JP7635152B2 - 水性界面活性剤組成物及び固形石鹸 - Google Patents
水性界面活性剤組成物及び固形石鹸 Download PDFInfo
- Publication number
- JP7635152B2 JP7635152B2 JP2021565876A JP2021565876A JP7635152B2 JP 7635152 B2 JP7635152 B2 JP 7635152B2 JP 2021565876 A JP2021565876 A JP 2021565876A JP 2021565876 A JP2021565876 A JP 2021565876A JP 7635152 B2 JP7635152 B2 JP 7635152B2
- Authority
- JP
- Japan
- Prior art keywords
- group
- weight
- composition
- solid
- compound
- Prior art date
- Legal status (The legal status is an assumption and is not a legal conclusion. Google has not performed a legal analysis and makes no representation as to the accuracy of the status listed.)
- Active
Links
Images
Classifications
-
- A—HUMAN NECESSITIES
- A61—MEDICAL OR VETERINARY SCIENCE; HYGIENE
- A61K—PREPARATIONS FOR MEDICAL, DENTAL OR TOILETRY PURPOSES
- A61K8/00—Cosmetics or similar toiletry preparations
- A61K8/02—Cosmetics or similar toiletry preparations characterised by special physical form
- A61K8/0216—Solid or semisolid forms
-
- A—HUMAN NECESSITIES
- A61—MEDICAL OR VETERINARY SCIENCE; HYGIENE
- A61K—PREPARATIONS FOR MEDICAL, DENTAL OR TOILETRY PURPOSES
- A61K8/00—Cosmetics or similar toiletry preparations
- A61K8/18—Cosmetics or similar toiletry preparations characterised by the composition
- A61K8/30—Cosmetics or similar toiletry preparations characterised by the composition containing organic compounds
- A61K8/46—Cosmetics or similar toiletry preparations characterised by the composition containing organic compounds containing sulfur
- A61K8/466—Cosmetics or similar toiletry preparations characterised by the composition containing organic compounds containing sulfur containing sulfonic acid derivatives; Salts
-
- A—HUMAN NECESSITIES
- A61—MEDICAL OR VETERINARY SCIENCE; HYGIENE
- A61K—PREPARATIONS FOR MEDICAL, DENTAL OR TOILETRY PURPOSES
- A61K8/00—Cosmetics or similar toiletry preparations
- A61K8/18—Cosmetics or similar toiletry preparations characterised by the composition
- A61K8/72—Cosmetics or similar toiletry preparations characterised by the composition containing organic macromolecular compounds
- A61K8/73—Polysaccharides
- A61K8/732—Starch; Amylose; Amylopectin; Derivatives thereof
-
- A—HUMAN NECESSITIES
- A61—MEDICAL OR VETERINARY SCIENCE; HYGIENE
- A61K—PREPARATIONS FOR MEDICAL, DENTAL OR TOILETRY PURPOSES
- A61K8/00—Cosmetics or similar toiletry preparations
- A61K8/18—Cosmetics or similar toiletry preparations characterised by the composition
- A61K8/72—Cosmetics or similar toiletry preparations characterised by the composition containing organic macromolecular compounds
- A61K8/73—Polysaccharides
- A61K8/738—Cyclodextrins
-
- A—HUMAN NECESSITIES
- A61—MEDICAL OR VETERINARY SCIENCE; HYGIENE
- A61Q—SPECIFIC USE OF COSMETICS OR SIMILAR TOILETRY PREPARATIONS
- A61Q19/00—Preparations for care of the skin
- A61Q19/10—Washing or bathing preparations
-
- A—HUMAN NECESSITIES
- A61—MEDICAL OR VETERINARY SCIENCE; HYGIENE
- A61Q—SPECIFIC USE OF COSMETICS OR SIMILAR TOILETRY PREPARATIONS
- A61Q5/00—Preparations for care of the hair
- A61Q5/02—Preparations for cleaning the hair
-
- C—CHEMISTRY; METALLURGY
- C11—ANIMAL OR VEGETABLE OILS, FATS, FATTY SUBSTANCES OR WAXES; FATTY ACIDS THEREFROM; DETERGENTS; CANDLES
- C11D—DETERGENT COMPOSITIONS; USE OF SINGLE SUBSTANCES AS DETERGENTS; SOAP OR SOAP-MAKING; RESIN SOAPS; RECOVERY OF GLYCEROL
- C11D1/00—Detergent compositions based essentially on surface-active compounds; Use of these compounds as a detergent
- C11D1/02—Anionic compounds
- C11D1/04—Carboxylic acids or salts thereof
-
- C—CHEMISTRY; METALLURGY
- C11—ANIMAL OR VEGETABLE OILS, FATS, FATTY SUBSTANCES OR WAXES; FATTY ACIDS THEREFROM; DETERGENTS; CANDLES
- C11D—DETERGENT COMPOSITIONS; USE OF SINGLE SUBSTANCES AS DETERGENTS; SOAP OR SOAP-MAKING; RESIN SOAPS; RECOVERY OF GLYCEROL
- C11D1/00—Detergent compositions based essentially on surface-active compounds; Use of these compounds as a detergent
- C11D1/02—Anionic compounds
- C11D1/12—Sulfonic acids or sulfuric acid esters; Salts thereof
- C11D1/123—Sulfonic acids or sulfuric acid esters; Salts thereof derived from carboxylic acids, e.g. sulfosuccinates
-
- C—CHEMISTRY; METALLURGY
- C11—ANIMAL OR VEGETABLE OILS, FATS, FATTY SUBSTANCES OR WAXES; FATTY ACIDS THEREFROM; DETERGENTS; CANDLES
- C11D—DETERGENT COMPOSITIONS; USE OF SINGLE SUBSTANCES AS DETERGENTS; SOAP OR SOAP-MAKING; RESIN SOAPS; RECOVERY OF GLYCEROL
- C11D1/00—Detergent compositions based essentially on surface-active compounds; Use of these compounds as a detergent
- C11D1/02—Anionic compounds
- C11D1/12—Sulfonic acids or sulfuric acid esters; Salts thereof
- C11D1/28—Sulfonation products derived from fatty acids or their derivatives, e.g. esters, amides
-
- C—CHEMISTRY; METALLURGY
- C11—ANIMAL OR VEGETABLE OILS, FATS, FATTY SUBSTANCES OR WAXES; FATTY ACIDS THEREFROM; DETERGENTS; CANDLES
- C11D—DETERGENT COMPOSITIONS; USE OF SINGLE SUBSTANCES AS DETERGENTS; SOAP OR SOAP-MAKING; RESIN SOAPS; RECOVERY OF GLYCEROL
- C11D1/00—Detergent compositions based essentially on surface-active compounds; Use of these compounds as a detergent
- C11D1/66—Non-ionic compounds
- C11D1/662—Carbohydrates or derivatives
-
- C—CHEMISTRY; METALLURGY
- C11—ANIMAL OR VEGETABLE OILS, FATS, FATTY SUBSTANCES OR WAXES; FATTY ACIDS THEREFROM; DETERGENTS; CANDLES
- C11D—DETERGENT COMPOSITIONS; USE OF SINGLE SUBSTANCES AS DETERGENTS; SOAP OR SOAP-MAKING; RESIN SOAPS; RECOVERY OF GLYCEROL
- C11D1/00—Detergent compositions based essentially on surface-active compounds; Use of these compounds as a detergent
- C11D1/66—Non-ionic compounds
- C11D1/83—Mixtures of non-ionic with anionic compounds
-
- C—CHEMISTRY; METALLURGY
- C11—ANIMAL OR VEGETABLE OILS, FATS, FATTY SUBSTANCES OR WAXES; FATTY ACIDS THEREFROM; DETERGENTS; CANDLES
- C11D—DETERGENT COMPOSITIONS; USE OF SINGLE SUBSTANCES AS DETERGENTS; SOAP OR SOAP-MAKING; RESIN SOAPS; RECOVERY OF GLYCEROL
- C11D17/00—Detergent materials or soaps characterised by their shape or physical properties
- C11D17/0047—Detergents in the form of bars or tablets
- C11D17/0065—Solid detergents containing builders
-
- C—CHEMISTRY; METALLURGY
- C11—ANIMAL OR VEGETABLE OILS, FATS, FATTY SUBSTANCES OR WAXES; FATTY ACIDS THEREFROM; DETERGENTS; CANDLES
- C11D—DETERGENT COMPOSITIONS; USE OF SINGLE SUBSTANCES AS DETERGENTS; SOAP OR SOAP-MAKING; RESIN SOAPS; RECOVERY OF GLYCEROL
- C11D3/00—Other compounding ingredients of detergent compositions covered in group C11D1/00
- C11D3/16—Organic compounds
- C11D3/20—Organic compounds containing oxygen
- C11D3/22—Carbohydrates or derivatives thereof
- C11D3/222—Natural or synthetic polysaccharides, e.g. cellulose, starch, gum, alginic acid or cyclodextrin
Landscapes
- Life Sciences & Earth Sciences (AREA)
- Health & Medical Sciences (AREA)
- Chemical & Material Sciences (AREA)
- Veterinary Medicine (AREA)
- Public Health (AREA)
- General Health & Medical Sciences (AREA)
- Animal Behavior & Ethology (AREA)
- Wood Science & Technology (AREA)
- Chemical Kinetics & Catalysis (AREA)
- Engineering & Computer Science (AREA)
- Organic Chemistry (AREA)
- Oil, Petroleum & Natural Gas (AREA)
- Birds (AREA)
- Epidemiology (AREA)
- Molecular Biology (AREA)
- Emergency Medicine (AREA)
- Dermatology (AREA)
- Detergent Compositions (AREA)
- Cosmetics (AREA)
- Emulsifying, Dispersing, Foam-Producing Or Wetting Agents (AREA)
- Polysaccharides And Polysaccharide Derivatives (AREA)
Description
・ 一般式(I)の1種以上のアルファ-スルホ脂肪酸二塩(A)
R1CH(SO3M1)COOM2 (I)
[式中、R1基は、6~16個の炭素原子を有する直鎖又は分岐のアルキル又はアルケニル基であり、M1及びM2基は、互いに独立してH、Li、Na、K、Ca/2、Mg/2、アンモニウム及びアルカノールアミン基から選択される]、
・ デキストリン及びその誘導体、デンプン及びその誘導体、セルロース及びその誘導体からなる群から選択される1種以上のポリサッカライド(B)を含み、
ただし、以下の
・ 前記界面活性剤組成物が、一般式(V)の1種以上のスルホン酸エステル(E)
R2CH(SO3M7)COOR3 (V)
[式中、R2基は、6~18個の炭素原子を有する直鎖又は分岐のアルキル又はアルケニル基であり、R3基は、1~20個の炭素原子を有する直鎖又は分岐のアルキル又はアルケニル基であり、R3基は、論理上アルケニル基であってよく、又は3個超の炭素原子の場合でのみ分岐であってよく、M7基は、Li、Na、K、Ca/2、Mg/2、アンモニウム及びアルカノールアミン基から選択される]を含む場合、前記化合物(A)は、前記化合物(A)及び(E)の合計に対して50重量%を超えて存在しなければならないという条件が当てはまる、界面活性剤組成物により解決された。
・ 一般式(I)の1種以上のアルファ-スルホ脂肪酸二塩(A)
R1CH(SO3M1)COOM2 (I)
[式中、R1基は、6~16個の炭素原子を有する直鎖又は分岐のアルキル又はアルケニル基であり、M1及びM2基は、互いに独立してH、Li、Na、K、Ca/2、Mg/2、アンモニウム及びアルカノールアミン基から選択される]、
・ 一般式(II)の1種以上のデキストリン(B)
ただし、以下の
・ 前記水性界面活性剤組成物が、一般式(V)の1種以上のスルホン酸エステル(E)
R3CH(SO3M5)COOR4 (V)
[式中、R3基は、6~18個の炭素原子を有する直鎖又は分岐のアルキル又はアルケニル基であり、R4基は、1~20個の炭素原子を有する直鎖又は分岐のアルキル又はアルケニル基であり、R4基は、論理上アルケニル基であってよく、又は3個超の炭素原子の場合でのみ分岐であってよく、M5基はLi、Na、K、Ca/2、Mg/2、アンモニウム及びアルカノールアミン基から選択される]を含む場合、前記化合物(A)は、前記化合物(A)及び(E)の合計に対して50重量%を超え、好ましくは60重量%を超え、より好ましくは70重量%を超え、最も好ましくは95重量%を超えて存在しなければならないという条件が当てはまる、界面活性剤組成物を提供する。
・ 一般式(I)の1種以上のアルファ-スルホ脂肪酸二塩(A)
R1CH(SO3M1)COOM2 (I)
[式中、R1基は、6~16個の炭素原子を有する直鎖又は分岐のアルキル又はアルケニル基であり、M1及びM2基は、互いに独立してH、Li、Na、K、Ca/2、Mg/2、アンモニウム及びアルカノールアミン基から選択される]、
・ デキストリン及びその誘導体、デンプン及びその誘導体、セルロース及びその誘導体からなる群から選択される1種以上のポリサッカライド(B)を含み、
ただし、以下の
・ 前記界面活性剤組成物が、一般式(V)の1種以上のスルホン酸エステル(E)
R2CH(SO3M7)COOR3 (V)
[式中、R2基は、6~18個の炭素原子を有する直鎖又は分岐のアルキル又はアルケニル基であり、R3基は、1~20個の炭素原子を有する直鎖又は分岐のアルキル又はアルケニル基であり、R3基は、論理上アルケニル基であってよく、又は3個超の炭素原子の場合でのみ分岐であってよく、M7基は、Li、Na、K、Ca/2、Mg/2、アンモニウム及びアルカノールアミン基から選択される]を含む場合、前記化合物(A)は、前記化合物(A)及び(E)の合計に対して50重量%を超え、好ましくは60重量%を超え、より好ましくは70重量%を超え、最も好ましくは95重量%を超えて存在しなければならないという条件が当てはまる、固体界面活性剤組成物を提供する。
・ 一般式(I)の1種以上のアルファ-スルホ脂肪酸二塩(A)
R1CH(SO3M1)COOM2 (I)
[式中、R1基は、6~16個の炭素原子を有する直鎖又は分岐のアルキル又はアルケニル基であり、M1及びM2基は、互いに独立してH、Li、Na、K、Ca/2、Mg/2、アンモニウム及びアルカノールアミン基から選択される]、
・ 一般式(II)の1種以上のデキストリン(B)
ただし、以下の
・ 前記界面活性剤組成物が、一般式(V)の1種以上のスルホン酸エステル(E)
R3CH(SO3M5)COOR4 (V)
[式中、R3基は、6~18個の炭素原子を有する直鎖又は分岐のアルキル又はアルケニル基であり、R4基は、1~20個の炭素原子を有する直鎖又は分岐のアルキル又はアルケニル基であり、R4基は、論理上アルケニル基であってよく、又は3個超の炭素原子の場合でのみ分岐であってよく、M5基はLi、Na、K、Ca/2、Mg/2、アンモニウム及びアルカノールアミン基から選択される]を含む場合、前記化合物(A)は、前記化合物(A)及び(E)の合計に対して50重量%を超え、好ましくは60重量%を超え、より好ましくは70重量%を超え、最も好ましくは95重量%を超えて存在しなければならないという条件が当てはまる、固体界面活性剤組成物を提供する。
本発明の文脈内で、化合物(A)はアルファ-スルホ脂肪酸二塩と称され、本発明による水性及び固体の界面活性剤組成物には必須である。それらは前述の式(I)
R1CH(SO3M1)COOM2 (I)
[式中、R1基は、6~16個の炭素原子を有する直鎖又は分岐のアルキル又はアルケニル基であり、M1及びM2基は互いに独立してH、Li、Na、K、Ca/2、Mg/2、アンモニウム及びアルカノールアミン基から選択される]を有する。本発明の特に好ましいアルカノールアミンは、モノエタノールアミン、ジエタノールアミン、トリエタノールアミン及びモノイソプロパノールアミンである。
・ (A)の含有率は、60~100重量%の範囲、好ましくは70~85重量%の範囲にあり、
・ (C)の含有率は、0~20重量%の範囲、好ましくは5~15重量%の範囲にあり、
・ (D)の含有率は、0~20重量%範囲、好ましくは10~15重量%の範囲にある。
水性界面活性剤組成物中の化合物(B)の機能は、液体及び固体の組成物としてのそのコンディショニング及びヘアケアの効果、並びに固体組成物を充填及び形成するその性質に基づく。
デンプン
結合剤/充填剤成分は、未処理のデンプン、又は、修飾、粉末化、加水分解されたデンプン又は誘導体であってもよい。固体組成物において、これは約5%から約20重量%までの範囲の量で、好ましくは約7%~約12重量%の範囲の量で存在するべきである。
食品産業及び化粧用品において、セルロースエーテルは、多くの場合、増稠剤として使用され、この機能の他に、それらは充填剤及び結合剤としても同様に使用される。
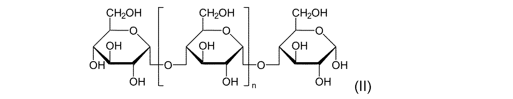
デキストリン及びその誘導体は、デキストリン、マルトデキストリン及びシクロデキストリンを含む。本発明の文脈において、最も好ましい化合物(B)はデキストリンである。それらは前述の式(II)を有する
固体界面活性剤及び液体水性組成物は、さらなる添加剤、例えば皮膚保湿クリーム、例えば乳酸ナトリウム、グリセリン、ピロリドンカルボン酸;pH調節剤(regulans)、錯化剤;色素;漂白剤;香料;塩化ナトリウム、硫酸ナトリウム、リン酸ナトリウムなどの塩;抗酸化剤、抗菌剤及び防腐剤又は安定剤を含んでいてもよい。
一実施形態において、本発明による界面活性剤組成物は、化合物(A)及び(B)の他にさらに、一般式(III)の1種以上の化合物(C)を含む。
R4COOM3 (III)
(M4)2SO4 (IV)
[式中、M4はLi、Na、K、Ca/2、Mg/2、アンモニウム及びアルカノールアミン基から選択される]。
R5CH2-CO-CHR6(SO3M6) (VI)
[式中、R5及びR6基は、互いに独立して6~18個の炭素原子を有する直鎖又は分岐のアルキル基を意味し、M6基は、H、Li、Na、K、Ca/2、Mg/2、アンモニウム及びアルカノールアミン基から選択される]。特に好ましいアルカノールアミンは、モノエタノールアミン、ジエタノールアミン、トリエタノールアミン及びモノイソプロパノールアミンである。
本発明のさらなる主題は、化粧用品並びに洗浄及び浄化の製品としての前述の組成物の使用である。
固体界面活性剤組成物は、それらの製作工程及び意図した使用に応じて、様々な形態、例えば棒、ヌードル、ビーズ、顆粒、パッド、針、板又は錠剤に適切である。
固体界面活性剤組成物の重量に対して(wt%はそれぞれの化合物の活性物質である)
30~70wt%のアルファ-スルホ脂肪酸二塩(化合物A)、
10~50wt%のデキストリン(化合物B)、
5~20wt%の水を含む。
固体界面活性剤組成物の重量に対して
30~50wt%のアルファ-スルホ脂肪酸二塩(化合物A)、
20~40wt%のデキストリン(化合物B)、
10~15wt%の水を含む。
固体界面活性剤組成物の重量に対して
35~45wt%のアルファ-スルホ脂肪酸二塩(化合物A)、
23~35wt%のデキストリン(化合物B)、
7~15wt%の水を含む。
固体界面活性剤組成物の重量に対して
40~44wt%のアルファ-スルホ脂肪酸二塩(化合物A)、
26~30wt%のデキストリン(化合物B)、
7~15wt%の水を含む。
1. 使用した原料:
アルファ-スルホ脂肪酸二塩(A):
Texapon SFA粉末(BASF SE):天然のC12/14脂肪酸に基づいた工業等級のアルファ-スルホ脂肪酸二塩;組成:79重量%の2-スルホラウリン酸ジナトリウム、8重量%のラウリン酸ナトリウム、11.8重量%の硫酸ナトリウム、100重量%までの残量の水。ここでの用語「ラウリン酸」は、基礎をなす天然の脂肪酸の混合物のC12/14重量比が70:30であることを意味する。
Dehyton PK45(BASF SE):乾燥残留物44~46.0wt%、INCI:コカミドプロピルベタイン;
Eumulgin EO33(BASF SE):ポリエチレングリコール6000ジステアラート、INCI:PEG-150ジステアラート
Plantacare 818 UP (BASF SE):C8~C16脂肪族アルコールグリコシド;INCI:ココヤシグルコシド
Ucare JR-400 (Dow Chemical):INCI:ポリクオタニウム-10;
固形固体界面活性剤の調製は以下の工程を含む:
第1の工程:ヌードルの形の固体界面活性剤組成物の製造:
1. 脱イオン水にクエン酸を溶かした。
2. 3~5分間30RPMで鋤刃式撹拌機(L20, Loedige Process Technology, Gebruder Lodige Maschinenbau, Paderborn, Germany)でまずTexapon SFA粉末及びポリサッカライド粉末を混合した。粉塵爆発を避けるために混合機中の保護ガスとして不活性ガス(例えば窒素ガス)を使用した。
3. 次いで、20~30分間30RPMで加圧ノズルを用いて供給することにより、混合機へクエン酸溶液を添加した。次いで、混合機を50~100RPMで20~30分間作動して含湿ペーストを形成した。混合後のペースト(水中の10wt%溶液)のpHは、5~6であった。
4. さらに20~30分間15~30RPMでMix-Muller(LG, Simpson Technologies, Euskirchen Germany)でペーストを混合し、そして次に、
5. 3~10RPMの押出速度で3mmのダイを用いて押出機(LSRE 75 R, Sela Maschinen GmbH, Harbke, Germany)で押し出してSFAヌードルを生成した。
6. ヌードルに形成した塊を、3本ローラー粉砕ミル(Weber & Seelander, Harbke, Germany)で2度粉砕して固体界面活性剤板を得た。
7. 固体界面活性剤板は、固形石鹸用の押出機(Weber & Seelander, Sela-Maschinen GmbH, Harbke, Germany)に充填し、プレスして、固形固体界面活性剤を得た。
22℃±2℃の脱イオン水250mlで満たした250mlのビーカーへ固形石鹸を投入した(図1:抗マッシュ性能試験方法用の設備)。固形剤は約4cmを水へ浸した。粥状の表面(A=a*b)の計算のために底面の長さ(a)及び幅(b)を測定した。
マッシュパーセント%=(W2-W0)/W0
* W0=浸漬前の固形剤の重量
* W2=2時間浸漬、マッシュ除去及び終夜乾燥後の固形剤の重量
ブラシがけ発泡法
1. 家庭用自動粉砕機に固形石鹸を摩砕して20um~3000umの摩砕粉末の粒度を達成する。
2. 50mlのメスシリンダーに0.15gの粉石鹸及び14.85gの水を添加し、均質分散のために1分間穏やかに振盪する。
円筒に試験管ブラシを入れ、円筒内部で30回転鉛直にブラシをかけて泡を立てる。
3. 円筒からブラシを取り除き、泡高を読みとる。
毛髪送風乾燥試験のプロトコル
1. 毛髪繊維の前処理
IHIPからの標準毛髪繊維(中国人の毛髪、15cm/2g)を上方部で束ね接着する。毛髪繊維を洗浄し漂白した。
2. 毛髪の秤量。
3. 1L/分の水流速、38℃で1分間毛髪をすすぎ、広い側で一度櫛を入れた。次いで、中指と人指し指を用いて過剰水を3回除去する。含湿毛髪を秤量する。(乾燥毛髪重量の初期の水分75%増加を維持する)。
4. 特殊なトレーに毛髪繊維を置き、ある量の製品で処理し、各面に30秒間均一にブラシをかけ、次いで、3分の総時間、インキュベートする。
5. 洗い流しプロセスとして、1L/分の水流速、38℃で1分間毛髪を再びすすぎ、中指と人指し指を用いて過剰水を3回除去する。生成物とともに含湿毛髪を秤量する。(乾燥毛髪重量の初期の水分75%増加を維持する)。
残留型製品については、工程5を飛ばし、直接工程6に進む。
6. 送風乾燥機に毛髪を移し、増加分が<0.05gになるまで送風乾燥する。
7. 送風乾燥の1、3及び5分後に広い側で毛髪繊維に櫛をかける。
8. 毛髪重量を毎分記録する。
固体固形石鹸用の異なる充填剤を比較するためにマッシュ傾向及び固形剤の発泡性を調査した。
11人の訓練された志願者(9人の中国人女性、2人の中国人男性)の審査員団は、市販の固形固体界面活性剤(Olaz Bar:INCI:ステアリン酸ナトリウム、ココイルイセチオン酸ナトリウム、パラフィン、水、ココグリセリルエーテルスルホン酸ナトリウム、グリセリン、ステアリン酸ナトリウム、タルク、ステアリン酸、ヤシ脂肪酸ナトリウム、ココナッツ酸(ココナッツ由来)、イセチオン酸ナトリウム、塩化ナトリウム、二酸化チタン、クエン酸、香料、PEG-90M)及び本発明による固体界面活性剤組成物(試料:表3のS10)を試験した。11人の参加者すべてに対して、対照製品の1つの固形剤及び発明の製品の1つの固形剤を使用した。泡立ち試験については、参加者が固形石鹸を泡立たせ、泡立ちの性質を記載し、次いですすぎ流した。皮膚試験については、参加者は20秒間前腕へ濡れた固形石鹸をこすりつけ、すすぎ乾燥した。22℃の温度及び50%の相対湿度で空調室において試験を行なう。結果は図2に記載する。(パネル式試験の結果)。
Claims (7)
- 皮膚又は毛髪に適用するための液体水性、又は固体界面活性剤組成物であって、
一般式(I)の1種以上のアルファ-スルホ脂肪酸二塩(A)
R1CH(SO3M1)COOM2 (I)
[式中、R1基は、10~16個のC原子を有する飽和直鎖アルキル基を表し、M1及びM2基は、互いに独立してH及びNaから選択される]、
デキストリン、マルトデキストリン、シクロデキストリン、バレイショデンプン、コムギデンプン及び/又はコーンデンプンからなる群から選択される1種以上のポリサッカライド(B)
を含み、
ただし、以下の
前記界面活性剤組成物が、一般式(V)の1種以上のスルホン酸エステル(E)
R2CH(SO3M7)COOR3 (V)
[式中、R2基は、6~18個の炭素原子を有する直鎖又は分岐のアルキル又はアルケニル基であり、R3基は、1~20個の炭素原子を有する直鎖又は分岐のアルキル又はアルケニル基であり、R3基は、論理上アルケニル基であってよく、又は3個超の炭素原子の場合でのみ分岐であってよく、M7基は、Li、Na、K、Ca/2、Mg/2、アンモニウム及びアルカノールアミン基から選択される]を含む場合、前記化合物(A)は、前記化合物(A)及び(E)の合計に対して50重量%を超えて存在しなければならないという条件が当てはまり、
前記化合物(A)が、液体水性組成物について前記組成物の合計重量に対して3~6重量パーセントの量で存在し、かつ、前記化合物(B)が、液体水性組成物について前記組成物の合計重量に対して1~3重量パーセントの量で存在するか、又は
前記化合物(A)が、固体組成物について前記組成物の重量に対して30~50重量パーセントの量で存在し、かつ、前記化合物(B)は、固体組成物について前記組成物の重量に対して15~40重量パーセントの量で存在する、界面活性剤組成物。 - 一般式(I)の1種以上のアルファ-スルホ脂肪酸二塩(A)
R1CH(SO3M1)COOM2 (I)
[式中、R1基は、10~16個のC原子を有する飽和直鎖アルキル基を表し、M1及びM2基は、互いに独立してH及びNaから選択される]、
一般式(II)の1種以上のデキストリン(B)
[式中、nは3から200の整数である]
を含み、
ただし、以下の
前記界面活性剤組成物が、一般式(V)の1種以上のスルホン酸エステル(E)
R2CH(SO3M7)COOR3 (V)
[式中、R2基は、6~18個の炭素原子を有する直鎖又は分岐のアルキル又はアルケニル基であり、R3基は、1~20個の炭素原子を有する直鎖又は分岐のアルキル又はアルケニル基であり、R3基は、論理上アルケニル基であってよく、又は3個超の炭素原子の場合でのみ分岐であってよく、M7基は、Li、Na、K、Ca/2、Mg/2、アンモニウム及びアルカノールアミン基から選択される]を含む場合、前記化合物(A)は、前記化合物(A)及び(E)の合計に対して50重量%を超えて存在しなければならないという条件が当てはまり、
前記化合物(A)が、液体水性組成物について前記組成物の合計重量に対して3~6重量パーセントの量で存在し、かつ、前記化合物(B)が、液体水性組成物について前記組成物の合計重量に対して1~3重量パーセントの量で存在するか、又は
前記化合物(A)が、固体組成物について前記組成物の重量に対して30~50重量パーセントの量で存在し、かつ、前記化合物(B)は、固体組成物について前記組成物の重量に対して15~40重量パーセントの量で存在する、請求項1に記載の皮膚又は毛髪に適用するための液体水性、又は固体界面活性剤組成物。 - 前記化合物(A)が、前記化合物(A)及び(E)の合計に対して60重量%を超えて存在しなければならない、請求項1又は2に記載の液体水性、又は固体界面活性剤組成物。
- 前記化合物(A)に関して、R1基がデシル又はドデシル基である前記化合物(A)の割合が、前記化合物(A)の合計量に対して60重量%を超える、請求項1から3のいずれか一項に記載の液体水性、又は固体界面活性剤組成物。
- 前記液体水性、又は固体界面活性剤組成物の重量に対して40重量%未満の、化合物(A)及び一般式(III)の(C)以外の陰イオン界面活性剤を含み、式(III)は、
R4COOM3 (III)
であり、式(III)において、R4基は、7~19個の炭素原子を有する直鎖又は分岐のアルキル又はアルケニル基であり、前記化合物(C)に関して、R4基がウンデシル又はトリデシル基である化合物(C)の割合が、前記化合物(C)の合計量に対して60重量%を超え、M3基がH、Li、Na、K、Ca/2、Mg/2、アンモニウム及びアルカノールアミン基から選択される、請求項1から4のいずれか一項に記載の液体水性、又は固体界面活性剤組成物。 - 化粧用品のための、請求項1から5のいずれか一項に記載の液体水性、又は固体界面活性剤組成物の使用。
- ヘアシャンプー、固体界面活性剤組成物、シャワー用ジェル、石鹸、ペースト洗浄剤、固形洗浄剤、ローション洗浄剤、スクラブ製剤、泡浴用剤、油浴用剤、シャワー浴用剤、固形石鹸、ひげ剃り用泡剤、ひげ剃り用ローション、ひげ剃り用クリーム、ローション及びクリームの形態の化粧用品のための、請求項1から5のいずれか一項に記載の液体水性、又は固体界面活性剤組成物の使用。
Applications Claiming Priority (5)
| Application Number | Priority Date | Filing Date | Title |
|---|---|---|---|
| CNPCT/CN2019/085840 | 2019-05-07 | ||
| CN2019085840 | 2019-05-07 | ||
| EP19178906.4 | 2019-06-07 | ||
| EP19178906 | 2019-06-07 | ||
| PCT/EP2020/061606 WO2020225005A1 (en) | 2019-05-07 | 2020-04-27 | Aqueous surfactant compositions and soap bars |
Publications (2)
| Publication Number | Publication Date |
|---|---|
| JP2022532073A JP2022532073A (ja) | 2022-07-13 |
| JP7635152B2 true JP7635152B2 (ja) | 2025-02-25 |
Family
ID=70333971
Family Applications (1)
| Application Number | Title | Priority Date | Filing Date |
|---|---|---|---|
| JP2021565876A Active JP7635152B2 (ja) | 2019-05-07 | 2020-04-27 | 水性界面活性剤組成物及び固形石鹸 |
Country Status (8)
| Country | Link |
|---|---|
| US (1) | US12329837B2 (ja) |
| EP (1) | EP3966302B1 (ja) |
| JP (1) | JP7635152B2 (ja) |
| KR (1) | KR20220006056A (ja) |
| CN (1) | CN113825826B (ja) |
| BR (1) | BR112021020418A2 (ja) |
| ES (1) | ES3023259T3 (ja) |
| WO (1) | WO2020225005A1 (ja) |
Citations (7)
| Publication number | Priority date | Publication date | Assignee | Title |
|---|---|---|---|---|
| JP2004035563A (ja) | 2002-07-08 | 2004-02-05 | L'oreal Sa | アニオン性界面活性剤、両性又は非イオン性界面活性剤及び多糖類を含む洗浄化粧品組成物とその用途 |
| JP2007508403A (ja) | 2003-10-09 | 2007-04-05 | ユニリーバー・ナームローゼ・ベンノートシヤープ | 界面活性剤濃度が低く、糖濃度が高い固形製品を製造する方法 |
| US20130034515A1 (en) | 2011-08-03 | 2013-02-07 | Melaleuca, Inc. | Hair care compositions |
| JP2014513163A (ja) | 2011-03-16 | 2014-05-29 | ユニリーバー・ナームローゼ・ベンノートシヤープ | 気泡固形セッケン |
| JP2017505342A (ja) | 2014-02-04 | 2017-02-16 | ビーエーエスエフ ソシエタス・ヨーロピアBasf Se | 水性界面活性剤組成物 |
| JP2017505813A (ja) | 2014-02-04 | 2017-02-23 | ビーエーエスエフ ソシエタス・ヨーロピアBasf Se | 水性界面活性剤組成物 |
| JP2019523771A (ja) | 2016-06-14 | 2019-08-29 | ビーエーエスエフ ソシエタス・ヨーロピアBasf Se | 水性界面活性剤組成物 |
Family Cites Families (14)
| Publication number | Priority date | Publication date | Assignee | Title |
|---|---|---|---|---|
| US2894912A (en) | 1954-09-21 | 1959-07-14 | Lever Brothers Ltd | Isethionate detergent bar |
| US3297579A (en) | 1963-01-10 | 1967-01-10 | James K Weil | Process for preparing a detergent composition containing sodium alkanesulfonate and soap |
| US4100097A (en) | 1977-02-02 | 1978-07-11 | The Hewitt Soap Company, Inc. | Low pH detergent bar |
| DE3707035A1 (de) * | 1987-03-05 | 1988-09-15 | Henkel Kgaa | Geformte reinigungsmittel |
| DE3827778A1 (de) | 1988-08-16 | 1990-02-22 | Henkel Kgaa | Pastenfoermiges wasch- und reinigungsmittel und verfahren zur herstellung |
| BR9107038A (pt) | 1990-10-30 | 1993-08-31 | Procter & Gamble | Barra "syndet" com sulfatos de alquila de cadeia longa para processa bilidade de |
| JP3404916B2 (ja) | 1994-09-07 | 2003-05-12 | 花王株式会社 | 固形洗浄剤組成物 |
| JP3794593B2 (ja) | 1995-08-24 | 2006-07-05 | 三口産業株式会社 | 洗髪剤組成物 |
| US20050124515A1 (en) | 2002-01-31 | 2005-06-09 | Ospinal Carlos E. | Soap bar compositions comprising alpha sulfonated fatty acid alkyl estersand polyhydridic alcohols and process for producing same |
| US20050153853A1 (en) | 2002-01-31 | 2005-07-14 | Stepan Company | Soap bar compositions comprising alpha sulfonated alkyl ester or sulfonated fatty acid and synthetic surfactant and processes for producing same |
| WO2007133582A1 (en) | 2006-05-09 | 2007-11-22 | Stepan Company | Soap bar compositions comprising alpha sulfonated alkyl ester or sulfonated fatty acid and synthetic surfactant and process for producing the same |
| CN102686715B (zh) | 2009-10-21 | 2014-05-07 | 斯特潘公司 | 含有磺化脂肪酸、其酯或其盐以及甜菜碱或磺基甜菜碱的粘性液体清洁组合物 |
| EP2990026B1 (de) | 2014-08-27 | 2017-04-05 | Basf Se | Wässrige Tensid-Zusammensetzungen |
| US20170172892A1 (en) * | 2015-12-16 | 2017-06-22 | Johnson & Johnson Consumer Inc. | Cleansing bars containing polyglycerol esters |
-
2020
- 2020-04-27 US US17/604,861 patent/US12329837B2/en active Active
- 2020-04-27 WO PCT/EP2020/061606 patent/WO2020225005A1/en not_active Ceased
- 2020-04-27 BR BR112021020418A patent/BR112021020418A2/pt unknown
- 2020-04-27 KR KR1020217035506A patent/KR20220006056A/ko active Pending
- 2020-04-27 EP EP20720462.9A patent/EP3966302B1/en active Active
- 2020-04-27 ES ES20720462T patent/ES3023259T3/es active Active
- 2020-04-27 JP JP2021565876A patent/JP7635152B2/ja active Active
- 2020-04-27 CN CN202080033953.1A patent/CN113825826B/zh active Active
Patent Citations (7)
| Publication number | Priority date | Publication date | Assignee | Title |
|---|---|---|---|---|
| JP2004035563A (ja) | 2002-07-08 | 2004-02-05 | L'oreal Sa | アニオン性界面活性剤、両性又は非イオン性界面活性剤及び多糖類を含む洗浄化粧品組成物とその用途 |
| JP2007508403A (ja) | 2003-10-09 | 2007-04-05 | ユニリーバー・ナームローゼ・ベンノートシヤープ | 界面活性剤濃度が低く、糖濃度が高い固形製品を製造する方法 |
| JP2014513163A (ja) | 2011-03-16 | 2014-05-29 | ユニリーバー・ナームローゼ・ベンノートシヤープ | 気泡固形セッケン |
| US20130034515A1 (en) | 2011-08-03 | 2013-02-07 | Melaleuca, Inc. | Hair care compositions |
| JP2017505342A (ja) | 2014-02-04 | 2017-02-16 | ビーエーエスエフ ソシエタス・ヨーロピアBasf Se | 水性界面活性剤組成物 |
| JP2017505813A (ja) | 2014-02-04 | 2017-02-23 | ビーエーエスエフ ソシエタス・ヨーロピアBasf Se | 水性界面活性剤組成物 |
| JP2019523771A (ja) | 2016-06-14 | 2019-08-29 | ビーエーエスエフ ソシエタス・ヨーロピアBasf Se | 水性界面活性剤組成物 |
Also Published As
| Publication number | Publication date |
|---|---|
| EP3966302B1 (en) | 2025-01-15 |
| US20220257486A1 (en) | 2022-08-18 |
| JP2022532073A (ja) | 2022-07-13 |
| KR20220006056A (ko) | 2022-01-14 |
| ES3023259T3 (en) | 2025-05-30 |
| WO2020225005A1 (en) | 2020-11-12 |
| EP3966302A1 (en) | 2022-03-16 |
| CN113825826B (zh) | 2024-07-30 |
| BR112021020418A2 (pt) | 2021-12-07 |
| CN113825826A (zh) | 2021-12-21 |
| US12329837B2 (en) | 2025-06-17 |
Similar Documents
| Publication | Publication Date | Title |
|---|---|---|
| EP1501873B1 (en) | A cationic polymer composition and its use in conditioning applications | |
| AU2014366222B2 (en) | Use of poly alpha-1,3-glucan ethers as viscosity modifiers | |
| ES2379799T3 (es) | Procedimiento para preparar poligalactomanano catiónico de bajo peso molecular con olor reducido | |
| KR101726015B1 (ko) | 계면활성제-기재 수성 제제에서 개선된 성능 및 투명도를 갖는 폴리사카라이드 생성물 및 그의 제조 방법 | |
| JP5856755B2 (ja) | 皮膚洗浄剤組成物 | |
| CN102159696A (zh) | 包含促泡和稳泡改性生物聚合物的洗涤剂组合物 | |
| JP5041894B2 (ja) | 洗浄剤組成物 | |
| JP2610614B2 (ja) | 水和陽イオンポリマー含有のマイルドな皮膚洗浄用固形石鹸 | |
| WO2012150711A1 (ja) | 洗浄剤組成物 | |
| KR101343261B1 (ko) | 개인 위생용 조성물 | |
| JP7473599B2 (ja) | 食器手洗い用液体洗剤組成物 | |
| JP7635152B2 (ja) | 水性界面活性剤組成物及び固形石鹸 | |
| EP4654943A1 (en) | Conditioning agent | |
| JPH03115210A (ja) | 臭気相容性嵩高アミン陽イオン重合体を有するパーソナルクレンジング製品 | |
| US9801801B2 (en) | Glyoxal-free cellulose derivatives for personal care compositions | |
| KR102397502B1 (ko) | 수성 계면활성제 조성물 | |
| KR20210032799A (ko) | 화장료 조성물 및 이를 이용한 세정제 | |
| JPH0778235B2 (ja) | 洗浄剤組成物 | |
| MXPA03003711A (es) | Composiciones de detergente para lavado dental. |
Legal Events
| Date | Code | Title | Description |
|---|---|---|---|
| A621 | Written request for application examination |
Free format text: JAPANESE INTERMEDIATE CODE: A621 Effective date: 20230426 |
|
| RD03 | Notification of appointment of power of attorney |
Free format text: JAPANESE INTERMEDIATE CODE: A7423 Effective date: 20231027 |
|
| RD04 | Notification of resignation of power of attorney |
Free format text: JAPANESE INTERMEDIATE CODE: A7424 Effective date: 20231107 |
|
| A131 | Notification of reasons for refusal |
Free format text: JAPANESE INTERMEDIATE CODE: A131 Effective date: 20240603 |
|
| A521 | Request for written amendment filed |
Free format text: JAPANESE INTERMEDIATE CODE: A523 Effective date: 20240823 |
|
| A131 | Notification of reasons for refusal |
Free format text: JAPANESE INTERMEDIATE CODE: A131 Effective date: 20241105 |
|
| A521 | Request for written amendment filed |
Free format text: JAPANESE INTERMEDIATE CODE: A523 Effective date: 20241218 |
|
| TRDD | Decision of grant or rejection written | ||
| A01 | Written decision to grant a patent or to grant a registration (utility model) |
Free format text: JAPANESE INTERMEDIATE CODE: A01 Effective date: 20250114 |
|
| A61 | First payment of annual fees (during grant procedure) |
Free format text: JAPANESE INTERMEDIATE CODE: A61 Effective date: 20250212 |
|
| R150 | Certificate of patent or registration of utility model |
Ref document number: 7635152 Country of ref document: JP Free format text: JAPANESE INTERMEDIATE CODE: R150 |







