RU2392588C2 - Способ и система многопутевого ультразвукового измерения параметров потока частично развитых профилей потока - Google Patents
Способ и система многопутевого ультразвукового измерения параметров потока частично развитых профилей потока Download PDFInfo
- Publication number
- RU2392588C2 RU2392588C2 RU2006144584/28A RU2006144584A RU2392588C2 RU 2392588 C2 RU2392588 C2 RU 2392588C2 RU 2006144584/28 A RU2006144584/28 A RU 2006144584/28A RU 2006144584 A RU2006144584 A RU 2006144584A RU 2392588 C2 RU2392588 C2 RU 2392588C2
- Authority
- RU
- Russia
- Prior art keywords
- flow
- model
- laminar
- flow model
- fluid
- Prior art date
Links
- 238000005259 measurement Methods 0.000 title claims abstract description 38
- 238000000034 method Methods 0.000 title claims abstract description 34
- 239000012530 fluid Substances 0.000 claims abstract description 29
- 230000000694 effects Effects 0.000 abstract description 2
- 239000007788 liquid Substances 0.000 abstract description 2
- 238000012544 monitoring process Methods 0.000 abstract description 2
- 230000015572 biosynthetic process Effects 0.000 abstract 1
- 239000000126 substance Substances 0.000 abstract 1
- 108091006146 Channels Proteins 0.000 description 32
- 230000007704 transition Effects 0.000 description 9
- 230000006870 function Effects 0.000 description 7
- 238000002604 ultrasonography Methods 0.000 description 7
- 230000008901 benefit Effects 0.000 description 6
- 238000009826 distribution Methods 0.000 description 6
- 238000011161 development Methods 0.000 description 5
- 238000004364 calculation method Methods 0.000 description 4
- 238000012546 transfer Methods 0.000 description 4
- 239000007799 cork Substances 0.000 description 3
- 239000011159 matrix material Substances 0.000 description 3
- 230000001419 dependent effect Effects 0.000 description 2
- 238000001514 detection method Methods 0.000 description 2
- 238000005516 engineering process Methods 0.000 description 2
- 238000002474 experimental method Methods 0.000 description 2
- 239000003208 petroleum Substances 0.000 description 2
- 230000008569 process Effects 0.000 description 2
- 238000004886 process control Methods 0.000 description 2
- 238000012545 processing Methods 0.000 description 2
- 230000004044 response Effects 0.000 description 2
- 230000001052 transient effect Effects 0.000 description 2
- 238000012935 Averaging Methods 0.000 description 1
- 206010039897 Sedation Diseases 0.000 description 1
- 230000002411 adverse Effects 0.000 description 1
- 238000003491 array Methods 0.000 description 1
- 230000009286 beneficial effect Effects 0.000 description 1
- 230000008859 change Effects 0.000 description 1
- 239000010779 crude oil Substances 0.000 description 1
- 238000010586 diagram Methods 0.000 description 1
- 238000006073 displacement reaction Methods 0.000 description 1
- 238000001595 flow curve Methods 0.000 description 1
- 238000009499 grossing Methods 0.000 description 1
- 238000009434 installation Methods 0.000 description 1
- 230000007774 longterm Effects 0.000 description 1
- 238000012423 maintenance Methods 0.000 description 1
- 238000013178 mathematical model Methods 0.000 description 1
- 238000000691 measurement method Methods 0.000 description 1
- 230000003446 memory effect Effects 0.000 description 1
- 239000003921 oil Substances 0.000 description 1
- 239000002245 particle Substances 0.000 description 1
- 230000035484 reaction time Effects 0.000 description 1
- 230000036280 sedation Effects 0.000 description 1
- 230000035945 sensitivity Effects 0.000 description 1
Images
Classifications
-
- G—PHYSICS
- G01—MEASURING; TESTING
- G01F—MEASURING VOLUME, VOLUME FLOW, MASS FLOW OR LIQUID LEVEL; METERING BY VOLUME
- G01F1/00—Measuring the volume flow or mass flow of fluid or fluent solid material wherein the fluid passes through a meter in a continuous flow
- G01F1/66—Measuring the volume flow or mass flow of fluid or fluent solid material wherein the fluid passes through a meter in a continuous flow by measuring frequency, phase shift or propagation time of electromagnetic or other waves, e.g. using ultrasonic flowmeters
- G01F1/662—Constructional details
-
- G—PHYSICS
- G01—MEASURING; TESTING
- G01F—MEASURING VOLUME, VOLUME FLOW, MASS FLOW OR LIQUID LEVEL; METERING BY VOLUME
- G01F1/00—Measuring the volume flow or mass flow of fluid or fluent solid material wherein the fluid passes through a meter in a continuous flow
- G01F1/66—Measuring the volume flow or mass flow of fluid or fluent solid material wherein the fluid passes through a meter in a continuous flow by measuring frequency, phase shift or propagation time of electromagnetic or other waves, e.g. using ultrasonic flowmeters
-
- G—PHYSICS
- G01—MEASURING; TESTING
- G01F—MEASURING VOLUME, VOLUME FLOW, MASS FLOW OR LIQUID LEVEL; METERING BY VOLUME
- G01F1/00—Measuring the volume flow or mass flow of fluid or fluent solid material wherein the fluid passes through a meter in a continuous flow
- G01F1/66—Measuring the volume flow or mass flow of fluid or fluent solid material wherein the fluid passes through a meter in a continuous flow by measuring frequency, phase shift or propagation time of electromagnetic or other waves, e.g. using ultrasonic flowmeters
- G01F1/667—Arrangements of transducers for ultrasonic flowmeters; Circuits for operating ultrasonic flowmeters
-
- G—PHYSICS
- G01—MEASURING; TESTING
- G01F—MEASURING VOLUME, VOLUME FLOW, MASS FLOW OR LIQUID LEVEL; METERING BY VOLUME
- G01F15/00—Details of, or accessories for, apparatus of groups G01F1/00 - G01F13/00 insofar as such details or appliances are not adapted to particular types of such apparatus
Landscapes
- Physics & Mathematics (AREA)
- Fluid Mechanics (AREA)
- General Physics & Mathematics (AREA)
- Electromagnetism (AREA)
- Measuring Volume Flow (AREA)
Abstract
Предложенная группа изобретений относится к способам и системам измерения скорости потока, в частности к многопутевому ультразвуковому измерению параметров потока. Данная группа изобретений позволяет осуществлять мониторинг в реальном времени частично развитых профилей потока. Предложенный способ определения скорости текучей среды заключается в том, что: оценивают число Рейнольдса для текучей среды при помощи ультразвукового расходомера, имеющего множество пар датчиков, сконфигурированных для формирования множества путей измерения в трубе, при этом множество путей измерения размещается асимметрично относительно осевой линии трубы; сравнивают оцененное число Рейнольдса с выбранным диапазоном; и определяют скорость текучей среды на основе модели потока, выбранной из модели ламинарного потока, модели турбулентного потока и модели частично ламинарного потока, причем упомянутую модель выбирают основываясь на результатах сравнения оцененного числа Рейнольдса упомянутой текучей среды и выбранного диапазона чисел Рейнольдса. Указанный способ реализован при помощи соответствующего устройства и записан на соответствующий носитель информации. 3 н. и 14 з.п. ф-лы, 10 ил.
Description
Область техники, к которой относится изобретение
Настоящее изобретение в общем относится к способам и системам измерения скорости потока. В частности, варианты осуществления относятся к многопутевому ультразвуковому измерению частично развитых профилей потока.
Уровень техники
В отраслях, где применяется поток текучей среды, зачастую требуются точные измерения скоростей потока. Например, в нефтегазовой промышленности точные измерения скорости потока необходимы в вариантах применения передачи хранения (передачи владения, например, станции загрузки и разгрузки сырой нефти), обнаружения утечки и управления технологическим процессом. Традиционные технологии измерения параметров потока включают в себя турбинные расходомеры и расходомеры вытеснительного типа. В последнее время многоканальные ультразвуковые измерители приобретают популярность на этом рынке благодаря своим преимуществам в сравнении с традиционными технологиями. Эти преимущества включают в себя: отличную долгосрочную повторяемость, меньшую чувствительность к свойствам текучей жидкости, таким как вязкость и давление, большую точность "открытого ящика", более широкий диапазон линейности и меньшие затраты на обслуживание благодаря тому, что в этих ультразвуковых измерителях не используются подвижные части.
При обычной работе ультразвуковой расходомер использует датчик для передачи ультразвукового луча в расходуемый поток, и ультразвуковая энергия принимается вторым датчиком. Поток, переносящий ультразвуковую волну, изменяет частоту волны (доплеровский эффект) и время прохождения (наложение вектора скорости), и эти две количественные величины могут измеряться для определения скорости потока. На основе этих принципов предусмотрены две основные методологии ультразвукового измерения потока: доплеровская и время прохождения. В некоторых конфигурациях расходомеров датчики крепятся к внешней стенке трубы. Чтобы добиться большей точности измерений, датчики альтернативно могут размещаться внутри стенки трубы, и такие датчики упоминаются как "смоченные" датчики. Разработано несколько способов измерения профилей потока, в основном основанных на доплеровской методологии (к примеру, Патент США номер 6067861, Патент США номер 6378357). Тем не менее, доплеровские сигналы во многом зависят от размера и концентрации частиц, которая иногда может варьироваться и приводить к недостаточной повторяемости. В промышленности считается, что только многопутевые измерители по времени прохождения, объединенные со "смоченными" датчиками, поддерживают вышеупомянутые варианты применения с высокой точностью.
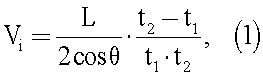
Принципы ультразвуковых измерений по времени прохождения тщательно разработаны. Согласно стандарту Американского нефтяного института (API) (API H00008, Manual of Petroleum Measurement Standards, Measurement of Liquid Hrdrocarbons by Ultrasonic Flowmeters Using Transit Time) средняя скорость в ультразвуковом пути может быть получена из:
где Vi - это средняя по пути скорость потока (т.е. среднее из скоростей по конкретному ультразвуковому пути) для пути i, L - это длина ультразвукового пути, θ - это угол между ультразвуковым путем и вектором скорости текучей среды, а t1 и t2 - это время прохождения ультразвука в направлении потока и направлении, обратном направлению потока, соответственно.
Следует отметить, что измеренная средняя по пути скорость Vi отличается от средней по потоку скорости Vavg, при этом последняя является скоростью, усредненной по поперечному сечению потока. Vi измеряется непосредственно ультразвуковым расходомером по времени прохождения с помощью уравнения (1), тогда как Vavg дает скорость потока, которая представляет важность в таких вариантах применения, как передача хранения. Отношение между этими двумя скоростями может быть задано как
и упоминается как коэффициент канала. В последующем описании Vi упоминается как скорость по пути, а Vavg упоминается как средняя скорость.
Поток в трубопроводе в большинстве случаев протекает в одном из двух режимов: ламинарном режиме и турбулентном режиме. Для этих режимов потока широко известны следующие математические модели:
где V(r) - это скорость на расстоянии r от осевой линии трубы, R - это радиус трубы, Vc - это скорость потока по осевой линии трубы, а N - это коэффициент степенного закона.
Коэффициент степенного закона N является характеристическим значением турбулентного потока. Для полностью развитого турбулентного потока коэффициент степенного закона N может быть оценен с помощью эмпирического уравнения, описанного в литературе (к примеру, L.Lynnworth, "Ultrasonic Measurement for Process Control", Academic Press, San Diego, 1989):
где Re - это число Рейнольдса, которое является функцией от скорости потока V и вязкости текучей среды µ:
где D - это диаметр трубы, а ρ - это плотность текучей среды.
В реальных условиях характеристики трубы и текучей среды зачастую не могут быть точно количественно оценены, и уравнения (5) и (6), в общем, не могут использоваться для получения N в высокоточных измерениях. Следовательно, для данного турбулентного потока необходимо, по меньшей мере, два измерения в двух путях потока для решения уравнения (4) с двумя неизвестными, N и Vc. Именно поэтому многопутевая ультразвуковая технология зачастую необходима для решения вариаций профилей потока.
Ссылаясь на фиг.1A, труба 1 показана с тремя парами датчиков, 11a и 11b, 12a и 12b, 13a и 13b. Стрелка 2 показывает направление потока. Линии между парами датчиков показывают ультразвуковые пути. В этой конфигурации ультразвуковой путь между 11a и 11b пересекает осевую линию трубы и упоминается как диагональный путь. Кратчайшее расстояние от пути к осевой линии трубы упоминается как уровень канала. Диагональный путь имеет уровень канала 0. Пути между 12a и 12b и между 13a и 13b имеют одинаковые канальные уровни h даже несмотря на то, что две пары датчиков находятся в различных размещениях. Фиг.1A также иллюстрирует примерный профиль 3 потока.
Коэффициент канала Ki зависит от профилей потока и позиции ультразвукового пути. Для диагонального ультразвукового пути коэффициент канала равен:
Ссылаясь на фиг.1B, коэффициент канала K (вертикальная ось) показан как функция от числа Рейнольдса Re (горизонтальная ось) в случае диагонального ультразвукового пути. Для недиагональных ультразвуковых путей значения K также могут быть получены аналогичным образом. Отношение между значением K и позициями путей тщательно изучено для профилей ламинарного потока и турбулентного потока еще в Патенте США номер 4078428 от 1978 года. Следовательно, для профилей ламинарного потока и турбулентного потока отношение между измеренными скоростями и фактическими средними скоростями вполне определено.
Основной задачей ультразвуковых измерителей является быстрое обнаружение профиля потока на основе информации из ограниченного числа путей. Для турбулентного потока случайность измеренных скоростей в выбранных путях может приводить к мгновенному отклонению до 10 процентов от средних значений, а небольшое число путей затрудняет получение достаточной статистической средней скорости потока. В отличие от турбинных измерителей, которые, по сути, выполняют усреднение по всему поперечному сечению потока, ультразвуковые расходомеры по времени прохождения измеряют только ограниченное число выбранных путей скорости потока. Для усреднения случайности измеренных скоростей ультразвуковые измерители должны иметь либо значительное успокоение для необработанных данных, либо большее число путей, распределенных по профилю потока. Использование большого успокоения неблагоприятно влияет на время реакции системы и приводит к недостаточной повторяемости при измерении малых объемов. С другой стороны, добавление большего числа каналов для измерения большего числа путей может значительно увеличить стоимость системы.
Более сложной задачей ультразвуковых расходомеров является обнаружение частично развитых профилей потока. Полностью развитый профиль потока - это, по определению, закон распределения скорости потока, который не меняется в трубе. Все остальные профили потока, которые имеют симметричные распределения скорости вокруг осевой линии трубы, но с развивающимся распределением скорости потока в трубе, в данном описании упоминаются как частично развитые профили потока. Существует две вероятные причины возникновения частично развитых профилей потока. Первая - это переходный профиль между турбулентным и ламинарным потоком, который может возникать в текучих средах с большой вязкостью. Вторая обусловлена наличием устройства задания параметров потока, которое не обладает достаточной длиной в направлении потока, чтобы полностью развить профиль.
Переход между турбулентным потоком и ламинарным потоком обычно происходит, когда число Рейнольдса примерно равно 2300, и это продемонстрировано множеством экспериментов. Тем не менее, как проиллюстрировано на фиг.1B, этот переход может осуществляться в широком диапазоне номеров Рейнольдса и может иметь эффекты запоминания, в зависимости от параметров текучей среды и трубы. Как результат, неправильно использовать число Рейнольдса в качестве единственного индикатора режима профиля потока. Частично развитый профиль рядом с переходной областью может приводить к недопустимо слабой повторяемости при измерениях потока, поскольку ни ламинарная, ни турбулентная модель не является оптимальной для профиля.
Известно, что устойчивому профилю для полного развития требуется определенное прямое и без помех расстояние в трубе. Ссылаясь на фиг.2, пробковый поток 21, который имеет постоянную скорость в поперечном сечении трубы 23, имеющей диаметр D, входит в трубу 23 из гораздо большей трубы 22. Поток изначально имеет частично развитый профиль 24. После входного участка 25 поток имеет полностью развитый профиль 26. И теория, и эксперименты показывают, что входной участок 25 должен иметь длину в 100 раз больше диаметра D трубы для полного развития ламинарного профиля и в 80 раз больше диаметра D трубы для полного развития турбулентного профиля (см. R.W.Fox и A.T.McDonald, "Introduction to Fluid Mechanics", 3rd ed., John Wiley and Sons, New York, 1992). На практике входной поток практически никогда не имеет пробкового профиля, и прямая длина в 10-15 раз больше диаметра D потока, как правило, рекомендуется производителями измерительных приборов для прогнозируемых измерений профилей потока.
Для многопутевого расходомера при передаче хранения распространено иметь устройство задания параметров потока, установленное в направлении обратного потока расходомера. Основная цель устройства задания параметров потока заключается в снижении завихрений и асимметричного искажения профиля. Более короткое расстояние задания параметров потока всегда является выгодным для производителей и потребителей. Патент США номер 6647806 также предполагает, что более короткое расстояние между устройством задания параметров потока и расходомером позволяет повысить повторяемость измерений.
На фиг.3 показано рекомендованное API устройство 31 задания параметров потока, изготовленное из связки небольших труб, имеющих длину B, которое установлено в трубе 32 на расстоянии A от входа в трубу. Расстояние C в направлении потока устройства 31 задания параметров потока рекомендовано иметь в 5 раз превышающим диаметр D трубы 32. Устройство 31 стремится сглаживать профиль потока. В результате наличие устройства 31 либо возмущает ламинарный профиль, либо сглаживает турбулентный профиль. В любом случае в рамках ограниченного входного участка типичный профиль потока (т.е. ламинарный поток или турбулентный поток) может не полностью развиться. В частности, вниз по потоку от устройства задания параметров турбулентный поток может иметь гораздо большее число N, чем оцененное с помощью уравнения (5), и турбулентно-ламинарный переход может возникать при числе Рейнольдса гораздо меньше 2300. В любом случае профиль потока будет непрогнозируемым на основе числа Рейнольдса. Следовательно, по-прежнему требуются усовершенствованные системы и способы мониторинга в реальном времени частично развитых профилей потока.
Раскрытие изобретения
В одном аспекте раскрытые в данном документе варианты осуществления относятся к способу определения скорости текучей среды, при этом способ содержит этапы, на которых: оценивают число Рейнольдса для текучей среды; сравнивают оцененное число Рейнольдса с выбранным диапазоном; и определяют скорость текучей среды на основе модели потока, выбранной из модели ламинарного потока, модели турбулентного потока и модели частично ламинарного потока.
В другом аспекте раскрытые в данном документе варианты осуществления относятся к ультразвуковому расходомеру, содержащему множество пар датчиков, сконфигурированных для формирования множества путей измерения в трубе. Множество путей измерения размещается асимметрично относительно осевой линии трубы.
Другие аспекты и преимущества изобретения должны стать очевидными из последующего описания и прилагаемой формулы изобретения.
Краткое описание чертежей
Фиг.1A иллюстрирует конфигурацию многопутевого ультразвукового расходомера по времени прохождения предшествующего уровня техники.
Фиг.1B иллюстрирует диаграмму, показывающую значения K для диагонального ультразвукового пути при различных числах Рейнольдса Re.
Фиг.2 иллюстрирует процесс, при котором определенный входной участок необходим для полного развития профиля скорости потока.
Фиг.3 иллюстрирует рекомендованное API устройство задания параметров потока.
Фиг.4A и 4B иллюстрируют модель частично ламинарного профиля потока в соответствии с одним вариантом осуществления настоящего изобретения.
Фиг.5 иллюстрирует заранее рассчитанную двумерную кривую значений K для турбулентных потоков.
Фиг.6 иллюстрирует заранее рассчитанную двумерную кривую значений K для частично ламинарных потоков.
Фиг.7 иллюстрирует набор выведенных одномерных кривых K турбулентных потоков в соответствии с одним вариантом осуществления настоящего изобретения.
Фиг.8 иллюстрирует набор выведенных одномерных кривых K частично ламинарных потоков в соответствии с одним вариантом осуществления настоящего изобретения.
Фиг.9 иллюстрирует блок-схему последовательности операций способа оценки профиля потока в соответствии с одним вариантом осуществления настоящего изобретения.
Фиг.10 иллюстрирует примерный набор расходомеров с асимметричным распределением ультразвуковых датчиков.
Следует понимать, что чертежи должны использоваться только для иллюстрации, а не в качестве определения границ изобретения или основы для толкования несуществующих или неизложенных ограничений на формулу изобретения.
Осуществление изобретения
В одном аспекте некоторые раскрытые в данном документе варианты осуществления относятся к способам, которые могут использоваться для измерения скоростей потока даже в случае частично развитых профилей потока, вызываемых либо устройством задания параметров потока, либо ламинарно-турбулентным переходом профиля. Варианты осуществления изобретения могут включать в себя некоторые или все из следующих компонентов: (1) модель частично ламинарного профиля потока, которая разрешает фазу неопределенности в ходе ламинарно-турбулентного перехода; (2) алгоритм поиска и настройки профиля, который подходит к множеству профилей; (3) сочетание ультразвуковых путей, имеющих различные уровни каналов относительно осевой линии трубы.
В другом аспекте некоторые раскрытые в данном документе варианты осуществления относятся к способам и системам многопутевых ультразвуковых расходомеров, которые позволяют точно измерять частично развитые профили потока. Система в соответствии с одним вариантом осуществления изобретения может включать в себя деталь цилиндрического ультразвукового набора, который имеет два или более ультразвуковых путей, имеющих отличные уровни канала. Некоторые варианты осуществления также могут включать в себя устройство задания параметров потока, которое устраняет большинство завихрений и асимметричных компонентов потока. Способ изобретения может использовать частично ламинарную модель, которая более оптимально представляет профиль потока, частично развитый после устройства задания параметров потока, особенно при небольшом числе Рейнольдса. Способ изобретения также может использовать алгоритм, который выполняет поиск максимального соответствия обнаруженного профиля профилю ламинарного потока, частично ламинарного потока или турбулентного потока.
Модель частично ламинарного профиля потока в соответствии с одним вариантом осуществления изобретения проиллюстрирована на фиг.4A и 4B. Фиг.4A иллюстрирует поперечный разрез по осевой линии трубы. Труба имеет диаметр D. Пунктирные линии 41-44 представляют намеченные позиции четырех ультразвуковых путей. Профиль скорости потока может быть разделен на две области: ламинарную область 46 и плоскую область 45. Vc - это скорость по осевой линии, если профиль ламинарного потока полностью развился. Сглаживание центрального профиля потока, который отклоняется от ламинарного потока (пунктирная кривая на фиг.4A), может являться результатом ламинарного потока, проходящего через устройство задания параметров потока. Следовательно, набор измеренных скоростей пути в этом случае не соответствует в точности модели чистого ламинарного профиля потока.
В идеале после прохождения достаточного расстояния в направлении потока устройства задания параметров потока ламинарный поток восстанавливается из близости к стенке трубы, и плоская область сокращается и постепенно пропадает. Тем не менее, в реальных ситуациях расстояние между устройством задания параметров потока и расходомером может не быть достаточно большим для полного развития ламинарного профиля, и ультразвуковые лучи должны будут проходить через частично развитый ламинарный профиль аналогично лучам, представленным на фиг.4A.
Фиг.4B иллюстрирует поперечное сечение в плоскости, перпендикулярной направлению потока. В этой модели частично развитого ламинарного профиля потока плоская область 45 имеет радиус r от осевой линии трубы. Частично ламинарный коэффициент d задается как процент от плоской области в трубе, имеющей радиус R, т.е. d=r/R. Частично ламинарный коэффициент является неизвестным и должен быть найден в ходе измерений потока, когда число Рейнольдса близко к точке перехода.
Позиция конкретного пути отличается посредством уровня канала h, который является кратчайшим расстоянием от центральной точки пути к осевой линии трубы. Снова ссылаясь на фиг.4A, уровень канала пути 41 не равен уровню канала пути 43 и уровню канала пути 44, т.е. пути 41, 43 и 44 асимметрично распределены вокруг осевой линии трубы.
Аналогично, когда турбулентный поток проходит через устройство задания параметров, участок в направлении потока может не иметь достаточной длины для полного развития турбулентного профиля. Сглаженный профиль по-прежнему является турбулентным профилем, но с более высоким коэффициентом степенного закона N, чем оцененный из числа Рейнольдса. Помимо этого, способ быстрого и широкодиапазонного поиска профиля необходим для решения двух неизвестных: центральной скорости Vc и коэффициента степенного закона N.
Некоторые варианты осуществления изобретения относятся к алгоритму поиска и настройки профиля. Алгоритм в соответствии с вариантами осуществления изобретения подходит для всех профилей, в том числе и частично развитых профилей. Как упоминалось выше, ламинарные потоки и турбулентные потоки возникают при определенных диапазонах чисел Рейнольдса. Алгоритм в соответствии с вариантами осуществления настоящего изобретения имеет небольшую зависимость от конкретных чисел Рейнольдса. Вместо этого алгоритм имеет три крупных диапазона поиска: чисто ламинарный, переходный и турбулентный. В переходном диапазоне частично ламинарные и турбулентные профили потока экспериментально подобраны, и в качестве модели профиля используется максимальное соответствие. Этот алгоритм требует интенсивных вычислений, особенно когда требуется большое число итераций в интегральных расчетах.
Как упоминалось выше, для известного ультразвукового пути и известного профиля потока коэффициент канала K связан со скоростью в пути и средней скоростью. Чтобы вывести среднюю скорость из измеренной скорости в пути, сначала необходимо вывести коэффициент канала K для конкретного пути. В соответствии с некоторыми вариантами осуществления настоящего изобретения может быть использована программа для генерирования базы данных коэффициентов канала K как функций от уровней канала h, коэффициентов степенного закона N и частично ламинарного коэффициента r/R. Затем эта база данных может быть использована в качестве таблицы соответствия для быстрого установления (при известном уровне канала h) отношений между коэффициентом канала K и коэффициентом степенного закона N или частично ламинарным коэффициентом r/R.
Ссылаясь на фиг.5, для турбулентного потока или частично развитого турбулентного потока коэффициенты канала K для всех возможных комбинаций уровней канала h (в форме процента от радиуса трубы R) и коэффициенты степенного закона N заранее вычисляются и помещаются в двумерные массивы данных. Аналогично, фиг.6 показывает для частично развитого ламинарного потока двумерные матрицы коэффициентов K как функции от r/R и h/R. Можно видеть, что чистый ламинарный поток является частным случаем частично ламинарного потока, когда радиус плоской области r равен нулю. Например, ссылаясь на фиг.6, когда плоская область не существует (r/R=0) и когда ультразвуковой путь является диагональным (h/R=0), коэффициент K точки 61 данных имеет значение 0,75.
Двумерные матрицы коэффициентов канала, показанные на фиг.5 и фиг.6, универсально характеризуют измерения потока с помощью ультразвуковых путей. Значения K могут сохраняться как таблицы соответствия в базе данных, являющейся частью вычислительной программы расходомера. В ходе этапа конфигурирования измерителя набор уровней канала h выводится из позиций пар датчиков. Затем программа выполняет поиск кривых функции Ki из таблиц соответствия для каждого ультразвукового пути i.
В целях иллюстрации на фиг.7 и фиг.8 показано два набора одномерных матриц, дискретизированных из двумерных матриц с известными уровнями канала. Фиг.7 иллюстрирует коэффициенты K турбулентного потока как функции от N. Четыре кривые 721-724 соответствуют четырем различным каналам 1-4 и получаются посредством нахождения двумерных матриц на фиг.5 для четырех конкретных значений h/R. Например, кривая 722 - это коэффициенты K для канала с диагональным путем, и она выводится из фиг.5 посредством задания h/R=0.
Фиг.8 иллюстрирует коэффициенты K как функции от d для частично развитого ламинарного потока. Четыре кривые 821-824 соответствуют четырем различным путям каналов 1-4 и получаются посредством поиска на фиг.6 кривых, имеющих конкретные уровни канала h. Когда d=0, т.е. когда поток является чистым ламинарным, значение K, измеренное в диагональном пути 822, равно 0,75. С другой стороны, когда d=1, т.е. когда поток является пробковым потоком, все значения K сходятся к значению 1.
В типичной прямой трубе переходный поток возникает, когда число Рейнольдса примерно равно 2300. Это значение может изменяться в зависимости от параметров трубы, а также предыстории потока. Наличие устройства задания параметров потока делает режимы профиля потока еще более непредсказуемыми. Результаты экспериментов показали, что ламинарный поток может полностью развиться после прохождения через устройство задания параметров потока и до достижения набора измерителей, если число Рейнольдса меньше 1000. С другой стороны, маловероятно, чтобы поток мог восстанавливать ламинарный профиль при числе Рейнольдса больше 5000, когда присутствует устройство задания параметров потока. На основе этих результатов, в соответствии с одним вариантом осуществления изобретения, когда число Рейнольдса находится между нижним пределом, к примеру 1000, и верхним пределом, к примеру 5000, частично ламинарная модель используется для подбора профиля потока. Значения нижнего предела 1000 и верхнего предела 5000 используются в данном описании для иллюстрации. Специалисты в данной области техники должны принимать во внимание, что другие пределы также могут использоваться без отступления от области применения изобретения. Например, более широкий диапазон чисел Рейнольдса, к примеру от 500 до 10000, может использоваться для поиска возможных переходных профилей, если точная вязкость текучей среды недоступна при проведении измерений.
В ходе измерений потока, в соответствии с одним вариантом осуществления изобретения, выполняется начальная оценка средней скорости потока, а следовательно, и оценка числа Рейнольдса. Если число Рейнольдса Re>5000, вероятно, поток является турбулентным. В таком случае программа вычисляет приблизительное значение N с помощью уравнения (5) на основе оцененного числа Рейнольдса Re. В диапазоне оцененного N далее программа выполняет поиск четырех кривых на фиг.7 для N, которое дает оптимальный набор коэффициентов K, т.е. четырех выведенных значений Vavg=Vi*Ki, на основе четырех измеренных значений Vi' и четырех значений Ki', полученных из фиг.7 с помощью значения N, имеющего наименьшую статистическую дисперсию. Это новое выведенное значение N является более точным, чем вычисленное с помощью уравнения (5). Найденное значение N может быть передано обратно в программу для итераций, чтобы получить еще большую точность. Аппроксимация кривой может основываться на максимальном соответствии с наименьшим статистическим отклонением. Специалисты в данной области техники должны признавать, что множество способов аппроксимации кривой может использоваться без отступления от области применения настоящего изобретения. Кроме того, число путей может превышать 4 или быть меньше 4.
С другой стороны, если Re<1000, то программа подгоняет измеренные данные к ламинарному профилю с помощью соответствующих уравнений. Если Re между 1000 и 5000 и невозможно достоверно установить, является поток ламинарным, частично ламинарным или турбулентным, программа пытается подобрать измеренные данные с помощью трех различных профилей и находит максимальное соответствие, которое, в свою очередь, определяет истинный профиль потока. Например, если частично ламинарная модель максимально соответствует данным, то программа определяет значение d из фиг.8. От осевой линии трубы до расстояния r=dR поток является "сглаженным". Специалисты в данной области техники должны признавать, что хотя профиль потока в плоской области моделируется с помощью профиля с постоянной скоростью, более сложные модели могут использоваться для моделирования профиля потока в плоской области, которая отличается от ламинарного профиля потока.
В ходе работы расходомера, поскольку доступ к таблицам соответствия выполняется гораздо быстрее, чем выполнение интегральных расчетов в реальном времени, время обработки данных должно существенно снижаться, и расходомер может быть сконфигурирован на месте под различные структуры путей. Тем не менее, специалисты в данной области техники должны принимать во внимание, что варианты осуществления изобретения могут использовать либо заранее вычисленные таблицы соответствия, либо программу расчетов в реальном времени.
Способ в соответствии с одним вариантом осуществления изобретения проиллюстрирован на фиг.9. Алгоритм включает в себя два режима: конфигурационный режим 91 и рабочий режим 92. В конфигурационном режиме 91 на этапе 911 пользователь определяет уникальную комбинацию путей и вводит эту информацию в вычислительную программу. С помощью двумерных матриц коэффициентов канала, заранее вычисленных на этапе 912, вычислительная программа выводит на этапе 913 кривые коэффициентов канала для конкретной конфигурации пути, как описано выше со ссылкой на фиг.7 и фиг.8.
В рабочем режиме 92 компонент 921 вычисления профиля потока сначала вычисляет число Рейнольдса с помощью уравнения (6) и сравнивает на этапе 922 число Рейнольдса с заранее определенным диапазоном. Если число Рейнольдса меньше нижнего предела заранее определенного диапазона, причем в данном примерном случае нижний диапазон равен 1000, программа выполняет вычисление ламинарного потока на этапе 923. Если число Рейнольдса больше верхнего предела заранее определенного диапазона, причем в данном примерном случае верхний диапазон равен 5000, программа выполняет вычисление турбулентного потока на этапе 924. Если число Рейнольдса попадает в заранее определенный диапазон, в данном примерном случае находящийся между 1000 и 5000, программа ищет максимальное соответствие (этап 925) из ламинарных профилей, турбулентных профилей и частично ламинарных профилей и затем выполняет этапы 923, 924 или 926, соответственно. Вышеприведенные этапы могут итеративно выполняться до тех пор, пока не будет получена требуемая точность результатов.
Способы изобретения, проиллюстрированные выше, могут быть осуществлены в одной или более вычислительных программах, подходящих для эксплуатационной конфигурации, для широкого диапазона многопутевых структур и установок устройства задания параметров потока.
Некоторые варианты осуществления изобретения относятся к многопутевому ультразвуковому расходомеру. На фиг.10 проиллюстрирована примерная деталь многопутевого ультразвукового набора с асимметричной структурой размещения путей. В этом варианте осуществления 4-путевой набор измерителей показан в поперечном сечении. Четыре пары ультразвуковых датчиков, 101a и 101b, 102a и 102b, 103a и 103b, 104a и 104b, крепятся к стенке 105 трубы, при этом каждая пара измеряет скорость потока конкретного пути, такого как пути 41-44 на фиг.4A. Пары датчиков подключены к блоку 106 управления, который может включать схему 107 управления вводом-выводом, электронную цифровую вычислительную машину или центральный процессор (ЦП) 108 и машиночитаемый носитель 109. Машиночитаемый носитель (к примеру, запоминающее устройство) 109 может хранить программу, содержащую инструкции для исполнения способа в соответствии с вариантами осуществления изобретения. В некоторых вариантах осуществления машиночитаемый носитель 109 также может хранить базу данных, включающую в себя заранее вычисленные результаты в форме таблиц соответствия. Специалисты в данной области техники должны признавать, что существует множество возможных вариантов осуществления для блока 106 управления, и программы или базы данных могут храниться или переноситься с помощью различных типов машиночитаемых носителей, в том числе, но не только, ПЗУ, ОЗУ, жестких дисков, гибких дисков, компакт-дисков и флэш-дисков.
Как упоминалось выше, по меньшей мере, два пути, каждый из которых имеет различное расстояние от осевой линии трубы, необходимы для нахождения общего профиля потока. Тем не менее, на практике зачастую требуется больше двух путей для усреднения случайности измерений и повышения разрешения профилей, скрытых в случайных процессах. С другой стороны, число ультразвуковых путей всегда ограничено требованиями по размерам и цене.
Следует отметить, что в соответствии с предпочтительным вариантом осуществления настоящего изобретения несколько путей имеют асимметричное распределение вокруг осевой линии трубы. Каждый из этих путей имеет свой отличный уровень канала от осевой линии трубы и предоставляет уникальную информацию о профиле потока. В отличие от этого, набор измерителей с одинаковым числом путей, но использующих симметричное распределение путей, предоставляет меньше информации.
Преимущества настоящего изобретения включают в себя одно или более из следующего: (a) точные и быстрые измерения потока, охватывающие широкий диапазон профилей потока, в том числе ламинарный поток, турбулентный поток и частично ламинарный поток; (b) меньшая зависимость от выбора устройства задания параметров и короче стандартного расстояние между устройством задания параметров и областью ультразвуковых измерений может быть достаточным, что обеспечивает потребителям выгоду при установке и по стоимости; (c) более быстрая реакция как ответ заранее вычисленных таблиц соответствия; (d) меньше число ультразвуковых путей и датчиков требуется в результате асимметричной конфигурации путей.
Хотя изобретение описано относительно ограниченного числа вариантов осуществления, специалисты в данной области техники, воспользовавшись выгодами данной сущности, должны признавать, что могут быть другие варианты осуществления без отступления от области применения изобретения, раскрываемой в данном документе. Следовательно, область применения изобретения ограничена только прилагаемой формулой изобретения.
Claims (17)
1. Способ определения скорости текучей среды, при этом способ содержит этапы, на которых
оценивают число Рейнольдса для текучей среды при помощи ультразвукового расходомера, имеющего множество пар датчиков, сконфигурированных для формирования множества путей измерения в трубе, при этом множество путей измерения размещается асимметрично относительно осевой линии трубы;
сравнивают оцененное число Рейнольдса с выбранным диапазоном; и
определяют скорость текучей среды на основе модели потока, выбранной из модели ламинарного потока, модели турбулентного потока и модели частично ламинарного потока, причем упомянутую модель выбирают, основываясь на результатах сравнения оцененного числа Рейнольдса упомянутой текучей среды и выбранного диапазона чисел Рейнольдса.
оценивают число Рейнольдса для текучей среды при помощи ультразвукового расходомера, имеющего множество пар датчиков, сконфигурированных для формирования множества путей измерения в трубе, при этом множество путей измерения размещается асимметрично относительно осевой линии трубы;
сравнивают оцененное число Рейнольдса с выбранным диапазоном; и
определяют скорость текучей среды на основе модели потока, выбранной из модели ламинарного потока, модели турбулентного потока и модели частично ламинарного потока, причем упомянутую модель выбирают, основываясь на результатах сравнения оцененного числа Рейнольдса упомянутой текучей среды и выбранного диапазона чисел Рейнольдса.
2. Способ по п.1, в котором выбранный диапазон находится от 1000 до 5000.
3. Способ по п.1, в котором выбранный диапазон находится от 500 до 10000.
4. Способ по п.1, в котором оценка числа Рейнольдса основана на измерении скорости и вязкости текучей среды.
5. Способ по п.1, в котором модель потока - это турбулентная модель, и определение содержит этап, на котором определяют коэффициент степенного закона.
6. Способ по п.5, в котором коэффициент степенного закона определяется посредством сопоставления набора измерений скорости, выполненных с помощью упомянутого ультразвукового расходомера, с набором кривых, связывающих коэффициенты канала с коэффициентами степенного закона, при этом набор кривых основан на размещениях нескольких путей упомянутого ультразвукового расходомера.
7. Способ по п.6, в котором набор кривых выбирается из базы данных, содержащей заранее вычисленные кривые.
8. Способ по п.1, в котором модель потока - это модель, выбранная из модели частично ламинарного потока, модели турбулентного потока и модели ламинарного потока, и определение содержит этап, на котором оценивают частично ламинарный коэффициент, который соответствует отношению неламинарной области ко всей области потока в поперечном сечении потока текучей среды.
9. Способ по п.8, в котором определение дополнительно содержит этап, на котором находят максимальное соответствие измерений скорости с моделью, выбранной из частично ламинарной модели, ламинарной модели и турбулентной модели.
10. Машиночитаемый носитель, хранящий программу, содержащую инструкции, которые при выполнении их компьютером вызывают осуществление упомянутым компьютером этапов способа для определения скорости потока текучей среды на основе модели потока, на которых
оценивают число Рейнольдса для текучей среды при помощи ультразвукового расходомера, имеющего множество пар датчиков, сконфигурированных для формирования множества путей измерения в трубе, при этом множество путей измерения размещается асимметрично относительно осевой линии трубы;
сравнивают оцененное число Рейнольдса с выбранным диапазоном; и
определяют скорость текучей среды на основе модели потока, выбранной из модели ламинарного потока, модели турбулентного потока и модели частично ламинарного потока, причем упомянутую модель выбирают, основываясь на результатах сравнения оцененного числа Рейнольдса упомянутой текучей среды и выбранного диапазона чисел Рейнольдса.
оценивают число Рейнольдса для текучей среды при помощи ультразвукового расходомера, имеющего множество пар датчиков, сконфигурированных для формирования множества путей измерения в трубе, при этом множество путей измерения размещается асимметрично относительно осевой линии трубы;
сравнивают оцененное число Рейнольдса с выбранным диапазоном; и
определяют скорость текучей среды на основе модели потока, выбранной из модели ламинарного потока, модели турбулентного потока и модели частично ламинарного потока, причем упомянутую модель выбирают, основываясь на результатах сравнения оцененного числа Рейнольдса упомянутой текучей среды и выбранного диапазона чисел Рейнольдса.
11. Машиночитаемый носитель по п.10, в котором выбранный диапазон находится от 500 до 10000.
12. Машиночитаемый носитель по п.10, в котором выбранный диапазон находится от 1000 до 5000.
13. Машиночитаемый носитель по п.10, причем носитель дополнительно содержит базу данных, хранящую коэффициенты канала как функцию от коэффициентов степенного закона для модели турбулентного потока и коэффициенты канала как функцию от частично ламинарных коэффициентов для частично ламинарной модели.
14. Машиночитаемый носитель по п.10, в котором программа дополнительно содержит инструкции для вычисления коэффициента канала как функции от коэффициента степенного закона для модели турбулентного потока и инструкции для вычисления коэффициента канала как функции от частично ламинарного коэффициента, что соответствует отношению неламинарной области ко всей области потока в поперечном сечении потока текучей среды.
15. Ультразвуковой расходомер, причем ультразвуковой расходомер содержит
множество пар датчиков, сконфигурированных для формирования множества путей измерения в трубе, при этом множество путей измерения размещается асимметрично относительно осевой линии трубы; и
блок управления, причем упомянутое множество пар датчиков соединено с блоком управления, причем блок управления содержит
процессор и запоминающее устройство, причем запоминающее устройство хранит программу, имеющую инструкции для
определения скорости потока текучей среды на основе модели потока, выбранной из модели ламинарного потока, модели турбулентного потока и модели частично ламинарного потока, при этом модель потока выбирается на основе сравнения оцененного числа Рейнольдса текучей среды с выбранным диапазоном чисел Рейнольдса.
множество пар датчиков, сконфигурированных для формирования множества путей измерения в трубе, при этом множество путей измерения размещается асимметрично относительно осевой линии трубы; и
блок управления, причем упомянутое множество пар датчиков соединено с блоком управления, причем блок управления содержит
процессор и запоминающее устройство, причем запоминающее устройство хранит программу, имеющую инструкции для
определения скорости потока текучей среды на основе модели потока, выбранной из модели ламинарного потока, модели турбулентного потока и модели частично ламинарного потока, при этом модель потока выбирается на основе сравнения оцененного числа Рейнольдса текучей среды с выбранным диапазоном чисел Рейнольдса.
16. Ультразвуковой расходомер по п.15, в котором запоминающее устройство дополнительно хранит базу данных, хранящую коэффициенты канала как функцию от коэффициентов степенного закона для модели турбулентного потока и коэффициенты канала как функцию от частично ламинарных коэффициентов для частично ламинарной модели.
17. Ультразвуковой расходомер по п.16, в котором программа дополнительно содержит инструкции для вычисления коэффициента канала как функции от коэффициента степенного закона для модели турбулентного потока и инструкции для вычисления коэффициента канала как функции от частично ламинарного коэффициента для модели частично ламинарного потока, и инструкции для определения максимального соответствия с измерениями с помощью модели, выбранной из модели частично ламинарного потока, модели ламинарного потока и модели турбулентного потока.
Applications Claiming Priority (2)
| Application Number | Priority Date | Filing Date | Title |
|---|---|---|---|
| US11/300,128 US7299140B2 (en) | 2005-12-14 | 2005-12-14 | Method and system for multi-path ultrasonic flow measurement of partially developed flow profiles |
| US11/300,128 | 2005-12-14 |
Publications (2)
| Publication Number | Publication Date |
|---|---|
| RU2006144584A RU2006144584A (ru) | 2008-06-20 |
| RU2392588C2 true RU2392588C2 (ru) | 2010-06-20 |
Family
ID=37912439
Family Applications (1)
| Application Number | Title | Priority Date | Filing Date |
|---|---|---|---|
| RU2006144584/28A RU2392588C2 (ru) | 2005-12-14 | 2006-12-13 | Способ и система многопутевого ультразвукового измерения параметров потока частично развитых профилей потока |
Country Status (6)
| Country | Link |
|---|---|
| US (1) | US7299140B2 (ru) |
| EP (1) | EP1798530A3 (ru) |
| JP (1) | JP4668163B2 (ru) |
| CN (1) | CN1982895B (ru) |
| CA (1) | CA2570456C (ru) |
| RU (1) | RU2392588C2 (ru) |
Cited By (2)
| Publication number | Priority date | Publication date | Assignee | Title |
|---|---|---|---|---|
| RU2580898C1 (ru) * | 2013-04-25 | 2016-04-10 | Вуджин Инк. | Ультразвуковая система измерения потока |
| RU2772552C2 (ru) * | 2018-10-01 | 2022-05-23 | ДЭНИЕЛ МЕЖЕМЕНТ энд КОНТРОЛ, ИНК. | Ультразвуковой преобразователь с герметизированным 3d-печатным массивом миниатюрных рупоров |
Families Citing this family (22)
| Publication number | Priority date | Publication date | Assignee | Title |
|---|---|---|---|---|
| US7729869B2 (en) * | 2007-11-16 | 2010-06-01 | Burger & Brown Engineering, Inc. | Electronic flow characteristic indicating flow meter |
| KR101271265B1 (ko) * | 2008-04-22 | 2013-06-10 | 카메론 인터내셔널 코포레이션 | 파이프 내의 유체 유동 분석 장치 및 방법 |
| US7942068B2 (en) * | 2009-03-11 | 2011-05-17 | Ge Infrastructure Sensing, Inc. | Method and system for multi-path ultrasonic flow rate measurement |
| US9320496B2 (en) * | 2010-02-25 | 2016-04-26 | Siemens Medical Solutions Usa, Inc. | Volumetric is quantification for ultrasound diagnostic imaging |
| US8429985B2 (en) | 2010-08-24 | 2013-04-30 | General Electric Company | Apparatus for use in determining a plurality of characteristics of a multiphase flow within a pipe |
| CN102087130B (zh) * | 2010-11-19 | 2012-02-15 | 北京工业大学 | 基于cfd技术的多声路超声流量计弯管安装的声路优化方法 |
| FR2970083B1 (fr) * | 2011-01-05 | 2013-02-15 | Leosphere | Procede et dispositif de determination des mouvements d'un fluide a partir de mesures a distance de vitesses radiales. |
| DE102011080365A1 (de) * | 2011-08-03 | 2013-02-07 | Endress + Hauser Flowtec Ag | Verfahren zum Ermitteln des Durchflusses mittels Ultraschall |
| US9068870B2 (en) | 2013-02-27 | 2015-06-30 | Daniel Measurement And Control, Inc. | Ultrasonic flow metering with laminar to turbulent transition flow control |
| WO2014152638A1 (en) * | 2013-03-15 | 2014-09-25 | Sas Ip | Systems and methods for multi-zonal analysis of physical objects |
| DE102014004747B4 (de) * | 2013-10-30 | 2023-02-16 | Krohne Ag | Ultraschall-Durchflussmesser |
| US9255827B2 (en) * | 2013-12-17 | 2016-02-09 | International Business Machines Corporation | Computer based fluid flow velocity estimation from concentrations of a reacting constituent for products and services |
| US11047722B2 (en) * | 2013-12-17 | 2021-06-29 | International Business Machines Corporation | Computer based fluid flow velocity estimation from concentrations of a reacting constituent for products and services |
| US9304024B2 (en) * | 2014-01-13 | 2016-04-05 | Cameron International Corporation | Acoustic flow measurement device including a plurality of chordal planes each having a plurality of axial velocity measurements using transducer pairs |
| CN103808381B (zh) * | 2014-03-04 | 2016-06-15 | 华南理工大学 | 一种时差式超声波流量计的温度影响消除方法 |
| CN104090020A (zh) * | 2014-07-10 | 2014-10-08 | 天津大学 | 基于电学与超声双模态多相流测量装置 |
| CN105737918B (zh) * | 2014-12-11 | 2019-05-10 | 通用电气公司 | 用来测量流体流量的超声方法和装置 |
| CN108491561B (zh) * | 2018-01-26 | 2021-05-11 | 中国水利水电科学研究院 | 一种基于流态辨识的弧形闸门过流计算方法 |
| CN112149238B (zh) * | 2019-06-10 | 2022-10-04 | 中国石油天然气股份有限公司 | 气液分离器中气泡上浮速度的确定方法及装置 |
| WO2021081385A1 (en) * | 2019-10-25 | 2021-04-29 | Klein Marine Systems, Inc. | Variable geometry sonar system and method |
| US11709080B2 (en) * | 2019-12-26 | 2023-07-25 | Horiba Stec, Co., Ltd. | Flow rate estimation for mass flow controller |
| CN115790744A (zh) * | 2022-12-01 | 2023-03-14 | 西安安森智能仪器股份有限公司 | 一种多声道流量计算方法 |
Citations (4)
| Publication number | Priority date | Publication date | Assignee | Title |
|---|---|---|---|---|
| US5987997A (en) * | 1995-11-22 | 1999-11-23 | Krohne A.G. | Ultrasound flow measurement method |
| US6047602A (en) * | 1996-10-29 | 2000-04-11 | Panametrics, Inc. | Ultrasonic buffer/waveguide |
| US6067861A (en) * | 1998-06-18 | 2000-05-30 | Battelle Memorial Institute | Method and apparatus for ultrasonic doppler velocimetry using speed of sound and reflection mode pulsed wideband doppler |
| US6647806B1 (en) * | 2000-07-14 | 2003-11-18 | Caldon, Inc. | Turbulence conditioner for use with transit time ultrasonic flowmeters |
Family Cites Families (8)
| Publication number | Priority date | Publication date | Assignee | Title |
|---|---|---|---|---|
| US4078428A (en) * | 1974-11-21 | 1978-03-14 | National Research Development Corporation | Measurement of fluid flow |
| US4517847A (en) * | 1982-10-27 | 1985-05-21 | The Foxboro Company | Flowmeter having uniform response under both laminar and turbulent flow conditions |
| US4856321A (en) * | 1983-07-29 | 1989-08-15 | Panametrics, Inc. | Apparatus and methods for measuring fluid flow parameters |
| JP3194270B2 (ja) * | 1995-02-28 | 2001-07-30 | 経済産業省産業技術総合研究所長 | 超音波流量計 |
| US5835884A (en) * | 1996-10-04 | 1998-11-10 | Brown; Alvin E. | Method of determining a characteristic of a fluid |
| US6378357B1 (en) * | 2000-03-14 | 2002-04-30 | Halliburton Energy Services, Inc. | Method of fluid rheology characterization and apparatus therefor |
| JP2002039824A (ja) * | 2000-07-25 | 2002-02-06 | Yazaki Corp | 流量測定装置 |
| KR100374429B1 (ko) * | 2000-09-15 | 2003-03-04 | 인터내셔날하이드로손닉 주식회사 | 초음파 다회선 유량 측정방법 |
-
2005
- 2005-12-14 US US11/300,128 patent/US7299140B2/en not_active Expired - Lifetime
-
2006
- 2006-12-05 EP EP06125459A patent/EP1798530A3/en not_active Withdrawn
- 2006-12-05 JP JP2006328590A patent/JP4668163B2/ja not_active Expired - Fee Related
- 2006-12-06 CA CA2570456A patent/CA2570456C/en not_active Expired - Fee Related
- 2006-12-13 CN CN2006101669564A patent/CN1982895B/zh not_active Expired - Fee Related
- 2006-12-13 RU RU2006144584/28A patent/RU2392588C2/ru not_active IP Right Cessation
Patent Citations (4)
| Publication number | Priority date | Publication date | Assignee | Title |
|---|---|---|---|---|
| US5987997A (en) * | 1995-11-22 | 1999-11-23 | Krohne A.G. | Ultrasound flow measurement method |
| US6047602A (en) * | 1996-10-29 | 2000-04-11 | Panametrics, Inc. | Ultrasonic buffer/waveguide |
| US6067861A (en) * | 1998-06-18 | 2000-05-30 | Battelle Memorial Institute | Method and apparatus for ultrasonic doppler velocimetry using speed of sound and reflection mode pulsed wideband doppler |
| US6647806B1 (en) * | 2000-07-14 | 2003-11-18 | Caldon, Inc. | Turbulence conditioner for use with transit time ultrasonic flowmeters |
Cited By (2)
| Publication number | Priority date | Publication date | Assignee | Title |
|---|---|---|---|---|
| RU2580898C1 (ru) * | 2013-04-25 | 2016-04-10 | Вуджин Инк. | Ультразвуковая система измерения потока |
| RU2772552C2 (ru) * | 2018-10-01 | 2022-05-23 | ДЭНИЕЛ МЕЖЕМЕНТ энд КОНТРОЛ, ИНК. | Ультразвуковой преобразователь с герметизированным 3d-печатным массивом миниатюрных рупоров |
Also Published As
| Publication number | Publication date |
|---|---|
| RU2006144584A (ru) | 2008-06-20 |
| CA2570456A1 (en) | 2007-06-14 |
| JP2007163478A (ja) | 2007-06-28 |
| EP1798530A2 (en) | 2007-06-20 |
| US7299140B2 (en) | 2007-11-20 |
| JP4668163B2 (ja) | 2011-04-13 |
| CN1982895A (zh) | 2007-06-20 |
| CN1982895B (zh) | 2010-12-15 |
| CA2570456C (en) | 2012-04-17 |
| US20070136008A1 (en) | 2007-06-14 |
| EP1798530A3 (en) | 2007-07-25 |
Similar Documents
| Publication | Publication Date | Title |
|---|---|---|
| RU2392588C2 (ru) | Способ и система многопутевого ультразвукового измерения параметров потока частично развитых профилей потока | |
| CN104136891B (zh) | 利用经补偿的计算温度的超声流动计量 | |
| US7654151B2 (en) | Method and apparatus for measuring multi-streams and multi-phase flow | |
| CN204115825U (zh) | 具有上游压力换能器的超声流量计量系统 | |
| US9134155B2 (en) | Reynolds number based verification for ultrasonic flow metering systems | |
| US10928230B2 (en) | Acoustic flow measurement device including a plurality of chordal planes each having a plurality of axial velocity measurements using transducer pairs | |
| WO2013006090A1 (en) | The calibration method, applied in operating conditions, for ultrasonic flow meters used for measuring volume and flow rate of single-phase liquid media | |
| US12188807B2 (en) | Ultrasonic meter employing two or more dissimilar chordal multipath integration methods in one body | |
| EP3729017A1 (en) | Multi-fluid calibration | |
| Guo et al. | Integration method of multipath ultrasonic flowmeter based on velocity distribution | |
| US7643947B2 (en) | System and method for flow profile calibration correction for ultrasonic flowmeters | |
| JP2024110149A (ja) | 流量計測方法及び流量計測システム | |
| KR102507267B1 (ko) | 배관의 벽면 속도 측정방법 및 그 알고리즘이 기록된 기록매체 | |
| WO2025128067A1 (en) | Flow measurement method in non-uniform flow profiles | |
| CN105890684A (zh) | 一种采用高斯-雅可比多项式确定声道位置的设置新方法 | |
| CN116878624A (zh) | 多声道超声波气体流量计的测量方法、装置、电子设备 | |
| Kalivoda et al. | Dynamic Testing | |
| NO20240077A1 (en) | Differential pressure-based mass flow meter for fluid and fluid mixture metering | |
| CN118159809A (zh) | 具有内流动通道和外流动通道的超声波流量计 | |
| JP2022159920A (ja) | 管路内状態推定装置、及び、管路内状態推定方法 | |
| Matiko et al. | Reduction of Hydrodynamic Flow Measurement Error of Chordal Ultrasonic Flowmeter | |
| Shannak et al. | Experimental and theoretical investigation on the discharge characteristic of stratified two-phase flow | |
| Kabaciński | Experimental research on velocity profiles in selected flow systems | |
| Razaghi | Methodology and case study of commercially optimum prover sizing for an ultrasonic fiscal metering system of crude oil |
Legal Events
| Date | Code | Title | Description |
|---|---|---|---|
| MM4A | The patent is invalid due to non-payment of fees |
Effective date: 20201214 |


