WO2005080378A1 - 縮合ピリダジン誘導体 - Google Patents

縮合ピリダジン誘導体 Download PDF

Info

Publication number
WO2005080378A1
WO2005080378A1 PCT/JP2005/002974 JP2005002974W WO2005080378A1 WO 2005080378 A1 WO2005080378 A1 WO 2005080378A1 JP 2005002974 W JP2005002974 W JP 2005002974W WO 2005080378 A1 WO2005080378 A1 WO 2005080378A1
Authority
WO
WIPO (PCT)
Prior art keywords
alkyl
mmol
optionally substituted
methyl
imidazole
Prior art date
Legal status (The legal status is an assumption and is not a legal conclusion. Google has not performed a legal analysis and makes no representation as to the accuracy of the status listed.)
Ceased
Application number
PCT/JP2005/002974
Other languages
English (en)
French (fr)
Inventor
Maki Seki
Yoshihiro Tarao
Kumi Yamada
Akira Nakao
Yoshihiro Usui
Yoshiyuki Komatsu
Current Assignee (The listed assignees may be inaccurate. Google has not performed a legal analysis and makes no representation or warranty as to the accuracy of the list.)
Mitsubishi Tanabe Pharma Corp
Original Assignee
Mitsubishi Pharma Corp
Priority date (The priority date is an assumption and is not a legal conclusion. Google has not performed a legal analysis and makes no representation as to the accuracy of the date listed.)
Filing date
Publication date
Application filed by Mitsubishi Pharma Corp filed Critical Mitsubishi Pharma Corp
Publication of WO2005080378A1 publication Critical patent/WO2005080378A1/ja
Anticipated expiration legal-status Critical
Ceased legal-status Critical Current

Links

Classifications

    • CCHEMISTRY; METALLURGY
    • C07ORGANIC CHEMISTRY
    • C07DHETEROCYCLIC COMPOUNDS
    • C07D471/00Heterocyclic compounds containing nitrogen atoms as the only ring hetero atoms in the condensed system, at least one ring being a six-membered ring with one nitrogen atom, not provided for by groups C07D451/00 - C07D463/00
    • C07D471/02Heterocyclic compounds containing nitrogen atoms as the only ring hetero atoms in the condensed system, at least one ring being a six-membered ring with one nitrogen atom, not provided for by groups C07D451/00 - C07D463/00 in which the condensed system contains two hetero rings
    • C07D471/04Ortho-condensed systems
    • AHUMAN NECESSITIES
    • A61MEDICAL OR VETERINARY SCIENCE; HYGIENE
    • A61PSPECIFIC THERAPEUTIC ACTIVITY OF CHEMICAL COMPOUNDS OR MEDICINAL PREPARATIONS
    • A61P43/00Drugs for specific purposes, not provided for in groups A61P1/00-A61P41/00
    • AHUMAN NECESSITIES
    • A61MEDICAL OR VETERINARY SCIENCE; HYGIENE
    • A61PSPECIFIC THERAPEUTIC ACTIVITY OF CHEMICAL COMPOUNDS OR MEDICINAL PREPARATIONS
    • A61P9/00Drugs for disorders of the cardiovascular system
    • A61P9/10Drugs for disorders of the cardiovascular system for treating ischaemic or atherosclerotic diseases, e.g. antianginal drugs, coronary vasodilators, drugs for myocardial infarction, retinopathy, cerebrovascula insufficiency, renal arteriosclerosis
    • CCHEMISTRY; METALLURGY
    • C07ORGANIC CHEMISTRY
    • C07DHETEROCYCLIC COMPOUNDS
    • C07D401/00Heterocyclic compounds containing two or more hetero rings, having nitrogen atoms as the only ring hetero atoms, at least one ring being a six-membered ring with only one nitrogen atom
    • C07D401/14Heterocyclic compounds containing two or more hetero rings, having nitrogen atoms as the only ring hetero atoms, at least one ring being a six-membered ring with only one nitrogen atom containing three or more hetero rings
    • CCHEMISTRY; METALLURGY
    • C07ORGANIC CHEMISTRY
    • C07DHETEROCYCLIC COMPOUNDS
    • C07D403/00Heterocyclic compounds containing two or more hetero rings, having nitrogen atoms as the only ring hetero atoms, not provided for by group C07D401/00
    • C07D403/02Heterocyclic compounds containing two or more hetero rings, having nitrogen atoms as the only ring hetero atoms, not provided for by group C07D401/00 containing two hetero rings
    • C07D403/04Heterocyclic compounds containing two or more hetero rings, having nitrogen atoms as the only ring hetero atoms, not provided for by group C07D401/00 containing two hetero rings directly linked by a ring-member-to-ring-member bond
    • CCHEMISTRY; METALLURGY
    • C07ORGANIC CHEMISTRY
    • C07DHETEROCYCLIC COMPOUNDS
    • C07D403/00Heterocyclic compounds containing two or more hetero rings, having nitrogen atoms as the only ring hetero atoms, not provided for by group C07D401/00
    • C07D403/14Heterocyclic compounds containing two or more hetero rings, having nitrogen atoms as the only ring hetero atoms, not provided for by group C07D401/00 containing three or more hetero rings
    • CCHEMISTRY; METALLURGY
    • C07ORGANIC CHEMISTRY
    • C07DHETEROCYCLIC COMPOUNDS
    • C07D405/00Heterocyclic compounds containing both one or more hetero rings having oxygen atoms as the only ring hetero atoms, and one or more rings having nitrogen as the only ring hetero atom
    • C07D405/14Heterocyclic compounds containing both one or more hetero rings having oxygen atoms as the only ring hetero atoms, and one or more rings having nitrogen as the only ring hetero atom containing three or more hetero rings
    • CCHEMISTRY; METALLURGY
    • C07ORGANIC CHEMISTRY
    • C07DHETEROCYCLIC COMPOUNDS
    • C07D409/00Heterocyclic compounds containing two or more hetero rings, at least one ring having sulfur atoms as the only ring hetero atoms
    • C07D409/14Heterocyclic compounds containing two or more hetero rings, at least one ring having sulfur atoms as the only ring hetero atoms containing three or more hetero rings
    • CCHEMISTRY; METALLURGY
    • C07ORGANIC CHEMISTRY
    • C07DHETEROCYCLIC COMPOUNDS
    • C07D413/00Heterocyclic compounds containing two or more hetero rings, at least one ring having nitrogen and oxygen atoms as the only ring hetero atoms
    • C07D413/02Heterocyclic compounds containing two or more hetero rings, at least one ring having nitrogen and oxygen atoms as the only ring hetero atoms containing two hetero rings
    • C07D413/04Heterocyclic compounds containing two or more hetero rings, at least one ring having nitrogen and oxygen atoms as the only ring hetero atoms containing two hetero rings directly linked by a ring-member-to-ring-member bond
    • CCHEMISTRY; METALLURGY
    • C07ORGANIC CHEMISTRY
    • C07DHETEROCYCLIC COMPOUNDS
    • C07D413/00Heterocyclic compounds containing two or more hetero rings, at least one ring having nitrogen and oxygen atoms as the only ring hetero atoms
    • C07D413/14Heterocyclic compounds containing two or more hetero rings, at least one ring having nitrogen and oxygen atoms as the only ring hetero atoms containing three or more hetero rings
    • CCHEMISTRY; METALLURGY
    • C07ORGANIC CHEMISTRY
    • C07DHETEROCYCLIC COMPOUNDS
    • C07D417/00Heterocyclic compounds containing two or more hetero rings, at least one ring having nitrogen and sulfur atoms as the only ring hetero atoms, not provided for by group C07D415/00
    • C07D417/02Heterocyclic compounds containing two or more hetero rings, at least one ring having nitrogen and sulfur atoms as the only ring hetero atoms, not provided for by group C07D415/00 containing two hetero rings
    • C07D417/04Heterocyclic compounds containing two or more hetero rings, at least one ring having nitrogen and sulfur atoms as the only ring hetero atoms, not provided for by group C07D415/00 containing two hetero rings directly linked by a ring-member-to-ring-member bond
    • CCHEMISTRY; METALLURGY
    • C07ORGANIC CHEMISTRY
    • C07DHETEROCYCLIC COMPOUNDS
    • C07D417/00Heterocyclic compounds containing two or more hetero rings, at least one ring having nitrogen and sulfur atoms as the only ring hetero atoms, not provided for by group C07D415/00
    • C07D417/14Heterocyclic compounds containing two or more hetero rings, at least one ring having nitrogen and sulfur atoms as the only ring hetero atoms, not provided for by group C07D415/00 containing three or more hetero rings
    • CCHEMISTRY; METALLURGY
    • C07ORGANIC CHEMISTRY
    • C07DHETEROCYCLIC COMPOUNDS
    • C07D491/00Heterocyclic compounds containing in the condensed ring system both one or more rings having oxygen atoms as the only ring hetero atoms and one or more rings having nitrogen atoms as the only ring hetero atoms, not provided for by groups C07D451/00 - C07D459/00, C07D463/00, C07D477/00 or C07D489/00
    • C07D491/02Heterocyclic compounds containing in the condensed ring system both one or more rings having oxygen atoms as the only ring hetero atoms and one or more rings having nitrogen atoms as the only ring hetero atoms, not provided for by groups C07D451/00 - C07D459/00, C07D463/00, C07D477/00 or C07D489/00 in which the condensed system contains two hetero rings
    • C07D491/04Ortho-condensed systems
    • CCHEMISTRY; METALLURGY
    • C07ORGANIC CHEMISTRY
    • C07DHETEROCYCLIC COMPOUNDS
    • C07D495/00Heterocyclic compounds containing in the condensed system at least one hetero ring having sulfur atoms as the only ring hetero atoms
    • C07D495/02Heterocyclic compounds containing in the condensed system at least one hetero ring having sulfur atoms as the only ring hetero atoms in which the condensed system contains two hetero rings
    • C07D495/04Ortho-condensed systems

Definitions

  • the present invention relates to a novel fused pyridazine derivative. More specifically, the present invention relates to a condensed pyridazine derivative and a salt thereof, and a NAD (P) H oxidase inhibitor containing them as an active ingredient.
  • Background art NAD (P) H oxidase inhibitor containing them as an active ingredient.
  • NAD (P) H oxidase Is generated from NAD (P) H and oxygen by NAD (P) H oxidase and is known as a source of all reactive oxygen species (hereinafter sometimes referred to as ROS).
  • ROS reactive oxygen species
  • Non-Patent Documents 1 and 2 In relation to myocardial infarction, it has been reported that NAD (P) H oxidase is specifically enhanced in the infarcted area after onset of myocardial infarction.
  • Non-Patent Documents 1 and 2 In relation to angina, it has been reported that ROS is overproduced in the lesions of angina patients, suggesting a link between enhanced NAD (P) H oxidase and the pathology of angina.
  • Non-Patent Document 3 In relation to arteriosclerosis, it has been reported that in human atherosclerosis, generation of superoxide ion and enhancement of NAD (P) H oxidase are reported. (Non-Patent Documents 4 and 5).
  • NAD (P) H oxidase inhibitor examples include DPI (Diphenylene iodonium) and Apocynin. These compounds inhibit NAD (P) H oxidase non-selectively regardless of the normal state or disease state. In addition, they have a high effective dose. Therefore, these compounds are not considered to be sufficient as drugs.
  • DPI Diphenylene iodonium
  • Apocynin examples include DPI (Diphenylene iodonium) and Apocynin. These compounds inhibit NAD (P) H oxidase non-selectively regardless of the normal state or disease state. In addition, they have a high effective dose. Therefore, these compounds are not considered to be sufficient as drugs.
  • P NAD
  • Alkoxy-substituted phthalazines have PDE4 inhibitory activity (see Patent Documents 1 and 2), imitazopyriginsii conjugates are Corticotropin releasing factor antagonists (see Patent Document 3), pyridazine compound power SAngiogenesis It is reported that the compound is an inhibitor (see Patent Document 4), and that the pyridazine conjugate is a ligand that coordinates to a copper complex (see Non-patent Document 8).
  • Non-Patent Document 9 hydralazine having an antihypertensive effect is known to exhibit a NAD (P) H oxidase inhibitory effect at doses higher than the efficacious dose, but its effect is weak (see Non-Patent Document 9).
  • a compound called S_17834 has been reported as a NAD (P) H oxidase inhibitor.
  • the effective dose in in vivo experiments was as high as 130 mg / kg. Therefore, there is no report of a compound having a strong NAD (P) H oxidase inhibitory ability even in vivo.
  • Patent Document 1 PCT International Publication WO00 / 05219
  • Patent Document 2 PCT International Publication W099 / 324565
  • Patent Document 3 PCT International Publication WO00 / 01697
  • Patent Document 4 PCT International Publication W098 / 58929
  • Non-patent document 2 Journal of Clinical Pathology, 2003, 56, 194-199
  • Non-patent document 3 Arteriosclerosis Thrombosis and Vascular Biology, 2002, 22, 1838-44
  • Non-patent document 4 Circuration, 2002, 105, 1429-35
  • Non-Patent Document 5 Annals New York Academy of Sciences, 2002, 902, 241-7
  • Non-Patent Document 6 Circuration, 1999, 100, 1494-98
  • Non-patented ⁇ Arteriosclerosis thrombosis and Vascular Biology
  • Non-Patent Document 8 Canadian Jounral of Chemistry, 1984, vol. 62, 2755
  • Non-Patent Document 9 Circulation, Res. 1997, 80, 45
  • Non-Patent Document 10 Arteriosclerosis Thrombosis and Vascular Biology, 2001, 21: 1577
  • NAD (P) H oxidase inhibitor having sufficient inhibitory activity or selectivity as a pharmaceutical is known.
  • the problem to be solved by the present invention is to provide a NAD (P) H oxidase inhibitor that can be a drug candidate.
  • the condensed pyridazine derivative of the present invention has an inhibitory effect on NAD (P) H oxidase and can be an effective drug for preventing or treating diseases associated with the enzyme.
  • the present invention relates to the following fused pyridazine derivatives or pharmacologically acceptable salts thereof, or hydrates or solvates thereof.
  • Het contains at least one nitrogen atom in the ring, and is a saturated or unsaturated 5-membered heterocyclic ring bonded to the pyridazine ring by carbon
  • the heterocyclic ring is alkyl, hydroxyalkyl, Alkoxyalkyl, aminoalkyl, trifluoromethyl, hydroxy, aryl, heteroaryl, halogen, cyano, -CO R 1 (where R 1 represents a hydrogen atom, alkyl or aralkyl), -CONR 3 ( Wherein R 2 and R 3 are the same or different hydrogen It represents an atom, alkyl, or aryl which may be substituted, or R 2 and R 3 may be linked together to form a 4- to 7-membered ring. ), -CONHSO R 2a (wherein, R 2a is a hydrogen atom,
  • a, b, c, and d each represent an optionally substituted carbon atom or a nitrogen atom, and at least two of a, b, c, and d are substituted.
  • X represents an oxygen atom or a sulfur atom
  • R 4 is the same or different hydrogen atom, halogen, anoreoxy, nitro, amino, anolequinolamino, Dianolequinoleamino, anolequinole, or hydroxy
  • k represents an integer of 0 to 4
  • 1 represents an integer of 0 to 2, provided that R 4 represents methoxy
  • Het represents In the case of representing 2-thiazolyl, k represents 1)
  • B represents a hydrogen atom, a halogen atom, alkyl, trifluoromethyl, cyano, -CO R 5 (wherein R 5 Represents a hydrogen atom, alkyl or aralkyl.), -OR 5 '(
  • R ′′ represents alkyl or phenyl which may be substituted.), —NR 3 (wherein, R 2 and R 3 have the same meanings as described above), and optionally substituted hydrazide Guanidino which may be substituted, phenyl which may be substituted, phenyl which may be substituted, pyridyl which may be substituted, phenyl which may be substituted, phenyl which may be substituted, Optionally substituted piperidyl, optionally substituted pyrrolidyl, substituted Optionally substituted morpholyl, optionally substituted 1,4-piperadyl, or optionally substituted 1-piperidyl, optionally substituted thiazolidyl, optionally substituted aziridyl or substituted Slow, azetidyl.
  • B represents a hydrogen atom, alkyl, trifluoromethyl, hydroxy, cyano, carboxyl, ester, alkoxy, di, Anolequinoleamino, phenyl which may be substituted, pyridyl which may be substituted, phenyl which may be substituted, furyl which may be substituted, morpholyl which may be substituted, )
  • R 1 ′ represents a hydrogen atom, alkyl, —CO R 1 (wherein R 1 has the same meaning as described above), —SO—alkyU— SO - ARVL, or - CONH- alkvl indicates, R 2 'represents alkyl, hydro alkoxy, carboxyl, or -CO R 1 (wherein, R 1 is as defined above.) the.
  • R 1 represents 1 or 2
  • R 1 ′ represents a hydrogen atom, alkyl, —CO R 1 (wherein R 1 has the same meaning as described above), —SO—alkyU— SO - ARVL, or - CONH- alkvl indicates, R 2 'represents alkyl, hydro alkoxy, carboxyl, or -CO R 1 (wherein, R 1 is as defined above.) the.
  • R lb and i 5 ′ may be the same or different and each represent a hydrogen atom, alkyl, aryl, or substituted sulfonyl. Or a pharmaceutically acceptable salt thereof, or a hydrate or solvate thereof.
  • B represents a hydrogen atom, alkyl, trifluoromethyl, hydroxy, cyano, carboxyl, ester, alkoxy, dianole Quinoleamino, phenyl which may be substituted, pyridyl which may be substituted, phenyl which may be substituted, furyl which may be substituted, morpholyl which may be substituted;
  • R 1 is a hydrogen atom, alkyl, -CO R 1 (wherein, R 1 has the same meaning as described above), -SO -alkyl, -SO -aryl Or -CONH-alkyl, and R 2 'represents alkyl, hydroxy, carboxyl, or -CO R 1 (wherein R 1 has the same meaning as described above).
  • R 1 represents 1 or 2
  • R 1 is a hydrogen atom, alkyl, -CO R 1 (wherein, R 1 has the same meaning as described above), -SO -alkyl, -SO -aryl Or -CONH-alkyl, and R 2 'represents alkyl, hydroxy, carboxyl, or -CO R 1 (wherein R 1 has the same meaning as described above).
  • R lb and R 2b ′ may be the same or different and each represent a hydrogen atom, alkyl, aryl, or substituted sulfonyl. ⁇ Or a pharmacologically acceptable salt thereof, or a hydrate or solvate thereof.
  • Y represents an oxygen atom or a sulfur atom, and are the same or different and each represents a hydrogen atom, an alkyl, a halogen, an alkoxy, a hydroxy, a cyano, a carboxyl, a -C ⁇
  • R 1 (wherein, R 1 has the same meaning as described above), nitro, mino, norekinoramino, dinorequinoreamino, trifluoromethyl, and trifluoromethoxy;
  • R 7 represents a hydrogen atom, alkyl,- CO R ′ (wherein, R 1 is as defined above), —SO _alkvl, —SO _aryl, _CONH_alkyl, or phenyl which may be substituted, and
  • R 8 is the same or different and each represents hydrogen Atom, hydroxy, hydroxymethyl, carboxyl, -CO R 1 (wherein R 1 is as defined above), or alkyl, and
  • R 9 is a hydrogen atom, alkyl, acyl, -SO -alky Or -SO-aryl.
  • R 12 and R 13 each independently represent a hydrogen atom, alkyl, or optionally substituted aryl, or R 12 and R 13 May form a 4- to 7-membered ring together with any of the following heterocycles selected from the following complex rings which may have any force of 4 or more:
  • the present invention also relates to the following therapeutic or suppressive drugs.
  • a prophylactic or therapeutic agent for ischemic heart disease comprising the condensed pyridazine derivative or the pharmaceutically acceptable salt thereof according to any one of (1) to (9) as an active ingredient.
  • An agent for preventing or treating acute coronary syndrome comprising the condensed pyridazine derivative or the pharmaceutically acceptable salt thereof according to any of (1) to (9) as an active ingredient.
  • a prophylactic or therapeutic agent for myocardial infarction comprising the condensed pyridazine derivative or the pharmaceutically acceptable salt thereof according to any of (1) to (9) as an active ingredient.
  • a prophylactic or therapeutic agent for angina pectoris comprising the condensed pyridazine derivative or the pharmacologically acceptable salt thereof according to (1) to (9) or an active ingredient thereof.
  • An agent for preventing or treating arteriosclerosis comprising the condensed pyridazine derivative or the pharmaceutically acceptable salt thereof according to any of (1) to (9) as an active ingredient.
  • a NAD (P) H oxidase inhibitor comprising, as an active ingredient, the condensed pyridazine derivative or the pharmaceutically acceptable salt thereof according to (1) to (9).
  • substituents of "substituted or substituted, phenyl” include alkyl, halogen, alkoxy, hydroxy, hydroxy carboxyl, -CO R 1 (wherein , R 1 is as above
  • the phenyl may be substituted with 1 to 5 same or different substituents described above, and two substituents may form a ring, resulting in "optionally substituted phenyl"
  • the ring may be a condensed ring such as 3-dihydro-1-benzofuran.
  • substituents of “optionally substituted phenyl” include alkyl, halogen, alkoxy, hydroxy, carboxyl, and —C ⁇ R 1 (wherein, R 1 has the same meaning as described above.) Nitro, amino, anolequinoleamino, dianolequinoleamino, trifluoromethyl, trifluoromethoxy, etc., and 1 to 5 phenyls may be substituted with the same or different substituents described above. .
  • examples of the substituent of “optionally substituted pyridyl” include the same substituents as those of “optionally substituted phenyl", wherein the pyridinole may be the same or different. May be substituted with 1 to 4 different substituents.
  • examples of the substituent of “optionally substituted phenyl” include the same substituents as the substituent of “optionally substituted phenyl” in the present specification. One to three substituents may be substituted with the same or different substituents.
  • examples of the substituent of “optionally substituted furyl” include the same substituents as the substituent of “optionally substituted phenyl”, wherein the furyl is the same or different. 1 to 3 of the above substituents.
  • substituents on the "optionally substituted pyrrolidyl" nitrogen include alkyl, -CO -SO-alkyl, -SO_aryl, _CONH_alkyl, as a substituent on a cyclic carbon, alkyl, hydroxy, carboxyl, or -CO R 1 (wherein R 1 is as defined above), hydroxyalkyl And the like.
  • substituents on the "optionally substituted pyrrolidyl" nitrogen include anoalkyl, -CO -SO _alkyl, -SO-aryl, -CONH-alkyl, as a substituent on a cyclic carbon Examples thereof include alkyl, hydroxy, carboxyl, and —CO R 1 (wherein R 1 has the same meaning as described above).
  • substituent of "1,4-piperazyl which may be substituted” includes alkyl, acyl, -SO_alkyl, -SO_arvl, etc. on nitrogen. These substituents may be substituted on the carbon of the piperazinole ring.
  • the substituent of “1-piperidyl which may be substituted” includes hydroxy, alkyl, carboxyl, —C ⁇ R 1 (wherein, R 1 has the same meaning as described above. ), -CONR 2 R 3 (wherein R 2 and R 3 are as defined above), alkoxy, cyano and the like.
  • substituents of “optionally substituted 1-piperidyl” include hydroxy, alkyl, carboxyl, —CO R 1 (wherein R 1 is as defined above), — CONR3 ⁇ 4 3 (wherein, R 2 and R 3 have the same meanings as described above).
  • substituents of "substituted or substituted, morphoyl” include hydroxy, alkyl, carboxyl, -CO R 1 (wherein R 1 is And -CONR3 ⁇ 4 3 (wherein, R 2 and R 3 have the same meanings as described above).
  • examples of the substituent of "optionally substituted thiazolidyl” include the same substituents as those of “optionally substituted phenyl", wherein the thiazolidyl is the same or different 1 to 3 groups are substituted.
  • the substituent of ⁇ optionally substituted aziridyl '' and the substituent of ⁇ optionally substituted azetidyl '' include the substituent of ⁇ substituted or substituted, phenyl ''.
  • the same substituent may be mentioned, and the aziridyl and the azetidinole may be substituted with 1 to 3 same or different substituents.
  • saturated or unsaturated 5-membered heterocyclic ring includes imidazolyl, oxazolyl, thiazolyl, 1,2,4-oxaziazolyl, 1,3,4-oxaziazolyl, 1 , 2,4_triazolyl, pyrazolyl, tetrazolyl, oxopyrazolyl, 2,5-dihydro-5_oxo-4H-1,2,4-thiadiazolyl, 2,5-dihydro_5 -thioxo-4H-1,2,4 -Thiadiazolyl, 2,5_dihydric mouth-5-oxo-4H-1,2,4-oxadiazolyl, 2,5-dihydro-5-thioxo-4H-1,2,4-oxaxazolyl, 4,5-dihydro Examples thereof include imidazolyl, 4,5-dihydrooxazolyl, and 4,5-dihydridothiazolyl, 1,2,4-oxax
  • heterocyclic ring alkyl, hydroxyalkyl, alkoxyalkyl, triflumizole Ruo Russia methyl, hydroxy, Ariru, Heteroariru, halogen, Shiano, carboxyl, or - CO R U (R U is alkyl or Aralkyl).-CONR 12 R 13 (R 12 and R
  • R 12 and R 13 represents a hydrogen atom which may be the same or different, an alkyl, or an aryl which may be substituted, or R 12 and R 13 may be taken together to form a 4- to 7-membered ring. And more preferably one or more substituents selected from alkyl, alkoxyalkyl, trifluoromethyl, hydroxy, arylene, heteroaryl, halogen, cyano, carboxyl and the like.
  • alkyl is preferably a straight-chain or branched-chain having 118 carbon atoms, such as methyl, ethyl, normal (hereinafter referred to as n-) propyl, and isopropyl. Examples thereof include butyl, butyl, isobutyl, tertiary (hereinafter referred to as t-) butyl, n-pentyl, n-hexyl, and n-octyl.
  • alkoxy is preferably a straight or branched chain having 118 carbon atoms, and examples thereof include methoxy, ethoxy, propoxy, butoxy, pentyloxy, hexynoleoxy, octyloxy and the like.
  • the alkylthio preferably has 18 carbon atoms and may be linear or branched, and examples thereof include methylthio, ethylthio, propylthio, butylthio, pentylthio, hexylthio, and octylthio.
  • the acyloxy is preferably a linear or branched one having 118 carbon atoms, and examples thereof include formyloxy, acetyloxy, propionyloxy, butyryloxy, valeryloxy, bivaloyloxy, and hexanoyloxy.
  • halogen includes fluorine, chlorine, bromine and iodine.
  • hydroxyalkyl is preferably hydroxyalkyl having 13 to 13 carbon atoms, and examples thereof include hydroxymethyl, 2-hydroxyethyl, and 3-hydroxypropyl.
  • arylalkyl means that the aryl moiety is the same as described above, and the alkyl moiety preferably has a carbon number of 13 and may be linear or branched. Examples include benzyl, phenyl, 3-phenylpropyl, 1-naphthylmethyl, 2- (1-naphthinole) ethyl, 2- (2_naphthyl) ethyl, and 3_ (2_naphthyl) propyl.
  • alkoxyalkyl means that the alkoxy part is the same as described above, and the alkyl part is preferably straight-chain or branched-chain having 13 to 13 carbon atoms, for example, ethoxy. Examples include methyl, methoxyethyl, 3-methoxypropyl, 3-ethoxypropyl, 2-methoxypropyl and the like.
  • aminoanolequinole means that the amino portion thereof may be optionally substituted with alkyl, arylene, heteroaryl, heterocycle, or the like, and the substituent includes a nitrogen atom.
  • the alkyl part which may form a ring is preferably a straight-chain or branched-chain having 13 to 13 carbon atoms, for example, aminomethyl, aminoethyl, dimethinoleaminoethynole, N-pyrrolidylethyl, -Phenylaminoethyl or 3-aminopropyl
  • heterocycle refers to a 4- to 6-membered ring group having carbon and at least one nitrogen atom and optionally having another hetero atom (oxygen or sulfur).
  • heteroatom oxygen or sulfur
  • specific examples include azetidinyl, pyrrolidinyl, piperidino, piperazinyl, morpholino, thiomorpholino, oxothiomorpholino, and dioxothiomorpholino.
  • aryl is preferably a phenyl, naphthyl, or ortho-fused bicyclic group having 8 to 10 ring atoms and at least one ring being an aromatic ring. (Such as indenyl).
  • heteroaryl refers to a 5- to 6-membered ring group preferably having carbon and 14 hetero atoms (oxygen, sulfur or nitrogen), or a derivative thereof.
  • heteroaryl Ortho-fused bicyclic heteroaryl having 10 ring atoms, in particular benz derivatives or those derived by fusing a propenylene, trimethylene or tetramethylene group thereto, and their stable N-oxides And the like.
  • the "4- to 7-membered ring” may have a substituent on the ring. As the substituent
  • NAD (P) H oxidase is NADH (Nicotinamide adenine dinucleotide or less, referred to as NADH) oxidase, NADH / NADPH (Nicotinamide adenine dinucleotide phosphate or less, NADPH Oxidase or NADPH
  • NADH Nicotinamide adenine dinucleotide phosphate or less
  • NADPH Oxidase or NADPH An enzyme that produces S 0, NADH and NADPH as substrates, sometimes referred to as NADPH oxidase.
  • NAD (P) H oxidase of the present invention is included in NAD (P) H oxidase of the present invention.
  • the site where the NAD (P) H oxidase is expressed is, for example, a tissue such as a vascular cell line, heart, kidney, retina, microglia, or tumor cell, and is not particularly limited thereto.
  • suppression of NAD (P) H oxidase includes any suppression that reduces the amount of 0-produced by NAD (P) H oxidase.
  • NAD (P) H oxidase activity is a suppression that reduces the amount of 0-produced by NAD (P) H oxidase.
  • Sex suppression of the activation process, suppression of the expression of components, and the like.
  • ischemic heart disease refers to a disease in which the vascular lumen of the heart is narrowed or obstructed for some reason, and thus the heart is not supplied with sufficient oxygen and nutrients. .
  • acute coronary syndrome refers to the failure of coronary atheroma to cause thrombus formation and lumen obstruction, resulting in a sufficient supply of oxygen and nutrients necessary for the heart. It means a group of diseases that are gone. Examples of the disease include acute myocardial infarction and unstable angina.
  • myocardial infarction refers to a disease in which myocardial tissue is necrotic due to severe ischemia caused by coronary circulatory disturbance.
  • pathological condition include acute myocardial infarction, old myocardial infarction, transmural myocardial infarction, and non-transmural myocardial infarction.
  • angina means transient myocardial ischemia caused by a breakdown in the balance between myocardial oxygen demand and supply. Examples of the disease include stable angina, unstable angina, exertional angina, resting angina, atypical angina and the like.
  • arteriosclerosis refers to a disease that causes impaired blood circulation in tissues and organs as a whole due to loss of elasticity of arteries, occurrence of stenosis, closure, or aneurysm in arteries. means. Examples of the disease include arterial thrombosis and atherosclerosis.
  • prevention refers to preventing a person from becoming ill or suffering from a disease, or from having a disease once it has been cured or outdated. Means to prevent the disease from recurring. In particular, for those who are at high risk of developing arteriosclerosis or ischemic heart disease, such as hyperlipidemia patients, diabetes patients, hypertension patients, smokers, etc. And patients who have developed ischemic heart disease should not have subsequent ischemic heart disease, ie, myocardial infarction or angina attack.
  • the compound of the present invention can be produced by a combination of reactions suitable for the target compound.
  • a typical reaction scheme is illustrated below, but it is not limited to the method described below.
  • Step (1) is a step of producing 2-ketobenzoic acid (1) from phthalic anhydride. It is possible to use (a) an addition reaction of an organic metal reagent to an acid anhydride, or (b) a Friedel-Crafts reaction between an aryllic compound and an acid anhydride.
  • an aryl metal or an alkyl metal can be used as the organometallic reagent.
  • the metal include lithium and magnesium.
  • the solvent used include ethers such as getyl ether or t-butyl methyl ether, tetrahydrofuran (hereinafter referred to as THF), dioxane, hexane, cyclohexane, benzene, toluene, methylene chloride, Dichloroethane and the like can be mentioned, and these can be used alone or in combination.
  • THF tetrahydrofuran
  • dioxane hexane
  • cyclohexane benzene
  • toluene methylene chloride
  • Dichloroethane and the like can be mentioned, and these can be used alone or in combination.
  • the reaction temperature is -78 ° C 100 ° C, preferably -78 ° C 30 ° C, and the reaction time is 5 minutes to 24 hours
  • reaction temperature is ⁇ 78 ° C. to 200 ° C., preferably ⁇ 50 ° C. to 100 ° C., and the reaction time is 5 minutes to 24 hours.
  • Step (2) is a step for producing a condensed pyridazinone (2).
  • the reaction can be carried out by reacting (1) with hydrazine or hydrazine hydrate. If using a solvent, add water, For example, non-reactive, ethanol, ethylene glycol, benzene, or toluene is used.
  • the reaction temperature is between 20 ° C and 200 ° C, preferably between 20 ° C and 100 ° C, and the reaction time is between 5 minutes and 48 hours.
  • Step (3) is a step of producing 2-ketobenzoic acid ester (3) by a Friedel-Crafts reaction between a dicarboxylic acid half ester and an aromatic compound.
  • B in compound (3) represents 2-thenyl or 2-furyl.
  • a catalyst such as sodium chloride, titanium tetrachloride, tin chloride, or boron trifluoride diethyl etherate is used as a catalyst, methylene chloride, dichloroethane, nitrobenzene, or dichlorobenzene. Solvents such as carbon sulfide can be used.
  • the reaction temperature is -78 ° C to 200 ° C, preferably _50 ° C to 100 ° C, and the reaction time is 5 minutes to 24 hours.
  • Step (4) is a step for producing a condensed pyridazinone (4).
  • the reaction can be carried out by reacting (3) with hydrazine or hydrazine hydrate.
  • reaction temperature is between 20 ° C and 200 ° C, preferably between 20 ° C and 100 ° C.
  • the reaction time is 5 minutes to 48 hours, preferably 1 hour to 10 hours.
  • step (5) an amide compound is reacted with a base such as butyllithium to react an organometallic intermediate which has undergone onoletometallation with an asinoleylating reagent, and an asinole group is introduced at the ortho position to form
  • a base such as butyllithium
  • B may be a substituted benzene ring, aromatic heterocyclic ring or alkyl.
  • amide compound an anilide compound, an N, N-getylamide compound, a topheninole-1-methylethylamide compound, or the like can be used.
  • 113 equivalents of butyllithium, secondary butyllithium, t_butyllithium, or the like can be used based on the amide compound.
  • Examples of the solvent include ethers such as getyl ether and t_butyl methyl ether, THF, dioxane, hexane, cyclohexane, benzene, toluene, methylene chloride, and dichloroethane. They may be used alone or as a mixture.
  • ethers such as getyl ether and t_butyl methyl ether, THF, dioxane, hexane, cyclohexane, benzene, toluene, methylene chloride, and dichloroethane. They may be used alone or as a mixture.
  • As the acylating agent an N, N-dimethylamide derivative, an N-methyl-N-methoxyamide derivative, an acid chloride, or the like can be used.
  • the reaction temperature is -78 ° C-100 ° C, preferably -78 ° C-30 ° C.
  • Step (6) is a step of obtaining 2-ketocarboxylic acid (6) from 2-ketocarboxylic acid amide (5).
  • the reaction may be hydrolysis using water or sulfuric acid, or reaction using an oxidizing agent.
  • the reaction temperature is
  • reaction time is 10 minutes to 24 hours.
  • Step (7) is a step for producing a condensed pyridazinone (7).
  • the reaction can be carried out by reacting (6) with hydrazine or hydrazine hydrate, or by reacting (5) with hydrazine or hydrazine hydrate.
  • a solvent use water, methanol, ethanol, ethylene glycol, benzene, tonoleene, or the like.
  • the reaction temperature is 20 ° C to 200 ° C, preferably 20 ° C to 100 ° C, and the reaction time is 5 minutes to 48 hours, preferably 1 hour to 10 hours.
  • step (8) an organometallic intermediate formed from 2-odobenzoic acid ester is reacted with an asinole reagent to introduce an asinole group at the ortho position to produce 2-ketocarboxylic acid ester (8) This is the process to be performed.
  • An organometallic intermediate produced by reacting with an isopropyl Grignard reagent or the like is reacted with an inorganic zinc compound (such as ZnCl, ZnBr, or Znl) to be converted into an organic zinc compound, and further a catalyst is present.
  • the target compound can be produced by reacting the compound with a halogenated acylone compound.
  • a zero-valent or divalent Pd catalyst such as Pd (PPh) or Pd (PPh) C1
  • a zero-valent or divalent M catalyst such as Pd (PPh) or Pd (PPh) C1
  • a zero-valent or divalent M catalyst such as Pd (PPh) or Pd (PPh) C1
  • Examples of the solvent to be used include ethers such as getyl ether or t-butyl methyl ether, THF, dioxane, hexane, cyclohexane, benzene, toluene, methylene chloride, dichloroethane and the like. These can be used alone or as a mixture.
  • ethers such as getyl ether or t-butyl methyl ether, THF, dioxane, hexane, cyclohexane, benzene, toluene, methylene chloride, dichloroethane and the like. These can be used alone or as a mixture.
  • the reaction temperature is -78 ° C 100 ° C, preferably -78 ° C 30 ° C.
  • Step (9) is a step for producing a condensed pyridazinone (11).
  • the reaction can be carried out by reacting (8) with hydrazine or hydrazine hydrate.
  • the reaction temperature is 20 ° C to 200 ° C, preferably 20 ° C to 100 ° C, and the reaction time is 5 minutes to 48 hours, preferably 1 hour to 10 hours.
  • a dimethyloxazoline compound is reacted with a base such as butyllithium to react an orthometalated organometallic intermediate with an asinoleylating reagent to introduce an acyl group at the ortho position.
  • a base such as butyllithium
  • an orthometalated organometallic intermediate with an asinoleylating reagent to introduce an acyl group at the ortho position.
  • amide compound an anilide compound, an N, N-getylamide compound, a 1-phenyl-2-methylethylamide compound, or the like can be used.
  • base n-butyllithium, Secondary butyllithium, t-butyllithium, etc. can be used in an amount of 1 to 13 equivalents to the amide compound.
  • reaction auxiliary reagent tetramethylethylenediamine or the like can be added.
  • solvent include ethers such as getyl ether and t-butyl methyl ether, THF, dioxane, hexane, cyclohexane, benzene, toluene, methylene chloride, dichloroethane, and the like. Good to use.
  • an N, N-dimethylamide derivative, an N-methyl-N-methoxyamide derivative, an acid chloride, or the like can be used.
  • Pd (PPh), Pd (PPh) CI, etc. a zero-valent or divalent Ni catalyst, or the like can be used.
  • the reaction temperature is -78 ° C to 100 ° C, preferably -78 ° C to 30 ° C.
  • Step (11) is a step of obtaining 2-ketocarboxylic acid (10) from 2-ketoxazoline compound (9).
  • the reaction can be performed in the presence of hydrochloric acid, sulfuric acid, mesinoleic acid, or tosinoleic acid.
  • hydrochloric acid sulfuric acid, mesinoleic acid, or tosinoleic acid.
  • solvent water, dioxane, THF, ethanol, methanol, or the like is used alone or in combination.
  • Step (12) is a step for producing a condensed pyridazinone (11).
  • the reaction can be carried out by reacting compound (10) with hydrazine or hydrazine hydrate. If a solvent is used, use water, methanol, ethanol, ethylene glycol, benzene, or toluene.
  • the reaction temperature is 20 ° C 200 ° C, preferably 20 ° C 100 ° C, and the reaction time is 5 minutes to 48 hours. And preferably between 1 hour and 10 hours.
  • Step (13) is a step of producing compound (12) by a chlorination reaction of compounds (2), (4), (7) and (11).
  • chlorinating agent thionyl chloride, phosphorus oxychloride, phosphorus trichloride, phosphorus pentachloride or the like can be used.
  • the reaction is carried out without a solvent or in a solvent such as benzene, toluene, chloroform, or dichloromethane.
  • Step (14) is a step of producing compound (13) from compound (12).
  • step (14) compound (13)
  • [0112] represents a benzene ring which may be substituted.
  • the reaction can be carried out by reacting a heterocyclic organoboron compound, a heterocyclic organozinc compound, or a heterocyclic organotin compound in the presence of a catalyst.
  • the heterocyclic organotin conjugate can be adjusted for the tin lithium chloride with the organolithium or organomagnesium compound and can be used in the reaction of step (14) without isolation.
  • the heterocyclic organoboron compound and the heterocyclic organozinc compound can also be prepared in the same manner as described above using a borate ester and a zinc halide, and used in the reaction of the step (14) without isolation. Can also be.
  • the organolithium compound can be adjusted by lithiation with a base such as butyllithium or by halogen-lithium exchange with a halogen compound.
  • the catalyst examples include a zero-valent or divalent Pd catalyst (such as Pd (PPh) or Pd (PPh) C1), zero-valent or divalent
  • Ni catalyst or the like can be used.
  • the reaction temperature is _78 ° C 200 ° C, preferably 0 ° C 120 ° C.
  • Examples of the solvent to be used include ethers such as getyl ether and t_butyl methyl ether, THF, dioxane, hexane, cyclohexane, benzene, toluene, xylene, methylene chloride, dichloroethane, and the like. Can be used alone or in combination. I can do it. This step can also be carried out by converting the compound (12) into a sulfone form and then reacting the compound with an organolithium compound.
  • ethers such as getyl ether and t_butyl methyl ether, THF, dioxane, hexane, cyclohexane, benzene, toluene, xylene, methylene chloride, dichloroethane, and the like. Can be used alone or in combination. I can do it.
  • This step can also be carried out by converting the compound (12) into a sulfone form
  • the benzene ring partial force of the starting material in the steps (3), (5), (8) and (10) is pyridine, furan or thiophene Can be selected and produced in the same manner as described above.
  • the compound of the present invention can also be synthesized by the following method.
  • Step (15) is a step for producing a carboxylic acid heterocyclic-substituted ketone (14).
  • the reaction can be carried out by converting a carboxylic acid into an acid chloride with a salt of dithiothion or oxalyl chloride, and then treating the acid with a heterocyclic ring such as N-methylimidazole and a base such as triethylamine.
  • the reaction temperature is 0 ° C 100 ° C, preferably 0 ° C 30 ° C.
  • the reaction time is 1 hour to 48 hours, preferably 1 hour to 10 hours.
  • Step (16) is a step for producing a condensed pyridazinone (15).
  • the reaction can be carried out by reacting (14) with hydrazine or hydrazine hydrate. Melting If a medium is used, use water, methanol, ethanol, ethylene glycol, benzene, or toluene.
  • the reaction temperature is 20 ° C to 200 ° C, preferably 20 ° C to 100 ° C, and the reaction time is 5 minutes to 48 hours, preferably 1 hour to 10 hours.
  • Step (17) is a step of producing compound (16) by a chlorination reaction of compound (15).
  • the reaction is carried out in the absence of a solvent or in a solvent such as benzene, toluene, chloroform, or dichloroethane using a chlorinating agent such as thionyl chloride, phosphorus oxychloride, phosphorus trichloride, or phosphorus pentachloride.
  • Step (18) is a step of producing compound (13) of the present invention from compound (16).
  • B-M represents an organometallic compound such as an organoboron compound, an organozinc compound or an organotin conjugate, and the step (18) can be carried out by reacting these with the compound (16) under a catalyst.
  • the organic boron compound the organic zinc compound or the organic tin compound, a commercially available compound can be used, or the compound can be adjusted by itself.
  • the organo-suzuri conjugate can be prepared with an organolithium or organo-magnesium compound and a trialkyl suzuride, and can be used without isolation.
  • Organoboron compounds and organozinc compounds can be similarly prepared using borate esters and zinc halides, and can be used without isolation.
  • the organolithium compound can be prepared by a reaction with a base such as butyllithium or halogen-lithium exchange with a halogenated compound.
  • Examples of the catalyst include a zero-valent or divalent Pd catalyst (Pd (PPh), Pd (PPh) CI, etc.) and zero-valent or divalent Ni.
  • a catalyst or the like can be used.
  • the reaction temperature is -78 ° C-200 ° C, preferably 0 ° C-120 ° C.
  • Solvents used include ethers such as getyl ether and t-butyl methyl ether, THF, dioxane, hexane, cyclohexane, benzene, toluene, xylene, methylene chloride, dichloroethane, DMF, N-methinolepyrrolidone. And can be used alone or in combination.
  • This step can also be carried out by reacting compound (16) with BH.
  • BH and B ( —) represent nucleophiles (nucleophile Xamine, thiol, alkoxide, etc.)
  • the reaction temperature is -78 ° C to 200 ° C, preferably 0 ° C to 160 ° C.
  • ethers such as getyl ether or t-butyl methyl ether, THF, dioxane, methanol
  • examples thereof include ethanol, hexane, cyclohexane, benzene, toluene, xylene, methylene chloride, dichloroethane, DMF, and N-methylpyrrolidone, which can be used alone or in combination.
  • Step (19) is a reaction for converting a carboxylic acid to an amide (17), and a known method can be used.
  • Step (20) is a step of producing compound (18) by a chlorination reaction of compound (17).
  • chlorinating agent chloridation zionyl, phosphorus oxychloride, phosphorus trichloride, phosphorus pentachloride, or the like may be used alone or in a mixture, without solvent or in a solvent such as benzene, toluene, chloroform, or dichloroethane. To carry out the reaction.
  • Step (21) is a step of producing the compound of the present invention (13) from nitrile (19), and ring closure can be carried out using an existing method.
  • oxaziazole can be obtained by treating N-hydroxyamidine obtained by reacting hydroxyamine with nitrile with an acid chloride or an acid anhydride.
  • carboxylic acid and N-hydroxyamidine can be condensed using various condensing agents (CDI or DCC (Dicyclohexylcarbodiimide), etc., and further heat-closed.)
  • the N-hydroxyamidine can be combined with ethyl chloroformate.
  • thiocarbonyldiimidazole By reacting thiocarbonyldiimidazole, they can be converted into oxoxodiazole and thioxooxadiazole, respectively.
  • oxothiadiazole can be obtained by adding thiocarbonilimidazole to N-hydroxyamidine and further treating the resulting mixture with a boron trifluoridyl ether complex.
  • Another example is to react an azide compound such as sodium azide with nitrile to convert it to tetrazole.
  • dihydroimidazole can be obtained by reacting an ethylenediamine derivative with nitrile.
  • the compound of the present invention can also be produced by the following method.
  • Step (22) is a step of reacting the phthalazinone compound produced by the above method with a heterocyclic lithium compound to produce the compound of the present invention.
  • heterocyclic lithium compound examples include an N-substituted_2_lithium compound, which can be carried out by using 200 to 500 mol% based on phthalazinone.
  • the reaction temperature is _78 ° C 65 ° C, preferably _50 ° C 20 ° C.
  • Examples of the solvent to be used include ethers such as getyl ether or tertiary butyl methyl ether, THF, dioxane, methanol, ethanol, hexane, cyclohexane, benzene, toluene, xylene, methylene chloride, dichloroethane. These can be used alone or in combination.
  • ethers such as getyl ether or tertiary butyl methyl ether, THF, dioxane, methanol, ethanol, hexane, cyclohexane, benzene, toluene, xylene, methylene chloride, dichloroethane. These can be used alone or in combination.
  • the compound of the present invention can also be produced by the following method.
  • Step (23) can be carried out according to the method of step (21) in the case of conversion from a nitrile form (right compound of the starting material). Further, the carboxylic acid compound (starting material left compound) obtained by hydrolysis of nitrile or the like can be converted into various heterocycles according to a known method.
  • a tetrazole can be obtained by converting the left compound of the starting material into an amide with an amine and a condensing agent and then reacting the compound with phosphorus pentachloride and trimethylsilylazide.
  • 1,3,4-oxadiazole can be obtained by heating in amide compound polyphosphoric acid obtained by reaction with acetohydrazide. Further, when this compound is reacted with paramethoxybenzylamine, it is converted into a 1,3,4-triazole derivative. Further heating by heating trifluoroacetic acid gives a debenzinoleated triazole compound.
  • 1, 3, 4- The 1,3,4_thiadiazolidine conjugate is obtained by treating the sazizole compound with Lawesson's Reagent.
  • the left compound of the starting material was converted to 3-oxophthalazine-1-yl-propionate with carbodidiimidazole, potassium ethyl malonate, and magnesium chloride, and this ester was reacted with hydrazine to give pyrazolone. Can be converted to derivatives.
  • a substituent can also be introduced on the aromatic ring (including the 5-membered heterocyclic ring) of the obtained phthalazine-conjugated product.
  • halogenation can be performed using chlorine, bromine, iodine, NCS, NBS, MS or the like.
  • the introduced halogen atom can be led to another derivative by using various metal catalysts. For example, cyanation using CuCN is possible.
  • various organometallic compounds organotin compounds, organozinc compounds, organoboron compounds, etc.
  • Pd compound or the like as a catalyst.
  • the functional group of the obtained compound can be converted by a technique such as protection or deprotection, or a reaction such as alkylation or hydrolysis.
  • the compound of the present invention may be prepared in an appropriate administration form (powder, injection, tablet, capsule, topical preparation, etc.) together with an appropriate diluent or other additives usually used, and then prepared.
  • an appropriate administration method for example, intravenous administration, oral administration, transdermal administration, topical administration, or the like
  • administration method for example, intravenous administration, oral administration, transdermal administration, topical administration, or the like
  • an acid addition salt or a base addition salt can be used as the salt of the compound of the formula (I).
  • the kind of the salt is not particularly limited as long as it is physiologically acceptable. .
  • the salt of the condensed pyridazine derivative represented by the general formula (I), or a hydrate or solvate thereof, may be produced by a known method.
  • One or more of the compound of the formula (I) or a salt thereof of the present invention may be administered to a patient as it is, but preferably, it is pharmacologically and pharmaceutically acceptable with the active ingredient
  • Additives should be added and provided as a formulation in a form well known to those skilled in the art.
  • Pharmacologically and pharmaceutically acceptable additives include excipients, disintegrants, binders, lubricants, coating agents, pigments, diluents, bases, and isotonic agents. Can be used.
  • Examples of formulations suitable for oral administration include tablets, capsules, powders, fine granules, granules, solutions, and syrups.
  • Formulations suitable for parenteral administration include injections. Preparations, drops, suppositories and the like.
  • excipients in preparations suitable for oral administration, excipients, disintegrants, binders, lubricants, coating agents or bases can be used as additives.
  • the compound of the present invention When the compound of the present invention is administered to a patient to be treated, the compound of the present invention may be used in combination with another agent suitable for treating the target disease.
  • the administration route of the medicament of the present invention is not particularly limited, and it can be administered orally or parenterally.
  • the dose of the medicament of the present invention can be appropriately selected according to conditions such as the purpose of prevention and / or treatment of disease and the age and condition of a patient. It is preferable to administer about kg, preferably about 0.0001 mg / kg by injection or infusion, or to administer orally about 0.001 to 100 mg / kg, preferably about 0.001 to 30 mg / kg.
  • the number in the Katsuko following the ⁇ value is the number of hydrogen atoms, followed by s for a single line, d for a double line, t for a triple line, q for a quadruple line, and m for multiple lines.
  • Line, br means broad absorption peak.
  • MS means a mass spectrum.
  • the measurement method is shown in parentheses. That is, EI indicates electron ionization and FritFAB indicates frit fast atom bombardment. Numbers are observed Molecular ions (M +, M + H +) and fragment ions, and the unit is m / z.
  • Example 40 13 g (164 mmol) of the compound obtained in lb was dissolved in 160 ml of ethanol, and 11.5 ml (237 mmol) of hydrazine monohydrate was heated under reflux for 6 hours. After cooling to room temperature, 100 ml of getyl ether was added and stirred at 0 ° C for 30 minutes. The precipitated solid was collected by filtration and washed with getyl ether to give 35.47 g (yield 95%) of the title compound.
  • Example 201 mg (0.662 mmol) of the compound obtained in Example le was dissolved in 30 ml of acetone. , 4 mol hydrochloric acid-ethyl acetate solution (0.57 ml) was stirred at room temperature. After adding ether, the precipitate was collected by filtration to obtain 252 mg of the title compound.
  • Example 6 1-methoxy-4- (l-methyl-1H-imidazole-2-yl) phthalazine hydrochloride 342 mg (1.415 mmol) of the compound obtained in Example Id was suspended in methanol. At _70 ° C, 65 mg (1.63 mmol) of sodium hydride (60%) was added. After further stirring at room temperature, the mixture was stirred at 50 ° C. for 3 hours. After adding water to the reaction solution and stirring at room temperature, the precipitated solid was collected by filtration, and the obtained crude product was washed with hexane-ethanol to obtain 180 mg of a free form (yield 53%).
  • the aqueous layer was washed with ethyl acetate-THF and made basic by adding potassium carbonate. This was extracted with ethyl acetate, washed with saturated saline, and dried over anhydrous sodium sulfate. After filtration and concentration on a silica gel, 5 ml of acetone and 15 ml of getyl ether were added, and the mixture was washed at 0 ° C to obtain 771 mg (yield 60%) of the title compound as a pale yellow solid.
  • Example 8b The same operation as in Example 8b was performed for 16.04 g (47.77 mmol) of the compound obtained in Example 9a, and 4.77 g (yield 39%) of the title compound was obtained.
  • Example 8c The same operation as in Example 8c was performed for 536 mg (2.088 mmol) of the compound obtained in Example 9b to obtain 210 mg (yield 31%) of the title compound.
  • Example 11a To 2.55 g (7.99 mmol) of the compound obtained in Example 11a was added a 50% aqueous sulfuric acid solution (concentrated sulfuric acid 4 ml, water 4 m beam adjustment), and the mixture was heated under reflux for 2 hours. The reaction solution was cooled, 40 ml of water was added, and the mixture was collected by filtration to obtain 1.40 g (yield 72%) of 2-benzoyl-4-fluorobenzoic acid.
  • Example 8c 6-Fluoro-1- (1-methyl-1H-imidazole-2-yl) -4-phenylphthalazine Using the compound 139 mg (0.579 mmol) obtained in Example lib, Example 8c By performing the same operation, 71.0 mg (yield 40%) of the title compound was obtained.
  • the extract was washed with hydrochloric acid / saline solution, dried over anhydrous sodium sulfate, filtered on silica gel and concentrated under reduced pressure to obtain 13.95 g of an oily substance.
  • 40 ml of 1,4-dioxane, 50 ml of concentrated hydrochloric acid and 30 ml of water were added, and the mixture was stirred at 100 ° C. for 6 hours.
  • With ethyl acetate Water was added to the reaction solution, separated and concentrated. Further, 100 ml of a 6 molar hydrochloric acid aqueous solution was prepared, heated at 100 ° C.
  • Example 12b 365 mg (1.704 mmol) of the compound obtained in Example 12b was suspended in 6 ml of THF and cooled to -70 ° C.
  • the mixture was stirred at C for 3 hours.
  • the temperature was further raised to -50 ° C, and the mixture was stirred for 1 hour.
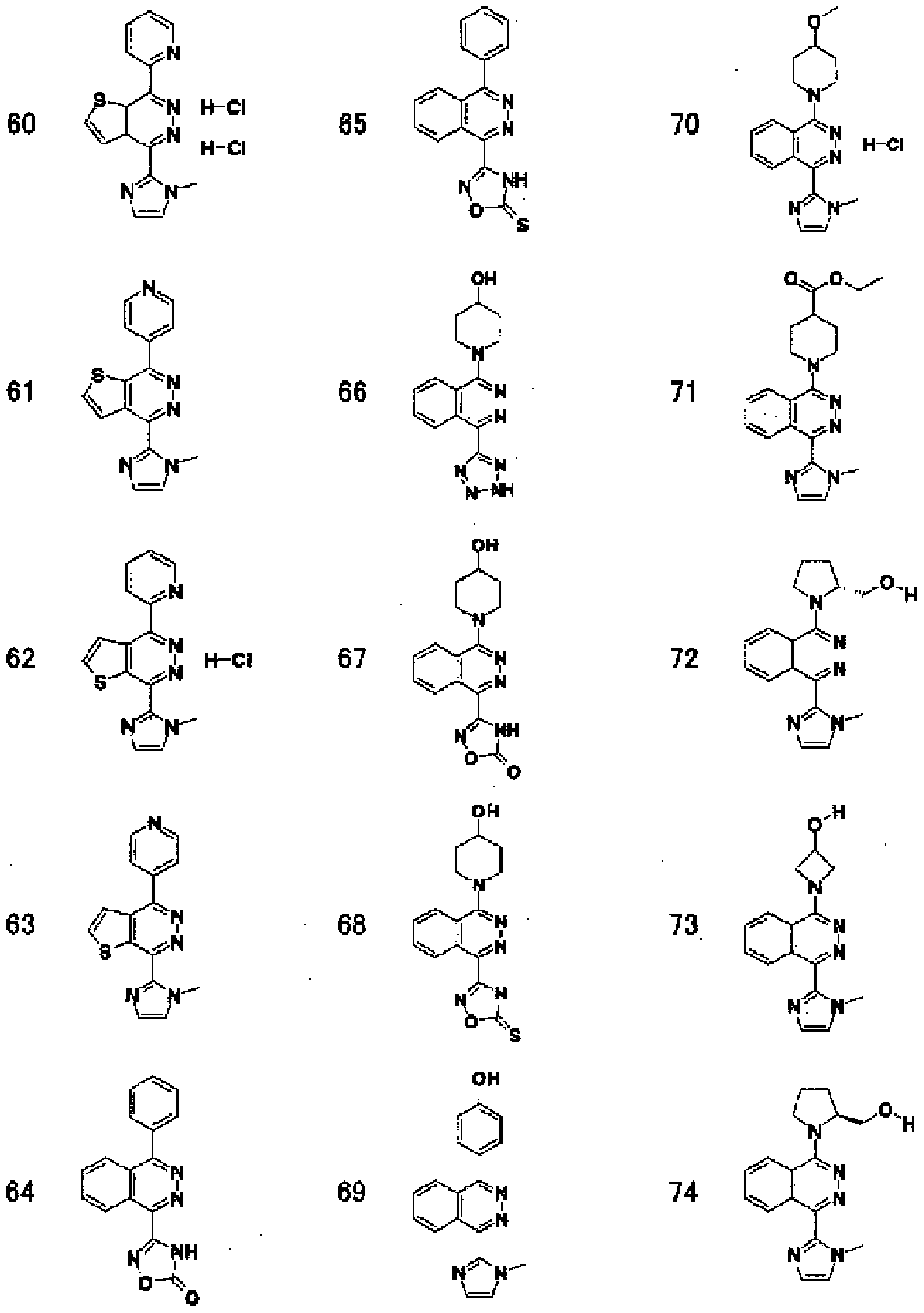
  • Example 1 The compounds described in Example 1 to Example 15 are shown below.
  • N-methylimidazole 126 mg (1.53 mmol) of N-methylimidazole was dissolved in THF (10 ml) and cooled to -78 ° C. Under a nitrogen atmosphere, 1.0 ml of an n_butyllithium-hexane solution (1.56M) was added dropwise, and the mixture was stirred at ⁇ 78 ° C. for 1 hour.
  • Example 27 The same operation as in Example 27 was performed using 1.0 g (2.67 mmol) of the compound obtained in Example 28c to obtain 404 mg (yield 50%) of the title compound.
  • Example 28a The same operation as in Example 28a was performed using 3.81 g (14.9 mmol) of the compound obtained in Example 29a to give 3.87 g (yield 100%) of the title compound.
  • Example 28b The same operation as in Example 28b was performed using 3.87 g (15.3 mmol) of the compound obtained in Example 29b to obtain 4.08 g (yield 98%) of the title compound.
  • Example 31c The same operation as in Example 31c was performed using 1.0 g (3.69 mmol) of the compound obtained in Example 29c to obtain 1.05 g (yield 79%) of the title compound.
  • Example 27 using 1.05 g (2.69 mmol) of the compound obtained in Example 29d. By performing the same operation, 352 mg (yield 41%) of the title compound was obtained.
  • Example 29a The same procedure as in Example 29a was carried out using 3.0 g (20.3 mmol) of succinic anhydride and 22.3 ml (22.3 mmol) of a THF solution of 3-methoxyphenylmagnesium bromide (1.0 M) to give 4.95 g of the title compound. (96% yield).
  • Example 28a The same operation as in Example 28a was performed using 4.95 g (19.3 mmol) of the compound obtained in Example 30a to give 4.64 g (yield 95%) of the title compound.
  • Example 31b The same operation as in Example 31b was performed using 4.64 g (18.4 mmol) of the compound obtained in Example 30b to obtain 4.71 g (yield 95%) of the title compound.
  • Example 28c The same operation as in Example 28c was performed using 1.0 g (3.69 mmol) of the compound obtained in Example 30c to obtain 725 mg (yield 54%) of the title compound.
  • Example 27 Same as Example 27 using 725 mg (1.86 mmol) of the compound obtained in Example 30d. By performing the above operation, 382 mg (yield: 65%) of the title compound was obtained.
  • Example 29f using 382 mg (1.21 mmol) of the compound obtained in Example 30e. By performing the same operation as described above, 417 mg (yield 64%) of the title compound was obtained.
  • Example 29a The same operation as in Example 29a was carried out using 3.0 g (20.3 mmol) of succinic anhydride and 22.3 ml (22.3 mmol) of phenylmagnesium bromide dimethyl ether solution (1.0 M) in 4-chloro mouth. Thus, 4-chloro phenyl-o-benzoic acid was obtained. The same operation as in Example 102a was carried out using 4-chlorophenyl-0-benzoic acid to obtain 3.28 g (yield 63%) of the title compound.
  • Example 28b The same operation as in Example 28b was performed using 3.28 g (12.8 mmol) of the compound obtained in Example 31a to give 3.30 g (yield 94%) of the title compound.
  • Example 28c The same operation as in Example 28c was performed using 1.0 g (3.64 mmol) of the compound obtained in Example 31b to obtain 928 mg (yield 65%) of the title compound.
  • Example 29a The same operation as in Example 29a was performed using 3.0 g (20.3 mmol) of succinic anhydride and 22.3 ml (22.3 mmol) of a THF solution of 4-fluorophenylmagnesium bromide (1.0 M) to obtain 4-fluorophenyl -0. -Obtained benzoic acid.
  • the same operation as in Example 28a was carried out using 4_fluorophenyl_o_benzoic acid to give the title compound (3.37 g, yield 69%).
  • Example 28b The same operation as in Example 28b was performed using 3.37 g (14.0 mmol) of the compound obtained in Example 32a. As a result, 2.78 g (yield 77%) of the title compound was obtained.
  • lH-NMR (DMSO-d6) 7.42 (2H, t), 7.78-7.83 (2H, m), 803 (1 ⁇ , d), 8.14-8.22 (2 ⁇ , m), 8.41 (1H, d ).
  • Example 28c The same operation as in Example 28c was performed using 1.0 g (3.87 mmol) of the compound obtained in Example 32b to obtain 909 mg (yield 62%) of the title compound.
  • Example 27 The same operation as in Example 27 is performed using 900 mg (2.38 mmol) of the compound obtained in Example 32c.
  • Example 27 The same operation as in Example 27 was performed using 1.06 g (3.03 mmol) of the compound obtained in Example 34a to give 420 mg (yield 50%) of the title compound.
  • Example 28b The same operation as in Example 28b was performed using 4.91 g (21.3 mmol) of the compound obtained in Example 35a to give the title compound (5.17 g, yield 97%).
  • the solution was added to a dichloromethane solution (20 ml) of Dess-Martinperiodinane 3.0 g (7.15 mmol), and the mixture was stirred at room temperature for 1 hour.
  • the reaction solution was poured into an aqueous solution of sodium thiosulfate, extracted with dichloromethane, and the organic layer was washed with saturated aqueous sodium hydrogen carbonate and saturated saline, dried over anhydrous sodium sulfate, filtered, and concentrated under reduced pressure.
  • the residue was purified by silica gel column chromatography (hexane-ethyl acetate) to obtain 2-benzoyl-3-furancarboxylic acid methyl ester.
  • Example 28a The same operation as in Example 28a was performed using 1.08 g (4.69 mmol) of 2-benzoyl-3-furancarboxylic acid methyl ester to obtain 787 mg (yield 57%) of the title compound.
  • Example 28b The same operation as in Example 28b was performed using 787 mg (3.71 mmol) of the compound obtained in Example 36b to obtain 704 mg (yield 82%) of the title compound.
  • Example 28a The same operation as in Example 28a was carried out using 2_ (1_methyl-1H-imidazole-2-carbonyl) -3-thiophenecarboxylic acid to obtain 3.50 g (yield 64%) of the title compound.
  • Example 37b By performing the same operation as in Example le using 275 mg (1.10 mmol) of the compound obtained in Example 37b and 4_methoxyphenylboronic acid, 4- (4_methoxyphenyl) -7- (1 _Methyl-1H-imidazole-2-yl) thieno [2,3-d] pyridazine was obtained. 4- (4-methoxyphenyl) -7- (1-methyl-1H-imidazole-2-yl) thieno The title compound was obtained by the same operation as in Example 30f using [2,3-d] pyridazine. 348 mg (88% yield) were obtained.
  • Example 38a By performing the same operation as in Example 37b using 125 mg (0.54 mmol) of the compound obtained in Example 38a, 75 mg (yield 56%) of the title compound was obtained.
  • Example 37c The same operation as in Example 37c was performed using 74 mg (0.30 mmol) of the compound obtained in Example 38b to obtain 58 mg (yield 54%) of the title compound.
  • Example 1e The same operation as in Example 1e was performed using 540 mg (2.21 mmol) of the compound obtained in Example Id and 566 mg (4.42 mmol) of 2_thiophenboronic acid to obtain 390 mg of the title compound (yield 60%).
  • Example 41 The same operation as in Example 41 was carried out using 155 mg (1.53 mmol) and 155 mg (1.53 mmol) of N_methylmorpholine to obtain 279 mg (yield 88%) of the title compound.
  • Example 41 The same operation as in Example 41 was performed using 250 mg (1.02 mmol) of the compound obtained in Example Id and 307 mg (3.06 mmol) of N_methylbiperazine to obtain 330 mg (yield 94%) of the title compound.
  • lH-NMR (DMSO-d6) 2.89 (3H, s), 3.34-3.56 (6H, m), 3.90 (3 ⁇ , s), 3.97-4.12 (2H, m), 7.26 (1H, s), 7.52 (1H, s), 7.98- 8.5 (2 ⁇ , m), 8.20- 8.22 (1H, m), 8.74-8.77 (lH, m) 0
  • Example 38d The same operation as in Example 38d was performed using 300 mg (1.24 mmol) of the compound obtained in Example 44a to give 169 mg (yield 47%) of the title compound.
  • Example 44a To a solution of the compound obtained in Example 44a (600 mg, 2.48 mmol) in DMF (8 ml) was added 221 mg (1.24 mmol) of sodium p -toluenesulfinate and 243 mg (3.73 mmol) of potassium cyanide, and the mixture was heated at 90 degrees for 5.5 hours. . After cooling to room temperature, water was added to the reaction solution, and the precipitated solid was collected by filtration and washed with water. The obtained solid was purified by silica gel column chromatography (dichloromethane-ethyl acetate) to obtain 306 mg (yield 54%) of the title compound.
  • Example 22 The compounds described in Example 31 to Example 45 are shown below. [0214] [Example 22]
  • Example 37b The same operation as in Example 37b using 2.33 g (10.4 mmol) of 4_ (3_pyridyl) -2H-phthalazin-1-one synthesized according to a known method (Synth. Commun. 1999, 29 (3), 457) To do As a result, 2.30 g (yield 91%) of 1-chloro-4--4-pyridine-3-yl-phthalazine was obtained.
  • Example 45c The same operation as in Example 45c was performed using 164 mg (0.59 mmol) of the compound obtained in Example 46b to give 175 mg (yield 99%) of the title compound.
  • Example 45a The same operation as in Example 45a was performed using 1.2 g (4.97 mmol) of the compound obtained in Example 47a to obtain 987 mg (yield 86%) of the title compound.
  • Example 45c The same operation as in Example 45c was performed using 487 mg (1.77 mmol) of the compound obtained in Example 47c to obtain 489 mg (yield 93%) of the title compound.
  • Example 49 1_ (4-pyridyl) -4- (2,5-dihydro-5_oxo_4H_1,2,4-thiadiazol-3-yl) phthalazine sodium salt To a solution of 255 mg (0.96 mmol) of the compound obtained in Example 48a in THF (10 ml) was added 286 mg (1.44 mmol) of thiocarbonyldiimidazole, and the mixture was stirred at room temperature for 4 hours.
  • Example 48a The same operation as in Example 48a was performed using 500 mg (2.15 mmol) of the compound obtained in Example 47a to obtain 417 mg (yield 73%) of the title compound.
  • 1_ (2_pyridyl) 4_ (2,5-dihydro-5_oxo-4H-1, 2,4_oxaziazono-3-yl) phthalazine was obtained.
  • To a solution of the obtained 1_ (2-pyridyl) 4- (2,5-dihydro-5-oxo-4H-1,2,4-oxaziazol-3-yl) phthalazine in methanol (3 ml) was added sodium methoxide methanol solution ( (0.5M) 1.2 ml was stirred and stirred at room temperature overnight.
  • Example 49 The same operation as in Example 49 was performed using 500 mg (2.15 mmol) of the compound obtained in Example 50a to give 98 mg (yield 34%) of the title compound.
  • Example 37b The same operation as in Example 37b was performed using 3.84 g (17.2 mmol) of the compound obtained in Example 52a to give 2.49 g (yield 60%) of the title compound.
  • Example 45b The same procedure as in Example 45b was carried out using 400 mg (1.73 mmol) of 4-phenylphthalazine-1-carbonitrile obtained by a known method (Heterocycles 1994, 39 (1), 345). This gave 225 mg (48% yield) of the title compound.
  • Example 53 280 mg (1.02 mmol) of the compound obtained in Example 53 was dissolved in DMF (3.5 ml) and cooled to 0 ° C. Under a nitrogen atmosphere, 65 mg (1.63 mmol) of sodium hydride (60%) was added, and the mixture was stirred at 0 ° C for 30 minutes. 274 mg (1.63 mmol) of methyl iodide was added to the reaction solution, and the mixture was stirred at room temperature. Water was added to the reaction solution, and the precipitated solid was collected by filtration and purified by silica gel column chromatography (dichloromethane-ethyl acetate) to obtain the title compound.
  • the obtained residue was purified by silica gel column chromatography (hexane-ethyl acetate), and 3-oxo-3- (4-phenylphthalazine-1-yl) propionic acid methyl ester 571 mg (yield 46 %).
  • 3-oxo-3- (4-phenylphthalazin-1-yl) propionic acid methyl ester (236 mg, 0.74 mmol) in ethanol (3 ml) was added 0.7 ml of hydrazine monohydrate, and the mixture was heated for 6 hours. Refluxed.
  • Example 55a To a solution of the compound obtained in Example 55a (600 mg, 2.40 mmol) in THF (12 ml) was added 505 mg (3.12. Mmol) of carbonyldiimidazole, and the mixture was stirred at 50 ° C. for 2 hours. After cooling the reaction solution to 0 ° C., 195 mg (2.64 mmol) of acetylhydrazine was added and stirred at room temperature for 3 hours. Water was added to the reaction solution, extracted with dichloromethane, dried over anhydrous sodium sulfate, filtered, and concentrated under reduced pressure. The obtained solid was washed with hexane-ethyl acetate to obtain 597 mg (yield 70%) of the title compound.
  • Example 57 1_ (5-methyl- [1,3,4] thiadiazol-2-yl) -4-phenylphthalazine
  • the compound obtained in Example 56a 336 mg (1.10 mmol) of toluene
  • To the solution (11 ml) was added 577 mg (1.43 mmol) of Lawesson's reagent, and the mixture was heated under reflux for 1 hour.
  • a saturated aqueous sodium hydrogen carbonate solution was added thereto, extracted with ethyl acetate, dried over anhydrous sodium sulfate, filtered, and concentrated under reduced pressure.
  • Example 58 (Example 58) l- (5-Methyl-4H- [1,2,4] triazole_3_yl) _4_phenylphthalazine 95 mg (0.33 mmol) of the compound obtained in Example 56b and The mixture of 0.7 ml of benzylamine was stirred at 150 ° C. for 2 days. After cooling the reaction solution to room temperature, water was added, extracted with ethyl acetate, dried over anhydrous sodium sulfate, filtered and concentrated under reduced pressure. Trifluoroacetic acid (1.3 ml) was added to the obtained residue, and the mixture was heated under reflux for 10 hours.
  • Example 37b The same operation as in Example 37b was performed using 6.13 g (27.5 mmol) of the compound obtained in Example 59a to give 3.28 g (yield 49%) of the title compound.
  • Example 15 was prepared using 300 mg (1.24 mmol) of the compound obtained in Example 59b. By performing the same operation, 291 mg (yield: 82%) of methyl-1H-imidazole-2-yl) -4-phenylpyrido [3,4-d] pyridazine was obtained.
  • Example 30f The same operation as in Example 30f was carried out using methyl-1H-imidazole-2-yl) -4-phenylpyrido [3,4-d] pyridazine to obtain 351 mg (yield: 96%) of the title compound. . lH-NMR (DMSO_d6): 4 ⁇ 04 (3 ⁇ , s), 7.71–7.73 (3H, m), 7.78 (1H, m), 7 ⁇ 94–7 ⁇ 96 (3 ⁇ , m), 8.47 (1H, m ), 9.20 (1H, d), 9.55 (1H, s).
  • Example 46 The compounds of Example 46 to Example 59 are shown below.
  • Example 37b The same operation as in Example 37b was performed using 7.62 g (33.2 mmol) of the compound obtained in Example 60a to give 7.92 g (yield 97%) of the title compound.
  • Example 15 The same operation as in Example 15 was performed using 300 mg (1.21 mmol) of the compound obtained in Example 60b to give 4- (1-methyl-1H-imidazole-2-yl) -7- (2 -Pyridyl) thieno [2,3d] pyridazine was obtained.
  • Example 29f The same procedure as in Example 29f was carried out using 4- (1-methyl-1H-imidazole-2-yl) _7_ (2-pyridyl) thieno [2,3d] pyridazine to give the title compound (166 mg, yield 37%).
  • Example 37b The same operation as in Example 37b was performed using 5.90 g (25.7 mmol) of the compound obtained in Example 61a to give 1.98 g (yield 31%) of the title compound.
  • Example 61 Example using compound 300111.2 (1.21 mmol) obtained in Example 1 Perform the same operation as 15 Thus, 43 mg (yield 12%) of the title compound was obtained.
  • Example 15 By performing the same operation as in Example 15 using 300 mg (1.20 mmol) of the compound obtained in Example 37b and 529 mg (1.44 mmol) of tri-n_butyl (2-pyridyl) tin, 7_ (1_methyl -1H-Imidazole-2-yl) _4_ (2-pyridyl) thieno [2,3d] pyridazine was obtained. 7- (1_methylen-1H-imidazole-2-yl) -4- (2-pyridyl) thieno [2, 3d] pyridazine was used to give the title compound 103 mg by performing the same operation as in Example 29f. (26% yield).
  • Example 15 The same operation as in Example 15 was performed using 300 mg (1.20 mmol) of the compound obtained in Example 37b and 556 mg (1.44 mmol) of tri-n_butyl (4-pyridyl) tin to obtain 121 mg of the title compound (yield Rate 34%).
  • the title compound was synthesized with reference to the method of Stone J11 et al. (Document Chem. Pharm. Bull. 28 (9) 2770-2778 (1980)). 8.85 g (134.1 mmol) of potassium hydroxide (85% grade) was dissolved in water (250 ml), and 8.28 g (50.44 mmol) of 2-acetylbenzoic acid was added thereto, followed by stirring at room temperature. To this, 15.94 g (100.9 mmol) of potassium permanganate dissolved in water (350 ml) was added dropwise over 20 minutes, and the mixture was further stirred at the same temperature for 90 minutes. The insoluble material was filtered through celite and washed with water (500 ml).
  • Example 67b By using the compound obtained in Example 67b and performing the same operation as in Example 64b, 246 mg of a pale yellow amorphous solid were obtained. This was dissolved in THF, 1 mol of tetrabutylammonium fluoride (2.7 ml) was added, and the mixture was left overnight. After the reaction solution was concentrated under reduced pressure, the residue was purified by silica gel column chromatography (methanol-dichloromethane), and washed with a mixed solvent of ethyl ether-hexane to obtain 146 mg (yield 53%) of the title compound as a pale yellow solid.
  • Yield 53%) of the title compound was obtained in Example 67b and performing the same operation as in Example 64b.
  • Example 67a By performing the same operation as in Example 65 using the compound obtained in Example 67a, 269 mg of a pale yellow solid was obtained. This compound was deprotected by the same operation as in Example 67c to give the title compound (142 mg, yield 67%) as a pale-yellow solid.
  • Example Id Using 411 mg of the compound obtained in Example Id and 0.66 g of 4-4-t-butyldimethylsilyloxyphenylboronic acid, the same operation as in Example le was performed to give 478 mg of the title compound (68% yield). ) Was obtained as a solid.
  • Example 70 1_ (4_methoxy-piperidine- 1_yl) -4- (1-methyl-1H-imidazole-2-yl) phthalazine hydrochloride 200 mg (0.65 mmol) of the compound obtained in Example 42 and sodium hydride
  • Example 71 The same operation as in Example 71 is performed using 300 mg (1.23 mmol) of the compound obtained in Example Id, 0.15 ml (1.47 mmol) of D-prolinol, and 0.16 ml (1.47 mmol) of N-methylmorpholine. Thereby, 102 mg (yield 27%) of the title compound was obtained.
  • Example 71 The title compound was obtained by performing the same operation as in Example 71 using 200 mg (0.82 mmol) of the compound obtained in Example Id, 171 mg (0.98 mmol) of 3_azetidinol, and 0.22 ml (0.98 mmol) of N-methylmorpholine. 167 mg (73% yield) were obtained.
  • Example 71 By performing the same operation as in Example 71 using 300 mg (1.23 mmol) of the compound obtained in Example Id, 0.15 ml (1.47 mmol) of L_prolinol, and 0.16 ml (1.47 mmol) of N-methylmorpholine, 186 mg (49% yield) of the title compound were obtained.
  • Example 60 The compounds described in Example 60 to Example 74 are shown below.
  • reaction solution was cooled to -45 ° C, saturated saline was added, and the mixture was extracted with THF.
  • the extract was washed with saturated saline, dried over anhydrous sodium sulfate, filtered, and concentrated under reduced pressure. 10 ml of water and 3 ml of concentrated hydrochloric acid were added thereto, followed by stirring at 50 ° C for 3 hours. After washing with ethyl acetate, the mixture was made alkaline with potassium carbonate at 0 ° C., and extracted with ethyl acetate.
  • Example 71 The same operation as in Example 71 was performed using 200 mg (0.82 mmol) of the compound obtained in Example Id, 0.08 ml (0.98 mmol) of thiazolidine, and 0.11 ml (0.98 mmol) of N_methylmorpholine.
  • 1- (1-methyl-1H-imidazole-2-yl) -4- (l, 3-thiazolidine-3-yl) phthalazine was obtained.
  • To a solution of 1- (1-methyl-1H-imidazole-2-yl) -4- (1,3-thiazolidine-3-yl) phthalazine in ethyl acetate add 0.1 lml of 4M hydrochloric acid-ethyl acetate solution. The mixture was stirred at room temperature. The precipitated solid was collected by filtration to obtain the title compound (112 mg, yield 81%).
  • Example 71 The same operation as in Example 71 is performed using 200 mg (0.82 mmol) of the compound obtained in Example Id, 144 mg (0.98 mmol) of the compound obtained in Example 78a, and 0.22 ml (0.98 mmol) of N_methylmorpholine. Thereby, 192 mg (yield 74%) of the title compound was obtained.
  • Example 80 4- [4- (l-Methyl-1H-imidazole-2-yl) phthalazin-1-yl] benzoyl acid
  • Example le The same operation as in Example le was carried out using 200 mg (0.82 mmol) of the compound obtained in Example Id and 136 mg (0.82 mmol) of 4-carboxyphenylboronic acid to obtain 137 mg of the title compound (yield 76%). %).
  • Example 8 Example using 1.56 g of the compound obtained in la and about 5 ml of phosphorus oxychloride By performing the same operation as in 26b, 607 mg (yield 36%) of the title compound was obtained.
  • Example 28b The same operation as in Example 28b was performed using 343 mg (1.52 mmol) of the compound obtained in Example 82a and 0.17 ml of phosphorus oxychloride to obtain 266 mg (yield 72%) of the title compound.
  • Example 26c The same operation as in Example 26c was performed using 0.13 ml (1.61 mmol) to obtain 1_ (5_methyl_2_furyl) -4_ (1-methyl-1H-imidazole-2-yl) phthalazine.
  • 1_ (5-methyl_2-furyl) -4- (1_methyl-1H-imidazole-2-yl) phthalazine in ethyl acetate add 0.18 ml of a 4 molar hydrochloric acid-ethyl acetate solution, and add room temperature. And stirred overnight. The precipitated solid was collected by filtration to give the title compound (189 mg, yield 54%).
  • Example Id Using 0.63 g of the compound obtained in Example Id and 0.53 g of 4-trifluoromethylphenylboronic acid, the same operation as in Example le was performed to obtain 518 mg (yield 57%) of the title compound. Obtained as a solid.
  • Example le The same operation as in Example le was performed using 0.58 g of the compound obtained in Example Id and 0.47 g of 4-dimethylaminophenylboronic acid to give 161 mg (yield 21%) of the title compound as a solid. Obtained. 1H-NMR (CDC13): 3.09 (6H, s), 4.12 (3H, s), 6.90 (2H, d), 7.15 (1H, d),
  • Example Id Using 0.50 g of the compound obtained in Example Id and 0.35 g of 2-methoxyphenylboronic acid, the same operation as in Example le was performed to obtain tri (2-methoxyphenyl) -4- (tomethyl -1H-Imidazole-2-yl) phthalazine was obtained as an oil. This was dissolved in a mixed solvent of ethyl acetate and heptane, and a 4 molar hydrochloric acid-ethyl acetate solution was collected. The precipitated solid was collected by filtration to obtain 277 mg (yield: 39%) of the title compound.
  • Example Id Using 1.45 g of the compound obtained in Example Id and 1.02 g of 4-methylthiophenenylboronic acid, the same operation as in Example le was performed to obtain 886 mg (yield 45%) of the title compound as a solid.
  • Example 89 l- ⁇ 4- (Pyridin-2-yl) -3-methyl-1H-imidazole-2-yl ⁇ phthalazine
  • Example 89 tri (1-methyl-1H- 1- ⁇ 4-Bromo-3-methyl-1H-imidazole-2-yl ⁇ phthalazine synthesized from (imidazole-2-yl) phthalazine
  • Example 87 618 mg (1.859 mmol) of the compound obtained in Example 87 was dissolved in 16 ml of methylene chloride, and 0.74 g of mCPBA (m-chloroperbenzoic acid, purity> 65%) was added under ice cooling and stirred for about 1 hour. did. An aqueous solution of sodium sulfite and an aqueous solution of sodium hydroxide were added to the reaction solution, followed by separation. The organic layer was washed with an aqueous sodium hydroxide solution and a saturated saline solution, dried over anhydrous sodium sulfate, filtered, and concentrated under reduced pressure.
  • mCPBA m-chloroperbenzoic acid, purity> 65%
  • Example lb Using 5.05 g (22.32 mmol) of the compound obtained in Example lb and 5.2 ml of phosphorus oxychloride in the same manner as in Example Id, 4.95 g (yield 91%) of the title compound was obtained as a solid.
  • Example 96 1_hydrazino_4_ (1-methyl-1H-imidazole-2-yl) phthalazine
  • isopropyl alcohol 8 ml isopropyl alcohol 8 ml
  • hydrazine monohydrate 1 ml was stirred at room temperature for about 4 hours.
  • 4 ml of isopropyl alcohol was added and stirred at 0 ° C for 1 hour.
  • the solid was collected by filtration to give 297.3 mg (yield 72%) of the title compound.
  • Example Example Example Example Example 1 The compounds described in Example 90 to Example 97 are shown below. [Example 26] Example Example Example Example Example 1
  • NAD (P) H oxidase inhibitory action (vitro) (Method) Human umbilical vein endothelial cells (hereinafter, referred to as HUVEC; purchased from BioWhittaker) were added with 44 mM Glucose, and the amount of high glucose was reduced. After culturing for one week, the cells were dissolved in a lysis buffer containing a surfactant. Interleukin-8 (hereinafter referred to as IL-8), which was overexpressed under high sugar or increased in production by activated NAD (P) H oxidase, was assayed by enzyme-linked immunosorbent assay (ELISA). Measured at Compounds were evaluated using the amount of IL-8 that had increased production as an index.
  • IL-8 Interleukin-8
  • A indicates IL-8 production of cells cultured in a high-sugar culture with a test compound added
  • B indicates IL-8 production of cells cultured in a high-sugar culture with a solvent
  • IL-8 production of cells cultured at a normal sugar concentration was calculated as follows.
  • NAD (P) H oxidase activity was measured using aortic ⁇ 0-production as an index.
  • the inhibition rate (./.) was calculated by the following equation.
  • the condensed pyridazine derivative of the present invention has a NAD (P) H oxidase inhibitory action and can be a medicament effective for the prevention or treatment of diseases associated with the enzyme.

Landscapes

  • Chemical & Material Sciences (AREA)
  • Organic Chemistry (AREA)
  • Health & Medical Sciences (AREA)
  • Engineering & Computer Science (AREA)
  • Bioinformatics & Cheminformatics (AREA)
  • Animal Behavior & Ethology (AREA)
  • General Health & Medical Sciences (AREA)
  • Veterinary Medicine (AREA)
  • Chemical Kinetics & Catalysis (AREA)
  • General Chemical & Material Sciences (AREA)
  • Medicinal Chemistry (AREA)
  • Nuclear Medicine, Radiotherapy & Molecular Imaging (AREA)
  • Public Health (AREA)
  • Pharmacology & Pharmacy (AREA)
  • Life Sciences & Earth Sciences (AREA)
  • Vascular Medicine (AREA)
  • Urology & Nephrology (AREA)
  • Heart & Thoracic Surgery (AREA)
  • Cardiology (AREA)
  • Pharmaceuticals Containing Other Organic And Inorganic Compounds (AREA)

Description

明 細 書
縮合ピリダジン誘導体
技術分野
[0001] 本発明は新規な縮合ピリダジン誘導体に関する。より詳しくは、縮合ピリダジン誘導 体及びその塩、並びにそれらを有効成分とする NAD(P)H oxidase抑制薬に関する。 背景技術
[0002] 活性酸素種は生体内に存在するが、過剰産生により様々な血管障害を起こすこと が知られている。この中でもスーパーォキシドア二オン (以下、 .0—と記すことも有る。 )
2
は、 NAD(P)H oxidaseにより NAD(P)Hと酸素から生成され、全ての活性酸素種 (以下 、 ROSと記すことも有る。)の生成源として知られている。病態との関連では、糖尿病、 高脂血症、高血圧、心筋梗塞、狭心症、動脈硬化症等の病態により NAD(P)H oxidaseが 進することが失ロられてレヽる。
心筋梗塞との関係では、心筋梗塞発症後、特異的に梗塞部分において NAD(P)H oxidaseが亢進することが報告されている。 (非特許文献 1、 2)。狭心症との関係では、 狭心症患者の病変において ROSの過剰産生されることが報告されており、 NAD(P)H oxidaseの亢進と狭心症の病態の関連性が示唆される。 (非特許文献 3)、動脈硬化症 との関係では、ヒトのァテローム性動脈硬化症において、スーパーォキシドア二オン の生成と NAD(P)H oxidaseの亢進が報告されている。 (非特許文献 4、 5)。また、狭心 症や心筋梗塞に代表されるように、何らかの原因で心臓の血管内腔が狭窄または閉 塞し、心臓に必要な酸素や栄養が十分に供給されなくなった状態の疾患は、虚血性 心疾患、又は急性冠症候群と称されるが、これらの疾患と NAD(P)H oxidaseの亢進と の関係が明らかとなっている(非特許文献 6、 7)。従って、亢進した NAD(P)H oxidase を抑制することで上記のような障害を予防、治療することが出来ると考えられる。
[0003] NAD(P)H oxidase inhibitorとしては、 DPI(Diphenylene iodonium)やアポシニン( Apocynin)の例が知られている。これらの化合物は正常状態、又は病態に関わらず 非選択的に NAD(P)H oxidaseを阻害する。更に、これらはその薬効用量も高い。従つ て、これらの化合物は薬剤として十分ではないと考えられる。 [0004] 一方で、ピリダジン誘導体としてはいくつかの薬理作用例が報告されている。
[0005] アルコキシ置換フタラジンが PDE4阻害作用を有すること (特許文献 1、 2参照)、イミ タゾーピリグシンィ匕合物が Corticotropin releasing factor antagonistであること (特許 文献 3参照)、ピリダジン化合物力 SAngiogenesis inhibitorであること (特許文献 4参照)、 さらにピリダジンィ匕合物が銅の錯体へ配位する配位子であること(非特許文献 8参照) 等が報告されている。
[0006] しかしながら、これらの報告中に、 NAD(P)H oxidase抑制の作用は見られていない。
その他に、降圧作用を有するヒドララジンは、薬効量以上の用量で NAD(P)H oxidase の抑制作用を示すことが知られているが、その作用は弱い (非特許文献 9参照)。また 、 S_17834 (非特許文献 10参照)という化合物が NAD(P)H oxidase inhibitorとして報 告されている。しかし in vivoの実験における薬効用量は、 130mg/kgと高レ、。従って 、 in vivoにおいても強力な NAD(P)H oxidase抑制能を有する化合物は未だ報告例は ない。
特許文献 1: PCT国際公開 WO00/05219号公報
特許文献 2: PCT国際公開 W099/324565号公報
特許文献 3: PCT国際公開 WO00/01697号公報
特許文献 4: PCT国際公開 W098/58929号公報
^^特 3午文献 1: Biocnemical and Biophysical Research
Communicatons,2001,vol.281, 1200-1206
非特許文献 2 : Journal of Clinical Pathology,2003, 56, 194-199
非特許文献 3 Arteriosclerosis Thrombosis and Vascular Biology,2002, 22, 1838-44 非特許文献 4: Circuration, 2002, 105, 1429-35
非特許文献 5 : Annals New York Academy of Sciences, 2002, 902, 241-7
非特許文献 6: Circuration, 1999, 100, 1494-98
非特許乂 ': Arteriosclerosis thrombosis and Vascular Biology,
2003,23, 1398-1404
非特許文献 8 : Canadian Jounral of Chemistry, 1984, vol. 62, 2755
非特許文献 9 : Circulation, Res. 1997, 80, 45 非特許文献 10 : Arteriosclerosis Thrombosis and Vascular Biology, 2001, 21 : 1577 発明の開示
発明が解決しょうとする課題
[0007] 前述のように、現在、医薬品として十分な抑制能又は選択性を有する NAD(P)H oxidase抑制薬は知られていない。本発明が解決しょうとする課題は、医薬品の候補 と成り得る NAD(P)H oxidase抑制薬を提供することにある。
課題を解決するための手段
[0008] 本発明者らは上記の上記課題を解決すべく鋭意研究した結果、特定の縮合ピリダ ジン誘導体が所望の目的を達成し得ることを見出し、本発明を完成するに至った。 発明の効果
[0009] 本発明の縮合ピリダジン誘導体は NAD(P)H oxidase抑制作用を有し、当該酵素の 関与する疾患の予防又は治療に有効な医薬となりうる。
発明を実施するための最良の形態
[0010] 本発明は、下記の縮合ピリダジン誘導体若しくはその薬理学的に許容できる塩、又 はそれらの水和物若しくは溶媒和物に関する。
[0011] (1) 下記一般式 (I)
[0012] [化 1]
Figure imgf000005_0001
[0013] {式中、 Hetは、少なくとも 1個の窒素原子を環内に含み、ピリダジン環と炭素で結合し た飽和又は不飽和の 5員複素環 [該複素環は、アルキル、ヒドロキシアルキル、アルコ キシアルキル、アミノアルキル、トリフルォロメチル、ヒドロキシ、ァリール、ヘテロァリー ノレ、ハロゲン、シァノ、 -CO R1 (式中、 R1は水素原子、アルキル、又はァラルキルを示 す。)、 -CONR 3 (式中、 R2及び R3は、それぞれ同一または異なっていても良ぐ水素 原子、アルキル、又は置換されていてもよいァリールを示し、もしくは R2及び R3がー緒 になって 4から 7員環を形成してもよい。)、 -CONHSO R2a (式中、 R2aは水素原子、アル
2
キル、又は置換されていてもよいァリールを示す。)、 -NR 3 (式中、 R2及び R3は前記と 同義である。)、 -NHCO R2a (式中、 R2aは前記と同義である。)、 -NHCO R2a (式中、 R2a
2
は前記と同義である。)、 -NHSO R2a (式中、 R2aは前記と同義である。)、又は
2
-P(=〇)(〇R2a)(OR3a) (式中、 R2aは前記と同義であり、 R3aは水素原子、アルキル、又は 置換されていてもよいァリールを示す。)から選ばれる 1以上の置換基で置換されてい てもよレヽ。 ]を示し、
[0014]
Figure imgf000006_0001
[0015]
[0016]
Figure imgf000006_0002
[0017] (式中、 a、 b、 c、及び dは、それぞれ置換されていてもよい炭素原子又は窒素原子を 示し、かつ、 a、 b、 c、及び dのうち少なくとも 2つは置換されていてもよい炭素原子を示 し、 Xは酸素原子又は硫黄原子を示し、 R4は、同一又は異なっていても良ぐ水素原 子、ハロゲン、ァノレコキシ、ニトロ、ァミノ、ァノレキノレアミノ、ジァノレキノレアミノ、ァノレキノレ 、又は、ヒドロキシを示し、 kは 0から 4の整数を示し、 1は 0から 2までの整数を示す。た だし、 R4がメトキシを示し、かつ、 Hetが 2-チアゾリルを示す時、 kは 1を示す。)から選 ばれる何れかの環を示し、 Bは、水素原子、ハロゲン原子、アルキル、トリフルォロメチ ル、シァノ、 -CO R5 (式中、 R5は水素原子、アルキル又はァラルキルを示す。)、 -OR5'(
2
式中、 R"はアルキル、又は、置換されていてもよいフエニルを示す。)、 -NR 3 (式中、 R2及び R3は前記と同義である。)、置換されていても良いヒドラジ人置換されていても 良いグァニジノ、置換されていても良いアミジ入置換されていてもよいフエニル、置 換されていてもよいピリジル、置換されていてもよいチェニル、置換されていてもよい フリル、置換されていてもよいピペリジル、置換されていてもよいピロリジル、置換され ていてもよいモルフォリル、置換されていてもよい 1, 4-ピペラジル、又は置換されてい てもよい 1-ピペリジル、置換されていてよいチアゾリジル、置換されていてよいアジリ ジル又は置換されてレ、てよレ、ァゼチジルを示す。
[0018] 但し、 Hetが、 2位でピリダジンと結合する 1, 2, 4-チアジアゾールを示す時、 Bは水 素原子、アルキル、トリフルォロメチル、ヒドロキシ、シァノ、カルボキシル、エステル、 アルコキシ、ジァノレキノレアミノ、置換されていてもよいフエニル、置換されていてもよい ピリジル、置換されていてもよいチェニル、置換されていてもよいフリル、置換されて いてもよいモルフォリル、下記式 (1)
[0019] [化 4]
Figure imgf000007_0001
[0020] [式中、 1,は 1又は 2を示し、 R1'は水素原子、アルキル、 -CO R1 (式中、 R1は前記と同 義である。)、 -SO -alkyU -SO - arvl、又は- CONH- alkvlを示し、 R2'はアルキル、ヒドロ キシ、カルボキシル、又は -CO R1 (式中、 R1は前記と同義である。)を示す。 ]、又は下 記式 (2)
[0021] [化 5]
Figure imgf000007_0002
[0022] (式中、 Rlb及び i 5'は同一でも異なっていてもよぐそれぞれ水素原子、アルキル、 ァリール、又は置換スルホニルを示す。)を示す。 }で表わされる縮合ピリダジン誘導 体若しくはその薬理学的に許容できる塩、又はそれらの水和物若しくは溶媒和物。 ( 2) B力 水素原子、ハロゲン原子、アルキル、トリフルォロメチル、シァ入 -CO R5 (式 中、 R5は水素原子、アルキル又はァラルキルを示す。)、 -〇R5' (式中、 R5'はアルキル、 又は、置換されていてもよいフエニルを示す。)、 -NR 3 (式中、 R2及び R3は前記と同 義である。)、ァリーノレァノレキノレ、アミノアノレキノレ、ヒドロキシアルキル、アルコキシァノレ キル、置換されていても良いヒドラジ入置換されていても良いグァニジ人置換されて いても良いアミジノ、置換されていてもよいフエニル、置換されていてもよいピリジル、 置換されていてもよいチェニル、置換されていてもよいフリル、置換されていてもよい ピペリジル、置換されていてもよいピロリジル、置換されていてもよいモルフォリル、置 換されていてもよい 1, 4-ピペラジル、置換されていてもよい 1-ピペリジルを示す請求 項 1に記載の縮合ピリダジン誘導体 {但し、 Hetが、 2位でピリダジンと結合する 1, 2, 4-チアジアゾールを示す時、 Bは水素原子、アルキル、トリフルォロメチル、ヒドロキシ 、シァノ、カルボキシル、エステル、アルコキシ、ジァノレキノレアミノ、置換されていても よいフエニル、置換されていてもよいピリジル、置換されていてもよいチェニル、置換 されていてもよいフリル、置換されていてもよいモルフォリル、下記式 (1)
[0023]
Figure imgf000008_0001
[0024] [式中、 は 1又は 2を示し、 R1は水素原子、アルキル、 -CO R1 (式中、 R1は前記と同義 である。)、 -SO -alkyl, -SO -aryl、又は -CONH- alkylを示し、 R2'はアルキル、ヒドロキ シ、カルボキシル、又は- CO R1 (式中、 R1は前記と同義である。)を示す。 ]、又は下記 式 (2)
[0025] [化 7]
Figure imgf000008_0002
[0026] (式中、 Rlb及び R2b'は同一でも異なっていてもよぐそれぞれ水素原子、アルキル、ァ リール、又は置換スルホニルを示す。)を示す。 }若しくはその薬理学的に許容できる 塩、又はそれらの水和物若しくは溶媒和物。 (3) Hetが少なくとも 1個の窒素原子を 環内に含み、ピリダジン環と炭素で結合した不飽和の 5員複素環である前記(1)又は (2)に記載の縮合ピリダジン誘導体若しくはその薬理学的に許容できる塩、又はそれ らの水和物若しくは溶媒和物。 (4)
[0027] [化 8]
Figure imgf000008_0003
[0028] が下式であり、 [0029] [化 9]
Figure imgf000009_0001
[0030] a、 b、 c、及び dのうち少なくとも 3つが置換されていてもよい炭素原子を示す前記( 1)から(3)のいずれかに記載の縮合ピリダジン誘導体若しくはその薬理学的に許容 できる塩、又はそれらの水和物若しくは溶媒和物。 (5) Bが水素原子、アルキル、トリ フルォロメチル、ヒドロキシ、シァノ、カルボキシル、エステル、 -OR5 (式中、 R5はァノレキ ル基又は置換されていてもよいフエ二ル基を示す。)、 _NR 3 (式中、 R2及び R3は前記 と同義である。)、又は下式
[0031] [化 10]
Figure imgf000009_0002
[0032] [式中、 Yは酸素原子または硫黄原子を示し、 はそれぞれ同一もしくは異なって、 水素原子、アルキル、ハロゲン、アルコキシ、ヒドロキシ、シァノ、カルボキシル、 -C〇
R1 (式中、 R1は前記と同義である。)、二卜口、 ミノ、 ノレキノレアミノ、ジ ノレキノレアミノ、 トリフルォロメチル、トリフルォロメトキシを示し、 R7は、水素原子、アルキル、 -CO R'( 式中、 R1は前記と同義である。)、 -SO _alkvl、 -SO _aryl、 _CONH_alkyl、又は置換さ れていてもよいフエニルを示し、 R8はそれぞれ同一もしくは異なって、水素原子、ヒド 口キシ、ヒドロキシメチル、カルボキシル、 -CO R1 (式中、 R1は前記と同義である。)、又 はアルキルを示し、 R9は水素原子、アルキル、ァシル、 -SO -alky 又は- SO -arylを 示し、 。は水素原子、ヒドロキシ、アルキル、カルボキシル、 -CO R1 (式中、 R1は前記 と同義である。)、 _CONR 3 (式中、 R2及び R3は前記と同義である。)を示し、 mは 0から 5の整数を示し、 nは 0から 4の整数を示し、 pは 0から 3の整数を示し、 qは 0から 8の整数 を示す。 ]から選ばれる何れかの複素環である前記(1)から (4)のレ、ずれかに記載の 縮合ピリダジン誘導体若しくはその薬理学的に許容できる塩、又はそれらの水和物 若しくは溶媒和物。 (6)
[0033] [化 11]
Figure imgf000010_0001
[0034] が下式であり、
[0035] [化 12]
Figure imgf000010_0002
[0036] kが 0、 1又は 2を示す前記(1)から(5)のレ、ずれかに記載の縮合ピリダジン誘導体若 しくはその薬理学的に許容できる塩、又はそれらの水和物若しくは溶媒和物。 (7) 飽和又は不飽和の 5員複素環が、置換基としてアルキル、ヒドロキシァノレキノレ、アルコ キシアルキル、トリフルォロメチル、ヒドロキシ、ァリーノレ、ヘテロァリール、ハロゲン、シ ァノ、カルボキシル、 -CO R11 (式中、 R11はァノレキノレ、又はァラルキルを示す。)、又は
2
-C〇NR12R13 (式中、 R12及び R13は、それぞれ同一または異なっていても良ぐ水素原 子、アルキル、又は置換されていてもよいァリールを示し、もしくは R12及び R13がー緒 になって 4から 7員環を形成してもよい。)のいずれ力 4以上を有していてもよい下記複 素環から選ばれる何れかの複素環である前記(1)から (6)のいずれかに記載の縮合 ピリダジン誘導体若しくはその薬理学的に許容できる塩、又はそれらの水和物若しく は溶媒和物。イミダゾリル、ォキサゾリル、チアゾリル、 1, 2, 4-ォキサジァゾリル、 1, 3,
4-ォキサジァゾリル、 1, 2, 4-トリァゾリル、ピラゾリル、テトラゾリル、ォキソピラゾリル、 2, 5-ジヒドロ- 5-ォキソ -4H-1, 2, 4-チアジアゾリル、 2, 5_ジヒドロ- 5_チォキソ -4H-1,
2, 4-チアジアゾリル、 2, 5-ジヒドロ- 5-ォキソ -4H-1, 2, 4_ォキサジァゾリル、 2, 5_ジ ヒドロ- 5-チォキソ -4H-1, 2, 4-ォキサジァゾリル、 4, 5-ジヒドロイミダゾリル、 4, 5_ジヒ ドロォキサゾリル、及び 4, 5-ジヒドロチアゾリル。 (8) mが 0、 1又は 2であり、 nが 0、 1又 は 2であり、 pが 0、 1又は 2であり、 qが 0、 1又は 2である前記(1)から(7)のいずれかに 記載の縮合ピリダジン誘導体若しくはその薬理学的に許容できる塩、又はそれらの 水和物若しくは溶媒和物。 (9) 以下の化合物から選ばれるいずれかの縮合ピリダジ ン誘導体若しくはその薬理学的に許容できる塩、又はそれらの水和物若しくは溶媒 和物。 [0037]
1-(1-メチル -1H-イミダゾール -2-ィル) -4-フエニルフタラジン、 1-(4-メトキシフエ二 ノレ) -4-(1-メチル -1H-イミダゾール -2-ィル)フタラジン、 1-(1-メチル -1H-イミダゾール -2-ィル) -4-(4-トリフルォロメトキシフエニル)フタラジン、 1-(1_メチル -1H -イミダゾー ル -2-ィル)フタラジン、 1-(2-フリル) -4-(1-メチル -1H-イミダゾール -2-ィル)フタラジン 、 1-[4_(1-メチル -1H-イミダゾール- 2_ィル)フタラジン _1_ィル] -ピペリジン- 4_オール 、 1-(1_メチル -1H -イミダゾール -2-ィル) -4-(4-ピリジル)フタラジン、 3-メチル _2-(4- フエニルフタラジン- 1 -ィル )_3H-イミダゾール- 4_カルボ二トリル、 3-メチル _2_(4-フエ ニルフタラジン- 1 -ィル )_3H -イミダゾール -4-カルボン酸、 1-[5_(4, 4 -ジメチル -4, 5_ ジヒドロ-ォキサゾール -2-ィル) -1-メチル -1H-イミダゾール- 2_ィル] -4-フエニルフタ ラジン、 1 -フエニル _4_(1H -テトラゾル -5-ィル)フタラジン、 1_(2_メチル -2H -テトラゾ ル -5-ィル) -4-フエニルフタラジン、及び 1-ピリジン _4_ィル- 4_(2, 5-ジヒドロ -5-ォキソ -4H-1, 2, 4-チアジアゾル -3-ィル)フタラジン。
[0038] また本発明は以下の治療薬又は抑制薬に関する。 (10)前記(1)から(9)のいずれ 力に記載の縮合ピリダジン誘導体またはその薬理学的に許容出来る塩を有効成分と する、虚血性心疾患の予防または治療薬。 (11)前記(1)から(9)のいずれかに記載 の縮合ピリダジン誘導体またはその薬理学的に許容出来る塩を有効成分とする、急 性冠症候群の予防または治療薬。 (12)前記(1)から(9)のいずれかに記載の縮合 ピリダジン誘導体またはその薬理学的に許容出来る塩を有効成分とする、心筋梗塞 の予防または治療薬。 (13)前記(1)から(9)のレ、ずれかに記載の縮合ピリダジン誘 導体またはその薬理学的に許容出来る塩を有効成分とする、狭心症の予防または 治療薬。 (14)前記(1)から (9)のいずれかに記載の縮合ピリダジン誘導体またはそ の薬理学的に許容出来る塩を有効成分とする、動脈硬化症の予防または治療薬。 ( 15)前記(1)から (9)のレ、ずれかに記載の縮合ピリダジン誘導体またはその薬理学 的に許容出来る塩を有効成分とする、 NAD(P)H oxidase抑制薬。
[0039] 本明細書にぉレ、て、「置換されてレ、てもよレ、フヱニル」の置換基としては、アルキル 、ハロゲン、アルコキシ、ヒドロキシ、シァ人カルボキシル、 -CO R1 (式中、 R1は前記と
2
同義である。)、ニトロ、ァミノ、ァノレキノレアミノ、ジァノレキノレアミノ、トリフルォロメチル、ト リフルォロメトキシ、スルフイド、スルホキシド、スルホン、 -S-alkyU _SO_alkyl、 -SO
-alkyl等が挙げられ、該フエニルは同一もしくは異なる上記置換基で 1から 5個置換さ れていてもよぐ 2個の置換基が環を形成した結果、「置換されていてもよいフエニル」 力 ¾3 -ジヒドロ- 1-ベンゾフラン等の縮合環であってもよい。
更に「置換されていてもよいフエニル」のより好ましい置換基としては、アルキル、ハロ ゲン、アルコキシ、ヒドロキシ、シァ入カルボキシル、 -C〇 R1 (式中、 R1は前記と同義 である。)、ニトロ、ァミノ、ァノレキノレアミノ、ジァノレキノレアミノ、トリフルォロメチル、トリフ ルォロメトキシ等が挙げられ、該フヱニルは同一もしくは異なる上記置換基で 1から 5 個置換されていてもよい。
[0040] 本明細書において、「置換されていてもよいピリジル」の置換基としては、「置換され ていてもよいフエニル」の置換基と同様の置換基が挙げられ、該ピリジノレは同一もしく は異なる上記置換基で 1から 4個置換されていても良レ、。本明細書において、「置換さ れていてもよいチェニル」の置換基としては、本明細書において、「置換されていても よいフエニル」の置換基と同様の置換基が挙げられ、該チェニルは同一もしくは異な る上記置換基で、 1から 3個置換されていてもよい。
[0041] 本明細書において、「置換されていてもよいフリル」の置換基としては、「置換されて いてもよいフエニル」の置換基と同様の置換基が挙げられ、該フリルは同一もしくは異 なる上記置換基で 1から 3個置換されてレ、てもよレ、。
[0042] 本明細書において、「置換されていてもよいピペリジル」の窒素上の置換基としては
、アルキル、 -CO R1, -SO -alkyl、 -SO _aryl、又は- CONH-alkyl等が挙げられ、環状 炭素上の置換基としてはアルキル、ヒドロキシ、カルボキシル、又は- CO R1等が挙げ られる。
[0043] 本明細書において、「置換されていてもよいピロリジル」窒素上の置換基としては、 アルキル、 -CO
Figure imgf000012_0001
-SO - alkyl、 -SO _aryl、 _CONH_alkyl、環状炭素上の置換基とし ては、アルキル、ヒドロキシ、カルボキシル、又は- CO R1 (式中、 R1は前記と同義であ る。 )、ヒドロキシアルキル等が挙げられる。
[0044] さらに「置換されていてもよいピロリジル」窒素上のより好ましい置換基としては、ァ ノレキル、 -CO
Figure imgf000012_0002
-SO _alkyl、 -SO - aryl、 -CONH-alkyl,環状炭素上の置換基とし ては、アルキル、ヒドロキシ、カルボキシル、又は- CO R1 (式中、 R1は前記と同義であ る。)等が挙げられる。
[0045] 本明細書において、「置換されていてもよい 1, 4-ピペラジル」の置換基としては、窒 素上にアルキル、ァシル、 -SO _alkyl、 -SO _arvl、等を有していてもよぐ又これらの 置換基がピペラジノレ環の炭素上に置換してレ、てもよレ、。
[0046] 本明細書において、「置換されていてもよい 1-ピペリジル」の置換基としては、ヒドロ キシ、アルキル、カルボキシル、 -C〇 R1 (式中、 R1は前記と同義である。)、 -CONR2R3( 式中、 R2及び R3は前記と同義である。)、アルコキシ、シァノ等が挙げられる。
[0047] さらに「置換されていてもよい 1-ピペリジル」のより好ましい置換基としては、ヒドロキ シ、アルキル、カルボキシル、 -CO R1 (式中、 R1は前記と同義である。 ), -CONR¾3 (式 中、 R2及び R3は前記と同義である。)等が挙げられる。
[0048] 本明細書にぉレ、て、「置換されてレ、てもよレ、モルフオリル」の置換基としては、ヒドロ キシ、アルキル、カルボキシル、 -CO R1 (式中、 R1は前記と同義である。)、 -CONR¾3( 式中、 R2及び R3は前記と同義である。)が挙げられる。
本明細書において、「置換されていてよいチアゾリジル」の置換基としては、「置換さ れていてもよいフエニル」の置換基と同様の置換基が挙げられ、該チアゾリジルは同 一もしくは異なる上記置換基で 1から 3個置換されてレ、ても良レ、。
本明細書において、「置換されていてよいアジリジル」の置換基、「置換されていてよ レ、ァゼチジル」の置換基としては、「置換されてレ、てもよレ、フエニル」の置換基と同様 の置換基が挙げられ、該アジリジルゃ該ァゼチジノレは同一もしくは異なる上記置換 基で 1から 3個置換されていても良い。
[0049] 本明細書にぉレ、て、「飽和又は不飽和の 5員複素環」としては、イミダゾリル、ォキサ ゾリル、チアゾリル、 1, 2, 4-ォキサジァゾリル、 1, 3, 4-ォキサジァゾリル、 1, 2, 4_トリ ァゾリル、ピラゾリル、テトラゾリル、ォキソピラゾリル、 2, 5-ジヒドロ- 5_ォキソ -4H-1, 2, 4-チアジアゾリル、 2, 5-ジヒドロ _5 -チォキソ -4H-1, 2, 4 -チアジアゾリル、 2, 5_ジヒド 口- 5-ォキソ -4H-1, 2, 4-ォキサジァゾリル、 2, 5 -ジヒドロ- 5-チォキソ -4H-1, 2, 4-ォ キサジァゾリル、 4, 5-ジヒドロイミダゾリル、 4, 5 -ジヒドロォキサゾリル、又は 4, 5-ジヒド 口チアゾリル等が挙げられる。 [0050] また、複素環の置換基として、アルキル、ヒドロキシアルキル、アルコキシアルキル、 トリフルォロメチル、ヒドロキシ、ァリール、ヘテロァリール、ハロゲン、シァノ、カルボキ シル、又は- CO RU(RUは、アルキル又はァラルキルを示す。)、 - CONR12R13(R12及び R
13は同一または異なっていても良ぐ水素原子、アルキル、又は置換されていてもよい ァリールを示し、若しくは R12及び R13が一緒になつて 4から 7員環を形成してもよい。)等 、より好ましくはアルキル、アルコキシアルキル、トリフルォロメチル、ヒドロキシ、ァリー ノレ、ヘテロァリール、ハロゲン、シァノ、又はカルボキシル等から選ばれる置換基を 1 つ以上有していてもよい。
[0051] 本明細書において、「アルキル」とは、好ましくは炭素数 1一 8で直鎖状でも分岐鎖 状でもよぐ例えばメチル、ェチル、ノルマル (以下、 n -と記す。)プロピル、イソプロピ ノレ、ブチル、イソブチル、第 3級 (以下、 t-と記す。)ブチル、 n-ペンチル、 n -へキシル、 又は n -ォクチル等が挙げられる。
[0052] 本明細書において、「アルコキシ」とは、好ましくは炭素数 1一 8で直鎖状でも分岐鎖 状でもよぐ例えばメトキシ、エトキシ、プロポキシ、ブトキシ、ペンチルォキシ、へキシ ノレォキシ、ォクチルォキシ等が挙げられる。アルキルチオは、好ましくは炭素数 1一 8 で直鎖状でも分岐鎖状でもよぐ例えばメチルチオ、ェチルチオ、プロピルチオ、ブ チルチオ、ペンチルチオ、へキシルチオ、ォクチルチオ等が挙げられる。ァシルォキ シは、好ましくは炭素数 1一 8で直鎖状でも分岐鎖状でもよぐ例えばホルミルォキシ、 ァセチルォキシ、プロピオニルォキシ、ブチリルォキシ、バレリルォキシ、ビバロイルォ キシ、又はへキサノィルォキシ等が挙げられる。
[0053] 本明細書にぉレ、て、「ハロゲン」とは、フッ素、塩素、臭素又はヨウ素が挙げられる。
[0054] 本明細書において、「ヒドロキシアルキル」とは、好ましくは炭素数 1一 3のヒドロキシ アルキルであり、ヒドロキシメチル、 2-ヒドロキシェチル、又は 3 -ヒドロキシプロピル等 が挙げられる。
[0055] 本明細書において、「ァリールアルキル」とは、そのァリール部は上記と同等であり、 そのアルキル部は、好ましくは炭素数 1一 3で直鎖状でも分岐鎖状でもよぐ例えばべ ンジル、フヱネチル、 3-フエニルプロピル、 1-ナフチルメチル、 2-(1-ナフチノレ)ェチル 、 2-(2_ナフチル)ェチル、又は 3_(2_ナフチル)プロピル等が挙げられる。 [0056] 本明細書において、アルコキシアルキルとは、そのアルコキシ部は上記と同等であ り、そのアルキル部は、好ましくは炭素数 1一 3で直鎖状でも分岐鎖状でもよぐ例え ばエトキシメチル、メトキシェチル、 3-メトキシプロピル、 3-エトキシプロピル、 2-メトキ シプロピル等が挙げられる。
[0057] 本明細書において、「アミノアノレキノレ」とは、そのアミノ部は任意にアルキル、ァリー ノレ、ヘテロァリール、又はへテロサイクル等で置換されていても良ぐ置換基が窒素 原子を含む環を形成していても良ぐそのアルキル部は、好ましくは炭素数 1一 3で直 鎖状でも分岐鎖状でもよぐ例えばアミノメチル、アミノエチル、ジメチノレアミノエチノレ、 N-ピロリジルェチル、 N-フエニルアミノエチル、又は 3-ァミノプロピル等が挙げられる
[0058] 本明細書において、「ヘテロサイクル」とは、炭素および少なくとも 1個の窒素を有し さらに他のへテロ原子 (酸素または硫黄)を有していてもよい 4一 6員環基であり、具体 的には、ァゼチジニル、ピロリジニル、ピペリジノ、ピペラジニル、モルホリノ、チオモル ホリノ、ォキソチオモルホリノ、又はジォキソチオモルホリノ等が挙げられる。
[0059] 本明細書において、「ァリール」とは、好ましくはフエニル、ナフチル、又はオルト融 合した二環式の基で 8— 10個の環原子を有し少なくとも一つの環が芳香環であるもの (インデニル等)等が挙げられる。
[0060] 本明細書において、「ヘテロァリール」とは、好ましくは炭素及び 1一 4個のへテロ原 子 (酸素、硫黄または窒素)を有する 5— 6員環基、またはそれ力 誘導される 8— 10個 の環原子を有するオルト融合した二環式へテロアリール、特にべンズ誘導体、もしく はプロぺニレン、トリメチレンもしくはテトラメチレン基をそれに融合して導かれるもの、 ならびにその安定な N -ォキシド等が挙げられる。例えば、プロリル、フリル、チェニル 、ォキサゾリル、イソキサゾリル、イミダゾリル、チアゾリル、イソチアゾリル、ピラゾリル、 トリアゾリノレ、テトラゾリル、 1, 3, 5_ォキサジァゾリル、 1, 2, 4_ォキサジァゾリル、 1, 2, 4-チアジアゾリル、ピリジノレ、ピラジュル、ピリミジェノレ、ピリダジニル、 1, 2, 4-トリアジ ニル、 1, 2, 3_トリアジ二ノレ、 1, 3, 5_トリアジ二ノレ、ベンゾキサゾリル、ベンゾチアゾリノレ 、ベンゾイミダゾリル、チアナフテュル、イソチアナフテュル、ベンゾフラニル、イソベン ゾフラニル、クロメニノレ、イソインドリル、インドリル、インダゾリル、イソキノリル、キノリノレ 、フタラジュル、キノキサリニル、キナゾリニル、シンノリニル、又はベンゾキサジニル等 が挙げられる。
[0061] 本明細書において、「R2及び R3が一緒になつて 4から 7員環を形成してもよレ、」の「4 力 7員環」の例としてはァゼチジン、ピロリジン、チアゾリジン、ピぺラジン、ピぺリジン
、モノレフオリン、ァザシクロヘプタン等が挙げられる。
[0062] また、上記「4から 7員環」は環上に置換基を有していても良レ、。その置換基としては
、アルキル、アルコキシ、ヒドロキシ、カルボキシル、ァシル、スルフイド、スルホキシド 等が挙げられる。
[0063] 本明細書にぉレ、て「NAD(P)H oxidase]と表記した酵素は、 NADH (Nicotinamide adenine dinucleotide 以下、 NADHと記す。) oxidase, NADH/NADPH (Nicotinamide adenine dinucleotide phosphate 以下、 NADPHと記す。) oxidase,又は、 NADPH oxidaseと表記することもある力 S、 NADH及び NADPHを基質として · 0 -産生する酵素
2
である限りすベて本発明の NAD(P)H oxidaseに含まれる。当該 NAD(P)H oxidaseの発 現部位としては、血管細胞系、心臓、腎臓、網膜、ミクログリア、又は、腫瘍細胞等の 組織が挙げられる力 特にこれらに限定されるものではない。
[0064] 本明細書において、「NAD(P)H oxidase抑制」とは、 NAD(P)H oxidaseによって産 生される · 0—産生量を低下させるあらゆる抑制を含む。例えば、 NAD(P)H oxidase活
2
性の抑制、活性化の過程の抑制、又はコンポーネントの発現の抑制等を意味する。
[0065] 本明細書において「虚血性心疾患」とは、何らかの原因で心臓の血管内腔が狭窄 または閉塞し、心臓に必要な酸素や栄養が十分に供給されなくなった状態の疾患を 意味する。
[0066] 本明細書にぉレ、て「急性冠症候群」とは、冠動脈の粥腫が破綻し、血栓形成、内腔 閉塞が起こった結果、心臓に必要な酸素や栄養が十分に供給されなくなった状態の 疾患群を意味する。その疾患の例として、急性心筋梗塞、不安定狭心症等があげら れる。
[0067] 本明細書において「心筋梗塞」とは、冠動脈の循環障害に起因する高度の虚血に より、心筋組織が壊死をきたした状態の疾患を意味する。その病態の例として急性心 筋梗塞や陳旧性心筋梗塞、貫壁性心筋梗塞や非貫壁性心筋梗塞等が挙げられる。 [0068] 本明細書にぉレ、て「狭心症」とは、心筋の酸素需要と供給のバランスの破綻により 生じる一過性の心筋虚血を意味する。その疾患の例として、安定狭心症、不安定狭 心症、労作性狭心症、安静狭心症、異型狭心症等が挙げられる。
[0069] 本明細書において「動脈硬化症」とは、動脈の弾力性が失われたり、動脈内で狭窄 、閉鎖、又は動脈瘤等の発生により、組織や臓器全体に血行障害を起こす疾患を意 味する。その疾患の例として動脈血栓症ゃァテローム性動脈硬化等が挙げられる。 本明細書にぉレ、て「予防」とは疾病に罹患してレ、なレ、者が疾患することを防止するこ とや、一度疾患に罹患し、それが治癒あるいは陳旧化してから、この疾患に再度かか ることを防止することを意味する。特に、高脂血症患者、糖尿病患者、高血圧患者、 喫煙者等のように動脈硬化症や虚血性心疾患の発症の危険が高いとされる者に対 して、又は、一度、動脈硬化症や虚血性心疾患を発症した患者に対して、その後に 虚血性心疾患すなわち心筋梗塞や狭心症発作を起こさないようにすることが含まれ る。
[0070] 次に本発明の化合物の製造方法について説明する。
[0071] 本発明の化合物は、 目的とする化合物に適した反応の組合せにより製造することが できる。以下に代表的な反応スキームを例示するが、以下に記載の方法のみに限定 されるものではない。
(製造法 1)
一般式 (I)の
[0072] [化 13]
Figure imgf000017_0001
の部分が、置換されていても良いベンゼン環、ピリジン、フラン又はチォフェンの場合 の製造方法について、以下に説明する。 [0074] [化 14]
Figure imgf000018_0001
[0075] 工程 (1)は、無水フタル酸から 2-ケト安息香酸 (1)を製造する工程である。(a)有機金 属試薬の酸無水物への付加反応、又は (b)ァリールィヒ合物と酸無水物のフリーデルク ラフッ反応を用レ、ることが出来る。
(a)の場合の有機金属試薬としてはァリール金属又はアルキル金属を用いることが出 来る。金属としては、リチウム、又はマグネシウム等が挙げられる。使用する溶媒として は、ジェチルエーテル、又は t-ブチルメチルエーテル等のエーテル類、テトラヒドロフ ラン (以下、 THFと記す。)、ジォキサン、へキサン、シクロへキサン、ベンゼン、トルェ ン、塩化メチレン、ジクロロェタン等が挙げられ、これらを単独又は混合して用いること が出来る。反応温度は- 78°C 100°C、好ましくは- 78°C 30°Cであり、反応時間は、 5分一 24時間である。
[0076] (b)の場合には、塩化アルミニウム、四塩化チタン、塩化スズ、又は三フッ化ホウ素ジ ェチルエーテラート等を触媒として用レ、、塩化メチレン、ジクロロェタン、ニトロべンゼ ン、又は二硫化炭素等の溶媒を使用する事が出来る。反応温度は- 78°C— 200°C、 好ましくは- 50°C— 100°Cであり、反応時間は、 5分一 24時間である。
[0077] 工程 (2)は縮合ピリダジノン (2)を製造する工程である。反応は (1)とヒドラジン又はヒド ラジン水和物とを反応させることにより実施出来る。溶媒を使用する場合は、水、メタ ノーノレ、エタノール、エチレングリコール、ベンゼン、又はトルエン等を用いる。反応温 度は 20°C— 200°C、好ましくは 20°C— 100°Cであり、反応時間は、 5分一 48時間であり
、好ましくは、 1時間一 10時間である。
[0078] 工程 (3)はジカルボン酸ハーフエステルと芳香族化合物とのフリーデルクラフツ反応 により 2 -ケト安息香酸エステル (3)を製造する工程である。化合物 (3)における Bは、 2- チェニル、又は 2-フリルを示す。
[0079] この反応には、塩ィ匕ァノレミニゥム、四塩化チタン、塩化スズ、又は三フッ化ホウ素ジ ェチルエーテラート等を触媒として用レ、、塩化メチレン、ジクロロェタン、ニトロべンゼ ン、又は二硫化炭素等の溶媒を使用する事が出来る。反応温度は- 78°C— 200°C、 好ましくは _50°C 100°Cであり、反応時間は、 5分一 24時間である。
[0080] 工程 (4)は縮合ピリダジノン (4)を製造する工程である。反応は (3)とヒドラジン又はヒド ラジン水和物とを反応させることにより実施出来る。
[0081] 溶媒を使用する場合は、水、メタノーノレ、エタノール、エチレングリコール、ベンゼン
、又はトノレエン等を用いる。反応温度は 20°C— 200°C、好ましくは 20°C— 100°Cであり
、反応時間は、 5分一 48時間であり、好ましくは、 1時間一 10時間である。
[0082] 工程 (5)は、アミド化合物にブチルリチウム等の塩基を反応させてォノレトメタレーショ ンした有機金属中間体とアシノレ化試薬とを反応させ、オルト位にアシノレ基を導入し 2- ケトカルボン酸アミド (5)を得る工程である。化合物 (5)において、 Bは、置換された、ベ ンゼン環、芳香族複素環やアルキル等であっても良レ、。
[0083] アミド化合物としては、ァニリド化合物、 N, N-ジェチルアミド化合物、又はトフェニ ノレ- 1-メチルェチルアミド化合物等を用いることが出来る。
[0084] 塩基としては、ブチルリチウム、第 2級ブチルリチウム、又は t_ブチルリチウム等をァ ミド化合物に対して 1一 3等量用いる事が出来る。
[0085] また、本工程において補助的にテトラメチルエチレンジァミン等を添加することが出 来る。
[0086] 溶媒としては、ジェチルエーテル、又は t_ブチルメチルエーテル等のエーテル類、 THF、ジォキサン、へキサン、シクロへキサン、ベンゼン、トルエン、塩化メチレン、又 はジクロロェタン等が挙げられ、これらは単独又は混合して用いても良い。 [0087] ァシル化剤としては、 N, N-ジメチルアミド誘導体、 N-メチル -N-メトキシアミド誘導 体、又は酸クロリド等を用いることが出来る。
反応温度は- 78°C— 100°C、好ましくは- 78°C— 30°Cである。
[0088] 工程 (6)は 2-ケトカルボン酸アミド (5)から、 2-ケトカルボン酸 (6)を得る工程である。反 応は水、硫酸を用いた加水分解、酸化剤を用いた反応が使用出来る。反応温度は
20°C— 200°Cであり、反応時間は 10分一 24時間である。
[0089] 工程 (7)は縮合ピリダジノン (7)を製造する工程である。反応は、(6)とヒドラジン又はヒ ドラジン水和物とを反応させることにより、もしくは (5)とヒドラジン又はヒドラジン水和物 とを反応させることにより実施出来る。溶媒を使用する場合は、水、メタノール、ェタノ ール、エチレングリコール、ベンゼン、又はトノレエン等を用いる。
反応温度は 20°C 200°C、好ましくは 20°C— 100°Cであり、反応時間は、 5分一 48時 間であり、好ましくは、 1時間一 10時間である。
[0090] 工程 (8)は、 2-ョード安息香酸エステルから生成した有機金属中間体とアシノレ化試 薬とを反応させ、オルト位にアシノレ基を導入し 2-ケトカルボン酸エステル (8)を製造す る工程である。
[0091] イソプロピルグリニヤー試薬等を反応させることにより生じた有機金属中間体と無機 亜鉛化合物 (ZnCl、 ZnBr、又は Znl等)とを反応させることで有機亜鉛化合物へと変 換し、さらに触媒存在下、ハロゲン化アシノレ化合物と反応させることにより目的化合 物を製造することが出来る。
[0092] 触媒としては、 0価又は 2価の Pd触媒 (Pd(PPh )、又は Pd(PPh ) C1等)や 0価又は 2価 の M触媒等を用いることが出来る。
[0093] 使用する溶媒としては、ジェチルエーテル、又は t-ブチルメチルエーテル等のエー テノレ類、 THF、ジォキサン、へキサン、シクロへキサン、ベンゼン、トルエン、塩化メチ レン、ジクロロェタン等が挙げられ、これらを単独又は混合して用いることが出来る。
[0094] 反応温度は- 78°C 100°C、好ましくは- 78°C 30°Cである。
[0095] 工程 (9)は縮合ピリダジノン (11)を製造する工程である。
[0096] 反応は、(8)とヒドラジン又はヒドラジン水和物とを反応させることにより実施出来る。
溶媒を使用する場合は、水、メタノーノレ、エタノール、エチレングリコール、ベンゼン、 又はトルエン等を用いる。
[0097] 反応温度は 20°C— 200°C、好ましくは 20°C— 100°Cであり、反応時間は、 5分一 48時 間であり、好ましくは、 1時間一 10時間である。
[0098] 工程 (10)はジメチルォキサゾリン化合物にブチルリチウム等の塩基を反応させてォ ルトメタレーシヨンした有機金属中間体とアシノレ化試薬とを反応させ、オルト位にァシ ル基を導入し 2 -ケトカルボン酸アミド (9)を得る工程である。
[0099] アミド化合物としては、ァニリド化合物、 N, N-ジェチルアミド化合物、又は 1-フエ二 ノレ- 1-メチルェチルアミド化合物等を用いることが出来、塩基としては、 n -ブチルリチ ゥム、第 2級ブチルリチウム、 t-ブチルリチウム等をアミド化合物に対して 1等量一 3等 量用いる事が出来る。
[0100] 反応補助試薬として、テトラメチルエチレンジァミン等を添加することが出来る。溶媒 としては、ジェチルエーテル、又は t-ブチルメチルエーテル等のエーテル類、 THF、 ジォキサン、へキサン、シクロへキサン、ベンゼン、トルエン、塩化メチレン、ジクロロェ タン等が挙げられ、これらは単独又は混合して用いても良レ、。
[0101] ァシル化剤としては、 N, N-ジメチルアミド誘導体、 N-メチル -N-メトキシアミド誘導 体、又は酸クロリド等を用いることが出来る。
[0102] 酸クロリドをアシノレ化剤として用いる時には、触媒として 0価又は 2価の Pd触媒
(Pd(PPh )、 Pd(PPh ) CI等)や 0価又は 2価の Ni触媒等を用いることが出来る。
3 4 3 2 2
[0103] 反応温度は- 78°C— 100°C、好ましくは- 78°C— 30°Cである。
[0104] 工程 (11)は 2-ケトォキサゾリン化合物 (9)から、 2-ケトカルボン酸 (10)を得る工程であ る。
[0105] 反応は塩酸、硫酸、メシノレ酸、又はトシノレ酸存在下で行うことが出来る。溶媒は水、 ジォキサン、 THF、エタノール、又はメタノール等を単独又は混合して用いる。
[0106] 工程 (12)は、縮合ピリダジノン (11)を製造する工程である。反応は、化合物 (10)とヒド ラジン又はヒドラジン水和物とを反応させることにより、実施出来る。溶媒を使用する 場合は、水、メタノーノレ、エタノール、エチレングリコール、ベンゼン、又はトルエン等 を用いる。
[0107] 反応温度は 20°C 200°C、好ましくは 20°C 100°Cであり、反応時間は、 5分一 48時 間であり、好ましくは、 1時間一 10時間である。
[0108] 工程 (13)は化合物 (2)、(4)、(7)、及び (11)の塩素化反応により化合物 (12)を製造する 工程である。
[0109] 塩素化剤としては、塩化チォニル、ォキシ塩化リン、三塩化リン、又は五塩化リン等 を用いることが出来る。反応は、無溶媒あるいはベンゼン、トルエン、クロ口ホルム、又 はジクロ口ェタン等の溶媒中で行う。
[0110] 工程 (14)は化合物 (12)より化合物 (13)を製造する工程である。工程 (14)において、化 合物 (13)の
[0111] [化 15]
Figure imgf000022_0001
[0112] の部分は、置換されていても良いベンゼン環を示す。
[0113] 複素環有機ホウ素化合物、複素環有機亜鉛化合物、又は複素環有機スズ化合物 を触媒下で反応させることにより実施出来る。
[0114] 複素環有機スズィ匕合物は、有機リチウム又は有機マグネシウム化合物とトリアルキ ノレ塩化スズ力 調整することが出来、単離する事なく工程 (14)の反応に使用すること あでさる。
[0115] 複素環有機ホウ素化合物、及び複素環有機亜鉛化合物もホウ酸エステル、ハロゲ ン化亜鉛を用いて上記と同様に調整出来、単離する事なく工程 (14)の反応に使用す ることも出来る。また、前記有機リチウム化合物はブチルリチウム等の塩基によるリチ エーシヨン (lithiation)、あるいはハロゲン化合物とのハロゲン-リチウム交換により調整 出来る。
[0116] 触媒としては、 0価又は 2価の Pd触媒 (Pd(PPh )、又は Pd(PPh ) C1等)や 0価又は 2価
3 4 3 2 2
の Ni触媒等を用いることが出来る。
[0117] 反応温度は _78°C 200°C、好ましくは 0°C 120°Cである。
[0118] 使用する溶媒としては、ジェチルエーテル、 t_ブチルメチルエーテル等のエーテル 類、 THF、ジォキサン、へキサン、シクロへキサン、ベンゼン、トルエン、キシレン、塩 化メチレン、ジクロロェタン、等が挙げられ、これらを単独又は混合して用いることが 出来る。また、本工程は化合物 (12)をスルホン体へと変換した後に、有機リチウム化 合物と反応させることによつても実施出来る。
[化 16]
Figure imgf000023_0001
[0120] の部分がピリジン、フラン又はチォフェンである化合物 (13)については、工程 (3)、(5)、 (8)、(10)における出発原料のベンゼン環部分力 ピリジン、フラン、又はチォフェンで ある化合物を選択し、上述と同様の方法で製造することが可能である。
[0121] さらに、本発明化合物は以下の方法によっても合成できる。
(製造法 2)
[0122] [化 17]
Figure imgf000023_0002
Figure imgf000023_0003
[0123] 工程 (15)はカルボン酸力 複素環置換のケトン (14)を製造する工程である。反応は カルボン酸を塩ィ匕チォニル、又はオギザリルクロライド等により酸クロリドへと変換した 後に、 N -メチルイミダゾール等の複素環とトリェチルァミン等の塩基で処理することに より実施できる。
[0124] 溶媒を使用する場合は、塩化メチレン、ァセトニトリル、ベンゼン、又はトルエン等を 用いる。
[0125] 反応温度は 0°C 100°C、好ましくは 0°C 30°Cである。反応時間は、 1時間一 48時 間であり、好ましくは、 1時間一 10時間である。
[0126] 工程 (16)は縮合ピリダジノン (15)を製造する工程である。
[0127] 反応は (14)とヒドラジン又はヒドラジン水和物を作用させることにより実施出来る。溶 媒を使用する場合は、水、メタノーノレ、エタノール、エチレングリコール、ベンゼン、又 はトルエン等を用いる。反応温度は 20°C— 200°C、好ましくは 20°C— 100°Cであり、反 応時間は、 5分一 48時間であり、好ましくは、 1時間一 10時間である。
[0128] 工程 (17)は化合物 (15)の塩素化反応により化合物 (16)を製造する工程である。塩素 化剤としては、塩ィ匕チォニル、ォキシ塩化リン、三塩化リン、又は五塩化リン等を用い 、無溶媒あるいはベンゼン、トルエン、クロ口ホルム、又はジクロロエタン等の溶媒中 で反応を行う。
[0129] 工程 (18)は化合物 (16)より本発明化合物 (13)を製造する工程である。 B-Mは、有機 ホウ素化合物、有機亜鉛化合物又は有機スズィ匕合物等の有機金属化合物を表し、 これらを触媒下で化合物 (16)と反応させることにより工程 (18)を実施出来る。有機ホウ 素化合物、有機亜鉛化合物又は有機スズ化合物は、市販の化合物を使用することも 出来るが、自ら調整することも出来る。
[0130] 有機スズィ匕合物は有機リチウム又は有機マグネシウム化合物とトリアルキル塩ィ匕ス ズカ 調整することが出来、単離することなく用いることもできる。有機ホウ素化合物、 有機亜鉛化合物はホウ酸エステル、ハロゲンィヒ亜鉛を用いて同様に調整出来、単離 する事なく用いることも出来る。また前記有機リチウム化合物はブチルリチウム等の塩 基によるリチェーシヨンあるいはハロゲンィ匕合物とのハロゲン-リチウム交換により調整 することが出来る。
[0131] 触媒としては、 0価又は 2価の Pd触媒 (Pd(PPh )、 Pd(PPh ) CI等)や 0価又は 2価の Ni
3 4 3 2 2
触媒等を用いることが出来る。反応温度は- 78°C— 200°C、好ましくは 0°C— 120°Cで ある。使用する溶媒としては、ジェチルエーテル、 t-ブチルメチルエーテル等のエー テノレ類、 THF、ジォキサン、へキサン、シクロへキサン、ベンゼン、トルエン、キシレン 、塩化メチレン、ジクロロェタン、 DMF、 N -メチノレピロリドン、が挙げられ、単独又は混 合して用いることが出来る。
[0132] また、本工程は化合物 (16)と B-Hとの反応によっても実施できる。ここで、 B-H、 B(—〕と は求核剤 (nucleophileXァミン、チオール、又はアルコキシド等)を示す。反応温度は -78°C— 200°C、好ましくは 0°C 160°Cである。使用する溶媒としては、ジェチルエー テル、又は t-ブチルメチルエーテル等のエーテル類、 THF、ジォキサン、メタノーノレ、 エタノール、へキサン、シクロへキサン、ベンゼン、トルエン、キシレン、塩化メチレン、 ジクロロェタン、 DMF、又は N-メチルピロリドンが挙げられ、単独又は混合して用いる ことが出来る。
[0133] 工程 (19)は、カルボン酸をアミド (17)に変換する反応であり、既知の方法を用いるこ とが出来る。
[0134] 工程 (20)は化合物 (17)の塩素化反応により化合物 (18)を製造する工程である。塩素 化剤としては、塩ィ匕チォニル、ォキシ塩化リン、三塩化リン、又は五塩化リン等を単独 又は混合して用い、無溶媒あるいはベンゼン、トルエン、クロ口ホルム、又はジクロロ ェタン等の溶媒中で反応を行う。
[0135] 工程 (21)は、二トリル (19)から本発明化合物 (13)を製造する工程であり、既存の方法 を用いて閉環を行うことが出来る。
[0136] 例えば、ヒドロキシァミンと二トリルを反応させて得られる N -ヒドロキシアミジンを、酸 クロリド又は酸無水物で処理することによりォキサジァゾールが得られる。また、種々 の縮合剤 (CDI、又は DCC(Dicyclohexylcarbodiimide)等を用いてカルボン酸と N-ヒド ロキシアミジンとを縮合し、さらに加熱閉環させることも出来る。また、 N-ヒドロキシアミ ジンにクロロギ酸ェチルゃチォカルボニルジイミダゾールを反応させることにより、そ れぞれォキソォキサジァゾールゃチォキソォキサジァゾールへと変換出来る。
[0137] また、 N-ヒドロキシアミジンにチォカルボ二ルイミダゾールを加え、さらにボロントリフ ルオリド ェチルエーテル錯体で処理して、ォキソチアジアゾールを得ることもできる 。その他の例として、アジ化ナトリウム等のアジド化合物と二トリルを反応させてテトラ ゾールへと変換することが挙げられる。
[0138] また、エチレンジァミン誘導体と二トリルを反応させてジヒドロイミダゾールを得ること も出来る。
[0139] さらに本発明化合物は以下の方法によっても製造出来る。
(製造法 3) [0140] [化 18]
Figure imgf000026_0001
[0141] 工程 (22)は、前記手法にて製造したフタラジノン化合物に、複素環リチウム化合物 を反応させ、本発明化合物を製造する工程である。
[0142] 複素環リチウム化合物としては、 N-置換 _2_リチウム化合物が挙げられ、フタラジノ ンに対して 200 500モル%量用いることで実施できる。
[0143] 反応温度は _78°C 65°C、好ましくは _50°C 20°Cである。
[0144] 使用する溶媒としては、ジェチルエーテル、又は第 3級ブチルメチルエーテル等の エーテル類、 THF、ジォキサン、メタノーノレ、エタノール、へキサン、シクロへキサン、 ベンゼン、トルエン、キシレン、塩化メチレン、ジクロロェタン等が挙げられ、単独又は 混合して用いることが出来る。
[0145] また、本発明化合物は以下の方法によっても製造出来る。
(製造法 4)
[0146] [化 19]
Figure imgf000026_0002
[0147] 工程 (23)は、二トリル体 (出発物質右化合物)からの変換の場合には、工程 (21)の 方法に準じて実施することが出来る。さらに二トリルの加水分解等によって得られる力 ルボン酸化合物 (出発物質左化合物)を既知の方法に従って、種々の複素環に変換 することが出来る。
[0148] 例えば、出発物質左化合物をァミンと縮合剤にてアミドに変換した後に五塩化リン、 トリメチルシリルアジドと反応させるとテトラゾールを得ることが出来る。また、ァセトヒド ラジドとの反応で得られるアミド化合物ポリリン酸中で加熱することにより 1, 3, 4-ォキ サジァゾールを得ることが出来る。さらにこの化合物とパラメトキシベンジルァミンとを 反応させると 1, 3, 4-トリァゾール誘導体へと変換される。さらにトリフルォロ酢酸をカロ えて加熱すると脱べンジノレ化したトリァゾール化合物が得られる。また、 1, 3, 4 -ォキ サジァゾール化合物をローソン試薬 (Lawesson' s Reagent)にて処理すると 1, 3, 4_チ アジアゾールイ匕合物が得られる。
[0149] また、出発物質左化合物をカルボエルジイミダゾール、マロン酸ェチルカリウム、塩 化マグネシウムで 3-ォキソフタラジン- 1 -ィル -プロピオン酸エステルと変換し、このェ ステルとヒドラジンとを反応させるとピラゾロン誘導体へと変換出来る。
[0150] また、得られたフタラジンィ匕合物の芳香環上 (複素 5員環含む)に置換基を導入する ことも出来る。例えば、ハロゲン化は、塩素、臭素、ヨウ素、 NCS、 NBS、又は MS等を 用いて実施出来る。また導入されたハロゲン原子は種々の金属触媒を用いてさらに 他の誘導体へと導くことが出来る。例えば、 CuCNを用いてのシァノ化が可能である。 また、種々の有機金属化合物 (有機スズ化合物、有機亜鉛化合物、又は有機ホウ素 化合物等)も Pd化合物等を触媒とした反応にてカップリングさせることが出来る。
[0151] また、得られた化合物は保護、脱保護の手法、あるいはアルキル化、加水分解等の 反応によって官能基を変換させることも出来る。
[0152] 以上のようにして得られる各化合物は抽出、結晶化、再結晶、各種クロマトグラフィ 一などの通常の化学操作により単離精製される。
[0153] 本発明の化合物は、通常用いられる適当な希釈剤や他の添加剤とともに適当な投 与形態 (粉末剤、注射剤、錠剤、カプセル剤又は局所外用剤など)に調整した後、そ の投与形態応じた適当な投与方法 (例えば静脈内投与、経口投与、経皮投与又は 局所投与など)によって、ヒト又は動物に投与する事ができる。
[0154] 前記、式 (I)の化合物の塩としては、酸付加塩又は塩基付加塩を用いることができる 力 生理的に許容されるものであれば塩の種類は特に限定されることはない。
一般式 (I)で表わされる縮合ピリダジン誘導体の塩、又はそれらの水和物若しくは溶 媒和物は、縮合ピリダジン誘導体力 公知の方法により製造すればよい。
[0155] 本発明の式 (I)の化合物又はその塩の 1種又は 2種以上をそのまま患者に投与して もよいが、好ましくは、有効成分と薬理学的及び製剤学的に許容しうる添加物を加え 、当業者に周知な形態の製剤として提供されるべきである。
[0156] 薬理学的及び製剤学的に許容しうる添加物としては、賦形剤、崩壊剤、結合剤、滑 沢剤、コーティング剤、色素、希釈剤、基剤、及び等張化剤等を用いることが出来る。 [0157] 経口投与に適する製剤の例としては、錠剤、カプセル剤、散剤、細粒剤、顆粒剤、 液剤、又はシロップ剤等を挙げることができ、非経口投与に適する製剤としては、注 射剤、点滴剤、又は坐剤等を挙げることが出来る。
[0158] 経口投与に適する製剤には、添加物として、賦形剤、崩壊剤、結合剤、滑沢剤、コ 一ティング剤又は基剤等を用いることが出来る。また、本発明の化合物を治療の対象 となる患者に対して投与する場合、対象疾患の治療のために適切な他剤と本発明の 化合物とを併用してもよい。
[0159] 本発明の医薬の投与経路は特に限定されず、経口的又は非経口的に投与するこ とができる。本発明の医薬の投与量は、疾患の予防及び/又は治療の目的、患者の 年齢や状態などの条件に応じて適宜選択可能であるが、一般的には、成人に対して 0.001— 10mg/kg程度、好ましくは 0.0001— lmg/kg程度を注射又は点滴により投与す るか、 0.001— 100mg/kg程度、好ましくは 0.001— 30mg/kg程度を経口的に投与する ことが好ましい。
実施例
[0160] 以下、本発明を実施例によりさらに具体的に説明するが、本発明の範囲は下記の 実施例に限定されることはない。なお、以下の実施例においては次に示すような慣 用略号を用いるものとする。
[0161] 1¾ =テトラヒドロフラン、 DMF = N, N-ジメチルホルムアミド、 DMS〇 =ジメチルス ルホキシド、 CDI =カルボニルジイミダゾール、 DPPA =ジフヱニルホスホリルアジド 、 Z =ベンジルォキシカルボニル、 Boc =第 3級ブチルォキシカルボニル DMF =ジ メチルフオルムアミド、 1¾ =テトラヒドロフラン NMRは核磁気共鳴スぺクトノレを意味 する。数字は通常化学シフトを表示するのに用いられる δ (デルタ)値であり単位は ppmである。内部標準としては TMS (テトラメチルシラン)あるいは重水素化溶媒中の残 留プロトン (DMSO-d6: 2.5ppm)を用いた。なお、 δ値の次に表示したカツコ内の数字 は水素原子の数であり、それに続く表示は sが単一線、 dが二重線、 tが三重線、 qが 四重線、 mが多重線、 brが巾広い吸収ピークを意味する。
[0162] MSはマススペクトルを意味する。括弧内に測定方法 (イオン化方法)を示した。すな わち、 EIは電子イオン化法、 FritFABはフリット高速原子衝撃法を示す。数字は観測 された分子イオン (M+、 M + H + )、フラグメントイオンを示し、単位は m/zである。
[0163] (実施例 1) 1-(4-エトキシフエニル) -4-(1-メチル -1H-イミダゾール -2-ィル)フタラジ ン 塩酸塩
a) フタル酸 モノメチルエステル
無水フタル酸 30.0g(202.5 mmol)をメタノールに溶解し、 2時間加熱還流する。反応液 を減圧留去し、得られた固体を減圧下乾燥させ表記化合物 36.9g (収率 100%)を無色 固体として得た。 1H- NMR(CDC13): 3·93(3Η, s), 7.57- 7.64(2H, m), 7.69- 7.73(1H, m), 7.94-7.96(lH, m)。
b) 2_(1-メチル -1H-イミダゾール- 2_ィル)カルボニル安息香酸 メチルエステル 実施例 laで得られた化合物 67.94g(377.1 mmol)を塩化チォニル (160ml)に溶解し、 3 時間過熱還流する。反応液を減圧留去し、ァセトニトリル (50ml)に溶解する。
[0164] 別に N -メチルイミダゾール 31.95g(389.2 mmol)をァセトニトリル (300ml)に溶解し、トリ ェチルァミン 57.0ml(410 mmol)を加え、氷冷下攪拌する。この氷冷攪拌中の溶液に 前記ァセトニトリル溶液を滴下し、室温下数時間攪拌する。
[0165] 反応液に水を加え、酢酸ェチルにて抽出し、飽和食塩水にて洗浄後、硫酸ナトリウ ムにて乾燥する。不溶物をろ過した後、溶液を減圧留去する。得られた油状物をシリ 力ゲルカラムクロマトグラフィー (酢酸ェチル -へキサン)にて精製した後、へキサン-ジ ェチルエーテルで洗浄して、表記化合物 49.88g (収率 54%)を固体として得た。
1H-NMR(CDC13): 3.69(3H, s), 4.15(3H, s), 7.06(1H, s), 7.08(1H, s), 7.51— 7·64(3Η, m), 7.96-8.00(lH, m)。
c) 4-(l-メチル -1H-イミダゾール -2-ィル) -2H-フタラジン- 1-オン
実施例 lbで得られた化合物 40.13g(164 mmol)をエタノール 160mlに溶解し、ヒドラジン 1水和物 11.5ml(237 mmol)をカ卩ぇ 6時間加熱還流した。室温に冷却した後、ジェチル エーテル 100mlをカ卩え、 0°Cで 30分撹拌した。析出した固体をろ取し、ジェチルエーテ ルで洗浄し、表記化合物 35.47g (収率 95%)を得た。 1H_NMR(CDC13): 3.87(3H, s), 7·07(1Η, s), 7·25(1Η, s), 7.75— 8.00(2Η, m), 8.45— 8.55(1Η, m), 8·65_8·75(1Η, m), 11.24(1Η, s)。
d) l_クロ口- 4_(1_メチル _1Η -イミダゾール -2-ィル)フタラジン 実施例 lcで得られた化合物 5.40g(23.87 mmol)にォキシ塩化リン (8.0ml)を加え、 3時 間加熱還流した。反応液を冷却後、ォキシ塩化リンを減圧留去し、塩化メチレンに懸 濁させた。飽和重曹水、水酸化ナトリウムをカ卩えて pH > 8とし、分液し、水層を塩化メ チレンで抽出し、有機層を合わせて硫酸ナトリウムで乾燥した。不溶物をろ過した後、 シリカゲルカラムクロマトグラフィー (酢酸ェチル-ジクロロメタン)にて精製後、へキサン で洗浄して表記化合物 5.19g (収率 89%)を無色固体として得た。
[0166] さらに、ろ液を減圧濃縮して、 0.21g (収率 4%)の固体を得た。 1H_NMR(CDC13):
4·08(3Η, s), 7· 16(1Η, s), 7.33(1Η, s), 7.95— 8.05(2Η, m), 8.30— 8.40(1Η, m), 9· 15-9·25(1Η, m)0
e) l-(4-エトキシフエニル) -4-(1_メチル -1Η -イミダゾール -2-ィル)フタラジン 実施例 Idで得られた化合物 296mg(1.210 mmol)に 4-エトキシフヱニルボロン酸 306mg(1.843 mmol),炭酸カリウム 524mg(3.719 mmol),トルエン 5ml、エタノール 2mlを 加え、窒素ガスを懸濁液中に吹き込みながら室温で 1時間撹拌した。テトラキス (トリフ ェニルホスフィン)パラジウム (0)86mg(0.074 mmol)を加え、窒素気流下、 110°Cにて 6時 間撹拌した。反応溶液にクロ口ホルムをカ卩え、セライト、シリカゲル上でろ過した。 ろ 液を減圧濃縮した後、残渣を t_ブチルメチルエーテル -酢酸ェチルに加熱溶解した。 この溶液を冷却し、析出した固体をろ取し、表題化合物 201mg (収率 55%)を得た。 1 H— NMR(CDCl ): 1.49(3H, t), 4.10— 4·20(5Η, m), 7.09— 7.13(2Η, m), 7.16(1Η, s),
3
7.34(1Η, s), 7.76-7.80(2Η, m), 7.80— 8.00(2Η, m), 8.16- 8.20(1Η, m), 9.15- 9·20(1Η, m)。
f) l-(4-エトキシフエニル) -4-(l-メチル -1H-イミダゾール -2-ィル)フタラジン 塩酸塩 実施例 leで得られた化合物 201mg(0.662 mmol)をアセトン 30mlに溶解し、 4モル塩酸 -酢酸ェチル溶液 (0.57ml)をカ卩ぇ室温で撹拌した。エーテルを加えた後、析出物をろ 取して表題化合物 252mgを得た。 1H-NMR(DMS0- d6: 1.41(3H, t), 3.96(3H, t), 4.19(2H, q), 7.21-7.25(2H, m), 7.79— 7.83(2H, m), 7.97(1H, s), 8.07(1H, s), 7.80-8.00(2H, m), 8.16_8.30(4H, m)0
[0167] (実施例 2) 1_(1-メチル -1H-イミダゾール- 2_ィル) _4_(4_トリフルォロメトキシフヱ二 ノレ)フタラジン 塩酸塩 a) 1-(1-メチル -1H -イミダゾール _2-ィル) -4-(4-トリフルォロメトキシフエ二ル)フタラ ジン
実施例 Idで得られた化合物、及び 4-トリフルォロメトキシフヱニルボロン酸を用いて実 施例 leと同様の操作を行うことにより、表記化合物 506mg (収率 68%)を固体として得 た。 1H-NMR(CDC13): 4.14(3H, s), 7· 18(1Η, s), 7.35(1Η, s), 7.43-7.470(2Η, m), 7.80-8.10(5Η, m), 9.23-9.26(1Η, m)MS(EI): 370(Μ+), 342, 285, 241, 209, 183, 156, 129。
b) 1-(1-メチル -1Η-イミダゾール _2 -ィル )_4_(4-トリフルォロメトキシフヱニル)フタラ ジン 塩酸塩
実施例 2aで得られた化合物を用いて実施例 Ifと同様の操作を行うことにより、表記化 合物 320mg (収率 58%)を固体として得た。 lH_NMR(DMSO_d6: 3.96(3H, t),
7.67-7.75(2H, m), 7.98_8·05(3Η, m), 8.10(1H, s), 8.15-8.25(4H, m)0
[0168] (実施例 3) l-(3, 4-ジメトキシフエニル) -4-(l-メチル -1H-イミダゾール -2-ィル)フタ ラジン 塩酸塩
a) 1-(3, 4-ジメトキシフエニル) -4-(1-メチル -1H-イミダゾール -2-ィル)フタラジン 実施例 Idで得られた化合物及び 3, 4-ジメトキシフヱニルボロン酸を用いて実施例 le と同様の操作を行うことにより、表記化合物 531mg (収率 77%)を固体として得た。
1H-NMR(CDC13): 3·99(3Η, s), 4.01(3H, s), 4.14(3H, s), 7.05- 7·50(5Η, m),
7.85— 8.05(2H, m), 8.20— 8.25(1H, m), 9.10— 9·20(1Η, m)。
b) l-(3, 4-ジメトキシフヱニル) -4-(l_メチル -1H -イミダゾール -2-ィル)フタラジン 塩 酸塩
実施例 3aで得られた化合物を用いて実施例 Ifと同様の操作を行うことにより、表記化 合物 404mg (収率 58%)を黄色固体として得た。 lH_NMR(DMSO_d6: 3.87(3H, s), 3.91(3H, s), 3·96(1Η, s), 7.24— 7.28(1H, m), 7.39— 7.45(2H, m), 7.97(1H, s),
8.07(1H, s), 8.15—8.35(4H, m)0
[0169] (実施例 4) 1_(2, 4 -ジメトキシフヱニル) -4-(l-メチル -1H-イミダゾール- 2_ィル)フタ ラジン 塩酸塩
a) 1_(2, 4-ジメトキシフエニル) -4-(1-メチル -1H-イミダゾール- 2_ィル)フタラジン 実施例 Idで得られた化合物及び 2, 4-ジメトキシフヱニルボロン酸を用いて、実施例 leと同様の操作を行うことにより、表記化合物 326mg (収率 78%)を固体として得た。 1H-NMR(CDC13): 3·69(3Η, s), 3·92(3Η, s), 4.13(3Η, s), 6.60-6.75(2Η, m), 7· 15(1Η, s), 7·33(1Η, s), 7.46-7.50(1Η, m), 7.75— 8.00(3Η, m), 9· 10_9· 15(1Η, m)0 b) 1_(2, 4-ジメトキシフヱニル) -4-(l-メチル -1H-イミダゾール- 2_ィル)フタラジン 塩 酸塩
実施例 4aで得られた化合物を用いて実施例 Ifと同様の操作を行うことにより、表記化 合物 316mg (収率 88%)を黄色固体として得た。 lH_NMR(DMSO_d6: 3.71(3H, s), 3.9K3H, s), 3·98(1Η, s), 6.75— 6.90(2H, m), 7.45— 7.48(1H, m), 7·80_8·25(6Η, m)0
[0170] (実施例 5) 1_(1-メチル -1H-イミダゾール- 2_ィル) _4_(4_ピリジル)フタラジン
実施例 Idで得られた化合物 2.80g(11.44 mmol)、及びピリジン- 4_ボロン酸
3.25g(26.44 mmol)を用いて実施例 leと同様の操作を行うことにより、表記化合物 2.21g (収率 67%)を固体として得た。 1H-NMR(CDC13): 4.15(3H, s), 7.20(1H, s), 7.37(1H, s), 7, 75(2H, d), 7.90— 8.10(3H, m), 8.88(2H, d), 9.29(1H, d)MS(EI): 287, 259, 209, 182, 156, 129, 78。
[0171] (実施例 6) 1-メトキシ -4-(l-メチル -1H-イミダゾール -2-ィル)フタラジン 塩酸塩 実施例 Idで得られた化合物 342mg(1.415 mmol)をメタノールに懸濁させ、 _70°Cにて 水素化ナトリウム (60%)65mg(1.63 mmol)を加えた。さらに室温で撹拌した後、 50°Cに て 3時間撹拌した。反応液に水を加え室温にて撹拌した後、析出した固体をろ取し、 得られた粗生成物をへキサン-エタノールで洗浄し、フリー体 180mg (収率 53%)を得 た。 1H-NMR(CDC13): 4.04(3H, s), 4.58(3H, s), 7.10(1H, s), 7.28(1H, s),
7.85-7.95(2H, m), 8.20_8.30(1H, m), 8.90- 9.00(1H, m) この化合物をアセトン 7mlに 溶解し、 4モル塩酸-酢酸ェチル溶液 (0.175ml)を加え室温で撹拌した。析出した固体 をろ取し、表題化合物 109mg (収率 53%)を得た。 lH_NMR(DMSO_d6: 3.88(3H, s), 4.32(3H, s), 7·88(1Η, s), 7.99(1H, s), 8.00— 8.10(3H, m), 8.30— 8.40(1H, m)。
[0172] (実施例 7) 1_(4-シァノフエノキシ )_4_(1_メチル _1H -イミダゾール -2-ィル)フタラジ ン 塩酸塩
4-シァノフヱノール 220mg(0.899 mmol)を DMFに溶解させ、水素化ナトリウム (60% )126mg(1.06 mmol)を加え室温で撹拌した。これに Idで得られた化合物を加え、 150 °Cで 6時間撹拌した。反応液に水をカ卩ぇ室温にて撹拌した後析出した固体をろ取し、 エタノールに加熱溶解し、冷却後、析出物をろ取してフリー体 132mg (収率 45%)を固 体として得た。ろ液に同様の操作を行レ、、フリー体 42mg (収率 14%)を得た。
1H-NMR(CDC13): 4.01(3H, s), 7.13(1H, s), 7·31(1Η, s), 7.48— 7.52(2H, m), 7.75-7.85(2H, m), 7.90_8.05(2H, m), 8.40- 8.45(1H, m), 9.10- 9.15(1H, m) この化 合物 132mgをアセトン-ジェチルエーテルに溶解し、 4モル塩酸-酢酸ェチル溶液 (0.27ml)をカ卩ぇ室温で撹拌した。析出した固体をろ取して表題化合物 134mg (収率 92 %)を得た。 lH-NMR(DMSO-d6: 3·88(3Η, s), 7.65— 7.70(2H, m), 7.80— 7.82(1H, m), 7.92-7.94(lH, m), 8.00-8.10(2H, m), 8.20— 8.30(3H, m), 8.50— 8.60(1H, m)。
[0173] (実施例 8) 6 -メトキシ メチル _1H -イミダゾール -2-ィル) -4-フエニルフタラジ ン
a) 2-ベンゾィル -4-メトキシ -N-フエニルベンズアミド
4-メトキシベンゾィル クロリド 10.83g(63.48 mmol)のジクロロメタン 20ml溶液を、ァニリ ン 5.99ml(64.32 mmol),トリェチルァミン 9.5mlのジクロロメタン 120ml溶液に氷冷下で 滴下した後、 1時間室温にて撹拌した。反応液を濃縮し、水を加えて酢酸ェチルで抽 出した。 1M水酸化ナトリウム、飽和食塩水で洗浄し、無水硫酸マグネシウムにて乾燥 し、ろ過、濃縮した。へキサン、酢酸ェチルを加え析出した固体をろ取し、へキサンで 洗浄して、 4-メトキシ -N-フエニル-ベンズアミド 5.50g(24.20 mmol、収率 38%)を得た。 同じ方法で得たものと合わせた 4-メトキシ -N-フエニル-ベンズアミド 6.57g(28.91 mmol)に、 THF100ml、 TMEDA (テトラメチルエチレンジァミン) 9.6ml(63.6 mmol)をカロ え、 -78°Cに冷却した。この混合物に窒素気流下にて n-ブチルリチウムへキサン溶液 (1.5M)42ml(63mmol)を 20分かけて滴下した。
[0174] 反応液を 0°Cにて 15分撹拌した後、 _78°Cに冷却し、ジメチルベンズアミド
4.80g(32.2 mmol)の THF溶液 (40ml)を 15分かけて滴下した。反応液を徐々に室温ま で戻した後、メタノールを加えた。溶媒を減圧濃縮し、 THF-酢酸ェチルに溶解し、飽 和食塩水で洗浄した後、無水硫酸ナトリウムで乾燥した。ろ過、減圧濃縮後、へキサ ン-酢酸ェチル = 1 : 1 約 200mlをカ卩え、加熱還流下で洗浄した。室温に冷却し、析 出物をろ取して、表題化合物 5.49g (収率 57%)を得た。さらに、ろ液から 3.4gの粗生成 物を得た。
b) 6-メトキシ- 4-フエニル -2H -フタラジン- 1-オン
実施例 8aにて得られた化合物 8.84g(26.68 mmol)にヒドラジン 1水和物 40ml、エチレン グリコール 20mlをカ卩え、 2時間加熱還流した。反応液を冷却し、水 60ml を加え、析出 した固体をろ取した。これにエタノール 50mlを加え、加熱還流下で洗浄して、表題 化合物 5.92g (収率 88%)を得た。 lH_NMR(DMSO-d6): 3.81(3H, s), 6.95_7.05(1H, m), 7.40-7.65(6H, m), 8.20— 8.30(1H, m), 12.70(1H, s)。
c) 6 -メトキシ -1-(1-メチル -1H -イミダゾール -2-ィル) -4-フエニルフタラジン 実施例 8bにて得られた化合物を THF13mlに懸濁させ- 30°Cに冷却した。別に調整し た 1-メチルイミダゾリル- 2-リチウムの THF溶液 (1 -メチルイミダゾール 1.31g(15.96 mmol), THF 10ml, n_BuLi(1.56M) 10ml 力も調整)を滴下し、徐々に室温に戻し 10 時間撹拌した。氷冷下、反応液に 1モル塩酸 50mlを加え、酢酸ェチルで洗浄した。水 層を、酢酸ェチル -THFで洗浄した後、炭酸カリウムを加えて塩基性とした。これを酢 酸ェチルにて抽出し、飽和食塩水で洗浄し、無水硫酸ナトリウムにて乾燥した。シリ 力ゲル上でろ過、濃縮し、アセトン 5ml、ジェチルエーテル 15mlを加えて 0°Cで洗浄す ることにより、表題化合物 771mg (収率 60%)を淡黄色固体として得た。
1H-NMR(CDC13): 3·87(3Η, s), 4.13(3H.s), 7.14(1H, s), 7.32(1H, s), 7.35— 7·38(1Η, m), 7.50-7.65(4H, m), 7.80_7.85(2H, m), 9.13(1H, d)。
(実施例 9) 6-クロ口- 1-(1-メチル -1H-イミダゾール -2-ィル) -4-フエニルフタラジン a) 2-ベンゾィル -4-クロ口 -N -フエニル -ベンズアミド
4-クロ口安息香酸 15.72g(100.4 mmol)にジクロロメタン 100ml、 DMF0.3mlを加え、塩化 オギザリル 9.2ml(105 mmol)を室温で 30分かけて滴下した後、 30°Cにて約 1時間撹拌 した。得られた反応液を、ァニリン 10.0ml(109.4 mmol),トリェチルァミン 15.3ml(110 mmol)のジクロロメタン 100ml溶液に氷冷下で滴下した後、終夜室温にて撹拌した。反 応液に水 100mlを加え、ジクロロメタンを留去し、水酸化ナトリウム 2g、エタノール 50ml をカロえた。析出した固体をろ取し、水洗した。得られた固体を酢酸ェチル、次いでへ キサン、酢酸ェチルの混合溶媒にて洗浄することにより、 4_クロ口- N-フエニル -ベン ズアミド 21.19g(91.46 mmol、収率 91%)を得た。この 4_クロ口- N-フエニル-ベンズアミ ド 21.19g(91.46 mmol)を用レ、、実施例 8aと同様の操作を行うことにより、表題化合物 16.04g (収率 52%)が得られた。
b) 6_クロ口 - 4_フエニル -2H-フタラジン- 1-オン
実施例 9aにて得られた化合物 16.04g(47.77 mmol)用レ、、実施例 8bと同様の操作を行 うことにより、表題化合物 4.77g (収率 39%)を得た。 lH-NMR(DMSO_d6):
7·50-7·65(6Η, m), 7.90_7·95(1Η, m), 8.30— 8.40(1Η, m), 12.96(1Η, s)。
c) 6_クロ口- 1-(1_メチル _1Η -イミダゾール -2-ィル) -4-フエニルフタラジン
実施例 9bにて得られた化合物 536mg(2.088 mmol)用レ、、実施例 8cと同様の操作を行 うことにより、表題化合物 210mg (収率 31%)を得た。 1H-NMR(CDC ): 4.15(3H.s), 7· 18(1Η, s), 7.34(1H, s), 7.55— 7.65(3H, m), 7.75— 7.82(2H, m), 7·85_8·00(1Η, m), 8.00-8.10(1H, m), 9.29(1H, d)。
(実施例 10) 8-クロ口- 1-(1-メチル -1H-イミダゾール -2-ィル) -4-フエニルフタラジン a) 6-ベンゾィル -2-クロ口 -N -フエエルベンズアミド
実施例 8aと同様にして合成した 2-クロ口- N-フエエル-ベンズアミド 10.06g(43.
42 mmol)を用い、実施例 8aと同様の操作を行うことにより、表題化合物 10.99g (収率 75
%)を得た。
b) 8-クロ口- 4-フエニル -2H-フタラジン- 1-オン
実施例 10aにて得られた化合物 10.99g(32.73 mmol)に 50%硫酸水溶液 (濃硫酸 14ml 、水 14mはり調整)、 n-ブタノール 10mlをカ卩ぇ 2時間加熱還流させた。反応液に水 200mlを加え、酢酸ェチルで抽出し、飽和食塩水で洗浄した後、減圧濃縮した。これ にエタノール 80ml、ヒドラジン 1水和物 5mlを加え、 6時間加熱還流させた。室温まで冷 却した後、析出した固体をろ取することにより、表題化合物 6.48g (収率 77%)を得た。 lH-NMR(DMSO-d6): 7·50_7·60(6Η, m), 7·75_7·95(2Η, m), 12.82(1Η, s)。
c) 8_クロ口- 1-(1_メチル _1Η -イミダゾール -2-ィル) -4-フエニルフタラジン
実施例 10bにて得られた化合物 51 lmg(l.990 mmol)用レ、、実施例 8cと同様の操作を 行うことにより、表題化合物 554mg (収率 87%)を得た。 1H_NMR(CDC ): 3.77(3H.s), 7· 11(1Η, s), 7·25(1Η, s), 7.50— 8.10(8Η, m) (実施例 11) 6-フルォ口- 1-(1-メチル -1H-イミダゾール -2-ィル) -4-フエニルフタラジ ン
a) 2-ベンゾィル -4-フルォ口- N-フエニルベンズアミド
実施例 8aと同様にして合成した 4_フルォ口- N-フエニルベンズアミド 4.37g(20.30 mmol)を用レ、、実施例 9aと同様の操作を行うことにより、表題化合物 3.65g (収率 56%) を得た。
b) 6_フルォ口- 4-フエニル -2H-フタラジン- 1-オン
実施例 11aにて得られた化合物 2.55g(7.99 mmol)に 50%硫酸水溶液 (濃硫酸 4ml、水 4mはり調整)を加え 2時間加熱還流させた。反応液を冷却し、水 40mlを加え、ろ取す ることにより、 2-ベンゾィル -4-フルォロ安息香酸 1.40g (収率 72%)を得た。
lH-NMR(DMS-d6): 7.35_7.45(m, 1H), 7.45-7.55(3H, m), 7.60- 7.70(3H, m), 8.00-8.10(1H, m) この化合物 0.73gにエタノール 6ml、ヒドラジン 1水和物 0.16gを加え 、 2時間加熱還流させた。 0°Cまで冷却した後、析出した固体をろ取することにより、表 題化合物 465mg (収率 65%)を得た。 lH-NMR(DMSO_d6): 7.25-7.35(1Η, m), 7.50-7.60(5H, m), 7.70- 7.80(1H, m), 8.35- 8·45(1Η, m)。
c) 6-フルォロ -1-(1-メチル -1H-イミダゾール -2-ィル) -4-フエニルフタラジン 実施例 l ibにて得られた化合物 139mg(0.579 mmol)用い、実施例 8cと同様の操作を 行うことにより、表題化合物 71.0mg (収率 40%)を得た。 1H_NMR(CDC13): 4.15(3H.s), 7.17(1H, s), 7.33(1H, s), 7.55- 7·85(7Η, m), 9.30- 9·40(1Η, m)。
(実施例 12) 1-(1-メチル -1H-イミダゾール -2-ィル) -4-トリフルォロメチルフタラジン a) 2-トリフルォロアセチル安息香酸
4, 4 -ジメチル- 2_フエニル -1, 3 -ォキサゾリン 8.70g(49.65 mmol)を THF35mlに溶解 し、窒素下、 -70°Cにてノルマルブチルリチウム (1.56Mへキサン溶液) 35mlを滴下した 。 0°Cで 40分撹拌した混合物を、 -70°Cにて 1等量のトリフルォロ酢酸ェチルエステル の THF50ml溶液へ 1時間かけて滴下した。反応混合物に氷と 4モル塩酸水溶液をカロ え、酢酸ェチルで 3回抽出した。塩酸一食塩水で洗浄、無水硫酸ナトリウムで乾燥さ せ、シリカゲル上でろ過し減圧濃縮して、 13.95gの油状物質を得た。これに 1, 4 -ジォ キサン 40ml、濃塩酸 50ml、水 30mlを加え、 100°Cにて 6時間撹拌した。酢酸ェチルと 水を反応液に加え、分液し濃縮した。さらに 6モル塩酸水溶液 100mlをカ卩え、 100°Cで 1時間加熱した後、酢酸ェチルと水を反応液に加え、分液し濃縮した。シリカゲルクロ マトグラフィ一にて精製し、表題化合物 8.34g (収率 77%)を褐色油状物質として得た b) 4_トリフルォロメチル -2H-フタラジン- 1-オン
実施例 12aにて得られた化合物 8.34gをエタノールに溶解し、ヒドラジン 1水和物 4.4ml をカロえて 12時間加熱還流した。反応液を 0°Cに冷却した後、析出した固体をろ取し、 表題化合物 5.88g (収率 72%)を得た。 lH_NMR(DMSO-d6): 7.90-8.10(3H, m), 8.30-8.40(1Η, m), 13.13(1H, s)。
c) l_(l_メチル _1H -イミダゾール -2-ィル) -4-トリフルォロメチルフタラジン
実施例 12bで得られた化合物 365mg(1.704 mmol)を THF6mlに懸濁させ- 70°Cに冷却 した。別に調整したトメチルイミダゾリル- 2-リチウムの THF溶液 (1-メチルイミダゾー ノレ 561mg(6.833 mmol), THF60ml, n-BuLi(1.56M)4.4ml 力ら調整)を滴下し、 -70。C で 3時間撹拌した。さらに- 50°Cに昇温し、 1時間撹拌した。
[0178] 反応液に水 20mlを加え、酢酸ェチルで抽出した。これを、 1モル塩酸水溶液で 2回 抽出した水層に、炭酸ナトリウムを加えアルカリ性にした後、酢酸ェチルにて抽出した 。飽和食塩水で洗浄し、無水硫酸ナトリウムにて乾燥した。ろ過、濃縮し、ジェチルェ 一テルをカ卩えて得られた溶液にへキサンをカ卩えた。溶媒を減圧留去すると途中で固 体が得られた。これを- 70°Cにて 10分間へキサンで洗浄して、表題化合物 54.1mg (収 率 11%)を得た。 1H_NMR(CDC 3): 4.15(3H, s), 7.21(1H, s), 7.37(1H, s),
8.00-8.10(2H, m), 8.25— 8.35(1H, m), 9·35— 9·45(1Η, m)。
[0179] (実施例 13) 1_(1-メチル -1H-イミダゾール _2 -ィル )_4 -フエニルフタラジン
4-フエニル -2H-フタラジン _1_オン 5.60g(25.20 mmol)用レ、、実施例 8cと同様の操作を 行うことにより、表題化合物 5.87g (収率 81%)を得た。 1H-NMR(CDC13): 4.13(3H, s), 7· 17(1Η, s), 7.34(1Η, s), 7.55— 7.60(3Η, m), 7.75— 7.95(4Η, m), 8· 10_8· 14(1Η, m), 9· 19-9·25(1Η, m)MS(EI): 286(Μ+), 258, 209, 183, 156, 143, 129, 102, 77。
[0180] (実施例 14) 1_(1Η-イミダゾール _2 -ィル )_4 -フヱニルフタラジン
a) エトキシメチル -1H -イミダゾール -2-ィル) -4-フエニルフタラジン イミダゾール 6.85g(100.6 mmol)を THF30mlに溶解し、クロロメチルェチルエーテル 4.95ml(51.22 mmol)の THF溶液を滴下した。さらに室温で 2.5時間撹拌した後、トルェ ン 80mlを加えた。塩をろ去し、溶液を濃縮して 1-エトキシメチル -1H -イミダゾール 4.43gの粗生成物を得た (収率 69%)。これを THF30mlに溶解し、 _70°Cにて n_ブチル リチウム (1.56M)35ml(54.6 mmol)を滴下し 20分撹拌し、黄色懸濁液を得た。これを、 4-フエニル -2H-フタラジン _1_オンの THF 15ml懸濁液に、室温で加え、さらに 8時間 撹拌した。水、濃塩酸をカ卩えて pH8 9に調整し、酢酸ェチルで抽出した。 2モル塩酸 にて水層へと抽出した後、炭酸カリウムをカ卩えてアルカリ性とした。これを酢酸ェチル で抽出、飽和食塩水洗浄、無水硫酸ナトリウム乾燥、ろ過、濃縮し、シリカゲルカラム クロマトグラフィー (へキサン:酢酸ェチル = 1:4→酢酸ェチル)にて精製し表題化合物 0.45g (収率 13%)を得た。 1H-NMR(CDC13): 1· 11(3Η, t), 3·52(2Η, q), 5.97(2Η, s), 7·39(1Η, d), 7.44(1Η, d), 7·55_7·65(3Η, m), 7.75-8.15(5Η, m), 9.15(1Η, d)。
b) l-(lH-イミダゾール -2-ィル) -4-フエニルフタラジン
実施例 14aで得られた化合物 0.45g(1.362 mmol)にエタノール 6ml、水 3ml、濃塩酸 3ml を加え、 9時間加熱還流させた。反応液を濃縮しアセトン 10mlを加え 30分撹拌し固体 をろ取して表題化合物 399mg (収率 95%)を得た。 lH-NMR(DMSO_d6):
7.65— 7.75(3H, m), 7.80— 7.85(2H, m), 7.98(2H, s), 8.15— 8.25(3H, m), 8.69(1H, d)。
(実施例 15) 1-(1-メチル -1H-イミダゾール -2-ィル)フタラジン
1-メチルイミダゾール 4.96g(60.41 mmol)を THF50mlに溶解し、窒素下、 -70。Cで、ノ ルマルブチルリチウム (1.57M)38ml(60 mmol)を滴下し 30分撹拌した。塩化トリ- n_ブ チルスズ 20.53gの THF20ml溶液を滴下し、室温まで昇温した。これに塩化リチウム 2.58g(60.86 mmol),既知の方法 (J.Chem.,So , 1956, pl081)に従って合成した 1-クロ 口フタラジン 4.92g(29.89 mmol),テトラキス (トリフエニルホスフィン)パラジウム
(0)4.65g(4.02 mmol),キシレン 80mlを加えた後、窒素ガスを吹き込み 30分加熱撹拌し た。さらに 130°Cにて 3.5時間撹拌した。反応液に酢酸ェチルをカ卩え、シリカゲルカラ ムクロマトグラフィー後、へキサン、酢酸ェチルの混合溶媒で洗浄して、表題化合物 を合わせて 2.46g (収率 39%)得た。 1H-NMR(CDC13): 4.10(3H, s), 7· 16(1Η, s), 7·33(1Η, s), 7.90— 8.05(3Η, m), 9.05-9.15(1Η, m), 9.49(1Η, s)MS(EI), 210輔, 182, 155, 129, 103, 82, 76, 42。
実施例 1から実施例 15に記載の化合物を以下に示す。
[0182] [化 20] 実施例 実施例 実施例
Figure imgf000039_0001
[0183] (実施例 16) 1-(1, 3-チアゾール -2-ィル) -4-フヱニルフタラジン
1,3 -チアゾール 710mg(8.34 mmol)を THF6mlに溶解し、窒素下、 - 70°Cで、ノノレマノレ ブチルリチウム (1.56M)5.5ml(8.58 mmol)を滴下し 30分撹拌した。塩化トリーノルマル ブチルスズ 2.87gを加え、室温まで昇温した。これに塩化リチウム 0.41g(9.67 mmol), 1-クロロフ- 4-フエニルタラジン 1.30g(5.40 mmol),テトラキス (トリフエニルホスフィン)パ ラジウム (0)0.3g(0.26 mmol),トルエン 13mlを加えた後、窒素下 40時間加熱還流した。 反応液に酢酸ェチルと水を加え、ろ過、分液、飽和食塩水洗浄後、無水硫酸ナトリウ ム乾燥しろ過した。シリカゲルカラムクロマトグラフィー (へキサン:酢酸ェチル = 2: 1) 後、シクロへキサン、エタノールの混合溶媒で洗浄して、表題化合物 1.128g (収率 72 %)を得た。 1H-NMR(CDC13): 7·55_7·65(4Η, m), 7·80_7·85(2Η, m), 7.85_7·95(1Η, m), 7.95-8.051H, m), 8.10— 8.20(1H, m), 9.87(1H, d)。
[0184] (実施例 17) 1_(4, 5 -ジヒドロ- 1H-イミダゾール _2 -ィル )_4 -フエニルフタラジン
4-フエニルフタラジン _1_カルボ二トリル 0.71g(3.07 mmol)にエチレンジァミン 8ml,硫 黄 55mgをカ卩えて約 10時間加熱還流した。水 100mlを加えて析出した固体をろ取しェ 一テルで洗浄して、表題化合物 192mg (収率 29%)を得た。 1H_NMR(CDC13):
3.65(2H, t), 4.29(2H, t), 6.45(1H, s), 7.55- 7·65(3Η, m), 7.70- 8.00(4H, m),
8.10(1H, d), 9.73(1H, d)。
[0185] (実施例 18) 1-(1-メチル -4, 5-ジヒドロ- 1H-イミダゾール -2-ィル) -4-フエニルフタラ ジン 塩酸塩
4-フエニルフタラジン- 1-カルボ二トリル 347mg(1.50 mmol)に N_メチルエチレンジアミ ン 0.4ml,硫黄 20mgをカ卩えて約 8時間加熱還流した。反応液を濃縮後、アセトンを加え てろ過した後、 4モル塩ィヒ水素酢酸溶液 0.4mlをカ卩えた。さらに塩ィヒメチレンを加え撹 拌し固体をろ取し、表題化合物 335mg (収率 69%)を得た。 _NMR(DMSO-d6): 3·06(3Η, s), 4.20-4.40(4H, m), 7·70_7·90(5Η, m), 8.15_8·30(3Η, m), 8.30— 8.45(1H, m), 11, 20(1H, s)。
[0186] (実施例 19) 1_(5-メチル -[1, 2, 4]-ォキサジァゾール -2-ィル) -4-フヱニルフタラジ ン
4-フエニルフタラジン - 1_カルボ二トリル 500mg(2.162 mmol)に水 5.5ml,エタノール 14ml,塩酸ヒドロキシァミン 0.54g、 炭酸カリウム 0.67gをカ卩ぇ 4時間加熱還流した。反 応液を室温まで冷却し水 40mlをカ卩えて析出した固体をろ取し、 N-ヒドロキシ- 4_フエ ニルフタラジン- 1-カルボキシアミジン 524mg (収率 92%)を得た。 1H_NMR(CDC13): 5.93(2H, s), 7.21(1H, s), 7.55- 7·65(3Η, m), 7.7.75-7.80(2H, m), 7.85_8.00(2H, m), 8.11(1H, d), 9.31(1H, d) この化合物 57mg(0.216 mmol)にピリジン lmlを加え 0°Cに冷 却し、塩化ァセチル 0.3mlをカ卩えた。室温で 1時間撹拌した後、 1モル水酸化ナトリウム 水溶液 40mlを加えた。生成した固体をろ取しアセトンに溶解しシリカゲル上でろ過し た。ろ液にへキサンを加えて固体を析出させることにより表題化合物 30mg (収率 49%) を得た。 1H-NMR(CDC13): 2.82(3H, s), 7·55_7·65(3Η, m), 7·75_7·85(2Η, m), 7·90-8·05(2Η, m), 8.19(1Η, d), 8·91(1Η, d)。
[0187] (実施例 20) 1_(5-トリフルォロメチル -[1, 2, 4]-ォキサジァゾール _2 -ィル )_4 -フエ ニルフタラジン
実施例 19と同様の方法を用い、 N -ヒドロキシ -4-フエニルフタラジン- 1-カルボキシァ ミジン 100mg(0.378 mmol),ピリジン lml、トリフルォロ酢酸無水物 0.2πから、表題化合 物 55mg (収率 42%)を得た。 1H-NMR(CDC13): 7.60_7.65(3H, m), 7.80-7.85(2H, m), 7.90-8.15(2H, m), 8.26(1H, d), 8.83(1H, d)。
[0188] (実施例 21) l-(4, 5-ジブロモ -1-メチル -1H-イミダゾール -2-ィル) -4-フエニルフタ ラジン
1-(1-メチル -1H -イミダゾール -2-ィル) -4-フエニルフタラジン 550mg(1.921 mmol)をク ロロホルム 10mlに溶解し、 -20°Cにて臭素 0.22ml(4.4 mmol)のクロロホノレム溶液 (3ml) を滴下した。 0°Cまで昇温し 30分撹拌した。 1モル水酸化ナトリウム水溶液 30mlをカロえ て分液し、飽和食塩水で洗浄、無水硫酸ナトリウム乾燥して、ろ過した。シリカゲル力 ラムクロマトグラフィーにて精製し、エーテルで洗浄し表題化合物 308mg (収率 36%)を 得た。 1H-NMR(CDC13): 4· 11(3Η, s), 7.55- 7.65(3H, m), 7·75_7.85(2H, m),
7-85-8.05(2H, m), 8.16(1H, d), 9.03(1H, d)。
[0189] (実施例 22) 1_(5-ブロモ _1_メチル _1H -イミダゾール -2-ィル) -4-フエニルフタラジ ン
1-(1-メチル -1H-イミダゾール - 2_ィル) _4_フエニルフタラジン 2.54g(8.87 mmol)をクロ 口ホルム 40mlに溶解し、 N-ブロモコハク酸イミド (NBS)をカ卩え、 1時間加熱還流した。減 圧濃縮後、シリカゲルカラムクロマトグラフィーにて精製し、へキサン-酢酸ェチルで 洗浄し表題化合物 2.02g (収率 62%)を得た。 1H-NMR(CDC13): 4.08(3H, s), 7.36(1H, s), 7.55-7.65(3H, m), 7.75— 8·00(4Η, m), 8.14(1H, d), 9.04(1H, d)。
[0190] (実施例 23) 3-メチル -2-(4-フエニルフタラジン- 1-ィル) -3H-イミダゾール -4-カル ボニトリル
実施例 22で得られた化合物 212mg(0.580 mmol)を NMP3mlに溶解し、塩化第一銅 64mg(0.715 mmol)を加えて、 200°C (オイルバス温度)で約 2時間加熱した。室温まで 冷却し、水 40ml、エチレンジァミン四酢酸 2水和物 0.42g、炭酸カリウム、クロ口ホルム を加え、セライトろ過した。分液、飽和食塩水洗浄、無水硫酸ナトリウム乾燥し、ろ過、 濃縮した。シリカゲルカラムクロマトグラフィー (へキサン:酢酸ェチル =2: 1)にて精製 し、へキサン-酢酸ェチルで洗浄し表題化合物 55.7mg (収率 31%)を得た。
1H-NMR(CDC13): 4.23(3H, s), 7.55_7·65(3Η, m), 7.80_7·85(2Η, m), 7.85— 8.00(3Η, m), 8.20(1Η, d), 8.98(1Η, d)MS(EI): 311輔, 310, 283, 267, 234, 208, 205, 129, 77。
[0191] (実施例 24) 1-[5-(4, 4_ジメチル _4, 5_ジヒドロォキサゾール _2_ィル) _1_メチル -1H-イミダゾール -2-ィル] -4-フエニルフタラジン
4, 4-ジメチル -2-ォキサゾリン 505mg(5.09 mmol)をジェチルエーテル 10mlに溶解し、 窒素下、 -70°Cにてノルマルブチルリチウム (1.56M)3.6ml(5.62 mmol)を滴下した。さら に 30分撹拌した後、塩化トリーノルマルブチルスズ 1.85g(5.68 mmol)とジェチルエー テル 3mlの溶液をカ卩えた。室温まで徐々に昇温し、テトラキス (トリフエニルホスフィン) パラジウム (0)0.30g(0.26 mmol),実施例 25で得られた化合物 0.88g(2.41 mmol),トル ェン 12mlを加えた。窒素ガスを 20分吹き込んだ後、 14時間加熱還流した。シリカゲル カラムクロマトグラフィー (酢酸ェチル)にて精製し、へキサン-酢酸ェチルで洗浄し表 題化合物 689mg (収率 75%)を得た。 1H_NMR(CDC13): 1.41(6H, s), 4.07(2H, s), 4.34(3H.s), 7.55-7.65(3H, m), 7.75_8.00(5H, m), 8.14(1H, d), 8.85(1H, d)。
[0192] (実施例 25) 3_メチル _2_(4-フエニルフタラジン- 1 -ィル )_3H -イミダゾール -4-カル ボン酸
実施例 24で得られた化合物 689mg(1.796 mmol)に、 1, 4 -ジォキサン 4.5ml、水 3ml、濃 塩酸 3mlを加えて 9時間加熱還流した。反応液を減圧濃縮し、トルエンをカ卩えて減圧 濃縮する操作を 2回繰り返した。得られた油状物質にエタノールをカ卩ぇ減圧濃縮した 。アセトンを加えて析出した固体をろ取した。これに水、エタノールを加えて加熱還流 し溶解させ、室温に冷却した。析出した固体をろ取することにより表題化合物 370mg( 収率 62%)を得た。 1H-NMR(CDC13): 4·07(3Η, s), 7.60- 7.70(3H, m),
7.75-7.85(2H.m), 7.94(1H, s), 8.00-8.10(3H, m), 8.50— 8.60(1H, m), 13.2(1H, broads)MS(FritFAB): 331輔, 287, 232, 207, 149, 77。
(実施例 26) 8_(1-メチル -1H-イミダゾール _2 -ィル )_5 -フエニルピリド [2, 3_d]ピリダ ジン
a) 5 -フエニル- 7H -ピリド [2, 3- d]ピリダジン- 8-オン
既知の方法 (Monatsh.Chem.1990, 121(11)、 909)に従って合成した 3_ベンゾィル-ピリ ジン- 2-カルボン酸 2.26gに、ヒドラジン 1水和物 1.6ml,エタノール 20mlを加えて加熱 還流した。室温まで冷却し析出した固体をろ取することにより、表題化合物を 1.48g( 収率 72%)で得た。
b) 8-クロ口- 5-フエエル-ピリド [2, 3-d]ピリダジン
実施例 26aにて得られた化合物 1.48gにォキシ塩化リン約 6mlを加えて約 30分加熱還 流させた。反応液を氷、水酸化ナトリウム水溶液の混合物へ注ぎ、塩化メチレンで抽 出した。飽和食塩水洗浄、無水硫酸ナトリウム乾燥、ろ過、濃縮の後、シリカゲルカラ ムクロマトグラフィー、へキサンで洗浄して精製し表題化合物 1.05g (収率 65%)を得た c) 8-(1-メチル -1H-イミダゾール -2-ィル) -5-フエニルピリド [2, 3-d]ピリダジン
1-メチルイミダゾール 183mg(2.23 mmol)を THF2.5mlに溶解し、窒素下、 _70°Cで、ノ ルマルブチルリチウム (1.8M)1.5ml(2.81 mmol)を滴下し 15分撹拌した。塩化トリ _n -ブ チルスズ 915mg(2.81 mmol)の THF 2.5ml溶液を加え、室温まで昇温した。これに塩化 リチウム 112mg(2.64 mmol),実施例 26bにて得られた化合物 254mg(1.138 mmol),テト ラキス (トリフエニルホスフィン)パラジウム (0)200mg(0.173 mmol),トルエンを加えた後、 窒素下 90°Cにて 6.5時間撹拌した。反応液にクロ口ホルムをカ卩え、シリカゲルカラムク 口マトグラフィー (クロ口ホルム:酢酸ェチル:トリエチノレアミン)、へキサン-酢酸ェチノレ で洗浄した。エタノール-へキサンに加熱溶解、冷却後、析出した固体をろ取して、表 題化合物 130mg (収率 40%)を得た。 1H-NMR(CDC13): 4.06(3H, s), 7.20(1H, s), 7.43(1H, s), 7.60-7.70(3H, m), 7.75- 7.85(3H, m), 8.49(1H, dd), 9.44(1H, dd)。
[0194] (実施例 27) 1-(1-メチル -1H-イミダゾール -2-ィル) -4-フエニルフタラジン
N-メチルイミダゾール 126mg(1.53 mmol)を THF(lOml)に溶解させ、 _78°Cに冷却した 。窒素雰囲気下にて n_ブチルリチウム-へキサン溶液 (1.56M)1.0mlを滴下し、 _78°C にて 1時間攪拌した。反応溶液に既知の方法 (Heterocycles 1994, 39(1)、 345)にて 合成した 1-フヱニル -4-(p-トルイルスルホニル)フタラジン 0.5g(1.39 mmol)を加え、同 温度で 1時間攪拌した後、室温に昇温しさらに 2.5時間攪拌した。反応溶液に水を加 え、酢酸ェチルにて抽出し、無水硫酸ナトリウムにて乾燥後ろ過、減圧濃縮した。得 られた残さをシリカゲルカラムクロマトグラフィー (ジクロロメタン-酢酸ェチル)にて精製 し、表記化合物 205mg (収率 52%)を得た。 1H_NMR(CDC13): 4.14(3H, s), 7.18(1H, d), 7.26(1H, d), 7.58-7.6K3H, m), 7.80_7.87(3H, m), 7.96(1H, t), 8.14(1H, d), 9.20(1H, d)。
[0195] (実施例 28) 1-(1-メチル -1H-イミダゾール -2-ィル) -4-(p-トルィル)フタラジン
a) 4-(p-トルィル)フタラジン- 1-オン
p-トルィル -0-安息香酸 5.0g(20.8 mmol),ヒドラジン 1水和物 1.6ml(31.2 mmol),ェタノ ール (15ml)の混合物を 6時間加熱還流した。室温に冷却した後、溶媒を減圧濃縮し て得られた固体を水-エタノールで洗浄し、表記化合物 4.86g (収率 99%)を得た。 1H-NMR(CDC13): 2.46(3H, s), 7·33(2Η, d), 7.48(2Η, d), 7.78- 7.83(3Η, m), 8.51-8.55(1Η, m), 10·37(1Η, brs)。
b) 1-クロ口- 4-(p-トルィル)フタラジン
実施例 28aで得られた化合物 2.85g(12.1 mmol)の 1, 2-ジクロロェタン (12ml)溶液に、 ォキシ塩化リン 1.4ml(14.5 mmol)をカ卩ぇ 3時間加熱還流した。室温に冷却した後反応 溶液を氷水中に注ぎ、ジクロロメタンにて抽出した。有機層を無水硫酸ナトリウムにて 乾燥後ろ過、減圧濃縮し、得られた固体をシリカゲルカラムクロマトグラフィー (ジクロ ロメタン-酢酸ェチル)にて精製後、へキサンで洗浄し、表記化合物 2.77g (収率 90%) を得た。 1H-NMR(CDC13): 2.48(3H, s), 7·38(2Η, d), 7.63(2Η, d), 7·88_7·94(1Η, m), 7.97— 8.02(1Η, m), 8· 10(1Η, d), 8.38(1Η, d)。 c) l_(p-トノレィル) _4-(p-トノレイルスルホニノレ)フエニルフタラジン
実施例 28bで得られた化合物 1.76g(6.89 mmol)の DMF(20ml)溶液に、 p-トルエンスル フィン酸ナトリウム 2.46g(13.8 mmol)を加え 90°Cにて 3時間加熱した。室温に冷却した 後反応溶液に水を加え、析出した固体をろ取し水で洗浄した。得られた固体をシリカ ゲルカラムクロマトグラフィー (ジクロロメタン-酢酸ェチル)にて精製後、表記化合物 2.26g (収率 88%)を得た。 1H-NMR(CDC13): 2.48(3H, s), 7.42(2H, d), 7.55_7.57(3H, m), 7.69-7.72(2H, m), 7.97_8.09(4H, m), 8.18(1H, d), 9.21(1H, d)。
d) l_(l-メチル _1H-イミダゾール _2 -ィル )_4_(p -トルィル)フタラジン
実施例 28cで得られた化合物 1.0g(2.67 mmol)を用いて実施例 27と同様の操作を行う ことにより、表記化合物 404mg (収率 50%)を得た。 1H-NMR(CDC13): 7.16(1H, s), 7.34(1H, s), 7.40(2H, d), 7.71(2H, d), 7·83_7·96(2Η, m), 8.15(1H, d), 9.19(1H, d)。
(実施例 29) 1_(4-メトキシフヱニル) _4_(1_メチル _1H -イミダゾール -2-ィル)フタラジ ン 塩酸塩
a) 4-メトキシフエニル -0-安息香酸
無水コハク酸 3.0g(20.3 mmol)を THF(50ml)に溶解させ、 _78°Cに冷却した。窒素雰囲 気下にて 4-メトキシフエニルマグネシウムブロミド THF溶液 (0.5M)44.6mlを滴下し、 室温に昇温し 2.5時間攪拌した。反応溶液に水を加え、酢酸ェチルにて抽出し、無水 硫酸ナトリウムにて乾燥後ろ過した。溶媒を減圧濃縮して得られた固体をヘプタン- 酢酸ェチル-エタノールで洗浄し、表記化合物 3.80g (収率 73%)を得た。
lH-NMR(DMSO-d6): 3.18(3H, s), 7.01(2H, d), 7.36(1H, d), 7.56— 7·72(4Η, m), 7.96(1H, d)。
b) 4_(4-メトキシフエ二ル)- 2H -フタラジン _1_オン
実施例 29aで得られた化合物 3.81g(14.9 mmol)を用いて実施例 28aと同様の操作を行 うことにより、表記化合物 3.87g (収率 100%)を得た。 1H-NMR(CDC13): 3.90(3H, s), 7·05(2Η, d), 7.53(2Η, d), 7·79_7·82(3Η, m), 8.50_8·54(1Η, m), 10.13(1Η, brs)0 c) 1_クロ口- 4-(4 -メトキシフエニル)フタラジン
実施例 29bで得られた化合物 3.87g(15.3 mmol)を用いて実施例 28bと同様の操作を行 うことにより、表記化合物 4.08g (収率 98%)を得た。 1H-NMR(CDC13): 3.92(3H, s), 7.10(2H, d), 7.70(2H, d), 7.92— 8.00(2H, m), 8.12(1H, d), 8.38(1H, d)。
d) l-(4-メトキシフエニル) -4-(p-トノレイルスルホニノレ)フエニルフタラジン
実施例 29cで得られた化合物 1.0g(3.69 mmol)を用いて実施例 31cと同様の操作を行 うことにより、表記化合物 1.05g (収率 79%)を得た。 1H-NMR(CDC13): 2.47(3H, s), 3·90(3Η, s), 7.07(2Η, d), 7.41(2Η, d), 7·69(2Η, d), 7.96— 8.07(4Η, m), 8.23(1Η, d), 9· 19(1Η, d)。
e) l-(4-メトキシフエニル) -4-(1-メチル -1Η-イミダゾール- 2_ィル)フタラジン 実施例 29dで得られた化合物 1.05g(2.69 mmol)を用いて実施例 27と同様の操作を行 うことにより、表記化合物 352mg (収率 41%)を得た。 1H_NMR(CDC13): 3.93(3H, s), 4· 13(3Η, s), 7.11-7.16(3Η, m), 7.34(1Η, d), 7.78— 7.80(2Η, m), 7.86— 7.94(2Η, m), 8· 17(1Η, d), 9.18(1Η, d)MS(EI): 316輔, 300, 288, 272, 244, 209, 183, 156, 129。 f) 1-(4 -メトキシフヱニル) -4-(1-メチル -1H-イミダゾール -2-ィル)フタラジン 塩酸塩 実施例 29eで得られた化合物 100mg(0.32 mmol)のメタノール溶液に、 4モル塩酸-酢 酸ェチル溶液 0.09mlをカ卩え、室温にて 4時間攪拌した。析出した固体をろ取し、表記 化合物 112mg (収率 100%)を得た。 lH-NMR(DMSO-d6): 3·91(3Η, s), 3·96(3Η, s), 7.26(2Η, d), 7.84(2Η, d), 7.99(1Η, s), 8.10(1Η, s), 8.18— 8·29(4Η, m)。
(実施例 30) 4-(3-メトキシフエ二ル) -1-(1-メチル -1H-イミダゾール -2-ィル)フタラジ ン塩酸塩
a) 3-メトキシフエニル -0-安息香酸
無水コハク酸 3.0g(20.3 mmol)及び 3-メトキシフエ二ルマグネシウムブロミド THF溶液 (1.0M)22.3ml(22.3 mmol)を用いて実施例 29aと同様の操作を行うことにより、表記化 合物 4.95g (収率 96%)を得た。 1H_NMR(CDC13): 3.84(3H, s), 7.10- 7.16(2H, m), 7.28(1H, t), 7.37-7.39(2H, m), 7.56_7.59(1H, m), 7.63_7.66(1H, m), 8.08(1H, d)。 b) 4_(3-メトキシフエ二ル)- 2H -フタラジン _1_オン
実施例 30aで得られた化合物 4.95g(19.3 mmol)を用いて実施例 28aと同様の操作を行 うことにより、表記化合物 4.64g (収率 95%)を得た。 1H-NMR(CDC13): 3.87(3H, s), 7·05-7·08(1Η, m), 7.08-7.17(2Η, m), 7.44(1Η, t), 7.78_7·81(3Η, m), 8.51— 8.54(1Η, m), 10·37(1Η, brs)。 c) 1-クロ口- 4-(3-メトキシフエ二ル)フタラジン
実施例 30bで得られた化合物 4.64g(18.4 mmol)を用いて実施例 31bと同様の操作を行 うことにより、表記化合物 4.71g (収率 95%)を得た。 1H-NMR(CDC13): 3·89(3Η, s), 7.11-7.14(1H, m), 7.27-7.29(2H, m), 7.46-7.51(1H, m), 7.93— 7.96(1H, m),
7.99-8.04(lH, m), 8.12(1H, d), 8.40(1H, d)。
d) l- (3-メトキシフエ二ル)- 4- (p-トノレイルスルホニノレ)フエニルフタラジン
実施例 30cで得られた化合物 1.0g(3.69 mmol)を用いて実施例 28cと同様の操作を行 うことにより、表記化合物 725mg (収率 54%)を得た。 1H_NMR(CDC13): 2.48(3H, s), 3·86(3Η, s), 7.10— 7.12(1Η, m), 7·23_7·25(2Η, m), 7.41-7.48(3Η, m), 7.97— 7.99(1Η, m), 8.03-8.1 K3H, m), 8.21(1H, d), 9.21(1H, d)。
e) l-(3_メトキシフエニル) -4-(l-メチル -1H-イミダゾール- 2_ィル)フタラジン 実施例 30dで得られた化合物 725mg(1.86 mmol)を用いて実施例 27と同様の操作を行 うことにより、表記化合物 382mg (収率 65%)を得た。 1H-NMR(CDC13): 3·91(3Η, s), 4.14(3H, s), 7.13— 7·14(1Η, m), 7.18(1H, s), 7.35— 7·38(3Η, m), 7.47- 7.50(1H, m), 7.87-7.90(lH, m), 7.93—7.96(1H, m), 8.16(1H, d), 9, 20(1H, d)。
f) l-(3-メトキシフエニル) -4-(l-メチル -1H-イミダゾール -2-ィル)フタラジン 塩酸塩 実施例 30eで得られた化合物 382mg(1.21 mmol)を用いて実施例 29fと同様の操作を 行うことにより、表記化合物 417mg (収率 64%)を得た。 _NMR(DMSO-d6): 3.87(3H, s), 3·96(3Η, d), 7.22— 7.26(1Η, m), 7.34- 7.37(2Η, m), 7.59(1Η, t), 7.85(1Η, s), 7.98(1Η, s), 8.14-8·18(3Η, m), 8.33_8.36(1Η, m)。
実施例 16から実施例 30に記載の化合物を以下に示す。
[化 21]
Figure imgf000048_0001
(実施例 31) 1-(4-クロ口フエニル) -4-(1-メチル -1H-イミダノール- 2-ィル)フタラジン a) 4-(4-クロ口フエニル) -2H-フタラジン- 1-オン
無水コハク酸 3.0g(20.3 mmol)及び 4-クロ口フエニルマグネシウムブロミド ジェチルェ 一テル溶液 (1.0M)22.3ml(22.3 mmol)を用いて実施例 29aと同様の操作を行うことによ り、 4-クロ口フエニル -o-安息香酸を得た。 4-クロ口フエニル -0-安息香酸を用いて実 施例 102aと同様の操作を行うことにより、表記化合物 3.28g (収率 63%)を得た。
1H-NMR(CDC13): 7·52_7.56(4Η, m), 7.70- 7·73(1Η, m), 7.80_7·83(2Η, m), 8.52-8.55(1Η, m), 10.19(1Η, brs)。
b) 1_クロ口 _4_(4 -クロロフヱニル)フタラジン
実施例 31aで得られた化合物 3.28g(12.8 mmol)を用いて実施例 28bと同様の操作を行 うことにより、表記化合物 3.30g (収率 94%)を得た。 1H-NMR(CDC13): 7.55_7.58(2H, m), 7.67-7.70(2H, m), 7.94— 7.97(1H, m), 8.00— 8.06(2H, m), 8.39— 8.42(1H, m)0 c) l- (4-クロロフヱ二ル)- 4- (p-トノレイルスルホニノレ)フタラジン
実施例 31bで得られた化合物 1.0g(3.64 mmol)を用いて実施例 28cと同様の操作を行 うことにより、表記化合物 928mg (収率 65%)を得た。 1H-NMR(CDC13): 2.49(3H, s), 7.42-7.44(2H, m), 7.55(2H, d), 7.67(2H, d), 8.00-8.16(5H, m), 9.22(1H, d)。
d) l-(4-クロ口フエニル) -4-(l-メチル -1H-イミダゾール -2-ィル)フタラジン 実施例 31cで得られた化合物 927mg(2.35 mmol)を用いて実施例 27と同様の操作を行 うことにより、表記化合物 369mg (収率 49%)を得た。 1H_NMR(CDC13): 4·14(3Η, s), 7.17(1H, d), 7.35(1H, d), 7.57— 7.59(2H, m), 7.75— 7.78(2H, m), 7·88— 7·91(1Η, m), 7.96- 7.97(1H, m), 8.08(1H, d), 9.24(1H, d)。
(実施例 32) l-(4-フルオロフェニル )-4-(l-メチル -1H-イミダゾール -2-ィル)フタラ ジン
a) 4-(4-フルオロフェニル )-2H-フタラジン- 1-オン
無水コハク酸 3.0g(20.3 mmol)及び 4-フルオロフェニルマグネシウムブロミド THF溶 液 (1.0M)22.3ml(22.3 mmol)を用いて実施例 29aと同様の操作を行うことにより、 4-フル オロフェニル -0-安息香酸を得た。 4_フルオロフヱニル _o_安息香酸を用いて実施例 28aと同様の操作を行うことにより、表記化合物 3.37g (収率 69%)を得た。
1H-NMR(CDC13): 7.23-7.24(1Η, m), 7.59— 7.61(2H, m), 7.74(1H, m),
7.81-7.84(3H, m), 8.58(1H, m), 10.35(1H, brs)。
b) 1_クロ口- 4_(4_フルオロフヱニル)フタラジン
実施例 32aで得られた化合物 3.37g(14.0 mmol)を用いて実施例 28bと同様の操作を行 うことにより、表記化合物 2.78g (収率 77%)を得た。 lH-NMR(DMSO-d6): 7.42(2H, t), 7.78— 7.83(2H, m), 8·03(1Η, d), 8.14— 8·22(2Η, m), 8.41(1H, d)。
c) l-(4-フルオロフヱニル) -4-(p-トノレイルスルホニノレ)フエニルフタラジン
実施例 32bで得られた化合物 1.0g(3.87 mmol)を用いて実施例 28cと同様の操作を行 うことにより、表記化合物 909mg (収率 62%)を得た。 1H-NMR(CDC13): 2.49(3H, s), 7.23-7.29(2H, m), 7.43(2H, d), 7.70— 7.74(2H, m), 8.00-8.18(5H, m), 9.22(1H, d)。 d) l_(4-フルオロフェニル )_4_(1_メチル _1H -イミダゾール -2-ィル)フタラジン 実施例 32cで得られた化合物 900mg(2.38 mmol)を用いて実施例 27と同様の操作を行 うことにより、表記化合物 501mg (収率 69%)を得た。 1H-NMR(CDC13): 4.14(3H, s), 7· 18(1Η, s), 7.29— 7.35(3Η, m), 7·80_7·84(2Η, m), 7.89_7·92(1Η, m), 7.95— 7.97(1Η, m), 8· 10(1Η, d), 9.22(1Η, d)。
[0201] (実施例 33) 1_(2-メチル -2H-ピラゾール -3-ィル) -4-フエニルフタラジン
N-メチルビラゾール 342mg(4.17 mmol)を用いて実施例 27と同様の操作を行うことによ り、表記化合物 254mg (収率 32%)を得た。 1H_NMR(CDC13): 4.13(3H, s), 6.72(1H, d), 7.59-7.62(3H, m), 7.71(1H, d), 7.81_7.84(2H, m), 7.90—7.94(2H, m),
8.18- 8.26(2H, m)。
[0202] (実施例 34) l-(2-フリル) -4-(l-メチル -1H-イミダゾール -2-ィル)フタラジン
a) l-(2-フリル) -4-(p-トノレイルスルホニル)フエニルフタラジン
既知の方法 (特開平 6-135938)に準じて合成した 1-クロ口- 4-(2-フリル)フタラジン 816mg(3.54 mmol)を用いて実施例 28cと同様の操作を行うことにより、表記化合物 1.06g (収率 86%)を得た。 1H-NMR(CDC13): 2.48(3H, s), 6.67(1H, dd), 7.41(2H, d), 7.55(1H, d), 7.79(1H, d), 8·00_8·08(4Η, m), 9.01-9.02(1H, m), 9.18— 9.19(1H, m)。 b) l_(2-フリル)- (1-メチル _1H-イミダゾール- 2_ィル)フタラジン
実施例 34aで得られた化合物 1.06g(3.03 mmol)を用いて実施例 27と同様の操作を行 うことにより、表記化合物 420mg (収率 50%)を得た。 1H-NMR(CDC13): 4.11(3H, s), 6·71(1Η, dd), 7.16(1Η, d), 7·33(1Η, d), 7.51(1Η, d), 7·79_7·80(1Η, m),
7·94-7·98(2Η, m), 8.86_8·90(1Η, m), 9.15— 9.19(1Η, m)MS(EI): 276, 248, 220, 193, 183, 167, 156, 149, 129。 [0203] (実施例 35) 7-(l-メチル -1H-イミダゾール -2-ィル) -4-フエニルチエノ [2, 3_d]ピリ ダジン
a) 4-フエニル -6H-チエノ [2, 3-d]ピリダジン- 7-オン
2- (2-チェニル) -4, 4 -ジメチルォキサゾリン 6.5g(35.9 mmol)を用いて実施例 34aと同 様の操作を行うことにより、表記化合物 4.91g (収率 59%)を得た。
lH-NMR(DMSO-d6): 7·51_7·55(4Η, m), 7·69_7·72(2Η, m), 8.27(1Η, d), 13· 13(1Η, brs)。
b) 7_クロ口- 4_フエニルチエノ [2, 3_d]ピリダジン
実施例 35aで得られた化合物 4.91g(21.3 mmol)を用いて実施例 28bと同様の操作を行 うことにより、表記化合物 5.17g (収率 97%)を得た。 1H-NMR(CDC13): 7.57-7.62(3H, m), 7.73(1H, d), 7.89— 7.92(2H, m), 7.96(1H, d)。
c) 7_(1_メチル _1H -イミダゾール -2-ィル) -4-フエニルチエノ [2, 3_d]ピリダジン 実施例 35bで得られた化合物 500mg(2.03 mmol)を用いて実施例 15と同様の操作を行 うことにより、表記化合物 527mg (収率 89%)を得た。 1H_NMR(CDC13): 4·39(3Η, s), 7.14(1H, s), 7.37(1H, s), 7.55- 7·62(3Η, m), 7.71(1H, d), 7·95— 7·99(3Η, m)。
[0204] (実施例 36) 4-(l-メチル -1H-イミダゾール -2-ィル) -7-フエ二ルフロ [2, 3_d]ピリダ ジン
a) 2- (ヒドロキシフエニルメチル) -3-フランカルボン酸メチルエステル
3-フランカルボン酸 5.0g(44.6 mmol)を THF(lOOml)に溶解させ、 _78°Cに冷却した。窒 素雰囲気下にて別に調製した LDA溶液 (98.1 mmol)を滴下し、- 78°Cにて 30分間攪拌 した。反応溶液にベンズアルデヒド 5.22g(49.1 mmol)の THF(lOml)溶液を加え、同温 度で 1時間攪拌した後、室温に昇温した。反応溶液に希塩酸水溶液を加え、酢酸ェ チルにて抽出し、無水硫酸ナトリウムにて乾燥後ろ過、減圧濃縮し、 2- (ヒドロキシフヱ ニルメチル) _3_フランカルボン酸を得た。 2 -(ヒドロキシフエニルメチル) _3_フランカル ボン酸 1.5g(6.87 mmol)の DMF(13ml)溶液に炭酸カリウム 1.14g(8.25 mmol),ヨウィ匕メ チノレ 1.46g(10.3 mmol)を加え、室温にて 7時間攪拌した。反応溶液に水を加え、酢酸 ェチルにて抽出し、有機層を飽和食塩水で洗浄し、無水硫酸ナトリウムにて乾燥後 ろ過、減圧濃縮した。残さをシリカゲルカラムクロマトグラフィー (へキサン-酢酸ェチル )にて精製し、表記化合物 1.33g (収率 84%)を得た。 1H-NMR(CDC13): 3·86(3Η, s), 5.20(1H, d), 6·13(1Η, d), 6.68(1H, d), 7.29-7.43(6H, m)。
b) 7-フエニル -5H-フロ [2, 3-d]ピリダジン- 4-オン
実施例 36aで得られた化合物 1.51g(6.50 mmol)のジクロロメタン (12ml)溶液を
Dess-Martinperiodinane 3.0g(7.15 mmol)のジクロロメタン溶液 (20ml)に加え、室温に て 1時間攪拌した。反応液をチォ硫酸ナトリウム水溶液中に注ぎ、ジクロロメタンにて 抽出後、有機層を飽和重曹水、飽和食塩水で洗浄し、無水硫酸ナトリウムにて乾燥 後ろ過、減圧濃縮した。残さをシリカゲルカラムクロマトグラフィー (へキサン-酢酸ェチ ル)にて精製し、 2_ベンゾィル _3_フランカルボン酸 メチルエステルを得た。 2_ベンゾ ィル- 3_フランカルボン酸 メチルエステル 1.08g(4.69 mmol)を用いて実施例 28aと同 様の操作を行うことにより、表記化合物 787mg (収率 57%)を得た。 1H-NMR(CDC13): 7· 18(1Η, d), 7.49-7.57(3H, m), 7·82(1Η, d), 8.10_8· 13(2Η, m), 10.57(1H, brs)0 c) 4-クロ口- 7-フエ二ルフロ [2, 3-d]ピリダジン
実施例 36bで得られた化合物 787mg(3.71 mmol)を用いて実施例 28bと同様の操作を 行うことにより、表記化合物 704mg (収率 82%)を得た。 1H_NMR(CDC13): 7.04(1H, d), 7.58— 7·60(3Η, m), 7.98(1Η, d), 8.42-8.44(2Η, m)。
d) 4-(l-メチル -1H-イミダゾール -2-ィル) -7-フエエルフ口 [2, 3_d]ピリダジン 実施例 36cで得られた化合物 300mg(1.30 mmol)を用いて実施例 15と同様の操作を行 うことにより、表記化合物 292mg (収率 81%)を得た。 1H_NMR(CDC13): 4·34(3Η, s), 7.12(1H, d), 7.31(1H, d), 7.55_7.63(3H, m), 7.84(1H, d), 7.96(1H, d),
8.51-8.54(2H, m)。
(実施例 37) 4_(4-メトキシフヱニル) _7_(1_メチル _1H -イミダゾール -2-ィル)チエノ [2, 3-d]ピリダジン塩酸塩
a) 7_(1_メチル _1H -イミダゾール -2-ィル) -5H -チェノ [2, 3_d]ピリダジン _4_オン 3-チオフヱンカルボン酸 3.0g(23.4 mmol)を THF(40ml)に溶解させ、 0°Cに冷却した。 窒素雰囲気下にて LDA ヘプタン- THF—ェチルベンゼン溶液 (2.0M)25.8mlを滴下し 、 0°Cにて 30分間攪拌した。反応溶液に N -メチルイミダゾール -2-カルボキシアルデヒ ド 2.89g(25.8 mmol)の THF(lOml)溶液をカ卩え、室温に昇温し 15時間攪拌した。反応溶 液に氷水を加え、酢酸ェチルにて洗浄した。水層に過マンガン酸カリウム 7.40g(46.8 mmol)を加え、室温にて 4時間攪拌した。反応液をセライトろ過後、ろ液を濃塩酸で中 和し、減圧濃縮して 2-(1-メチル -1H-イミダゾール -2-カルボニル) -3-チォフェンカル ボン酸を得た。 2_(1_メチル -1H -イミダゾール -2-カルボ二ル)- 3 -チォフェンカルボン 酸を用いて実施例 28aと同様の操作を行うことにより、表記化合物 3.50g (収率 64%)を 得た。 1H-NMR(CDC13): 4·06(3Η, s), 7.04(1H, d), 7.24(1H, d), 7.81(2H, s),
10.72(1H, brs)。
b) 4_クロ口- 7_(1_メチル _1H -イミダゾール -2-ィル)チエノ [2, 3_d]ピリダジン 実施例 37aで得られた化合物 310mg(1.34 mmol)にォキシ塩化リン lmlを加え、 110°C にて 2時間攪拌した。反応溶液を氷水中に注ぎ、水酸化ナトリウム水溶液にて中和後 、ジクロロメタンにて抽出した。有機層を無水硫酸ナトリウムにて乾燥後ろ過、減圧濃 縮し、得られた固体をシリカゲルカラムクロマトグラフィー (ジクロロメタン-酢酸ェチル) にて精製後、表記化合物 275mg (収率 82%)を得た。 1H-NMR(CDC13): 4.31(3H, s), 7.13(1H, d), 7.34(1H, d), 7.63(1H, d), 8.01(1H, d)。
c) 4-(4-メトキシフエ二ル) -7-(l-メチル -1H-イミダゾール -2-ィル)チエノ [2, 3_d]ピリダ ジン塩酸塩
実施例 37bで得られた化合物 275mg(1.10 mmol)及び 4_メトキシフエニルボロン酸を用 いて実施例 leと同様の操作を行うことにより、 4-(4_メトキシフエ二ル) -7-(1_メチル -1H-イミダゾール -2-ィル)チエノ [2, 3-d]ピリダジンを得た。 4-(4-メトキシフヱニル )-7-(1-メチル -1H-イミダゾール -2-ィル)チエノ [2, 3-d]ピリダジンを用いて実施例 30f と同様の操作を行うことにより、表記化合物 348mg (収率 88%)を得た。
lH-NMR(DMSO-d6): 3·09(3Η, s), 4.25(3H, s), 7.24(2H, d), 7.39(1H, s), 7.65(1H, s), 7.85(2H, d), 7.96(2H, d), 8.52(2H, d)。
(実施例 38) 7_(4-メトキシフヱニル) _4_(1_メチル _1H -イミダゾール -2-ィル)チエノ
[2, 3-d]ピリダジン塩酸塩
a) 4- (1-メチル - 1H -イミダゾール -2-ィル) -5H -チェノ [2, 3- d]ピリダジン- 7-オン
2-チォフェンカルボン酸 0.5g(3.90 mmol)を用いて実施例 37aと同様の操作を行うこと により、表記化合物 168mg (収率 19%)を得た。 1H-NMR(CDC13): 3·98(3Η, s), 7.04(1H, s), 7.21(1H, s), 7.87(1H, d), 8.42(1H, d), 10.11(1H, brs)。
b) 7-クロ口- 4
-(1-メチル -1H-イミダゾール -2-ィル)チエノ [2, 3-d]ピリダジン
実施例 38aで得られた化合物 125mg(0.54 mmol)を用いて実施例 37bと同様の操作を 行うことにより、表記化合物 75mg (収率 56%)を得た。 1H-NMR(CDC13): 4.22(3H, s), 7· 13(1Η, s), 7·30(1Η, s), 7.93(1Η, d), 8.65(1Η, d)。
c) 7_(4 -メトキシフヱニル) _4_(1_メチル _1Η -イミダゾール -2-ィル)チエノ [2, 3_d]ピリダ ジン塩酸塩
実施例 38bで得られた化合物 74mg(0.30 mmol)を用いて実施例 37cと同様の操作を行 うことにより、表記化合物 58mg (収率 54%)を得た。 lH-NMR(DMSO-d6): 3.91(3H, s), 4· 10(3Η, s), 7·26(2Η, d), 7.64(1Η, s), 7.81(1Η, s), 8· 15_8·21(3Η, m), 8.52_8·54(1Η, m)0
[0207] (実施例 39) 1-(1-メチル -1H-イミダゾール -2-ィル) -4-(3-チェニル)フタラジン
実施例 Idで得られた化合物 540mg(2.21 mmol)及び 3_チォフェンボロン酸 566mg(4.42 mmol)を用レ、て実施例 1 eと同様の操作を行うことにより、表記化合物 500mg (収率 77 %)を得た。 1H_NMR(CDC13): 4.13(3H, s), 7.16(1H, d), 7.34(1H, d), 7.55-7.57(lH, m), 7.66-7.68(1H, m), 7.90-7.96(3H, m), 8.30(1H, m), 9.22(1H, m)。
[0208] (実施例 40) 1-(1-メチル -1H-イミダゾール -2-ィル) -4-(2-チェニル)フタラジン
実施例 Idで得られた化合物 540mg(2.21 mmol)及び 2_チォフェンボロン酸 566mg(4.42 mmol)を用レ、て実施例 1 eと同様の操作を行うことにより、表記化合物 390mg (収率 60 %)を得た。 1H_NMR(CDC 3): 4.13(3H, s), 7.17(1H, s), 7·28- 7·31(1Η, m), 7.35(1H, s), 7.64(1H, d), 7.76(1H, d), 7.94—7.98(2H, m), 8·53_8·56(1Η, m), 9.20-9.23(lH, m)。
[0209] (実施例 41) 1_(1-メチル -1H-イミダゾール- 2_ィル) _4_(4_モルホリノ)フタラジン塩 酸塩
実施例 Idで得られた化合物 300mg(1.23 mmol)及びモルホリン 32 lmg(3.68 mmol)の N-メチルピロリドン (0.45ml)溶液を 140°Cにて 8時間攪拌した。室温に冷却後反応溶液 に水を加え、ジクロロメタンにて抽出し、無水硫酸ナトリウムにて乾燥後ろ過、減圧濃 縮した。残さをシリカゲルカラムクロマトグラフィー (へキサン-酢酸ェチル)にて精製し、
1-(1-メチル -1H-イミダゾール -2-ィル) -4-(4-モルホリノ)フタラジンを得た。 1-(1-メチ ル -1H-イミダゾール -2-ィル) -4-モルホリン- 4-ィル-フタラジンを用いて実施例 29f 同様の操作を行うことにより、表記化合物 340mg (収率 84%)を得た。
lH-NMR(DMSO-d6): 3.64-3.67)4H, m), 3·88(3Η, s), 3·90_3·92(4Η, m), 7·89(1Η, s), 7.99— 8.08(4Η, m), 8·28_8·31(1Η, m)0
[0210] (実施例 42) 1_[4_(1_メチル _1H -イミダゾール -2-ィル)フタラジン- 1-ィル]ピベリジ ン -4-ォーノレ
実施例 Idで得られた化合物 250mg(1.02 mmol)及び 4 -ヒドロキシピペリジン
155mg(1.53 mmol), N_メチルモルホリン 155mg(1.53 mmol)を用いて実施例 41と同様 の操作を行うことにより、表記化合物 279mg (収率 88%)を得た。 1H-NMR(CDC13): 1·76(1Η, brs), 1.85— 1.94(2H, m), 2.13— 2.18(2H, m), 3.28—3.36(2H, m),
3.87-3.93(2H, m), 4·00_4.01(1Η, m), 4.04(3H, s), 7.10(1H, s), 7.28(1H, d), 7.82-7.85(2H, m), 8.04-8.07(1H, m), 8·90_8·94(1Η, m)MS(EI): 309(M+), 292, 280, 264, 252, 238, 209, 182, 100, 82, 56。
[0211] (実施例 43) 1-(1-メチル -1H-イミダゾール -2-ィル) -4-(4-メチル-ピペラジン- 1-ィ ノレ)フタラジン 塩酸塩
実施例 Idで得られた化合物 250mg(1.02 mmol)及び N_メチルビペラジン 307mg(3.06 mmol)を用いて実施例 41と同様の操作を行うことにより、表記化合物 330mg (収率 94% )を得た。 lH-NMR(DMSO-d6): 2.89(3H, s), 3.34- 3.56(6H, m), 3·90(3Η, s), 3.97-4.12(2H, m), 7.26(1H, s), 7.52(1H, s), 7.98— 8·05(2Η, m), 8.20— 8.22(1H, m), 8.74-8.77(lH, m)0
[0212] (実施例 44) 1_(1-メチル -1H-イミダゾール- 2_ィル) _4_(2_ピリジル)フタラジン
a) 1_クロ口- 4-ピリジン- 2-ィル-フタラジン
既知の方法 (Synth.Commun.1999, 29(3), 457)に従って合成した 4_(2_ピリジル) -2H- フタラジン- 1-オン 5.0g(22.4 mmol)を用いて実施例 37bと同様の操作を行うことにより、 表記化合物 4.74g (収率 88%)を得た。 1H_NMR(CDC13): 7.48-7.51(1H, m),
7·96-8·02(3Η, m), 8.22(1Η, d), 8.38— 8.41(1Η, m), 8·81_8·85(2Η, m)0 b) l-(l-メチル -1H-イミダゾール -2-ィル) -4-(2-ピリジル)フタラジン
実施例 44aで得られた化合物 300mg(1.24 mmol)を用いて実施例 38dと同様の操作を 行うことにより、表記化合物 169mg (収率 47%)を得た。 1H_NMR(CDC ): 4.12(3H, s), 7· 19(1Η, s), 7·36(1Η, s), 7.50(1H, m), 7·92_7·99(3Η, m), 8.25(1H, m),
8.74-8.75(lH, m), 8.78_8.84(1H, m), 9.17— 9.20(1H, m)。
(実施例 45) 1_(2-ピリジル) -4-(1Η-テトラゾル _5_ィル)フタラジン ナトリウム塩 a) 4- (2-ピリジル)フタラジン- 1-カルボ二トリノレ
実施例 44aで得られた化合物 600mg(2.48 mmol)の DMF(8ml)溶液に、 p -トルエンスル フィン酸ナトリウム 221mg(1.24 mmol),シアン化カリウム 243mg(3.73 mmol)を加え 90度 にて 5.5時間加熱した。室温に冷却した後反応溶液に水を加え、析出した固体をろ取 し水で洗浄した。得られた固体をシリカゲルカラムクロマトグラフィー (ジクロロメタン-酢 酸ェチル)にて精製後、表記化合物 306mg (収率 54%)を得た。 1H_NMR(CDC13): 7.52— 7.54(1H, m), 8.01-8.12(3H, m), 8.34- 8·39(2Η, m), 8.85(1H, m),
9.04-9.08(lH, m)。
b) l-(2-ピリジル) -4-(lH-テトラゾル -5-ィル)フタラジン
実施例 45aで得られた化合物 308mg(1.33 mmol)のトルエン (5ml)溶液に、トリメチルシリ ルアジド 458mg(3.98 mmol),ジ _n_ブチルスズォキシド 33mg(0.13 mmol)を加え、 60時 間加熱還流した。反応液を減圧濃縮後、固体をメタノールにて加熱洗浄し表記化合 物 267mg (収率 73%)を得た。 lH-NMR(DMSO_d6): 7.68-7.72(1Η, m), 8.14_8·29(4Η, m), 8.74(1Η, d), 8·89(1Η, d), 9.42(1Η, d)。
c) l-(2-ピリジル) -4-(1Η-テトラゾル -5-ィル)フタラジン ナトリウム塩
実施例 45bで得られた化合物 135mg(0.49 mmol)のメタノール (5ml)溶液にナトリウムメト キシド メタノール溶液 (28%)l. lmlを加え、室温にて 2時間攪拌した。反応液を減圧 濃縮した後、得られた固体をアセトン-メタノールで洗浄し表記化合物 124mg (収率 85 %)を得た。 lH-NMR(DMSO-d6): 7.63— 7.65(1H, m), 7.98— 8.03(2H, m),
8· 11-8· 15(2Η, m), 8.59_8·60(1Η, m), 8.85(1H, d), 9·04_9·08(1Η, m)0
実施例 31から実施例 45に記載の化合物を以下に示す。 [0214] [化 22] 実施例
Figure imgf000057_0001
Figure imgf000057_0002
[0215] (実施例 46) 1-(3-ピリジル) -4-( -テトラゾル -5-ィル)フタラジン ナトリウム塩
a) 4-(3-ピリジル) -フタラジン- 1-カルボ二トリル
既知の方法 (Synth.Commun.1999, 29(3), 457)に従って合成した 4_(3_ピリジル )-2H-フタラジン- 1-オン 2.33g(10.4 mmol)を用いて実施例 37bと同様の操作を行うこと により、 1-クロ口- 4-ピリジン- 3-ィル-フタラジン 2.30g (収率 91%)を得た。
1H-NMR(CDC13): 7·54_7.58(1Η, m), 8.01-8.13(4H, m), 8.45(1H, d), 8.82-8.84(1H m), 8.99(1H, d) この化合物 700mg(2.90 mmol)を用いて実施例 45aと同様の操作を 行うことにより、表記化合物 522mg (収率 78%)を得た。 1H_NMR(CDC13):
7·58-7·62(1Η, m), 8.10-8.22(4H, m), 8.43(1H, m), 8.87— 8.89(1H, m), 9.04(1H, d)。 b) l- (3-ピリジル) 4_(1H-テトラゾル- 5-ィル)フタラジン
実施例 46aで得られた化合物 520mg(2.24 mmol)を用いて実施例 45bと同様の操作を 行うことにより、表記化合物 533mg (収率 86%)を得た。 lH_NMR(DMSO_d6):
7.70-7.74(1Η, m), 8.13_8·22(2Η, m), 8.26— 8.31(2Η, m), 8.86— 8.88(1Η, m), 9·02(1Η, d), 9.43(1Η, d)。
c) 1_(3_ピリジル )_4_(1H-テトラゾル _5_ィル)フタラジン ナトリウム塩
塩実施例 46bで得られた化合物 164mg(0.59 mmol)を用いて実施例 45cと同様の操作 を行うことにより、表記化合物 175mg (収率 99%)を得た。 m_NMR(DMSO-d6):
7.66-7.7K1H, m), 7.97- 8.91(3H, d), 8.25(1H, d), 8.82(1H, d), 8.98(1H, s),
9.10(1H, d)。
(実施例 47) l-(4-ピリジル) -4-( -テトラゾル -5-ィル)フタラジン ナトリウム塩 a) 1-クロ口- 4-(4-ピリジル) -フタラジン
実施例 44中記載方法と同様にして得られた 4-(4-ピリジル) -2H-フタラジン- 1-オン 4.13g(18.5 mmol)を用いて実施例 37bと同様の操作を行うことにより、表記化合物 4.43g (収率 99%)を得た。 1H-NMR(CDC13): 7.66_7.68(2H, m), 7.99_8.01(2H, m), 8.03_8.09(1H, m), 8.45(1H, d), 8.86_8·89(2Η, m)。
b) 4_(4-ピリジル) -フタラジン _1_カルボ二トリノレ
実施例 47aで得られた化合物 1.2g(4.97 mmol)を用いて実施例 45aと同様の操作を行 うことにより、表記化合物 987mg (収率 86%)を得た。 1H-NMR(CDC13): 7.70-7.72(2H, m), 8.10-8· 19(3Η, m), 8.44-8.48(1Η, m), 8.91— 8.93(2Η, m)。
c) l_(4_ピリジル )_4_(1Η-テトラゾル _5_ィル)フタラジン
実施例 47bで得られた化合物 510mg(2.20 mmol)を用いて実施例 45bと同様の操作を 行うことにより、表記化合物 487mg (収率 81%)を得た。 lH_NMR(DMSO_d6): 7.84-7.86(2H, m), 8.11- 8.19(2H, m), 8.27- 8·31(1Η, m), 8.89_8.91(2H, m), 9.45(1H, d)。
d) l-(4-ピリジル) -4-(lH -テトラゾル -5-ィル)フタラジン ナトリウム塩
実施例 47cで得られた化合物 487mg(1.77 mmol)を用いて実施例 45cと同様の操作を 行うことにより、表記化合物 489mg (収率 93%)を得た。 lH_NMR(DMSO_d6):
7·80-7·82(2Η, m), 7.98_8·07(3Η, m), 8.84— 8.86(2Η, m), 9.14(1Η, d)。
[0217] (実施例 48) 1_(4-ピリジル) -4-(2, 5 -ジヒドロ- 5_ォキソ _4H_1, 2, 4_ォキサジァゾ一 ノレ- 3-ィル)フタラジン 塩酸塩
a) N -ヒドロキシ- 4_(4_ピリジル)フタラジン _1_カルボキシアミジン
実施例 47bで得られた化合物 450mg(1.94 mmol)のエタノール (15ml)溶液に、塩酸ヒド ロキシルァミン 153mg(2.13 mmol),水酸化カリウム 120mg(2.13 mmol)を加え 4時間加 熱還流した。室温に冷却し、溶媒を減圧濃縮後、析出した固体を含水エタノールで 洗浄し、表記化合物 428mg (収率 83%)を得た。 1H_NMR(CDC13): 5.93(2H, brs), 6.91(1H, s), 7.69-7.71(2H, m), 7.88- 8.04(3H, m), 8.87—8.89(2H, m), 9.40(1H, d)。 b) l-(4-ピリジル) -4-(2, 5-ジヒドロ- 5-ォキソ -4H-1, 2, 4_ォキサジァゾール _3_ィル) フタラジン 塩酸塩
実施例 48aで得られた化合物 200mg(0.75 mmol)の THF(3ml)溶液を 0°Cに冷却し、トリ ェチルァミン 0.15ml(1.06 mmol),クロロギ酸ェチル 117mg(1.01 mmol)を加え、室温に て一晩攪拌した。反応溶液に水をカ卩え、析出した固体をろ取し水で洗浄、乾燥後、ピ リジン (5ml)に溶解させ、 12時間加熱還流した。室温に冷却し、溶媒を減圧濃縮後、 析出した固体をアセトン-メタノールで洗浄し 1-(4-ピリジル) -4-(2, 5-ジヒドロ- 5 -ォキ ソ- 4H-1, 2, 4 -ォキサジァゾール -3-ィル)フタラジンを得た。 1-(4-ピリジル) -4-(2, 5- ジヒドロ- 5_ォキソ -4H-1, 2, 4_ォキサジァゾール- 3_ィル)フタラジンを用いて実施例 29fと同様の操作を行うことにより、表記化合物 193mg (収率 78%)を得た。
lH-NMR(DMSO-d6): 8·04(2Η, m), 8.1ト 8·22(2Η, m), 8.26— 8.31(1H, m), 9.01(1H, d), 9.07(1H, d)。
[0218] (実施例 49) 1_(4-ピリジル) -4-(2, 5 -ジヒドロ- 5_ォキソ _4H_1, 2, 4 -チアジアゾル -3-ィル)フタラジン ナトリウム塩 実施例 48aで得られた化合物 255mg(0.96 mmol)の THF(lOml)溶液にチォカルボニル ジイミダゾール 286mg(1.44 mmol)を加え、室温にて 4時間攪拌した。反応溶液に水を 加え、析出した固体をろ取し水で洗浄、乾燥後、 THF(20ml)に溶解させ、ボロントリフ ルオリド ェチルエーテル錯体 660mg(4.69 mmol)を加えて 31時間加熱還流した。室 温に冷却し溶媒を減圧濃縮後、水を加えて析出した固体をアセトン -メタノールで洗 浄し 1_(4-ピリジル) -4-(2, 5 -ジヒドロ- 5-ォキソ -4H-1, 2, 4-チアジアゾル _3_ィル)フタ ラジンを得た。
[0219] 得られた 1_(4-ピリジル) -4-(2, 5 -ジヒドロ- 5-ォキソ -4H-1, 2, 4-チアジアゾル _3_ィ ノレ)フタラジンのメタノール (10ml)溶液にナトリウムメトキシド メタノール溶液
(0.5M)l. lmlをカ卩え、室温にて一晩攪拌した。反応液を減圧濃縮した後、得られた固 体をアセトン-メタノールで洗浄し表記化合物 94mg (収率 30%)を得た。
lH-NMR(DMSO-d6): 7·79_7·83(2Η, m), 7.97—8.14(3H, m), 8.59_8·70(1Η, m), 8.84- 8.85(2H, m)。
[0220] (実施例 50) l-(2-ピリジル) 4-(2, 5_ジヒドロ- 5_ォキソ _4H_1, 2, 4_ォキサジァゾ一 ノレ- 3-ィル)フタラジン ナトリウム塩
a) N-ヒドロキシ -4-(2-ピリジル) -フタラジン- 1-カルボキシアミジン
実施例 47aで得られた化合物 500mg(2.15 mmol)を用いて実施例 48aと同様の操作を 行うことにより、表記化合物 417mg (収率 73%)を得た。 1H_NMR(CDC13): 5·91(2Η, brs), 6·83(1Η, s), 7.48- 7.51(1Η, m), 7·90— 7·99(3Η, m), 8.22(1Η, d), 8.71_8.75(1Η, m), 8.84(1Η, d), 9.29— 9·32(1Η, m)。
b) 1-(2-ピリジル) 4-(2, 5-ジヒドロ- 5-ォキソ -4H-1, 2, 4_ォキサジァゾール _3_ィル)フ タラジン ナトリウム塩
実施例 50aで得られた化合物 170mg(0.64 mmol)を用いて実施例 48bと同様の操作を 行うことにより、 1_(2_ピリジル) 4_(2, 5-ジヒドロ- 5_ォキソ -4H-1, 2, 4_ォキサジァゾ一 ノレ- 3-ィル)フタラジンを得た。得られた 1_(2-ピリジル) 4-(2, 5 -ジヒドロ- 5-ォキソ -4H-1, 2, 4-ォキサジァゾール -3-ィル)フタラジンのメタノール (3ml)溶液にナトリウム メトキシド メタノール溶液 (0.5M)1.2mlをカ卩え、室温にて一晩攪拌した。反応液を減 圧濃縮した後、得られた固体をアセトン-メタノールで洗浄し表記化合物 140mg (収率 82%)を得た。 lH-NMR(DMSO-d6): 7.63-7.67(1Η, m), 8.02- 8· 16(4Η, m),
8.58— 8.61(1H, m), 8.78— 8.86(2H, m)。
[0221] (実施例 51) l-(2-ピリジル) -4-(2, 5_ジヒドロ- 5_ォキソ _4H_1, 2, 4_チアジアゾル -3-ィル)フタラジン
実施例 50aで得られた化合物 500mg(2.15 mmol)を用いて実施例 49と同様の操作を行 うことにより、表記化合物 98mg (収率 34%)を得た。 lH-NMR(DMSO-d6):
7.68-7.7K1H, m), 8.13-8.22(4H, m), 8.71— 8.74(1H, m), 8.88— 8.89(2H, m)。
[0222] (実施例 52) 5_フエニル _8_(1H-テトラゾル _5_ィル)ピリド [2, 3_d]ピリダジン 塩酸塩 a) 5 -フエニル- 7H -ピリド [2, 3- d]ピリダジン- 8-オン
既知の方法 (Monatsh.Chem.1990, 121(11)、 909)により得られた 6, 7 -ジヒドロ- 5_ヒドロ キシ -5, 6 -ジフエニル -5H-ピロ [3, 4-b]ピリジン - 7_オン 8.14g(26.9 mmol)にヒドラジン 1 水和物 12mlを加えて 5時間加熱還流した。 0°Cに冷却後水をカ卩え、酢酸にて中和した 。析出した固体をろ過後、水で洗浄し表記化合物 3.85g (収率 64%)を得た。
1H-NMR(CDC13): 7.57(5H, m), 7.74(1H, dd), 8.14- 8.17(1H, m), 9.15- 9· 17(1Η, m), 10.26(1H, brs)。
b) 8-クロ口- 5-フエニルピリド [2, 3-d]ピリダジン
実施例 52aで得られた化合物 3.84g(17.2 mmol)を用いて実施例 37bと同様の操作を行 うことにより、表記化合物 2.49g (収率 60%)を得た。 -NMR(CDC13): 7.60-7.62(3H, m), 7.72-7.75(2H, m), 7·86— 7·89(1Η, m), 8.44(1H, dd), 9.36— 9.37(1H, m)。
c) 8-(2-ベンジルォキシメチル -2H-テトラゾル -5-ィル) -5-フエニルピリド [2, 3_d]ピリ ダジン
実施例 52bで得られた化合物 300mg(1.24 mmol)及び既知の方法 (Tetrahedron Lett.2000, 41(16)、 2805)に従って得られた 2-ベンジルォキシメチル _5_ (トリブチルス ズ)テトラゾール 714mg(1.49 mmol)を用いて実施例 15と同様の操作を行うことにより、 表記化合物 165mg (収率 34%)を得た。 1H_NMR(CDC13): 4.84(2H, s), 6· 16(2Η, s), 7.36-7.42(5Η, m), 7.64_7·66(3Η, m), 7.83— 7.89(3Η, m), 8.55— 8.57(1Η, m),
9.40-9.41(1Η, m)0
d) 5_フエニル _8_(1H -テトラゾル- 5_ィル)ピリド [2, 3-d]ピリダジン 塩酸塩 実施例 52cで得られた化合物 160mg(405 mmol)のメタノール (4ml)溶液に、 4モル塩酸 -酢酸ェチル溶液 0.61mlを加え 3時間加熱還流した。室温に冷却し、溶媒を減圧濃 縮後、析出した固体をアセトン-メタノールで洗浄し、表記化合物 113mg (収率 90%)を 得た。 lH-NMR(DMSO-d6): 7.69— 7.71(3H, m), 7.86— 7.89(2H, m), 8.1ト 8.16(1H, m), 8.56-8.59(lH, m), 9.44-9.46(1H, m)。
[0223] (実施例 53) 1 -フエニル _4_(1H-テトラゾル _5_ィル)フタラジン
既知の方法 (Heterocycles 1994, 39(1)、 345)により得られた 4 -フエニルフタラジン- 1- カルボ二トリル 400mg(l .73 mmol)を用レ、て実施例 45bと同様の操作を行うことにより、 表記化合物 225mg (収率 48%)を得た。 1H_NMR(CDC13): 7.67_7.69(3H, m), 7.84-7.87(2H, m), 8.04_8·06(1Η, m), 8.14- 8.17(1H, m), 8.25(1H, d), 9.78(1H, d)MS(FritFAB): 275(M+H+), 247, 232, 205, 189, 77。
[0224] (実施例 54)
a) 1-(1-メチル -1H-テトラゾル -5-ィル) -4-フエニルフタラジン
b) l_(2-メチル -2H-テトラゾル -5-ィル) -4-フエニルフタラジン
実施例 53で得られた化合物 280mg(1.02 mmol)を DMF(3.5ml)に溶解させ、 0°Cに冷却 した。窒素雰囲気下にて水素化ナトリウム (60%)65mg(1.63 mmol)を加え、 0°Cにて 30 分攪拌した。反応溶液にヨウ化メチル 274mg(1.63 mmol)をカ卩え、室温でー晚攪拌し た。反応溶液に水をカ卩え、析出した固体をろ取し、シリカゲルカラムクロマトグラフィー (ジクロロメタン-酢酸ェチル)にて精製後、表記化合物を得た。
a) 1-(1-メチル -1H -テトラゾル -5-ィル) -4-フエニルフタラジン: 97mg (収率 33%)。 RM).525(ジクロロメタン/酢酸ェチル =5/l)lH_NMR(CDC ): 4.59(3H, s),
7.62-7.64(3H, m), 7.81_7·85(2Η, m), 7.99_8.02(1H, m), 8.05_8.08(1H, m), 8.24(1H, d), 9.24(1H, d)
b) 1_(2-メチル _2H-テトラゾル- 5 -ィル )_4 -フヱニルフタラジン: 123mg (収率 42%)。 Ri 3.175(ジクロロメタン/酢酸ェチル =5/l)lH_NMR(CDC13): 4.59(3H, s),
7.59-7.6K3H, m), 7.80_7·83(2Η, m), 7.93— 7.96(1H, m), 7.98— 8.01(1H, m), 8.17-8.21(1H, m), 9.06(1H, d)MS(EI): 288(M+), 232, 217, 203, 189, 176, 163, 77。 [0225] (実施例 55) 5-(4-フエニルフタラジン- 1-ィル) -2, 4_ジヒドロピラゾール _3_オン a) 4-フエニルフタラジン- 1-カルボン酸
4-フエニルフタラジン- 1-カルボ二トリル 2.2g(9.51 mmol)に 50%硫酸 (30ml)を加え、 7 時間加熱還流した。反応液を 0°Cに冷却後水酸化ナトリウム水溶液にて中和し、析出 した固体をろ過後、氷水で洗浄し表記化合物 1.77g (収率 75%)を得た。
lH-NMR(DMSO-d6): 7·63_7·74(5Η, m), 8·01_8·08(3Η, m), 8.48(1Η, m)。
b) 5_(4_フエニルフタラジン- 1-ィル) -2, 4 -ジヒドロピラゾール _3_オン
実施例 55aで得られた化合物 975mg(3.90 mmol)の THF(lOml)溶液にカルボニルジイミ ダゾール 695mg(4.29 mmol)を加え、 50°Cにて 2時間攪拌した。反応溶液を 0°Cに冷却 後、マロン酸ェチルカリウム 729mg(4.29 mmol),塩化マグネシウム 408mg(4.29 mmol) を加え、 5時間加熱還流した。反応液を冷却後、希塩酸水溶液を加え、酢酸ェチル にて抽出し、無水硫酸ナトリウムにて乾燥後、ろ過、減圧濃縮した。得られた残さをシ リカゲルカラムクロマトグラフィー (へキサン-酢酸ェチル)にて精製し、 3-ォキソ -3-(4- フエニルフタラジン- 1-ィル)プロピオン酸メチルエステル 571mg (収率 46%)を得た。 得られた 3-ォキソ -3-(4-フエニルフタラジン- 1-ィル)プロピオン酸メチルエステル 236mg(0.74 mmol)のエタノール (3ml)溶液にヒドラジン 1水和物 0.7mlを加え 6時間加熱 還流した。室温に冷却した後、溶媒を減圧濃縮して得られた固体をェチルエーテル- エタノールにて洗浄し、表記化合物 189mg (収率 89%)を得た。 1H-NMR(CD30D): 7.63— 7.65(3H, m), 7.72— 7.76(2H, m), 7.98-8.12(4H, m), 8.85(1H, brs)。
[0226] (実施例 56) l-(5-メチル -[1, 3, 4]ォキサジァゾール _2_ィル) _4_フエニルフタラジン a) 2-ァセチル -1-(4-フエニルフタラジン- 1-カルボニル)ヒドラジン
実施例 55aで得られた化合物 600mg(2.40 mmol)の THF(12ml)溶液にカルボニルジイミ ダゾール 505mg(3.12. mmol)をカ卩え、 50°Cにて 2時間攪拌した。反応溶液を 0°Cに冷 却後ァセチルヒドラジン 195mg(2.64 mmol)をカ卩え、室温にて 3時間攪拌した。反応液 に水を加え、ジクロロメタンにて抽出し、無水硫酸ナトリウムにて乾燥後ろ過、減圧濃 縮した。得られた固体をへキサン-酢酸ェチルにて洗浄し、表記化合物 597mg (収率 70%)を得た。 1H-NMR(CDC13): 2.20(3H, s), 7.60- 7.62(3H, m), 7·75_7·78(2Η, m), 7.94(1H, t), 7.98-8.02(lH, m), 8.15(1H, d), 8.21(1H, brs), 9.43(1H, d)。 b) l-(5-メチル -[1, 3, 4]ォキサジァゾール -2-ィル) -4-フエニルフタラジン 実施例 56aで得られた化合物 250mg(0.82 mmol)及びポリリン酸 5.0gの混合物を 120°C にて 2時間攪拌した。反応溶液を室温に冷却し氷水を加え、炭酸ナトリウムにて中和 後、ジクロロメタンにて抽出し、無水硫酸ナトリウムにて乾燥後ろ過、減圧濃縮した。 得られた固体をへキサン-酢酸ェチルにて洗浄し、表記化合物 203mg (収率 86%)を 得た。 1H-NMR(CDC13): 2.78(3H, s), 7.61- 7.63(3H, m), 7.81- 7.84(2H, m), 7.97(1H, t), 8.08(1H, t), 8.22(1H, d), 9.54(1H, d)。
[0227] (実施例 57) 1_(5-メチル -[1, 3, 4]チアジアゾル -2-ィル) -4-フエニルフタラジン 実施例 56aで得られた化合物 336mg(1.10 mmol)のトルエン (11ml)溶液にローソン試薬 577mg(1.43. mmol)を加え、 1時間加熱還流した。反応溶液を室温に冷却後飽和重曹 水をカ卩え、酢酸ェチルにて抽出し、無水硫酸ナトリウムにて乾燥後ろ過、減圧濃縮し た。得られた残さをシリカゲルカラムクロマトグラフィー (ジクロロメタン-酢酸ェチル)に て精製し、表記化合物 208mg (収率 62%)を得た。 m_NMR(CDC13): 2.92(3H, s), 7.60-7.63(3H, m), 7.80—7.84(2H, m), 7.95_7.98(1H, m), 8.05- 8·10(1Η, m), 8.20(1H, d), 9.84(1H, d)。
[0228] (実施例 58) l-(5-メチル -4H-[1, 2, 4]トリァゾル _3_ィル) _4_フエニルフタラジン 実施例 56bで得られた化合物 95mg(0.33 mmol)及びベンジルァミン 0.7mlの混合物を 150°Cにて 2日間攪拌した。反応溶液を室温に冷却後水を加え、酢酸ェチルにて抽 出し、無水硫酸ナトリウムにて乾燥後、ろ過、減圧濃縮した。得られた残さにトリフル ォロ酢酸 (1.3ml)を加え、 10時間加熱還流した。反応溶液を減圧濃縮後ジクロロメタン にて希釈し、希塩酸水溶液にて洗浄した。水層を 0°Cに冷却して水酸化ナトリウム水 溶液にて中和して得られた固体をろ過し、表記化合物 67mg (収率 71%)を得た。 1H-NMR(CDC13): 2.63(3H, s), 7.59_7·62(3Η, m), 7.78-7.82(2Η, m), 7.94(1Η, t), 8·06(1Η, t), 8· 16(1Η, d), 9.81(1Η, brs)0
[0229] (実施例 59) 1_(1-メチル -1H-イミダゾール- 2_ィル) _4_フエニルピリド [3, 4_d]ピリダ ジン 塩酸塩
a) 4-フエニル -2H-ピリド [3, 4-d]ピリダジン _1_オン
既知の方法 (Monatsh.Chem.1990, 121(11)、 909)により得られた 5, 6 -ジヒドロ- 7_ヒドロ キシ -6, 7-ジフエニル -7H-ピロ [4, 3-c]ピリジン- 5-オン 8.63g(28.6 mmol)を用いて実 施例 54aと同様の操作を行うことにより、表記化合物 6.13g (収率 96%)を得た。
1H-NMR(CDC13): 7.58- 7.62(5H, m), 8.29(1H, d), 9.03(1H, d), 9.21(1H, s), 10.1 5(1H, brs)。
b) 1_クロ口- 4-フエニルピリド [3, 4-d]ピリダジン
実施例 59aで得られた化合物 6.13g(27.5 mmol)を用いて実施例 37bと同様の操作を行 うことにより、表記化合物 3.28g (収率 49%)を得た。 1H-NMR(CDC13): 7.63_7.65(3H, m), 7.79-7.82(2H, m), 8.13(1H, d), 9.16(1H, d), 9.56(1H, s)。
c) l_(l_メチル _1H -イミダゾール -2-ィル) -4-フエニルピリド [3, 4-d]ピリダジン 塩酸塩 実施例 59bで得られた化合物 300mg(1.24 mmol)を用いて実施例 15と同様の操作を行 うことにより、 メチル -1H -イミダゾール -2-ィル) -4-フエニルピリド [3, 4-d]ピリダジ ン 291mg (収率 82%)を得た。 メチル -1H -イミダゾール -2-ィル) -4-フエニルピリド [3, 4-d]ピリダジンを用いて実施例 30fと同様の操作を行うことにより、表記化合物 351mg (収率 96%)を得た。 lH-NMR(DMSO_d6): 4·04(3Η, s), 7.71-7.73(3H, m), 7.78(1H, m), 7·94— 7·96(3Η, m), 8.47(1H, m), 9.20(1H, d), 9.55(1H, s)。
実施例 46から実施例 59の化合物を以下に示す。
[化 23] 実施例 実施例 実施例
Figure imgf000066_0001
(実施例 60) 4-(1-メチル -1H-イミダノール- 2-ィル) -7-(2-ピリジル)チエノ [2, 3d]ピ リダジン 2塩酸塩
a) 7-(2-ピリジル) -5H-チエノ [2, 3d]ピリダジン- 4_オン
3-チォフェンカルボン酸 8.90g(69.4 mmol)及び 2-ピリジンカルボアルデヒド 8.18g(76.3 mmol)を用いて実施例 37aと同様の操作を行うことにより、表記化合物 7.62g (収率 48 %)を得た。 lH-NMR(DMSO-d6): 7.72-7.79(1Η, m), 7.88(1H, d), 8.02-8.09(1H, m), 8.71(1H, d), 9.04—9.06(2H, m)。
b) 4_クロ口- 7_(2_ピリジル) -チエノ [2, 3d]ピリダジン
実施例 60aで得られた化合物 7.62g(33.2 mmol)を用いて実施例 37bと同様の操作を行 うことにより、表記化合物 7.92g (収率 97%)を得た。 1H-NMR(CDC13): 7.43-7.48(1H, m), 7.75(1H, d), 7.91— 7.98(1H, m), 8.04(1H, d), 8.80— 8.88(2H, m)。
c) 4_(1_メチル _1H -イミダゾール -2-ィル) -7-(2_ピリジル)チエノ [2, 3d]ピリダジン 2 塩酸塩
実施例 60bで得られた化合物 300mg(1.21 mmol)を用いて実施例 15と同様の操作を行 うことにより、 4- (1-メチル - 1H -イミダゾール -2-ィル) -7-(2-ピリジル)チエノ [2, 3d]ピリ ダジンを得た。 4-(1-メチル -1H-イミダゾール _2 -ィル )_7_(2-ピリジル)チエノ [2, 3d]ピ リダジンを用いて実施例 29fと同様の操作を行うことにより、表記化合物 166mg (収率 37 %)を得た。 lH-NMR(DMSO-d6): 4.12(3H, s), 7·65_7.71(2Η, m), 7.82(1Η, s), 8.14— 8.20(2Η, m), 8·55(1Η, d), 8.89(1Η, d), 8·95(1Η, d)。
(実施例 61) 4-(1-メチル -1H-イミダゾール -2-ィル) -7-(4-ピリジル)チエノ [2, 3d]ピ リダジン
a) 7-ピリジン- (4-ピリジル) -5H-チエノ [2, 3d]ピリダジン- 4_オン
3-チォフェンカルボン酸 11.7g(90.9 mmol)及び 4-ピリジンカルボアルデヒド 10.7g(100 mmol)を用いて実施例 37aと同様の操作を行うことにより、表記化合物 5.90g (収率 28% )を得た。 lH-NMR(DMSO-d6): 7.90(1H, d), 8.40- 8.44(2H, m), 8.66(1H, d), 9.06-9.11(2H, m)0
b) 4_クロ口- 7_(4_ピリジル)チエノ [2, 3d]ピリダジン
実施例 61aで得られた化合物 5.90g(25.7 mmol)を用いて実施例 37bと同様の操作を行 うことにより、表記化合物 1.98g (収率 31%)を得た。 1H-NMR(CDC13): 7.75(1H, d), 8.02-8.04(3H, m), 8.88_8·90(2Η, m)0
c) 4_(l_メチル _1H -イミダゾール -2-ィル) -7-(4_ピリジル)チエノ [2, 3d]ピリダジン 実施例 61ヒで得られた化合物30011¾(1.21 mmol)を用いて実施例 15と同様の操作を行 うことにより、表記化合物 43mg (収率 12%)を得た。 1H-NMR(CDC13): 4·30(3Η, s), 7.17(1H, s), 7.34(1H, s), 7.96(1H, d), 8.11— 8.13(2H, m), 8.77(1H, d),
8.88-8.90(2H, m)。
[0234] (実施例 62) 7_(1-メチル -1H-イミダゾール- 2_ィル) _4_(2_ピリジル)チエノ [2, 3d]ピ リダジン 塩酸塩
実施例 37bで得られた化合物 300mg(1.20 mmol)及びトリ- n_ブチル (2-ピリジル)スズ 529mg(1.44 mmol)を用いて実施例 15と同様の操作を行うことにより、 7_(1_メチル -1H-イミダゾール _2 -ィル )_4_(2-ピリジル)チエノ [2, 3d]ピリダジンを得た。 7-(1_メチ ノレ- 1H-イミダゾール -2-ィル) -4- (2-ピリジル)チエノ [2, 3d]ピリダジンを用いて実施例 29fと同様の操作を行うことにより、表記化合物 103mg (収率 26%)を得た。
lH-NMR(DMSO-d6): 4.30(3H, s), 7·35(1Η, s), 7.61— 7.64(2Η, m), 8.08—8.13(1Η, m), 8.43(1Η, d), 8.57— 8.60(2Η, m), 8·87(1Η, d)。
[0235] (実施例 63) 7-(1-メチル -1H-イミダゾール -2-ィル) -4-(4-ピリジル)チエノ [2, 3d]ピ リダジン
実施例 37bで得られた化合物 300mg(1.20 mmol)及びトリ- n_ブチル (4-ピリジル)スズ 556mg(1.44 mmol)を用いて実施例 15と同様の操作を行うことにより、表記化合物 121mg (収率 34%)を得た。 1H-NMR(CDC13): 4.40(3H, s), 7.17(1H, s), 7.39(1H, d), 7.71(1H, d), 7.89-7.9K2H, m), 8.05(1H, d), 8.86— 8.88(2H, m)。
[0236] (実施例 64) l-(5-ォキソ -4, 5_ジヒドロ- [1, 2, 4]ォキサジァゾール _3_ィル) _4_フエ ニルフタラジン
a) N-ヒドロキシ -4-フエニルフタラジン- 1-カルボキシアミジン
4-シァノフタラジン _1_カルボ二トリル 1.057g(4.569 mmol),塩酸ヒドロキシルァミン 442mg(6.36 mmol)及び酢酸ナトリウム 447mg(5.45 mmol)をエタノーノレ:水 =5: 1混合 溶液 (60ml)中に加え、 80分加熱還流した。反応液を室温まで冷却し、エタノールを減 圧留去した後、反応液を水で希釈した。析出した固体をろ取し、水にて洗浄後、減圧 下乾燥して表記化合物 1.066g (収率 88%)を淡黄色固体として得た。
lH-NMR(DMSO-d6): 6.24(2H, s, NH2), 7·62_7·66(3Η, m), 7.73_7·77(2Η, m), 7.99-8.10(3Η, m), 9.03_9·07(1Η, m), 10.36(1Η, s, ΟΗ)。 b) l-(5-ォキソ -4, 5-ジヒドロ- [1, 2, 4]ォキサジァゾール -3-ィル) -4-フエエルフタラジ ン
実施例 64aで得られた化合物 302mg(1.143 mmol)をピリジン (6ml)に溶解し、室温にて 攪拌しながらクロロギ酸ェチル 0.117ml(1.23 mmol)をカ卩え、昇温し 4時間加熱還流し た。反応液を冷却後、クェン酸水溶液をカ卩ぇ pHく 4とし、析出した固体をろ取し、水に て洗浄後、減圧下乾燥して表記化合物 298mg (収率 90%)を淡黄色固体として得た。 lH-NMR(DMSO-d6): 7·36_7·42(1Η, m), 7·66_7·69(2Η, m), 7.76-7.82(2Η, m), 8· 13-8· 15(1Η, m), 8.19_8·24(1Η, m), 8.57— 8.59(1Η, m), 9.02(1Η, d, J=8.4), 13·67(1Η, brs)。
[0237] (実施例 65) 1 -フヱニル _4_(5 -チォキソ -4, 5 -ジヒドロ- [1, 2, 4]ォキサジァゾ一ノレ -3-ィル)フタラジン
実施例 64aで得られた化合物 249mg(0.942 mmol)をァセトニトリル (7ml)に溶解し、室温 にて攪拌しながらチォカルボニルジイミダゾール (90%)368mg(1.86 mmol)を加え、引 き続いて DBU 0.56ml(3.75 mmol)を加え、同温にて 6時間半攪拌した。反応液中にク ェン酸水溶液を加え pHく 4とし、析出した固体をろ取し、水にて洗浄後、減圧下乾燥 して表記化合物 293mg (収率 100%)を淡黄色固体として得た。 m_NMR((DMSO-d6): 7.67-7.70(3H, m), 7·79_7.82(2Η, m), 8.15— 8·27(3Η, m), 8·93(1Η, d, J=8.2)。
[0238] (実施例 66) 1-{4-(1Η-テトラゾール -5-ィル)フタラジン- 1-ィル }ピペリジン- 4-ォー ノレ
a) 4-ォキソ一 3, 4-ジヒドロ- 3H-フタラジン- 1-カルボン酸
石 J 11らの方法(文献 Chem.Pharm.Bull.28(9)2770-2778(1980))を参考にして表題化合 物を合成した。水酸化カリウム (85%grade)8.85g(134.1 mmol)を水 (250ml)に溶解し、 そこに 2-ァセチル安息香酸 8.28g(50.44 mmol)を加え、室温下攪拌した。そこに水 (350ml)に溶解した過マンガン酸カリウム 15.94g(100.9 mmol)を 20分かけて滴下し、同 温にて、さらに 90分攪拌した。不溶物をセライトろ過し、水 (500ml)で洗浄した。母液中 にドライアイスをゆっくり加え、二酸化炭素を飽和させた後、ヒドラジン水和物 (40ml)を 加え 80°Cで 4時間加熱攪拌した。反応液を氷冷し 6モル塩酸水溶液を加え pH 1とし た。析出した固体をろ取し、減圧下乾燥して表記化合物 7.30g (収率 76%)を無色固体 として得た。 lH-NMR(DMSO-d6): 7.90(1H, t, J=7.5), 7·96_8·02(1Η, m), 8.29(1H, d, J=7.5), 8.58(1H, d, J=8.1), 13.11(1H, s), 13.2-14.0(1H, broad)0
b) 4-ォキソ一 3, 4-ジヒドロ- 3H-フタラジン- 1-カルボン酸アミド
実施例 66aで得られた化合物 4.19g(22.03 mmol)をジクロロメタン (150ml)中に加え、氷 冷下攪拌した。そこにトリェチルァミン 3.40ml(24.4 mmol),およびクロロギ酸イソブチ ノレ 3.10ml(23.6 mmol)を順次加え、同温にて 30分攪拌後、 28%アンモニア水溶液 (30ml)を一気にカ卩え、室温下 45分攪拌した。反応液にジェチルエーテルを加え、析 出した固体をろ取し、水、希塩酸、水で順次洗浄し、減圧下乾燥して表記化合物 3.49g (収率 84%)を無色固体として得た。 lH_NMR(DMSO-d6): 7.70(1H, s),
7·85-7·98(3Η, m), 8.28(1Η, d, J=7.6), 8·59(1Η, d, J=8.0), 12.8— 13.2(1H, broad)0 c) 4_クロ口フタラジン- 1-カルボ二トリノレ
実施例 66bで得られた化合物 3.48g(18.40 mmol)を塩化チォニル (30ml)_ォキシ塩化リ ン (30ml)混合溶液中に加え、 110°Cで 3時間半攪拌した。反応液を減圧留去し、得ら れた油状物をジクロロメタンに溶解し、飽和重曹水、ぼうしょう水で洗浄後、硫酸マグ ネシゥムにて乾燥後、ろ過し、溶媒を減圧留去後、得られた油状物をシリカゲルカラ ムクロマトグラフィー (酢酸ェチル -ジクロロメタン)にて精製し、表記化合物 1.99g (収率 57%)を淡黄色固体として得た。 1H-NMR(CDC 3): 8.17_8·23(2Η, m), 8.34_8.38(1H, m), 8.43- 8.47(1H, m)。
d) 4-(4-ヒドロキシピペリジン _1-ィル)フタラジン- 1-カルボ二トリル
実施例 66cで得られた化合物 488mg(2.574 mmol)および 4_ヒドロキシピペリジン 830mg(8.21 mmol)を N-メチルビペリドンに溶解し、 110°Cで 90分過熱攪拌した。反応 液を室温まで冷却し、水をカ卩えると固体が析出した。これをろ取、水にて洗浄後、減 圧下乾燥させることにより表記化合物 519mg (収率 79%)を淡黄色固体として得た。 lH-NMR(DMSO-d6): 1·5_1·7(2Η, m), 1·8_2·0(2Η, m), 3.41_3·50(2Η, m),
3.80-3.87(1Η, m), 3.97_4·05(2Η, m), 4.86(1Η, d, J=4.2, OH), 8.00-8.16(4H, m)。 e) 4-{4-(lH -テトラゾール -5-ィル)フタラジン- 1 -ィル }ピペリジン- 4_オール 実施例 66dで得られた化合物 294mg(1.156 mmol),トリメチルシリルアジド (7ml)、及び ジブチルスズォキシド 34.5mg(0.139 mmol)をトルエン (10ml)に溶解し、 110。Cにて 30時 間過熱攪拌する。溶媒を減圧留去し、得られた油状物をシリカゲルカラムクロマトダラ フィー (メタノール-ジクロロメタン)にて精製し、表記化合物 114mg (収率 33%)を淡黄色 固体として得た。 lH_NMR(DMSO-d6): 1·64_1·76(2Η, m), 1·96_2·02(2Η, m), 3.2-3.5(2Η, m), 3.81_3·95(3Η, m), 4.85(1Η, brs, OH), 8.02-8.13(2H, m), 8.18(1H, d, J=8.5), 9.23(1H, d, J=8.0)。
(実施例 67) 1_{4- (5-ォキソ -4, 5-ジヒドロ- [1, 2, 4]ォキサジァゾール _3_ィル)フタ ラジン- 1 -ィル }ピペリジン- 4-オール
a) 4_[4-(t -ブチルジメチルシリルォキシ)ピぺリジン- 1-ィル]フタラジン- 1-カルボ二トリ ノレ
実施例 66dで得られた化合物 522mg(2.053 mmol)及びイミダゾール 310mg(4.553 mmol)を DMF(5ml)に溶解し、氷冷下攪拌した。そこにクロ口- 1 -ブチルジメチルシラン 371mg(2.462 mmol)をカ卩え、同温にて 3時間攪拌した。反応液を酢酸ェチルで希釈し 、飽和食塩水にて洗浄後、硫酸マグネシウムにて乾燥後、ろ過、溶媒を減圧留去し て得られた油状物をシリカゲルカラムクロマトグラフィー (ジクロロメタン)にて精製する ことにより、表記化合物 635mg (収率 84%)を淡黄色固体として得た。
1H-NMR(CDC13): 0· 11(6Η, s), 0.93(9H, s), 1.77- 1.84(2H, m), 1.99—2.06(2H, m), 3.62-3.71(2H, m), 3.92-4.00(2H, m), 4.07- 4· 10(1Η, m), 7.84-7.97(2H, m),
8.02(1H, d, J=8.4), 8.15(1H, d, J=7.8)。
b) 4-[4-(t-ブチルジメチルシリルォキシ)ピぺリジン- 1-ィル]フタラジン- 1-カルボキシ アミジン
実施例 67aで得られた化合物を用いて、実施例 64aと同様の操作を行うことにより表記 化合物 649mg (収率 97%)を淡黄色固体として得た。 1H_NMR(CDC13): 0.11(6H, s), 0.92(9H, s), 1.80— 1.87(2H, m), 1·99_2·08(2Η, m), 3.37_3.57(2H, m), 3.78— 3.83(2H, m), 3.97-4.05(lH, m), 5.79(2H, s, NH2), 7.76— 7.84(2H, m), 8.00— 8.04(1H, m), 9.08-9.12(1H, m)0
c) l- {4- (5-ォキソ _4, 5-ジヒドロ- [1, 2, 4]ォキサジァゾール -3-ィル)フタラジン- 1-ィ ノレ }ピペリジン -4-オール
実施例 67bで得られた化合物を用いて、実施例 64bと同様の操作を行うことにより 246mgの淡黄色無定形固体を得た。これを THFに溶解し、 1モル テトラプチルアンモ ニゥムフルオリド (2.7ml)を加え、一昼夜放置する。反応液を減圧濃縮した後、残查を シリカゲルカラムクロマトグラフィー (メタノール-ジクロロメタン)にて精製し、ェチルエー テル-へキサン混合溶媒で洗浄し表記化合物 146mg (収率 53%)を淡黄色固体として 得た。 lH-NMR(DMSO-d6): 1.64— 1.75(2H, m), 1.96—2.01(2H, m), 3.34— 3.42(2H, m), 3.81-3.96(3H, m), 4.85(1H, s), 7.99_8.08(2H, m), 8.14— 8.18(1H, m),
8.79-8.83(lH, m), 13.30(1H, s, NH)。
[0240] (実施例 68) 1_{4- (5-チォキソ -4, 5-ジヒドロ- [1, 2, 4]ォキサジァゾール _3_ィル)フ タラジン _1 -ィル }ピペリジン- 4_オール
実施例 67aで得られた化合物を用いて実施例 65と同様の操作を行うことにより 269mg の淡黄色固体を得た。この化合物を実施例 67cと同様の操作を行い脱保護し、表記 化合物 142mg (収率 67%)を淡黄色固体として得た。 lH_NMR(DMSO_d6):
1.64-1.75(2H, m), 1.95-2.02(2H, m), 3.36- 3·43(2Η, m), 3·82_3·96(3Η, m), 4.6-5.0(1H, broad), 8.00—8.09(2H, m), 8· 15_8· 19(1Η, m), 8.68_8·72(1Η, m)。
[0241] (実施例 69) 4-{(l-メチル -1H-イミダゾール -2-ィル) -フタラジン- 1-ィル }-フエノー ノレ
a) l-(l-メチル -1H-イミダゾール -2-ィル) -4-(4-tert-ブチルジメチルシリルォキシフ ェニル)フタラジン
実施例 Idで得られた化合物 411mg及び 4-4-t-ブチルジメチルシリルォキシフエニル ボロン酸 0.66gを用いて、実施例 leと同様の操作を行うことにより表記化合物 478mg( 収率 68%)を固体として得た。 1H-NMR(CDC13): 0.28(6H, s), 1·04(9Η, s), 4.12(3Η, s), 7·05(2Η, d), 7.16(1Η, s), 7.34(1Η, s), 7.72(2Η, d), 7.80— 8.00(2Η, m), 8.17(1Η, d), 9.18(1Η, d)。
b) 4_{(l-メチル _1Η-イミダゾール- 2_ィル) -フタラジン- 1 -ィル }-フエノール 実施例 69aで得られた化合物 307mgを THF6mlに溶解し、テトラプチルアンモニゥムフ ルオリド (1M THF溶液) 0.8mlを加え室温で終夜撹拌した。反応液を濃縮し、残渣にァ セトンを加えた後、 4モル塩酸酢酸ェチル溶液 0.2mlを加えた。これにイソプロピルァ ルコールを加え加熱還流し、室温まで冷却した。析出した固体をろ取して表記化合 物 150mg (収率 67%)を固体として得た。 lH-NMR(DMSO_d6: 3.97(3H, t), 7.01(2H, d), 7.26(1H, s), 7.53(1H, s), 7.65(2H, d), 8.00-8.15(3H, m), 8.92(1H, d), 9.98(1H, brs)MS(EI): 302(M+), 274, 209, 183, 156, 151, 129, 65。 (実施例 70) 1_(4_メトキシ -ピペリジン- 1_ィル) -4-(1-メチル -1H-イミダゾール- 2_ィル)フタラジン 塩酸塩 実施例 42で得られた化合物 200mg(0.65mmol)及び水素化ナトリウム
28mg(0.71mmol)の DMF(1.5 ml)溶液を 0°Cにて 30分間攪拌した。反応溶液にヨウ化メ チル 0.05 ml(0.78mmol)を加え、室温にて一昼夜攪拌した。反応溶液に水を加え、酢 酸ェチルにて抽出し、無水硫酸ナトリウムにて乾燥後ろ過、減圧濃縮した。残さをシリ 力ゲルカラムクロマトグラフィー (ジクロロメタン-メタノール)にて精製し、 1-(4-メトキシ- ピぺリジン _1_ィル) -4-(1-メチル -1H-イミダゾール- 2_ィル)フタラジンを得た。 1-(4- メトキシ-ピペリジン- 1_ィル) _4_(1-メチル -1H-イミダゾール- 2_ィル)フタラジンの酢 酸ェチル溶液に、 4モル塩酸-酢酸ェチル溶液 0.14mlをカ卩え、室温にてー晚攪拌し た。析出した固体をろ取し、表記化合物 183mg (収率 79%)を得た。
1H-NMR(CD30D): 1.94(2H, m), 2.20- 2.23(2H, m), 3.45(3H, s), 3.63— 3.70(3H, m), 4.05(2H, m), 7.74(1H, d), 7.80(1H, d), 8.05—8.12(3H, m), 8.34- 8·37(1Η, m)。
(実施例 71) l-[4-(l-メチル -1H-イミダゾール -2-ィル) -フタラジン- 1-ィル] -ピペリ ジン- 4-カルボン酸 ェチルエステル
実施例 Idで得られた化合物 400mg(1.64 mmol)及び 4_ピぺリジンカルボン酸ェチル エステル 307mg(3.06 mmol), N-メチルモルホリン 0.27ml(2.45mmol)の tert-ブタノール (0.65ml)溶液を 4.5時間加熱還流した。室温に冷却後溶媒を減圧濃縮して得られた 固体をへキサン-酢酸ェチルにて懸洗し、表記化合物 500mg (収率 84%)を得た。
1H-NMR(CDC13): 1.31(3H, t), 2.07-2.15(4H, m), 2.59— 2.62(1H, m), 3.17— 3.25(2H, m), 3.96-4.00(2H, m), 4.05(3H, s), 4.17-4.24(2H, q), 7.10(1H, d), 7.28(1H, d), 7.82-7.85(2H, m), 8.05_8.08(1H, m), 8.93— 8.97(1H, m)。
(実施例 72) {(2R)_1_[4-(1_メチル _1H -イミダゾール -2-ィル)フタラジン- 1-ィル]ピロ リジン- 2 -ィル }メタノール
実施例 Idで得られた化合物 300mg(1.23 mmol)及び D -プロリノール 0.15ml(1.47 mmol), N-メチルモルホリン 0.16ml(1.47 mmol)を用いて実施例 71と同様の操作を行う ことにより、表記化合物 102mg (収率 27%)を得た。 1H-NMR(CDC13): 1.83_1.90(2H, m), 2.08-2.09(1H, m), 2.28- 2·30(1Η, m), 3·80_3·86(1Η, m), 3.90_4·03(5Η, m), 4.15— 4.18(1H, m),4.89-4.91(lH, m), 7.08(1H, d), 7.26(1H, d), 7.76-7.84(2H, m), 8.18-8.21(1H, m), 8.74_8.77(1H, m)0
(実施例 73) 1-[4_(1-メチル -1H-イミダゾール- 2_ィル)フタラジン _1_ィル]ァゼチジ ン -3-ォーノレ
実施例 Idで得られた化合物 200mg(0.82 mmol)及び 3_ァゼチジノール 171mg (0.98 mmol), N-メチルモルホリン 0.22ml(0.98 mmol)を用いて実施例 71と同様の操作を行う ことにより、表記化合物 167mg (収率 73%)を得た。 1H-NMR(CDC13): 3.71_3.75(1H, m), 3.93(3H, s), 4·00_4·05(1Η, m), 4.51(2H, m), 4.67— 4.69(1H, m), 7.17(1H, d), 7.29(1H, d), 8.05— 8.11(2H, m), 8.45—8.88(1H, m), 9·05_9·08(1Η, m)0
(実施例 74) {(2S)-1-[4_(1_メチル _1H -イミダゾール -2-ィル)フタラジン- 1-ィル]ピ 口リジン- 2-ィル }メタノール
実施例 Idで得られた化合物 300mg(1.23 mmol)及び L_プロリノール 0.15ml(1.47 mmol), N-メチルモルホリン 0.16ml(1.47 mmol)を用いて実施例 71と同様の操作を行う ことにより、表記化合物 186mg (収率 49%)を得た。 1H_NMR(CDC13): 1.7(2H, m), 2.09(1H, m), 2.28 (1H, m), 3·80_3·86(1Η, m), 3.93_4·03(5Η, m), 4.16_4.18(1H, m),4.89 (1H, m), 7.08(1H, d), 7.25(1H, d), 7.73-7.84(2H, m), 8.18— 8·21(1Η, m), 8.73-8.76(lH, m)。
実施例 60から実施例 74に記載の化合物を以下に示す。
[0243] [化 24] 実施例 実施例 実施例
Figure imgf000075_0001
[0244] (実施例 75) { 3-メチル -2-(4-フエニルフタラジン- 1-ィル) -3H-イミダゾール -4-ィル } 一メタノーノレ
実施例 25の方法で得られたカルボン酸 303 mg(0.916 mmol)に、 THF12ml、トリェチ ルァミン 0.15 ml (0.997 mmol)を加えて室温で 5分間撹拌した。 _25°Cに冷却し、クロ口 ギ酸イソブチノレ 0.16 ml(1.22 mmol)をカ卩えて 20分間撹拌した。析出した固体をろ過 して除き THF 6mlで洗浄した。ろ液を _45°Cに冷却し、テトラヒドロホウ酸ナトリウム 34mg (0.899 mmol)を加えて 40分撹拌しながら _25°Cまで昇温した。反応液を -45 °Cに冷却し飽和食塩水を加えた後、 THFで抽出した。飽和食塩水で洗浄し無水硫 酸ナトリウムで乾燥させろ過し減圧濃縮した。これに水 10ml、濃塩酸 3mlを加え、 50 °Cで 3時間撹拌した。酢酸ェチルで洗浄し、 0°Cで炭酸カリウムを加えアルカリ性にし てから酢酸ェチルで抽出した。飽和食塩水洗浄、無水硫酸ナトリウム乾燥、ろ過、減 圧濃縮を順次行い、酢酸ェチルを溶出液としてカラムクロマトグラフィーを行った。得 られた物質にへキサン:酢酸ェチル = 20 : 1をカ卩えて撹拌し析出した固体をろ取する ことにより表題化合物 47.6 mg (収率 16%)を得た。 1H_NMR(CDC13): 4.09(3H, s), 4.78(2H, s), 7·26(1Η, s), 7.50— 7.70(3H, m), 7.70— 8.00(4H.m), 8.14(2H, d), 9.00(2H, d)
(実施例 76) 4-(l-メチル -1H-イミダゾール -2-ィル)フタラジン- 1-カルボ二トリノレ
1—メチルイミダゾール 496 mg(6.04 mmol)を THF 8mlに溶解し _70°Cにて、 n_ブ チルリチウム 4.1 ml(1.58Mへキサン溶液、 6.47mmol)を力 Pえた。 20分間撹拌後、塩 化トリブチルスズ 2.13g (6.54 mmol)をカロえ、約 1 · 5時間かけて室温まで温度を上昇 させた。塩化リチウム 0.15g (3.5 mmol),実施例 66cで得られた 4_クロ口フタラジン- 1_ カノレボニトリノレ 567 mg(2.990 mmol),テトラキス(トリフエニルホスフィン)パラジウム(0) 0.35g (0.30mmol)、トルエン 20mlを加えて 60_70°Cで 10—20分加熱した後、約 3 時間加熱還流させた。反応液をカラムクロマトグラフィーを用いて精製すると(へキサ ン:酢酸ェチル:塩化メチレン)、褐色固体が得られた。これを酢酸ェチル、ジェチノレ エーテルから再結晶し、 188.7 mg(0.802 mmol, 27%)の目的物を得た。さらにろ液から 、 25.6mg(0.109 mmol, 3.6%)の目的物を得た。 1H-NMR(CDC13): 4.17(3H, s),
7.23(1H, s), 7.39(1H, s), 8.00— 8.20(2H, m), 8.30— 8.40(lH.m), 9.40_9.50(1H, m) (実施例 77) 1-(1_メチル -1H -イミダゾール -2-ィル) -4-(l,3_チアゾリジン- 3_ィル)フ タラジン 塩酸塩
実施例 Idで得られた化合物 200mg(0.82 mmol)及びチアゾリジン 0.08ml(0.98 mmol) 、 N_メチルモルホリン 0.11ml(0.98 mmol)を用いて実施例 71と同様の操作を行うことに より、 1-(1-メチル -1H-イミダゾール -2-ィル) -4-(l,3-チアゾリジン- 3-ィル)フタラジン を得た。 1-(1-メチル -1H-イミダゾール -2-ィル) -4-(1,3-チアゾリジン- 3-ィル)フタラジ ンの酢酸ェチル溶液に、 4モル塩酸-酢酸ェチル溶液 0.1 lmlを加え、室温にてー晚 攪拌した。析出した固体をろ取し、表記化合物 112mg (収率 81%)を得た。
lH-NMR(DMSO-d6): 3.22 (2H, t), 3.87(3H, s), 4.23(2H, t), 5.07(2H, s),
7.92-8.08(5H, m), 8.46-8.49(lH, m)0
(実施例 78) 1_[4-(1_メチル -1H -イミダゾール -2-ィル)フタラジン- 1-ィル]ピぺリジン -4-カルボ二トリノレ
a) 4 -シァノピペリジン 塩酸塩
N- tert-ブトキシカルボニル -4-シァノビペリジンの THF (9.0ml)溶液に、 4モル塩酸- 酢酸ェチル溶液 3.6mlをカ卩え、室温にて一晩攪拌した。析出した固体をエーテル-酢 酸ェチルにて懸洗し、表記化合物 667mg (収率 96%)を得た。 lH_NMR(DMSO_d6): 1.87- 1.94(2H, m), 2.06-2.09(2H, m), 2·95_3·03(2Η, m), 3.12- 3·20(3Η, m), 9.05(1H, brs)。
b) l-[4-(l-メチル -1H-イミダゾール -2-ィル)フタラジン- 1-ィル]ピぺリジン- 4-カルボ 二トリル
実施例 Idで得られた化合物 200mg(0.82 mmol)及び実施例 78aで得られた化合物 144mg (0.98 mmol), N_メチルモルホリン 0.22ml(0.98 mmol)を用いて実施例 71と同様 の操作を行うことにより、表記化合物 192mg (収率 74%)を得た。 1H-NMR(CDC13): 2.16-2.26(4H, m), 2·93_2.94(1Η, m), 3.43-3.50(2Η, m), 3·82_3·88(2Η, m), 4.05(3Η, s), 7.12(1Η, d), 7.29(1Η, d), 7.83_7.89(2Η, m), 8.00_8.04(1Η, m), 8·97-9·00(1Η, m)0
(実施例 79) 4_[4-(1-メチル -1H-イミダゾール- 2_ィル)フタラジン _1_ィル]ベンゾニ トリル
実施例 Idで得られた化合物 200mg(0.82 mmol),及び 4-シァノフヱニルボロン酸 180mg (1.23mmol)を用いて実施例 leと同様の操作を行うことにより、表記化合物 194mg (収率 76%)を得た。 1H— NMR(CDC13): 4· 15(3Η, s), 7·20(1Η, d), 7.36(1Η, d), 7.89-8.03(7Η, m), 9.27_9·30(1Η, m)0 (実施例 80) 4-[4-(l-メチル -1H-イミダゾール -2-ィル)フタラジン- 1-ィル]ベンゾィ ル酸
実施例 Idで得られた化合物 200mg(0.82 mmol)、及び 4_カルボキシフヱニルボロン 酸 136mg (0.82mmol)を用いて実施例 leと同様の操作を行うことにより、表記化合物 137mg (収率 76%)を得た。 1H_NMR(DMS0- d6): 4.00(3H, s), 7.29(1H, d), 7.57(1H, d), 7.92(2H, d), 8.04-8.13(3H, m), 8.19(2H, d), 9.00— 9.03(1H, m)。
(実施例 81) 4_(1_メチル _1H -イミダゾール -2-ィル) -1-フエニルピリド [3, 4_d]ピリダ ジン
a) 4_(l_メチル -1H -イミダゾール -2-ィル)ピリド [3,4-d]ピリダジン- 1(2H) -オン
4-ピリジンカルボン酸 5.0g (40.6mmol)、ァニリン3.91111 (42.611111101)の DMF(50ml)溶 液に、氷冷下にてシァノホスホン酸ジェチル 7.5ml (44.7mmol)及びトリェチルァミン 6.2ml (44.7mmol)をカ卩え、 1時間攪拌した。室温にてー晚攪拌後、水をカ卩えて析出し た固体をへキサン-酢酸ェチルにて懸洗し、 N-フエニルイソニコチンアミド 5.6gを得た 。 N-フエニルイソニコチンアミド 3.0g(15.1 mmol)、テトラメチルエチレンジァミン 5.0ml ( 33.3mmol)を THF(40ml)に溶解させ、 _78°Cに冷却した。窒素雰囲気下にて n_ブチル リチウム-へキサン溶液 (1.58M)21.1mlを滴下し、 _78°Cにて 1時間攪拌した。反応溶液 に既知の方法 (J.Chem.Soc. Perkin Transl 1994, 3, 239)にて合成した 1_メチル _1H_ イミダゾール -2-カルボン酸ェチルエステル 2.8g(18.2 mmol)を加え、同温度で 2時間 攪拌した後、室温に昇温しさらに 2.5時間攪拌した。反応溶液にメタノールをカ卩え、溶 媒を減圧濃縮した。得られた残さに水を加え、塩酸にて中和後析出した固体をへキ サン-酢酸ェチルにて懸洗し、 3-ヒドロキシ -3-(1-メチル -1H-イミダゾル -2-ィル) -2- フエニル- 2,3-ジヒドロ_lH-ピロロ[3,4-c]ピリジン-l_ォン3· lgを得た。 3_ヒドロキシ -3-(1_メチル -1H-イミダゾル -2-ィル) - 2 -フエニル _2,3-ジヒドロ-1^^_ピロロ[3,4-0]ピリ ジン- 1-オン、及びヒドラジン 1水和物 15mlを用いて実施例 26aと同様の操作を行うこと により、表記化合物 1.67g (収率 49%)を得た。 lH_NMR(DMSO-d6): 3.85(3H, s), 7· 19(1Η, s), 7.45(1Η, s), 8.14(1Η, d), 9.01(1Η, d), 9·96(1Η, d), 13.25(1Η, brs)。 b) l_クロ口- 4_(1_メチル _1Η -イミダゾール -2-ィル)ピリド [3,4-d]ピリダジン
実施例 8 laにて得られた化合物 1.56g、及びォキシ塩化リン約 5mlを用いて実施例 26bと同様の操作を行うことにより、表記化合物 607mg (収率 36%)を得た。
1H-NMR(CDC13): 4· 15(3Η, s), 7·21(1Η, d), 7.38(1Η, d), 8.06—8.08(1Η, m), 9.15(1Η, d), 10.70(1Η, s)。
c) 4_(1_メチル _1H -イミダゾール -2-ィル) -1-フエニルピリド [3, 4-d]ピリダジン
実施例 81bで得られた化合物 300mg(1.22 mmol)、及びフヱニルボロン酸 184mg ( 1.46mmol)を用レ、て実施例 1 eと同様の操作を行うことにより、表記化合物 298mg (収率 85%)を得た。 1H-NMR(CDC13): 4.21(3H, s), 7·22(1Η, s), 7.40(1Η, s),
7.61-7.64(3Η, m), 7.82-7.85(2Η, m), 7.90— 7.92(1Η, m), 9.02(1Η, d), 10·70(1Η, d)。 (実施例 82) 1-(5_メチル -2-フリル) -4-(1-メチル -1H-イミダゾール -2-ィル)フタラジ ン 塩酸塩
a) 4_(5_メチル _2_フリル)- 2H -フタラジン _1_オン
フタル酸モノメチルエステル 2.0g (ll.lmmol)、及び 2 -メチルフラン
1.5ml(16.7mmol)を用いて既知の方法 (特開平 6-135938)に準じて合成し、表記化合 物 348mg (収率 14%)を得た。 1H-NMR(CDC13): 2.47(3H, s), 6.21(1H, m), 6.83(1H, d), 7.83-7.92(2H, m), 8.37(1H, d), 8.49- 8.52(1H, m), 10.02(1H, brs)。
b) l-クロ口- 4-(5-メチル -2-フリル) -2H-フタラジン
実施例 82aで得られた化合物 343mg(1.52 mmol)及びォキシ塩化リン 0.17mlを用いて 実施例 28bと同様の操作を行うことにより、表記化合物 266mg (収率 72%)を得た。 1H-NMR(CDC13): 2.53(3H, s), 6.28— 6.29(1H, m), 7.35(1H, d), 7.98— 8·03(2Η, m), 8.33-8.36(lH, m), 8.86—8.89(1H, m)。
c) l-(5-メチル -2-フリル) -4-(l-メチル -1H-イミダゾール -2-ィル)フタラジン 塩酸塩 実施例 82bで得られた化合物 263mg(1.08 mmol)及び N-メチルイミダゾール
0.13ml(1.61mmol)を用いて実施例 26cと同様の操作を行うことにより、 1_(5_メチル _2_ フリル)- 4_(1-メチル -1H-イミダゾール- 2_ィル)フタラジンを得た。 1_(5-メチル _2 -フリ ル) -4-(1_メチル -1H -イミダゾール -2-ィル)フタラジンの酢酸ェチル溶液に、 4モル塩 酸-酢酸ェチル溶液 0.18mlをカ卩え、室温にて一晩攪拌した。析出した固体をろ取し、 表記化合物 189mg (収率 54%)を得た。 lH_NMR(DMSO_d6): 2.55(3H, s), 3.94(3H, s), 6.54(1H, d), 7.55(1H, d), 7.77(1H, m), 7.91(1H, m), 8.12— 8.24(2H, m), 8.34(1H, m), 8.96(1H, d)。
(実施例 83) 3-メチル -2- (フエニルフタラジン- 1-ィル) -3H-イミダゾール -4-カルボン 酸
実施例 25と同様にして表題化合物 75mgを得た。 lH-NMR(DMSO_d6): 4.04(3H, s), 7·92(1Η, s), 8.00-8.15(2H.m), 8·25_8·35(1Η, m), 8.48(1H, d), 9.80(1H, s) (実施例 84) l-(4_トリフルォロメチルフヱ二ル)- 4_(1-メチル _1H-イミダゾール _2 -ィ ノレ)フタラジン
実施例 Idで得られた化合物 0.63g及び 4-トリフルォロメチルフヱニルボロン酸 0.53g を用いて、実施例 leと同様の操作を行うことにより、表記化合物 518mg (収率 57%)を 固体として得た。
1H-NMR(CDC13): 4.15(3H, s), 7.19(1H, s), 7·36(1Η, s), 7.80—8.10(7H, m),
9.25(1H, d)。
(実施例 85) ジメチル -4-{4-(l-メチル -1H-イミダゾール -2-ィル)フタラジン- 1-ィル } フエニノレアミン
実施例 Idで得られた化合物 0.58g及び 4-ジメチルァミノフエニルボロン酸 0.47gを 用いて、実施例 leと同様の操作を行うことにより、表記化合物 161mg (収率 21%)を固 体として得た。 1H-NMR(CDC13): 3.09(6H, s), 4.12(3H, s), 6.90(2H, d), 7.15(1H, d),
7.33(1H, d), 7.78(2H, d), 7.80— 8.00(2H, m), 8.27(1H, d), 9.12(1H, d)。
(実施例 86) l-(2-メトキシフエニル) -4-(l-メチル -1H-イミダゾール -2-ィル)フタラジ ン 塩酸塩
実施例 Idで得られた化合物 0.50g及び 2-メトキシフヱニルボロン酸 0.35gを用いて、 実施例 leと同様の操作を行うことにより、ト (2 -メトキシフエニル) -4- (トメチル -1H -イミ ダゾール -2-ィル)フタラジンを油状物質として得た。これを酢酸ェチル、ヘプタンの混 合溶媒に溶解し 4モル塩酸-酢酸ェチル溶液をカ卩え析出した固体をろ取することに より表題化合物 277 mg (収率 39%)を得た。 lH_NMR(DMSO_d6): 3.71(3H, s), 3·99(3Η, s), 7·23(1Η, t), 7·33(1Η, d), 7.51(1Η, dd), 7.70—7.85(1Η, m), 7.92(1Η, d), 8.04(1Η, d), 8.05— 8.20(2Η, m), 8.20— 8.30(1Η, m)。
(実施例 87) 1-(4 -メチルチオフエニル) _4_(1_メチル _1H -イミダゾール -2-ィル)フタ ラジン
実施例 Idで得られた化合物 1.45g及び 4-メチルチオフエニルボロン酸 1.02gを用い て、実施例 leと同様の操作を行うことにより、表記化合物 886mg (収率 45%)を固体とし て得た。 1H-NMR(CDC13): 2.59(3H, s), 4.13(3H, s), 7.17(1H, s), 7.34(1H, s), 7.46(2H, d), 7.76(2H, d), 7.80-8.10(2H, m), 8.15(1H, d), 9.19(1H, d)。
(実施例 88) 1_(2,3 -ジヒドロ- 1-ベンゾフラン- 5 -ィル )_4_(1-メチル -1H-イミダゾー ル -2-ィル)フタラジン
5-ブロモ -2, 3-ジヒドロ -1-ベンゾフラン 620mg(3.11mmol)の THF 10ml溶液に、 -70。Cにて n_ブチルリチウムをカ卩えて 30分撹拌した。この反応液に 4-(1-メチル -1H-イミダゾール _2 -ィル )_2H -フタラジン _1_オン(実施例 lc参照)を加え、徐々に室 温に昇温させ終夜放置した。反応液に水を加え、酢酸ェチルで抽出した。これを 1モ ル塩酸で抽出した後、 1モル水酸化ナトリウム水溶液をカ卩えてアルカリ性にし、酢酸 ェチルで抽出した。飽和食塩水で洗浄、無水硫酸マグネシウムで乾燥させて、ろ過、 減圧濃縮した。得られた固体にジェチルエーテルをカ卩えて撹拌しながら洗浄し、ろ取 すると表題化合物が 130.9 mg (収率 37% )で得られた。 1H_NMR(CDC13):
3.35(2H, t), 4.12(3H, s), 4.70(2H, t), 6.98(1H, d), 7.16(1H, s), 7.33(1H, s), 7.57(1H, d), 7.71(1H, s), 7.80— 8.00(2H, m), 8.19(1H, d), 9.17(1H, d)。
(実施例 89) l-{4- (ピリジン- 2-ィル) -3-メチル -1H-イミダゾール -2-ィル }フタラジン 実施例 22と同様の方法にてト (1-メチル -1H -イミダゾール -2-ィル)フタラジンから 合成した 1- {4-ブロモ -3-メチル -1H-イミダゾール -2-ィル }フタラジン
268mg(0.927mmol)、 2_ピリジルトリブチルスズ 378 mg(1.027mmol)、塩化リチウム 0.06g(1.4mmol)、テトラキス(トリフエニルホスフィン)パラジウム(0) 160mg(0.138mmol) 、トルエン 7.5mlの混合物を約 6時間加熱還流した。カラムクロマトグラフィー(酢酸ェ チル:クロ口ホルム一酢酸ェチル)にて精製して得られた固体を酢酸ェチルで洗浄す ると、 157mg (収率 59%)の表題化合物が得られた。 1H_NMR(CDC13): 4.27(3H, s), 4.70(2H, t), 7· 10-7· 13(1Η, M), 7.60_7·70(1Η, M), 7.33(1H, s), 7.70— 7.90(1H, m), 7.90-8.10(3H, m), 8.71(1H, d), 8.86(1H, d), 9.54(1H, s)。
実施例 75から実施例 89に記載の化合物を以下に示す。 [0246] [化 25]
Figure imgf000082_0001
[0247] (実施例 90) 1_イソプチル -4-(1_メチル _1H -イミダゾール -2-ィル)フタラジン
実施例 Idの方法で得られた 1_クロ口- 4_(1_メチル -1H -イミダゾール -2-ィル)フタラ ジン 481mg(1.97mmol)、イソブチルボロン酸 408mg(4.00mmol)、ジクロロ(1, 1,-ビスジ フエニルホスフイノフエ口セン)パラジウム 塩化メチレン錯体 112mg(0.137mmol)、炭 酸カリウム 562mg(4.07mmol)、 1,4-ジォキサン 8mlの混合物を 100°Cにて約 20時間 加熱撹拌した。反応液に水をカ卩えて塩ィ匕メチレンで抽出し、これを 1モル塩酸で抽出 した。不溶固体をろ過して除いた後に水酸化ナトリウムを加えてアルカリ性とし、塩化 メチレンで抽出した。飽和食塩水洗浄、無水硫酸ナトリウム乾燥、ろ過、減圧濃縮の 後、カラムクロマトグラフィー(酢酸ェチル:メタノール グラジェント)にて精製して得ら れた固体をへキサンで洗浄すると、 117mg (収率 22%)の表題化合物が得られた。
1H-NMR(CDC13): 1.06(6H, d), 2.37(1H, hep), 3·28(2Η, d), 4.09(3H, s), 7.14(1H, s), 7.30(1H, s), 7.80-8.00(2H, m), 8.ト 8.25(1H, m), 9.00-9.15(1H, m)0
(実施例 91) 1_メチル -4-(l_メチル _1H -イミダゾール -2-ィル)フタラジン
1-クロ口- 4-(1-メチル -1H-イミダゾール - 2_ィル)フタラジン 506mg(2.07mmol)、メチ ルボロン酸 408mg(4.83mmol)、ジクロロ(1, 1, -ビスジフエニルホスフイノフエ口セン)パ ラジウム 塩化メチレン錯体 170mg(0.208mmol)、炭酸カリウム 852mg(6.16mmol)、 1,4-ジォキサン 15mlの混合物を約 1日加熱還流した。反応液に水を加えて塩化メ チレンで抽出し、これを 1モル塩酸で抽出した。不溶固体をろ過して除いた後に水酸 化ナトリウムをカ卩えてアルカリ性とし、塩ィ匕メチレンで抽出した。飽和食塩水洗浄、無 水硫酸ナトリウム乾燥、ろ過、減圧濃縮の後、シリカゲルショートカラム(酢酸ェチル: メタノーノレ グラジェント)にて精製して得られた固体をさらに HPLCにて分取精製し、 173mg (収率 37%)の表題化合物が得られた。 1H_NMR(CDC13): 3.07(3H, s), 4.07(3H, s), 7.14(1H, s), 7.31(1H, s), 7.80— 8·00(2Η, m), 8.05— 8· 15(1Η, m), 9.00-9.15(1H, m)。
(実施例 92)メチル 4- {4-(l-メチル -1H-イミダゾール -2-ィル)フタラジン- 1-ィル }フ ェニルスルホン
実施例 87で得られた化合物 618mg (1.859mmol)を塩化メチレン 16mlに溶解し、 氷冷下で mCPBA (m -クロ口過安息香酸、純度〉 65%) 0.74gをカ卩えて約 1時間撹拌し た。反応液に亜硫酸ナトリウム水溶液、水酸化ナトリウム水溶液をカ卩えて分液した。有 機層を水酸化ナトリウム水溶液、飽和食塩水で洗浄無水硫酸ナトリウムで乾燥した後 ろ過し、減圧濃縮した。シリカゲルカラムクロマトグラフィー(酢酸ェチル→酢酸ェチル :メタノール =4 : 1)により先に流出したフラクションを濃縮し、 t_ブチルメチルエーテ ルで洗浄することにより表題化合物 316.7 mg (収率 47%)を固体として得た。
1H-NMR(CDC13): 3· 17(3Η, s), 4.15(3H, s), 7.20(1H, s), 7.37(1H, s), 7.80-8.10(5H, m), 8.15- 8.25(2H, m), 9.20- 9.30(1H, m)。
MS (LC-MS): 365(M+1)
(実施例 93)メチル 4-{4-(l_メチル _1H -イミダゾール -2-ィル)フタラジン- 1-ィル }フ ヱニルスルホキシド
実施例 92で行ったカラムクロマトグラフィーにより後から流出したフラクションを濃 縮し、アセトン、 t-ブチルメチルエーテルで洗浄することにより表題化合物 174.7 mg ( 収率 27%)を固体として得た。 1H-NMR(CDC13): 2.84(3H, s), 4.14(3H, s), 7.19(1H, s), 7.36(1H, s), 7.80-8.05(6H, m), 8.07(1H, d), 9.26 (1H, d)。 MS (LC-MS):
349(M+1)
(実施例 94) l-[4_(2-メチル -2H-ピラゾール -3-ィル)フタラジン- 1-ィル]ピぺリジン -4-オール 2塩酸塩
a) 2-(2-メチル -2H-ピラゾール -3-ィル)カルボニル安息香酸 メチルエステル
フタル酸モノメチルエステル 27.51g (153mmol)、塩化メチレン 50ml、塩化チォニル 12.5ml(171 mmol)、 DMF 0.5mlを室温で約 4· 5時間撹拌した。減圧濃縮した後 THF 100mlをカ卩えて酸クロリド溶液を得た。別の容器にて 1-メチルビラゾール 12.52g (152mmol)、 t_ブチルメチルエーテノレ 200mlの混合物を _70°Cに冷却し、 1.54M n_ブ チルリチウムへキサン溶液を滴下し約 1時間撹拌した。これに臭化亜鉛を加え約 30 分撹拌した。テトラキス (トリフエニルホスフィン)パラジウム (0)8.2 g(7.1 mmol)を _60°C にて加え、先に調整した酸クロリド溶液を加え徐々に室温まで温度上昇させ終夜放 置した。反応液に水、酢酸ェチルを加え分液し水層は酢酸ェチルで再抽出した。合 わせた有機層を飽和食塩水で洗浄後、無水硫酸ナトリウム乾燥しろ過そてから減圧 濃縮した。これをカラムクロマトグラフィー(へキサン:酢酸ェチル = 100 : 1→ 3 : 1) にて精製して得られた生成物を酢酸ェチル 5ml、へキサン 100mlの混合溶媒に懸 濁させ撹拌した。 0°Cに冷却後ろ取することにより、 2_(2-メチル -2H-ピラゾール -3-ィ ノレ)カルボニル安息香酸 メチルエステル 12.46g (収率 33%)を得た。
1H-NMR(CDC13): 3.71(3H, s), 4.32(3H, s), 6· 19(1Η, d), 7.38(1H, d), 7.48(1H, dd), 7.50-7.70(2H, m), 8.00 (1H, dd)。
b) 4-(2-メチル -2H-ピラゾール -3-ィル) -2H-フタラジン- 1-オン
実施例 94aにて得られたケトカルボン酸にヒドラジン 1水和物 2.7ml、エタノール 100mlを加え 7. 5時間加熱還流させた。析出した固体を冷却後にろ取しることによつ て 4-(2-メチル -2H-ピラゾール- 3 -ィル )_2H -フタラジン _1_オン 9.89g (収率 86%)を 固体として得た。 lH-NMR(DMSO-d6): 3.81(3H, s), 6.64(1H, d), 7.60— 7.70(2H, m), 7.80-8.00(2H, m), 8.34(1H, dd), 13.06 (1H, s)。
c) l_クロ口- 4-(2_メチル _2H -ピラゾール- 3_ィル)フタラジン
実施例 Idと同様にして実施例 lbで得られた化合物 5.05g (22.32mmol)とォキシ塩 化リン 5.2mlを用い、表題化合物 4.95g (収率 91%)を固体として得た。
1H-NMR(CDC13): 4.07(3H, s), 6.68(1H, d), 7.69(1H, d), 7.95-8.20(2H, m), 8.19(1H, d), 8.42(1H, d)。
d) l-[4-(2-メチル -2H-ピラゾール -3-ィル)フタラジン- 1-ィル]ピぺリジン- 4-オール 2塩酸塩
実施例 94cで得られた化合物 339mg(1.385mmol)、 4_ヒドロキシピペリジン
320mg(3.164 mmol)、 DMF 2mlを 150°Cにて約 8時間加熱撹拌した。溶媒を全て留 去し、アセトンに溶解させた後、 4M塩酸一酢酸ェチル溶液をカ卩えて析出した固体を ろ取すると、表題化合物 395mg (収率 75%)が得られた。 lH-NMR(DMSO_d6):
1.70-1.85 (2H, m), 1.95- 2.15(2H, m), 3.60- 3.75(2H, m), 3.88(3H, s),3.90_4.00(lH, m), 4.00-4.15(2H, m), 6.78(1H, d), 7.72(1H, d), 7.90— 8.05(1H, m), 8.05— 8·25(2Η, m), 8.35-8.45 (1H, m)。
(実施例 95) l-(2_メチル -2H -ピラゾール- 3_ィル)フタラジン
実施例 94cで得られた化合物 689mg (2.816 mmol)、トリェチルァミン
0.6ml(4.3mmol)、イソプロピルアルコール 12ml、 THF 6ml、 50%含水パラジウム炭素 (10%)約 60mgを水素雰囲気下、 40_50°Cにて約 8時間撹拌した。反応液にクロロホ ノレムをカロえ、セライト上でろ過し、減圧濃縮した。これをクロ口ホルムに溶解し、 1M水 酸化ナトリウム水溶液で洗浄し、無水硫酸ナトリウムで乾燥させた。ろ過、減圧濃縮す ると、 1_(2-メチル -2H -ピラゾール- 3 -ィル )_3,4 -ジヒドロ- 3H-フタラジン力 820mgの 粗生成物として得られた。 1H-NMR(CDC13): 3.94(3H, s), 4.30(2H, s), 6.22(1H, s), 6.40(1H, d), 7.10-7.20(2H, m), 7.20-7.50(2H, m), 7.54(1H, d)。
このうちの 393 mgにトルエン 5ml、活性化二酸化マンガン 0.35gを加え約 2時間 加熱還流した。反応液にクロ口ホルムをカ卩ぇセライト上でろ過し減圧濃縮した後に、 t- ブチルメチルエーテル 2ml、へキサン 10mlを加えて撹拌した。沈殿している固体を ろ取すると表題化合物が 279.2 mg (収率 72%)で得られた。 1H_NMR(CDC13): 4·08(3Η, s), 6·69(1Η, d), 7.69(1Η, d), 7.90-8.30(4Η, m), 9·56(1Η, s)。
(実施例 96) 1_ヒドラジノ _4_(1-メチル -1H-イミダゾール- 2_ィル)フタラジン 実施例 Idで得られた化合物 420 mg(1.717mmol)、イソプロピルアルコール 8ml、ヒ ドラジン 1水和物 1mlの混合物を室温にて約 4時間撹拌した。減圧濃縮した後、イソ プロピルアルコール 4mlをカ卩えて 0°Cにて 1時間撹拌した。固体をろ取することにより 表題化合物 297.3mg (収率 72%)を得た。 1H_NMR(CDC13): 3.91(3H, s), 7.07(1H, s), 7.27(1H, s), 7.60-7.75(2H, m), 7.90(1H, d), 8.60(1H, d)。
(実施例 97) N-メチル -N' -{3-メチル -2-(4-フエニルフタラジン- 1-ィル) -3H-イミダ ゾール -4-カルボキサミド}ピペラジン
実施例 25にて得られるカルボン酸 253mg (0.766mmol)に塩化メチレン 15ml、トリエ チルァミン 0.2ml (1.43mmol)を加え氷冷した。ここにクロ口蟻酸イソブチル 0.13 ml (1.00mmol)、を加え約 1時間撹拌した。さらに N—メチルビペラジン 0.1ml
(0.90mmol)を加えて室温にて撹拌した。反応液に水酸化ナトリウム水溶液を加えて分 液し、有機層を水酸化ナトリウム水溶液、飽和食塩水にて順次洗浄して無水硫酸ナト リウムにて乾燥した後、ろ過した。これを減圧濃縮して得られた黄色固体をエーテル で洗浄することによる表題化合物 153 mg (収率 49%)が得られた。
1H-NMR(CDC13): 2.38(3H, s), 2.40-2.60(m, 4H), 3.70_3·90(4Η, m), 4.11(3H, s), 7.44(1H, s), 7.50— 7.7— (3H, m), 7·70_8·00(4Η, m), 8.10_8.20(1H, m), 8.70— 8.90(1H, m)0
実施例 90から実施例 97に記載の化合物を以下に示す。 [化 26] 実施例 実施例 実施例
Figure imgf000087_0001
[0250] 実施例の化合物についての薬理試験結果を以下に記す。
[0251] (実験例 1) NAD(P)H oxidase抑制作用(vitro) (方法) ヒト臍帯静脈内皮細胞 (以下 、 HUVECと記す。 BioWhittaker社より購入)に 44mM Glucoseを添加し、高糖下約 1週 間培養し、界面活性剤を含む Lysis bufferに細胞を溶解させた。高糖下過剰発現又 は活性化した NAD(P)H oxidaseにより産生増加した Interleukin-8(以下、 IL-8と記す 。)を固相酵素免疫検定法 (ELISA= enzyme-linked immuno solvent assay)で測定し た。産生増加した IL-8量を指標に化合物の評価をおこなった。
[0252] 被験化合物を添加し高糖培養した細胞の IL-8産生を A、溶媒を添加し高糖培養し た細胞の IL-8産生を B、正常糖濃度で培養した細胞の IL-8産生を Cとし、以下のよう に抑制率を算出した。
[0253] 抑制率(%)= 100- ((A-C)/(B_C)) X 100
結果を下記表に記す。 [0254] [表 1]
Figure imgf000088_0001
[0255] (実験例 2) NAD(P)H oxidase抑制作用(vivo) (方法) Wistar系ラット (雄性、 日本 SLCより購入)の尾静脈より 0.05Mクェン酸バッファー (pH4.5)に溶解したストレプトゾト シン (以下、 STZと記す )40mg/kgを静脈内投与し、糖尿病ラットを作成した。 STZ静注 1 週間後以降に、尾静脈よりへパリン処理したキヤピラリーを用いて採血し、直ちに氷 冷後、 3000rpm, 15min, 4°Cで遠心分離して血清を得た。血糖値は、グルコース測定 用キッド GLUネオ シノテスド' (シノテスト社)を用いて酵素法で測定した。測定はマイ クロプレートリーダー (SPCTRAMAX250, MolecularDevices社)で行った。
[0256] 糖尿病ラットに 3日間化合物を 1日 1回経口投薬した。大動脈の · 0 -産生測定日に
2
は化合物は投薬しなかった。
[0257] NAD(P)H oxidase活性は大動脈の · 0 -産生を指標とし、 David.G.Harrisonらの方
2
法 (J.Clin.Invest.91, 2546-2551, 1993)を改変して行った。詳しい方法は以下の通り である。
[0258] 正常ラットおよび糖尿病ラットの腹部大動脈より放血後、胸部大動脈を摘出した。摘 出した大動脈を Krebs_H印 esbuffer中にいれ、周辺組織を除き、約 5mmのリング標本 を作製した。 Krebs-H印 esbuffer中にリング標本をいれ 37°C、 10分間プレインキュべ ートした後、リング標本を 0.25mM lucigeninを含む Krebs-H印 esbuffer中に移した。
500 μ Μの NADHを添加し、 chemiluminescence (ィヒ学発光数:単位 RLU: relativ elightunits)を、ルミノメーター (MULTト BIOLUMATLB9505C又は AutoLumatPlus,ヮ ラック'ベルトールド社)を用いて 37°Cで 10分間測定した。測定時間 (横軸)に対し、 chemiluminescence (縦軸)をプロットした曲線の曲線下面積 (AUC)により評価した。 chemiluminescence測定後、血管リング標本の湿重量を測定し、 - 0 -産生量を標準
2
化した。
[0259] 投薬した糖尿病ラットの標準化した chemiluminescenceを A、投薬してレ、なレ、糖尿病 ラットの標準化した chemiluminescenceを B、正常ラットの標準化した
chemiluminescenceを Cとし、下記式により抑制率 (。/。)を算出した。
[0260] 抑制率 (%)= 100- ((A-C)/(B_C)) X 100
結果を下表に記す。
[0261] [表 2]
Figure imgf000089_0001
産業上の利用可能性
[0262] 本発明の縮合ピリダジン誘導体は NAD(P)H oxidase抑制作用を有し、当該酵素の 関与する疾患の予防又は治療に有効な医薬となりうる。
[0263] なお本出願は、 2004年 2月 24日付で出願された日本特許出願(特願 2004—047 129号)に基づいており、その全体が引用により援用される。

Claims

請求の範囲 下記一般式 (I)
[化 1]
Figure imgf000091_0001
{式中、 Hetは、少なくとも 1個の窒素原子を環内に含み、ピリダジン環と炭素で結合し た飽和又は不飽和の 5員複素環 [該複素環は、アルキル、ヒドロキシアルキル、アルコ キシアルキル、アミノアルキル、トリフルォロメチル、ヒドロキシ、ァリール、ヘテロァリー ル、ハロゲン、シァノ、 -CO R1 (式中、 R1は水素原子、アルキル、又はァラルキルを示 す。)、 -CONR 3 (式中、 R2及び R3は、それぞれ同一または異なっていても良ぐ水素 原子、アルキル、又は置換されていてもよいァリールを示し、もしくは R2及び R3がー緒 になって 4から 7員環を形成してもよい。)、 -CONHSO R2a (式中、 R2aは水素原子、アル キル、又は置換されていてもよいァリールを示す。)、 _NR2R3 (式中、 R2及び R3は前記と 同義である。)、 -NHCO R2a (式中、 R は前記と同義である。)、 -NHCO R2a (式中、 R2a は前記と同義である。)、 -NHSO R'a (式中、 ITは前記と同義である。)、又は
-P(=0)(OR2a)(OR3a) (式中、 R2aは前記と同義であり、 R3aは水素原子、アルキル、又は 置換されていてもよいァリールを示す。)から選ばれる 1以上の置換基で置換されてレ、 てもよレヽ。 ]を示し、
[化 2]
Figure imgf000091_0002
は下式
[化 3]
Figure imgf000091_0003
(式中、 a、 b、 c、及び dは、それぞれ置換されていてもよい炭素原子又は窒素原子を 示し、かつ、 a、 b、 c、及び dのうち少なくとも 2つは置換されていてもよい炭素原子を示 し、 Xは酸素原子又は硫黄原子を示し、 R4は、同一又は異なっていても良ぐ水素原 子、ハロゲン、ァノレコキシ、ニトロ、ァミノ、ァノレキノレアミノ、ジァノレキノレアミノ、ァノレキノレ 、又は、ヒドロキシを示し、 kは 0から 4の整数を示し、 1は 0から 2までの整数を示す。た だし、 R4がメトキシを示し、かつ、 Hetが 2-チアゾリルを示す時、 kは 1を示す。)から選 ばれる何れかの環を示し、 Bは、水素原子、ハロゲン原子、アルキル、トリフルォロメチ ル、シァノ、 -CO R5 (式中、 R5は水素原子、アルキル又はァラルキルを示す。)、 -OR5'( 式中、 ITはアルキル、又は、置換されていてもよいフエニルを示す。)、 -NR 3 (式中、 R2及び R3は前記と同義である。)、ァリーノレァノレキノレ、アミノアノレキノレ、ヒドロキシアルキ ル、アルコキシアルキル、置換されていても良レ、ヒドラジ入置換されていても良いグ ァニジノ、置換されていても良いアミジ人置換されていてもよいフエニル、置換されて いてもよいピリジル、置換されていてもよいチェニル、置換されていてもよいフリル、置 換されていてもよいピペリジル、置換されていてもよいピロリジル、置換されていてもよ レヽモルフォリル、置換されていてもよい 1, 4-ピペラジル、置換されていてもよい 1-ピぺ リジル、置換されていてよいチアゾリジル、置換されていてよいアジリジル又は置換さ れていてよいァゼチジルを示す。 但し、 Hetが、 2位でピリダジンと結合する 1, 2, 4- チアジアゾールを示す時、 Bは水素原子、アルキル、トリフルォロメチル、ヒドロキシ、 シァ入カルボキシル、エステル、アルコキシ、ジァノレキノレアミノ、置換されていてもよ いフエニル、置換されていてもよいピリジル、置換されていてもよいチェニル、置換さ れていてもよいフリル、置換されていてもよいモルフォリル、下記式 (1)
[化 4]
Figure imgf000092_0001
[式中、 Γは 1又は 2を示し、 R1'は水素原子、アルキル、 -CO R1 (式中、 R1は前記と同義 である。)、 -SO _alkyl、 -SO _aryl、又は- CONH-alkylを示し、 R2'はアルキル、ヒドロキ シ、カルボキシル、又は- CO R1 (式中、 R1は前記と同義である。)を示す。 ]、又は下記 式 (2)
[化 5]
Figure imgf000093_0001
(式中、 Rlb '及び R2b'は同一でも異なっていてもよぐそれぞれ水素原子、アルキル、ァ リール、又は置換スルホニルを示す。)を示す。 }で表わされる縮合ピリダジン誘導体 若しくはその薬理学的に許容できる塩、又はそれらの水和物若しくは溶媒和物。
B力 水素原子、ハロゲン原子、アルキル、トリフルォロメチル、シァ入 -CO R5 (式中、
R5は水素原子、アルキル又はァラルキルを示す。)、 -OR5' (式中、 R5'はアルキル、又 は、置換されていてもよいフエニルを示す。)、 -NR¾3 (式中、 R2及び R3は前記と同義で ある。)、ァリールアルキル、アミノアルキル、ヒドロキシアルキル、アルコキシアルキノレ 、置換されていても良いヒドラジ入置換されていても良いグァニジ入置換されていて も良いアミジノ、置換されていてもよいフエニル、置換されていてもよいピリジル、置換 されていてもよいチェニル、置換されていてもよいフリル、置換されていてもよいピぺ リジル、置換されていてもよいピロリジル、置換されていてもよいモルフォリル、置換さ れていてもよい 1, 4-ピペラジル、置換されていてもよい 1-ピペリジルを示す請求項 1 に記載の縮合ピリダジン誘導体 {但し、 Hetが、 2位でピリダジンと結合する 1, 2, 4-チ アジアゾールを示す時、 Bは水素原子、アルキル、トリフルォロメチル、ヒドロキシ、シ ァノ、カルボキシル、エステル、アルコキシ、ジァノレキノレアミノ、置換されていてもょレヽ フエニル、置換されていてもよいピリジル、置換されていてもよいチェニル、置換され ていてもよいフリル、置換されていてもよいモルフォリル、下記式 (1)
[化 4]
Figure imgf000093_0002
[式中、 は 1又は 2を示し、 R1'は水素原子、アルキル、 -CO R1 (式中、 R1は前記と同義 である。)、 -SO -alkyl, -SO -aryl、又は -CONH- alkylを示し、 R2'はアルキル、ヒドロキ シ、カルボキシル、又は- CO R1 (式中、 R1は前記と同義である。)を示す。 ]、又は下記 式 (2)
[化 5]
Figure imgf000093_0003
(式中、 RLB'及び R2B'は同一でも異なっていてもよぐそれぞれ水素原子、アルキル、ァ リール、又は置換スルホニルを示す。)を示す。 }若しくはその薬理学的に許容できる 塩、又はそれらの水和物若しくは溶媒和物。
[3] Hetが少なくとも 1個の窒素原子を環内に含み、ピリダジン環と炭素で結合した不飽和 の 5員複素環である請求項 1又は 2に記載の縮合ピリダジン誘導体若しくはその薬理 学的に許容できる塩、又はそれらの水和物若しくは溶媒和物。
[4] [化 6]
Figure imgf000094_0001
が下式であり、
Figure imgf000094_0002
a、 b、 c、及び dのうち少なくとも 3つが置換されていてもよい炭素原子を示す請求項 1 力 3のいずれかに記載の縮合ピリダジン誘導体若しくはその薬理学的に許容できる 塩、又はそれらの水和物若しくは溶媒和物。
[5] Bが水素原子、アルキル、トリフルォロメチル、ヒドロキシ、シァ入カルボキシル、エス テル、 -OR5 (式中、 R5はアルキル基又は置換されていてもよいフエ二ル基を示す。)、 -NR 3 (式中、 R2及び R3は前記と同義である。)、又は下式
Figure imgf000094_0003
[式中、 Yは酸素原子または硫黄原子を示し、 R6はそれぞれ同一もしくは異なって、水 素原子、アルキル、ハロゲン、アルコキシ、ヒドロキシ、シァ入カルボキシル、 -CO R'( 式中、 R1は前記と同義である。)、ニトロ、アミ入ァノレキノレアミノ、ジァノレキノレアミノ、トリ フルォロメチル、トリフルォロメトキシを示し、 R7は、水素原子、アルキル、 -CO R1 (式 中、 R1は前記と同義である。)、 -SO -alkyk -SO _aryl、 -CONH_alkyl、又は置換され ていてもよいフエニルを示し、 R8はそれぞれ同一もしくは異なって、水素原子、ヒドロ キシ、ヒドロキシメチル、カルボキシル、 -CO R1 (式中、 R1は前記と同義である。)、又は アルキルを示し、 R9は水素原子、アルキル、ァシル、 -SO _alkyl、又は -SO -arylを示 し、 R1Qは水素原子、ヒドロキシ、アルキル、カルボキシル、 -CO R1 (式中、 R1は前記と 同義である。)、 -C0NR¾3 (式中、 R2及び R3は前記と同義である。)を示し、 mは 0から 5 の整数を示し、 nは 0から 4の整数を示し、 pは 0から 3の整数を示し、 qは 0から 8の整数 を示す。 ]から選ばれる何れかの複素環である請求項 1から 4のいずれかに記載の縮 合ピリダジン誘導体若しくはその薬理学的に許容できる塩、又はそれらの水和物若し くは溶媒和物。
[化 9]
Figure imgf000095_0001
が下式であり、
[化 10]
Figure imgf000095_0002
kが 0、 1又は 2を示す請求項 1から 5のいずれかに記載の縮合ピリダジン誘導体若しく はその薬理学的に許容できる塩、又はそれらの水和物若しくは溶媒和物。
[7] 飽和又は不飽和の 5員複素環が、置換基としてアルキル、ヒドロキシアルキノレ、アルコ キシアルキル、トリフルォロメチル、ヒドロキシ、ァリール、ヘテロァリール、ハロゲン、シ ァノ、カルボキシル、 -CO R11 (式中、 R11はアルキノレ、又はァラルキルを示す。)、又は
-CONR12R13 (式中、 R12及び R13は、それぞれ同一または異なっていても良ぐ水素原 子、アルキル、又は置換されていてもよいァリールを示し、もしくは R12及び R13がー緒 になって 4から 7員環を形成してもよい。)のいずれ力、 1以上を有していてもよい下記複 素環から選ばれる何れかの複素環である請求項 1から 6のいずれかに記載の縮合ピリ ダジン誘導体若しくはその薬理学的に許容できる塩、又はそれらの水和物若しくは 溶媒和物。 イミダゾリノレ、ォキサゾリル、チアゾリル、 1, 2, 4_ォキサジァゾリル、 1, 3, 4-ォキサジァゾリル、 1, 2, 4-トリァゾリル、ピラゾリル、テトラゾリル、ォキソピラゾリル、 2, 5-ジヒドロ- 5-ォキソ -4H-1, 2, 4-チアジアゾリル、 2, 5_ジヒドロ- 5_チォキソ -4H-1, 2, 4-チアジアゾリル、 2, 5-ジヒドロ- 5-ォキソ -4H-1, 2, 4_ォキサジァゾリル、 2, 5_ジ ヒドロ- 5-チォキソ -4H-1, 2, 4-ォキサジァゾリル、 4, 5-ジヒドロイミダゾリル、 4, 5_ジヒ ドロォキサゾリル、及び 4, 5-ジヒドロチアゾリル。
[8] mが 0、 1又は 2であり、 nが 0、 1又は 2であり、 pが 0、 1又は 2であり、 qが 0、 1又は 2である 請求項 1から 7のいずれかに記載の縮合ピリダジン誘導体若しくはその薬理学的に許 容できる塩、又はそれらの水和物若しくは溶媒和物。
[9] 以下の化合物から選ばれるいずれかの縮合ピリダジン誘導体若しくはその薬理学的 に許容できる塩、又はそれらの水和物若しくは溶媒和物。 1-(1_メチル -1H-イミダゾ ール -2-ィル) -4-フエニルフタラジン、 1-(4-メトキシフエ二ル)- 4_(1-メチル -1H-イミダ ゾール _2_ィル)フタラジン、 1-(1-メチル -1H-イミダゾール- 2_ィル) _4_(4_トリフルォロ メトキシフエニル)フタラジン、 1_(1-メチル -1H-イミダゾール- 2_ィル)フタラジン、 1_(2_ フリル) -4-(1-メチル -1H-イミダゾール -2-ィル)フタラジン、 1-[4-(1-メチル -1H-イミダ ゾール -2-ィル)フタラジン- 1-ィル] -ピペリジン- 4-オール、 1-(1-メチル -1H-イミダゾ ール -2-ィル) -4-(4-ピリジル)フタラジン、 3-メチル -2-(4-フエニルフタラジン- 1-ィル )-3H-イミダゾール -4-カルボ二トリル、 3-メチル -2-(4-フエニルフタラジン- 1-ィル )-3H-イミダゾール -4-カルボン酸、 1-[5-(4, 4-ジメチル -4, 5_ジヒドロ-ォキサゾール -2-ィル) -1-メチル -1H-イミダゾール -2-ィル] -4-フエニルフタラジン、 1-フエニル -4-(1Η-テトラゾル -5-ィル)フタラジン、 1-(2-メチル -2H-テトラゾル -5-ィル) -4-フエ二 ルフタラジン、及び 1-ピリジン- 4-ィル -4-(2, 5-ジヒドロ- 5-ォキソ -4H-1, 2, 4_チアジ ァゾル -3-ィル)フタラジン。
[10] 請求項 1から 9のいずれかに記載の縮合ピリダジン誘導体またはその薬理学的に許 容出来る塩を有効成分とする、虚血性心疾患の予防または治療薬。
[11] 請求項 1から 9のいずれかに記載の縮合ピリダジン誘導体またはその薬理学的に許 容出来る塩を有効成分とする、急性冠症候群の予防または治療薬。
[12] 請求項 1から 9のいずれかに記載の縮合ピリダジン誘導体またはその薬理学的に許 容出来る塩を有効成分とする、心筋梗塞の予防または治療薬。
[13] 請求項 1から 9のいずれかに記載の縮合ピリダジン誘導体またはその薬理学的に許 容出来る塩を有効成分とする、狭心症の予防または治療薬。
[14] 請求項 1から 9のいずれかに記載の縮合ピリダジン誘導体またはその薬理学的に許 容出来る塩を有効成分とする、動脈硬化症の予防または治療薬。
[15] 請求項 1から 9のいずれかに記載の縮合ピリダジン誘導体またはその薬理学的に許 容出来る塩を有効成分とする、 NAD(P)H oxidase抑制薬。
PCT/JP2005/002974 2004-02-24 2005-02-24 縮合ピリダジン誘導体 Ceased WO2005080378A1 (ja)

Applications Claiming Priority (2)

Application Number Priority Date Filing Date Title
JP2004-047129 2004-02-24
JP2004047129 2004-02-24

Publications (1)

Publication Number Publication Date
WO2005080378A1 true WO2005080378A1 (ja) 2005-09-01

Family

ID=34879466

Family Applications (1)

Application Number Title Priority Date Filing Date
PCT/JP2005/002974 Ceased WO2005080378A1 (ja) 2004-02-24 2005-02-24 縮合ピリダジン誘導体

Country Status (2)

Country Link
TW (1) TW200533356A (ja)
WO (1) WO2005080378A1 (ja)

Cited By (21)

* Cited by examiner, † Cited by third party
Publication number Priority date Publication date Assignee Title
WO2008116926A1 (en) * 2007-03-28 2008-10-02 Genkyo Tex Sa Tetrahydroindole derivatives as nadph oxidase inhibitors
US7935707B2 (en) 2007-07-02 2011-05-03 Hoffman-La Roche Inc. Imidazole derivatives
US7981892B2 (en) 2008-04-29 2011-07-19 Eli Lilly And Company Disubstituted phthalazine hedgehog pathway antagonists
WO2012025460A1 (en) * 2010-08-23 2012-03-01 Bayer Cropscience Ag Oxadiazolinone derivatives and use thereof in pest control
US8273742B2 (en) 2009-06-19 2012-09-25 Eli Lilly And Company Disubstituted phthalazine hedgehog pathway antagonists
US8389518B2 (en) 2007-03-22 2013-03-05 Genkyotex Sa Pyrazolo pyridine derivatives as NADPH oxidase inhibitors
US8404687B2 (en) 2008-11-03 2013-03-26 Eli Lilly And Company Disubstituted phthalazine hedgehog pathway antagonists
US8445493B2 (en) 2008-11-17 2013-05-21 Eli Lilly And Company Tetrasubstituted pyridazines hedgehog pathway antagonists
US8455486B2 (en) 2008-09-23 2013-06-04 Genkyotex Sa Pyrazolo pyridine derivatives as NADPH oxidase inhibitors
US8455485B2 (en) 2008-09-23 2013-06-04 Genkyotex Sa Pyrazolo pyridine derivatives as NADPH oxidase inhibitors
US8481562B2 (en) 2008-09-23 2013-07-09 Genkyotex Sa Pyrazolo pyridine derivatives as NADPH oxidase inhibitors
US8497269B2 (en) 2008-10-10 2013-07-30 Amgen Inc. Phthalazine compounds as p38 map kinase modulators and methods of use thereof
US8507490B2 (en) 2008-11-17 2013-08-13 Eli Lilly And Company Tetrasubstituted pyridazine hedgehog pathway antagonists
US8772481B2 (en) 2008-10-10 2014-07-08 Amgen Inc. Aza- and diaza-phthalazine compounds as P38 map kinase modulators and methods of use thereof
US9096588B2 (en) 2008-09-23 2015-08-04 Genkyotex Sa Pyrazolo pyridine derivatives as NADPH oxidase inhibitors
US9394306B2 (en) 2009-09-28 2016-07-19 Genkyotex Sa Pyrazoline dione derivatives as NADPH oxidase inhibitors
WO2024064245A1 (en) * 2022-09-23 2024-03-28 Merck Sharp & Dohme Llc Phthalazine derivatives useful as inhibitors of nod-like receptor protein 3
US12011436B2 (en) 2017-11-01 2024-06-18 Calliditas Therapeutics Suisse Sa Use of NOX inhibitors for treatment of cancer
US12213974B2 (en) 2020-10-13 2025-02-04 Endeavor Biomedicines, Inc. Methods of treating fibrosis
WO2025034849A1 (en) * 2023-08-08 2025-02-13 Theras, Inc. Fused pyridazines for the treatment of cancer and other indications
US12447148B2 (en) 2024-03-05 2025-10-21 Endeavor Biomedicines, Inc. Methods of improving lung function

Citations (2)

* Cited by examiner, † Cited by third party
Publication number Priority date Publication date Assignee Title
JPH06135938A (ja) * 1991-09-26 1994-05-17 Mitsubishi Kasei Corp 3,6−ジ置換ピリダジン誘導体
JP2000503014A (ja) * 1996-01-15 2000-03-14 ジヤンセン・フアーマシユーチカ・ナームローゼ・フエンノートシヤツプ 脈管形成阻害性ピリダジンアミン

Patent Citations (2)

* Cited by examiner, † Cited by third party
Publication number Priority date Publication date Assignee Title
JPH06135938A (ja) * 1991-09-26 1994-05-17 Mitsubishi Kasei Corp 3,6−ジ置換ピリダジン誘導体
JP2000503014A (ja) * 1996-01-15 2000-03-14 ジヤンセン・フアーマシユーチカ・ナームローゼ・フエンノートシヤツプ 脈管形成阻害性ピリダジンアミン

Non-Patent Citations (4)

* Cited by examiner, † Cited by third party
Title
BHATTACHARJEE D. ET AL.: "Reissert compound studies. XXXV acid-catalyzed condensations of the phthalazine reissert compound and condensation of phthalazine reissert compound salt.", JOURNAL OF HETEROCYCLIC CHEMISTRY., vol. 17, no. 5, 1980, pages 1035 - 1040, XP002084079 *
CHAKRABORTI A.K. ET AL.: "Comparative molecular field analysis (CoMFA) of phthalazine derivatives as phosphodiesterase IV inhibitors.", BIOORGANIC & MEDICINAL CHEMISTRY LETTERS., vol. 13, no. 15, 2003, pages 2473 - 2479, XP002278277 *
EL-GENDY Z. ET AL.: "Synthesis and reactions of phthalazine with active methylene compounds: synthesis of some new heteroaryl systems bearing 4-phenylphthalazin-I-yl moiety.", INDIAN JOURNAL OF CHEMISTRY., vol. 33B, no. 4, 1994, pages 326 - 329, XP002988790 *
PAL M. ET AL.: "Aluminium chloride-induced heteroarylation of arenes and heteroarenes. 2. A new synthesis of 4-substituted phthalazin-1(2H)-ones.", JOURNAL OF ORGANIC CHIMESTRY., vol. 68, no. 17, 2003, pages 6806 - 6809, XP002988789 *

Cited By (30)

* Cited by examiner, † Cited by third party
Publication number Priority date Publication date Assignee Title
US8389518B2 (en) 2007-03-22 2013-03-05 Genkyotex Sa Pyrazolo pyridine derivatives as NADPH oxidase inhibitors
US9073919B2 (en) 2007-03-22 2015-07-07 Genkyotex Sa Pyrazolo pyridine derivatives as NADPH oxidase inhibitors
WO2008116926A1 (en) * 2007-03-28 2008-10-02 Genkyo Tex Sa Tetrahydroindole derivatives as nadph oxidase inhibitors
US8288432B2 (en) 2007-03-28 2012-10-16 Genkyotex Sa Tetrahydroindole derivatives as NADPH oxidase inhibitors
US7935707B2 (en) 2007-07-02 2011-05-03 Hoffman-La Roche Inc. Imidazole derivatives
US7981892B2 (en) 2008-04-29 2011-07-19 Eli Lilly And Company Disubstituted phthalazine hedgehog pathway antagonists
US9096588B2 (en) 2008-09-23 2015-08-04 Genkyotex Sa Pyrazolo pyridine derivatives as NADPH oxidase inhibitors
US9974791B2 (en) 2008-09-23 2018-05-22 Genkyotex Suisse Sa Pyrazolo pyridine derivatives as NADPH oxidase inhibitors
US9006238B2 (en) 2008-09-23 2015-04-14 Genkyotex Sa Pyrazolo pyridine derivatives as NADPH oxidase inhibitors
US8455486B2 (en) 2008-09-23 2013-06-04 Genkyotex Sa Pyrazolo pyridine derivatives as NADPH oxidase inhibitors
US8455485B2 (en) 2008-09-23 2013-06-04 Genkyotex Sa Pyrazolo pyridine derivatives as NADPH oxidase inhibitors
US8481562B2 (en) 2008-09-23 2013-07-09 Genkyotex Sa Pyrazolo pyridine derivatives as NADPH oxidase inhibitors
US10772891B2 (en) 2008-09-23 2020-09-15 Genkyotex Suisse Sa Pyrazolo pyridine derivatives as NADPH oxidase inhibitors
US8940760B2 (en) 2008-09-23 2015-01-27 Genkyotex Sa Pyrazolo pyridine derivatives as NADPH oxidase inhibitors
US9012449B2 (en) 2008-09-23 2015-04-21 Genkyotex Sa Pyrazolo pyridine derivatives as NADPH oxidase inhibitors
US8497269B2 (en) 2008-10-10 2013-07-30 Amgen Inc. Phthalazine compounds as p38 map kinase modulators and methods of use thereof
US8772481B2 (en) 2008-10-10 2014-07-08 Amgen Inc. Aza- and diaza-phthalazine compounds as P38 map kinase modulators and methods of use thereof
US8404687B2 (en) 2008-11-03 2013-03-26 Eli Lilly And Company Disubstituted phthalazine hedgehog pathway antagonists
US8507490B2 (en) 2008-11-17 2013-08-13 Eli Lilly And Company Tetrasubstituted pyridazine hedgehog pathway antagonists
US8445493B2 (en) 2008-11-17 2013-05-21 Eli Lilly And Company Tetrasubstituted pyridazines hedgehog pathway antagonists
US9000023B2 (en) 2009-06-19 2015-04-07 Eli Lilly And Company Disubstituted phthalazine hedgehog pathway antagonists
US8273742B2 (en) 2009-06-19 2012-09-25 Eli Lilly And Company Disubstituted phthalazine hedgehog pathway antagonists
US9394306B2 (en) 2009-09-28 2016-07-19 Genkyotex Sa Pyrazoline dione derivatives as NADPH oxidase inhibitors
WO2012025460A1 (en) * 2010-08-23 2012-03-01 Bayer Cropscience Ag Oxadiazolinone derivatives and use thereof in pest control
US12011436B2 (en) 2017-11-01 2024-06-18 Calliditas Therapeutics Suisse Sa Use of NOX inhibitors for treatment of cancer
US12213974B2 (en) 2020-10-13 2025-02-04 Endeavor Biomedicines, Inc. Methods of treating fibrosis
US12295954B2 (en) 2020-10-13 2025-05-13 Endeavor Biomedicines, Inc. Methods of treating fibrosis
WO2024064245A1 (en) * 2022-09-23 2024-03-28 Merck Sharp & Dohme Llc Phthalazine derivatives useful as inhibitors of nod-like receptor protein 3
WO2025034849A1 (en) * 2023-08-08 2025-02-13 Theras, Inc. Fused pyridazines for the treatment of cancer and other indications
US12447148B2 (en) 2024-03-05 2025-10-21 Endeavor Biomedicines, Inc. Methods of improving lung function

Also Published As

Publication number Publication date
TW200533356A (en) 2005-10-16

Similar Documents

Publication Publication Date Title
WO2005080378A1 (ja) 縮合ピリダジン誘導体
US10730863B2 (en) Bridged bicyclic compounds as farnesoid X receptor modulators
AU2002349754B2 (en) Novel 1,2,4-triazole compound
CN105307655B (zh) 哒嗪酮化合物及其用于制备治疗囊肿状纤维化的药物的应用
TWI423962B (zh) 有效作為黃嘌呤氧化酶抑制劑之新穎化合物、其製備方法及含該化合物之醫藥組成物
JPWO2012102297A1 (ja) ピラゾロピリジン誘導体、またはその薬理学的に許容される塩
KR102530580B1 (ko) 오렉신―1 수용체의 억제제로서의 치료 화합물
EP1678160A1 (en) Pyrazine derivatives and pharmaceutical use thereof
JPH0794454B2 (ja) ピラゾロピリジン化合物およびその製造法
TW200924751A (en) 2,3-substituted indole derivatives and methods of use thereof
KR20030074774A (ko) 접합 헤테로시클릭 화합물
CN103781768B (zh) Pde10调节剂
TW201302730A (zh) 吡唑化合物
TWI718146B (zh) 新穎的5-脂氧合酶啟動蛋白(flap)抑制劑
WO2014200882A1 (en) PDE10a INHIBITORS FOR THE TREATMENT OF TYPE II DIABETES
TWI280240B (en) Substituted 8-arylquinoline phosphodiesterase-4 inhibitors
WO2023202623A1 (zh) Polq抑制剂化合物及其应用
TW202115019A (zh) 酵素抑制劑
US8304436B2 (en) Pyrazolone derivatives as PDE4 inhibitors
WO2004009556A1 (ja) 4−置換アリール−5−ヒドロキシイソキノリノン誘導体
CN113121527A (zh) 三环类化合物及其用途
JP2007530516A (ja) 抗ウイルス剤として有用な4−カルボキシピラゾール誘導体
WO2018130227A1 (zh) 一种含芳环化合物、其制备方法、药物组合物及应用
JPH07233072A (ja) 医薬組成物
CN106604917B (zh) 作为醛固酮合酶抑制剂的新型二氢喹啉吡唑基化合物

Legal Events

Date Code Title Description
AK Designated states

Kind code of ref document: A1

Designated state(s): AE AG AL AM AT AU AZ BA BB BG BR BW BY BZ CA CH CN CO CR CU CZ DE DK DM DZ EC EE EG ES FI GB GD GE GH GM HR HU ID IL IN IS JP KE KG KP KR KZ LC LK LR LS LT LU LV MA MD MG MK MN MW MX MZ NA NI NO NZ OM PG PH PL PT RO RU SC SD SE SG SK SL SY TJ TM TN TR TT TZ UA UG US UZ VC VN YU ZA ZM ZW

AL Designated countries for regional patents

Kind code of ref document: A1

Designated state(s): GM KE LS MW MZ NA SD SL SZ TZ UG ZM ZW AM AZ BY KG KZ MD RU TJ TM AT BE BG CH CY CZ DE DK EE ES FI FR GB GR HU IE IS IT LT LU MC NL PL PT RO SE SI SK TR BF BJ CF CG CI CM GA GN GQ GW ML MR NE SN TD TG

121 Ep: the epo has been informed by wipo that ep was designated in this application
122 Ep: pct application non-entry in european phase
NENP Non-entry into the national phase

Ref country code: JP