DE69918166T2 - Antiprotozoale saponine - Google Patents

Antiprotozoale saponine Download PDF

Info

Publication number
DE69918166T2
DE69918166T2 DE69918166T DE69918166T DE69918166T2 DE 69918166 T2 DE69918166 T2 DE 69918166T2 DE 69918166 T DE69918166 T DE 69918166T DE 69918166 T DE69918166 T DE 69918166T DE 69918166 T2 DE69918166 T2 DE 69918166T2
Authority
DE
Germany
Prior art keywords
hydrogen
alkyl
alkenyl
compound
max
Prior art date
Legal status (The legal status is an assumption and is not a legal conclusion. Google has not performed a legal analysis and makes no representation as to the accuracy of the status listed.)
Expired - Fee Related
Application number
DE69918166T
Other languages
English (en)
Other versions
DE69918166D1 (de
Inventor
Jules Louis MAES
Albert Nils GERMONPREZ
Emiel Luc VAN PUYVELDE
Mai Van Tri
Tran Ngoc Ninh
G. Norbert DE KIMPE
Current Assignee (The listed assignees may be inaccurate. Google has not performed a legal analysis and makes no representation or warranty as to the accuracy of the list.)
Janssen Pharmaceutica NV
Original Assignee
Janssen Pharmaceutica NV
Priority date (The priority date is an assumption and is not a legal conclusion. Google has not performed a legal analysis and makes no representation as to the accuracy of the date listed.)
Filing date
Publication date
Application filed by Janssen Pharmaceutica NV filed Critical Janssen Pharmaceutica NV
Publication of DE69918166D1 publication Critical patent/DE69918166D1/de
Application granted granted Critical
Publication of DE69918166T2 publication Critical patent/DE69918166T2/de
Anticipated expiration legal-status Critical
Expired - Fee Related legal-status Critical Current

Links

Classifications

    • CCHEMISTRY; METALLURGY
    • C07ORGANIC CHEMISTRY
    • C07HSUGARS; DERIVATIVES THEREOF; NUCLEOSIDES; NUCLEOTIDES; NUCLEIC ACIDS
    • C07H15/00Compounds containing hydrocarbon or substituted hydrocarbon radicals directly attached to hetero atoms of saccharide radicals
    • C07H15/26Acyclic or carbocyclic radicals, substituted by hetero rings
    • CCHEMISTRY; METALLURGY
    • C07ORGANIC CHEMISTRY
    • C07HSUGARS; DERIVATIVES THEREOF; NUCLEOSIDES; NUCLEOTIDES; NUCLEIC ACIDS
    • C07H17/00Compounds containing heterocyclic radicals directly attached to hetero atoms of saccharide radicals
    • C07H17/04Heterocyclic radicals containing only oxygen as ring hetero atoms
    • C07H17/08Hetero rings containing eight or more ring members, e.g. erythromycins
    • AHUMAN NECESSITIES
    • A61MEDICAL OR VETERINARY SCIENCE; HYGIENE
    • A61KPREPARATIONS FOR MEDICAL, DENTAL OR TOILETRY PURPOSES
    • A61K31/00Medicinal preparations containing organic active ingredients
    • A61K31/70Carbohydrates; Sugars; Derivatives thereof
    • A61K31/7042Compounds having saccharide radicals and heterocyclic rings
    • A61K31/7048Compounds having saccharide radicals and heterocyclic rings having oxygen as a ring hetero atom, e.g. leucoglucosan, hesperidin, erythromycin, nystatin, digitoxin or digoxin
    • AHUMAN NECESSITIES
    • A61MEDICAL OR VETERINARY SCIENCE; HYGIENE
    • A61KPREPARATIONS FOR MEDICAL, DENTAL OR TOILETRY PURPOSES
    • A61K36/00Medicinal preparations of undetermined constitution containing material from algae, lichens, fungi or plants, or derivatives thereof, e.g. traditional herbal medicines
    • A61K36/18Magnoliophyta (angiosperms)
    • A61K36/185Magnoliopsida (dicotyledons)
    • AHUMAN NECESSITIES
    • A61MEDICAL OR VETERINARY SCIENCE; HYGIENE
    • A61PSPECIFIC THERAPEUTIC ACTIVITY OF CHEMICAL COMPOUNDS OR MEDICINAL PREPARATIONS
    • A61P33/00Antiparasitic agents
    • A61P33/02Antiprotozoals, e.g. for leishmaniasis, trichomoniasis, toxoplasmosis
    • CCHEMISTRY; METALLURGY
    • C07ORGANIC CHEMISTRY
    • C07HSUGARS; DERIVATIVES THEREOF; NUCLEOSIDES; NUCLEOTIDES; NUCLEIC ACIDS
    • C07H15/00Compounds containing hydrocarbon or substituted hydrocarbon radicals directly attached to hetero atoms of saccharide radicals
    • C07H15/20Carbocyclic rings
    • C07H15/24Condensed ring systems having three or more rings
    • C07H15/256Polyterpene radicals
    • YGENERAL TAGGING OF NEW TECHNOLOGICAL DEVELOPMENTS; GENERAL TAGGING OF CROSS-SECTIONAL TECHNOLOGIES SPANNING OVER SEVERAL SECTIONS OF THE IPC; TECHNICAL SUBJECTS COVERED BY FORMER USPC CROSS-REFERENCE ART COLLECTIONS [XRACs] AND DIGESTS
    • Y02TECHNOLOGIES OR APPLICATIONS FOR MITIGATION OR ADAPTATION AGAINST CLIMATE CHANGE
    • Y02ATECHNOLOGIES FOR ADAPTATION TO CLIMATE CHANGE
    • Y02A50/00TECHNOLOGIES FOR ADAPTATION TO CLIMATE CHANGE in human health protection, e.g. against extreme weather
    • Y02A50/30Against vector-borne diseases, e.g. mosquito-borne, fly-borne, tick-borne or waterborne diseases whose impact is exacerbated by climate change

Landscapes

  • Health & Medical Sciences (AREA)
  • Chemical & Material Sciences (AREA)
  • Life Sciences & Earth Sciences (AREA)
  • Organic Chemistry (AREA)
  • General Health & Medical Sciences (AREA)
  • Natural Medicines & Medicinal Plants (AREA)
  • Engineering & Computer Science (AREA)
  • Biotechnology (AREA)
  • Molecular Biology (AREA)
  • Veterinary Medicine (AREA)
  • Biochemistry (AREA)
  • Genetics & Genomics (AREA)
  • Medicinal Chemistry (AREA)
  • Pharmacology & Pharmacy (AREA)
  • Public Health (AREA)
  • Animal Behavior & Ethology (AREA)
  • Epidemiology (AREA)
  • Microbiology (AREA)
  • Alternative & Traditional Medicine (AREA)
  • Botany (AREA)
  • Medical Informatics (AREA)
  • Mycology (AREA)
  • Chemical Kinetics & Catalysis (AREA)
  • Tropical Medicine & Parasitology (AREA)
  • Nuclear Medicine, Radiotherapy & Molecular Imaging (AREA)
  • General Chemical & Material Sciences (AREA)
  • Pharmaceuticals Containing Other Organic And Inorganic Compounds (AREA)
  • Medicines Containing Plant Substances (AREA)
  • Steroid Compounds (AREA)
  • Saccharide Compounds (AREA)

Description

  • Die vorliegende Erfindung betrifft ein Verfahren zur Isolation von antiprotozoalen Saponinen aus Pflanzen, die zur Familie Myrsinaceae gehören, und die Verwendung dieser Saponine zur Herstellung eines Arzneimittels zur Behandlung von sowohl menschlichen als auch tierischen Wirten, die mit Protozoen-Parasiten der Gattung Leishmania infiziert sind, sowie für die Linderung von klinischen Manifestationen von, bzw. Heilung von Krankheiten, die unter der Bezeichnung Leishmaniasen bekannt sind, bei diesen Wirten.
  • Bei den Leishmaniasen existieren verschiedenste Krankheitsanzeichen, die sich in ihrer Schwere und ihrer Auswirkung auf die Gesundheit stark unterscheiden. In erster Linie handelt es sich bei Leishmaniasen um Leiden mit Erschöpfungszuständen, die von verschiedenen Leishmania-Arten verursacht und von unterschiedlichen Phlebotomine-Sandfliegen übertragen werden. Leishmaniasen scheinen wesentlich öfter vorzukommen und von größerer Bedeutung für die Volksgesundheit zu sein, als bis jetzt angenommen wurde. Die Bekämpfung von Leishmania-Infektionen ist deshalb kompliziert, weil viele Sandfliegenarten als Vektoren in Frage kommen, weil viele Tierarten als Zwischenwirte dienen können und weil Diagnoseverfahren (klinische, serologische, parasitologische Verfahren) nicht immer anwendbar sind bzw. diagnostisch nur von beschränktem Wert sind.
  • Bei den Manifestationen kann es sich um Manifestationen an den Eingeweiden, an Haut und Schleimhaut sowie nur an der Haut handeln; der Stamm des infizierenden Organismus sowie der immunologische Zustand des Wirts können die klinischen Manifestationen und das Endergebnis der parasitischen Erkrankung beeinflussen. Die Behandlung von Leishmaniasen ist kompliziert, und eine längere systemische Behandlung unabdingbar. Die Behandlungsziele bestehen darin, den menschlichen oder tierischen Patienten von einer intrazellulären parasitischen Infektion zu heilen, Rückfälle zu vermeiden, zu vermeiden, daß der Patient nicht ansprechend wird und die Kosten für einen Krankenhausaufenthalt und die Behandlung insgesamt so gering wie möglich zu halten. Um diese Ziele zu erreichen, müssen geeignete Arzneistoffe in entsprechenden Dosierungen und in einer entsprechenden Häufigkeit ausreichend lang verabreicht werden. Trotz intensiver Forschung bei der Suche nach wirksamen, gut verträglichen Leishmanienmittel wurden nur wenige Mittel entdeckt, die für den Patienten verfügbar sind. Zur Zeit werden üblicherweise als Arzneistoffe der ersten Wahl zwei fünfwertige Antimonverbindungen verwendet, die tief in den Muskel injiziert werden müssen, nämlich Meglumin-Antimonat (GlucantimTM, Farmitalia) sowie Natriumstibogluconat (PentostamTM, Wellcome). Arzneistoffe der zweiten Wahl sind Amphothericin-B (insbesondere die Liposomenformulierungen), Pentamidin und Allopurinol. Die zur Zeit verfügbaren Therapien sind nur ungenügend wirksam und führen zu toxischen Nebenwirkungen beim Patienten. Außerdem ist ihr Wirkungsspektrum nicht breit genug. Deshalb besteht nach wie vor ein Bedarf an neuen Arzneistoffen. Die vorliegende Identifikation von neuen Wirkstoffen wird bei der Behandlung von Krankheiten, die von Protozoen-Parasiten der Gattung Leishmania verursacht werden, Verwendung finden.
  • In Phytochemistry, 41 (1), 1996, S. 269-277 und Journal of Pharmaceutical and Biomedical Analysis 18 (4,5), 1998, S. 737-743 werden Triterpenoidsaponine beschrieben, die aus den Blättern von Maesa lanceolata isoliert werden. In Journal of Natural products 61 (5), 1998, S. 585-590 wird die Auswertung von biologischen Wirksamkeiten von Triterpenoidsaponinen aus Maesa lanceolata in Viruzid-Assays, antimykotischen Assays und Molluskizid-Assays beschrieben.
  • Unerwarteterweise wurden Triterpensaponine mit einer sehr guten prophylaktischen und therapeutischen Wirksamkeit gegen Leishmania aus der Pflanze Maesa balansae, einer Art der Familie Myrsinaceae, Gattung Maesa, isoliert.
  • Die Erfindung betrifft auch ein alternatives Verfahren zur Isolation von Triterpensaponinen aus Pflanzen, die zur Familie Myrsinaceae gehören, dadurch gekennzeichnet, daß das Verfahren die folgenden Schritte umfaßt:
    • (a) Extrahieren der getrockneten Pflanzenteile mit einem Alkohol und Einengen des Extrakts,
    • (b) Entfernen der unpolaren Fraktion aus dem Extrakt mittels Flüssig-Flüssig-Extraktion mit einem unpolaren Lösungsmittel,
    • (c) weitere Aufreinigung der Saponine in dem Alkoholextrakt mittels Flüssig-Flüssig-Extraktion, Filtration und Chromatographie.
  • Der Alkohol ist insbesondere Methanol, Ethanol, Isopropanol, Butanol, jeweils gegebenenfalls in Abmischung mit Wasser, vorzugsweise eine 70:30-Mischung aus Ethanol und Wasser; das unpolare Lösungsmittel ist ein Kohlenwasserstoff, z.B. Hexan.
  • Werden die Saponine aus der Pflanzengattung Maesa isoliert, kann die Chromatographie eine Umkehrphasen-Flüssigkeitschromatographie mit einem Gradientenelutionssystem unter Verwendung von
    A: 0,5% Ammoniumacetat in Wasser
    B: Methanol
    C: Acetonitril
    wobei zum Zeitpunkt t = 0 (A:B:C)=(60:20:20)
    und zum Zeitpunkt t = Ende (A:B:C)=(0:50:50), oder eine Direktphasen-Flüssigkeitschromatographie an Silicagel umfassen.
  • Bei diesen Verfahren fällt ein Gemisch an, das im wesentlichen aus Saponinen besteht. Dieses Saponingemisch wurde in vielen pharmakologischen Versuchen, die im Versuchsteil beschrieben sind, verwendet. Für die Strukturaufklärung wurde dieses Gemisch wie im Versuchsteil beschrieben mittels HPLC in die Einzelbestandteile aufgetrennt.
  • Die vorliegende Erfindung betrifft daher auch ein oder mehrere Triterpensaponine, die nach den im vorliegenden Text beschriebenen Verfahren hergestellt werden können, egal, ob als Gemisch oder in Form der aufgereinigten Produkte.
  • Insbesondere betrifft die Erfindung Triterpensaponine, die von der Pflanzengattung Maesa mittels Chromatographie umfassend eine Umkehrphasen-Flüssigkeitschromatographie mit einem Gradientenelutionssystem unter Verwendung von
    A: 0,5% Ammoniumacetat in Wasser
    B: Methanol
    C: Acetonitril
    wobei zum Zeitpunkt t = 0 (A:B:C)=(60:20:20)
    und zum Zeitpunkt t = Ende (A:B:C)=(0:50:50) und
    wobei das Saponin die folgenden Kennwerte aufweist:
    Verbindung 1: MG = 1532, λmax = 228,6 nm, λmax2 = 273,3 nm; tR = 8,97
    Verbindung 2: MG = 1510, λmax = 223,9 nm, λmax2 = 274,5 nm; tR = 9,39
    Verbindung 3: MG = 1532, λmax = 279,2 nm, λmax2 = 223,9 nm; tR = 9,68
    Verbindung 4: MG = 1510, λmax = 280,4 nm, λmax2 = 222,7 nm; tR = 10,09
    Verbindung 5: MG = 1574, λmax = 276,8 nm, λmax2 = 225,0 nm; tR = 10,87 bzw.
    Verbindung 6: MG = 1552, λmax = 279,2 nm, λmax2 = 223,9 nm; tR = 11,37;
    erhältlich sind.
  • Die relative Retentionszeit tR ist der Mittelwert von 10 Bestimmungen gegen die Retentionszeit von Uracil an einer Hypersil BDS C-18 Säule, 3 μm, 100 × 4 mm.
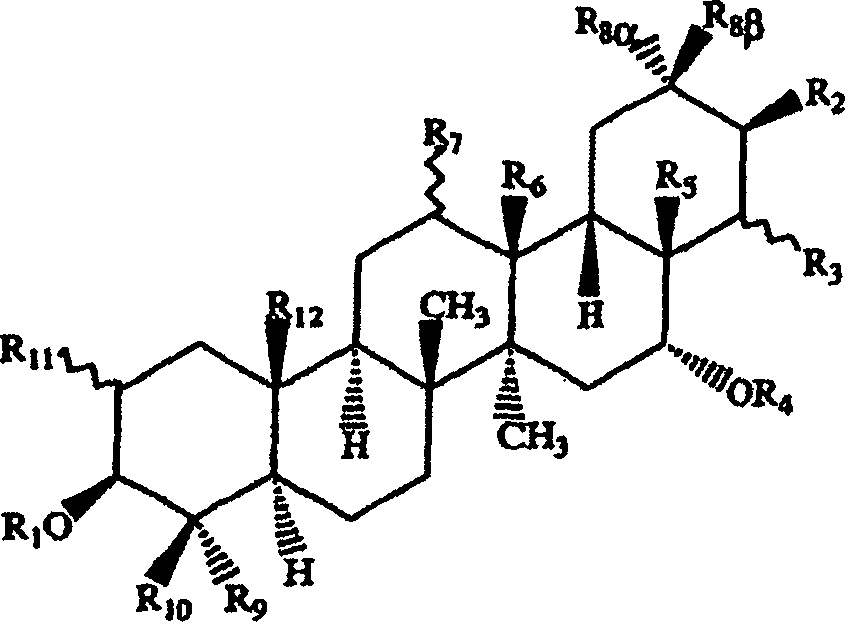
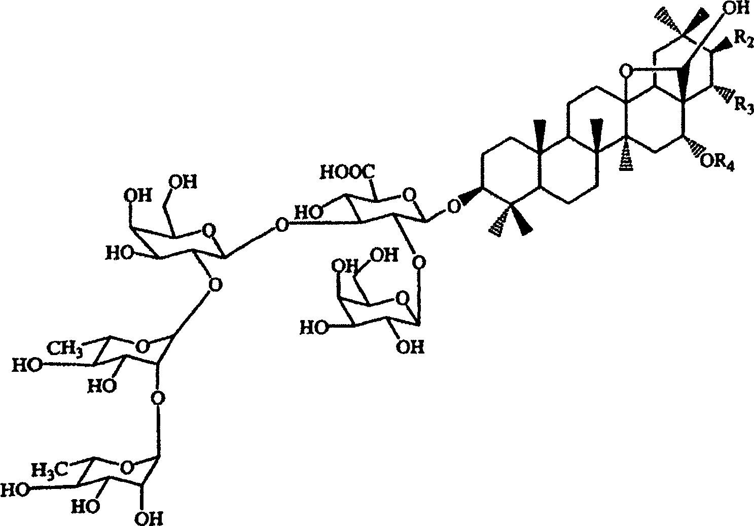
  • Insbesondere betrifft die vorliegende Erfindung Triterpensaponine der Formel
    Figure 00050001
    in der R2 -O(C=O)C6H5 oder -O(C=O)C(CH3)=CHCH3 bedeutet,
    R3 (E)- oder (Z)-O(C=O)CH=CH-C6H5 bedeutet und
    R4 Wasserstoff oder -(C=O)CH3 bedeutet,
    insbesondere diejenigen, bei denen
    in Verbindung 1 R2 -O(C=O)C6H5 bedeutet,
    R3 (Z)-O(C=O)CH=CH-C6H5 bedeutet,
    R4 Wasserstoff bedeutet;
    in Verbindung 2 R2 -O(C=O)C(CH3)=CHCH3 bedeutet,
    R3 (Z)-O(C=O)CH=CH-C6H5 bedeutet,
    R4 Wasserstoff bedeutet;
    in Verbindung 3 R2 -O(C=O)C6H5 bedeutet,
    R3 (E) -O(C=O)CH=CH-C6H5 bedeutet,
    R9 Wasserstoff bedeutet;
    in Verbindung 4 R2-O(C=O)C(CH3)=CHCH3 bedeutet,
    R3 (E)-O(C=O) CH=CH-C6H5 bedeutet,
    R4 Wasserstoff bedeutet;
    in Verbindung 5 R2 -O(C=O)C6H5 bedeutet,
    R3 (E) -O(C=O)CH=CH-C6H5 bedeutet,
    R4 -(C=O)CH3 bedeutet;
    in Verbindung 6 R2 -O(C=O)C(CH3)=CHCH3 bedeutet,
    R3 (E) -O(C=O)CH=CH-C6H5 bedeutet,
    R4 -(C=O)CH3 bedeutet.
  • Bevorzugte Verbindungen zur Verwendung in den erfindungsgemäßen pharmazeutischen Zusammensetzungen und Behandlungsverfahren sind die Verbindungen 3 und 4, insbesondere Verbindung 3.
  • Insbesondere betrifft die vorliegende Erfindung die Verwendung von einem oder mehreren Triterpensaponinen für die Herstellung einer pharmazeutischen Zusammensetzung zur Behandlung von Leishmaniasen in Wirten, die mit Leishmania-Arten infiziert sind, dadurch gekennzeichnet, daß das Saponin die Formel (I)
    Figure 00060001
    oder eine ihrer stereoisomeren Formen oder eines ihrer pharmazeutisch unbedenklichen Additionssalze aufweist, in der
    R1 Wasserstoff, -(C=O)C1-5-Alkyl, -(C=O)C2-5-Alkenyl, phenylsubstituiertes -(C=O)C2-5-Alkenyl, eine Monosaccharidgruppe oder eine Oligosaccharidgruppe bedeutet;
    R2 Wasserstoff, Hydroxy, -O(C=O)C1-5-Alkyl, -O(C=O)C2-5-Alkenyl, -O(C=O)C6H5 oder phenylsubstituiertes -O(C=O)C2-5-Alkenyl bedeutet;
    R3 Wasserstoff, Hydroxy, -O(C=O)C1-5-Alkyl, -O(C=O)C2-5-Alkenyl, -O(C=O)C6H5 oder phenylsubstituiertes -O(C=O)C2-5-Alkenyl bedeutet;
    R4 Wasserstoff, C1-6-Alkyl, -(C=O) C1-5Alkyl, -(C=O)C2-5-Alkenyl, -(C=O)C6H5 oder phenylsubstituiertes -(C=O)C2-5-Alkenyl bedeutet;
    R5 CH3, CH2OH, CH2OCH3, CH2O-C(=O)CH3, CHO, COOH bedeutet; oder
    R5 und R2 einen zweiwertigen Rest der Formel -C(=O)-O- bilden;
    R6 und R7 Wasserstoff bedeuten oder gemeinsam eine Bindung bilden; oder
    R5 und R6 einen zweiwertigen Rest der Formel -CH2-O- (a), -CH(OR13)-O- (b), -C(=O)-O- (c)in der R13 Wasserstoff, C1-6-Alkyl oder -(C=O)C1-5-Alkyl bedeutet,
    bilden;
    R und R jeweils unabhängig voneinander CH3, CH2OH, CH2OCH3, CH2O-C(=O)C1-5-Alkyl, CHO, CH (OCH3)2, CH=NOH, COOH bedeuten; oder
    R und R3 einen zweiwertigen Rest der Formel -C(=O)-O- bilden; oder
    R und R5 einen zweiwertigen Rest der Formel -CH2O-CHOH- bilden;
    R9 CH3, CH2OH, CH2OCH3, CH2O-C(=O)C1-5-Alkyl, CHO, COOH bedeutet;
    R10 CH3, CH2OH, CH2OCH3, CH2O-C(=O)C1-5-Alkyl, CHO, COOH bedeutet;
    R11 Wasserstoff, Hydroxy oder O-C(=O)C1-5-Alkyl bedeutet, oder R10 und R11 einen zweiwertigen Rest der Formel -CH2O- bilden; und
    R12 CH3, CH2OH, CH2OCH3, CH2O-C(=O)CH3, CHO, CH=NOH oder COOH bedeutet.
  • Bevorzugte Verbindungen der Formel (I) sind diejenigen, in denen
    R1 Wasserstoff, -(C=O)C1-5-Alkyl oder eine Oligosaccharidgruppe bedeutet;
    R3 Wasserstoff, Hydroxy, -O(C=O)C1-5-Alkyl, -O(C=O)C2-5-Alkenyl, phenylsubstituiertes -O(C=O)C2-5-Alkenyl bedeutet;
    R4 Wasserstoff, C1-6-Alkyl, -(C=O)C1-5-Alkyl, -(C=O)C2-5-Alkenyl bedeutet;
    R5 CH2OH, CH2O-C(=O)CH3, CHO bedeutet; und
    R6 und R7 gemeinsam eine Bindung bilden; oder
    R5 und R6 einen zweiwertigen Rest der Formel -CH2-O- (a), -CH(OR13)-O- (b), -C(=O)-O- (c)in der R13 Wasserstoff, C1-6-Alkyl oder -(C=O)C1-5-Alkyl bedeutet,
    bilden; und
    R7 Wasserstoff bedeutet;
    R CH3 bedeutet;
    R CH3, CH2OH, CHO, CH (OCH3)2, CH=NOH, COOH bedeutet; oder
    R und R3 einen zweiwertigen Rest der Formel -C(=O)-O- bilden; oder
    R und R5 einen zweiwertigen Rest der Formel -CH2O-CHOH- bilden;
    R10 CH3, CH2OH bedeutet;
    R11 Wasserstoff, Hydroxy oder O-C(=O)C1-5-Alkyl bedeutet; oder
    R10 und R11 einen zweiwertigen Rest der Formel -CH2O- bilden; und
    R12 CH3, CH2OH, CH2O-C(=O)CH3, CHO oder CH=NOH bedeutet.
  • Besonders bevorzugte Verbindungen der Formel (I) sind diejenigen, in denen
    R1 Wasserstoff oder eine Oligosaccharidgruppe bedeutet;
    R2 Wasserstoff, Hydroxy, -O(C=O)C1-5-Alkyl, -O(C=O)C2-5-Alkenyl, -O(C=O)C6H5 oder phenylsubstituiertes -O (C=O) C2-5-Alkenyl bedeutet;
    R3 Wasserstoff, Hydroxy, -O (C=O) C1-5-Alkyl, -O(C=O)C2-5-Alkenyl oder phenylsubstituiertes -O (C=O) C2-5-Alkenyl bedeutet;
    R9 Wasserstoff, C1-6-Alkyl, -(C=O)C1-5-Alkyl, -(C=O)C2-5-Alkenyl oder phenylsubstituiertes -(C=O)C2-5-Alkenyl bedeutet;
    R5 CH2OH, CH2OCH3, CH2O-C(=O)CH3, CHO, COOH bedeutet; und
    R6 und R7 gemeinsam eine Bindung bilden; oder
    R5 und R6 einen zweiwertigen Rest der Formel -CH2-O- (a), -CH(OR13)-O- (b), -C(=O)-O- (c),in der R13 Wasserstoff bedeutet, bilden; und
    R7 Wasserstoff bedeutet;
    R und R beide CH3 bedeuten;
    R9 CH3 bedeutet;
    R10 CH3 bedeutet;
    R11 Wasserstoff bedeutet; und
    R12 CH bedeutet.
  • Die Verbindungen der Formel (I) können nach fachbekannten Verfahren ineinander überführt werden. Besonders interessante Verfahren sind die Verseifung in basischen Medien, die Umesterung in sauren Medien, sowie der enzymatische Abbau des Oligosaccharidrests zu Aglyconen, d.h. Verbindungen der Formel (I), in denen R1 Wasserstoff bedeutet.
  • Für die Behandlung von Leishmaniasen können die Verbindungen der Formel (I) oral, topisch, parenteral, mittels Inhalationsspray oder rektal in Einzeldosisformen, die traditionelle nichttoxische pharmazeutisch annehmbare Träger, Hilfsstoffe und Grundstoffe enthalten, verabreicht werden. Im vorliegenden Zusammenhang beinhaltet der Ausdruck parenteral die subkutane Injektion, die intravenöse, intramuskuläre, intrasternale Injektion, die intraartikuläre Injektion oder Infusionstechniken bei Patienten, die von Infektion mit Leishmanien bedroht sind.
  • Die den Wirkstoff enthaltenden pharmazeutischen Zusammensetzungen können in einer Form vorliegen, die sich für die orale Verwendung eignet, z. B. in Form von Tabletten, Trochisci, Pastillen, wäßrigen oder öligen Lösungen oder Suspensionen, dispergierbaren Pulvern oder Granulaten, Emulsionen, Steckkapseln, Weichkapseln, Sirupen oder Elixiren. Zusammensetzungen, die für die orale Verwendung bestimmt sind, können nach einem beliebigen galenischen Verfahren hergestellt werden, und diese Zusammensetzungen können einen oder mehrere Mittel aus der Reihe Süßungsmittel, Geschmacksstoffe, Farbstoffe und Konservierungsmittel enthalten, um zu einem pharmazeutisch eleganten und schmackhaften Präparat zu gelangen. Tabletten enthalten den Wirkstoff in Abmischung mit nichttoxischen pharmazeutisch annehmbaren Grundstoffen, die sich für die Tablettenherstellung eignen, darunter inerte Streckmittel, Granulierhilfsmittel, Sprengmittel und Gleitmittel, was jedoch keine Einschränkung darstellen soll. Die Tabletten können unbeschichtet oder auf bekannte Weise beschichtet sein, um das Zerfallen und die Resorption im Magen-Darm-Trakt zu verzögern, wodurch man zu einer Arzneiform mit hinhaltender Wirkstofffreigabe über einen längeren Zeitraum gelangt, um einen unangenehmen Geschmack bzw. ein unangenehmes Mundgefühl zu maskieren, oder um das Aussehen und die Erkenntlichkeit zu verbessern.
  • Wäßrige Suspensionen enthalten die Wirkstoffe in Abmischung mit Grundstoffen, die sich für die Herstellung von wäßrigen Suspensionen eignen. Solche Grundstoffe sind Suspendiermittel, Dispergiermittel oder Netzmittel. Diese wäßrigen Suspensionen können auch ein oder mehrere Konservierungsmittel enthalten, und ölige Suspensionen können dadurch formuliert werden, daß man den Wirkstoff in einem geeigneten pflanzlichen Öl oder in einem Mineralöl, wie Paraffinöl, suspendiert. Die öligen Suspensionen können Verdickungsmittel, Süßmittel und Geschmacksstoffe enthalten, um zu einem schmackhaften Oralpräparat zu gelangen. Diese Zusammensetzungen können durch Zusatz eines annehmbaren Antioxidans konserviert werden.
  • Dispergierbare Pulver und Granulate, die sich für die Herstellung von wäßrigen Suspensionen durch Zugabe von Wasser eignen, stellen den Wirkstoff in Abmischung mit einem Dispergiermittel oder Netzmittel, Suspendiermittel und einem oder mehreren Konservierungsmitteln bereit.
  • Die erfindungsgemäßen pharmazeutischen Zusammensetzungen können auch in Form von Öl-in-Wasser- (o/w) oder Wasser-in-Öl- (w/o) Emulsionen vorliegen. Bei der Ölphase kann es sich um ein pharmazeutisch geeignetes pflanzliches Öl, Erdnußöle, oder ein Mineralöl handeln, das geeignete Emulgatoren und Antioxidantien enthält. Die wäßrige Phase kann Emulgatoren, Verdickungsmittel und Konservierungsmittel enthalten. Die Emulsionen können auch Süßmittel, Farbstoffe und Geschmacksstoffe enthalten.
  • Sirupe und Elixiere können mit Süßmitteln formuliert werden. Solche Formulierungen können auch ein reizstillendes Mittel, ein Konservierungsmittel sowie Geschmacks- und Farbstoffe enthalten.
  • Die pharmazeutischen Zusammensetzungen können in Form eines sterilen Injektionspräparats, z.B. als sterile wäßrige oder ölige Injektionslösung oder -suspension in einem nichttoxischen parenteral annehmbaren Verdünnungsmittel oder Lösungsmittel, vorliegen. Zu den annehmbaren Konstituentien und Lösungsmitteln, die verwendet werden können, zählen Wasser, Ringersche Lösung sowie isotonische Natriumchloridlösungen. Zusätzlich werden sterile fixierte Öle traditionell als Lösungsmittel oder Suspendiermittel verwendet. Für diesen Zweck kann jedes neutrale fixierte Öl verwendet werden, darunter synthetische Mono- oder Diglyceride, Fettsäuren und andere geeignete Zusatzstoffe für Iniectabilia. Suspensionen können gemäß bekannten Techniken unter Verwendung von geeigneten Dispergier- oder Netzmitteln und Suspendiermitteln hergestellt werden.
  • Die Verbindungen der Formel (I) können auch in Form von Suppositorien oder anderen Formulierungen, wie Lösungen oder Suspensionen für die rektale Verabreichung des Arzneistoffs, verabreicht werden. Suppositorien können dadurch hergestellt werden, daß man den Arzneistoff mit einem geeigneten nichtreizenden Grundstoff, der bei Normaltemperaturen fest, bei der Rektaltemperatur jedoch flüssig ist und so den Arzneistoff abgibt, vermischt.
  • Die Tagesdosis der Verbindungen der Formel (I) können in einem weiten Bereich schwanken, z.B. von 1,0 bis 2000 mg. Vorzugsweise wird die Verbindung der Formel (I) in Form einer pharmazeutischen Zusammenstellung gemeinsam mit einem Träger für eine geeignete Dosierung für den zu behandelnden Patienten in unterteilten Dosen, die 5, 10, 25, 50, 100, 150, 250 oder 500 mg Wirkstoff enthalten, verabreicht. Eine wirksame Menge des Arzneistoffs wird normalerweise in einem Dosierbereich von ungefähr 0,01 mg bis ungefähr 50 mg/kg Körpergewicht bereitgestellt. Vorzugsweise beträgt der Bereich ungefähr 0,1 mg bis ungefähr 7 mg/kg Körpergewicht.
  • Es ist natürlich klar, daß das spezifische Dosisniveau für einen bestimmten Patienten von verschiedenen Faktoren, darunter der Wirksamkeit der jeweiligen verwendeten Verbindung, dem Alter, dem Körpergewicht, dem allgemeinen Gesundheitszustand, dem Geschlecht, der Ernährung, der Verabreichungszeit, dem Verabreichungsweg, der Ausscheidungsgeschwindigkeit, der Arzneistoffkombination sowie der Schwere und den betroffenen Organsystemen, denen die Therapie gelten soll, abhängt.
  • VERSUCHSTEIL
  • AUFREINIGUNG VON TRITERPENSAPONINEN AUS MAESA BALANSAE
  • Die luftgetrockneten pulverisierten Blätter (3 kg) von Maesa balansae wurden zur Entfernung von unpolaren Substanzen mit Chloroform und anschließend mit Methanol:Wasser (9:1) extrahiert. Der alkoholische Extrakt wurde unter verringertem Druck eingedampft und der Rückstand zwischen n-Butanol (wassergesättigt) und Wasser verteilt. Die organische Schicht wurde zur Trockne abgedampft und der Rückstand wurde mit Aceton gewaschen und filtriert. Der acetonunlösliche Teil, der die Saponine enthält (10 g), wurde mittels Umkehrphasen-HPLC (stationäre Phase: RP-18 HS BDS Hyperprep 100 Å, 8 μm; 200 g, Ø der Säule: 5 cm) mit einem gradientenelutionsmittelsystem unter Verwendung von:
    A: 0,5% Ammoniumacetat in Wasser,
    B: Methanol sowie
    C: Acetonitril
    bei einer Durchflußgeschwindigkeit von 80 ml/min und UV-Detektion bei 235 nm gereinigt. Mit dem Gradientenelutionssystem von A:B:C (60:20:20) zum Zeitpunkt t = 0 min nach A:B:C (0:50:50) zum Zeitpunkt t = 50 min erhält man ein reines Saponingemisch (5 g), das sechs Verbindungen umfaßt.
  • Jedes dieser sechs Saponine wurde an der gleichen Säule unter den gleichen Bedingungen unter Verwendung des oben beschriebenen Lösungsmittelgradientsystems aufgereinigt. Es eluierten der Reihe nach die folgenden Verbindungen:
    Verbindung 1: MG = 1532, λmax = 223,3 nm, wurde weiter mit dem isokratischen Lösungsmittelsystem A:B:C (33:64:03) gereinigt; Ausbeute 230 mg.
    Verbindung 2: MG = 1510, λmax = 209,2 nm; Gradientenelutionssystem: von A:B:C (42:29:29) zum Zeitpunkt t = 0 min bis A:B:C (24:38:38) zum Zeitpunkt t = Ende; Ausbeute 110 mg.
    Verbindung 3: MG = 1532, λmax = 222,1 nm; isokratisches Lösungsmittelsystem A:B:C (40:30:30); Ausbeute 1000 mg.
    Verbindung 4: MG = 1510, λmax = 202,2 nm; isokratisches Lösungsmittelsystem A:B:C (59:00:41); Ausbeute 1000 mg.
    Verbindung 5: MG = 1574, λmax = 203,4 nm; isokratisches Lösungsmittelsystem A:B:C (32:34:34); Ausbeute 220 mg.
    Verbindung 6: MG = 1552, λmax = 216,3 nm; isokratisches Lösungsmittelsystem A:B:C (32:34:34) unter 4maliger Wiederverwendung; Ausbeute 230 mg.
  • AUSWERTUNG DER WIRKSAMKEIT GEGEN LEISHMANIEN
  • Der in den folgenden Beispielen verwendete Testarzneistoff PX umfaßt das aus Maesa balansae aufgereinigte Saponingemisch.
  • 1. Wirksamkeit gegen Leishmanien in vitro
  • In der internationalen Literatur finden sich zahlreiche Beschreibungen von Verfahren für die in-vitro-Züchtung von Leishmania-Organismen und die Durchmusterungstechnik. Die Testprotokolle sind flexibel und können an die jeweiligen Ziele und Eigenschaften der Prüfverbindungen angepaßt werden. Kurz gefaßt wurde die folgende in-vitro-Technik verwendet:
    Von Labornagetieren oder von Makrophagenzelllinien stammende primäre peritoneale Makrophagen wurden in Multiwell-Gewebekulturgefäße überimpft und ungefähr 24 Stunden lang anheften gelassen. Amastigoten der Leishmania-Arten (die von Zielgeweben eines infizierten Donatortiers oder von mit Amastigoten infizierten Gewebekulturen stammten) oder Promastigoten der Leishmania-Arten wurden in einem geeigneten Infektionsverhältnis gemeinsam mit unterschiedlich reihenverdünnten Konzentrationen des Arzneistoffs bzw. der Prüfverbindung gegeben. Der Prüfarzneistoff wurde in einem geeigneten Lösungsmittel, das mit dem in-vitro-Testsystem verträglich war (DMSO; Wasser, Alkohole und dergleichen funktionieren auch gut) vorgelöst und zu dem Gewebekulturmedium gegeben. Die Kulturen wurden 5-15 Tage bei 37°C in 5% CO2 inkubiert. Um einen Selektivitätsindex zu bestimmen, wurde auch eine Behandlung von nichtinfizierten Kontrollkulturen mitgeführt. Außerdem wurden mit Referenzarzneistoffen behandelte Kulturen mitgeführt, um die relative Wirksamkeit des Prüfarzneistoffs zu bestimmen. Die Wirksamkeit des Arzneistoffs wurde in gefärbten Präparaten als prozentuale Verringerung der Gesamtparasitenbelastung bzw. Anzahl infizierter Makrophagen im Vergleich mit den unbehandelten Kontrollkulturen bestimmt. Die Auswertung wurde mikroskopisch durchgeführt, und es wurden die EC50-Werte (wirksame Konzentration für eine 50%ige Hemmung) bestimmt. Die prozentuale Verringerung und der EC50-Wert dienen als Anhaltspunkt für die Wirksamkeit gegen Leishmaniasen in vitro und dienen als wichtige Hinweise auf klinisch nützliche Mittel. Tabelle I: Wirksamkeit gegen Leishmanien in vitro bei primären Maus-Makrophagen
    Figure 00160001
  • 2. Wirksamkeit gegen Leishmanien in vivo
  • In der internationalen Literatur finden sich zahlreiche Beschreibungen von Verfahren für die Erhaltung von Leishmania-Organismen in vivo und Tiermodellen. Die bevorzugte Labortierart für die Primärisolation, Erhaltung und Verwendung in künstlichen Infektionsmodellen sind Balb-C-Mäuse und Goldhamster. Die Testprotokolle sind flexibel und können an die jeweiligen Ziele und Eigenschaften der Prüfverbindungen angepaßt werden. Kurz gefaßt wurde die folgende in-vivo-Technik verwendet:
    Für den Darm befallende Leishmania-Arten: Balb-C-Mäuse oder junge Hamster wurden intravenös mit ungefähr 106-107 Amastigoten, die von den Zielorganen (im allgemeinen der Milz) eines infizierten Donatortiers oder von einer in-vitro-Kultur der Parasitenformen stammten, infiziert. Die Tiere wurden mit unterschiedlichen Dosismengen der Prüfverbindung behandelt (Dosisbereich: 0,1 bis 80 mg/kg in 100% DMSO oder einem beliebigen anderen verträglichen Konstituens), wobei unterschiedliche Verabreichungswege und Behandlungsschemata verwendet wurden. Mit der Behandlung wurde entweder zu unterschiedlichen Zeitpunkten nach der Infektion (kurativ), zugleich mit der Infektion (prophylaktisch) oder vor der Infektion (Residualwirkung) begonnen. In der Anlage der prophylaktischen Studie wird die erste Verabreichung des Prüfarzneistoffs unmittelbar vor oder zusammen mit der künstlichen Infektion mit der Leishmania-Art gegeben. In der Anlage der kurativen Studie wird die erste Verabreichung des Prüfarzneistoffs mehrere Wochen nach der künstlichen Infektion mit der Leishmania-Art gegeben (früh-kurativ = wenn die ersten klinischen Symptome in Erscheinung treten; spät-kurativ = wenn die klinischen Symptome gut etabliert sind bzw. chronisch werden). Die Wirksamkeit des Arzneistoffs wurde durch Bestimmung der Gesamtparasitenbelastung in der Leber oder einem beliebigen anderen relevanten Zielgewebe/Organ im Vergleich mit der Belastung des Gewebes/Organs bei unbehandelten Kontrolltieren ausgewertet. Die mittlere Amastigotenzahl wird quantitativ oder semiquantitativ anhand von gefärbten Abdruck-Ausstrichpräparaten oder Objektträgern ausgezählt. Die prozentuale Verringerung dient als Anhaltspunkt für die Wirksamkeit gegen Leishmaniasen und gibt wichtige Hinweise auf klinisch nützliche Mittel. Die minimale Wirkdosis (Lowest Active Dose; LAD) wird als niedrigste Dosis definiert, bei der die Parasitenbelastung in dem Primärzielorgan/Gewebe um mindestens 80% verringert wird. Tabelle II: Wirksamkeit gegen Leishmanien in vivo bei der Maus und beim Hamster gegen Leishmania-Arten, die den Darm befallen
    Figure 00180001
    Tabelle III: In-vitro- und in-vivo-Wirkung gegen die den Darm befallende Art Leishmania infantum
    Figure 00180002
  • Für die Haut bzw. die Haut/Schleimhaut befallende Leishmania-Arten: Balb-C-Mäuse oder junge Hamster wurden intradermal oder subkutan mit ungefähr 106 bis 107 Amastigoten, die von den Zielorganen (im allgemeinen Hautläsionen) eines infizierten Donatortiers oder von einer in-vitro-Kultur der Parasitenformen stammten, infiziert. Die Tiere wurden mit unterschiedlichen Dosismengen der Prüfverbindung behandelt mg/kg in 100 DMSO oder einem beliebigen anderen verträglichen Konstituens), wobei unterschiedliche Verabreichungswege und Behandlungsschemata verwendet wurden. Mit der Behandlung wurde entweder vor der Infektion (prophylaktisch) oder zu unterschiedlichen Zeiten nach der Infektion (kurativ) begonnen. In der Anlage der prophylaktischen Studie wird die erste Verabreichung des Prüfarzneistoffs unmittelbar vor oder zusammen mit der künstlichen Infektion mit der Leishmania-Art gegeben. In der Anlage der kurativen Studie wird die erste Verabreichung des Prüfarzneistoffs mehrere Wochen nach der künstlichen Infektion mit der Leishmania-Art gegeben (früh-kurativ = wenn die ersten Hautläsionen in Erscheinung treten; spät-kurativ = wenn die Hautläsionen gut etabliert sind bzw. chronisch werden). Die Aktivität des Arzneistoffs wurde entweder durch Bestimmung der Schwere der Läsion in dem entsprechenden Zielgewebe/Organ (primärer Parameter) oder der Parasitenbelastung in dem entsprechenden Zielgewebe/Organ (sekundärer Parameter) im Vergleich zu unbehandelten Kontrolltieren bestimmt. Die Läsionsgröße wurde quantitativ nach dem Verfahren von J. El-On. und A. D. Hamburger [Trans. Roy. Soc. Trop. Med. Hyg., 81, 734-737 (1987)] beurteilt. Die prozentuale Verringerung dient als Anhaltspunkt für die Wirksamkeit gegen Leishmaniasen und gibt wichtige Hinweise auf klinisch nützliche Mittel. Die minimale Wirkdosis (Lowest Active Dose; LAD) wird als niedrigste Dosis definiert, die die Entwicklung von Läsionen verhindert, ein weiteres Fortschreiten der Läsionen aufhält oder eine klinische Heilung der Läsionen in dem primären Zielorgan oder -gewebe induziert.
  • Tabelle IV: in-vivo-Wirkung gegen Leishmanien bei Mäusen und Hamstern gegen die Haut bzw. die Haut/Schleimhaut befallende Leishmania-Arten
  • A. Prophylaktische Behandlung
  • Bei der Anlage der prophylaktischen Studie wird die erste Verabreichung des Prüfarzneistoffs unmittelbar vor der künstlichen Infektion mit der Leishmania-Art gegeben
    Figure 00200001
    Figure 00210001
  • B. Kurative Behandlung
  • Bei der Anlage der kurativen Studie wird die erste Verabreichung des Prüfarzneistoffs mehrere Wochen nach der künstlichen Infektion mit der Leishmania-Art gegeben (im allgemeinen dann, wenn die ersten klinischen Anzeichen auftreten).
    Figure 00210002
    Figure 00220001
    Tabelle V: in-vivo-Antileishmanien-Wirkung der PX-Mischung gegen unterschiedliche Leishmania-Arten
    Figure 00230001
    Figure 00240001

Claims (8)

  1. Triterpensaponin, das mit einem Verfahren zur Isolation von Triterpensaponinen aus der Familie Myrsinaceae erhältlich ist, wobei die Saponine aus der Pflanzenart Maesa balansae isoliert werden, wobei das Verfahren die folgenden Schritte umfaßt: (a) Extrahieren der getrockneten Pflanzenteile mit einem Alkohol und Einengen des Extrakts, (b) Entfernen der unpolaren Fraktion aus dem Extrakt mittels Flüssig-Flüssig-Extraktion mit einem unpolaren Lösungsmittel, (c) weitere Aufreinigung der Saponine in dem Alkoholextrakt mittels Flüssig-Flüssig-Extraktion, Filtration und Chromatographie, und (d) die Chromatographie umfaßt eine Umkehrphasen-Flüssigkeitschromatographie mit einem Gradientenelutionssystem unter Verwendung von A: 0,5% Ammoniumacetat in Wasser B: Methanol C: Acetonitril wobei zum Zeitpunkt t = 0 (A:B:C)=(60:20:20) und zum Zeitpunkt t = Ende (A:B:C)=(0:50:50) und wobei das Saponin die folgenden Kennwerte aufweist: Verbindung 1: MG = 1532, λmax = 228,6 nm, λmax2 = 273,3 nm; Verbindung 2: MG = 1510, λmax = 223,9 nm, λmax2 = 274,5 nm; Verbindung 3: MG = 1532, λmax = 279,2 nm, λmax2 = 223,9 nm; Verbindung 4: MG = 1510, λmax = 280,4 nm, λmax2 = 222,7 nm; Verbindung 5: MG = 1574, λmax = 276,8 nm, λmax2 = 225, 0 nm bzw. Verbindung 6: MG = 1552, λmax = 279,2 nm, λmax2 = 223,9 nm.
  2. Triterpensaponin mit der Formel
    Figure 00260001
    in der R2 -O(C=O)C6H5 oder -O(C=O)C(CH3)=CHCH3 bedeutet, R3 (E)- oder (Z)-O(C=O)CH=CH-C6H5 bedeutet und R4 Wasserstoff oder -(C=O)CH3 bedeutet.
  3. Verbindung nach Anspruch 2, wobei in Verbindung 1 R2 -O(C=O)C6H5 bedeutet, R3 (Z)-O(C=O)CH=CH-C6H5 bedeutet, R4 Wasserstoff bedeutet; in Verbindung 2 R2 -O(C=O)C(CH3)=CHCH3 bedeutet, R3 (Z) -O(C=O)CH=CH-C6H5 bedeutet, R4 Wasserstoff bedeutet; in Verbindung 3 R2 -O(C=O)C6H5 bedeutet, R3 (E)-O(C=O) CH=CH-C6H5 bedeutet, R4 Wasserstoff bedeutet; in Verbindung 4 R2 -O(C=O)C(CH3)=CHCH3 bedeutet, R3 (E) -O(C=O)CH=CH-C6H5 bedeutet, R4 Wasserstoff bedeutet; in Verbindung 5 R2 -O(C=O)C6H5 bedeutet, R3 (E) -O(C=O)CH=CH-C6H5 bedeutet, R4 -(C=O)CH3 bedeutet; in Verbindung 6 R2 -O(C=O)C(CH3)=CHCH3 bedeutet, R3 (E) -O(C=O)CH=CH-C6H5 bedeutet, R4 -(C=O)CH3 bedeutet.
  4. Pharmazeutische Zusammensetzung, die einen pharmazeutisch unbedenklichen Träger sowie als Wirkstoff ein wie in Anspruch 1, 2 oder 3 definiertes Triterpensaponin enthält.
  5. Zusammensetzung nach Anspruch 4, das an den parenteralen Verabreichungsweg angepaßt ist.
  6. Verwendung von einem oder mehreren Triterpensaponinen zur Herstellung einer pharmazeutischen Zusammensetzung zur Behandlung von Leishmania-Erkrankungen in Wirten, die mit Leishmania-Arten infiziert sind, dadurch gekennzeichnet, daß das Saponin die Formel
    Figure 00270001
    oder eine ihrer stereoisomeren Formen oder eines ihrer pharmazeutisch unbedenklichen Additionssalze aufweist, in der R1 Wasserstoff, – (C=O) C1-5-Alkyl, -(C=O)C2-5-Alkenyl, phenylsubstituiertes -(C=O)C2-5-Alkenyl, eine Monosaccharidgruppe oder eine Oligosaccharidgruppe bedeutet; R2 Wasserstoff, Hydroxy, -O(C=O)C1-5-Alkyl, -O (C=O) C2-5-Alkenyl, -O (C=O) C6H5 oder phenylsubstituiertes -O(C=O)C2-5-Alkenyl bedeutet; R3 Wasserstoff, Hydroxy, -O(C=O)C1-5-Alkyl, -O(C=O)C2-5-Alkenyl, -O(C=O)C6H5 oder phenylsubstituiertes -O(C=O)C2-5-Alkenyl bedeutet; R4 Wasserstoff, C1-6-Alkyl, -(C=O)C1-5-Alkyl, -(C=O)C2-5-Alkenyl, -(C=O)C6H5 oder phenylsubstituiertes -(C=O)C2-5-Alkenyl bedeutet; R5 CH3, CH2OH, CH2OCH3, CH2O-C(=O)CH3, CHO, COOH bedeutet; oder R5 und R2 einen zweiwertigen Rest der Formel -C(=O)-O- bilden; R6 und R7 Wasserstoff bedeuten oder gemeinsam eine Bindung bilden; oder R5 und R6 einen zweiwertigen Rest der Formel -CH2-O- (a), -CH(OR13)-O- (b), -C(=O)-O- (c),in der R13 Wasserstoff, C1-6-Alkyl oder -(C=O)C1-5-Alkyl bedeutet, bilden; R und R jeweils unabhängig voneinander CH3, CH2OH, CH2OCH3, CH2O-C(=O)C1-5-Alkyl, CHO, CH(OCH3)2, CH=NOH, COOH bedeuten; R und R3 einen zweiwertigen Rest der Formel -C(=O)-O- bilden; R und R5 einen zweiwertigen Rest der Formel -CH2O-CHOH- bilden; R9 CH3, CH2OH, CH2OCH3, CH2O-C(=O)C1-5-Alkyl, CHO, COOH bedeutet; R10 CH3, CH2OH, CH2OCH3, CH2O-C(=O)C1-5-Alkyl, CHO, COOH bedeutet; R11 Wasserstoff, Hydroxy oder O-C(=O)C1-5-Alkyl bedeutet, oder R10 und R11 einen zweiwertigen Rest der Formel -CH2O- bilden; und R12 CH3, CH2OH, CH2OCH3, CH2O-C(=O)CH3, CHO, CH=NOH oder COOH bedeutet.
  7. Verwendung nach Anspruch 6, wobei R1 Wasserstoff, -(C=O)C1-5-Alkyl oder eine Oligosaccharidgruppe bedeutet; R3 Wasserstoff, Hydroxy, -O(C=O)C1-5-Alkyl, -O(C=O)C2-5-Alkenyl, phenylsubstituiertes -O(C=O)C2-5-Alkenyl bedeutet; R4 Wasserstoff, C1-6-Alkyl, -(C=O)C1-5-Alkyl, -(C=O)C2-5-Alkenyl bedeutet; R5 CH2OH, CH2O-C(=O)CH3, CHO bedeutet; und R6 und R7 gemeinsam eine Bindung bilden; oder R5 und R6 einen zweiwertigen Rest der Formel -CH2-O- (a), -CH(OR13)-O- (b), -C(=O)-O- (c),in der R13 Wasserstoff, C1-6-Alkyl oder -(C=O)C1-5-Alkyl bedeutet, bilden; und R7 Wasserstoff bedeutet; R CH3, CH2OH, CHO, CH(OCH3)2, CH=NOH, COOH bedeutet; R CH3 bedeutet; R und R3 einen zweiwertigen Rest der Formel -C(=O)-O- bilden; oder R und R5 einen zweiwertigen Rest der Formel -CH2O-CHOH- bilden; R10 CH3, CH2OH bedeutet; R11 Wasserstoff, Hydroxy oder O-C(=O)C1-5-Alkyl bedeutet; oder R10 und R11 einen zweiwertigen Rest der Formel -CH2O- bilden; und R12 CH3, CH2OH, CH2O-C(=O)CH3, CHO oder CH=NOH bedeutet.
  8. Verwendung nach Anspruch 7, wobei R1 Wasserstoff oder eine Oligosaccharidgruppe bedeutet; R2 Wasserstoff, Hydroxy, -O(C=O)C1-5-Alkyl, -O(C=O)C2-5-Alkenyl, -O(C=O)C6H5 oder phenylsubstituiertes -O(C=O)C2-5-Alkenyl bedeutet; R3 Wasserstoff, Hydroxy, -O(C=O)C1-5-Alkyl, -O(C=O)C2-5-Alkenyl oder phenylsubstituiertes -O(C=O)C2-5-Alkenyl bedeutet; R4 Wasserstoff, C1-6-Alkyl, -(C=O)C1-5-Alkyl, -(C=O)C2-5-Alkenyl oder phenylsubstituiertes -(C=O)C2-5-Alkenyl bedeutet; R5 CH2OH, CH2OCH3, CH2O-C(=O)CH3, CHO, COOH bedeutet; und R6 und R7 gemeinsam eine Bindung bilden; oder R5 und R6 einen zweiwertigen Rest der Formel -CH2-O- (a), -CH(OR13)-O- (b), -C(=O)-O- (c),in der R13 Wasserstoff bedeutet, bilden; und R7 Wasserstoff bedeutet; R und R beide CH3 bedeuten; R9 CH3 bedeutet; R10 CH3 bedeutet; R11 Wasserstoff bedeutet; und R12 CH3 bedeutet.
DE69918166T 1998-12-22 1999-12-15 Antiprotozoale saponine Expired - Fee Related DE69918166T2 (de)

Applications Claiming Priority (3)

Application Number Priority Date Filing Date Title
EP98204409 1998-12-22
EP98204409 1998-12-22
PCT/EP1999/010177 WO2000038700A1 (en) 1998-12-22 1999-12-15 Antiprotozoal saponins

Publications (2)

Publication Number Publication Date
DE69918166D1 DE69918166D1 (de) 2004-07-22
DE69918166T2 true DE69918166T2 (de) 2005-07-07

Family

ID=8234537

Family Applications (1)

Application Number Title Priority Date Filing Date
DE69918166T Expired - Fee Related DE69918166T2 (de) 1998-12-22 1999-12-15 Antiprotozoale saponine

Country Status (22)

Country Link
US (2) US6872713B1 (de)
EP (1) EP1140127B1 (de)
JP (1) JP2003521463A (de)
KR (1) KR100613241B1 (de)
CN (1) CN1250235C (de)
AP (1) AP1606A (de)
AR (1) AR029878A1 (de)
AT (1) ATE269097T1 (de)
AU (1) AU768712B2 (de)
BR (1) BR9916422A (de)
CO (1) CO5140124A1 (de)
DE (1) DE69918166T2 (de)
DK (1) DK1140127T3 (de)
EG (1) EG24064A (de)
ES (1) ES2224739T3 (de)
IL (2) IL143831A0 (de)
MA (1) MA25271A1 (de)
MY (1) MY129288A (de)
OA (1) OA11739A (de)
TR (1) TR200101824T2 (de)
TW (1) TWI237028B (de)
WO (1) WO2000038700A1 (de)

Families Citing this family (23)

* Cited by examiner, † Cited by third party
Publication number Priority date Publication date Assignee Title
US7524824B2 (en) 2003-09-04 2009-04-28 Pacific Arrow Limited Composition comprising Xanthoceras sorbifolia extracts, compounds isolated from same, methods for preparing same and uses thereof
WO2005037200A2 (en) * 2003-10-09 2005-04-28 Pacific Arrow Limited Composition comprising xanthoceras sorbifolia extracts, compounds isolated from same, methods for preparing same and uses thereof
US7727561B2 (en) * 2001-08-31 2010-06-01 Pacific Arrow Limited Composition comprising Xanthoceras sorbifolia extracts, compounds isolated from same, methods for preparing same and uses thereof
US7514412B2 (en) * 2003-10-09 2009-04-07 Pacific Arrow Limited Anticancer biangeloyl saponins
US7488753B2 (en) 2003-10-09 2009-02-10 Pacific Arrow Limited Composition comprising triterpene saponins and compounds with angeloyl functional group, methods for preparing same and uses thereof
US8614197B2 (en) 2003-10-09 2013-12-24 Pacific Arrow Limited Anti-tumor compounds with angeloyl groups
US8735558B2 (en) 2005-02-14 2014-05-27 Pacific Arrow Limited Blocking the migration or metastasis of cancer cells by affecting adhesion proteins and the uses of new compounds thereof
US9382285B2 (en) 2004-09-07 2016-07-05 Pacific Arrow Limited Methods and compounds for modulating the secretion or expression of adhesion proteins or angiopoietins of cells
US10213451B2 (en) * 2004-09-07 2019-02-26 Pacific Arrow Limited Methods and compounds for modulating the secretion or expression of adhesion proteins or angiopoietins of cells
US8586719B2 (en) * 2005-04-27 2013-11-19 Pacific Arrow Limited Triterpenes for modulating gene expression and cell membrane, and as antiprotozoal agents
US7783718B2 (en) 2006-06-15 2010-08-24 Microsoft Corporation Locating services using compiled scopes
AU2009226063A1 (en) * 2008-02-15 2009-09-24 Pacific Arrow Limited Blocking the metastasis of cancer cells and the uses of new compounds thereof
EP2285821B1 (de) * 2008-06-17 2014-12-17 Pawan Kumar Goel Neuartiges verfahren zur extraktion von furostanol-saponinen aus bockshornkleesamen
US9499577B2 (en) 2009-07-16 2016-11-22 Pacific Arrow Limited Natural and synthetic compounds for treating cancer and other diseases
US20120277308A1 (en) 2010-07-16 2012-11-01 Pacific Arrow Limited compounds for treating cancer and other diseases
US9434677B2 (en) 2009-07-16 2016-09-06 Pacific Arrow Limited Natural and synthetic compounds for treating cancer and other diseases
JP5926506B2 (ja) * 2011-06-23 2016-05-25 バイオランド・リミテッド コラーゲン産生促進剤の製造方法、mmp−1阻害剤の製造方法及び皮膚外用組成物の製造方法
US9168268B1 (en) * 2013-04-09 2015-10-27 Universidad De Antioquia Saponins and chromans derivatives mixture compositions against leishmaniasis, Trypanosomiasis americana, malaria, Trypanosomiasis africana and Fasciola hepatica
GB201404505D0 (en) * 2013-09-06 2014-04-30 Mars Inc Oral anti-parasitic composition
KR101877845B1 (ko) * 2018-01-29 2018-07-12 전진바이오팜 주식회사 돼지감자 추출물 및 고삼 추출물을 포함하는 어류 기생충 감염의 예방 또는 치료용 조성물
CN113549118B (zh) * 2021-06-23 2022-04-22 广东菁萃生物科技有限公司 一种高纯度三萜皂苷的提取方法及其应用
CN118324844B (zh) * 2024-04-22 2025-06-20 河南中医药大学 一种从山银柴胡中制备齐墩果烷型化合物五环三萜a的方法及其应用
CN119192273B (zh) * 2024-10-28 2025-11-11 河南中医药大学 从山银柴胡中提取的齐墩果烷型化合物新五环三萜b及其提取方法与应用

Family Cites Families (3)

* Cited by examiner, † Cited by third party
Publication number Priority date Publication date Assignee Title
US5064823A (en) * 1988-08-24 1991-11-12 Research Triangle Institute Pentacyclic triterpenoid compounds as topoisomerase inhibitors or cell differentiation inducers
US5922837A (en) * 1995-09-20 1999-07-13 Merck & Co., Inc. Antiprotozoal cyclic tetrapeptides
AU3589899A (en) * 1998-04-17 1999-11-08 Her Majesty The Queen In Right Of Canada As Represented By The Department Of Agriculture And Agri-Food Canada Process for recovery and purification of saponins and sapogenins from quinoa ((chenopodium quinoa))

Also Published As

Publication number Publication date
AP1606A (en) 2006-05-03
EP1140127A1 (de) 2001-10-10
KR100613241B1 (ko) 2006-08-18
BR9916422A (pt) 2001-10-02
US20040138151A1 (en) 2004-07-15
IL143831A0 (en) 2002-04-21
EP1140127B1 (de) 2004-06-16
JP2003521463A (ja) 2003-07-15
AU2100200A (en) 2000-07-31
IL143831A (en) 2006-12-10
CO5140124A1 (es) 2002-03-22
US6872713B1 (en) 2005-03-29
ES2224739T3 (es) 2005-03-01
CN1250235C (zh) 2006-04-12
AR029878A1 (es) 2003-07-23
MY129288A (en) 2007-03-30
KR20010080471A (ko) 2001-08-22
TWI237028B (en) 2005-08-01
AU768712B2 (en) 2004-01-08
OA11739A (en) 2005-05-13
WO2000038700A1 (en) 2000-07-06
MA25271A1 (fr) 2001-10-01
AP2001002208A0 (en) 2001-09-30
DE69918166D1 (de) 2004-07-22
CN1331601A (zh) 2002-01-16
DK1140127T3 (da) 2004-10-18
TR200101824T2 (tr) 2001-11-21
EG24064A (en) 2008-05-08
ATE269097T1 (de) 2004-07-15

Similar Documents

Publication Publication Date Title
DE69918166T2 (de) Antiprotozoale saponine
DE60015161T2 (de) Pestizide makrolide
DE69631376T2 (de) Substituierte liposaccaride, nützlich in der behandlung und vorbeugung von endotoxemie
EP0501205B1 (de) Antiphlogistisches Mittel
DE69930619T2 (de) Verwendung von rosmarinsäure und deren derivate als immunsuppressor oder als inhibitor von sh-2 vermittelten prozessen
EP1299406A1 (de) Curcumin-derivate mit gegenüber curcumin verbesserter wasserlöslichkeit und diese enthaltende arzneimittel
DE3310556C2 (de)
DE69805096T2 (de) Verwendung von ginkgo biloba extrakten zur herstellung eines medikaments
DE3688807T2 (de) Isolierung von Castanospermin und dessen Verwendung als antidiabetisches Heilmittel.
EP0501206B1 (de) Phenonverbindungen, Verfahren zu ihrer Herstellung und diese enthaltende pharmazeutische Zubereitungen
DE60115237T2 (de) Praziquantel zusammensetzungen zur behandlung von krankheiten verursacht durch kokzidien
DE69129334T2 (de) Avermectine und milbemycine zur behandlung von parazitären infektionen beim hund
DD270656A5 (de) Verfahren zur herstellung eines aeusserlich anwendbaren, antiviralen, in der haut akkumulierenden pharmazeutischen praeparates
DE2215499C2 (de) Diäther des Östradiol
DE68902036T2 (de) Verwendung von acetogeninen in der therapie als antiparasitaere substanzen.
DE10356409A1 (de) Neues Arzneimittel Oxachelin und Derivate
EP0950411B1 (de) Verfahren zur Herstellung eines Extraktes aus Copalchirinde und Verwendung der Neoflavonoide zur Behandlung von Diabetes
EP0443198B1 (de) Diterpene mit immunmodulatorischer Wirkung
DE60004007T2 (de) Ein Verfahren zur Isolierung 2-Deoxyecdysteron aus Zoanthus sp und ihre Verwendung zur Herstellung eines Medikaments zur Geburtseinleitung oder zum Schwangerschaftsabbruch
DE1618224C3 (de) D-Homosteroide, Verfahren zu deren Herstellung und diese enthaltende pharmazeutische Zubereitungen
EP1022024A2 (de) Anticholestatische Wirksamkeit von Luteolin, Apigenin und Naringenin
DE10029047B4 (de) Verwendung von Luteolin-7-O-glucuronid als Wirkstoff in einem anticholestatischen Arzneimittel
DE69617918T2 (de) Vorbeugendes/heilendes mittel für lebererkrankungen
MXPA01006405A (en) Antiprotozoal saponins
DE3434562A1 (de) Verwendung von pyrrothinderivaten

Legal Events

Date Code Title Description
8364 No opposition during term of opposition
8339 Ceased/non-payment of the annual fee