RU2564844C1 - Хитоолигосахариды и способы их применения для усиления роста растений - Google Patents
Хитоолигосахариды и способы их применения для усиления роста растений Download PDFInfo
- Publication number
- RU2564844C1 RU2564844C1 RU2014116236/13A RU2014116236A RU2564844C1 RU 2564844 C1 RU2564844 C1 RU 2564844C1 RU 2014116236/13 A RU2014116236/13 A RU 2014116236/13A RU 2014116236 A RU2014116236 A RU 2014116236A RU 2564844 C1 RU2564844 C1 RU 2564844C1
- Authority
- RU
- Russia
- Prior art keywords
- seeds
- lho
- plant
- strain
- acre
- Prior art date
Links
- 229920001661 Chitosan Polymers 0.000 title claims abstract description 32
- 230000008635 plant growth Effects 0.000 title claims abstract description 14
- 238000000034 method Methods 0.000 title claims description 102
- 229910052739 hydrogen Inorganic materials 0.000 claims abstract description 45
- 239000001257 hydrogen Substances 0.000 claims abstract description 45
- 150000002431 hydrogen Chemical class 0.000 claims abstract description 32
- 125000002777 acetyl group Chemical group [H]C([H])([H])C(*)=O 0.000 claims abstract description 21
- 125000002496 methyl group Chemical group [H]C([H])([H])* 0.000 claims abstract description 16
- UFHFLCQGNIYNRP-UHFFFAOYSA-N Hydrogen Chemical compound [H][H] UFHFLCQGNIYNRP-UHFFFAOYSA-N 0.000 claims abstract description 13
- 125000003917 carbamoyl group Chemical group [H]N([H])C(*)=O 0.000 claims abstract description 13
- 125000002446 fucosyl group Chemical group C1([C@@H](O)[C@H](O)[C@H](O)[C@@H](O1)C)* 0.000 claims abstract description 12
- PEDCQBHIVMGVHV-UHFFFAOYSA-N Glycerine Chemical compound OCC(O)CO PEDCQBHIVMGVHV-UHFFFAOYSA-N 0.000 claims abstract description 8
- 125000000089 arabinosyl group Chemical group C1([C@@H](O)[C@H](O)[C@H](O)CO1)* 0.000 claims abstract description 8
- QAOWNCQODCNURD-UHFFFAOYSA-L Sulfate Chemical compound [O-]S([O-])(=O)=O QAOWNCQODCNURD-UHFFFAOYSA-L 0.000 claims abstract description 6
- 235000011187 glycerol Nutrition 0.000 claims abstract description 4
- 125000000311 mannosyl group Chemical group C1([C@@H](O)[C@@H](O)[C@H](O)[C@H](O1)CO)* 0.000 claims abstract description 4
- 241000196324 Embryophyta Species 0.000 claims description 123
- 230000001965 increasing effect Effects 0.000 claims description 54
- 235000010582 Pisum sativum Nutrition 0.000 claims description 43
- 240000004713 Pisum sativum Species 0.000 claims description 43
- 235000014113 dietary fatty acids Nutrition 0.000 claims description 38
- 239000000194 fatty acid Substances 0.000 claims description 38
- 229930195729 fatty acid Natural products 0.000 claims description 38
- 150000004665 fatty acids Chemical class 0.000 claims description 38
- 241000233866 Fungi Species 0.000 claims description 31
- 244000005700 microbiome Species 0.000 claims description 30
- 240000008042 Zea mays Species 0.000 claims description 29
- 235000002017 Zea mays subsp mays Nutrition 0.000 claims description 29
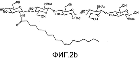
- PXQAMVFVNSKEFN-NGCHAASRSA-N CCCCCC\C=C/CCCCCCCCCC(=O)N[C@@H]1[C@@H](O)[C@H](O)[C@@H](CO)O[C@H]1O[C@@H]1[C@@H](CO)O[C@@H](O[C@@H]2[C@@H](CO)O[C@@H](O[C@@H]3[C@@H](CO)O[C@@H](O[C@H]([C@H](O)CO)[C@H](O)[C@@H](NC(C)=O)C=O)[C@H](NC(C)=O)[C@H]3O)[C@H](NC(C)=O)[C@H]2O)[C@H](NC(C)=O)[C@H]1O Chemical compound CCCCCC\C=C/CCCCCCCCCC(=O)N[C@@H]1[C@@H](O)[C@H](O)[C@@H](CO)O[C@H]1O[C@@H]1[C@@H](CO)O[C@@H](O[C@@H]2[C@@H](CO)O[C@@H](O[C@@H]3[C@@H](CO)O[C@@H](O[C@H]([C@H](O)CO)[C@H](O)[C@@H](NC(C)=O)C=O)[C@H](NC(C)=O)[C@H]3O)[C@H](NC(C)=O)[C@H]2O)[C@H](NC(C)=O)[C@H]1O PXQAMVFVNSKEFN-NGCHAASRSA-N 0.000 claims description 28
- 229910019142 PO4 Inorganic materials 0.000 claims description 27
- 239000010452 phosphate Substances 0.000 claims description 26
- NBIIXXVUZAFLBC-UHFFFAOYSA-K phosphate Chemical compound [O-]P([O-])([O-])=O NBIIXXVUZAFLBC-UHFFFAOYSA-K 0.000 claims description 25
- ZNJFBWYDHIGLCU-HWKXXFMVSA-N jasmonic acid Chemical compound CC\C=C/C[C@@H]1[C@@H](CC(O)=O)CCC1=O ZNJFBWYDHIGLCU-HWKXXFMVSA-N 0.000 claims description 24
- 235000005824 Zea mays ssp. parviglumis Nutrition 0.000 claims description 23
- 235000005822 corn Nutrition 0.000 claims description 23
- 150000001875 compounds Chemical class 0.000 claims description 22
- 230000003381 solubilizing effect Effects 0.000 claims description 22
- 229920002101 Chitin Polymers 0.000 claims description 20
- 241000228143 Penicillium Species 0.000 claims description 20
- 235000021307 Triticum Nutrition 0.000 claims description 18
- 238000009331 sowing Methods 0.000 claims description 18
- OYHQOLUKZRVURQ-IXWMQOLASA-N linoleic acid Natural products CCCCC\C=C/C\C=C\CCCCCCCC(O)=O OYHQOLUKZRVURQ-IXWMQOLASA-N 0.000 claims description 15
- 241000589174 Bradyrhizobium japonicum Species 0.000 claims description 14
- OYHQOLUKZRVURQ-HZJYTTRNSA-N Linoleic acid Chemical compound CCCCC\C=C/C\C=C/CCCCCCCC(O)=O OYHQOLUKZRVURQ-HZJYTTRNSA-N 0.000 claims description 14
- 235000020778 linoleic acid Nutrition 0.000 claims description 14
- 239000000417 fungicide Substances 0.000 claims description 13
- 239000004009 herbicide Substances 0.000 claims description 13
- 239000011785 micronutrient Substances 0.000 claims description 13
- 235000013369 micronutrients Nutrition 0.000 claims description 13
- 229930003935 flavonoid Natural products 0.000 claims description 12
- 235000017173 flavonoids Nutrition 0.000 claims description 12
- 239000002917 insecticide Substances 0.000 claims description 12
- 235000021374 legumes Nutrition 0.000 claims description 12
- DTOSIQBPPRVQHS-PDBXOOCHSA-N alpha-linolenic acid Chemical compound CC\C=C/C\C=C/C\C=C/CCCCCCCC(O)=O DTOSIQBPPRVQHS-PDBXOOCHSA-N 0.000 claims description 11
- 235000020661 alpha-linolenic acid Nutrition 0.000 claims description 11
- ZNJFBWYDHIGLCU-UHFFFAOYSA-N jasmonic acid Natural products CCC=CCC1C(CC(O)=O)CCC1=O ZNJFBWYDHIGLCU-UHFFFAOYSA-N 0.000 claims description 11
- KQQKGWQCNNTQJW-UHFFFAOYSA-N linolenic acid Natural products CC=CCCC=CCC=CCCCCCCCC(O)=O KQQKGWQCNNTQJW-UHFFFAOYSA-N 0.000 claims description 11
- 229960004488 linolenic acid Drugs 0.000 claims description 11
- 230000011664 signaling Effects 0.000 claims description 10
- 241000589194 Rhizobium leguminosarum Species 0.000 claims description 9
- 241000589196 Sinorhizobium meliloti Species 0.000 claims description 9
- 150000002215 flavonoids Chemical class 0.000 claims description 9
- 235000014647 Lens culinaris subsp culinaris Nutrition 0.000 claims description 7
- 235000010627 Phaseolus vulgaris Nutrition 0.000 claims description 7
- 244000046052 Phaseolus vulgaris Species 0.000 claims description 7
- 241000985541 Penicillium bilaiae Species 0.000 claims description 6
- XEEYBQQBJWHFJM-UHFFFAOYSA-N Iron Chemical compound [Fe] XEEYBQQBJWHFJM-UHFFFAOYSA-N 0.000 claims description 5
- 230000002708 enhancing effect Effects 0.000 claims description 5
- 241000589173 Bradyrhizobium Species 0.000 claims description 4
- 241000970829 Mesorhizobium Species 0.000 claims description 4
- 241000589180 Rhizobium Species 0.000 claims description 4
- 241000235504 Rhizophagus intraradices Species 0.000 claims description 4
- 241001135312 Sinorhizobium Species 0.000 claims description 4
- 235000011684 Sorghum saccharatum Nutrition 0.000 claims description 4
- 238000003306 harvesting Methods 0.000 claims description 4
- 244000075850 Avena orientalis Species 0.000 claims description 3
- 240000005979 Hordeum vulgare Species 0.000 claims description 3
- 235000007340 Hordeum vulgare Nutrition 0.000 claims description 3
- 241000187747 Streptomyces Species 0.000 claims description 3
- 235000013343 vitamin Nutrition 0.000 claims description 3
- 239000011782 vitamin Substances 0.000 claims description 3
- 229940088594 vitamin Drugs 0.000 claims description 3
- 229930003231 vitamin Natural products 0.000 claims description 3
- 241000208838 Asteraceae Species 0.000 claims description 2
- 241000219104 Cucurbitaceae Species 0.000 claims description 2
- 241000219071 Malvaceae Species 0.000 claims description 2
- 241001532588 Mesorhizobium ciceri Species 0.000 claims description 2
- 241000209504 Poaceae Species 0.000 claims description 2
- 239000011707 mineral Substances 0.000 claims description 2
- 235000010755 mineral Nutrition 0.000 claims description 2
- 241000219317 Amaranthaceae Species 0.000 claims 1
- 244000043158 Lens esculenta Species 0.000 claims 1
- 241000208292 Solanaceae Species 0.000 claims 1
- 240000006394 Sorghum bicolor Species 0.000 claims 1
- 244000098338 Triticum aestivum Species 0.000 claims 1
- 229910052500 inorganic mineral Inorganic materials 0.000 claims 1
- 230000000694 effects Effects 0.000 abstract description 36
- 238000012545 processing Methods 0.000 abstract description 27
- 239000000126 substance Substances 0.000 abstract description 7
- 229910021653 sulphate ion Inorganic materials 0.000 abstract 1
- IPCSVZSSVZVIGE-UHFFFAOYSA-N hexadecanoic acid Chemical compound CCCCCCCCCCCCCCCC(O)=O IPCSVZSSVZVIGE-UHFFFAOYSA-N 0.000 description 30
- XLYOFNOQVPJJNP-UHFFFAOYSA-N water Substances O XLYOFNOQVPJJNP-UHFFFAOYSA-N 0.000 description 30
- 239000002689 soil Substances 0.000 description 29
- 239000000203 mixture Substances 0.000 description 28
- 235000010469 Glycine max Nutrition 0.000 description 27
- 244000068988 Glycine max Species 0.000 description 23
- 230000035784 germination Effects 0.000 description 22
- 235000021317 phosphate Nutrition 0.000 description 22
- 230000007226 seed germination Effects 0.000 description 19
- 239000000243 solution Substances 0.000 description 19
- 235000021314 Palmitic acid Nutrition 0.000 description 17
- 241000209140 Triticum Species 0.000 description 17
- 230000012010 growth Effects 0.000 description 17
- IJGRMHOSHXDMSA-UHFFFAOYSA-N Atomic nitrogen Chemical compound N#N IJGRMHOSHXDMSA-UHFFFAOYSA-N 0.000 description 16
- 239000003795 chemical substances by application Substances 0.000 description 16
- -1 myristolenic acid Chemical class 0.000 description 16
- 235000021186 dishes Nutrition 0.000 description 15
- WQEPLUUGTLDZJY-UHFFFAOYSA-N n-Pentadecanoic acid Natural products CCCCCCCCCCCCCCC(O)=O WQEPLUUGTLDZJY-UHFFFAOYSA-N 0.000 description 15
- 150000003839 salts Chemical class 0.000 description 15
- 240000003768 Solanum lycopersicum Species 0.000 description 14
- 238000002474 experimental method Methods 0.000 description 14
- 239000003337 fertilizer Substances 0.000 description 14
- 235000007688 Lycopersicon esculentum Nutrition 0.000 description 13
- 229910052698 phosphorus Inorganic materials 0.000 description 13
- 241000894006 Bacteria Species 0.000 description 11
- 125000004432 carbon atom Chemical group C* 0.000 description 11
- 241000589157 Rhizobiales Species 0.000 description 10
- 210000004209 hair Anatomy 0.000 description 10
- OAICVXFJPJFONN-UHFFFAOYSA-N Phosphorus Chemical compound [P] OAICVXFJPJFONN-UHFFFAOYSA-N 0.000 description 9
- 235000021355 Stearic acid Nutrition 0.000 description 9
- 239000013543 active substance Substances 0.000 description 9
- 239000002585 base Substances 0.000 description 9
- 235000013339 cereals Nutrition 0.000 description 9
- 239000007788 liquid Substances 0.000 description 9
- 229910052757 nitrogen Inorganic materials 0.000 description 9
- 239000011574 phosphorus Substances 0.000 description 9
- 210000004215 spore Anatomy 0.000 description 9
- 239000002028 Biomass Substances 0.000 description 8
- 230000002538 fungal effect Effects 0.000 description 8
- 230000002363 herbicidal effect Effects 0.000 description 8
- 125000001072 heteroaryl group Chemical group 0.000 description 8
- 239000002609 medium Substances 0.000 description 8
- VYPSYNLAJGMNEJ-UHFFFAOYSA-N Silicium dioxide Chemical compound O=[Si]=O VYPSYNLAJGMNEJ-UHFFFAOYSA-N 0.000 description 7
- 235000015724 Trifolium pratense Nutrition 0.000 description 7
- QIQXTHQIDYTFRH-UHFFFAOYSA-N octadecanoic acid Chemical compound CCCCCCCCCCCCCCCCCC(O)=O QIQXTHQIDYTFRH-UHFFFAOYSA-N 0.000 description 7
- OQCDKBAXFALNLD-UHFFFAOYSA-N octadecanoic acid Natural products CCCCCCCC(C)CCCCCCCCC(O)=O OQCDKBAXFALNLD-UHFFFAOYSA-N 0.000 description 7
- 235000013526 red clover Nutrition 0.000 description 7
- 238000005507 spraying Methods 0.000 description 7
- 239000008117 stearic acid Substances 0.000 description 7
- 241000238631 Hexapoda Species 0.000 description 6
- 240000004322 Lens culinaris Species 0.000 description 6
- 235000017587 Medicago sativa ssp. sativa Nutrition 0.000 description 6
- 241000589516 Pseudomonas Species 0.000 description 6
- 235000016383 Zea mays subsp huehuetenangensis Nutrition 0.000 description 6
- 125000003342 alkenyl group Chemical group 0.000 description 6
- 125000000217 alkyl group Chemical group 0.000 description 6
- 150000001408 amides Chemical class 0.000 description 6
- 235000009973 maize Nutrition 0.000 description 6
- 238000004519 manufacturing process Methods 0.000 description 6
- 239000000463 material Substances 0.000 description 6
- 239000010451 perlite Substances 0.000 description 6
- 235000019362 perlite Nutrition 0.000 description 6
- 229920003023 plastic Polymers 0.000 description 6
- 239000004033 plastic Substances 0.000 description 6
- 239000004576 sand Substances 0.000 description 6
- 238000003860 storage Methods 0.000 description 6
- 235000004341 Gossypium herbaceum Nutrition 0.000 description 5
- 240000002024 Gossypium herbaceum Species 0.000 description 5
- 125000000304 alkynyl group Chemical group 0.000 description 5
- 125000003118 aryl group Chemical group 0.000 description 5
- 229910052799 carbon Inorganic materials 0.000 description 5
- 239000013043 chemical agent Substances 0.000 description 5
- 239000011248 coating agent Substances 0.000 description 5
- 238000000576 coating method Methods 0.000 description 5
- 238000010586 diagram Methods 0.000 description 5
- 230000014509 gene expression Effects 0.000 description 5
- 239000002054 inoculum Substances 0.000 description 5
- 229910052760 oxygen Inorganic materials 0.000 description 5
- 239000003415 peat Substances 0.000 description 5
- 125000004209 (C1-C8) alkyl group Chemical group 0.000 description 4
- 241000589291 Acinetobacter Species 0.000 description 4
- 235000001674 Agaricus brunnescens Nutrition 0.000 description 4
- 235000014698 Brassica juncea var multisecta Nutrition 0.000 description 4
- 235000006008 Brassica napus var napus Nutrition 0.000 description 4
- 240000000385 Brassica napus var. napus Species 0.000 description 4
- 235000006618 Brassica rapa subsp oleifera Nutrition 0.000 description 4
- 235000004977 Brassica sinapistrum Nutrition 0.000 description 4
- 125000004648 C2-C8 alkenyl group Chemical group 0.000 description 4
- 125000004649 C2-C8 alkynyl group Chemical group 0.000 description 4
- QOSSAOTZNIDXMA-UHFFFAOYSA-N Dicylcohexylcarbodiimide Chemical compound C1CCCCC1N=C=NC1CCCCC1 QOSSAOTZNIDXMA-UHFFFAOYSA-N 0.000 description 4
- 241000588724 Escherichia coli Species 0.000 description 4
- DGAQECJNVWCQMB-PUAWFVPOSA-M Ilexoside XXIX Chemical compound C[C@@H]1CC[C@@]2(CC[C@@]3(C(=CC[C@H]4[C@]3(CC[C@@H]5[C@@]4(CC[C@@H](C5(C)C)OS(=O)(=O)[O-])C)C)[C@@H]2[C@]1(C)O)C)C(=O)O[C@H]6[C@@H]([C@H]([C@@H]([C@H](O6)CO)O)O)O.[Na+] DGAQECJNVWCQMB-PUAWFVPOSA-M 0.000 description 4
- 241000219823 Medicago Species 0.000 description 4
- 241001123663 Penicillium expansum Species 0.000 description 4
- 239000002253 acid Substances 0.000 description 4
- 230000001580 bacterial effect Effects 0.000 description 4
- 125000003178 carboxy group Chemical group [H]OC(*)=O 0.000 description 4
- 150000001732 carboxylic acid derivatives Chemical class 0.000 description 4
- 239000000969 carrier Substances 0.000 description 4
- 210000004027 cell Anatomy 0.000 description 4
- 239000003153 chemical reaction reagent Substances 0.000 description 4
- 150000002148 esters Chemical class 0.000 description 4
- 125000001495 ethyl group Chemical group [H]C([H])([H])C([H])([H])* 0.000 description 4
- 239000012530 fluid Substances 0.000 description 4
- 230000000855 fungicidal effect Effects 0.000 description 4
- 125000005842 heteroatom Chemical group 0.000 description 4
- 239000000411 inducer Substances 0.000 description 4
- 239000002367 phosphate rock Substances 0.000 description 4
- OJMIONKXNSYLSR-UHFFFAOYSA-N phosphorous acid Chemical class OP(O)O OJMIONKXNSYLSR-UHFFFAOYSA-N 0.000 description 4
- 238000002360 preparation method Methods 0.000 description 4
- 239000000047 product Substances 0.000 description 4
- 125000001436 propyl group Chemical group [H]C([*])([H])C([H])([H])C([H])([H])[H] 0.000 description 4
- 239000011734 sodium Substances 0.000 description 4
- 229910052708 sodium Inorganic materials 0.000 description 4
- 241000894007 species Species 0.000 description 4
- 230000031068 symbiosis, encompassing mutualism through parasitism Effects 0.000 description 4
- 239000004563 wettable powder Substances 0.000 description 4
- 241000589941 Azospirillum Species 0.000 description 3
- 241000193830 Bacillus <bacterium> Species 0.000 description 3
- 241000221198 Basidiomycota Species 0.000 description 3
- 241001453380 Burkholderia Species 0.000 description 3
- 102000012286 Chitinases Human genes 0.000 description 3
- 108010022172 Chitinases Proteins 0.000 description 3
- 229920000742 Cotton Polymers 0.000 description 3
- 241000238424 Crustacea Species 0.000 description 3
- 239000005562 Glyphosate Substances 0.000 description 3
- 241000219146 Gossypium Species 0.000 description 3
- 240000004658 Medicago sativa Species 0.000 description 3
- OVRNDRQMDRJTHS-FMDGEEDCSA-N N-acetyl-beta-D-glucosamine Chemical group CC(=O)N[C@H]1[C@H](O)O[C@H](CO)[C@@H](O)[C@@H]1O OVRNDRQMDRJTHS-FMDGEEDCSA-N 0.000 description 3
- ZLMJMSJWJFRBEC-UHFFFAOYSA-N Potassium Chemical compound [K] ZLMJMSJWJFRBEC-UHFFFAOYSA-N 0.000 description 3
- 235000010580 Psophocarpus tetragonolobus Nutrition 0.000 description 3
- 244000046095 Psophocarpus tetragonolobus Species 0.000 description 3
- 241000222557 Rhizopogon Species 0.000 description 3
- 240000004808 Saccharomyces cerevisiae Species 0.000 description 3
- 235000014680 Saccharomyces cerevisiae Nutrition 0.000 description 3
- 244000105017 Vicia sativa Species 0.000 description 3
- 229910052783 alkali metal Inorganic materials 0.000 description 3
- 230000015572 biosynthetic process Effects 0.000 description 3
- 239000011575 calcium Substances 0.000 description 3
- 150000001720 carbohydrates Chemical class 0.000 description 3
- 235000014633 carbohydrates Nutrition 0.000 description 3
- 210000002421 cell wall Anatomy 0.000 description 3
- 235000012343 cottonseed oil Nutrition 0.000 description 3
- 238000011161 development Methods 0.000 description 3
- 230000018109 developmental process Effects 0.000 description 3
- 230000007613 environmental effect Effects 0.000 description 3
- 238000000855 fermentation Methods 0.000 description 3
- 230000004151 fermentation Effects 0.000 description 3
- XDDAORKBJWWYJS-UHFFFAOYSA-N glyphosate Chemical compound OC(=O)CNCP(O)(O)=O XDDAORKBJWWYJS-UHFFFAOYSA-N 0.000 description 3
- 229940097068 glyphosate Drugs 0.000 description 3
- 239000008187 granular material Substances 0.000 description 3
- 238000004128 high performance liquid chromatography Methods 0.000 description 3
- 125000004029 hydroxymethyl group Chemical group [H]OC([H])([H])* 0.000 description 3
- 229930013032 isoflavonoid Natural products 0.000 description 3
- 150000003817 isoflavonoid derivatives Chemical class 0.000 description 3
- 235000012891 isoflavonoids Nutrition 0.000 description 3
- NLYAJNPCOHFWQQ-UHFFFAOYSA-N kaolin Chemical compound O.O.O=[Al]O[Si](=O)O[Si](=O)O[Al]=O NLYAJNPCOHFWQQ-UHFFFAOYSA-N 0.000 description 3
- 150000002482 oligosaccharides Chemical class 0.000 description 3
- 229910052700 potassium Inorganic materials 0.000 description 3
- 239000011591 potassium Substances 0.000 description 3
- 239000001965 potato dextrose agar Substances 0.000 description 3
- 239000000843 powder Substances 0.000 description 3
- 108090000623 proteins and genes Proteins 0.000 description 3
- 238000011160 research Methods 0.000 description 3
- 238000002791 soaking Methods 0.000 description 3
- 239000007790 solid phase Substances 0.000 description 3
- 239000002904 solvent Substances 0.000 description 3
- 229910052717 sulfur Inorganic materials 0.000 description 3
- YBJHBAHKTGYVGT-ZKWXMUAHSA-N (+)-Biotin Chemical compound N1C(=O)N[C@@H]2[C@H](CCCCC(=O)O)SC[C@@H]21 YBJHBAHKTGYVGT-ZKWXMUAHSA-N 0.000 description 2
- GEWDNTWNSAZUDX-WQMVXFAESA-N (-)-methyl jasmonate Chemical compound CC\C=C/C[C@@H]1[C@@H](CC(=O)OC)CCC1=O GEWDNTWNSAZUDX-WQMVXFAESA-N 0.000 description 2
- OYHQOLUKZRVURQ-NTGFUMLPSA-N (9Z,12Z)-9,10,12,13-tetratritiooctadeca-9,12-dienoic acid Chemical compound C(CCCCCCC\C(=C(/C\C(=C(/CCCCC)\[3H])\[3H])\[3H])\[3H])(=O)O OYHQOLUKZRVURQ-NTGFUMLPSA-N 0.000 description 2
- PGOOBECODWQEAB-UHFFFAOYSA-N (E)-clothianidin Chemical compound [O-][N+](=O)\N=C(/NC)NCC1=CN=C(Cl)S1 PGOOBECODWQEAB-UHFFFAOYSA-N 0.000 description 2
- JUTMAMXOAOYKHT-UHFFFAOYSA-N 3-methylfuro[2,3-c]pyran-2-one Chemical compound C1=COC=C2OC(=O)C(C)=C21 JUTMAMXOAOYKHT-UHFFFAOYSA-N 0.000 description 2
- 241000605222 Acidithiobacillus ferrooxidans Species 0.000 description 2
- 241000588624 Acinetobacter calcoaceticus Species 0.000 description 2
- 229920001817 Agar Polymers 0.000 description 2
- 239000005995 Aluminium silicate Substances 0.000 description 2
- 241000773655 Ambispora fennica Species 0.000 description 2
- QGZKDVFQNNGYKY-UHFFFAOYSA-N Ammonia Chemical compound N QGZKDVFQNNGYKY-UHFFFAOYSA-N 0.000 description 2
- 241000186063 Arthrobacter Species 0.000 description 2
- 241000186073 Arthrobacter sp. Species 0.000 description 2
- 241000722808 Arthrobotrys Species 0.000 description 2
- 241000722807 Arthrobotrys oligospora Species 0.000 description 2
- 241000235349 Ascomycota Species 0.000 description 2
- CIWBSHSKHKDKBQ-JLAZNSOCSA-N Ascorbic acid Chemical compound OC[C@H](O)[C@H]1OC(=O)C(O)=C1O CIWBSHSKHKDKBQ-JLAZNSOCSA-N 0.000 description 2
- 241000228212 Aspergillus Species 0.000 description 2
- 241000228245 Aspergillus niger Species 0.000 description 2
- 241000228257 Aspergillus sp. Species 0.000 description 2
- 235000007319 Avena orientalis Nutrition 0.000 description 2
- 241000894008 Azorhizobium Species 0.000 description 2
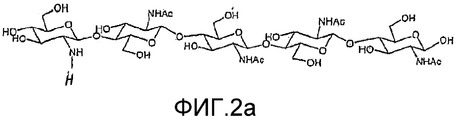
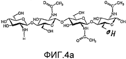
- 0 CC([C@@](C*OC1CO*)C=NC(*)=O)C1OC(*)(*)C(C([C@@]1O)=NC(C)=O)OC(CO)C1OC(*)(*)C(C(CC(C)=O)C1O)OC(CO)C1O[C@]1OC(CO*)C(*)C(*)C1=** Chemical compound CC([C@@](C*OC1CO*)C=NC(*)=O)C1OC(*)(*)C(C([C@@]1O)=NC(C)=O)OC(CO)C1OC(*)(*)C(C(CC(C)=O)C1O)OC(CO)C1O[C@]1OC(CO*)C(*)C(*)C1=** 0.000 description 2
- OYPRJOBELJOOCE-UHFFFAOYSA-N Calcium Chemical compound [Ca] OYPRJOBELJOOCE-UHFFFAOYSA-N 0.000 description 2
- 241000222120 Candida <Saccharomycetales> Species 0.000 description 2
- OKTJSMMVPCPJKN-UHFFFAOYSA-N Carbon Chemical compound [C] OKTJSMMVPCPJKN-UHFFFAOYSA-N 0.000 description 2
- 241000134884 Ericales Species 0.000 description 2
- LFQSCWFLJHTTHZ-UHFFFAOYSA-N Ethanol Chemical compound CCO LFQSCWFLJHTTHZ-UHFFFAOYSA-N 0.000 description 2
- 241000168413 Exiguobacterium sp. Species 0.000 description 2
- 241000258937 Hemiptera Species 0.000 description 2
- 241000588754 Klebsiella sp. Species 0.000 description 2
- 235000003228 Lactuca sativa Nutrition 0.000 description 2
- 240000008415 Lactuca sativa Species 0.000 description 2
- 241000294754 Macroptilium atropurpureum Species 0.000 description 2
- FYYHWMGAXLPEAU-UHFFFAOYSA-N Magnesium Chemical compound [Mg] FYYHWMGAXLPEAU-UHFFFAOYSA-N 0.000 description 2
- 241001465754 Metazoa Species 0.000 description 2
- PXHVJJICTQNCMI-UHFFFAOYSA-N Nickel Chemical compound [Ni] PXHVJJICTQNCMI-UHFFFAOYSA-N 0.000 description 2
- 239000006057 Non-nutritive feed additive Substances 0.000 description 2
- ZQPPMHVWECSIRJ-UHFFFAOYSA-N Oleic acid Natural products CCCCCCCCC=CCCCCCCCC(O)=O ZQPPMHVWECSIRJ-UHFFFAOYSA-N 0.000 description 2
- 240000007594 Oryza sativa Species 0.000 description 2
- 235000007164 Oryza sativa Nutrition 0.000 description 2
- 241001236817 Paecilomyces <Clavicipitaceae> Species 0.000 description 2
- 241000178960 Paenibacillus macerans Species 0.000 description 2
- 241000881860 Paenibacillus mucilaginosus Species 0.000 description 2
- 241000520272 Pantoea Species 0.000 description 2
- 241000228129 Penicillium janthinellum Species 0.000 description 2
- 241001219747 Penicillium parvum Species 0.000 description 2
- 241000589540 Pseudomonas fluorescens Species 0.000 description 2
- 241000999303 Pseudomonas lutea Species 0.000 description 2
- 241001144909 Pseudomonas poae Species 0.000 description 2
- 241000589776 Pseudomonas putida Species 0.000 description 2
- 241000589614 Pseudomonas stutzeri Species 0.000 description 2
- 241001144907 Pseudomonas trivialis Species 0.000 description 2
- 241001361634 Rhizoctonia Species 0.000 description 2
- 241000607720 Serratia Species 0.000 description 2
- 241000607715 Serratia marcescens Species 0.000 description 2
- 235000002595 Solanum tuberosum Nutrition 0.000 description 2
- 244000061456 Solanum tuberosum Species 0.000 description 2
- 244000062793 Sorghum vulgare Species 0.000 description 2
- 241000122971 Stenotrophomonas Species 0.000 description 2
- 241000122973 Stenotrophomonas maltophilia Species 0.000 description 2
- 241000187180 Streptomyces sp. Species 0.000 description 2
- 241000203590 Streptosporangium Species 0.000 description 2
- 241000216438 Streptosporangium sp. Species 0.000 description 2
- 241001248469 Swaminathania Species 0.000 description 2
- 241001072740 Swaminathania salitolerans Species 0.000 description 2
- 241000605118 Thiobacillus Species 0.000 description 2
- 241000607598 Vibrio Species 0.000 description 2
- 241000219873 Vicia Species 0.000 description 2
- 241000589634 Xanthomonas Species 0.000 description 2
- 230000021736 acetylation Effects 0.000 description 2
- 238000006640 acetylation reaction Methods 0.000 description 2
- 239000004480 active ingredient Substances 0.000 description 2
- 239000008272 agar Substances 0.000 description 2
- 229910052784 alkaline earth metal Inorganic materials 0.000 description 2
- 235000012211 aluminium silicate Nutrition 0.000 description 2
- 150000001412 amines Chemical class 0.000 description 2
- LFVGISIMTYGQHF-UHFFFAOYSA-N ammonium dihydrogen phosphate Chemical compound [NH4+].OP(O)([O-])=O LFVGISIMTYGQHF-UHFFFAOYSA-N 0.000 description 2
- 229910000387 ammonium dihydrogen phosphate Inorganic materials 0.000 description 2
- 244000052616 bacterial pathogen Species 0.000 description 2
- 210000004666 bacterial spore Anatomy 0.000 description 2
- 230000009286 beneficial effect Effects 0.000 description 2
- 229910052791 calcium Inorganic materials 0.000 description 2
- YYRMJZQKEFZXMX-UHFFFAOYSA-N calcium;phosphoric acid Chemical compound [Ca+2].OP(O)(O)=O.OP(O)(O)=O YYRMJZQKEFZXMX-UHFFFAOYSA-N 0.000 description 2
- 230000003197 catalytic effect Effects 0.000 description 2
- 150000001768 cations Chemical class 0.000 description 2
- 229930002875 chlorophyll Natural products 0.000 description 2
- 235000019804 chlorophyll Nutrition 0.000 description 2
- ATNHDLDRLWWWCB-AENOIHSZSA-M chlorophyll a Chemical compound C1([C@@H](C(=O)OC)C(=O)C2=C3C)=C2N2C3=CC(C(CC)=C3C)=[N+]4C3=CC3=C(C=C)C(C)=C5N3[Mg-2]42[N+]2=C1[C@@H](CCC(=O)OC\C=C(/C)CCC[C@H](C)CCC[C@H](C)CCCC(C)C)[C@H](C)C2=C5 ATNHDLDRLWWWCB-AENOIHSZSA-M 0.000 description 2
- 239000004927 clay Substances 0.000 description 2
- 230000001332 colony forming effect Effects 0.000 description 2
- 230000008878 coupling Effects 0.000 description 2
- 238000010168 coupling process Methods 0.000 description 2
- 238000005859 coupling reaction Methods 0.000 description 2
- ZQSIJRDFPHDXIC-UHFFFAOYSA-N daidzein Chemical compound C1=CC(O)=CC=C1C1=COC2=CC(O)=CC=C2C1=O ZQSIJRDFPHDXIC-UHFFFAOYSA-N 0.000 description 2
- 239000012153 distilled water Substances 0.000 description 2
- POULHZVOKOAJMA-UHFFFAOYSA-N dodecanoic acid Chemical compound CCCCCCCCCCCC(O)=O POULHZVOKOAJMA-UHFFFAOYSA-N 0.000 description 2
- 238000001035 drying Methods 0.000 description 2
- ZQPPMHVWECSIRJ-MDZDMXLPSA-N elaidic acid Chemical compound CCCCCCCC\C=C\CCCCCCCC(O)=O ZQPPMHVWECSIRJ-MDZDMXLPSA-N 0.000 description 2
- 230000002255 enzymatic effect Effects 0.000 description 2
- 238000001704 evaporation Methods 0.000 description 2
- 230000008020 evaporation Effects 0.000 description 2
- 150000002190 fatty acyls Chemical group 0.000 description 2
- 230000002349 favourable effect Effects 0.000 description 2
- 238000001914 filtration Methods 0.000 description 2
- 229930003949 flavanone Natural products 0.000 description 2
- 235000011981 flavanones Nutrition 0.000 description 2
- 150000002208 flavanones Chemical class 0.000 description 2
- 229930003944 flavone Natural products 0.000 description 2
- 235000011949 flavones Nutrition 0.000 description 2
- 150000002213 flavones Chemical class 0.000 description 2
- OVBPIULPVIDEAO-LBPRGKRZSA-N folic acid Chemical compound C=1N=C2NC(N)=NC(=O)C2=NC=1CNC1=CC=C(C(=O)N[C@@H](CCC(O)=O)C(O)=O)C=C1 OVBPIULPVIDEAO-LBPRGKRZSA-N 0.000 description 2
- HKQYGTCOTHHOMP-UHFFFAOYSA-N formononetin Chemical compound C1=CC(OC)=CC=C1C1=COC2=CC(O)=CC=C2C1=O HKQYGTCOTHHOMP-UHFFFAOYSA-N 0.000 description 2
- 238000009472 formulation Methods 0.000 description 2
- OBHRCUWVUFZNMG-UHFFFAOYSA-N furo[2,3-c]pyran-2-one Chemical class C1=COC=C2OC(=O)C=C21 OBHRCUWVUFZNMG-UHFFFAOYSA-N 0.000 description 2
- 238000010353 genetic engineering Methods 0.000 description 2
- 229930182470 glycoside Natural products 0.000 description 2
- 150000002338 glycosides Chemical class 0.000 description 2
- YWTYJOPNNQFBPC-UHFFFAOYSA-N imidacloprid Chemical compound [O-][N+](=O)\N=C1/NCCN1CC1=CC=C(Cl)N=C1 YWTYJOPNNQFBPC-UHFFFAOYSA-N 0.000 description 2
- 239000004615 ingredient Substances 0.000 description 2
- CJWQYWQDLBZGPD-UHFFFAOYSA-N isoflavone Natural products C1=C(OC)C(OC)=CC(OC)=C1C1=COC2=C(C=CC(C)(C)O3)C3=C(OC)C=C2C1=O CJWQYWQDLBZGPD-UHFFFAOYSA-N 0.000 description 2
- 150000002515 isoflavone derivatives Chemical class 0.000 description 2
- 235000008696 isoflavones Nutrition 0.000 description 2
- QXJSBBXBKPUZAA-UHFFFAOYSA-N isooleic acid Natural products CCCCCCCC=CCCCCCCCCC(O)=O QXJSBBXBKPUZAA-UHFFFAOYSA-N 0.000 description 2
- ZOCYQVNGROEVLU-UHFFFAOYSA-N isopentadecanoic acid Chemical compound CC(C)CCCCCCCCCCCC(O)=O ZOCYQVNGROEVLU-UHFFFAOYSA-N 0.000 description 2
- 239000011777 magnesium Substances 0.000 description 2
- 229910052749 magnesium Inorganic materials 0.000 description 2
- 125000004184 methoxymethyl group Chemical group [H]C([H])([H])OC([H])([H])* 0.000 description 2
- GEWDNTWNSAZUDX-UHFFFAOYSA-N methyl 7-epi-jasmonate Natural products CCC=CCC1C(CC(=O)OC)CCC1=O GEWDNTWNSAZUDX-UHFFFAOYSA-N 0.000 description 2
- 150000007522 mineralic acids Chemical class 0.000 description 2
- 238000002156 mixing Methods 0.000 description 2
- 235000019837 monoammonium phosphate Nutrition 0.000 description 2
- 239000006012 monoammonium phosphate Substances 0.000 description 2
- 230000007935 neutral effect Effects 0.000 description 2
- 125000004433 nitrogen atom Chemical group N* 0.000 description 2
- 239000003284 nod factor Substances 0.000 description 2
- 101150017145 nod gene Proteins 0.000 description 2
- 238000005935 nucleophilic addition reaction Methods 0.000 description 2
- 229920001542 oligosaccharide Polymers 0.000 description 2
- 150000002943 palmitic acids Chemical class 0.000 description 2
- 230000001717 pathogenic effect Effects 0.000 description 2
- 150000003013 phosphoric acid derivatives Chemical class 0.000 description 2
- 235000012015 potatoes Nutrition 0.000 description 2
- 238000000746 purification Methods 0.000 description 2
- 235000009566 rice Nutrition 0.000 description 2
- 230000002786 root growth Effects 0.000 description 2
- 239000000779 smoke Substances 0.000 description 2
- 239000007787 solid Substances 0.000 description 2
- 238000010561 standard procedure Methods 0.000 description 2
- 239000007858 starting material Substances 0.000 description 2
- 125000001424 substituent group Chemical group 0.000 description 2
- 239000000758 substrate Substances 0.000 description 2
- 239000002426 superphosphate Substances 0.000 description 2
- 239000000725 suspension Substances 0.000 description 2
- 230000021918 systemic acquired resistance Effects 0.000 description 2
- VZCYOOQTPOCHFL-UHFFFAOYSA-N trans-butenedioic acid Natural products OC(=O)C=CC(O)=O VZCYOOQTPOCHFL-UHFFFAOYSA-N 0.000 description 2
- 235000013311 vegetables Nutrition 0.000 description 2
- VFDRGIJZSHUKEI-UISOVIGQSA-N (3s,4r,5r,6s)-3,4,5,6-tetrahydroxyheptan-2-one Chemical compound C[C@H](O)[C@@H](O)[C@@H](O)[C@H](O)C(C)=O VFDRGIJZSHUKEI-UISOVIGQSA-N 0.000 description 1
- GHOKWGTUZJEAQD-ZETCQYMHSA-N (D)-(+)-Pantothenic acid Chemical compound OCC(C)(C)[C@@H](O)C(=O)NCCC(O)=O GHOKWGTUZJEAQD-ZETCQYMHSA-N 0.000 description 1
- WRIDQFICGBMAFQ-UHFFFAOYSA-N (E)-8-Octadecenoic acid Natural products CCCCCCCCCC=CCCCCCCC(O)=O WRIDQFICGBMAFQ-UHFFFAOYSA-N 0.000 description 1
- FTVWIRXFELQLPI-CYBMUJFWSA-N (R)-naringenin Chemical compound C1=CC(O)=CC=C1[C@@H]1OC2=CC(O)=CC(O)=C2C(=O)C1 FTVWIRXFELQLPI-CYBMUJFWSA-N 0.000 description 1
- NUPJIGQFXCQJBK-UHFFFAOYSA-N 2-(4-isopropyl-4-methyl-5-oxo-4,5-dihydro-1H-imidazol-2-yl)-5-(methoxymethyl)nicotinic acid Chemical compound OC(=O)C1=CC(COC)=CN=C1C1=NC(C)(C(C)C)C(=O)N1 NUPJIGQFXCQJBK-UHFFFAOYSA-N 0.000 description 1
- YUVKUEAFAVKILW-UHFFFAOYSA-N 2-(4-{[5-(trifluoromethyl)pyridin-2-yl]oxy}phenoxy)propanoic acid Chemical compound C1=CC(OC(C)C(O)=O)=CC=C1OC1=CC=C(C(F)(F)F)C=N1 YUVKUEAFAVKILW-UHFFFAOYSA-N 0.000 description 1
- MSWZFWKMSRAUBD-UHFFFAOYSA-N 2-Amino-2-Deoxy-Hexose Chemical compound NC1C(O)OC(CO)C(O)C1O MSWZFWKMSRAUBD-UHFFFAOYSA-N 0.000 description 1
- GQQIAHNFBAFBCS-UHFFFAOYSA-N 2-[2-chloro-5-(1,3-dioxo-4,5,6,7-tetrahydroisoindol-2-yl)-4-fluorophenoxy]acetic acid Chemical compound C1=C(Cl)C(OCC(=O)O)=CC(N2C(C3=C(CCCC3)C2=O)=O)=C1F GQQIAHNFBAFBCS-UHFFFAOYSA-N 0.000 description 1
- IAJOBQBIJHVGMQ-UHFFFAOYSA-N 2-amino-4-[hydroxy(methyl)phosphoryl]butanoic acid Chemical compound CP(O)(=O)CCC(N)C(O)=O IAJOBQBIJHVGMQ-UHFFFAOYSA-N 0.000 description 1
- LQJBNNIYVWPHFW-UHFFFAOYSA-N 20:1omega9c fatty acid Natural products CCCCCCCCCCC=CCCCCCCCC(O)=O LQJBNNIYVWPHFW-UHFFFAOYSA-N 0.000 description 1
- UZNXDYMTEHQOME-UHFFFAOYSA-N 3,5,7-trimethylfuro[2,3-c]pyran-2-one Chemical compound C1=C(C)OC(C)=C2OC(=O)C(C)=C21 UZNXDYMTEHQOME-UHFFFAOYSA-N 0.000 description 1
- LVIAGZUAWKSKRF-UHFFFAOYSA-N 3,5-dimethylfuro[2,3-c]pyran-2-one Chemical compound C1=C(C)OC=C2OC(=O)C(C)=C21 LVIAGZUAWKSKRF-UHFFFAOYSA-N 0.000 description 1
- ABQKMWGVCIWXTG-UHFFFAOYSA-N 3,6-dimethylfuro[2,3-c]pyridin-2-one Chemical compound C1=CN(C)C=C2OC(=O)C(C)=C21 ABQKMWGVCIWXTG-UHFFFAOYSA-N 0.000 description 1
- TYHXSNBTCKZPMK-UHFFFAOYSA-N 3,7-dimethylfuro[2,3-c]pyran-2-one Chemical compound C1=COC(C)=C2OC(=O)C(C)=C21 TYHXSNBTCKZPMK-UHFFFAOYSA-N 0.000 description 1
- VTTCELCKKRUNAP-UHFFFAOYSA-N 3-methyl-3h-furo[2,3-c]pyridin-2-one Chemical compound N1=CC=C2C(C)C(=O)OC2=C1 VTTCELCKKRUNAP-UHFFFAOYSA-N 0.000 description 1
- LYWHTITZKDCWNX-UHFFFAOYSA-N 4-bromo-3,7-dimethylfuro[2,3-c]pyran-2-one Chemical compound BrC1=COC(C)=C2OC(=O)C(C)=C21 LYWHTITZKDCWNX-UHFFFAOYSA-N 0.000 description 1
- UHPMCKVQTMMPCG-UHFFFAOYSA-N 5,8-dihydroxy-2-methoxy-6-methyl-7-(2-oxopropyl)naphthalene-1,4-dione Chemical compound CC1=C(CC(C)=O)C(O)=C2C(=O)C(OC)=CC(=O)C2=C1O UHPMCKVQTMMPCG-UHFFFAOYSA-N 0.000 description 1
- SEUCSCPWTIENSN-UHFFFAOYSA-N 5-(methoxymethyl)-3-methylfuro[2,3-c]pyran-2-one Chemical compound O1C(COC)=CC2=C(C)C(=O)OC2=C1 SEUCSCPWTIENSN-UHFFFAOYSA-N 0.000 description 1
- RQFQJYYMBWVMQG-UHFFFAOYSA-N 5-amino-6-[5-amino-6-[5-amino-4,6-dihydroxy-2-(hydroxymethyl)oxan-3-yl]oxy-4-hydroxy-2-(hydroxymethyl)oxan-3-yl]oxy-2-(hydroxymethyl)oxane-3,4-diol Chemical compound OC1C(N)C(O)OC(CO)C1OC1C(N)C(O)C(OC2C(C(O)C(O)C(CO)O2)N)C(CO)O1 RQFQJYYMBWVMQG-UHFFFAOYSA-N 0.000 description 1
- TVRISNATFQZGQF-UHFFFAOYSA-N 5-methylfuro[2,3-c]pyran-2-one Chemical compound O1C(C)=CC2=CC(=O)OC2=C1 TVRISNATFQZGQF-UHFFFAOYSA-N 0.000 description 1
- HPMLSVLIQNWSMA-UHFFFAOYSA-N 7-methylfuro[2,3-c]pyran-2-one Chemical compound O1C=CC2=CC(=O)OC2=C1C HPMLSVLIQNWSMA-UHFFFAOYSA-N 0.000 description 1
- QSBYPNXLFMSGKH-UHFFFAOYSA-N 9-Heptadecensaeure Natural products CCCCCCCC=CCCCCCCCC(O)=O QSBYPNXLFMSGKH-UHFFFAOYSA-N 0.000 description 1
- 244000215068 Acacia senegal Species 0.000 description 1
- DLFVBJFMPXGRIB-UHFFFAOYSA-N Acetamide Chemical compound CC(N)=O DLFVBJFMPXGRIB-UHFFFAOYSA-N 0.000 description 1
- QTBSBXVTEAMEQO-UHFFFAOYSA-M Acetate Chemical compound CC([O-])=O QTBSBXVTEAMEQO-UHFFFAOYSA-M 0.000 description 1
- 241001136249 Agriotes lineatus Species 0.000 description 1
- 244000291564 Allium cepa Species 0.000 description 1
- 235000002732 Allium cepa var. cepa Nutrition 0.000 description 1
- 239000004114 Ammonium polyphosphate Substances 0.000 description 1
- 241001124076 Aphididae Species 0.000 description 1
- 244000105624 Arachis hypogaea Species 0.000 description 1
- 241000894009 Azorhizobium caulinodans Species 0.000 description 1
- 241000773376 Azorhizobium doebereinerae Species 0.000 description 1
- 241000099790 Azorhizobium sp. Species 0.000 description 1
- 239000005730 Azoxystrobin Substances 0.000 description 1
- 241000193744 Bacillus amyloliquefaciens Species 0.000 description 1
- 241000193410 Bacillus atrophaeus Species 0.000 description 1
- 241000193752 Bacillus circulans Species 0.000 description 1
- 241000194108 Bacillus licheniformis Species 0.000 description 1
- 244000063299 Bacillus subtilis Species 0.000 description 1
- 235000014469 Bacillus subtilis Nutrition 0.000 description 1
- 239000005476 Bentazone Substances 0.000 description 1
- 235000016068 Berberis vulgaris Nutrition 0.000 description 1
- 241000335053 Beta vulgaris Species 0.000 description 1
- 241001211977 Bida Species 0.000 description 1
- ZOXJGFHDIHLPTG-UHFFFAOYSA-N Boron Chemical compound [B] ZOXJGFHDIHLPTG-UHFFFAOYSA-N 0.000 description 1
- 241000131971 Bradyrhizobiaceae Species 0.000 description 1
- 241001378169 Bradyrhizobium canariense Species 0.000 description 1
- 241001148114 Bradyrhizobium elkanii Species 0.000 description 1
- 241000407956 Bradyrhizobium iriomotense Species 0.000 description 1
- 241000757064 Bradyrhizobium jicamae Species 0.000 description 1
- 241000159535 Bradyrhizobium liaoningense Species 0.000 description 1
- 241000959699 Bradyrhizobium lupini Species 0.000 description 1
- 241000757063 Bradyrhizobium pachyrhizi Species 0.000 description 1
- 241000589171 Bradyrhizobium sp. Species 0.000 description 1
- 241001545610 Bradyrhizobium yuanmingense Species 0.000 description 1
- 241000866606 Burkholderia vietnamiensis Species 0.000 description 1
- DQFBYFPFKXHELB-UHFFFAOYSA-N Chalcone Natural products C=1C=CC=CC=1C(=O)C=CC1=CC=CC=C1 DQFBYFPFKXHELB-UHFFFAOYSA-N 0.000 description 1
- 241000871189 Chenopodiaceae Species 0.000 description 1
- ZAMOUSCENKQFHK-UHFFFAOYSA-N Chlorine atom Chemical compound [Cl] ZAMOUSCENKQFHK-UHFFFAOYSA-N 0.000 description 1
- 241001124134 Chrysomelidae Species 0.000 description 1
- KRKNYBCHXYNGOX-UHFFFAOYSA-K Citrate Chemical compound [O-]C(=O)CC(O)(CC([O-])=O)C([O-])=O KRKNYBCHXYNGOX-UHFFFAOYSA-K 0.000 description 1
- 241000317178 Claroideoglomus etunicatum Species 0.000 description 1
- 239000005499 Clomazone Substances 0.000 description 1
- 239000005888 Clothianidin Substances 0.000 description 1
- 241000254173 Coleoptera Species 0.000 description 1
- RYGMFSIKBFXOCR-UHFFFAOYSA-N Copper Chemical compound [Cu] RYGMFSIKBFXOCR-UHFFFAOYSA-N 0.000 description 1
- 241000195493 Cryptophyta Species 0.000 description 1
- 244000241257 Cucumis melo Species 0.000 description 1
- 235000009847 Cucumis melo var cantalupensis Nutrition 0.000 description 1
- 235000009849 Cucumis sativus Nutrition 0.000 description 1
- 240000008067 Cucumis sativus Species 0.000 description 1
- ZZZCUOFIHGPKAK-UHFFFAOYSA-N D-erythro-ascorbic acid Natural products OCC1OC(=O)C(O)=C1O ZZZCUOFIHGPKAK-UHFFFAOYSA-N 0.000 description 1
- RGHNJXZEOKUKBD-SQOUGZDYSA-M D-gluconate Chemical compound OC[C@@H](O)[C@@H](O)[C@H](O)[C@@H](O)C([O-])=O RGHNJXZEOKUKBD-SQOUGZDYSA-M 0.000 description 1
- FEWJPZIEWOKRBE-JCYAYHJZSA-N Dextrotartaric acid Chemical compound OC(=O)[C@H](O)[C@@H](O)C(O)=O FEWJPZIEWOKRBE-JCYAYHJZSA-N 0.000 description 1
- 239000005696 Diammonium phosphate Substances 0.000 description 1
- 241001528536 Ensifer adhaerens Species 0.000 description 1
- 241000588914 Enterobacter Species 0.000 description 1
- 241000881810 Enterobacter asburiae Species 0.000 description 1
- 241000982938 Enterobacter cancerogenus Species 0.000 description 1
- 241000147019 Enterobacter sp. Species 0.000 description 1
- 241001468125 Exiguobacterium Species 0.000 description 1
- CITFYDYEWQIEPX-UHFFFAOYSA-N Flavanol Natural products O1C2=CC(OCC=C(C)C)=CC(O)=C2C(=O)C(O)C1C1=CC=C(O)C=C1 CITFYDYEWQIEPX-UHFFFAOYSA-N 0.000 description 1
- 239000005781 Fludioxonil Substances 0.000 description 1
- VZCYOOQTPOCHFL-OWOJBTEDSA-N Fumaric acid Chemical compound OC(=O)\C=C\C(O)=O VZCYOOQTPOCHFL-OWOJBTEDSA-N 0.000 description 1
- 241001311911 Funneliformis monosporum Species 0.000 description 1
- 241001123597 Funneliformis mosseae Species 0.000 description 1
- 241000223218 Fusarium Species 0.000 description 1
- 241000235500 Gigaspora Species 0.000 description 1
- 241000235502 Gigaspora margarita Species 0.000 description 1
- 241001442556 Gloma Species 0.000 description 1
- 241001583499 Glomeromycotina Species 0.000 description 1
- 241000235503 Glomus Species 0.000 description 1
- 241000984804 Glomus aggregatum Species 0.000 description 1
- 239000005561 Glufosinate Substances 0.000 description 1
- 229920000084 Gum arabic Polymers 0.000 description 1
- VEXZGXHMUGYJMC-UHFFFAOYSA-N Hydrochloric acid Chemical compound Cl VEXZGXHMUGYJMC-UHFFFAOYSA-N 0.000 description 1
- CPELXLSAUQHCOX-UHFFFAOYSA-N Hydrogen bromide Chemical compound Br CPELXLSAUQHCOX-UHFFFAOYSA-N 0.000 description 1
- 239000005566 Imazamox Substances 0.000 description 1
- 239000005906 Imidacloprid Substances 0.000 description 1
- 241000588748 Klebsiella Species 0.000 description 1
- 241000588915 Klebsiella aerogenes Species 0.000 description 1
- 241000588752 Kluyvera Species 0.000 description 1
- 241000588773 Kluyvera cryocrescens Species 0.000 description 1
- 241001149420 Laccaria bicolor Species 0.000 description 1
- 241001489106 Laccaria laccata Species 0.000 description 1
- JVTAAEKCZFNVCJ-UHFFFAOYSA-M Lactate Chemical compound CC(O)C([O-])=O JVTAAEKCZFNVCJ-UHFFFAOYSA-M 0.000 description 1
- 241000190144 Lasiodiplodia theobromae Species 0.000 description 1
- 239000005639 Lauric acid Substances 0.000 description 1
- 241001544487 Macromiidae Species 0.000 description 1
- 235000010624 Medicago sativa Nutrition 0.000 description 1
- 244000207047 Melilotus alba Species 0.000 description 1
- 235000017385 Melilotus alba Nutrition 0.000 description 1
- 241000372475 Mesorhizobium albiziae Species 0.000 description 1
- 241001235187 Mesorhizobium amorphae Species 0.000 description 1
- 241000586758 Mesorhizobium chacoense Species 0.000 description 1
- 241001135320 Mesorhizobium huakuii Species 0.000 description 1
- 241000589195 Mesorhizobium loti Species 0.000 description 1
- 241000158155 Mesorhizobium mediterraneum Species 0.000 description 1
- 241000973898 Mesorhizobium septentrionale Species 0.000 description 1
- 241001534001 Mesorhizobium tianshanense Species 0.000 description 1
- 239000005807 Metalaxyl Substances 0.000 description 1
- 241000908214 Metarhizium marquandii Species 0.000 description 1
- AFVFQIVMOAPDHO-UHFFFAOYSA-N Methanesulfonic acid Chemical compound CS(O)(=O)=O AFVFQIVMOAPDHO-UHFFFAOYSA-N 0.000 description 1
- 241001467578 Microbacterium Species 0.000 description 1
- 241000500375 Microbacterium sp. Species 0.000 description 1
- 241000157163 Microtus pinetorum Species 0.000 description 1
- ZOKXTWBITQBERF-UHFFFAOYSA-N Molybdenum Chemical compound [Mo] ZOKXTWBITQBERF-UHFFFAOYSA-N 0.000 description 1
- 241000235395 Mucor Species 0.000 description 1
- 241000293032 Mucor ramosissimus Species 0.000 description 1
- OVBPIULPVIDEAO-UHFFFAOYSA-N N-Pteroyl-L-glutaminsaeure Natural products C=1N=C2NC(N)=NC(=O)C2=NC=1CNC1=CC=C(C(=O)NC(CCC(O)=O)C(O)=O)C=C1 OVBPIULPVIDEAO-UHFFFAOYSA-N 0.000 description 1
- OVRNDRQMDRJTHS-UHFFFAOYSA-N N-acelyl-D-glucosamine Natural products CC(=O)NC1C(O)OC(CO)C(O)C1O OVRNDRQMDRJTHS-UHFFFAOYSA-N 0.000 description 1
- OVRNDRQMDRJTHS-RTRLPJTCSA-N N-acetyl-D-glucosamine Chemical class CC(=O)N[C@H]1C(O)O[C@H](CO)[C@@H](O)[C@@H]1O OVRNDRQMDRJTHS-RTRLPJTCSA-N 0.000 description 1
- 241000589125 Neorhizobium galegae Species 0.000 description 1
- 241000948290 Neorhizobium huautlense Species 0.000 description 1
- 241001557899 Oidiodendron sp. Species 0.000 description 1
- 239000005642 Oleic acid Substances 0.000 description 1
- 241000233855 Orchidaceae Species 0.000 description 1
- 235000008098 Oxalis acetosella Nutrition 0.000 description 1
- 240000007930 Oxalis acetosella Species 0.000 description 1
- 241000179039 Paenibacillus Species 0.000 description 1
- 241001295759 Paraglomus brasilianum Species 0.000 description 1
- 241000898856 Pavetta radicans Species 0.000 description 1
- 241001507683 Penicillium aurantiogriseum Species 0.000 description 1
- 241000228150 Penicillium chrysogenum Species 0.000 description 1
- 241000985553 Penicillium citreonigrum Species 0.000 description 1
- 241000228153 Penicillium citrinum Species 0.000 description 1
- 241001507673 Penicillium digitatum Species 0.000 description 1
- 241001219824 Penicillium fuscum Species 0.000 description 1
- 241000985530 Penicillium glabrum Species 0.000 description 1
- 241000228127 Penicillium griseofulvum Species 0.000 description 1
- 241000985532 Penicillium implicatum Species 0.000 description 1
- 241000519895 Penicillium janczewskii Species 0.000 description 1
- 241001549762 Penicillium montanense Species 0.000 description 1
- 241000985513 Penicillium oxalicum Species 0.000 description 1
- 241000985516 Penicillium raistrickii Species 0.000 description 1
- 241000864268 Penicillium solitum Species 0.000 description 1
- 241001219820 Penicillium velutinum Species 0.000 description 1
- 241000864371 Penicillium viridicatum Species 0.000 description 1
- 241000440444 Phakopsora Species 0.000 description 1
- 241001480007 Phomopsis Species 0.000 description 1
- NBIIXXVUZAFLBC-UHFFFAOYSA-L Phosphate ion(2-) Chemical compound OP([O-])([O-])=O NBIIXXVUZAFLBC-UHFFFAOYSA-L 0.000 description 1
- 241000233614 Phytophthora Species 0.000 description 1
- 241001503962 Pisolithus tinctorius Species 0.000 description 1
- 241000733634 Prionosciadium lilacinum Species 0.000 description 1
- 241000218905 Pseudomonas luteola Species 0.000 description 1
- 241000233639 Pythium Species 0.000 description 1
- 241001633102 Rhizobiaceae Species 0.000 description 1
- 241000865252 Rhizobium cellulosilyticum Species 0.000 description 1
- 241000972381 Rhizobium daejeonense Species 0.000 description 1
- 241001148115 Rhizobium etli Species 0.000 description 1
- 241000556551 Rhizobium gallicum Species 0.000 description 1
- 241000556569 Rhizobium giardinii Species 0.000 description 1
- 241000508774 Rhizobium hainanense Species 0.000 description 1
- 241000043570 Rhizobium indigoferae Species 0.000 description 1
- 241000043559 Rhizobium loessense Species 0.000 description 1
- 241001149656 Rhizobium lusitanum Species 0.000 description 1
- 241000959895 Rhizobium miluonense Species 0.000 description 1
- 241000580866 Rhizobium mongolense Species 0.000 description 1
- 241000589187 Rhizobium sp. Species 0.000 description 1
- 241000489997 Rhizobium sullae Species 0.000 description 1
- 241000589124 Rhizobium tropici Species 0.000 description 1
- 241001312560 Rhizobium undicola Species 0.000 description 1
- 241000861993 Rhizobium yanglingense Species 0.000 description 1
- 241000358085 Rhizophagus clarus Species 0.000 description 1
- 241000214030 Rhizophagus fasciculatus Species 0.000 description 1
- 241001674300 Rhizopogon luteolus Species 0.000 description 1
- 241001628499 Scleroderma cepa Species 0.000 description 1
- 241000959596 Scleroderma citrinum Species 0.000 description 1
- 244000082988 Secale cereale Species 0.000 description 1
- 235000007238 Secale cereale Nutrition 0.000 description 1
- BUGBHKTXTAQXES-UHFFFAOYSA-N Selenium Chemical compound [Se] BUGBHKTXTAQXES-UHFFFAOYSA-N 0.000 description 1
- 241000357880 Septoglomus deserticola Species 0.000 description 1
- 240000007012 Setaria adhaerens Species 0.000 description 1
- CSPPKDPQLUUTND-NBVRZTHBSA-N Sethoxydim Chemical compound CCO\N=C(/CCC)C1=C(O)CC(CC(C)SCC)CC1=O CSPPKDPQLUUTND-NBVRZTHBSA-N 0.000 description 1
- 241001302442 Sinorhizobium abri Species 0.000 description 1
- 241000589166 Sinorhizobium fredii Species 0.000 description 1
- 241001302482 Sinorhizobium indiaense Species 0.000 description 1
- 241001291531 Sinorhizobium kostiense Species 0.000 description 1
- 241000043566 Sinorhizobium kummerowiae Species 0.000 description 1
- 241000143665 Sinorhizobium medicae Species 0.000 description 1
- 241001509304 Sinorhizobium saheli Species 0.000 description 1
- 241000144249 Sinorhizobium sp. Species 0.000 description 1
- 241000143663 Sinorhizobium terangae Species 0.000 description 1
- 241001135313 Sinorhizobium xinjiangense Species 0.000 description 1
- 240000002307 Solanum ptychanthum Species 0.000 description 1
- 240000003829 Sorghum propinquum Species 0.000 description 1
- 241000778219 Streptomyces mexicanus Species 0.000 description 1
- 229930006000 Sucrose Natural products 0.000 description 1
- CZMRCDWAGMRECN-UGDNZRGBSA-N Sucrose Chemical compound O[C@H]1[C@H](O)[C@@H](CO)O[C@@]1(CO)O[C@@H]1[C@H](O)[C@@H](O)[C@H](O)[C@@H](CO)O1 CZMRCDWAGMRECN-UGDNZRGBSA-N 0.000 description 1
- 241001136556 Talaromyces minioluteus Species 0.000 description 1
- 241000606507 Talaromyces pinophilus Species 0.000 description 1
- 241000319171 Talaromyces radicus Species 0.000 description 1
- 241001540751 Talaromyces ruber Species 0.000 description 1
- 241000519854 Talaromyces rugulosus Species 0.000 description 1
- 241001136559 Talaromyces variabilis Species 0.000 description 1
- 239000005941 Thiamethoxam Substances 0.000 description 1
- 241000592342 Tracheophyta Species 0.000 description 1
- 241000219793 Trifolium Species 0.000 description 1
- 235000010498 Trifolium agrarium Nutrition 0.000 description 1
- UWHZIFQPPBDJPM-FPLPWBNLSA-M Vaccenic acid Natural products CCCCCC\C=C/CCCCCCCCCC([O-])=O UWHZIFQPPBDJPM-FPLPWBNLSA-M 0.000 description 1
- 235000021322 Vaccenic acid Nutrition 0.000 description 1
- 241000607269 Vibrio proteolyticus Species 0.000 description 1
- 229930003268 Vitamin C Natural products 0.000 description 1
- 241000589506 Xanthobacter Species 0.000 description 1
- HCHKCACWOHOZIP-UHFFFAOYSA-N Zinc Chemical compound [Zn] HCHKCACWOHOZIP-UHFFFAOYSA-N 0.000 description 1
- 241000758405 Zoopagomycotina Species 0.000 description 1
- WNHQHAHAQJGIHG-RVAZZQNRSA-N [(2r,3s,4r,5r)-5-acetamido-3-[(2s,3r,4r,5s,6r)-3-acetamido-5-[(2s,3r,4r,5s,6r)-3-acetamido-5-[(2s,3r,4r,5s,6r)-3-[[(2e,9z)-hexadeca-2,9-dienoyl]amino]-4,5-dihydroxy-6-(hydroxymethyl)oxan-2-yl]oxy-4-hydroxy-6-(hydroxymethyl)oxan-2-yl]oxy-4-hydroxy-6-(hydro Chemical compound CCCCCC\C=C/CCCCC\C=C\C(=O)N[C@@H]1[C@@H](O)[C@H](O)[C@@H](CO)O[C@H]1O[C@H]1[C@H](O)[C@@H](NC(C)=O)[C@H](O[C@H]2[C@@H]([C@@H](NC(C)=O)[C@H](O[C@H]([C@H](O)COS(O)(=O)=O)[C@H](O)[C@@H](NC(C)=O)C=O)O[C@@H]2CO)O)O[C@@H]1CO WNHQHAHAQJGIHG-RVAZZQNRSA-N 0.000 description 1
- 241000222295 [Candida] zeylanoides Species 0.000 description 1
- 238000010521 absorption reaction Methods 0.000 description 1
- 239000000205 acacia gum Substances 0.000 description 1
- 235000010489 acacia gum Nutrition 0.000 description 1
- 150000007513 acids Chemical class 0.000 description 1
- NUFNQYOELLVIPL-UHFFFAOYSA-N acifluorfen Chemical compound C1=C([N+]([O-])=O)C(C(=O)O)=CC(OC=2C(=CC(=CC=2)C(F)(F)F)Cl)=C1 NUFNQYOELLVIPL-UHFFFAOYSA-N 0.000 description 1
- 239000012190 activator Substances 0.000 description 1
- 125000002252 acyl group Chemical group 0.000 description 1
- 230000002411 adverse Effects 0.000 description 1
- 238000007605 air drying Methods 0.000 description 1
- 125000001931 aliphatic group Chemical group 0.000 description 1
- 125000003545 alkoxy group Chemical group 0.000 description 1
- 229910021529 ammonia Inorganic materials 0.000 description 1
- 235000019826 ammonium polyphosphate Nutrition 0.000 description 1
- 229920001276 ammonium polyphosphate Polymers 0.000 description 1
- 229930014669 anthocyanidin Natural products 0.000 description 1
- 235000008758 anthocyanidins Nutrition 0.000 description 1
- XADJWCRESPGUTB-UHFFFAOYSA-N apigenin Natural products C1=CC(O)=CC=C1C1=CC(=O)C2=CC(O)=C(O)C=C2O1 XADJWCRESPGUTB-UHFFFAOYSA-N 0.000 description 1
- 235000008714 apigenin Nutrition 0.000 description 1
- KZNIFHPLKGYRTM-UHFFFAOYSA-N apigenin Chemical compound C1=CC(O)=CC=C1C1=CC(=O)C2=C(O)C=C(O)C=C2O1 KZNIFHPLKGYRTM-UHFFFAOYSA-N 0.000 description 1
- 229940117893 apigenin Drugs 0.000 description 1
- 238000013459 approach Methods 0.000 description 1
- 239000007864 aqueous solution Substances 0.000 description 1
- WFDXOXNFNRHQEC-GHRIWEEISA-N azoxystrobin Chemical compound CO\C=C(\C(=O)OC)C1=CC=CC=C1OC1=CC(OC=2C(=CC=CC=2)C#N)=NC=N1 WFDXOXNFNRHQEC-GHRIWEEISA-N 0.000 description 1
- 230000008901 benefit Effects 0.000 description 1
- ZOMSMJKLGFBRBS-UHFFFAOYSA-N bentazone Chemical compound C1=CC=C2NS(=O)(=O)N(C(C)C)C(=O)C2=C1 ZOMSMJKLGFBRBS-UHFFFAOYSA-N 0.000 description 1
- 239000000440 bentonite Substances 0.000 description 1
- 229910000278 bentonite Inorganic materials 0.000 description 1
- SVPXDRXYRYOSEX-UHFFFAOYSA-N bentoquatam Chemical compound O.O=[Si]=O.O=[Al]O[Al]=O SVPXDRXYRYOSEX-UHFFFAOYSA-N 0.000 description 1
- SRSXLGNVWSONIS-UHFFFAOYSA-M benzenesulfonate Chemical compound [O-]S(=O)(=O)C1=CC=CC=C1 SRSXLGNVWSONIS-UHFFFAOYSA-M 0.000 description 1
- 229940077388 benzenesulfonate Drugs 0.000 description 1
- CNBGNNVCVSKAQZ-UHFFFAOYSA-N benzidamine Natural products C12=CC=CC=C2C(OCCCN(C)C)=NN1CC1=CC=CC=C1 CNBGNNVCVSKAQZ-UHFFFAOYSA-N 0.000 description 1
- ZYGHJZDHTFUPRJ-UHFFFAOYSA-N benzo-alpha-pyrone Natural products C1=CC=C2OC(=O)C=CC2=C1 ZYGHJZDHTFUPRJ-UHFFFAOYSA-N 0.000 description 1
- WPYMKLBDIGXBTP-UHFFFAOYSA-N benzoic acid Chemical compound OC(=O)C1=CC=CC=C1 WPYMKLBDIGXBTP-UHFFFAOYSA-N 0.000 description 1
- 125000001797 benzyl group Chemical group [H]C1=C([H])C([H])=C(C([H])=C1[H])C([H])([H])* 0.000 description 1
- 230000008238 biochemical pathway Effects 0.000 description 1
- 229960002685 biotin Drugs 0.000 description 1
- 235000020958 biotin Nutrition 0.000 description 1
- 239000011616 biotin Substances 0.000 description 1
- 238000009835 boiling Methods 0.000 description 1
- 239000002374 bone meal Substances 0.000 description 1
- 229940036811 bone meal Drugs 0.000 description 1
- KGBXLFKZBHKPEV-UHFFFAOYSA-N boric acid Chemical compound OB(O)O KGBXLFKZBHKPEV-UHFFFAOYSA-N 0.000 description 1
- 239000004327 boric acid Substances 0.000 description 1
- 229910052796 boron Inorganic materials 0.000 description 1
- 239000006227 byproduct Substances 0.000 description 1
- FAPWYRCQGJNNSJ-UBKPKTQASA-L calcium D-pantothenic acid Chemical compound [Ca+2].OCC(C)(C)[C@@H](O)C(=O)NCCC([O-])=O.OCC(C)(C)[C@@H](O)C(=O)NCCC([O-])=O FAPWYRCQGJNNSJ-UBKPKTQASA-L 0.000 description 1
- 229960002079 calcium pantothenate Drugs 0.000 description 1
- 229940041514 candida albicans extract Drugs 0.000 description 1
- LDVVMCZRFWMZSG-UHFFFAOYSA-N captan Chemical compound C1C=CCC2C(=O)N(SC(Cl)(Cl)Cl)C(=O)C21 LDVVMCZRFWMZSG-UHFFFAOYSA-N 0.000 description 1
- 238000005119 centrifugation Methods 0.000 description 1
- 235000005513 chalcones Nutrition 0.000 description 1
- 150000001789 chalcones Chemical class 0.000 description 1
- 230000008859 change Effects 0.000 description 1
- RIUXZHMCCFLRBI-UHFFFAOYSA-N chlorimuron Chemical compound COC1=CC(Cl)=NC(NC(=O)NS(=O)(=O)C=2C(=CC=CC=2)C(O)=O)=N1 RIUXZHMCCFLRBI-UHFFFAOYSA-N 0.000 description 1
- 239000000460 chlorine Substances 0.000 description 1
- 229910052801 chlorine Inorganic materials 0.000 description 1
- 201000003478 cholangiolocellular carcinoma Diseases 0.000 description 1
- 229940001468 citrate Drugs 0.000 description 1
- KIEDNEWSYUYDSN-UHFFFAOYSA-N clomazone Chemical compound O=C1C(C)(C)CON1CC1=CC=CC=C1Cl KIEDNEWSYUYDSN-UHFFFAOYSA-N 0.000 description 1
- 229920001688 coating polymer Polymers 0.000 description 1
- 239000002361 compost Substances 0.000 description 1
- IQFVPQOLBLOTPF-HKXUKFGYSA-L congo red Chemical compound [Na+].[Na+].C1=CC=CC2=C(N)C(/N=N/C3=CC=C(C=C3)C3=CC=C(C=C3)/N=N/C3=C(C4=CC=CC=C4C(=C3)S([O-])(=O)=O)N)=CC(S([O-])(=O)=O)=C21 IQFVPQOLBLOTPF-HKXUKFGYSA-L 0.000 description 1
- 229910052802 copper Inorganic materials 0.000 description 1
- 239000010949 copper Substances 0.000 description 1
- 235000001671 coumarin Nutrition 0.000 description 1
- 150000004775 coumarins Chemical class 0.000 description 1
- 235000007240 daidzein Nutrition 0.000 description 1
- 230000006196 deacetylation Effects 0.000 description 1
- 238000003381 deacetylation reaction Methods 0.000 description 1
- 230000007123 defense Effects 0.000 description 1
- GUJOJGAPFQRJSV-UHFFFAOYSA-N dialuminum;dioxosilane;oxygen(2-);hydrate Chemical compound O.[O-2].[O-2].[O-2].[Al+3].[Al+3].O=[Si]=O.O=[Si]=O.O=[Si]=O.O=[Si]=O GUJOJGAPFQRJSV-UHFFFAOYSA-N 0.000 description 1
- MNNHAPBLZZVQHP-UHFFFAOYSA-N diammonium hydrogen phosphate Chemical compound [NH4+].[NH4+].OP([O-])([O-])=O MNNHAPBLZZVQHP-UHFFFAOYSA-N 0.000 description 1
- 229910000388 diammonium phosphate Inorganic materials 0.000 description 1
- 235000019838 diammonium phosphate Nutrition 0.000 description 1
- 201000010099 disease Diseases 0.000 description 1
- 208000037265 diseases, disorders, signs and symptoms Diseases 0.000 description 1
- 229940079593 drug Drugs 0.000 description 1
- 239000003814 drug Substances 0.000 description 1
- 238000005516 engineering process Methods 0.000 description 1
- 239000003623 enhancer Substances 0.000 description 1
- 229940092559 enterobacter aerogenes Drugs 0.000 description 1
- 125000001033 ether group Chemical group 0.000 description 1
- 210000003608 fece Anatomy 0.000 description 1
- 244000037666 field crops Species 0.000 description 1
- 150000002206 flavan-3-ols Chemical class 0.000 description 1
- 235000011987 flavanols Nutrition 0.000 description 1
- HVQAJTFOCKOKIN-UHFFFAOYSA-N flavonol Natural products O1C2=CC=CC=C2C(=O)C(O)=C1C1=CC=CC=C1 HVQAJTFOCKOKIN-UHFFFAOYSA-N 0.000 description 1
- 150000002216 flavonol derivatives Chemical class 0.000 description 1
- 235000011957 flavonols Nutrition 0.000 description 1
- NWKFECICNXDNOQ-UHFFFAOYSA-N flavylium Chemical compound C1=CC=CC=C1C1=CC=C(C=CC=C2)C2=[O+]1 NWKFECICNXDNOQ-UHFFFAOYSA-N 0.000 description 1
- MUJOIMFVNIBMKC-UHFFFAOYSA-N fludioxonil Chemical compound C=12OC(F)(F)OC2=CC=CC=1C1=CNC=C1C#N MUJOIMFVNIBMKC-UHFFFAOYSA-N 0.000 description 1
- 229960000304 folic acid Drugs 0.000 description 1
- 235000019152 folic acid Nutrition 0.000 description 1
- 239000011724 folic acid Substances 0.000 description 1
- RIKPNWPEMPODJD-UHFFFAOYSA-N formononetin Natural products C1=CC(OC)=CC=C1C1=COC2=CC=CC=C2C1=O RIKPNWPEMPODJD-UHFFFAOYSA-N 0.000 description 1
- 238000004108 freeze drying Methods 0.000 description 1
- 230000006870 function Effects 0.000 description 1
- TZBJGXHYKVUXJN-UHFFFAOYSA-N genistein Natural products C1=CC(O)=CC=C1C1=COC2=CC(O)=CC(O)=C2C1=O TZBJGXHYKVUXJN-UHFFFAOYSA-N 0.000 description 1
- 235000006539 genistein Nutrition 0.000 description 1
- 229940045109 genistein Drugs 0.000 description 1
- ZCOLJUOHXJRHDI-CMWLGVBASA-N genistein 7-O-beta-D-glucoside Chemical compound O[C@@H]1[C@@H](O)[C@H](O)[C@@H](CO)O[C@H]1OC1=CC(O)=C2C(=O)C(C=3C=CC(O)=CC=3)=COC2=C1 ZCOLJUOHXJRHDI-CMWLGVBASA-N 0.000 description 1
- 229940050410 gluconate Drugs 0.000 description 1
- 239000003292 glue Substances 0.000 description 1
- 239000001963 growth medium Substances 0.000 description 1
- 239000002515 guano Substances 0.000 description 1
- 239000010440 gypsum Substances 0.000 description 1
- 229910052602 gypsum Inorganic materials 0.000 description 1
- 229910052736 halogen Inorganic materials 0.000 description 1
- 150000002367 halogens Chemical class 0.000 description 1
- AIONOLUJZLIMTK-AWEZNQCLSA-N hesperetin Chemical compound C1=C(O)C(OC)=CC=C1[C@H]1OC2=CC(O)=CC(O)=C2C(=O)C1 AIONOLUJZLIMTK-AWEZNQCLSA-N 0.000 description 1
- 229960001587 hesperetin Drugs 0.000 description 1
- QAOWNCQODCNURD-UHFFFAOYSA-M hydrogensulfate Chemical compound OS([O-])(=O)=O QAOWNCQODCNURD-UHFFFAOYSA-M 0.000 description 1
- 230000007062 hydrolysis Effects 0.000 description 1
- 238000006460 hydrolysis reaction Methods 0.000 description 1
- 125000002887 hydroxy group Chemical group [H]O* 0.000 description 1
- 125000002768 hydroxyalkyl group Chemical group 0.000 description 1
- 229940056881 imidacloprid Drugs 0.000 description 1
- 238000000338 in vitro Methods 0.000 description 1
- 230000003993 interaction Effects 0.000 description 1
- 229910052742 iron Inorganic materials 0.000 description 1
- MWDZOUNAPSSOEL-UHFFFAOYSA-N kaempferol Natural products OC1=C(C(=O)c2cc(O)cc(O)c2O1)c3ccc(O)cc3 MWDZOUNAPSSOEL-UHFFFAOYSA-N 0.000 description 1
- 229910052622 kaolinite Inorganic materials 0.000 description 1
- 229940001447 lactate Drugs 0.000 description 1
- OYHQOLUKZRVURQ-AVQMFFATSA-N linoelaidic acid Chemical compound CCCCC\C=C\C\C=C\CCCCCCCC(O)=O OYHQOLUKZRVURQ-AVQMFFATSA-N 0.000 description 1
- 239000012669 liquid formulation Substances 0.000 description 1
- 239000006193 liquid solution Substances 0.000 description 1
- 239000010871 livestock manure Substances 0.000 description 1
- 230000007774 longterm Effects 0.000 description 1
- IQPNAANSBPBGFQ-UHFFFAOYSA-N luteolin Chemical compound C=1C(O)=CC(O)=C(C(C=2)=O)C=1OC=2C1=CC=C(O)C(O)=C1 IQPNAANSBPBGFQ-UHFFFAOYSA-N 0.000 description 1
- LRDGATPGVJTWLJ-UHFFFAOYSA-N luteolin Natural products OC1=CC(O)=CC(C=2OC3=CC(O)=CC(O)=C3C(=O)C=2)=C1 LRDGATPGVJTWLJ-UHFFFAOYSA-N 0.000 description 1
- 235000009498 luteolin Nutrition 0.000 description 1
- VZCYOOQTPOCHFL-UPHRSURJSA-N maleic acid Chemical compound OC(=O)\C=C/C(O)=O VZCYOOQTPOCHFL-UPHRSURJSA-N 0.000 description 1
- WPBNNNQJVZRUHP-UHFFFAOYSA-L manganese(2+);methyl n-[[2-(methoxycarbonylcarbamothioylamino)phenyl]carbamothioyl]carbamate;n-[2-(sulfidocarbothioylamino)ethyl]carbamodithioate Chemical compound [Mn+2].[S-]C(=S)NCCNC([S-])=S.COC(=O)NC(=S)NC1=CC=CC=C1NC(=S)NC(=O)OC WPBNNNQJVZRUHP-UHFFFAOYSA-L 0.000 description 1
- 235000012054 meals Nutrition 0.000 description 1
- 238000005259 measurement Methods 0.000 description 1
- 235000013372 meat Nutrition 0.000 description 1
- 229910052751 metal Inorganic materials 0.000 description 1
- 239000002184 metal Substances 0.000 description 1
- ZQEIXNIJLIKNTD-GFCCVEGCSA-N metalaxyl-M Chemical compound COCC(=O)N([C@H](C)C(=O)OC)C1=C(C)C=CC=C1C ZQEIXNIJLIKNTD-GFCCVEGCSA-N 0.000 description 1
- ZQEIXNIJLIKNTD-UHFFFAOYSA-N methyl N-(2,6-dimethylphenyl)-N-(methoxyacetyl)alaninate Chemical compound COCC(=O)N(C(C)C(=O)OC)C1=C(C)C=CC=C1C ZQEIXNIJLIKNTD-UHFFFAOYSA-N 0.000 description 1
- 229920000609 methyl cellulose Polymers 0.000 description 1
- 150000004702 methyl esters Chemical class 0.000 description 1
- 239000001923 methylcellulose Substances 0.000 description 1
- 235000010981 methylcellulose Nutrition 0.000 description 1
- 230000000813 microbial effect Effects 0.000 description 1
- 230000004048 modification Effects 0.000 description 1
- 238000012986 modification Methods 0.000 description 1
- 229910052750 molybdenum Inorganic materials 0.000 description 1
- 239000011733 molybdenum Substances 0.000 description 1
- 229910052901 montmorillonite Inorganic materials 0.000 description 1
- YWWVWXASSLXJHU-WAYWQWQTSA-N myristoleic acid Chemical compound CCCC\C=C/CCCCCCCC(O)=O YWWVWXASSLXJHU-WAYWQWQTSA-N 0.000 description 1
- 229950006780 n-acetylglucosamine Drugs 0.000 description 1
- WGEYAGZBLYNDFV-UHFFFAOYSA-N naringenin Natural products C1(=O)C2=C(O)C=C(O)C=C2OC(C1)C1=CC=C(CC1)O WGEYAGZBLYNDFV-UHFFFAOYSA-N 0.000 description 1
- 235000007625 naringenin Nutrition 0.000 description 1
- 229940117954 naringenin Drugs 0.000 description 1
- 229910052759 nickel Inorganic materials 0.000 description 1
- 230000024121 nodulation Effects 0.000 description 1
- 150000002885 octadecanoids Chemical class 0.000 description 1
- 239000003895 organic fertilizer Substances 0.000 description 1
- 125000004430 oxygen atom Chemical group O* 0.000 description 1
- 229940014662 pantothenate Drugs 0.000 description 1
- 235000019161 pantothenic acid Nutrition 0.000 description 1
- 239000011713 pantothenic acid Substances 0.000 description 1
- 244000052769 pathogen Species 0.000 description 1
- 235000020232 peanut Nutrition 0.000 description 1
- 230000008447 perception Effects 0.000 description 1
- 239000012071 phase Substances 0.000 description 1
- 150000002989 phenols Chemical class 0.000 description 1
- 125000001997 phenyl group Chemical group [H]C1=C([H])C([H])=C(*)C([H])=C1[H] 0.000 description 1
- 229930195732 phytohormone Natural products 0.000 description 1
- 230000037039 plant physiology Effects 0.000 description 1
- 238000007747 plating Methods 0.000 description 1
- 229920000642 polymer Polymers 0.000 description 1
- 229920001282 polysaccharide Polymers 0.000 description 1
- 239000001267 polyvinylpyrrolidone Substances 0.000 description 1
- 235000013855 polyvinylpyrrolidone Nutrition 0.000 description 1
- 229920000036 polyvinylpyrrolidone Polymers 0.000 description 1
- 159000000001 potassium salts Chemical class 0.000 description 1
- 239000002243 precursor Substances 0.000 description 1
- 230000008569 process Effects 0.000 description 1
- 230000004044 response Effects 0.000 description 1
- 239000011435 rock Substances 0.000 description 1
- NNNVXFKZMRGJPM-KHPPLWFESA-N sapienic acid Chemical compound CCCCCCCCC\C=C/CCCCC(O)=O NNNVXFKZMRGJPM-KHPPLWFESA-N 0.000 description 1
- 229920006395 saturated elastomer Polymers 0.000 description 1
- 229910052711 selenium Inorganic materials 0.000 description 1
- 239000011669 selenium Substances 0.000 description 1
- 239000010801 sewage sludge Substances 0.000 description 1
- 239000000741 silica gel Substances 0.000 description 1
- 229910002027 silica gel Inorganic materials 0.000 description 1
- 244000000000 soil microbiome Species 0.000 description 1
- 230000001954 sterilising effect Effects 0.000 description 1
- 238000004659 sterilization and disinfection Methods 0.000 description 1
- 239000000021 stimulant Substances 0.000 description 1
- 239000010902 straw Substances 0.000 description 1
- 238000006467 substitution reaction Methods 0.000 description 1
- KDYFGRWQOYBRFD-UHFFFAOYSA-L succinate(2-) Chemical compound [O-]C(=O)CCC([O-])=O KDYFGRWQOYBRFD-UHFFFAOYSA-L 0.000 description 1
- 239000005720 sucrose Substances 0.000 description 1
- 239000013589 supplement Substances 0.000 description 1
- 239000000454 talc Substances 0.000 description 1
- 229910052623 talc Inorganic materials 0.000 description 1
- 229940095064 tartrate Drugs 0.000 description 1
- TUNFSRHWOTWDNC-HKGQFRNVSA-N tetradecanoic acid Chemical compound CCCCCCCCCCCCC[14C](O)=O TUNFSRHWOTWDNC-HKGQFRNVSA-N 0.000 description 1
- NWWZPOKUUAIXIW-FLIBITNWSA-N thiamethoxam Chemical compound [O-][N+](=O)\N=C/1N(C)COCN\1CC1=CN=C(Cl)S1 NWWZPOKUUAIXIW-FLIBITNWSA-N 0.000 description 1
- JOXIMZWYDAKGHI-UHFFFAOYSA-N toluene-4-sulfonic acid Chemical compound CC1=CC=C(S(O)(=O)=O)C=C1 JOXIMZWYDAKGHI-UHFFFAOYSA-N 0.000 description 1
- 231100000331 toxic Toxicity 0.000 description 1
- 230000002588 toxic effect Effects 0.000 description 1
- 238000012549 training Methods 0.000 description 1
- UWHZIFQPPBDJPM-BQYQJAHWSA-N trans-vaccenic acid Chemical compound CCCCCC\C=C\CCCCCCCCCC(O)=O UWHZIFQPPBDJPM-BQYQJAHWSA-N 0.000 description 1
- 239000010455 vermiculite Substances 0.000 description 1
- 235000019354 vermiculite Nutrition 0.000 description 1
- 229910052902 vermiculite Inorganic materials 0.000 description 1
- 230000000007 visual effect Effects 0.000 description 1
- 235000019154 vitamin C Nutrition 0.000 description 1
- 239000011718 vitamin C Substances 0.000 description 1
- 230000002087 whitening effect Effects 0.000 description 1
- 239000012138 yeast extract Substances 0.000 description 1
- 239000011701 zinc Substances 0.000 description 1
- 229910052725 zinc Inorganic materials 0.000 description 1
Images
Classifications
-
- A—HUMAN NECESSITIES
- A01—AGRICULTURE; FORESTRY; ANIMAL HUSBANDRY; HUNTING; TRAPPING; FISHING
- A01N—PRESERVATION OF BODIES OF HUMANS OR ANIMALS OR PLANTS OR PARTS THEREOF; BIOCIDES, e.g. AS DISINFECTANTS, AS PESTICIDES OR AS HERBICIDES; PEST REPELLANTS OR ATTRACTANTS; PLANT GROWTH REGULATORS
- A01N31/00—Biocides, pest repellants or attractants, or plant growth regulators containing organic oxygen or sulfur compounds
- A01N31/06—Oxygen or sulfur directly attached to a cycloaliphatic ring system
-
- A—HUMAN NECESSITIES
- A01—AGRICULTURE; FORESTRY; ANIMAL HUSBANDRY; HUNTING; TRAPPING; FISHING
- A01C—PLANTING; SOWING; FERTILISING
- A01C1/00—Apparatus, or methods of use thereof, for testing or treating seed, roots, or the like, prior to sowing or planting
-
- A—HUMAN NECESSITIES
- A01—AGRICULTURE; FORESTRY; ANIMAL HUSBANDRY; HUNTING; TRAPPING; FISHING
- A01N—PRESERVATION OF BODIES OF HUMANS OR ANIMALS OR PLANTS OR PARTS THEREOF; BIOCIDES, e.g. AS DISINFECTANTS, AS PESTICIDES OR AS HERBICIDES; PEST REPELLANTS OR ATTRACTANTS; PLANT GROWTH REGULATORS
- A01N35/00—Biocides, pest repellants or attractants, or plant growth regulators containing organic compounds containing a carbon atom having two bonds to hetero atoms with at the most one bond to halogen, e.g. aldehyde radical
- A01N35/08—Biocides, pest repellants or attractants, or plant growth regulators containing organic compounds containing a carbon atom having two bonds to hetero atoms with at the most one bond to halogen, e.g. aldehyde radical at least one of the bonds to hetero atoms is to nitrogen
- A01N35/10—Biocides, pest repellants or attractants, or plant growth regulators containing organic compounds containing a carbon atom having two bonds to hetero atoms with at the most one bond to halogen, e.g. aldehyde radical at least one of the bonds to hetero atoms is to nitrogen containing a carbon-to-nitrogen double bond
-
- A—HUMAN NECESSITIES
- A01—AGRICULTURE; FORESTRY; ANIMAL HUSBANDRY; HUNTING; TRAPPING; FISHING
- A01N—PRESERVATION OF BODIES OF HUMANS OR ANIMALS OR PLANTS OR PARTS THEREOF; BIOCIDES, e.g. AS DISINFECTANTS, AS PESTICIDES OR AS HERBICIDES; PEST REPELLANTS OR ATTRACTANTS; PLANT GROWTH REGULATORS
- A01N37/00—Biocides, pest repellants or attractants, or plant growth regulators containing organic compounds containing a carbon atom having three bonds to hetero atoms with at the most two bonds to halogen, e.g. carboxylic acids
- A01N37/36—Biocides, pest repellants or attractants, or plant growth regulators containing organic compounds containing a carbon atom having three bonds to hetero atoms with at the most two bonds to halogen, e.g. carboxylic acids containing at least one carboxylic group or a thio analogue, or a derivative thereof, and a singly bound oxygen or sulfur atom attached to the same carbon skeleton, this oxygen or sulfur atom not being a member of a carboxylic group or of a thio analogue, or of a derivative thereof, e.g. hydroxy-carboxylic acids
- A01N37/38—Biocides, pest repellants or attractants, or plant growth regulators containing organic compounds containing a carbon atom having three bonds to hetero atoms with at the most two bonds to halogen, e.g. carboxylic acids containing at least one carboxylic group or a thio analogue, or a derivative thereof, and a singly bound oxygen or sulfur atom attached to the same carbon skeleton, this oxygen or sulfur atom not being a member of a carboxylic group or of a thio analogue, or of a derivative thereof, e.g. hydroxy-carboxylic acids having at least one oxygen or sulfur atom attached to an aromatic ring system
- A01N37/40—Biocides, pest repellants or attractants, or plant growth regulators containing organic compounds containing a carbon atom having three bonds to hetero atoms with at the most two bonds to halogen, e.g. carboxylic acids containing at least one carboxylic group or a thio analogue, or a derivative thereof, and a singly bound oxygen or sulfur atom attached to the same carbon skeleton, this oxygen or sulfur atom not being a member of a carboxylic group or of a thio analogue, or of a derivative thereof, e.g. hydroxy-carboxylic acids having at least one oxygen or sulfur atom attached to an aromatic ring system having at least one carboxylic group or a thio analogue, or a derivative thereof, and one oxygen or sulfur atom attached to the same aromatic ring system
-
- A—HUMAN NECESSITIES
- A01—AGRICULTURE; FORESTRY; ANIMAL HUSBANDRY; HUNTING; TRAPPING; FISHING
- A01N—PRESERVATION OF BODIES OF HUMANS OR ANIMALS OR PLANTS OR PARTS THEREOF; BIOCIDES, e.g. AS DISINFECTANTS, AS PESTICIDES OR AS HERBICIDES; PEST REPELLANTS OR ATTRACTANTS; PLANT GROWTH REGULATORS
- A01N43/00—Biocides, pest repellants or attractants, or plant growth regulators containing heterocyclic compounds
- A01N43/34—Biocides, pest repellants or attractants, or plant growth regulators containing heterocyclic compounds having rings with one nitrogen atom as the only ring hetero atom
- A01N43/36—Biocides, pest repellants or attractants, or plant growth regulators containing heterocyclic compounds having rings with one nitrogen atom as the only ring hetero atom five-membered rings
- A01N43/38—Biocides, pest repellants or attractants, or plant growth regulators containing heterocyclic compounds having rings with one nitrogen atom as the only ring hetero atom five-membered rings condensed with carbocyclic rings
-
- A—HUMAN NECESSITIES
- A01—AGRICULTURE; FORESTRY; ANIMAL HUSBANDRY; HUNTING; TRAPPING; FISHING
- A01N—PRESERVATION OF BODIES OF HUMANS OR ANIMALS OR PLANTS OR PARTS THEREOF; BIOCIDES, e.g. AS DISINFECTANTS, AS PESTICIDES OR AS HERBICIDES; PEST REPELLANTS OR ATTRACTANTS; PLANT GROWTH REGULATORS
- A01N43/00—Biocides, pest repellants or attractants, or plant growth regulators containing heterocyclic compounds
- A01N43/34—Biocides, pest repellants or attractants, or plant growth regulators containing heterocyclic compounds having rings with one nitrogen atom as the only ring hetero atom
- A01N43/40—Biocides, pest repellants or attractants, or plant growth regulators containing heterocyclic compounds having rings with one nitrogen atom as the only ring hetero atom six-membered rings
-
- A—HUMAN NECESSITIES
- A01—AGRICULTURE; FORESTRY; ANIMAL HUSBANDRY; HUNTING; TRAPPING; FISHING
- A01N—PRESERVATION OF BODIES OF HUMANS OR ANIMALS OR PLANTS OR PARTS THEREOF; BIOCIDES, e.g. AS DISINFECTANTS, AS PESTICIDES OR AS HERBICIDES; PEST REPELLANTS OR ATTRACTANTS; PLANT GROWTH REGULATORS
- A01N43/00—Biocides, pest repellants or attractants, or plant growth regulators containing heterocyclic compounds
- A01N43/48—Biocides, pest repellants or attractants, or plant growth regulators containing heterocyclic compounds having rings with two nitrogen atoms as the only ring hetero atoms
- A01N43/50—1,3-Diazoles; Hydrogenated 1,3-diazoles
-
- A—HUMAN NECESSITIES
- A01—AGRICULTURE; FORESTRY; ANIMAL HUSBANDRY; HUNTING; TRAPPING; FISHING
- A01N—PRESERVATION OF BODIES OF HUMANS OR ANIMALS OR PLANTS OR PARTS THEREOF; BIOCIDES, e.g. AS DISINFECTANTS, AS PESTICIDES OR AS HERBICIDES; PEST REPELLANTS OR ATTRACTANTS; PLANT GROWTH REGULATORS
- A01N43/00—Biocides, pest repellants or attractants, or plant growth regulators containing heterocyclic compounds
- A01N43/48—Biocides, pest repellants or attractants, or plant growth regulators containing heterocyclic compounds having rings with two nitrogen atoms as the only ring hetero atoms
- A01N43/54—1,3-Diazines; Hydrogenated 1,3-diazines
-
- A—HUMAN NECESSITIES
- A01—AGRICULTURE; FORESTRY; ANIMAL HUSBANDRY; HUNTING; TRAPPING; FISHING
- A01N—PRESERVATION OF BODIES OF HUMANS OR ANIMALS OR PLANTS OR PARTS THEREOF; BIOCIDES, e.g. AS DISINFECTANTS, AS PESTICIDES OR AS HERBICIDES; PEST REPELLANTS OR ATTRACTANTS; PLANT GROWTH REGULATORS
- A01N43/00—Biocides, pest repellants or attractants, or plant growth regulators containing heterocyclic compounds
- A01N43/72—Biocides, pest repellants or attractants, or plant growth regulators containing heterocyclic compounds having rings with nitrogen atoms and oxygen or sulfur atoms as ring hetero atoms
- A01N43/80—Biocides, pest repellants or attractants, or plant growth regulators containing heterocyclic compounds having rings with nitrogen atoms and oxygen or sulfur atoms as ring hetero atoms five-membered rings with one nitrogen atom and either one oxygen atom or one sulfur atom in positions 1,2
-
- A—HUMAN NECESSITIES
- A01—AGRICULTURE; FORESTRY; ANIMAL HUSBANDRY; HUNTING; TRAPPING; FISHING
- A01N—PRESERVATION OF BODIES OF HUMANS OR ANIMALS OR PLANTS OR PARTS THEREOF; BIOCIDES, e.g. AS DISINFECTANTS, AS PESTICIDES OR AS HERBICIDES; PEST REPELLANTS OR ATTRACTANTS; PLANT GROWTH REGULATORS
- A01N43/00—Biocides, pest repellants or attractants, or plant growth regulators containing heterocyclic compounds
- A01N43/72—Biocides, pest repellants or attractants, or plant growth regulators containing heterocyclic compounds having rings with nitrogen atoms and oxygen or sulfur atoms as ring hetero atoms
- A01N43/88—Biocides, pest repellants or attractants, or plant growth regulators containing heterocyclic compounds having rings with nitrogen atoms and oxygen or sulfur atoms as ring hetero atoms six-membered rings with three ring hetero atoms
-
- A—HUMAN NECESSITIES
- A01—AGRICULTURE; FORESTRY; ANIMAL HUSBANDRY; HUNTING; TRAPPING; FISHING
- A01N—PRESERVATION OF BODIES OF HUMANS OR ANIMALS OR PLANTS OR PARTS THEREOF; BIOCIDES, e.g. AS DISINFECTANTS, AS PESTICIDES OR AS HERBICIDES; PEST REPELLANTS OR ATTRACTANTS; PLANT GROWTH REGULATORS
- A01N57/00—Biocides, pest repellants or attractants, or plant growth regulators containing organic phosphorus compounds
- A01N57/18—Biocides, pest repellants or attractants, or plant growth regulators containing organic phosphorus compounds having phosphorus-to-carbon bonds
- A01N57/20—Biocides, pest repellants or attractants, or plant growth regulators containing organic phosphorus compounds having phosphorus-to-carbon bonds containing acyclic or cycloaliphatic radicals
-
- A—HUMAN NECESSITIES
- A01—AGRICULTURE; FORESTRY; ANIMAL HUSBANDRY; HUNTING; TRAPPING; FISHING
- A01N—PRESERVATION OF BODIES OF HUMANS OR ANIMALS OR PLANTS OR PARTS THEREOF; BIOCIDES, e.g. AS DISINFECTANTS, AS PESTICIDES OR AS HERBICIDES; PEST REPELLANTS OR ATTRACTANTS; PLANT GROWTH REGULATORS
- A01N63/00—Biocides, pest repellants or attractants, or plant growth regulators containing microorganisms, viruses, microbial fungi, animals or substances produced by, or obtained from, microorganisms, viruses, microbial fungi or animals, e.g. enzymes or fermentates
- A01N63/20—Bacteria; Substances produced thereby or obtained therefrom
-
- C—CHEMISTRY; METALLURGY
- C05—FERTILISERS; MANUFACTURE THEREOF
- C05F—ORGANIC FERTILISERS NOT COVERED BY SUBCLASSES C05B, C05C, e.g. FERTILISERS FROM WASTE OR REFUSE
- C05F11/00—Other organic fertilisers
-
- C—CHEMISTRY; METALLURGY
- C05—FERTILISERS; MANUFACTURE THEREOF
- C05F—ORGANIC FERTILISERS NOT COVERED BY SUBCLASSES C05B, C05C, e.g. FERTILISERS FROM WASTE OR REFUSE
- C05F11/00—Other organic fertilisers
- C05F11/08—Organic fertilisers containing added bacterial cultures, mycelia or the like
-
- C—CHEMISTRY; METALLURGY
- C05—FERTILISERS; MANUFACTURE THEREOF
- C05G—MIXTURES OF FERTILISERS COVERED INDIVIDUALLY BY DIFFERENT SUBCLASSES OF CLASS C05; MIXTURES OF ONE OR MORE FERTILISERS WITH MATERIALS NOT HAVING A SPECIFIC FERTILISING ACTIVITY, e.g. PESTICIDES, SOIL-CONDITIONERS, WETTING AGENTS; FERTILISERS CHARACTERISED BY THEIR FORM
- C05G3/00—Mixtures of one or more fertilisers with additives not having a specially fertilising activity
- C05G3/60—Biocides or preservatives, e.g. disinfectants, pesticides or herbicides; Pest repellants or attractants
-
- A—HUMAN NECESSITIES
- A01—AGRICULTURE; FORESTRY; ANIMAL HUSBANDRY; HUNTING; TRAPPING; FISHING
- A01N—PRESERVATION OF BODIES OF HUMANS OR ANIMALS OR PLANTS OR PARTS THEREOF; BIOCIDES, e.g. AS DISINFECTANTS, AS PESTICIDES OR AS HERBICIDES; PEST REPELLANTS OR ATTRACTANTS; PLANT GROWTH REGULATORS
- A01N43/00—Biocides, pest repellants or attractants, or plant growth regulators containing heterocyclic compounds
- A01N43/02—Biocides, pest repellants or attractants, or plant growth regulators containing heterocyclic compounds having rings with one or more oxygen or sulfur atoms as the only ring hetero atoms
- A01N43/04—Biocides, pest repellants or attractants, or plant growth regulators containing heterocyclic compounds having rings with one or more oxygen or sulfur atoms as the only ring hetero atoms with one hetero atom
- A01N43/14—Biocides, pest repellants or attractants, or plant growth regulators containing heterocyclic compounds having rings with one or more oxygen or sulfur atoms as the only ring hetero atoms with one hetero atom six-membered rings
- A01N43/16—Biocides, pest repellants or attractants, or plant growth regulators containing heterocyclic compounds having rings with one or more oxygen or sulfur atoms as the only ring hetero atoms with one hetero atom six-membered rings with oxygen as the ring hetero atom
Landscapes
- Life Sciences & Earth Sciences (AREA)
- General Health & Medical Sciences (AREA)
- Health & Medical Sciences (AREA)
- Engineering & Computer Science (AREA)
- Zoology (AREA)
- Pest Control & Pesticides (AREA)
- Plant Pathology (AREA)
- Environmental Sciences (AREA)
- Dentistry (AREA)
- Agronomy & Crop Science (AREA)
- Wood Science & Technology (AREA)
- Chemical & Material Sciences (AREA)
- Organic Chemistry (AREA)
- Biotechnology (AREA)
- Microbiology (AREA)
- Virology (AREA)
- Biochemistry (AREA)
- Soil Sciences (AREA)
- Pretreatment Of Seeds And Plants (AREA)
- Agricultural Chemicals And Associated Chemicals (AREA)
- Toxicology (AREA)
- Cultivation Of Plants (AREA)
- Breeding Of Plants And Reproduction By Means Of Culturing (AREA)
Applications Claiming Priority (3)
| Application Number | Priority Date | Filing Date | Title |
|---|---|---|---|
| US201161538326P | 2011-09-23 | 2011-09-23 | |
| US61/538,326 | 2011-09-23 | ||
| PCT/US2012/056870 WO2013044208A2 (en) | 2011-09-23 | 2012-09-24 | Chitooligosaccharides and methods for use in enhancing plant growth |
Related Child Applications (1)
| Application Number | Title | Priority Date | Filing Date |
|---|---|---|---|
| RU2015136854/13A Division RU2604495C2 (ru) | 2011-09-23 | 2012-09-24 | Хитоолигосахариды и способы их применения для усиления роста растений |
Publications (1)
| Publication Number | Publication Date |
|---|---|
| RU2564844C1 true RU2564844C1 (ru) | 2015-10-10 |
Family
ID=47018512
Family Applications (4)
| Application Number | Title | Priority Date | Filing Date |
|---|---|---|---|
| RU2014116236/13A RU2564844C1 (ru) | 2011-09-23 | 2012-09-24 | Хитоолигосахариды и способы их применения для усиления роста растений |
| RU2015136854/13A RU2604495C2 (ru) | 2011-09-23 | 2012-09-24 | Хитоолигосахариды и способы их применения для усиления роста растений |
| RU2016142803A RU2647905C1 (ru) | 2011-09-23 | 2016-11-01 | Хитоолигосахариды и способы их применения для усиления роста растений |
| RU2018108088A RU2688455C1 (ru) | 2011-09-23 | 2018-03-06 | Хитоолигосахариды и способы их применения для усиления роста растений |
Family Applications After (3)
| Application Number | Title | Priority Date | Filing Date |
|---|---|---|---|
| RU2015136854/13A RU2604495C2 (ru) | 2011-09-23 | 2012-09-24 | Хитоолигосахариды и способы их применения для усиления роста растений |
| RU2016142803A RU2647905C1 (ru) | 2011-09-23 | 2016-11-01 | Хитоолигосахариды и способы их применения для усиления роста растений |
| RU2018108088A RU2688455C1 (ru) | 2011-09-23 | 2018-03-06 | Хитоолигосахариды и способы их применения для усиления роста растений |
Country Status (12)
| Country | Link |
|---|---|
| US (5) | US9055746B2 (enExample) |
| EP (2) | EP2747558B1 (enExample) |
| CN (2) | CN107258790A (enExample) |
| AR (1) | AR088010A1 (enExample) |
| AU (3) | AU2012312003B2 (enExample) |
| BR (1) | BR112014006919B1 (enExample) |
| CA (1) | CA2849898C (enExample) |
| IN (1) | IN2014CN02815A (enExample) |
| MX (1) | MX351416B (enExample) |
| RU (4) | RU2564844C1 (enExample) |
| UA (1) | UA114299C2 (enExample) |
| WO (1) | WO2013044208A2 (enExample) |
Cited By (1)
| Publication number | Priority date | Publication date | Assignee | Title |
|---|---|---|---|---|
| RU2828430C2 (ru) * | 2022-12-27 | 2024-10-11 | федеральное государственное бюджетное образовательное учреждение высшего образования "Алтайский государственный университет" | Фунгицид с ростостимулирующими свойствами для томатов |
Families Citing this family (23)
| Publication number | Priority date | Publication date | Assignee | Title |
|---|---|---|---|---|
| ES2574957T3 (es) | 2011-09-08 | 2016-06-23 | Novozymes Bioag A/S | Métodos de tratamiento de semillas |
| CA2848856C (en) * | 2011-09-14 | 2020-04-28 | Novozymes Bioag A/S | Use of lipochito-oligosaccharides and/or chito-oligosaccharides in combination with phosphate-solubilizing microorganisms to enhance plant growth |
| EP2747558B1 (en) | 2011-09-23 | 2018-01-03 | Novozymes Bioag A/S | Use of chitooligosaccharides in a method for enhancing plant growth |
| EP2747567B1 (en) * | 2011-09-23 | 2016-11-16 | Novozymes Bioag A/S | Chitooligosaccharides and methods for use in enhancing soybean growth |
| US9067836B2 (en) * | 2013-03-18 | 2015-06-30 | Bernie M. Lory | Medicinal plant fertilizing soil |
| US10149472B2 (en) * | 2015-06-17 | 2018-12-11 | Wisconsin Alumni Research Foundation | Chitin oligomers for use in promoting non-leguminous plant growth and development |
| RU2730863C2 (ru) * | 2015-09-11 | 2020-08-26 | Новозимс Биоаг А/С | Стабильные композиции с инокулянтом и способы их получения |
| EP3376871A4 (en) * | 2015-11-20 | 2019-06-26 | Monsanto Technology LLC | COMPOSITION AND METHOD FOR REDUCING MAIZE-TO-MAIZE EARNINGS |
| EP3558003A1 (en) * | 2016-12-20 | 2019-10-30 | Novozymes Bioag A/S | Stable inoculant compositions and methods for producing same |
| US20190350208A1 (en) * | 2017-01-03 | 2019-11-21 | Université de Mons | Activators of Plant Metabolic Changes |
| WO2019135972A1 (en) * | 2018-01-03 | 2019-07-11 | Monsanto Technology Llc | Bacillus isolates and uses thereof |
| WO2019147660A1 (en) * | 2018-01-23 | 2019-08-01 | Novozymes Bioag A/S | Method of enhancing seed germination under abiotic stress with chitin oligosaccharides |
| KR20210069063A (ko) * | 2018-09-28 | 2021-06-10 | 바이엘 악티엔게젤샤프트 | 박테리아 생물학적 방제제 및 지방산의 조합 |
| CN111499456A (zh) * | 2020-04-23 | 2020-08-07 | 青岛海力源生物科技有限公司 | 一种含壳寡糖的肥料增效剂及其制备方法 |
| CN111802100A (zh) * | 2020-08-24 | 2020-10-23 | 武汉市园林科学研究院 | 一种银木抗碱良种扦插繁殖的方法 |
| CN113045359A (zh) * | 2021-04-19 | 2021-06-29 | 内蒙古自治区农牧业科学院 | 一种春油菜专用叶面肥 |
| CL2021003304A1 (es) | 2021-12-10 | 2022-06-17 | West Lake Global Invest Slu | Método de cultivo de árboles frutales de alto consumo de agua en macetas para la producción intensiva y sustentable de fruta. |
| AR130056A1 (es) * | 2022-08-02 | 2024-10-30 | Kannar Earth Science Ltd | Composiciones y métodos para controlar patógenos de plantas que incluyen nematodos |
| EP4642750A1 (en) * | 2022-12-29 | 2025-11-05 | Novozymes A/S | Method of fortifying fertilizer with lipo-chitooligosaccharide (lco) |
| CN117223603B (zh) * | 2023-11-15 | 2024-02-13 | 山东永盛农业发展有限公司 | 一种耐盐碱番茄的选育方法 |
| WO2025131903A1 (en) | 2023-12-21 | 2025-06-26 | Chr. Hansen A/S | Priestia megaterium and uses thereof |
| WO2025157988A1 (en) | 2024-01-26 | 2025-07-31 | Chr. Hansen A/S | Phytoprotective combinations of bacilli that thrive under low temperature conditions |
| WO2025217017A1 (en) | 2024-04-08 | 2025-10-16 | Novozymes A/S | Compositions and methods for increasing phosphorous availability |
Citations (4)
| Publication number | Priority date | Publication date | Assignee | Title |
|---|---|---|---|---|
| CN101092315A (zh) * | 2007-07-06 | 2007-12-26 | 颜红 | 甲壳低聚糖与海藻肥复合生物制剂及其制备方法 |
| CN101248797A (zh) * | 2008-03-18 | 2008-08-27 | 吉林农业大学 | 营养型多茎参生长促进剂 |
| RU2356226C2 (ru) * | 2003-04-22 | 2009-05-27 | Иэмди Кроп Байосайенс Кэнада Инк. | Применение липохитоолигосахаридов для инициирования раннего цветения и развития плодов у растений |
| CN101601410A (zh) * | 2009-07-17 | 2009-12-16 | 申太文 | 电气石植物生长促进剂 |
Family Cites Families (122)
| Publication number | Priority date | Publication date | Assignee | Title |
|---|---|---|---|---|
| US2954643A (en) | 1959-06-11 | 1960-10-04 | Northrup King & Co | Seed treatment with microorganisms and gas |
| US4536207A (en) | 1983-07-26 | 1985-08-20 | Igi Biotechnology, Inc. | Nematocidally active chitin-protein complex |
| US4940840A (en) | 1984-03-26 | 1990-07-10 | Dna Plant Technology Corporation | Novel chitinase-producing bacteria and plants |
| US4978381A (en) | 1984-10-05 | 1990-12-18 | Washington State University Research Foundation | Method for treating cereal crop seed with chitosan to enhance yield, root growth, and stem strength |
| US4886541A (en) | 1984-10-05 | 1989-12-12 | Washington State University Research Foundation | Method for treating cereal crop seed with chitosan to enhance yield, root growth and stem strength |
| US5104437A (en) | 1984-10-05 | 1992-04-14 | Washington State University Research Foundation | Method for treating cereal crop seed with chitosan to enhance yield root growth, and stem strength |
| JPS62138496A (ja) | 1985-12-11 | 1987-06-22 | Ihara Chem Ind Co Ltd | キチンオリゴマ−の製造方法 |
| US5141745A (en) | 1986-03-27 | 1992-08-25 | The Lubrizol Corporation | Nodulation inducing factors |
| US4964894A (en) | 1986-03-31 | 1990-10-23 | Freepons Donald E | Plant growth regulators derived from chitin |
| US4812159A (en) | 1986-03-31 | 1989-03-14 | Freepons Donald E | Plant growth regulators derived from chitin |
| US4766244A (en) | 1986-10-30 | 1988-08-23 | The Dow Chemical Company | High purity process for the preparation of 4,6-diamino-1,3-benzenediol |
| ES2006447B3 (es) | 1987-03-17 | 1992-02-16 | Her Majesty In Right Of Canada As Represented By The Mini Of Agriculture Canada | Metodos y composiciones para aumentar las cantidades de fosforo y/o micronutrientes utilizables por plantas captados de los suelos. |
| US5057141A (en) | 1987-08-11 | 1991-10-15 | Igene Biotechnology Inc. | Compositions for biological control of plant pathogenic nematodes |
| AU3192689A (en) | 1988-02-19 | 1989-09-06 | Bentech Laboratories, Inc. | Treatment of plants with salts of chitosan |
| FR2646425B1 (fr) | 1989-04-26 | 1991-08-30 | Neosystem Sa | Peptides synthetiques du conjugue de l'ubiquitine et de l'histone h2a |
| US5549718A (en) | 1990-04-06 | 1996-08-27 | Centre National De La Recherche Scientifique (C.N.R.S.) | Substance with lipo-oligosaccharide structure capable of acting as plant-specific symbiotic signals, processes for producing them and their applications |
| JP3172207B2 (ja) | 1990-09-21 | 2001-06-04 | 株式会社中埜酢店 | 植物有害生物防除剤 |
| DK61691D0 (da) | 1991-04-08 | 1991-04-08 | Danisco | Genetiske konstruktioner |
| US5321011A (en) | 1991-10-04 | 1994-06-14 | The University Of Tennessee Research Corporation | Pentasaccharide phytohormones and methods for their use |
| US5175149A (en) | 1991-10-04 | 1992-12-29 | The University Of Tennessee Research Corporation | Pentasaccharide phytohormones and methods for their use |
| FR2692896B1 (fr) | 1992-06-29 | 1994-09-09 | Institut Rech Agronomique | Signaux de nodulation de rhizobiaceae à large spectre d'hôte. |
| FI93687C (fi) | 1992-07-29 | 1995-05-26 | Novasso Oy | Menetelmä siementen päällystämiseksi |
| US5830459A (en) | 1992-09-30 | 1998-11-03 | Texas A&M University System | Effective plant biocontrol |
| JP2957365B2 (ja) | 1992-10-12 | 1999-10-04 | 備北粉化工業株式会社 | 植物用カルシウム付与剤 |
| EP1095657B1 (en) * | 1992-11-10 | 2007-01-10 | Yeda Research And Development Co. Ltd. | Compositions for the regulation of cytokine activity |
| JP2897801B2 (ja) | 1993-03-18 | 1999-05-31 | シオノギクオリカプス株式会社 | 直径に比べて小さい厚みをもつ円板状固形製剤の搬送装置 |
| JP3283110B2 (ja) | 1993-07-27 | 2002-05-20 | 旭光学工業株式会社 | 切花活性剤 |
| US5858350A (en) | 1993-12-01 | 1999-01-12 | Marine Polymer Technologies | Methods and compositions for poly-β-1→4-N-acetylglucosamine cell therapy system |
| US6743783B1 (en) | 1993-12-01 | 2004-06-01 | Marine Polymer Technologies, Inc. | Pharmaceutical compositions comprising poly-β-1→4-N-acetylglucosamine |
| US5622834A (en) | 1993-12-01 | 1997-04-22 | Marine Polymer Technologies, Inc. | Method of isolating poly-β-1-4-N-acetylglucosamine from microalgal culture |
| US5484464A (en) | 1993-12-29 | 1996-01-16 | Philom Bios, Inc.. | Methods and compositions for increasing the benefits of rhizobium inoculation to legume crop productivity |
| CA2180826A1 (en) | 1994-01-13 | 1995-07-20 | Richard J. Ii Stoner | Organic disease control system |
| JPH083010A (ja) | 1994-06-22 | 1996-01-09 | Tadamoro Inoue | 植物の遺伝子発現を調節する制御剤 |
| FR2722779B1 (fr) | 1994-07-21 | 1996-08-14 | Grande Paroisse Sa | Composition de garant proteique et son application, notamment a la fertilisation des cereales |
| US6060429A (en) | 1994-07-25 | 2000-05-09 | State of Israel--Ministry of Agriculture | Composition and method for controlling plant diseases caused by fungi |
| US5705634A (en) | 1995-03-02 | 1998-01-06 | Perimmune Holdings, Inc. | High yield preparation of dimeric to decameric chitin oligomers |
| JP2615444B2 (ja) | 1995-03-15 | 1997-05-28 | 工業技術院長 | キトオリゴ糖の部分n−アシル化体又はその塩 |
| NL1001620C2 (en) | 1995-06-22 | 1996-12-24 | Instituut Voor Agrobiologisch | Improvement in activity of plant growth regulators |
| IL119188A (en) | 1995-09-14 | 2000-08-31 | Bioestimulantes Organicos Lda | Formulation and method to increase resistance of plants to pathogenic agents and environmental stress |
| GB9601110D0 (en) | 1996-01-19 | 1996-03-20 | Cocking Edward C D | Method of inducing nitrogen fixation in plants |
| US5702752A (en) | 1996-03-13 | 1997-12-30 | Archer Daniels Midland Company | Production of isoflavone enriched fractions from soy protein extracts |
| US5821361A (en) | 1996-06-11 | 1998-10-13 | Protein Technologies International, Inc. | Recovery of isoflavones from soy molasses |
| US5922316A (en) | 1996-06-25 | 1999-07-13 | Mcgill University | Composition for enhancing grain yield and protein yield of legumes grown under environmental conditions that inhibit or delay nodulation thereof |
| US6133196A (en) * | 1996-08-13 | 2000-10-17 | Regents Of The University Of Minnesota | Biological control of plant disease on roots of conifer seedlings |
| US5965545A (en) | 1996-10-15 | 1999-10-12 | State Of Israel, Ministry Of Agriculture, Agricultural Research Organization, The Volcani Center | Compositions and method for controlling fungal disease in plants |
| TW453855B (en) | 1996-11-07 | 2001-09-11 | Sankyo Co | Plant growth regulator |
| RU2158510C2 (ru) | 1997-05-15 | 2000-11-10 | Всероссийский научно-исследовательский институт защиты растений | Композиция для повышения устойчивости растений к болезням (варианты) |
| IL122967A0 (en) | 1997-01-23 | 1998-08-16 | Dcv Inc | Method for treating cotyledonous plants |
| US6167652B1 (en) | 1997-01-23 | 2001-01-02 | Dcv, Inc. | Method for treating cotyledonous plants |
| US6998515B1 (en) * | 1997-01-27 | 2006-02-14 | Cornell Research Foundation, Inc. | Use of a nucleic acid encoding a hypersensitive response elicitor polypeptide to enhance growth in plants |
| US5726123A (en) | 1997-02-12 | 1998-03-10 | Dcv Chitin Technologies, L.P. | Method for treating cotyledonous plants |
| CA2202024A1 (en) | 1997-04-07 | 1998-10-07 | The Royal Institution For The Advancement Of Learning (Mcgill University ) | "germination-stimulating composition for plants grown under environmental street conditions such as low root zone temperature" |
| US6146668A (en) | 1997-04-28 | 2000-11-14 | Novogen, Inc. | Preparation of isoflavones from legumes |
| US6306835B1 (en) | 1997-09-23 | 2001-10-23 | Board Of Supervisors Of Louisiana State University And Agricultural And Mechanical College | Biocidal chitosan derivatives |
| US6407040B1 (en) | 1998-02-20 | 2002-06-18 | Vanson, Inc. | Composition and method for reducing transpiration in plants |
| WO1999045784A1 (en) | 1998-03-12 | 1999-09-16 | Oji Paper Co., Ltd. | Bactericides |
| CA2243669A1 (en) | 1998-07-21 | 2000-01-21 | Bios Agriculture Inc. | Composition for accelerating plant seed germination, plant growth and methods using same |
| FR2785149B1 (fr) * | 1998-10-28 | 2001-12-28 | Univ Paris Curie | Composition fongicide a base d'enzymes |
| JP3108763B2 (ja) | 1998-11-17 | 2000-11-13 | 工業技術院長 | キトオリゴ糖誘導体 |
| EP1144492B1 (en) | 1998-11-24 | 2005-10-26 | Safescience, Inc. | Chitosan metal complexes and method controlling microbial growth on plants using same |
| US6524998B1 (en) | 1999-03-01 | 2003-02-25 | Auburn University | Biological compositions and methods for enhancing plant growth and health and producing disease-suppressive plants |
| FR2796082B1 (fr) | 1999-07-07 | 2003-06-27 | Centre Nat Rech Scient | Procede de production d'oligosaccharides |
| FI19992070A7 (fi) | 1999-09-28 | 2001-03-29 | Carbion Oy | Uudet fukosyloidut oligosakkaridit ja menetelmä niiden valmistamiseksi |
| CA2285727A1 (en) | 1999-10-08 | 2001-04-08 | Mcgill University | Method of increasing photosynthesis in plants comprising an exposure thereof to lipo-chitooligosaccharides and compositions therefor |
| US6589352B1 (en) | 1999-12-10 | 2003-07-08 | Applied Materials, Inc. | Self aligning non contact shadow ring process kit |
| AU2001234500A1 (en) | 2000-01-21 | 2001-07-31 | Entomos, L.L.C. | Materials and methods for biological control of soilborne pathogens |
| US6258749B1 (en) | 2000-02-22 | 2001-07-10 | The Dow Chemical Company | Methods for treating plants and enhancing plant growth using polyacylglycosides and/or polyalkylglycosides and formulations for same |
| JP2001316204A (ja) | 2000-04-28 | 2001-11-13 | Kao Corp | 植物活力剤 |
| US7250068B1 (en) | 2000-10-06 | 2007-07-31 | Mcgill University | Method of increasing photosynthesis in plants comprising an exposure thereof to lipochitooligosaccharides and compositions therefor |
| CA2386661C (en) | 2001-07-06 | 2011-05-17 | Mcgill University | Methods and compositions for production of lipo-chito oligosaccharides by rhizobacteria |
| US7098324B2 (en) | 2001-07-30 | 2006-08-29 | Texas Tech University | Chitinase encoding DNA molecules from cotton expressed preferentially in secondary walled cells during secondary wall deposition and a corresponding promoter |
| IS6085A (is) * | 2001-09-26 | 2003-03-27 | Genis Ehf. | Lyfjablanda með kítósan óligómerum |
| US6933380B2 (en) | 2001-10-19 | 2005-08-23 | Yung-Zip Chemical Ind. Co., Ltd. | Excipients containing low residual solvent and method for producing the same |
| US6649566B2 (en) | 2001-12-13 | 2003-11-18 | Morse Enterprises Limited, Inc. | Stabilized concentrated formulations for enhancing plant defensive responses |
| AU2003217484A1 (en) | 2002-03-20 | 2003-09-29 | Showa Denko K. K. | Chitosan-containing composition for improving disease resistance and growth of plants |
| CN1193666C (zh) | 2003-06-23 | 2005-03-23 | 华东理工大学 | 壳寡糖植物生长剂及其制备方法 |
| EP1641921B1 (en) | 2003-07-03 | 2010-10-20 | Aarhus Universitet | Nod-factor perception |
| US7205450B2 (en) | 2003-10-08 | 2007-04-17 | The Regents Of The University Of California | DMI1 gene encodes a protein that is required for the early steps of bacterial and fungal symbioses |
| CA2550888A1 (en) | 2003-12-22 | 2005-07-07 | Botanical Gardens And Parks Authority | Vinylogous 4h-pyrones and their use in promoting plant growth |
| BRPI0417876A (pt) | 2003-12-23 | 2007-04-27 | Nitragin Inc | métodos e composições que proporcionam efeitos agrariamente benéficos em leguminosas e não-leguminosas |
| FR2864538B1 (fr) | 2003-12-30 | 2006-03-03 | Bayer Cropscience Sa | Composes synthetiques utiles comme facteurs de nodulation des plantes legumineuses et procedes de preparation de tels composes |
| CA2565153C (en) | 2004-03-18 | 2012-08-07 | Agribiotics Inc. | Flavonoid compounds and use thereof |
| EP2949215A1 (en) | 2004-03-18 | 2015-12-02 | Novozymes Bioag A/S | Isoflavonoid compounds and use thereof |
| CA2461261A1 (en) | 2004-03-18 | 2005-09-18 | Agribiotics Inc. | Isoflavonoid compounds and use thereof |
| EP1748691B1 (en) * | 2004-05-12 | 2010-10-27 | Bayer CropScience AG | Plant growth regulation |
| CN101203230A (zh) | 2005-04-01 | 2008-06-18 | 克里斯托弗·理查德·帕里什 | 用nod因子例如葡糖胺寡糖调节血管发生 |
| US20060277632A1 (en) | 2005-05-13 | 2006-12-07 | Athenix Corporation | Methods for production of chitin and chitosan |
| US7485718B2 (en) | 2005-06-16 | 2009-02-03 | E. I. Du Pont De Nemours And Company | Chemical synthesis of low molecular weight polyglucosamines and polygalactosamines |
| CA2613160A1 (en) | 2005-06-24 | 2006-12-28 | Bayer Bioscience N.V. | Methods for altering the reactivity of plant cell walls |
| WO2007006318A2 (en) | 2005-07-14 | 2007-01-18 | Aarhus Universitet | Spontaneous nodulation in plants |
| EP1948799A4 (en) | 2005-11-17 | 2009-09-30 | Univ Mcgill | USE OF BACTERIOCINS TO ENHANCE GROWTH AND RESISTANCE TO PLANT DISEASES |
| US8990653B2 (en) | 2006-03-31 | 2015-03-24 | Stmicroelectronics, Inc. | Apparatus and method for transmitting and recovering encoded data streams across multiple physical medium attachments |
| AU2007235408A1 (en) | 2006-04-07 | 2007-10-18 | E.I. Du Pont De Nemours And Company | Processes for chemical synthesis of lipochitooligosaccharides |
| WO2008009287A1 (en) | 2006-07-21 | 2008-01-24 | Plant Biosciences Ltd. | A mutant histidine kinase that confers spontaneous nodulation in plants |
| US8097771B2 (en) | 2006-08-07 | 2012-01-17 | The Curators Of The University Of Missouri | LysM receptor-like kinases to improve plant defense response against fungal pathogens |
| US20080072494A1 (en) | 2006-09-07 | 2008-03-27 | Stoner Richard J | Micronutrient elicitor for treating nematodes in field crops |
| US8207092B2 (en) * | 2006-10-16 | 2012-06-26 | Monsanto Technology Llc | Methods and compositions for improving plant health |
| US8916182B2 (en) | 2006-11-28 | 2014-12-23 | Universite De Namur | Composition comprising oligogalacturonans and polycationic saccharides |
| TWI421030B (zh) | 2006-12-12 | 2014-01-01 | Bayer Cropscience Ag | 包括用作豆科植物生結瘤劑(nodulation agent)之合成化合物及殺真菌劑化合物之農藥組合物 |
| TWI462698B (zh) | 2006-12-12 | 2014-12-01 | Bayer Cropscience Ag | 包括作為豆科植物生結瘤劑(nodulation agent)之合成化合物及殺昆蟲劑化合物之農藥組合物 |
| MX359994B (es) | 2007-01-09 | 2018-10-18 | Merck Patent Gmbh | Composiciones de combinacion de lipoquitooligosacaridos para crecimiento y rendimiento de plantas mejoradas. |
| CN101578044B (zh) | 2007-01-09 | 2013-08-14 | 默克专利股份有限公司 | 用于促进植物生长和提高产量的脂壳寡糖联用组合物 |
| US7670820B2 (en) | 2007-01-12 | 2010-03-02 | Academia Sinica | Chitinase and uses thereof |
| FR2914159A1 (fr) | 2007-03-29 | 2008-10-03 | David Warlet | Dispositif d'aide a la priere. |
| WO2009049747A2 (en) | 2007-10-16 | 2009-04-23 | Merck Patent Gmbh | Lipo-chitooligosaccharide and flavonoid combination for enhanced plant growth and yield |
| CN101543230A (zh) | 2008-03-28 | 2009-09-30 | 中国科学院大连化学物理研究所 | 一种植物抗逆诱导剂及其应用 |
| WO2010037167A1 (en) | 2008-10-01 | 2010-04-08 | Commonwealth Scientific And Industrial Research Organisation | Use of penicillium spp to enhance plant growth |
| AR073718A1 (es) | 2008-10-01 | 2010-11-24 | Novozymes Biolog Ltd | Metodos y composiciones para aumentar las cantidades de fosforo disponibles para la absorcion de la planta del suelo |
| WO2010049751A1 (en) | 2008-10-29 | 2010-05-06 | Institut National De La Recherche Agronomique | Lipochitooligosaccharides stimulating arbuscular mycorrhizal symbiosis |
| CN101736056A (zh) * | 2008-11-27 | 2010-06-16 | 许乐 | 一种壳聚寡糖的生物制备方法 |
| FR2941589A1 (fr) | 2009-02-03 | 2010-08-06 | Pierre Philippe Claude | Utilisation de la chitine pour la biofertilisation bacterienne des cultures non-legumineuses |
| US8551919B2 (en) * | 2009-04-13 | 2013-10-08 | University Of Delaware | Methods for promoting plant health |
| WO2010125065A2 (en) | 2009-04-28 | 2010-11-04 | Bayer Cropscience Ag | Compositions comprising a strigolactone compound and a chito-oligosaccharide compound for enhanced plant growth and yield |
| MX376181B (es) | 2010-09-28 | 2025-03-07 | Basf Corp | Metodos y composiciones que contienen jasmonato o compuestos relacionados para promover la actividad de biodefensa en las plantas. |
| WO2012120105A1 (en) | 2011-03-10 | 2012-09-13 | Bayer Cropscience Ag | Use of lipochito-oligosaccharide compounds for safeguarding seed safety of treated seeds |
| US8999698B2 (en) | 2011-03-31 | 2015-04-07 | Novozymes Biologicals, Inc. | Competitive and effective bacterial strains |
| ES2574957T3 (es) | 2011-09-08 | 2016-06-23 | Novozymes Bioag A/S | Métodos de tratamiento de semillas |
| CA2848856C (en) * | 2011-09-14 | 2020-04-28 | Novozymes Bioag A/S | Use of lipochito-oligosaccharides and/or chito-oligosaccharides in combination with phosphate-solubilizing microorganisms to enhance plant growth |
| EP2747567B1 (en) | 2011-09-23 | 2016-11-16 | Novozymes Bioag A/S | Chitooligosaccharides and methods for use in enhancing soybean growth |
| BR112014006912A2 (pt) | 2011-09-23 | 2017-04-11 | Novozymes Bioag As | método para intensificar o crescimento de plantas de milho |
| EP2747558B1 (en) | 2011-09-23 | 2018-01-03 | Novozymes Bioag A/S | Use of chitooligosaccharides in a method for enhancing plant growth |
| CN102283201A (zh) | 2011-09-28 | 2011-12-21 | 扬州日兴生物科技股份有限公司 | 甲壳质寡糖植物生长调节剂及其在农业上的应用 |
-
2012
- 2012-09-24 EP EP12772619.8A patent/EP2747558B1/en active Active
- 2012-09-24 CA CA2849898A patent/CA2849898C/en active Active
- 2012-09-24 US US13/625,393 patent/US9055746B2/en active Active
- 2012-09-24 BR BR112014006919-0A patent/BR112014006919B1/pt active IP Right Grant
- 2012-09-24 RU RU2014116236/13A patent/RU2564844C1/ru active
- 2012-09-24 CN CN201710412738.2A patent/CN107258790A/zh active Pending
- 2012-09-24 AU AU2012312003A patent/AU2012312003B2/en not_active Ceased
- 2012-09-24 WO PCT/US2012/056870 patent/WO2013044208A2/en not_active Ceased
- 2012-09-24 IN IN2815CHN2014 patent/IN2014CN02815A/en unknown
- 2012-09-24 CN CN201280057455.6A patent/CN104066322B/zh not_active Expired - Fee Related
- 2012-09-24 EP EP17208944.3A patent/EP3335556A1/en not_active Withdrawn
- 2012-09-24 MX MX2014003409A patent/MX351416B/es active IP Right Grant
- 2012-09-24 UA UAA201404375 patent/UA114299C2/uk unknown
- 2012-09-24 RU RU2015136854/13A patent/RU2604495C2/ru active
- 2012-09-25 AR ARP120103525A patent/AR088010A1/es not_active Application Discontinuation
-
2015
- 2015-05-12 US US14/709,769 patent/US9414592B2/en active Active
- 2015-11-20 AU AU2015258274A patent/AU2015258274B2/en not_active Ceased
-
2016
- 2016-07-11 US US15/206,507 patent/US10206396B2/en active Active
- 2016-11-01 RU RU2016142803A patent/RU2647905C1/ru active
-
2017
- 2017-08-23 AU AU2017219018A patent/AU2017219018A1/en not_active Abandoned
-
2018
- 2018-03-06 RU RU2018108088A patent/RU2688455C1/ru active
- 2018-12-31 US US16/236,746 patent/US11134683B2/en active Active
-
2021
- 2021-09-07 US US17/467,752 patent/US12185720B2/en active Active
Patent Citations (4)
| Publication number | Priority date | Publication date | Assignee | Title |
|---|---|---|---|---|
| RU2356226C2 (ru) * | 2003-04-22 | 2009-05-27 | Иэмди Кроп Байосайенс Кэнада Инк. | Применение липохитоолигосахаридов для инициирования раннего цветения и развития плодов у растений |
| CN101092315A (zh) * | 2007-07-06 | 2007-12-26 | 颜红 | 甲壳低聚糖与海藻肥复合生物制剂及其制备方法 |
| CN101248797A (zh) * | 2008-03-18 | 2008-08-27 | 吉林农业大学 | 营养型多茎参生长促进剂 |
| CN101601410A (zh) * | 2009-07-17 | 2009-12-16 | 申太文 | 电气石植物生长促进剂 |
Cited By (1)
| Publication number | Priority date | Publication date | Assignee | Title |
|---|---|---|---|---|
| RU2828430C2 (ru) * | 2022-12-27 | 2024-10-11 | федеральное государственное бюджетное образовательное учреждение высшего образования "Алтайский государственный университет" | Фунгицид с ростостимулирующими свойствами для томатов |
Also Published As
Similar Documents
| Publication | Publication Date | Title |
|---|---|---|
| US12185720B2 (en) | Chitooligosaccharides and methods for use in enhancing plant growth | |
| RU2594800C2 (ru) | Хитоолигосахариды и способы их применения для усиления роста кукурузы | |
| RU2612428C2 (ru) | Комбинации липохитоолигосахаридов и способы их применения для усиления роста растений | |
| EP2747567B1 (en) | Chitooligosaccharides and methods for use in enhancing soybean growth | |
| RU2588162C2 (ru) | Хитоолигосахариды и способы их применения для усиления роста сои | |
| US20200187506A1 (en) | Combinations of Lipo-Chitooligosaccharides and Methods for Use in Enhancing Plant Growth | |
| NZ622560B2 (en) | Combinations of lipo-chitooligosaccharides and methods for use in enhancing plant growth |