KR20180098361A - 아실아닐리드 유도체, 이의 제조 방법 및 약학에서의 적용 - Google Patents
아실아닐리드 유도체, 이의 제조 방법 및 약학에서의 적용 Download PDFInfo
- Publication number
- KR20180098361A KR20180098361A KR1020187021420A KR20187021420A KR20180098361A KR 20180098361 A KR20180098361 A KR 20180098361A KR 1020187021420 A KR1020187021420 A KR 1020187021420A KR 20187021420 A KR20187021420 A KR 20187021420A KR 20180098361 A KR20180098361 A KR 20180098361A
- Authority
- KR
- South Korea
- Prior art keywords
- phenyl
- acrylamide
- methoxyl
- amino
- methyl
- Prior art date
- Legal status (The legal status is an assumption and is not a legal conclusion. Google has not performed a legal analysis and makes no representation as to the accuracy of the status listed.)
- Granted
Links
Classifications
-
- A—HUMAN NECESSITIES
- A61—MEDICAL OR VETERINARY SCIENCE; HYGIENE
- A61K—PREPARATIONS FOR MEDICAL, DENTAL OR TOILETRY PURPOSES
- A61K31/00—Medicinal preparations containing organic active ingredients
- A61K31/33—Heterocyclic compounds
- A61K31/395—Heterocyclic compounds having nitrogen as a ring hetero atom, e.g. guanethidine or rifamycins
- A61K31/495—Heterocyclic compounds having nitrogen as a ring hetero atom, e.g. guanethidine or rifamycins having six-membered rings with two or more nitrogen atoms as the only ring heteroatoms, e.g. piperazine or tetrazines
- A61K31/505—Pyrimidines; Hydrogenated pyrimidines, e.g. trimethoprim
- A61K31/506—Pyrimidines; Hydrogenated pyrimidines, e.g. trimethoprim not condensed and containing further heterocyclic rings
-
- A—HUMAN NECESSITIES
- A61—MEDICAL OR VETERINARY SCIENCE; HYGIENE
- A61K—PREPARATIONS FOR MEDICAL, DENTAL OR TOILETRY PURPOSES
- A61K31/00—Medicinal preparations containing organic active ingredients
- A61K31/33—Heterocyclic compounds
- A61K31/395—Heterocyclic compounds having nitrogen as a ring hetero atom, e.g. guanethidine or rifamycins
- A61K31/495—Heterocyclic compounds having nitrogen as a ring hetero atom, e.g. guanethidine or rifamycins having six-membered rings with two or more nitrogen atoms as the only ring heteroatoms, e.g. piperazine or tetrazines
- A61K31/505—Pyrimidines; Hydrogenated pyrimidines, e.g. trimethoprim
-
- A—HUMAN NECESSITIES
- A61—MEDICAL OR VETERINARY SCIENCE; HYGIENE
- A61K—PREPARATIONS FOR MEDICAL, DENTAL OR TOILETRY PURPOSES
- A61K31/00—Medicinal preparations containing organic active ingredients
- A61K31/33—Heterocyclic compounds
- A61K31/395—Heterocyclic compounds having nitrogen as a ring hetero atom, e.g. guanethidine or rifamycins
- A61K31/53—Heterocyclic compounds having nitrogen as a ring hetero atom, e.g. guanethidine or rifamycins having six-membered rings with three nitrogens as the only ring hetero atoms, e.g. chlorazanil, melamine
-
- A—HUMAN NECESSITIES
- A61—MEDICAL OR VETERINARY SCIENCE; HYGIENE
- A61K—PREPARATIONS FOR MEDICAL, DENTAL OR TOILETRY PURPOSES
- A61K31/00—Medicinal preparations containing organic active ingredients
- A61K31/33—Heterocyclic compounds
- A61K31/395—Heterocyclic compounds having nitrogen as a ring hetero atom, e.g. guanethidine or rifamycins
- A61K31/535—Heterocyclic compounds having nitrogen as a ring hetero atom, e.g. guanethidine or rifamycins having six-membered rings with at least one nitrogen and one oxygen as the ring hetero atoms, e.g. 1,2-oxazines
- A61K31/5375—1,4-Oxazines, e.g. morpholine
- A61K31/5377—1,4-Oxazines, e.g. morpholine not condensed and containing further heterocyclic rings, e.g. timolol
-
- A—HUMAN NECESSITIES
- A61—MEDICAL OR VETERINARY SCIENCE; HYGIENE
- A61K—PREPARATIONS FOR MEDICAL, DENTAL OR TOILETRY PURPOSES
- A61K31/00—Medicinal preparations containing organic active ingredients
- A61K31/33—Heterocyclic compounds
- A61K31/395—Heterocyclic compounds having nitrogen as a ring hetero atom, e.g. guanethidine or rifamycins
- A61K31/55—Heterocyclic compounds having nitrogen as a ring hetero atom, e.g. guanethidine or rifamycins having seven-membered rings, e.g. azelastine, pentylenetetrazole
- A61K31/551—Heterocyclic compounds having nitrogen as a ring hetero atom, e.g. guanethidine or rifamycins having seven-membered rings, e.g. azelastine, pentylenetetrazole having two nitrogen atoms, e.g. dilazep
-
- A—HUMAN NECESSITIES
- A61—MEDICAL OR VETERINARY SCIENCE; HYGIENE
- A61P—SPECIFIC THERAPEUTIC ACTIVITY OF CHEMICAL COMPOUNDS OR MEDICINAL PREPARATIONS
- A61P35/00—Antineoplastic agents
-
- C—CHEMISTRY; METALLURGY
- C07—ORGANIC CHEMISTRY
- C07D—HETEROCYCLIC COMPOUNDS
- C07D239/00—Heterocyclic compounds containing 1,3-diazine or hydrogenated 1,3-diazine rings
- C07D239/02—Heterocyclic compounds containing 1,3-diazine or hydrogenated 1,3-diazine rings not condensed with other rings
- C07D239/24—Heterocyclic compounds containing 1,3-diazine or hydrogenated 1,3-diazine rings not condensed with other rings having three or more double bonds between ring members or between ring members and non-ring members
- C07D239/28—Heterocyclic compounds containing 1,3-diazine or hydrogenated 1,3-diazine rings not condensed with other rings having three or more double bonds between ring members or between ring members and non-ring members with hetero atoms or with carbon atoms having three bonds to hetero atoms with at the most one bond to halogen, directly attached to ring carbon atoms
- C07D239/46—Two or more oxygen, sulphur or nitrogen atoms
- C07D239/47—One nitrogen atom and one oxygen or sulfur atom, e.g. cytosine
-
- C—CHEMISTRY; METALLURGY
- C07—ORGANIC CHEMISTRY
- C07D—HETEROCYCLIC COMPOUNDS
- C07D239/00—Heterocyclic compounds containing 1,3-diazine or hydrogenated 1,3-diazine rings
- C07D239/02—Heterocyclic compounds containing 1,3-diazine or hydrogenated 1,3-diazine rings not condensed with other rings
- C07D239/24—Heterocyclic compounds containing 1,3-diazine or hydrogenated 1,3-diazine rings not condensed with other rings having three or more double bonds between ring members or between ring members and non-ring members
- C07D239/28—Heterocyclic compounds containing 1,3-diazine or hydrogenated 1,3-diazine rings not condensed with other rings having three or more double bonds between ring members or between ring members and non-ring members with hetero atoms or with carbon atoms having three bonds to hetero atoms with at the most one bond to halogen, directly attached to ring carbon atoms
- C07D239/46—Two or more oxygen, sulphur or nitrogen atoms
- C07D239/48—Two nitrogen atoms
-
- C—CHEMISTRY; METALLURGY
- C07—ORGANIC CHEMISTRY
- C07D—HETEROCYCLIC COMPOUNDS
- C07D251/00—Heterocyclic compounds containing 1,3,5-triazine rings
- C07D251/02—Heterocyclic compounds containing 1,3,5-triazine rings not condensed with other rings
- C07D251/12—Heterocyclic compounds containing 1,3,5-triazine rings not condensed with other rings having three double bonds between ring members or between ring members and non-ring members
- C07D251/14—Heterocyclic compounds containing 1,3,5-triazine rings not condensed with other rings having three double bonds between ring members or between ring members and non-ring members with hydrogen or carbon atoms directly attached to at least one ring carbon atom
- C07D251/16—Heterocyclic compounds containing 1,3,5-triazine rings not condensed with other rings having three double bonds between ring members or between ring members and non-ring members with hydrogen or carbon atoms directly attached to at least one ring carbon atom to only one ring carbon atom
- C07D251/18—Heterocyclic compounds containing 1,3,5-triazine rings not condensed with other rings having three double bonds between ring members or between ring members and non-ring members with hydrogen or carbon atoms directly attached to at least one ring carbon atom to only one ring carbon atom with nitrogen atoms directly attached to the two other ring carbon atoms, e.g. guanamines
-
- C—CHEMISTRY; METALLURGY
- C07—ORGANIC CHEMISTRY
- C07D—HETEROCYCLIC COMPOUNDS
- C07D251/00—Heterocyclic compounds containing 1,3,5-triazine rings
- C07D251/02—Heterocyclic compounds containing 1,3,5-triazine rings not condensed with other rings
- C07D251/12—Heterocyclic compounds containing 1,3,5-triazine rings not condensed with other rings having three double bonds between ring members or between ring members and non-ring members
- C07D251/26—Heterocyclic compounds containing 1,3,5-triazine rings not condensed with other rings having three double bonds between ring members or between ring members and non-ring members with only hetero atoms directly attached to ring carbon atoms
- C07D251/40—Nitrogen atoms
- C07D251/48—Two nitrogen atoms
-
- C—CHEMISTRY; METALLURGY
- C07—ORGANIC CHEMISTRY
- C07D—HETEROCYCLIC COMPOUNDS
- C07D401/00—Heterocyclic compounds containing two or more hetero rings, having nitrogen atoms as the only ring hetero atoms, at least one ring being a six-membered ring with only one nitrogen atom
- C07D401/02—Heterocyclic compounds containing two or more hetero rings, having nitrogen atoms as the only ring hetero atoms, at least one ring being a six-membered ring with only one nitrogen atom containing two hetero rings
- C07D401/12—Heterocyclic compounds containing two or more hetero rings, having nitrogen atoms as the only ring hetero atoms, at least one ring being a six-membered ring with only one nitrogen atom containing two hetero rings linked by a chain containing hetero atoms as chain links
-
- C—CHEMISTRY; METALLURGY
- C07—ORGANIC CHEMISTRY
- C07D—HETEROCYCLIC COMPOUNDS
- C07D401/00—Heterocyclic compounds containing two or more hetero rings, having nitrogen atoms as the only ring hetero atoms, at least one ring being a six-membered ring with only one nitrogen atom
- C07D401/14—Heterocyclic compounds containing two or more hetero rings, having nitrogen atoms as the only ring hetero atoms, at least one ring being a six-membered ring with only one nitrogen atom containing three or more hetero rings
-
- C—CHEMISTRY; METALLURGY
- C07—ORGANIC CHEMISTRY
- C07D—HETEROCYCLIC COMPOUNDS
- C07D403/00—Heterocyclic compounds containing two or more hetero rings, having nitrogen atoms as the only ring hetero atoms, not provided for by group C07D401/00
- C07D403/02—Heterocyclic compounds containing two or more hetero rings, having nitrogen atoms as the only ring hetero atoms, not provided for by group C07D401/00 containing two hetero rings
- C07D403/04—Heterocyclic compounds containing two or more hetero rings, having nitrogen atoms as the only ring hetero atoms, not provided for by group C07D401/00 containing two hetero rings directly linked by a ring-member-to-ring-member bond
-
- C—CHEMISTRY; METALLURGY
- C07—ORGANIC CHEMISTRY
- C07D—HETEROCYCLIC COMPOUNDS
- C07D403/00—Heterocyclic compounds containing two or more hetero rings, having nitrogen atoms as the only ring hetero atoms, not provided for by group C07D401/00
- C07D403/02—Heterocyclic compounds containing two or more hetero rings, having nitrogen atoms as the only ring hetero atoms, not provided for by group C07D401/00 containing two hetero rings
- C07D403/12—Heterocyclic compounds containing two or more hetero rings, having nitrogen atoms as the only ring hetero atoms, not provided for by group C07D401/00 containing two hetero rings linked by a chain containing hetero atoms as chain links
-
- C—CHEMISTRY; METALLURGY
- C07—ORGANIC CHEMISTRY
- C07D—HETEROCYCLIC COMPOUNDS
- C07D403/00—Heterocyclic compounds containing two or more hetero rings, having nitrogen atoms as the only ring hetero atoms, not provided for by group C07D401/00
- C07D403/14—Heterocyclic compounds containing two or more hetero rings, having nitrogen atoms as the only ring hetero atoms, not provided for by group C07D401/00 containing three or more hetero rings
-
- C—CHEMISTRY; METALLURGY
- C07—ORGANIC CHEMISTRY
- C07D—HETEROCYCLIC COMPOUNDS
- C07D405/00—Heterocyclic compounds containing both one or more hetero rings having oxygen atoms as the only ring hetero atoms, and one or more rings having nitrogen as the only ring hetero atom
- C07D405/14—Heterocyclic compounds containing both one or more hetero rings having oxygen atoms as the only ring hetero atoms, and one or more rings having nitrogen as the only ring hetero atom containing three or more hetero rings
-
- C—CHEMISTRY; METALLURGY
- C07—ORGANIC CHEMISTRY
- C07D—HETEROCYCLIC COMPOUNDS
- C07D413/00—Heterocyclic compounds containing two or more hetero rings, at least one ring having nitrogen and oxygen atoms as the only ring hetero atoms
- C07D413/14—Heterocyclic compounds containing two or more hetero rings, at least one ring having nitrogen and oxygen atoms as the only ring hetero atoms containing three or more hetero rings
Landscapes
- Chemical & Material Sciences (AREA)
- Organic Chemistry (AREA)
- Health & Medical Sciences (AREA)
- Medicinal Chemistry (AREA)
- Pharmacology & Pharmacy (AREA)
- Life Sciences & Earth Sciences (AREA)
- Animal Behavior & Ethology (AREA)
- General Health & Medical Sciences (AREA)
- Public Health (AREA)
- Veterinary Medicine (AREA)
- Epidemiology (AREA)
- General Chemical & Material Sciences (AREA)
- Nuclear Medicine, Radiotherapy & Molecular Imaging (AREA)
- Chemical Kinetics & Catalysis (AREA)
- Pharmaceuticals Containing Other Organic And Inorganic Compounds (AREA)
- Plural Heterocyclic Compounds (AREA)
- Acyclic And Carbocyclic Compounds In Medicinal Compositions (AREA)
- Steroid Compounds (AREA)
- Organic Low-Molecular-Weight Compounds And Preparation Thereof (AREA)
Abstract
Description
Claims (16)
- 화학식 (I)의 화합물 또는 이의 약학적으로 허용 가능한 염, 용매화물 또는 전구약물:
위 화학식 I에서,
X, Y 및 R1은 다음의 a), b) 및 c) 중 어느 하나로부터 선택되며,
a) R1이 -NR5R6일 때, X 및 Y는 서로 동일하거나 상이하며, 각각 독립적으로 N 및 CR4로부터 선택되고;
b) R1이 -OR5 및 -SR5로부터 선택될 때, X 및 Y는 서로 동일하거나 상이하며, 각각 독립적으로 N 및 CR4로부터 선택되고;
c) R1이 -CR5R6이고 R5 및 R6가 이들에 부착된 탄소 원자와 함께 고리를 형성할 때, X는 CR4이고 Y는 N이고;
R2는 알콕시, 알킬설파닐 또는 NR6R6로 이루어진 군으로부터 선택되고;
R3는 수소, N(Ry)(Rz), -N(Rv)RuN(Ry)(Rz), -ORuOR6, -ORuN(Ry)(Rz), -SR6 및 -SRuN(Ry)(Rz)로 이루어진 군으로부터 선택되고;
R4 및 R'4는 수소, 할로겐, 알킬, 알콕시, 할로알킬 및 시아노로 이루어진 군으로부터 각각 선택되고;
R5 및 R6는 다음의 a), b) 및 c) 중 어느 하나로부터 선택되며;
a) R5는 선택적으로 치환된 아릴 기, 선택적으로 치환된 헤테로아릴 또는 선택적으로 치환된 헤테로시클릴이고; 치환될 때, 치환기는 1-5 R7 기로부터 선택되며; 각각의 R7 기는 수소, 할로겐, 알킬, 알케닐, 알키닐, 알콕시, 히드록실, 아미노, 할로알콕시, 시클로알킬, 시클로알킬알킬, 히드록실알킬, 할로알킬, 아릴, 아릴 알킬, 헤테로시클릴, 헤테로시클릴알킬, 헤테로아릴 또는 헤테로아릴알킬로 이루어진 군으로부터 독립적으로 선택되며; 여기서 알킬, 알케닐, 알키닐, 알콕시, 아미노, 할로알콕시, 시클로알킬, 시클로알킬알킬, 히드록실알킬, 할로알킬, 아릴, 아릴 알킬, 헤테로시클릴 또는 헤테로아릴 또는 헤테로아릴알킬은 할로겐, 알킬, 알케닐, 알키닐, 아릴, 히드록실, 알콕시, 할로알콕시, 시클로알킬, 에스테르 기 및 시아노로부터 선택된 1-5 기로 선택적으로 치환되고;
R6는 수소 및 알킬로부터 선택되고;
b) R5 및 R6는 헤테로시클릴, 헤테로아릴 또는 융합 방향족 고리를 이들에 부착된 질소 원자와 함께 형성하고, 고리는 O, S 및 N으로부터 독립적으로 선택된 0-4 헤테로원자를 함유하며; 고리 상에서 치환될 때, 선택적으로 치환기는 할로겐, 할로알킬, 알킬, 알케닐 및 시아노로부터 선택된 1-5 기이고;
c) R5 및 R6는 융합 방향족 고리를 이들에 부착된 탄소 원자와 함께 형성하고, 고리는 O, S 및 N으로부터 독립적으로 선택된 0-4 헤테로원자를 함유하며; 고리 상에서 치환될 때, 선택적으로 치환기는 할로겐, 할로알킬, 알킬, 알케닐 및 시아노로부터 선택된 1-4 기이고;
Ru는 알킬렌, 알케닐렌 및 알키닐렌으로 이루어진 군으로부터 각각 독립적으로 선택되고;
Rv는 수소 및 알킬로부터 선택되고;
Ry 및 Rz는 다음의 a) 또는 b)로부터 각각 독립적으로 선택되며,
a) Ry 및 Rz는 수소, 알킬, 시클로알킬, 알콕시알킬, 히드록실알킬, 피롤리디닐, 알킬아미노 또는 할로알킬로 이루어진 군으로부터 각각 독립적으로 선택되고;
b) Ry 및 Rz는 헤테로시클릴 또는 헤테로아릴을 이들에 부착된 질소 원자와 함께 형성하고, 고리는 O, S 및 N으로부터 독립적으로 선택된 0-4 헤테로원자를 함유하며; 고리는 R5 및 R7으로부터 선택된 1-4 기로 선택적으로 치환되는 것인 화학식 (I)의 화합물 또는 이의 약학적으로 허용 가능한 염, 용매화물 또는 전구약물. - 제1항에 있어서, 화학식 (I)의 화합물은 화학식 (IIa), (IIb) 또는 (IIc)의 화합물인 것을 특징으로 하며,
여기서 R1은 다음의 a) 또는 b)로부터 선택되며,
a) 화학식 (I)의 화합물이 화학식 IIa 또는 IIb의 화합물일 때, R1은 -NR5R6, -OR5 또는 -SR5이고;
b) 화학식 (I)의 화합물이 화학식 IIc의 화합물일 때, R1은 -NR5R6이거나 R1은 -CR5R6이고(그리고 R5 및 R6는 이들에 부착된 탄소 원자와 함께 고리를 형성하고);
R2는 알콕시이고;
R3는 수소, N(Ry)(Rz), -N(Rv)RuN(Ry)(Rz), -ORuOR6, 및 -ORuN(Ry)(Rz)으로 이루어진 군으로부터 선택되고;
R4 및 R'4는 수소, 할로겐, 알킬 및 할로알킬로 이루어진 군으로부터 각각 선택되고;
R5 및 R6는 다음의 a), b) 및 c) 중 어느 하나로부터 선택되며,
a) R5는 선택적으로 치환된 아릴 기이고; 치환될 때, 치환기는 1-5 R7 기로부터 선택되며; 각각의 R7 기는 수소, 할로겐, 알킬, 알케닐, 알키닐, 알콕시, 히드록실, 아미노, 할로알콕시, 시클로알킬, 시클로알킬알킬, 히드록실알킬, 할로알킬, 아릴, 아릴 알킬, 헤테로시클릴, 헤테로시클릴알킬, 헤테로아릴 및 헤테로아릴-알킬로 이루어진 군으로부터 독립적으로 선택되며; 여기서 알킬, 알케닐, 알키닐, 알콕시, 아미노, 할로알콕시, 시클로알킬, 시클로알킬알킬, 히드록실알킬, 할로알킬, 아릴, 아릴 알킬, 헤테로시클릴 또는 헤테로아릴 또는 헤테로아릴알킬은 할로겐, 알킬, 알케닐, 알키닐, 아릴, 히드록실, 알콕시, 할로알콕시, 시클로알킬, 에스테르 기 및 시아노로부터 선택된 1-5 기로 선택적으로 치환되고;
R6는 수소 및 알킬로부터 선택되고;
b) R5 및 R6는 융합 방향족 고리를 이들에 부착된 질소 원자와 함께 형성하고, 고리는 O, S 및 N으로부터 독립적으로 선택된 0-4 헤테로원자를 함유하며; 치환될 때, 선택적으로 치환기는 할로겐, 할로알킬, 알킬, 알케닐 및 시아노로부터 선택된 1-4 기이고;
c) R5 및 R6는 융합 방향족 고리를 이들에 부착된 탄소 원자와 함께 형성하고, 고리는 O, S 및 N으로부터 독립적으로 선택된 0-4 헤테로원자를 함유하며; 치환될 때, 선택적으로 치환기는 할로겐, 할로알킬, 알킬, 알케닐 및 시아노로부터 선택된 1-4 기이고;
Ru는 알킬렌으로부터 각각 독립적으로 선택되고;
Rv는 수소 및 알킬로부터 선택되고;
Ry 및 Rz는 다음의 a) 또는 b)로부터 각각 독립적으로 선택되며,
a) Ry 및 Rz는 수소, 알킬 및 할로알킬로부터 각각 선택되고;
b) Ry 및 Rz는 헤테로시클릴을 이들에 부착된 질소 원자와 함께 형성하고, 고리는 O, S 및 N으로부터 독립적으로 선택된 0-4 헤테로원자를 함유하며; 고리는 할로겐, 할로알킬, 알킬, 알콕시알킬, 알킬히드록실, NR6R6 및 헤테로시클릴로부터 선택된 1-4 기로 선택적으로 치환되는 것인, 화합물 또는 이의 약학적으로 허용 가능한 염, 용매화물 또는 전구약물. - 제2항에 있어서, 화학식 (IIa)의 화합물은 화학식 (IV)의 화합물인 것을 특징으로 하며,
위 화학식 IV에서,
R7 a, R7 b, R7 c, R7 d 및 R7 e는 서로 동일하거나 상이하며, 수소, 할로겐, 알킬, 알케닐, 알키닐, 알콕시, 히드록실, 아미노, 할로알콕시, 시클로알킬, 시클로알킬알킬, 히드록실-알킬, 할로알킬, 아릴, 아릴 알킬, 헤테로시클릴, 헤테로시클릴알킬, 헤테로아릴 및 헤테로아릴알킬로 이루어진 군으로부터 각각 독립적으로 선택되며; 여기서 알킬, 알케닐, 알키닐, 알콕시, 아미노, 할로알콕시, 시클로알킬, 시클로알킬-알킬, 히드록실알킬, 할로알킬, 아릴, 아릴 알킬, 헤테로시클릴 또는 헤테로아릴 또는 헤테로아릴-알킬은 할로겐, 알킬, 알케닐, 알키닐, 아릴, 히드록실, 알콕시, 할로알콕시, 시클로알킬, 에스테르 기 및 시아노로 이루어진 군으로부터 선택된 1-5 기로 선택적으로 치환되고;
R2는 C1-C6 알콕시 및 C3-C6 시클로알킬옥시로부터 선택되고;
R3는,
로부터 선택되며;
R4는 수소, 메틸, 트리플루오로메틸 및 할로겐으로 이루어진 군으로부터 선택되는 것인, 화합물 또는 이의 약학적으로 허용 가능한 염, 용매화물 또는 전구약물. - 제2항에 있어서, 화학식 (IIb)의 화합물은 화학식 (V)의 화합물인 것을 특징으로 하며,
위 화학식 (V)에서, R7 a, R7 b, R7 c, R7 d 및 R7 e는 서로 동일하거나 상이하며, 수소, 할로겐, 알킬, 알케닐, 알키닐, 알콕시, 히드록실, 아미노, 할로알콕시, 시클로알킬, 시클로알킬알킬, 히드록실알킬, 할로알킬, 아릴, 아릴 알킬, 헤테로시클릴, 헤테로시클릴알킬, 헤테로아릴 및 헤테로아릴-알킬로 이루어진 군으로부터 각각 독립적으로 선택되며; 여기서 알킬, 알케닐, 알키닐, 알콕시, 아미노, 할로알콕시, 시클로알킬, 시클로알킬알킬, 히드록실알킬, 할로알킬, 아릴, 아릴 알킬, 헤테로시클릴, 헤테로아릴 또는 헤테로아릴알킬은 할로겐, 알킬, 알케닐, 알키닐, 아릴, 히드록실, 알콕시, 할로알콕시, 시클로알킬, 에스테르 기 및 시아노로 이루어진 군으로부터 선택된 1-5 기로 선택적으로 치환되고; R2는 C1-C6 알콕시 또는 C3-C6 시클로알킬옥시로부터 선택되며;
R3는,
로부터 선택되는 것인, 화합물 또는 이의 약학적으로 허용 가능한 염, 용매화물 또는 전구약물. - 제2항에 있어서, 화학식 (IIc)의 화합물은 화학식 (VI)의 화합물이며,
위 화학식 VI에서,
R1은,
로부터 선택되고;
R7 a, R7 b, R7 c, R7 d 및 R7 e는 서로 동일하거나 상이하며, 수소, 할로겐, 알킬, 알케닐, 알키닐, 알콕시, 히드록실, 아미노, 할로알콕시, 시클로알킬, 시클로알킬알킬, 히드록실알킬, 할로알킬, 아릴, 아릴 알킬, 헤테로시클릴, 헤테로시클릴알킬, 헤테로아릴 및 헤테로아릴-알킬로 이루어진 군으로부터 각각 독립적으로 선택되며; 여기서 알킬, 알케닐, 알키닐, 알콕시, 아미노, 할로알콕시, 시클로알킬, 시클로알킬알킬, 히드록실알킬, 할로알킬, 아릴, 아릴 알킬, 헤테로시클릴, 헤테로아릴 또는 헤테로아릴알킬은 할로겐, 알킬, 알케닐, 알키닐, 아릴, 히드록실, 알콕시, 할로알콕시, 시클로알킬, 에스테르 기 및 시아노로 이루어진 군으로부터 선택된 1-5 기로 선택적으로 치환되고; R2는 C1-C6 알콕시 또는 C3-C6 시클로알킬옥시로부터 선택되며;
R3는,
로부터 선택되는 것인 화합물 또는 이의 약학적으로 허용 가능한 염, 용매화물 또는 전구약물. - 제2항에 있어서, 화학식 (IIc)의 화합물은 화학식 (VII)의 화합물이며,
여기서, R7 a, R7 b, R7 c, R7 d 및 R7 e는 서로 동일하거나 상이하며, 수소, 할로겐, 알킬, 알케닐, 알키닐, 알콕시, 히드록실, 아미노, 할로알콕시, 시클로알킬, 시클로알킬알킬, 히드록실알킬, 할로알킬, 아릴, 아릴 알킬, 헤테로시클릴, 헤테로시클릴알킬, 헤테로아릴 및 헤테로아릴알킬로 이루어진 군으로부터 각각 독립적으로 선택되며; 여기서 알킬, 알케닐, 알키닐, 알콕시, 아미노, 할로알콕시, 시클로알킬, 시클로알킬알킬, 히드록실알킬, 할로알킬, 아릴, 아릴 알킬, 헤테로시클릴, 헤테로아릴 또는 헤테로아릴알킬은 할로겐, 알킬, 알케닐, 알키닐, 아릴, 히드록실, 알콕시, 할로알콕시, 시클로알킬, 에스테르 기 및 시아노로 이루어진 군으로부터 선택된 1-5 기로 선택적으로 치환되고;
R2는 C1-C6 알콕시 및 C3-C6 시클로알킬옥시로부터 선택되며;
R3는 제 2항에서 정의된 바와 같은 것인, 화합물 또는 이의 약학적으로 허용 가능한 염, 용매화물 또는 전구약물. - 제1항 내지 제11항 중 어느 한 항에 있어서, 화합물은,
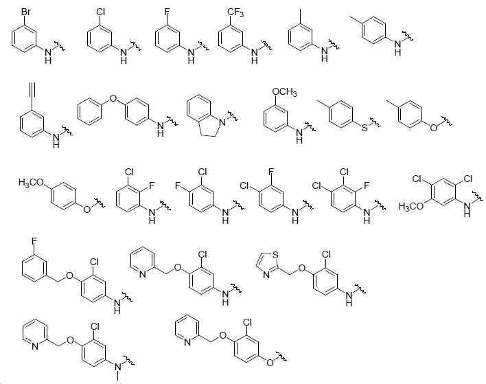
N-(5-(4-(3-브로모페닐아미노)-피리미딘-2-일아미노)-2-(2-(디메틸아미노-에틸)-메틸-아미노)-4-메톡실-페닐)-아크릴아미드;
N-(5-(4-(3-클로로페닐아미노)-피리미딘-2-일아미노)-2-(2-(디메틸아미노-에틸)-메틸-아미노)-4-메톡실-페닐)-아크릴아미드;
N-(5-(4-(3-플루오로페닐아미노)-피리미딘-2-일아미노)-2-(2-(디메틸아미노-에틸)-메틸-아미노)-4-메톡실-페닐)-아크릴아미드;
N-(5-(4-(3-트리플루오로메틸페닐아미노)-피리미딘-2-일아미노)-2-(2-(디메틸아미노-에틸)-메틸-아미노)-4-메톡실-페닐)-아크릴아미드;
N-(5-(4-(3-메틸페닐아미노)-피리미딘-2-일아미노)-2-(2-(디메틸아미노-에틸)-메틸-아미노)-4-메톡실-페닐)-아크릴아미드;
N-(5-(4-(4-메틸페닐아미노)-피리미딘-2-일아미노)-2-(2-(디메틸아미노-에틸)-메틸-아미노)-4-메톡실-페닐)-아크릴아미드;
N-(5-(4-(4-메틸페닐티오)-피리미딘-2-일아미노)-2-((2-디메틸아미노-에틸)-메틸-아미노)-4-메톡실-페닐)-아크릴아미드;
N-(5-(4-(3-아세테닐페닐아미노)-피리미딘-2-일아미노)-2-(2-(디메틸아미노-에틸)-메틸-아미노)-4-메톡실-페닐)-아크릴아미드;
N-(5-(4-(4-페녹실페닐아미노)-피리미딘-2-일아미노)-2-(2-(디메틸아미노-에틸)-메틸-아미노)-4-메톡실-페닐)-아크릴아미드;
N-(5-(4-(페닐아미노)-피리미딘-2-일아미노)-2-(2-(디메틸아미노-에틸)-메틸-아미노)-4-메톡실-페닐)-아크릴아미드;
N-(5-(4-(3-메톡시페녹시)-피리미딘-2-일아미노)-2-((2-디메틸아미노-에틸)-메틸-아미노)-4-메톡실-페닐)-아크릴아미드;
N-(3-(4-(3-클로로-4-플루오로-페닐아미노)-피리미딘-2-일아미노)-4-메톡실-페닐)-아크릴아미드;
N-(5-(4-(3-클로라인-4-플루오로페닐아미노)-피리미딘-2-일아미노)-2-(2-(디메틸아미노-에틸)-메틸-아미노)-4-메톡실-페닐)-아크릴아미드;
N-(5-(4-(3-클로라인-2-플루오로페닐아미노)-피리미딘-2-일아미노)-2-(2-(디메틸아미노-에틸)-메틸-아미노)-4-메톡실-페닐)-아크릴아미드;
N-(5-(4-(3,4-디클로로-2-플루오로페닐아미노)-피리미딘-2-일아미노)-2-(2-(디메틸아미노-에틸)-메틸-아미노)-4-메톡실-페닐)-아크릴아미드;
N-(5-(4-(2,4-디클로로-5-메톡시페닐아미노)-피리미딘-2-일아미노)-2-(2-(디메틸아미노-에틸)-메틸-아미노)-4-메톡실-페닐)-아크릴아미드;
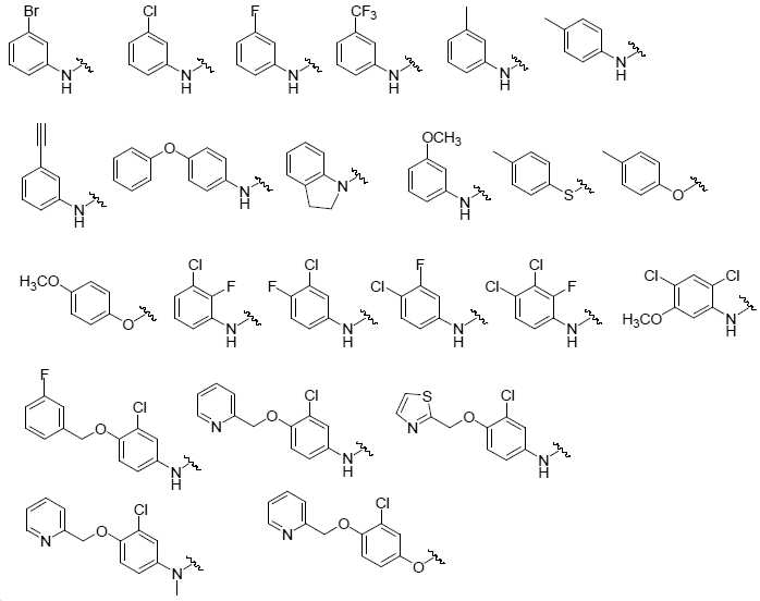
N-(5-(4-(3-클로로-4-(피리딘-2-일메톡시)-페닐아미노)-피리미딘-2-일아미노)-2-디메틸아미노-4-메톡실-페닐)-아크릴아미드;
N-(5-(4-(3-클로로-4-(피리딘-2-일메톡실)-페닐아미노)-피리미딘-2-일아미노)-2-((2-(디메틸아미노)에틸)(메틸)아미노)-4-메톡실-페닐)-아크릴아미드;
N-(5-(5-클로로-4-(3-클로로-4-(피리딘-2-일메톡실)-페닐아미노)-피리미딘-2-일아미노)-2-((2-(디메틸아미노)에틸)(메틸)아미노)-4-메톡실-페닐)-아크릴아미드;
N-(5-(4-(3-클로로-4-(피리딘-2-일메톡시)-페닐아미노)-피리미딘-2-일아미노)-2-(4-모르폴린-4-일)-피페리딘-1-일)-4-메톡실-페닐)-아크릴아미드;
N-(5-(4-(3-클로로-4-(피리딘-2-일메톡시)-페닐아미노)-피리미딘-2-일아미노)-2-(4-(4-메틸피페라진-1-일)-피페리딘-1-일)-4-메톡실-페닐)-아크릴아미드;
N-(5-(4-(3-클로로-4-(피리딘-2-일메톡시)-페닐아미노)-피리미딘-2-일아미노)-2-(4-(1-메틸피페리딘-4-일)-피페라진-1-일)-4-메톡실-페닐)-아크릴아미드;
N-(5-(4-(3-클로로-4-(피리딘-2-일메톡시)-페닐아미노)-피리미딘-2-일아미노)-2-(4-메틸 피페라진-1-일)-4-메톡실-페닐)-아크릴아미드;
N-(5-(4-(3-클로로-4-(피리딘-2-일메톡시)-페닐아미노)-피리미딘-2-일아미노)-2-(4-(2-히드록시에틸)피페라진-1-일)-4-메톡실-페닐)-아크릴아미드;
N-(5-(4-(3-클로로-4-(피리딘-2-일메톡시)-페닐아미노)-피리미딘-2-일아미노)-2-(4-메틸-[1,4]디아제핀-1-일)-4-메톡실-페닐)-아크릴아미드;
N-(5-(4-(3-클로로-4-(피리딘-2-일메톡시)-페닐아미노)-피리미딘-2-일아미노)-2-(4-(피페리딘-1-일)-피페리딘-1-일)-4-메톡실-페닐)-아크릴아미드;
N-(5-(4-(3-클로로-4-(피리딘-2-일메톡시)-페닐아미노)-피리미딘-2-일아미노)-2-(4-아세틸피페라진-1-일)-4-메톡실-페닐)-아크릴아미드;
N-(5-(4-(3-클로로-4-(피리딘-2-일메톡시)-페닐아미노)-피리미딘-2-일아미노)-2-(4-(디메틸아미노)피페라진-1-일)-4-메톡실-페닐)-아크릴아미드;
N-(5-(-4-(3-클로로-4-(벤젠-2-메톡실)-페닐아미노)-피리미딘-2-일아미노)-2-(2-(모르폴린-4-일)-에톡실)-4-메톡실-페닐)-아크릴아미드;
N-(5-(4-(3-클로로-4-(3-플루오로벤질옥시)페닐아미노)피리미딘-2-일아미노)-2-((2-(디메틸아미노)에틸)(메틸)아미노)-4-메톡실-페닐)-아크릴아미드;
N-(2-((2-(디메틸아미노-에틸)-메틸-아미노)-5-(4-(인돌린-1-일)-피리미딘-2-일아미노)-4-메톡실-페닐)-아크릴아미드;
N-(5-(4-(1H-인돌-1-일)-피리미딘-2-일아미노)-4-메톡실-2-(4-아세틸-피페라진-1-일)-페닐)-아크릴아미드;
N-(5-(4-(1H-인돌-1-일)-피리미딘-2-일아미노)-4-메톡실-2-(4-(4-메틸-피페라진-1-일)-피페리딘-1-일)-페닐)-아크릴아미드;
N-(5-(4-(1H-인돌-1-일)-피리미딘-2-일아미노)-4-메톡실-2-(4-(모르폴린-4-일)-피페리딘-1-일)-페닐)-아크릴아미드;
N-(5-(4-(1H-인돌-1-일)-피리미딘-2-일아미노)-2-(4-(시클로헥실메틸)-피페라진-1-일)-4-메톡실페닐)-아크릴아미드;
N-(5-(4-(1H-인돌-1-일)-피리미딘-2-아미노)-4-메톡실-2-(4-메틸-1,4-디아제핀-1-일)-페닐)-아크릴아미드;
N-(2-(1,4'-비피페리딘-1'-일-)-5-(4-(1H-인돌-1-일)-피리미딘-2-일아미노)-4-메톡실-페닐)-아크릴아미드;
N-(5-(4-(1H-인돌-1-일)-피리미딘-2-일아미노)-2-(4-디메틸아미노-피페리딘-1-일)-4-메톡실-페닐)-아크릴아미드;
N-(5-(4-(1H-인돌-1-일)-피리미딘-2-일아미노)-2-(4-(2-메톡실에틸)-피페라진-1-일)-4-메톡실-페닐)-아크릴아미드;
N-(5-(4-(1H-인돌-1-일)-피리미딘-2-일아미노)-2-(4-피롤리딜-피페라진-1-일)-4-메톡실-페닐)-아크릴아미드;
N-(5-(4-(1H-인돌-1-일)-피리미딘-2-일아미노)-2-(4-(2-시아노에틸)-피페라진-1-일)-4-메톡실-페닐)-아크릴아미드;
N-(5-(4-(1H-인돌-1-일)-피리미딘-2-일아미노)-2-(4-tert-부틸피페라진-1-일)-4-메톡실-페닐)-아크릴아미드;
N-(5-(4-(1H-인돌-1-일)-피리미딘-2-일아미노)-4-메톡실-2-(4-(2-(피리딘-4-일)-에틸)-피페라진-1-일)-페닐)-아크릴아미드;
N-(5-(4-(1H-인돌-1-일)-피리미딘-2-일아미노)-2-(4-벤질피페라진-1-일)-4-메톡실-페닐)-아크릴아미드;
N-(5-(4-(1H-인돌-1-일)-피리미딘-2-일아미노)-2-(4-(벤조[d][1,3]디옥시-5-메틸)-피페라진-1-일)-4-메톡실-페닐)-아크릴아미드;
N-(5-(4-(1H-인돌-1-일)-피리미딘-2-일아미노)-2-(4-(2-히드록시프로필-2-일)-피페리딘-1-일)-4-메톡실-페닐)-아크릴아미드;
N-(5-(4-(1H-인돌-1-일)-피리미딘-2-일아미노)-2-(4-(히드록시메틸)-피페리딘-1-일)-4-메톡실-페닐)-아크릴아미드;
N-(5-(4-(1H-인돌-1-일)-피리미딘-2-일아미노)-2-(4-이소부틸피페라진-1-일)-4-메톡실-페닐)-아크릴아미드;
N-(5-(4-(1H-인돌-1-일)-피리미딘-2-일아미노)-2-(2-(모르폴린-일)-에톡실)-4-메톡실-페닐)-아크릴아미드;
N-(5-(4-(1H-인돌-1-일)-피리미딘-2-일아미노)-2-(2-디메틸아미노)-에톡실)-4-메톡실-페닐)-아크릴아미드;
N-(5-(4-(1H-인돌-1-일)-피리미딘-2-일아미노)-2-(2-피롤리딘-1-일)-에톡실)-4-메톡실-페닐)-아크릴아미드;
N-(5-(4-(1H-인돌-1-일)-피리미딘-2-일아미노)-2-(2-4-메틸-피페라진-1-일)-에톡실)-4-메톡실-페닐)-아크릴아미드;
N-{2-[(2-디메틸아미노)-에틸)-메틸-아미노]-4-메톡실-5-[4-(6-메톡실-인돌-1-일)-피리미딘-2-일아미노]-페닐}-아크릴아미드;
N-{2-[(2-디메틸아미노)-에틸)-메틸-아미노]-4-메톡실-5-[4-(6-메틸-인돌-1-일)-피리미딘-2-일아미노]-페닐}-아크릴아미드;
N-{5-[4-(6-시아노-인돌-1-일)-피리미딘-2-일아미노]-2-[(2-디메틸아미노-에틸)-메틸-아미노]-4-메톡실-페닐}-아크릴아미드;
N-(5-(4-(6-클로로-1H-인돌-1-일)-피리미딘-2-일아미노)-2-((2-(디메틸아미노-에틸)-메틸-아미노)-4-메톡실-페닐)-아크릴아미드;
N-(5-(4-(6-브로모-1H-인돌-1-일)-피리미딘-2-일아미노)-2-((2-(디메틸아미노)에틸)-메틸-아미노)-4-메톡실-페닐)-아크릴아미드;
N-(5-(4-(6-플루오로-1H-인돌-1-일)-피리미딘-2-일아미노)-2-((2-(디메틸아미노)에틸)-메틸-아미노)-4-메톡실-페닐)-아크릴아미드;
N-(5-(4-(6-플루오로-1H-인돌-1-일)-피리미딘-2-일아미노)-2-(4-(디메틸아미노)-피페리디닐)-4-메톡실-페닐)-아크릴아미드;
N-(5-(4-(6-플루오로-1H-인돌-1-일)-피리미딘-2-일아미노)-2-(디메틸아미노)-4-메톡실-페닐)-아크릴아미드;
N-(5-(4-(6-플루오로-1H-인돌-1-일)-피리미딘-2-일아미노)-2-(4-(4-메틸피페라진-1-일)-피페리딘-1-일)-4-메톡실-페닐)-아크릴아미드;
N-(5-(4-(6-플루오로-1H-인돌-1-일)-피리미딘-2-일아미노)-2-(4-(1-메틸피페리딘-4-일)-피페라진-1-일)-4-메톡실-페닐)-아크릴아미드;
N-(5-(4-(6-플루오로-1H-인돌-1-일)-피리미딘-2-일아미노)-2-(4-(모르폴린-4-일)-피페리딘-1-일)-4-메톡실-페닐)-아크릴아미드;
N-(5-(4-(6-플루오로-1H-인돌-1-일)-피리미딘-2-일아미노)-2-(4-(2-히드록실-에틸)-피페라진-1-일)-4-메톡실-페닐)-아크릴아미드;
N-(5-(4-(6-플루오로-1H-인돌-1-일)-피리미딘-2-일아미노)-2-(4-메틸-피페라진-1-일)-4-메톡실-페닐)-아크릴아미드;
N-(5-(4-(6-플루오로-1H-인돌-1-일)-피리미딘-2-일아미노)-2-(4-아세틸-피페라진-1-일)-4-메톡실-페닐)-아크릴아미드;
N-(5-(4-(6-플루오로-1H-인돌-1-일)-피리미딘-2-일아미노)-2-(4-메틸-[1,4]디아제핀-1-일)-4-메톡실-페닐)-아크릴아미드;
N-(5-(4-(6-플루오로-1H-인돌-1-일)-피리미딘-2-일아미노)-2-(4-(피페리딘-1-일)-피페리딘-1-일)-4-메톡실-페닐)-아크릴아미드;
N-(5-(4-(6-플루오로-1H-인돌-1-일)-피리미딘-2-일아미노)-2-(2-4-아크릴로일-피페라진-1-일)-에톡실)-4-메톡실-페닐)-아크릴아미드;
N-(5-(4-(6-플루오로-1H-인돌-1-일)-피리미딘-2-일아미노)-2-(2-(모르폴린-4-일)-에톡실)-4-메톡실-페닐)-아크릴아미드;
N-(5-(4-(6-플루오로-1H-인돌-1-일)-피리미딘-2-일아미노)-2-(2-피롤리딘-1-일)-에톡실)-4-메톡실-페닐)-아크릴아미드;
N-(5-(4-(5-메틸-1H-인돌-1-일)-피리미딘-2-일아미노)-2-((2-디메틸아미노-에틸)-메틸-아미노)-4-메톡실-페닐)-아크릴아미드;
N-(5-(4-(5-메톡실-1H-인돌-1-일)-피리미딘-2-일아미노)-2-((2-디메틸아미노-에틸)-메틸-아미노)-4-메톡실-페닐)-아크릴아미드;
2-((2-아크릴아미도-5-메톡실-4-(4-(5-메톡실-1H-인돌-1-일)-피리미딘-2-일)-아미노)-페닐)-메틸-N,N-디메틸-N-에틸아민 옥사이드;
N-(5-(4-(5-클로로-1H-인돌-1-일)-피리미딘-2-일아미노)-2-((2-디메틸아미노-에틸)-메틸-아미노)-4-메톡실-페닐)-아크릴아미드;
N-(5-(4-(5-브로모-1H-인돌-1-일)-피리미딘-2-일아미노)-2-((2-디메틸아미노-에틸)-메틸-아미노)-4-메톡실-페닐)-아크릴아미드;
N-(5-(4-(5-트리플루오로메틸-1H-인돌-1-일)-피리미딘-2-일아미노)-2-((2-디메틸아미노-에틸)-메틸-아미노)-4-메톡실-페닐)-아크릴아미드;
N-(5-(4-(5-플루오로-1H-인돌-1-일)-피리미딘-2-일아미노)-2-((2-(디메틸아미노-에틸-메틸-아미노)-4-메톡실-페닐)-아크릴아미드;
N-(5-(4-(5-플루오로-1H-인돌-1-일)-피리미딘-2-일아미노)-2-(4-아세틸-피페라진-1-일)-4-메톡실-페닐)-아크릴아미드;
N-(5-(4-(5-플루오로-1H-인돌-1-일-)-피리미딘-2-일아미노)-2-(4-(피페리딘-4-일)-피페리딘-1-일)-4-메톡실-페닐)-아크릴아미드;
N-(5-(4-(5-플루오로-1H-인돌-1-일)-피리미딘-2-일아미노)-2-(4-(시클로헥실메틸)-피페리딘-1-일)-4-메톡실-페닐)-아크릴아미드;
N-(5-(4-(5-플루오로-1H-인돌-1-일)-피리미딘-2-일아미노)-2-(4-메틸-[1,4]디아제핀-1-일)-4-메톡실-페닐)-아크릴아미드;
N-(5-(4-(5-플루오로-1H-인돌-1-일)-피리미딘-2-일아미노)-2-(4-(디메틸아미노메틸)-피페리딘-1-일)-4-메톡실-페닐)-아크릴아미드;
N-(5-(4-(5-플루오로-1H-인돌-1-일)-피리미딘-2-일아미노)-2-(4-(모르폴린-4-일)-피페리딘-1-일)-4-메톡실-페닐)-아크릴아미드;
N-(5-(4-(5-플루오로-1H-인돌-1-일)-피리미딘-2-일아미노)-2-(4-(4-메틸피페라진-1-일)-피페리딘-1-일)-4-메톡실-페닐)-아크릴아미드;
N-(5-(4-(5-플루오로-1H-인돌-1-일)-피리미딘-2-일아미노)-2-(4-메틸-피페라진-1-일)-4-메톡실-페닐)-아크릴아미드;
N-(5-(4-(5-플루오로-1H-인돌-1-일)-피리미딘-2-일아미노)-2-(4-(1-메틸피페리딘-4-일)-피페라진-1-일)-4-메톡실-페닐)-아크릴아미드;
N-(5-(4-(5-플루오로-1H-인돌-1-일)-피리미딘-2-일아미노)-2-(4-(2-히드록실-에틸)-피페라진-1-일)-4-메톡실-페닐)-아크릴아미드;
N-(5-(4-(5-플루오로-1H-인돌-1-일)-피리미딘-2-일아미노)-2-(4-(2-(2-히드록시에톡실)-에틸)-피페라진-1-일)-4-메톡실-페닐)-아크릴아미드;
N-(5-(4-(5-플루오로-1H-인돌-1-일)-피리미딘-2-일아미노)-2-(디메틸아미노)-4-메톡실-페닐)-아크릴아미드;
N-(5-(4-(5-플루오로-1H-인돌-1-일)-피리미딘-2-일아미노)-2-(2-(모르폴린-4-일)-에톡실)-4-메톡실-페닐)-아크릴아미드;
N-(5-(4-(5-플루오로-1H-인돌-1-일)-피리미딘-2-일아미노)-2-(2-피롤리딘-1-일)-에톡실)-4-메톡실-페닐)-아크릴아미드;
N-(5-(4-(4-메틸-1H-인돌-1-일)-피리미딘-2-일아미노)-2-(2-(디메틸아미노-에틸)-메틸-아미노)-4-메톡실-페닐)-아크릴아미드;
N-(5-(4-(4-메톡실-1H-인돌-1-일)-피리미딘-2-일아미노)-2-(2-(디메틸아미노-에틸)-메틸-아미노)-4-메톡실-페닐)-아크릴아미드;
N-(5-(4-(4-시아노-1H-인돌-1-일)-피리미딘-2-일아미노)-2-(2-(디메틸아미노-에틸)-메틸-아미노)-4-메톡실-페닐)-아크릴아미드;
N-(5-(4-(4-클로로-1H-인돌-1-일)-피리미딘-2-일아미노)-2-(2-(디메틸아미노-에틸)-메틸-아미노)-4-메톡실-페닐)-아크릴아미드;
N-(5-(4-(4-플루오로-1H-인돌-1-일)-피리미딘-2-일아미노)-2-(2-(디메틸아미노-에틸)-메틸-아미노)-4-메톡실-페닐)-아크릴아미드;
N-(5-(4-(5,6-디플루오로-1H-인돌-1-일)-피리미딘-2-일아미노)-2-(2-(디메틸아미노-에틸)-메틸-아미노)-4-메톡실-페닐)-아크릴아미드;
N-(5-(4-(5-플루오로-6-클로로-1H-인돌-1-일)-피리미딘-2-일아미노)-2-(2-(디메틸아미노-에틸)-메틸-아미노)-4-메톡실-페닐)-아크릴아미드;
N-{5-[4-(6-클로로-5-플루오로-인돌-1-일)-피리미딘-2-일아미노]-2-[(2-디메틸아미노-에틸)-메틸-아미노]-4-프로폭실-페닐}-아크릴아미드;
N-(5-(4-벤조트리아졸-1-일-피리미딘-2-일아미노)-2-((2-디메틸아미노-에틸)-메틸-아미노)-4-메톡실-페닐)-아크릴아미드;
N-(5-(4-(3-클로로-페닐아미노)-[1,3,5]트리아진-2-일아미노)-2-((2-디메틸아미노-에틸)-메틸-아미노)-4-메톡실-페닐)-아크릴아미드;
N-(5-(4-(3-클로로-4-플루오로-페닐아미노)-[1,3,5]트리아진-2-일아미노)-2-((2-디메틸아미노-에틸)-메틸-아미노)-4-메톡실-페닐)-아크릴아미드;
N-(5-(4-(3-클로로-2-플루오로-페닐아미노)-[1,3,5]트리아진-2-일아미노)-2-((2-디메틸아미노-에틸)-메틸-아미노)-4-메톡실-페닐)-아크릴아미드;
N-(5-(4-(3-클로로-4-(피리딘-2-일메톡시)-페닐아미노)-[1,3,5]트리아진-2-일아미노)-2-((2-디메틸아미노-에틸)-메틸-아미노)-4-메톡실-페닐)-아크릴아미드;
N-(5-(4-(3-클로로-4-(3-플루오로페닐메톡시)-페닐아미노)-[1,3,5]트리아진-2-일아미노)-2-((2-디메틸아미노-에틸)-메틸-아미노)-4-메톡실-페닐)-아크릴아미드;
N-(5-(4-(3-트리플루오로메틸-페닐아미노)-[1,3,5]트리아진-2-일아미노)-2-((2-디메틸아미노-에틸)-메틸-아미노)-4-메톡실-페닐)-아크릴아미드;
N-(5-(4-(3-플루오로-페닐아미노)-[1,3,5]트리아진-2-일아미노)-2-((2-디메틸아미노-에틸)-메틸-아미노)-4-메톡실-페닐)-아크릴아미드;
N-(5-(4-(3-브로모-페닐아미노)-[1,3,5]트리아진-2-일아미노)-2-((2-디메틸아미노-에틸)-메틸-아미노)-4-메톡실-페닐)-아크릴아미드;
N-[5-[4-(3-브로모-페닐아미노)-[1,3,5]트리아진-2-일아미노]-2-(3-디메틸아미노-피롤리딘-1-일)-4-메톡실-페닐]-아크릴아미드;
N-[5-[4-(3-브로모-페닐아미노)-[1,3,5]트리아진-2-아미노]-2-(4-디메틸아미노-피페리딘-1-일)-4-메톡실-페닐]-아크릴아미드;
N-[5-[4-(3-브로모-페닐아미노)-[1,3,5]트리아진-2-아미노]-4-메톡실-2-(4-(피롤리딘-1-일-피페리딘-1-일)-페닐-아크릴아미드;
N-{2-[1,4']-피페리디닐피페리딘-1'-일-5-[4-(3-브로모-페닐아미노)-[1,3,5]트리아진-2-아미노]-4-메톡실-페닐}-아크릴아미드;
N-(5-(4-(3-브로모-페닐아미노)-[1,3,5]트리아진-2-일아미노)-4-메톡실-2-(4-(4-메틸-피페라진-1-일)-피페리딘-1-일)-페닐)-아크릴아미드;
N-(5-(4-(3-브로모-페닐아미노)-[1,3,5]트리아진-2-일아미노)-2-(4-에틸-피페라진-1-일)-4-메톡실-페닐)-아크릴아미드;
N-(5-(4-(3-브로모-페닐아미노)-[1,3,5]트리아진-2-일아미노)-2-(4-tert-부틸-피페라진-1-일)-4-메톡실-페닐아미노)-아크릴아미드;
N-(5-(4-(3-브로모-페닐아미노)-[1,3,5]트리아진-2-일아미노)-2-(4-(3-디메틸아미노-프로필)-피페라진-1-일)-4-메톡실-페닐)-아크릴아미드;
N-(5-(4-(3-브로모-페닐아미노)-[1,3,5]트리아진-2-일아미노)-4-메톡실-2-(4-(1-메틸피페리딘-4-일)-피페라진-1-일)-페닐)-아크릴아미드;
N-{5-[4-(3-브로모-페닐아미노)-[1,3,5]트리아진-2-일아미노]-2-[4-(2-시아노-에틸)-피페라진-1-일]-4-메톡실-페닐}-아크릴아미드;
N-{5-[4-(3-브로모-페닐아미노)-[1,3,5]트리아진-2-일아미노]-2-[4-(2-히드록실-에틸)-피페라진-1-일]-4-메톡실-페닐}-아크릴아미드;
N-{5-[4-(3-브로모-페닐아미노)-[1,3,5]트리아진-2-일아미노)-4-메톡실-2-(4-(2-메톡실-에틸)-피페라진-1-일)-페닐]-아크릴아미드;
N-(5-(4-(3-브로모-페닐아미노)-[1,3,5]트리아진-2-일아미노)-2-(4-시클로헥실-메틸-피페라진-1-일)-4-메톡실-페닐)-아크릴아미드;
N-(2-(4-아세틸-피페라진-1-일)-5-(4-(3-브로모-페닐아미노)-[1,3,5]트리아진-2-일아미노)-4-메톡실-페닐)-아크릴아미드;
N-(5-(4-(3-브로모-페닐아미노)-[1,3,5]트리아진-2-일아미노)-4-메톡실-2-(4-메틸-[1,4]디아제판-1-일)-페닐)-아크릴아미드;
N-[5-[4-(3-브로모-페닐아미노)-[1,3,5]트리아진-2-일아미노]-4-메톡실-2-(2-모르폴린-4-일-에톡실)-페닐]-아크릴아미드;
N-[5-[4-(3-브로모-페닐아미노)-[1,3,5]트리아진-2-일아미노]-4-메톡실-2-(2-메톡실-에톡실)-페닐]-아크릴아미드;
N-(5-(6-(3-브로모-페닐아미노)-피리미딘-4-일아미노)-2-((2-디메틸아미노-에틸)-메틸-아미노)-4-메톡실-페닐)-아크릴아미드;
N-(2-((2-디메틸아미노)-에틸)-메틸-아미노)-4-메톡실-5-(6-(3-트리플루오로메틸-페닐아미노)-피리미딘-4-일아미노)-페닐)-아크릴아미드;
N-(5-(6-(3-알키닐-페닐아미노)-피리미딘-4-일아미노)-2-((2-디메틸아미노-에틸)-메틸-아미노)-4-메톡실-페닐)-아크릴아미드;
N-(5-(6-(2,4-디클로로-5-메톡실-페닐아미노)-피리미딘-4-일아미노)-2-((2-디메틸아미노-에틸)-메틸-아미노)-4-메톡실-페닐)-아크릴아미드;
N-(5-(6-(2-플루오로-3,4-디클로로-페닐아미노)-피리미딘-4-일아미노)-2-((2-디메틸아미노-에틸)-메틸-아미노)-4-메톡실-페닐)-아크릴아미드;
N-(5-(6-(2-플루오로-3-클로로-페닐아미노)-피리미딘-4-일아미노)-2-((2-디메틸아미노-에틸)-메틸-아미노)-4-메톡실-페닐)-아크릴아미드;
N-(5-(6-(3-브로모-5-플루오로-페닐아미노)-피리미딘-4-일아미노)-2-((2-디메틸아미노-에틸)-메틸-아미노)-4-메톡실-페닐)-아크릴아미드;
N-(5-(6-(3-클로로-4-플루오로-페닐아미노)-피리미딘-4-일아미노)-2-((2-디메틸아미노-에틸)-메틸-아미노)-4-메톡실-페닐)-아크릴아미드;
N-(5-(6-(3-클로로-4-플루오로-페닐아미노)-2-메틸-피리미딘-4-일아미노)-2-((2-디메틸아미노-에틸)-메틸-아미노)-4-메톡실-페닐)-아크릴아미드;
N-(5-(6-(3-클로로-4-플루오로-페닐아미노)-피리미딘-4-일아미노)-2-[피페리딘-1-일]-4-메톡실-페닐)-아크릴아미드;
N-(5-(6-(3-클로로-4-플루오로-페닐아미노)-피리미딘-4-일아미노)-4-메톡실-2-(4-모르폴린-4-일-피페리딘-1-일)-페닐)-아크릴아미드;
N-(5-(6-(3-클로로-4-플루오로-페닐아미노)-피리미딘-4-일아미노)-2-(4-메틸-[1,4]디아제핀-1-일)-4-메톡실-페닐)-아크릴아미드;
N-(5-(6-(3-클로로-4-플루오로-페닐아미노)-피리미딘-4-일아미노)-4-메톡실-2-(4-메틸-피페라진-1-일)-페닐)-아크릴아미드;
N-(2-(4-아세틸-피페라진-1-일)-5-(6-(3-클로로-4-플루오로-페닐아미노)-피리미딘-4-일아미노)-4-메톡실-페닐)-아크릴아미드;
N-(5-(6-(3-클로로-4-플루오로-페닐아미노)-피리미딘-4-일아미노)-4-메톡실-2-(4-(1-메틸피페리딘-4-일)-피페라진-1-일)-페닐)-아크릴아미드;
N-(5-(6-(3-클로로-4-플루오로-페닐아미노)-피리미딘-4-일아미노)-2-(2-디메틸아미노-에톡실)-4-메톡실-페닐)-아크릴아미드;
N-(5-(6-(3-클로로-4-플루오로-페닐아미노)-피리미딘-4-일아미노)-4-메톡실-2-(2-피롤리딘-1-일-에톡실)-페닐)-아크릴아미드;
N-(5-(6-(3-클로로-4-플루오로-페닐아미노)-피리미딘-4-일아미노)-2-(2-(4-메틸-피페라진-1-일)-에톡실)-4-메톡실-페닐)-아크릴아미드;
N-(5-(6-(3-클로로-4-플루오로-페닐아미노)-피리미딘-4-일아미노)-4-메톡실-2-(2-모르폴린-4-일-에톡실)-페닐)-아크릴아미드;
N-(5-(6-(3-클로로-4-플루오로-페닐아미노)-피리미딘-4-일아미노)-2-(2-메톡실에톡실)-4-메톡실-페닐)-아크릴아미드;
N-(5-(6-(3-클로로-4-(3-플루오로-벤질옥시)-페닐아미노)-피리미딘-4-일아미노)-2-((2-디메틸아미노-에틸)-메틸-아미노)-4-메톡실-페닐)-아크릴아미드;
N-(5-(6-(3-클로로-4-(피리딘-2-일메톡시)-페닐아미노)-피리미딘-4-일아미노)-2-((2-디메틸아미노-에틸)-메틸-아미노)-4-메톡실-페닐)-아크릴아미드;
N-(5-(6-벤즈이미다졸-1-일-피리미딘-4-일아미노)-2-((2-디메틸아미노-에틸)-메틸-아미노)-4-메톡실-페닐)-아크릴아미드;
N-(5-(6-벤조트리아졸-1-일-피리미딘-4-일아미노)-2-((2-디메틸아미노-에틸-메틸-아미노)-4-메톡실-페닐)-아크릴아미드;
N-(4-메톡실-5-(6-(1-메틸-1H-인돌-3-일)-피리미딘-4-일아미노)-2-(4-메틸피페라진-1-일)-페닐)-아크릴아미드;
N-(2-(4-에틸-피페라진-1-일)-4-메톡실-5-(6-(1-메틸-1H-인돌-3-일)-피리미딘-4-일아미노)-페닐)-아크릴아미드;
N-(2-(4-tert-부틸-피페라진-1-일)-4-메톡실-5-(6-(1-메틸-1H-인돌-3-일)-피리미딘-4-일아미노)-페닐)-아크릴아미드;
N-(4-메톡실-5-(6-(1-메틸-1H-인돌-3-일)-피리미딘-4-일아미노)-2-(4-(1-메틸피페리딘-4-일)-피페라진-1-일)-페닐)-아크릴아미드;
N-(2-(4-(2-히드록실-에틸)-피페라진-1-일)-4-메톡실-5-(6-(1-메틸-1H-인돌-3-일)-피리미딘-4-일아미노)-페닐)-아크릴아미드;
N-(4-메톡실-2-(4-(2-메톡실-에틸)-피페라진-1-일)-5-(6-(1-메틸-1H-인돌-3-일)-피리미딘-4-일아미노)-페닐)-아크릴아미드;
N-(2-(4-(2-(2-히드록실-에톡실)-에틸)-피페라진-1-일)-4-메톡실-5-(6-(1-메틸-1H-인돌-3-일)-피리미딘-4-일아미노)-페닐)-아크릴아미드;
N-(4-메톡실-5-(6-(1-메틸-1H-인돌-3-일)-피리미딘-4-일아미노)-2-(4-(2-(피롤리딘-1-일)-에틸)-피페라진-1-일)-페닐)-아크릴아미드;
N-(2-(4-(2-(디메틸아미노)-에틸)-피페라진-1-일)-4-메톡실-5-(6-(1-메틸-1H-인돌-3-일)-피리미딘-4-일아미노)-페닐)-아크릴아미드;
N-(2-(4-아세틸피페라진-1-일)-4-메톡실-5-(6-(1-메틸-1H-인돌-3-일)-피리미딘-4-일아미노)-페닐)-아크릴아미드;
N-(4-메톡실-5-(6-(1-메틸-1H-인돌-3-일)-피리미딘-4-일아미노)-2-(4-페닐피페라진-1-일)-페닐)-아크릴아미드;
N-(2-(4-벤질피페라진-1-일)-4-메톡실-5-(6-(1-메틸-1H-인돌-3-일)-피리미딘-4-일아미노)-페닐)-아크릴아미드;
N-(4-메톡실-5-(6-(1-메틸-1H-인돌-3-일)-피리미딘-4-일아미노)-2-(4-(-(피리미딘-3-일메틸)-피페라진-1-일)-페닐)-아크릴아미드;
N-(4-메톡실-5-(6-(1-메틸-1H-인돌-3-일)-피리미딘-4-일아미노)-2-(4-메틸-2-페닐피페라진-1-일)-페닐)-아크릴아미드;
N-(2-(4-(비스-(4-플루오로-페닐)-메틸)-피페라진-1-일)-4-메톡실-5-(6-(1-메틸-1H-인돌-3-일)-피리미딘-4-일아미노)-페닐)-아크릴아미드;
N-(4-메톡실-2-(4-메틸-[1,4]디아제핀-1-일)-5-(6-(1-메틸-1H-인돌-3-일)-피리미딘-4-일아미노)-페닐)-아크릴아미드;
(S)-N-(2-(3-디메틸아미노-피롤리딘-1-일)-4-메톡실-5-(6-(1-메틸-1H-인돌-3-일)-피리미딘-4-일아미노)-페닐)-아크릴아미드;
N-(2-(4-디메틸아미노-피페리딘-1-일)-4-메톡실-5-(6-(1-메틸-1H-인돌-3-일)-피리미딘-4-일아미노)-페닐)-아크릴아미드;
N-(4-메톡실-5-(6-(1-메틸-1H-인돌-3-일)-피리미딘-4-일아미노)-2-(4-(4-메틸피페라진-1-일)-피페리딘-1-일)-페닐)-아크릴아미드;
N-(2-(4-(모르폴린-4-일)피페리딘-1-일)-4-메톡실-5-(6-(1-메틸-1H-인돌-3-일)-피리미딘-4-일아미노)-페닐)-아크릴아미드;
N-(4-메톡실-5-(6-(1-메틸-1H-인돌-3-일)-피리미딘-4-일아미노)-2-(메틸-(2-피롤리딘-1-일-에틸)-아미노)-페닐)-아크릴아미드;
N-(5-(6-(1-메틸-1H-인돌-3-일)-피리미딘-2-일아미노)-2-((2-(디메틸아미노)-에틸-메틸-아미노)-4-메톡실-페닐)-아크릴아미드;
N-{2-[(2-디메틸아미노-에틸)-메틸-아미노]-5-[6-(1-메틸-1H-인돌-3-일)-피리미딘-4-일아미노]-4-프로필-페닐}-아크릴아미드;
N-{2-((2-디메틸아미노-에틸)-메틸아미노)-5-[6-(1-에틸-1H-인돌-3-일)-피리미딘-4-일아미노]-4-메톡실-페닐}-아크릴아미드;
N-{2-[(2-디메틸아미노-에틸)-메틸아미노)-5-[6-(1-프로필-1H-인돌-3-일)-피리미딘-4-일아미노]-4-메톡실-페닐}-아크릴아미드;
N-{2-[(2-디메틸아미노-에틸)-메틸아미노]-5-[6-(1-이소프로필-1H-인돌-3-일)-피리미딘-4-일아미노]-4-메톡실-페닐}-아크릴아미드;
N-{2-[(2-디메틸아미노-에틸)-메틸아미노)-5-[6-(1-이소프로필-1H-인돌-3-일)-피리미딘-4-일아미노]-4-프로폭실-페닐}-아크릴아미드;
N-(5-(6-(1-벤질-1H-인돌-3-일)-피리미딘-4-일아미노)-2-((2-디메틸아미노-에틸)-메틸-아미노)-4-메톡실-페닐)-아크릴아미드;
N-(4-메톡실-5-(6-(6-플루오로-1-메틸-1H-인돌-3-일)-피리미딘-4-일아미노)-2-(2-(디메틸아미노-에틸)-메틸-아미노)-페닐)-아크릴아미드;
N-(2-((2-디메틸아미노-에틸)-메틸-아미노)-5-(4-(5-플루오로-인돌-1-일)-피리미딘-2-일아미노)-4-프로필-페닐}-아크릴아미드;
N-(2-((2-디메틸아미노-에틸)-메틸아미노)-5-(6-(5-플루오로-1-메틸-1H-인돌-3-일)-피리미딘-4-일아미노)-4-메톡실-페닐)-아크릴아미드;
N-(5-[6-(5-플루오로-1-이소프로필-1H-인돌-3-일)-피리미딘-4-일아미노]-2-{[2-(1-옥시-피롤리딘-1-일)-에틸]-메틸-아미노}-4-메톡실-페닐)-아크릴아미드;
N-(5-(6-(5-플루오로-1-이소프로필-1H-인돌-3-일)-피리미딘-4-일아미노)-4-메톡시-2-(4-(4-메틸-피페라진-1-일)-피페리딘-1-일)-페닐)-아크릴아미드;
N-(5-(6-(5-플루오로-1-이소프로필-1H-인돌-3-일)-피리미딘-4-일아미노)-4-메톡실-2-((2-디메틸아미노-에틸)-메틸-아미노)-페닐)-아크릴아미드;
2-((2-아크릴아미도-5-메톡실-4-((6-(1-이소프로필-5-플루오로-1H-인돌-3-일)-피리미딘-4-일)-아미노)-페닐)-메틸)-N,N-디메틸-N-에틸아민 옥사이드;
N-(5-(6-(5-플루오로-1-시클로펜틸-1H-인돌-3-일)-피리미딘-4-일아미노)-4-메톡실-2-((2-디메틸아미노-에틸)-메틸아미노)-페닐)-아크릴아미드;
N-(2-((2-(디메틸아미노)-에틸)-메틸아미노)-4-메톡실-5-(2-메틸-6-(1-메틸-1H-인돌-3-일)-피리미딘-4-일-아미노)-페닐)-아크릴아미드;
N-(5-(5-메틸-6-(1-메틸-1H-인돌-3-일)-피리미딘-4-일아미노)-4-메톡실-2-((2-디메틸아미노-에틸)-메틸-아미노)-페닐)-아크릴아미드;
N-(4-메톡실-2-(2-메톡실-에톡실)-5-(6-(1-메틸-1H-인돌-3-일)-피리미딘-4-일아미노)-페닐)-아크릴아미드;
N-(5-(6-(1-메틸-1H-인돌-3-일)-피리미딘-4-일아미노)-4-메톡시-2-(2-(4-메틸피페라진-1-일)-에톡실)-페닐)-아크릴아미드;
N-(5-(6-(1-메틸-1H-인돌-3-일)-피리미딘-4-일아미노)-4-메톡시-2-(2-(모르폴린-4-일)-에톡실)-페닐)-아크릴아미드;
N-(5-(6-(1-메틸-1H-인돌-3-일)-피리미딘-4-일아미노)-4-메톡시-2-(2-(피롤리딘-1-일)-에톡실)-페닐)-아크릴아미드;
N-(5-(4-((3-클로로-4-(피리딘-2-메톡실)페닐)-메틸-아미노)-피리미딘-2-일아미노)-2-((2-(디메틸아미노)에틸)(메틸)아미노)-4-메톡실-페닐)-아크릴아미드;
N-(5-(5-클로로-4-(3-클로로-4-(피리딘-2-메톡실)페녹실)피리미딘-2-일아미노)-2-((2-(디메틸아미노)에틸)(메틸)아미노)-4-메톡실-페닐)-아크릴아미드;
N-(5-(4-(4-메톡실-1H-인돌-1-일)-5-트리플루오로메틸-피리미딘-2-일아미노)-2-(2-(디메틸아미노-에틸)-메틸-아미노)-4-메톡실-페닐)-아크릴아미드;
N-(5-(4-(4-메톡실-1H-인돌-1-일)-5-클로로-피리미딘-2-일아미노)-2-(2-(디메틸아미노-에틸)-메틸-아미노)-4-메톡실-페닐)-아크릴아미드;
N-(5-(4-(4-히드록실-1H-인돌-1-일)-5-클로로-피리미딘-2-일아미노)-2-(2-(디메틸아미노-에틸)-메틸-아미노)-4-메톡실-페닐)-아크릴아미드;
N-(5-(4-(4-(2-메톡실-에톡실)-1H-인돌-1-일)-피리미딘-2-일아미노)-2-(2-(디메틸아미노-에틸)-메틸-아미노)-4-메톡실-페닐)-아크릴아미드;
N-(5-(4-(4-n-헥실옥시-1H-인돌-1-일)-피리미딘-2-일아미노)-2-(2-(디메틸아미노-에틸)-메틸-아미노)-4-메톡실-페닐)-아크릴아미드;
N-(5-(4-(5-(2-메톡실-에톡실)-1H-인돌-1-일)-피리미딘-2-일아미노)-2-(2-(디메틸아미노-에틸)-메틸-아미노)-4-메톡실-페닐)-아크릴아미드;
N-(5-(4-(4-메톡실-1H-인돌-1-일)-피리미딘-2-일아미노)-2-(4-(4-메틸-피페라진-1-일)-피페리딘-1-일)-4-메톡실-페닐)-아크릴아미드;
N-(5-(4-(6-(2-메톡실-에톡실)-1H-인돌-1-일)-피리미딘-2-일아미노)-2-(2-(디메틸아미노-에틸)-메틸-아미노)-4-메톡실-페닐)-아크릴아미드;
N-(5-(4-(4-((테트라히드로퓨란-2-일)-메톡실)-1H-인돌-1-일)-피리미딘-2-일아미노)-2-(2-(디메틸아미노-에틸)-메틸-아미노)-4-메톡실-페닐)-아크릴아미드;
N-(5-(4-(4-메톡실-6-브로모-1H-인돌-1-일)-피리미딘-2-일아미노)-2-(2-(디메틸아미노-에틸)-메틸-아미노)-4-메톡실-페닐)-아크릴아미드;
N-(5-(4-(4-메톡실-6-플루오로-1H-인돌-1-일)-피리미딘-2-일아미노)-2-(2-(디메틸아미노-에틸)-메틸-아미노)-4-메톡실-페닐)-아크릴아미드;
N-(5-(4-(4-메톡실-6-클로로-1H-인돌-1-일)-피리미딘-2-일아미노)-2-(2-(디메틸아미노-에틸)-메틸-아미노)-4-메톡실-페닐)-아크릴아미드;
N-(5-(4-(4-(2,5-디메틸피롤-1-일)-6-브로모-1H-인돌-1-일)-피리미딘-2-일아미노)-2-(2-(디메틸아미노-에틸)-메틸-아미노)-4-메톡실-페닐)-아크릴아미드;
N-(5-(6-(3-클로로-4-(2-모르폴린-4-일-에톡실)-페닐아미노)-피리미딘-4-일아미노)-2-((2-디메틸아미노에틸)-메틸-아미노)-4-메톡시페닐)-아크릴아미드;
N-(5-(6-(3-클로로-4-(테트라히드로피란-4-일-메톡실)-페닐아미노)-피리미딘-4-일아미노)-2-((2-디메틸아미노에틸)-메틸-아미노)-4-메톡시페닐)-아크릴아미드;
N-(5-(6-(3-(1-(3-메틸부톡시)에틸)-4-메톡실페닐아미노)-피리미딘-4-일아미노)-2-((2-디메틸아미노에틸)-메틸-아미노)-4-메톡실페닐아미노)-아크릴아미드;
N-(5-(6-(3-클로로-4-메톡실-페닐아미노)-피리미딘-4-일아미노)-2-(2-디메틸아미노-에톡실)-4-메톡실-페닐)-아크릴아미드;
N-(5-(6-(3-클로로-4-(3-메틸부톡시)-페닐아미노)-피리미딘-4-일아미노)-2-((2-디메틸아미노에틸)-메틸-아미노)-4-메톡시페닐)-아크릴아미드;
5-(6-(5-아크릴아미도-4-((2-메톡시페닐)-메틸-아미노)-2-메톡실페닐아미노)-피리미딘-4-일)-2-메톡시벤즈아미드;
5-(6-(5-아크릴아미도-4-((2-메톡시페닐)-메틸-아미노)-2-메톡실페닐아미노)-피리미딘-4-일)-2-메톡실-N-메틸벤즈아미드;
N-(5-(6-(4-메톡실-3-트리플루오로메틸-페닐아미노)-피리미딘-4-일-아미노)-2-((2-디메틸아미노-에틸)-메틸-아미노)-4-메톡실-페닐)-아크릴아미드;
N-(5-(6-(3-클로로-4-(티아졸-2-일메톡시)-페닐아미노)-피리미딘-4-일아미노)-2-((2-디메틸아미노-에틸)-메틸-아미노)-4-메톡실-페닐)-아크릴아미드;
N-(5-(6-(4-메톡실-3-브로모-페닐아미노)-피리미딘-4-일-아미노)-2-((2-디메틸아미노-에틸)-메틸-아미노)-4-메톡실-페닐)-아크릴아미드;
N-(5-(6-(4-메톡실-3-클로로-페닐아미노)-피리미딘-4-일-아미노)-2-(2-(피롤리딘-1-일)-에톡실)-4-메톡실-페닐)-아크릴아미드;
N-(5-(6-(4-플루오로-3-트리플루오로메틸-페닐아미노)-피리미딘-4-일-아미노)-2-((2-디메틸아미노-에틸)-메틸-아미노)-4-메톡실-페닐)-아크릴아미드;
N-(5-(6-(3-클로로-4-메톡실-페닐아미노)-피리미딘-4-일아미노)-2-(4-(1-메틸피페리딘-4-일)-피페라진-1-일)-4-메톡실-페닐)-아크릴아미드;
N-(5-(6-(4-클로로-3-트리플루오로메틸-페닐아미노)-피리미딘-4-일-아미노)-2-((2-디메틸아미노-에틸)-메틸-아미노)-4-메톡실-페닐)-아크릴아미드;
N-(5-(6-(3-시아노-페닐아미노)-피리미딘-4-일-아미노)-2-((2-디메틸아미노-에틸)-메틸-아미노)-4-메톡실-페닐)-아크릴아미드;
N-(5-(6-(5-플루오로-3-트리플루오로메틸-페닐아미노)-피리미딘-4-일-아미노)-2-((2-디메틸아미노-에틸)-메틸-아미노)-4-메톡실-페닐)-아크릴아미드;
N-(5-(6-(2-플루오로-5-트리플루오로메틸-페닐아미노)-피리미딘-4-일-아미노)-2-((2-디메틸아미노-에틸)-메틸-아미노)-4-메톡실-페닐)-아크릴아미드;
N-(5-(6-(3-메톡실-5-트리플루오로메틸-페닐아미노)-피리미딘-4-일-아미노)-2-((2-디메틸아미노-에틸)-메틸-아미노)-4-메톡실-페닐)-아크릴아미드;
N-(5-(6-(2-메톡실-5-트리플루오로메틸-페닐아미노)-피리미딘-4-일-아미노)-2-((2-디메틸아미노-에틸)-메틸-아미노)-4-메톡실-페닐)-아크릴아미드;
N-(5-(6-(3-클로로-4-트리플루오로메틸-페닐아미노)-피리미딘-4-일-아미노)-2-((2-디메틸아미노-에틸)-메틸-아미노)-4-메톡실-페닐)-아크릴아미드;
N-(5-(6-(3-클로로-4-트리플루오로메톡시-페닐아미노)-피리미딘-4-일-아미노)-2-((2-디메틸아미노-에틸)-메틸-아미노)-4-메톡실-페닐)-아크릴아미드;
N-(5-(6-(3-클로로-5-플루오로-4-(2-메톡실-에톡실)-페닐아미노)-피리미딘-4-일-아미노)-2-((2-디메틸아미노-에틸)-메틸-아미노)-4-메톡실-페닐)-아크릴아미드;
N-(5-(6-(3-메탄설폰아미도-4-메톡실-페닐아미노)-피리미딘-4-일-아미노)-2-((2-디메틸아미노-에틸)-메틸-아미노)-4-메톡실-페닐)-아크릴아미드;
N-(5-(6-(2,4-디클로로-5-메톡실-페닐아미노)-피리미딘-4-일-아미노)-2-(4-메틸-피페라진-1-일)-4-메톡실-페닐)-아크릴아미드;
N-(5-(6-(2,4-디클로로-5-메톡실-페닐아미노)-피리미딘-4-일-아미노)-2-(4-(모르폴린-1-일)-피페리딘-1-일)-4-메톡실-페닐)-아크릴아미드;
N-(5-(6-(2,4-디클로로-5-메톡실-페닐아미노)-피리미딘-4-일-아미노)-2-(메틸-(2-(4-메틸-피페라진-1-일)-2-옥소에틸)-아미노)-4-메톡실-페닐)-아크릴아미드;
N-(5-(6-(2,4-디클로로-5-메톡실-페닐아미노)-피리미딘-4-일아미노)-2-(2-디메틸아미노-에톡실)-4-메톡실-페닐)-아크릴아미드;
N-(5-(6-(2,4-디클로로-5-메톡실-페닐아미노)-피리미딘-4-일-아미노)-2-(2-(모르폴린-4-일)-에톡실-4-메톡실-페닐)-아크릴아미드;
N-(5-(6-(2,4-디클로로-5-메톡실-페닐아미노)-피리미딘-4-일-아미노)-2-(2-(피롤리딘-1-일)-에톡실)-4-메톡실-페닐)-아크릴아미드;
N-(5-(6-(2,4-디클로로-5-메톡실-페닐아미노)-피리미딘-4-일-아미노)-2-(2-(4-메틸-피페라진-1-일)-에톡실)-4-메톡실-페닐)-아크릴아미드;
N-(5-(6-(2,4-디클로로-5-메톡실-페닐아미노)-피리미딘-4-일-아미노)-2-(3-(피롤리딘-1-일)-프로필)-4-메톡실-페닐)-아크릴아미드;
N-(5-(6-(2,4-디클로로-5-메톡실-페닐아미노)-피리미딘-4-일-아미노)-2-(2-(피페리딘-1-일)-에톡실-4-메톡실-페닐)-아크릴아미드;
N-(5-(6-(2,4-디클로로-5-메톡실-페닐아미노)-피리미딘-4-일-아미노)-2-(3-(4-메틸-피페라진-1-일)-프로필)-4-메톡실-페닐)-아크릴아미드;
N-(5-(6-((2,4-디클로로-5-메톡실-페닐)-메틸-아미노)-피리미딘-4-일아미노)-2-((2-디메틸아미노-에틸)-메틸-아미노)-4-메톡실-페닐)-아크릴아미드;
N-(5-(6-(2,4-디클로로-5-메톡실-페닐아미노)-피리미딘-4-일-아미노)-2-(3-(모르폴린-4-일)-프로폭실-4-메톡실-페닐)-아크릴아미드;
N-(5-(6-(3-클로로-4-tert-부톡시-페닐아미노)-피리미딘-4-일-아미노)-2-((2-디메틸아미노-에틸)-메틸-아미노)-4-메톡실-페닐)-아크릴아미드;
N-(5-(6-(3-아세테닐-4-메톡실-페닐아미노)-피리미딘-4-일-아미노)-2-((2-디메틸아미노-에틸)-메틸-아미노)-4-메톡실-페닐)-아크릴아미드;
N-(5-(6-(3-클로로-4-(3-메틸-옥세탄-3-일-메톡실)-페닐아미노)-피리미딘-4-일-아미노)-2-((2-디메틸아미노-에틸)-메틸-아미노)-4-메톡실-페닐)-아크릴아미
로 이루어진 군으로부터 선택되는 것인 화합물 또는 이의 약학적으로 허용 가능한 염, 용매화물 또는 전구약물. - 제1항 내지 제12항 중 어느 한 항에 따른 화합물 또는 이의 약학적으로 허용 가능한 염을 유효 성분으로 포함하는 EGFR PTK 억제제.
- 제1항 내지 제12항 중 어느 한 항에 따른 화합물 또는 이의 약학적으로 허용 가능한 염을 유효 성분으로 포함하는 HER2/ ErbB2 PTK 억제제.
- EGFR 및/또는 HER2/ErbB2 PTK 억제제의 제조에서 제1항 내지 제12항 중 어느 한 항에 따른 화합물 또는 이의 약학적으로 허용 가능한 염의 용도.
- 암의 예방 또는 치료용 약제 제조에서 제1항 내지 제12항 중 어느 한 항에 따른 화합물 또는 이의 약학적으로 허용 가능한 염의 용도.
Applications Claiming Priority (3)
| Application Number | Priority Date | Filing Date | Title |
|---|---|---|---|
| CN201511027848.4A CN106928150B (zh) | 2015-12-31 | 2015-12-31 | 丙烯酰胺苯胺衍生物及其药学上的应用 |
| CN201511027848.4 | 2015-12-31 | ||
| PCT/CN2016/113696 WO2017114500A1 (zh) | 2015-12-31 | 2016-12-30 | 丙烯酰苯胺衍生物、其制备方法及其药学上的应用 |
Publications (2)
| Publication Number | Publication Date |
|---|---|
| KR20180098361A true KR20180098361A (ko) | 2018-09-03 |
| KR102683842B1 KR102683842B1 (ko) | 2024-07-09 |
Family
ID=59224670
Family Applications (1)
| Application Number | Title | Priority Date | Filing Date |
|---|---|---|---|
| KR1020187021420A Active KR102683842B1 (ko) | 2015-12-31 | 2016-12-30 | 아실아닐리드 유도체, 이의 제조 방법 및 약학에서의 적용 |
Country Status (9)
| Country | Link |
|---|---|
| US (1) | US10342796B2 (ko) |
| EP (1) | EP3398939A4 (ko) |
| JP (2) | JP2019506449A (ko) |
| KR (1) | KR102683842B1 (ko) |
| CN (1) | CN106928150B (ko) |
| AU (1) | AU2016382515B2 (ko) |
| BR (1) | BR112018013218B1 (ko) |
| RU (1) | RU2742372C2 (ko) |
| WO (1) | WO2017114500A1 (ko) |
Cited By (2)
| Publication number | Priority date | Publication date | Assignee | Title |
|---|---|---|---|---|
| WO2022191664A1 (ko) * | 2021-03-11 | 2022-09-15 | 주식회사 온코빅스 | 암세포 성장 억제 효과를 나타내는 신규한 피리미딘 유도체 |
| US12258344B2 (en) | 2019-03-29 | 2025-03-25 | Shenzhen Forward Pharmaceuticals Co., Ltd. | Azaaromatic amide derivatives for the treatment of cancer |
Families Citing this family (19)
| Publication number | Priority date | Publication date | Assignee | Title |
|---|---|---|---|---|
| CN106117185B (zh) | 2015-08-31 | 2017-11-07 | 广州必贝特医药技术有限公司 | 2,4‑二含氮基团取代嘧啶类化合物及其制备方法和应用 |
| CN106883213B (zh) * | 2015-12-15 | 2021-04-20 | 合肥中科普瑞昇生物医药科技有限公司 | 一种egfr和alk激酶的双重抑制剂 |
| CN106928150B (zh) | 2015-12-31 | 2020-07-31 | 恩瑞生物医药科技(上海)有限公司 | 丙烯酰胺苯胺衍生物及其药学上的应用 |
| JP2019501222A (ja) | 2016-01-07 | 2019-01-17 | シーエス ファーマテック リミテッド | Egfrチロシンキナーゼの臨床的に重要な変異体の選択的阻害薬 |
| JP7030066B2 (ja) | 2016-05-26 | 2022-03-04 | リキュリウム アイピー ホールディングス リミテッド ライアビリティー カンパニー | Egfr阻害剤化合物 |
| CN108864079B (zh) * | 2017-05-15 | 2021-04-09 | 深圳福沃药业有限公司 | 一种三嗪化合物及其药学上可接受的盐 |
| CN109721589A (zh) * | 2017-10-30 | 2019-05-07 | 如东凌达生物医药科技有限公司 | 一类具有抗肿瘤活性的苯胺咪唑基嘧啶胺类化合物、制备方法和用途 |
| TWI798334B (zh) * | 2018-01-31 | 2023-04-11 | 大陸商迪哲(江蘇)醫藥股份有限公司 | Erbb/btk抑制劑 |
| CN111617083B (zh) * | 2019-02-28 | 2023-10-27 | 上海医药工业研究院 | 甲氧基取代苯基酰胺类氨基嘧啶衍生物的应用 |
| CN111718325A (zh) * | 2019-03-22 | 2020-09-29 | 烟台药物研究所 | 一种2,4,5-取代嘧啶类化合物及其制备方法和应用 |
| CN113179640B (zh) * | 2019-11-26 | 2024-06-25 | 上海翰森生物医药科技有限公司 | 含氮多环类衍生物抑制剂、其制备方法和应用 |
| CN111057021B (zh) * | 2019-12-11 | 2023-05-23 | 中国药科大学 | 均三嗪类化合物及其制备方法和用途 |
| US20230125046A1 (en) * | 2019-12-23 | 2023-04-20 | Beijing Scitech-Mq Pharmaceuticals Limited | Cyano-substituted pyridine and cyano-substituted pyrimidine compound and preparation method therefor and application thereof |
| JP2023510759A (ja) * | 2020-01-07 | 2023-03-15 | デイナ ファーバー キャンサー インスティチュート,インコーポレイテッド | Egfr/her2のシアノ-ピリミジン阻害剤 |
| WO2022033455A1 (zh) * | 2020-08-13 | 2022-02-17 | 上海和誉生物医药科技有限公司 | 具有egfr抑制活性的三嗪衍生物及其制备方法和应用 |
| CN115867539B (zh) * | 2020-12-02 | 2025-07-22 | 上海和誉生物医药科技有限公司 | 2,3-二氢-1H-吡咯并[3,2-b]吡啶衍生物、其制备方法和应用 |
| CN113387935B (zh) * | 2021-07-23 | 2022-06-10 | 苏州雅深智慧科技有限公司 | 抑制三突变表皮生长因子受体酪氨酸激酶的化合物及用途 |
| CN115701429B (zh) * | 2021-08-02 | 2024-03-12 | 上海和誉生物医药科技有限公司 | 4-(1h-吲哚-1-基)嘧啶-2-氨基衍生物及其制备方法和应用 |
| MX2024000261A (es) * | 2021-08-06 | 2024-03-14 | Abbisko Therapeutics Co Ltd | Derivado de pirimidina o piridina, metodo de preparacion del mismo y aplicacion del mismo en la industria farmaceutica. |
Citations (2)
| Publication number | Priority date | Publication date | Assignee | Title |
|---|---|---|---|---|
| CN105085489A (zh) * | 2014-11-05 | 2015-11-25 | 上海页岩科技有限公司 | 嘧啶或吡啶类化合物、其制备方法和医药用途 |
| WO2015188777A1 (en) * | 2014-06-12 | 2015-12-17 | Shanghai Fochon Pharmaceutical Co Ltd | Certain protein kinase inhibitors |
Family Cites Families (16)
| Publication number | Priority date | Publication date | Assignee | Title |
|---|---|---|---|---|
| US6881737B2 (en) * | 2001-04-11 | 2005-04-19 | Amgen Inc. | Substituted triazinyl acrylamide derivatives and methods of use |
| AU2008314632B2 (en) * | 2007-10-19 | 2015-05-28 | Celgene Avilomics Research, Inc. | Heteroaryl compounds and uses thereof |
| MX382352B (es) * | 2008-06-27 | 2025-03-13 | Celgene Car Llc | Compuestos de heteroarilo y usos de los mismos. |
| LT3333161T (lt) | 2011-07-27 | 2020-05-11 | Astrazeneca Ab | 2-(2,4,5-pakeistieji-anilino)pirimidino dariniai kaip egfr moduliatoriai, naudingi vėžio gydymui |
| US20150166591A1 (en) | 2012-05-05 | 2015-06-18 | Ariad Pharmaceuticals, Inc. | Methods and compositions for raf kinase mediated diseases |
| RU2656591C2 (ru) * | 2013-07-11 | 2018-06-06 | Бетта Фармасьютикалз Ко., Лтд | Модуляторы протеин-тирозинкиназы и способы их применения |
| EP3144292B1 (en) * | 2014-04-14 | 2020-08-26 | Shanghai Haiyan Pharmaceutical Technology Co., Ltd | 2,3,4,6-tetra-substituted benzene-1,5-diamine derivatives, preparation method therefor and medicinal use thereof |
| CN106536503B (zh) * | 2014-04-18 | 2019-09-06 | 北京澳合药物研究院有限公司 | 一种酪氨酸激酶抑制剂及其用途 |
| WO2015188747A1 (zh) * | 2014-06-12 | 2015-12-17 | 南京圣和药业股份有限公司 | 作为egfr抑制剂的苯基取代的三嗪类化合物及其应用 |
| HUE055233T2 (hu) * | 2014-10-11 | 2021-11-29 | Shanghai Hansoh Biomedical Co Ltd | Az EGFR gátló és annak elkészítése és alkalmazása |
| CN105585565B (zh) * | 2014-10-23 | 2019-10-01 | 中国医学科学院药物研究所 | 含2-苯胺基-4-噻唑基吡啶衍生物及其制法和药物组合物与用途 |
| CN105601573B (zh) * | 2014-11-24 | 2021-07-02 | 中国科学院上海药物研究所 | 2-氨基嘧啶类化合物及其药物组合物和应用 |
| CN113563332B (zh) * | 2014-12-23 | 2024-12-17 | 达纳-法伯癌症研究所公司 | 作为egfr抑制剂的新的嘧啶和治疗病症的方法 |
| EP3345906B1 (en) * | 2015-08-31 | 2022-05-25 | Wuxi Shuangliang Biotechnology Co., Ltd. | 2-arylamino pyridine, pyridine or triazine derivative, preparation method and use thereof |
| CN106117185B (zh) * | 2015-08-31 | 2017-11-07 | 广州必贝特医药技术有限公司 | 2,4‑二含氮基团取代嘧啶类化合物及其制备方法和应用 |
| CN106928150B (zh) | 2015-12-31 | 2020-07-31 | 恩瑞生物医药科技(上海)有限公司 | 丙烯酰胺苯胺衍生物及其药学上的应用 |
-
2015
- 2015-12-31 CN CN201511027848.4A patent/CN106928150B/zh active Active
-
2016
- 2016-12-30 US US16/067,444 patent/US10342796B2/en active Active
- 2016-12-30 WO PCT/CN2016/113696 patent/WO2017114500A1/zh not_active Ceased
- 2016-12-30 AU AU2016382515A patent/AU2016382515B2/en active Active
- 2016-12-30 BR BR112018013218-7A patent/BR112018013218B1/pt active IP Right Grant
- 2016-12-30 EP EP16881289.9A patent/EP3398939A4/en active Pending
- 2016-12-30 KR KR1020187021420A patent/KR102683842B1/ko active Active
- 2016-12-30 JP JP2018553292A patent/JP2019506449A/ja active Pending
- 2016-12-30 RU RU2018122662A patent/RU2742372C2/ru active
-
2021
- 2021-03-01 JP JP2021031597A patent/JP7414756B2/ja active Active
Patent Citations (2)
| Publication number | Priority date | Publication date | Assignee | Title |
|---|---|---|---|---|
| WO2015188777A1 (en) * | 2014-06-12 | 2015-12-17 | Shanghai Fochon Pharmaceutical Co Ltd | Certain protein kinase inhibitors |
| CN105085489A (zh) * | 2014-11-05 | 2015-11-25 | 上海页岩科技有限公司 | 嘧啶或吡啶类化合物、其制备方法和医药用途 |
Cited By (2)
| Publication number | Priority date | Publication date | Assignee | Title |
|---|---|---|---|---|
| US12258344B2 (en) | 2019-03-29 | 2025-03-25 | Shenzhen Forward Pharmaceuticals Co., Ltd. | Azaaromatic amide derivatives for the treatment of cancer |
| WO2022191664A1 (ko) * | 2021-03-11 | 2022-09-15 | 주식회사 온코빅스 | 암세포 성장 억제 효과를 나타내는 신규한 피리미딘 유도체 |
Also Published As
| Publication number | Publication date |
|---|---|
| RU2742372C2 (ru) | 2021-02-05 |
| EP3398939A4 (en) | 2019-02-13 |
| BR112018013218B1 (pt) | 2023-11-28 |
| AU2016382515B2 (en) | 2020-12-17 |
| CN106928150B (zh) | 2020-07-31 |
| KR102683842B1 (ko) | 2024-07-09 |
| BR112018013218A2 (pt) | 2018-12-11 |
| AU2016382515A1 (en) | 2018-08-16 |
| US20190015413A1 (en) | 2019-01-17 |
| CN106928150A (zh) | 2017-07-07 |
| RU2018122662A (ru) | 2020-01-31 |
| JP2021098715A (ja) | 2021-07-01 |
| EP3398939A1 (en) | 2018-11-07 |
| US10342796B2 (en) | 2019-07-09 |
| RU2018122662A3 (ko) | 2020-02-17 |
| NZ744811A (en) | 2024-07-26 |
| JP7414756B2 (ja) | 2024-01-16 |
| WO2017114500A1 (zh) | 2017-07-06 |
| JP2019506449A (ja) | 2019-03-07 |
Similar Documents
| Publication | Publication Date | Title |
|---|---|---|
| KR102683842B1 (ko) | 아실아닐리드 유도체, 이의 제조 방법 및 약학에서의 적용 | |
| JP6945015B2 (ja) | N2,n4−ジフェニルピリミジン−2,4−ジアミン誘導体、その製造方法、およびこれを有効成分として含む癌の予防または治療用の薬学的組成物 | |
| AU2015303641B2 (en) | 2-(2,4,5-substituted aniline) pyrimidine derivative, pharmaceutical composition and use thereof | |
| KR102444835B1 (ko) | Egfr 억제제 화합물 | |
| KR101323566B1 (ko) | 디(아릴아미노)아릴 화합물 | |
| RU2656591C2 (ru) | Модуляторы протеин-тирозинкиназы и способы их применения | |
| EP3181560A1 (en) | Pyridine amidopyrimidine derivative, preparation method and use thereof | |
| WO2002016348A1 (en) | Antiangiogenic bicyclic derivatives | |
| PT1511730E (pt) | Derivados de diaril-ureia úteis para o tratamento de doenças dependentes de proteína quinase | |
| CA2577185A1 (en) | Cyclic diarly ureas suitable as tyrosine kinase inhibitors | |
| AU2001276536A1 (en) | Quinoline derivatives having vegf inhibiting activity | |
| EP3102571B1 (en) | Substituted pyrimidines useful as egfr-t790m kinase inhibitors | |
| AU2001279938A1 (en) | Indole, azaindole and indazole derivatives having VEGF inhibiting activity | |
| EP1311500A2 (en) | Indole, azaindole and indazole derivatives having vegf inhibiting activity | |
| US9586965B2 (en) | Pyrrolo[2,3-d]pyrimidine compounds as inhibitors of protein kinases | |
| TW201934546A (zh) | 嘧啶類化合物、其製備方法及其醫藥用途 | |
| JP2020523348A (ja) | プロテインキナーゼ阻害剤としてのアミノチアゾール化合物 | |
| CN114630819A (zh) | 用于预防或治疗癌症的苯甲酰胺衍生物、其制备方法以及包含其作为活性成分的药物组合物 | |
| CN111362924B (zh) | 氘代的嘧啶衍生物及其用途 | |
| EP3731845A1 (en) | Heterocycle compounds as tyro3, axl and mertk (tam) family of receptor tyrosine kinase inhibitors | |
| HK1239694A1 (en) | Acrylanilide derivative and applications thereof in pharmacy | |
| HK1239694A (en) | Acrylanilide derivative and applications thereof in pharmacy | |
| HK1239694B (zh) | 丙烯酰胺苯胺衍生物及其药学上的应用 | |
| HK40026650A (en) | Aminopyrimidine derivatives, preparation method therefor and use thereof |
Legal Events
| Date | Code | Title | Description |
|---|---|---|---|
| PA0105 | International application |
Patent event date: 20180724 Patent event code: PA01051R01D Comment text: International Patent Application |
|
| PG1501 | Laying open of application | ||
| PA0201 | Request for examination |
Patent event code: PA02012R01D Patent event date: 20211028 Comment text: Request for Examination of Application |
|
| E902 | Notification of reason for refusal | ||
| PE0902 | Notice of grounds for rejection |
Comment text: Notification of reason for refusal Patent event date: 20230501 Patent event code: PE09021S01D |
|
| E701 | Decision to grant or registration of patent right | ||
| PE0701 | Decision of registration |
Patent event code: PE07011S01D Comment text: Decision to Grant Registration Patent event date: 20240514 |
|
| GRNT | Written decision to grant | ||
| PR0701 | Registration of establishment |
Comment text: Registration of Establishment Patent event date: 20240705 Patent event code: PR07011E01D |
|
| PR1002 | Payment of registration fee |
Payment date: 20240705 End annual number: 3 Start annual number: 1 |
|
| PG1601 | Publication of registration |





















































































































































































