CN1229373C - 作为神经激肽1拮抗剂的哌啶衍生物 - Google Patents
作为神经激肽1拮抗剂的哌啶衍生物 Download PDFInfo
- Publication number
- CN1229373C CN1229373C CNB028046064A CN02804606A CN1229373C CN 1229373 C CN1229373 C CN 1229373C CN B028046064 A CNB028046064 A CN B028046064A CN 02804606 A CN02804606 A CN 02804606A CN 1229373 C CN1229373 C CN 1229373C
- Authority
- CN
- China
- Prior art keywords
- phenyl
- trifluoromethyl
- bis
- methanone
- rac
- Prior art date
- Legal status (The legal status is an assumption and is not a legal conclusion. Google has not performed a legal analysis and makes no representation as to the accuracy of the status listed.)
- Expired - Fee Related
Links
Classifications
-
- C—CHEMISTRY; METALLURGY
- C07—ORGANIC CHEMISTRY
- C07D—HETEROCYCLIC COMPOUNDS
- C07D295/00—Heterocyclic compounds containing polymethylene-imine rings with at least five ring members, 3-azabicyclo [3.2.2] nonane, piperazine, morpholine or thiomorpholine rings, having only hydrogen atoms directly attached to the ring carbon atoms
- C07D295/04—Heterocyclic compounds containing polymethylene-imine rings with at least five ring members, 3-azabicyclo [3.2.2] nonane, piperazine, morpholine or thiomorpholine rings, having only hydrogen atoms directly attached to the ring carbon atoms with substituted hydrocarbon radicals attached to ring nitrogen atoms
- C07D295/12—Heterocyclic compounds containing polymethylene-imine rings with at least five ring members, 3-azabicyclo [3.2.2] nonane, piperazine, morpholine or thiomorpholine rings, having only hydrogen atoms directly attached to the ring carbon atoms with substituted hydrocarbon radicals attached to ring nitrogen atoms substituted by singly or doubly bound nitrogen atoms
- C07D295/135—Heterocyclic compounds containing polymethylene-imine rings with at least five ring members, 3-azabicyclo [3.2.2] nonane, piperazine, morpholine or thiomorpholine rings, having only hydrogen atoms directly attached to the ring carbon atoms with substituted hydrocarbon radicals attached to ring nitrogen atoms substituted by singly or doubly bound nitrogen atoms with the ring nitrogen atoms and the substituent nitrogen atoms separated by carbocyclic rings or by carbon chains interrupted by carbocyclic rings
-
- A—HUMAN NECESSITIES
- A61—MEDICAL OR VETERINARY SCIENCE; HYGIENE
- A61P—SPECIFIC THERAPEUTIC ACTIVITY OF CHEMICAL COMPOUNDS OR MEDICINAL PREPARATIONS
- A61P1/00—Drugs for disorders of the alimentary tract or the digestive system
- A61P1/04—Drugs for disorders of the alimentary tract or the digestive system for ulcers, gastritis or reflux esophagitis, e.g. antacids, inhibitors of acid secretion, mucosal protectants
-
- A—HUMAN NECESSITIES
- A61—MEDICAL OR VETERINARY SCIENCE; HYGIENE
- A61P—SPECIFIC THERAPEUTIC ACTIVITY OF CHEMICAL COMPOUNDS OR MEDICINAL PREPARATIONS
- A61P1/00—Drugs for disorders of the alimentary tract or the digestive system
- A61P1/08—Drugs for disorders of the alimentary tract or the digestive system for nausea, cinetosis or vertigo; Antiemetics
-
- A—HUMAN NECESSITIES
- A61—MEDICAL OR VETERINARY SCIENCE; HYGIENE
- A61P—SPECIFIC THERAPEUTIC ACTIVITY OF CHEMICAL COMPOUNDS OR MEDICINAL PREPARATIONS
- A61P11/00—Drugs for disorders of the respiratory system
-
- A—HUMAN NECESSITIES
- A61—MEDICAL OR VETERINARY SCIENCE; HYGIENE
- A61P—SPECIFIC THERAPEUTIC ACTIVITY OF CHEMICAL COMPOUNDS OR MEDICINAL PREPARATIONS
- A61P11/00—Drugs for disorders of the respiratory system
- A61P11/06—Antiasthmatics
-
- A—HUMAN NECESSITIES
- A61—MEDICAL OR VETERINARY SCIENCE; HYGIENE
- A61P—SPECIFIC THERAPEUTIC ACTIVITY OF CHEMICAL COMPOUNDS OR MEDICINAL PREPARATIONS
- A61P11/00—Drugs for disorders of the respiratory system
- A61P11/08—Bronchodilators
-
- A—HUMAN NECESSITIES
- A61—MEDICAL OR VETERINARY SCIENCE; HYGIENE
- A61P—SPECIFIC THERAPEUTIC ACTIVITY OF CHEMICAL COMPOUNDS OR MEDICINAL PREPARATIONS
- A61P17/00—Drugs for dermatological disorders
- A61P17/02—Drugs for dermatological disorders for treating wounds, ulcers, burns, scars, keloids, or the like
-
- A—HUMAN NECESSITIES
- A61—MEDICAL OR VETERINARY SCIENCE; HYGIENE
- A61P—SPECIFIC THERAPEUTIC ACTIVITY OF CHEMICAL COMPOUNDS OR MEDICINAL PREPARATIONS
- A61P19/00—Drugs for skeletal disorders
- A61P19/02—Drugs for skeletal disorders for joint disorders, e.g. arthritis, arthrosis
-
- A—HUMAN NECESSITIES
- A61—MEDICAL OR VETERINARY SCIENCE; HYGIENE
- A61P—SPECIFIC THERAPEUTIC ACTIVITY OF CHEMICAL COMPOUNDS OR MEDICINAL PREPARATIONS
- A61P25/00—Drugs for disorders of the nervous system
-
- A—HUMAN NECESSITIES
- A61—MEDICAL OR VETERINARY SCIENCE; HYGIENE
- A61P—SPECIFIC THERAPEUTIC ACTIVITY OF CHEMICAL COMPOUNDS OR MEDICINAL PREPARATIONS
- A61P25/00—Drugs for disorders of the nervous system
- A61P25/02—Drugs for disorders of the nervous system for peripheral neuropathies
-
- A—HUMAN NECESSITIES
- A61—MEDICAL OR VETERINARY SCIENCE; HYGIENE
- A61P—SPECIFIC THERAPEUTIC ACTIVITY OF CHEMICAL COMPOUNDS OR MEDICINAL PREPARATIONS
- A61P25/00—Drugs for disorders of the nervous system
- A61P25/06—Antimigraine agents
-
- A—HUMAN NECESSITIES
- A61—MEDICAL OR VETERINARY SCIENCE; HYGIENE
- A61P—SPECIFIC THERAPEUTIC ACTIVITY OF CHEMICAL COMPOUNDS OR MEDICINAL PREPARATIONS
- A61P25/00—Drugs for disorders of the nervous system
- A61P25/14—Drugs for disorders of the nervous system for treating abnormal movements, e.g. chorea, dyskinesia
- A61P25/16—Anti-Parkinson drugs
-
- A—HUMAN NECESSITIES
- A61—MEDICAL OR VETERINARY SCIENCE; HYGIENE
- A61P—SPECIFIC THERAPEUTIC ACTIVITY OF CHEMICAL COMPOUNDS OR MEDICINAL PREPARATIONS
- A61P25/00—Drugs for disorders of the nervous system
- A61P25/18—Antipsychotics, i.e. neuroleptics; Drugs for mania or schizophrenia
-
- A—HUMAN NECESSITIES
- A61—MEDICAL OR VETERINARY SCIENCE; HYGIENE
- A61P—SPECIFIC THERAPEUTIC ACTIVITY OF CHEMICAL COMPOUNDS OR MEDICINAL PREPARATIONS
- A61P25/00—Drugs for disorders of the nervous system
- A61P25/22—Anxiolytics
-
- A—HUMAN NECESSITIES
- A61—MEDICAL OR VETERINARY SCIENCE; HYGIENE
- A61P—SPECIFIC THERAPEUTIC ACTIVITY OF CHEMICAL COMPOUNDS OR MEDICINAL PREPARATIONS
- A61P25/00—Drugs for disorders of the nervous system
- A61P25/24—Antidepressants
-
- A—HUMAN NECESSITIES
- A61—MEDICAL OR VETERINARY SCIENCE; HYGIENE
- A61P—SPECIFIC THERAPEUTIC ACTIVITY OF CHEMICAL COMPOUNDS OR MEDICINAL PREPARATIONS
- A61P25/00—Drugs for disorders of the nervous system
- A61P25/28—Drugs for disorders of the nervous system for treating neurodegenerative disorders of the central nervous system, e.g. nootropic agents, cognition enhancers, drugs for treating Alzheimer's disease or other forms of dementia
-
- A—HUMAN NECESSITIES
- A61—MEDICAL OR VETERINARY SCIENCE; HYGIENE
- A61P—SPECIFIC THERAPEUTIC ACTIVITY OF CHEMICAL COMPOUNDS OR MEDICINAL PREPARATIONS
- A61P25/00—Drugs for disorders of the nervous system
- A61P25/30—Drugs for disorders of the nervous system for treating abuse or dependence
- A61P25/36—Opioid-abuse
-
- A—HUMAN NECESSITIES
- A61—MEDICAL OR VETERINARY SCIENCE; HYGIENE
- A61P—SPECIFIC THERAPEUTIC ACTIVITY OF CHEMICAL COMPOUNDS OR MEDICINAL PREPARATIONS
- A61P27/00—Drugs for disorders of the senses
- A61P27/02—Ophthalmic agents
-
- A—HUMAN NECESSITIES
- A61—MEDICAL OR VETERINARY SCIENCE; HYGIENE
- A61P—SPECIFIC THERAPEUTIC ACTIVITY OF CHEMICAL COMPOUNDS OR MEDICINAL PREPARATIONS
- A61P27/00—Drugs for disorders of the senses
- A61P27/16—Otologicals
-
- A—HUMAN NECESSITIES
- A61—MEDICAL OR VETERINARY SCIENCE; HYGIENE
- A61P—SPECIFIC THERAPEUTIC ACTIVITY OF CHEMICAL COMPOUNDS OR MEDICINAL PREPARATIONS
- A61P29/00—Non-central analgesic, antipyretic or antiinflammatory agents, e.g. antirheumatic agents; Non-steroidal antiinflammatory drugs [NSAID]
-
- A—HUMAN NECESSITIES
- A61—MEDICAL OR VETERINARY SCIENCE; HYGIENE
- A61P—SPECIFIC THERAPEUTIC ACTIVITY OF CHEMICAL COMPOUNDS OR MEDICINAL PREPARATIONS
- A61P37/00—Drugs for immunological or allergic disorders
- A61P37/08—Antiallergic agents
-
- A—HUMAN NECESSITIES
- A61—MEDICAL OR VETERINARY SCIENCE; HYGIENE
- A61P—SPECIFIC THERAPEUTIC ACTIVITY OF CHEMICAL COMPOUNDS OR MEDICINAL PREPARATIONS
- A61P43/00—Drugs for specific purposes, not provided for in groups A61P1/00-A61P41/00
-
- A—HUMAN NECESSITIES
- A61—MEDICAL OR VETERINARY SCIENCE; HYGIENE
- A61P—SPECIFIC THERAPEUTIC ACTIVITY OF CHEMICAL COMPOUNDS OR MEDICINAL PREPARATIONS
- A61P9/00—Drugs for disorders of the cardiovascular system
-
- C—CHEMISTRY; METALLURGY
- C07—ORGANIC CHEMISTRY
- C07D—HETEROCYCLIC COMPOUNDS
- C07D211/00—Heterocyclic compounds containing hydrogenated pyridine rings, not condensed with other rings
- C07D211/04—Heterocyclic compounds containing hydrogenated pyridine rings, not condensed with other rings with only hydrogen or carbon atoms directly attached to the ring nitrogen atom
- C07D211/06—Heterocyclic compounds containing hydrogenated pyridine rings, not condensed with other rings with only hydrogen or carbon atoms directly attached to the ring nitrogen atom having no double bonds between ring members or between ring members and non-ring members
- C07D211/08—Heterocyclic compounds containing hydrogenated pyridine rings, not condensed with other rings with only hydrogen or carbon atoms directly attached to the ring nitrogen atom having no double bonds between ring members or between ring members and non-ring members with hydrocarbon or substituted hydrocarbon radicals directly attached to ring carbon atoms
- C07D211/10—Heterocyclic compounds containing hydrogenated pyridine rings, not condensed with other rings with only hydrogen or carbon atoms directly attached to the ring nitrogen atom having no double bonds between ring members or between ring members and non-ring members with hydrocarbon or substituted hydrocarbon radicals directly attached to ring carbon atoms with radicals containing only carbon and hydrogen atoms attached to ring carbon atoms
- C07D211/14—Heterocyclic compounds containing hydrogenated pyridine rings, not condensed with other rings with only hydrogen or carbon atoms directly attached to the ring nitrogen atom having no double bonds between ring members or between ring members and non-ring members with hydrocarbon or substituted hydrocarbon radicals directly attached to ring carbon atoms with radicals containing only carbon and hydrogen atoms attached to ring carbon atoms with hydrocarbon or substituted hydrocarbon radicals attached to the ring nitrogen atom
-
- C—CHEMISTRY; METALLURGY
- C07—ORGANIC CHEMISTRY
- C07D—HETEROCYCLIC COMPOUNDS
- C07D211/00—Heterocyclic compounds containing hydrogenated pyridine rings, not condensed with other rings
- C07D211/04—Heterocyclic compounds containing hydrogenated pyridine rings, not condensed with other rings with only hydrogen or carbon atoms directly attached to the ring nitrogen atom
- C07D211/06—Heterocyclic compounds containing hydrogenated pyridine rings, not condensed with other rings with only hydrogen or carbon atoms directly attached to the ring nitrogen atom having no double bonds between ring members or between ring members and non-ring members
- C07D211/08—Heterocyclic compounds containing hydrogenated pyridine rings, not condensed with other rings with only hydrogen or carbon atoms directly attached to the ring nitrogen atom having no double bonds between ring members or between ring members and non-ring members with hydrocarbon or substituted hydrocarbon radicals directly attached to ring carbon atoms
- C07D211/10—Heterocyclic compounds containing hydrogenated pyridine rings, not condensed with other rings with only hydrogen or carbon atoms directly attached to the ring nitrogen atom having no double bonds between ring members or between ring members and non-ring members with hydrocarbon or substituted hydrocarbon radicals directly attached to ring carbon atoms with radicals containing only carbon and hydrogen atoms attached to ring carbon atoms
- C07D211/16—Heterocyclic compounds containing hydrogenated pyridine rings, not condensed with other rings with only hydrogen or carbon atoms directly attached to the ring nitrogen atom having no double bonds between ring members or between ring members and non-ring members with hydrocarbon or substituted hydrocarbon radicals directly attached to ring carbon atoms with radicals containing only carbon and hydrogen atoms attached to ring carbon atoms with acylated ring nitrogen atom
-
- C—CHEMISTRY; METALLURGY
- C07—ORGANIC CHEMISTRY
- C07D—HETEROCYCLIC COMPOUNDS
- C07D211/00—Heterocyclic compounds containing hydrogenated pyridine rings, not condensed with other rings
- C07D211/04—Heterocyclic compounds containing hydrogenated pyridine rings, not condensed with other rings with only hydrogen or carbon atoms directly attached to the ring nitrogen atom
- C07D211/06—Heterocyclic compounds containing hydrogenated pyridine rings, not condensed with other rings with only hydrogen or carbon atoms directly attached to the ring nitrogen atom having no double bonds between ring members or between ring members and non-ring members
- C07D211/36—Heterocyclic compounds containing hydrogenated pyridine rings, not condensed with other rings with only hydrogen or carbon atoms directly attached to the ring nitrogen atom having no double bonds between ring members or between ring members and non-ring members with hetero atoms or with carbon atoms having three bonds to hetero atoms with at the most one bond to halogen, e.g. ester or nitrile radicals, directly attached to ring carbon atoms
- C07D211/56—Nitrogen atoms
- C07D211/58—Nitrogen atoms attached in position 4
-
- C—CHEMISTRY; METALLURGY
- C07—ORGANIC CHEMISTRY
- C07D—HETEROCYCLIC COMPOUNDS
- C07D401/00—Heterocyclic compounds containing two or more hetero rings, having nitrogen atoms as the only ring hetero atoms, at least one ring being a six-membered ring with only one nitrogen atom
- C07D401/02—Heterocyclic compounds containing two or more hetero rings, having nitrogen atoms as the only ring hetero atoms, at least one ring being a six-membered ring with only one nitrogen atom containing two hetero rings
- C07D401/04—Heterocyclic compounds containing two or more hetero rings, having nitrogen atoms as the only ring hetero atoms, at least one ring being a six-membered ring with only one nitrogen atom containing two hetero rings directly linked by a ring-member-to-ring-member bond
Landscapes
- Health & Medical Sciences (AREA)
- Chemical & Material Sciences (AREA)
- Organic Chemistry (AREA)
- Engineering & Computer Science (AREA)
- Bioinformatics & Cheminformatics (AREA)
- General Chemical & Material Sciences (AREA)
- Veterinary Medicine (AREA)
- Medicinal Chemistry (AREA)
- Nuclear Medicine, Radiotherapy & Molecular Imaging (AREA)
- Pharmacology & Pharmacy (AREA)
- Life Sciences & Earth Sciences (AREA)
- Animal Behavior & Ethology (AREA)
- General Health & Medical Sciences (AREA)
- Public Health (AREA)
- Chemical Kinetics & Catalysis (AREA)
- Neurosurgery (AREA)
- Biomedical Technology (AREA)
- Neurology (AREA)
- Pulmonology (AREA)
- Psychiatry (AREA)
- Pain & Pain Management (AREA)
- Hospice & Palliative Care (AREA)
- Addiction (AREA)
- Immunology (AREA)
- Rheumatology (AREA)
- Dermatology (AREA)
- Physical Education & Sports Medicine (AREA)
- Psychology (AREA)
- Orthopedic Medicine & Surgery (AREA)
- Otolaryngology (AREA)
- Ophthalmology & Optometry (AREA)
- Cardiology (AREA)
- Heart & Thoracic Surgery (AREA)
- Pharmaceuticals Containing Other Organic And Inorganic Compounds (AREA)
- Plural Heterocyclic Compounds (AREA)
- Hydrogenated Pyridines (AREA)
Abstract
本发明涉及通式I化合物,其中R1是可选被取代的苯基、吗啉基、哌嗪基、吡咯烷基、哌啶基,或者是硫代吗啉基、1-氧代-硫代吗啉基或1,1-二氧代-硫代吗啉基。这些化合物对NK-1受体具有良好的亲合性,它们因此适合于控制或治疗涉及该受体的疾病。
Description
本发明涉及下列通式化合物
其中
R1是a)苯基,它是未取代的或者被一个或多个取代基取代,取代基选自下列基团R1’:
-卤素,
-三氟甲基,
-哌嗪基,可选地被低级烷基取代,
-吗啉基,
-NH-苯基,
-吡咯烷基,
-NH(CH2)n-O-低级烷基,
-NR2,
-NH(CH2)n-环烷基,
-NH(CH2)n-NR2,或者是
b)吗啉基,可选地被一个或两个低级烷基取代,或者是
c)哌嗪基,它是未取代的或者在4-位被基团R1”取代,R1”是
-低级烷基,
-环烷基,
-苯基,
-苯并噁唑基,
-吡啶基,
-嘧啶基,
-吡嗪基,
-(CH2)n-环烷基,
-(CH2)n-苯基,
-(CH2)n-羟基,
-(CH2)n-CF3,
-(CH2)n-C(O)-吗啉基,
-(CH2)n-C(O)-N(R)-苯基,其中该苯基环可选地被低级烷基或卤素取代,
-(CH2)n-C(O)-NR2,
-C(O)-苯基,其中该苯基环可选地被三氟甲基取代,
-C(O)-(CH2)n-苯基,
-C(O)-NR2,
-C(O)-NR-(CHR)n-苯基,
-C(O)-低级烷基,
-C(O)-CF3,
-C(O)-环烷基,
-C(O)-吗啉基,
-C(O)-O-低级烷基,
-C(O)-O-(CH2)n-NR2,
-S(O)2-低级烷基,或者是
d)吡咯烷基,可选地被一个或多个基团R1取代,R1是
-卤素,
-羟基,
-=O,
-NR2,
-N(环烷基)2,
-N[(CH2)n-环烷基]2,
-NR-C(O)-环烷基,
-O-(CH2)n-环烷基,或者是
e)哌啶基,可选地在3或4位被一个或多个基团R1取代,R1是
-羟基,
-=O,
-卤素,
-吗啉基,
-NR2,
-NR-环烷基,
-NR-C(O)-环烷基,
-NR-C(O)-苯基,
-NR-C(O)-(CH2)n-苯基,
-O-(CH2)n-环烷基,或者是
f)硫代吗啉基、1-氧代-硫代吗啉基或1,1-二氧代硫代吗啉基;
R2独立于“m”,是氢、卤素、低级烷基、-NH-(CH2)n-O-低级烷基、吡咯烷基或吗啉基;
R3/R4彼此独立地是三氟甲基或卤素;
R是氢或低级烷基,并且在R2的情况下可以是相同或不同的;
n是1、2、3或4;
m是0、1或2;
及其药学上可接受的酸加成盐。
具体而言,本发明的化合物涉及下式
其中m是0、1或2,R1’、R2、R3和R4如上所述,或者涉及下式
其中R是低级烷基,m是0、1或2,R2、R3和R4具有上述含义,或者
其中m是0、1或2,R1”、R2、R3和R4具有上述含义,或者
其中m是0、1或2,R1、R2、R3和R4具有上述含义,或者
其中m是0、1或2,R1””、R2、R3和R4具有上述含义,或者
其中R2、R3和R4如上所述,m是0、1或2。
本发明进一步涵盖的是具有下式的化合物
其中
R1是苯基,它是未取代的或者被一个或两个取代基取代,取代基选自下列基团R1’:
-卤素,
-三氟甲基,
-哌嗪基,可选地被低级烷基取代,
-吗啉基,
-NH-苯基,
-吡咯烷基,
-NH(CH2)n-O-低级烷基,
-NR2,
-NH(CH2)n-环烷基,
-NH(CH2)n-NR2,或者是
吗啉基,或者是
哌嗪基,它是未取代的或者被基团R1”取代,R1”是
-低级烷基,
-环烷基,
-C(O)-苯基,其中该苯基环可选地被三氟甲基取代,
-(CH2)n-C(O)-NR2,
-(CH2)n-环烷基,
-(CH2)n-苯基,
-C(O)-低级烷基,
-C(O)-CF3,
-C(O)-环烷基,
-C(O)-吗啉基,
-C(O)-O-(CH2)n-NR2,
-(CH2)n-C(O)-N(R)-苯基,其中该苯基环可选地被低级烷基取代,
-吡嗪基,或者是
吡咯烷基,可选地被基团R1取代,R1是
-羟基,
-=O,
-O-(CH2)n-环烷基,或者是
哌啶基,可选地被基团R1””取代,R1””是
-羟基,
-O-(CH2)n-环烷基,
-=O,
-卤素,或者是
硫代吗啉基、1-氧代-硫代吗啉基或1,1-二氧代硫代吗啉基;
R2是氢、卤素、低级烷基、-NH-(CH2)n-O-低级烷基、吡咯烷基或吗啉基;
R是氢或低级烷基,并且在R2的情况下可以是相同或不同的;和
n是1、2、3或4;
及其药学上可接受的酸加成盐。
式I化合物及其盐是以宝贵的治疗性质为特征的。已经惊人地发现,本发明的化合物是神经激肽1(NK-1,P物质)受体的拮抗剂。P物质是天然存在的十一肽,属于肽的速激肽家族,后者之所以如此命名是因为它们对血管外平滑肌组织的迅捷的收缩作用。P物质受体是G蛋白偶联受体亚家族的成员。
P物质(NK-1)的神经肽受体广泛分布于哺乳动物神经系统(尤其是脑和脊神经节)、循环系统和外周组织(尤其是十二指肠和空肠),参与调节大量不同的生物学过程。哺乳动物速激肽P物质的中枢与外周作用与大量炎性病症有关,包括偏头痛、类风湿性关节炎、气喘和炎性肠疾病,以及催吐反射的介导和中枢神经系统(CNS)障碍的调制,例如帕金森氏病(Neurosci.Res.,1996,7,187-214)、焦虑(Can.J.Phys.,1997,75,612-621)和抑郁(Science,1998,281,1640-1645)。“Tachykinin Receptor andTachykinin Receptor Antagonists”,J.Auton.Pharmacol.,13,23-93,1993回顾了速激肽受体拮抗剂在下列病症中的有用性证据:疼痛;头痛,尤其是偏头痛;阿尔茨海默氏病;多发性硬化;吗啡戒断症状的弱化;心血管改变;水肿,例如由灼伤导致的水肿;慢性炎性疾病,例如类风湿性关节炎;气喘/支气管反应性过高和其他呼吸疾病,包括变应性鼻炎;肠的炎性疾病,包括溃疡性结肠炎和克罗恩氏病;眼部损伤和眼部炎性疾病。
此外,神经激肽1受体拮抗剂被开发用于治疗大量与速激肽、确切为P物质的过量或失衡有关的生理学障碍。其中牵涉P物质的病症实例包括中枢神经系统的障碍,例如焦虑、抑郁和精神病(WO95/16679,WO95/18124和WO95/23798)。
神经激肽-1受体拮抗剂进一步可用于治疗晕动病和治疗诱发的呕吐。
另外,The New England Journal of Medicine,Vol.340,No.3,190-195,1999已经描述过用选择性神经激肽-1受体拮抗剂减少顺铂诱发的呕吐。
此外,US 5,972,938描述了通过速激肽受体、例如NK-1受体拮抗剂的给药治疗精神免疫障碍或心身障碍的方法。
神经激肽1受体拮抗剂治疗某些形式尿失禁的有用性进一步描述在Neuropeptides,32(1),1-49,(1998)和Eur.J.Pharmacol.,383(3),297-303,(1999)中。
式I化合物还可以使用它们的前体药物形式。实例是酯、N-氧化物、磷酸酯、葡糖酰胺酯、甘油酯缀合物等。前体药物可以赋予本发明化合物以吸附作用、分布药动学和向脑转运方面的优点。
NK1受体拮抗剂据报道还在创伤性脑损伤疗法中具有有益效果(Nimmo教授口头公开于International Tachykinin Conference 2000 in LaGrande Motte,France,October 17-20,2000,题目为“Neurokinin 1(NK-1)Receptor Antagonists Improve the Neurological Outcome FollowingTraumatic Brain Injury”(作者:A.J.Nimmo,C.J.Bennett,X.Hu,I.Cernak,R.Vink)。
本发明的客体是式I化合物和其药学上可接受的盐、上述化合物的制备、含有它们的药剂和它们的制造以及上述化合物在疾病——尤其是前面提到的疾病和障碍类型——控制或预防中或者在相应药剂制造中的用途。本发明的客体是所有外消旋的式I化合物,包括它们相应的对映体。大多数对映体已经从它们相应的外消旋化合物中分离出来。相应的对映体已经显示出在下述NK-1结合试验中具有更高活性。
优选的立体化学位置是顺式-位置。
按照本发明,最优选的适应症包括中枢神经系统的障碍,例如通过NK-1受体拮抗剂的给药治疗或预防某些抑郁症或呕吐。重症抑郁发作已被定义为持续至少两周,其间大多数天数并且几乎每天存在抑郁情绪,或者对全部或几乎全部活动丧失兴趣或快乐。
下列用在本说明书中的一般性术语定义适用于有关术语单独或联合出现的情况。
本文所用的术语“低级烷基”表示含有1-7个碳原子的直链或支链烷基,例如甲基、乙基、丙基、异丙基、正丁基、异丁基、叔丁基等。优选的低级烷基是具有1-4个碳原子的基团。
术语“低级烷氧基”表示这样一种基团,其中的烷基是如上所定义的,并且经由氧原子连接。
术语“卤素”表示氯、碘、氟和溴。
术语“环烷基”表示含有3-6个碳原子的饱和碳环基团。
术语“药学上可接受的酸加成盐”涵盖无机与有机酸的盐,酸例如盐酸、硝酸、硫酸、磷酸、柠檬酸、甲酸、富马酸、马来酸、乙酸、琥珀酸、酒石酸、甲磺酸、对-甲苯磺酸等。
例如优选的是式IA化合物,其中R1’是氢、溴、吗啉基、4-甲基-哌嗪基或-NH(CH2)2OCH3,例如下列化合物:
外消旋-顺式-(3,5-双-三氟甲基-苯基)-[4-(4-吗啉-4-基-苯基)-3-苯基-哌啶-1-基]-甲酮,
外消旋-顺式-(3,5-双-三氟甲基-苯基)-{4-[4-(4-甲基-哌嗪-1-基)-苯基]-3-苯基-哌啶-1-基}-甲酮,
外消旋-顺式-(3,5-双-三氟甲基-苯基)-[3-(4-氯-苯基)-4-苯基-哌啶1-基]-甲酮,
外消旋-顺式-(3,5-双-三氟甲基-苯基)-[4-(3-溴-苯基)-3-苯基-哌啶-1-基]-甲酮,或
外消旋-顺式-(3,5-双-三氟甲基-苯基)-{4-[4-(2-甲氧基-乙氨基)-苯基]-3-苯基-哌啶-1-基}-甲酮。
进一步优选的是式IB化合物,其中R2是氢、氟或氯。这类化合物的实例是:
外消旋-顺式-(3,5-双-三氟甲基-苯基)-[3-(4-氯-苯基)-4-吗啉-4-基-哌啶-1-基]-甲酮,
外消旋-顺式-(3,5-双-三氟甲基-苯基)-(4-吗啉-4-基-3-苯基-哌啶-1-基)-甲酮,
外消旋-顺式-(3,5-双-三氟甲基-苯基)-[3-(4-氟-苯基)-4-吗啉-4-基-哌啶-1-基]-甲酮或
外消旋-顺式-(3,5-双-三氟甲基-苯基)-[3′-(4-氯-苯基)-4-吗啉-4-基-[1,4′]联哌啶-1′-基]-甲酮。
进一步优选的是式IC化合物,其中R1”是氢、甲基、-C(O)CF3、-(CH2)2OH、-CH2C(O)N(CH3)2、CH2-环丙基、苄基、-C(O)-环丙基、-C(O)-吗啉基、吡嗪基、环丙基或-CH2CONHC6H3(CH3)2、-CH2CONHC6H4F、-C(O)CH2-苯基,R2是氢、甲基、氯或氟。这类化合物的实例是:
外消旋-顺式-(3,5-双-三氟甲基-苯基)-[4-(4-甲基-哌嗪-1-基)-3-苯基-哌啶-1-基]-甲酮,
外消旋-顺式-(3,5-双-三氟甲基-苯基)-(3-苯基-4-哌嗪-1-基-哌啶-1-基)-甲酮,
外消旋-顺式-2-{4-[1-(3,5-双-三氟甲基-苯甲酰基)-3-苯基-哌啶-4-基]-哌嗪-1-基}-N,N-二甲基-乙酰胺,
外消旋-顺式-(3,5-双-三氟甲基-苯基)-[4-(4-环丙基甲基-哌嗪-1-基)-3-苯基-哌啶-1-基]-甲酮,
外消旋-顺式-[4-(4-苄基-哌嗪-1-基)-3-苯基-哌啶-1-基]-(3,5-双-三氟甲基-苯基)-甲酮,
外消旋-顺式-(3,5-双-三氟甲基-苯基)-[4-(4-环丙烷羰基-哌嗪-1-基)-3-苯基-哌啶-1-基]-甲酮,
外消旋-顺式-{4-[1-(3,5-双-三氟甲基-苯甲酰基)-3-苯基-哌啶-4-基]-哌嗪-1-基}-吗啉-4-基-甲酮,
外消旋-顺式-(3,5-双-三氟甲基-苯基)-[4-(4-环丙基-哌嗪-1-基)-3-苯基-哌啶-1-基]-甲酮,
外消旋-顺式-(3,5-双-三氟甲基-苯基)-[3-(4-氟-苯基)-4-(4-甲基-哌嗪-1-基)-哌啶-1-基]-甲酮,
外消旋-顺式-2-{4-[1-(3,5-双-三氟甲基-苯甲酰基)-3-苯基-哌啶-4-基]-哌嗪-1-基}-N-(2,6-二甲基-苯基)-乙酰胺,
外消旋-顺式-(3,5-双-三氟甲基-苯基)-[3-苯基-4-(2,3,5,6-四氢-[1,2′]联吡嗪-4-基)-哌啶-1-基]-甲酮,
(+)-(3,5-双-三氟甲基-苯基)-[4-(4-环丙烷羰基-哌嗪-1-基)-3-苯基-哌啶-1-基]-甲酮,
外消旋-顺式-2-{4-[1-(3,5-双-三氟甲基-苯甲酰基)-3-苯基-哌啶-4-基]-哌嗪-1-基}-N-(4-氟-苯基)-乙酰胺,
外消旋-顺式-1-{4-[1-(3,5-双-三氟甲基-苯甲酰基)-3-苯基-哌啶-4-基]-哌嗪-1-基}-2-苯基-乙酮,
外消旋-顺式-(3,5-双-三氟甲基-苯基)-[3-(4-氟-苯基)-4-哌嗪-1-基-哌啶-1-基]-甲酮,
外消旋-顺式-(3,5-双-三氟甲基-苯基)-[4-(4-环丙基甲基-哌嗪-1-基)-3-(4-氟-苯基)-哌啶-1-基]-甲酮,
(-)-(3,5-双-三氟甲基-苯基)-[3-(4-氟-苯基)-4-(4-甲基-哌嗪-1-基)-哌啶-1-基]-甲酮,
(-)-(3,5-双-三氟甲基-苯基)-[3-苯基-4-(4-甲基-哌嗪-1-基)-哌啶-1-基]-甲酮,
(-)-4-(3,5-双-三氟甲基-苯基)-[4-(4-环丙基甲基-哌嗪-1-基)-3-对-甲苯基-哌啶-1-基]-甲酮,
(-)-(3,5-双-三氟甲基-苯基)-[4-(4-环丙烷羰基-哌嗪-1-基)-3-对-甲苯基-哌啶-1-基]-甲酮,
(-)-(3,5-双-三氟甲基-苯基)-{4-[4-(吗啉-4-羰基)-哌嗪-1-基]-3-对-甲苯基-哌啶-1-基}-甲酮,
外消旋-顺式-1-{4-[1-(3,5-双-三氟甲基-苯甲酰基)-3-(4-氯-苯基)-哌啶-4-基]-哌嗪-1-基}-2,2,2-三氟-乙酮,
(-)-1-{4-[1-(3,5-双-三氟甲基-苯甲酰基)-3-(4-氯-苯基)-哌啶-4-基]-哌嗪-1-基}-2,2,2-三氟-乙酮,
(-)-(3,5-双-三氟甲基-苯基)-[4-(4-环丙基-哌嗪-1-基)-3-对-甲苯基-哌啶-1-基]-甲酮,
(-)-(3,5-双-三氟甲基-苯基)-[4-(4-甲基-哌嗪-1-基)-3-对-甲苯基-哌啶-1-基]-甲酮,
(-)-(3,5-双-三氟甲基-苯基)-[3-(4-氯-苯基)-4-(4-环丙基甲基-哌嗪-1-基)-哌啶-1-基]-甲酮,
(-)-(3,5-双-三氟甲基-苯基)-[4-(4-环丙基甲基-哌嗪-1-基)-3-苯基-哌啶-1-基]-甲酮,
(-)-(3,5-双-三氟甲基-苯基)-{4-[4-(2-羟基-乙基)-哌嗪-1-基]-3-苯基-哌啶-1-基}-甲酮,或
(-)-(3,5-双-三氟甲基-苯基)-[4-(4-环丙基-哌嗪-1-基)-3-苯基-哌啶-1-基]-甲酮。
进一步优选的是式IE化合物,其中R1””是氟、羟基、-NHC(O)-环丙基、-NHC(O)CH2-苯基、-NH-环丙基、-N(CH2)2、-OCH2-环丙基或=O,R2是氢、氯或氟。这类化合物的实例是:
外消旋-顺式-(3,5-双-三氟甲基-苯基)-(4,4-二氟-3′-苯基-[1,4′]联哌啶-1′-基)-甲酮,
外消旋-顺式-(3,5-双-三氟甲基-苯基)-[3′-(4-氟-苯基)-3-羟基-[1,4′]联哌啶-1′-基]-甲酮,
外消旋-顺式-(3,5-双-三氟甲基-苯基)-(4-羟基-3′-苯基-[1,4′]联哌啶-1′-基)-甲酮,
外消旋-顺式-(3,5-双-三氟甲基-苯基)-(4-环丙基甲氧基-3′-苯基-[1,4′]联哌啶-1′-基)-甲酮,
外消旋-顺式-1′-(3,5-双-三氟甲基-苯甲酰基)-3′-苯基-[1,4′]联哌啶-4-酮,
外消旋-顺式-(3,5-双-三氟甲基-苯基)-[3′-(4-氯-苯基)-4-羟基-[1,4′]联哌啶-1′-基]-甲酮,
外消旋-顺式-(3,5-双-三氟甲基-苯基)-[3′-(4-氯-苯基)-4-环丙基甲氧基-[1,4′]联哌啶-1′-基]-甲酮,
(3RS,3′RS,4SR)-和(3RS,3′SR,4SR)-环丙烷羧酸[1′-(3,5-双-三氟甲基-苯甲酰基)-3′-(4-氟-苯基)-[1,4′]联哌啶-3-基]-酰胺,
(3RS,3′RS,4SR)-和(3RS,3′SR,4SR)-N-[1′-(3,5-双-三氟甲基-苯甲酰基)-3′-(4-氟-苯基)-[1,4′]联哌啶-3-基]-2-苯基-乙酰胺,
外消旋-顺式-(3,5-双-三氟甲基-苯基)-[3′-(4-氯-苯基)-4-二甲氨基-[1,4′]联哌啶-1′-基]-甲酮,或
外消旋-顺式-(3,5-双-三氟甲基-苯基)-[3′-(4-氯-苯基)-4-环丙氨基-[1,4′]联哌啶-1′-基]-甲酮。
进一步优选的是式ID化合物,其中R1是氢、羟基、氨基、-OCH2-环丙基或=O,R2是氢、氯或氟。这类化合物的实例是:
(3R,3′R,4R)-和(3S,3′R,4S)-(3,5-双-三氟甲基-苯基)-[4-(3′-羟基-吡咯烷-1′-基)-3-苯基-哌啶-1-基]-甲酮,
(3R,3′R,4R)-和(3S,3′R,4S)-(3,5-双-三氟甲基-苯基)-[4-(3-环丙基甲氧基-吡咯烷-1-基)-3-苯基-哌啶-1-基]-甲酮,
外消旋-顺式-1-[1-(3,5-双-三氟甲基-苯甲酰基)-3-苯基-哌啶-4-基]-吡咯烷-3-酮,
(-)-(3,5-双-三氟甲基-苯基)-[3-(4-氯-苯基)-4-吡咯烷-1-基-哌啶-1-基]-甲酮或
(3RS,3′RS,4SR)-和(3RS,3′SR,4SR)-[4-(3-氨基-吡咯烷-1-基)-3-(4-氟-苯基)-哌啶-1-基]-(3,5-双-三氟甲基-苯基)-甲酮。
进一步优选的是式IF化合物,其中m是0、1或2,R2是氢。这类化合物的实例是:
外消旋-顺式-(3,5-双-三氟甲基-苯基)-(3-苯基-4-硫代吗啉-4-基-哌啶-1-基)-甲酮,
外消旋-顺式-(3,5-双-三氟甲基-苯基)-[4-(1-氧代-1λ4-硫代吗啉-4-基)-3-苯基-哌啶-1-基]-甲酮,或
外消旋-顺式-(3,5-双-三氟甲基-苯基)-[4-(1,1-二氧代-1λ6-硫代吗啉-4-基)-3-苯基-哌啶-1-基]-甲酮。
本发明的式I化合物和它们的药学上可接受的盐可以通过本领域已知的方法制备,例如下述方法,该方法包括
a)使下式化合物
与下式化合物反应,
得到下式化合物
其中R1是苯基,可选地被卤素取代,R2、R3和R4具有上述含义,hal是卤素,m是0、1或2,
或者
b)使下式化合物
与下式化合物反应,
脱苄基化,然后用式III化合物酰化,得到下式化合物
其中R、R2、R3、R4和m具有上述含义,或
其中R1”、R2、R3、R4和m具有上述含义,或
其中R1、R2、R3、R4和m具有上述含义,或
其中R1””、R2、R3、R4和m具有上述含义,或
其中R2、R3、R4和m具有上述含义,
或者
c)将下式化合物
用下式胺衍生物胺化,
R1’H VI
得到下式化合物
其中R1’是哌嗪基,可选地被低级烷基取代,吗啉基、-NH-苯基、吡咯烷基、-NH(CH2)n-O-低级烷基、-NR2、-NH(CH2)n-环烷基或-NH(CH2)n-NR2,R2、R3和R4定义同上,
或者
d)使下式化合物
与下式化合物反应,
R1”hal VII
得到下式化合物
其中各取代基定义同上,
或者
e)将下式化合物
用oxone氧化,得到下式化合物
其中m是1或2,R2、R3和R4如上所述,或者
f)将下式化合物
用下式化合物烷基化,
R5hal VIII
得到下式化合物
其中R5是-(CH2)n-环烷基,R2、R3、R4和m如上所述,
或者
g)氧化下式化合物
得到下式化合物
其中R2、R3、R4和m如上所述,或者
h)卤化下式化合物
得到下式化合物
和如果需要的话,将所得化合物转化为药学上可接受的酸加成盐。
下列路线1-8和具体实施例1-130更具体地描述式I化合物的制备方法。原料是已知的化合物,可以按照本领域已知的方法制备。
路线1
R1是苯基,可选地被卤素取代,R2、R3和R4如上所述,m是0、1或2,hal是氯或溴。
式II原料或它们的盐可以按照已知工艺得到(例如Petit,S.;Nallet,J.P.;Guillard,M.;Dreux,J.;Chermat,R.;Poncelet,M.;Bulach,C.;Simon,P.;Fontaine,C.;等,Eur.J.Med.Chem.1991,26,19-32)。
式I化合物可以这样得到,在碱例如三乙胺的存在下,在惰性溶剂例如二氯甲烷中,将式II化合物用式III的酰氯酰化。
路线2
R2如上所述,m是0、1或2,R1’是哌嗪基,可选地被低级烷基取代,或者是吗啉基、-NH-苯基、吡咯烷基、-NH(CH2)n-O-低级烷基、-NR2、-NH(CH2)n-环烷基或-NH(CH2)n-NR2,Hal是溴或氯,m是0、1或2。
式IA1化合物可以通过式V芳族氯化物或溴化物的胺化作用得到,反应使用式VI的胺,例如吗啉或N-甲基哌嗪;叔丁醇钠;催化剂,例如三(二亚苄基丙酮)二钯(0);配体,例如外消旋-2,2’-双(二苯膦基)-1,1’-联萘或联苯-2-基-二环己基-磷烷(phosphane);惰性溶剂,例如甲苯。该方法详细描述在S.Buchwald等,J.Am.Chem.Soc.1996,118,7215-7218和J.Am.Chem.Soc.1998,120,9722-9723中。
路线3
式IV原料可以按照文献中的工艺得到(例如Lindenmann,Adolf;Suess,Rudolf.,CH 545288)。
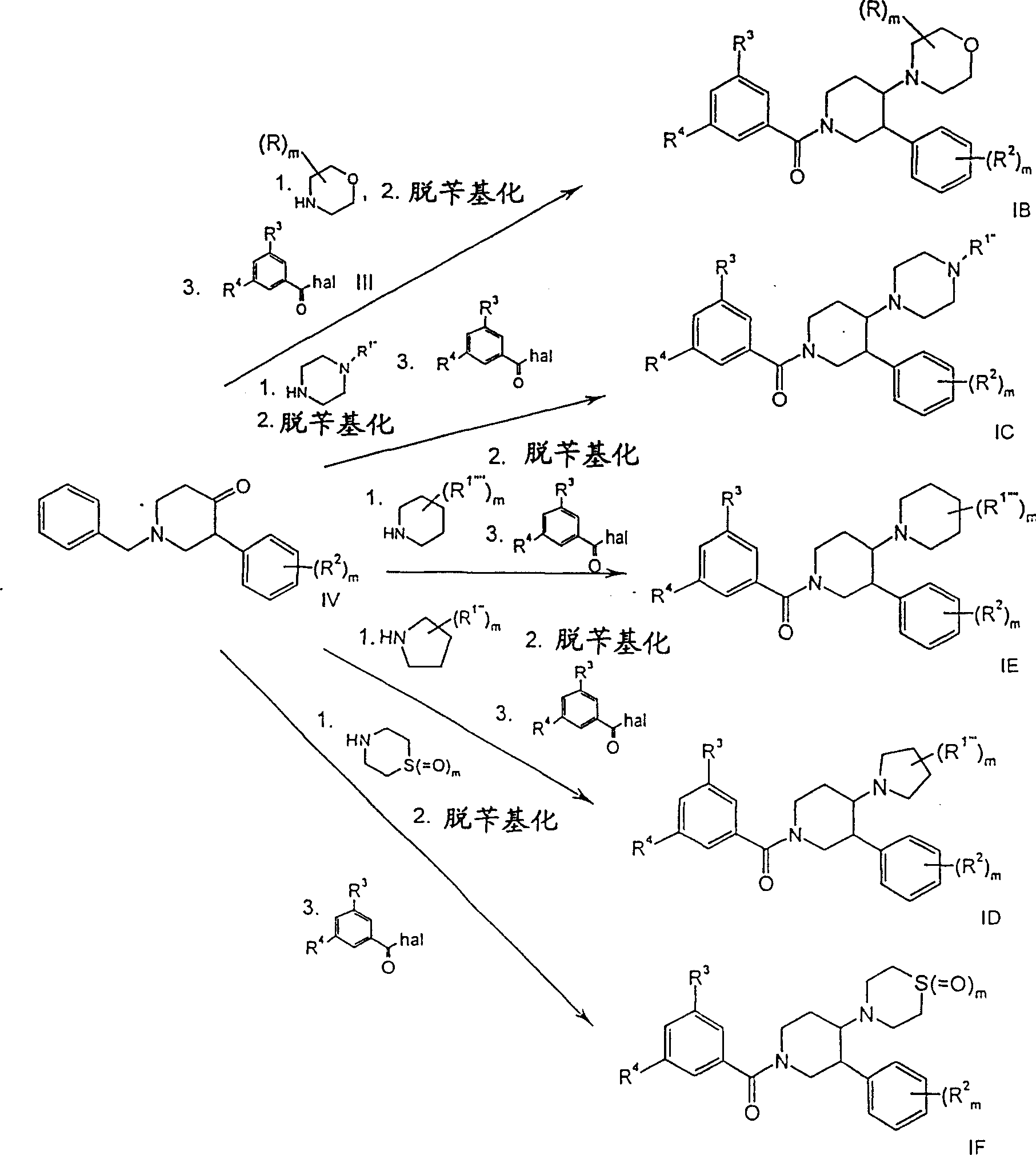
式IB、IC、ID、IE和IF化合物可以通过下列反应顺序得到:
1、式IV酮的还原性胺化作用,使用如路线3所述的环状叔胺;活化剂,例如异丙醇钛(IV);还原剂,例如氰基硼氢化钠;质子溶剂,例如甲醇或乙醇,然后进行氨腈中间体的水解作用,在乙二醇中使用氢氧化钠,以制备式IC1化合物。
2、环胺上氢原子的保护作用,在二氯甲烷中使用三氟乙酸酐、4-二甲氨基吡啶和吡啶(仅供制备式IC1化合物)。
3、脱苄基作用,使用催化量的10%Pd/C和1atm氢,在甲醇中,在酸性pH下,或者在二氯甲烷中使用氯甲酸1-氯乙基酯进行脱苄基化,然后在甲醇中回流。
4、在碱例如三乙胺的存在下,在惰性溶剂例如二氯甲烷中,用式III的酰氯酰化。
5、三氟乙酰胺的去保护作用,在甲醇与水的混合物中,使用碳酸钾(仅供制备式IC1化合物)。
路线4
R1”、R2、R3和R4和m具有上述含义,hal是氯或溴。式IC化合物可以这样得到:
-在惰性溶剂例如N,N-二甲基甲酰胺中,在碱例如碳酸钾的存在下,将式IC1化合物用式VII烷基氯或烷基溴烷基化,或者
-在惰性溶剂例如二氯甲烷中,在碱例如三乙胺的存在下,将式IC1化合物用式R1”酰氯酰化,或者
-在高温下,无需任何溶剂,用式VII的芳族溴化物或氯化物处理式IC1化合物。
路线5
R2、R3和R4具有上述含义,m是1或2。
式IF亚砜(m=1)可以这样得到,将式IF1硫代吗啉用0.6eq过一硫酸钾(Oxone)处理。式IF砜(m=2)可以这样得到,将式IF1硫代吗啉用过量的过一硫酸钾(Oxone)处理。
路线6
R2、R3和R4具有上述含义,R5例如可以是-(CH2)n-环烷基,Hal是氯或溴。
式IE2的醚可以这样得到,在惰性溶剂例如二甲基甲酰胺中,将式IE1的醇用碱例如氢化钠处理,和用烷基化剂例如式VIII的烷基溴或烷基氯处理。
路线7
R””是吗啉基、-NR2、-NR-环烷基、-NR-C(O)-环烷基、-NR-C(O)-苯基或-NR-C(O)-(CH2)n-苯基,R、R2、R3、R4和m具有上述含义,hal优选为氟。
式IE3酮衍生物可以这样得到,通过本领域已知的方法进行式IE1的醇的Swern氧化作用。式IE4化合物可以这样得到,在惰性溶剂例如二氯甲烷中,将式IE3的酮例如用二乙氨基三氟化硫处理。
式IE5化合物可以通过还原性胺化作用得到,将式IE3的酮例如用异丙醇钛(IV)和氯化铵与三乙胺或一种伯胺或仲胺的混合物处理,接着用硼氢化钠或氰基硼氢化钠处理;或者通过醇IE1的取代作用得到,其顺序是(a)在二氯甲烷中与甲磺酰氯和三乙胺反应,(b)在二甲基甲酰胺中用叠氮化钠处理,(c)用氢和钯催化剂还原叠氮化物中间体,(d)游离胺的烷基化或酰化作用。
路线8
路线8所示化合物的制备是按照路线7所示化合物的制备方法进行的。
R是NR2、-N(环烷基)2、-N[(CH2)n-环烷基]2或-NR-C(O)-环烷基,R、R2、R3、R4和m具有上述含义,hal优选为氟。
盐的生成是在室温下、按照本身已知的和本领域技术人员熟悉的方法进行的。不仅考虑无机酸的盐,也要顾及有机酸的盐。盐酸盐、氢溴酸盐、硫酸盐、硝酸盐、柠檬酸盐、乙酸盐、马来酸盐、琥珀酸盐、甲磺酸盐、对-甲苯磺酸盐等是这类盐的实例。
如前文所述,式I化合物和它们的药学上可用的加成盐具有宝贵的药理学性质。已经发现本发明的化合物是神经激肽1(NK-1,P物质)受体的拮抗剂。
按照下面给出的试验研究了一些化合物。
在CHO细胞中评价供试化合物对人体NK1受体的亲合性,将这些细胞用人NK1受体感染(利用Semliki病毒表达系统),用[3H]-P物质放射性标记(最终浓度0.6nM)。在HEPES缓冲液(50mM,pH7.4)中进行结合测定法,其中含有BSA(0.04%)亮肽素(8μg/ml)、MnCl2(3mM)和膦酰二肽(2μM)。结合测定由250μl膜悬液(1.25×105细胞/测定管)、0.125μl替换剂缓冲液和125μl[3H]-P物质构成。利用至少七种浓度的化合物测定替换曲线。将测定管在室温下培育60分钟,然后将管内容物迅速在真空下通过GF/C滤器过滤,滤器预先用PEI(0.3%)浸泡60分钟,用HEPES缓冲液(50mM,pH7.4)洗涤2×2ml。通过闪烁计数法测量保留在滤器上的放射活性。所有测定均在至少2项独立的实验中重复进行三次。
本发明的式I化合物对NK-1受体的亲合性以pKi表示,在6.70-9.44的范围内。优选化合物的pKi>8.5,如下表所示。
| 实施例No. | pKi | 实施例No. | pKi |
| 27 | 8.51 | 103 | 8.67 |
| 36 | 8.90 | 104 | 8.63 |
| 63 | 8.67 | 106 | 8.50 |
| 65 | 8.85 | 107 | 9.20 |
| 66 | 8.56 | 108 | 8.89 |
| 70 | 8.59 | 109 | 8.79 |
| 77 | 8.53 | 110 | 8.98 |
| 79 | 8.69 | 111 | 9.34 |
| 80 | 8.50 | 112 | 9.10 |
| 82 | 8.68 | 113 | 9.44 |
| 88 | 8.50 | 114 | 9.44 |
| 90 | 8.61 | 115 | 9.04 |
| 92 | 8.57 | 118 | 8.75 |
| 102 | 9.28 | 119 | 9.00 |
此外,式I化合物已经显示具有良好的水溶性,如下表所示。式I化合物的这种优于其他NK-1相关性化合物的优点扩大了关于某些应用形式的给药可行性。
| 在pH6.5下的溶解度(mg/ml) | 在pH4.3下的溶解度(mg/ml) | |
| 实施例27 | 0.91 | >8.4 |
| 实施例34 | >3.5 | |
| 实施例36 | >7.5 | |
| 实施例45 | 1.0 | 2.4 |
| 实施例63 | 0.78 | 1.0 |
| 实施例102 | 0.43 | 5.5 |
式I化合物以及它们的药学上可用的酸加成盐可以用作药剂,例如呈药物制剂的形式。药物制剂可以口服给药,例如剂型为片剂、包衣片、锭剂、硬与软胶囊剂、溶液、乳剂或悬液。不过,给药也可以通过直肠方式进行,例如剂型为栓剂,或者通过肠胃外方式进行,例如剂型为注射溶液。
式I化合物和它们的药学上可用的酸加成盐可以与药学惰性的无机或有机赋形剂加工制成片剂、包衣片、锭剂和硬胶囊剂。乳糖、玉米淀粉或其衍生物、滑石、硬脂酸或其盐等例如可以用作片剂、锭剂和硬胶囊剂的这类赋形剂。
适合于软胶囊剂的赋形剂例如是植物油、蜡、脂肪、半固体和液体多元醇等。
适合于溶液和糖浆剂制备的赋形剂例如是水、多元醇、蔗糖、转化糖、葡萄糖等。
适合于注射溶液的赋形剂例如是水、醇、多元醇、甘油、植物油等。
适合于栓剂的赋形剂例如是天然或硬化油、蜡、脂肪、半液体或液体多元醇等。
而且,药物制剂可以含有防腐剂、增溶剂、稳定剂、湿润剂、乳化剂、甜味剂、着色剂、矫味剂、改变渗透压的盐、缓冲剂、掩蔽剂或抗氧化剂。它们还可以含有其他有治疗价值的物质。
剂量可以在宽松的范围内变化,当然在每种特定情况中将适应个体的需要。一般而言,在口服给药的情况下,每日剂量约10至1000mg每人的通式I化合物应当是适合的,不过在必要时可以超过上述上限。
下列实施例阐述而非限制本发明。所有温度均为摄氏度。
实施例1
外消旋-顺式-(3,5-双-三氟甲基-苯基)-[4-(3,4-二氯-苯基)-3-苯基-哌啶-1-基]-甲酮
向外消旋-顺式-4-(3,4-二氯苯基)-3-苯基-哌啶盐酸盐(200mg,0.58mmol)的20ml二氯甲烷悬液中加入三乙胺(0.35ml,2.5mmol)和3,5-双三氟甲基-苯甲酰氯(0.11ml,0.60mmol)。将反应混合物在室温下搅拌过夜,然后用20ml水稀释。分离有机相,含水层用20ml二氯甲烷萃取两次。合并有机相,用硫酸镁干燥,蒸发。粗产物从二异丙醚和己烷中重结晶,得到所需产物(268mg,84%),为白色晶体,MS:m/e=546.1(M+)。
实施例2
外消旋-顺式-(3,5-双-三氟甲基-苯基)-(3,4-二苯基-哌啶-1-基)-甲酮
按照实施例1的通用方法,从3,5-双(三氟甲基)苯甲酰氯和外消旋-顺式-3,4-二苯基哌啶制备标题化合物,MS:m/e=478.2(M+H+)。
实施例3
外消旋-顺式-(3,5-双-三氟甲基-苯基)-[4-(2-氯-苯基)-3-苯基-哌啶-1-基]-甲酮
按照实施例1的通用方法,从3,5-双(三氟甲基)苯甲酰氯和外消旋-顺式-4-(邻-氯苯基)-3-苯基吡啶盐酸盐制备标题化合物,MS:m/e=512.2(M+)。
实施例4
外消旋-顺式-(3,5-双-三氟甲基-苯基)-[3-苯基-4-(3-三氟甲基-苯基)-哌啶-1-基]-甲酮
按照实施例1的通用方法,从3,5-双(三氟甲基)苯甲酰氯和外消旋-顺式-3-苯基-4-(3-三氟甲基苯基)哌啶盐酸盐制备标题化合物,MS:m/e=546.1(M+H+)。
实施例5
外消旋-顺式-(3,5-双-三氟甲基-苯基)-[3-(2-氯-苯基)-4-苯基-哌啶-1-基]-甲酮
按照实施例1的通用方法,从3,5-双(三氟甲基)苯甲酰氯和外消旋-顺式-3-(2-氯-苯基)-4-苯基-哌啶盐酸盐制备标题化合物,MS:m/e=512.2(M+)。
实施例6
外消旋-顺式-(3,5-双-三氟甲基-苯基)-[3-(3-氯-苯基)-4-苯基-哌啶-1-基]-甲酮
按照实施例1的通用方法,从3,5-双(三氟甲基)苯甲酰氯和外消旋-顺式-3-(3-氯-苯基)-4-苯基-哌啶盐酸盐制备标题化合物,MS:m/e=512.2(M+)。
实施例7
外消旋-顺式-(3,5-双-三氟甲基-苯基)-[4-(3-溴-苯基)-3-苯基-哌啶-1-基]-甲酮
按照实施例1的通用方法,从3,5-双(三氟甲基)苯甲酰氯和外消旋-顺式-4-(3-溴-苯基)-3-苯基-哌啶盐酸盐制备标题化合物,MS:m/e=556.0(M+)。
实施例8
外消旋-顺式-(3,5-双-三氟甲基-苯基)-[4-(4-氯-苯基)-3-苯基-哌啶-1-基]-甲酮
按照实施例1的通用方法,从3,5-双(三氟甲基)苯甲酰氯和外消旋-顺式-4-(4-氯-苯基)-3-苯基-哌啶盐酸盐制备标题化合物,MS:m/e=512.2(M+)。
实施例9
外消旋-顺式-(3,5-双-三氟甲基-苯基)-[3-(4-氯-苯基)-4-苯基-哌啶-1-基]-甲酮
按照实施例1的通用方法,从3,5-双(三氟甲基)苯甲酰氯和外消旋-顺式-3-(4-氯-苯基)-4-苯基-哌啶盐酸盐制备标题化合物,MS:m/e=512.2(M+)。
实施例10
外消旋-顺式-(3,5-双-三氟甲基-苯基)-{4-[3-(4-甲基-哌嗪-1-基)-苯基]-3-苯基-哌啶-1-基}-甲酮
向外消旋-顺式-(3,5-双-三氟甲基-苯基)-[4-(3-溴-苯基)-3-苯基-哌啶-1-基]-甲酮(500mg,0.899mmol)的5ml无水甲苯溶液中加入1-甲基-哌嗪(0.123ml,1.08mmol)、叔丁醇钠(125mg,1.26mmol)、双(二亚苄基丙酮)钯(2.1mg,0.002mmol)和外消旋-2,2′-双(二苯膦基)-1,1′-联萘(4.3mg,0.007mmol),然后回流过夜。将反应混合物用10ml水稀释,用20ml乙酸乙酯萃取三次。合并有机相,用硫酸镁干燥,蒸发。经过硅胶快速色谱纯化,用己烷/乙酸乙酯/三乙胺10∶10∶1洗脱,得到所需产物(196mg,38%),MS:m/e=576.1(M+H+)。
实施例11
外消旋-顺式-(3,5-双-三氟甲基-苯基)-[4-(3-吗啉-4-基-苯基)-3-苯基-哌啶-1-基]-甲酮
按照实施例10的通用方法,从外消旋-顺式-(3,5-双-三氟甲基-苯基)-[4-(3-溴-苯基)-3-苯基-哌啶-1-基]-甲酮和吗啉制备标题化合物,MS:m/e=563.3(M+)。
实施例12
外消旋-顺式-(3,5-双-三氟甲基-苯基)-[3-苯基-4-(3-苯氨基-苯基)-哌啶-1-基]-甲酮
按照实施例10的通用方法,从外消旋-顺式-(3,5-双-三氟甲基-苯基)-[4-(3-溴-苯基)-3-苯基-哌啶-1-基]-甲酮和苯胺制备标题化合物,MS:m/e=569.2(M+)。
实施例13
外消旋-顺式-(3,5-双-三氟甲基-苯基)-[3-苯基-4-(3-吡咯烷-1-基-苯基)-哌啶-1-基]-甲酮
按照实施例10的通用方法,从外消旋-顺式-(3,5-双-三氟甲基-苯基)-[4-(3-溴-苯基)-3-苯基-哌啶-1-基]-甲酮和吡咯烷制备标题化合物,MS:m/e=547.2(M+)。
实施例14
外消旋-顺式-(3,5-双-三氟甲基-苯基)-{4-[3-(2-甲氧基-乙氨基)-苯基]-3-苯基-哌啶-1-基}-甲酮
按照实施例10的通用方法,从外消旋-顺式-(3,5-双-三氟甲基-苯基)-[4-(3-溴-苯基)-3-苯基-哌啶-1-基]-甲酮和2-甲氧基乙胺制备标题化合物,MS:m/e=551.1(M+)。
实施例15
外消旋-顺式-(3,5-双-三氟甲基-苯基)-[4-(3-二乙氨基-苯基)-3-苯基-哌啶-1-基]-甲酮
按照实施例10的通用方法,从外消旋-顺式-(3,5-双-三氟甲基-苯基)-[4-(3-溴-苯基)-3-苯基-哌啶-1-基]-甲酮和二乙胺制备标题化合物,MS:m/e=549.2(M+)。
实施例16
外消旋-顺式-(3,5-双-三氟甲基-苯基)-{4-[3-(环丙基甲基-氨基)-苯基]-3-苯基-哌啶-1-基}-甲酮
按照实施例10的通用方法,从外消旋-顺式-(3,5-双-三氟甲基-苯基)-[4-(3-溴-苯基)-3-苯基-哌啶-1-基]-甲酮和氨基甲基环丙烷制备标题化合物,MS:m/e=547.2(M+)。
实施例17
外消旋-顺式-(3,5-双-三氟甲基-苯基)-[4-(4-吗啉-4-基-苯基)-3-苯基-哌啶-1-基]-甲酮
按照实施例10的通用方法,从外消旋-顺式-(3,5-双-三氟甲基-苯基)-[4-(4-氯-苯基)-3-苯基-哌啶-1-基]-甲酮、吗啉和联苯-2-基-二环己基-磷烷(作为配体)制备标题化合物,MS:m/e=563.3(M+)。
实施例18
外消旋-顺式-(3,5-双-三氟甲基-苯基)-{4-[4-(4-甲基-哌嗪-1-基)-苯基]-3-苯基-哌啶-1-基}-甲酮
按照实施例10的通用方法,从外消旋-顺式-(3,5-双-三氟甲基-苯基)-[4-(4-氯-苯基)-3-苯基-哌啶-1-基]-甲酮、N-甲基-哌嗪和联苯-2-基-二环己基-磷烷(作为配体)制备标题化合物,MS:m/e=576.1(M+)。
实施例19
外消旋-顺式-(3,5-双-三氟甲基-苯基)-[3-苯基-4-(4-吡咯烷-1-基-苯基)-哌啶-1-基]-甲酮
按照实施例10的通用方法,从外消旋-顺式-(3,5-双-三氟甲基-苯基)-[4-(4-氯-苯基)-3-苯基-哌啶-1-基]-甲酮、吡咯烷和联苯-2-基-二环己基-磷烷(作为配体)制备标题化合物,MS:m/e=547.2(M+)。
实施例20
外消旋-顺式-(3,5-双-三氟甲基-苯基)-{4-[4-(2-甲氧基-乙氨基)-苯基]-3-苯基-哌啶-1-基}-甲酮
按照实施例10的通用方法,从外消旋-顺式-(3,5-双-三氟甲基-苯基)-[4-(4-氯-苯基)-3-苯基-哌啶-1-基]-甲酮、2-甲氧基-乙胺和联苯-2-基-二环己基-磷烷(作为配体)制备标题化合物,MS:m/e=551.1(M+)。
实施例21
外消旋-顺式-(3,5-双-三氟甲基-苯基)-{3-[3-(3-甲氧基-丙氨基)-苯基]-4-苯基-哌啶-1-基}-甲酮
按照实施例10的通用方法,从外消旋-顺式-(3,5-双-三氟甲基-苯基)-[3-(3-氯-苯基)-4-苯基-哌啶-1-基]-甲酮、3-甲氧基-丙胺和联苯-2-基-二环己基-磷烷(作为配体)制备标题化合物,MS:m/e=565.4(M+)。
实施例22
外消旋-顺式-(3,5-双-三氟甲基-苯基)-[4-苯基-3-(3-吡咯烷-1-基-苯基)-哌啶-1-基]-甲酮
按照实施例10的通用方法,从外消旋-顺式-(3,5-双-三氟甲基-苯基)-[3-(3-氯-苯基)-4-苯基-哌啶-1-基]-甲酮、吡咯烷和联苯-2-基-二环己基-磷烷(作为配体)制备标题化合物,MS:m/e=547.4(M+)。
实施例23
外消旋-顺式-(3,5-双-三氟甲基-苯基)-{4-[2-(2-甲氧基-乙氨基)-苯基]-3-苯基-哌啶-1-基}-甲酮
按照实施例10的通用方法,从外消旋-顺式-(3,5-双-三氟甲基-苯基)-[4-(2-氯-苯基)-3-苯基-哌啶-1-基]-甲酮、2-甲氧基-乙胺和联苯-2-基-二环己基-磷烷(作为配体)制备标题化合物,MS:m/e=551.1(M+)。
实施例24
外消旋-顺式-(3,5-双-三氟甲基-苯基)-{4-[2-(2-二甲氨基-乙氨基)-苯基]-3-苯基-哌啶-1-基}-甲酮
按照实施例10的通用方法,从外消旋-顺式-(3,5-双-三氟甲基-苯基)-[4-(2-氯-苯基)-3-苯基-哌啶-1-基]-甲酮、N,N-二甲基-乙二胺和联苯-2-基-二环己基-磷烷(作为配体)制备标题化合物,MS:m/e=564.3(M+)。
实施例25
外消旋-顺式-(3,5-双-三氟甲基-苯基)-[3-(4-吗啉-4-基-苯基)-4-苯基-哌啶-1-基]-甲酮
按照实施例10的通用方法,从外消旋-顺式-(3,5-双-三氟甲基-苯基)-[3-(4-氯-苯基)-4-苯基-哌啶-1-基]-甲酮、吗啉和联苯-2-基-二环己基-磷烷(作为配体)制备标题化合物,MS:m/e=563.3(M+)。
实施例26
外消旋-顺式-(3,5-双-三氟甲基-苯基)-(4-吗啉-4-基-3-苯基-哌啶-1-基)-甲酮
在室温下,向1-苄基-3-苯基-哌啶-4-酮(2.07g,7.78mmol)与吗啉(678mg,7.78mmol)的混合物加入四异丙基-原钛酸酯(2.97ml,9.73mmol)。在室温下搅拌过夜后,将反应混合物用乙醇(8.0ml)稀释,加入氰基硼氢化钠(369mg,5.37mmol)。将反应混合物在室温下搅拌24小时,用水(2.0ml)稀释。滤出无机沉淀物,用乙醇洗涤。蒸发滤液,经过硅胶快速色谱纯化,用甲苯/乙酸乙酯6∶1洗脱,得到外消旋-顺式-4-(1-苄基-3-苯基-哌啶-4-基)-吗啉(1.42g,54%),为黄色固体,MS:m/e=337.3(M+H+)。
将外消旋-顺式-4-(1-苄基-3-苯基-哌啶-4-基)-吗啉(1.3g,3.86mmol)溶于甲醇(50ml),加入浓盐酸(0.2ml)和披钯碳(10%,200mg)。在室温和氢气氛(1巴)下搅拌过夜后,过滤混合物,蒸发溶剂。将粗中间体溶于二氯甲烷(20ml),加入三乙胺(2.69ml,19.3mmol)和3,5-双三氟甲基-苯甲酰氯(0.91ml,5.02mmol)。将反应混合物在室温下搅拌过夜,然后用20ml水稀释。分离有机相,含水层用20ml二氯甲烷萃取两次。合并有机相,用硫酸镁干燥,蒸发。经过硅胶快速色谱纯化,用己烷/乙酸乙酯/三乙胺80∶20∶1洗脱,得到所需产物(1.57g,83%),为灰白色晶体,MS:m/e=487.3(M+H+)。
实施例27
外消旋-顺式-(3,5-双-三氟甲基-苯基)-[4-(4-甲基-哌嗪-1-基)-3-苯基-哌啶-1-基]-甲酮
按照实施例26的通用方法,从1-苄基-3-苯基-哌啶-4-酮、N-甲基-哌嗪和3,5-双三氟甲基-苯甲酰氯制备标题化合物,MS:m/e=500.2(M+H+)。
实施例28
外消旋-顺式-(3,5-双-三氟甲基-苯基)-(4-吗啉-4-基-3-邻-甲苯基-哌啶-1-基)-甲酮
按照实施例26的通用方法,从1-苄基-3-邻-甲苯基-哌啶-4-酮、吗啉和3,5-双三氟甲基-苯甲酰氯制备标题化合物,MS:m/e=501.2(M+H+)。
实施例29
外消旋-顺式-(3,5-双-三氟甲基-苯基)-[4-(4-甲基-哌嗪-1-基)-3-邻-甲苯基-哌啶-1-基]-甲酮
按照实施例26的通用方法,从1-苄基-3-邻-甲苯基-哌啶-4-酮、N-甲基-哌嗪和3,5-双三氟甲基-苯甲酰氯制备标题化合物,MS:m/e=514.3(M+H+)。
实施例30
外消旋-顺式-(3,5-双-三氟甲基-苯基)-[3-(2-氯-苯基)-4-吗啉-4-基-哌啶-1-基]-甲酮
按照实施例26的通用方法,从1-苄基-3-(2-氯-苯基)-哌啶-4-酮、吗啉和3,5-双三氟甲基-苯甲酰氯制备标题化合物,MS:m/e=521.1(M+H+)。
实施例31
外消旋-顺式-(3,5-双-三氟甲基-苯基)-[3-(2-氯-苯基)-4-(4-甲基-哌嗪-1-基)-哌啶-1-基]-甲酮
按照实施例26的通用方法,从1-苄基-3-(2-氯-苯基)-哌啶-4-酮、N-甲基-哌嗪和3,5-双三氟甲基-苯甲酰氯制备标题化合物,MS:m/e=534.2(M+H+)。
实施例32
外消旋-顺式-1-{4-[1-(3,5-双-三氟甲基-苯甲酰基)-3-苯基-哌啶-4-基]-哌嗪-1-基}-2,2,2-三氟-乙酮
在室温下,向1-苄基-3-苯基-哌啶-4-酮(10.0g,37.7mmol)与哌嗪(13.0g,151mmol)的混合物中加入四异丙基-原钛酸酯(42.8ml,151mmol)。在室温下搅拌过夜后,将反应混合物用乙醇(300ml)稀释,加入氰基硼氢化钠(10.5g,151mmol)。将反应混合物在室温下搅拌24小时,用水(10ml)稀释。滤出无机沉淀物,用乙醇洗涤。蒸发溶剂,将残余物溶于乙二醇(130ml),加入氢氧化钠(13.6g,37.7mmol)。将反应混合物在130℃下搅拌15分钟。冷却后,加入水(200ml),混合物用200ml二乙醚萃取两次。合并有机相,用硫酸镁干燥,蒸发。经过硅胶快速色谱纯化,用二氯甲烷/三乙胺99∶1洗脱,得到外消旋-顺式-1-(1-苄基-3-苯基-哌啶-4-基)-哌嗪(4.63g,36%),为黄色的油,MS:m/e=336.3(M+H+)。
将外消旋-顺式-1-(1-苄基-3-苯基-哌啶-4-基)-哌嗪(4.62g,13.8mmol)溶于二氯甲烷(100ml),加入4-二甲氨基吡啶(29mg,0.14mmol)。反应混合物用冰浴冷却,先后加入吡啶(2.78ml,34.4mmol)和三氟乙酸酐(2.68ml,19.3mmol)。将混合物在室温下搅拌过夜,加入水(100ml)。分离有机相,含水层用100ml二氯甲烷萃取两次。合并有机相,用硫酸镁干燥,蒸发。经过硅胶快速色谱纯化,用己烷/乙酸乙酯/三乙胺90∶10∶1洗脱,得到外消旋-顺式-1-[4-(1-苄基-3-苯基-哌啶-4-基)-哌嗪-1-基]-2,2,2-三氟-乙酮(4.64g,78%),为浅黄色油,MS:m/e=432.5(M+H+)。
将外消旋-顺式-1-[4-(1-苄基-3-苯基-哌啶-4-基)-哌嗪-1-基]-2,2,2-三氟-乙酮(4.60g,10.7mmol)溶于甲醇(200ml),加入浓盐酸(1.0ml)和披钯碳(10%,700mg)。在室温和氢气氛(1巴)下搅拌过夜后,过滤混合物,蒸发溶剂。将粗中间体溶于二氯甲烷(100ml),加入三乙胺(7.25ml,51.7mmol)和3,5-双三氟甲基-苯甲酰氯(2.06ml,11.4mmol)。将反应混合物在室温下搅拌过夜,然后用100ml水稀释。分离有机相,含水层用100ml二氯甲烷萃取两次。合并有机相,用硫酸镁干燥,蒸发。经过硅胶快速色谱纯化,用己烷/乙酸乙酯/三乙胺90∶10∶1洗脱,得到所需产物(5.26g,87%),为白色泡沫,MS:m/e=582.0(M+H+)。
实施例33
外消旋-顺式-{4-[4-(3,5-双-三氟甲基-苯甲酰基)-哌嗪-1-基]-3-苯基-哌啶-1-基}-(3,5-双-三氟甲基-苯基)-甲酮
作为外消旋-顺式-1-{4-[1-(3,5-双-三氟甲基-苯甲酰基)-3-苯基-哌啶-4-基]-哌嗪-1-基}-2,2,2-三氟-乙酮(实施例32)的副产物,得到标题化合物,MS:m/e=726.1(M+H+)。
实施例34
外消旋-顺式-(3,5-双-三氟甲基-苯基)-(3-苯基-4-哌嗪-1-基-哌啶-1-基)-甲酮
将外消旋-顺式-1-{4-[1-(3,5-双-三氟甲基-苯甲酰基)-3-苯基-哌啶-4-基]-哌嗪-1-基}-2,2,2-三氟-乙酮(4.15g,7.14mmol)溶于甲醇(25ml)。加入水(1ml)和碳酸钾(2.96g,21.4mmol),将反应混合物在室温下搅拌4小时。加入水(100ml),混合物用200ml二氯甲烷萃取两次。合并有机相,用硫酸镁干燥。蒸发溶剂,得到标题化合物(3.4g,98%),为白色泡沫,无需任何进一步纯化即可使用,MS:m/e=486.3(M+H+)。
实施例35
外消旋-顺式-2-{4-[1-(3,5-双-三氟甲基-苯甲酰基)-3-苯基-哌啶-4-基]-哌嗪-1-基}-N,N-二甲基-乙酰胺
将外消旋-顺式-(3,5-双-三氟甲基-苯基)-(3-苯基-4-哌嗪-1-基-哌啶-1-基)-甲酮(200mg,0.41mmol)溶于N,N-二甲基甲酰胺(5ml)。加入碳酸钾(171mg,1.24mmol)和2-氯-N,N-二甲基乙酰胺(0.042ml,0.41mmol),将反应混合物在室温下搅拌过夜。加入水(50ml),混合物用100ml乙酸乙酯萃取两次。合并有机相,用硫酸镁干燥,蒸发。经过硅胶色谱纯化,用二氯甲烷/甲醇/三乙胺90∶10∶1洗脱,得到所需产物(200mg,85%),为灰白色固体,MS:m/e=571.1(M+H+)。
实施例36
外消旋-顺式-(3,5-双-三氟甲基-苯基)-[4-(4-环丙基甲基-哌嗪-1-基)-3-苯基-哌啶-1-基]-甲酮
按照实施例35的通用方法,从外消旋-顺式-(3,5-双-三氟甲基-苯基)-(3-苯基-4-哌嗪-1-基-哌啶-1-基)-甲酮和溴甲基环丙烷制备标题化合物,MS:m/e=540.3(M+H+)。
实施例37
外消旋-顺式-[4-(4-苄基-哌嗪-1-基)-3-苯基-哌啶-1-基]-(3,5-双-三氟甲基-苯基)-甲酮
按照实施例35的通用方法,从外消旋-顺式-(3,5-双-三氟甲基-苯基)-(3-苯基-4-哌嗪-1-基-哌啶-1-基)-甲酮和苄基溴制备标题化合物,MS:m/e=576.1(M+H+)。
实施例38
外消旋-顺式-1-{4-[1-(3,5-双-三氟甲基-苯甲酰基)-3-苯基-哌啶-4-基]-哌嗪-1-基}-乙酮
将外消旋-顺式-(3,5-双-三氟甲基-苯基)-(3-苯基-4-哌嗪-1-基-哌啶-1-基)-甲酮(200mg,0.41mmol)溶于二氯甲烷(5ml)。加入三乙胺(0.173ml,1.24mmol)和乙酰氯(0.035ml,0.49mmol),将反应混合物在室温下搅拌过夜。蒸发溶剂,经过硅胶色谱纯化,用二氯甲烷/三乙胺99∶1洗脱,得到所需产物(122mg,56%),为浅黄色泡沫,MS:m/e=528.2(M+H+)。
实施例39
外消旋-顺式-(3,5-双-三氟甲基-苯基)-[4-(4-环丙烷羰基-哌嗪-1-基)-3-苯基-哌啶-1-基]-甲酮
按照实施例38的通用方法,从外消旋-顺式-(3,5-双-三氟甲基-苯基)-(3-苯基-4-哌嗪-1-基-哌啶-1-基)-甲酮和环丙烷碳酰氯制备标题化合物,MS:m/e=554.2(M+H+)。
实施例40
外消旋-顺式-[4-(4-苯甲酰基-哌嗪-1-基)-3-苯基-哌啶-1-基]-(3,5-双-三氟甲基-苯基)-甲酮
按照实施例38的通用方法,从外消旋-顺式-(3,5-双-三氟甲基-苯基)-(3-苯基-4-哌嗪-1-基-哌啶-1-基)-甲酮和苯甲酰氯制备标题化合物,MS:m/e=590.2(M+H+)。
实施例41
外消旋-顺式-{4-[1-(3,5-双-三氟甲基-苯甲酰基)-3-苯基-哌啶-4-基]-哌嗪-1-基}-吗啉-4-基-甲酮
按照实施例38的通用方法,从外消旋-顺式-(3,5-双-三氟甲基-苯基)-(3-苯基-4-哌嗪-1-基-哌啶-1-基)-甲酮和4-吗啉碳酰氯制备标题化合物,MS:m/e=599.1(M+H+)。
实施例42
外消旋-顺式-4-[1-(3,5-双-三氟甲基-苯甲酰基)-3-苯基-哌啶-4-基]-哌嗪-1-羧酸2-二甲氨基-乙基酯
按照实施例35的通用方法,从外消旋-顺式-(3,5-双-三氟甲基-苯基)-(3-苯基-4-哌嗪-1-基-哌啶-1-基)-甲酮和N-(2-氯乙基)-N,N-二甲基胺制备标题化合物,MS:m/e=601.1(M+H+)。
实施例43
外消旋-顺式-(3,5-双-三氟甲基-苯基)-[4-(4-环丙基-哌嗪-1-基)-3-苯基-哌啶-1-基]-甲酮
按照实施例26的通用方法,从1-苄基-3-苯基-哌啶-4-酮、N-环丙基-哌嗪和3,5-双三氟甲基-苯甲酰氯制备标题化合物,MS:m/e=526.1(M+H+)。
实施例44
外消旋-顺式-(3,5-双-三氟甲基-苯基)-(4-羟基-3′-苯基-[1,4′]联哌啶-1′-基)-甲酮
按照实施例26的通用方法,从1-苄基-3-苯基-哌啶-4-酮、4-羟基-哌啶和3,5-双三氟甲基-苯甲酰氯制备标题化合物,MS:m/e=501.2(M+H+)。
实施例45
外消旋-顺式-(3,5-双-三氟甲基-苯基)-[3-(4-氟-苯基)-4-(4-甲基-哌嗪-1-基)-哌啶-1-基]-甲酮
按照实施例26的通用方法,从1-苄基-3-(4-氟-苯基)-哌啶-4-酮、N-甲基-哌嗪和3,5-双三氟甲基-苯甲酰氯制备标题化合物,MS:m/e=518.2(M+H+)。
实施例46
外消旋-顺式-(3,5-双-三氟甲基-苯基)-[3-(4-氟-苯基)-4-吗啉-4-基-哌啶-1-基]-甲酮
按照实施例26的通用方法,从1-苄基-3-(4-氟-苯基)-哌啶-4-酮、吗啉和3,5-双三氟甲基-苯甲酰氯制备标题化合物,MS:m/e=505.3(M+H+)。
实施例47
外消旋-顺式-2-{4-[1-(3,5-双-三氟甲基-苯甲酰基)-3-苯基-哌啶-4-基]-哌嗪-1-基}-N-(2,6-二甲基-苯基)-乙酰胺
按照实施例35的通用方法,从外消旋-顺式-(3,5-双-三氟甲基-苯基)-(3-苯基-4-哌嗪-1-基-哌啶-1-基)-甲酮和N-氯乙酰基-2,6-二甲基苯胺制备标题化合物,MS:m/e=647.2(M+H+)。
实施例48
(3R,3′R,4S)-和(3S,3′R,4R)-(3,5-双-三氟甲基-苯基)-[4-(3′-羟基-吡咯烷-1′-基)-3-苯基-哌啶-1-基]-甲酮
按照实施例26的通用方法,从1-苄基-3-苯基-哌啶-4-酮、(R)-3-羟基吡咯烷和3,5-双三氟甲基-苯甲酰氯制备标题化合物的混合物,MS:m/e=487.3(M+H+)。
实施例49
外消旋-顺式-(3,5-双-三氟甲基-苯基)-(3-苯基-4-硫代吗啉-4-基-哌啶-1-基)-甲酮
按照实施例26的通用方法,从1-苄基-3-苯基-哌啶-4-酮、硫代吗啉和3,5-双三氟甲基-苯甲酰氯制备标题化合物,MS:m/e=503.2(M+H+)。
实施例50
外消旋-顺式-(3,5-双-三氟甲基-苯基)-[4-(1-氧代-1λ4-硫代吗啉-4-基)-3-苯基-哌啶-1-基]-甲酮
将外消旋-顺式-(3,5-双-三氟甲基-苯基)-(3-苯基-4-硫代吗啉-4-基-哌啶-1-基)-甲酮(190mg,0.38mmol)溶于甲醇(5ml)。加入过一硫酸钾(Oxone)(140mg,0.23mmol),将反应混合物在室温下搅拌3天。滤出盐,蒸发滤液。经过硅胶色谱纯化,用二氯甲烷/甲醇/三乙胺98∶1∶1洗脱,得到所需产物(163mg,83%),为灰白色固体,MS:m/e=519.2(M+H+)。
实施例51
外消旋-顺式-(3,5-双-三氟甲基-苯基)-[4-(1,1-二氧代-1λ6-硫代吗啉-4-基)-3-苯基-哌啶-1-基]-甲酮
将外消旋-顺式-(3,5-双-三氟甲基-苯基)-(3-苯基-4-硫代吗啉-4-基-哌啶-1-基)-甲酮(200mg,0.40mmol)溶于甲醇(5ml)。加入过一硫酸钾(Oxone)(540mg,0.88mmol),将反应混合物在室温下搅拌3天。加入亚硫酸氢钠溶液(40%,5ml),将混合物在室温下搅拌30分钟。加入碳酸氢钠溶液(2N,20ml),混合物用二氯甲烷(30ml)萃取三次。合并有机相,用硫酸镁干燥,蒸发。经过硅胶快速色谱纯化,用己烷/乙酸乙酯/三乙胺10∶90∶1洗脱,得到所需产物(204mg,96%),为白色泡沫,MS:m/e=535.2(M+H+)。
实施例52
外消旋-顺式-(3,5-双-三氟甲基-苯基)-[3-(4-氯-苯基)-4-吗啉-4-基-哌啶-1-基]-甲酮
在室温下,向1-苄基-3-(4-氯-苯基)-哌啶-4-酮(1.0g,3.34mmol)与吗啉(1.16ml,13.3mmol)的混合物加入四异丙基-原钛酸酯(3.95ml,13.3mmol)。在室温下搅拌过夜后,将反应混合物用乙醇(30.0ml)稀释,加入氰基硼氢化钠(930mg,13.3mmol)。将反应混合物在室温下搅拌24小时,用水(2.0ml)稀释。滤出无机沉淀物,用乙醇洗涤。蒸发滤液,经过硅胶快速色谱纯化,用己烷/乙酸乙酯/三乙胺40∶10∶1洗脱,得到外消旋-顺式-4-[1-苄基-3-(4-氯-苯基)-哌啶-4-基]-吗啉(650mg,52%),为黄色固体,MS:m/e=371.3(M+H+)。
将外消旋-顺式-4-[1-苄基-3-(4-氯-苯基)-哌啶-4-基]-吗啉(650mg,1.75mmol)溶于二氯甲烷(15ml),在0℃下加入1-氯乙基-氯甲酸酯(0.575ml,5.27mmol)。使反应混合物回流过夜。加入甲醇(15ml),继续回流3小时。蒸发溶剂。将粗中间体溶于二氯甲烷(30ml),加入三乙胺(1.22ml,8.75mmol)和3,5-双三氟甲基-苯甲酰氯(0.35ml,1.93mmol)。将反应混合物在室温下搅拌过夜,然后用50ml水稀释。分离有机相,含水层用50ml二氯甲烷萃取两次。合并有机相,用硫酸镁干燥,蒸发。经过硅胶快速色谱纯化,用己烷/乙酸乙酯/三乙胺20∶10∶1洗脱,得到所需产物(820mg,90%),为黄色固体,MS:m/e=521.1(M+H+)。
实施例53
外消旋-顺式-(3,5-双-三氟甲基-苯基)-(4-环丙基甲氧基-3′-苯基-[1,4′]联哌啶-1′-基)-甲酮
将外消旋-顺式-(3,5-双-三氟甲基-苯基)-(4-羟基-3′-苯基-[1,4′]联哌啶-1′-基)-甲酮(100mg,0.20mmol)溶于二甲基甲酰胺(2ml)。加入氢化钠(17mg,55%,0.40mmol)和溴甲基环丙烷(0.038ml,0.40mmol),将反应混合物在室温下搅拌过夜。加入水(5ml),混合物用乙酸乙酯(20ml)萃取三次。合并有机相,用硫酸镁干燥,蒸发。经过硅胶色谱纯化,用二氯甲烷/甲醇/三乙胺98∶1∶1洗脱,得到所需产物(95mg,85%),为灰白色固体,MS:m/e=555.1(M+H+)。
实施例54
(3R,3′R,4S)-和(3S,3′R,4R)-(3,5-双-三氟甲基-苯基)-[4-(3-环丙基甲氧基-吡咯烷-1-基)-3-苯基-哌啶-1-基]-甲酮
按照实施例53的通用方法,从(3R,3′R,4R)-和(3S,3′R,4S)-(3,5-双-三氟甲基-苯基)-[4-(3′-羟基-吡咯烷-1′-基)-3-苯基-哌啶-1-基]-甲酮和溴甲基环丙烷制备标题化合物的混合物,MS:m/e=541.2(M+H+)。
实施例55
外消旋-顺式-1′-(3,5-双-三氟甲基-苯甲酰基)-3′-苯基-[1,4′]联哌啶-4-酮
将外消旋-顺式-(3,5-双-三氟甲基-苯基)-(4-羟基-3′-苯基-[1,4′]联哌啶-1′-基)-甲酮(1.02g,2.04mmol)溶于二氯甲烷(10ml)。在-78℃下加入草酰氯(0.21ml,2.45mmol)和二甲基亚砜(0.29ml,4.07mmol),将反应混合物在-78℃下搅拌3小时。加入三乙胺(1.14ml,8.15mmol),使反应混合物缓慢温热至室温。继续在室温下搅拌过夜。加入水(10ml),混合物用二氯甲烷(20ml)萃取三次。合并有机相,用硫酸镁干燥,蒸发。经过硅胶快速色谱纯化,用己烷/乙酸乙酯/三乙胺70∶30∶1洗脱,得到所需产物(584mg,57%),为白色泡沫,MS:m/e=499.2(M+H+)。
实施例56
外消旋-顺式-1-[1-(3,5-双-三氟甲基-苯甲酰基)-3-苯基-哌啶-4-基]-吡咯烷-3-酮
按照实施例55的通用方法,从(3R,3′R,4R)-和(3S,3′R,4S)-(3,5-双-三氟甲基-苯基)-[4-(3′-羟基-吡咯烷-1′-基)-3-苯基-哌啶-1-基]-甲酮制备标题化合物,MS:m/e=485.3(M+H+)。
实施例57
外消旋-顺式-(3,5-双-三氟甲基-苯基)-(4,4-二氟-3′-苯基-[1,4′]联哌啶-1′-基)-甲酮
将外消旋-顺式-1′-(3,5-双-三氟甲基-苯甲酰基)-3′-苯基-[1,4′]联哌啶-4-酮(183mg,0.367mmol)溶于二氯甲烷(5ml)。在-78℃下加入二乙氨基三氟化硫(0.062ml,0.50mmol)。将反应混合物在-78℃下搅拌3小时,然后缓慢温热至室温,继续在室温下搅拌过夜。蒸发溶剂,经过硅胶色谱纯化,用己烷/乙酸乙酯/三乙胺10∶10∶1洗脱,得到所需产物(83mg,43%),为灰白色固体,MS:m/e=521.2(M+H+)。
实施例58
(3RS,3′RS,4SR)-和(3RS,3′SR,4SR)-(3,5-双-三氟甲基-苯基)-[3′-(4-氟-苯基)-3-羟基-[1,4′]联哌啶-1′-基]-甲酮
按照实施例26的通用方法,从1-苄基-3-(4-氟-苯基)-哌啶-4-酮、(外消旋)-3-羟基-哌啶和3,5-双三氟甲基-苯甲酰氯制备标题化合物,MS:m/e=519.2(M+H+)。
实施例59
外消旋-顺式-(3,5-双-三氟甲基-苯基)-[3-苯基-4-(4-嘧啶-2-基-哌嗪-1-基)-哌啶-1-基]-甲酮
将外消旋-顺式-(3,5-双-三氟甲基-苯基)-(3-苯基-4-哌嗪-1-基-哌啶-1-基)-甲酮(300mg,0.62mmol)和2-氯嘧啶(71mg,0.68mmol)在100℃下搅拌过夜。将反应混合物溶于1ml二氯甲烷,经过硅胶色谱纯化,用二氯甲烷/甲醇/三乙胺90∶10∶1洗脱。所需产物(181mg,47%)为浅黄色固体,MS:m/e=564.3(M+H+)。
实施例60
外消旋-顺式-(3,5-双-三氟甲基-苯基)-[3-苯基-4-(2,3,5,6-四氢-[1,2′]联吡嗪-4-基)-哌啶-1-基]-甲酮
按照实施例59的通用方法,从外消旋-顺式-(3,5-双-三氟甲基-苯基)-(3-苯基-4-哌嗪-1-基-哌啶-1-基)-甲酮和2-氯吡嗪制备标题化合物,MS:m/e=564.3(M+H+)。
实施例61
外消旋-顺式-(3,5-双-三氟甲基-苯基)-[4-(3,3-二氟-吡咯烷-1-基)-3-苯基-哌啶-1-基]-甲酮
按照实施例57的通用方法,从外消旋-顺式-1-[1-(3,5-双-三氟甲基-苯甲酰基)-3-苯基-哌啶-4-基]-吡咯烷-3-酮制备标题化合物,MS:m/e=507.5(M+H+)。
实施例62
外消旋-顺式-(3,5-双-三氟甲基-苯基)-[3-(4-氟-苯基)-4-吡咯烷-1-基-哌啶-1-基]-甲酮
按照实施例26的通用方法,从1-苄基-3-(4-氟-苯基)-哌啶-4-酮、吡咯烷和3,5-双三氟甲基-苯甲酰氯制备标题化合物,MS:m/e=489.3(M+H+)。
实施例63
外消旋-顺式-(3,5-双-三氟甲基-苯基)-[3′-(4-氯-苯基)-4-羟基-[1,4′]联哌啶-1′-基]-甲酮
在室温下,向1-苄基-3-(4-氯-苯基)-哌啶-4-酮(3.32g,11.1mmol)与4-羟基-哌啶(1.23g,12.2mmol)的混合物加入四异丙基原钛酸酯(3.94g,13.8mmol)。在室温下搅拌过夜后,将反应混合物用乙醇(30.0ml)稀释,加入氰基硼氢化钠(905mg,14.4mmol)。将反应混合物在室温下搅拌24小时,用水(2.0ml)稀释。滤出无机沉淀物,用乙醇洗涤。蒸发滤液,经过硅胶快速色谱纯化,用二氯甲烷/甲醇/氨100∶4∶0.4洗脱,得到外消旋-顺式-1′-苄基-3′-(4-氯-苯基)-[1,4′]联哌啶-4-醇(2.25g,53%),为白色泡沫,MS:m/e=385.3(M+H+)。
将外消旋-顺式-1′-苄基-3′-(4-氯-苯基)-[1,4′]联哌啶-4-醇(2.17g,5.64mmol)溶于二甲基甲酰胺(8ml),加入咪唑(1.15g,16.9mmol)和叔丁基-二甲基-甲硅烷基氯(1.70g,11.3mmol)。将反应混合物在40℃下搅拌过夜,然后用50ml水稀释。混合物用50ml乙酸乙酯萃取三次。合并有机相,用硫酸镁干燥,蒸发。经过硅胶快速色谱纯化,用己烷/乙酸乙酯/三乙胺80∶10∶1洗脱,得到外消旋-顺式-1′-苄基-4-(叔丁基-二甲基-甲硅烷氧基)-3′-(4-氯-苯基)-[1,4′]联哌啶(2.80g,99%),为无色的油,MS:m/e=499.3(M+)。
将外消旋-顺式-1′-苄基-4-(叔丁基-二甲基-甲硅烷氧基)-3′-(4-氯-苯基)-[1,4′]联哌啶(2.80g,5.60mmol)溶于二氯甲烷(45ml),在0℃下加入1-氯乙基-氯甲酸酯(1.83ml,16.8mmol)。使反应混合物回流过夜。加入甲醇(40ml),继续回流3小时。蒸发溶剂。将粗中间体溶于二氯甲烷(100ml),加入三乙胺(3.9ml,28mmol)和3,5-双三氟甲基-苯甲酰氯(1.11ml,6.16mmol)。将反应混合物在室温下搅拌过夜,然后用50ml水稀释。分离有机相,含水层用50ml二氯甲烷萃取两次。合并有机相,用硫酸镁干燥,蒸发。经过硅胶快速色谱纯化,用二氯甲烷/甲醇/氨140∶10∶1洗脱,得到所需产物(1.57g,83%),为白色泡沫,MS:m/e=535.2(M+H+)。
实施例64
外消旋-顺式-4-[1-(3,5-双-三氟甲基-苯甲酰基)-3-苯基-哌啶-4-基]-哌嗪-1-羧酸二乙基酰胺
按照实施例38的通用方法,从外消旋-顺式-(3,5-双-三氟甲基-苯基)-(3-苯基-4-哌嗪-1-基-哌啶-1-基)-甲酮和二乙基碳酰氯制备标题化合物,MS:m/e=584.2(M+H+)。
实施例65
(+)-(3,5-双-三氟甲基-苯基)-[4-(4-环丙烷羰基-哌嗪-1-基)-3-苯基-哌啶-1-基]-甲酮
在Chiralpac AD上分离外消旋-顺式-(3,5-双-三氟甲基-苯基)-[4-(4-环丙烷羰基-哌嗪-1-基)-3-苯基-哌啶-1-基]-甲酮,用含10%乙醇的庚烷洗脱。第二部分含有活性更高的对映体,[α]589 20=+18.18(c=0.9679,甲醇)。
实施例66
外消旋-顺式-(3,5-双-三氟甲基-苯基)-[3′-(4-氯-苯基)-4-环丙基甲氧基-[1,4′]联哌啶-1′-基]-甲酮
按照实施例53的通用方法,从外消旋-顺式-(3,5-双-三氟甲基-苯基)-[3′-(4-氯-苯基)-4-羟基-[1,4′]联哌啶-1′-基]-甲酮和溴甲基环丙烷制备标题化合物,MS:m/e=589.2(M+H+)。
实施例67
外消旋-顺式-1′-(3,5-双-三氟甲基-苯甲酰基)-3′-(4-氯-苯基)-[1,4′]联哌啶-4-酮
按照实施例55的通用方法,从外消旋-顺式-(3,5-双-三氟甲基-苯基)-[3′-(4-氯-苯基)-4-羟基-[1,4′]联哌啶-1′-基]-甲酮制备标题化合物,MS.m/e=533.2(M+H+)。
实施例68
外消旋-顺式-2-{4-[1-(3,5-双-三氟甲基-苯甲酰基)-3-苯基-哌啶-4-基]-哌嗪-1-基}-N-(4-氟-苯基)-乙酰胺
按照实施例35的通用方法,从外消旋-顺式-(3,5-双-三氟甲基-苯基)-(3-苯基-4-哌嗪-1-基-哌啶-1-基)-甲酮和α-氯-4-氟乙酰胺制备标题化合物,MS:m/e=637.1(M+H+)。
实施例69
外消旋-顺式-2-{4-[1-(3,5-双-三氟甲基-苯甲酰基)-3-苯基-哌啶-4-基]-哌嗪-1-基}-1-吗啉-4-基-乙酮
按照实施例35的通用方法,从外消旋-顺式-(3,5-双-三氟甲基-苯基)-(3-苯基-4-哌嗪-1-基-哌啶-1-基)-甲酮和4-(2-氯乙酰基)吗啉制备标题化合物,MS:m/e=613.1(M+H+)。
实施例70
(-)-(3,5-双-三氟甲基-苯基)-[3-(4-氯-苯基)-4-吗啉-4-基-哌啶-1-基]-甲酮
在Chiralpac AD上分离外消旋-顺式-(3,5-双-三氟甲基-苯基)-[3-(4-氯-苯基)-4-吗啉-4-基-哌啶-1-基]-甲酮,用含15%乙醇的庚烷洗脱。第二部分含有活性更高的对映体,[α]589 20=-48.61(c=0.5678,甲醇)。
实施例71
外消旋-顺式-1-{4-[1-(3,5-双-三氟甲基-苯甲酰基)-3-苯基-哌啶-4-基]-哌嗪-1-基}-2-苯基-乙酮
按照实施例38的通用方法,从外消旋-顺式-(3,5-双-三氟甲基-苯基)-(3-苯基-4-哌嗪-1-基-哌啶-1-基)-甲酮和苯乙酰氯制备标题化合物,MS:m/e=604.1(M+H+)。
实施例72
外消旋-顺式-(3,5-双-三氟甲基-苯基)-[3-(4-氯-苯基)-4-吡咯烷-1-基-哌啶-1-基]-甲酮
按照实施例52的通用方法,从1-苄基-3-(4-氯-苯基)-哌啶-4-酮、吡咯烷和3,5-双三氟甲基-苯甲酰氯制备标题化合物,MS:m/e=505.2(M+H+)。
实施例73
(3R,3′R,4S)-和(3S,3′R,4R)-(3,5-双-三氟甲基-苯基)-[3-(4-氟-苯基)-4-(3-羟基-吡咯烷-1-基)-哌啶-1-基]-甲酮
按照实施例26的通用方法,从1-苄基-3-(4-氟-苯基)-哌啶-4-酮、(R)-3-羟基吡咯烷和3,5-双三氟甲基-苯甲酰氯制备标题化合物的混合物,MS:m/e=505.2(M+H+)。
实施例74
外消旋-顺式-[4-(4-苯并噁唑-2-基-哌嗪-1-基)-3-苯基-哌啶-1-基]-(3,5-双-三氟甲基-苯基)-甲酮
按照实施例59的通用方法,从外消旋-顺式-(3,5-双-三氟甲基-苯基)-(3-苯基-4-哌嗪-1-基-哌啶-1-基)-甲酮和2-氯苯并噁唑制备标题化合物,MS:m/e=603.0(M+H+)。
实施例75
(1′R,3R,4R)-和(1′R,3S,4S)4-[1-(3,5-双-三氟甲基-苯甲酰基)-3-苯基-哌啶-4-基]-哌嗪-1-羧酸(1-苯基-乙基)-酰胺
将外消旋-顺式-(3,5-双-三氟甲基-苯基)-(3-苯基-4-哌嗪-1-基-哌啶-1-基)-甲酮(204mg,0.42mmol)溶于二氯甲烷(5ml)。加入(R)-α-甲基苄基-异氰酸酯(0.066ml,0.46mmol),将反应混合物在室温下搅拌过夜。蒸发溶剂,得到产物(256mg,96%),为灰白色泡沫,MS:m/e=633.1(M+H+)。
实施例76
(3RS,3′RS,4SR)-和(3RS,3′SR,4SR)-环丙烷羧酸{1-[1-(3,5-双-三氟甲基-苯甲酰基)-3-苯基-哌啶-4-基]-吡咯烷-3-基}-甲基-酰胺
将外消旋-顺式-1-[1-(3,5-双-三氟甲基-苯甲酰基)-3-苯基-哌啶-4-基]-吡咯烷-3-酮(767mg,1.58mmol)溶于乙醇(15ml)。加入盐酸甲胺(139mg,2.06mmol)、三乙胺(417mg,4.12mmol)和四异丙基-原钛酸酯(675mg,2.38mmol)。在室温下搅拌后,加入硼氢化钠(102mg,2.69mmol)。将反应混合物在室温下搅拌24小时,用水(2.0ml)稀释。滤出无机沉淀物,用乙醇洗涤。蒸发滤液,经过硅胶色谱纯化,用二氯甲烷/甲醇/三乙胺98∶1∶1洗脱,得到(3RS,3′RS,4SR)-和(3RS,3′SR,4SR)-[4-(3-甲基-氨基-吡咯烷-1-基)-3-(4-氟-苯基)-哌啶-1-基]-(3,5-双-三氟甲基-苯基)-甲酮(174mg,22%),为褐色泡沫,没有作进一步鉴别。
使(3RS,3′RS,4SR)-和(3RS,3′SR,4SR)-[4-(3-甲基-氨基-吡咯烷-1-基)-3-(4-氟-苯基)-哌啶-1-基]-(3,5-双-三氟甲基-苯基)-甲酮与环丙烷碳酰氯如实施例38所述反应,得到标题化合物,MS:m/e=568.2(M+H+)。
实施例77
(3RS,3′RS,4SR)-和(3RS,3′SR,4SR)-环丙烷羧酸[1′-(3,5-双-三氟甲基-苯甲酰基)-3′-(4-氟-苯基)-[1,4′]联哌啶-3-基]-酰胺
将(3RS,3′RS,4SR)-与(3RS,3′SR,4SR)-(3,5-双-三氟甲基-苯基)-[3′-(4-氟-苯基)-3-羟基-[1,4′]联哌啶-1′-基]-甲酮(1.39g,2.68mmol)溶于二氯甲烷(15ml),在室温下加入三乙胺(0.934ml,6.70mmol)和甲磺酰氯(0.292ml,3.75mmol)。将反应混合物在室温下搅拌30分钟,然后用20ml水稀释。分离有机相,含水层用30ml二氯甲烷萃取两次。合并有机相,用硫酸镁干燥,蒸发。经过硅胶快速色谱纯化,用环己烷/乙酸乙酯/三乙胺90∶10∶1洗脱,得到(3RS,3′RS,4SR)-和(3RS,3′SR,4SR)-(3,5-双-三氟甲基-苯基)-[3-氯-3′-(4-氟-苯基)-[1,4′]联哌啶-1′-基]-甲酮(765mg,53%),为白色泡沫,MS:m/e=537.2(M+H+)。
将(3RS,3′RS,4SR)-和(3RS,3′SR,4SR)-(3,5-双-三氟甲基-苯基)-[3-氯-3′-(4-氟-苯基)-[1,4′]联哌啶-1′-基]-甲酮(696mg,1.30mmol)溶于N,N-二甲基甲酰胺(15ml),在室温下加入叠氮化钠(505mg,7.79mmol)。将反应混合物在95℃下搅拌过夜,然后用50ml水稀释。混合物用50ml叔丁基-甲基醚萃取三次。合并有机相,用硫酸镁干燥,蒸发。粗叠氮化物(704mg,100%)无需进一步纯化即可用于下面的步骤。
将叠氮化物中间体(704mg,1.30mmol)溶于甲醇(50ml),加入披钯碳(10%,138mg)。在室温和氢气氛(1巴)下搅拌过夜后,过滤混合物,蒸发溶剂。粗制胺(490mg,73%)无需进一步纯化即可用于下一步。
将胺中间体(163mg,0.315mmol)溶于二氯甲烷(5ml),在室温下加入三乙胺(0.132ml,0.945mmol)和环丙烷碳酰氯(0.035ml,0.378mmol)。蒸发溶剂,经过硅胶快速色谱纯化,用环己烷/乙酸乙酯/三乙胺10∶10∶1洗脱,得到(3RS,3′RS,4SR)-和(3RS,3′SR,4SR)-(环丙烷羧酸[1′-(3,5-双-三氟甲基-苯甲酰基)-3′-(4-氟-苯基)-[1,4′]联哌啶-3-基]-酰胺(95mg,52%),为浅黄色泡沫,MS:m/e=586.1(M+H+)。
实施例78
(3RS,3′RS,4SR)-和(3RS,3′SR,4SR)-N-[1′-(3,5-双-三氟甲基-苯甲酰基)-3′-(4-氟-苯基)-[1,4′]联哌啶-3-基]-苯甲酰胺
按照实施例77的通用方法,从粗胺中间体和苯甲酰氯制备标题化合物,MS:m/e=622.1(M+H+)。
实施例79
(3RS,3′RS,4SR)-和(3RS,3′SR,4SR)-N-[1′-(3,5-双-三氟甲基-苯甲酰基)-3′-(4-氟-苯基)-[1,4′]联哌啶-3-基]-2-苯基-乙酰胺
按照实施例77的通用方法,从粗胺中间体和苯乙酰氯制备标题化合物,MS:m/e=636.2(M+H+)。
实施例80
(-)-(3,5-双-三氟甲基-苯基)-[3-(4-氯-苯基)-4-吡咯烷-1-基-哌啶-1-基]-甲酮
在Chiralpac AD上分离外消旋-顺式-(3,5-双-三氟甲基-苯基)-[3-(4-氯-苯基)-4-吡咯烷-1-基-哌啶-1-基]-甲酮,用含5%乙醇的庚烷洗脱。第二部分含有活性更高的对映体,[α]589 20=-42.97,[α]546 20=-51.90,[α]436 20=-100.61,[α]365 20=-189.94,(HCl-盐,c=0.4702,甲醇)。
实施例81
外消旋-顺式-1-{4-[1-(3,5-双-三氟甲基-苯甲酰基)-3-(4-氟-苯基)-哌啶-4-基]-哌嗪-1-基}-2,2,2-三氟-乙酮
按照实施例32的通用方法,从1-苄基-3-(4-氟-苯基)-哌啶-4-酮、哌嗪和3,5-双三氟甲基-苯甲酰氯制备标题化合物,MS:m/e=600.0(M+H+)。
实施例82
外消旋-顺式-(3,5-双-三氟甲基-苯基)-[3-(4-氟-苯基)-4-哌嗪-1-基-哌啶-1-基]-甲酮
按照实施例34的通用方法,从外消旋-顺式-1-{4-[1-(3,5-双-三氟甲基-苯甲酰基)-3-(4-氟-苯基)-哌啶-4-基]-哌嗪-1-基}-2,2,2-三氟-乙酮制备标题化合物,MS:m/e=504.3(M+H+)。
实施例83
外消旋-顺式-(3,5-双-三氟甲基-苯基)-{3-(4-氟-苯基)-4-[4-(2,2,2-三氟-乙基)-哌嗪-1-基]-哌啶-1-基}-甲酮
作为外消旋-顺式-1-{4-[1-(3,5-双-三氟甲基-苯甲酰基)-3-(4-氟-苯基)-哌啶-4-基]-哌嗪-1-基}-2,2,2-三氟-乙酮(实施例81)的副产物,得到标题化合物,MS:m/e=586.1(M+H+)。
实施例84
外消旋-顺式-(3,5-双-三氟甲基-苯基)-[4-(4-环丙烷羰基-哌嗪-1-基)-3-(4-氟-苯基)-哌啶-1-基]-甲酮
按照实施例38的通用方法,从外消旋-顺式-(3,5-双-三氟甲基-苯基)-[3-(4-氟-苯基)-4-哌嗪-1-基-哌啶-1-基]-甲酮和环丙烷碳酰氯制备标题化合物,MS:m/e=572.1(M+H+)。
实施例85
(+)-(3,5-双-三氟甲基-苯基)-[4-(4-环丙烷羰基-哌嗪-1-基)-3-(4-氟-苯基)-哌啶-1-基]-甲酮
在Chiralpac AD上分离外消旋-顺式-(3,5-双-三氟甲基-苯基)-[4-(4-环丙烷羰基-哌嗪-1-基)-3-(4-氟-苯基)-哌啶-1-基]-甲酮,用含10%乙醇的庚烷洗脱。第二部分含有活性更高的对映体,[α]589 20=+14.52(c=0.4615,甲醇)。
实施例86
外消旋-顺式-(3,5-双-三氟甲基-苯基)-[3-苯基-4-(4-吡啶-2-基-哌嗪-1-基)-哌啶-1-基]-甲酮
按照实施例59的通用方法,从外消旋-顺式-(3,5-双-三氟甲基-苯基)-(3-苯基-4-哌嗪-1-基-哌啶-1-基)-甲酮和2-氯吡啶制备标题化合物,MS:m/e=563.3(M+H+)。
实施例87
外消旋-顺式-(3,5-双-三氟甲基-苯基)-[3-(3,4-二氯-苯基)-4-吗啉-4-基-哌啶-1-基]-甲酮
按照实施例26的通用方法,从1-苄基-3-(3,4-二氯-苯基)-哌啶-4-酮、吗啉和3,5-双三氟甲基-苯甲酰氯制备标题化合物,MS:m/e=555.1(M+H+)。
实施例88
外消旋-顺式-(3,5-双-三氟甲基-苯基)-[4-(4-环丙基甲基-哌嗪-1-基)-3-(4-氟-苯基)-哌啶-1-基]-甲酮
按照实施例35的通用方法,从外消旋-顺式-(3,5-双-三氟甲基-苯基)-[3-(4-氟-苯基)-4-哌嗪-1-基-哌啶-1-基]-甲酮和溴甲基环丙烷制备标题化合物,MS:m/e=558.3(M+H+)。
实施例89
外消旋-顺式-(3,5-双-三氟甲基-苯基)-[3-(4-氯-3-氟-苯基)-4-吗啉-4-基-哌啶-1-基]-甲酮
按照实施例26的通用方法,从1-苄基-3-(4-氯-3-氟-苯基)-哌啶-4-酮、吗啉和3,5-双三氟甲基-苯甲酰氯制备标题化合物,MS:m/e=539.3(M+H+)。
实施例90
(-)-(3,5-双-三氟甲基-苯基)-[3-(4-氟-苯基)-4-(4-甲基-哌嗪-1-基)-哌啶-1-基]-甲酮
在Chiralpac AD上分离外消旋-顺式-(3,5-双-三氟甲基-苯基)-[3-(4-氟-苯基)-4-(4-甲基-哌嗪-1-基)-哌啶-1-基]-甲酮,用含5%异丙醇的庚烷洗脱。第一部分含有活性更高的对映体,[α]589 20=-11.70(c=0.3846,氯仿)。
实施例91
外消旋-顺式-(3,5-双-三氟甲基-苯基)-[3-(4-氯-苯基)-4-硫代吗啉-4-基-哌啶-1-基]-甲酮
按照实施例26的通用方法,从1-苄基-3-(4-氯-苯基)-哌啶-4-酮、硫代吗啉和3,5-双三氟甲基-苯甲酰氯制备标题化合物,MS:m/e=537.2(M+H+)。
实施例92
(-)-(3,5-双-三氟甲基-苯基)-[3-苯基-4-(4-甲基-哌嗪-1-基)-哌啶-1-基]-甲酮
在Chiralpac AD上分离外消旋-顺式-(3,5-双-三氟甲基-苯基)-[3-苯基-4-(4-甲基-哌嗪-1-基)-哌啶-1-基]-甲酮,用含4%异丙醇的庚烷洗脱。第一部分含有活性更高的对映体,[α]589 20=-11.55(c=0.3291,氯仿)。
实施例93
外消旋-顺式-(3,5-双-三氟甲基-苯基)-[3′-(4-氯-苯基)-4,4-二氟-[1,4′]联哌啶-1′-基]-甲酮
按照实施例57的通用方法,从外消旋-顺式-1′-(3,5-双-三氟甲基-苯甲酰基)-3′-(4-氯-苯基)-[1,4′]联哌啶-4-酮和二乙氨基三氟化硫制备标题化合物,MS:m/e=555.1(M+H+)。
实施例94
外消旋-顺式-(3,5-双-三氟甲基-苯基)-[3-(4-氯-苯基)-4-(1,1-二氧代-1λ6-硫代吗啉-4-基)-哌啶-1-基]-甲酮
按照实施例51的通用方法,从外消旋-顺式-(3,5-双-三氟甲基-苯基)-[3-(4-氯-苯基)-4-硫代吗啉-4-基-哌啶-1-基]-甲酮和过一硫酸钾(Oxone)制备标题化合物,MS:m/e=569.1(M+H+)。
实施例95
外消旋-顺式-(3,5-双-三氟甲基-苯基)-[3-(3,4-二氯-苯基)-4-硫代吗啉-4-基-哌啶-1-基]-甲酮
按照实施例26的通用方法,从1-苄基-3-(3,4-二氯-苯基)-哌啶-4-酮、硫代吗啉和3,5-双三氟甲基-苯甲酰氯制备标题化合物,MS:m/e=571.0(M+H+)。
实施例96
外消旋-顺式-(3,5-双-三氟甲基-苯基)-[3-(4-甲基-苯基)-4-硫代吗啉-4-基-哌啶-1-基]-甲酮
按照实施例26的通用方法,从1-苄基-3-(4-甲基-苯基)-哌啶-4-酮、硫代吗啉和3,5-双三氟甲基-苯甲酰氯制备标题化合物,MS:m/e=517.3(M+H+)。
实施例97
外消旋-顺式-(3,5-双-三氟甲基-苯基)-[3-(3,4-二氯-苯基)-4-(1,1-二氧代-1l6-硫代吗啉-4-基)-哌啶-1-基]-甲酮
按照实施例51的通用方法,从外消旋-顺式-(3,5-双-三氟甲基-苯基)-[3-(3,4-二氯-苯基)-4-硫代吗啉-4-基-哌啶-1-基]-甲酮和过一硫酸钾(Oxone)制备标题化合物,MS:m/e=602.1(M+)。
实施例98
外消旋-顺式-(3,5-双-三氟甲基-苯基)-[3-(4-甲基-苯基)-4-(1,1-二氧代-1λ6-硫代吗啉-4-基)-哌啶-1-基]-甲酮
按照实施例51的通用方法,从外消旋-顺式-(3,5-双-三氟甲基-苯基)-[3-(4-甲基-苯基)-4-硫代吗啉-4-基-哌啶-1-基]-甲酮和过一硫酸钾(Oxone)制备标题化合物,MS:m/e=549.2(M+)。
实施例99
外消旋-顺式-(3,5-双-三氟甲基-苯基)-[4-(2,6-二甲基-吗啉-4-基)-3-对-甲苯基-哌啶-1-基]-甲酮
按照实施例26的通用方法,从1-苄基-3-(4-甲基-苯基)-哌啶-4-酮、顺式-2,6-二甲基-吗啉和3,5-双三氟甲基-苯甲酰氯制备标题化合物,MS:m/e=529.3(M+H+)。
实施例100
(-)-(1-{4-[1-(3,5-双-三氟甲基-苯甲酰基)-3-对-甲苯基-哌啶-4-基]-哌嗪-1-基}-2,2,2-三氟-乙酮
在Chiralpac AD上分离外消旋-顺式-(1-{4-[1-(3,5-双-三氟甲基-苯甲酰基)-3-对-甲苯基-哌啶-4-基]-哌嗪-1-基}-2,2,2-三氟-乙酮(按照实施例32的通用方法,从1-苄基-3-(4-甲基-苯基)-哌啶-4-酮、哌嗪和3,5-双三氟甲基-苯甲酰氯制备),用含10%异丙醇的庚烷洗脱。第一部分含有活性更高的对映体,[α]589 20=-6.63,[α]546 20=-8.10,[α]436 20=-22.10,[α]365 20=-61.87(c=0.1358,甲醇)。
实施例101
(-)-4-[1-(3,5-双-三氟甲基-苯甲酰基)-3-苯基-哌啶-4-基]-哌嗪-1-甲酸叔丁酯
在Chiralpac AD上分离外消旋-顺式-4-[1-(3,5-双-三氟甲基-苯甲酰基)-3-苯基-哌啶-4-基]-哌嗪-1-甲酸叔丁酯(从外消旋-顺式-(3,5-双-三氟甲基-苯基)-(3-苯基-4-哌嗪-1-基-哌啶-1-基)-甲酮和二叔丁基-碳酸酯制备),用含6%异丙醇的庚烷洗脱。第一部分含有活性更高的对映体,[α]589 20=-2.23(c=0.6740,氯仿)。
实施例102
(-)-(3,5-双-三氟甲基-苯基)-[4-(4-环丙基甲基-哌嗪-1-基)-3-对-甲苯基-哌啶-1-基]-甲酮
将(-)-(1-{4-[1-(3,5-双-三氟甲基-苯甲酰基)-3-对-甲苯基-哌啶-4-基]-哌嗪-1-基}-2,2,2-三氟-乙酮(245mg,0.411mmol)溶于甲醇(1.5ml)。加入水(0.15ml)和碳酸钾(170mg,123mmol),将反应混合物在室温下搅拌3小时。加入水(10ml),混合物用20ml二氯甲烷萃取三次。合并有机相,用硫酸镁干燥,蒸发。
将游离哌嗪中间体溶于N,N-二甲基甲酰胺(10ml),在室温下加入碳酸钾(166mg,1.20mmol)和溴甲基环丙烷(0.043ml,0.440mmol)。将反应混合物在室温下搅拌3小时。加入水(30ml),混合物用50ml叔丁基甲基醚萃取三次。合并有机相,用硫酸镁干燥,蒸发。经过硅胶快速色谱纯化,用环己烷/乙酸乙酯/三乙胺30∶10∶1洗脱,得到标题化合物(171mg,77%),为灰白色固体,MS:m/e=554.3(M+H+),[α]589 20=-19.81(c=0.4089,氯仿)。
实施例103
(-)-(3,5-双-三氟甲基-苯基)-[4-(4-环丙烷羰基-哌嗪-1-基)-3-对-甲苯基-哌啶-1-基]-甲酮
按照实施例102(第一部分)和实施例38的通用方法,从(-)-(1-{4-[1-(3,5-双-三氟甲基-苯甲酰基)-3-对-甲苯基-哌啶-4-基]-哌嗪-1-基}-2,2,2-三氟-乙酮和环丙基碳酰氯制备标题化合物,MS:m/e=568.3(M+H+),[α]589 20=-6.48(c=0.4012,氯仿)。
实施例104
(-)-(3,5-双-三氟甲基-苯基)-{4-[4-(吗啉-4-羰基)-哌嗪-1-基]-3-对-甲苯基-哌啶-1-基}-甲酮
按照实施例102(第一部分)和实施例38的通用方法,从(-)-(1-{4-[1-(3,5-双-三氟甲基-苯甲酰基)-3-对-甲苯基-哌啶-4-基]-哌嗪-1-基}-2,2,2-三氟-乙酮和4-吗啉碳酰氯制备标题化合物,MS:m/e=613.2(M+H+),[α]589 20=-10.99(c=0.4369,氯仿)。
实施例105
(-)-(3,5-双-三氟甲基-苯基)-[4-(4-甲磺酰基-哌嗪-1-基)-3-对-甲苯基-哌啶-1-基]-甲酮
按照实施例102(第一部分)和实施例38的通用方法,从(-)-(1-{4-[1-(3,5-双-三氟甲基-苯甲酰基)-3-对-甲苯基-哌啶-4-基]-哌嗪-1-基}-2,2,2-三氟-乙酮和甲磺酰氯制备标题化合物,MS:m/e=578.1(M+H+),[α]589 20=-19.14(c=0.4545,氯仿)。
实施例106
外消旋-顺式-1-{4-[1-(3,5-双-三氟甲基-苯甲酰基)-3-(4-氯-苯基)-哌啶-4-基]-哌嗪-1-基}-2,2,2-三氟-乙酮
在室温下,向1-苄基-3-(4-氯-苯基)-哌啶-4-酮(15.2g,38.5mmol)与哌嗪(6.78g,77.1mmol)在乙醇(6ml)中的混合物中加入四异丙基-原钛酸酯(22.8ml,77.1mmol)。在室温下搅拌3天后,反应混合物用乙醇(250ml)稀释,加入氰基硼氢化钠(5.10g,77.1mmol)。将反应混合物在室温下搅拌24小时,用水(30ml)稀释。滤出无机沉淀物,用乙醇和二氯甲烷洗涤。蒸发溶剂,将残余物溶于乙二醇(100ml),加入氢氧化钠(3.08g,77.1mmol)。将反应混合物在130℃下搅拌15分钟。冷却后,加入水(200ml),混合物用200ml叔丁基甲基醚萃取四次。合并有机相,用硫酸镁干燥,蒸发。经过硅胶快速色谱纯化,用二氯甲烷/甲醇/三乙胺98∶1∶1洗脱,得到外消旋-顺式-1-[1-苄基-3-(4-氯-苯基)-哌啶-4-基]-哌嗪(9.54g,67%),为黄色的油,MS:m/e=336.3(M+H+)。
将外消旋-顺式-1-[1-苄基-3-(4-氯-苯基)-哌啶-4-基]-哌嗪(2.00g,5.41mmol)溶于二氯甲烷(130ml),在0℃下加入9-芴基甲基-氯甲酸酯(1.71g,6.49mmol)的二氯甲烷(50ml)溶液。将反应混合物在室温下搅拌过夜,用饱和碳酸氢钠溶液(100ml)稀释。分离有机相,含水层用150ml二氯甲烷萃取两次。合并有机相,用硫酸镁干燥,蒸发。经过硅胶快速色谱纯化,用环己烷/乙酸乙酯6∶1洗脱,得到外消旋-顺式-4-[1-苄基-3-(4-氯-苯基)-哌啶-4-基]-哌嗪-1-甲酸9H-芴-9-基甲基酯(1.75g,55%),为浅黄色固体,MS:m/e=592.3(M+)。
将外消旋-顺式-4-[1-苄基-3-(4-氯-苯基)-哌啶-4-基]-哌嗪-1-甲酸9H-芴-9-基甲基酯(1.68g,2.84mmol)溶于甲苯(60ml),加入1-氯乙基-氯甲酸酯(0.348ml,3.13mmol)。使反应混合物回流过夜。加入甲醇(55ml),继续回流4小时。蒸发溶剂。将粗中间体溶于二氯甲烷(50ml),加入三乙胺(1.99ml,14.2mmol)和3,5-双三氟甲基-苯甲酰氯(0.643ml,3.55mmol)。将反应混合物在室温下搅拌过夜,然后用50ml水稀释。分离有机相,含水层用50ml二氯甲烷萃取。合并有机相,用硫酸镁干燥,蒸发。经过硅胶快速色谱纯化,用环己烷/乙酸乙酯1∶1洗脱,得到外消旋-顺式-4-[1-(3,5-双-三氟甲基-苯甲酰基)-3-(4-氯-苯基)-哌啶-4-基]-哌嗪-1-甲酸9H-芴-9-基甲基酯(1.84g,87%),为灰白色固体,MS:m/e=742.3(M+H+)。
将外消旋-顺式-4-[1-(3,5-双-三氟甲基-苯甲酰基)-3-(4-氯-苯基)-哌啶-4-基]-哌嗪-1-甲酸9H-芴-9-基甲基酯(1.79g,2.42mmol)溶于二氯甲烷(24ml)。加入哌啶(2.4ml),将反应混合物在室温下搅拌过夜。蒸发溶剂和哌啶。将粗中间体溶于二氯甲烷(25ml)。加入4-二甲氨基-吡啶(6mg,0.05mmol)、吡啶(0.488ml,6.04mmol)和三氟乙酸酐(2.6ml,18.2mmol)。将反应混合物在室温下搅拌过夜,然后用1N氢氧化钠溶液(25ml)稀释。分离有机相,含水层用50ml二氯甲烷萃取两次。合并有机相,用硫酸镁干燥,蒸发。经过硅胶快速色谱纯化,用环己烷/乙酸乙酯1∶2洗脱,得到外消旋-顺式-1-{4-[1-(3,5-双-三氟甲基-苯甲酰基)-3-(4-氯-苯基)-哌啶-4-基]-哌嗪-1-基}-2,2,2-三氟-乙酮(730mg,49%),为灰白色固体,MS:m/e=616.2(M+H+)。
实施例107
外消旋-顺式-(3,5-双-三氟甲基-苯基)-[3′-(4-氯-苯基)-4-二甲氨基-[1,4′]联哌啶-1′-基]-甲酮
在室温下,向2M二甲胺的甲醇溶液(0.38ml,0.75mmol)加入异丙醇钛(IV)(0.11ml,0.38mmol)。10分钟后,向所得悬液加入1′-(3,5-双-三氟甲基-苯甲酰基)-3′-(4-氯-苯基)-[1,4′]联哌啶-4-酮(0.10g,0.19mmol)的1ml甲醇溶液。将反应混合物在室温下搅拌5小时。加入硼氢化钠(7.0mg,0.19mmol),继续在室温下搅拌过夜。用水(0.5ml)猝灭后,用甲醇(1ml)稀释,过滤悬液。浓缩滤液,所得浆液用若干批二氯甲烷研制。合并有机层,浓缩。经过快速柱色谱纯化,得到标题化合物,为灰白色固体(58mg,55%),MS:m/e=562(M+H+)。
实施例108
(-)-1-{4-[1-(3,5-双-三氟甲基-苯甲酰基)-3-(4-氯-苯基)-哌啶-4-基]-哌嗪-1-基}-2,2,2-三氟-乙酮
在Chiralpac AD上分离外消旋-顺式-1-{4-[1-(3,5-双-三氟甲基-苯甲酰基)-3-(4-氯-苯基)-哌啶-4-基]-哌嗪-1-基}-2,2,2-三氟-乙酮,用含8%异丙醇的庚烷洗脱。第一部分含有活性更高的对映体,[α]589 20=-19.32(c=0.5020,氯仿)。
实施例109
外消旋-顺式-(3,5-双-三氟甲基-苯基)-[3′-(4-氯-苯基)-4-吗啉-4-基-[1,4′]联哌啶-1′-基]-甲酮
在室温下,向吗啉(0.065ml,0.75mmol)的1ml甲醇溶液加入异丙醇钛(IV)(0.11ml,0.38mmol)。20分钟后,向所得悬液加入1′-(3,5-双-三氟甲基-苯甲酰基)-3′-(4-氯-苯基)-[1,4′]联哌啶-4-酮(0.10g,0.19mmol)。将反应混合物在室温下搅拌5小时。加入硼氢化钠(7.0mg,0.19mmol),继续在室温下搅拌过夜。用水(0.5ml)猝灭后,悬液用若干批二氯甲烷研制。合并有机层,过滤,浓缩。经过快速柱色谱纯化,得到标题化合物,为白色固体(72mg,64%),MS:m/e=604(M+H+)。
实施例110
(-)-(3,5-双-三氟甲基-苯基)-[4-(4-环丙基-哌嗪-1-基)-3-对-甲苯基-哌啶-1-基]-甲酮
将(-)-(1-{4-[1-(3,5-双-三氟甲基-苯甲酰基)-3-对-甲苯基-哌啶-4-基]-哌嗪-1-基}-2,2,2-三氟-乙酮(245mg,0.411mmol)溶于甲醇(1.5ml)。加入水(0.15ml)和碳酸钾(170mg,123mmol),将反应混合物在室温下搅拌3小时。加入水(10ml),混合物用20ml二氯甲烷萃取三次。合并有机相,用硫酸镁干燥,蒸发。
将游离哌嗪中间体溶于甲醇(10ml),加入乙酸(0.109ml,1.90mmol)、粉碎的分子筛(1小匙)、[(1-乙氧基环丙基)氧基]三甲基硅烷(0.152ml,0.761mmol)和氰基硼氢化钠(36mg,0.571mmol)。使反应混合物回流8小时,冷却,过滤。向滤液加入2N氢氧化钠溶液(20ml),混合物用50ml乙酸乙酯萃取三次。合并有机相,用硫酸镁干燥,蒸发。经过硅胶色谱纯化,用二氯甲烷/三乙胺99∶1洗脱,得到标题化合物(160mg,72%),为白色泡沫,MS:m/e=540.3(M+H+),[α]589 20=-11.02,[α]546 20=-13.78,[α]436 20=-36.66,[α]365 20=-94.73(c=0.4719,氯仿)。
实施例111
(-)-(3,5-双-三氟甲基-苯基)-[4-(4-甲基-哌嗪-1-基)-3-对-甲苯基-哌啶-1-基]-甲酮
按照实施例102的通用方法,从(-)-(1-{4-[1-(3,5-双-三氟甲基-苯甲酰基)-3-对-甲苯基-哌啶-4-基]-哌嗪-1-基}-2,2,2-三氟-乙酮和甲基碘制备标题化合物,MS:m/e=514.4(M+H+),[α]589 20=-25.92,[α]546 20=-32.60,[α]436 20=-71.06,[α]365 20=-152.15(c=0.1196,氯仿)。
实施例112
外消旋-顺式-(3,5-双-三氟甲基-苯基)-[3′-(4-氯-苯基)-4-环丙氨基-[1,4′]联哌啶-1′-基]-甲酮
将环丙胺(0.014ml,0.21mmol)、1′-(3,5-双-三氟甲基-苯甲酰基)-3′-(4-氯-苯基)-[1,4′]联哌啶-4-酮(0.10g,0.19mmol)与1滴浓盐酸水溶液的2ml乙醇溶液在回流下加热2小时。冷却至0℃后,加入硼氢化钠(9.0mg,0.23mmol)。使反应混合物温热至室温过夜。用水(0.5ml)猝灭后,浓缩混合物。将残余物溶于二氯甲烷,然后用水洗涤三次,用硫酸钠干燥,浓缩。经过快速色谱纯化,得到标题化合物,为白色固体(22mg,21%),MS:m/e=574(M+H+)。
实施例113
(-)-(3,5-双-三氟甲基-苯基)-[3-(4-氯-苯基)-4-(4-环丙基甲基-哌嗪-1-基)-哌啶-1-基]-甲酮
按照实施例102的通用方法,从(-)-1-{4-[1-(3,5-双-三氟甲基-苯甲酰基)-3-(4-氯-苯基)-哌啶-4-基]-哌嗪-1-基}-2,2,2-三氟-乙酮和环丙基甲基溴制备标题化合物,MS:m/e=574.1(M+H+),[α]589 20=-18.46,[α]546 20=-27.04,(c=0.3846,氯仿)。
实施例114
(-)-(3,5-双-三氟甲基-苯基)-[4-(4-环丙基甲基-哌嗪-1-基)-3-苯基-哌啶-1-基]-甲酮
将(-)-4-[1-(3,5-双-三氟甲基-苯甲酰基)-3-苯基-哌啶-4-基]-哌嗪-1-甲酸叔丁酯(244mg,0.417mmol)溶于二氯甲烷(10ml)。加入三氟乙酸(0.638ml,8.33mmol),将反应混合物在室温下搅拌3小时。加入饱和碳酸氢钠溶液直至pH8,混合物用30ml二氯甲烷萃取三次。合并有机相,用硫酸镁干燥,蒸发。
将游离哌嗪中间体溶于N,N-二甲基甲酰胺(10ml),在室温下加入碳酸钾(166mg,1.20mmol)和溴甲基环丙烷(0.043ml,0.440mmol)。将反应混合物在室温下搅拌3小时。加入水(30ml),混合物用50ml叔丁基甲基醚萃取三次。合并有机相,用硫酸镁干燥,蒸发。经过硅胶快速色谱纯化,用环己烷/乙酸乙酯/三乙胺20∶10∶1洗脱,得到标题化合物(100mg,44%),为白色固体,MS:m/e=540.3(M+H+),[α]589 20=-7.80,[α]546 20=-9.69,[α]436 20=-28.60,[α]365 20=-78.71(c=0.4231,氯仿)。
实施例115
(-)-(3,5-双-三氟甲基-苯基)-{4-[4-(2-羟基-乙基)-哌嗪-1-基]-3-苯基-哌啶-1-基}-甲酮
按照实施例114的通用方法,从(-)-4-[1-(3,5-双-三氟甲基-苯甲酰基)-3-苯基-哌啶-4-基]-哌嗪-1-甲酸叔丁酯和2-氨基乙醇制备标题化合物,MS:m/e=530.3(M+H+),[α]589 20=-8.02,[α]546 20=-5.61,[α]436 20=-20.05,[α]365 20=-59.35(c=0.1247,氯仿)。
实施例116
外消旋-顺式-(3,5-二氯-苯基)-[4-(4-甲基-哌嗪-1-基)-3-苯基-哌啶-1-基]-甲酮
按照实施例26的通用方法,从1-苄基-3-苯基-哌啶-4-酮、N-甲基-哌嗪和3,5-二氯-苯甲酰氯制备标题化合物,MS:m/e=432.2(M+H+)。
实施例117
(-)-(3,5-双-三氟甲基-苯基)-[4-(4-苯基-哌嗪-1-基)-3-对-甲苯基-哌啶-1-基]-甲酮
将(-)-(1-{4-[1-(3,5-双-三氟甲基-苯甲酰基)-3-对-甲苯基-哌啶-4-基]-哌嗪-1-基}-2,2,2-三氟-乙酮(245mg,0.411mmol)溶于甲醇(1.5ml)。加入水(0.15ml)和碳酸钾(170mg,123mmol),将反应混合物在室温下搅拌3小时。加入水(10ml),混合物用20ml二氯甲烷萃取三次。合并有机相,用硫酸镁干燥,蒸发。
将游离哌嗪中间体溶于甲苯(5ml),加入溴苯(0.084ml,0.80mmol)、叔丁基钠(54mg,0.561mmol)、三(二亚苄基丙酮)二钯(4mg,0.004mmol)和外消旋-2,2′-双(二苯膦基)-1,1′-联萘(5mg,0.008mmol)。将反应混合物在80℃下搅拌过夜。加入水(20ml),混合物用20ml乙酸乙酯萃取三次。合并有机相,用硫酸镁干燥,蒸发。经过硅胶色谱纯化,用二氯甲烷/三乙胺99∶1洗脱,得到标题化合物(128mg,54%),为黄色的油,MS:m/e=576.1(M+H+),[α]589 20=-10.62,[α]546 20=-9.66,[α]436 20=-20.28(c=0.1035,氯仿)。
实施例118
(3RS,3′RS,4SR)-和(3RS,3′SR,4SR)-[4-(3-氨基-吡咯烷-1-基)-3-(4-氟-苯基)-哌啶-1-基]-(3,5-双-三氟甲基-苯基)-甲酮
按照实施例77第1-3步的通用方法,从(3R,3′R,4S)-和(3S,3′R,4R)-(3,5-双-三氟甲基-苯基)-[3-(4-氟-苯基)-4-(3-羟基-吡咯烷-1-基)-哌啶-1-基]-甲酮制备标题化合物,MS:m/e=504.3(M+H+)。3′-立体中心在反应条件下外消旋化。
实施例119
(-)-(3,5-双-三氟甲基-苯基)-[4-(4-环丙基-哌嗪-1-基)-3-苯基-哌啶-1-基]-甲酮
按照实施例114(第1步)和实施例110(第2步)的通用方法,从(3S,4R)或(3R,4S)-4-[1-(3,5-双-三氟甲基-苯甲酰基)-3-苯基-哌啶-4-基]-哌嗪-1-甲酸叔丁酯和[(1-乙氧基环丙基)氧基]三甲基硅烷制备标题化合物,MS:m/e=526.2(M+H+),[α]589 20=-6.17,[α]436 20=-23.81,[α]365 20=-74.09(c=0.1134,氯仿)。
实施例120
外消旋-顺式-(3,5-二氟-苯基)-[4-(4-甲基-哌嗪-1-基)-3-苯基-哌啶-1-基]-甲酮
按照实施例26的通用方法,从1-苄基-3-苯基-哌啶-4-酮、N-甲基-哌嗪和3,5-二氟-苯甲酰氯制备标题化合物,MS:m/e=400.5(M+H+)。
实施例121
(3RS,3′RS,4SR)-和(3RS,3′SR,4SR)-[环丙烷羧酸{1-[1-(3,5-双-三氟甲基-苯甲酰基)-3-(4-氟-苯基)-哌啶-4-基]-吡咯烷-3-基}-酰胺
按照实施例38的通用方法,从(3RS,3′RS,4SR)-和(3RS,3′SR,4SR)-[4-(3-氨基-吡咯烷-1-基)-3-(4-氟-苯基)-哌啶-1-基]-(3,5-双-三氟甲基-苯基)-甲酮和环丙烷碳酰氯制备标题化合物,MS:m/e=572.2(M+H+)。
实施例122
(3RS,3′RS,4SR)-和(3RS,3′SR,4SR)-[环丙烷羧酸{1-[1-(3,5-双-三氟甲基-苯甲酰基)-3-(4-氟-苯基)-哌啶-4-基]-吡咯烷-3-基}-甲基-酰胺
将(3RS,3′RS,4SR)-和(3RS,3′SR,4SR)-环丙烷羧酸{1-[1-(3,5-双-三氟甲基-苯甲酰基)-3-(4-氟-苯基)-哌啶-4-基]-吡咯烷-3-基}-酰胺(155mg,0.271mmol)溶于N,N-二甲基甲酰胺(5ml)。加入氢化钠(17mg,含55%的矿物油,0.407mmol)和甲基碘(0.021ml,0.339mmol),将反应混合物在室温下搅拌过夜。加入水(30ml),混合物用50ml叔丁基甲基醚萃取三次。合并有机相,用硫酸镁干燥,蒸发。经过硅胶色谱纯化,用二氯甲烷/三乙胺99∶1洗脱,得到所需产物(30mg,19%),为无色的油,MS:m/e=586.2(M+H+)。
实施例123
(3RS,3′RS,4SR)-和(3RS,3′SR,4SR)-(3,5-双-三氟甲基-苯基)-[4-(3-二环丙氨基-吡咯烷-1-基)-3-(4-氟-苯基)-哌啶-1-基]-甲酮
按照实施例110(第2步)的通用方法,从(3RS,3′RS,4SR)-和(3RS,3′SR,4SR)-[4-(3-氨基-吡咯烷-1-基)-3-(4-氟-苯基)-哌啶-1-基]-(3,5-双-三氟甲基-苯基)-甲酮和[(1-乙氧基环丙基)-氧基]三甲基硅烷制备标题化合物,MS:m/e=584.3(M+H+)。
实施例124
(3RS,3′RS,4SR)-和(3RS,3′SR,4SR)-[4-[3-(双-环丙基甲基-氨基)-吡咯烷-1-基]-3-(4-氟-苯基)-哌啶-1-基]-(3,5-双-三氟甲基-苯基)-甲酮
按照实施例35的通用方法,从(3RS,3′RS,4SR)-和(3RS,3′SR,4SR)-[4-(3-氨基-吡咯烷-1-基)-3-(4-氟-苯基)-哌啶-1-基]-(3,5-双-三氟甲基-苯基)-甲酮和溴甲基环丙烷制备标题化合物,MS:m/e=612.2(M+H+)。
实施例125
(3RS,3′RS,4SR)-和(3RS,3′SR,4SR)-(3,5-双-三氟甲基-苯基)-[4-(3-二甲氨基-吡咯烷-1-基)-3-(4-氟-苯基)-哌啶-1-基]-甲酮
将(3RS,3′RS,4SR)-和(3RS,3′SR,4SR)-[4-(3-氨基-吡咯烷-1-基)-3-(4-氟-苯基)-哌啶-1-基]-(3,5-双-三氟甲基-苯基)-甲酮(200mg,0.397mmol)溶于甲酸(2ml),加入甲醛(0.094ml,36%水溶液,1.19mmol)。将反应混合物在110℃下搅拌过夜。加入饱和碳酸氢钠溶液直至pH9,和混合物用50ml乙酸乙酯萃取三次。合并有机相,用硫酸镁干燥,蒸发。经过硅胶快速色谱纯化,用含甲醇的二氯甲烷(0%-10%梯度)洗脱,得到标题产物(150mg,71%),为灰白色泡沫,MS:m/e=532.2(M+H+)。
实施例126
(-)-(3,5-双-三氟甲基-苯基)-[4-(4-环丙烷羰基-哌嗪-1-基)-3-(4-氯-苯基)-哌啶-1-基]-甲酮
按照实施例102(第1部分)和实施例38的通用方法,从(-)-(1-{4-[1-(3,5-双-三氟甲基-苄基)-3-(4-氯-苯基)-哌啶-4-基]-哌嗪-1-基}-2,2,2-三氟-乙酮和环丙基碳酰氯制备标题化合物,MS:m/e=588.2(M+H+),[α]589 20=-16.03,[α]546 20=-20.15,[α]436 20=-45.28,[α]365 20=-102.27(c=0.4615,氯仿)。
实施例127
(+)-(3,5-二氯-苯基)-[4-(4-甲基-哌嗪-1-基)-3-苯基-哌啶-1-基]-甲酮
在Chiralpac AD上分离外消旋-顺式-(3,5-二氯-苯基)-[4-(4-甲基-哌嗪-1-基)-3-苯基-哌啶-1-基]-甲酮,用含10%异丙醇的庚烷洗脱。第一部分含有活性更高的对映体,[α]589 20=+23.46,[α]546 20=+27.81,[α]436 20=+39.10,[α]365 20=+38.23(c=0.1151,甲醇)。
实施例128
外消旋-顺式-(3-氟-5-三氟甲基-苯基)-[4-(4-甲基-哌嗪-1-基)-3-苯基-哌啶-1-基]-甲酮
按照实施例26的通用方法,从1-苄基-3-苯基-哌啶-4-酮、N-甲基-哌嗪和3-氟-5-三氟甲基-苯甲酰氯制备标题化合物,MS:m/e=450.5(M+H+)。
实施例129
(-)-(3,5-双-三氟甲基-苯基)-[3-(4-氯-苯基)-4-(4-甲基-哌嗪-1-基)-哌啶-1-基]-甲酮
按照实施例102(第1部分)和实施例125的通用方法,从(-)-(1-{4-[1-(3,5-双-三氟甲基-苯甲酰基)-3-(4-氯-苯基)-哌啶-4-基]-哌嗪-1-基}-2,2,2-三氟-乙酮和甲醛制备标题化合物,MS:m/e=534.3(M+H+),[α]589 20=-53.04,[α]546 20=-65.78,[α]436 20=-135.72,[α]365 20=-277.94(c=0.3846,氯仿)。
实施例130
(-)-(3,5-双-三氟甲基-苯基)-[3-(4-氯-苯基)-4-(4-环丙基-哌嗪-1-基)-哌啶-1-基]-甲酮
按照实施例102(第1步)和实施例110(第2步)的通用方法,从(-)-(1-{4-[1-(3,5-双-三氟甲基-苯甲酰基)-3-(4-氯-苯基)-哌啶-4-基]-哌嗪-1-基}-2,2,2-三氟-乙酮和[(1-乙氧基环丙基)-氧基]三甲基硅烷制备标题化合物,MS:m/e=560.2(M+H+),[α]589 20=-24.38,[α]546 20=-30.39,[α]436 20=-64.51(c=0.6154,氯仿)。
实施例A
按通常的方式制造片剂,组成如下:
mg/片
活性物质 5
乳糖 45
玉米淀粉 15
微晶纤维素 34
硬脂酸镁 1
片重 100
实施例B
制造胶囊剂,组成如下:
mg/胶囊
活性物质 10
乳糖 155
玉米淀粉 30
滑石 5
胶囊填充重量 200
首先在混合机内、然后在粉碎机内混合活性物质、乳糖和玉米淀粉。混合物返回混合机,向其中加入滑石,充分混合。用机器将混合物填充至硬明胶胶囊内。
实施例C
制造栓剂,组成如下:
mg/栓
活性物质 15
栓剂基质 1285
总计 1300
在玻璃或钢制容器内熔化栓剂基质,充分混合,冷却至45℃。向其中加入微细粉碎的活性物质,搅拌直至完全分散。将混合物倒入适当大小的栓剂模具,待其冷却,然后从模具中取出栓剂,单独包装在蜡纸或金属箔中。
实施例D
按通常的方式制造注射溶液,组成如下:
活性物质 1.0mg
1n HCl 20.0μl
乙酸 0.5mg
NaCl 8.0mg
苯酚 10.0mg
1n NaOH 加至pH5
H2O 加至1ml
Claims (23)
1、下列通式化合物
其中
R1是a)苯基,它是未取代的或者被一个或多个取代基取代,取代基选自下列基团R1’:
- 卤素,
- 三氟甲基,
- 哌嗪基,可选地被C1-C7烷基取代,
- 吗啉基,
- NH-苯基,
- 吡咯烷基,
- NH(CH2)n-O-C1-C7烷基,
- NR2,
- NH(CH2)n-C3-C6环烷基,
- NH(CH2)n-NR2,或者是
b)吗啉基,可选地被一个或两个C1-C7烷基取代,或者是
c)哌嗪基,它是未取代的或者在4-位被基团R1”取代,R1”是
- C1-C7烷基,
- C3-C6环烷基,
- 苯基,
- 苯并噁唑基,
- 吡啶基,
- 嘧啶基,
- 吡嗪基,
- (CH2)n-C3-C6环烷基,
- (CH2)n-苯基,
- (CH2)n-羟基,
- (CH2)n-CF3,
- (CH2)n-C(O)-吗啉基,
- (CH2)n-C(O)-N(R)-苯基,其中该苯基环可选地被C1-C7烷基或卤素取代,
- (CH2)n-C(O)-NR2,
- C(O)-苯基,其中该苯基环可选地被三氟甲基取代,
- C(O)-(CH2)n-苯基,
- C(O)-NR2,
- C(O)-NR-(CHR)n-苯基,
- C(O)-C1-C7烷基,
- C(O)-CF3,
- C(O)-C3-C6环烷基,
- C(O)-吗啉基,
- C(O)-O-C1-C7烷基,
- C(O)-O-(CH2)n-NR2,
- S(O)2-C1-C7烷基,或者是
d)吡咯烷基,可选地被一个或多个基团R1取代,R1是
- 卤素,
- 羟基,
- =O,
- NR2,
- N(C3-6环烷基)2,
- N[(CH2)n-C3-C6环烷基]2,
- NR-C(O)-C3-C6环烷基,
- O-(CH2)n-C3-C6环烷基,或者是
e)哌啶基,可选地在3或4位被一个或多个基团R1””取代,R1””是
- 羟基,
- =O,
- 卤素,
- 吗啉基,
- NR2,
- NR-C3-C6环烷基,
- NR-C(O)-C3-C6环烷基,
- NR-C(O)-苯基,
- NR-C(O)-(CH2)n-苯基,
- O-(CH2)n-C3-C6环烷基,或者是
f)硫代吗啉基、1-氧代-硫代吗啉基或1,1-二氧代硫代吗啉基;
R2独立于“m”,是氢、卤素、C1-C7烷基、-NH-(CH2)n-O-C1-C7烷基、吡咯烷基或吗啉基;
R3/R4彼此独立地是三氟甲基或卤素;
R是氢或C1-C7烷基,并且在R2的情况下可以是相同或不同的;
n是1、2、3或4;
m是0、1或2;
或其药学上可接受的酸加成盐。
2、根据权利要求1的化合物,具有下式
其中
R1是苯基,它是未取代的或者被一个或两个取代基取代,取代基选自下列基团R1’:
- 卤素,
- 三氟甲基,
- 哌嗪基,可选地被C1-C7烷基取代,
- 吗啉基,
- NH-苯基,
- 吡咯烷基,
- NH(CH2)n-O-C1-C7烷基,
- NR2,
- NH(CH2)n-C3-C6环烷基,
- NH(CH2)n-NR2,或者是
吗啉基,或者是
哌嗪基,它是未取代的或者在4位被基团R1”取代,R1”是
- C1-C7烷基,
- C3-C6环烷基,
- C(O)-苯基,其中该苯基环可选地被三氟甲基取代,
- (CH2)n-C(O)-NR2,
- (CH2)n-C3-C6环烷基,
- (CH2)n-苯基,
- C(O)-C1-C7烷基,
- C(O)-CF3,
- C(O)-C3-C6环烷基,
- C(O)-吗啉基,
- C(O)-O-(CH2)n-NR2,
- (CH2)n-C(O)-N(R)-苯基,其中该苯基环可选地被C1-C7烷基取代,
- 吡嗪基,或者是
吡咯烷基,可选地被基团R1取代,R1是
- 羟基,
- =O,
- O-(CH2)n-C3-C6环烷基,或者是
哌啶基,可选地在3或4位被基团R1””取代,R1””是
- 羟基,
- O-(CH2)n-C3-C6环烷基,
- =O,
- 卤素,或者是
硫代吗啉基、1-氧代-硫代吗啉基或1,1-二氧代硫代吗啉基;
R2是氢、卤素、C1-C7烷基、-NH-(CH2)n-O-C1-C7烷基、吡咯烷基或吗啉基;
R是氢或C1-C7烷基,并且在R2的情况下可以是相同或不同的;
n是1、2、3或4;
或其药学上可接受的酸加成盐。
3、根据权利要求1或2的化合物,具有下式
其中m是0、1或2,R1’、R2、R3和R4是如权利要求1或2所述的。
4、根据权利要求3的式IA化合物,其中R1’是溴、吗啉基、4-甲基-哌嗪基或-NH(CH2)2OCH3,R2是如权利要求1所述的。
5、根据权利要求4的式IA化合物,它们是
外消旋-顺式-(3,5-双-三氟甲基-苯基)-[4-(4-吗啉-4-基-苯基)-3-苯基-哌啶-1-基]-甲酮,
外消旋-顺式-(3,5-双-三氟甲基-苯基)-{4-[4-(4-甲基-哌嗪-1-基)-苯基]-3-苯基-哌啶-1-基}-甲酮,
外消旋-顺式-(3,5-双-三氟甲基-苯基)-[3-(4-氯-苯基)-4-苯基-哌啶-1-基]-甲酮,
外消旋-顺式-(3,5-双-三氟甲基-苯基)-[4-(3-溴-苯基)-3-苯基-哌啶-1-基]-甲酮,或
外消旋-顺式-(3,5-双-三氟甲基-苯基)-{4-[4-(2-甲氧基-乙氨基)-苯基]-3-苯基-哌啶-1-基}-甲酮。
6、根据权利要求1或2的化合物,具有下式
其中R是C1-7烷基,m是0、1或2,R2、R3和R4具有权利要求1或2所给出的含义。
7、根据权利要求6的式IB化合物,其中R2是氢、氟或氯。
8、根据权利要求7的式IB化合物,它们是:
外消旋-顺式-(3,5-双-三氟甲基-苯基)-[3-(4-氯-苯基)-4-吗啉-4-基-哌啶-1-基]-甲酮,
外消旋-顺式-(3,5-双-三氟甲基-苯基)-(4-吗啉-4-基-3-苯基-哌啶-1-基)-甲酮,或
外消旋-顺式-(3,5-双-三氟甲基-苯基)-[3-(4-氟-苯基)-4-吗啉-4-基-哌啶-1-基]-甲酮。
9、根据权利要求1的化合物,具有下式
其中m是0、1或2,R1”、R2、R3和R4具有权利要求1所给出的含义。
10、根据权利要求9的式IC化合物,其中R1”是甲基、-C(O)CF3、-(CH2)2OH、-CH2C(O)N(CH3)2、CH2-环丙基、苄基、-C(O)-环丙基、-C(O)-吗啉基、吡嗪基、环丙基或-CH2CONHC6H3(CH3)2、-CH2CONHC6H4F、-C(O)CH2-苯基,R2是氢、甲基、氯或氟。
11、根据权利要求1的化合物,它们是:
外消旋-顺式-(3,5-双-三氟甲基-苯基)-[4-(4-甲基-哌嗪-1-基)-3-苯基-哌啶-1-基]-甲酮,
外消旋-顺式-(3,5-双-三氟甲基-苯基)-(3-苯基-4-哌嗪-1-基-哌啶-1-基)-甲酮,
外消旋-顺式-2-{4-[1-(3,5-双-三氟甲基-苯甲酰基)-3-苯基-哌啶-4-基]-哌嗪-1-基}-N,N-二甲基-乙酰胺,
外消旋-顺式-(3,5-双-三氟甲基-苯基)-[4-(4-环丙基甲基-哌嗪-1-基)-3-苯基-哌啶-1-基]-甲酮,
外消旋-顺式-[4-(4-苄基-哌嗪-1-基)-3-苯基-哌啶-1-基]-(3,5-双-三氟甲基-苯基)-甲酮,
外消旋-顺式-(3,5-双-三氟甲基-苯基)-[4-(4-环丙烷羰基-哌嗪-1-基)-3-苯基-哌啶-1-基]-甲酮,
外消旋-顺式-{4-[1-(3,5-双-三氟甲基-苯甲酰基)-3-苯基-哌啶-4-基]-哌嗪-1-基}-吗啉-4-基-甲酮,
外消旋-顺式-(3,5-双-三氟甲基-苯基)-[4-(4-环丙基-哌嗪-1-基)-3-苯基-哌啶-1-基]-甲酮,
外消旋-顺式-(3,5-双-三氟甲基-苯基)-[3-(4-氟-苯基)-4-(4-甲基-哌嗪-1-基)-哌啶-1-基]-甲酮,
外消旋-顺式-2-{4-[1-(3,5-双-三氟甲基-苯甲酰基)-3-苯基-哌啶-4-基]-哌嗪-1-基}-N-(2,6-二甲基-苯基)-乙酰胺,
外消旋-顺式-(3,5-双-三氟甲基-苯基)-[3-苯基-4-(2,3,5,6-四氢-[1,2′]联吡嗪-4-基)-哌啶-1-基]-甲酮,
(+)-(3,5-双-三氟甲基-苯基)-[4-(4-环丙烷羰基-哌嗪-1-基)-3-苯基-哌啶-1-基]-甲酮,
外消旋-顺式-2-{4-[1-(3,5-双-三氟甲基-苯甲酰基)-3-苯基-哌啶-4-基]-哌嗪-1-基}-N-(4-氟-苯基)-乙酰胺,
外消旋-顺式-1-{4-[1-(3,5-双-三氟甲基-苯甲酰基)-3-苯基-哌啶-4-基]-哌嗪-1-基}-2-苯基-乙酮,
外消旋-顺式-(3,5-双-三氟甲基-苯基)-[3-(4-氟-苯基)-4-哌嗪-1-基-哌啶-1-基]-甲酮,
外消旋-顺式-(3,5-双-三氟甲基-苯基)-[4-(4-环丙基甲基-哌嗪-1-基)-3-(4-氟-苯基)-哌啶-1-基]-甲酮,
(-)-(3,5-双-三氟甲基-苯基)-[3-(4-氟-苯基)-4-(4-甲基-哌嗪-1-基)-哌啶-1-基]-甲酮,
(-)-(3,5-双-三氟甲基-苯基)-[3-苯基-4-(4-甲基-哌嗪-1-基)-哌啶-1-基]-甲酮,
(-)-(3,5-双-三氟甲基-苯基)-[4-(4-环丙基甲基-哌嗪-1-基)-3-对-甲苯基-哌啶-1-基]-甲酮,
(-)-(3,5-双-三氟甲基-苯基)-[4-(4-环丙烷羰基-哌嗪-1-基)-3-对-甲苯基-哌啶-1-基]-甲酮,
(-)-(3,5-双-三氟甲基-苯基)-{4-[4-(吗啉-4-羰基)-哌嗪-1-基]-3-对-甲苯基-哌啶-1-基}-甲酮,
外消旋-顺式-1-{4-[1-(3,5-双-三氟甲基-苯甲酰基)-3-(4-氯-苯基)-哌啶-4-基]-哌嗪-1-基}-2,2,2-三氟-乙酮,
(-)-1-{4-[1-(3,5-双-三氟甲基-苯甲酰基)-3-(4-氯-苯基)-哌啶-4-基]-哌嗪-1-基}-2,2,2-三氟-乙酮,
(-)-(3,5-双-三氟甲基-苯基)-[4-(4-环丙基-哌嗪-1-基)-3-对-甲苯基-哌啶-1-基]-甲酮,
(-)-(3,5-双-三氟甲基-苯基)-[4-(4-甲基-哌嗪-1-基)-3-对-甲苯基-哌啶-1-基]-甲酮,
(-)-(3,5-双-三氟甲基-苯基)-[3-(4-氯-苯基)-4-(4-环丙基甲基-哌嗪-1-基)-哌啶-1-基]-甲酮,
(-)-(3,5-双-三氟甲基-苯基)-[4-(4-环丙基甲基-哌嗪-1-基)-3-苯基-哌啶-1-基]-甲酮,
(-)-(3,5-双-三氟甲基-苯基)-{4-[4-(2-羟基-乙基)-哌嗪-1-基]-3-苯基-哌啶-1-基}-甲酮,或
(-)-(3,5-双-三氟甲基-苯基)-[4-(4-环丙基-哌嗪-1-基)-3-苯基-哌啶-1-基]-甲酮。
13、根据权利要求12的式ID化合物,其中R1是羟基、氨基、-OCH2-环丙基或=O,R2是氢、氯或氟。
14、根据权利要求13的式ID化合物,它们是
外消旋-顺式-1-[1-(3,5-双-三氟甲基-苯甲酰基)-3-苯基-哌啶-4-基]-吡咯烷-3-酮,(-)-(3,5-双-三氟甲基-苯基)-[3-(4-氯-苯基)-4-吡咯烷-1-基-哌啶-1-基]-甲酮或(3RS,3′RS,4SR)-和(3RS,3′SR,4SR)-[4-(3-氨基-吡咯烷-1-基)-3-(4-氟-苯基)-哌啶-1-基]-(3,5-双-三氟甲基-苯基)-甲酮。
15、根据权利要求1的化合物,具有下式
其中m是0、1或2,R1””、R2、R3和R4具有权利要求1所给出的含义,和R1””在3或4位取代。
16、根据权利要求15的式IE化合物,其中R1””是氟、羟基、-NHC(O)-环丙基、-NHC(O)CH2-苯基、-NH-环丙基、-N(CH3)2、-OCH2-环丙基或=O,R2是氢、氯或氟。
17、根据权利要求16的式IE化合物,它们是
外消旋-顺式-(3,5-双-三氟甲基-苯基)-(4,4-二氟-3′-苯基-[1,4′]联哌啶-1′-基)-甲酮,
外消旋-顺式-(3,5-双-三氟甲基-苯基)-[3′-(4-氟-苯基)-3-羟基-[1,4′]联哌啶-1′-基]-甲酮,
外消旋-顺式-(3,5-双-三氟甲基-苯基)-(4-羟基-3′-苯基-[1,4′]联哌啶-1′-基)-甲酮,
外消旋-顺式-(3,5-双-三氟甲基-苯基)-(4-环丙基甲氧基-3′-苯基-[1,4′]联哌啶-1′-基)-甲酮,
外消旋-顺式-1′-(3,5-双-三氟甲基-苯甲酰基)-3′-苯基-[1,4′]联哌啶-4-酮,
外消旋-顺式-(3,5-双-三氟甲基-苯基)-[3′-(4-氯-苯基)-4-羟基-[1,4′]联哌啶-1′-基]-甲酮,
外消旋-顺式-(3,5-双-三氟甲基-苯基)-[3′-(4-氯-苯基)-4-环丙基甲氧基-[1,4′]联哌啶-1′-基]-甲酮,
(3RS,3′RS,4SR)-和(3RS,3′SR,4SR)-环丙烷羧酸[1′-(3,5-双-三氟甲基-苯甲酰基)-3′-(4-氟-苯基)-[1,4′]联哌啶-3-基]-酰胺,
(3RS,3′RS,4SR)-和(3RS,3′SR,4SR)-N-[1′-(3,5-双-三氟甲基-苯甲酰基)-3′-(4-氟-苯基)-[1,4′]联哌啶-3-基]-2-苯基-乙酰胺,
外消旋-顺式-(3,5-双-三氟甲基-苯基)-[3′-(4-氯-苯基)-4-二甲氨基-[1,4′]联哌啶-1′-基]-甲酮,或
外消旋-顺式-(3,5-双-三氟甲基-苯基)-[3′-(4-氯-苯基)-4-环丙氨基-[1,4′]联哌啶-1′-基]-甲酮。
18、根据权利要求1或2的化合物,具有下式
其中R2、R3和R4是如权利要求1或2所述的,m是0、1或2。
19、根据权利要求18的式IF化合物,其中m是0、1或2,R2是氢。
20、根据权利要求19的式IF化合物,它们是:
外消旋-顺式-(3,5-双-三氟甲基-苯基)-(3-苯基4-硫代吗啉-4-基-哌啶-1-基)-甲酮,
外消旋-顺式-(3,5-双-三氟甲基-苯基)-[4-(1-氧代-1λ4-硫代吗啉-4-基)3-苯基-哌啶-1-基]-甲酮,或
外消旋-顺式-(3,5-双-三氟甲基-苯基)-[4-(1,1-二氧代-1λ6-硫代吗啉-4-基)-3-苯基-哌啶-1-基]-甲酮。
21、药剂,含有一种或多种如权利要求1-20任意一项所要求保护的化合物和药学上可接受的赋形剂,该药剂用于治疗涉及神经激肽-1受体拮抗剂的疾病。
22、制备如权利要求1所定义的式I化合物或其药学上可接受的酸加成盐的方法,该方法包括
a)使下式化合物
与下式化合物反应,
得到下式化合物
其中R1是苯基,可选地被卤素取代,R2、R3和R4具有权利要求1所给出的含义,hal是卤素,m是0、1或2,
或者
b)使下式化合物
与下式化合物反应,
脱苄基化,然后用式III化合物酰化,得到下式化合物
其中当m是0、1或2时R是C1-C7烷基,R2、R3、R4和m具有权利要求1所给出的含义,或
其中R1”、R2、R3、R4和m具有权利要求1所给出的含义,或
其中R1、R2、R3、R4和m具有权利要求1所给出的含义,或
其中R1””、R2、R3、R4和m具有权利要求1所给出的含义,R1””在3或4位取代,或
其中R2、R3、R4和m具有权利要求1所给出的含义,
或者
c)将下式化合物
用下式胺衍生物胺化,
R1’H VI
得到下式化合物
其中R1’是哌嗪基,可选地被C1-C7烷基取代,吗啉基、-NH-苯基、吡咯烷基、-NH(CH2)n-O-C1-C7烷基、-NR2、-NH(CH2)n-C3-C6环烷基或-NH(CH2)n-NR2,m、n、R、R2、R3和R4的定义由权利要求1给出,hal是卤素,
或者
d)使下式化合物
与下式化合物反应,
R1”hal VII
得到下式化合物
其中各取代基的定义由权利要求1给出,hal是卤素,或者
e)将下式化合物
用过一硫酸钾氧化,得到下式化合物
其中m是1或2,R2、R3和R4是如权利要求1所述的,或者
f)将下式化合物
用下式化合物烷基化,
R5hal VIII
得到下式化合物
其中R5是-(CH2)n-C3-C6环烷基,n、R2、R3、R4和m是如权利要求1所述的,hal是卤素,
或者
g)氧化下式化合物
得到下式化合物
其中R2、R3、R4和m是如权利要求1所述的,
或者
h)卤化下式化合物
得到下式化合物
其中R2、R3、R4和m是如权利要求1所述的,hal是卤素,
和在需要时,将所得化合物转化为药学上可接受的酸加成盐。
23、权利要求1-20任意一项中的化合物的用途,用于制造含有一种或多种式I化合物的药剂,该药剂用于治疗涉及神经激肽-1受体拮抗剂的疾病。
Applications Claiming Priority (2)
| Application Number | Priority Date | Filing Date | Title |
|---|---|---|---|
| EP01102557 | 2001-02-06 | ||
| EP01102557.4 | 2001-02-06 |
Publications (2)
| Publication Number | Publication Date |
|---|---|
| CN1491222A CN1491222A (zh) | 2004-04-21 |
| CN1229373C true CN1229373C (zh) | 2005-11-30 |
Family
ID=8176398
Family Applications (1)
| Application Number | Title | Priority Date | Filing Date |
|---|---|---|---|
| CNB028046064A Expired - Fee Related CN1229373C (zh) | 2001-02-06 | 2002-01-28 | 作为神经激肽1拮抗剂的哌啶衍生物 |
Country Status (17)
| Country | Link |
|---|---|
| US (1) | US6642226B2 (zh) |
| EP (1) | EP1360184B1 (zh) |
| JP (1) | JP4181409B2 (zh) |
| KR (1) | KR100566470B1 (zh) |
| CN (1) | CN1229373C (zh) |
| AR (1) | AR035427A1 (zh) |
| AT (1) | ATE292128T1 (zh) |
| AU (1) | AU2002228072B2 (zh) |
| BR (1) | BR0206915A (zh) |
| CA (1) | CA2435946C (zh) |
| DE (1) | DE60203481T2 (zh) |
| DK (1) | DK1360184T3 (zh) |
| ES (1) | ES2238560T3 (zh) |
| MX (1) | MXPA03006991A (zh) |
| PT (1) | PT1360184E (zh) |
| WO (1) | WO2002062784A1 (zh) |
| ZA (1) | ZA200305887B (zh) |
Families Citing this family (22)
| Publication number | Priority date | Publication date | Assignee | Title |
|---|---|---|---|---|
| UA81918C2 (uk) * | 2002-10-08 | 2008-02-25 | Янссен Фармацевтика Н.В. | Заміщені похідні 1,4-дипіперидин-4-ілпіперазину та їх застосування як нейрокінінових антагоністів |
| JO2485B1 (en) * | 2002-12-23 | 2009-01-20 | شركة جانسين فارماسوتيكا ان. في | 1-Piperidine-3-Yl-4-Piperidine-4-Yl-Piperazine derivatives substituted and used as quinine antagonists |
| EP1581517B1 (en) * | 2002-12-23 | 2007-02-21 | Janssen Pharmaceutica N.V. | Substituted 1-piperidin-4-yl-4-azetidin-3-yl-piperazine derivatives and their use as neurokinin antagonists |
| JO2696B1 (en) | 2002-12-23 | 2013-03-03 | شركة جانسين فارماسوتيكا ان. في | Derivatives of 1-piperdine-4-yl-4-biprolidine-3-yl-piperazine substituted and used as quinine antagonists |
| CA2509090C (en) | 2002-12-23 | 2012-01-24 | Janssen Pharmaceutica N.V. | Substituted 4-(4-piperidin-4-yl-piperazin-1-yl)-azepane derivatives and their use as neurokinin antagonists |
| CA2527856A1 (en) | 2003-06-10 | 2004-12-23 | Janssen Pharmaceutica N.V. | Substituted 1, 4-di-piperidin-4-yl-piperazine derivative combined with an opioid analgesic and their use for the treatment of pain and side-effects associated with opioid-based treatments |
| JO2525B1 (en) * | 2004-04-08 | 2010-03-17 | شركة جانسين فارماسوتيكا ان. في | Derived 4-alkyl-and-4-canoelperidine derivatives and their use as anti-neroquin |
| WO2006071875A1 (en) * | 2004-12-29 | 2006-07-06 | Millennium Pharmaceuticals, Inc. | Compounds useful as chemokine receptor antagonists |
| US7635698B2 (en) * | 2004-12-29 | 2009-12-22 | Millennium Pharmaceuticals, Inc. | Compounds useful as chemokine receptor antagonists |
| MX2007009949A (es) * | 2005-02-16 | 2007-09-26 | Schering Corp | Pirazinil-piperazin-piperidinas sustituidas con heteroarilo con actividad antagonista de cxcr3. |
| WO2006089674A2 (en) | 2005-02-25 | 2006-08-31 | F.Hoffmann-La Roche Ag | Tablets with improved drug substance dispersibility |
| ES2350647T3 (es) * | 2005-03-08 | 2011-01-25 | Janssen Pharmaceutica Nv | Derivados de diaza-espiro-[4.4]-nonano como antagonistas de neuroquininas (nk1). |
| ME01181B (me) | 2005-09-16 | 2013-03-20 | Janssen Pharmaceutica Nv | Ciklopropil amini kao modulatori histaminskog h3 receptora |
| US8067415B2 (en) | 2005-11-01 | 2011-11-29 | Millennium Pharmaceuticals, Inc. | Compounds useful as antagonists of CCR2 |
| US8067457B2 (en) | 2005-11-01 | 2011-11-29 | Millennium Pharmaceuticals, Inc. | Compounds useful as antagonists of CCR2 |
| MX2009006472A (es) | 2006-12-14 | 2009-06-26 | Janssen Pharmaceutica Nv | Procedimiento para la preparacion de derivados benzamida piperacinilo y diazepanilo. |
| WO2008090114A1 (en) | 2007-01-24 | 2008-07-31 | Glaxo Group Limited | Pharmaceutical compositions comprising 2-methoxy-5- (5-trifluoromethyl-tetrazol-i-yl-benzyl) - (2s-phenyl-piperidin-3s-yl-) |
| US8063075B2 (en) * | 2008-06-10 | 2011-11-22 | Hoffmann-La Roche Inc. | Pyrrolidine ether derivatives as NK3 receptor antagonists |
| WO2010081851A1 (en) | 2009-01-14 | 2010-07-22 | Genoscience Pharma | Piperidin-4-ylpiperazine compounds for the treatment of hcv infection |
| WO2013004766A1 (en) | 2011-07-04 | 2013-01-10 | Ferrari Giulio | Nk-1 receptor antagonists for treating corneal neovascularisation |
| CA3091944A1 (en) | 2018-02-26 | 2019-08-29 | Ospedale San Raffaele S.R.L. | Nk-1 antagonists for use in the treatment of ocular pain |
| US12115154B2 (en) | 2020-12-16 | 2024-10-15 | Srx Cardio, Llc | Compounds for the modulation of proprotein convertase subtilisin/kexin type 9 (PCSK9) |
Family Cites Families (9)
| Publication number | Priority date | Publication date | Assignee | Title |
|---|---|---|---|---|
| CH545288A (de) | 1966-08-18 | 1974-01-31 | Sandoz Ag | Verfahren zur Herstellung neuer Piperidon-Derivate |
| IL111960A (en) | 1993-12-17 | 1999-12-22 | Merck & Co Inc | Morpholines and thiomorpholines their preparation and pharmaceutical compositions containing them |
| NZ277839A (en) | 1993-12-29 | 1998-01-26 | Merck Sharp & Dohme | Substituted morpholine derivatives, preparation and pharmaceutical compositions thereof |
| TW385308B (en) | 1994-03-04 | 2000-03-21 | Merck & Co Inc | Prodrugs of morpholine tachykinin receptor antagonists |
| TW531537B (en) * | 1995-12-27 | 2003-05-11 | Janssen Pharmaceutica Nv | 1-(1,2-disubstituted piperidinyl)-4-substituted piperidine derivatives |
| GB9600235D0 (en) | 1996-01-05 | 1996-03-06 | Pfizer Ltd | Therapeutic agents |
| US5972938A (en) | 1997-12-01 | 1999-10-26 | Merck & Co., Inc. | Method for treating or preventing psychoimmunological disorders |
| US6291465B1 (en) | 1999-03-09 | 2001-09-18 | Hoffmann-La Roche Inc. | Biphenyl derivatives |
| US6291496B1 (en) | 1999-12-27 | 2001-09-18 | Andrew J. Dannenberg | Treating cancers associated with overexpression of class I family of receptor tyrosine kinases |
-
2002
- 2002-01-25 US US10/057,450 patent/US6642226B2/en not_active Expired - Fee Related
- 2002-01-28 KR KR1020037010336A patent/KR100566470B1/ko not_active Expired - Fee Related
- 2002-01-28 DK DK02710043T patent/DK1360184T3/da active
- 2002-01-28 ES ES02710043T patent/ES2238560T3/es not_active Expired - Lifetime
- 2002-01-28 AU AU2002228072A patent/AU2002228072B2/en not_active Ceased
- 2002-01-28 DE DE60203481T patent/DE60203481T2/de not_active Expired - Lifetime
- 2002-01-28 PT PT02710043T patent/PT1360184E/pt unknown
- 2002-01-28 JP JP2002563137A patent/JP4181409B2/ja not_active Expired - Fee Related
- 2002-01-28 CN CNB028046064A patent/CN1229373C/zh not_active Expired - Fee Related
- 2002-01-28 BR BR0206915-6A patent/BR0206915A/pt not_active IP Right Cessation
- 2002-01-28 MX MXPA03006991A patent/MXPA03006991A/es active IP Right Grant
- 2002-01-28 EP EP02710043A patent/EP1360184B1/en not_active Expired - Lifetime
- 2002-01-28 AT AT02710043T patent/ATE292128T1/de not_active IP Right Cessation
- 2002-01-28 WO PCT/EP2002/000851 patent/WO2002062784A1/en not_active Ceased
- 2002-01-28 CA CA002435946A patent/CA2435946C/en not_active Expired - Fee Related
- 2002-02-01 AR ARP020100349A patent/AR035427A1/es unknown
-
2003
- 2003-07-30 ZA ZA2003/05887A patent/ZA200305887B/en unknown
Also Published As
| Publication number | Publication date |
|---|---|
| US6642226B2 (en) | 2003-11-04 |
| AR035427A1 (es) | 2004-05-26 |
| ZA200305887B (en) | 2005-01-26 |
| AU2002228072B2 (en) | 2006-08-03 |
| KR100566470B1 (ko) | 2006-03-31 |
| DE60203481D1 (de) | 2005-05-04 |
| ES2238560T3 (es) | 2005-09-01 |
| JP4181409B2 (ja) | 2008-11-12 |
| WO2002062784A1 (en) | 2002-08-15 |
| DK1360184T3 (da) | 2005-08-01 |
| DE60203481T2 (de) | 2006-02-16 |
| JP2004525892A (ja) | 2004-08-26 |
| WO2002062784A8 (en) | 2002-10-03 |
| CN1491222A (zh) | 2004-04-21 |
| EP1360184B1 (en) | 2005-03-30 |
| KR20030070619A (ko) | 2003-08-30 |
| BR0206915A (pt) | 2004-02-03 |
| ATE292128T1 (de) | 2005-04-15 |
| PT1360184E (pt) | 2005-06-30 |
| CA2435946C (en) | 2008-10-07 |
| MXPA03006991A (es) | 2003-11-18 |
| US20020151547A1 (en) | 2002-10-17 |
| EP1360184A1 (en) | 2003-11-12 |
| CA2435946A1 (en) | 2002-08-15 |
Similar Documents
| Publication | Publication Date | Title |
|---|---|---|
| CN1229373C (zh) | 作为神经激肽1拮抗剂的哌啶衍生物 | |
| CN1231468C (zh) | 化合物 | |
| CN1118452C (zh) | 1-[(1-取代-4-哌啶基)甲基]-4-哌啶衍生物、其生产方法、含有该化合物的药物组合物和这些化合物的中间体 | |
| CN1304382C (zh) | 用于治疗炎性、免疫或心血管疾病的新的p2x7受体拮抗剂 | |
| CN1261433C (zh) | 用作神经激肽受体拮抗剂的1,3,8-三氮杂-螺[4.5]癸-4-酮衍生物 | |
| CN1136189C (zh) | 取代的杂环化合物、其制备方法和含有这些化合物的药物组合物 | |
| CN1229343C (zh) | 趋化因子受体活性调节剂 | |
| CN1198613C (zh) | 氨基苯氧基乙酸衍生物和含有它们的药用组合物 | |
| CN1224614C (zh) | 吲哚满-2-酮衍生物、其制备方法及其作为催产素受体配体的应用 | |
| CN1142910C (zh) | 酰胺化合物 | |
| CN1319973C (zh) | 哌啶衍生物 | |
| CN1444573A (zh) | 甲酰胺化合物及其作为人11cby受体拮抗剂的用途 | |
| CN1751023A (zh) | 哌啶-苯磺酰胺衍生物 | |
| CN1585749A (zh) | 类大麻苷受体配体 | |
| CN1496362A (zh) | 作为组胺h3拮抗剂的非咪唑化合物 | |
| CN1209125A (zh) | 作为速激肽拮抗剂的哌嗪类衍生物 | |
| CN1152873C (zh) | 新的二苯基哌啶衍生物 | |
| CN1787818A (zh) | 趋化因子受体活性的氨基环丁基酰胺调节剂 | |
| CN1805747A (zh) | 4-( 4-(杂环基烷氧基 )苯基)-1-(杂环基-羰基)哌啶衍生物和相关的化合物作为组胺h3拮抗剂用于治疗神经疾病如阿尔茨海默氏病 | |
| CN1675203A (zh) | 取代的1-哌嗪酰基哌啶衍生物,它们的制备方法和治疗用途 | |
| CN1114591C (zh) | 环酰胺化合物 | |
| CN1960727A (zh) | 用作组胺-3受体的配体的萘衍生物 | |
| CN1656071A (zh) | 新哌啶化合物 | |
| CN1166643C (zh) | 4-苯基-嘧啶类衍生物 | |
| CN1124026A (zh) | 新型哌啶基硫代吲哚衍生物,它们的制备方法,和含有它们的药物组合物,作为止痛药的用途 |
Legal Events
| Date | Code | Title | Description |
|---|---|---|---|
| C06 | Publication | ||
| PB01 | Publication | ||
| C10 | Entry into substantive examination | ||
| SE01 | Entry into force of request for substantive examination | ||
| C14 | Grant of patent or utility model | ||
| GR01 | Patent grant | ||
| C17 | Cessation of patent right | ||
| CF01 | Termination of patent right due to non-payment of annual fee |
Granted publication date: 20051130 Termination date: 20110128 |







































