. Das Verfahren gemäß Anspruch 5, das ferner folgende Schritte aufweist: Teilen eines gesamten interessierenden Bereichs in einer speziellen Ebene in globale Pixel; Zuweisen eines Anfangsbildwerts zu jedem globalen Pixel; Berechnen eines Korrekturwerts für jedes Projektionspixel für jede Projektion auf der speziellen Ebene; Bestimmen eines Satzes von Projektionspixeln, die einem speziellen globalen Pixel physisch nahe sind; Interpolieren der Korrekturwerte des Satzes von Projektionspixeln, die einem speziellen Pixel physisch nahe sind, um einen Korrekturwert bei der Position des speziellen globalen Pixels zu erhalten; und Korrigieren des Bildwerts des speziellen globalen Pixels durch ein Addieren des interpolierten Korrekturwerts für das spezielle globale Pixel zu dem Bildwert des speziellen globalen Pixels.
DE69918596T 1998-04-28 1999-04-20 Computertomograph mit iterativer Rekonstruktion Expired - Fee Related DE69918596T2 (de)

Applications Claiming Priority (2)

Application Number Priority Date Filing Date Title
US67663 1998-04-28
US09/067,663 US6002739A (en) 1998-04-28 1998-04-28 Computed tomography with iterative reconstruction of thin cross-sectional planes

Publications (2)

Publication Number Publication Date
DE69918596D1 DE69918596D1 (de) 2004-08-19
DE69918596T2 true DE69918596T2 (de) 2005-07-21

Family

ID=22077537

Family Applications (1)

Application Number Title Priority Date Filing Date
DE69918596T Expired - Fee Related DE69918596T2 (de) 1998-04-28 1999-04-20 Computertomograph mit iterativer Rekonstruktion

Country Status (4)

Country Link
US (1) US6002739A (de)
EP (1) EP0953943B1 (de)
JP (1) JPH11339050A (de)
DE (1) DE69918596T2 (de)

Families Citing this family (56)

* Cited by examiner, † Cited by third party
Publication number Priority date Publication date Assignee Title
US6373917B1 (en) * 2000-08-30 2002-04-16 Agilent Technologies, Inc. Z-axis elimination in an X-ray laminography system using image magnification for Z plane adjustment
US6671349B1 (en) 2000-11-13 2003-12-30 Olganix Corporation Tomosynthesis system and registration method
US6898266B2 (en) * 2000-11-13 2005-05-24 Digitome Corporation 3D projection method
US6324249B1 (en) 2001-03-21 2001-11-27 Agilent Technologies, Inc. Electronic planar laminography system and method
JP4974319B2 (ja) * 2001-09-10 2012-07-11 株式会社バンダイナムコゲームス 画像生成システム、プログラム及び情報記憶媒体
US6765981B2 (en) * 2002-07-31 2004-07-20 Agilent Technologies, Inc. Computed tomography
AU2003287447A1 (en) * 2002-10-31 2004-05-25 Digitome Corporation 3d projection method
DE10252662A1 (de) * 2002-11-11 2004-05-27 Philips Intellectual Property & Standards Gmbh Computertomographie-Verfahren mit kohärenten Streustrahlen und Computertomograph
US6738450B1 (en) 2002-12-10 2004-05-18 Agilent Technologies, Inc. System and method for cost-effective classification of an object under inspection
FR2849250B1 (fr) * 2002-12-23 2005-05-13 Commissariat Energie Atomique Procede de reconstruction d'une image radiographique par combinaison de vignettes se recouvrant
US7356113B2 (en) * 2003-02-12 2008-04-08 Brandeis University Tomosynthesis imaging system and method
US7197171B2 (en) * 2003-02-19 2007-03-27 Elgems Ltd. Nuclear imaging
US7330528B2 (en) 2003-08-19 2008-02-12 Agilent Technologies, Inc. System and method for parallel image reconstruction of multiple depth layers of an object under inspection from radiographic images
US7436991B2 (en) * 2003-08-29 2008-10-14 Agilent Technologies, Inc. Image buffers and access schedules for image reconstruction systems
US7424141B2 (en) * 2003-08-29 2008-09-09 Agilent Technologies, Inc. System and method for performing auto-focused tomosynthesis
US20050078861A1 (en) * 2003-10-10 2005-04-14 Usikov Daniel A. Tomographic system and method for iteratively processing two-dimensional image data for reconstructing three-dimensional image data
US7099435B2 (en) * 2003-11-15 2006-08-29 Agilent Technologies, Inc Highly constrained tomography for automated inspection of area arrays
US7254209B2 (en) * 2003-11-17 2007-08-07 General Electric Company Iterative CT reconstruction method using multi-modal edge information
US7693318B1 (en) 2004-01-12 2010-04-06 Pme Ip Australia Pty Ltd Method and apparatus for reconstruction of 3D image volumes from projection images
JP2005241575A (ja) * 2004-02-27 2005-09-08 Toshiba Corp X線断層撮影装置および立体透視画像構成装置
US7215736B1 (en) * 2004-03-05 2007-05-08 Xradia, Inc. X-ray micro-tomography system optimized for high resolution, throughput, image quality
JP4032357B2 (ja) * 2004-05-21 2008-01-16 ソニー株式会社 画像情報処理装置および方法、並びにプログラム
DE102004034502A1 (de) * 2004-07-16 2006-02-09 Siemens Ag Verfahren zur Rekonstruktion von Schnittbildern aus Detektormessdaten eines Tomographiegerätes
US8189002B1 (en) 2004-10-29 2012-05-29 PME IP Australia Pty, Ltd. Method and apparatus for visualizing three-dimensional and higher-dimensional image data sets
US7778392B1 (en) 2004-11-02 2010-08-17 Pme Ip Australia Pty Ltd Method of reconstructing computed tomography (CT) volumes suitable for execution on commodity central processing units (CPUs) and graphics processors, and apparatus operating in accord with those methods (rotational X-ray on GPUs)
US7251306B2 (en) * 2004-11-17 2007-07-31 General Electric Company Methods, apparatus, and software to facilitate iterative reconstruction of images
US7609884B1 (en) 2004-12-23 2009-10-27 Pme Ip Australia Pty Ltd Mutual information based registration of 3D-image volumes on GPU using novel accelerated methods of histogram computation
US7623732B1 (en) 2005-04-26 2009-11-24 Mercury Computer Systems, Inc. Method and apparatus for digital image filtering with discrete filter kernels using graphics hardware
DE102005022899A1 (de) * 2005-05-18 2006-11-23 Siemens Ag Verfahren und Einrichtung zum Erzeugen eines digitalen tomosynthetischen 3D-Röntgenbildes von einem Untersuchungsobjekt
US20070014468A1 (en) * 2005-07-12 2007-01-18 Gines David L System and method for confidence measures for mult-resolution auto-focused tomosynthesis
WO2007069121A1 (en) * 2005-12-15 2007-06-21 Philips Intellectual Property & Standards Gmbh Advanced convergence for multiple iterative algorithm
US7529336B2 (en) 2007-05-31 2009-05-05 Test Research, Inc. System and method for laminography inspection
US8019151B2 (en) * 2007-06-11 2011-09-13 Visualization Sciences Group, Inc. Methods and apparatus for image compression and decompression using graphics processing unit (GPU)
US8392529B2 (en) 2007-08-27 2013-03-05 Pme Ip Australia Pty Ltd Fast file server methods and systems
US8548215B2 (en) 2007-11-23 2013-10-01 Pme Ip Australia Pty Ltd Automatic image segmentation of a volume by comparing and correlating slice histograms with an anatomic atlas of average histograms
WO2011065929A1 (en) 2007-11-23 2011-06-03 Mercury Computer Systems, Inc. Multi-user multi-gpu render server apparatus and methods
US10311541B2 (en) 2007-11-23 2019-06-04 PME IP Pty Ltd Multi-user multi-GPU render server apparatus and methods
US9904969B1 (en) 2007-11-23 2018-02-27 PME IP Pty Ltd Multi-user multi-GPU render server apparatus and methods
WO2009067675A1 (en) 2007-11-23 2009-05-28 Mercury Computer Systems, Inc. Client-server visualization system with hybrid data processing
GB201016088D0 (en) 2010-09-24 2010-11-10 Phase Focus Ltd Improvements in imaging
GB2493735B (en) * 2011-08-17 2014-07-23 Rolls Royce Plc Method for locating artefacts in a material
US11244495B2 (en) 2013-03-15 2022-02-08 PME IP Pty Ltd Method and system for rule based display of sets of images using image content derived parameters
US10070839B2 (en) 2013-03-15 2018-09-11 PME IP Pty Ltd Apparatus and system for rule based visualization of digital breast tomosynthesis and other volumetric images
US9509802B1 (en) 2013-03-15 2016-11-29 PME IP Pty Ltd Method and system FPOR transferring data to improve responsiveness when sending large data sets
US11183292B2 (en) 2013-03-15 2021-11-23 PME IP Pty Ltd Method and system for rule-based anonymized display and data export
US8976190B1 (en) 2013-03-15 2015-03-10 Pme Ip Australia Pty Ltd Method and system for rule based display of sets of images
US10540803B2 (en) 2013-03-15 2020-01-21 PME IP Pty Ltd Method and system for rule-based display of sets of images
US10335107B2 (en) 2014-09-19 2019-07-02 Fujifilm Corporation Tomographic image generation device and method, and recording medium
TWI509564B (zh) * 2014-10-30 2015-11-21 行政院原子能委員會核能研究所 三維成像的投影方法
US9984478B2 (en) 2015-07-28 2018-05-29 PME IP Pty Ltd Apparatus and method for visualizing digital breast tomosynthesis and other volumetric images
US11599672B2 (en) 2015-07-31 2023-03-07 PME IP Pty Ltd Method and apparatus for anonymized display and data export
US10102682B1 (en) * 2017-04-17 2018-10-16 Raytheon Company System and method for combining 3D images in color
US10096148B1 (en) * 2017-04-26 2018-10-09 The Aerospace Corporation Portable x-ray computed tomography
US10909679B2 (en) 2017-09-24 2021-02-02 PME IP Pty Ltd Method and system for rule based display of sets of images using image content derived parameters
US10969771B2 (en) * 2019-06-12 2021-04-06 Edison Welding Institute, Inc. Computed tomography for non-destructive evaluation of manufactured parts
JP7674126B2 (ja) * 2021-03-24 2025-05-09 富士フイルム株式会社 画像処理装置、放射線画像撮影システム、画像処理方法、及び画像処理プログラム

Family Cites Families (11)

* Cited by examiner, † Cited by third party
Publication number Priority date Publication date Assignee Title
US5097492A (en) * 1987-10-30 1992-03-17 Four Pi Systems Corporation Automated laminography system for inspection of electronics
US4926452A (en) * 1987-10-30 1990-05-15 Four Pi Systems Corporation Automated laminography system for inspection of electronics
US4852131A (en) * 1988-05-13 1989-07-25 Advanced Research & Applications Corporation Computed tomography inspection of electronic devices
US5259012A (en) * 1990-08-30 1993-11-02 Four Pi Systems Corporation Laminography system and method with electromagnetically directed multipath radiation source
US5454019A (en) * 1991-03-15 1995-09-26 Hitachi, Ltd. Computed tomography system
US5461651A (en) * 1993-11-17 1995-10-24 General Electric Company Reconstruction of images in cone beam scanning with rectangular detector elements
US5400255A (en) * 1994-02-14 1995-03-21 General Electric Company Reconstruction of images from cone beam data
DE4413689C1 (de) * 1994-04-20 1995-06-08 Siemens Ag Röntgencomputertomograph
US5483567A (en) * 1994-09-22 1996-01-09 Wisconsin Alumni Research Foundation Computerized method for converting polar tomographic data to a cartesian image format
US5594770A (en) * 1994-11-18 1997-01-14 Thermospectra Corporation Method and apparatus for imaging obscured areas of a test object
US5708691A (en) * 1996-07-05 1998-01-13 Kabushiki Kaisha Toshiba X-ray computed tomographic imaging device and x-ray computed tomographic method

Also Published As

Publication number Publication date
DE69918596D1 (de) 2004-08-19
JPH11339050A (ja) 1999-12-10
EP0953943A3 (de) 2001-11-07
EP0953943A2 (de) 1999-11-03
EP0953943B1 (de) 2004-07-14
US6002739A (en) 1999-12-14

Similar Documents

Publication Publication Date Title
DE69918596T2 (de) Computertomograph mit iterativer Rekonstruktion
DE69233207T2 (de) Verfahren und gerät zur bildverarbeitung.
DE112007001451B4 (de) Vorrichtung und Verfahren zum Verbessern einer Auflösung eines Bildes
DE69128341T2 (de) Parallel-verarbeitungsverfahren und -vorrichtung zur algebraischen rekonstruktion einer dreidimensionalen computertomographie
DE602005004653T2 (de) Korrektur der Strahlungsaufhärtung und der Dämpfung in der coherent scatter computed tomography (CSCT)
DE60030498T2 (de) Effizientes Kegelstrahl-Rekonstruktionssystem mittels Daten von kreis- und linienförmigen Quellentrajektorien.
DE69129100T2 (de) 3-D-Bilderrekonstruktion
DE102009004702B4 (de) Anordnung und Verfahren zur projektiven und/oder tomographischen Phasenkontrastbildgebung mit Röntgenstrahlung
DE69631225T2 (de) Bildrekonstruktion von spiralabgetasteten Teilkegelstrahldaten
DE3872031T2 (de) Verfahren zum berechnen und zur wiedergabe von sichtbildern eines objektes.
DE69115248T2 (de) Rechnergesteuerte dreidimensionale tomographische abtastung zur gewinnung von daten von objekten, deren abmessung grösser ist als der strahlungskegel.
DE69218839T2 (de) Tomographische Bilderzeugung mittels Schrägstrahlen
EP2268204B1 (de) Vorrichtung und computer implementiertes verfahren zur rotationsfreien computertomographie
DE10317384A1 (de) Computertomographie
US20050078861A1 (en) Tomographic system and method for iteratively processing two-dimensional image data for reconstructing three-dimensional image data
US5400377A (en) Artifact reduction method for tomographic image reconstruction using cross-plane rays
DE602004007930T2 (de) TOMOGRAPHISCHES FOURIER-BILDREKONSTRUKTIONSVERFAHREN FÜR Fächerstrahl-DATEN
DE19945636A1 (de) Verfahren und Vorrichtung zum dreidimensionalen CT-Abbilden eines interessierenden Bereichs in einem Objekt
DE102004030585A1 (de) System und Verfahren für eine parallele Bildrekonstruktion mehrerer Tiefenschichten eines Prüfobjekts von radiografischen Bildern
DE69720229T2 (de) Eine computertomographische methode und ein computertomograph
DE10297272T5 (de) Vielseitige Strahlenkegel-Bildgebungsvorrichtung und -verfahren
DE19526234A1 (de) Verringerung von Artefakten durch z-abhängiges Filtern dreidimensionaler Kegelbündel-Daten
DE69620955T2 (de) Dreidimensionales Bildrekonstruktionsverfahren eines bewegten oder verformbaren Objektes
DE102005050917A1 (de) Verfahren und Tomographiegerät zur Rekonstruktion einer tomographischen Darstellung eines Objektes
DE602004010834T2 (de) Kohärenzstreuungs-computertomographie

Legal Events

Date Code Title Description
8364 No opposition during term of opposition
8327 Change in the person/name/address of the patent owner

Owner name: AGILENT TECHNOLOGIES, INC. (N.D.GES.D. STAATES, US

8339 Ceased/non-payment of the annual fee